Program description and justification of annotation: 12.
Submit a comment on this gene expression program’s interpretation: CLICK
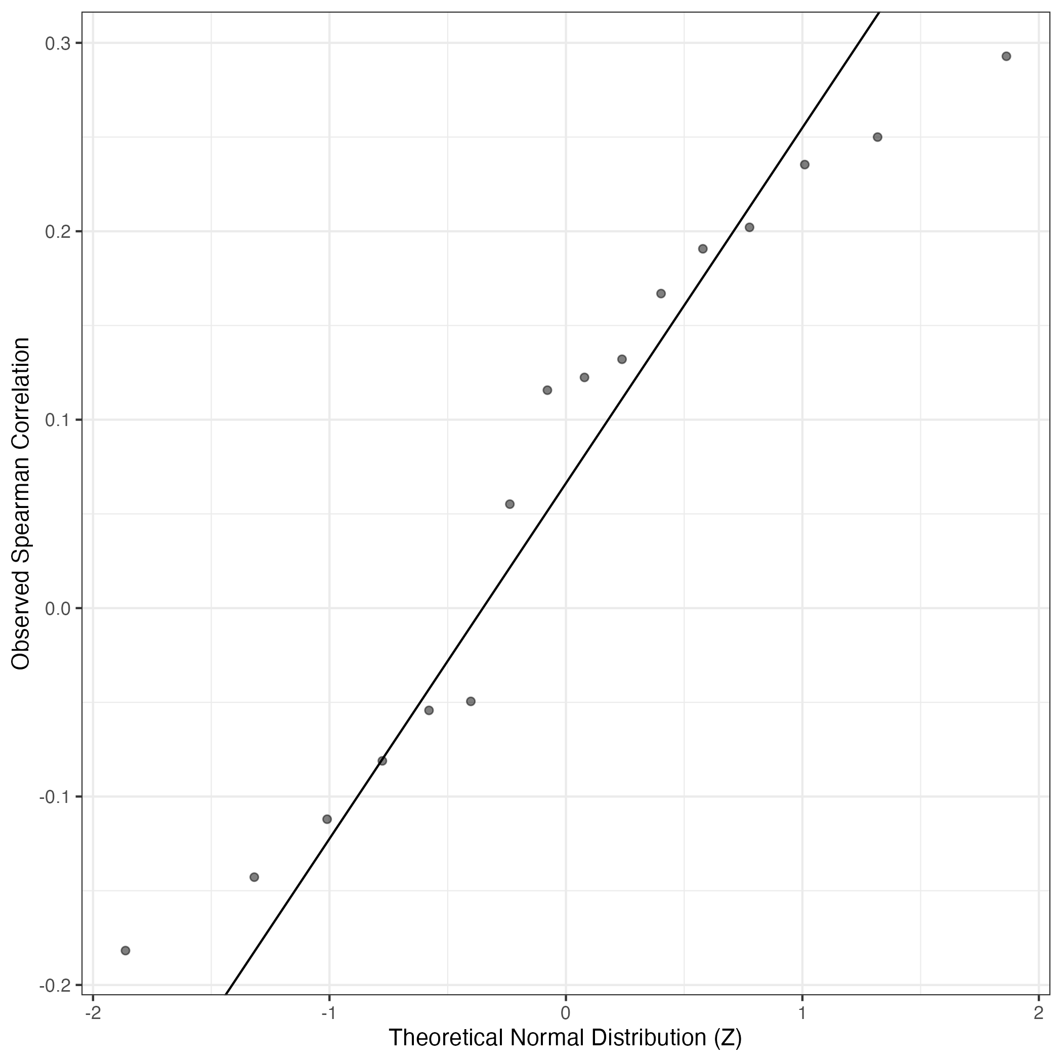
QQ-plot of gene loadings, averaged over both independent splits of the data
This plot highlights the relative contribution of each gene to the GEP
Top genes driving this program.
Note: Decartes website is buggy, try refreshing. Also, Decartes fetal adrenal data have been collected at specific time points (89-122 days), all possible cell types of interest may not be represented, do not overinterpret.
The Mean Count column shows the mean read count in cells scoring highly (H > 50) on this gene expression program.
Gene | Loading | Gene.Name | GTEx | DepMap | Descartes | Mean.Counts | Mean.Tpm | |
---|---|---|---|---|---|---|---|---|
1 | STMN2 | 0.0119454 | stathmin 2 | GTEx | DepMap | Descartes | 129.40 | 1855.02 |
2 | EEF1B2 | 0.0108217 | eukaryotic translation elongation factor 1 beta 2 | GTEx | DepMap | Descartes | 241.00 | 5827.22 |
3 | RPSA | 0.0095078 | ribosomal protein SA | GTEx | DepMap | Descartes | 261.20 | 3303.90 |
4 | RPL13 | 0.0089228 | ribosomal protein L13 | GTEx | DepMap | Descartes | 660.52 | 3577.13 |
5 | TPT1 | 0.0089073 | tumor protein, translationally-controlled 1 | GTEx | DepMap | Descartes | 273.72 | 1496.47 |
6 | SOX6 | 0.0087502 | SRY-box transcription factor 6 | GTEx | DepMap | Descartes | 2.45 | 8.32 |
7 | EEF1A1 | 0.0087102 | eukaryotic translation elongation factor 1 alpha 1 | GTEx | DepMap | Descartes | 521.12 | 3019.11 |
8 | MEG3 | 0.0078202 | maternally expressed 3 | GTEx | DepMap | Descartes | 84.80 | 197.55 |
9 | SLC18A1 | 0.0077729 | solute carrier family 18 member A1 | GTEx | DepMap | Descartes | 5.75 | 53.89 |
10 | EEF2 | 0.0073586 | eukaryotic translation elongation factor 2 | GTEx | DepMap | Descartes | 99.58 | 813.27 |
11 | CACNG4 | 0.0073039 | calcium voltage-gated channel auxiliary subunit gamma 4 | GTEx | DepMap | Descartes | 8.71 | 63.80 |
12 | TPM2 | 0.0072161 | tropomyosin 2 | GTEx | DepMap | Descartes | 17.87 | 305.84 |
13 | CCNI | 0.0071408 | cyclin I | GTEx | DepMap | Descartes | 67.80 | 628.96 |
14 | DDAH1 | 0.0064606 | dimethylarginine dimethylaminohydrolase 1 | GTEx | DepMap | Descartes | 8.24 | 56.43 |
15 | ETS1 | 0.0064179 | ETS proto-oncogene 1, transcription factor | GTEx | DepMap | Descartes | 4.26 | 22.97 |
16 | RGS5 | 0.0061700 | regulator of G protein signaling 5 | GTEx | DepMap | Descartes | 188.79 | 882.03 |
17 | CDH4 | 0.0058975 | cadherin 4 | GTEx | DepMap | Descartes | 1.76 | 6.88 |
18 | EPAS1 | 0.0058229 | endothelial PAS domain protein 1 | GTEx | DepMap | Descartes | 5.34 | 27.61 |
19 | RGS4 | 0.0057676 | regulator of G protein signaling 4 | GTEx | DepMap | Descartes | 27.52 | 204.73 |
20 | TSPAN2 | 0.0057556 | tetraspanin 2 | GTEx | DepMap | Descartes | 2.15 | 19.26 |
21 | ALCAM | 0.0057397 | activated leukocyte cell adhesion molecule | GTEx | DepMap | Descartes | 22.47 | 134.91 |
22 | PCSK1N | 0.0055747 | proprotein convertase subtilisin/kexin type 1 inhibitor | GTEx | DepMap | Descartes | 38.84 | 954.48 |
23 | PIEZO2 | 0.0055066 | piezo type mechanosensitive ion channel component 2 | GTEx | DepMap | Descartes | 1.28 | 3.72 |
24 | GNG5 | 0.0051819 | G protein subunit gamma 5 | GTEx | DepMap | Descartes | 78.90 | 2074.70 |
25 | TSHZ2 | 0.0051166 | teashirt zinc finger homeobox 2 | GTEx | DepMap | Descartes | 9.85 | 22.66 |
26 | RPL18 | 0.0049205 | ribosomal protein L18 | GTEx | DepMap | Descartes | 306.01 | 1928.12 |
27 | PROX1 | 0.0048880 | prospero homeobox 1 | GTEx | DepMap | Descartes | 13.46 | 43.55 |
28 | ELAVL4 | 0.0047679 | ELAV like RNA binding protein 4 | GTEx | DepMap | Descartes | 33.55 | 224.31 |
