QQ-plot of gene loadings, averaged over both independent splits of the data
This plot highlights the relative contribution of each gene to the GEP
Top genes driving this program.
Note: Decartes website is buggy, try refreshing. Also, Decartes fetal adrenal data have been collected at specific time points (89-122 days), all possible cell types of interest may not be represented, do not overinterpret.
The Mean Count column shows the mean read count in cells scoring highly (H > 50) on this gene expression program.
Gene | Loading | Gene.Name | GTEx | DepMap | Descartes | Mean.Counts | Mean.Tpm | |
---|---|---|---|---|---|---|---|---|
1 | TNNI3 | 0.0102032 | troponin I3, cardiac type | GTEx | DepMap | Descartes | 17.17 | 519.05 |
2 | MYL4 | 0.0100689 | myosin light chain 4 | GTEx | DepMap | Descartes | 80.33 | 343.39 |
3 | TNNT2 | 0.0098649 | troponin T2, cardiac type | GTEx | DepMap | Descartes | 73.47 | 895.22 |
4 | SMPX | 0.0096543 | small muscle protein X-linked | GTEx | DepMap | Descartes | 11.24 | 39.53 |
5 | CSRP3 | 0.0096276 | cysteine and glycine rich protein 3 | GTEx | DepMap | Descartes | 17.21 | 181.73 |
6 | COX6A2 | 0.0095555 | cytochrome c oxidase subunit 6A2 | GTEx | DepMap | Descartes | 10.63 | 1927.79 |
7 | MYL2 | 0.0089320 | myosin light chain 2 | GTEx | DepMap | Descartes | 78.02 | 1233.45 |
8 | HSPB7 | 0.0087168 | heat shock protein family B (small) member 7 | GTEx | DepMap | Descartes | 7.94 | 334.07 |
9 | MYL3 | 0.0086424 | myosin light chain 3 | GTEx | DepMap | Descartes | 63.63 | 485.84 |
10 | LDB3 | 0.0086367 | LIM domain binding 3 | GTEx | DepMap | Descartes | 3.94 | 12.38 |
11 | TNNI1 | 0.0086139 | troponin I1, slow skeletal type | GTEx | DepMap | Descartes | 45.15 | 284.03 |
12 | MYBPC3 | 0.0084501 | myosin binding protein C3 | GTEx | DepMap | Descartes | 10.12 | 113.06 |
13 | SH3BGR | 0.0083591 | SH3 domain binding glutamate rich protein | GTEx | DepMap | Descartes | 8.55 | 59.61 |
14 | TNNC1 | 0.0083002 | troponin C1, slow skeletal and cardiac type | GTEx | DepMap | Descartes | 48.85 | 2564.18 |
15 | MYH7 | 0.0081234 | myosin heavy chain 7 | GTEx | DepMap | Descartes | 67.56 | 565.05 |
16 | PLN | 0.0078939 | phospholamban | GTEx | DepMap | Descartes | 14.49 | 375.86 |
17 | TTN | 0.0078092 | titin | GTEx | DepMap | Descartes | 109.85 | 72.77 |
18 | PGAM2 | 0.0077165 | phosphoglycerate mutase 2 | GTEx | DepMap | Descartes | 9.97 | 850.80 |
19 | FSD2 | 0.0076260 | fibronectin type III and SPRY domain containing 2 | GTEx | DepMap | Descartes | 1.17 | 6.56 |
20 | MYL7 | 0.0073755 | myosin light chain 7 | GTEx | DepMap | Descartes | 81.18 | 7502.54 |
21 | ADPRHL1 | 0.0070527 | ADP-ribosylhydrolase like 1 | GTEx | DepMap | Descartes | 2.22 | 12.73 |
22 | MYH6 | 0.0069922 | myosin heavy chain 6 | GTEx | DepMap | Descartes | 28.44 | 200.37 |
23 | ACTC1 | 0.0068842 | actin alpha cardiac muscle 1 | GTEx | DepMap | Descartes | 194.46 | 6518.73 |
24 | NKX2-5 | 0.0065478 | NK2 homeobox 5 | GTEx | DepMap | Descartes | 2.52 | 76.89 |
25 | APOBEC2 | 0.0065125 | apolipoprotein B mRNA editing enzyme catalytic subunit 2 | GTEx | DepMap | Descartes | 5.08 | 61.21 |
26 | POPDC2 | 0.0064816 | popeye domain containing 2 | GTEx | DepMap | Descartes | 2.67 | 31.55 |
27 | GYG | 0.0063547 | NA | GTEx | DepMap | Descartes | 16.31 | 104.94 |
28 | MYOM1 | 0.0063050 | myomesin 1 | GTEx | DepMap | Descartes | 3.94 | 6.72 |
29 | CRYAB | 0.0062239 | crystallin alpha B | GTEx | DepMap | Descartes | 12.87 | 425.44 |
30 | ACTN2 | 0.0062043 | actinin alpha 2 | GTEx | DepMap | Descartes | 11.85 | 29.33 |
31 | ANKRD1 | 0.0061205 | ankyrin repeat domain 1 | GTEx | DepMap | Descartes | 5.38 | 138.51 |
32 | RYR2 | 0.0060882 | ryanodine receptor 2 | GTEx | DepMap | Descartes | 3.19 | 1.18 |
33 | FABP3 | 0.0060867 | fatty acid binding protein 3 | GTEx | DepMap | Descartes | 7.11 | 200.79 |
34 | PYGM | 0.0060853 | glycogen phosphorylase, muscle associated | GTEx | DepMap | Descartes | 2.13 | 29.74 |
35 | LRRC39 | 0.0060254 | leucine rich repeat containing 39 | GTEx | DepMap | Descartes | 0.83 | 6.50 |
36 | CHCHD10 | 0.0059878 | coiled-coil-helix-coiled-coil-helix domain containing 10 | GTEx | DepMap | Descartes | 8.89 | 420.52 |
37 | CITED1 | 0.0059267 | Cbp/p300 interacting transactivator with Glu/Asp rich carboxy-terminal domain 1 | GTEx | DepMap | Descartes | 9.89 | 328.58 |
38 | NEXN | 0.0059126 | nexilin F-actin binding protein | GTEx | DepMap | Descartes | 8.67 | 51.78 |
39 | TMOD1 | 0.0058586 | tropomodulin 1 | GTEx | DepMap | Descartes | 4.53 | 12.00 |
40 | MYOZ2 | 0.0058066 | myozenin 2 | GTEx | DepMap | Descartes | 2.54 | 16.69 |
41 | MOV10L1 | 0.0056138 | Mov10 like RISC complex RNA helicase 1 | GTEx | DepMap | Descartes | 0.63 | 1.85 |
42 | LMOD2 | 0.0055534 | leiomodin 2 | GTEx | DepMap | Descartes | 1.48 | 35.95 |
43 | GM15543 | 0.0054180 | NA | GTEx | DepMap | Descartes | 0.29 | 9.27 |
44 | RRAD | 0.0054118 | RRAD, Ras related glycolysis inhibitor and calcium channel regulator | GTEx | DepMap | Descartes | 4.45 | 243.43 |
45 | GJA5 | 0.0053814 | gap junction protein alpha 5 | GTEx | DepMap | Descartes | 1.60 | 1.30 |
46 | ATP2A2 | 0.0053615 | ATPase sarcoplasmic/endoplasmic reticulum Ca2+ transporting 2 | GTEx | DepMap | Descartes | 17.67 | 73.78 |
47 | MYLK3 | 0.0053486 | myosin light chain kinase 3 | GTEx | DepMap | Descartes | 1.71 | 5.91 |
48 | PKP2 | 0.0052735 | plakophilin 2 | GTEx | DepMap | Descartes | 2.18 | 7.26 |
49 | TRDN | 0.0052720 | triadin | GTEx | DepMap | Descartes | 2.33 | 1.17 |
50 | RD3L | 0.0052696 | RD3 like | GTEx | DepMap | Descartes | 0.15 | 8.60 |
UMAP plots showing activity of gene expression program identified in GEP 1. Cardiomyocytes:
Gene set Enrichments for this program, caculated from top 50 genes
mSigDB Cell Types Gene Set:
P-value | OR | Lower 95% CI | FDR | FWER | Genes Found | Gene Set Size | |
---|---|---|---|---|---|---|---|
CUI_DEVELOPING_HEART_C2_CARDIOMYOCYTE | 3.45e-73 | 780.01 | 399.97 | 2.31e-70 | 2.31e-70 | 35TNNI3, MYL4, TNNT2, SMPX, CSRP3, COX6A2, HSPB7, MYL3, LDB3, TNNI1, MYBPC3, SH3BGR, TNNC1, MYH7, PLN, TTN, PGAM2, MYL7, ADPRHL1, MYH6, ACTC1, NKX2-5, APOBEC2, POPDC2, MYOM1, CRYAB, ACTN2, ANKRD1, FABP3, CHCHD10, NEXN, MYOZ2, RRAD, MYLK3, TRDN |
91 |
CUI_DEVELOPING_HEART_CARDIAC_FIBROBLASTS | 3.50e-62 | 456.52 | 240.49 | 1.17e-59 | 2.35e-59 | 32TNNI3, MYL4, TNNT2, SMPX, CSRP3, COX6A2, MYL2, HSPB7, MYL3, LDB3, TNNI1, MYBPC3, SH3BGR, TNNC1, MYH7, PLN, TTN, PGAM2, MYL7, MYH6, ACTC1, NKX2-5, MYOM1, CRYAB, ACTN2, ANKRD1, RYR2, FABP3, MYOZ2, RRAD, ATP2A2, TRDN |
106 |
DESCARTES_FETAL_EYE_SKELETAL_MUSCLE_CELLS | 5.25e-35 | 113.82 | 60.76 | 1.17e-32 | 3.52e-32 | 23MYL4, TNNT2, SMPX, CSRP3, COX6A2, MYL2, HSPB7, MYL3, LDB3, TNNI1, TNNC1, MYH7, TTN, FSD2, ADPRHL1, ACTC1, APOBEC2, MYOM1, ACTN2, FABP3, NEXN, MYOZ2, TRDN |
167 |
DESCARTES_FETAL_MUSCLE_SKELETAL_MUSCLE_CELLS | 1.14e-12 | 25.59 | 12.01 | 1.91e-10 | 7.65e-10 | 12MYL4, TNNT2, SMPX, LDB3, TNNI1, TTN, PGAM2, ADPRHL1, ACTC1, ACTN2, ANKRD1, MYOZ2 |
250 |
CUI_DEVELOPING_HEART_COMPACT_VENTRICULAR_CARDIOMYOCYTE | 2.36e-05 | 27.46 | 6.96 | 2.64e-03 | 1.58e-02 | 4TNNI3, MYL2, PGAM2, CRYAB |
65 |
CUI_DEVELOPING_HEART_COMPACT_ATRIAL_CARDIOMYOCYTE | 6.73e-04 | 61.64 | 6.58 | 4.10e-02 | 4.52e-01 | 2PLN, CRYAB |
15 |
TRAVAGLINI_LUNG_AIRWAY_SMOOTH_MUSCLE_CELL | 4.06e-06 | 16.43 | 5.64 | 5.45e-04 | 2.72e-03 | 6TNNT2, HSPB7, LDB3, PLN, CRYAB, NEXN |
166 |
CUI_DEVELOPING_HEART_5TH_WEEK_VENTRICULAR_CARDIOMYOCYTE | 5.60e-05 | 21.75 | 5.55 | 5.37e-03 | 3.76e-02 | 4PGAM2, MYH6, GJA5, ATP2A2 |
81 |
CUI_DEVELOPING_HEART_LEFT_ATRIAL_CARDIOMYOCYTE | 1.21e-03 | 44.53 | 4.88 | 6.75e-02 | 8.10e-01 | 2MYH6, GJA5 |
20 |
CUI_DEVELOPING_HEART_ENDOCARDIAL_CELL | 3.46e-04 | 24.60 | 4.74 | 2.58e-02 | 2.32e-01 | 3PGAM2, MYL7, MYH6 |
53 |
DESCARTES_MAIN_FETAL_SKELETAL_MUSCLE_CELLS | 1.20e-04 | 11.64 | 3.56 | 1.01e-02 | 8.06e-02 | 5TTN, APOBEC2, ACTN2, PYGM, TRDN |
189 |
DESCARTES_FETAL_KIDNEY_METANEPHRIC_CELLS | 6.21e-04 | 11.32 | 2.92 | 4.10e-02 | 4.16e-01 | 4TNNI1, ANKRD1, CITED1, TRDN |
152 |
DESCARTES_MAIN_FETAL_CARDIOMYOCYTES | 5.02e-03 | 20.58 | 2.34 | 2.52e-01 | 1.00e+00 | 2MYBPC3, RYR2 |
41 |
DESCARTES_FETAL_STOMACH_PARIETAL_AND_CHIEF_CELLS | 5.26e-03 | 20.06 | 2.29 | 2.52e-01 | 1.00e+00 | 2MYBPC3, APOBEC2 |
42 |
CUI_DEVELOPING_HEART_5TH_WEEK_ATRIAL_CARDIOMYOCYTE | 5.76e-03 | 19.12 | 2.18 | 2.58e-01 | 1.00e+00 | 2MYL2, MYH7 |
44 |
GAO_STOMACH_24W_C5_PUTATIVE_PIT_CELL_PROGENITOR | 8.87e-03 | 15.15 | 1.74 | 3.50e-01 | 1.00e+00 | 2LDB3, ACTC1 |
55 |
DESCARTES_FETAL_LIVER_MEGAKARYOCYTES | 7.89e-03 | 7.89 | 1.55 | 3.31e-01 | 1.00e+00 | 3TNNI3, MYOM1, NEXN |
159 |
HAY_BONE_MARROW_CD34_POS_MKP | 1.15e-02 | 13.16 | 1.52 | 3.86e-01 | 1.00e+00 | 2MYH7, RYR2 |
63 |
DESCARTES_FETAL_LUNG_MEGAKARYOCYTES | 1.05e-02 | 7.07 | 1.39 | 3.83e-01 | 1.00e+00 | 3TNNI3, MYOM1, NEXN |
177 |
CUI_DEVELOPING_HEART_TRABECULAR_ATRIAL_CARDIOMYOCYTE | 1.09e-02 | 6.99 | 1.38 | 3.83e-01 | 1.00e+00 | 3TTN, GJA5, ATP2A2 |
179 |
Dowload full table
mSigDB Hallmark Gene Sets:
P-value | OR | Lower 95% CI | FDR | FWER | Genes Found | Gene Set Size | |
---|---|---|---|---|---|---|---|
HALLMARK_MYOGENESIS | 2.93e-29 | 77.91 | 41.35 | 1.47e-27 | 1.47e-27 | 21MYL4, TNNT2, CSRP3, COX6A2, MYL2, MYL3, LDB3, TNNI1, MYBPC3, SH3BGR, TNNC1, MYH7, PGAM2, MYL7, ACTC1, MYOM1, CRYAB, ACTN2, FABP3, PYGM, GJA5 |
200 |
HALLMARK_KRAS_SIGNALING_DN | 1.56e-04 | 10.98 | 3.37 | 3.90e-03 | 7.81e-03 | 5TNNI3, SMPX, MYH7, ACTC1, RYR2 |
