Program description and justification of annotation: 30.
Submit a comment on this gene expression program’s interpretation: CLICK
QQ-plot of gene loadings, averaged over both independent splits of the data
This plot highlights the relative contribution of each gene to the GEP
Top genes driving this program.
Note: Decartes website is buggy, try refreshing. Also, Decartes fetal adrenal data have been collected at specific time points (89-122 days), all possible cell types of interest may not be represented, do not overinterpret.
The Mean Count column shows the mean read count in cells scoring highly (H > 50) on this gene expression program.
Gene | Loading | Gene.Name | GTEx | DepMap | Descartes | Mean.Counts | Mean.Tpm | |
---|---|---|---|---|---|---|---|---|
1 | GNAS | 0.0203063 | GNAS complex locus | GTEx | DepMap | Descartes | 192.06 | 706.70 |
2 | GAP43 | 0.0188898 | growth associated protein 43 | GTEx | DepMap | Descartes | 31.91 | 80.80 |
3 | STMN2 | 0.0184332 | stathmin 2 | GTEx | DepMap | Descartes | 84.76 | 352.20 |
4 | DDC | 0.0170960 | dopa decarboxylase | GTEx | DepMap | Descartes | 10.34 | 27.41 |
5 | STMN3 | 0.0158131 | stathmin 3 | GTEx | DepMap | Descartes | 28.20 | 769.85 |
6 | TUBB3 | 0.0153047 | tubulin beta 3 class III | GTEx | DepMap | Descartes | 36.26 | 765.16 |
7 | NEFL | 0.0146814 | neurofilament light chain | GTEx | DepMap | Descartes | 51.46 | 2187.03 |
8 | PHOX2A | 0.0145709 | paired like homeobox 2A | GTEx | DepMap | Descartes | 14.61 | 708.17 |
9 | NNAT | 0.0142595 | neuronatin | GTEx | DepMap | Descartes | 51.68 | 4457.16 |
10 | CALY | 0.0139913 | calcyon neuron specific vesicular protein | GTEx | DepMap | Descartes | 5.63 | 115.88 |
11 | NEFM | 0.0137767 | neurofilament medium chain | GTEx | DepMap | Descartes | 55.67 | 293.95 |
12 | DBH | 0.0137594 | dopamine beta-hydroxylase | GTEx | DepMap | Descartes | 6.02 | 81.50 |
13 | TMSB10 | 0.0134883 | thymosin beta 10 | GTEx | DepMap | Descartes | 184.06 | 26999.40 |
14 | GM13889 | 0.0134636 | NA | GTEx | DepMap | Descartes | 5.95 | 856.41 |
15 | PTGDS | 0.0128518 | prostaglandin D2 synthase | GTEx | DepMap | Descartes | 1.80 | 129.44 |
16 | PPP1R17 | 0.0125213 | protein phosphatase 1 regulatory subunit 17 | GTEx | DepMap | Descartes | 8.16 | 121.67 |
17 | SHOX2 | 0.0125045 | short stature homeobox 2 | GTEx | DepMap | Descartes | 2.32 | 53.08 |
18 | NHLH2 | 0.0124490 | nescient helix-loop-helix 2 | GTEx | DepMap | Descartes | 8.76 | 348.07 |
19 | RGS4 | 0.0122779 | regulator of G protein signaling 4 | GTEx | DepMap | Descartes | 7.10 | 257.15 |
20 | CYB561 | 0.0118392 | cytochrome b561 | GTEx | DepMap | Descartes | 2.32 | 29.21 |
21 | ZDBF2 | 0.0117854 | zinc finger DBF-type containing 2 | GTEx | DepMap | Descartes | 9.38 | 48.74 |
22 | ATP5E | 0.0116459 | NA | GTEx | DepMap | Descartes | 49.81 | 3426.58 |
23 | FDPS | 0.0115351 | farnesyl diphosphate synthase | GTEx | DepMap | Descartes | 10.21 | 250.68 |
24 | ECEL1 | 0.0112714 | endothelin converting enzyme like 1 | GTEx | DepMap | Descartes | 3.30 | 83.13 |
25 | 1500009L16RIK | 0.0110272 | NA | GTEx | DepMap | Descartes | 5.54 | 31.90 |
26 | BASP1 | 0.0110124 | brain abundant membrane attached signal protein 1 | GTEx | DepMap | Descartes | 42.10 | 192.40 |
27 | CHGB | 0.0108434 | chromogranin B | GTEx | DepMap | Descartes | 18.22 | 282.90 |
28 | ACTG1 | 0.0105877 | actin gamma 1 | GTEx | DepMap | Descartes | 77.02 | 5764.26 |
29 | MLLT11 | 0.0105407 | MLLT11 transcription factor 7 cofactor | GTEx | DepMap | Descartes | 11.19 | 194.68 |
30 | IRS1 | 0.0104938 | insulin receptor substrate 1 | GTEx | DepMap | Descartes | 1.32 | 5.17 |
31 | EEF1B2 | 0.0102099 | eukaryotic translation elongation factor 1 beta 2 | GTEx | DepMap | Descartes | 48.19 | 2698.71 |
32 | SDHAF4 | 0.0101049 | succinate dehydrogenase complex assembly factor 4 | GTEx | DepMap | Descartes | 4.74 | 104.09 |
33 | NAP1L5 | 0.0100943 | nucleosome assembly protein 1 like 5 | GTEx | DepMap | Descartes | 3.99 | 512.95 |
34 | RAB6B | 0.0100740 | RAB6B, member RAS oncogene family | GTEx | DepMap | Descartes | 4.05 | 13.19 |
35 | ATP5F1 | 0.0100077 | NA | GTEx | DepMap | Descartes | 27.60 | 330.95 |
36 | MAOA | 0.0099910 | monoamine oxidase A | GTEx | DepMap | Descartes | 3.22 | 11.58 |
37 | GNG3 | 0.0098312 | G protein subunit gamma 3 | GTEx | DepMap | Descartes | 8.71 | 901.44 |
38 | GNG8 | 0.0097728 | G protein subunit gamma 8 | GTEx | DepMap | Descartes | 0.56 | 37.25 |
39 | YWHAE | 0.0097259 | tyrosine 3-monooxygenase/tryptophan 5-monooxygenase activation protein epsilon | GTEx | DepMap | Descartes | 31.12 | 205.52 |
40 | COPS5 | 0.0097146 | COP9 signalosome subunit 5 | GTEx | DepMap | Descartes | 4.12 | 66.62 |
41 | PIRT | 0.0096765 | phosphoinositide interacting regulator of transient receptor potential channels | GTEx | DepMap | Descartes | 1.69 | 19.82 |
42 | LMO1 | 0.0095152 | LIM domain only 1 | GTEx | DepMap | Descartes | 7.16 | 39.66 |
43 | TLN2 | 0.0094860 | talin 2 | GTEx | DepMap | Descartes | 5.65 | 4.00 |
44 | FAM163A | 0.0094735 | family with sequence similarity 163 member A | GTEx | DepMap | Descartes | 1.46 | 2.64 |
45 | VAMP2 | 0.0094480 | vesicle associated membrane protein 2 | GTEx | DepMap | Descartes | 4.27 | 254.78 |
46 | ATP1B1 | 0.0093313 | ATPase Na+/K+ transporting subunit beta 1 | GTEx | DepMap | Descartes | 4.20 | 46.97 |
47 | PPP2R2B | 0.0092840 | protein phosphatase 2 regulatory subunit Bbeta | GTEx | DepMap | Descartes | 2.96 | 1.58 |
48 | MEG3 | 0.0092746 | maternally expressed 3 | GTEx | DepMap | Descartes | 49.41 | 397.41 |
49 | NDUFB3 | 0.0092741 | NADH:ubiquinone oxidoreductase subunit B3 | GTEx | DepMap | Descartes | 10.46 | 231.80 |
50 | P2RX3 | 0.0092649 | purinergic receptor P2X 3 | GTEx | DepMap | Descartes | 0.76 | 4.78 |
UMAP plots showing activity of gene expression program identified in community:30. Neuroblastoma: Adrenergic II
CNV Data procured from inferCNV.
Outer tracks are putative CNV regions (gains = red, losses = blue) for each patient
Inner track is expression data representing:
The top cells expressing this GEP (purple)
Random cells (n =50) from the reference set used in inferCNV (orange)
Gene set Enrichments for this program, caculated from top 50 genes
mSigDB Cell Types Gene Set:
P-value | OR | Lower 95% CI | FDR | FWER | Genes Found | Gene Set Size | |
---|---|---|---|---|---|---|---|
DESCARTES_FETAL_HEART_VISCERAL_NEURONS | 2.87e-11 | 50.30 | 19.75 | 3.21e-09 | 1.93e-08 | 8DDC, PHOX2A, DBH, RGS4, ECEL1, CHGB, PIRT, FAM163A |
87 |
DESCARTES_FETAL_PANCREAS_ENS_NEURONS | 1.19e-13 | 38.71 | 17.56 | 3.99e-11 | 7.98e-11 | 11GAP43, STMN2, TUBB3, PHOX2A, NNAT, DBH, MLLT11, RAB6B, GNG3, PIRT, FAM163A |
163 |
DESCARTES_FETAL_INTESTINE_ENS_NEURONS | 3.73e-12 | 34.81 | 15.24 | 6.26e-10 | 2.50e-09 | 10GAP43, STMN2, PHOX2A, NEFM, DBH, MLLT11, GNG3, GNG8, PIRT, FAM163A |
160 |
MANNO_MIDBRAIN_NEUROTYPES_HOMTN | 1.09e-17 | 28.95 | 14.97 | 7.31e-15 | 7.31e-15 | 17GAP43, STMN2, STMN3, TUBB3, NEFL, PHOX2A, NEFM, DBH, ECEL1, BASP1, MLLT11, RAB6B, GNG3, TLN2, PPP2R2B, MEG3, P2RX3 |
389 |
DESCARTES_MAIN_FETAL_SYMPATHOBLASTS | 2.37e-07 | 44.58 | 13.28 | 1.09e-05 | 1.59e-04 | 5DBH, PPP1R17, CYB561, ZDBF2, CHGB |
57 |
TRAVAGLINI_LUNG_NEUROENDOCRINE_CELL | 6.43e-10 | 33.15 | 13.16 | 5.39e-08 | 4.31e-07 | 8STMN2, DDC, NNAT, CALY, PPP1R17, CHGB, VAMP2, MEG3 |
128 |
DURANTE_ADULT_OLFACTORY_NEUROEPITHELIUM_IMMATURE_NEURONS | 3.66e-08 | 25.74 | 9.60 | 2.23e-06 | 2.46e-05 | 7GAP43, STMN2, STMN3, NHLH2, BASP1, GNG8, VAMP2 |
139 |
DESCARTES_FETAL_LUNG_VISCERAL_NEURONS | 1.51e-09 | 22.60 | 9.53 | 1.01e-07 | 1.01e-06 | 9GAP43, STMN2, TUBB3, PHOX2A, NEFM, MLLT11, PIRT, FAM163A, PPP2R2B |
212 |
FAN_EMBRYONIC_CTX_BIG_GROUPS_CAJAL_RETZIUS | 2.74e-13 | 18.51 | 9.33 | 6.13e-11 | 1.84e-10 | 15GAP43, STMN3, NEFL, CALY, NEFM, NHLH2, CYB561, FDPS, ECEL1, CHGB, NAP1L5, RAB6B, MAOA, GNG3, NDUFB3 |
499 |
BUSSLINGER_GASTRIC_ANTRAL_ECS | 3.62e-04 | 86.81 | 9.02 | 8.39e-03 | 2.43e-01 | 2DDC, MEG3 |
12 |
DESCARTES_MAIN_FETAL_VISCERAL_NEURONS | 1.66e-06 | 29.37 | 8.86 | 5.89e-05 | 1.11e-03 | 5STMN2, TUBB3, NAP1L5, RAB6B, PIRT |
84 |
HU_FETAL_RETINA_RGC | 1.91e-11 | 17.08 | 8.27 | 2.57e-09 | 1.28e-08 | 13GAP43, STMN2, STMN3, NEFL, NEFM, TMSB10, NHLH2, FDPS, BASP1, CHGB, MLLT11, RAB6B, PPP2R2B |
443 |
MANNO_MIDBRAIN_NEUROTYPES_HNBM | 1.44e-09 | 18.33 | 8.09 | 1.01e-07 | 9.66e-07 | 10GAP43, STMN2, TUBB3, NNAT, PPP1R17, SHOX2, NHLH2, RGS4, MLLT11, GNG3 |
295 |
MANNO_MIDBRAIN_NEUROTYPES_HSERT | 3.81e-10 | 15.07 | 7.12 | 3.65e-08 | 2.55e-07 | 12GAP43, STMN2, DDC, TUBB3, BASP1, CHGB, MLLT11, NAP1L5, MAOA, GNG3, PPP2R2B, MEG3 |
450 |
HU_FETAL_RETINA_HORIZONTAL | 1.18e-04 | 36.03 | 6.87 | 3.05e-03 | 7.92e-02 | 3STMN2, NNAT, MLLT11 |
40 |