29 | PIWIL2 | 0.0047571 | piwi like RNA-mediated gene silencing 2 | GTEx | DepMap | Descartes | 0.88 | 4.64 |
30 | H3F3A | 0.0047028 | NA | GTEx | DepMap | Descartes | 290.66 | NA |
31 | GNAS | 0.0046860 | GNAS complex locus | GTEx | DepMap | Descartes | 167.24 | 1076.99 |
32 | SEC11A | 0.0046297 | SEC11 homolog A, signal peptidase complex subunit | GTEx | DepMap | Descartes | 43.26 | 298.29 |
33 | YBX1 | 0.0046276 | Y-box binding protein 1 | GTEx | DepMap | Descartes | 250.64 | 2166.46 |
34 | GPC5 | 0.0046161 | glypican 5 | GTEx | DepMap | Descartes | 0.70 | 7.91 |
35 | CELF5 | 0.0046072 | CUGBP Elav-like family member 5 | GTEx | DepMap | Descartes | 2.14 | 13.33 |
36 | GAP43 | 0.0045864 | growth associated protein 43 | GTEx | DepMap | Descartes | 17.99 | 237.51 |
37 | RTN1 | 0.0045586 | reticulon 1 | GTEx | DepMap | Descartes | 14.43 | 120.43 |
38 | XCL1 | 0.0045560 | X-C motif chemokine ligand 1 | GTEx | DepMap | Descartes | 0.12 | 2.53 |
39 | NES | 0.0045367 | nestin | GTEx | DepMap | Descartes | 12.98 | 60.65 |
40 | NACA | 0.0045293 | nascent polypeptide associated complex subunit alpha | GTEx | DepMap | Descartes | 235.53 | 883.74 |
41 | EFNA2 | 0.0045207 | ephrin A2 | GTEx | DepMap | Descartes | 2.42 | 25.65 |
42 | KCNQ2 | 0.0045170 | potassium voltage-gated channel subfamily Q member 2 | GTEx | DepMap | Descartes | 13.19 | 37.04 |
43 | FAM210B | 0.0044447 | family with sequence similarity 210 member B | GTEx | DepMap | Descartes | 5.85 | 53.11 |
44 | COMMD6 | 0.0044188 | COMM domain containing 6 | GTEx | DepMap | Descartes | 34.16 | 459.99 |
45 | PRRT4 | 0.0043611 | proline rich transmembrane protein 4 | GTEx | DepMap | Descartes | 6.70 | 46.72 |
46 | SOX4 | 0.0043043 | SRY-box transcription factor 4 | GTEx | DepMap | Descartes | 59.15 | 314.74 |
47 | GABARAP | 0.0042700 | GABA type A receptor-associated protein | GTEx | DepMap | Descartes | 43.55 | 759.77 |
48 | PTMA | 0.0042541 | prothymosin alpha | GTEx | DepMap | Descartes | 501.64 | 7748.47 |
49 | HES5 | 0.0042449 | hes family bHLH transcription factor 5 | GTEx | DepMap | Descartes | 0.08 | 1.33 |
50 | LSM7 | 0.0042383 | LSM7 homolog, U6 small nuclear RNA and mRNA degradation associated | GTEx | DepMap | Descartes | 72.49 | 2421.88 |
UMAP plots showing activity of gene expression program identified in community:12. NB Cell Line #12 (Mixed Adrenergic)
CNV Data procured from inferCNV.
Outer tracks are putative CNV regions (gains = red, losses = blue) for each patient
Inner track is expression data representing:
The top cells expressing this GEP (purple)
Random cells (n =50) from the reference set used in inferCNV (orange)
Gene set Enrichments for this program, caculated from top 50 genes
mSigDB Cell Types Gene Set:
P-value | OR | Lower 95% CI | FDR | FWER | Genes Found | Gene Set Size | |
---|---|---|---|---|---|---|---|
DURANTE_ADULT_OLFACTORY_NEUROEPITHELIUM_GLOBOSE_BASAL_CELLS | 2.39e-07 | 46.13 | 13.38 | 2.17e-05 | 1.61e-04 | 5STMN2, ELAVL4, RTN1, SOX4, PTMA |
35 |
HU_FETAL_RETINA_HORIZONTAL | 1.81e-05 | 30.14 | 7.49 | 4.50e-04 | 1.22e-02 | 4STMN2, PROX1, RTN1, SOX4 |
40 |
LAKE_ADULT_KIDNEY_C7_PROXIMAL_TUBULE_EPITHELIAL_CELLS_S3 | 4.93e-08 | 18.74 | 7.45 | 5.51e-06 | 3.31e-05 | 8RPSA, RPL13, TPT1, EEF1A1, EEF2, CCNI, RPL18, PTMA |
135 |
LAKE_ADULT_KIDNEY_C8_DECENDING_THIN_LIMB | 4.94e-10 | 14.83 | 6.98 | 2.18e-07 | 3.32e-07 | 12EEF1B2, RPSA, RPL13, TPT1, EEF1A1, EEF2, CCNI, RPL18, GNAS, YBX1, NACA, PTMA |
278 |
BUSSLINGER_ESOPHAGEAL_PROLIFERATING_BASAL_CELLS | 7.93e-06 | 21.34 | 6.41 | 2.80e-04 | 5.32e-03 | 5EEF1B2, EEF1A1, EEF2, YBX1, PTMA |
70 |
LAKE_ADULT_KIDNEY_C9_THIN_ASCENDING_LIMB | 4.94e-09 | 13.71 | 6.26 | 8.28e-07 | 3.31e-06 | 11RPSA, RPL13, TPT1, EEF1A1, EEF2, CCNI, RPL18, GNAS, YBX1, NACA, PTMA |
268 |