200 |
HALLMARK_APICAL_JUNCTION | 1.46e-02 | 6.25 | 1.23 | 2.43e-01 | 7.29e-01 | 3ACTC1, ACTN2, NEXN |
200 |
HALLMARK_UV_RESPONSE_UP | 6.21e-02 | 5.15 | 0.60 | 6.64e-01 | 1.00e+00 | 2NKX2-5, RRAD |
158 |
HALLMARK_HYPOXIA | 9.29e-02 | 4.06 | 0.47 | 6.64e-01 | 1.00e+00 | 2PGAM2, PYGM |
200 |
HALLMARK_GLYCOLYSIS | 9.29e-02 | 4.06 | 0.47 | 6.64e-01 | 1.00e+00 | 2PGAM2, PKP2 |
200 |
HALLMARK_P53_PATHWAY | 9.29e-02 | 4.06 | 0.47 | 6.64e-01 | 1.00e+00 | 2TNNI1, RRAD |
200 |
HALLMARK_SPERMATOGENESIS | 2.94e-01 | 2.94 | 0.07 | 1.00e+00 | 1.00e+00 | 1TNNI3 |
135 |
HALLMARK_ADIPOGENESIS | 4.03e-01 | 1.98 | 0.05 | 1.00e+00 | 1.00e+00 | 1CHCHD10 |
200 |
HALLMARK_ESTROGEN_RESPONSE_LATE | 4.03e-01 | 1.98 | 0.05 | 1.00e+00 | 1.00e+00 | 1TNNC1 |
200 |
HALLMARK_COMPLEMENT | 4.03e-01 | 1.98 | 0.05 | 1.00e+00 | 1.00e+00 | 1ACTN2 |
200 |
HALLMARK_MTORC1_SIGNALING | 4.03e-01 | 1.98 | 0.05 | 1.00e+00 | 1.00e+00 | 1ATP2A2 |
200 |
HALLMARK_INFLAMMATORY_RESPONSE | 4.03e-01 | 1.98 | 0.05 | 1.00e+00 | 1.00e+00 | 1ATP2A2 |
200 |
HALLMARK_XENOBIOTIC_METABOLISM | 4.03e-01 | 1.98 | 0.05 | 1.00e+00 | 1.00e+00 | 1ATP2A2 |
200 |
HALLMARK_HEME_METABOLISM | 4.03e-01 | 1.98 | 0.05 | 1.00e+00 | 1.00e+00 | 1MYL4 |
200 |
HALLMARK_KRAS_SIGNALING_UP | 4.03e-01 | 1.98 | 0.05 | 1.00e+00 | 1.00e+00 | 1TNNT2 |
200 |
HALLMARK_TNFA_SIGNALING_VIA_NFKB | 1.00e+00 | 0.00 | 0.00 | 1.00e+00 | 1.00e+00 | 0 |
200 |
HALLMARK_CHOLESTEROL_HOMEOSTASIS | 1.00e+00 | 0.00 | 0.00 | 1.00e+00 | 1.00e+00 | 0 |
74 |
HALLMARK_MITOTIC_SPINDLE | 1.00e+00 | 0.00 | 0.00 | 1.00e+00 | 1.00e+00 | 0 |
199 |
HALLMARK_WNT_BETA_CATENIN_SIGNALING | 1.00e+00 | 0.00 | 0.00 | 1.00e+00 | 1.00e+00 | 0 |
42 |
Dowload full table
KEGG Pathways:
P-value | OR | Lower 95% CI | FDR | FWER | Genes Found | Gene Set Size | |
---|---|---|---|---|---|---|---|
KEGG_DILATED_CARDIOMYOPATHY | 5.70e-20 | 87.76 | 41.18 | 1.06e-17 | 1.06e-17 | 13TNNI3, TNNT2, MYL2, MYL3, MYBPC3, TNNC1, MYH7, PLN, TTN, MYH6, ACTC1, RYR2, ATP2A2 |
90 |
KEGG_HYPERTROPHIC_CARDIOMYOPATHY_HCM | 1.74e-18 | 85.53 | 39.01 | 1.61e-16 | 3.23e-16 | 12TNNI3, TNNT2, MYL2, MYL3, MYBPC3, TNNC1, MYH7, TTN, MYH6, ACTC1, RYR2, ATP2A2 |
83 |
KEGG_CARDIAC_MUSCLE_CONTRACTION | 8.10e-17 | 79.76 | 35.34 | 5.02e-15 | 1.51e-14 | 11TNNI3, TNNT2, COX6A2, MYL2, MYL3, TNNC1, MYH7, MYH6, ACTC1, RYR2, ATP2A2 |
79 |
KEGG_ARRHYTHMOGENIC_RIGHT_VENTRICULAR_CARDIOMYOPATHY_ARVC | 3.93e-05 | 23.94 | 6.09 | 1.46e-03 | 7.31e-03 | 4ACTN2, RYR2, ATP2A2, PKP2 |
74 |
KEGG_TIGHT_JUNCTION | 2.21e-05 | 16.86 | 5.14 | 1.03e-03 | 4.10e-03 | 5MYL2, MYH7, MYL7, MYH6, ACTN2 |
132 |
KEGG_CALCIUM_SIGNALING_PATHWAY | 9.09e-05 | 12.38 | 3.79 | 2.82e-03 | 1.69e-02 | 5TNNC1, PLN, RYR2, ATP2A2, MYLK3 |
178 |
KEGG_FOCAL_ADHESION | 1.67e-03 | 8.60 | 2.23 | 4.44e-02 | 3.11e-01 | 4MYL2, MYL7, ACTN2, MYLK3 |
199 |
KEGG_LEUKOCYTE_TRANSENDOTHELIAL_MIGRATION | 3.31e-03 | 10.89 | 2.14 | 6.83e-02 | 6.15e-01 | 3MYL2, MYL7, ACTN2 |
116 |
KEGG_REGULATION_OF_ACTIN_CYTOSKELETON | 2.13e-03 | 8.02 | 2.08 | 4.96e-02 | 3.97e-01 | 4MYL2, MYL7, ACTN2, MYLK3 |
213 |
KEGG_VIRAL_MYOCARDITIS | 1.41e-02 | 11.81 | 1.36 | 2.62e-01 | 1.00e+00 | 2MYH7, MYH6 |
70 |
KEGG_ALZHEIMERS_DISEASE | 6.77e-02 | 4.90 | 0.57 | 1.00e+00 | 1.00e+00 | 2COX6A2, ATP2A2 |
166 |
KEGG_STARCH_AND_SUCROSE_METABOLISM | 1.26e-01 | 7.71 | 0.19 | 1.00e+00 | 1.00e+00 | 1PYGM |
52 |
KEGG_GLYCOLYSIS_GLUCONEOGENESIS | 1.48e-01 | 6.45 | 0.16 | 1.00e+00 | 1.00e+00 | 1PGAM2 |
62 |
KEGG_PPAR_SIGNALING_PATHWAY | 1.63e-01 | 5.78 | 0.14 | 1.00e+00 | 1.00e+00 | 1FABP3 |
69 |
KEGG_ADHERENS_JUNCTION | 1.72e-01 | 5.46 | 0.13 | 1.00e+00 | 1.00e+00 | 1ACTN2 |
73 |
KEGG_VASCULAR_SMOOTH_MUSCLE_CONTRACTION | 2.57e-01 | 3.45 | 0.08 | 1.00e+00 | 1.00e+00 | 1MYLK3 |
115 |
KEGG_PARKINSONS_DISEASE | 2.85e-01 | 3.05 | 0.08 | 1.00e+00 | 1.00e+00 | 1COX6A2 |
130 |
KEGG_OXIDATIVE_PHOSPHORYLATION | 2.89e-01 | 3.00 | 0.07 | 1.00e+00 | 1.00e+00 | 1COX6A2 |
132 |
KEGG_INSULIN_SIGNALING_PATHWAY | 2.98e-01 | 2.89 | 0.07 | 1.00e+00 | 1.00e+00 | 1PYGM |
137 |
KEGG_SYSTEMIC_LUPUS_ERYTHEMATOSUS | 3.01e-01 | 2.85 | 0.07 | 1.00e+00 | 1.00e+00 | 1ACTN2 |
139 |
Dowload full table
CHR Positional Gene Sets:
P-value | OR | Lower 95% CI | FDR | FWER | Genes Found | Gene Set Size | |
---|---|---|---|---|---|---|---|
chr7p13 | 7.38e-03 | 16.72 | 1.92 | 1.00e+00 | 1.00e+00 | 2PGAM2, MYL7 |
50 |
chr1q43 | 1.05e-02 | 13.85 | 1.59 | 1.00e+00 | 1.00e+00 | 2ACTN2, RYR2 |
60 |
chr16q11 | 3.06e-02 | 35.69 | 0.81 | 1.00e+00 | 1.00e+00 | 1MYLK3 |
12 |
chr6q22 | 3.76e-02 | 6.86 | 0.80 | 1.00e+00 | 1.00e+00 | 2PLN, TRDN |
119 |
chr10q23 | 8.52e-02 | 4.27 | 0.50 | 1.00e+00 | 1.00e+00 | 2LDB3, ANKRD1 |
190 |
chr1q32 | 1.48e-01 | 3.04 | 0.36 | 1.00e+00 | 1.00e+00 | 2TNNT2, TNNI1 |
266 |
chr3p21 | 1.81e-01 | 2.66 | 0.31 | 1.00e+00 | 1.00e+00 | 2MYL3, TNNC1 |
304 |
chr14q11 | 2.00e-01 | 2.49 | 0.29 | 1.00e+00 | 1.00e+00 | 2MYH7, MYH6 |
325 |
chr12q24 | 2.60e-01 | 2.07 | 0.24 | 1.00e+00 | 1.00e+00 | 2MYL2, ATP2A2 |
390 |
chr4q26 | 1.28e-01 | 7.56 | 0.18 | 1.00e+00 | 1.00e+00 | 1MYOZ2 |
53 |
chr15q14 | 1.35e-01 | 7.15 | 0.17 | 1.00e+00 | 1.00e+00 | 1ACTC1 |
56 |
chr12p11 | 1.80e-01 | 5.18 | 0.13 | 1.00e+00 | 1.00e+00 | 1PKP2 |
77 |
chr1p21 | 2.26e-01 | 4.01 | 0.10 | 1.00e+00 | 1.00e+00 | 1LRRC39 |
99 |
chr7q31 | 2.83e-01 | 3.07 | 0.08 | 1.00e+00 | 1.00e+00 | 1LMOD2 |
129 |
chr1p35 | 2.85e-01 | 3.05 | 0.08 | 1.00e+00 | 1.00e+00 | 1FABP3 |
130 |
chr11p11 | 3.12e-01 | 2.73 | 0.07 | 1.00e+00 | 1.00e+00 | 1MYBPC3 |
145 |
chr15q25 | 3.24e-01 | 2.61 | 0.06 | 1.00e+00 | 1.00e+00 | 1FSD2 |
152 |
chrXq13 | 3.38e-01 | 2.47 | 0.06 | 1.00e+00 | 1.00e+00 | 1CITED1 |
160 |
chr2q31 | 3.50e-01 | 2.37 | 0.06 | 1.00e+00 | 1.00e+00 | 1TTN |
167 |
chr16q22 | 3.70e-01 | 2.21 | 0.05 | 1.00e+00 | 1.00e+00 | 1RRAD |
179 |
Dowload full table
Transcription Factor Targets:
P-value | OR | Lower 95% CI | FDR | FWER | Genes Found | Gene Set Size | |
---|---|---|---|---|---|---|---|
MEF2_02 | 3.63e-10 | 21.32 | 9.39 | 2.06e-07 | 4.11e-07 | 10TNNT2, SMPX, CSRP3, MYL2, TNNI1, TNNC1, ACTC1, LRRC39, MYOZ2, TRDN |
236 |
CCAWWNAAGG_SRF_Q4 | 3.08e-06 | 25.80 | 7.79 | 4.98e-04 | 3.48e-03 | 5TNNC1, PLN, MYL7, ACTC1, TRDN |
88 |
RSRFC4_01 | 1.20e-08 | 17.63 | 7.45 | 4.53e-06 | 1.36e-05 | 9SMPX, CSRP3, MYL2, MYL3, TNNC1, ACTC1, LRRC39, MYOZ2, TRDN |
249 |
RSRFC4_Q2 | 7.29e-08 | 17.57 | 7.04 | 2.07e-05 | 8.27e-05 | 8SMPX, MYL2, MYL3, TNNI1, TNNC1, ACTC1, MYOZ2, TRDN |
217 |
MEF2_01 | 2.10e-06 | 18.50 | 6.34 | 3.96e-04 | 2.38e-03 | 6SMPX, MYL2, TNNC1, MYH6, MYOZ2, TRDN |
148 |
MEF2_Q6_01 | 2.13e-07 | 15.17 | 6.09 | 4.84e-05 | 2.42e-04 | 8TNNT2, SMPX, MYL2, TNNC1, MYH6, ACTC1, MYOZ2, TRDN |
250 |
YTATTTTNR_MEF2_02 | 1.17e-10 | 11.81 | 5.96 | 1.33e-07 | 1.33e-07 | 15TNNT2, SMPX, CSRP3, COX6A2, MYL2, MYL3, TNNI1, TNNC1, TTN, PGAM2, MYH6, ACTC1, CRYAB, MYOZ2, TRDN |
715 |
SRF_C | 1.75e-05 | 12.58 | 4.33 | 1.99e-03 | 1.99e-02 | 6LDB3, TNNC1, PLN, MYL7, ACTC1, POPDC2 |
215 |
TAAWWATAG_RSRFC4_Q2 | 7.74e-05 | 12.82 | 3.92 | 5.85e-03 | 8.77e-02 | 5SMPX, MYL3, TNNI1, TNNC1, ACTC1 |
172 |
WGGAATGY_TEF1_Q6 | 5.35e-06 | 9.69 | 3.90 | 6.74e-04 | 6.07e-03 | 8TNNT2, MYH7, PGAM2, ADPRHL1, MYH6, POPDC2, CRYAB, MYLK3 |
387 |
SRF_Q6 | 3.88e-05 | 10.86 | 3.75 | 3.66e-03 | 4.39e-02 | 6LDB3, TNNC1, PLN, MYL7, ACTC1, TRDN |
248 |
MMEF2_Q6 | 6.70e-05 | 9.81 | 3.39 | 5.42e-03 | 7.59e-02 | 6SMPX, MYL2, HSPB7, TNNC1, MYH6, MYOZ2 |
274 |
CTAWWWATA_RSRFC4_Q2 | 3.63e-05 | 8.74 | 3.30 | 3.66e-03 | 4.11e-02 | 7TNNI3, SMPX, CSRP3, TNNI1, MYOZ2, RRAD, TRDN |
366 |
HMEF2_Q6 | 4.69e-04 | 12.23 | 3.15 | 2.66e-02 | 5.31e-01 | 4SMPX, MYL2, TNNC1, MYH6 |
141 |
SRF_Q4 | 2.96e-04 | 9.52 | 2.92 | 2.10e-02 | 3.36e-01 | 5SH3BGR, TNNC1, MYL7, ACTC1, TMOD1 |
230 |
MEF2_03 | 3.60e-04 | 9.11 | 2.80 | 2.40e-02 | 4.07e-01 | 5SMPX, ACTC1, LRRC39, MYOZ2, TRDN |
240 |
NKX2_5_TARGET_GENES | 5.29e-06 | 5.56 | 2.71 | 6.74e-04 | 5.99e-03 | 13MYL4, TNNT2, HSPB7, MYL3, LDB3, TTN, FSD2, MYH6, APOBEC2, POPDC2, MYOM1, PYGM, MYLK3 |
1231 |
E2A_Q2 | 4.56e-04 | 8.64 | 2.65 | 2.66e-02 | 5.17e-01 | 5LDB3, NKX2-5, CRYAB, ANKRD1, ATP2A2 |
253 |
GATAAGR_GATA_C | 9.59e-04 | 7.29 | 2.24 | 5.18e-02 | 1.00e+00 | 5MYH7, PLN, MYL7, ADPRHL1, MYH6 |
299 |
CAGCTG_AP4_Q5 | 4.60e-05 | 4.47 | 2.17 | 4.01e-03 | 5.22e-02 | 13TNNT2, COX6A2, MYL3, LDB3, TNNC1, PLN, ACTC1, APOBEC2, CRYAB, ANKRD1, PYGM, MYOZ2, RRAD |
1530 |
Dowload full table
GO Biological Processes:
P-value | OR | Lower 95% CI | FDR | FWER | Genes Found | Gene Set Size | |
---|---|---|---|---|---|---|---|
GOBP_MUSCLE_FILAMENT_SLIDING | 1.14e-27 | 300.06 | 132.34 | 1.42e-24 | 8.49e-24 | 14TNNI3, MYL4, TNNT2, MYL2, MYL3, TNNI1, MYBPC3, TNNC1, MYH7, TTN, MYH6, ACTC1, ACTN2, TMOD1 |
39 |
GOBP_REGULATION_OF_THE_FORCE_OF_HEART_CONTRACTION | 7.23e-18 | 246.62 | 91.54 | 1.86e-15 | 5.41e-14 | 9MYL4, CSRP3, MYL2, MYL3, MYH7, PLN, MYH6, RYR2, ATP2A2 |
26 |
GOBP_CARDIAC_MUSCLE_TISSUE_MORPHOGENESIS | 5.54e-25 | 173.54 | 80.64 | 4.14e-22 | 4.14e-21 | 14TNNI3, TNNT2, MYL2, MYL3, MYBPC3, TNNC1, MYH7, TTN, MYH6, ACTC1, NKX2-5, ANKRD1, RYR2, PKP2 |
57 |
GOBP_SARCOMERE_ORGANIZATION | 2.26e-18 | 170.04 | 69.67 | 6.75e-16 | 1.69e-14 | 10TNNT2, CSRP3, LDB3, TTN, MYH6, ACTN2, ANKRD1, MYOZ2, LMOD2, MYLK3 |
38 |
GOBP_MYOFIBRIL_ASSEMBLY | 1.51e-22 | 147.02 | 67.06 | 8.08e-20 | 1.13e-18 | 13TNNT2, CSRP3, MYL2, LDB3, TTN, MYH6, ACTC1, ACTN2, ANKRD1, TMOD1, MYOZ2, LMOD2, MYLK3 |
59 |
