Program description and justification of annotation: 19.
Submit a comment on this gene expression program’s interpretation: CLICK
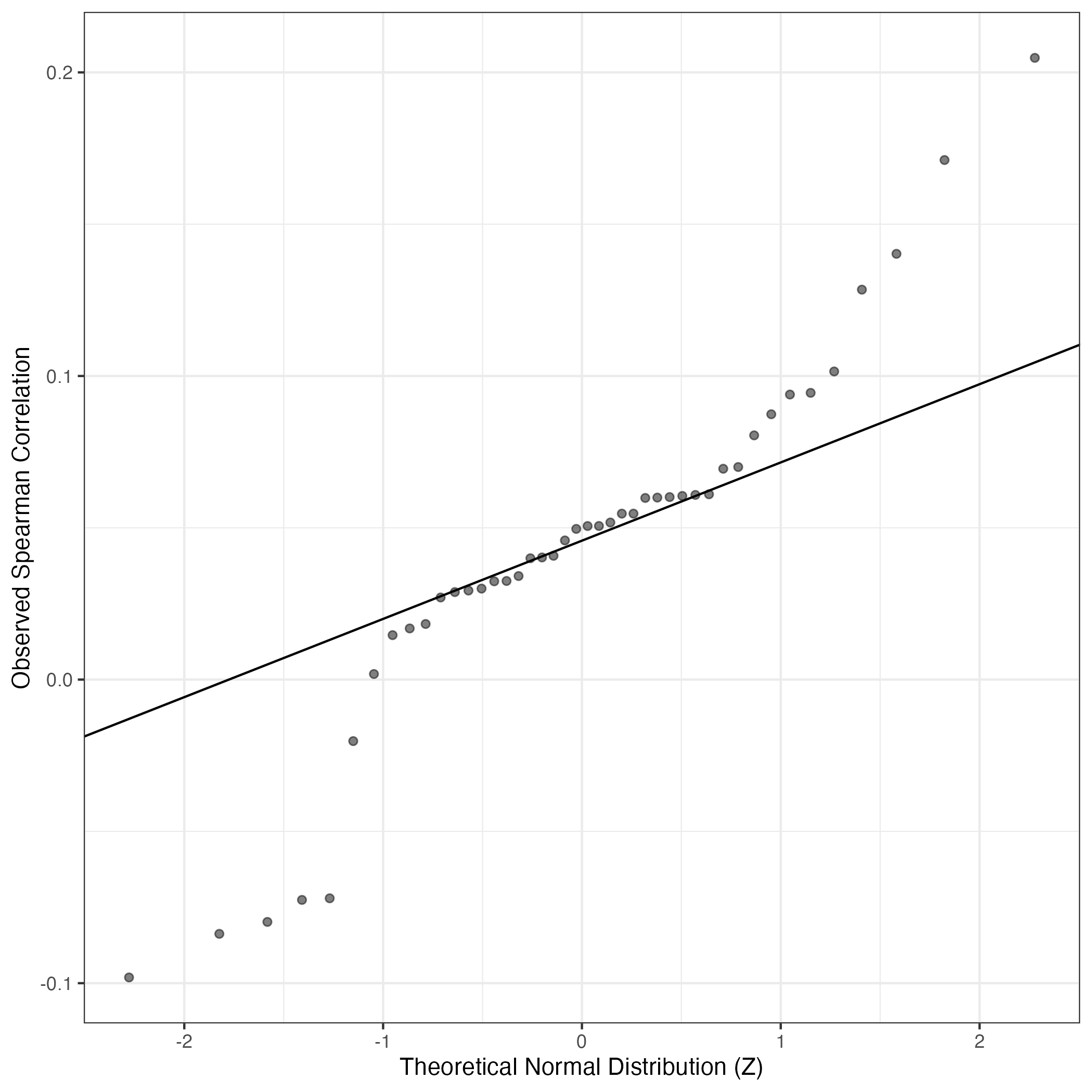
QQ-plot of gene loadings, averaged over both independent splits of the data
This plot highlights the relative contribution of each gene to the GEP
Top genes driving this program.
Note: Decartes website is buggy, try refreshing. Also, Decartes fetal adrenal data have been collected at specific time points (89-122 days), all possible cell types of interest may not be represented, do not overinterpret.
The Mean Count column shows the mean read count in cells scoring highly (H > 50) on this gene expression program.
Gene | Loading | Gene.Name | GTEx | DepMap | Descartes | Mean.Counts | Mean.Tpm | |
---|---|---|---|---|---|---|---|---|
1 | CBR2 | 0.0163387 | NA | GTEx | DepMap | Descartes | 2.30 | 295.05 |
2 | CD209F | 0.0162579 | NA | GTEx | DepMap | Descartes | 3.63 | 480.11 |
3 | CCL8 | 0.0153536 | C-C motif chemokine ligand 8 | GTEx | DepMap | Descartes | 15.48 | 2759.80 |
4 | F13A1 | 0.0149041 | coagulation factor XIII A chain | GTEx | DepMap | Descartes | 4.48 | 8.10 |
5 | FOLR2 | 0.0142125 | folate receptor beta | GTEx | DepMap | Descartes | 4.71 | 85.30 |
6 | FCNA | 0.0137511 | NA | GTEx | DepMap | Descartes | 7.56 | 703.20 |
7 | CD209G | 0.0133236 | NA | GTEx | DepMap | Descartes | 0.81 | 110.53 |
8 | CLEC10A | 0.0130769 | C-type lectin domain containing 10A | GTEx | DepMap | Descartes | 2.22 | 55.85 |
9 | MRC1 | 0.0126479 | mannose receptor C-type 1 | GTEx | DepMap | Descartes | 4.74 | 15.71 |
10 | EDNRB | 0.0111524 | endothelin receptor type B | GTEx | DepMap | Descartes | 2.02 | 24.57 |
11 | FCGRT | 0.0098918 | Fc gamma receptor and transporter | GTEx | DepMap | Descartes | 6.82 | 203.68 |
12 | DAB2 | 0.0093331 | DAB adaptor protein 2 | GTEx | DepMap | Descartes | 3.66 | 9.00 |
13 | CD163 | 0.0089668 | CD163 molecule | GTEx | DepMap | Descartes | 0.52 | 6.66 |
14 | CD209B | 0.0078541 | NA | GTEx | DepMap | Descartes | 0.18 | 10.09 |
15 | CALML4 | 0.0074270 | calmodulin like 4 | GTEx | DepMap | Descartes | 1.22 | 19.63 |
16 | CHP2 | 0.0073829 | calcineurin like EF-hand protein 2 | GTEx | DepMap | Descartes | 0.29 | 31.95 |
17 | NXPE5 | 0.0071347 | NA | GTEx | DepMap | Descartes | 0.69 | 7.66 |
18 | SEPP1 | 0.0070486 | NA | GTEx | DepMap | Descartes | 30.89 | NA |
19 | CCL12 | 0.0065274 | NA | GTEx | DepMap | Descartes | 2.13 | 492.83 |
20 | ABCA9 | 0.0064468 | ATP binding cassette subfamily A member 9 | GTEx | DepMap | Descartes | 0.35 | 1.89 |
21 | LYVE1 | 0.0063441 | lymphatic vessel endothelial hyaluronan receptor 1 | GTEx | DepMap | Descartes | 1.27 | 52.92 |
22 | PLTP | 0.0060866 | phospholipid transfer protein | GTEx | DepMap | Descartes | 11.67 | 201.08 |
23 | IFI27L2A | 0.0059792 | NA | GTEx | DepMap | Descartes | 20.73 | 4610.60 |
24 | GAS6 | 0.0059519 | growth arrest specific 6 | GTEx | DepMap | Descartes | 2.92 | 32.52 |
25 | NINJ1 | 0.0059030 | ninjurin 1 | GTEx | DepMap | Descartes | 9.13 | 311.13 |
26 | C4B | 0.0058099 | complement C4B (Chido blood group) | GTEx | DepMap | Descartes | 1.80 | 46.16 |
27 | WFDC17 | 0.0058056 | NA | GTEx | DepMap | Descartes | 109.26 | 12948.06 |
28 | TSLP | 0.0055343 | thymic stromal lymphopoietin | GTEx | DepMap | Descartes | 0.19 | 18.82 |
29 | CD209D | 0.0054365 | NA | GTEx | DepMap | Descartes | 0.58 | 41.38 |
30 | CCL6 | 0.0053566 | NA | GTEx | DepMap | Descartes | 25.41 | 1481.66 |
31 | SIGLEC1 | 0.0052693 | sialic acid binding Ig like lectin 1 | GTEx | DepMap | Descartes | 0.48 | 11.53 |
32 | C6 | 0.0052400 | complement C6 | GTEx | DepMap | Descartes | 0.05 | 0.22 |
33 | LTC4S | 0.0049252 | leukotriene C4 synthase | GTEx | DepMap | Descartes | 6.92 | 1028.29 |
34 | STAB1 | 0.0049036 | stabilin 1 | GTEx | DepMap | Descartes | 3.84 | 45.59 |
35 | FXYD2 | 0.0046957 | FXYD domain containing ion transport regulator 2 | GTEx | DepMap | Descartes | 0.78 | 25.26 |
36 | EPS8 | 0.0046192 | epidermal growth factor receptor pathway substrate 8 | GTEx | DepMap | Descartes | 0.66 | 1.42 |
37 | HPSE | 0.0044999 | heparanase | GTEx | DepMap | Descartes | 0.53 | 4.36 |
38 | BLVRB | 0.0044707 | biliverdin reductase B | GTEx | DepMap | Descartes | 5.83 | 96.27 |
39 | CFP | 0.0043025 | complement factor properdin | GTEx | DepMap | Descartes | 5.48 | 287.99 |
40 | SERPINB8 | 0.0042905 | serpin family B member 8 | GTEx | DepMap | Descartes | 0.28 | 5.04 |
41 | MAF | 0.0041150 | MAF bZIP transcription factor | GTEx | DepMap | Descartes | 3.59 | 49.43 |
42 | TIMP2 | 0.0040728 | TIMP metallopeptidase inhibitor 2 | GTEx | DepMap | Descartes | 14.58 | 78.75 |
43 | EHD4 | 0.0040531 | EH domain containing 4 | GTEx | DepMap | Descartes | 1.89 | 9.48 |
44 | C1QA | 0.0040390 | complement C1q A chain | GTEx | DepMap | Descartes | 61.35 | 6258.42 |
45 | CSF1R | 0.0039555 | colony stimulating factor 1 receptor | GTEx | DepMap | Descartes | 3.97 | 40.70 |
46 | CD209E | 0.0039023 | NA | GTEx | DepMap | Descartes | 0.01 | 0.87 |
47 | ALOX5 | 0.0038947 | arachidonate 5-lipoxygenase | GTEx | DepMap | Descartes | 0.17 | 1.06 |
48 | PF4 | 0.0038829 | platelet factor 4 | GTEx | DepMap | Descartes | 23.36 | 7881.01 |
49 | RNASE2A | 0.0038741 | NA | GTEx | DepMap | Descartes | 0.04 | 24.34 |
50 | FCGR2B | 0.0038234 | Fc gamma receptor IIb | GTEx | DepMap | Descartes | 3.76 | 71.77 |
UMAP plots showing activity of gene expression program identified in community:19. Dendritic Cell
CNV Data procured from inferCNV.
Outer tracks are putative CNV regions (gains = red, losses = blue) for each patient
Inner track is expression data representing:
The top cells expressing this GEP (purple)
Random cells (n =50) from the reference set used in inferCNV (orange)
Gene set Enrichments for this program, caculated from top 50 genes
mSigDB Cell Types Gene Set:
P-value | OR | Lower 95% CI | FDR | FWER | Genes Found | Gene Set Size | |
---|---|---|---|---|---|---|---|
TRAVAGLINI_LUNG_IGSF21_DENDRITIC_CELL | 1.19e-15 | 123.57 | 49.31 | 3.98e-13 | 7.96e-13 | 9F13A1, FOLR2, MRC1, DAB2, PLTP, STAB1, C1QA, CSF1R, FCGR2B |
46 |
AIZARANI_LIVER_C6_KUPFFER_CELLS_2 | 1.25e-16 | 37.96 | 18.64 | 8.40e-14 | 8.40e-14 | 14F13A1, FOLR2, MRC1, FCGRT, DAB2, CD163, LYVE1, PLTP, BLVRB, CFP, MAF, C1QA, CSF1R, ALOX5 |
228 |
GAO_LARGE_INTESTINE_24W_C11_PANETH_LIKE_CELL | 4.15e-13 | 23.53 | 11.36 | 6.96e-11 | 2.78e-10 | 13F13A1, CLEC10A, MRC1, DAB2, CD163, LYVE1, NINJ1, SIGLEC1, STAB1, CFP, MAF, C1QA, CSF1R |
325 |
ZHONG_PFC_MAJOR_TYPES_MICROGLIA | 4.31e-14 | 21.18 | 10.66 | 9.63e-12 | 2.89e-11 | 15FOLR2, MRC1, FCGRT, DAB2, PLTP, GAS6, NINJ1, LTC4S, STAB1, BLVRB, MAF, TIMP2, C1QA, CSF1R, ALOX5 |
438 |
CUI_DEVELOPING_HEART_C8_MACROPHAGE | 3.38e-11 | 22.32 | 10.19 | 3.78e-09 | 2.27e-08 | 11F13A1, FOLR2, MRC1, FCGRT, CD163, NINJ1, STAB1, MAF, C1QA, CSF1R, ALOX5 |
275 |
AIZARANI_LIVER_C13_LSECS_2 | 4.58e-11 | 21.67 | 9.90 | 4.39e-09 | 3.07e-08 | 11MRC1, EDNRB, FCGRT, DAB2, LYVE1, PLTP, STAB1, CFP, MAF, TIMP2, FCGR2B |
283 |
DESCARTES_FETAL_INTESTINE_MYELOID_CELLS | 2.73e-09 | 21.03 | 8.88 | 2.03e-07 | 1.83e-06 | 9F13A1, FOLR2, CLEC10A, CD163, SIGLEC1, STAB1, CFP, C1QA, CSF1R |
227 |
AIZARANI_LIVER_C2_KUPFFER_CELLS_1 | 2.12e-08 | 20.72 | 8.29 | 1.42e-06 | 1.42e-05 | 8F13A1, CLEC10A, MRC1, CD163, C1QA, CSF1R, ALOX5, FCGR2B |
200 |
MANNO_MIDBRAIN_NEUROTYPES_HMGL | 2.09e-12 | 15.94 | 8.04 | 2.81e-10 | 1.41e-09 | 15FOLR2, MRC1, FCGRT, DAB2, CD163, GAS6, NINJ1, SIGLEC1, STAB1, HPSE, BLVRB, MAF, C1QA, CSF1R, ALOX5 |
577 |
DESCARTES_FETAL_MUSCLE_MYELOID_CELLS | 6.23e-07 | 22.96 | 7.86 | 2.87e-05 | 4.18e-04 | 6FOLR2, CD163, SIGLEC1, CFP, C1QA, CSF1R |
130 |
DESCARTES_MAIN_FETAL_MYELOID_CELLS | 3.37e-06 | 25.24 | 7.64 | 1.26e-04 | 2.26e-03 | 5CLEC10A, CD163, SIGLEC1, STAB1, C1QA |
97 |
FAN_EMBRYONIC_CTX_BIG_GROUPS_MICROGLIA | 7.77e-10 | 16.38 | 7.50 | 6.52e-08 | 5.22e-07 | 11FOLR2, MRC1, FCGRT, DAB2, GAS6, NINJ1, LTC4S, STAB1, MAF, C1QA, CSF1R |
371 |
DESCARTES_FETAL_PANCREAS_MYELOID_CELLS | 6.85e-08 | 17.69 | 7.09 | 4.18e-06 | 4.60e-05 | 8F13A1, FOLR2, CLEC10A, CD163, SIGLEC1, CFP, C1QA, CSF1R |
233 |
DESCARTES_FETAL_PLACENTA_MYELOID_CELLS | 1.23e-06 | 20.35 | 6.97 | 4.84e-05 | 8.22e-04 | 6FOLR2, CD163, PLTP, SIGLEC1, STAB1, C1QA |
146 |
DESCARTES_FETAL_ADRENAL_MYELOID_CELLS | 4.50e-06 | 16.10 | 5.53 | 1.59e-04 | 3.02e-03 | 6FOLR2, CLEC10A, CD163, SIGLEC1, C1QA, CSF1R |
183 |
DESCARTES_FETAL_HEART_MYELOID_CELLS | 1.62e-05 | 17.99 | 5.49 | 4.53e-04 | 1.09e-02 | 5CLEC10A, CD163, SIGLEC1, C1QA, CSF1R |
134 |
HU_FETAL_RETINA_MICROGLIA | 2.26e-07 | 12.30 | 5.22 | 1.17e-05 | 1.52e-04 | 9FOLR2, FCGRT, GAS6, NINJ1, STAB1, MAF, C1QA, CSF1R, ALOX5 |
382 |
TRAVAGLINI_LUNG_MACROPHAGE_CELL | 7.67e-06 | 14.61 | 5.03 | 2.45e-04 | 5.15e-03 | 6MRC1, FCGRT, DAB2, CD163, SIGLEC1, C1QA |