RUBENSTEIN_SKELETAL_MUSCLE_SATELLITE_CELLS | 1.67e-09 | 13.25 | 6.24 | 3.73e-07 | 1.12e-06 | 12EEF1B2, RPSA, RPL13, TPT1, EEF1A1, MEG3, EEF2, RPL18, GNAS, NACA, COMMD6, PTMA |
310 |
BUSSLINGER_GASTRIC_LYZ_POSITIVE_CELLS | 4.60e-06 | 16.22 | 5.53 | 1.93e-04 | 3.09e-03 | 6EEF1B2, RPL13, TPT1, EEF1A1, EEF2, RPL18 |
111 |
MENON_FETAL_KIDNEY_3_STROMAL_CELLS | 1.62e-05 | 18.27 | 5.51 | 4.28e-04 | 1.09e-02 | 5MEG3, TPM2, ALCAM, GNAS, SOX4 |
81 |
RUBENSTEIN_SKELETAL_MUSCLE_T_CELLS | 4.61e-07 | 13.76 | 5.50 | 3.44e-05 | 3.10e-04 | 8EEF1B2, RPSA, RPL13, TPT1, EEF1A1, ETS1, RPL18, COMMD6 |
181 |
BUSSLINGER_GASTRIC_ANTRAL_ECS | 9.99e-04 | 51.89 | 5.39 | 1.20e-02 | 6.70e-01 | 2MEG3, PCSK1N |
12 |
LAKE_ADULT_KIDNEY_C18_COLLECTING_DUCT_PRINCIPAL_CELLS_MEDULLA | 3.17e-08 | 11.34 | 5.19 | 4.25e-06 | 2.13e-05 | 11RPSA, RPL13, TPT1, EEF1A1, EEF2, CCNI, RPL18, GNAS, YBX1, NACA, PTMA |
322 |
BUSSLINGER_DUODENAL_TRANSIT_AMPLIFYING_CELLS | 7.76e-07 | 12.80 | 5.12 | 5.20e-05 | 5.20e-04 | 8EEF1B2, RPL13, EEF1A1, EEF2, DDAH1, RPL18, YBX1, PTMA |
194 |
BUSSLINGER_GASTRIC_PPP1R1B_POSITIVE_CELLS | 7.55e-06 | 14.82 | 5.06 | 2.80e-04 | 5.07e-03 | 6EEF1B2, RPL13, EEF1A1, EEF2, RPL18, PTMA |
121 |
TRAVAGLINI_LUNG_PROXIMAL_BASAL_CELL | 6.50e-10 | 9.60 | 4.92 | 2.18e-07 | 4.36e-07 | 16EEF1B2, RPSA, RPL13, TPT1, EEF1A1, EEF2, TPM2, CCNI, EPAS1, TSHZ2, RPL18, YBX1, NACA, FAM210B, COMMD6, PTMA |
629 |
LAKE_ADULT_KIDNEY_C23_ENDOTHELIAL_CELLS_AVR | 9.51e-06 | 14.20 | 4.85 | 2.90e-04 | 6.38e-03 | 6RPL13, TPT1, EEF1A1, EPAS1, RPL18, PTMA |
126 |
MENON_FETAL_KIDNEY_1_EMBRYONIC_RED_BLOOD_CELLS | 9.51e-06 | 14.20 | 4.85 | 2.90e-04 | 6.38e-03 | 6EEF1B2, RPSA, TPT1, SEC11A, YBX1, NACA |
126 |
TRAVAGLINI_LUNG_VASCULAR_SMOOTH_MUSCLE_CELL | 9.66e-05 | 19.05 | 4.82 | 1.66e-03 | 6.48e-02 | 4TPM2, RGS5, EPAS1, PTMA |
61 |
TRAVAGLINI_LUNG_NEUROENDOCRINE_CELL | 1.04e-05 | 13.97 | 4.77 | 3.04e-04 | 6.98e-03 | 6STMN2, MEG3, PCSK1N, PIEZO2, PROX1, ELAVL4 |
128 |
BUSSLINGER_DUODENAL_STEM_CELLS | 2.58e-07 | 10.38 | 4.59 | 2.17e-05 | 1.73e-04 | 10EEF1B2, RPL13, TPT1, EEF1A1, EEF2, DDAH1, RPL18, YBX1, SOX4, PTMA |
311 |
Dowload full table
mSigDB Hallmark Gene Sets:
P-value | OR | Lower 95% CI | FDR | FWER | Genes Found | Gene Set Size | |
---|---|---|---|---|---|---|---|
HALLMARK_MYC_TARGETS_V1 | 4.35e-02 | 4.05 | 0.80 | 1.00e+00 | 1.00e+00 | 3EEF1B2, RPL18, LSM7 |
200 |
HALLMARK_UNFOLDED_PROTEIN_RESPONSE | 7.33e-02 | 4.69 | 0.55 | 1.00e+00 | 1.00e+00 | 2EEF2, SEC11A |
113 |
HALLMARK_UV_RESPONSE_DN | 1.10e-01 | 3.67 | 0.43 | 1.00e+00 | 1.00e+00 | 2DDAH1, RGS4 |
144 |
HALLMARK_EPITHELIAL_MESENCHYMAL_TRANSITION | 1.85e-01 | 2.63 | 0.31 | 1.00e+00 | 1.00e+00 | 2TPM2, RGS4 |
200 |
HALLMARK_KRAS_SIGNALING_UP | 1.85e-01 | 2.63 | 0.31 | 1.00e+00 | 1.00e+00 | 2ETS1, PCSK1N |
200 |
HALLMARK_HEDGEHOG_SIGNALING | 1.34e-01 | 7.29 | 0.18 | 1.00e+00 | 1.00e+00 | 1RTN1 |
36 |
HALLMARK_PANCREAS_BETA_CELLS | 1.47e-01 | 6.54 | 0.16 | 1.00e+00 | 1.00e+00 | 1SEC11A |
40 |
HALLMARK_CHOLESTEROL_HOMEOSTASIS | 2.55e-01 | 3.49 | 0.09 | 1.00e+00 | 1.00e+00 | 1ALCAM |
74 |
HALLMARK_PROTEIN_SECRETION | 3.17e-01 | 2.68 | 0.07 | 1.00e+00 | 1.00e+00 | 1GNAS |
96 |
HALLMARK_SPERMATOGENESIS | 4.15e-01 | 1.90 | 0.05 | 1.00e+00 | 1.00e+00 | 1PCSK1N |
135 |
HALLMARK_IL2_STAT5_SIGNALING | 5.45e-01 | 1.29 | 0.03 | 1.00e+00 | 1.00e+00 | 1ALCAM |
199 |
HALLMARK_HYPOXIA | 5.47e-01 | 1.28 | 0.03 | 1.00e+00 | 1.00e+00 | 1ETS1 |
200 |
HALLMARK_MYOGENESIS | 5.47e-01 | 1.28 | 0.03 | 1.00e+00 | 1.00e+00 | 1TPM2 |
200 |
HALLMARK_INTERFERON_GAMMA_RESPONSE | 5.47e-01 | 1.28 | 0.03 | 1.00e+00 | 1.00e+00 | 1XCL1 |
200 |
HALLMARK_APICAL_JUNCTION | 5.47e-01 | 1.28 | 0.03 | 1.00e+00 | 1.00e+00 | 1CDH4 |
200 |
HALLMARK_MTORC1_SIGNALING | 5.47e-01 | 1.28 | 0.03 | 1.00e+00 | 1.00e+00 | 1SEC11A |
200 |
HALLMARK_P53_PATHWAY | 5.47e-01 | 1.28 | 0.03 | 1.00e+00 | 1.00e+00 | 1RPL18 |