GOBP_ACTIN_MEDIATED_CELL_CONTRACTION | 6.05e-30 | 116.96 | 60.15 | 1.13e-26 | 4.53e-26 | 19TNNI3, MYL4, TNNT2, MYL2, MYL3, TNNI1, MYBPC3, TNNC1, MYH7, PLN, TTN, MYH6, ACTC1, ACTN2, RYR2, TMOD1, GJA5, ATP2A2, PKP2 |
120 |
GOBP_MUSCLE_ORGAN_MORPHOGENESIS | 2.56e-23 | 126.17 | 59.84 | 1.47e-20 | 1.91e-19 | 14TNNI3, TNNT2, MYL2, MYL3, MYBPC3, TNNC1, MYH7, TTN, MYH6, ACTC1, NKX2-5, ANKRD1, RYR2, PKP2 |
73 |
GOBP_VENTRICULAR_CARDIAC_MUSCLE_TISSUE_DEVELOPMENT | 3.59e-19 | 139.04 | 59.82 | 1.12e-16 | 2.69e-15 | 11TNNI3, TNNT2, MYL2, MYL3, MYBPC3, TNNC1, MYH7, MYH6, NKX2-5, RYR2, PKP2 |
50 |
GOBP_STRIATED_MUSCLE_CONTRACTION | 1.82e-30 | 89.95 | 47.65 | 4.54e-27 | 1.36e-26 | 21TNNI3, MYL4, TNNT2, SMPX, CSRP3, MYL2, MYL3, TNNI1, MYBPC3, TNNC1, MYH7, PLN, TTN, PGAM2, MYH6, ACTC1, NKX2-5, RYR2, GJA5, ATP2A2, PKP2 |
176 |
GOBP_CARDIAC_MUSCLE_CONTRACTION | 6.39e-27 | 92.38 | 47.49 | 5.97e-24 | 4.78e-23 | 18TNNI3, MYL4, TNNT2, CSRP3, MYL3, TNNI1, MYBPC3, TNNC1, MYH7, PLN, TTN, MYH6, ACTC1, NKX2-5, RYR2, GJA5, ATP2A2, PKP2 |
135 |
GOBP_CARDIAC_MYOFIBRIL_ASSEMBLY | 5.68e-10 | 177.45 | 47.00 | 9.23e-08 | 4.25e-06 | 5CSRP3, MYL2, TTN, ACTC1, MYLK3 |
17 |
GOBP_ACTIN_FILAMENT_BASED_MOVEMENT | 5.34e-28 | 90.19 | 46.80 | 7.99e-25 | 3.99e-24 | 19TNNI3, MYL4, TNNT2, MYL2, MYL3, TNNI1, MYBPC3, TNNC1, MYH7, PLN, TTN, MYH6, ACTC1, ACTN2, RYR2, TMOD1, GJA5, ATP2A2, PKP2 |
150 |
GOBP_REGULATION_OF_CARDIAC_MUSCLE_CELL_MEMBRANE_POTENTIAL | 5.65e-07 | 303.55 | 43.50 | 6.51e-05 | 4.23e-03 | 3PLN, ATP2A2, TRDN |
7 |
GOBP_MUSCLE_CONTRACTION | 2.48e-36 | 75.70 | 41.28 | 1.85e-32 | 1.85e-32 | 28TNNI3, MYL4, TNNT2, SMPX, CSRP3, MYL2, MYL3, TNNI1, MYBPC3, TNNC1, MYH7, PLN, TTN, PGAM2, MYL7, MYH6, ACTC1, NKX2-5, MYOM1, CRYAB, ACTN2, RYR2, TMOD1, LMOD2, GJA5, ATP2A2, PKP2, TRDN |
352 |
GOBP_CARDIAC_VENTRICLE_MORPHOGENESIS | 1.67e-17 | 93.43 | 41.15 | 4.18e-15 | 1.25e-13 | 11TNNI3, TNNT2, MYL2, MYL3, MYBPC3, TNNC1, MYH7, MYH6, NKX2-5, RYR2, PKP2 |
69 |
GOBP_TRANSITION_BETWEEN_FAST_AND_SLOW_FIBER | 9.03e-07 | 244.86 | 36.90 | 9.79e-05 | 6.75e-03 | 3TNNC1, MYH7, ATP2A2 |
8 |
GOBP_REGULATION_OF_ACTIN_FILAMENT_BASED_MOVEMENT | 4.79e-12 | 104.01 | 36.65 | 8.96e-10 | 3.58e-08 | 7MYBPC3, TNNC1, PLN, RYR2, GJA5, ATP2A2, PKP2 |
37 |
GOBP_CELLULAR_COMPONENT_ASSEMBLY_INVOLVED_IN_MORPHOGENESIS | 2.40e-19 | 77.80 | 36.60 | 8.57e-17 | 1.80e-15 | 13TNNT2, CSRP3, MYL2, LDB3, TTN, MYH6, ACTC1, ACTN2, ANKRD1, TMOD1, MYOZ2, LMOD2, MYLK3 |
100 |
GOBP_STRIATED_MUSCLE_CELL_DEVELOPMENT | 3.59e-19 | 75.12 | 35.42 | 1.12e-16 | 2.69e-15 | 13TNNT2, CSRP3, MYL2, LDB3, TTN, MYH6, ACTC1, ACTN2, ANKRD1, TMOD1, MYOZ2, LMOD2, MYLK3 |
103 |
GOBP_REGULATION_OF_STRIATED_MUSCLE_CONTRACTION | 5.54e-18 | 77.05 | 35.24 | 1.48e-15 | 4.15e-14 | 12TNNI3, MYL2, MYL3, TNNI1, MYBPC3, MYH7, PLN, NKX2-5, RYR2, GJA5, ATP2A2, PKP2 |
91 |
Dowload full table
Immunological Gene Sets:
P-value | OR | Lower 95% CI | FDR | FWER | Genes Found | Gene Set Size | |
---|---|---|---|---|---|---|---|
GSE32533_WT_VS_MIR17_OVEREXPRESS_ACT_CD4_TCELL_DN | 9.56e-24 | 59.47 | 30.84 | 4.66e-20 | 4.66e-20 | 18TNNI3, MYL4, SMPX, CSRP3, COX6A2, LDB3, MYL7, ADPRHL1, ACTC1, APOBEC2, POPDC2, RYR2, PYGM, NEXN, MYOZ2, LMOD2, RRAD, MYLK3 |
200 |
GSE41978_WT_VS_ID2_KO_KLRG1_LOW_EFFECTOR_CD8_TCELL_UP | 1.56e-04 | 10.98 | 3.37 | 2.54e-01 | 7.61e-01 | 5HSPB7, MYL3, TNNI1, MYOZ2, TRDN |
200 |
GSE18804_SPLEEN_MACROPHAGE_VS_COLON_TUMORAL_MACROPHAGE_DN | 1.56e-04 | 10.98 | 3.37 | 2.54e-01 | 7.61e-01 | 5COX6A2, FSD2, POPDC2, PYGM, CHCHD10 |
200 |
GSE17974_CTRL_VS_ACT_IL4_AND_ANTI_IL12_0.5H_CD4_TCELL_UP | 1.47e-03 | 8.92 | 2.31 | 6.38e-01 | 1.00e+00 | 4HSPB7, PGAM2, FABP3, GJA5 |
192 |
GSE22611_MUTANT_NOD2_TRANSDUCED_VS_CTRL_HEK293T_STIMULATED_WITH_MDP_6H_UP | 1.58e-03 | 8.73 | 2.26 | 6.38e-01 | 1.00e+00 | 4MYL3, MYH6, MYOM1, ATP2A2 |
196 |
GSE360_L_MAJOR_VS_T_GONDII_MAC_UP | 1.61e-03 | 8.68 | 2.25 | 6.38e-01 | 1.00e+00 | 4LDB3, PLN, FABP3, MYOZ2 |
197 |
GSE15324_ELF4_KO_VS_WT_NAIVE_CD8_TCELL_DN | 1.64e-03 | 8.64 | 2.24 | 6.38e-01 | 1.00e+00 | 4TNNT2, MYL2, NEXN, RRAD |
198 |
GSE22229_UNTREATED_VS_IMMUNOSUPP_THERAPY_RENAL_TRANSPLANT_PATIENT_PBMC_DN | 1.67e-03 | 8.60 | 2.23 | 6.38e-01 | 1.00e+00 | 4TNNI3, NEXN, RRAD, MYLK3 |
199 |
GSE19888_ADENOSINE_A3R_INH_VS_ACT_WITH_INHIBITOR_PRETREATMENT_IN_MAST_CELL_DN | 1.70e-03 | 8.55 | 2.21 | 6.38e-01 | 1.00e+00 | 4TNNI1, TNNC1, ACTC1, PYGM |
200 |
GSE25123_CTRL_VS_IL4_STIM_PPARG_KO_MACROPHAGE_UP | 1.70e-03 | 8.55 | 2.21 | 6.38e-01 | 1.00e+00 | 4TNNI3, TNNT2, TMOD1, MYLK3 |
200 |
GSE27092_WT_VS_HDAC7_PHOSPHO_DEFICIENT_CD8_TCELL_UP | 1.70e-03 | 8.55 | 2.21 | 6.38e-01 | 1.00e+00 | 4TNNT2, PGAM2, ACTC1, PKP2 |
200 |
GSE22443_NAIVE_VS_ACT_AND_IL2_TREATED_CD8_TCELL_UP | 1.70e-03 | 8.55 | 2.21 | 6.38e-01 | 1.00e+00 | 4TNNT2, MYL2, TNNI1, TNNC1 |
200 |
GSE22025_UNTREATED_VS_TGFB1_AND_PROGESTERONE_TREATED_CD4_TCELL_UP | 1.70e-03 | 8.55 | 2.21 | 6.38e-01 | 1.00e+00 | 4MYH6, ACTC1, CRYAB, TMOD1 |
200 |
GSE14413_UNSTIM_VS_IFNB_STIM_RAW264_CELLS_DN | 3.98e-03 | 10.17 | 2.00 | 9.34e-01 | 1.00e+00 | 3SMPX, ACTN2, ANKRD1 |
124 |
GSE12839_CTRL_VS_IL12_TREATED_PBMC_DN | 4.16e-03 | 10.00 | 1.97 | 9.34e-01 | 1.00e+00 | 3TNNI3, ACTN2, PYGM |
126 |
GSE13887_ACT_CD4_VS_NO_TREATED_CD4_TCELL_UP | 4.45e-03 | 9.76 | 1.92 | 9.34e-01 | 1.00e+00 | 3SMPX, ANKRD1, TRDN |
129 |
GSE12484_HEALTHY_VS_PERIDONTITIS_NEUTROPHILS_DN | 6.98e-03 | 8.26 | 1.63 | 9.34e-01 | 1.00e+00 | 3TNNI1, PYGM, GJA5 |
152 |
GSE2770_IL12_VS_IL4_TREATED_ACT_CD4_TCELL_2H_DN | 7.89e-03 | 7.89 | 1.55 | 9.34e-01 | 1.00e+00 | 3TNNI3, SMPX, TNNI1 |
159 |
GSE5099_DAY3_VS_DAY7_MCSF_TREATED_MACROPHAGE_DN | 1.15e-02 | 6.84 | 1.35 | 9.34e-01 | 1.00e+00 | 3MYL4, PLN, ATP2A2 |
183 |
GSE17974_IL4_AND_ANTI_IL12_VS_UNTREATED_12H_ACT_CD4_TCELL_DN | 1.29e-02 | 6.54 | 1.29 | 9.34e-01 | 1.00e+00 | 3MYL7, APOBEC2, PYGM |
191 |
Top Ranked Transcription Factors for this Gene Expression Program:
Gene Symbol | TF Rank | DNA Binding Domain | Motif Status | IUPAC PWM | GTEx | DepMap | Decartes |
---|---|---|---|---|---|---|---|
NKX2-5 | 24 | Yes | Known motif | Monomer or homomultimer | High-throughput in vitro | None | None |
CITED1 | 37 | No | Unlikely to be sequence specific TF | Not a DNA binding protein | No motif | None | Known co-activator. GO says its sequence-specific DNA binding transcription factor activity NAS - PMID: 8901575 but this reference does not show this. |
SMYD1 | 70 | No | Unlikely to be sequence specific TF | Not a DNA binding protein | No motif | None | None |
TBX20 | 80 | Yes | Known motif | Monomer or homomultimer | High-throughput in vitro | None | None |
FHL2 | 102 | No | Unlikely to be sequence specific TF | Not a DNA binding protein | No motif | None | LIM ZF proteins are unlikely to bind DNA. Experimental evidence does not support a role for FHL2 as a sequence-specific DNA-binding protein (PMID:10654935) |
HOPX | 115 | No | Unlikely to be sequence specific TF | Not a DNA binding protein | No motif | None | Lacks conserved residues required for DNA binding (PMID: 24287901) |
SORBS2 | 124 | No | Unlikely to be sequence specific TF | Not a DNA binding protein | No motif | None | None |
GATA4 | 130 | Yes | Known motif | Monomer or homomultimer | High-throughput in vitro | None | None |
NR0B2 | 139 | No | Unlikely to be sequence specific TF | Not a DNA binding protein | No motif | None | Transcription cofactor - lacks a conventional DNA binding domain and represses the transcriptional activity of various nuclear receptors (PMID: 14752053) |
RBM20 | 193 | No | ssDNA/RNA binding | Not a DNA binding protein | No motif | None | Likely an RNA-binding protein |
PPARGC1A | 240 | No | ssDNA/RNA binding | Not a DNA binding protein | No motif | None | None |
CD36 | 247 | No | Unlikely to be sequence specific TF | Not a DNA binding protein | No motif | None | None |
BEX1 | 257 | No | Unlikely to be sequence specific TF | Not a DNA binding protein | No motif | None | Likely a cofactor- (PMID: 16314316) shows results for related BEX2 |
MYOCD | 258 | No | Unlikely to be sequence specific TF | Not a DNA binding protein | No motif | None | Transcriptional cofactor (PMID: 12640126) |
GATA6 | 264 | Yes | Known motif | Monomer or homomultimer | High-throughput in vitro | None | None |
CAMK2A | 306 | No | Unlikely to be sequence specific TF | Not a DNA binding protein | No motif | None | None |
MITF | 314 | Yes | Known motif | Monomer or homomultimer | 100 perc ID - in vitro | None | Binds DNA both as homo- and heterodimers (PMID: 23207919). The structure 4ATI is a homodimer with DNA GTTAGCACATGACCCT. |
MEF2A | 317 | Yes | Known motif | Monomer or homomultimer | High-throughput in vitro | None | None |
BOLA3 | 338 | No | Unlikely to be sequence specific TF | Not a DNA binding protein | No motif | None | E. Coli homologue of the BOLA binds DNA; however there is no evidence in the mammalian proteins |
DSP | 348 | No | Unlikely to be sequence specific TF | Not a DNA binding protein | No motif | None | None |
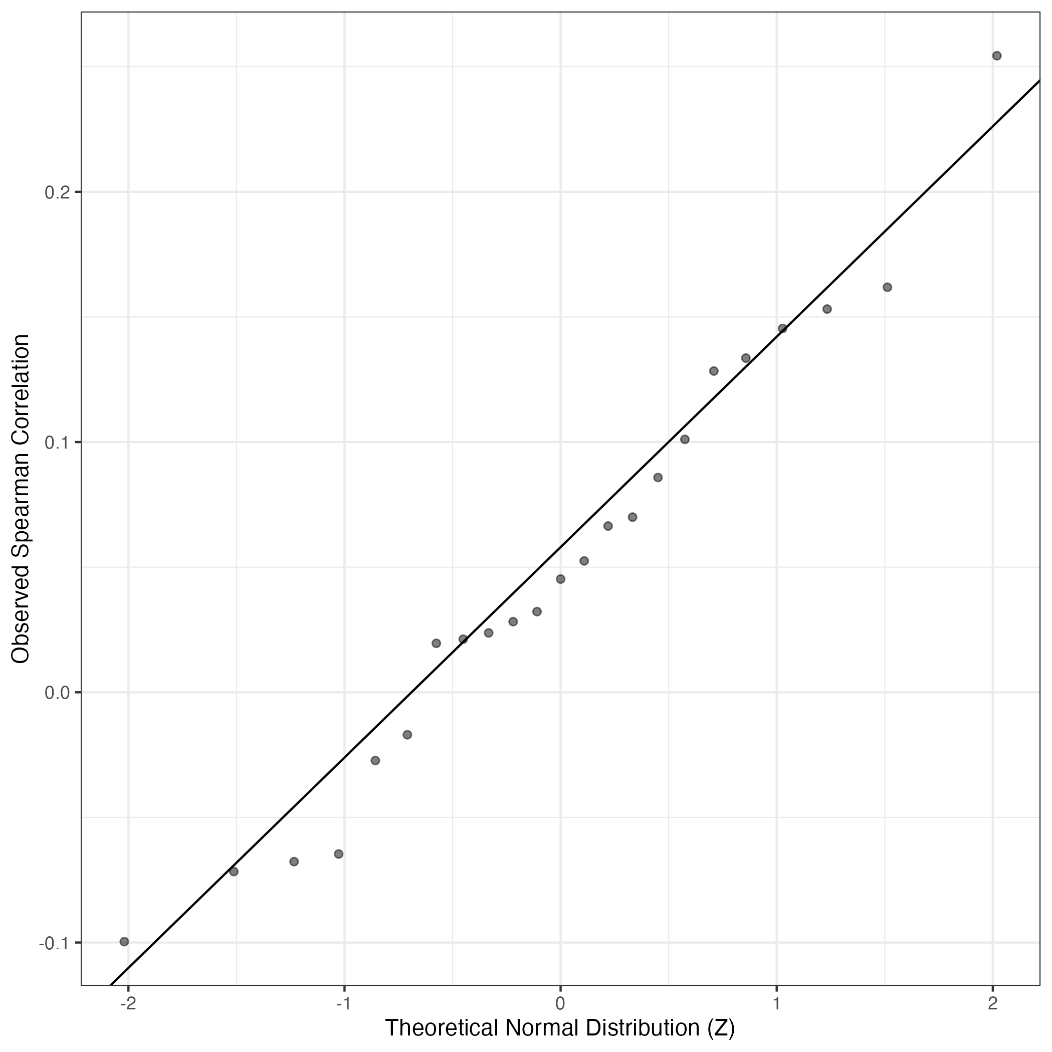
QQ Plot showing correlations with other GEPs in this dataset, calculated by Spearman correlation:
Interactive QQ-plot of gene loadings:
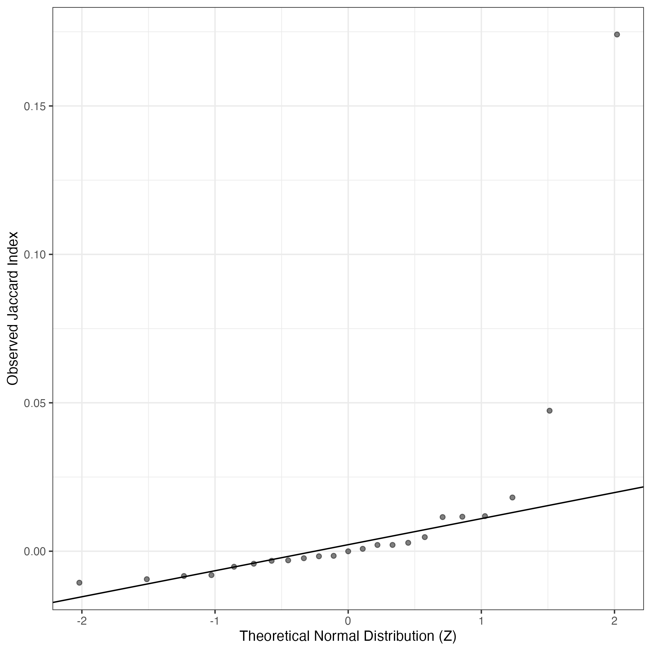
A similar QQ-plot as above, but only for instances where the H value is e.g. > 25, i.e. we are confident that the expression program is active above noise. Agreemenet between these binary vectors is tested using the Jaccard Index, with the P-values calculated by an exact test:
Interactive QQ-plot:
Singler cell type annotations for the top 50 cells on this program.