DESCARTES_FETAL_ADRENAL_CHROMAFFIN_CELLS | 9.13e-06 | 20.37 | 6.19 | 2.66e-04 | 6.13e-03 | 5GAP43, SHOX2, BASP1, MLLT11, PIRT |
119 |
MANNO_MIDBRAIN_NEUROTYPES_HRN | 7.56e-08 | 14.07 | 5.96 | 3.93e-06 | 5.07e-05 | 9GAP43, STMN2, TUBB3, NNAT, NHLH2, BASP1, MLLT11, NAP1L5, GNG3 |
335 |
DURANTE_ADULT_OLFACTORY_NEUROEPITHELIUM_OLFACTORY_HORIZONTAL_BASAL_CELLS | 9.28e-04 | 51.08 | 5.58 | 1.73e-02 | 6.23e-01 | 2BASP1, MEG3 |
19 |
MANNO_MIDBRAIN_NEUROTYPES_HNBML1 | 8.95e-07 | 12.44 | 5.00 | 3.75e-05 | 6.00e-04 | 8GAP43, STMN2, TUBB3, NNAT, NHLH2, BASP1, MLLT11, GNG3 |
328 |
MANNO_MIDBRAIN_NEUROTYPES_HDA1 | 7.61e-08 | 10.29 | 4.73 | 3.93e-06 | 5.10e-05 | 11GAP43, STMN2, DDC, TUBB3, NNAT, BASP1, MLLT11, NAP1L5, GNG3, ATP1B1, MEG3 |
584 |
Dowload full table
mSigDB Hallmark Gene Sets:
P-value | OR | Lower 95% CI | FDR | FWER | Genes Found | Gene Set Size | |
---|---|---|---|---|---|---|---|
HALLMARK_CHOLESTEROL_HOMEOSTASIS | 1.34e-02 | 12.09 | 1.40 | 2.24e-01 | 6.71e-01 | 2FDPS, ACTG1 |
74 |
HALLMARK_MYC_TARGETS_V1 | 1.18e-02 | 6.77 | 1.34 | 2.24e-01 | 5.89e-01 | 3EEF1B2, YWHAE, COPS5 |
200 |
HALLMARK_XENOBIOTIC_METABOLISM | 1.18e-02 | 6.77 | 1.34 | 2.24e-01 | 5.89e-01 | 3DDC, PTGDS, MAOA |
200 |
HALLMARK_UV_RESPONSE_DN | 4.58e-02 | 6.13 | 0.72 | 4.51e-01 | 1.00e+00 | 2RGS4, IRS1 |
144 |
HALLMARK_UV_RESPONSE_UP | 5.40e-02 | 5.58 | 0.65 | 4.51e-01 | 1.00e+00 | 2SHOX2, MAOA |
158 |
HALLMARK_APICAL_JUNCTION | 8.11e-02 | 4.40 | 0.51 | 4.51e-01 | 1.00e+00 | 2ACTG1, IRS1 |
200 |
HALLMARK_MTORC1_SIGNALING | 8.11e-02 | 4.40 | 0.51 | 4.51e-01 | 1.00e+00 | 2MLLT11, COPS5 |
200 |
HALLMARK_EPITHELIAL_MESENCHYMAL_TRANSITION | 8.11e-02 | 4.40 | 0.51 | 4.51e-01 | 1.00e+00 | 2RGS4, BASP1 |
200 |
HALLMARK_OXIDATIVE_PHOSPHORYLATION | 8.11e-02 | 4.40 | 0.51 | 4.51e-01 | 1.00e+00 | 2ATP1B1, NDUFB3 |
200 |
HALLMARK_PROTEIN_SECRETION | 2.05e-01 | 4.49 | 0.11 | 9.98e-01 | 1.00e+00 | 1GNAS |
96 |
HALLMARK_PEROXISOME | 2.20e-01 | 4.14 | 0.10 | 9.98e-01 | 1.00e+00 | 1FDPS |
104 |
HALLMARK_FATTY_ACID_METABOLISM | 3.13e-01 | 2.72 | 0.07 | 1.00e+00 | 1.00e+00 | 1MAOA |
158 |
HALLMARK_MITOTIC_SPINDLE | 3.77e-01 | 2.15 | 0.05 | 1.00e+00 | 1.00e+00 | 1YWHAE |
199 |
HALLMARK_MYOGENESIS | 3.78e-01 | 2.14 | 0.05 | 1.00e+00 | 1.00e+00 | 1FDPS |
200 |
HALLMARK_P53_PATHWAY | 3.78e-01 | 2.14 | 0.05 | 1.00e+00 | 1.00e+00 | 1NHLH2 |
200 |
HALLMARK_KRAS_SIGNALING_DN | 3.78e-01 | 2.14 | 0.05 | 1.00e+00 | 1.00e+00 | 1SHOX2 |
200 |
HALLMARK_TNFA_SIGNALING_VIA_NFKB | 1.00e+00 | 0.00 | 0.00 | 1.00e+00 | 1.00e+00 | 0 |
200 |
HALLMARK_HYPOXIA | 1.00e+00 | 0.00 | 0.00 | 1.00e+00 | 1.00e+00 | 0 |
200 |
HALLMARK_WNT_BETA_CATENIN_SIGNALING | 1.00e+00 | 0.00 | 0.00 | 1.00e+00 | 1.00e+00 | 0 |
42 |
HALLMARK_TGF_BETA_SIGNALING | 1.00e+00 | 0.00 | 0.00 | 1.00e+00 | 1.00e+00 | 0 |
54 |
Dowload full table
KEGG Pathways:
P-value | OR | Lower 95% CI | FDR | FWER | Genes Found | Gene Set Size | |
---|---|---|---|---|---|---|---|
KEGG_TYROSINE_METABOLISM | 1.37e-04 | 34.16 | 6.53 | 2.54e-02 | 2.54e-02 | 3DDC, DBH, MAOA |
42 |
KEGG_PHENYLALANINE_METABOLISM | 8.32e-04 | 54.34 | 5.90 | 7.74e-02 | 1.55e-01 | 2DDC, MAOA |
18 |
KEGG_HISTIDINE_METABOLISM | 2.17e-03 | 32.21 | 3.61 | 1.34e-01 | 4.03e-01 | 2DDC, MAOA |
29 |
KEGG_TRYPTOPHAN_METABOLISM | 4.09e-03 | 22.91 | 2.60 | 1.47e-01 | 7.61e-01 | 2DDC, MAOA |
40 |
KEGG_ALDOSTERONE_REGULATED_SODIUM_REABSORPTION | 4.50e-03 | 21.76 | 2.48 | 1.47e-01 | 8.38e-01 | 2IRS1, ATP1B1 |
42 |
KEGG_VASOPRESSIN_REGULATED_WATER_REABSORPTION | 4.93e-03 | 20.71 | 2.36 | 1.47e-01 | 9.18e-01 | 2GNAS, VAMP2 |
44 |
KEGG_TASTE_TRANSDUCTION | 6.83e-03 | 17.41 | 2.00 | 1.47e-01 | 1.00e+00 | 2GNAS, GNG3 |
52 |
KEGG_AMYOTROPHIC_LATERAL_SCLEROSIS_ALS | 7.08e-03 | 17.07 | 1.96 | 1.47e-01 | 1.00e+00 | 2NEFL, NEFM |
53 |
KEGG_VIBRIO_CHOLERAE_INFECTION | 7.34e-03 | 16.74 | 1.92 | 1.47e-01 | 1.00e+00 | 2GNAS, ACTG1 |
54 |
KEGG_PATHOGENIC_ESCHERICHIA_COLI_INFECTION | 7.88e-03 | 16.12 | 1.85 | 1.47e-01 | 1.00e+00 | 2TUBB3, ACTG1 |
56 |
KEGG_LONG_TERM_DEPRESSION | 1.21e-02 | 12.80 | 1.48 | 2.04e-01 | 1.00e+00 | 2GNAS, PPP1R17 |
70 |
KEGG_DILATED_CARDIOMYOPATHY | 1.94e-02 | 9.89 | 1.15 | 2.78e-01 | 1.00e+00 | 2GNAS, ACTG1 |
90 |
KEGG_GAP_JUNCTION | 1.94e-02 | 9.89 | 1.15 | 2.78e-01 | 1.00e+00 | 2GNAS, TUBB3 |
90 |
KEGG_NEUROTROPHIN_SIGNALING_PATHWAY | 3.60e-02 | 7.02 | 0.82 | 4.47e-01 | 1.00e+00 | 2IRS1, YWHAE |
126 |
KEGG_TIGHT_JUNCTION | 3.92e-02 | 6.70 | 0.78 | 4.56e-01 | 1.00e+00 | 2ACTG1, PPP2R2B |
132 |
KEGG_TERPENOID_BACKBONE_BIOSYNTHESIS | 3.52e-02 | 30.43 | 0.71 | 4.47e-01 | 1.00e+00 | 1FDPS |
15 |
KEGG_CALCIUM_SIGNALING_PATHWAY | 6.65e-02 | 4.95 | 0.58 | 6.85e-01 | 1.00e+00 | 2GNAS, P2RX3 |
178 |
KEGG_CHEMOKINE_SIGNALING_PATHWAY | 7.37e-02 | 4.66 | 0.54 | 6.85e-01 | 1.00e+00 | 2GNG3, GNG8 |
189 |
KEGG_FOCAL_ADHESION | 8.05e-02 | 4.42 | 0.52 | 7.13e-01 | 1.00e+00 | 2ACTG1, TLN2 |
199 |
KEGG_PROXIMAL_TUBULE_BICARBONATE_RECLAMATION | 5.34e-02 | 19.36 | 0.46 | 5.85e-01 | 1.00e+00 | 1ATP1B1 |
23 |
Dowload full table
CHR Positional Gene Sets:
P-value | OR | Lower 95% CI | FDR | FWER | Genes Found | Gene Set Size | |
---|---|---|---|---|---|---|---|
chr2q33 | 1.10e-02 | 6.95 | 1.37 | 1.00e+00 | 1.00e+00 | 3ZDBF2, EEF1B2, NDUFB3 |
195 |
chr8p21 | 3.71e-02 | 6.91 | 0.80 | 1.00e+00 | 1.00e+00 | 2NEFL, NEFM |
128 |
chr9q34 | 1.66e-01 | 2.82 | 0.33 | 1.00e+00 | 1.00e+00 | 2DBH, PTGDS |
311 |
chr11q12 | 1.84e-01 | 2.63 | 0.31 | 1.00e+00 | 1.00e+00 | 2GNG3, P2RX3 |
333 |
chr17p13 | 1.87e-01 | 2.61 | 0.31 | 1.00e+00 | 1.00e+00 | 2YWHAE, VAMP2 |
336 |
chr20q13 | 2.41e-01 | 2.19 | 0.26 | 1.00e+00 | 1.00e+00 | 2GNAS, STMN3 |
400 |
chr6q13 | 1.25e-01 | 7.75 | 0.19 | 1.00e+00 | 1.00e+00 | 1SDHAF4 |
56 |
chr7p12 | 1.29e-01 | 7.48 | 0.18 | 1.00e+00 | 1.00e+00 | 1DDC |
58 |
chr17p12 | 1.40e-01 | 6.88 | 0.17 | 1.00e+00 | 1.00e+00 | 1PIRT |
63 |
chr1q22 | 1.54e-01 | 6.18 | 0.15 | 1.00e+00 | 1.00e+00 | 1FDPS |
70 |
chr4q22 | 1.54e-01 | 6.18 | 0.15 | 1.00e+00 | 1.00e+00 | 1NAP1L5 |
70 |
chr8q13 | 1.56e-01 | 6.09 | 0.15 | 1.00e+00 | 1.00e+00 | 1COPS5 |
71 |
chr2q36 | 1.78e-01 | 5.27 | 0.13 | 1.00e+00 | 1.00e+00 | 1IRS1 |
82 |
chr20p12 | 2.20e-01 | 4.14 | 0.10 | 1.00e+00 | 1.00e+00 | 1CHGB |
104 |
chr17q23 | 2.34e-01 | 3.84 | 0.09 | 1.00e+00 | 1.00e+00 | 1CYB561 |
112 |
chr3q22 | 2.43e-01 | 3.68 | 0.09 | 1.00e+00 | 1.00e+00 | 1RAB6B |
117 |
chr1q24 | 2.54e-01 | 3.50 | 0.09 | 1.00e+00 | 1.00e+00 | 1ATP1B1 |
123 |
chr15q22 | 2.56e-01 | 3.47 | 0.09 | 1.00e+00 | 1.00e+00 | 1TLN2 |
124 |
chr16q24 | 2.66e-01 | 3.31 | 0.08 | 1.00e+00 | 1.00e+00 | 1TUBB3 |
130 |
chr3q25 | 3.04e-01 | 2.82 | 0.07 | 1.00e+00 | 1.00e+00 | 1SHOX2 |
152 |
Dowload full table
Transcription Factor Targets:
P-value | OR | Lower 95% CI | FDR | FWER | Genes Found | Gene Set Size | |
---|---|---|---|---|---|---|---|
HEN1_02 | 1.08e-04 | 11.91 | 3.65 | 3.06e-02 | 1.22e-01 | 5STMN2, PHOX2A, PTGDS, MLLT11, GNG8 |
200 |
CTGCAGY_UNKNOWN | 1.22e-06 | 7.68 | 3.53 | 1.38e-03 | 1.38e-03 | 11STMN2, NEFL, NNAT, PTGDS, SHOX2, IRS1, GNG3, YWHAE, ATP1B1, PPP2R2B, NDUFB3 |
779 |
TGANNYRGCA_TCF11MAFG_01 | 8.05e-05 | 9.47 | 3.27 | 3.06e-02 | 9.12e-02 | 6STMN2, MLLT11, NAP1L5, GNG3, ATP1B1, PPP2R2B |
307 |
CHX10_01 | 1.98e-04 | 10.41 | 3.20 | 4.45e-02 | 2.24e-01 | 5GAP43, SHOX2, BASP1, MAOA, LMO1 |
228 |
CAGNWMCNNNGAC_UNKNOWN | 1.20e-03 | 15.69 | 3.06 | 1.24e-01 | 1.00e+00 | 3NEFM, NHLH2, CHGB |
88 |
CP2_01 | 3.60e-04 | 9.11 | 2.80 | 4.94e-02 | 4.08e-01 | 5GNAS, NNAT, NEFM, VAMP2, PPP2R2B |
260 |
ALPHACP1_01 | 3.79e-04 | 9.00 | 2.77 | 4.94e-02 | 4.29e-01 | 5DDC, FDPS, IRS1, PPP2R2B, NDUFB3 |
263 |
LMO2COM_01 | 3.92e-04 | 8.93 | 2.74 | 4.94e-02 | 4.44e-01 | 5GNAS, STMN2, GNG8, LMO1, ATP1B1 |
265 |
AP2REP_01 | 9.00e-04 | 10.21 | 2.64 | 1.02e-01 | 1.00e+00 | 4NEFL, PTGDS, NHLH2, GNG3 |
182 |
RYTGCNWTGGNR_UNKNOWN | 2.77e-03 | 11.60 | 2.28 | 1.65e-01 | 1.00e+00 | 3NNAT, CALY, PPP1R17 |
118 |
GCANCTGNY_MYOD_Q6 | 2.36e-04 | 4.96 | 2.11 | 4.45e-02 | 2.67e-01 | 9STMN2, NNAT, PPP1R17, SHOX2, NHLH2, MLLT11, GNG8, YWHAE, ATP1B1 |
935 |
CAGCTG_AP4_Q5 | 1.02e-04 | 4.35 | 2.06 | 3.06e-02 | 1.15e-01 | 12GAP43, STMN2, NNAT, DBH, PTGDS, PPP1R17, SHOX2, NHLH2, MLLT11, NAP1L5, GNG3, GNG8 |
1530 |
NKX62_Q2 | 2.68e-03 | 7.51 | 1.95 | 1.65e-01 | 1.00e+00 | 4STMN2, SHOX2, NHLH2, IRS1 |
246 |
E47_01 | 3.05e-03 | 7.24 | 1.88 | 1.65e-01 | 1.00e+00 | 4GNAS, PPP1R17, MLLT11, PPP2R2B |
255 |
AP4_Q6_01 | 3.13e-03 | 7.18 | 1.86 | 1.65e-01 | 1.00e+00 | 4PPP1R17, SHOX2, NHLH2, MLLT11 |
257 |
MYOD_Q6_01 | 3.13e-03 | 7.18 | 1.86 | 1.65e-01 | 1.00e+00 | 4GNAS, MLLT11, ATP1B1, PPP2R2B |
257 |
SP1_Q4_01 | 3.22e-03 | 7.13 | 1.85 | 1.65e-01 | 1.00e+00 | 4PHOX2A, NEFM, COPS5, VAMP2 |
259 |
AR_Q6 | 3.22e-03 | 7.13 | 1.85 | 1.65e-01 | 1.00e+00 | 4GAP43, NNAT, LMO1, PPP2R2B |
259 |
SP1_Q6 | 3.26e-03 | 7.10 | 1.84 | 1.65e-01 | 1.00e+00 | 4PHOX2A, NEFM, COPS5, VAMP2 |
260 |