201 |
DESCARTES_FETAL_EYE_MICROGLIA | 2.87e-05 | 15.90 | 4.86 | 7.41e-04 | 1.93e-02 | 5F13A1, LYVE1, STAB1, C1QA, CSF1R |
151 |
DESCARTES_FETAL_LIVER_MYELOID_CELLS | 9.56e-06 | 14.04 | 4.83 | 2.92e-04 | 6.42e-03 | 6FOLR2, CD163, SIGLEC1, CFP, C1QA, CSF1R |
209 |
Dowload full table
mSigDB Hallmark Gene Sets:
P-value | OR | Lower 95% CI | FDR | FWER | Genes Found | Gene Set Size | |
---|---|---|---|---|---|---|---|
HALLMARK_ALLOGRAFT_REJECTION | 1.27e-03 | 9.27 | 2.40 | 6.36e-02 | 6.36e-02 | 4STAB1, CFP, PF4, FCGR2B |
200 |
HALLMARK_COAGULATION | 4.25e-02 | 6.40 | 0.75 | 6.86e-01 | 1.00e+00 | 2C1QA, PF4 |
138 |
HALLMARK_TNFA_SIGNALING_VIA_NFKB | 8.11e-02 | 4.40 | 0.51 | 6.86e-01 | 1.00e+00 | 2NINJ1, SERPINB8 |
200 |
HALLMARK_COMPLEMENT | 8.11e-02 | 4.40 | 0.51 | 6.86e-01 | 1.00e+00 | 2TIMP2, C1QA |
200 |
HALLMARK_XENOBIOTIC_METABOLISM | 8.11e-02 | 4.40 | 0.51 | 6.86e-01 | 1.00e+00 | 2NINJ1, BLVRB |
200 |
HALLMARK_ANGIOGENESIS | 8.24e-02 | 12.18 | 0.29 | 6.86e-01 | 1.00e+00 | 1PF4 |
36 |
HALLMARK_IL6_JAK_STAT3_SIGNALING | 1.87e-01 | 4.96 | 0.12 | 9.01e-01 | 1.00e+00 | 1PF4 |
87 |
HALLMARK_ANDROGEN_RESPONSE | 2.12e-01 | 4.31 | 0.11 | 9.01e-01 | 1.00e+00 | 1MAF |
100 |
HALLMARK_BILE_ACID_METABOLISM | 2.34e-01 | 3.84 | 0.09 | 9.01e-01 | 1.00e+00 | 1ABCA9 |
112 |
HALLMARK_UV_RESPONSE_DN | 2.90e-01 | 2.98 | 0.07 | 9.01e-01 | 1.00e+00 | 1DAB2 |
144 |
HALLMARK_FATTY_ACID_METABOLISM | 3.13e-01 | 2.72 | 0.07 | 9.01e-01 | 1.00e+00 | 1LTC4S |
158 |
HALLMARK_APOPTOSIS | 3.18e-01 | 2.67 | 0.07 | 9.01e-01 | 1.00e+00 | 1TIMP2 |
161 |
HALLMARK_ADIPOGENESIS | 3.78e-01 | 2.14 | 0.05 | 9.01e-01 | 1.00e+00 | 1LTC4S |
200 |
HALLMARK_ESTROGEN_RESPONSE_EARLY | 3.78e-01 | 2.14 | 0.05 | 9.01e-01 | 1.00e+00 | 1BLVRB |
200 |
HALLMARK_ESTROGEN_RESPONSE_LATE | 3.78e-01 | 2.14 | 0.05 | 9.01e-01 | 1.00e+00 | 1BLVRB |
200 |
HALLMARK_MTORC1_SIGNALING | 3.78e-01 | 2.14 | 0.05 | 9.01e-01 | 1.00e+00 | 1CFP |
200 |
HALLMARK_EPITHELIAL_MESENCHYMAL_TRANSITION | 3.78e-01 | 2.14 | 0.05 | 9.01e-01 | 1.00e+00 | 1DAB2 |
200 |
HALLMARK_INFLAMMATORY_RESPONSE | 3.78e-01 | 2.14 | 0.05 | 9.01e-01 | 1.00e+00 | 1STAB1 |
200 |
HALLMARK_P53_PATHWAY | 3.78e-01 | 2.14 | 0.05 | 9.01e-01 | 1.00e+00 | 1NINJ1 |
200 |
HALLMARK_HEME_METABOLISM | 3.78e-01 | 2.14 | 0.05 | 9.01e-01 | 1.00e+00 | 1BLVRB |
200 |
Dowload full table
KEGG Pathways:
P-value | OR | Lower 95% CI | FDR | FWER | Genes Found | Gene Set Size | |
---|---|---|---|---|---|---|---|
KEGG_COMPLEMENT_AND_COAGULATION_CASCADES | 2.19e-05 | 27.94 | 7.10 | 4.06e-03 | 4.06e-03 | 4F13A1, C4B, C6, C1QA |
69 |
KEGG_SYSTEMIC_LUPUS_ERYTHEMATOSUS | 3.29e-04 | 13.45 | 3.47 | 3.06e-02 | 6.12e-02 | 4C4B, C6, C1QA, FCGR2B |
139 |
KEGG_PRION_DISEASES | 3.15e-03 | 26.37 | 2.98 | 1.62e-01 | 5.86e-01 | 2C6, C1QA |
35 |
KEGG_CYTOKINE_CYTOKINE_RECEPTOR_INTERACTION | 3.49e-03 | 6.96 | 1.81 | 1.62e-01 | 6.49e-01 | 4CCL8, TSLP, CSF1R, PF4 |
265 |
KEGG_ARACHIDONIC_ACID_METABOLISM | 8.43e-03 | 15.54 | 1.79 | 2.80e-01 | 1.00e+00 | 2LTC4S, ALOX5 |
58 |
KEGG_ENDOCYTOSIS | 9.02e-03 | 7.49 | 1.48 | 2.80e-01 | 1.00e+00 | 3DAB2, EHD4, CSF1R |
181 |
KEGG_B_CELL_RECEPTOR_SIGNALING_PATHWAY | 1.38e-02 | 11.92 | 1.38 | 3.66e-01 | 1.00e+00 | 2CHP2, FCGR2B |
75 |
KEGG_CALCIUM_SIGNALING_PATHWAY | 6.65e-02 | 4.95 | 0.58 | 1.00e+00 | 1.00e+00 | 2EDNRB, CHP2 |
178 |
KEGG_CHEMOKINE_SIGNALING_PATHWAY | 7.37e-02 | 4.66 | 0.54 | 1.00e+00 | 1.00e+00 | 2CCL8, PF4 |
189 |
KEGG_GLYCOSAMINOGLYCAN_DEGRADATION | 4.89e-02 | 21.31 | 0.50 | 1.00e+00 | 1.00e+00 | 1HPSE |
21 |
KEGG_PROXIMAL_TUBULE_BICARBONATE_RECLAMATION | 5.34e-02 | 19.36 | 0.46 | 1.00e+00 | 1.00e+00 | 1FXYD2 |
23 |
KEGG_PORPHYRIN_AND_CHLOROPHYLL_METABOLISM | 9.32e-02 | 10.66 | 0.26 | 1.00e+00 | 1.00e+00 | 1BLVRB |
41 |
KEGG_ALDOSTERONE_REGULATED_SODIUM_REABSORPTION | 9.54e-02 | 10.40 | 0.25 | 1.00e+00 | 1.00e+00 | 1FXYD2 |
42 |
KEGG_ABC_TRANSPORTERS | 9.97e-02 | 9.91 | 0.24 | 1.00e+00 | 1.00e+00 | 1ABCA9 |
44 |
KEGG_AMYOTROPHIC_LATERAL_SCLEROSIS_ALS | 1.19e-01 | 8.20 | 0.20 | 1.00e+00 | 1.00e+00 | 1CHP2 |
53 |
KEGG_NOD_LIKE_RECEPTOR_SIGNALING_PATHWAY | 1.38e-01 | 6.99 | 0.17 | 1.00e+00 | 1.00e+00 | 1CCL8 |
62 |
KEGG_PPAR_SIGNALING_PATHWAY | 1.52e-01 | 6.27 | 0.15 | 1.00e+00 | 1.00e+00 | 1PLTP |
69 |
KEGG_LONG_TERM_POTENTIATION | 1.54e-01 | 6.18 | 0.15 | 1.00e+00 | 1.00e+00 | 1CHP2 |
70 |
KEGG_VEGF_SIGNALING_PATHWAY | 1.66e-01 | 5.69 | 0.14 | 1.00e+00 | 1.00e+00 | 1CHP2 |
76 |
KEGG_CARDIAC_MUSCLE_CONTRACTION | 1.72e-01 | 5.47 | 0.13 | 1.00e+00 | 1.00e+00 | 1FXYD2 |
79 |
Dowload full table
CHR Positional Gene Sets:
P-value | OR | Lower 95% CI | FDR | FWER | Genes Found | Gene Set Size | |
---|---|---|---|---|---|---|---|
chr5p13 | 3.71e-02 | 6.91 | 0.80 | 1.00e+00 | 1.00e+00 | 2DAB2, C6 |
128 |
chr5q22 | 1.23e-01 | 7.90 | 0.19 | 1.00e+00 | 1.00e+00 | 1TSLP |
55 |
chr13q22 | 1.35e-01 | 7.11 | 0.17 | 1.00e+00 | 1.00e+00 | 1EDNRB |
61 |
chr18q22 | 1.35e-01 | 7.11 | 0.17 | 1.00e+00 | 1.00e+00 | 1SERPINB8 |
61 |
chr15q23 | 1.44e-01 | 6.66 | 0.16 | 1.00e+00 | 1.00e+00 | 1CALML4 |
65 |
chr6p25 | 1.78e-01 | 5.27 | 0.13 | 1.00e+00 | 1.00e+00 | 1F13A1 |
82 |
chr17q24 | 2.01e-01 | 4.59 | 0.11 | 1.00e+00 | 1.00e+00 | 1ABCA9 |
94 |
chr16q23 | 2.20e-01 | 4.14 | 0.10 | 1.00e+00 | 1.00e+00 | 1MAF |
104 |
chr12p12 | 2.25e-01 | 4.02 | 0.10 | 1.00e+00 | 1.00e+00 | 1EPS8 |
107 |
chr20p13 | 2.43e-01 | 3.68 | 0.09 | 1.00e+00 | 1.00e+00 | 1SIGLEC1 |
117 |
chr19q13 | 1.00e+00 | 0.75 | 0.09 | 1.00e+00 | 1.00e+00 | 2FCGRT, BLVRB |
1165 |
chr10p12 | 2.75e-01 | 3.18 | 0.08 | 1.00e+00 | 1.00e+00 | 1MRC1 |
135 |
chr15q15 | 2.89e-01 | 3.00 | 0.07 | 1.00e+00 | 1.00e+00 | 1EHD4 |
143 |
chr17q12 | 2.89e-01 | 3.00 | 0.07 | 1.00e+00 | 1.00e+00 | 1CCL8 |
143 |
chr16p12 | 3.23e-01 | 2.62 | 0.06 | 1.00e+00 | 1.00e+00 | 1CHP2 |
164 |
chr10q11 | 3.55e-01 | 2.33 | 0.06 | 1.00e+00 | 1.00e+00 | 1ALOX5 |
184 |
chr9q22 | 3.56e-01 | 2.32 | 0.06 | 1.00e+00 | 1.00e+00 | 1NINJ1 |
185 |
chr11q23 | 3.86e-01 | 2.09 | 0.05 | 1.00e+00 | 1.00e+00 | 1FXYD2 |
205 |
chr1q23 | 4.03e-01 | 1.97 | 0.05 | 1.00e+00 | 1.00e+00 | 1FCGR2B |
217 |
chr5q35 | 4.10e-01 | 1.93 | 0.05 | 1.00e+00 | 1.00e+00 | 1LTC4S |
222 |
Dowload full table
Transcription Factor Targets:
P-value | OR | Lower 95% CI | FDR | FWER | Genes Found | Gene Set Size | |
---|---|---|---|---|---|---|---|
NR2E3_TARGET_GENES | 1.42e-02 | 84.98 | 1.77 | 1.00e+00 | 1.00e+00 | 1EPS8 |
6 |
E4F1_Q6 | 3.14e-02 | 4.62 | 0.91 | 1.00e+00 | 1.00e+00 | 3NINJ1, MAF, EHD4 |
292 |
ARGGGTTAA_UNKNOWN | 3.40e-02 | 7.26 | 0.84 | 1.00e+00 | 1.00e+00 | 2BLVRB, MAF |
122 |
GTGACGY_E4F1_Q6 | 6.90e-02 | 2.72 | 0.71 | 1.00e+00 | 1.00e+00 | 4NINJ1, BLVRB, MAF, EHD4 |
671 |
HNF3ALPHA_Q6 | 8.88e-02 | 4.17 | 0.49 | 1.00e+00 | 1.00e+00 | 2MAF, C1QA |
211 |
NFKAPPAB65_01 | 1.11e-01 | 3.64 | 0.43 | 1.00e+00 | 1.00e+00 | 2TSLP, CSF1R |
241 |
WTGAAAT_UNKNOWN | 1.76e-01 | 2.14 | 0.43 | 1.00e+00 | 1.00e+00 | 3CCL8, MAF, EHD4 |
625 |
ZNF362_TARGET_GENES | 1.78e-01 | 2.13 | 0.42 | 1.00e+00 | 1.00e+00 | 3BLVRB, MAF, PF4 |
628 |
HNF1_01 | 1.14e-01 | 3.57 | 0.42 | 1.00e+00 | 1.00e+00 | 2DAB2, FXYD2 |
246 |
FOXM1_01 | 1.16e-01 | 3.54 | 0.41 | 1.00e+00 | 1.00e+00 | 2MAF, EHD4 |
248 |
ELF1_Q6 | 1.17e-01 | 3.53 | 0.41 | 1.00e+00 | 1.00e+00 | 2STAB1, C1QA |
249 |
HMGIY_Q6 | 1.20e-01 | 3.47 | 0.41 | 1.00e+00 | 1.00e+00 | 2LYVE1, FXYD2 |
253 |
TAL1BETAE47_01 | 1.21e-01 | 3.44 | 0.40 | 1.00e+00 | 1.00e+00 | 2EHD4, C1QA |
255 |
AP2_Q3 | 1.21e-01 | 3.44 | 0.40 | 1.00e+00 | 1.00e+00 | 2STAB1, MAF |
255 |
CREL_01 | 1.23e-01 | 3.41 | 0.40 | 1.00e+00 | 1.00e+00 | 2TSLP, CSF1R |
257 |
TAL1ALPHAE47_01 | 1.24e-01 | 3.40 | 0.40 | 1.00e+00 | 1.00e+00 | 2MAF, EHD4 |
258 |
NFKB_Q6 | 1.24e-01 | 3.40 | 0.40 | 1.00e+00 | 1.00e+00 | 2TSLP, FXYD2 |
258 |
P53_DECAMER_Q2 | 1.24e-01 | 3.40 | 0.40 | 1.00e+00 | 1.00e+00 | 2BLVRB, MAF |
258 |
NRF2_Q4 | 1.24e-01 | 3.40 | 0.40 | 1.00e+00 | 1.00e+00 | 2CLEC10A, BLVRB |
258 |
STAT6_02 | 1.25e-01 | 3.38 | 0.40 | 1.00e+00 | 1.00e+00 | 2LTC4S, STAB1 |
260 |
Dowload full table
GO Biological Processes:
P-value | OR | Lower 95% CI | FDR | FWER | Genes Found | Gene Set Size | |
---|---|---|---|---|---|---|---|
GOBP_LIPOXIN_METABOLIC_PROCESS | 1.55e-04 | 144.44 | 13.92 | 7.35e-02 | 1.00e+00 | 2LTC4S, ALOX5 |
8 |
GOBP_DENDRITIC_CELL_MIGRATION | 4.46e-05 | 51.17 | 9.60 | 4.17e-02 | 3.33e-01 | 3GAS6, EPS8, ALOX5 |
29 |
GOBP_LIPOXYGENASE_PATHWAY | 6.55e-04 | 62.06 | 6.67 | 2.13e-01 | 1.00e+00 | 2LTC4S, ALOX5 |
16 |
GOBP_MULTI_ORGANISM_CELLULAR_PROCESS | 6.55e-04 | 62.06 | 6.67 | 2.13e-01 | 1.00e+00 | 2GAS6, SIGLEC1 |
16 |
GOBP_REGULATION_OF_HUMORAL_IMMUNE_RESPONSE | 1.80e-05 | 17.58 | 5.36 | 2.62e-02 | 1.35e-01 | 5C4B, C6, CFP, C1QA, FCGR2B |
137 |
GOBP_LEUKOTRIENE_BIOSYNTHETIC_PROCESS | 1.14e-03 | 45.73 | 5.03 | 2.74e-01 | 1.00e+00 | 2LTC4S, ALOX5 |