Cell ID | Singler label | Singler Delta | Activity Score | Top Singler Raw Scores |
---|---|---|---|---|
X71_TGGTAGTAGAAGATCT | Keratinocytes:KGF | 0.48 | 1868.41 | Raw ScoresNeuroepithelial_cell:ESC-derived: 0.42, Keratinocytes:KGF: 0.42, Neurons:ES_cell-derived_neural_precursor: 0.42, Neurons:adrenal_medulla_cell_line: 0.42, iPS_cells:CRL2097_foreskin-derived:d20_hepatic_diff: 0.42, iPS_cells:adipose_stem_cells: 0.42, Chondrocytes:MSC-derived: 0.42, iPS_cells:fibroblast-derived:Direct_del._reprog: 0.41, Erythroblast: 0.4, Gametocytes:oocyte: 0.4 |
X71_TGATGGTGTCGAAGCA | Chondrocytes:MSC-derived | 0.26 | 1838.03 | Raw ScoresChondrocytes:MSC-derived: 0.61, iPS_cells:adipose_stem_cells: 0.59, Osteoblasts: 0.59, Smooth_muscle_cells:bronchial: 0.57, Smooth_muscle_cells:bronchial:vit_D: 0.57, Fibroblasts:breast: 0.56, Osteoblasts:BMP2: 0.56, MSC: 0.53, HSC_CD34+: 0.5, Neurons:ES_cell-derived_neural_precursor: 0.5 |
X71_TAACTTCAGCATCCTA | Neuroepithelial_cell:ESC-derived | 0.28 | 1677.18 | Raw ScoresNeuroepithelial_cell:ESC-derived: 0.59, Neurons:ES_cell-derived_neural_precursor: 0.56, DC:monocyte-derived:immature: 0.54, Chondrocytes:MSC-derived: 0.54, Gametocytes:oocyte: 0.53, Erythroblast: 0.53, MSC: 0.52, iPS_cells:PDB_2lox-17: 0.48, Macrophage:monocyte-derived:IL-4/Dex/TGFb: 0.47, Macrophage:monocyte-derived:IL-4/Dex/cntrl: 0.47 |
X71_GCTTCACAGATAGGGA | Keratinocytes:KGF | 0.48 | 1645.56 | Raw ScoresNeuroepithelial_cell:ESC-derived: 0.42, Keratinocytes:KGF: 0.42, Neurons:ES_cell-derived_neural_precursor: 0.42, Neurons:adrenal_medulla_cell_line: 0.42, iPS_cells:CRL2097_foreskin-derived:d20_hepatic_diff: 0.42, iPS_cells:adipose_stem_cells: 0.42, Chondrocytes:MSC-derived: 0.42, iPS_cells:fibroblast-derived:Direct_del._reprog: 0.41, Erythroblast: 0.4, Gametocytes:oocyte: 0.4 |
X71_CTCTCGAGTATTCCGA | Keratinocytes:KGF | 0.48 | 1479.96 | Raw ScoresNeuroepithelial_cell:ESC-derived: 0.42, Keratinocytes:KGF: 0.42, Neurons:ES_cell-derived_neural_precursor: 0.42, Neurons:adrenal_medulla_cell_line: 0.42, iPS_cells:CRL2097_foreskin-derived:d20_hepatic_diff: 0.42, iPS_cells:adipose_stem_cells: 0.42, Chondrocytes:MSC-derived: 0.42, iPS_cells:fibroblast-derived:Direct_del._reprog: 0.41, Erythroblast: 0.4, Gametocytes:oocyte: 0.4 |
X71_GGGACCTTCGACGCGT | Keratinocytes:KGF | 0.48 | 1468.71 | Raw ScoresNeuroepithelial_cell:ESC-derived: 0.42, Keratinocytes:KGF: 0.42, Neurons:ES_cell-derived_neural_precursor: 0.42, Neurons:adrenal_medulla_cell_line: 0.42, iPS_cells:CRL2097_foreskin-derived:d20_hepatic_diff: 0.42, iPS_cells:adipose_stem_cells: 0.42, Chondrocytes:MSC-derived: 0.42, iPS_cells:fibroblast-derived:Direct_del._reprog: 0.41, Erythroblast: 0.4, Gametocytes:oocyte: 0.4 |
X71_TACATTCTCGCGTCGA | Keratinocytes:KGF | 0.48 | 1430.75 | Raw ScoresNeuroepithelial_cell:ESC-derived: 0.42, Keratinocytes:KGF: 0.42, Neurons:ES_cell-derived_neural_precursor: 0.42, Neurons:adrenal_medulla_cell_line: 0.42, iPS_cells:CRL2097_foreskin-derived:d20_hepatic_diff: 0.42, iPS_cells:adipose_stem_cells: 0.42, Chondrocytes:MSC-derived: 0.42, iPS_cells:fibroblast-derived:Direct_del._reprog: 0.41, Erythroblast: 0.4, Gametocytes:oocyte: 0.4 |
X71_TTGGGCGTCCACAGGC | Neurons:ES_cell-derived_neural_precursor | 0.33 | 1383.48 | Raw ScoresGametocytes:oocyte: 0.57, Neurons:ES_cell-derived_neural_precursor: 0.57, Erythroblast: 0.57, MSC: 0.57, Neuroepithelial_cell:ESC-derived: 0.57, Chondrocytes:MSC-derived: 0.54, iPS_cells:CRL2097_foreskin-derived:d20_hepatic_diff: 0.53, Keratinocytes:KGF: 0.49, Neurons:adrenal_medulla_cell_line: 0.49, Smooth_muscle_cells:bronchial: 0.49 |
X71_GGGATGAAGTTGAAAC | Neuroepithelial_cell:ESC-derived | 0.35 | 1371.35 | Raw ScoresNeuroepithelial_cell:ESC-derived: 0.58, Neurons:ES_cell-derived_neural_precursor: 0.58, Erythroblast: 0.57, Gametocytes:oocyte: 0.57, MSC: 0.57, Chondrocytes:MSC-derived: 0.54, iPS_cells:CRL2097_foreskin-derived:d20_hepatic_diff: 0.54, Keratinocytes:KGF: 0.5, Neurons:adrenal_medulla_cell_line: 0.5, iPS_cells:adipose_stem_cells: 0.5 |
X71_ATACTTCTCCACCTCA | Neurons:ES_cell-derived_neural_precursor | 0.40 | 1364.34 | Raw ScoresNeurons:ES_cell-derived_neural_precursor: 0.68, iPS_cells:CRL2097_foreskin-derived:d20_hepatic_diff: 0.68, Neuroepithelial_cell:ESC-derived: 0.65, Embryonic_stem_cells: 0.65, Keratinocytes:KGF: 0.64, iPS_cells:adipose_stem_cells: 0.64, iPS_cells:fibroblast-derived:Direct_del._reprog: 0.64, Keratinocytes:IL26: 0.63, Fibroblasts:breast: 0.63, Keratinocytes: 0.63 |
X71_TGTTGGACACTTCAAG | Neuroepithelial_cell:ESC-derived | 0.35 | 1269.37 | Raw ScoresNeuroepithelial_cell:ESC-derived: 0.58, Neurons:ES_cell-derived_neural_precursor: 0.58, Erythroblast: 0.57, Gametocytes:oocyte: 0.57, MSC: 0.57, Chondrocytes:MSC-derived: 0.54, iPS_cells:CRL2097_foreskin-derived:d20_hepatic_diff: 0.54, Keratinocytes:KGF: 0.5, Neurons:adrenal_medulla_cell_line: 0.5, iPS_cells:adipose_stem_cells: 0.5 |
X71_TGCCGAGTCGGAGTAG | Neuroepithelial_cell:ESC-derived | 0.35 | 1256.21 | Raw ScoresNeuroepithelial_cell:ESC-derived: 0.58, Neurons:ES_cell-derived_neural_precursor: 0.58, Erythroblast: 0.57, Gametocytes:oocyte: 0.57, MSC: 0.57, Chondrocytes:MSC-derived: 0.54, iPS_cells:CRL2097_foreskin-derived:d20_hepatic_diff: 0.54, Keratinocytes:KGF: 0.5, Neurons:adrenal_medulla_cell_line: 0.5, iPS_cells:adipose_stem_cells: 0.5 |
X71_GGTTAACAGATGCAGC | Keratinocytes:KGF | 0.48 | 1179.64 | Raw ScoresNeuroepithelial_cell:ESC-derived: 0.42, Keratinocytes:KGF: 0.42, Neurons:ES_cell-derived_neural_precursor: 0.42, Neurons:adrenal_medulla_cell_line: 0.42, iPS_cells:CRL2097_foreskin-derived:d20_hepatic_diff: 0.42, iPS_cells:adipose_stem_cells: 0.42, Chondrocytes:MSC-derived: 0.42, iPS_cells:fibroblast-derived:Direct_del._reprog: 0.41, Erythroblast: 0.4, Gametocytes:oocyte: 0.4 |
X71_CTCAGGGGTCCTCCTA | Chondrocytes:MSC-derived | 0.34 | 1174.32 | Raw ScoresChondrocytes:MSC-derived: 0.64, iPS_cells:adipose_stem_cells: 0.62, Smooth_muscle_cells:bronchial: 0.58, Fibroblasts:breast: 0.58, Smooth_muscle_cells:bronchial:vit_D: 0.58, MSC: 0.55, Osteoblasts: 0.54, Osteoblasts:BMP2: 0.52, Neurons:ES_cell-derived_neural_precursor: 0.52, Erythroblast: 0.5 |
X71_CATAAGCTCTCGCGTT | Neuroepithelial_cell:ESC-derived | 0.33 | 1163.18 | Raw ScoresNeuroepithelial_cell:ESC-derived: 0.68, Neurons:ES_cell-derived_neural_precursor: 0.68, MSC: 0.65, Chondrocytes:MSC-derived: 0.64, Gametocytes:oocyte: 0.62, iPS_cells:CRL2097_foreskin-derived:d20_hepatic_diff: 0.6, iPS_cells:PDB_2lox-17: 0.59, Erythroblast: 0.58, Embryonic_stem_cells: 0.57, Neurons:adrenal_medulla_cell_line: 0.55 |
X71_TGGAACTAGGTGCAGT | Keratinocytes:KGF | 0.48 | 1152.61 | Raw ScoresNeuroepithelial_cell:ESC-derived: 0.42, Keratinocytes:KGF: 0.42, Neurons:ES_cell-derived_neural_precursor: 0.42, Neurons:adrenal_medulla_cell_line: 0.42, iPS_cells:CRL2097_foreskin-derived:d20_hepatic_diff: 0.42, iPS_cells:adipose_stem_cells: 0.42, Chondrocytes:MSC-derived: 0.42, iPS_cells:fibroblast-derived:Direct_del._reprog: 0.41, Erythroblast: 0.4, Gametocytes:oocyte: 0.4 |
X71_TGACAGTCATGTAACC | Neuroepithelial_cell:ESC-derived | 0.33 | 1108.62 | Raw ScoresNeuroepithelial_cell:ESC-derived: 0.68, Neurons:ES_cell-derived_neural_precursor: 0.68, MSC: 0.65, Chondrocytes:MSC-derived: 0.64, Gametocytes:oocyte: 0.62, iPS_cells:CRL2097_foreskin-derived:d20_hepatic_diff: 0.6, iPS_cells:PDB_2lox-17: 0.59, Erythroblast: 0.58, Embryonic_stem_cells: 0.57, Neurons:adrenal_medulla_cell_line: 0.55 |
X71_AGTACTGAGGAACTCG | Neuroepithelial_cell:ESC-derived | 0.33 | 1079.73 | Raw ScoresNeuroepithelial_cell:ESC-derived: 0.68, Neurons:ES_cell-derived_neural_precursor: 0.68, MSC: 0.65, Chondrocytes:MSC-derived: 0.64, Gametocytes:oocyte: 0.62, iPS_cells:CRL2097_foreskin-derived:d20_hepatic_diff: 0.6, iPS_cells:PDB_2lox-17: 0.59, Erythroblast: 0.58, Embryonic_stem_cells: 0.57, Neurons:adrenal_medulla_cell_line: 0.55 |
X71_ACTCCCAGTATTTCTC | Neuroepithelial_cell:ESC-derived | 0.35 | 1041.60 | Raw ScoresNeuroepithelial_cell:ESC-derived: 0.58, Neurons:ES_cell-derived_neural_precursor: 0.58, Erythroblast: 0.57, Gametocytes:oocyte: 0.57, MSC: 0.57, Chondrocytes:MSC-derived: 0.54, iPS_cells:CRL2097_foreskin-derived:d20_hepatic_diff: 0.54, Keratinocytes:KGF: 0.5, Neurons:adrenal_medulla_cell_line: 0.5, iPS_cells:adipose_stem_cells: 0.5 |
X71_GTTCATTAGCCATTGT | Neuroepithelial_cell:ESC-derived | 0.35 | 1036.45 | Raw ScoresNeuroepithelial_cell:ESC-derived: 0.58, Neurons:ES_cell-derived_neural_precursor: 0.58, Erythroblast: 0.57, Gametocytes:oocyte: 0.57, MSC: 0.57, Chondrocytes:MSC-derived: 0.54, iPS_cells:CRL2097_foreskin-derived:d20_hepatic_diff: 0.54, Keratinocytes:KGF: 0.5, Neurons:adrenal_medulla_cell_line: 0.5, iPS_cells:adipose_stem_cells: 0.5 |
X71_TCCATCGTCTTACACT | Neuroepithelial_cell:ESC-derived | 0.35 | 1003.01 | Raw ScoresNeuroepithelial_cell:ESC-derived: 0.58, Neurons:ES_cell-derived_neural_precursor: 0.58, Erythroblast: 0.57, Gametocytes:oocyte: 0.57, MSC: 0.57, Chondrocytes:MSC-derived: 0.54, iPS_cells:CRL2097_foreskin-derived:d20_hepatic_diff: 0.54, Keratinocytes:KGF: 0.5, Neurons:adrenal_medulla_cell_line: 0.5, iPS_cells:adipose_stem_cells: 0.5 |
X70_ATGTCCCGTTGCCGAC | Neuroepithelial_cell:ESC-derived | 0.35 | 1000.11 | Raw ScoresNeuroepithelial_cell:ESC-derived: 0.58, Neurons:ES_cell-derived_neural_precursor: 0.58, Erythroblast: 0.57, Gametocytes:oocyte: 0.57, MSC: 0.57, Chondrocytes:MSC-derived: 0.54, iPS_cells:CRL2097_foreskin-derived:d20_hepatic_diff: 0.54, Keratinocytes:KGF: 0.5, Neurons:adrenal_medulla_cell_line: 0.5, iPS_cells:adipose_stem_cells: 0.5 |
X71_CCCTCAATCGGTTCAA | iPS_cells:adipose_stem_cells | 0.45 | 987.16 | Raw ScoresChondrocytes:MSC-derived: 0.54, iPS_cells:adipose_stem_cells: 0.54, Fibroblasts:breast: 0.49, Smooth_muscle_cells:bronchial:vit_D: 0.46, Smooth_muscle_cells:bronchial: 0.46, Smooth_muscle_cells:vascular: 0.37, Tissue_stem_cells:BM_MSC:TGFb3: 0.36, MSC: 0.36, Osteoblasts: 0.35, Neurons:ES_cell-derived_neural_precursor: 0.35 |
X71_TGTTGAGTCTTGGAAC | Neuroepithelial_cell:ESC-derived | 0.35 | 957.98 | Raw ScoresNeuroepithelial_cell:ESC-derived: 0.58, Neurons:ES_cell-derived_neural_precursor: 0.58, Erythroblast: 0.57, Gametocytes:oocyte: 0.57, MSC: 0.57, Chondrocytes:MSC-derived: 0.54, iPS_cells:CRL2097_foreskin-derived:d20_hepatic_diff: 0.54, Keratinocytes:KGF: 0.5, Neurons:adrenal_medulla_cell_line: 0.5, iPS_cells:adipose_stem_cells: 0.5 |
X70_CAGCCAGCACGGTGCT | Keratinocytes:KGF | 0.48 | 951.23 | Raw ScoresNeuroepithelial_cell:ESC-derived: 0.42, Keratinocytes:KGF: 0.42, Neurons:ES_cell-derived_neural_precursor: 0.42, Neurons:adrenal_medulla_cell_line: 0.42, iPS_cells:CRL2097_foreskin-derived:d20_hepatic_diff: 0.42, iPS_cells:adipose_stem_cells: 0.42, Chondrocytes:MSC-derived: 0.42, iPS_cells:fibroblast-derived:Direct_del._reprog: 0.41, Erythroblast: 0.4, Gametocytes:oocyte: 0.4 |
X71_TAAGCCACACAGCGCT | Neuroepithelial_cell:ESC-derived | 0.35 | 947.09 | Raw ScoresNeuroepithelial_cell:ESC-derived: 0.58, Neurons:ES_cell-derived_neural_precursor: 0.58, Erythroblast: 0.57, Gametocytes:oocyte: 0.57, MSC: 0.57, Chondrocytes:MSC-derived: 0.54, iPS_cells:CRL2097_foreskin-derived:d20_hepatic_diff: 0.54, Keratinocytes:KGF: 0.5, Neurons:adrenal_medulla_cell_line: 0.5, iPS_cells:adipose_stem_cells: 0.5 |
X71_TAGCACACACTCACTC | Neuroepithelial_cell:ESC-derived | 0.33 | 923.75 | Raw ScoresNeuroepithelial_cell:ESC-derived: 0.68, Neurons:ES_cell-derived_neural_precursor: 0.68, MSC: 0.65, Chondrocytes:MSC-derived: 0.64, Gametocytes:oocyte: 0.63, iPS_cells:CRL2097_foreskin-derived:d20_hepatic_diff: 0.6, iPS_cells:PDB_2lox-17: 0.59, Erythroblast: 0.59, Embryonic_stem_cells: 0.58, Neurons:adrenal_medulla_cell_line: 0.55 |
X71_GTTGCGGTCCCATAGA | Neuroepithelial_cell:ESC-derived | 0.40 | 921.84 | Raw ScoresNeuroepithelial_cell:ESC-derived: 0.54, Neurons:ES_cell-derived_neural_precursor: 0.54, Chondrocytes:MSC-derived: 0.5, iPS_cells:CRL2097_foreskin-derived:d20_hepatic_diff: 0.48, MSC: 0.47, Neurons:adrenal_medulla_cell_line: 0.46, Embryonic_stem_cells: 0.45, iPS_cells:adipose_stem_cells: 0.44, Gametocytes:oocyte: 0.44, Astrocyte:Embryonic_stem_cell-derived: 0.43 |
X71_TGGCGTGAGAGCCATG | Neuroepithelial_cell:ESC-derived | 0.40 | 892.65 | Raw ScoresNeuroepithelial_cell:ESC-derived: 0.54, Neurons:ES_cell-derived_neural_precursor: 0.54, Chondrocytes:MSC-derived: 0.5, iPS_cells:CRL2097_foreskin-derived:d20_hepatic_diff: 0.48, MSC: 0.47, Neurons:adrenal_medulla_cell_line: 0.46, Embryonic_stem_cells: 0.45, iPS_cells:adipose_stem_cells: 0.44, Gametocytes:oocyte: 0.44, Astrocyte:Embryonic_stem_cell-derived: 0.43 |