WGTTNNNNNAAA_UNKNOWN | 1.73e-03 | 5.20 | 1.80 | 1.63e-01 | 1.00e+00 | 6NEFM, SHOX2, BASP1, NAP1L5, MAOA, PPP2R2B |
554 |
Dowload full table
GO Biological Processes:
P-value | OR | Lower 95% CI | FDR | FWER | Genes Found | Gene Set Size | |
---|---|---|---|---|---|---|---|
GOBP_DORSAL_ROOT_GANGLION_DEVELOPMENT | 5.55e-05 | 286.32 | 23.57 | 1.45e-01 | 4.16e-01 | 2TUBB3, RGS4 |
5 |
GOBP_INTERMEDIATE_FILAMENT_BUNDLE_ASSEMBLY | 1.16e-04 | 173.11 | 16.13 | 1.45e-01 | 8.70e-01 | 2NEFL, NEFM |
7 |
GOBP_DOPAMINE_CATABOLIC_PROCESS | 1.55e-04 | 144.44 | 13.92 | 1.45e-01 | 1.00e+00 | 2DBH, MAOA |
8 |
GOBP_CATECHOL_CONTAINING_COMPOUND_CATABOLIC_PROCESS | 2.48e-04 | 108.38 | 10.95 | 1.91e-01 | 1.00e+00 | 2DBH, MAOA |
10 |
GOBP_RESPONSE_TO_PAIN | 3.58e-05 | 55.49 | 10.34 | 1.45e-01 | 2.68e-01 | 3DBH, PIRT, P2RX3 |
27 |
GOBP_BEHAVIORAL_RESPONSE_TO_PAIN | 3.62e-04 | 86.81 | 9.02 | 1.91e-01 | 1.00e+00 | 2PIRT, P2RX3 |
12 |
GOBP_PHENOL_CONTAINING_COMPOUND_CATABOLIC_PROCESS | 4.28e-04 | 78.83 | 8.29 | 1.91e-01 | 1.00e+00 | 2DBH, MAOA |
13 |
GOBP_POSTSYNAPTIC_CYTOSKELETON_ORGANIZATION | 4.28e-04 | 78.83 | 8.29 | 1.91e-01 | 1.00e+00 | 2NEFL, ACTG1 |
13 |
GOBP_DOPAMINE_METABOLIC_PROCESS | 1.01e-04 | 38.06 | 7.24 | 1.45e-01 | 7.57e-01 | 3DDC, DBH, MAOA |
38 |
GOBP_DOPAMINE_RECEPTOR_SIGNALING_PATHWAY | 1.18e-04 | 36.03 | 6.87 | 1.45e-01 | 8.83e-01 | 3GNAS, CALY, RGS4 |
40 |
GOBP_GANGLION_DEVELOPMENT | 6.55e-04 | 62.06 | 6.67 | 2.45e-01 | 1.00e+00 | 2TUBB3, RGS4 |
16 |
GOBP_PEPTIDYL_SERINE_DEPHOSPHORYLATION | 9.28e-04 | 51.08 | 5.58 | 2.89e-01 | 1.00e+00 | 2YWHAE, PPP2R2B |
19 |
GOBP_CATECHOL_CONTAINING_COMPOUND_BIOSYNTHETIC_PROCESS | 1.03e-03 | 48.25 | 5.29 | 3.01e-01 | 1.00e+00 | 2DDC, DBH |
20 |
GOBP_CATECHOL_CONTAINING_COMPOUND_METABOLIC_PROCESS | 2.58e-04 | 27.21 | 5.24 | 1.91e-01 | 1.00e+00 | 3DDC, DBH, MAOA |
52 |
GOBP_RETROGRADE_AXONAL_TRANSPORT | 1.14e-03 | 45.73 | 5.03 | 3.01e-01 | 1.00e+00 | 2NEFL, CALY |
21 |
GOBP_REGULATION_OF_POTASSIUM_ION_TRANSPORT | 9.34e-05 | 18.92 | 4.85 | 1.45e-01 | 6.98e-01 | 4RGS4, YWHAE, VAMP2, ATP1B1 |
100 |
GOBP_NEURAL_NUCLEUS_DEVELOPMENT | 3.94e-04 | 23.40 | 4.53 | 1.91e-01 | 1.00e+00 | 3PHOX2A, BASP1, YWHAE |
60 |
GOBP_INTERMEDIATE_FILAMENT_ORGANIZATION | 1.49e-03 | 39.53 | 4.39 | 3.45e-01 | 1.00e+00 | 2NEFL, NEFM |
24 |
GOBP_REGULATION_OF_POTASSIUM_ION_TRANSMEMBRANE_TRANSPORTER_ACTIVITY | 4.34e-04 | 22.61 | 4.38 | 1.91e-01 | 1.00e+00 | 3YWHAE, VAMP2, ATP1B1 |
62 |
GOBP_MULTICELLULAR_ORGANISMAL_RESPONSE_TO_STRESS | 5.45e-04 | 20.83 | 4.04 | 2.15e-01 | 1.00e+00 | 3DBH, PIRT, P2RX3 |
67 |
Dowload full table
Immunological Gene Sets:
P-value | OR | Lower 95% CI | FDR | FWER | Genes Found | Gene Set Size | |
---|---|---|---|---|---|---|---|
GSE22886_NEUTROPHIL_VS_DC_UP | 1.05e-04 | 11.97 | 3.67 | 2.57e-01 | 5.13e-01 | 5STMN2, PPP1R17, RGS4, BASP1, RAB6B |
199 |
GSE22025_TGFB1_VS_TGFB1_AND_PROGESTERONE_TREATED_CD4_TCELL_DN | 1.05e-04 | 11.97 | 3.67 | 2.57e-01 | 5.13e-01 | 5NEFM, SHOX2, BASP1, ACTG1, ATP1B1 |
199 |
GSE22886_NAIVE_CD8_TCELL_VS_NEUTROPHIL_DN | 1.20e-03 | 9.42 | 2.44 | 5.63e-01 | 1.00e+00 | 4STMN2, RGS4, BASP1, FAM163A |
197 |
GSE29949_MICROGLIA_VS_DC_BRAIN_UP | 1.23e-03 | 9.37 | 2.43 | 5.63e-01 | 1.00e+00 | 4NEFM, SHOX2, BASP1, ATP1B1 |
198 |
GSE29949_CD8_NEG_DC_SPLEEN_VS_MONOCYTE_BONE_MARROW_UP | 1.23e-03 | 9.37 | 2.43 | 5.63e-01 | 1.00e+00 | 4TUBB3, BASP1, MAOA, ATP1B1 |
198 |
GSE17721_CTRL_VS_POLYIC_1H_BMDC_DN | 1.25e-03 | 9.32 | 2.41 | 5.63e-01 | 1.00e+00 | 4GNAS, SHOX2, ACTG1, EEF1B2 |
199 |
GSE21379_WT_VS_SAP_KO_CD4_TCELL_DN | 1.25e-03 | 9.32 | 2.41 | 5.63e-01 | 1.00e+00 | 4DDC, IRS1, ATP1B1, P2RX3 |
199 |
GSE24142_ADULT_VS_FETAL_DN3_THYMOCYTE_DN | 1.27e-03 | 9.27 | 2.40 | 5.63e-01 | 1.00e+00 | 4DDC, CYB561, FDPS, BASP1 |
200 |
GSE21927_SPLEEN_C57BL6_VS_4T1_TUMOR_BALBC_MONOCYTES_UP | 1.27e-03 | 9.27 | 2.40 | 5.63e-01 | 1.00e+00 | 4FDPS, ACTG1, EEF1B2, VAMP2 |
200 |
GSE22589_SIV_VS_HIV_AND_SIV_INFECTED_DC_DN | 1.27e-03 | 9.27 | 2.40 | 5.63e-01 | 1.00e+00 | 4GNAS, DDC, STMN3, CYB561 |
200 |
GSE37301_RAG2_KO_VS_RAG2_AND_ETS1_KO_NK_CELL_DN | 1.27e-03 | 9.27 | 2.40 | 5.63e-01 | 1.00e+00 | 4PPP1R17, EEF1B2, MAOA, NDUFB3 |
200 |
GSE37532_TREG_VS_TCONV_CD4_TCELL_FROM_VISCERAL_ADIPOSE_TISSUE_UP | 4.12e-03 | 10.03 | 1.97 | 7.18e-01 | 1.00e+00 | 3GAP43, NEFL, NEFM |
136 |
GSE3720_UNSTIM_VS_LPS_STIM_VD2_GAMMADELTA_TCELL_UP | 7.25e-03 | 8.13 | 1.60 | 7.18e-01 | 1.00e+00 | 3TMSB10, EEF1B2, COPS5 |
167 |
GSE6269_E_COLI_VS_STREP_PNEUMO_INF_PBMC_UP | 7.37e-03 | 8.08 | 1.59 | 7.18e-01 | 1.00e+00 | 3PPP1R17, MLLT11, MEG3 |
168 |
GSE37533_UNTREATED_VS_PIOGLIZATONE_TREATED_CD4_TCELL_FOXP3_TRASDUCED_CD4_TCELL_UP | 7.61e-03 | 7.99 | 1.57 | 7.18e-01 | 1.00e+00 | 3STMN3, NEFL, MAOA |
170 |
GSE37301_MULTIPOTENT_PROGENITOR_VS_CD4_TCELL_UP | 7.86e-03 | 7.89 | 1.56 | 7.18e-01 | 1.00e+00 | 3ECEL1, EEF1B2, ATP1B1 |
172 |
GSE6269_STAPH_AUREUS_VS_STREP_PNEUMO_INF_PBMC_UP | 8.49e-03 | 7.67 | 1.51 | 7.18e-01 | 1.00e+00 | 3LMO1, ATP1B1, MEG3 |
177 |
GSE26928_EFF_MEM_VS_CENTR_MEM_CD4_TCELL_UP | 1.03e-02 | 7.13 | 1.41 | 7.18e-01 | 1.00e+00 | 3STMN2, NEFM, ATP1B1 |
190 |
GSE25087_TREG_VS_TCONV_FETUS_DN | 1.07e-02 | 7.02 | 1.39 | 7.18e-01 | 1.00e+00 | 3PTGDS, EEF1B2, NDUFB3 |
193 |
GSE43863_NAIVE_VS_TH1_EFF_CD4_TCELL_D6_LCMV_UP | 1.07e-02 | 7.02 | 1.39 | 7.18e-01 | 1.00e+00 | 3TUBB3, ZDBF2, NAP1L5 |
193 |
Top Ranked Transcription Factors for this Gene Expression Program:
Gene Symbol | TF Rank | DNA Binding Domain | Motif Status | IUPAC PWM | GTEx | DepMap | Decartes |
---|---|---|---|---|---|---|---|
PHOX2A | 8 | Yes | Known motif | Monomer or homomultimer | High-throughput in vitro | None | None |
SHOX2 | 17 | Yes | Known motif | Monomer or homomultimer | High-throughput in vitro | None | None |
NHLH2 | 18 | Yes | Known motif | Monomer or homomultimer | High-throughput in vitro | None | None |
MLLT11 | 29 | No | Unlikely to be sequence specific TF | Not a DNA binding protein | No motif | None | None |
KLF7 | 55 | Yes | Known motif | Monomer or homomultimer | 100 perc ID - in vitro | Motif obtained from MEME - not supported by recognition code (RCADE) and may be inaccurate or indirect | None |
TCF7L2 | 58 | Yes | Known motif | Monomer or homomultimer | 100 perc ID - in vitro | None | None |
TFAP2B | 61 | Yes | Known motif | Monomer or homomultimer | High-throughput in vitro | None | None |
ISL1 | 62 | Yes | Known motif | Monomer or homomultimer | High-throughput in vitro | None | None |
NTRK1 | 63 | No | Unlikely to be sequence specific TF | Not a DNA binding protein | No motif | None | Membrane bound receptor protein |
TSN | 65 | No | Unlikely to be sequence specific TF | Low specificity DNA-binding protein | No motif | None | Based on (PMID: 20450889) and (PMID: 12484770), this protein binds repetitive DNA sequences as multimeric complexes that may contain partner protein TSNAX |
ZBTB20 | 95 | Yes | Known motif | Monomer or homomultimer | High-throughput in vitro | None | None |
EID1 | 124 | No | Unlikely to be sequence specific TF | Not a DNA binding protein | No motif | None | None |
PRKCB | 138 | No | Unlikely to be sequence specific TF | Not a DNA binding protein | No motif | None | None |
SUMO1 | 145 | No | Unlikely to be sequence specific TF | Not a DNA binding protein | No motif | None | None |
RPL7 | 151 | No | Unlikely to be sequence specific TF | Low specificity DNA-binding protein | No motif | None | Binds DNA by filter binding (PMID: 8441630), but competition assays suggest it is non-specific. A specific dsRNA structure is thought to be the preferred substrate. RNA-binding has been demonstrated by gel-shift experiments (PMID: 10329420). |
THRA | 155 | Yes | Known motif | Monomer or homomultimer | High-throughput in vitro | None | Likely binds as a heterodimer too |
TCF24 | 159 | Yes | Inferred motif | Monomer or homomultimer | High-throughput in vitro | None | None |
UBB | 180 | No | Unlikely to be sequence specific TF | Not a DNA binding protein | No motif | None | None |
RPS27A | 185 | No | ssDNA/RNA binding | Not a DNA binding protein | No motif | None | None |
CREB5 | 199 | Yes | Known motif | Monomer or homomultimer | High-throughput in vitro | None | None |
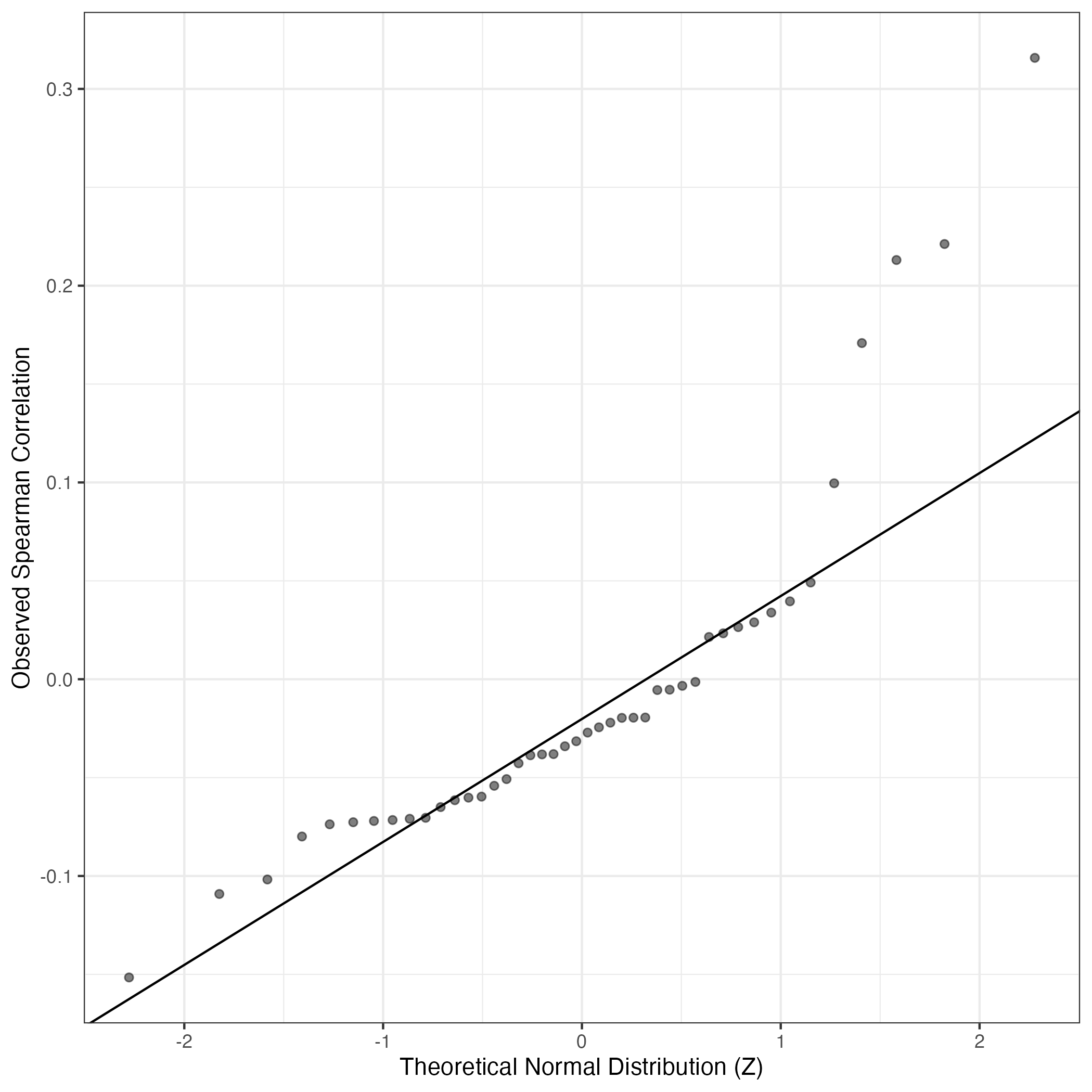
QQ Plot showing correlations with other Gene Expression Programs in this dataset, calculated by Spearman correlation:
Interactive QQ-plot of gene loadings:
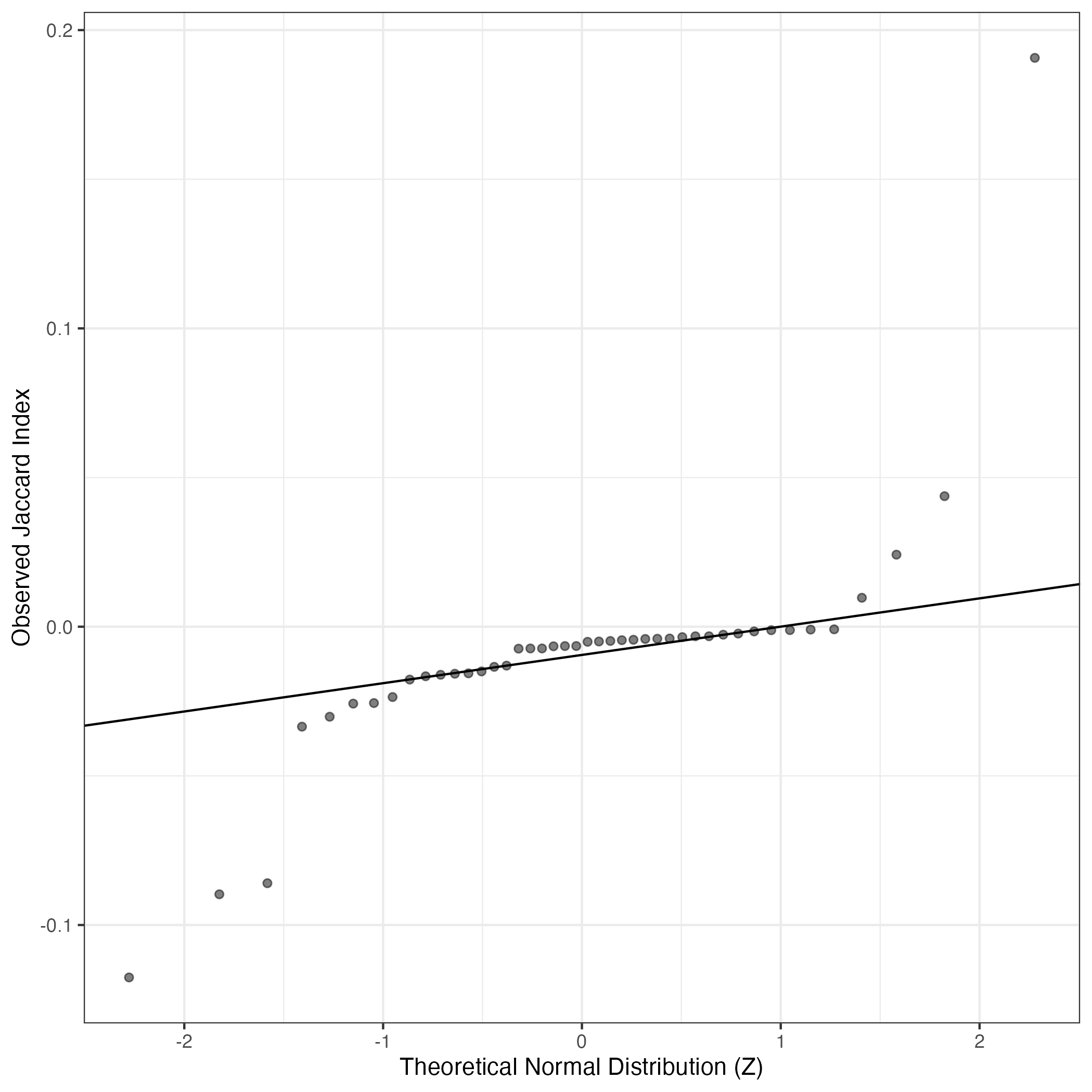
A similar QQ-plot as above, but only for instances where the H value is e.g. > 25, i.e. we are confident that the expression program is active above noise. Agreemenet between these binary vectors is tested using the Jaccard Index, with the P-values calculated by an exact test:
Interactive QQ-plot:
Singler cell type annotations for the top 50 cells on this program.