21 |
GOBP_VASCULAR_WOUND_HEALING | 1.14e-03 | 45.73 | 5.03 | 2.74e-01 | 1.00e+00 | 2HPSE, ALOX5 |
21 |
GOBP_LEUKOCYTE_CHEMOTAXIS | 1.45e-05 | 13.01 | 4.48 | 2.62e-02 | 1.08e-01 | 6CCL8, EDNRB, GAS6, CSF1R, ALOX5, PF4 |
225 |
GOBP_REGULATION_OF_COMPLEMENT_ACTIVATION | 1.55e-04 | 16.51 | 4.25 | 7.35e-02 | 1.00e+00 | 4C4B, C6, CFP, C1QA |
114 |
GOBP_INFLAMMATORY_RESPONSE | 1.33e-07 | 8.68 | 4.11 | 4.96e-04 | 9.91e-04 | 12CCL8, FOLR2, EDNRB, CD163, C4B, TSLP, SIGLEC1, STAB1, CSF1R, ALOX5, PF4, FCGR2B |
773 |
GOBP_POSITIVE_REGULATION_OF_PHAGOCYTOSIS | 5.45e-04 | 20.83 | 4.04 | 2.04e-01 | 1.00e+00 | 3GAS6, C4B, FCGR2B |
67 |
GOBP_MONONUCLEAR_CELL_MIGRATION | 8.28e-05 | 12.62 | 3.86 | 5.63e-02 | 6.20e-01 | 5CCL8, GAS6, EPS8, CSF1R, ALOX5 |
189 |
GOBP_ANGIOGENESIS_INVOLVED_IN_WOUND_HEALING | 2.17e-03 | 32.21 | 3.61 | 3.52e-01 | 1.00e+00 | 2HPSE, ALOX5 |
29 |
GOBP_HUMORAL_IMMUNE_RESPONSE | 2.48e-05 | 9.29 | 3.50 | 2.65e-02 | 1.85e-01 | 7C4B, C6, CFP, C1QA, ALOX5, PF4, FCGR2B |
373 |
GOBP_CELLULAR_RESPONSE_TO_VITAMIN | 2.32e-03 | 31.06 | 3.49 | 3.54e-01 | 1.00e+00 | 2FOLR2, GAS6 |
30 |
GOBP_MODULATION_BY_HOST_OF_VIRAL_PROCESS | 2.48e-03 | 30.00 | 3.38 | 3.63e-01 | 1.00e+00 | 2CCL8, CSF1R |
31 |
GOBP_REGULATION_OF_ADENYLATE_CYCLASE_ACTIVITY | 2.48e-03 | 30.00 | 3.38 | 3.63e-01 | 1.00e+00 | 2EDNRB, TIMP2 |
31 |
GOBP_CELL_CHEMOTAXIS | 7.77e-05 | 9.53 | 3.29 | 5.63e-02 | 5.81e-01 | 6CCL8, EDNRB, GAS6, CSF1R, ALOX5, PF4 |
305 |
GOBP_REGULATION_OF_RENAL_SYSTEM_PROCESS | 2.64e-03 | 29.00 | 3.27 | 3.72e-01 | 1.00e+00 | 2EDNRB, GAS6 |
32 |
GOBP_HUMORAL_IMMUNE_RESPONSE_MEDIATED_BY_CIRCULATING_IMMUNOGLOBULIN | 4.27e-04 | 12.53 | 3.23 | 1.68e-01 | 1.00e+00 | 4C4B, C6, C1QA, FCGR2B |
149 |
Dowload full table
Immunological Gene Sets:
P-value | OR | Lower 95% CI | FDR | FWER | Genes Found | Gene Set Size | |
---|---|---|---|---|---|---|---|
GSE22140_HEALTHY_VS_ARTHRITIC_GERMFREE_MOUSE_CD4_TCELL_DN | 3.37e-11 | 27.47 | 12.08 | 1.64e-07 | 1.64e-07 | 10CCL8, F13A1, FOLR2, MRC1, CD163, PLTP, STAB1, BLVRB, SERPINB8, TIMP2 |
200 |
GSE6259_FLT3L_INDUCED_33D1_POS_DC_VS_CD4_TCELL_UP | 2.28e-10 | 28.29 | 11.90 | 5.55e-07 | 1.11e-06 | 9CCL8, FOLR2, CD163, ABCA9, LYVE1, STAB1, BLVRB, MAF, ALOX5 |
171 |
GSE15767_MED_VS_SCS_MAC_LN_UP | 9.05e-10 | 24.01 | 10.12 | 8.82e-07 | 4.41e-06 | 9CLEC10A, CALML4, GAS6, NINJ1, TSLP, SIGLEC1, C6, STAB1, FXYD2 |
200 |
GSE24634_IL4_VS_CTRL_TREATED_NAIVE_CD4_TCELL_DAY5_UP | 9.05e-10 | 24.01 | 10.12 | 8.82e-07 | 4.41e-06 | 9F13A1, MRC1, GAS6, NINJ1, BLVRB, CFP, EHD4, CSF1R, ALOX5 |
200 |
GSE22140_GERMFREE_VS_SPF_MOUSE_CD4_TCELL_DN | 9.05e-10 | 24.01 | 10.12 | 8.82e-07 | 4.41e-06 | 9MRC1, DAB2, CD163, PLTP, STAB1, BLVRB, SERPINB8, TIMP2, CSF1R |
200 |
GSE21360_TERTIARY_VS_QUATERNARY_MEMORY_CD8_TCELL_UP | 1.02e-08 | 22.86 | 9.14 | 8.31e-06 | 4.98e-05 | 8F13A1, FCGRT, DAB2, CD163, LTC4S, STAB1, EPS8, HPSE |
182 |
GSE6259_FLT3L_INDUCED_33D1_POS_DC_VS_CD8_TCELL_UP | 5.12e-08 | 24.45 | 9.13 | 2.77e-05 | 2.50e-04 | 7F13A1, FOLR2, MRC1, CD163, LYVE1, EPS8, EHD4 |
146 |
GSE29618_MONOCYTE_VS_PDC_UP | 2.04e-08 | 20.82 | 8.34 | 1.29e-05 | 9.95e-05 | 8CD163, CALML4, HPSE, BLVRB, CFP, TIMP2, CSF1R, ALOX5 |
199 |
GSE24634_TREG_VS_TCONV_POST_DAY10_IL4_CONVERSION_DN | 2.12e-08 | 20.72 | 8.29 | 1.29e-05 | 1.03e-04 | 8CLEC10A, MRC1, FCGRT, CD163, BLVRB, TIMP2, C1QA, CSF1R |
200 |
GSE21360_NAIVE_VS_PRIMARY_MEMORY_CD8_TCELL_UP | 1.69e-07 | 20.37 | 7.62 | 8.23e-05 | 8.23e-04 | 7F13A1, FCGRT, CD163, CALML4, GAS6, EPS8, FCGR2B |
174 |
GSE6259_FLT3L_INDUCED_VS_WT_SPLENIC_DC_33D1_POS_UP | 1.97e-07 | 19.88 | 7.44 | 8.72e-05 | 9.60e-04 | 7FOLR2, CLEC10A, SIGLEC1, FXYD2, SERPINB8, C1QA, ALOX5 |
178 |
GSE360_T_GONDII_VS_B_MALAYI_LOW_DOSE_DC_DN | 4.17e-07 | 17.72 | 6.64 | 1.31e-04 | 2.03e-03 | 7F13A1, FOLR2, MRC1, C6, STAB1, MAF, ALOX5 |
199 |
GSE10325_BCELL_VS_MYELOID_DN | 4.31e-07 | 17.62 | 6.61 | 1.31e-04 | 2.10e-03 | 7CLEC10A, FCGRT, CD163, CALML4, BLVRB, CFP, CSF1R |
200 |
GSE10325_LUPUS_BCELL_VS_LUPUS_MYELOID_DN | 4.31e-07 | 17.62 | 6.61 | 1.31e-04 | 2.10e-03 | 7FCGRT, CD163, STAB1, HPSE, BLVRB, CFP, CSF1R |
200 |
GSE24634_TEFF_VS_TCONV_DAY10_IN_CULTURE_DN | 4.31e-07 | 17.62 | 6.61 | 1.31e-04 | 2.10e-03 | 7CLEC10A, MRC1, DAB2, NINJ1, BLVRB, EHD4, C1QA |
200 |
GSE25123_WT_VS_PPARG_KO_MACROPHAGE_ROSIGLITAZONE_STIM_UP | 4.31e-07 | 17.62 | 6.61 | 1.31e-04 | 2.10e-03 | 7FOLR2, FCGRT, DAB2, GAS6, LTC4S, MAF, C1QA |
200 |
GSE24634_TREG_VS_TCONV_POST_DAY7_IL4_CONVERSION_DN | 7.04e-06 | 14.84 | 5.11 | 1.21e-03 | 3.43e-02 | 6FCGRT, CD163, TIMP2, C1QA, ALOX5, FCGR2B |
198 |
GSE5589_WT_VS_IL6_KO_LPS_AND_IL6_STIM_MACROPHAGE_45MIN_UP | 7.25e-06 | 14.77 | 5.08 | 1.21e-03 | 3.53e-02 | 6FOLR2, EDNRB, FXYD2, C1QA, PF4, FCGR2B |
199 |
GSE19401_NAIVE_VS_IMMUNIZED_MOUSE_PLN_FOLLICULAR_DC_UP | 7.25e-06 | 14.77 | 5.08 | 1.21e-03 | 3.53e-02 | 6F13A1, MRC1, CD163, PLTP, STAB1, SERPINB8 |
199 |
GSE10325_LUPUS_CD4_TCELL_VS_LUPUS_MYELOID_DN | 7.45e-06 | 14.69 | 5.06 | 1.21e-03 | 3.63e-02 | 6FCGRT, STAB1, BLVRB, CFP, TIMP2, CSF1R |
200 |
Top Ranked Transcription Factors for this Gene Expression Program:
Gene Symbol | TF Rank | DNA Binding Domain | Motif Status | IUPAC PWM | GTEx | DepMap | Decartes |
---|---|---|---|---|---|---|---|
GAS6 | 24 | No | Unlikely to be sequence specific TF | Not a DNA binding protein | No motif | None | None |
MAF | 41 | Yes | Known motif | Monomer or homomultimer | High-throughput in vitro | None | None |
HMOX1 | 117 | No | Unlikely to be sequence specific TF | Not a DNA binding protein | No motif | None | Well characterized enzyme with no additional domains. Included only because GO lists it as a regulator of TFs. No support for DNA binding activity. |
SEMA4A | 126 | No | Unlikely to be sequence specific TF | Not a DNA binding protein | No motif | None | None |
SPI1 | 149 | Yes | Known motif | Monomer or homomultimer | High-throughput in vitro | None | None |
MAFB | 155 | Yes | Known motif | Monomer or homomultimer | 100 perc ID - in vitro | None | PDB:2WTY is a homodimer crystallised with TAATTGCTGACTCAGCAAAT sequence |
BIN1 | 173 | No | Unlikely to be sequence specific TF | Not a DNA binding protein | No motif | None | None |
GAS7 | 175 | No | Unlikely to be sequence specific TF | Not a DNA binding protein | No motif | None | (PMID: 9736752) only shows that it has a proline-rich domain similar to the one in Oct2. No evidence of DNA binding. |
CMKLR1 | 203 | No | Unlikely to be sequence specific TF | Not a DNA binding protein | No motif | None | Protein is a G protein-coupled receptor for the chemoattractant adipokine chemerin |
TLR4 | 213 | No | Unlikely to be sequence specific TF | Not a DNA binding protein | No motif | None | None |
RBPJ | 222 | Yes | Known motif | Monomer or homomultimer | High-throughput in vitro | None | None |
ASCL2 | 227 | Yes | Known motif | Monomer or homomultimer | High-throughput in vitro | None | None |
NR3C1 | 231 | Yes | Known motif | Monomer or homomultimer | High-throughput in vitro | None | None |
LYL1 | 232 | Yes | Inferred motif | Obligate heteromer | In vivo/Misc source | None | TAL1, TAL2 and LYL are very similar and have a basic region with a bulky tryptophan inserting into the cluster of the basic residues. Binds DNA as a heterodimer with TCF3 (PDB:2YPB and PDB:2YPA). |
CD36 | 241 | No | Unlikely to be sequence specific TF | Not a DNA binding protein | No motif | None | None |
LMO2 | 242 | No | Unlikely to be sequence specific TF | Not a DNA binding protein | No motif | Only known motifs are from Transfac or HocoMoco - origin is uncertain | Protein binds to bHLH TFs, which then bind to DNA (PMID: 9707419). Both transfac motifs are suspect - the bHLH motif likely resulted from an indirect interaction. |
ZEB2 | 244 | Yes | Inferred motif | Monomer or homomultimer | In vivo/Misc source | None | None |
RIPK1 | 253 | No | Unlikely to be sequence specific TF | Not a DNA binding protein | No motif | None | None |
ANXA3 | 259 | No | Unlikely to be sequence specific TF | Not a DNA binding protein | No motif | None | Protein operates far upstream on the signaling cascade. |
IL10 | 270 | No | Unlikely to be sequence specific TF | Not a DNA binding protein | No motif | None | None |
QQ Plot showing correlations with other Gene Expression Programs in this dataset, calculated by Spearman correlation:
Interactive QQ-plot of gene loadings:
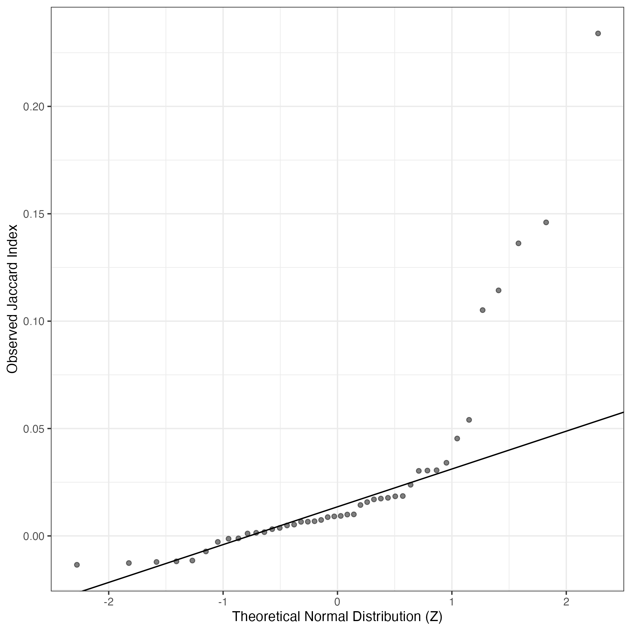
A similar QQ-plot as above, but only for instances where the H value is e.g. > 25, i.e. we are confident that the expression program is active above noise. Agreemenet between these binary vectors is tested using the Jaccard Index, with the P-values calculated by an exact test:
Interactive QQ-plot:
Singler cell type annotations for the top 50 cells on this program.