200 |
HALLMARK_ALLOGRAFT_REJECTION | 5.47e-01 | 1.28 | 0.03 | 1.00e+00 | 1.00e+00 | 1ETS1 |
200 |
HALLMARK_KRAS_SIGNALING_DN | 5.47e-01 | 1.28 | 0.03 | 1.00e+00 | 1.00e+00 | 1KCNQ2 |
200 |
HALLMARK_TNFA_SIGNALING_VIA_NFKB | 1.00e+00 | 0.00 | 0.00 | 1.00e+00 | 1.00e+00 | 0 |
200 |
Dowload full table
KEGG Pathways:
P-value | OR | Lower 95% CI | FDR | FWER | Genes Found | Gene Set Size | |
---|---|---|---|---|---|---|---|
KEGG_DORSO_VENTRAL_AXIS_FORMATION | 4.05e-03 | 23.65 | 2.62 | 3.33e-01 | 7.52e-01 | 2ETS1, PIWIL2 |
24 |
KEGG_RIBOSOME | 5.05e-03 | 9.38 | 1.83 | 3.33e-01 | 9.39e-01 | 3RPSA, RPL13, RPL18 |
88 |
KEGG_DILATED_CARDIOMYOPATHY | 5.37e-03 | 9.17 | 1.79 | 3.33e-01 | 1.00e+00 | 3CACNG4, TPM2, GNAS |
90 |
KEGG_RENAL_CELL_CARCINOMA | 3.13e-02 | 7.66 | 0.88 | 1.00e+00 | 1.00e+00 | 2ETS1, EPAS1 |
70 |
KEGG_CARDIAC_MUSCLE_CONTRACTION | 3.90e-02 | 6.76 | 0.78 | 1.00e+00 | 1.00e+00 | 2CACNG4, TPM2 |
79 |
KEGG_HYPERTROPHIC_CARDIOMYOPATHY_HCM | 4.26e-02 | 6.43 | 0.74 | 1.00e+00 | 1.00e+00 | 2CACNG4, TPM2 |
83 |
KEGG_CELL_ADHESION_MOLECULES_CAMS | 9.66e-02 | 3.98 | 0.46 | 1.00e+00 | 1.00e+00 | 2CDH4, ALCAM |
133 |
KEGG_CHEMOKINE_SIGNALING_PATHWAY | 1.70e-01 | 2.79 | 0.33 | 1.00e+00 | 1.00e+00 | 2GNG5, XCL1 |
189 |
KEGG_PROTEIN_EXPORT | 9.13e-02 | 11.08 | 0.26 | 1.00e+00 | 1.00e+00 | 1SEC11A |
24 |
KEGG_PATHWAYS_IN_CANCER | 3.61e-01 | 1.61 | 0.19 | 1.00e+00 | 1.00e+00 | 2ETS1, EPAS1 |
325 |
KEGG_REGULATION_OF_AUTOPHAGY | 1.30e-01 | 7.50 | 0.18 | 1.00e+00 | 1.00e+00 | 1GABARAP |
35 |
KEGG_VASOPRESSIN_REGULATED_WATER_REABSORPTION | 1.61e-01 | 5.93 | 0.14 | 1.00e+00 | 1.00e+00 | 1GNAS |
44 |
KEGG_NOTCH_SIGNALING_PATHWAY | 1.71e-01 | 5.54 | 0.13 | 1.00e+00 | 1.00e+00 | 1HES5 |
47 |
KEGG_TASTE_TRANSDUCTION | 1.87e-01 | 5.00 | 0.12 | 1.00e+00 | 1.00e+00 | 1GNAS |
52 |
KEGG_VIBRIO_CHOLERAE_INFECTION | 1.94e-01 | 4.81 | 0.12 | 1.00e+00 | 1.00e+00 | 1GNAS |
54 |
KEGG_RNA_DEGRADATION | 2.09e-01 | 4.40 | 0.11 | 1.00e+00 | 1.00e+00 | 1LSM7 |
59 |
KEGG_LONG_TERM_DEPRESSION | 2.43e-01 | 3.70 | 0.09 | 1.00e+00 | 1.00e+00 | 1GNAS |
70 |
KEGG_ARRHYTHMOGENIC_RIGHT_VENTRICULAR_CARDIOMYOPATHY_ARVC | 2.55e-01 | 3.49 | 0.09 | 1.00e+00 | 1.00e+00 | 1CACNG4 |
74 |
KEGG_GAP_JUNCTION | 3.01e-01 | 2.87 | 0.07 | 1.00e+00 | 1.00e+00 | 1GNAS |
90 |
KEGG_GNRH_SIGNALING_PATHWAY | 3.31e-01 | 2.55 | 0.06 | 1.00e+00 | 1.00e+00 | 1GNAS |
101 |
Dowload full table
CHR Positional Gene Sets:
P-value | OR | Lower 95% CI | FDR | FWER | Genes Found | Gene Set Size | |
---|---|---|---|---|---|---|---|
chr20q13 | 1.86e-02 | 3.52 | 1.08 | 1.00e+00 | 1.00e+00 | 5CDH4, TSHZ2, GNAS, KCNQ2, FAM210B |
400 |
chr1q23 | 5.30e-02 | 3.73 | 0.74 | 1.00e+00 | 1.00e+00 | 3RGS5, RGS4, NES |
217 |
chr8p21 | 9.06e-02 | 4.13 | 0.48 | 1.00e+00 | 1.00e+00 | 2SLC18A1, PIWIL2 |
128 |
chr1p22 | 9.18e-02 | 4.10 | 0.48 | 1.00e+00 | 1.00e+00 | 2DDAH1, GNG5 |
129 |
chr19p13 | 5.35e-01 | 1.41 | 0.37 | 1.00e+00 | 1.00e+00 | 4EEF2, CELF5, EFNA2, LSM7 |
773 |
chr3q13 | 1.67e-01 | 2.82 | 0.33 | 1.00e+00 | 1.00e+00 | 2ALCAM, GAP43 |
187 |
chr6q13 | 2.00e-01 | 4.64 | 0.11 | 1.00e+00 | 1.00e+00 | 1EEF1A1 |
56 |
chr1p33 | 2.13e-01 | 4.32 | 0.11 | 1.00e+00 | 1.00e+00 | 1ELAVL4 |
60 |
chr13q22 | 2.16e-01 | 4.25 | 0.10 | 1.00e+00 | 1.00e+00 | 1COMMD6 |
61 |
chr2p21 | 2.73e-01 | 3.23 | 0.08 | 1.00e+00 | 1.00e+00 | 1EPAS1 |
80 |
chr7q32 | 3.01e-01 | 2.87 | 0.07 | 1.00e+00 | 1.00e+00 | 1PRRT4 |
90 |
chr17q24 | 3.12e-01 | 2.74 | 0.07 | 1.00e+00 | 1.00e+00 | 1CACNG4 |
94 |
chr13q31 | 3.20e-01 | 2.66 | 0.07 | 1.00e+00 | 1.00e+00 | 1GPC5 |
97 |
chr1q24 | 3.87e-01 | 2.09 | 0.05 | 1.00e+00 | 1.00e+00 | 1XCL1 |
123 |
chr14q23 | 3.89e-01 | 2.07 | 0.05 | 1.00e+00 | 1.00e+00 | 1RTN1 |
124 |
chr16q24 | 4.03e-01 | 1.98 | 0.05 | 1.00e+00 | 1.00e+00 | 1RPL13 |