Cell ID | Singler label | Singler Delta | Activity Score | Top Singler Raw Scores |
---|---|---|---|---|
883_TGCATGATCAAGCCAT-1 | Neurons:adrenal_medulla_cell_line | 0.25 | 291.70 | Raw ScoresNeurons:adrenal_medulla_cell_line: 0.58, Neuroepithelial_cell:ESC-derived: 0.53, iPS_cells:PDB_1lox-21Puro-20: 0.52, iPS_cells:PDB_1lox-21Puro-26: 0.51, iPS_cells:PDB_1lox-17Puro-10: 0.51, iPS_cells:PDB_2lox-22: 0.51, iPS_cells:PDB_1lox-17Puro-5: 0.51, iPS_cells:PDB_2lox-17: 0.5, iPS_cells:PDB_2lox-21: 0.5, Astrocyte:Embryonic_stem_cell-derived: 0.5 |
883_TTTCAGTCACAGAGCA-1 | Neurons:adrenal_medulla_cell_line | 0.23 | 282.24 | Raw ScoresNeurons:adrenal_medulla_cell_line: 0.54, Neuroepithelial_cell:ESC-derived: 0.48, Astrocyte:Embryonic_stem_cell-derived: 0.47, iPS_cells:PDB_1lox-21Puro-20: 0.45, iPS_cells:PDB_1lox-21Puro-26: 0.45, iPS_cells:PDB_2lox-22: 0.44, iPS_cells:PDB_1lox-17Puro-10: 0.44, iPS_cells:PDB_1lox-17Puro-5: 0.44, iPS_cells:PDB_2lox-17: 0.44, iPS_cells:PDB_2lox-21: 0.44 |
883_GGGACCTCAAGGTTGG-1 | Neurons:adrenal_medulla_cell_line | 0.27 | 277.19 | Raw ScoresNeurons:adrenal_medulla_cell_line: 0.57, Neuroepithelial_cell:ESC-derived: 0.51, iPS_cells:PDB_1lox-21Puro-20: 0.5, iPS_cells:PDB_1lox-21Puro-26: 0.49, iPS_cells:PDB_1lox-17Puro-10: 0.49, iPS_cells:PDB_1lox-17Puro-5: 0.49, iPS_cells:PDB_2lox-22: 0.48, iPS_cells:PDB_2lox-17: 0.48, iPS_cells:PDB_2lox-21: 0.48, Astrocyte:Embryonic_stem_cell-derived: 0.48 |
883_CTTCTAATCTACGCAA-1 | Neurons:adrenal_medulla_cell_line | 0.22 | 275.50 | Raw ScoresNeurons:adrenal_medulla_cell_line: 0.51, Neuroepithelial_cell:ESC-derived: 0.43, Astrocyte:Embryonic_stem_cell-derived: 0.43, iPS_cells:PDB_1lox-21Puro-20: 0.41, iPS_cells:PDB_1lox-21Puro-26: 0.41, iPS_cells:PDB_1lox-17Puro-10: 0.4, iPS_cells:PDB_2lox-22: 0.4, iPS_cells:PDB_1lox-17Puro-5: 0.4, iPS_cells:PDB_2lox-17: 0.4, iPS_cells:PDB_2lox-21: 0.39 |
883_TTCACGCTCCTGTACC-1 | Neurons:adrenal_medulla_cell_line | 0.27 | 268.00 | Raw ScoresNeurons:adrenal_medulla_cell_line: 0.59, Neuroepithelial_cell:ESC-derived: 0.53, iPS_cells:PDB_1lox-21Puro-20: 0.52, iPS_cells:PDB_2lox-22: 0.51, iPS_cells:PDB_1lox-21Puro-26: 0.51, iPS_cells:PDB_1lox-17Puro-10: 0.51, Astrocyte:Embryonic_stem_cell-derived: 0.5, iPS_cells:PDB_2lox-17: 0.5, iPS_cells:PDB_2lox-21: 0.5, iPS_cells:PDB_1lox-17Puro-5: 0.5 |
883_AAGCGTTCAGTAACAA-1 | Neurons:adrenal_medulla_cell_line | 0.23 | 264.76 | Raw ScoresNeurons:adrenal_medulla_cell_line: 0.52, Neuroepithelial_cell:ESC-derived: 0.47, iPS_cells:PDB_1lox-21Puro-20: 0.45, iPS_cells:PDB_1lox-21Puro-26: 0.45, iPS_cells:PDB_1lox-17Puro-10: 0.45, iPS_cells:PDB_1lox-17Puro-5: 0.44, iPS_cells:PDB_2lox-22: 0.44, Astrocyte:Embryonic_stem_cell-derived: 0.44, iPS_cells:PDB_2lox-17: 0.44, iPS_cells:PDB_2lox-21: 0.44 |
883_TCGCTTGTCGCCGAAC-1 | Neurons:adrenal_medulla_cell_line | 0.25 | 264.27 | Raw ScoresNeurons:adrenal_medulla_cell_line: 0.57, Neuroepithelial_cell:ESC-derived: 0.51, iPS_cells:PDB_1lox-21Puro-20: 0.5, iPS_cells:PDB_2lox-22: 0.49, iPS_cells:PDB_1lox-21Puro-26: 0.49, Astrocyte:Embryonic_stem_cell-derived: 0.49, iPS_cells:PDB_2lox-17: 0.49, iPS_cells:PDB_1lox-17Puro-10: 0.49, iPS_cells:PDB_2lox-21: 0.49, iPS_cells:PDB_1lox-17Puro-5: 0.48 |
883_TCATATCTCTAAGAAG-1 | Neurons:adrenal_medulla_cell_line | 0.25 | 258.00 | Raw ScoresNeurons:adrenal_medulla_cell_line: 0.56, Neuroepithelial_cell:ESC-derived: 0.5, iPS_cells:PDB_1lox-21Puro-20: 0.49, iPS_cells:PDB_1lox-21Puro-26: 0.49, iPS_cells:PDB_2lox-22: 0.48, iPS_cells:PDB_1lox-17Puro-10: 0.48, iPS_cells:PDB_1lox-17Puro-5: 0.48, Astrocyte:Embryonic_stem_cell-derived: 0.48, iPS_cells:PDB_2lox-17: 0.48, iPS_cells:PDB_2lox-21: 0.48 |
883_AGCGTATGTGGACCAA-1 | Neurons:adrenal_medulla_cell_line | 0.20 | 254.51 | Raw ScoresNeurons:adrenal_medulla_cell_line: 0.49, Neuroepithelial_cell:ESC-derived: 0.42, Astrocyte:Embryonic_stem_cell-derived: 0.42, iPS_cells:PDB_1lox-21Puro-20: 0.39, iPS_cells:PDB_1lox-21Puro-26: 0.39, iPS_cells:PDB_1lox-17Puro-10: 0.39, iPS_cells:PDB_1lox-17Puro-5: 0.38, iPS_cells:PDB_2lox-22: 0.38, iPS_cells:adipose_stem_cell-derived:minicircle-derived: 0.38, iPS_cells:PDB_2lox-17: 0.38 |
883_TTGCCTGTCGCCAACG-1 | Neurons:adrenal_medulla_cell_line | 0.22 | 254.12 | Raw ScoresNeurons:adrenal_medulla_cell_line: 0.51, Neuroepithelial_cell:ESC-derived: 0.44, Astrocyte:Embryonic_stem_cell-derived: 0.43, iPS_cells:PDB_1lox-21Puro-20: 0.42, iPS_cells:PDB_1lox-21Puro-26: 0.42, iPS_cells:PDB_1lox-17Puro-10: 0.41, iPS_cells:PDB_1lox-17Puro-5: 0.41, iPS_cells:PDB_2lox-22: 0.41, iPS_cells:PDB_2lox-21: 0.41, iPS_cells:PDB_2lox-17: 0.4 |
883_TCACGCTGTACTCCGG-1 | Neurons:adrenal_medulla_cell_line | 0.20 | 252.04 | Raw ScoresNeurons:adrenal_medulla_cell_line: 0.5, Neuroepithelial_cell:ESC-derived: 0.43, Astrocyte:Embryonic_stem_cell-derived: 0.42, iPS_cells:PDB_1lox-21Puro-20: 0.41, iPS_cells:PDB_1lox-17Puro-10: 0.4, iPS_cells:PDB_1lox-21Puro-26: 0.4, iPS_cells:PDB_1lox-17Puro-5: 0.4, iPS_cells:PDB_2lox-22: 0.4, iPS_cells:PDB_2lox-17: 0.39, iPS_cells:PDB_2lox-21: 0.39 |
837_CCGAACGCACCACTGG-1 | Neurons:adrenal_medulla_cell_line | 0.28 | 243.31 | Raw ScoresNeurons:adrenal_medulla_cell_line: 0.61, Neuroepithelial_cell:ESC-derived: 0.54, iPS_cells:PDB_1lox-21Puro-20: 0.53, iPS_cells:PDB_1lox-21Puro-26: 0.52, iPS_cells:PDB_1lox-17Puro-10: 0.52, iPS_cells:PDB_1lox-17Puro-5: 0.52, iPS_cells:PDB_2lox-22: 0.51, iPS_cells:PDB_2lox-21: 0.51, iPS_cells:PDB_2lox-17: 0.51, Astrocyte:Embryonic_stem_cell-derived: 0.51 |
883_TCACACCTCCATCTCG-1 | Neurons:adrenal_medulla_cell_line | 0.21 | 238.92 | Raw ScoresNeurons:adrenal_medulla_cell_line: 0.52, Neuroepithelial_cell:ESC-derived: 0.44, Astrocyte:Embryonic_stem_cell-derived: 0.43, iPS_cells:PDB_1lox-21Puro-20: 0.43, iPS_cells:PDB_1lox-21Puro-26: 0.42, iPS_cells:PDB_1lox-17Puro-10: 0.42, iPS_cells:PDB_1lox-17Puro-5: 0.42, iPS_cells:PDB_2lox-22: 0.42, iPS_cells:PDB_2lox-17: 0.41, iPS_cells:PDB_2lox-21: 0.41 |
883_GCTCAAAGTAGTCGGA-1 | Neurons:adrenal_medulla_cell_line | 0.19 | 235.73 | Raw ScoresNeurons:adrenal_medulla_cell_line: 0.49, Neuroepithelial_cell:ESC-derived: 0.42, Astrocyte:Embryonic_stem_cell-derived: 0.41, iPS_cells:PDB_1lox-21Puro-20: 0.4, iPS_cells:PDB_2lox-22: 0.4, iPS_cells:PDB_1lox-21Puro-26: 0.4, iPS_cells:PDB_1lox-17Puro-10: 0.4, iPS_cells:PDB_1lox-17Puro-5: 0.4, iPS_cells:PDB_2lox-17: 0.39, iPS_cells:adipose_stem_cell-derived:minicircle-derived: 0.39 |
883_GGTTCTCCACTGGCGT-1 | Neurons:adrenal_medulla_cell_line | 0.25 | 234.79 | Raw ScoresNeurons:adrenal_medulla_cell_line: 0.55, Neuroepithelial_cell:ESC-derived: 0.5, iPS_cells:PDB_1lox-21Puro-20: 0.48, iPS_cells:PDB_1lox-21Puro-26: 0.48, iPS_cells:PDB_2lox-22: 0.48, iPS_cells:PDB_1lox-17Puro-10: 0.47, iPS_cells:PDB_2lox-17: 0.47, iPS_cells:PDB_1lox-17Puro-5: 0.47, iPS_cells:PDB_2lox-21: 0.47, Astrocyte:Embryonic_stem_cell-derived: 0.47 |
847_GTGCTTCTCCGCGGAT-1 | Neurons:adrenal_medulla_cell_line | 0.22 | 234.50 | Raw ScoresNeurons:adrenal_medulla_cell_line: 0.51, Astrocyte:Embryonic_stem_cell-derived: 0.45, Neuroepithelial_cell:ESC-derived: 0.45, iPS_cells:PDB_1lox-21Puro-20: 0.41, iPS_cells:PDB_1lox-21Puro-26: 0.41, iPS_cells:PDB_1lox-17Puro-10: 0.41, iPS_cells:PDB_1lox-17Puro-5: 0.41, iPS_cells:PDB_2lox-22: 0.41, iPS_cells:PDB_2lox-17: 0.4, iPS_cells:PDB_2lox-5: 0.4 |
883_TGACCCTAGGAACTAT-1 | Neurons:adrenal_medulla_cell_line | 0.24 | 230.76 | Raw ScoresNeurons:adrenal_medulla_cell_line: 0.57, Neuroepithelial_cell:ESC-derived: 0.51, iPS_cells:PDB_1lox-21Puro-20: 0.5, iPS_cells:PDB_1lox-21Puro-26: 0.49, iPS_cells:PDB_2lox-22: 0.49, iPS_cells:PDB_1lox-17Puro-10: 0.49, Astrocyte:Embryonic_stem_cell-derived: 0.49, iPS_cells:PDB_2lox-17: 0.48, iPS_cells:PDB_1lox-17Puro-5: 0.48, iPS_cells:PDB_2lox-21: 0.48 |
883_CTTCCGATCTATCACT-1 | Neurons:adrenal_medulla_cell_line | 0.26 | 228.13 | Raw ScoresNeurons:adrenal_medulla_cell_line: 0.59, Neuroepithelial_cell:ESC-derived: 0.53, iPS_cells:PDB_1lox-21Puro-20: 0.51, iPS_cells:PDB_1lox-21Puro-26: 0.51, iPS_cells:PDB_1lox-17Puro-10: 0.5, iPS_cells:PDB_2lox-22: 0.5, iPS_cells:PDB_1lox-17Puro-5: 0.5, iPS_cells:PDB_2lox-17: 0.5, Astrocyte:Embryonic_stem_cell-derived: 0.49, iPS_cells:PDB_2lox-21: 0.49 |
883_TCCACCATCCGTGGCA-1 | Neurons:adrenal_medulla_cell_line | 0.20 | 224.90 | Raw ScoresNeurons:adrenal_medulla_cell_line: 0.45, Astrocyte:Embryonic_stem_cell-derived: 0.4, Neuroepithelial_cell:ESC-derived: 0.39, iPS_cells:PDB_1lox-21Puro-20: 0.37, iPS_cells:PDB_1lox-17Puro-10: 0.36, iPS_cells:PDB_1lox-21Puro-26: 0.36, iPS_cells:PDB_1lox-17Puro-5: 0.36, iPS_cells:PDB_2lox-22: 0.36, iPS_cells:PDB_2lox-21: 0.35, iPS_cells:PDB_2lox-17: 0.35 |
883_CAAGACTCACTGCATA-1 | Neurons:adrenal_medulla_cell_line | 0.26 | 223.92 | Raw ScoresNeurons:adrenal_medulla_cell_line: 0.56, Neuroepithelial_cell:ESC-derived: 0.51, iPS_cells:PDB_1lox-21Puro-20: 0.49, iPS_cells:PDB_1lox-21Puro-26: 0.49, iPS_cells:PDB_1lox-17Puro-10: 0.48, iPS_cells:PDB_1lox-17Puro-5: 0.48, Astrocyte:Embryonic_stem_cell-derived: 0.48, iPS_cells:PDB_2lox-22: 0.47, iPS_cells:PDB_2lox-17: 0.47, Embryonic_stem_cells: 0.47 |
883_GGAATGGGTGAGTGAC-1 | Neurons:adrenal_medulla_cell_line | 0.21 | 222.31 | Raw ScoresNeurons:adrenal_medulla_cell_line: 0.51, Neuroepithelial_cell:ESC-derived: 0.45, Astrocyte:Embryonic_stem_cell-derived: 0.44, iPS_cells:PDB_1lox-21Puro-20: 0.43, iPS_cells:PDB_2lox-22: 0.42, iPS_cells:PDB_1lox-17Puro-10: 0.42, iPS_cells:PDB_1lox-21Puro-26: 0.42, iPS_cells:PDB_1lox-17Puro-5: 0.42, iPS_cells:PDB_2lox-17: 0.42, iPS_cells:PDB_2lox-21: 0.42 |
883_GGAATGGGTAGACAAT-1 | Neurons:adrenal_medulla_cell_line | 0.19 | 218.89 | Raw ScoresNeurons:adrenal_medulla_cell_line: 0.49, Neuroepithelial_cell:ESC-derived: 0.43, Astrocyte:Embryonic_stem_cell-derived: 0.41, iPS_cells:PDB_1lox-21Puro-20: 0.4, iPS_cells:PDB_1lox-21Puro-26: 0.4, iPS_cells:PDB_2lox-22: 0.4, iPS_cells:adipose_stem_cell-derived:minicircle-derived: 0.39, iPS_cells:PDB_1lox-17Puro-10: 0.39, iPS_cells:PDB_2lox-21: 0.39, iPS_cells:PDB_2lox-17: 0.39 |
883_AGATAGAAGCATCTTG-1 | Neurons:adrenal_medulla_cell_line | 0.26 | 218.42 | Raw ScoresNeurons:adrenal_medulla_cell_line: 0.58, Neuroepithelial_cell:ESC-derived: 0.52, iPS_cells:PDB_1lox-21Puro-20: 0.51, iPS_cells:PDB_1lox-21Puro-26: 0.5, iPS_cells:PDB_1lox-17Puro-10: 0.5, iPS_cells:PDB_2lox-22: 0.5, iPS_cells:PDB_1lox-17Puro-5: 0.5, iPS_cells:PDB_2lox-17: 0.49, iPS_cells:PDB_2lox-21: 0.49, Embryonic_stem_cells: 0.49 |
883_AACCCAACACTGAATC-1 | Neurons:adrenal_medulla_cell_line | 0.22 | 217.90 | Raw ScoresNeurons:adrenal_medulla_cell_line: 0.48, Neuroepithelial_cell:ESC-derived: 0.42, Astrocyte:Embryonic_stem_cell-derived: 0.41, iPS_cells:PDB_1lox-21Puro-20: 0.39, iPS_cells:PDB_1lox-21Puro-26: 0.39, iPS_cells:PDB_2lox-22: 0.39, iPS_cells:PDB_1lox-17Puro-10: 0.39, iPS_cells:PDB_1lox-17Puro-5: 0.38, iPS_cells:PDB_2lox-17: 0.38, iPS_cells:PDB_2lox-5: 0.38 |
883_CCTCCTCGTCGCACGT-1 | Neurons:adrenal_medulla_cell_line | 0.23 | 217.45 | Raw ScoresNeurons:adrenal_medulla_cell_line: 0.53, Neuroepithelial_cell:ESC-derived: 0.48, iPS_cells:PDB_1lox-21Puro-20: 0.46, Astrocyte:Embryonic_stem_cell-derived: 0.46, iPS_cells:PDB_1lox-21Puro-26: 0.45, iPS_cells:PDB_2lox-22: 0.45, iPS_cells:PDB_1lox-17Puro-10: 0.45, iPS_cells:PDB_2lox-17: 0.45, iPS_cells:PDB_1lox-17Puro-5: 0.45, iPS_cells:PDB_2lox-21: 0.45 |