X71_AATGCCAAGTAGTCAA | Astrocyte:Embryonic_stem_cell-derived | 0.00 | 781.78 | Raw ScoresAstrocyte:Embryonic_stem_cell-derived: 0.5, BM: 0.5, B_cell: 0.5, B_cell:CXCR4+_centroblast: 0.5, B_cell:CXCR4-_centrocyte: 0.5, B_cell:Germinal_center: 0.5, B_cell:Memory: 0.5, B_cell:Naive: 0.5, B_cell:Plasma_cell: 0.5, B_cell:immature: 0.5 |
X71_CCTTCAGCAAACACCT | Neuroepithelial_cell:ESC-derived | 0.33 | 781.43 | Raw ScoresNeuroepithelial_cell:ESC-derived: 0.68, Neurons:ES_cell-derived_neural_precursor: 0.68, MSC: 0.65, Chondrocytes:MSC-derived: 0.64, Gametocytes:oocyte: 0.63, iPS_cells:CRL2097_foreskin-derived:d20_hepatic_diff: 0.6, iPS_cells:PDB_2lox-17: 0.59, Erythroblast: 0.59, Embryonic_stem_cells: 0.58, Neurons:adrenal_medulla_cell_line: 0.55 |
X71_CCACTTGAGGGTCTTT | iPS_cells:CRL2097_foreskin-derived:d20_hepatic_diff | 0.41 | 781.31 | Raw ScoresiPS_cells:CRL2097_foreskin-derived:d20_hepatic_diff: 0.64, Neuroepithelial_cell:ESC-derived: 0.62, Neurons:ES_cell-derived_neural_precursor: 0.62, Astrocyte:Embryonic_stem_cell-derived: 0.61, Embryonic_stem_cells: 0.61, Fibroblasts:breast: 0.61, Keratinocytes: 0.61, Keratinocytes:IL26: 0.61, iPS_cells:adipose_stem_cells: 0.6, Keratinocytes:KGF: 0.58 |
X71_GGGCCATTCAAAGCCT | Keratinocytes:KGF | 0.48 | 781.17 | Raw ScoresNeuroepithelial_cell:ESC-derived: 0.42, Keratinocytes:KGF: 0.42, Neurons:ES_cell-derived_neural_precursor: 0.42, Neurons:adrenal_medulla_cell_line: 0.42, iPS_cells:CRL2097_foreskin-derived:d20_hepatic_diff: 0.42, iPS_cells:adipose_stem_cells: 0.42, Chondrocytes:MSC-derived: 0.42, iPS_cells:fibroblast-derived:Direct_del._reprog: 0.41, Erythroblast: 0.4, Gametocytes:oocyte: 0.4 |
X71_ATCGCCTGTAAGATCA | Keratinocytes:KGF | 0.48 | 748.36 | Raw ScoresNeuroepithelial_cell:ESC-derived: 0.42, Keratinocytes:KGF: 0.42, Neurons:ES_cell-derived_neural_precursor: 0.42, Neurons:adrenal_medulla_cell_line: 0.42, iPS_cells:CRL2097_foreskin-derived:d20_hepatic_diff: 0.42, iPS_cells:adipose_stem_cells: 0.42, Chondrocytes:MSC-derived: 0.42, iPS_cells:fibroblast-derived:Direct_del._reprog: 0.41, Erythroblast: 0.4, Gametocytes:oocyte: 0.4 |
X70_CATCGCTAGCGGGTTA | Keratinocytes:KGF | 0.48 | 736.97 | Raw ScoresNeuroepithelial_cell:ESC-derived: 0.42, Keratinocytes:KGF: 0.42, Neurons:ES_cell-derived_neural_precursor: 0.42, Neurons:adrenal_medulla_cell_line: 0.42, iPS_cells:CRL2097_foreskin-derived:d20_hepatic_diff: 0.42, iPS_cells:adipose_stem_cells: 0.42, Chondrocytes:MSC-derived: 0.42, iPS_cells:fibroblast-derived:Direct_del._reprog: 0.41, Erythroblast: 0.4, Gametocytes:oocyte: 0.4 |
X71_CATAAGCTCCTTGACC | Neuroepithelial_cell:ESC-derived | 0.35 | 732.89 | Raw ScoresNeuroepithelial_cell:ESC-derived: 0.58, Neurons:ES_cell-derived_neural_precursor: 0.58, Erythroblast: 0.57, Gametocytes:oocyte: 0.57, MSC: 0.57, Chondrocytes:MSC-derived: 0.54, iPS_cells:CRL2097_foreskin-derived:d20_hepatic_diff: 0.54, Keratinocytes:KGF: 0.5, Neurons:adrenal_medulla_cell_line: 0.5, iPS_cells:adipose_stem_cells: 0.5 |
X71_AGGGCCTTCTGTGTGA | Neuroepithelial_cell:ESC-derived | 0.35 | 728.23 | Raw ScoresNeuroepithelial_cell:ESC-derived: 0.58, Neurons:ES_cell-derived_neural_precursor: 0.58, Erythroblast: 0.57, Gametocytes:oocyte: 0.57, MSC: 0.57, Chondrocytes:MSC-derived: 0.54, iPS_cells:CRL2097_foreskin-derived:d20_hepatic_diff: 0.54, Keratinocytes:KGF: 0.5, Neurons:adrenal_medulla_cell_line: 0.5, iPS_cells:adipose_stem_cells: 0.5 |
X71_AATGACCCAGAGTCTT | Neuroepithelial_cell:ESC-derived | 0.35 | 699.07 | Raw ScoresNeuroepithelial_cell:ESC-derived: 0.58, Neurons:ES_cell-derived_neural_precursor: 0.58, Erythroblast: 0.57, Gametocytes:oocyte: 0.57, MSC: 0.57, Chondrocytes:MSC-derived: 0.54, iPS_cells:CRL2097_foreskin-derived:d20_hepatic_diff: 0.54, Keratinocytes:KGF: 0.5, Neurons:adrenal_medulla_cell_line: 0.5, iPS_cells:adipose_stem_cells: 0.5 |
X71_ACTTATCGTGGATACG | iPS_cells:adipose_stem_cells | 0.45 | 696.27 | Raw ScoresChondrocytes:MSC-derived: 0.54, iPS_cells:adipose_stem_cells: 0.54, Fibroblasts:breast: 0.49, Smooth_muscle_cells:bronchial:vit_D: 0.46, Smooth_muscle_cells:bronchial: 0.46, Smooth_muscle_cells:vascular: 0.37, Tissue_stem_cells:BM_MSC:TGFb3: 0.36, MSC: 0.36, Osteoblasts: 0.35, Neurons:ES_cell-derived_neural_precursor: 0.35 |
X71_TCCACGTAGCTGGAGT | Keratinocytes:KGF | 0.48 | 693.79 | Raw ScoresNeuroepithelial_cell:ESC-derived: 0.42, Keratinocytes:KGF: 0.42, Neurons:ES_cell-derived_neural_precursor: 0.42, Neurons:adrenal_medulla_cell_line: 0.42, iPS_cells:CRL2097_foreskin-derived:d20_hepatic_diff: 0.42, iPS_cells:adipose_stem_cells: 0.42, Chondrocytes:MSC-derived: 0.42, iPS_cells:fibroblast-derived:Direct_del._reprog: 0.41, Erythroblast: 0.4, Gametocytes:oocyte: 0.4 |
X71_AGACAGGGTGAATTAG | Fibroblasts:breast | 0.45 | 674.24 | Raw ScoresKeratinocytes: 0.57, iPS_cells:CRL2097_foreskin-derived:d20_hepatic_diff: 0.57, iPS_cells:adipose_stem_cells: 0.57, Fibroblasts:breast: 0.57, Keratinocytes:IFNg: 0.57, Keratinocytes:IL19: 0.57, Keratinocytes:IL1b: 0.57, Keratinocytes:IL20: 0.57, Keratinocytes:IL22: 0.57, Keratinocytes:IL24: 0.57 |
X70_TGGGAGAGTGGCGCTT | Keratinocytes:KGF | 0.48 | 613.02 | Raw ScoresNeuroepithelial_cell:ESC-derived: 0.42, Keratinocytes:KGF: 0.42, Neurons:ES_cell-derived_neural_precursor: 0.42, Neurons:adrenal_medulla_cell_line: 0.42, iPS_cells:CRL2097_foreskin-derived:d20_hepatic_diff: 0.42, iPS_cells:adipose_stem_cells: 0.42, Chondrocytes:MSC-derived: 0.42, iPS_cells:fibroblast-derived:Direct_del._reprog: 0.41, Erythroblast: 0.4, Gametocytes:oocyte: 0.4 |
X71_AAGTGAACACACCTGG | Keratinocytes:KGF | 0.48 | 600.97 | Raw ScoresNeuroepithelial_cell:ESC-derived: 0.42, Keratinocytes:KGF: 0.42, Neurons:ES_cell-derived_neural_precursor: 0.42, Neurons:adrenal_medulla_cell_line: 0.42, iPS_cells:CRL2097_foreskin-derived:d20_hepatic_diff: 0.42, iPS_cells:adipose_stem_cells: 0.42, Chondrocytes:MSC-derived: 0.42, iPS_cells:fibroblast-derived:Direct_del._reprog: 0.41, Erythroblast: 0.4, Gametocytes:oocyte: 0.4 |
X70_CACCGTTGTAAGGTCG | Keratinocytes:KGF | 0.48 | 596.12 | Raw ScoresNeuroepithelial_cell:ESC-derived: 0.42, Keratinocytes:KGF: 0.42, Neurons:ES_cell-derived_neural_precursor: 0.42, Neurons:adrenal_medulla_cell_line: 0.42, iPS_cells:CRL2097_foreskin-derived:d20_hepatic_diff: 0.42, iPS_cells:adipose_stem_cells: 0.42, Chondrocytes:MSC-derived: 0.42, iPS_cells:fibroblast-derived:Direct_del._reprog: 0.41, Erythroblast: 0.4, Gametocytes:oocyte: 0.4 |
X71_GTAACACTCGTGGAAG | Keratinocytes:KGF | 0.48 | 588.21 | Raw ScoresNeuroepithelial_cell:ESC-derived: 0.42, Keratinocytes:KGF: 0.42, Neurons:ES_cell-derived_neural_precursor: 0.42, Neurons:adrenal_medulla_cell_line: 0.42, iPS_cells:CRL2097_foreskin-derived:d20_hepatic_diff: 0.42, iPS_cells:adipose_stem_cells: 0.42, Chondrocytes:MSC-derived: 0.42, iPS_cells:fibroblast-derived:Direct_del._reprog: 0.41, Erythroblast: 0.4, Gametocytes:oocyte: 0.4 |
X70_AAGCGAGCACGGGCTT | Neuroepithelial_cell:ESC-derived | 0.35 | 585.91 | Raw ScoresNeuroepithelial_cell:ESC-derived: 0.58, Neurons:ES_cell-derived_neural_precursor: 0.58, Erythroblast: 0.57, Gametocytes:oocyte: 0.57, MSC: 0.57, Chondrocytes:MSC-derived: 0.54, iPS_cells:CRL2097_foreskin-derived:d20_hepatic_diff: 0.54, Keratinocytes:KGF: 0.5, Neurons:adrenal_medulla_cell_line: 0.5, iPS_cells:adipose_stem_cells: 0.5 |
X71_GAACACTAGCGAGGAG | Monocyte | 0.00 | 573.37 | Raw ScoresMonocyte: 0.42, T_cell:CD4+: 0.42, B_cell: 0.42, B_cell:CXCR4+_centroblast: 0.42, B_cell:CXCR4-_centrocyte: 0.42, B_cell:Germinal_center: 0.42, B_cell:Memory: 0.42, B_cell:Naive: 0.42, B_cell:Plasma_cell: 0.42, B_cell:immature: 0.42 |
X71_CCTCCTCTCGTAGGAG | Keratinocytes:KGF | 0.48 | 561.88 | Raw ScoresNeuroepithelial_cell:ESC-derived: 0.42, Keratinocytes:KGF: 0.42, Neurons:ES_cell-derived_neural_precursor: 0.42, Neurons:adrenal_medulla_cell_line: 0.42, iPS_cells:CRL2097_foreskin-derived:d20_hepatic_diff: 0.42, iPS_cells:adipose_stem_cells: 0.42, Chondrocytes:MSC-derived: 0.42, iPS_cells:fibroblast-derived:Direct_del._reprog: 0.41, Erythroblast: 0.4, Gametocytes:oocyte: 0.4 |
X70_GGGTAGACAATGAACA | Keratinocytes:KGF | 0.48 | 553.28 | Raw ScoresNeuroepithelial_cell:ESC-derived: 0.42, Keratinocytes:KGF: 0.42, Neurons:ES_cell-derived_neural_precursor: 0.42, Neurons:adrenal_medulla_cell_line: 0.42, iPS_cells:CRL2097_foreskin-derived:d20_hepatic_diff: 0.42, iPS_cells:adipose_stem_cells: 0.42, Chondrocytes:MSC-derived: 0.42, iPS_cells:fibroblast-derived:Direct_del._reprog: 0.41, Erythroblast: 0.4, Gametocytes:oocyte: 0.4 |
X70_ATGCATGGTGATACTC | Astrocyte:Embryonic_stem_cell-derived | 0.00 | 534.82 | Raw ScoresAstrocyte:Embryonic_stem_cell-derived: 0.5, BM: 0.5, B_cell: 0.5, B_cell:CXCR4+_centroblast: 0.5, B_cell:CXCR4-_centrocyte: 0.5, B_cell:Germinal_center: 0.5, B_cell:Memory: 0.5, B_cell:Naive: 0.5, B_cell:Plasma_cell: 0.5, B_cell:immature: 0.5 |
Below shows the significant enrichments of this GEP for literature curated gene lists
This data was procured from existing single cell RNA-seq maps of neuroblastoma or related relevant data.
High ranks indicate this gene is a driver of this GEP.
These curated gene list are ranked by the P-value (on this GEP) of their constituent genes.
The Mean Count column shows the mean read count in cells scoring highly (H > 50) on this gene expression program.
Genes | Weight | Rank | GTEx | DepMap | Decartes | Mean.Counts | Mean.TPM |
---|---|---|---|---|---|---|---|
TPM1 | 0.0049896 | 55 | GTEx | DepMap | Descartes | 68.19 | 545.84 |
RRAS | 0.0003656 | 1002 | GTEx | DepMap | Descartes | 1.12 | 54.66 |
CTGF | 0.0003621 | 1007 | GTEx | DepMap | Descartes | 0.74 | NA |
CAV1 | 0.0002356 | 1388 | GTEx | DepMap | Descartes | 0.31 | 1.45 |
CYR61 | -0.0001965 | 16163 | GTEx | DepMap | Descartes | 1.40 | NA |
M-MDSC
These marker genes were curated for MDSC subtypes as reviewed in Veglia et. al. (PMID 33526920):
Wilcoxon ranksum test P-value for gene set overrepresentation: 1.54e-02
Mean rank of genes in gene set: 6901.63
Rank on gene expression program of genes in gene set:
Genes | Weight | Rank | GTEx | DepMap | Decartes | Mean.Counts | Mean.TPM |
---|---|---|---|---|---|---|---|
CD36 | 0.0016869 | 247 | GTEx | DepMap | Descartes | 0.60 | 0.84 |
HIF1A | 0.0006157 | 640 | GTEx | DepMap | Descartes | 3.20 | 13.48 |
VEGFA | 0.0003006 | 1162 | GTEx | DepMap | Descartes | 0.56 | 7.02 |
TNFRSF10B | 0.0001483 | 1894 | GTEx | DepMap | Descartes | 0.07 | 0.66 |
S100A8 | -0.0000031 | 4505 | GTEx | DepMap | Descartes | 0.00 | 0.00 |
ITGAM | -0.0000124 | 5131 | GTEx | DepMap | Descartes | 0.00 | 0.00 |
IL10 | -0.0000176 | 5748 | GTEx | DepMap | Descartes | 0.00 | 0.00 |
IL6 | -0.0000176 | 5758 | GTEx | DepMap | Descartes | 0.00 | 0.00 |
CD274 | -0.0000188 | 5919 | GTEx | DepMap | Descartes | 0.00 | 0.00 |
TNF | -0.0000241 | 6652 | GTEx | DepMap | Descartes | 0.00 | 0.00 |
CD14 | -0.0000259 | 6888 | GTEx | DepMap | Descartes | 0.00 | 0.00 |
S100A9 | -0.0000284 | 7257 | GTEx | DepMap | Descartes | 0.00 | 0.00 |
IL1B | -0.0000369 | 8313 | GTEx | DepMap | Descartes | 0.00 | 0.00 |
NOS2 | -0.0000446 | 9093 | GTEx | DepMap | Descartes | 0.00 | 0.00 |
STAT3 | -0.0000522 | 9717 | GTEx | DepMap | Descartes | 0.63 | 1.78 |
CD84 | -0.0000555 | 9978 | GTEx | DepMap | Descartes | 0.00 | 0.00 |
ARG1 | -0.0000774 | 11355 | GTEx | DepMap | Descartes | 0.00 | 0.00 |
TGFB1 | -0.0001707 | 15394 | GTEx | DepMap | Descartes | 0.02 | 0.21 |
ARG2 | -0.0001731 | 15480 | GTEx | DepMap | Descartes | 0.00 | 0.00 |
Pigmentation (Kinker)
These marker genes were obtained in a pan cancer cell lines NMF analysis of scRNA-eq data in Kinker et al (PMID 33128048) - 10 metaprograms were recovered that manifest across cancers, Skin pigmentation genes, identified in melanoma.:
Wilcoxon ranksum test P-value for gene set overrepresentation: 3.53e-02
Mean rank of genes in gene set: 4622.5
Rank on gene expression program of genes in gene set:
Genes | Weight | Rank | GTEx | DepMap | Decartes | Mean.Counts | Mean.TPM |
---|---|---|---|---|---|---|---|
MITF | 0.0012944 | 314 | GTEx | DepMap | Descartes | 0.75 | 0.80 |
MLANA | 0.0000053 | 4212 | GTEx | DepMap | Descartes | 0.00 | 0.00 |
PMEL | -0.0000239 | 6626 | GTEx | DepMap | Descartes | 0.01 | 0.04 |
DCT | -0.0000290 | 7338 | GTEx | DepMap | Descartes | 0.00 | 0.00 |
Below shows ranks on this GEP for literature curated gene lists for large gene sets
These include those reported as mesenchymal/adrenergic by Van Groningen et al.