130 |
chr15q25 | 4.53e-01 | 1.69 | 0.04 | 1.00e+00 | 1.00e+00 | 1SEC11A |
152 |
chr3p22 | 4.80e-01 | 1.56 | 0.04 | 1.00e+00 | 1.00e+00 | 1RPSA |
165 |
chr9p13 | 4.90e-01 | 1.51 | 0.04 | 1.00e+00 | 1.00e+00 | 1TPM2 |
170 |
chr8q21 | 5.06e-01 | 1.44 | 0.04 | 1.00e+00 | 1.00e+00 | 1STMN2 |
178 |
Dowload full table
Transcription Factor Targets:
P-value | OR | Lower 95% CI | FDR | FWER | Genes Found | Gene Set Size | |
---|---|---|---|---|---|---|---|
MEIS1AHOXA9_01 | 1.30e-03 | 9.29 | 2.39 | 8.22e-01 | 1.00e+00 | 4TPM2, TSHZ2, ELAVL4, SOX4 |
121 |
PR_01 | 2.76e-03 | 7.50 | 1.93 | 8.22e-01 | 1.00e+00 | 4ETS1, PIEZO2, PROX1, ELAVL4 |
149 |
YY1_Q6 | 2.88e-03 | 5.65 | 1.73 | 8.22e-01 | 1.00e+00 | 5EEF1A1, ELAVL4, YBX1, NACA, PTMA |
251 |
GFI1_01 | 3.61e-03 | 5.34 | 1.64 | 8.22e-01 | 1.00e+00 | 5ETS1, TSHZ2, ELAVL4, SOX4, GABARAP |
265 |
PAX8_B | 8.42e-03 | 7.74 | 1.52 | 9.71e-01 | 1.00e+00 | 3TSPAN2, ALCAM, TSHZ2 |
106 |
PSMB5_TARGET_GENES | 6.61e-03 | 4.60 | 1.41 | 9.71e-01 | 1.00e+00 | 5RPSA, EEF1A1, EEF2, TPM2, PTMA |
307 |
GR_01 | 8.11e-03 | 5.46 | 1.41 | 9.71e-01 | 1.00e+00 | 4EEF1B2, ETS1, PROX1, ELAVL4 |
203 |
ADA2_TARGET_GENES | 3.69e-03 | 3.28 | 1.40 | 8.22e-01 | 1.00e+00 | 9RPL13, EEF1A1, EEF2, RGS5, RPL18, PROX1, SEC11A, CELF5, GAP43 |
846 |
CTTTGA_LEF1_Q2 | 4.35e-03 | 2.85 | 1.32 | 8.22e-01 | 1.00e+00 | 11SOX6, ETS1, TSPAN2, ALCAM, TSHZ2, PROX1, ELAVL4, GPC5, RTN1, GABARAP, PTMA |
1247 |
CRGAARNNNNCGA_UNKNOWN | 1.55e-02 | 11.31 | 1.29 | 9.71e-01 | 1.00e+00 | 2EEF1B2, TPT1 |
48 |
LEF1_Q2 | 1.25e-02 | 4.79 | 1.24 | 9.71e-01 | 1.00e+00 | 4SOX6, TSPAN2, PROX1, ELAVL4 |
231 |
SOX9_B1 | 1.38e-02 | 4.65 | 1.20 | 9.71e-01 | 1.00e+00 | 4TSPAN2, ELAVL4, SOX4, PTMA |
238 |
POU1F1_Q6 | 1.42e-02 | 4.61 | 1.19 | 9.71e-01 | 1.00e+00 | 4STMN2, ELAVL4, GAP43, SOX4 |
240 |
PR_02 | 1.61e-02 | 6.04 | 1.19 | 9.71e-01 | 1.00e+00 | 3EEF1B2, ETS1, PROX1 |
135 |
TCF4_Q5 | 1.50e-02 | 4.53 | 1.17 | 9.71e-01 | 1.00e+00 | 4SOX6, TSPAN2, TSHZ2, PROX1 |
244 |
USF_Q6_01 | 1.50e-02 | 4.53 | 1.17 | 9.71e-01 | 1.00e+00 | 4EEF1B2, GNAS, YBX1, PTMA |
244 |
HOXC11_TARGET_GENES | 1.94e-02 | 10.01 | 1.15 | 9.71e-01 | 1.00e+00 | 2EEF1A1, ELAVL4 |
54 |
GTF2A2_TARGET_GENES | 1.41e-02 | 3.30 | 1.15 | 9.71e-01 | 1.00e+00 | 6RPSA, RPL13, EEF1A1, EEF2, CCNI, RPL18 |
522 |
PBX1_01 | 1.84e-02 | 4.25 | 1.10 | 9.71e-01 | 1.00e+00 | 4SOX6, TSHZ2, XCL1, GABARAP |
260 |
CREB_02 | 1.84e-02 | 4.25 | 1.10 | 9.71e-01 | 1.00e+00 | 4TPT1, EEF2, CCNI, TSHZ2 |
260 |
Dowload full table
GO Biological Processes:
P-value | OR | Lower 95% CI | FDR | FWER | Genes Found | Gene Set Size | |
---|---|---|---|---|---|---|---|
GOBP_REGULATION_OF_FOREBRAIN_NEURON_DIFFERENTIATION | 1.54e-04 | 172.68 | 14.09 | 5.77e-01 | 1.00e+00 | 2PROX1, HES5 |
5 |
GOBP_PRO_B_CELL_DIFFERENTIATION | 9.99e-04 | 51.89 | 5.39 | 1.00e+00 | 1.00e+00 | 2SOX4, HES5 |
12 |
GOBP_NEURONAL_STEM_CELL_POPULATION_MAINTENANCE | 2.54e-03 | 30.58 | 3.34 | 1.00e+00 | 1.00e+00 | 2PROX1, HES5 |
19 |
GOBP_POSITIVE_REGULATION_OF_PROTEIN_DEPOLYMERIZATION | 2.54e-03 | 30.58 | 3.34 | 1.00e+00 | 1.00e+00 | 2STMN2, NES |
19 |
GOBP_LYMPHOID_PROGENITOR_CELL_DIFFERENTIATION | 3.10e-03 | 27.37 | 3.01 | 1.00e+00 | 1.00e+00 | 2SOX4, HES5 |
21 |
GOBP_ASTROCYTE_DIFFERENTIATION | 2.88e-03 | 11.56 | 2.25 | 1.00e+00 | 1.00e+00 | 3SOX6, TSPAN2, HES5 |
72 |
GOBP_CARDIAC_ATRIUM_MORPHOGENESIS | 5.87e-03 | 19.27 | 2.16 | 1.00e+00 | 1.00e+00 | 2PROX1, SOX4 |
29 |
GOBP_GLIOGENESIS | 7.67e-04 | 6.15 | 2.13 | 1.00e+00 | 1.00e+00 | 6SOX6, EEF2, TSPAN2, GAP43, SOX4, HES5 |
283 |
GOBP_PEPTIDE_METABOLIC_PROCESS | 8.76e-05 | 4.43 | 2.10 | 5.77e-01 | 6.55e-01 | 12EEF1B2, RPSA, RPL13, EEF1A1, EEF2, PCSK1N, RPL18, PIWIL2, SEC11A, YBX1, RTN1, SOX4 |
903 |
GOBP_GLIAL_CELL_DIFFERENTIATION | 1.34e-03 | 6.77 | 2.08 | 1.00e+00 | 1.00e+00 | 5SOX6, TSPAN2, GAP43, SOX4, HES5 |