883_GGATGTTGTGCCCAGT-1 | Neurons:adrenal_medulla_cell_line | 0.25 | 213.17 | Raw ScoresNeurons:adrenal_medulla_cell_line: 0.55, Neuroepithelial_cell:ESC-derived: 0.5, iPS_cells:PDB_1lox-21Puro-20: 0.48, iPS_cells:PDB_1lox-21Puro-26: 0.48, iPS_cells:PDB_2lox-22: 0.47, iPS_cells:PDB_1lox-17Puro-10: 0.47, iPS_cells:PDB_1lox-17Puro-5: 0.47, iPS_cells:PDB_2lox-17: 0.47, iPS_cells:PDB_2lox-21: 0.47, iPS_cells:adipose_stem_cell-derived:minicircle-derived: 0.47 |
837_GTAATCGTCAGCTAGT-1 | Neurons:adrenal_medulla_cell_line | 0.22 | 212.96 | Raw ScoresNeurons:adrenal_medulla_cell_line: 0.51, Neuroepithelial_cell:ESC-derived: 0.44, Astrocyte:Embryonic_stem_cell-derived: 0.43, iPS_cells:PDB_1lox-21Puro-20: 0.41, iPS_cells:PDB_1lox-17Puro-10: 0.41, iPS_cells:PDB_1lox-21Puro-26: 0.41, iPS_cells:PDB_2lox-22: 0.4, iPS_cells:PDB_1lox-17Puro-5: 0.4, iPS_cells:PDB_2lox-17: 0.4, iPS_cells:PDB_2lox-21: 0.4 |
883_ATAGGCTGTAAGGAGA-1 | Neurons:adrenal_medulla_cell_line | 0.24 | 209.09 | Raw ScoresNeurons:adrenal_medulla_cell_line: 0.55, Neuroepithelial_cell:ESC-derived: 0.5, iPS_cells:PDB_1lox-21Puro-20: 0.48, iPS_cells:PDB_1lox-21Puro-26: 0.47, iPS_cells:PDB_1lox-17Puro-10: 0.47, iPS_cells:PDB_1lox-17Puro-5: 0.47, iPS_cells:PDB_2lox-22: 0.47, Astrocyte:Embryonic_stem_cell-derived: 0.47, iPS_cells:PDB_2lox-17: 0.46, iPS_cells:PDB_2lox-21: 0.46 |
883_ATGCATGCATTCCTAT-1 | Neurons:adrenal_medulla_cell_line | 0.20 | 208.26 | Raw ScoresNeurons:adrenal_medulla_cell_line: 0.48, Neuroepithelial_cell:ESC-derived: 0.42, Astrocyte:Embryonic_stem_cell-derived: 0.42, iPS_cells:PDB_1lox-21Puro-20: 0.39, iPS_cells:PDB_1lox-21Puro-26: 0.39, iPS_cells:PDB_1lox-17Puro-10: 0.38, iPS_cells:PDB_2lox-22: 0.38, iPS_cells:PDB_1lox-17Puro-5: 0.38, Neurons:ES_cell-derived_neural_precursor: 0.38, iPS_cells:PDB_2lox-21: 0.38 |
883_ACTTTGTCACACCTTC-1 | Neurons:adrenal_medulla_cell_line | 0.20 | 207.95 | Raw ScoresNeurons:adrenal_medulla_cell_line: 0.48, Neuroepithelial_cell:ESC-derived: 0.41, Astrocyte:Embryonic_stem_cell-derived: 0.4, iPS_cells:PDB_1lox-21Puro-20: 0.38, iPS_cells:PDB_1lox-21Puro-26: 0.38, iPS_cells:PDB_1lox-17Puro-10: 0.38, iPS_cells:PDB_1lox-17Puro-5: 0.38, iPS_cells:PDB_2lox-22: 0.37, iPS_cells:adipose_stem_cell-derived:minicircle-derived: 0.37, iPS_cells:PDB_2lox-17: 0.37 |
837_GTACAACGTTGTTTGG-1 | Neurons:adrenal_medulla_cell_line | 0.22 | 207.19 | Raw ScoresNeurons:adrenal_medulla_cell_line: 0.5, Neuroepithelial_cell:ESC-derived: 0.43, Astrocyte:Embryonic_stem_cell-derived: 0.42, iPS_cells:PDB_1lox-21Puro-20: 0.4, iPS_cells:PDB_1lox-21Puro-26: 0.4, iPS_cells:PDB_1lox-17Puro-10: 0.4, iPS_cells:PDB_1lox-17Puro-5: 0.4, iPS_cells:PDB_2lox-22: 0.39, iPS_cells:PDB_2lox-17: 0.39, Embryonic_stem_cells: 0.39 |
883_TCAGGTAAGGATTACA-1 | Neurons:adrenal_medulla_cell_line | 0.23 | 206.78 | Raw ScoresNeurons:adrenal_medulla_cell_line: 0.55, Neuroepithelial_cell:ESC-derived: 0.5, iPS_cells:PDB_1lox-21Puro-20: 0.48, iPS_cells:PDB_2lox-22: 0.48, iPS_cells:PDB_1lox-21Puro-26: 0.48, iPS_cells:PDB_1lox-17Puro-10: 0.48, iPS_cells:PDB_2lox-17: 0.47, iPS_cells:PDB_2lox-21: 0.47, iPS_cells:PDB_1lox-17Puro-5: 0.47, Astrocyte:Embryonic_stem_cell-derived: 0.47 |
837_GGGAGTATCAGATGCT-1 | Neurons:adrenal_medulla_cell_line | 0.20 | 206.21 | Raw ScoresNeurons:adrenal_medulla_cell_line: 0.47, Neuroepithelial_cell:ESC-derived: 0.41, Astrocyte:Embryonic_stem_cell-derived: 0.4, iPS_cells:PDB_1lox-21Puro-20: 0.39, iPS_cells:PDB_1lox-17Puro-10: 0.39, iPS_cells:PDB_1lox-21Puro-26: 0.39, iPS_cells:PDB_1lox-17Puro-5: 0.38, iPS_cells:PDB_2lox-22: 0.38, iPS_cells:PDB_2lox-17: 0.38, iPS_cells:PDB_2lox-21: 0.38 |
837_AACGTCAGTAGGCTCC-1 | Neurons:adrenal_medulla_cell_line | 0.19 | 205.85 | Raw ScoresNeurons:adrenal_medulla_cell_line: 0.47, Neuroepithelial_cell:ESC-derived: 0.4, Astrocyte:Embryonic_stem_cell-derived: 0.39, iPS_cells:PDB_1lox-21Puro-20: 0.37, iPS_cells:PDB_1lox-17Puro-10: 0.37, iPS_cells:PDB_1lox-21Puro-26: 0.37, iPS_cells:PDB_1lox-17Puro-5: 0.37, iPS_cells:PDB_2lox-22: 0.37, iPS_cells:PDB_2lox-21: 0.36, iPS_cells:PDB_2lox-17: 0.36 |
837_CTCATGCTCTGTGCTC-1 | Neurons:adrenal_medulla_cell_line | 0.25 | 204.05 | Raw ScoresNeurons:adrenal_medulla_cell_line: 0.54, Neuroepithelial_cell:ESC-derived: 0.49, iPS_cells:PDB_1lox-21Puro-20: 0.47, iPS_cells:PDB_1lox-21Puro-26: 0.47, iPS_cells:PDB_2lox-22: 0.47, iPS_cells:PDB_1lox-17Puro-10: 0.47, iPS_cells:PDB_1lox-17Puro-5: 0.47, Astrocyte:Embryonic_stem_cell-derived: 0.46, iPS_cells:PDB_2lox-17: 0.46, iPS_cells:PDB_2lox-21: 0.46 |
883_CACAGGCTCTCTGGTC-1 | Neurons:adrenal_medulla_cell_line | 0.20 | 201.41 | Raw ScoresNeurons:adrenal_medulla_cell_line: 0.47, Neuroepithelial_cell:ESC-derived: 0.41, Astrocyte:Embryonic_stem_cell-derived: 0.41, iPS_cells:PDB_1lox-21Puro-20: 0.39, iPS_cells:PDB_1lox-21Puro-26: 0.38, iPS_cells:PDB_1lox-17Puro-10: 0.38, iPS_cells:PDB_2lox-22: 0.38, iPS_cells:PDB_1lox-17Puro-5: 0.38, iPS_cells:PDB_2lox-21: 0.38, iPS_cells:PDB_2lox-17: 0.38 |
883_TCCGAAACACAACGTT-1 | Neurons:adrenal_medulla_cell_line | 0.20 | 200.69 | Raw ScoresNeurons:adrenal_medulla_cell_line: 0.46, Neuroepithelial_cell:ESC-derived: 0.4, Astrocyte:Embryonic_stem_cell-derived: 0.39, iPS_cells:PDB_1lox-21Puro-20: 0.37, iPS_cells:PDB_1lox-21Puro-26: 0.37, iPS_cells:PDB_1lox-17Puro-10: 0.37, iPS_cells:PDB_1lox-17Puro-5: 0.37, iPS_cells:PDB_2lox-22: 0.36, iPS_cells:PDB_2lox-17: 0.36, iPS_cells:PDB_2lox-21: 0.36 |
883_TCAGGTACATACACCA-1 | Neurons:adrenal_medulla_cell_line | 0.23 | 199.60 | Raw ScoresNeurons:adrenal_medulla_cell_line: 0.54, Neuroepithelial_cell:ESC-derived: 0.48, iPS_cells:PDB_1lox-21Puro-20: 0.47, iPS_cells:PDB_1lox-21Puro-26: 0.47, iPS_cells:PDB_2lox-22: 0.47, iPS_cells:PDB_1lox-17Puro-10: 0.46, iPS_cells:PDB_2lox-17: 0.46, iPS_cells:PDB_2lox-21: 0.46, iPS_cells:PDB_1lox-17Puro-5: 0.46, Astrocyte:Embryonic_stem_cell-derived: 0.46 |
883_TCATCATGTGCCTTTC-1 | Neurons:adrenal_medulla_cell_line | 0.24 | 197.34 | Raw ScoresNeurons:adrenal_medulla_cell_line: 0.55, Neuroepithelial_cell:ESC-derived: 0.5, iPS_cells:PDB_1lox-21Puro-20: 0.48, iPS_cells:PDB_1lox-21Puro-26: 0.47, Astrocyte:Embryonic_stem_cell-derived: 0.47, iPS_cells:PDB_1lox-17Puro-10: 0.47, iPS_cells:PDB_2lox-22: 0.47, iPS_cells:PDB_1lox-17Puro-5: 0.47, iPS_cells:PDB_2lox-17: 0.46, iPS_cells:PDB_2lox-21: 0.46 |
883_CTGAGGCAGGTGGTTG-1 | Neurons:adrenal_medulla_cell_line | 0.25 | 197.07 | Raw ScoresNeurons:adrenal_medulla_cell_line: 0.57, Neuroepithelial_cell:ESC-derived: 0.51, iPS_cells:PDB_1lox-21Puro-20: 0.5, iPS_cells:PDB_1lox-21Puro-26: 0.49, iPS_cells:PDB_1lox-17Puro-10: 0.49, iPS_cells:PDB_2lox-22: 0.49, iPS_cells:PDB_2lox-17: 0.49, iPS_cells:PDB_1lox-17Puro-5: 0.49, iPS_cells:PDB_2lox-21: 0.48, Embryonic_stem_cells: 0.48 |
883_GCCCAGACATCGGTTA-1 | Neurons:adrenal_medulla_cell_line | 0.21 | 196.59 | Raw ScoresNeurons:adrenal_medulla_cell_line: 0.51, Neuroepithelial_cell:ESC-derived: 0.43, Astrocyte:Embryonic_stem_cell-derived: 0.42, iPS_cells:PDB_1lox-21Puro-20: 0.41, iPS_cells:PDB_1lox-21Puro-26: 0.4, iPS_cells:PDB_1lox-17Puro-10: 0.4, iPS_cells:PDB_2lox-22: 0.4, iPS_cells:PDB_1lox-17Puro-5: 0.4, iPS_cells:PDB_2lox-17: 0.4, iPS_cells:PDB_2lox-21: 0.4 |
883_CCCAACTGTGTTACTG-1 | Neurons:adrenal_medulla_cell_line | 0.22 | 196.31 | Raw ScoresNeurons:adrenal_medulla_cell_line: 0.54, Neuroepithelial_cell:ESC-derived: 0.49, iPS_cells:PDB_1lox-21Puro-20: 0.48, iPS_cells:PDB_2lox-22: 0.47, iPS_cells:PDB_1lox-21Puro-26: 0.47, iPS_cells:PDB_1lox-17Puro-10: 0.47, iPS_cells:PDB_2lox-17: 0.47, iPS_cells:PDB_2lox-21: 0.47, iPS_cells:PDB_1lox-17Puro-5: 0.47, iPS_cells:adipose_stem_cell-derived:minicircle-derived: 0.46 |
837_TTCCTTCAGACTCTTG-1 | Neurons:adrenal_medulla_cell_line | 0.22 | 195.99 | Raw ScoresNeurons:adrenal_medulla_cell_line: 0.5, Neuroepithelial_cell:ESC-derived: 0.44, Astrocyte:Embryonic_stem_cell-derived: 0.42, iPS_cells:PDB_1lox-21Puro-20: 0.42, iPS_cells:PDB_1lox-21Puro-26: 0.42, iPS_cells:PDB_1lox-17Puro-10: 0.41, iPS_cells:PDB_1lox-17Puro-5: 0.41, iPS_cells:PDB_2lox-22: 0.41, Embryonic_stem_cells: 0.4, iPS_cells:PDB_2lox-21: 0.4 |
883_CTAGACAGTGTTAGCT-1 | Neurons:adrenal_medulla_cell_line | 0.21 | 195.29 | Raw ScoresNeurons:adrenal_medulla_cell_line: 0.47, Neuroepithelial_cell:ESC-derived: 0.41, Astrocyte:Embryonic_stem_cell-derived: 0.4, iPS_cells:PDB_1lox-21Puro-20: 0.38, iPS_cells:PDB_1lox-17Puro-10: 0.38, iPS_cells:PDB_1lox-21Puro-26: 0.38, iPS_cells:PDB_1lox-17Puro-5: 0.38, iPS_cells:PDB_2lox-22: 0.37, Embryonic_stem_cells: 0.37, iPS_cells:PDB_2lox-17: 0.37 |
883_TGATGGTAGAAGGATG-1 | Neurons:adrenal_medulla_cell_line | 0.26 | 195.11 | Raw ScoresNeurons:adrenal_medulla_cell_line: 0.55, Neuroepithelial_cell:ESC-derived: 0.49, Astrocyte:Embryonic_stem_cell-derived: 0.46, iPS_cells:PDB_1lox-21Puro-20: 0.46, iPS_cells:PDB_1lox-21Puro-26: 0.46, iPS_cells:PDB_1lox-17Puro-10: 0.46, iPS_cells:PDB_2lox-22: 0.45, iPS_cells:PDB_1lox-17Puro-5: 0.45, iPS_cells:PDB_2lox-21: 0.45, iPS_cells:PDB_2lox-17: 0.45 |
883_GTAACCAGTTTGCAGT-1 | Neurons:adrenal_medulla_cell_line | 0.23 | 193.55 | Raw ScoresNeurons:adrenal_medulla_cell_line: 0.53, Neuroepithelial_cell:ESC-derived: 0.48, Astrocyte:Embryonic_stem_cell-derived: 0.46, iPS_cells:PDB_1lox-21Puro-20: 0.46, iPS_cells:PDB_1lox-21Puro-26: 0.46, iPS_cells:PDB_1lox-17Puro-10: 0.45, iPS_cells:PDB_2lox-22: 0.45, iPS_cells:PDB_1lox-17Puro-5: 0.45, iPS_cells:PDB_2lox-17: 0.45, iPS_cells:PDB_2lox-21: 0.45 |
837_TGCATGACAGCATCTA-1 | Neurons:adrenal_medulla_cell_line | 0.23 | 193.48 | Raw ScoresNeurons:adrenal_medulla_cell_line: 0.53, Neuroepithelial_cell:ESC-derived: 0.47, Astrocyte:Embryonic_stem_cell-derived: 0.45, iPS_cells:PDB_1lox-21Puro-20: 0.45, iPS_cells:PDB_1lox-21Puro-26: 0.45, iPS_cells:PDB_1lox-17Puro-10: 0.44, iPS_cells:PDB_2lox-22: 0.44, iPS_cells:PDB_1lox-17Puro-5: 0.44, iPS_cells:PDB_2lox-17: 0.44, iPS_cells:PDB_2lox-21: 0.44 |
883_CACGGGTAGTCGTCTA-1 | Neurons:adrenal_medulla_cell_line | 0.19 | 192.89 | Raw ScoresNeurons:adrenal_medulla_cell_line: 0.47, Neuroepithelial_cell:ESC-derived: 0.4, Astrocyte:Embryonic_stem_cell-derived: 0.39, iPS_cells:PDB_1lox-21Puro-20: 0.38, iPS_cells:PDB_1lox-21Puro-26: 0.38, iPS_cells:PDB_1lox-17Puro-10: 0.38, iPS_cells:adipose_stem_cell-derived:minicircle-derived: 0.38, iPS_cells:PDB_2lox-22: 0.38, iPS_cells:PDB_1lox-17Puro-5: 0.38, iPS_cells:PDB_2lox-17: 0.37 |
883_TGCGGCAAGCAAACAT-1 | Neurons:adrenal_medulla_cell_line | 0.19 | 192.87 | Raw ScoresNeurons:adrenal_medulla_cell_line: 0.45, Neuroepithelial_cell:ESC-derived: 0.38, Astrocyte:Embryonic_stem_cell-derived: 0.38, iPS_cells:PDB_1lox-21Puro-20: 0.35, iPS_cells:PDB_1lox-21Puro-26: 0.35, iPS_cells:PDB_1lox-17Puro-10: 0.35, iPS_cells:PDB_2lox-22: 0.35, iPS_cells:PDB_1lox-17Puro-5: 0.35, Neurons:ES_cell-derived_neural_precursor: 0.34, iPS_cells:PDB_2lox-21: 0.34 |
883_GGCTTGGCACCTATCC-1 | Neurons:adrenal_medulla_cell_line | 0.24 | 192.85 | Raw ScoresNeurons:adrenal_medulla_cell_line: 0.54, Neuroepithelial_cell:ESC-derived: 0.48, iPS_cells:PDB_1lox-21Puro-20: 0.46, Astrocyte:Embryonic_stem_cell-derived: 0.45, iPS_cells:PDB_1lox-21Puro-26: 0.45, iPS_cells:PDB_1lox-17Puro-10: 0.45, iPS_cells:PDB_2lox-22: 0.45, iPS_cells:PDB_1lox-17Puro-5: 0.45, iPS_cells:PDB_2lox-17: 0.45, iPS_cells:PDB_2lox-21: 0.44 |
Below shows the significant enrichments of this GEP for literature curated gene lists
This data was procured from existing single cell RNA-seq maps of neuroblastoma or related relevant data.
High ranks indicate this gene is a driver of this GEP.
These curated gene list are ranked by the P-value (on this GEP) of their constituent genes.
The Mean Count column shows the mean read count in cells scoring highly (H > 50) on this gene expression program.