High ranks indicate this gene is a driver of this GEP (note these results are not ordered).
The Mean Count column shows the mean read count in cells scoring highly (H > 50) on this gene expression program.
VanGroningen Adrenergic Genes
Adrenergic marker genes from Supplementary Table 2 of Van Groningen et al. Nature Genetics 2017. These genes were identified by differential expression analysis of mesenchymal-like and adrenergic-like neuroblastoma cell lines.
Wilcoxon ranksum test P-value for gene set overrepresentation: 1.00e+00
Mean rank of genes in gene set: 13185.5
Median rank of genes in gene set: 15543.5
Rank on gene expression program of top 30 genes in gene set:
Genes | Weight | Rank | GTEx | DepMap | Descartes | Mean.Counts | Mean.TPM |
---|---|---|---|---|---|---|---|
TMOD1 | 0.0058586 | 39 | GTEx | DepMap | Descartes | 4.53 | 12.00 |
POPDC3 | 0.0020441 | 201 | GTEx | DepMap | Descartes | 0.48 | 0.62 |
BEX1 | 0.0016254 | 257 | GTEx | DepMap | Descartes | 6.43 | 802.35 |
PDK1 | 0.0010952 | 364 | GTEx | DepMap | Descartes | 1.58 | 14.07 |
EEF1A2 | 0.0010817 | 371 | GTEx | DepMap | Descartes | 1.35 | 33.87 |
SNAP91 | 0.0010677 | 378 | GTEx | DepMap | Descartes | 1.54 | 2.65 |
MMD | 0.0010145 | 416 | GTEx | DepMap | Descartes | 2.60 | 17.37 |
GRB10 | 0.0009598 | 433 | GTEx | DepMap | Descartes | 9.88 | 18.18 |
FHOD3 | 0.0008522 | 481 | GTEx | DepMap | Descartes | 1.27 | 0.52 |
BEND4 | 0.0007967 | 501 | GTEx | DepMap | Descartes | 0.52 | 2.32 |
AKAP1 | 0.0006900 | 578 | GTEx | DepMap | Descartes | 0.72 | 4.21 |
BMP7 | 0.0006797 | 592 | GTEx | DepMap | Descartes | 1.60 | 4.95 |
GLRX | 0.0006483 | 608 | GTEx | DepMap | Descartes | 0.86 | 16.25 |
SYNPO2 | 0.0006091 | 648 | GTEx | DepMap | Descartes | 0.73 | 0.78 |
MAGI3 | 0.0005604 | 693 | GTEx | DepMap | Descartes | 0.68 | 0.64 |
PLPPR5 | 0.0004907 | 784 | GTEx | DepMap | Descartes | 0.14 | 0.23 |
ESRRG | 0.0004348 | 870 | GTEx | DepMap | Descartes | 0.29 | 0.13 |
REC8 | 0.0003848 | 963 | GTEx | DepMap | Descartes | 0.02 | 0.79 |
SETD7 | 0.0003824 | 970 | GTEx | DepMap | Descartes | 0.57 | 1.91 |
CHML | 0.0003466 | 1036 | GTEx | DepMap | Descartes | 0.34 | 7.87 |
GPR22 | 0.0003241 | 1095 | GTEx | DepMap | Descartes | 0.60 | 20.00 |
ENDOG | 0.0003207 | 1106 | GTEx | DepMap | Descartes | 0.56 | 38.69 |
MSI2 | 0.0003109 | 1127 | GTEx | DepMap | Descartes | 1.62 | 0.72 |
HK2 | 0.0003082 | 1134 | GTEx | DepMap | Descartes | 0.46 | 1.95 |
TCEAL7 | 0.0002836 | 1219 | GTEx | DepMap | Descartes | 0.55 | 6.69 |
CDKN3 | 0.0002672 | 1278 | GTEx | DepMap | Descartes | 0.32 | 4.90 |
ADRBK2 | 0.0002631 | 1287 | GTEx | DepMap | Descartes | 0.44 | NA |
ABLIM1 | 0.0002499 | 1328 | GTEx | DepMap | Descartes | 0.89 | 0.61 |
LSM4 | 0.0002305 | 1410 | GTEx | DepMap | Descartes | 4.11 | 138.71 |
KLHL23 | 0.0002179 | 1460 | GTEx | DepMap | Descartes | 0.72 | 8.24 |
VanGroningen Mesenchymal Genes
Mesenchymal marker genes from Supplementary Table 2 of Van Groningen et al. Nature Genetics 2017. These genes were identified by differential expression analysis of mesenchymal-like and adrenergic-like neuroblastoma cell lines.
Wilcoxon ranksum test P-value for gene set overrepresentation: 1.00e+00
Mean rank of genes in gene set: 10842.73
Median rank of genes in gene set: 13221
Rank on gene expression program of top 30 genes in gene set:
Genes | Weight | Rank | GTEx | DepMap | Descartes | Mean.Counts | Mean.TPM |
---|---|---|---|---|---|---|---|
TPM1 | 0.0049896 | 55 | GTEx | DepMap | Descartes | 68.19 | 545.84 |
MICAL2 | 0.0037457 | 94 | GTEx | DepMap | Descartes | 1.71 | 1.86 |
HSPB1 | 0.0034554 | 101 | GTEx | DepMap | Descartes | 16.98 | 1912.50 |
IGF2R | 0.0030980 | 117 | GTEx | DepMap | Descartes | 8.97 | 20.65 |
ATP1B1 | 0.0025690 | 150 | GTEx | DepMap | Descartes | 6.17 | 59.55 |
HIPK3 | 0.0018382 | 230 | GTEx | DepMap | Descartes | 1.90 | 5.64 |
PTRF | 0.0015145 | 274 | GTEx | DepMap | Descartes | 1.68 | NA |
TNS1 | 0.0013866 | 299 | GTEx | DepMap | Descartes | 1.70 | 1.67 |
TNFRSF12A | 0.0012979 | 312 | GTEx | DepMap | Descartes | 0.91 | 115.86 |
CLIC4 | 0.0012868 | 318 | GTEx | DepMap | Descartes | 2.34 | 7.52 |
PALLD | 0.0010756 | 373 | GTEx | DepMap | Descartes | 4.76 | 2.63 |
TGFB1I1 | 0.0010673 | 380 | GTEx | DepMap | Descartes | 1.75 | 44.61 |
ACTA2 | 0.0010281 | 401 | GTEx | DepMap | Descartes | 28.13 | 383.04 |
PLEKHA2 | 0.0009383 | 441 | GTEx | DepMap | Descartes | 0.35 | 1.05 |
LAMC1 | 0.0009354 | 444 | GTEx | DepMap | Descartes | 1.47 | 2.04 |
MEST | 0.0009104 | 455 | GTEx | DepMap | Descartes | 20.77 | 130.99 |
SVIL | 0.0007994 | 498 | GTEx | DepMap | Descartes | 3.06 | 2.50 |
GSN | 0.0007104 | 560 | GTEx | DepMap | Descartes | 2.70 | 8.34 |
MYL12A | 0.0006923 | 576 | GTEx | DepMap | Descartes | 6.62 | 123.60 |
AMMECR1 | 0.0006876 | 581 | GTEx | DepMap | Descartes | 1.09 | 1.72 |
KIF13A | 0.0006689 | 601 | GTEx | DepMap | Descartes | 1.06 | 0.97 |
PTGFRN | 0.0006522 | 606 | GTEx | DepMap | Descartes | 1.25 | 3.15 |
NID2 | 0.0006276 | 625 | GTEx | DepMap | Descartes | 1.31 | 4.23 |
SUCLG2 | 0.0006104 | 646 | GTEx | DepMap | Descartes | 1.41 | 1.10 |
DKK3 | 0.0006082 | 649 | GTEx | DepMap | Descartes | 0.61 | 2.87 |
TSC22D2 | 0.0005963 | 655 | GTEx | DepMap | Descartes | 1.63 | 5.02 |
GJA1 | 0.0005868 | 668 | GTEx | DepMap | Descartes | 2.58 | 18.40 |
NEK7 | 0.0005738 | 679 | GTEx | DepMap | Descartes | 0.76 | 1.15 |
CTNNA1 | 0.0005650 | 689 | GTEx | DepMap | Descartes | 2.75 | 3.96 |
EDNRA | 0.0005572 | 698 | GTEx | DepMap | Descartes | 0.58 | 1.53 |
Descartes adrenocortical markers
Top 50 marker genes of adrenocortical cells in the Decartes fetal adrenal single cell map (https://atlas.brotmanbaty.org/bbi/human-gene-expression-during-development/cell/adrenocortical/in/adrenal)
Wilcoxon ranksum test P-value for gene set overrepresentation: 9.41e-01
Mean rank of genes in gene set: 11007.02
Median rank of genes in gene set: 12952
Rank on gene expression program of top 30 genes in gene set:
Genes | Weight | Rank | GTEx | DepMap | Descartes | Mean.Counts | Mean.TPM |
---|---|---|---|---|---|---|---|
CLU | 0.0009359 | 443 | GTEx | DepMap | Descartes | 1.20 | 20.34 |
HSPD1 | 0.0005802 | 673 | GTEx | DepMap | Descartes | 8.76 | 168.94 |
FDX1 | 0.0002089 | 1493 | GTEx | DepMap | Descartes | 0.83 | 7.00 |
SCARB1 | 0.0001871 | 1607 | GTEx | DepMap | Descartes | 0.26 | 0.75 |
DHCR24 | 0.0001493 | 1886 | GTEx | DepMap | Descartes | 0.76 | 6.46 |
BAIAP2L1 | 0.0001469 | 1906 | GTEx | DepMap | Descartes | 0.15 | 0.21 |
FREM2 | 0.0001459 | 1911 | GTEx | DepMap | Descartes | 0.60 | 0.69 |
NPC1 | 0.0000716 | 2751 | GTEx | DepMap | Descartes | 0.47 | 1.96 |
CYB5B | 0.0000568 | 2952 | GTEx | DepMap | Descartes | 0.65 | 4.09 |
LDLR | 0.0000531 | 3017 | GTEx | DepMap | Descartes | 0.27 | 1.70 |
IGF1R | 0.0000479 | 3127 | GTEx | DepMap | Descartes | 1.56 | 1.20 |
HSPE1 | 0.0000435 | 3212 | GTEx | DepMap | Descartes | 9.65 | 541.96 |
FRMD5 | 0.0000383 | 3326 | GTEx | DepMap | Descartes | 0.12 | 0.10 |
CYP17A1 | -0.0000211 | 6222 | GTEx | DepMap | Descartes | 0.00 | 0.00 |
GRAMD1B | -0.0000571 | 10083 | GTEx | DepMap | Descartes | 0.06 | 0.03 |
INHA | -0.0000646 | 10607 | GTEx | DepMap | Descartes | 0.36 | 18.13 |
ERN1 | -0.0000660 | 10680 | GTEx | DepMap | Descartes | 0.03 | 0.03 |
SGCZ | -0.0000702 | 10935 | GTEx | DepMap | Descartes | 0.02 | 0.00 |
MC2R | -0.0000933 | 12229 | GTEx | DepMap | Descartes | 0.00 | 0.00 |
SLC16A9 | -0.0000954 | 12344 | GTEx | DepMap | Descartes | 0.01 | 0.03 |
STAR | -0.0000999 | 12563 | GTEx | DepMap | Descartes | 0.00 | 0.00 |
FDXR | -0.0001160 | 13341 | GTEx | DepMap | Descartes | 0.13 | 1.68 |
DHCR7 | -0.0001169 | 13379 | GTEx | DepMap | Descartes | 0.33 | 2.99 |
SCAP | -0.0001382 | 14229 | GTEx | DepMap | Descartes | 0.18 | 0.54 |
CYP11A1 | -0.0001455 | 14551 | GTEx | DepMap | Descartes | 0.00 | 0.00 |
APOC1 | -0.0001602 | 15064 | GTEx | DepMap | Descartes | 0.01 | 0.39 |
CYP11B1 | -0.0001785 | 15650 | GTEx | DepMap | Descartes | 0.00 | 0.00 |
PEG3 | -0.0001790 | 15659 | GTEx | DepMap | Descartes | 5.88 | 35.54 |
PAPSS2 | -0.0002065 | 16413 | GTEx | DepMap | Descartes | 0.02 | 0.07 |
TM7SF2 | -0.0002130 | 16573 | GTEx | DepMap | Descartes | 0.03 | 0.61 |
Descartes chromaffin markers
Top 50 marker genes of chromaffin cells in the Decartes fetal adrenal single cell map (https://atlas.brotmanbaty.org/bbi/human-gene-expression-during-development/cell/chromaffin/in/adrenal)
Wilcoxon ranksum test P-value for gene set overrepresentation: 1.00e+00
Mean rank of genes in gene set: 14609.8
Median rank of genes in gene set: 15767.5
Rank on gene expression program of top 30 genes in gene set:
Genes | Weight | Rank | GTEx | DepMap | Descartes | Mean.Counts | Mean.TPM |
---|---|---|---|---|---|---|---|
RYR2 | 0.0060882 | 32 | GTEx | DepMap | Descartes | 3.19 | 1.18 |
SYNPO2 | 0.0006091 | 648 | GTEx | DepMap | Descartes | 0.73 | 0.78 |
SLC44A5 | -0.0000027 | 4493 | GTEx | DepMap | Descartes | 0.01 | 0.01 |
IL7 | -0.0000214 | 6257 | GTEx | DepMap | Descartes | 0.00 | 0.00 |
PLXNA4 | -0.0000243 | 6674 | GTEx | DepMap | Descartes | 0.33 | 0.17 |
ALK | -0.0000278 | 7174 | GTEx | DepMap | Descartes | 0.00 | 0.00 |
ANKFN1 | -0.0000332 | 7890 | GTEx | DepMap | Descartes | 0.00 | 0.00 |
EPHA6 | -0.0000364 | 8277 | GTEx | DepMap | Descartes | 0.00 | 0.00 |
RPH3A | -0.0000963 | 12393 | GTEx | DepMap | Descartes | 0.01 | 0.01 |
REEP1 | -0.0001007 | 12608 | GTEx | DepMap | Descartes | 0.43 | 0.82 |
PTCHD1 | -0.0001055 | 12837 | GTEx | DepMap | Descartes | 0.00 | 0.00 |
SLC6A2 | -0.0001060 | 12860 | GTEx | DepMap | Descartes | 0.01 | 0.02 |
HMX1 | -0.0001243 | 13696 | GTEx | DepMap | Descartes | 0.06 | 0.52 |
EYA4 | -0.0001414 | 14387 | GTEx | DepMap | Descartes | 0.06 | 0.03 |
HS3ST5 | -0.0001491 | 14692 | GTEx | DepMap | Descartes | 0.02 | 0.01 |
GAL | -0.0001510 | 14766 | GTEx | DepMap | Descartes | 0.33 | 12.88 |
MARCH11 | -0.0001584 | 15010 | GTEx | DepMap | Descartes | 0.04 | 0.05 |
GREM1 | -0.0001647 | 15205 | GTEx | DepMap | Descartes | 0.02 | 0.10 |
NTRK1 | -0.0001688 | 15337 | GTEx | DepMap | Descartes | 0.21 | 1.11 |
NPY | -0.0001763 | 15572 | GTEx | DepMap | Descartes | 0.09 | 1.72 |
KCNB2 | -0.0001775 | 15612 | GTEx | DepMap | Descartes | 0.06 | 0.02 |
PRPH | -0.0001815 | 15737 | GTEx | DepMap | Descartes | 0.86 | 20.46 |
FAT3 | -0.0001837 | 15798 | GTEx | DepMap | Descartes | 0.16 | 0.05 |
TMEM132C | -0.0002118 | 16538 | GTEx | DepMap | Descartes | 0.10 | 0.03 |
MAB21L1 | -0.0002165 | 16665 | GTEx | DepMap | Descartes | 0.04 | 2.17 |
EYA1 | -0.0002200 | 16752 | GTEx | DepMap | Descartes | 0.03 | 0.04 |
CNKSR2 | -0.0002495 | 17343 | GTEx | DepMap | Descartes | 0.01 | 0.00 |
CCND1 | -0.0002619 | 17546 | GTEx | DepMap | Descartes | 1.02 | 17.25 |
RGMB | -0.0002799 | 17808 | GTEx | DepMap | Descartes | 0.11 | 0.59 |
TMEFF2 | -0.0002957 | 17999 | GTEx | DepMap | Descartes | 0.12 | 0.05 |
Descartes Vascular_endothelial markers
Top 50 marker genes of Vascular_endothelial cells in the Decartes fetal adrenal single cell map (https://atlas.brotmanbaty.org/bbi/human-gene-expression-during-development/cell/vascular_endothelial/in/adrenal)
Wilcoxon ranksum test P-value for gene set overrepresentation: 4.91e-01
Mean rank of genes in gene set: 9645.05
Median rank of genes in gene set: 10336
Rank on gene expression program of top 30 genes in gene set:
Genes | Weight | Rank | GTEx | DepMap | Descartes | Mean.Counts | Mean.TPM |
---|---|---|---|---|---|---|---|
ARHGAP29 | 0.0002376 | 1380 | GTEx | DepMap | Descartes | 1.10 | 2.99 |