210 |
GOBP_POSITIVE_REGULATION_OF_ERYTHROCYTE_DIFFERENTIATION | 7.12e-03 | 17.34 | 1.95 | 1.00e+00 | 1.00e+00 | 2ETS1, FAM210B |
32 |
GOBP_MAINTENANCE_OF_CELL_NUMBER | 2.69e-03 | 7.55 | 1.95 | 1.00e+00 | 1.00e+00 | 4PROX1, PIWIL2, SOX4, HES5 |
148 |
GOBP_EMBRYONIC_CAMERA_TYPE_EYE_DEVELOPMENT | 7.55e-03 | 16.78 | 1.89 | 1.00e+00 | 1.00e+00 | 2PROX1, NES |
33 |
GOBP_AORTA_MORPHOGENESIS | 7.55e-03 | 16.78 | 1.89 | 1.00e+00 | 1.00e+00 | 2PROX1, SOX4 |
33 |
GOBP_POSITIVE_REGULATION_OF_PEPTIDYL_LYSINE_ACETYLATION | 8.00e-03 | 16.26 | 1.84 | 1.00e+00 | 1.00e+00 | 2PIWIL2, SOX4 |
34 |
GOBP_CARDIAC_ATRIUM_DEVELOPMENT | 8.47e-03 | 15.77 | 1.78 | 1.00e+00 | 1.00e+00 | 2PROX1, SOX4 |
35 |
GOBP_POSITIVE_REGULATION_OF_PROTEIN_CONTAINING_COMPLEX_DISASSEMBLY | 8.47e-03 | 15.77 | 1.78 | 1.00e+00 | 1.00e+00 | 2STMN2, NES |
35 |
GOBP_CELL_FATE_COMMITMENT | 2.88e-03 | 5.65 | 1.73 | 1.00e+00 | 1.00e+00 | 5SOX6, EPAS1, PROX1, GAP43, HES5 |
251 |
GOBP_OLIGODENDROCYTE_DIFFERENTIATION | 5.88e-03 | 8.86 | 1.73 | 1.00e+00 | 1.00e+00 | 3SOX6, TSPAN2, HES5 |
93 |
GOBP_REGULATION_OF_STRIATED_MUSCLE_CELL_DIFFERENTIATION | 5.88e-03 | 8.86 | 1.73 | 1.00e+00 | 1.00e+00 | 3SOX6, RGS4, PROX1 |
93 |
Dowload full table
Immunological Gene Sets:
P-value | OR | Lower 95% CI | FDR | FWER | Genes Found | Gene Set Size | |
---|---|---|---|---|---|---|---|
GSE34205_HEALTHY_VS_FLU_INF_INFANT_PBMC_UP | 9.03e-07 | 12.53 | 5.01 | 4.40e-03 | 4.40e-03 | 8EEF1B2, RPL13, TPT1, EEF2, RPL18, RTN1, NACA, COMMD6 |
198 |
GSE2405_0H_VS_9H_A_PHAGOCYTOPHILUM_STIM_NEUTROPHIL_DN | 1.19e-05 | 10.54 | 3.95 | 2.89e-02 | 5.79e-02 | 7EEF1B2, RPSA, RPL13, TPT1, ETS1, RPL18, YBX1 |
200 |
GSE3720_LPS_VS_PMA_STIM_VD1_GAMMADELTA_TCELL_DN | 5.43e-05 | 10.27 | 3.53 | 7.28e-02 | 2.65e-01 | 6EEF1B2, RPSA, EEF1A1, CCNI, RPL18, XCL1 |
172 |
GSE3720_UNSTIM_VS_PMA_STIM_VD2_GAMMADELTA_TCELL_UP | 5.98e-05 | 10.09 | 3.46 | 7.28e-02 | 2.91e-01 | 6EEF1B2, RPSA, EEF1A1, RPL18, XCL1, NACA |
175 |
GSE2405_0H_VS_24H_A_PHAGOCYTOPHILUM_STIM_NEUTROPHIL_UP | 1.24e-04 | 8.78 | 3.02 | 8.61e-02 | 6.03e-01 | 6EEF1B2, RPSA, RPL13, TPT1, RPL18, YBX1 |
200 |
GSE21927_SPLEEN_C57BL6_VS_4T1_TUMOR_BALBC_MONOCYTES_UP | 1.24e-04 | 8.78 | 3.02 | 8.61e-02 | 6.03e-01 | 6EEF1B2, RPL13, TPT1, EEF2, RPL18, NACA |
200 |
GSE41978_ID2_KO_VS_ID2_KO_AND_BIM_KO_KLRG1_LOW_EFFECTOR_CD8_TCELL_DN | 1.24e-04 | 8.78 | 3.02 | 8.61e-02 | 6.03e-01 | 6RPSA, RPL13, TPT1, EEF2, RPL18, YBX1 |
200 |
GSE3565_CTRL_VS_LPS_INJECTED_SPLENOCYTES_DN | 5.97e-04 | 8.17 | 2.50 | 3.63e-01 | 1.00e+00 | 5EEF1B2, RPL13, EEF2, RPL18, GNAS |
175 |
GSE14000_TRANSLATED_RNA_VS_MRNA_DC_DN | 9.44e-04 | 7.35 | 2.25 | 5.11e-01 | 1.00e+00 | 5EEF1B2, RPSA, GNG5, RPL18, YBX1 |
194 |
GSE1460_CORD_VS_ADULT_BLOOD_NAIVE_CD4_TCELL_DN | 1.06e-03 | 7.16 | 2.19 | 5.15e-01 | 1.00e+00 | 5EEF1B2, TPT1, EEF1A1, SEC11A, GABARAP |
199 |
GSE37532_TREG_VS_TCONV_CD4_TCELL_FROM_VISCERAL_ADIPOSE_TISSUE_UP | 1.99e-03 | 8.23 | 2.12 | 8.80e-01 | 1.00e+00 | 4RGS5, GAP43, XCL1, NES |
136 |
GSE6269_FLU_VS_E_COLI_INF_PBMC_DN | 3.88e-03 | 6.79 | 1.75 | 1.00e+00 | 1.00e+00 | 4EEF1B2, RPL13, EEF2, CCNI |
164 |
GSE3565_DUSP1_VS_WT_SPLENOCYTES_POST_LPS_INJECTION_UP | 3.88e-03 | 6.79 | 1.75 | 1.00e+00 | 1.00e+00 | 4EEF1B2, RPL13, RPL18, XCL1 |
164 |
GSE3565_DUSP1_VS_WT_SPLENOCYTES_DN | 5.26e-03 | 6.21 | 1.61 | 1.00e+00 | 1.00e+00 | 4EEF1B2, EEF2, RPL18, GNAS |
179 |
GSE34205_HEALTHY_VS_RSV_INF_INFANT_PBMC_UP | 6.95e-03 | 5.72 | 1.48 | 1.00e+00 | 1.00e+00 | 4RPL18, RTN1, NACA, COMMD6 |
194 |
GSE29618_MONOCYTE_VS_PDC_DN | 7.32e-03 | 5.63 | 1.46 | 1.00e+00 | 1.00e+00 | 4RPSA, TPM2, ETS1, SOX4 |
197 |
GSE42021_CD24INT_VS_CD24LOW_TREG_THYMUS_UP | 7.32e-03 | 5.63 | 1.46 | 1.00e+00 | 1.00e+00 | 4EEF2, ALCAM, RPL18, GPC5 |