Genes | Weight | Rank | GTEx | DepMap | Decartes | Mean.Counts | Mean.TPM |
---|---|---|---|---|---|---|---|
DDC | 0.0170960 | 4 | GTEx | DepMap | Descartes | 10.34 | 27.41 |
PHOX2A | 0.0145709 | 8 | GTEx | DepMap | Descartes | 14.61 | 708.17 |
NNAT | 0.0142595 | 9 | GTEx | DepMap | Descartes | 51.68 | 4457.16 |
DBH | 0.0137594 | 12 | GTEx | DepMap | Descartes | 6.02 | 81.50 |
CYB561 | 0.0118392 | 20 | GTEx | DepMap | Descartes | 2.32 | 29.21 |
CHGB | 0.0108434 | 27 | GTEx | DepMap | Descartes | 18.22 | 282.90 |
MAP1B | 0.0082157 | 76 | GTEx | DepMap | Descartes | 28.36 | 67.55 |
UCHL1 | 0.0077903 | 102 | GTEx | DepMap | Descartes | 29.26 | 591.20 |
TH | 0.0070431 | 133 | GTEx | DepMap | Descartes | 2.87 | 16.45 |
PCSK1N | 0.0068731 | 146 | GTEx | DepMap | Descartes | 18.57 | 968.04 |
CHGA | 0.0065339 | 177 | GTEx | DepMap | Descartes | 4.03 | 101.06 |
PHOX2B | 0.0048899 | 342 | GTEx | DepMap | Descartes | 9.49 | 451.75 |
SLC18A1 | 0.0047337 | 370 | GTEx | DepMap | Descartes | 0.14 | 0.77 |
HAND2 | 0.0046310 | 387 | GTEx | DepMap | Descartes | 8.00 | 522.12 |
DISP2 | 0.0043407 | 441 | GTEx | DepMap | Descartes | 0.98 | 7.36 |
GATA3 | 0.0034341 | 677 | GTEx | DepMap | Descartes | 3.42 | 24.92 |
EML5 | 0.0031081 | 800 | GTEx | DepMap | Descartes | 4.47 | 9.68 |
Committed Progenitor (Hanemaaijer)
Marker genes obtained from Supplementary Table SD of Hanemaaijer et al (PMID 33500353). The authors generated single-cell RNA-seq data (sort-seq, 2,229 cells total) from mouse adrenal glads at E13.5, E14.5, E17.5, E18.5, P1 and P5. These were marker genes that matched with a similar dataset generated by Furlan et al (PMID 28684471). This particular set of markers are for the Committed Progenitor subcluster (seems to mean progenitor of chromaffin cells), which is part of the Adrenal Medulla cluster.:
Wilcoxon ranksum test P-value for gene set overrepresentation: 3.24e-07
Mean rank of genes in gene set: 3385.11
Rank on gene expression program of genes in gene set:
Genes | Weight | Rank | GTEx | DepMap | Decartes | Mean.Counts | Mean.TPM |
---|---|---|---|---|---|---|---|
RGS4 | 0.0122779 | 19 | GTEx | DepMap | Descartes | 7.10 | 257.15 |
ZDBF2 | 0.0117854 | 21 | GTEx | DepMap | Descartes | 9.38 | 48.74 |
MEG3 | 0.0092746 | 48 | GTEx | DepMap | Descartes | 49.41 | 397.41 |
NDUFA4L2 | 0.0087873 | 64 | GTEx | DepMap | Descartes | 2.72 | 294.17 |
SYTL4 | 0.0077039 | 104 | GTEx | DepMap | Descartes | 16.32 | 83.12 |
SLC18A2 | 0.0066446 | 169 | GTEx | DepMap | Descartes | 1.50 | 10.44 |
AGTR2 | 0.0057228 | 239 | GTEx | DepMap | Descartes | 10.48 | 541.43 |
ATP6V1B2 | 0.0052240 | 297 | GTEx | DepMap | Descartes | 2.69 | 25.20 |
SYT1 | 0.0042263 | 467 | GTEx | DepMap | Descartes | 2.70 | 1.27 |
DGKK | 0.0038596 | 552 | GTEx | DepMap | Descartes | 0.60 | 0.69 |
MIRG | 0.0038413 | 562 | GTEx | DepMap | Descartes | 1.18 | 13.73 |
C2CD4B | 0.0024692 | 1096 | GTEx | DepMap | Descartes | 0.35 | 48.70 |
FAM155A | 0.0014136 | 2066 | GTEx | DepMap | Descartes | 0.68 | 0.26 |
PARM1 | 0.0005117 | 4178 | GTEx | DepMap | Descartes | 0.14 | 0.29 |
RGS5 | 0.0002919 | 5222 | GTEx | DepMap | Descartes | 0.58 | 3.36 |
NRK | -0.0002620 | 12295 | GTEx | DepMap | Descartes | 0.00 | 0.01 |
NTRK3 | -0.0003131 | 12872 | GTEx | DepMap | Descartes | 0.33 | 0.15 |
UNC5C | -0.0032150 | 20661 | GTEx | DepMap | Descartes | 0.06 | 0.04 |
Adrenergic Fig 1D (Olsen)
Similar to above, but for selected adrenergic marker genes:
Wilcoxon ranksum test P-value for gene set overrepresentation: 4.95e-07
Mean rank of genes in gene set: 1934
Rank on gene expression program of genes in gene set:
Genes | Weight | Rank | GTEx | DepMap | Decartes | Mean.Counts | Mean.TPM |
---|---|---|---|---|---|---|---|
STMN2 | 0.0184332 | 3 | GTEx | DepMap | Descartes | 84.76 | 352.20 |
DBH | 0.0137594 | 12 | GTEx | DepMap | Descartes | 6.02 | 81.50 |
MLLT11 | 0.0105407 | 29 | GTEx | DepMap | Descartes | 11.19 | 194.68 |
ISL1 | 0.0088768 | 62 | GTEx | DepMap | Descartes | 18.40 | 384.72 |
MAP1B | 0.0082157 | 76 | GTEx | DepMap | Descartes | 28.36 | 67.55 |
UCHL1 | 0.0077903 | 102 | GTEx | DepMap | Descartes | 29.26 | 591.20 |
RTN1 | 0.0073946 | 116 | GTEx | DepMap | Descartes | 34.82 | 42.36 |
TH | 0.0070431 | 133 | GTEx | DepMap | Descartes | 2.87 | 16.45 |
BEX1 | 0.0051908 | 305 | GTEx | DepMap | Descartes | 11.67 | 1569.71 |
ELAVL4 | 0.0035883 | 637 | GTEx | DepMap | Descartes | 4.52 | 7.42 |
RGS5 | 0.0002919 | 5222 | GTEx | DepMap | Descartes | 0.58 | 3.36 |
NRG1 | -0.0007796 | 16511 | GTEx | DepMap | Descartes | 0.12 | 0.02 |
Below shows ranks on this GEP for literature curated gene lists for large gene sets
These include those reported as mesenchymal/adrenergic by Van Groningen et al.
High ranks indicate this gene is a driver of this GEP (note these results are not ordered).
The Mean Count column shows the mean read count in cells scoring highly (H > 50) on this gene expression program.
VanGroningen Adrenergic Genes
Adrenergic marker genes from Supplementary Table 2 of Van Groningen et al. Nature Genetics 2017. These genes were identified by differential expression analysis of mesenchymal-like and adrenergic-like neuroblastoma cell lines.
Wilcoxon ranksum test P-value for gene set overrepresentation: 1.09e-04
Mean rank of genes in gene set: 9280.03
Median rank of genes in gene set: 5986.5
Rank on gene expression program of top 30 genes in gene set:
Genes | Weight | Rank | GTEx | DepMap | Descartes | Mean.Counts | Mean.TPM |
---|---|---|---|---|---|---|---|
GAP43 | 0.0188898 | 2 | GTEx | DepMap | Descartes | 31.91 | 80.80 |
STMN2 | 0.0184332 | 3 | GTEx | DepMap | Descartes | 84.76 | 352.20 |
DDC | 0.0170960 | 4 | GTEx | DepMap | Descartes | 10.34 | 27.41 |
TUBB3 | 0.0153047 | 6 | GTEx | DepMap | Descartes | 36.26 | 765.16 |
NEFL | 0.0146814 | 7 | GTEx | DepMap | Descartes | 51.46 | 2187.03 |
PHOX2A | 0.0145709 | 8 | GTEx | DepMap | Descartes | 14.61 | 708.17 |
NNAT | 0.0142595 | 9 | GTEx | DepMap | Descartes | 51.68 | 4457.16 |
NEFM | 0.0137767 | 11 | GTEx | DepMap | Descartes | 55.67 | 293.95 |
DBH | 0.0137594 | 12 | GTEx | DepMap | Descartes | 6.02 | 81.50 |
CHGB | 0.0108434 | 27 | GTEx | DepMap | Descartes | 18.22 | 282.90 |
NAP1L5 | 0.0100943 | 33 | GTEx | DepMap | Descartes | 3.99 | 512.95 |
RAB6B | 0.0100740 | 34 | GTEx | DepMap | Descartes | 4.05 | 13.19 |
FAM163A | 0.0094735 | 44 | GTEx | DepMap | Descartes | 1.46 | 2.64 |
SNAP25 | 0.0091221 | 53 | GTEx | DepMap | Descartes | 7.54 | 25.19 |
KLF7 | 0.0090901 | 55 | GTEx | DepMap | Descartes | 5.27 | 12.66 |
EEF1A2 | 0.0089309 | 59 | GTEx | DepMap | Descartes | 6.04 | 148.78 |
TFAP2B | 0.0089101 | 61 | GTEx | DepMap | Descartes | 9.94 | 75.88 |
ISL1 | 0.0088768 | 62 | GTEx | DepMap | Descartes | 18.40 | 384.72 |
TUBB2A | 0.0085959 | 66 | GTEx | DepMap | Descartes | 11.57 | 701.62 |
TUBB2B | 0.0083235 | 72 | GTEx | DepMap | Descartes | 25.36 | 1536.70 |
MAP1B | 0.0082157 | 76 | GTEx | DepMap | Descartes | 28.36 | 67.55 |
NELFCD | 0.0081934 | 79 | GTEx | DepMap | Descartes | 3.95 | 70.78 |
IGFBPL1 | 0.0079741 | 90 | GTEx | DepMap | Descartes | 4.65 | 69.94 |
FBLL1 | 0.0079738 | 91 | GTEx | DepMap | Descartes | 2.62 | 399.48 |
TAGLN3 | 0.0075605 | 109 | GTEx | DepMap | Descartes | 9.38 | 163.19 |
MAPT | 0.0074482 | 110 | GTEx | DepMap | Descartes | 3.44 | 8.94 |
RUNDC3A | 0.0074455 | 111 | GTEx | DepMap | Descartes | 3.94 | 98.48 |
RTN1 | 0.0073946 | 116 | GTEx | DepMap | Descartes | 34.82 | 42.36 |
GCH1 | 0.0073109 | 118 | GTEx | DepMap | Descartes | 1.43 | 8.63 |
DPYSL3 | 0.0072865 | 120 | GTEx | DepMap | Descartes | 5.18 | 10.85 |
VanGroningen Mesenchymal Genes
Mesenchymal marker genes from Supplementary Table 2 of Van Groningen et al. Nature Genetics 2017. These genes were identified by differential expression analysis of mesenchymal-like and adrenergic-like neuroblastoma cell lines.
Wilcoxon ranksum test P-value for gene set overrepresentation: 1.00e+00
Mean rank of genes in gene set: 14226.62
Median rank of genes in gene set: 16663
Rank on gene expression program of top 30 genes in gene set:
Genes | Weight | Rank | GTEx | DepMap | Descartes | Mean.Counts | Mean.TPM |
---|---|---|---|---|---|---|---|
ATP1B1 | 0.0093313 | 46 | GTEx | DepMap | Descartes | 4.20 | 46.97 |
TCF7L2 | 0.0089487 | 58 | GTEx | DepMap | Descartes | 2.60 | 2.93 |
MEST | 0.0080694 | 84 | GTEx | DepMap | Descartes | 3.63 | 31.11 |
TMEFF2 | 0.0056827 | 246 | GTEx | DepMap | Descartes | 1.14 | 0.97 |
MYL12B | 0.0053435 | 288 | GTEx | DepMap | Descartes | 7.23 | 89.82 |
KDM5B | 0.0052462 | 296 | GTEx | DepMap | Descartes | 2.81 | 9.09 |
MANF | 0.0049257 | 338 | GTEx | DepMap | Descartes | 6.85 | 27.31 |
SQSTM1 | 0.0046753 | 381 | GTEx | DepMap | Descartes | 2.84 | 58.60 |
APP | 0.0045703 | 401 | GTEx | DepMap | Descartes | 6.04 | 6.98 |
SHC1 | 0.0042927 | 452 | GTEx | DepMap | Descartes | 0.59 | 12.42 |
PRDX6 | 0.0039809 | 523 | GTEx | DepMap | Descartes | 11.33 | 205.09 |
OSTC | 0.0039747 | 526 | GTEx | DepMap | Descartes | 6.69 | 104.48 |
VIM | 0.0036039 | 633 | GTEx | DepMap | Descartes | 13.40 | 305.43 |
ACADVL | 0.0033002 | 731 | GTEx | DepMap | Descartes | 0.96 | 44.14 |
TRIL | 0.0027263 | 956 | GTEx | DepMap | Descartes | 0.41 | 21.49 |
UAP1 | 0.0027173 | 964 | GTEx | DepMap | Descartes | 0.97 | 6.54 |
COPA | 0.0026411 | 1001 | GTEx | DepMap | Descartes | 2.27 | 13.43 |
OGFRL1 | 0.0026007 | 1016 | GTEx | DepMap | Descartes | 1.10 | 7.58 |
PDIA3 | 0.0025324 | 1062 | GTEx | DepMap | Descartes | 6.11 | 55.35 |
DESI2 | 0.0021215 | 1319 | GTEx | DepMap | Descartes | 1.73 | 5.42 |
HSPA5 | 0.0020250 | 1423 | GTEx | DepMap | Descartes | 8.35 | 330.11 |
NBR1 | 0.0019675 | 1484 | GTEx | DepMap | Descartes | 1.14 | 8.74 |
GORAB | 0.0018931 | 1543 | GTEx | DepMap | Descartes | 0.58 | 6.57 |
PDE3A | 0.0018813 | 1547 | GTEx | DepMap | Descartes | 3.34 | 2.64 |
FKBP14 | 0.0017658 | 1660 | GTEx | DepMap | Descartes | 0.16 | 1.87 |
ARHGAP1 | 0.0017350 | 1688 | GTEx | DepMap | Descartes | 0.65 | 6.27 |
ENAH | 0.0016234 | 1787 | GTEx | DepMap | Descartes | 3.47 | 6.09 |
TSC22D3 | 0.0015375 | 1906 | GTEx | DepMap | Descartes | 1.72 | 6.72 |
RIT1 | 0.0015139 | 1940 | GTEx | DepMap | Descartes | 0.64 | 9.95 |
CETN2 | 0.0014868 | 1967 | GTEx | DepMap | Descartes | 1.77 | 80.57 |
Descartes adrenocortical markers
Top 50 marker genes of adrenocortical cells in the Decartes fetal adrenal single cell map (https://atlas.brotmanbaty.org/bbi/human-gene-expression-during-development/cell/adrenocortical/in/adrenal)
Wilcoxon ranksum test P-value for gene set overrepresentation: 3.90e-01
Mean rank of genes in gene set: 10215.36
Median rank of genes in gene set: 10109
Rank on gene expression program of top 30 genes in gene set:
Genes | Weight | Rank | GTEx | DepMap | Descartes | Mean.Counts | Mean.TPM |
---|---|---|---|---|---|---|---|
FDPS | 0.0115351 | 23 | GTEx | DepMap | Descartes | 10.21 | 250.68 |
HMGCS1 | 0.0040967 | 495 | GTEx | DepMap | Descartes | 2.77 | 34.90 |
GRAMD1B | 0.0034281 | 679 | GTEx | DepMap | Descartes | 1.02 | 1.18 |
MSMO1 | 0.0027733 | 929 | GTEx | DepMap | Descartes | 1.69 | 23.78 |
DNER | 0.0026056 | 1012 | GTEx | DepMap | Descartes | 0.16 | 0.13 |
HMGCR | 0.0023262 | 1180 | GTEx | DepMap | Descartes | 4.51 | 44.54 |
JAKMIP2 | 0.0017670 | 1659 | GTEx | DepMap | Descartes | 0.52 | 0.77 |
HSPD1 | 0.0015052 | 1950 | GTEx | DepMap | Descartes | 19.81 | 385.99 |
HSPE1 | 0.0011000 | 2566 | GTEx | DepMap | Descartes | 19.08 | 1197.00 |
DHCR7 | 0.0010493 | 2680 | GTEx | DepMap | Descartes | 0.73 | 6.26 |
FDX1 | 0.0009607 | 2861 | GTEx | DepMap | Descartes | 1.42 | 15.27 |
CYP11B1 | 0.0007982 | 3274 | GTEx | DepMap | Descartes | 0.00 | 0.03 |
TM7SF2 | 0.0004714 | 4340 | GTEx | DepMap | Descartes | 0.14 | 5.43 |
DHCR24 | 0.0003413 | 4955 | GTEx | DepMap | Descartes | 0.74 | 5.59 |
FRMD5 | 0.0003301 | 5015 | GTEx | DepMap | Descartes | 0.30 | 0.25 |
LDLR | 0.0001480 | 6137 | GTEx | DepMap | Descartes | 0.31 | 2.45 |
SULT2A1 | 0.0001429 | 6176 | GTEx | DepMap | Descartes | 0.00 | 0.00 |
CYP17A1 | 0.0000972 | 6525 | GTEx | DepMap | Descartes | 0.00 | 0.01 |
SGCZ | 0.0000674 | 6765 | GTEx | DepMap | Descartes | 0.08 | 0.02 |
INHA | -0.0000594 | 8451 | GTEx | DepMap | Descartes | 0.04 | 3.44 |
CYP11A1 | -0.0000777 | 8893 | GTEx | DepMap | Descartes | 0.00 | 0.00 |
FDXR | -0.0001969 | 11325 | GTEx | DepMap | Descartes | 0.31 | 7.66 |
STAR | -0.0002016 | 11399 | GTEx | DepMap | Descartes | 0.01 | 0.15 |
FREM2 | -0.0004539 | 14216 | GTEx | DepMap | Descartes | 0.00 | 0.00 |
CLU | -0.0004704 | 14346 | GTEx | DepMap | Descartes | 0.04 | 0.54 |
ERN1 | -0.0006116 | 15395 | GTEx | DepMap | Descartes | 0.08 | 0.22 |
APOC1 | -0.0006608 | 15739 | GTEx | DepMap | Descartes | 0.02 | 1.12 |
GSTA4 | -0.0006759 | 15851 | GTEx | DepMap | Descartes | 0.08 | 0.41 |
PDE10A | -0.0006788 | 15873 | GTEx | DepMap | Descartes | 0.19 | 0.09 |
SCARB1 | -0.0007227 | 16153 | GTEx | DepMap | Descartes | 0.16 | 0.53 |