TMEM88 | 0.0002140 | 1469 | GTEx | DepMap | Descartes | 0.13 | 12.58 |
CDH13 | 0.0001977 | 1542 | GTEx | DepMap | Descartes | 0.97 | 0.16 |
KANK3 | 0.0001157 | 2170 | GTEx | DepMap | Descartes | 0.17 | 1.76 |
NPR1 | 0.0000965 | 2397 | GTEx | DepMap | Descartes | 0.05 | 0.93 |
F8 | 0.0000887 | 2490 | GTEx | DepMap | Descartes | 0.05 | 0.03 |
GALNT15 | 0.0000746 | 2709 | GTEx | DepMap | Descartes | 0.01 | 0.03 |
ECSCR | -0.0000062 | 4638 | GTEx | DepMap | Descartes | 0.08 | 1.32 |
DNASE1L3 | -0.0000190 | 5947 | GTEx | DepMap | Descartes | 0.00 | 0.00 |
BTNL9 | -0.0000241 | 6647 | GTEx | DepMap | Descartes | 0.00 | 0.00 |
ROBO4 | -0.0000283 | 7242 | GTEx | DepMap | Descartes | 0.00 | 0.00 |
FCGR2B | -0.0000309 | 7604 | GTEx | DepMap | Descartes | 0.00 | 0.00 |
CRHBP | -0.0000312 | 7631 | GTEx | DepMap | Descartes | 0.00 | 0.00 |
PTPRB | -0.0000325 | 7803 | GTEx | DepMap | Descartes | 0.01 | 0.01 |
SOX18 | -0.0000359 | 8220 | GTEx | DepMap | Descartes | 0.00 | 0.00 |
MYRIP | -0.0000370 | 8324 | GTEx | DepMap | Descartes | 0.00 | 0.00 |
CEACAM1 | -0.0000380 | 8449 | GTEx | DepMap | Descartes | 0.00 | 0.00 |
SLCO2A1 | -0.0000460 | 9219 | GTEx | DepMap | Descartes | 0.03 | 0.03 |
FLT4 | -0.0000471 | 9306 | GTEx | DepMap | Descartes | 0.01 | 0.04 |
NR5A2 | -0.0000494 | 9510 | GTEx | DepMap | Descartes | 0.00 | 0.00 |
ESM1 | -0.0000504 | 9589 | GTEx | DepMap | Descartes | 0.00 | 0.00 |
SHE | -0.0000604 | 10336 | GTEx | DepMap | Descartes | 0.00 | 0.00 |
IRX3 | -0.0000694 | 10879 | GTEx | DepMap | Descartes | 0.19 | 7.76 |
APLNR | -0.0000698 | 10914 | GTEx | DepMap | Descartes | 0.00 | 0.00 |
PODXL | -0.0000735 | 11144 | GTEx | DepMap | Descartes | 0.06 | 0.25 |
KDR | -0.0000746 | 11204 | GTEx | DepMap | Descartes | 0.02 | 0.13 |
PLVAP | -0.0000775 | 11362 | GTEx | DepMap | Descartes | 0.00 | 0.00 |
TIE1 | -0.0000778 | 11380 | GTEx | DepMap | Descartes | 0.00 | 0.00 |
CLDN5 | -0.0000817 | 11596 | GTEx | DepMap | Descartes | 0.01 | 0.88 |
SHANK3 | -0.0000825 | 11651 | GTEx | DepMap | Descartes | 0.00 | 0.00 |
Descartes stromal markers
Top 50 marker genes of stromal cells in the Decartes fetal adrenal single cell map (https://atlas.brotmanbaty.org/bbi/human-gene-expression-during-development/cell/stromal/in/adrenal)
Wilcoxon ranksum test P-value for gene set overrepresentation: 1.00e+00
Mean rank of genes in gene set: 13213.61
Median rank of genes in gene set: 16366.5
Rank on gene expression program of top 30 genes in gene set:
Genes | Weight | Rank | GTEx | DepMap | Descartes | Mean.Counts | Mean.TPM |
---|---|---|---|---|---|---|---|
ABCC9 | 0.0021044 | 195 | GTEx | DepMap | Descartes | 0.94 | 1.52 |
ACTA2 | 0.0010281 | 401 | GTEx | DepMap | Descartes | 28.13 | 383.04 |
EDNRA | 0.0005572 | 698 | GTEx | DepMap | Descartes | 0.58 | 1.53 |
PRICKLE1 | 0.0001082 | 2247 | GTEx | DepMap | Descartes | 0.45 | 0.80 |
ADAMTSL3 | 0.0000758 | 2684 | GTEx | DepMap | Descartes | 0.05 | 0.02 |
ELN | 0.0000106 | 4041 | GTEx | DepMap | Descartes | 2.60 | 20.11 |
C7 | -0.0000092 | 4821 | GTEx | DepMap | Descartes | 0.00 | 0.00 |
SULT1E1 | -0.0000119 | 5072 | GTEx | DepMap | Descartes | 0.00 | 0.00 |
ITGA11 | -0.0000135 | 5258 | GTEx | DepMap | Descartes | 0.02 | 0.02 |
CCDC80 | -0.0000183 | 5846 | GTEx | DepMap | Descartes | 0.58 | 3.23 |
FNDC1 | -0.0000299 | 7456 | GTEx | DepMap | Descartes | 0.02 | 0.03 |
PCOLCE | -0.0000303 | 7520 | GTEx | DepMap | Descartes | 1.01 | 19.10 |
ABCA6 | -0.0000430 | 8928 | GTEx | DepMap | Descartes | 0.01 | 0.01 |
FREM1 | -0.0000583 | 10167 | GTEx | DepMap | Descartes | 0.07 | 0.08 |
LAMC3 | -0.0000670 | 10733 | GTEx | DepMap | Descartes | 0.00 | 0.00 |
ADAMTS2 | -0.0001048 | 12797 | GTEx | DepMap | Descartes | 0.13 | 0.15 |
SCARA5 | -0.0001253 | 13733 | GTEx | DepMap | Descartes | 0.00 | 0.00 |
GLI2 | -0.0001352 | 14110 | GTEx | DepMap | Descartes | 0.08 | 0.04 |
CLDN11 | -0.0001382 | 14231 | GTEx | DepMap | Descartes | 0.10 | 1.28 |
PAMR1 | -0.0001634 | 15162 | GTEx | DepMap | Descartes | 0.07 | 0.10 |
RSPO3 | -0.0001700 | 15377 | GTEx | DepMap | Descartes | 0.29 | 0.69 |
HHIP | -0.0001778 | 15629 | GTEx | DepMap | Descartes | 0.06 | 0.07 |
COL12A1 | -0.0001976 | 16192 | GTEx | DepMap | Descartes | 0.62 | 0.75 |
DKK2 | -0.0002119 | 16541 | GTEx | DepMap | Descartes | 0.10 | 0.10 |
BICC1 | -0.0002348 | 17068 | GTEx | DepMap | Descartes | 0.45 | 0.25 |
IGFBP3 | -0.0002453 | 17255 | GTEx | DepMap | Descartes | 0.29 | 4.70 |
OGN | -0.0002462 | 17284 | GTEx | DepMap | Descartes | 0.56 | 4.48 |
LOX | -0.0002494 | 17340 | GTEx | DepMap | Descartes | 0.28 | 2.46 |
LUM | -0.0002532 | 17401 | GTEx | DepMap | Descartes | 0.76 | 11.17 |
MGP | -0.0002652 | 17601 | GTEx | DepMap | Descartes | 0.36 | 24.09 |
Descartes sympathoblasts markers
Top 50 marker genes of sympathoblasts cells in the Decartes fetal adrenal single cell map (https://atlas.brotmanbaty.org/bbi/human-gene-expression-during-development/cell/sympathoblasts/in/adrenal)
Wilcoxon ranksum test P-value for gene set overrepresentation: 1.00e+00
Mean rank of genes in gene set: 12554.5
Median rank of genes in gene set: 13664
Rank on gene expression program of top 30 genes in gene set:
Genes | Weight | Rank | GTEx | DepMap | Descartes | Mean.Counts | Mean.TPM |
---|---|---|---|---|---|---|---|
TBX20 | 0.0040277 | 80 | GTEx | DepMap | Descartes | 2.92 | 9.97 |
SLC24A2 | 0.0006196 | 633 | GTEx | DepMap | Descartes | 0.17 | 0.15 |
PNMT | 0.0000411 | 3261 | GTEx | DepMap | Descartes | 0.21 | 20.71 |
DGKK | 0.0000057 | 4201 | GTEx | DepMap | Descartes | 0.45 | 0.47 |
AGBL4 | -0.0000216 | 6279 | GTEx | DepMap | Descartes | 0.01 | 0.00 |
KCTD16 | -0.0000279 | 7181 | GTEx | DepMap | Descartes | 0.00 | 0.00 |
GCH1 | -0.0000428 | 8910 | GTEx | DepMap | Descartes | 0.11 | 0.53 |
CDH12 | -0.0000492 | 9490 | GTEx | DepMap | Descartes | 0.01 | 0.00 |
SLC35F3 | -0.0000543 | 9886 | GTEx | DepMap | Descartes | 0.00 | 0.00 |
CDH18 | -0.0000574 | 10107 | GTEx | DepMap | Descartes | 0.02 | 0.00 |
FGF14 | -0.0000609 | 10373 | GTEx | DepMap | Descartes | 0.00 | 0.00 |
GRM7 | -0.0000634 | 10552 | GTEx | DepMap | Descartes | 0.02 | 0.00 |
GALNTL6 | -0.0000729 | 11111 | GTEx | DepMap | Descartes | 0.00 | 0.00 |
EML6 | -0.0000811 | 11566 | GTEx | DepMap | Descartes | 0.01 | 0.01 |
CNTN3 | -0.0000878 | 11936 | GTEx | DepMap | Descartes | 0.00 | 0.00 |
PACRG | -0.0001018 | 12664 | GTEx | DepMap | Descartes | 0.02 | 0.02 |
ARC | -0.0001091 | 13015 | GTEx | DepMap | Descartes | 0.00 | 0.00 |
SCG2 | -0.0001156 | 13323 | GTEx | DepMap | Descartes | 0.00 | 0.00 |
KSR2 | -0.0001165 | 13366 | GTEx | DepMap | Descartes | 0.00 | 0.00 |
UNC80 | -0.0001193 | 13490 | GTEx | DepMap | Descartes | 0.02 | 0.03 |
GRID2 | -0.0001235 | 13660 | GTEx | DepMap | Descartes | 0.05 | 0.01 |
TENM1 | -0.0001237 | 13668 | GTEx | DepMap | Descartes | 0.01 | 0.00 |
LAMA3 | -0.0001361 | 14140 | GTEx | DepMap | Descartes | 0.01 | 0.00 |
MGAT4C | -0.0001371 | 14180 | GTEx | DepMap | Descartes | 0.01 | 0.00 |
SORCS3 | -0.0001374 | 14199 | GTEx | DepMap | Descartes | 0.01 | 0.00 |
CCSER1 | -0.0001457 | 14557 | GTEx | DepMap | Descartes | 0.02 | 0.00 |
CHGB | -0.0001522 | 14805 | GTEx | DepMap | Descartes | 0.06 | 0.45 |
SLC18A1 | -0.0001633 | 15158 | GTEx | DepMap | Descartes | 0.03 | 0.03 |
C1QL1 | -0.0001667 | 15265 | GTEx | DepMap | Descartes | 0.02 | 0.43 |
FAM155A | -0.0001716 | 15426 | GTEx | DepMap | Descartes | 0.02 | 0.01 |
Descartes erythroblasts markers
Top 50 marker genes of erythroblasts cells in the Decartes fetal adrenal single cell map (https://atlas.brotmanbaty.org/bbi/human-gene-expression-during-development/cell/erythroblasts/in/adrenal)
Wilcoxon ranksum test P-value for gene set overrepresentation: 3.15e-03
Mean rank of genes in gene set: 7126.44
Median rank of genes in gene set: 6790
Rank on gene expression program of top 30 genes in gene set:
Genes | Weight | Rank | GTEx | DepMap | Descartes | Mean.Counts | Mean.TPM |
---|---|---|---|---|---|---|---|
MICAL2 | 0.0037457 | 94 | GTEx | DepMap | Descartes | 1.71 | 1.86 |
RGS6 | 0.0007761 | 515 | GTEx | DepMap | Descartes | 0.20 | 0.06 |
TRAK2 | 0.0007023 | 569 | GTEx | DepMap | Descartes | 0.63 | 1.64 |
SPTB | 0.0005608 | 691 | GTEx | DepMap | Descartes | 0.37 | 0.52 |
ANK1 | 0.0002906 | 1195 | GTEx | DepMap | Descartes | 0.51 | 0.40 |
SELENBP1 | 0.0002042 | 1515 | GTEx | DepMap | Descartes | 0.41 | 7.13 |
ABCB10 | 0.0001686 | 1736 | GTEx | DepMap | Descartes | 0.37 | 1.83 |
FECH | 0.0000941 | 2419 | GTEx | DepMap | Descartes | 0.66 | 3.60 |
SLC25A37 | 0.0000768 | 2665 | GTEx | DepMap | Descartes | 0.21 | 0.84 |
CPOX | 0.0000505 | 3075 | GTEx | DepMap | Descartes | 0.31 | 1.03 |
RHD | 0.0000261 | 3631 | GTEx | DepMap | Descartes | 0.03 | 0.16 |
MARCH3 | 0.0000116 | 4010 | GTEx | DepMap | Descartes | 0.04 | 0.04 |
SPTA1 | 0.0000039 | 4260 | GTEx | DepMap | Descartes | 0.01 | 0.02 |
GYPC | 0.0000034 | 4275 | GTEx | DepMap | Descartes | 0.18 | 0.82 |
DENND4A | 0.0000020 | 4327 | GTEx | DepMap | Descartes | 0.10 | 0.10 |
TMEM56 | -0.0000150 | 5433 | GTEx | DepMap | Descartes | 0.02 | 0.03 |
HEMGN | -0.0000198 | 6049 | GTEx | DepMap | Descartes | 0.01 | 0.06 |
SLC4A1 | -0.0000232 | 6520 | GTEx | DepMap | Descartes | 0.02 | 0.19 |
TFR2 | -0.0000270 | 7060 | GTEx | DepMap | Descartes | 0.01 | 0.05 |
XPO7 | -0.0000281 | 7220 | GTEx | DepMap | Descartes | 0.68 | 1.49 |
EPB42 | -0.0000283 | 7238 | GTEx | DepMap | Descartes | 0.00 | 0.00 |
SNCA | -0.0000332 | 7892 | GTEx | DepMap | Descartes | 0.17 | 0.21 |
RHAG | -0.0000340 | 7998 | GTEx | DepMap | Descartes | 0.00 | 0.00 |
SLC25A21 | -0.0000441 | 9027 | GTEx | DepMap | Descartes | 0.00 | 0.00 |
CAT | -0.0000475 | 9348 | GTEx | DepMap | Descartes | 0.53 | 4.39 |
GYPA | -0.0000482 | 9406 | GTEx | DepMap | Descartes | 0.00 | 0.00 |
ALAS2 | -0.0000606 | 10351 | GTEx | DepMap | Descartes | 0.00 | 0.00 |
CR1L | -0.0000775 | 11360 | GTEx | DepMap | Descartes | 0.36 | 1.74 |
BLVRB | -0.0000826 | 11658 | GTEx | DepMap | Descartes | 0.48 | 5.71 |
TMCC2 | -0.0000919 | 12152 | GTEx | DepMap | Descartes | 0.15 | 0.83 |
Descartes myeloid markers
Top 50 marker genes of myeloid cells in the Decartes fetal adrenal single cell map (https://atlas.brotmanbaty.org/bbi/human-gene-expression-during-development/cell/myeloid/in/adrenal)
Wilcoxon ranksum test P-value for gene set overrepresentation: 1.19e-02
Mean rank of genes in gene set: 7720.38
Median rank of genes in gene set: 7169.5
Rank on gene expression program of top 30 genes in gene set:
Genes | Weight | Rank | GTEx | DepMap | Descartes | Mean.Counts | Mean.TPM |
---|---|---|---|---|---|---|---|
FGL2 | 0.0014380 | 293 | GTEx | DepMap | Descartes | 0.25 | 10.10 |
CST3 | 0.0007443 | 531 | GTEx | DepMap | Descartes | 9.39 | 487.55 |
CTSD | 0.0003146 | 1115 | GTEx | DepMap | Descartes | 3.33 | 51.56 |
LGMN | 0.0002594 | 1302 | GTEx | DepMap | Descartes | 0.87 | 3.01 |
FMN1 | 0.0001834 | 1630 | GTEx | DepMap | Descartes | 0.17 | 0.08 |
ITPR2 | 0.0001739 | 1696 | GTEx | DepMap | Descartes | 0.32 | 0.20 |
RGL1 | 0.0000908 | 2459 | GTEx | DepMap | Descartes | 0.38 | 0.30 |
WWP1 | 0.0000848 | 2544 | GTEx | DepMap | Descartes | 0.50 | 0.86 |
CTSB | 0.0000762 | 2676 | GTEx | DepMap | Descartes | 2.10 | 18.92 |
CTSC | 0.0000678 | 2803 | GTEx | DepMap | Descartes | 0.29 | 1.63 |
MS4A4A | -0.0000045 | 4558 | GTEx | DepMap | Descartes | 0.00 | 0.00 |
SLC9A9 | -0.0000119 | 5069 | GTEx | DepMap | Descartes | 0.06 | 0.02 |
RNASE1 | -0.0000142 | 5357 | GTEx | DepMap | Descartes | 0.00 | 0.00 |
HRH1 | -0.0000167 | 5628 | GTEx | DepMap | Descartes | 0.00 | 0.00 |