Cell ID | Singler label | Singler Delta | Activity Score | Top Singler Raw Scores |
---|---|---|---|---|
853_AAGCGTTAGCACCGTC-1 | DC:monocyte-derived:anti-DC-SIGN_2h | 0.15 | 3589.27 | Raw ScoresMacrophage:monocyte-derived:IL-4/Dex/cntrl: 0.51, Macrophage:monocyte-derived:M-CSF: 0.51, DC:monocyte-derived:anti-DC-SIGN_2h: 0.5, Macrophage:monocyte-derived:IL-4/Dex/TGFb: 0.5, Macrophage:monocyte-derived:M-CSF/IFNg: 0.5, Monocyte:leukotriene_D4: 0.5, DC:monocyte-derived: 0.49, DC:monocyte-derived:AEC-conditioned: 0.49, Monocyte:CD16-: 0.49, Monocyte: 0.49 |
831_CATAAGCTCCACTAGA-1 | Macrophage:monocyte-derived:IL-4/Dex/cntrl | 0.14 | 2925.83 | Raw ScoresMacrophage:monocyte-derived:IL-4/Dex/cntrl: 0.47, Macrophage:monocyte-derived:M-CSF: 0.46, DC:monocyte-derived:anti-DC-SIGN_2h: 0.46, Macrophage:monocyte-derived:IL-4/Dex/TGFb: 0.46, DC:monocyte-derived: 0.45, Macrophage:monocyte-derived:M-CSF/IFNg: 0.45, DC:monocyte-derived:AEC-conditioned: 0.45, Monocyte:leukotriene_D4: 0.45, Monocyte: 0.44, DC:monocyte-derived:immature: 0.44 |
839_GTGCACGCATGACTGT-1 | Macrophage:monocyte-derived:IL-4/Dex/cntrl | 0.16 | 2450.77 | Raw ScoresMacrophage:monocyte-derived:IL-4/Dex/cntrl: 0.47, Macrophage:monocyte-derived:M-CSF: 0.46, Macrophage:monocyte-derived:IL-4/Dex/TGFb: 0.46, DC:monocyte-derived: 0.46, DC:monocyte-derived:anti-DC-SIGN_2h: 0.46, Macrophage:monocyte-derived:M-CSF/IFNg: 0.46, DC:monocyte-derived:AEC-conditioned: 0.45, Monocyte:leukotriene_D4: 0.45, DC:monocyte-derived:immature: 0.45, Macrophage:monocyte-derived:IL-4/cntrl: 0.45 |
853_ACGTACAAGAAACCCG-1 | Macrophage:monocyte-derived:IL-4/Dex/cntrl | 0.15 | 2270.11 | Raw ScoresDC:monocyte-derived:anti-DC-SIGN_2h: 0.47, Macrophage:monocyte-derived:M-CSF: 0.46, Macrophage:monocyte-derived:IL-4/Dex/cntrl: 0.46, Macrophage:monocyte-derived:IL-4/Dex/TGFb: 0.46, DC:monocyte-derived: 0.45, Monocyte:leukotriene_D4: 0.45, DC:monocyte-derived:AEC-conditioned: 0.45, Macrophage:monocyte-derived:M-CSF/IFNg: 0.45, DC:monocyte-derived:immature: 0.45, Monocyte: 0.44 |
855_TCCATGCGTCAGTTTG-1 | Macrophage:monocyte-derived:IL-4/Dex/cntrl | 0.13 | 1926.51 | Raw ScoresMacrophage:monocyte-derived:IL-4/Dex/cntrl: 0.42, Macrophage:monocyte-derived:IL-4/Dex/TGFb: 0.42, DC:monocyte-derived:anti-DC-SIGN_2h: 0.41, DC:monocyte-derived: 0.41, Macrophage:monocyte-derived:M-CSF: 0.41, DC:monocyte-derived:immature: 0.4, DC:monocyte-derived:AEC-conditioned: 0.4, Macrophage:monocyte-derived:M-CSF/IFNg: 0.4, Monocyte:CD14+: 0.4, Monocyte:leukotriene_D4: 0.4 |
853_GCCGTGACATGATGCT-1 | Macrophage:monocyte-derived:M-CSF | 0.09 | 1888.47 | Raw ScoresMacrophage:monocyte-derived:M-CSF: 0.43, DC:monocyte-derived:anti-DC-SIGN_2h: 0.42, DC:monocyte-derived:AEC-conditioned: 0.42, Macrophage:monocyte-derived:IL-4/Dex/cntrl: 0.42, Macrophage:monocyte-derived:IL-4/Dex/TGFb: 0.42, DC:monocyte-derived: 0.42, DC:monocyte-derived:immature: 0.42, Monocyte:leukotriene_D4: 0.42, Monocyte:CD16-: 0.41, Macrophage:monocyte-derived:M-CSF/IFNg: 0.41 |
831_CTAACTTGTCATAGTC-1 | Macrophage:monocyte-derived:IL-4/Dex/cntrl | 0.13 | 1608.99 | Raw ScoresMacrophage:monocyte-derived:IL-4/Dex/cntrl: 0.44, Macrophage:monocyte-derived:IL-4/Dex/TGFb: 0.43, Macrophage:monocyte-derived:M-CSF: 0.43, DC:monocyte-derived:AEC-conditioned: 0.43, DC:monocyte-derived:anti-DC-SIGN_2h: 0.43, Macrophage:monocyte-derived:M-CSF/IFNg: 0.43, DC:monocyte-derived: 0.42, Monocyte:leukotriene_D4: 0.42, Monocyte:CD14+: 0.42, DC:monocyte-derived:immature: 0.42 |
849_ATCCACCGTTCTATCT-1 | Macrophage:monocyte-derived:IL-4/Dex/cntrl | 0.13 | 1585.93 | Raw ScoresMacrophage:monocyte-derived:IL-4/Dex/cntrl: 0.41, Macrophage:monocyte-derived:M-CSF: 0.41, Macrophage:monocyte-derived:IL-4/Dex/TGFb: 0.4, DC:monocyte-derived:anti-DC-SIGN_2h: 0.4, Macrophage:monocyte-derived:M-CSF/IFNg: 0.4, Monocyte:leukotriene_D4: 0.4, DC:monocyte-derived: 0.4, DC:monocyte-derived:AEC-conditioned: 0.4, Monocyte: 0.39, DC:monocyte-derived:immature: 0.39 |
853_CTGGACGAGTATTCCG-1 | DC:monocyte-derived:anti-DC-SIGN_2h | 0.09 | 1426.70 | Raw ScoresDC:monocyte-derived:AEC-conditioned: 0.41, Macrophage:monocyte-derived:IL-4/Dex/TGFb: 0.4, Macrophage:monocyte-derived:M-CSF: 0.4, Macrophage:monocyte-derived:IL-4/Dex/cntrl: 0.4, DC:monocyte-derived:anti-DC-SIGN_2h: 0.4, DC:monocyte-derived: 0.4, Monocyte:leukotriene_D4: 0.4, DC:monocyte-derived:immature: 0.39, Macrophage:monocyte-derived:M-CSF/IFNg: 0.39, Monocyte: 0.39 |
849_AGGAAATTCCGCGAGT-1 | Macrophage:monocyte-derived:IL-4/Dex/cntrl | 0.14 | 1378.34 | Raw ScoresMacrophage:monocyte-derived:IL-4/Dex/cntrl: 0.43, Macrophage:monocyte-derived:IL-4/Dex/TGFb: 0.43, Macrophage:monocyte-derived:M-CSF: 0.43, Macrophage:monocyte-derived:M-CSF/IFNg: 0.42, Monocyte:leukotriene_D4: 0.41, DC:monocyte-derived: 0.41, DC:monocyte-derived:anti-DC-SIGN_2h: 0.41, DC:monocyte-derived:AEC-conditioned: 0.41, Macrophage:monocyte-derived:IL-4/cntrl: 0.41, DC:monocyte-derived:immature: 0.41 |
839_TGGGAAGGTAAGCGGT-1 | Neurons:adrenal_medulla_cell_line | 0.13 | 1191.74 | Raw ScoresNeurons:adrenal_medulla_cell_line: 0.49, Pro-B_cell_CD34+: 0.45, Neuroepithelial_cell:ESC-derived: 0.45, Astrocyte:Embryonic_stem_cell-derived: 0.43, MEP: 0.43, iPS_cells:PDB_1lox-21Puro-20: 0.43, GMP: 0.43, iPS_cells:PDB_1lox-21Puro-26: 0.43, iPS_cells:PDB_2lox-22: 0.43, iPS_cells:PDB_1lox-17Puro-10: 0.43 |
849_AATTCCTCACATGACT-1 | Macrophage:monocyte-derived:IL-4/Dex/cntrl | 0.16 | 1151.80 | Raw ScoresMacrophage:monocyte-derived:IL-4/Dex/cntrl: 0.44, Macrophage:monocyte-derived:M-CSF: 0.44, Macrophage:monocyte-derived:M-CSF/IFNg: 0.44, Macrophage:monocyte-derived:IL-4/Dex/TGFb: 0.44, DC:monocyte-derived:anti-DC-SIGN_2h: 0.43, Monocyte:leukotriene_D4: 0.43, DC:monocyte-derived: 0.43, DC:monocyte-derived:immature: 0.43, DC:monocyte-derived:AEC-conditioned: 0.43, Monocyte:anti-FcgRIIB: 0.42 |
849_TGCATCCAGAGGCCAT-1 | Macrophage:monocyte-derived:IL-4/Dex/cntrl | 0.15 | 1147.67 | Raw ScoresMacrophage:monocyte-derived:IL-4/Dex/cntrl: 0.4, Macrophage:monocyte-derived:IL-4/Dex/TGFb: 0.4, Macrophage:monocyte-derived:M-CSF: 0.39, DC:monocyte-derived:anti-DC-SIGN_2h: 0.39, DC:monocyte-derived: 0.39, DC:monocyte-derived:immature: 0.39, Macrophage:monocyte-derived:M-CSF/IFNg: 0.39, DC:monocyte-derived:AEC-conditioned: 0.38, Monocyte:leukotriene_D4: 0.38, Monocyte: 0.38 |
849_CCATCACTCCGCGAGT-1 | Neurons:adrenal_medulla_cell_line | 0.11 | 976.82 | Raw ScoresNeurons:adrenal_medulla_cell_line: 0.46, Pro-B_cell_CD34+: 0.44, Neuroepithelial_cell:ESC-derived: 0.43, MEP: 0.42, GMP: 0.42, CMP: 0.42, Astrocyte:Embryonic_stem_cell-derived: 0.41, iPS_cells:PDB_1lox-21Puro-20: 0.41, iPS_cells:PDB_1lox-21Puro-26: 0.41, iPS_cells:PDB_1lox-17Puro-5: 0.41 |
839_CTGCAGGAGAGAGAAC-1 | Macrophage:monocyte-derived:IL-4/Dex/cntrl | 0.14 | 941.65 | Raw ScoresMacrophage:monocyte-derived:IL-4/Dex/cntrl: 0.47, Macrophage:monocyte-derived:IL-4/Dex/TGFb: 0.46, Macrophage:monocyte-derived:M-CSF: 0.46, DC:monocyte-derived: 0.46, Macrophage:monocyte-derived:M-CSF/IFNg: 0.46, DC:monocyte-derived:anti-DC-SIGN_2h: 0.45, Monocyte:leukotriene_D4: 0.45, DC:monocyte-derived:AEC-conditioned: 0.45, DC:monocyte-derived:immature: 0.45, Macrophage:monocyte-derived: 0.45 |
831_TTGTGGAAGTCCCAAT-1 | Macrophage:monocyte-derived:IL-4/Dex/cntrl | 0.15 | 939.54 | Raw ScoresMacrophage:monocyte-derived:M-CSF: 0.43, Macrophage:monocyte-derived:IL-4/Dex/cntrl: 0.43, Macrophage:monocyte-derived:IL-4/Dex/TGFb: 0.43, Macrophage:monocyte-derived:M-CSF/IFNg: 0.43, DC:monocyte-derived:AEC-conditioned: 0.42, Monocyte:leukotriene_D4: 0.42, DC:monocyte-derived:anti-DC-SIGN_2h: 0.42, DC:monocyte-derived: 0.42, Monocyte: 0.42, DC:monocyte-derived:immature: 0.42 |
839_AGGGTGAGTAGTGGCA-1 | Macrophage:monocyte-derived:IL-4/Dex/cntrl | 0.13 | 898.53 | Raw ScoresMacrophage:monocyte-derived:M-CSF: 0.44, Macrophage:monocyte-derived:M-CSF/IFNg: 0.44, Macrophage:monocyte-derived:IL-4/Dex/cntrl: 0.43, DC:monocyte-derived: 0.43, DC:monocyte-derived:AEC-conditioned: 0.43, DC:monocyte-derived:anti-DC-SIGN_2h: 0.43, Monocyte:leukotriene_D4: 0.43, Macrophage:monocyte-derived:IL-4/Dex/TGFb: 0.43, DC:monocyte-derived:immature: 0.43, Macrophage:monocyte-derived: 0.43 |
853_TGCGATAGTCTGCCTT-1 | Neurons:adrenal_medulla_cell_line | 0.10 | 893.75 | Raw ScoresNeurons:adrenal_medulla_cell_line: 0.46, Neuroepithelial_cell:ESC-derived: 0.43, Pro-B_cell_CD34+: 0.43, Astrocyte:Embryonic_stem_cell-derived: 0.42, MEP: 0.42, iPS_cells:PDB_1lox-17Puro-10: 0.42, iPS_cells:PDB_1lox-21Puro-20: 0.42, iPS_cells:PDB_1lox-17Puro-5: 0.42, iPS_cells:PDB_1lox-21Puro-26: 0.42, Embryonic_stem_cells: 0.41 |
849_TGTGCGGCACTGGCGT-1 | Macrophage:monocyte-derived:IL-4/Dex/cntrl | 0.05 | 881.94 | Raw ScoresNeurons:adrenal_medulla_cell_line: 0.39, Pro-B_cell_CD34+: 0.37, GMP: 0.36, Neuroepithelial_cell:ESC-derived: 0.36, Macrophage:monocyte-derived:IL-4/Dex/cntrl: 0.35, DC:monocyte-derived:AEC-conditioned: 0.35, Astrocyte:Embryonic_stem_cell-derived: 0.35, Macrophage:monocyte-derived:IL-4/Dex/TGFb: 0.35, CMP: 0.35, MEP: 0.35 |
853_GTTGAACCACTTGGGC-1 | Macrophage:monocyte-derived:IL-4/Dex/cntrl | 0.11 | 839.20 | Raw ScoresMacrophage:monocyte-derived:IL-4/Dex/cntrl: 0.38, Macrophage:monocyte-derived:IL-4/Dex/TGFb: 0.38, Macrophage:monocyte-derived:M-CSF: 0.37, DC:monocyte-derived:anti-DC-SIGN_2h: 0.37, DC:monocyte-derived:AEC-conditioned: 0.37, DC:monocyte-derived: 0.36, Monocyte:leukotriene_D4: 0.36, Macrophage:monocyte-derived:M-CSF/IFNg: 0.36, Monocyte:CD14+: 0.36, Monocyte: 0.36 |
849_TGGTGATAGCAATAAC-1 | Neurons:adrenal_medulla_cell_line | 0.11 | 768.04 | Raw ScoresNeurons:adrenal_medulla_cell_line: 0.44, Neuroepithelial_cell:ESC-derived: 0.4, Pro-B_cell_CD34+: 0.4, Astrocyte:Embryonic_stem_cell-derived: 0.39, GMP: 0.39, MEP: 0.39, iPS_cells:PDB_1lox-21Puro-20: 0.38, iPS_cells:CRL2097_foreskin-derived:undiff.: 0.38, CMP: 0.38, iPS_cells:PDB_1lox-21Puro-26: 0.38 |
839_CTACCCAGTCGCATCG-1 | Macrophage:monocyte-derived:M-CSF | 0.08 | 764.72 | Raw ScoresDC:monocyte-derived:AEC-conditioned: 0.47, Macrophage:monocyte-derived:M-CSF: 0.45, Macrophage:monocyte-derived:M-CSF/IFNg: 0.45, Monocyte:MCSF: 0.45, Macrophage:monocyte-derived: 0.45, Macrophage:monocyte-derived:IL-4/Dex/cntrl: 0.44, Neurons:Schwann_cell: 0.44, Macrophage:monocyte-derived:IL-4/Dex/TGFb: 0.44, DC:monocyte-derived: 0.44, DC:monocyte-derived:immature: 0.44 |
849_GACCCAGCAGCGTATT-1 | DC:monocyte-derived:antiCD40/VAF347 | 0.12 | 741.46 | Raw ScoresDC:monocyte-derived:anti-DC-SIGN_2h: 0.42, Macrophage:monocyte-derived:M-CSF: 0.42, Monocyte:leukotriene_D4: 0.42, Macrophage:monocyte-derived:IL-4/Dex/TGFb: 0.42, Monocyte:anti-FcgRIIB: 0.41, Macrophage:monocyte-derived:M-CSF/IFNg: 0.41, Macrophage:monocyte-derived:M-CSF/IFNg/Pam3Cys: 0.41, Monocyte: 0.41, Macrophage:monocyte-derived:M-CSF/Pam3Cys: 0.41, Macrophage:monocyte-derived:IL-4/Dex/cntrl: 0.41 |
855_TCCCACAGTTCATCGA-1 | Macrophage:monocyte-derived:IL-4/Dex/cntrl | 0.11 | 653.73 | Raw ScoresMacrophage:monocyte-derived:IL-4/Dex/cntrl: 0.34, DC:monocyte-derived:AEC-conditioned: 0.33, Macrophage:monocyte-derived:IL-4/Dex/TGFb: 0.33, DC:monocyte-derived: 0.33, DC:monocyte-derived:anti-DC-SIGN_2h: 0.33, DC:monocyte-derived:immature: 0.32, Macrophage:monocyte-derived:M-CSF: 0.32, Macrophage:monocyte-derived: 0.32, Macrophage:monocyte-derived:M-CSF/IFNg: 0.32, Monocyte:MCSF: 0.31 |
849_GAGACTTCAAACTCTG-1 | Macrophage:monocyte-derived:IL-4/Dex/cntrl | 0.09 | 610.23 | Raw ScoresMacrophage:monocyte-derived:IL-4/Dex/cntrl: 0.35, Macrophage:monocyte-derived:IL-4/Dex/TGFb: 0.35, Macrophage:monocyte-derived:M-CSF: 0.35, DC:monocyte-derived:anti-DC-SIGN_2h: 0.35, DC:monocyte-derived: 0.34, DC:monocyte-derived:AEC-conditioned: 0.34, Macrophage:monocyte-derived:M-CSF/IFNg: 0.34, DC:monocyte-derived:immature: 0.34, Monocyte:leukotriene_D4: 0.34, Monocyte:CD16-: 0.34 |