Descartes chromaffin markers
Top 50 marker genes of chromaffin cells in the Decartes fetal adrenal single cell map (https://atlas.brotmanbaty.org/bbi/human-gene-expression-during-development/cell/chromaffin/in/adrenal)
Wilcoxon ranksum test P-value for gene set overrepresentation: 2.13e-11
Mean rank of genes in gene set: 4469.05
Median rank of genes in gene set: 1462.5
Rank on gene expression program of top 30 genes in gene set:
Genes | Weight | Rank | GTEx | DepMap | Descartes | Mean.Counts | Mean.TPM |
---|---|---|---|---|---|---|---|
GAP43 | 0.0188898 | 2 | GTEx | DepMap | Descartes | 31.91 | 80.80 |
STMN2 | 0.0184332 | 3 | GTEx | DepMap | Descartes | 84.76 | 352.20 |
BASP1 | 0.0110124 | 26 | GTEx | DepMap | Descartes | 42.10 | 192.40 |
MLLT11 | 0.0105407 | 29 | GTEx | DepMap | Descartes | 11.19 | 194.68 |
ISL1 | 0.0088768 | 62 | GTEx | DepMap | Descartes | 18.40 | 384.72 |
NTRK1 | 0.0088530 | 63 | GTEx | DepMap | Descartes | 0.77 | 12.18 |
TUBB2A | 0.0085959 | 66 | GTEx | DepMap | Descartes | 11.57 | 701.62 |
TUBA1A | 0.0084104 | 70 | GTEx | DepMap | Descartes | 88.34 | 5147.99 |
TUBB2B | 0.0083235 | 72 | GTEx | DepMap | Descartes | 25.36 | 1536.70 |
MAP1B | 0.0082157 | 76 | GTEx | DepMap | Descartes | 28.36 | 67.55 |
EYA1 | 0.0071165 | 129 | GTEx | DepMap | Descartes | 6.32 | 9.65 |
CCND1 | 0.0058120 | 233 | GTEx | DepMap | Descartes | 34.07 | 829.80 |
TMEFF2 | 0.0056827 | 246 | GTEx | DepMap | Descartes | 1.14 | 0.97 |
MARCH11 | 0.0054553 | 273 | GTEx | DepMap | Descartes | 1.53 | 3.56 |
PLXNA4 | 0.0050173 | 319 | GTEx | DepMap | Descartes | 1.00 | 0.60 |
REEP1 | 0.0041113 | 493 | GTEx | DepMap | Descartes | 2.19 | 4.85 |
CNTFR | 0.0034315 | 678 | GTEx | DepMap | Descartes | 2.13 | 11.90 |
RBFOX1 | 0.0031662 | 775 | GTEx | DepMap | Descartes | 1.32 | 0.20 |
CNKSR2 | 0.0029745 | 844 | GTEx | DepMap | Descartes | 1.41 | 1.40 |
MAB21L2 | 0.0026513 | 996 | GTEx | DepMap | Descartes | 3.66 | 274.15 |
PTCHD1 | 0.0024000 | 1140 | GTEx | DepMap | Descartes | 0.17 | 0.90 |
SLC44A5 | 0.0021510 | 1298 | GTEx | DepMap | Descartes | 0.46 | 0.36 |
GREM1 | 0.0018036 | 1627 | GTEx | DepMap | Descartes | 0.08 | 1.47 |
RGMB | 0.0014669 | 1994 | GTEx | DepMap | Descartes | 0.39 | 3.35 |
RPH3A | 0.0013243 | 2194 | GTEx | DepMap | Descartes | 0.03 | 0.15 |
NPY | 0.0011344 | 2503 | GTEx | DepMap | Descartes | 3.27 | 140.13 |
EYA4 | 0.0011290 | 2517 | GTEx | DepMap | Descartes | 0.39 | 0.33 |
ANKFN1 | 0.0010529 | 2667 | GTEx | DepMap | Descartes | 0.02 | 0.01 |
SLC6A2 | 0.0008958 | 3020 | GTEx | DepMap | Descartes | 0.13 | 0.68 |
HMX1 | 0.0008250 | 3206 | GTEx | DepMap | Descartes | 0.41 | 9.38 |
Descartes Vascular_endothelial markers
Top 50 marker genes of Vascular_endothelial cells in the Decartes fetal adrenal single cell map (https://atlas.brotmanbaty.org/bbi/human-gene-expression-during-development/cell/vascular_endothelial/in/adrenal)
Wilcoxon ranksum test P-value for gene set overrepresentation: 1.00e+00
Mean rank of genes in gene set: 14787.44
Median rank of genes in gene set: 14591
Rank on gene expression program of top 30 genes in gene set:
Genes | Weight | Rank | GTEx | DepMap | Descartes | Mean.Counts | Mean.TPM |
---|---|---|---|---|---|---|---|
F8 | 0.0003774 | 4775 | GTEx | DepMap | Descartes | 0.04 | 0.05 |
KANK3 | 0.0000241 | 7167 | GTEx | DepMap | Descartes | 0.12 | 2.15 |
CHRM3 | -0.0000649 | 8583 | GTEx | DepMap | Descartes | 0.00 | 0.00 |
CRHBP | -0.0002546 | 12179 | GTEx | DepMap | Descartes | 0.00 | 0.00 |
NR5A2 | -0.0002568 | 12208 | GTEx | DepMap | Descartes | 0.00 | 0.00 |
GALNT15 | -0.0002924 | 12658 | GTEx | DepMap | Descartes | 0.00 | 0.00 |
DNASE1L3 | -0.0003065 | 12803 | GTEx | DepMap | Descartes | 0.00 | 0.01 |
BTNL9 | -0.0003178 | 12917 | GTEx | DepMap | Descartes | 0.00 | 0.00 |
FLT4 | -0.0003238 | 12980 | GTEx | DepMap | Descartes | 0.00 | 0.01 |
ESM1 | -0.0003356 | 13111 | GTEx | DepMap | Descartes | 0.00 | 0.01 |
SHE | -0.0003467 | 13214 | GTEx | DepMap | Descartes | 0.00 | 0.00 |
CLDN5 | -0.0003715 | 13477 | GTEx | DepMap | Descartes | 0.00 | 0.70 |
SLCO2A1 | -0.0003775 | 13532 | GTEx | DepMap | Descartes | 0.00 | 0.00 |
TEK | -0.0003781 | 13536 | GTEx | DepMap | Descartes | 0.00 | 0.01 |
TMEM88 | -0.0003807 | 13555 | GTEx | DepMap | Descartes | 0.01 | 1.44 |
APLNR | -0.0003990 | 13730 | GTEx | DepMap | Descartes | 0.00 | 0.00 |
ROBO4 | -0.0004201 | 13926 | GTEx | DepMap | Descartes | 0.00 | 0.00 |
KDR | -0.0004530 | 14210 | GTEx | DepMap | Descartes | 0.00 | 0.00 |
NOTCH4 | -0.0004549 | 14229 | GTEx | DepMap | Descartes | 0.05 | 0.42 |
MMRN2 | -0.0004872 | 14466 | GTEx | DepMap | Descartes | 0.00 | 0.01 |
PLVAP | -0.0004938 | 14517 | GTEx | DepMap | Descartes | 0.00 | 0.04 |
TIE1 | -0.0005029 | 14591 | GTEx | DepMap | Descartes | 0.00 | 0.00 |
SOX18 | -0.0005043 | 14604 | GTEx | DepMap | Descartes | 0.00 | 0.23 |
ECSCR | -0.0005218 | 14733 | GTEx | DepMap | Descartes | 0.00 | 0.08 |
PTPRB | -0.0005220 | 14738 | GTEx | DepMap | Descartes | 0.00 | 0.00 |
RASIP1 | -0.0005606 | 15009 | GTEx | DepMap | Descartes | 0.01 | 0.30 |
CDH5 | -0.0005659 | 15057 | GTEx | DepMap | Descartes | 0.00 | 0.01 |
CEACAM1 | -0.0005678 | 15075 | GTEx | DepMap | Descartes | 0.00 | 0.03 |
SHANK3 | -0.0005729 | 15111 | GTEx | DepMap | Descartes | 0.07 | 0.29 |
MYRIP | -0.0006106 | 15387 | GTEx | DepMap | Descartes | 0.02 | 0.03 |
Descartes stromal markers
Top 50 marker genes of stromal cells in the Decartes fetal adrenal single cell map (https://atlas.brotmanbaty.org/bbi/human-gene-expression-during-development/cell/stromal/in/adrenal)
Wilcoxon ranksum test P-value for gene set overrepresentation: 1.00e+00
Mean rank of genes in gene set: 14073
Median rank of genes in gene set: 14970.5
Rank on gene expression program of top 30 genes in gene set:
Genes | Weight | Rank | GTEx | DepMap | Descartes | Mean.Counts | Mean.TPM |
---|---|---|---|---|---|---|---|
CLDN11 | 0.0058720 | 229 | GTEx | DepMap | Descartes | 0.45 | 7.64 |
HHIP | 0.0010801 | 2614 | GTEx | DepMap | Descartes | 0.29 | 0.57 |
PRICKLE1 | 0.0005157 | 4169 | GTEx | DepMap | Descartes | 0.08 | 0.16 |
ABCA6 | 0.0001948 | 5831 | GTEx | DepMap | Descartes | 0.01 | 0.03 |
GAS2 | 0.0000613 | 6826 | GTEx | DepMap | Descartes | 0.19 | 0.32 |
SULT1E1 | -0.0001099 | 9667 | GTEx | DepMap | Descartes | 0.00 | 0.00 |
C7 | -0.0001401 | 10292 | GTEx | DepMap | Descartes | 0.00 | 0.01 |
ADAMTSL3 | -0.0001528 | 10541 | GTEx | DepMap | Descartes | 0.00 | 0.00 |
ITGA11 | -0.0001996 | 11362 | GTEx | DepMap | Descartes | 0.00 | 0.00 |
FREM1 | -0.0002167 | 11654 | GTEx | DepMap | Descartes | 0.00 | 0.00 |
PAMR1 | -0.0002743 | 12447 | GTEx | DepMap | Descartes | 0.00 | 0.00 |
OGN | -0.0003352 | 13101 | GTEx | DepMap | Descartes | 0.00 | 0.04 |
ACTA2 | -0.0003510 | 13268 | GTEx | DepMap | Descartes | 0.03 | 0.33 |
SCARA5 | -0.0004140 | 13867 | GTEx | DepMap | Descartes | 0.02 | 0.04 |
MGP | -0.0004242 | 13953 | GTEx | DepMap | Descartes | 0.02 | 0.90 |
PDGFRA | -0.0004246 | 13957 | GTEx | DepMap | Descartes | 0.00 | 0.01 |
ABCC9 | -0.0004638 | 14303 | GTEx | DepMap | Descartes | 0.00 | 0.01 |
BICC1 | -0.0004772 | 14384 | GTEx | DepMap | Descartes | 0.04 | 0.04 |
FNDC1 | -0.0004848 | 14452 | GTEx | DepMap | Descartes | 0.01 | 0.04 |
IGFBP3 | -0.0004958 | 14534 | GTEx | DepMap | Descartes | 0.01 | 0.21 |
PRRX1 | -0.0005043 | 14603 | GTEx | DepMap | Descartes | 0.02 | 0.06 |
COL3A1 | -0.0005223 | 14741 | GTEx | DepMap | Descartes | 0.06 | 0.40 |
LUM | -0.0005492 | 14922 | GTEx | DepMap | Descartes | 0.00 | 0.08 |
LOX | -0.0005621 | 15019 | GTEx | DepMap | Descartes | 0.00 | 0.02 |
GLI2 | -0.0006026 | 15328 | GTEx | DepMap | Descartes | 0.00 | 0.00 |
COL27A1 | -0.0006142 | 15415 | GTEx | DepMap | Descartes | 0.00 | 0.00 |
COL1A2 | -0.0006236 | 15474 | GTEx | DepMap | Descartes | 0.04 | 0.18 |
CD248 | -0.0006465 | 15640 | GTEx | DepMap | Descartes | 0.02 | 1.99 |
DKK2 | -0.0006506 | 15671 | GTEx | DepMap | Descartes | 0.01 | 0.02 |
DCN | -0.0006524 | 15688 | GTEx | DepMap | Descartes | 0.01 | 0.13 |
Descartes sympathoblasts markers
Top 50 marker genes of sympathoblasts cells in the Decartes fetal adrenal single cell map (https://atlas.brotmanbaty.org/bbi/human-gene-expression-during-development/cell/sympathoblasts/in/adrenal)
Wilcoxon ranksum test P-value for gene set overrepresentation: 5.39e-02
Mean rank of genes in gene set: 8975.86
Median rank of genes in gene set: 5437.5
Rank on gene expression program of top 30 genes in gene set:
Genes | Weight | Rank | GTEx | DepMap | Descartes | Mean.Counts | Mean.TPM |
---|---|---|---|---|---|---|---|
CHGB | 0.0108434 | 27 | GTEx | DepMap | Descartes | 18.22 | 282.90 |
MGAT4C | 0.0082531 | 74 | GTEx | DepMap | Descartes | 1.07 | 0.40 |
C1QL1 | 0.0081825 | 81 | GTEx | DepMap | Descartes | 2.37 | 84.47 |
FGF14 | 0.0079871 | 88 | GTEx | DepMap | Descartes | 0.76 | 0.30 |
GCH1 | 0.0073109 | 118 | GTEx | DepMap | Descartes | 1.43 | 8.63 |
PCSK1N | 0.0068731 | 146 | GTEx | DepMap | Descartes | 18.57 | 968.04 |
CHGA | 0.0065339 | 177 | GTEx | DepMap | Descartes | 4.03 | 101.06 |
SLC18A1 | 0.0047337 | 370 | GTEx | DepMap | Descartes | 0.14 | 0.77 |
KSR2 | 0.0040708 | 502 | GTEx | DepMap | Descartes | 0.52 | 0.39 |
DGKK | 0.0038596 | 552 | GTEx | DepMap | Descartes | 0.60 | 0.69 |
PACRG | 0.0035358 | 647 | GTEx | DepMap | Descartes | 0.26 | 0.16 |
PNMT | 0.0028044 | 918 | GTEx | DepMap | Descartes | 0.10 | 16.78 |
TMEM130 | 0.0022831 | 1210 | GTEx | DepMap | Descartes | 0.13 | 1.46 |
TENM1 | 0.0019044 | 1529 | GTEx | DepMap | Descartes | 0.04 | 0.02 |
FAM155A | 0.0014136 | 2066 | GTEx | DepMap | Descartes | 0.68 | 0.26 |
EML6 | 0.0013968 | 2090 | GTEx | DepMap | Descartes | 0.18 | 0.16 |
UNC80 | 0.0012340 | 2324 | GTEx | DepMap | Descartes | 0.60 | 0.62 |
CDH18 | 0.0011403 | 2492 | GTEx | DepMap | Descartes | 0.02 | 0.01 |
GRM7 | 0.0010520 | 2668 | GTEx | DepMap | Descartes | 0.04 | 0.01 |
CCSER1 | 0.0010311 | 2705 | GTEx | DepMap | Descartes | 0.32 | 0.07 |
CNTN3 | 0.0006945 | 3557 | GTEx | DepMap | Descartes | 0.04 | 0.02 |
AGBL4 | 0.0000088 | 7318 | GTEx | DepMap | Descartes | 0.03 | 0.01 |
KCTD16 | -0.0001987 | 11356 | GTEx | DepMap | Descartes | 0.00 | 0.00 |
SLC35F3 | -0.0003074 | 12812 | GTEx | DepMap | Descartes | 0.01 | 0.01 |
ARC | -0.0005188 | 14713 | GTEx | DepMap | Descartes | 0.00 | 0.17 |
PCSK2 | -0.0006098 | 15380 | GTEx | DepMap | Descartes | 0.83 | 0.66 |
LAMA3 | -0.0006308 | 15530 | GTEx | DepMap | Descartes | 0.00 | 0.00 |
HTATSF1 | -0.0006850 | 15919 | GTEx | DepMap | Descartes | 1.59 | 25.08 |
SPOCK3 | -0.0008039 | 16651 | GTEx | DepMap | Descartes | 0.18 | 0.10 |
PENK | -0.0008154 | 16717 | GTEx | DepMap | Descartes | 0.01 | 0.30 |
Descartes erythroblasts markers
Top 50 marker genes of erythroblasts cells in the Decartes fetal adrenal single cell map (https://atlas.brotmanbaty.org/bbi/human-gene-expression-during-development/cell/erythroblasts/in/adrenal)
Wilcoxon ranksum test P-value for gene set overrepresentation: 9.92e-01
Mean rank of genes in gene set: 12914.49
Median rank of genes in gene set: 13086
Rank on gene expression program of top 30 genes in gene set:
Genes | Weight | Rank | GTEx | DepMap | Descartes | Mean.Counts | Mean.TPM |
---|---|---|---|---|---|---|---|
CR1L | 0.0020644 | 1374 | GTEx | DepMap | Descartes | 1.07 | 6.75 |
SELENBP1 | 0.0017595 | 1664 | GTEx | DepMap | Descartes | 0.20 | 4.06 |
RAPGEF2 | 0.0013510 | 2150 | GTEx | DepMap | Descartes | 0.48 | 0.49 |
TFR2 | 0.0006166 | 3797 | GTEx | DepMap | Descartes | 0.05 | 0.79 |
TRAK2 | 0.0001329 | 6240 | GTEx | DepMap | Descartes | 0.54 | 1.63 |
RHD | -0.0000722 | 8744 | GTEx | DepMap | Descartes | 0.00 | 0.01 |
EPB42 | -0.0000915 | 9248 | GTEx | DepMap | Descartes | 0.00 | 0.00 |
CPOX | -0.0001084 | 9641 | GTEx | DepMap | Descartes | 0.54 | 2.52 |
SLC25A21 | -0.0001422 | 10338 | GTEx | DepMap | Descartes | 0.00 | 0.00 |
HEMGN | -0.0001747 | 10970 | GTEx | DepMap | Descartes | 0.00 | 0.00 |
SLC4A1 | -0.0001751 | 10976 | GTEx | DepMap | Descartes | 0.00 | 0.00 |
SPTA1 | -0.0001774 | 11022 | GTEx | DepMap | Descartes | 0.00 | 0.00 |
ABCB10 | -0.0001806 | 11073 | GTEx | DepMap | Descartes | 0.18 | 1.34 |
SOX6 | -0.0001893 | 11199 | GTEx | DepMap | Descartes | 0.11 | 0.05 |
RGS6 | -0.0002251 | 11775 | GTEx | DepMap | Descartes | 0.00 | 0.00 |
GYPA | -0.0002385 | 11979 | GTEx | DepMap | Descartes | 0.00 | 0.01 |
ANK1 | -0.0002926 | 12660 | GTEx | DepMap | Descartes | 0.01 | 0.01 |
TSPAN5 | -0.0003334 | 13086 | GTEx | DepMap | Descartes | 0.75 | 0.98 |
CAT | -0.0003453 | 13200 | GTEx | DepMap | Descartes | 0.24 | 1.62 |
MARCH3 | -0.0003977 | 13718 | GTEx | DepMap | Descartes | 0.00 | 0.00 |
TMEM56 | -0.0004362 | 14063 | GTEx | DepMap | Descartes | 0.07 | 0.19 |
TMCC2 | -0.0004431 | 14114 | GTEx | DepMap | Descartes | 0.37 | 2.32 |
DENND4A | -0.0006469 | 15643 | GTEx | DepMap | Descartes | 0.20 | 0.43 |
GYPC | -0.0006979 | 16000 | GTEx | DepMap | Descartes | 0.01 | 0.06 |