SPP1 | -0.0000201 | 6089 | GTEx | DepMap | Descartes | 0.00 | 0.00 |
IFNGR1 | -0.0000209 | 6187 | GTEx | DepMap | Descartes | 0.19 | 1.88 |
MS4A7 | -0.0000242 | 6667 | GTEx | DepMap | Descartes | 0.00 | 0.00 |
CD14 | -0.0000259 | 6888 | GTEx | DepMap | Descartes | 0.00 | 0.00 |
CYBB | -0.0000261 | 6912 | GTEx | DepMap | Descartes | 0.00 | 0.00 |
MPEG1 | -0.0000262 | 6936 | GTEx | DepMap | Descartes | 0.00 | 0.00 |
CD74 | -0.0000275 | 7128 | GTEx | DepMap | Descartes | 0.01 | 0.10 |
C1QA | -0.0000280 | 7211 | GTEx | DepMap | Descartes | 0.01 | 0.32 |
MSR1 | -0.0000284 | 7256 | GTEx | DepMap | Descartes | 0.00 | 0.00 |
ADAP2 | -0.0000300 | 7464 | GTEx | DepMap | Descartes | 0.00 | 0.00 |
CPVL | -0.0000325 | 7805 | GTEx | DepMap | Descartes | 0.00 | 0.00 |
CTSS | -0.0000328 | 7842 | GTEx | DepMap | Descartes | 0.00 | 0.00 |
ATP8B4 | -0.0000339 | 7993 | GTEx | DepMap | Descartes | 0.00 | 0.00 |
C1QB | -0.0000374 | 8374 | GTEx | DepMap | Descartes | 0.00 | 0.00 |
CSF1R | -0.0000376 | 8398 | GTEx | DepMap | Descartes | 0.00 | 0.00 |
C1QC | -0.0000377 | 8403 | GTEx | DepMap | Descartes | 0.00 | 0.00 |
Descartes Schwann markers
Top 50 marker genes of Schwann cells in the Decartes fetal adrenal single cell map (https://atlas.brotmanbaty.org/bbi/human-gene-expression-during-development/cell/schwann/in/adrenal)
Wilcoxon ranksum test P-value for gene set overrepresentation: 1.00e+00
Mean rank of genes in gene set: 12549.74
Median rank of genes in gene set: 14879
Rank on gene expression program of top 30 genes in gene set:
Genes | Weight | Rank | GTEx | DepMap | Descartes | Mean.Counts | Mean.TPM |
---|---|---|---|---|---|---|---|
FAM134B | 0.0011239 | 358 | GTEx | DepMap | Descartes | 1.12 | NA |
LAMC1 | 0.0009354 | 444 | GTEx | DepMap | Descartes | 1.47 | 2.04 |
SFRP1 | 0.0007802 | 514 | GTEx | DepMap | Descartes | 5.79 | 32.79 |
LAMA4 | 0.0005104 | 755 | GTEx | DepMap | Descartes | 1.86 | 2.50 |
LAMB1 | 0.0004529 | 845 | GTEx | DepMap | Descartes | 2.58 | 7.39 |
ERBB4 | 0.0001548 | 1841 | GTEx | DepMap | Descartes | 0.40 | 0.06 |
VCAN | 0.0000487 | 3112 | GTEx | DepMap | Descartes | 2.90 | 5.30 |
SCN7A | 0.0000320 | 3489 | GTEx | DepMap | Descartes | 0.08 | 0.09 |
PLCE1 | 0.0000172 | 3862 | GTEx | DepMap | Descartes | 0.53 | 0.27 |
GRIK3 | 0.0000164 | 3891 | GTEx | DepMap | Descartes | 0.07 | 0.03 |
TRPM3 | -0.0000305 | 7540 | GTEx | DepMap | Descartes | 0.03 | 0.00 |
FIGN | -0.0000411 | 8755 | GTEx | DepMap | Descartes | 0.78 | 1.05 |
DST | -0.0000658 | 10669 | GTEx | DepMap | Descartes | 2.47 | 1.22 |
LRRTM4 | -0.0000731 | 11114 | GTEx | DepMap | Descartes | 0.05 | 0.01 |
IL1RAPL2 | -0.0000821 | 11622 | GTEx | DepMap | Descartes | 0.00 | 0.00 |
PAG1 | -0.0001049 | 12807 | GTEx | DepMap | Descartes | 0.10 | 0.11 |
CDH19 | -0.0001119 | 13146 | GTEx | DepMap | Descartes | 0.02 | 0.02 |
OLFML2A | -0.0001138 | 13246 | GTEx | DepMap | Descartes | 0.02 | 0.05 |
GAS7 | -0.0001209 | 13561 | GTEx | DepMap | Descartes | 0.13 | 0.13 |
XKR4 | -0.0001256 | 13747 | GTEx | DepMap | Descartes | 0.00 | NA |
IL1RAPL1 | -0.0001435 | 14472 | GTEx | DepMap | Descartes | 0.02 | 0.00 |
MDGA2 | -0.0001499 | 14726 | GTEx | DepMap | Descartes | 0.05 | 0.01 |
PLP1 | -0.0001518 | 14785 | GTEx | DepMap | Descartes | 0.23 | 1.80 |
EGFLAM | -0.0001542 | 14879 | GTEx | DepMap | Descartes | 0.13 | 0.15 |
STARD13 | -0.0001622 | 15132 | GTEx | DepMap | Descartes | 0.02 | 0.01 |
KCTD12 | -0.0001635 | 15166 | GTEx | DepMap | Descartes | 1.05 | 24.57 |
MPZ | -0.0001635 | 15168 | GTEx | DepMap | Descartes | 0.01 | 0.08 |
ERBB3 | -0.0001662 | 15250 | GTEx | DepMap | Descartes | 0.21 | 1.92 |
SORCS1 | -0.0001676 | 15304 | GTEx | DepMap | Descartes | 0.01 | 0.00 |
SLC35F1 | -0.0001716 | 15424 | GTEx | DepMap | Descartes | 0.14 | 0.05 |
Descartes Megakaryocytes markers
Top 50 marker genes of Megakaryocytes cells in the Decartes fetal adrenal single cell map (https://atlas.brotmanbaty.org/bbi/human-gene-expression-during-development/cell/megakaryocytes/in/adrenal)
Wilcoxon ranksum test P-value for gene set overrepresentation: 8.57e-01
Mean rank of genes in gene set: 10532.77
Median rank of genes in gene set: 11124
Rank on gene expression program of top 30 genes in gene set:
Genes | Weight | Rank | GTEx | DepMap | Descartes | Mean.Counts | Mean.TPM |
---|---|---|---|---|---|---|---|
ANGPT1 | 0.0012530 | 326 | GTEx | DepMap | Descartes | 1.25 | 0.74 |
GSN | 0.0007104 | 560 | GTEx | DepMap | Descartes | 2.70 | 8.34 |
ARHGAP6 | 0.0004722 | 816 | GTEx | DepMap | Descartes | 0.29 | 0.11 |
VCL | 0.0004639 | 828 | GTEx | DepMap | Descartes | 1.32 | 1.96 |
LTBP1 | 0.0001899 | 1586 | GTEx | DepMap | Descartes | 0.75 | 0.35 |
MED12L | 0.0001827 | 1635 | GTEx | DepMap | Descartes | 0.13 | 0.06 |
TLN1 | 0.0001758 | 1684 | GTEx | DepMap | Descartes | 2.03 | 12.81 |
PDE3A | 0.0001090 | 2238 | GTEx | DepMap | Descartes | 0.19 | 0.10 |
P2RX1 | 0.0000386 | 3317 | GTEx | DepMap | Descartes | 0.02 | 0.17 |
ACTN1 | 0.0000203 | 3786 | GTEx | DepMap | Descartes | 1.13 | 1.92 |
LIMS1 | 0.0000079 | 4135 | GTEx | DepMap | Descartes | 1.16 | 1.79 |
ZYX | -0.0000267 | 7009 | GTEx | DepMap | Descartes | 1.49 | 29.22 |
ITGB3 | -0.0000291 | 7357 | GTEx | DepMap | Descartes | 0.07 | 0.27 |
PPBP | -0.0000307 | 7570 | GTEx | DepMap | Descartes | 0.01 | 0.38 |
TRPC6 | -0.0000336 | 7944 | GTEx | DepMap | Descartes | 0.01 | 0.01 |
PSTPIP2 | -0.0000400 | 8665 | GTEx | DepMap | Descartes | 0.00 | 0.00 |
GP9 | -0.0000447 | 9103 | GTEx | DepMap | Descartes | 0.01 | 0.35 |
BIN2 | -0.0000468 | 9281 | GTEx | DepMap | Descartes | 0.00 | 0.00 |
MMRN1 | -0.0000481 | 9386 | GTEx | DepMap | Descartes | 0.02 | 0.02 |
SPN | -0.0000526 | 9752 | GTEx | DepMap | Descartes | 0.00 | 0.00 |
CD84 | -0.0000555 | 9978 | GTEx | DepMap | Descartes | 0.00 | 0.00 |
PF4 | -0.0000705 | 10954 | GTEx | DepMap | Descartes | 0.02 | 1.24 |
MCTP1 | -0.0000718 | 11052 | GTEx | DepMap | Descartes | 0.00 | 0.00 |
ITGA2B | -0.0000732 | 11124 | GTEx | DepMap | Descartes | 0.03 | 0.20 |
FERMT3 | -0.0000766 | 11308 | GTEx | DepMap | Descartes | 0.00 | 0.00 |
DOK6 | -0.0000768 | 11321 | GTEx | DepMap | Descartes | 0.00 | 0.00 |
PLEK | -0.0000819 | 11610 | GTEx | DepMap | Descartes | 0.01 | 0.01 |
STOM | -0.0000833 | 11698 | GTEx | DepMap | Descartes | 0.06 | 0.58 |
INPP4B | -0.0000919 | 12155 | GTEx | DepMap | Descartes | 0.13 | 0.02 |
RAB27B | -0.0001013 | 12635 | GTEx | DepMap | Descartes | 0.03 | 0.04 |
Descartes Lyphoid markers
Top 50 marker genes of Lyphoid cells in the Decartes fetal adrenal single cell map (https://atlas.brotmanbaty.org/bbi/human-gene-expression-during-development/cell/lymphoid/in/adrenal)
Wilcoxon ranksum test P-value for gene set overrepresentation: 9.35e-01
Mean rank of genes in gene set: 10968.71
Median rank of genes in gene set: 12004
Rank on gene expression program of top 30 genes in gene set:
Genes | Weight | Rank | GTEx | DepMap | Descartes | Mean.Counts | Mean.TPM |
---|---|---|---|---|---|---|---|
PLEKHA2 | 0.0009383 | 441 | GTEx | DepMap | Descartes | 0.35 | 1.05 |
RCSD1 | 0.0008473 | 483 | GTEx | DepMap | Descartes | 0.71 | 1.95 |
STK39 | 0.0007339 | 540 | GTEx | DepMap | Descartes | 1.40 | 1.00 |
MSN | 0.0005578 | 696 | GTEx | DepMap | Descartes | 1.36 | 4.38 |
CD44 | 0.0005393 | 717 | GTEx | DepMap | Descartes | 0.30 | 0.57 |
ABLIM1 | 0.0002499 | 1328 | GTEx | DepMap | Descartes | 0.89 | 0.61 |
PDE3B | 0.0001790 | 1659 | GTEx | DepMap | Descartes | 0.30 | 0.49 |
CCND3 | 0.0001483 | 1896 | GTEx | DepMap | Descartes | 5.14 | 10.48 |
RAP1GAP2 | 0.0001066 | 2267 | GTEx | DepMap | Descartes | 0.10 | 0.08 |
MBNL1 | 0.0000316 | 3497 | GTEx | DepMap | Descartes | 1.10 | 1.10 |
B2M | 0.0000288 | 3566 | GTEx | DepMap | Descartes | 0.73 | 22.64 |
IKZF1 | 0.0000043 | 4243 | GTEx | DepMap | Descartes | 0.01 | 0.02 |
SP100 | -0.0000318 | 7719 | GTEx | DepMap | Descartes | 0.00 | 0.00 |
SORL1 | -0.0000347 | 8092 | GTEx | DepMap | Descartes | 0.22 | 0.24 |
PTPRC | -0.0000410 | 8748 | GTEx | DepMap | Descartes | 0.00 | 0.00 |
NKG7 | -0.0000467 | 9268 | GTEx | DepMap | Descartes | 0.00 | 0.00 |
LCP1 | -0.0000558 | 9991 | GTEx | DepMap | Descartes | 0.01 | 0.02 |
FAM65B | -0.0000676 | 10777 | GTEx | DepMap | Descartes | 0.10 | NA |
MCTP2 | -0.0000705 | 10955 | GTEx | DepMap | Descartes | 0.01 | 0.00 |
SCML4 | -0.0000758 | 11268 | GTEx | DepMap | Descartes | 0.00 | 0.00 |
ARHGAP15 | -0.0000803 | 11513 | GTEx | DepMap | Descartes | 0.00 | 0.00 |
DOCK10 | -0.0000984 | 12495 | GTEx | DepMap | Descartes | 0.10 | 0.06 |
NCALD | -0.0001187 | 13468 | GTEx | DepMap | Descartes | 0.13 | 0.04 |
SKAP1 | -0.0001531 | 14841 | GTEx | DepMap | Descartes | 0.00 | 0.00 |
PRKCH | -0.0001677 | 15306 | GTEx | DepMap | Descartes | 0.02 | 0.02 |
CELF2 | -0.0001682 | 15324 | GTEx | DepMap | Descartes | 2.56 | 0.40 |
WIPF1 | -0.0001718 | 15434 | GTEx | DepMap | Descartes | 0.11 | 0.12 |
ITPKB | -0.0001740 | 15506 | GTEx | DepMap | Descartes | 0.12 | 0.25 |
ANKRD44 | -0.0002010 | 16290 | GTEx | DepMap | Descartes | 0.22 | 0.13 |
BACH2 | -0.0002094 | 16489 | GTEx | DepMap | Descartes | 0.35 | 0.12 |
Below shows the ranks on this GEP for immune marker gene lists curated by CellTypist (https://www.celltypist.org/encyclopedia).
High ranks indicate this gene is a driver of this GEP.
These curated gene list are ranked by P-value (on this GEP) of their constituent genes.
The Mean Count column shows the mean read count in cells scoring highly (H > 50) on this gene expression program.
Genes | Weight | Rank | GTEx | DepMap | Decartes | Mean.Counts | Mean.TPM |
---|---|---|---|---|---|---|---|
BAG3 | 0.0004200 | 893 | GTEx | DepMap | Descartes | 0.47 | 4.97 |
DNAJA4 | 0.0003949 | 936 | GTEx | DepMap | Descartes | 0.30 | 2.55 |
RHOC | 0.0000347 | 3419 | GTEx | DepMap | Descartes | 2.45 | 74.80 |
ABI3 | -0.0000194 | 6004 | GTEx | DepMap | Descartes | 0.02 | 0.25 |
MS4A7 | -0.0000242 | 6667 | GTEx | DepMap | Descartes | 0.00 | 0.00 |
CUX2 | -0.0000564 | 10040 | GTEx | DepMap | Descartes | 0.23 | 0.16 |
T cells: Tem/Effector helper T cells PD1+ (model markers)
CD4+ helper T lymphocyte subpopulation in the thymus which features the expression of programmed cell death protein 1 (PD-1):
Wilcoxon ranksum test P-value for gene set overrepresentation: 2.20e-02
Mean rank of genes in gene set: 3177.33
Rank on gene expression program of genes in gene set:
Genes | Weight | Rank | GTEx | DepMap | Decartes | Mean.Counts | Mean.TPM |
---|---|---|---|---|---|---|---|
INPP5J | 0.0005522 | 703 | GTEx | DepMap | Descartes | 0.10 | 1.68 |
PANX2 | 0.0002780 | 1241 | GTEx | DepMap | Descartes | 0.11 | 1.37 |
SOST | -0.0000308 | 7588 | GTEx | DepMap | Descartes | 0.02 | 0.82 |
B cells: Memory B cells (model markers)
long-lived mature B lymphocytes which are formed within germinal centers following primary infection and selected for higher-affinity immunoglobulin:
Wilcoxon ranksum test P-value for gene set overrepresentation: 4.31e-02
Mean rank of genes in gene set: 5383.6
Rank on gene expression program of genes in gene set:
Genes | Weight | Rank | GTEx | DepMap | Decartes | Mean.Counts | Mean.TPM |
---|---|---|---|---|---|---|---|
MT-ND3 | 0.0010324 | 397 | GTEx | DepMap | Descartes | 41.69 | 20635.43 |
MT-ATP8 | 0.0004717 | 818 | GTEx | DepMap | Descartes | 1.51 | 1135.68 |
RPS17 | 0.0003067 | 1141 | GTEx | DepMap | Descartes | 15.34 | 1071.73 |
CD74 | -0.0000275 | 7128 | GTEx | DepMap | Descartes | 0.01 | 0.10 |
HES1 | -0.0002549 | 17434 | GTEx | DepMap | Descartes | 0.32 | 15.08 |