855_CATCGTCTCTTCCCAG-1 | Macrophage:monocyte-derived:IL-4/Dex/cntrl | 0.14 | 588.83 | Raw ScoresMacrophage:monocyte-derived:IL-4/Dex/cntrl: 0.38, Macrophage:monocyte-derived:IL-4/Dex/TGFb: 0.38, Macrophage:monocyte-derived:M-CSF: 0.37, DC:monocyte-derived:anti-DC-SIGN_2h: 0.36, DC:monocyte-derived:immature: 0.36, DC:monocyte-derived: 0.36, Macrophage:monocyte-derived:M-CSF/IFNg: 0.36, Monocyte:leukotriene_D4: 0.36, Macrophage:monocyte-derived:IL-4/cntrl: 0.36, Macrophage:monocyte-derived:IL-4/TGFb: 0.36 |
839_CCGGTGAGTGAGTAAT-1 | Macrophage:monocyte-derived:IL-4/Dex/cntrl | 0.15 | 578.96 | Raw ScoresMacrophage:monocyte-derived:IL-4/Dex/cntrl: 0.43, Macrophage:monocyte-derived:IL-4/Dex/TGFb: 0.43, Macrophage:monocyte-derived:M-CSF: 0.42, Macrophage:monocyte-derived:M-CSF/IFNg: 0.42, DC:monocyte-derived: 0.42, DC:monocyte-derived:anti-DC-SIGN_2h: 0.42, DC:monocyte-derived:AEC-conditioned: 0.42, DC:monocyte-derived:immature: 0.41, Monocyte:leukotriene_D4: 0.41, Macrophage:monocyte-derived:IL-4/TGFb: 0.41 |
855_GTTGTCCCAGACATCT-1 | Neurons:adrenal_medulla_cell_line | 0.17 | 570.05 | Raw ScoresNeurons:adrenal_medulla_cell_line: 0.53, Neuroepithelial_cell:ESC-derived: 0.5, iPS_cells:PDB_1lox-21Puro-20: 0.49, iPS_cells:PDB_2lox-22: 0.48, iPS_cells:PDB_1lox-21Puro-26: 0.48, iPS_cells:PDB_1lox-17Puro-10: 0.48, iPS_cells:PDB_2lox-21: 0.48, iPS_cells:PDB_2lox-17: 0.48, iPS_cells:PDB_1lox-17Puro-5: 0.48, Embryonic_stem_cells: 0.48 |
839_TCATGCCCACATCCCT-1 | Macrophage:monocyte-derived:IL-4/Dex/cntrl | 0.09 | 534.42 | Raw ScoresMacrophage:monocyte-derived:IL-4/Dex/cntrl: 0.44, Macrophage:monocyte-derived:M-CSF: 0.44, Macrophage:monocyte-derived:IL-4/Dex/TGFb: 0.44, DC:monocyte-derived:immature: 0.43, Macrophage:monocyte-derived:M-CSF/IFNg: 0.43, DC:monocyte-derived: 0.43, DC:monocyte-derived:AEC-conditioned: 0.43, Macrophage:monocyte-derived:IL-4/cntrl: 0.43, Neurons:adrenal_medulla_cell_line: 0.43, Macrophage:monocyte-derived:IL-4/TGFb: 0.43 |
849_AAAGAACGTTGTTGAC-1 | Macrophage:monocyte-derived:IL-4/Dex/cntrl | 0.11 | 529.81 | Raw ScoresMonocyte:MCSF: 0.45, DC:monocyte-derived:AEC-conditioned: 0.45, Macrophage:monocyte-derived: 0.45, Macrophage:monocyte-derived:IL-4/Dex/cntrl: 0.44, Macrophage:monocyte-derived:M-CSF: 0.44, DC:monocyte-derived: 0.44, Macrophage:monocyte-derived:M-CSF/IFNg: 0.44, Macrophage:monocyte-derived:IL-4/Dex/TGFb: 0.44, GMP: 0.44, DC:monocyte-derived:immature: 0.43 |
839_GTGGAGAAGTAGGGTC-1 | Macrophage:monocyte-derived:M-CSF | 0.15 | 487.88 | Raw ScoresMacrophage:monocyte-derived:M-CSF: 0.45, Macrophage:monocyte-derived:M-CSF/IFNg: 0.45, Monocyte:leukotriene_D4: 0.44, DC:monocyte-derived:AEC-conditioned: 0.44, Monocyte: 0.44, Monocyte:anti-FcgRIIB: 0.44, Macrophage:monocyte-derived:IL-4/Dex/cntrl: 0.44, Monocyte:CD14+: 0.44, DC:monocyte-derived: 0.43, Macrophage:monocyte-derived:IL-4/Dex/TGFb: 0.43 |
839_ATGACCATCGTTGTTT-1 | Macrophage:monocyte-derived:M-CSF | 0.15 | 426.61 | Raw ScoresMacrophage:monocyte-derived:M-CSF: 0.48, Monocyte:leukotriene_D4: 0.47, Macrophage:monocyte-derived:M-CSF/IFNg: 0.47, Macrophage:monocyte-derived:IL-4/Dex/cntrl: 0.47, DC:monocyte-derived:AEC-conditioned: 0.47, Macrophage:monocyte-derived:IL-4/Dex/TGFb: 0.47, Monocyte: 0.47, Monocyte:anti-FcgRIIB: 0.47, DC:monocyte-derived: 0.46, DC:monocyte-derived:anti-DC-SIGN_2h: 0.46 |
839_AATAGAGGTTAGTCGT-1 | Macrophage:monocyte-derived:IL-4/Dex/cntrl | 0.14 | 413.60 | Raw ScoresMacrophage:monocyte-derived:M-CSF: 0.44, Macrophage:monocyte-derived:IL-4/Dex/cntrl: 0.43, Macrophage:monocyte-derived:M-CSF/IFNg: 0.43, Macrophage:monocyte-derived:IL-4/Dex/TGFb: 0.43, DC:monocyte-derived:AEC-conditioned: 0.43, DC:monocyte-derived: 0.43, Monocyte:leukotriene_D4: 0.43, DC:monocyte-derived:immature: 0.42, Monocyte:CD14+: 0.42, Monocyte: 0.42 |
839_ATACCGAAGGTTCCGC-1 | Macrophage:monocyte-derived:M-CSF | 0.13 | 409.80 | Raw ScoresMacrophage:monocyte-derived:M-CSF: 0.41, Monocyte:leukotriene_D4: 0.4, Macrophage:monocyte-derived:IL-4/Dex/cntrl: 0.4, DC:monocyte-derived:anti-DC-SIGN_2h: 0.4, DC:monocyte-derived: 0.4, Macrophage:monocyte-derived:IL-4/Dex/TGFb: 0.4, Macrophage:monocyte-derived:M-CSF/IFNg: 0.4, Monocyte: 0.4, DC:monocyte-derived:immature: 0.4, DC:monocyte-derived:AEC-conditioned: 0.4 |
839_TAGACTGAGATAGCAT-1 | DC:monocyte-derived:immature | 0.15 | 389.16 | Raw ScoresMacrophage:monocyte-derived:M-CSF: 0.47, Macrophage:monocyte-derived:M-CSF/IFNg: 0.47, Macrophage:monocyte-derived:IL-4/Dex/cntrl: 0.47, Macrophage:monocyte-derived:IL-4/Dex/TGFb: 0.46, DC:monocyte-derived:immature: 0.46, Monocyte:leukotriene_D4: 0.46, DC:monocyte-derived:AEC-conditioned: 0.46, DC:monocyte-derived: 0.46, Monocyte:anti-FcgRIIB: 0.46, DC:monocyte-derived:anti-DC-SIGN_2h: 0.46 |
853_GTAGTACGTGGAGGTT-1 | Neurons:adrenal_medulla_cell_line | 0.12 | 388.80 | Raw ScoresNeurons:adrenal_medulla_cell_line: 0.44, Neuroepithelial_cell:ESC-derived: 0.42, Tissue_stem_cells:CD326-CD56+: 0.4, iPS_cells:PDB_2lox-22: 0.4, iPS_cells:adipose_stem_cell-derived:lentiviral: 0.4, Astrocyte:Embryonic_stem_cell-derived: 0.4, iPS_cells:adipose_stem_cell-derived:minicircle-derived: 0.4, Pro-B_cell_CD34+: 0.4, iPS_cells:PDB_2lox-17: 0.39, iPS_cells:PDB_2lox-21: 0.39 |
853_AGTGATCTCGCTACGG-1 | Macrophage:monocyte-derived:IL-4/Dex/cntrl | 0.03 | 328.71 | Raw ScoresNeurons:adrenal_medulla_cell_line: 0.28, Macrophage:monocyte-derived:IL-4/Dex/TGFb: 0.28, Macrophage:monocyte-derived:IL-4/Dex/cntrl: 0.28, DC:monocyte-derived:immature: 0.28, Neurons:Schwann_cell: 0.28, Macrophage:monocyte-derived:M-CSF: 0.28, DC:monocyte-derived:AEC-conditioned: 0.28, Pro-B_cell_CD34+: 0.28, DC:monocyte-derived:anti-DC-SIGN_2h: 0.28, Macrophage:monocyte-derived:M-CSF/Pam3Cys: 0.28 |
855_TCCTTTCTCATACGAC-1 | Macrophage:monocyte-derived:IL-4/Dex/cntrl | 0.12 | 303.44 | Raw ScoresDC:monocyte-derived:AEC-conditioned: 0.47, Macrophage:monocyte-derived: 0.46, Macrophage:monocyte-derived:M-CSF/IFNg: 0.46, Macrophage:monocyte-derived:M-CSF: 0.46, Macrophage:monocyte-derived:IL-4/Dex/cntrl: 0.46, Macrophage:monocyte-derived:IFNa: 0.45, Monocyte:MCSF: 0.45, Macrophage:monocyte-derived:IL-4/Dex/TGFb: 0.45, DC:monocyte-derived: 0.45, Monocyte:leukotriene_D4: 0.44 |
853_GGGACTCTCCTTCGAC-1 | Neurons:adrenal_medulla_cell_line | 0.10 | 297.60 | Raw ScoresNeurons:adrenal_medulla_cell_line: 0.39, Neuroepithelial_cell:ESC-derived: 0.36, Astrocyte:Embryonic_stem_cell-derived: 0.35, Pro-B_cell_CD34+: 0.34, Tissue_stem_cells:CD326-CD56+: 0.33, iPS_cells:adipose_stem_cell-derived:minicircle-derived: 0.33, Neurons:Schwann_cell: 0.33, iPS_cells:PDB_2lox-22: 0.33, iPS_cells:CRL2097_foreskin-derived:undiff.: 0.33, Embryonic_stem_cells: 0.33 |
839_CTGTAGAAGGAATTAC-1 | Neurons:adrenal_medulla_cell_line | 0.11 | 295.38 | Raw ScoresNeurons:adrenal_medulla_cell_line: 0.48, Pro-B_cell_CD34+: 0.46, GMP: 0.46, MEP: 0.45, CMP: 0.45, Neuroepithelial_cell:ESC-derived: 0.44, Astrocyte:Embryonic_stem_cell-derived: 0.43, Pro-Myelocyte: 0.43, Monocyte:MCSF: 0.43, B_cell:CXCR4+_centroblast: 0.43 |
853_ACACGCGTCTATTTCG-1 | Macrophage:monocyte-derived:IL-4/Dex/TGFb | 0.04 | 293.82 | Raw ScoresDC:monocyte-derived:AEC-conditioned: 0.29, Macrophage:monocyte-derived:IL-4/Dex/cntrl: 0.29, Macrophage:monocyte-derived:IL-4/Dex/TGFb: 0.29, DC:monocyte-derived:immature: 0.29, Neurons:adrenal_medulla_cell_line: 0.29, Macrophage:monocyte-derived:IFNa: 0.29, Macrophage:monocyte-derived:M-CSF: 0.29, DC:monocyte-derived: 0.29, Pro-B_cell_CD34+: 0.28, DC:monocyte-derived:anti-DC-SIGN_2h: 0.28 |
837_TCCGGGAAGTGAACAT-1 | Macrophage:monocyte-derived:IL-4/Dex/cntrl | 0.16 | 292.44 | Raw ScoresMacrophage:monocyte-derived:M-CSF: 0.44, Macrophage:monocyte-derived:IL-4/Dex/TGFb: 0.44, Macrophage:monocyte-derived:IL-4/Dex/cntrl: 0.44, Macrophage:monocyte-derived:M-CSF/IFNg: 0.43, Monocyte:leukotriene_D4: 0.43, DC:monocyte-derived:anti-DC-SIGN_2h: 0.43, DC:monocyte-derived:immature: 0.43, DC:monocyte-derived: 0.43, Monocyte: 0.43, Monocyte:CD16-: 0.42 |
847_CAGCAGCGTATAATGG-1 | Macrophage:monocyte-derived:IL-4/Dex/cntrl | 0.15 | 292.19 | Raw ScoresMacrophage:monocyte-derived:M-CSF: 0.42, Macrophage:monocyte-derived:M-CSF/IFNg: 0.42, Macrophage:monocyte-derived:IL-4/Dex/cntrl: 0.41, Monocyte:leukotriene_D4: 0.41, Macrophage:monocyte-derived:IL-4/Dex/TGFb: 0.41, DC:monocyte-derived:AEC-conditioned: 0.41, DC:monocyte-derived: 0.41, DC:monocyte-derived:anti-DC-SIGN_2h: 0.4, Monocyte: 0.4, Monocyte:anti-FcgRIIB: 0.4 |
849_AGTTAGCGTCCTGGTG-1 | Macrophage:monocyte-derived:M-CSF | 0.12 | 291.15 | Raw ScoresMacrophage:monocyte-derived:M-CSF: 0.36, Monocyte:leukotriene_D4: 0.35, Macrophage:monocyte-derived:IL-4/Dex/cntrl: 0.35, DC:monocyte-derived:anti-DC-SIGN_2h: 0.35, DC:monocyte-derived: 0.35, DC:monocyte-derived:immature: 0.35, Macrophage:monocyte-derived:IL-4/Dex/TGFb: 0.35, Macrophage:monocyte-derived:M-CSF/IFNg: 0.35, Monocyte: 0.35, DC:monocyte-derived:AEC-conditioned: 0.35 |
853_CCTGCATTCAAACGTC-1 | Neurons:adrenal_medulla_cell_line | 0.06 | 288.50 | Raw ScoresNeurons:adrenal_medulla_cell_line: 0.32, Macrophage:monocyte-derived:IL-4/Dex/cntrl: 0.31, Pro-B_cell_CD34+: 0.31, Macrophage:monocyte-derived:IL-4/Dex/TGFb: 0.31, DC:monocyte-derived:AEC-conditioned: 0.3, DC:monocyte-derived:immature: 0.3, GMP: 0.3, DC:monocyte-derived:anti-DC-SIGN_2h: 0.3, Macrophage:monocyte-derived:M-CSF: 0.3, DC:monocyte-derived: 0.3 |
853_GCATGATTCCTACAAG-1 | Neurons:adrenal_medulla_cell_line | 0.07 | 287.32 | Raw ScoresNeurons:adrenal_medulla_cell_line: 0.33, Neuroepithelial_cell:ESC-derived: 0.3, Astrocyte:Embryonic_stem_cell-derived: 0.29, Macrophage:monocyte-derived:IL-4/Dex/cntrl: 0.29, Macrophage:monocyte-derived:IL-4/Dex/TGFb: 0.29, Neurons:Schwann_cell: 0.29, Tissue_stem_cells:CD326-CD56+: 0.29, Embryonic_stem_cells: 0.29, DC:monocyte-derived:immature: 0.28, DC:monocyte-derived:anti-DC-SIGN_2h: 0.28 |
839_TCGCACTTCTTAGTTC-1 | Macrophage:monocyte-derived:IL-4/Dex/cntrl | 0.14 | 282.81 | Raw ScoresMacrophage:monocyte-derived:M-CSF: 0.45, Monocyte:leukotriene_D4: 0.44, Macrophage:monocyte-derived:IL-4/Dex/cntrl: 0.44, Macrophage:monocyte-derived:IL-4/Dex/TGFb: 0.44, DC:monocyte-derived:AEC-conditioned: 0.44, Macrophage:monocyte-derived:M-CSF/IFNg: 0.44, DC:monocyte-derived: 0.44, Monocyte:anti-FcgRIIB: 0.44, Macrophage:monocyte-derived:IL-4/cntrl: 0.43, Macrophage:monocyte-derived:M-CSF/Pam3Cys: 0.43 |
853_GTGTAACAGTAACAGT-1 | Macrophage:monocyte-derived:IL-4/Dex/cntrl | 0.06 | 282.59 | Raw ScoresMacrophage:monocyte-derived:IL-4/Dex/cntrl: 0.32, Macrophage:monocyte-derived:IL-4/Dex/TGFb: 0.32, DC:monocyte-derived:AEC-conditioned: 0.31, DC:monocyte-derived:immature: 0.31, DC:monocyte-derived: 0.31, Macrophage:monocyte-derived:M-CSF: 0.31, Macrophage:monocyte-derived: 0.31, Macrophage:monocyte-derived:M-CSF/IFNg: 0.3, Macrophage:monocyte-derived:IL-4/cntrl: 0.3, Monocyte:leukotriene_D4: 0.3 |
839_TGGGAGACACTCCTGT-1 | Macrophage:monocyte-derived:IL-4/Dex/cntrl | 0.12 | 276.71 | Raw ScoresDC:monocyte-derived:AEC-conditioned: 0.45, Macrophage:monocyte-derived:IL-4/Dex/cntrl: 0.45, Macrophage:monocyte-derived: 0.45, Monocyte:MCSF: 0.45, Macrophage:monocyte-derived:IL-4/Dex/TGFb: 0.44, DC:monocyte-derived: 0.44, Macrophage:monocyte-derived:IL-4/cntrl: 0.44, DC:monocyte-derived:immature: 0.44, Macrophage:monocyte-derived:IL-4/TGFb: 0.44, Macrophage:monocyte-derived:IFNa: 0.44 |
855_AGGGTCCTCTCGAGTA-1 | Macrophage:monocyte-derived:IL-4/Dex/cntrl | 0.14 | 261.44 | Raw ScoresMacrophage:monocyte-derived:M-CSF: 0.32, Macrophage:monocyte-derived:IL-4/Dex/cntrl: 0.31, Macrophage:monocyte-derived:IL-4/Dex/TGFb: 0.31, DC:monocyte-derived:immature: 0.3, Macrophage:monocyte-derived:M-CSF/IFNg: 0.3, DC:monocyte-derived:anti-DC-SIGN_2h: 0.3, Monocyte:leukotriene_D4: 0.3, DC:monocyte-derived: 0.3, Monocyte: 0.3, Macrophage:monocyte-derived:IL-4/cntrl: 0.3 |
Below shows the significant enrichments of this GEP for literature curated gene lists
This data was procured from existing single cell RNA-seq maps of neuroblastoma or related relevant data.
High ranks indicate this gene is a driver of this GEP.
These curated gene list are ranked by the P-value (on this GEP) of their constituent genes.
The Mean Count column shows the mean read count in cells scoring highly (H > 50) on this gene expression program.