197 |
GSE15324_ELF4_KO_VS_WT_NAIVE_CD8_TCELL_DN | 7.45e-03 | 5.60 | 1.45 | 1.00e+00 | 1.00e+00 | 4DDAH1, ALCAM, FAM210B, SOX4 |
198 |
GSE22886_TH1_VS_TH2_48H_ACT_UP | 7.45e-03 | 5.60 | 1.45 | 1.00e+00 | 1.00e+00 | 4EEF2, DDAH1, PROX1, RTN1 |
198 |
GSE41176_WT_VS_TAK1_KO_UNSTIM_BCELL_UP | 7.45e-03 | 5.60 | 1.45 | 1.00e+00 | 1.00e+00 | 4RPL13, ALCAM, EFNA2, KCNQ2 |
198 |
Top Ranked Transcription Factors for this Gene Expression Program:
Gene Symbol | TF Rank | DNA Binding Domain | Motif Status | IUPAC PWM | GTEx | DepMap | Decartes |
---|---|---|---|---|---|---|---|
SOX6 | 6 | Yes | Known motif | Monomer or homomultimer | High-throughput in vitro | None | None |
ETS1 | 15 | Yes | Known motif | Monomer or homomultimer | High-throughput in vitro | None | None |
EPAS1 | 18 | Yes | Known motif | Monomer or homomultimer | In vivo/Misc source | Only known motifs are from Transfac or HocoMoco - origin is uncertain | None |
TSHZ2 | 25 | Yes | Likely to be sequence specific TF | Monomer or homomultimer | No motif | None | Also contains an atypical homodomain (Uniprot) not identified by Pfam. |
PROX1 | 27 | Yes | Known motif | Monomer or homomultimer | High-throughput in vitro | None | None |
YBX1 | 33 | Yes | Known motif | Monomer or homomultimer | High-throughput in vitro | None | Might also bind RNA |
XCL1 | 38 | No | Unlikely to be sequence specific TF | Not a DNA binding protein | No motif | None | Protein is a secreted chemokine |
COMMD6 | 44 | No | Unlikely to be sequence specific TF | Not a DNA binding protein | No motif | None | None |
SOX4 | 46 | Yes | Known motif | Monomer or homomultimer | High-throughput in vitro | None | Also binds ssDNA loops. |
HES5 | 49 | Yes | Known motif | Monomer or homomultimer | High-throughput in vitro | None | None |
PCBP2 | 60 | No | ssDNA/RNA binding | Not a DNA binding protein | No motif | None | Protein is an RBP. Structure (PDB:2PQU) is with single stranded DNA |
HIVEP3 | 72 | Yes | Inferred motif | Monomer or homomultimer | In vivo/Misc source | Has a putative AT-hook | Binds to NFKB-like consensus sequence to repress transcription (PMID: 21189157). PWMs for HIVEP1 and 2 in Transfac and Hocomoco are also NFKB-like. |
HEYL | 73 | Yes | Inferred motif | Monomer or homomultimer | High-throughput in vitro | None | None |
HNRNPA1 | 74 | No | ssDNA/RNA binding | Not a DNA binding protein | No motif | None | Binds single stranded DNA in the structure (PDB: 1PGZ) |
H1F0 | 86 | No | Unlikely to be sequence specific TF | Low specificity DNA-binding protein | No motif | None | Histone. Likely a false-positive Pfam match based on the similarity of Forkhead domains to H1 domains |
GAS6 | 90 | No | Unlikely to be sequence specific TF | Not a DNA binding protein | No motif | None | None |
TFAP2B | 92 | Yes | Known motif | Monomer or homomultimer | High-throughput in vitro | None | None |
TLE1 | 106 | No | Unlikely to be sequence specific TF | Not a DNA binding protein | No motif | None | Transcriptional co-factor |
GATA3 | 107 | Yes | Known motif | Monomer or homomultimer | High-throughput in vitro | None | None |
MEIS2 | 113 | Yes | Known motif | Monomer or homomultimer | High-throughput in vitro | None | None |
QQ Plot showing correlations with other Gene Expression Programs in this dataset, calculated by Spearman correlation:
Interactive QQ-plot of gene loadings:
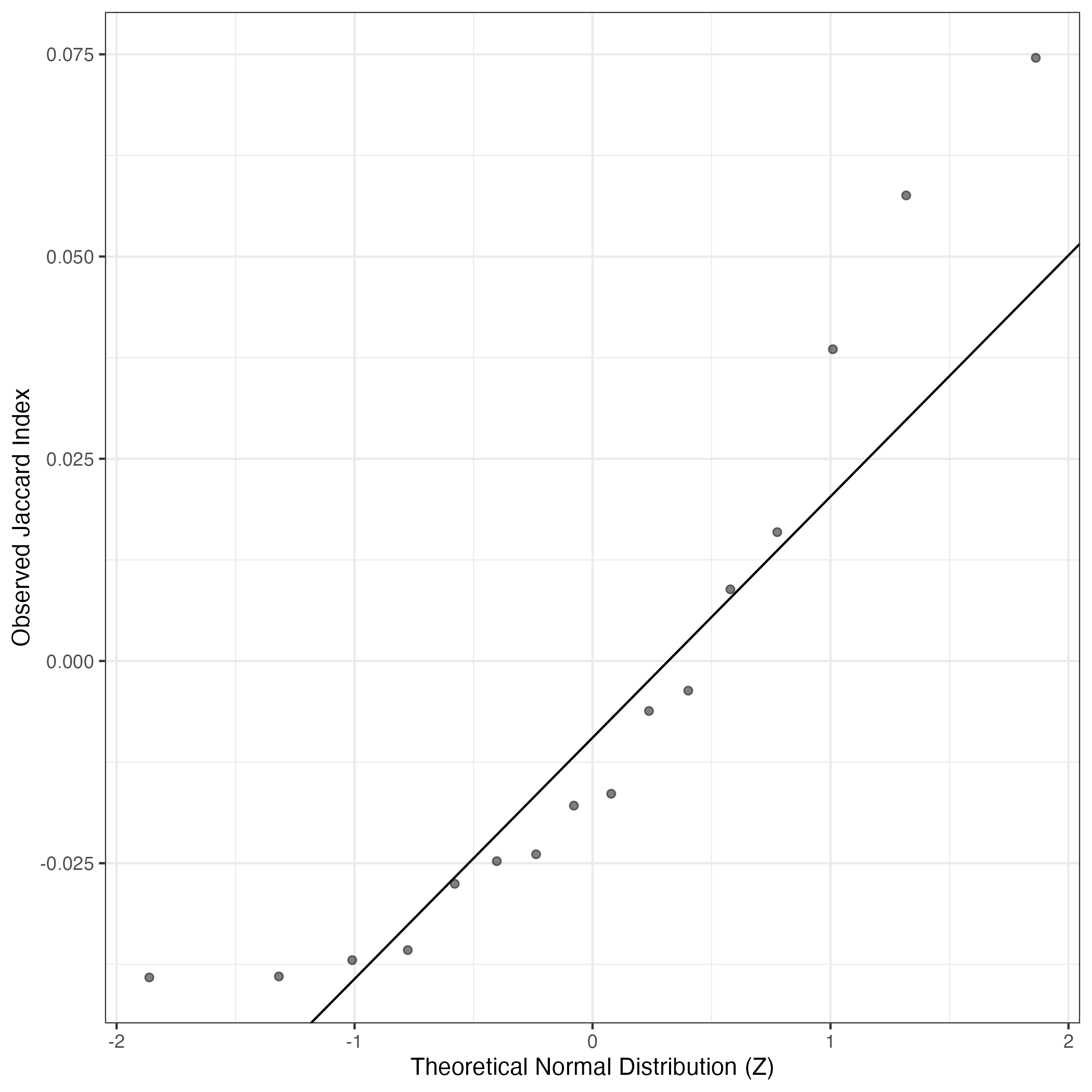
A similar QQ-plot as above, but only for instances where the H value is e.g. > 25, i.e. we are confident that the expression program is active above noise. Agreemenet between these binary vectors is tested using the Jaccard Index, with the P-values calculated by an exact test:
Interactive QQ-plot:
Singler cell type annotations for the top 50 cells on this program.