BLVRB | -0.0006997 | 16004 | GTEx | DepMap | Descartes | 0.41 | 4.91 |
SPTB | -0.0007218 | 16146 | GTEx | DepMap | Descartes | 0.28 | 0.56 |
FECH | -0.0009304 | 17287 | GTEx | DepMap | Descartes | 0.12 | 0.72 |
EPB41 | -0.0013795 | 18966 | GTEx | DepMap | Descartes | 1.53 | 2.14 |
SPECC1 | -0.0014067 | 19045 | GTEx | DepMap | Descartes | 0.04 | 0.03 |
ALAS2 | -0.0015776 | 19403 | GTEx | DepMap | Descartes | 0.01 | 0.10 |
Descartes myeloid markers
Top 50 marker genes of myeloid cells in the Decartes fetal adrenal single cell map (https://atlas.brotmanbaty.org/bbi/human-gene-expression-during-development/cell/myeloid/in/adrenal)
Wilcoxon ranksum test P-value for gene set overrepresentation: 1.00e+00
Mean rank of genes in gene set: 16180.91
Median rank of genes in gene set: 17628
Rank on gene expression program of top 30 genes in gene set:
Genes | Weight | Rank | GTEx | DepMap | Descartes | Mean.Counts | Mean.TPM |
---|---|---|---|---|---|---|---|
FMN1 | 0.0042106 | 471 | GTEx | DepMap | Descartes | 0.39 | 0.22 |
CST3 | 0.0001604 | 6041 | GTEx | DepMap | Descartes | 9.18 | 487.57 |
CPVL | -0.0000893 | 9193 | GTEx | DepMap | Descartes | 0.00 | 0.01 |
CD163L1 | -0.0001389 | 10261 | GTEx | DepMap | Descartes | 0.00 | 0.04 |
VSIG4 | -0.0001771 | 11015 | GTEx | DepMap | Descartes | 0.00 | 0.00 |
CD163 | -0.0002144 | 11606 | GTEx | DepMap | Descartes | 0.00 | 0.00 |
SLC9A9 | -0.0002435 | 12038 | GTEx | DepMap | Descartes | 0.04 | 0.02 |
ATP8B4 | -0.0003735 | 13495 | GTEx | DepMap | Descartes | 0.01 | 0.01 |
RNASE1 | -0.0003796 | 13550 | GTEx | DepMap | Descartes | 0.00 | 0.49 |
HRH1 | -0.0003977 | 13721 | GTEx | DepMap | Descartes | 0.00 | 0.00 |
SLCO2B1 | -0.0004835 | 14437 | GTEx | DepMap | Descartes | 0.00 | 0.01 |
FGL2 | -0.0005274 | 14781 | GTEx | DepMap | Descartes | 0.00 | 0.13 |
RGL1 | -0.0005720 | 15104 | GTEx | DepMap | Descartes | 0.12 | 0.10 |
MS4A4A | -0.0005783 | 15159 | GTEx | DepMap | Descartes | 0.00 | 0.01 |
SPP1 | -0.0005790 | 15166 | GTEx | DepMap | Descartes | 0.14 | 4.46 |
SFMBT2 | -0.0006334 | 15551 | GTEx | DepMap | Descartes | 0.10 | 0.08 |
ADAP2 | -0.0006633 | 15754 | GTEx | DepMap | Descartes | 0.00 | 0.04 |
FGD2 | -0.0007403 | 16260 | GTEx | DepMap | Descartes | 0.00 | 0.05 |
CD14 | -0.0007439 | 16286 | GTEx | DepMap | Descartes | 0.01 | 1.61 |
HCK | -0.0008489 | 16884 | GTEx | DepMap | Descartes | 0.01 | 0.03 |
MERTK | -0.0008827 | 17054 | GTEx | DepMap | Descartes | 0.00 | 0.01 |
MARCH1 | -0.0009013 | 17144 | GTEx | DepMap | Descartes | 0.00 | 0.00 |
RBPJ | -0.0010062 | 17628 | GTEx | DepMap | Descartes | 1.20 | 1.42 |
MSR1 | -0.0010717 | 17933 | GTEx | DepMap | Descartes | 0.00 | 0.01 |
AXL | -0.0011861 | 18365 | GTEx | DepMap | Descartes | 0.01 | 0.07 |
CYBB | -0.0012111 | 18459 | GTEx | DepMap | Descartes | 0.01 | 0.05 |
CSF1R | -0.0012356 | 18533 | GTEx | DepMap | Descartes | 0.01 | 0.07 |
SLC1A3 | -0.0012590 | 18620 | GTEx | DepMap | Descartes | 0.04 | 0.09 |
ITPR2 | -0.0012772 | 18662 | GTEx | DepMap | Descartes | 0.02 | 0.01 |
MS4A7 | -0.0012782 | 18663 | GTEx | DepMap | Descartes | 0.05 | 0.65 |
Descartes Schwann markers
Top 50 marker genes of Schwann cells in the Decartes fetal adrenal single cell map (https://atlas.brotmanbaty.org/bbi/human-gene-expression-during-development/cell/schwann/in/adrenal)
Wilcoxon ranksum test P-value for gene set overrepresentation: 1.00e+00
Mean rank of genes in gene set: 13427.62
Median rank of genes in gene set: 16169
Rank on gene expression program of top 30 genes in gene set:
Genes | Weight | Rank | GTEx | DepMap | Descartes | Mean.Counts | Mean.TPM |
---|---|---|---|---|---|---|---|
PPP2R2B | 0.0092840 | 47 | GTEx | DepMap | Descartes | 2.96 | 1.58 |
GFRA3 | 0.0068705 | 147 | GTEx | DepMap | Descartes | 1.57 | 13.93 |
DST | 0.0038646 | 550 | GTEx | DepMap | Descartes | 7.81 | 4.29 |
VIM | 0.0036039 | 633 | GTEx | DepMap | Descartes | 13.40 | 305.43 |
XKR4 | 0.0017828 | 1649 | GTEx | DepMap | Descartes | 0.33 | NA |
SORCS1 | 0.0016499 | 1764 | GTEx | DepMap | Descartes | 0.40 | 0.17 |
LRRTM4 | 0.0014353 | 2044 | GTEx | DepMap | Descartes | 0.08 | 0.02 |
SOX5 | 0.0009778 | 2833 | GTEx | DepMap | Descartes | 0.08 | 0.03 |
FAM134B | 0.0002033 | 5784 | GTEx | DepMap | Descartes | 0.55 | NA |
TRPM3 | 0.0000012 | 7435 | GTEx | DepMap | Descartes | 0.00 | 0.00 |
IL1RAPL2 | -0.0000361 | 7963 | GTEx | DepMap | Descartes | 0.00 | 0.00 |
MPZ | -0.0000856 | 9095 | GTEx | DepMap | Descartes | 0.00 | 0.02 |
IL1RAPL1 | -0.0001754 | 10984 | GTEx | DepMap | Descartes | 0.00 | 0.00 |
HMGA2 | -0.0002553 | 12193 | GTEx | DepMap | Descartes | 0.00 | 0.00 |
STARD13 | -0.0003000 | 12739 | GTEx | DepMap | Descartes | 0.13 | 0.14 |
EGFLAM | -0.0004389 | 14081 | GTEx | DepMap | Descartes | 0.00 | 0.00 |
PLP1 | -0.0004656 | 14310 | GTEx | DepMap | Descartes | 0.11 | 1.50 |
SCN7A | -0.0004963 | 14539 | GTEx | DepMap | Descartes | 0.01 | 0.01 |
CDH19 | -0.0004988 | 14557 | GTEx | DepMap | Descartes | 0.00 | 0.00 |
SOX10 | -0.0005476 | 14913 | GTEx | DepMap | Descartes | 0.00 | 0.04 |
EDNRB | -0.0005802 | 15172 | GTEx | DepMap | Descartes | 0.01 | 0.06 |
OLFML2A | -0.0006039 | 15332 | GTEx | DepMap | Descartes | 0.00 | 0.02 |
PAG1 | -0.0006433 | 15619 | GTEx | DepMap | Descartes | 0.10 | 0.14 |
GRIK3 | -0.0007254 | 16169 | GTEx | DepMap | Descartes | 0.00 | 0.00 |
LAMA4 | -0.0007564 | 16376 | GTEx | DepMap | Descartes | 0.01 | 0.01 |
PLCE1 | -0.0007712 | 16457 | GTEx | DepMap | Descartes | 0.07 | 0.05 |
ADAMTS5 | -0.0007884 | 16564 | GTEx | DepMap | Descartes | 0.01 | 0.07 |
COL5A2 | -0.0008173 | 16725 | GTEx | DepMap | Descartes | 0.01 | 0.02 |
SLC35F1 | -0.0008895 | 17094 | GTEx | DepMap | Descartes | 0.01 | 0.00 |
ERBB3 | -0.0008899 | 17097 | GTEx | DepMap | Descartes | 0.00 | 0.07 |
Descartes Megakaryocytes markers
Top 50 marker genes of Megakaryocytes cells in the Decartes fetal adrenal single cell map (https://atlas.brotmanbaty.org/bbi/human-gene-expression-during-development/cell/megakaryocytes/in/adrenal)
Wilcoxon ranksum test P-value for gene set overrepresentation: 9.99e-01
Mean rank of genes in gene set: 13064.78
Median rank of genes in gene set: 15475
Rank on gene expression program of top 30 genes in gene set:
Genes | Weight | Rank | GTEx | DepMap | Descartes | Mean.Counts | Mean.TPM |
---|---|---|---|---|---|---|---|
HIPK2 | 0.0060913 | 208 | GTEx | DepMap | Descartes | 4.54 | 5.47 |
DOK6 | 0.0024937 | 1085 | GTEx | DepMap | Descartes | 0.16 | 0.09 |
ZYX | 0.0020066 | 1444 | GTEx | DepMap | Descartes | 1.47 | 28.05 |
PDE3A | 0.0018813 | 1547 | GTEx | DepMap | Descartes | 3.34 | 2.64 |
SLC2A3 | 0.0014166 | 2063 | GTEx | DepMap | Descartes | 0.61 | 1.85 |
LIMS1 | 0.0009426 | 2896 | GTEx | DepMap | Descartes | 1.57 | 3.34 |
TMSB4X | 0.0008008 | 3265 | GTEx | DepMap | Descartes | 96.93 | 9755.29 |
MED12L | 0.0006516 | 3678 | GTEx | DepMap | Descartes | 0.24 | 0.17 |
ANGPT1 | 0.0005488 | 4051 | GTEx | DepMap | Descartes | 0.10 | 0.10 |
PRKAR2B | 0.0005047 | 4213 | GTEx | DepMap | Descartes | 1.77 | 3.81 |
TUBB1 | 0.0004386 | 4486 | GTEx | DepMap | Descartes | 0.00 | 0.01 |
GP1BA | 0.0004316 | 4521 | GTEx | DepMap | Descartes | 0.00 | 0.02 |
PSTPIP2 | 0.0001908 | 5853 | GTEx | DepMap | Descartes | 0.06 | 0.15 |
PPBP | -0.0000903 | 9209 | GTEx | DepMap | Descartes | 0.00 | 0.00 |
GP9 | -0.0000943 | 9310 | GTEx | DepMap | Descartes | 0.00 | 0.00 |
MMRN1 | -0.0000981 | 9394 | GTEx | DepMap | Descartes | 0.00 | 0.00 |
ITGA2B | -0.0001183 | 9862 | GTEx | DepMap | Descartes | 0.01 | 0.20 |
GSN | -0.0001880 | 11186 | GTEx | DepMap | Descartes | 0.38 | 1.87 |
TRPC6 | -0.0002981 | 12723 | GTEx | DepMap | Descartes | 0.00 | 0.00 |
ITGB3 | -0.0004086 | 13813 | GTEx | DepMap | Descartes | 0.00 | 0.01 |
MCTP1 | -0.0004599 | 14267 | GTEx | DepMap | Descartes | 0.00 | 0.00 |
SPN | -0.0005334 | 14832 | GTEx | DepMap | Descartes | 0.00 | 0.03 |
PF4 | -0.0005361 | 14854 | GTEx | DepMap | Descartes | 0.03 | 6.39 |
TLN1 | -0.0006233 | 15472 | GTEx | DepMap | Descartes | 1.20 | 8.72 |
SLC24A3 | -0.0006238 | 15475 | GTEx | DepMap | Descartes | 0.00 | 0.00 |
BIN2 | -0.0009094 | 17184 | GTEx | DepMap | Descartes | 0.01 | 0.05 |
ARHGAP6 | -0.0009226 | 17255 | GTEx | DepMap | Descartes | 0.00 | 0.00 |
P2RX1 | -0.0010092 | 17643 | GTEx | DepMap | Descartes | 0.00 | 0.01 |
THBS1 | -0.0010303 | 17739 | GTEx | DepMap | Descartes | 0.02 | 0.29 |
FLI1 | -0.0010482 | 17832 | GTEx | DepMap | Descartes | 0.00 | 0.01 |
Descartes Lyphoid markers
Top 50 marker genes of Lyphoid cells in the Decartes fetal adrenal single cell map (https://atlas.brotmanbaty.org/bbi/human-gene-expression-during-development/cell/lymphoid/in/adrenal)
Wilcoxon ranksum test P-value for gene set overrepresentation: 1.00e+00
Mean rank of genes in gene set: 15217.3
Median rank of genes in gene set: 18010
Rank on gene expression program of top 30 genes in gene set:
Genes | Weight | Rank | GTEx | DepMap | Descartes | Mean.Counts | Mean.TPM |
---|---|---|---|---|---|---|---|
TMSB10 | 0.0134883 | 13 | GTEx | DepMap | Descartes | 184.06 | 26999.40 |
NCALD | 0.0047645 | 362 | GTEx | DepMap | Descartes | 1.15 | 0.61 |
MSN | 0.0032226 | 758 | GTEx | DepMap | Descartes | 2.38 | 8.31 |
GNG2 | 0.0017497 | 1675 | GTEx | DepMap | Descartes | 3.07 | 6.33 |
STK39 | 0.0005632 | 4000 | GTEx | DepMap | Descartes | 0.95 | 0.76 |
TOX | 0.0001192 | 6330 | GTEx | DepMap | Descartes | 0.29 | 0.22 |
FYN | 0.0000799 | 6673 | GTEx | DepMap | Descartes | 1.26 | 1.50 |
ARID5B | 0.0000533 | 6886 | GTEx | DepMap | Descartes | 0.53 | 0.55 |
SAMD3 | -0.0002091 | 11530 | GTEx | DepMap | Descartes | 0.00 | 0.00 |
CCL5 | -0.0002971 | 12709 | GTEx | DepMap | Descartes | 0.00 | 0.12 |
SCML4 | -0.0003894 | 13648 | GTEx | DepMap | Descartes | 0.04 | 0.12 |
NKG7 | -0.0004823 | 14428 | GTEx | DepMap | Descartes | 0.00 | 0.50 |
EVL | -0.0005984 | 15297 | GTEx | DepMap | Descartes | 2.42 | 4.20 |
MCTP2 | -0.0006449 | 15632 | GTEx | DepMap | Descartes | 0.00 | 0.00 |
SKAP1 | -0.0006661 | 15778 | GTEx | DepMap | Descartes | 0.00 | 0.00 |
DOCK10 | -0.0006914 | 15957 | GTEx | DepMap | Descartes | 0.46 | 0.37 |
RCSD1 | -0.0007983 | 16623 | GTEx | DepMap | Descartes | 0.00 | 0.02 |
PLEKHA2 | -0.0008119 | 16698 | GTEx | DepMap | Descartes | 0.01 | 0.03 |
CCND3 | -0.0008589 | 16928 | GTEx | DepMap | Descartes | 0.17 | 0.42 |
IKZF1 | -0.0008767 | 17020 | GTEx | DepMap | Descartes | 0.00 | 0.01 |
FAM65B | -0.0008783 | 17027 | GTEx | DepMap | Descartes | 0.18 | NA |
BCL2 | -0.0010670 | 17912 | GTEx | DepMap | Descartes | 0.19 | 0.23 |
PRKCH | -0.0011173 | 18108 | GTEx | DepMap | Descartes | 0.00 | 0.00 |
ARHGAP15 | -0.0011216 | 18120 | GTEx | DepMap | Descartes | 0.01 | 0.00 |
WIPF1 | -0.0011307 | 18155 | GTEx | DepMap | Descartes | 0.08 | 0.16 |
ITPKB | -0.0011308 | 18157 | GTEx | DepMap | Descartes | 0.01 | 0.03 |
SP100 | -0.0011393 | 18199 | GTEx | DepMap | Descartes | 0.01 | 0.04 |
BACH2 | -0.0012411 | 18554 | GTEx | DepMap | Descartes | 0.16 | 0.10 |
CELF2 | -0.0013152 | 18778 | GTEx | DepMap | Descartes | 0.83 | 0.18 |
SORL1 | -0.0013227 | 18796 | GTEx | DepMap | Descartes | 0.05 | 0.07 |
Below shows the ranks on this GEP for immune marker gene lists curated by CellTypist (https://www.celltypist.org/encyclopedia).
High ranks indicate this gene is a driver of this GEP.
These curated gene list are ranked by P-value (on this GEP) of their constituent genes.
The Mean Count column shows the mean read count in cells scoring highly (H > 50) on this gene expression program.
Genes | Weight | Rank | GTEx | DepMap | Decartes | Mean.Counts | Mean.TPM |
---|---|---|---|---|---|---|---|
GATA2 | 0.0047935 | 356 | GTEx | DepMap | Descartes | 1.36 | 26.89 |
PRSS57 | 0.0005411 | 4074 | GTEx | DepMap | Descartes | 0.01 | 0.24 |
B cells: Transitional B cells (model markers)
immature B cell precursors in the bone marrow which connect Pre-B cells with mature naive B cells and are subject to the process of B cell selection:
Wilcoxon ranksum test P-value for gene set overrepresentation: 4.22e-02
Mean rank of genes in gene set: 37
Rank on gene expression program of genes in gene set:
Genes | Weight | Rank | GTEx | DepMap | Decartes | Mean.Counts | Mean.TPM |
---|---|---|---|---|---|---|---|
GNG3 | 0.0098312 | 37 | GTEx | DepMap | Descartes | 8.71 | 901.44 |
T cells: Tem/Effector helper T cells PD1+ (model markers)
CD4+ helper T lymphocyte subpopulation in the thymus which features the expression of programmed cell death protein 1 (PD-1):
Wilcoxon ranksum test P-value for gene set overrepresentation: 5.48e-02
Mean rank of genes in gene set: 4888.67
Rank on gene expression program of genes in gene set:
Genes | Weight | Rank | GTEx | DepMap | Decartes | Mean.Counts | Mean.TPM |
---|---|---|---|---|---|---|---|
PANX2 | 0.0006853 | 3586 | GTEx | DepMap | Descartes | 0.06 | 1.06 |
INPP5J | 0.0006209 | 3775 | GTEx | DepMap | Descartes | 0.01 | 0.28 |
SOST | 0.0000097 | 7305 | GTEx | DepMap | Descartes | 0.00 | 0.09 |