Genes | Weight | Rank | GTEx | DepMap | Decartes | Mean.Counts | Mean.TPM |
---|---|---|---|---|---|---|---|
CD163 | 0.0089668 | 13 | GTEx | DepMap | Descartes | 0.52 | 6.66 |
MAF | 0.0041150 | 41 | GTEx | DepMap | Descartes | 3.59 | 49.43 |
VSIG4 | 0.0018025 | 150 | GTEx | DepMap | Descartes | 0.98 | 4.30 |
MS4A7 | 0.0014788 | 192 | GTEx | DepMap | Descartes | 9.85 | 184.64 |
Bridge region mesenchymal-SCP transition (Olsen)
As above but for cells in the mesenchymal transitioning to SCP region:
Wilcoxon ranksum test P-value for gene set overrepresentation: 1.80e-03
Mean rank of genes in gene set: 311
Rank on gene expression program of genes in gene set:
Genes | Weight | Rank | GTEx | DepMap | Decartes | Mean.Counts | Mean.TPM |
---|---|---|---|---|---|---|---|
IFITM3 | 0.0019685 | 134 | GTEx | DepMap | Descartes | 28.99 | 7833.12 |
B2M | 0.0011067 | 287 | GTEx | DepMap | Descartes | 16.20 | 905.22 |
S100A10 | 0.0006988 | 512 | GTEx | DepMap | Descartes | 7.99 | 262.08 |
HSCs and immune cells (Kameneva)
Marker gene were obtained from Fig. 1D of Kameneva et al (PMID 33833454). These genes were used by the authors to annotate each cell type in their human fetal adrenal scRNA-seq data obtained 6, 8, 9, 11, 12 and 14 weeks post conception.:
Wilcoxon ranksum test P-value for gene set overrepresentation: 2.14e-03
Mean rank of genes in gene set: 501
Rank on gene expression program of genes in gene set:
Genes | Weight | Rank | GTEx | DepMap | Decartes | Mean.Counts | Mean.TPM |
---|---|---|---|---|---|---|---|
CD163 | 0.0089668 | 13 | GTEx | DepMap | Descartes | 0.52 | 6.66 |
RGS10 | 0.0024386 | 111 | GTEx | DepMap | Descartes | 2.78 | 19.40 |
AIF1 | 0.0002833 | 1379 | GTEx | DepMap | Descartes | 4.94 | 271.45 |
Below shows ranks on this GEP for literature curated gene lists for large gene sets
These include those reported as mesenchymal/adrenergic by Van Groningen et al.
High ranks indicate this gene is a driver of this GEP (note these results are not ordered).
The Mean Count column shows the mean read count in cells scoring highly (H > 50) on this gene expression program.
VanGroningen Adrenergic Genes
Adrenergic marker genes from Supplementary Table 2 of Van Groningen et al. Nature Genetics 2017. These genes were identified by differential expression analysis of mesenchymal-like and adrenergic-like neuroblastoma cell lines.
Wilcoxon ranksum test P-value for gene set overrepresentation: 1.00e+00
Mean rank of genes in gene set: 16428.33
Median rank of genes in gene set: 18577.5
Rank on gene expression program of top 30 genes in gene set:
Genes | Weight | Rank | GTEx | DepMap | Descartes | Mean.Counts | Mean.TPM |
---|---|---|---|---|---|---|---|
UCP2 | 0.0009434 | 355 | GTEx | DepMap | Descartes | 9.32 | 338.17 |
MYO5A | 0.0008263 | 425 | GTEx | DepMap | Descartes | 1.43 | 2.73 |
AP1S2 | 0.0008213 | 431 | GTEx | DepMap | Descartes | 1.02 | 13.47 |
ATP6V1B2 | 0.0004736 | 824 | GTEx | DepMap | Descartes | 2.03 | 24.16 |
SCAMP5 | 0.0004056 | 977 | GTEx | DepMap | Descartes | 0.39 | 4.34 |
CKB | 0.0003741 | 1067 | GTEx | DepMap | Descartes | 3.06 | 293.79 |
GGH | 0.0003380 | 1172 | GTEx | DepMap | Descartes | 1.63 | 20.06 |
ABCA3 | 0.0003155 | 1253 | GTEx | DepMap | Descartes | 0.33 | 1.67 |
RNF150 | 0.0003004 | 1306 | GTEx | DepMap | Descartes | 0.27 | 0.37 |
SEC11C | 0.0002941 | 1334 | GTEx | DepMap | Descartes | 3.22 | 53.01 |
PTS | 0.0002900 | 1352 | GTEx | DepMap | Descartes | 0.86 | 32.63 |
GCH1 | 0.0002871 | 1364 | GTEx | DepMap | Descartes | 0.60 | 4.89 |
LYN | 0.0002829 | 1383 | GTEx | DepMap | Descartes | 2.10 | 4.56 |
CELF2 | 0.0002745 | 1423 | GTEx | DepMap | Descartes | 1.14 | 0.34 |
CERK | 0.0002507 | 1532 | GTEx | DepMap | Descartes | 1.06 | 6.54 |
RBBP8 | 0.0002159 | 1698 | GTEx | DepMap | Descartes | 0.46 | 1.06 |
BEND4 | 0.0001704 | 1991 | GTEx | DepMap | Descartes | 0.11 | 1.05 |
MMD | 0.0001594 | 2075 | GTEx | DepMap | Descartes | 0.84 | 7.71 |
TMOD1 | 0.0001438 | 2210 | GTEx | DepMap | Descartes | 0.16 | 0.68 |
ENDOG | 0.0001357 | 2296 | GTEx | DepMap | Descartes | 0.37 | 41.37 |
AHSA1 | 0.0000831 | 2935 | GTEx | DepMap | Descartes | 1.39 | 54.33 |
GLRX | 0.0000813 | 2960 | GTEx | DepMap | Descartes | 0.62 | 17.61 |
MRPL48 | 0.0000600 | 3318 | GTEx | DepMap | Descartes | 1.11 | 5.28 |
ST3GAL6 | 0.0000500 | 3507 | GTEx | DepMap | Descartes | 0.07 | 0.45 |
CDC42EP3 | 0.0000461 | 3594 | GTEx | DepMap | Descartes | 0.34 | 5.06 |
RALGDS | 0.0000412 | 3702 | GTEx | DepMap | Descartes | 0.49 | 3.47 |
TOX2 | 0.0000344 | 3862 | GTEx | DepMap | Descartes | 0.11 | 0.23 |
CDKN2C | 0.0000328 | 3903 | GTEx | DepMap | Descartes | 0.34 | 13.48 |
LEPROTL1 | 0.0000309 | 3953 | GTEx | DepMap | Descartes | 1.39 | 35.58 |
FOXO3 | 0.0000170 | 4440 | GTEx | DepMap | Descartes | 0.39 | 1.61 |
VanGroningen Mesenchymal Genes
Mesenchymal marker genes from Supplementary Table 2 of Van Groningen et al. Nature Genetics 2017. These genes were identified by differential expression analysis of mesenchymal-like and adrenergic-like neuroblastoma cell lines.
Wilcoxon ranksum test P-value for gene set overrepresentation: 3.86e-17
Mean rank of genes in gene set: 8156.13
Median rank of genes in gene set: 6194
Rank on gene expression program of top 30 genes in gene set:
Genes | Weight | Rank | GTEx | DepMap | Descartes | Mean.Counts | Mean.TPM |
---|---|---|---|---|---|---|---|
EPS8 | 0.0046192 | 36 | GTEx | DepMap | Descartes | 0.66 | 1.42 |
GRN | 0.0035215 | 57 | GTEx | DepMap | Descartes | 15.29 | 681.86 |
CFH | 0.0033186 | 61 | GTEx | DepMap | Descartes | 1.00 | 3.68 |
ITM2B | 0.0028863 | 79 | GTEx | DepMap | Descartes | 59.10 | 750.57 |
CTSC | 0.0027359 | 92 | GTEx | DepMap | Descartes | 11.77 | 109.21 |
TNS1 | 0.0025840 | 97 | GTEx | DepMap | Descartes | 0.55 | 1.01 |
LAMP1 | 0.0025656 | 99 | GTEx | DepMap | Descartes | 14.51 | 271.45 |
RGS10 | 0.0024386 | 111 | GTEx | DepMap | Descartes | 2.78 | 19.40 |
IFITM2 | 0.0022430 | 116 | GTEx | DepMap | Descartes | 11.98 | 3308.51 |
LGALS1 | 0.0022274 | 118 | GTEx | DepMap | Descartes | 26.52 | 2059.13 |
IQGAP2 | 0.0022180 | 120 | GTEx | DepMap | Descartes | 0.69 | 0.77 |
RGL1 | 0.0021475 | 127 | GTEx | DepMap | Descartes | 1.04 | 1.38 |
TGFBR2 | 0.0020273 | 132 | GTEx | DepMap | Descartes | 1.14 | 4.24 |
IFITM3 | 0.0019685 | 134 | GTEx | DepMap | Descartes | 28.99 | 7833.12 |
APOE | 0.0019680 | 135 | GTEx | DepMap | Descartes | 478.69 | 47451.88 |
PDGFC | 0.0017056 | 163 | GTEx | DepMap | Descartes | 0.36 | 0.59 |
KCTD12 | 0.0016789 | 165 | GTEx | DepMap | Descartes | 1.59 | 83.68 |
FGFR1 | 0.0016747 | 166 | GTEx | DepMap | Descartes | 0.40 | 2.54 |
DSE | 0.0016532 | 169 | GTEx | DepMap | Descartes | 0.55 | 3.09 |
ANXA5 | 0.0015139 | 184 | GTEx | DepMap | Descartes | 6.19 | 70.67 |
CTSB | 0.0014807 | 191 | GTEx | DepMap | Descartes | 71.19 | 847.17 |
MGST1 | 0.0014326 | 201 | GTEx | DepMap | Descartes | 3.20 | 53.46 |
EMP1 | 0.0014166 | 205 | GTEx | DepMap | Descartes | 1.90 | 30.17 |
LIPA | 0.0013604 | 217 | GTEx | DepMap | Descartes | 5.02 | 40.29 |
LIFR | 0.0013165 | 229 | GTEx | DepMap | Descartes | 0.39 | 1.41 |
NR3C1 | 0.0013150 | 231 | GTEx | DepMap | Descartes | 0.74 | 2.13 |
TNFRSF1A | 0.0013072 | 233 | GTEx | DepMap | Descartes | 1.08 | 27.49 |
ZCCHC24 | 0.0012608 | 248 | GTEx | DepMap | Descartes | 0.38 | 2.49 |
ARPC1B | 0.0012582 | 249 | GTEx | DepMap | Descartes | 9.61 | 185.19 |
NRP1 | 0.0012205 | 254 | GTEx | DepMap | Descartes | 2.36 | 5.03 |
Descartes adrenocortical markers
Top 50 marker genes of adrenocortical cells in the Decartes fetal adrenal single cell map (https://atlas.brotmanbaty.org/bbi/human-gene-expression-during-development/cell/adrenocortical/in/adrenal)
Wilcoxon ranksum test P-value for gene set overrepresentation: 9.89e-01
Mean rank of genes in gene set: 12625.17
Median rank of genes in gene set: 15135
Rank on gene expression program of top 30 genes in gene set:
Genes | Weight | Rank | GTEx | DepMap | Descartes | Mean.Counts | Mean.TPM |
---|---|---|---|---|---|---|---|
NPC1 | 0.0006049 | 620 | GTEx | DepMap | Descartes | 1.55 | 9.86 |
PAPSS2 | 0.0002487 | 1536 | GTEx | DepMap | Descartes | 0.09 | 0.45 |
POR | 0.0001024 | 2670 | GTEx | DepMap | Descartes | 1.41 | 7.18 |
SH3PXD2B | 0.0000874 | 2878 | GTEx | DepMap | Descartes | 0.35 | 1.23 |
SLC16A9 | 0.0000778 | 3016 | GTEx | DepMap | Descartes | 0.20 | 1.37 |
ERN1 | 0.0000695 | 3151 | GTEx | DepMap | Descartes | 0.14 | 0.50 |
SH3BP5 | 0.0000633 | 3262 | GTEx | DepMap | Descartes | 0.63 | 2.54 |
IGF1R | 0.0000155 | 4512 | GTEx | DepMap | Descartes | 0.25 | 0.27 |
TM7SF2 | 0.0000056 | 5055 | GTEx | DepMap | Descartes | 0.06 | 3.13 |
SULT2A1 | 0.0000035 | 5224 | GTEx | DepMap | Descartes | 0.00 | 0.00 |
CYP11B1 | -0.0000048 | 6339 | GTEx | DepMap | Descartes | 0.00 | 0.00 |
CYP17A1 | -0.0000148 | 8316 | GTEx | DepMap | Descartes | 0.00 | 0.00 |
FREM2 | -0.0000177 | 8809 | GTEx | DepMap | Descartes | 0.00 | 0.00 |
GSTA4 | -0.0000194 | 9089 | GTEx | DepMap | Descartes | 0.11 | 0.96 |
CLU | -0.0000263 | 10087 | GTEx | DepMap | Descartes | 0.14 | 5.46 |
GRAMD1B | -0.0000343 | 11004 | GTEx | DepMap | Descartes | 0.66 | 0.90 |
SLC1A2 | -0.0000448 | 12042 | GTEx | DepMap | Descartes | 0.05 | 0.10 |
INHA | -0.0000529 | 12741 | GTEx | DepMap | Descartes | 0.02 | 1.40 |
SCARB1 | -0.0000558 | 13013 | GTEx | DepMap | Descartes | 0.34 | 1.86 |
SGCZ | -0.0000819 | 14809 | GTEx | DepMap | Descartes | 0.02 | 0.00 |
FDX1 | -0.0000847 | 14957 | GTEx | DepMap | Descartes | 0.55 | 7.08 |
DNER | -0.0000909 | 15313 | GTEx | DepMap | Descartes | 0.03 | 0.02 |
FDXR | -0.0000933 | 15415 | GTEx | DepMap | Descartes | 0.14 | 4.50 |
FRMD5 | -0.0001057 | 16032 | GTEx | DepMap | Descartes | 0.04 | 0.04 |
PDE10A | -0.0001097 | 16232 | GTEx | DepMap | Descartes | 0.05 | 0.03 |
JAKMIP2 | -0.0001118 | 16324 | GTEx | DepMap | Descartes | 0.09 | 0.15 |
BAIAP2L1 | -0.0001135 | 16400 | GTEx | DepMap | Descartes | 0.04 | 0.06 |
LDLR | -0.0001171 | 16544 | GTEx | DepMap | Descartes | 0.07 | 0.66 |
CYP11A1 | -0.0001182 | 16606 | GTEx | DepMap | Descartes | 0.00 | 0.06 |
STAR | -0.0001249 | 16876 | GTEx | DepMap | Descartes | 0.01 | 0.28 |
Descartes chromaffin markers
Top 50 marker genes of chromaffin cells in the Decartes fetal adrenal single cell map (https://atlas.brotmanbaty.org/bbi/human-gene-expression-during-development/cell/chromaffin/in/adrenal)
Wilcoxon ranksum test P-value for gene set overrepresentation: 1.00e+00
Mean rank of genes in gene set: 16381.25
Median rank of genes in gene set: 16847.5
Rank on gene expression program of top 30 genes in gene set:
Genes | Weight | Rank | GTEx | DepMap | Descartes | Mean.Counts | Mean.TPM |
---|---|---|---|---|---|---|---|
EPHA6 | 0.0000266 | 4076 | GTEx | DepMap | Descartes | 0.00 | 0.00 |
MAB21L1 | 0.0000095 | 4814 | GTEx | DepMap | Descartes | 0.00 | 0.26 |
SYNPO2 | 0.0000026 | 5301 | GTEx | DepMap | Descartes | 0.01 | 0.06 |
ANKFN1 | -0.0000359 | 11189 | GTEx | DepMap | Descartes | 0.01 | 0.00 |
RPH3A | -0.0000386 | 11444 | GTEx | DepMap | Descartes | 0.01 | 0.03 |
RGMB | -0.0000440 | 11970 | GTEx | DepMap | Descartes | 0.14 | 1.27 |
GREM1 | -0.0000507 | 12548 | GTEx | DepMap | Descartes | 0.00 | 0.00 |
HS3ST5 | -0.0000545 | 12899 | GTEx | DepMap | Descartes | 0.01 | 0.01 |
GAL | -0.0000580 | 13158 | GTEx | DepMap | Descartes | 0.09 | 3.43 |
NPY | -0.0000623 | 13478 | GTEx | DepMap | Descartes | 0.42 | 11.56 |
EYA4 | -0.0000663 | 13782 | GTEx | DepMap | Descartes | 0.06 | 0.05 |
SLC6A2 | -0.0000680 | 13916 | GTEx | DepMap | Descartes | 0.02 | 0.06 |
FAT3 | -0.0000694 | 14014 | GTEx | DepMap | Descartes | 0.09 | 0.05 |
ALK | -0.0000716 | 14175 | GTEx | DepMap | Descartes | 0.01 | 0.00 |
IL7 | -0.0000744 | 14346 | GTEx | DepMap | Descartes | 0.03 | 0.31 |
HMX1 | -0.0000763 | 14463 | GTEx | DepMap | Descartes | 0.16 | 4.57 |
TMEM132C | -0.0000792 | 14641 | GTEx | DepMap | Descartes | 0.01 | 0.01 |
NTRK1 | -0.0000901 | 15261 | GTEx | DepMap | Descartes | 0.06 | 0.52 |
PRPH | -0.0000920 | 15355 | GTEx | DepMap | Descartes | 0.14 | 14.43 |
RYR2 | -0.0000938 | 15442 | GTEx | DepMap | Descartes | 0.03 | 0.02 |
PTCHD1 | -0.0001089 | 16180 | GTEx | DepMap | Descartes | 0.01 | 0.03 |
KCNB2 | -0.0001180 | 16593 | GTEx | DepMap | Descartes | 0.03 | 0.02 |
PLXNA4 | -0.0001309 | 17102 | GTEx | DepMap | Descartes | 0.20 | 0.10 |
SLC44A5 | -0.0001536 | 17949 | GTEx | DepMap | Descartes | 0.02 | 0.03 |
TMEFF2 | -0.0001740 | 18504 | GTEx | DepMap | Descartes | 0.12 | 0.07 |
MARCH11 | -0.0001803 | 18662 | GTEx | DepMap | Descartes | 0.15 | 0.36 |
RBFOX1 | -0.0001999 | 19145 | GTEx | DepMap | Descartes | 0.25 | 0.03 |
CNKSR2 | -0.0002220 | 19537 | GTEx | DepMap | Descartes | 0.13 | 0.11 |
TUBB2A | -0.0002766 | 20182 | GTEx | DepMap | Descartes | 2.76 | 207.23 |
CNTFR | -0.0002878 | 20251 | GTEx | DepMap | Descartes | 0.25 | 1.39 |
Descartes Vascular_endothelial markers
Top 50 marker genes of Vascular_endothelial cells in the Decartes fetal adrenal single cell map (https://atlas.brotmanbaty.org/bbi/human-gene-expression-during-development/cell/vascular_endothelial/in/adrenal)
Wilcoxon ranksum test P-value for gene set overrepresentation: 3.86e-02
Mean rank of genes in gene set: 8846.88
Median rank of genes in gene set: 8997
Rank on gene expression program of top 30 genes in gene set:
Genes | Weight | Rank | GTEx | DepMap | Descartes | Mean.Counts | Mean.TPM |
---|---|---|---|---|---|---|---|
FCGR2B | 0.0038234 | 50 | GTEx | DepMap | Descartes | 3.76 | 71.77 |
NPR1 | 0.0008042 | 442 | GTEx | DepMap | Descartes | 0.09 | 2.23 |
CALCRL | 0.0004081 | 968 | GTEx | DepMap | Descartes | 0.16 | 0.96 |
KANK3 | 0.0001438 | 2209 | GTEx | DepMap | Descartes | 0.15 | 4.48 |
HYAL2 | 0.0001328 | 2328 | GTEx | DepMap | Descartes | 0.27 | 16.01 |
CEACAM1 | 0.0001215 | 2449 | GTEx | DepMap | Descartes | 0.25 | 5.31 |
CYP26B1 | 0.0001167 | 2507 | GTEx | DepMap | Descartes | 0.02 | 0.25 |
CLDN5 | 0.0001054 | 2633 | GTEx | DepMap | Descartes | 0.22 | 98.26 |
BTNL9 | 0.0001048 | 2641 | GTEx | DepMap | Descartes | 0.02 | 0.88 |
F8 | 0.0000371 | 3796 | GTEx | DepMap | Descartes | 0.04 | 0.12 |
PLVAP | 0.0000206 | 4303 | GTEx | DepMap | Descartes | 0.23 | 10.60 |
FLT4 | 0.0000165 | 4463 | GTEx | DepMap | Descartes | 0.06 | 1.11 |
KDR | 0.0000099 | 4785 | GTEx | DepMap | Descartes | 0.10 | 1.47 |
TEK | 0.0000022 | 5338 | GTEx | DepMap | Descartes | 0.01 | 0.05 |
SOX18 | 0.0000004 | 5512 | GTEx | DepMap | Descartes | 0.07 | 21.42 |
NR5A2 | -0.0000041 | 6165 | GTEx | DepMap | Descartes | 0.00 | 0.01 |
GALNT15 | -0.0000077 | 6966 | GTEx | DepMap | Descartes | 0.00 | 0.05 |
CRHBP | -0.0000103 | 7460 | GTEx | DepMap | Descartes | 0.00 | 0.00 |
CHRM3 | -0.0000114 | 7670 | GTEx | DepMap | Descartes | 0.00 | 0.00 |
TMEM88 | -0.0000138 | 8123 | GTEx | DepMap | Descartes | 0.02 | 5.79 |
SLCO2A1 | -0.0000175 | 8778 | GTEx | DepMap | Descartes | 0.01 | 0.01 |
APLNR | -0.0000188 | 8997 | GTEx | DepMap | Descartes | 0.01 | 1.48 |
ECSCR | -0.0000215 | 9424 | GTEx | DepMap | Descartes | 0.16 | 11.97 |
ROBO4 | -0.0000240 | 9775 | GTEx | DepMap | Descartes | 0.03 | 1.47 |
NOTCH4 | -0.0000245 | 9842 | GTEx | DepMap | Descartes | 0.07 | 1.12 |
PTPRB | -0.0000245 | 9845 | GTEx | DepMap | Descartes | 0.03 | 0.26 |
TIE1 | -0.0000269 | 10153 | GTEx | DepMap | Descartes | 0.04 | 1.43 |
SHE | -0.0000270 | 10160 | GTEx | DepMap | Descartes | 0.00 | 0.11 |
RAMP2 | -0.0000273 | 10209 | GTEx | DepMap | Descartes | 0.15 | 7.57 |
ESM1 | -0.0000298 | 10512 | GTEx | DepMap | Descartes | 0.05 | 3.42 |
Descartes stromal markers
Top 50 marker genes of stromal cells in the Decartes fetal adrenal single cell map (https://atlas.brotmanbaty.org/bbi/human-gene-expression-during-development/cell/stromal/in/adrenal)
Wilcoxon ranksum test P-value for gene set overrepresentation: 6.91e-01
Mean rank of genes in gene set: 10918.93
Median rank of genes in gene set: 12176.5
Rank on gene expression program of top 30 genes in gene set:
Genes | Weight | Rank | GTEx | DepMap | Descartes | Mean.Counts | Mean.TPM |
---|---|---|---|---|---|---|---|
ABCA6 | 0.0003022 | 1298 | GTEx | DepMap | Descartes | 0.00 | 0.00 |
FREM1 | 0.0000158 | 4497 | GTEx | DepMap | Descartes | 0.00 | 0.00 |
PAMR1 | 0.0000150 | 4531 | GTEx | DepMap | Descartes | 0.01 | 0.07 |
MGP | 0.0000109 | 4722 | GTEx | DepMap | Descartes | 1.03 | 83.56 |
IGFBP3 | 0.0000071 | 4956 | GTEx | DepMap | Descartes | 0.51 | 38.91 |
SCARA5 | 0.0000070 | 4963 | GTEx | DepMap | Descartes | 0.03 | 0.11 |
C7 | 0.0000013 | 5424 | GTEx | DepMap | Descartes | 0.00 | 0.00 |
ACTA2 | -0.0000007 | 5639 | GTEx | DepMap | Descartes | 0.63 | 6.13 |
ABCC9 | -0.0000012 | 5690 | GTEx | DepMap | Descartes | 0.03 | 0.14 |
ADAMTSL3 | -0.0000084 | 7093 | GTEx | DepMap | Descartes | 0.02 | 0.03 |
ITGA11 | -0.0000118 | 7751 | GTEx | DepMap | Descartes | 0.00 | 0.00 |
SULT1E1 | -0.0000126 | 7905 | GTEx | DepMap | Descartes | 0.00 | 0.05 |
LAMC3 | -0.0000149 | 8340 | GTEx | DepMap | Descartes | 0.05 | 0.21 |
BICC1 | -0.0000176 | 8784 | GTEx | DepMap | Descartes | 0.08 | 0.12 |
GLI2 | -0.0000229 | 9592 | GTEx | DepMap | Descartes | 0.00 | 0.01 |
COL12A1 | -0.0000275 | 10231 | GTEx | DepMap | Descartes | 0.09 | 0.15 |
ELN | -0.0000275 | 10239 | GTEx | DepMap | Descartes | 0.53 | 4.62 |
ADAMTS2 | -0.0000280 | 10313 | GTEx | DepMap | Descartes | 0.10 | 0.15 |
COL1A1 | -0.0000307 | 10621 | GTEx | DepMap | Descartes | 1.16 | 13.58 |
CD248 | -0.0000409 | 11675 | GTEx | DepMap | Descartes | 0.09 | 12.72 |
CCDC80 | -0.0000419 | 11754 | GTEx | DepMap | Descartes | 0.37 | 2.76 |
EDNRA | -0.0000436 | 11937 | GTEx | DepMap | Descartes | 0.03 | 0.17 |
PDGFRA | -0.0000455 | 12105 | GTEx | DepMap | Descartes | 0.01 | 0.12 |
PCDH18 | -0.0000470 | 12248 | GTEx | DepMap | Descartes | 0.02 | 0.29 |
ISLR | -0.0000472 | 12275 | GTEx | DepMap | Descartes | 0.11 | 0.94 |
LRRC17 | -0.0000494 | 12449 | GTEx | DepMap | Descartes | 0.01 | 0.10 |
OGN | -0.0000517 | 12641 | GTEx | DepMap | Descartes | 0.07 | 1.74 |
PRRX1 | -0.0000529 | 12745 | GTEx | DepMap | Descartes | 0.03 | 0.17 |
COL1A2 | -0.0000530 | 12755 | GTEx | DepMap | Descartes | 1.54 | 8.54 |
POSTN | -0.0000607 | 13351 | GTEx | DepMap | Descartes | 0.13 | 0.84 |
Descartes sympathoblasts markers
Top 50 marker genes of sympathoblasts cells in the Decartes fetal adrenal single cell map (https://atlas.brotmanbaty.org/bbi/human-gene-expression-during-development/cell/sympathoblasts/in/adrenal)
Wilcoxon ranksum test P-value for gene set overrepresentation: 1.00e+00
Mean rank of genes in gene set: 13803.26
Median rank of genes in gene set: 14147
Rank on gene expression program of top 30 genes in gene set:
Genes | Weight | Rank | GTEx | DepMap | Descartes | Mean.Counts | Mean.TPM |
---|---|---|---|---|---|---|---|
GCH1 | 0.0002871 | 1364 | GTEx | DepMap | Descartes | 0.60 | 4.89 |
AGBL4 | 0.0001534 | 2126 | GTEx | DepMap | Descartes | 0.01 | 0.00 |
LAMA3 | 0.0000377 | 3782 | GTEx | DepMap | Descartes | 0.02 | 0.02 |
PENK | -0.0000040 | 6156 | GTEx | DepMap | Descartes | 0.00 | 0.00 |
KCTD16 | -0.0000098 | 7386 | GTEx | DepMap | Descartes | 0.00 | 0.00 |
EML6 | -0.0000120 | 7782 | GTEx | DepMap | Descartes | 0.05 | 0.04 |
GRID2 | -0.0000128 | 7938 | GTEx | DepMap | Descartes | 0.01 | 0.00 |
GRM7 | -0.0000194 | 9080 | GTEx | DepMap | Descartes | 0.01 | 0.00 |
DGKK | -0.0000246 | 9861 | GTEx | DepMap | Descartes | 0.08 | 0.06 |
TENM1 | -0.0000249 | 9909 | GTEx | DepMap | Descartes | 0.00 | 0.00 |
SLC35F3 | -0.0000256 | 10004 | GTEx | DepMap | Descartes | 0.00 | 0.00 |
CDH12 | -0.0000390 | 11503 | GTEx | DepMap | Descartes | 0.00 | 0.00 |
CNTN3 | -0.0000467 | 12229 | GTEx | DepMap | Descartes | 0.00 | 0.00 |
CDH18 | -0.0000479 | 12339 | GTEx | DepMap | Descartes | 0.00 | 0.00 |
ARC | -0.0000530 | 12751 | GTEx | DepMap | Descartes | 0.02 | 1.37 |
SORCS3 | -0.0000587 | 13206 | GTEx | DepMap | Descartes | 0.01 | 0.01 |
TBX20 | -0.0000595 | 13269 | GTEx | DepMap | Descartes | 0.02 | 0.08 |
TMEM130 | -0.0000630 | 13525 | GTEx | DepMap | Descartes | 0.03 | 0.26 |
SPOCK3 | -0.0000652 | 13700 | GTEx | DepMap | Descartes | 0.05 | 0.07 |
SLC18A1 | -0.0000697 | 14029 | GTEx | DepMap | Descartes | 0.01 | 0.02 |
SLC24A2 | -0.0000699 | 14045 | GTEx | DepMap | Descartes | 0.01 | 0.02 |
PNMT | -0.0000728 | 14249 | GTEx | DepMap | Descartes | 0.00 | 0.18 |
MGAT4C | -0.0000886 | 15186 | GTEx | DepMap | Descartes | 0.08 | 0.02 |
CHGB | -0.0001090 | 16184 | GTEx | DepMap | Descartes | 0.72 | 10.67 |
FGF14 | -0.0001186 | 16622 | GTEx | DepMap | Descartes | 0.03 | 0.01 |
ROBO1 | -0.0001194 | 16666 | GTEx | DepMap | Descartes | 0.07 | 0.03 |
KSR2 | -0.0001239 | 16847 | GTEx | DepMap | Descartes | 0.10 | 0.06 |
GALNTL6 | -0.0001304 | 17089 | GTEx | DepMap | Descartes | 0.07 | 0.01 |
PACRG | -0.0001304 | 17091 | GTEx | DepMap | Descartes | 0.03 | 0.01 |
ST18 | -0.0001353 | 17293 | GTEx | DepMap | Descartes | 0.02 | 0.01 |
Descartes erythroblasts markers
Top 50 marker genes of erythroblasts cells in the Decartes fetal adrenal single cell map (https://atlas.brotmanbaty.org/bbi/human-gene-expression-during-development/cell/erythroblasts/in/adrenal)
Wilcoxon ranksum test P-value for gene set overrepresentation: 1.87e-01
Mean rank of genes in gene set: 9565.89
Median rank of genes in gene set: 10533
Rank on gene expression program of top 30 genes in gene set:
Genes | Weight | Rank | GTEx | DepMap | Descartes | Mean.Counts | Mean.TPM |
---|---|---|---|---|---|---|---|
BLVRB | 0.0044707 | 38 | GTEx | DepMap | Descartes | 5.83 | 96.27 |
SELENBP1 | 0.0020832 | 130 | GTEx | DepMap | Descartes | 0.32 | 9.36 |
GYPC | 0.0011606 | 275 | GTEx | DepMap | Descartes | 0.07 | 0.87 |
CAT | 0.0004595 | 851 | GTEx | DepMap | Descartes | 0.54 | 4.57 |
SPECC1 | 0.0002777 | 1407 | GTEx | DepMap | Descartes | 0.31 | 0.33 |
SPTA1 | 0.0001996 | 1792 | GTEx | DepMap | Descartes | 0.00 | 0.00 |
RAPGEF2 | 0.0001541 | 2119 | GTEx | DepMap | Descartes | 0.23 | 0.32 |
CR1L | 0.0001124 | 2555 | GTEx | DepMap | Descartes | 0.74 | 6.83 |
GCLC | 0.0000826 | 2943 | GTEx | DepMap | Descartes | 0.21 | 1.91 |
SLC25A37 | 0.0000259 | 4107 | GTEx | DepMap | Descartes | 0.32 | 2.49 |
SLC25A21 | 0.0000026 | 5302 | GTEx | DepMap | Descartes | 0.00 | 0.00 |
RHD | -0.0000111 | 7606 | GTEx | DepMap | Descartes | 0.00 | 0.01 |
GYPA | -0.0000137 | 8106 | GTEx | DepMap | Descartes | 0.00 | 0.10 |
EPB42 | -0.0000176 | 8795 | GTEx | DepMap | Descartes | 0.00 | 0.00 |
DENND4A | -0.0000199 | 9158 | GTEx | DepMap | Descartes | 0.19 | 0.65 |
HEMGN | -0.0000245 | 9843 | GTEx | DepMap | Descartes | 0.00 | 0.00 |
TFR2 | -0.0000282 | 10333 | GTEx | DepMap | Descartes | 0.00 | 0.03 |
SLC4A1 | -0.0000300 | 10533 | GTEx | DepMap | Descartes | 0.00 | 0.00 |
RGS6 | -0.0000333 | 10904 | GTEx | DepMap | Descartes | 0.00 | 0.00 |
ANK1 | -0.0000379 | 11394 | GTEx | DepMap | Descartes | 0.01 | 0.01 |
TRAK2 | -0.0000465 | 12216 | GTEx | DepMap | Descartes | 0.20 | 0.73 |
ABCB10 | -0.0000507 | 12547 | GTEx | DepMap | Descartes | 0.07 | 0.80 |
CPOX | -0.0000549 | 12931 | GTEx | DepMap | Descartes | 0.18 | 1.27 |
MARCH3 | -0.0000645 | 13639 | GTEx | DepMap | Descartes | 0.00 | 0.00 |
FECH | -0.0000663 | 13780 | GTEx | DepMap | Descartes | 0.23 | 1.92 |
SOX6 | -0.0000751 | 14381 | GTEx | DepMap | Descartes | 0.05 | 0.01 |
TMCC2 | -0.0000810 | 14757 | GTEx | DepMap | Descartes | 0.13 | 1.05 |
TMEM56 | -0.0000814 | 14786 | GTEx | DepMap | Descartes | 0.02 | 0.06 |
MICAL2 | -0.0000889 | 15196 | GTEx | DepMap | Descartes | 0.07 | 0.14 |
SPTB | -0.0001087 | 16173 | GTEx | DepMap | Descartes | 0.10 | 0.22 |
Descartes myeloid markers
Top 50 marker genes of myeloid cells in the Decartes fetal adrenal single cell map (https://atlas.brotmanbaty.org/bbi/human-gene-expression-during-development/cell/myeloid/in/adrenal)
Wilcoxon ranksum test P-value for gene set overrepresentation: 3.92e-10
Mean rank of genes in gene set: 4938.67
Median rank of genes in gene set: 540
Rank on gene expression program of top 30 genes in gene set:
Genes | Weight | Rank | GTEx | DepMap | Descartes | Mean.Counts | Mean.TPM |
---|---|---|---|---|---|---|---|
CD163 | 0.0089668 | 13 | GTEx | DepMap | Descartes | 0.52 | 6.66 |
C1QA | 0.0040390 | 44 | GTEx | DepMap | Descartes | 61.35 | 6258.42 |
CSF1R | 0.0039555 | 45 | GTEx | DepMap | Descartes | 3.97 | 40.70 |
C1QB | 0.0033789 | 58 | GTEx | DepMap | Descartes | 61.00 | 3020.76 |
WWP1 | 0.0033539 | 60 | GTEx | DepMap | Descartes | 2.36 | 7.23 |
C1QC | 0.0031316 | 67 | GTEx | DepMap | Descartes | 46.66 | 4033.69 |
SLC9A9 | 0.0030488 | 73 | GTEx | DepMap | Descartes | 0.55 | 0.33 |
SLCO2B1 | 0.0028034 | 86 | GTEx | DepMap | Descartes | 0.35 | 2.03 |
CTSC | 0.0027359 | 92 | GTEx | DepMap | Descartes | 11.77 | 109.21 |
CST3 | 0.0021845 | 123 | GTEx | DepMap | Descartes | 33.40 | 2618.88 |
RGL1 | 0.0021475 | 127 | GTEx | DepMap | Descartes | 1.04 | 1.38 |
VSIG4 | 0.0018025 | 150 | GTEx | DepMap | Descartes | 0.98 | 4.30 |
LGMN | 0.0017830 | 151 | GTEx | DepMap | Descartes | 18.32 | 119.91 |
ADAP2 | 0.0017209 | 162 | GTEx | DepMap | Descartes | 0.56 | 7.38 |
ABCA1 | 0.0015501 | 181 | GTEx | DepMap | Descartes | 4.76 | 10.89 |
CTSB | 0.0014807 | 191 | GTEx | DepMap | Descartes | 71.19 | 847.17 |
MS4A7 | 0.0014788 | 192 | GTEx | DepMap | Descartes | 9.85 | 184.64 |
RBPJ | 0.0013356 | 222 | GTEx | DepMap | Descartes | 1.49 | 2.79 |
HRH1 | 0.0009208 | 365 | GTEx | DepMap | Descartes | 0.07 | 0.27 |
IFNGR1 | 0.0008579 | 403 | GTEx | DepMap | Descartes | 1.82 | 35.62 |
MERTK | 0.0008067 | 441 | GTEx | DepMap | Descartes | 1.03 | 2.81 |
FGD2 | 0.0007325 | 494 | GTEx | DepMap | Descartes | 0.34 | 6.04 |
CTSD | 0.0006725 | 540 | GTEx | DepMap | Descartes | 65.62 | 1460.06 |
MARCH1 | 0.0005981 | 625 | GTEx | DepMap | Descartes | 0.60 | 0.22 |
MS4A4A | 0.0005677 | 661 | GTEx | DepMap | Descartes | 0.28 | 5.82 |
CTSS | 0.0002574 | 1497 | GTEx | DepMap | Descartes | 29.79 | 309.23 |
CD14 | 0.0001470 | 2178 | GTEx | DepMap | Descartes | 3.38 | 707.10 |
ITPR2 | 0.0001228 | 2434 | GTEx | DepMap | Descartes | 0.18 | 0.13 |
MSR1 | 0.0001009 | 2688 | GTEx | DepMap | Descartes | 2.36 | 11.44 |
CD163L1 | 0.0000631 | 3265 | GTEx | DepMap | Descartes | 0.00 | 0.00 |
Descartes Schwann markers
Top 50 marker genes of Schwann cells in the Decartes fetal adrenal single cell map (https://atlas.brotmanbaty.org/bbi/human-gene-expression-during-development/cell/schwann/in/adrenal)
Wilcoxon ranksum test P-value for gene set overrepresentation: 9.42e-01
Mean rank of genes in gene set: 11861.57
Median rank of genes in gene set: 12584
Rank on gene expression program of top 30 genes in gene set:
Genes | Weight | Rank | GTEx | DepMap | Descartes | Mean.Counts | Mean.TPM |
---|---|---|---|---|---|---|---|
EDNRB | 0.0111524 | 10 | GTEx | DepMap | Descartes | 2.02 | 24.57 |
KCTD12 | 0.0016789 | 165 | GTEx | DepMap | Descartes | 1.59 | 83.68 |
GAS7 | 0.0015833 | 175 | GTEx | DepMap | Descartes | 0.76 | 1.21 |
PMP22 | 0.0014724 | 195 | GTEx | DepMap | Descartes | 3.07 | 30.83 |
VIM | 0.0002437 | 1561 | GTEx | DepMap | Descartes | 13.60 | 493.38 |
MARCKS | 0.0001006 | 2697 | GTEx | DepMap | Descartes | 7.20 | 383.01 |
IL1RAPL1 | 0.0000434 | 3655 | GTEx | DepMap | Descartes | 0.00 | 0.00 |
ERBB3 | 0.0000264 | 4087 | GTEx | DepMap | Descartes | 0.06 | 0.62 |
GRIK3 | 0.0000033 | 5235 | GTEx | DepMap | Descartes | 0.02 | 0.03 |
ADAMTS5 | 0.0000031 | 5265 | GTEx | DepMap | Descartes | 0.16 | 1.32 |
TRPM3 | -0.0000085 | 7106 | GTEx | DepMap | Descartes | 0.01 | 0.00 |
IL1RAPL2 | -0.0000158 | 8486 | GTEx | DepMap | Descartes | 0.00 | 0.00 |
EGFLAM | -0.0000179 | 8856 | GTEx | DepMap | Descartes | 0.01 | 0.01 |
PAG1 | -0.0000208 | 9315 | GTEx | DepMap | Descartes | 0.13 | 0.27 |
MPZ | -0.0000214 | 9408 | GTEx | DepMap | Descartes | 0.00 | 0.04 |
CDH19 | -0.0000294 | 10464 | GTEx | DepMap | Descartes | 0.01 | 0.01 |
SCN7A | -0.0000353 | 11131 | GTEx | DepMap | Descartes | 0.05 | 0.14 |
SLC35F1 | -0.0000359 | 11182 | GTEx | DepMap | Descartes | 0.02 | 0.01 |
OLFML2A | -0.0000363 | 11238 | GTEx | DepMap | Descartes | 0.01 | 0.05 |
LRRTM4 | -0.0000364 | 11248 | GTEx | DepMap | Descartes | 0.00 | 0.00 |
PLP1 | -0.0000447 | 12034 | GTEx | DepMap | Descartes | 0.10 | 0.89 |
ERBB4 | -0.0000456 | 12123 | GTEx | DepMap | Descartes | 0.01 | 0.00 |
LAMA4 | -0.0000491 | 12429 | GTEx | DepMap | Descartes | 0.08 | 0.36 |
HMGA2 | -0.0000512 | 12584 | GTEx | DepMap | Descartes | 0.00 | 0.00 |
COL5A2 | -0.0000524 | 12700 | GTEx | DepMap | Descartes | 0.34 | 0.64 |
SOX10 | -0.0000547 | 12911 | GTEx | DepMap | Descartes | 0.01 | 0.10 |
SOX5 | -0.0000551 | 12946 | GTEx | DepMap | Descartes | 0.01 | 0.00 |
PTPRZ1 | -0.0000686 | 13961 | GTEx | DepMap | Descartes | 0.02 | 0.02 |
SFRP1 | -0.0000716 | 14172 | GTEx | DepMap | Descartes | 0.09 | 0.29 |
PLCE1 | -0.0000927 | 15391 | GTEx | DepMap | Descartes | 0.04 | 0.04 |
Descartes Megakaryocytes markers
Top 50 marker genes of Megakaryocytes cells in the Decartes fetal adrenal single cell map (https://atlas.brotmanbaty.org/bbi/human-gene-expression-during-development/cell/megakaryocytes/in/adrenal)
Wilcoxon ranksum test P-value for gene set overrepresentation: 1.88e-03
Mean rank of genes in gene set: 7975.61
Median rank of genes in gene set: 4986
Rank on gene expression program of top 30 genes in gene set:
Genes | Weight | Rank | GTEx | DepMap | Descartes | Mean.Counts | Mean.TPM |
---|---|---|---|---|---|---|---|
PF4 | 0.0038829 | 48 | GTEx | DepMap | Descartes | 23.36 | 7881.01 |
FERMT3 | 0.0012973 | 236 | GTEx | DepMap | Descartes | 1.74 | 27.26 |
PLEK | 0.0010595 | 307 | GTEx | DepMap | Descartes | 2.38 | 9.08 |
RAP1B | 0.0009662 | 342 | GTEx | DepMap | Descartes | 4.08 | 40.50 |
CD84 | 0.0008218 | 430 | GTEx | DepMap | Descartes | 2.48 | 14.76 |
UBASH3B | 0.0006646 | 543 | GTEx | DepMap | Descartes | 0.38 | 0.89 |
TLN1 | 0.0006089 | 614 | GTEx | DepMap | Descartes | 2.65 | 26.38 |
FLI1 | 0.0005731 | 652 | GTEx | DepMap | Descartes | 0.56 | 1.62 |
ZYX | 0.0005666 | 663 | GTEx | DepMap | Descartes | 1.18 | 35.52 |
MCTP1 | 0.0005524 | 681 | GTEx | DepMap | Descartes | 0.10 | 0.05 |
PPBP | 0.0005163 | 740 | GTEx | DepMap | Descartes | 0.06 | 17.14 |
TGFB1 | 0.0005133 | 743 | GTEx | DepMap | Descartes | 2.90 | 49.50 |
TMSB4X | 0.0004704 | 832 | GTEx | DepMap | Descartes | 259.68 | 33328.89 |
STOM | 0.0004308 | 922 | GTEx | DepMap | Descartes | 0.54 | 7.56 |
PSTPIP2 | 0.0004113 | 961 | GTEx | DepMap | Descartes | 0.03 | 0.10 |
ACTB | 0.0003886 | 1025 | GTEx | DepMap | Descartes | 138.85 | 11521.16 |
FLNA | 0.0001362 | 2287 | GTEx | DepMap | Descartes | 1.35 | 16.92 |
MYH9 | 0.0001332 | 2325 | GTEx | DepMap | Descartes | 1.60 | 6.75 |
VCL | 0.0000968 | 2753 | GTEx | DepMap | Descartes | 0.28 | 0.87 |
GSN | 0.0000705 | 3134 | GTEx | DepMap | Descartes | 1.71 | 10.37 |
STON2 | 0.0000660 | 3216 | GTEx | DepMap | Descartes | 0.04 | 0.17 |
TRPC6 | 0.0000134 | 4602 | GTEx | DepMap | Descartes | 0.00 | 0.00 |
TPM4 | 0.0000132 | 4618 | GTEx | DepMap | Descartes | 1.69 | 24.37 |
GP9 | 0.0000078 | 4920 | GTEx | DepMap | Descartes | 0.00 | 0.00 |
ITGB3 | 0.0000067 | 4986 | GTEx | DepMap | Descartes | 0.02 | 0.21 |
TUBB1 | -0.0000037 | 6093 | GTEx | DepMap | Descartes | 0.00 | 0.00 |
GP1BA | -0.0000049 | 6358 | GTEx | DepMap | Descartes | 0.00 | 0.00 |
P2RX1 | -0.0000221 | 9489 | GTEx | DepMap | Descartes | 0.06 | 1.11 |
ARHGAP6 | -0.0000297 | 10498 | GTEx | DepMap | Descartes | 0.09 | 0.05 |
SLC24A3 | -0.0000297 | 10502 | GTEx | DepMap | Descartes | 0.00 | 0.00 |
Descartes Lyphoid markers
Top 50 marker genes of Lyphoid cells in the Decartes fetal adrenal single cell map (https://atlas.brotmanbaty.org/bbi/human-gene-expression-during-development/cell/lymphoid/in/adrenal)
Wilcoxon ranksum test P-value for gene set overrepresentation: 1.32e-02
Mean rank of genes in gene set: 8453.27
Median rank of genes in gene set: 4929.5
Rank on gene expression program of top 30 genes in gene set:
Genes | Weight | Rank | GTEx | DepMap | Descartes | Mean.Counts | Mean.TPM |
---|---|---|---|---|---|---|---|
ARHGDIB | 0.0012415 | 252 | GTEx | DepMap | Descartes | 4.14 | 70.25 |
B2M | 0.0011067 | 287 | GTEx | DepMap | Descartes | 16.20 | 905.22 |
LCP1 | 0.0010510 | 308 | GTEx | DepMap | Descartes | 3.66 | 11.09 |
RCSD1 | 0.0005445 | 692 | GTEx | DepMap | Descartes | 0.23 | 1.25 |
MBNL1 | 0.0003651 | 1103 | GTEx | DepMap | Descartes | 2.02 | 4.58 |
WIPF1 | 0.0003296 | 1194 | GTEx | DepMap | Descartes | 0.61 | 1.96 |
GNG2 | 0.0002950 | 1329 | GTEx | DepMap | Descartes | 2.09 | 5.77 |
FAM65B | 0.0002881 | 1360 | GTEx | DepMap | Descartes | 0.07 | NA |
CELF2 | 0.0002745 | 1423 | GTEx | DepMap | Descartes | 1.14 | 0.34 |
ITPKB | 0.0002665 | 1461 | GTEx | DepMap | Descartes | 0.43 | 1.66 |
SP100 | 0.0002227 | 1654 | GTEx | DepMap | Descartes | 0.69 | 3.82 |
PRKCH | 0.0001800 | 1920 | GTEx | DepMap | Descartes | 0.19 | 0.35 |
ANKRD44 | 0.0001673 | 2017 | GTEx | DepMap | Descartes | 0.42 | 0.57 |
IKZF1 | 0.0001374 | 2275 | GTEx | DepMap | Descartes | 0.37 | 1.51 |
MCTP2 | 0.0001185 | 2489 | GTEx | DepMap | Descartes | 0.01 | 0.01 |
ARHGAP15 | 0.0000869 | 2885 | GTEx | DepMap | Descartes | 0.24 | 0.13 |
CCND3 | 0.0000843 | 2923 | GTEx | DepMap | Descartes | 0.37 | 1.50 |
PLEKHA2 | 0.0000547 | 3420 | GTEx | DepMap | Descartes | 0.30 | 1.55 |
PTPRC | 0.0000471 | 3573 | GTEx | DepMap | Descartes | 2.10 | 5.85 |
PITPNC1 | 0.0000338 | 3871 | GTEx | DepMap | Descartes | 1.16 | 1.33 |
MSN | 0.0000321 | 3927 | GTEx | DepMap | Descartes | 2.96 | 12.95 |
ARID5B | 0.0000293 | 3997 | GTEx | DepMap | Descartes | 0.50 | 0.88 |
SAMD3 | -0.0000024 | 5862 | GTEx | DepMap | Descartes | 0.00 | 0.00 |
NKG7 | -0.0000161 | 8550 | GTEx | DepMap | Descartes | 0.00 | 0.00 |
STK39 | -0.0000162 | 8578 | GTEx | DepMap | Descartes | 0.14 | 0.11 |
SKAP1 | -0.0000166 | 8625 | GTEx | DepMap | Descartes | 0.00 | 0.01 |
FOXP1 | -0.0000282 | 10330 | GTEx | DepMap | Descartes | 1.13 | 0.59 |
CCL5 | -0.0000334 | 10910 | GTEx | DepMap | Descartes | 0.14 | 16.67 |
BCL2 | -0.0000459 | 12150 | GTEx | DepMap | Descartes | 0.09 | 0.17 |
SCML4 | -0.0000465 | 12219 | GTEx | DepMap | Descartes | 0.02 | 0.06 |
Below shows the ranks on this GEP for immune marker gene lists curated by CellTypist (https://www.celltypist.org/encyclopedia).
High ranks indicate this gene is a driver of this GEP.
These curated gene list are ranked by P-value (on this GEP) of their constituent genes.
The Mean Count column shows the mean read count in cells scoring highly (H > 50) on this gene expression program.
Genes | Weight | Rank | GTEx | DepMap | Decartes | Mean.Counts | Mean.TPM |
---|---|---|---|---|---|---|---|
C1QA | 0.0040390 | 44 | GTEx | DepMap | Descartes | 61.35 | 6258.42 |
TREM2 | 0.0022067 | 121 | GTEx | DepMap | Descartes | 11.61 | 429.50 |
CD68 | 0.0019737 | 133 | GTEx | DepMap | Descartes | 11.12 | 1651.17 |
Mono-mac: Mono-mac (curated markers)
mononuclear phagocytes including monocytes and macrophages that are involved in the regulation of innate and adaptive immunity:
Wilcoxon ranksum test P-value for gene set overrepresentation: 1.60e-03
Mean rank of genes in gene set: 182.67
Rank on gene expression program of genes in gene set:
Genes | Weight | Rank | GTEx | DepMap | Decartes | Mean.Counts | Mean.TPM |
---|---|---|---|---|---|---|---|
C1QC | 0.0031316 | 67 | GTEx | DepMap | Descartes | 46.66 | 4033.69 |
HMOX1 | 0.0022347 | 117 | GTEx | DepMap | Descartes | 18.37 | 761.17 |
TYROBP | 0.0009233 | 364 | GTEx | DepMap | Descartes | 37.83 | 2821.97 |
ILC precursor: ILC precursor (curated markers)
innate lymphoid cell precursors which give rise to innate lymphoid cells and lack the characteristics of their mature progenies:
Wilcoxon ranksum test P-value for gene set overrepresentation: 3.05e-03
Mean rank of genes in gene set: 900.67
Rank on gene expression program of genes in gene set:
Genes | Weight | Rank | GTEx | DepMap | Decartes | Mean.Counts | Mean.TPM |
---|---|---|---|---|---|---|---|
SCN1B | 0.0014258 | 204 | GTEx | DepMap | Descartes | 0.68 | 23.91 |
HPN | 0.0003824 | 1046 | GTEx | DepMap | Descartes | 0.02 | 0.54 |
LST1 | 0.0002678 | 1452 | GTEx | DepMap | Descartes | 3.93 | 379.49 |