Cell ID | Singler label | Singler Delta | Activity Score | Top Singler Raw Scores |
---|---|---|---|---|
MHHNB11_CATAAGCGTGTTCCTC-1 | Neurons | 0.36 | 1109.64 | Raw ScoresNeurons:adrenal_medulla_cell_line: 0.75, Neuroepithelial_cell:ESC-derived: 0.62, iPS_cells:PDB_1lox-21Puro-20: 0.6, iPS_cells:PDB_1lox-21Puro-26: 0.6, iPS_cells:PDB_1lox-17Puro-10: 0.59, iPS_cells:PDB_2lox-22: 0.59, iPS_cells:PDB_1lox-17Puro-5: 0.59, iPS_cells:PDB_2lox-21: 0.59, iPS_cells:PDB_2lox-17: 0.59, Astrocyte:Embryonic_stem_cell-derived: 0.58 |
MHHNB11_GGGATGACACCGTGCA-1 | Neurons | 0.35 | 690.90 | Raw ScoresNeurons:adrenal_medulla_cell_line: 0.73, Neuroepithelial_cell:ESC-derived: 0.6, iPS_cells:PDB_1lox-21Puro-20: 0.58, iPS_cells:PDB_1lox-21Puro-26: 0.58, iPS_cells:PDB_1lox-17Puro-10: 0.57, iPS_cells:PDB_2lox-22: 0.57, iPS_cells:PDB_1lox-17Puro-5: 0.57, Astrocyte:Embryonic_stem_cell-derived: 0.57, iPS_cells:PDB_2lox-21: 0.56, iPS_cells:PDB_2lox-17: 0.56 |
MHHNB11_GGTAATCAGCTCCGAC-1 | Neurons | 0.28 | 617.10 | Raw ScoresNeurons:adrenal_medulla_cell_line: 0.67, Neuroepithelial_cell:ESC-derived: 0.56, iPS_cells:PDB_2lox-22: 0.54, iPS_cells:PDB_1lox-21Puro-20: 0.54, iPS_cells:adipose_stem_cell-derived:minicircle-derived: 0.54, iPS_cells:PDB_1lox-17Puro-10: 0.54, iPS_cells:fibroblast-derived:Retroviral_transf: 0.54, iPS_cells:PDB_1lox-21Puro-26: 0.54, iPS_cells:PDB_1lox-17Puro-5: 0.53, iPS_cells:PDB_2lox-21: 0.53 |
MHHNB11_CAACAACTCCTCTAAT-1 | Neurons | 0.35 | 608.29 | Raw ScoresNeurons:adrenal_medulla_cell_line: 0.73, Neuroepithelial_cell:ESC-derived: 0.61, iPS_cells:PDB_1lox-21Puro-20: 0.58, iPS_cells:PDB_1lox-21Puro-26: 0.58, iPS_cells:PDB_1lox-17Puro-10: 0.58, iPS_cells:PDB_2lox-22: 0.57, iPS_cells:PDB_1lox-17Puro-5: 0.57, Astrocyte:Embryonic_stem_cell-derived: 0.57, iPS_cells:PDB_2lox-21: 0.57, iPS_cells:PDB_2lox-17: 0.57 |
MHHNB11_CACTGGGGTATCACCA-1 | Neurons | 0.36 | 606.17 | Raw ScoresNeurons:adrenal_medulla_cell_line: 0.74, Neuroepithelial_cell:ESC-derived: 0.61, iPS_cells:PDB_1lox-21Puro-20: 0.59, iPS_cells:PDB_1lox-21Puro-26: 0.59, iPS_cells:PDB_1lox-17Puro-10: 0.59, iPS_cells:PDB_2lox-22: 0.58, iPS_cells:PDB_1lox-17Puro-5: 0.58, iPS_cells:PDB_2lox-21: 0.58, iPS_cells:PDB_2lox-17: 0.57, Embryonic_stem_cells: 0.57 |
MHHNB11_TCACTATAGATTGCGG-1 | Neurons | 0.35 | 587.06 | Raw ScoresNeurons:adrenal_medulla_cell_line: 0.73, Neuroepithelial_cell:ESC-derived: 0.61, iPS_cells:PDB_1lox-21Puro-20: 0.58, iPS_cells:PDB_1lox-21Puro-26: 0.58, iPS_cells:PDB_2lox-22: 0.58, iPS_cells:PDB_1lox-17Puro-10: 0.58, iPS_cells:PDB_1lox-17Puro-5: 0.57, iPS_cells:PDB_2lox-21: 0.57, iPS_cells:PDB_2lox-17: 0.57, Astrocyte:Embryonic_stem_cell-derived: 0.57 |
MHHNB11_TTGGTTTAGAAACCCG-1 | Neurons | 0.36 | 520.81 | Raw ScoresNeurons:adrenal_medulla_cell_line: 0.72, Neuroepithelial_cell:ESC-derived: 0.59, iPS_cells:PDB_1lox-21Puro-20: 0.57, iPS_cells:PDB_1lox-21Puro-26: 0.57, iPS_cells:PDB_1lox-17Puro-10: 0.57, iPS_cells:PDB_2lox-22: 0.56, Astrocyte:Embryonic_stem_cell-derived: 0.56, iPS_cells:PDB_1lox-17Puro-5: 0.56, iPS_cells:PDB_2lox-21: 0.56, iPS_cells:PDB_2lox-17: 0.55 |
MHHNB11_TCGAACATCCATTTCA-1 | Neurons | 0.34 | 371.75 | Raw ScoresNeurons:adrenal_medulla_cell_line: 0.7, Neuroepithelial_cell:ESC-derived: 0.57, iPS_cells:PDB_1lox-21Puro-20: 0.55, iPS_cells:PDB_1lox-21Puro-26: 0.55, iPS_cells:PDB_1lox-17Puro-10: 0.55, iPS_cells:PDB_2lox-22: 0.55, iPS_cells:PDB_1lox-17Puro-5: 0.54, iPS_cells:PDB_2lox-21: 0.54, iPS_cells:PDB_2lox-17: 0.54, iPS_cells:PDB_2lox-5: 0.53 |
MHHNB11_GCCAGCACATAACGGG-1 | Neurons | 0.35 | 371.05 | Raw ScoresNeurons:adrenal_medulla_cell_line: 0.71, Neuroepithelial_cell:ESC-derived: 0.58, iPS_cells:PDB_1lox-21Puro-20: 0.57, iPS_cells:PDB_1lox-21Puro-26: 0.56, iPS_cells:PDB_1lox-17Puro-10: 0.56, iPS_cells:PDB_2lox-22: 0.56, iPS_cells:PDB_1lox-17Puro-5: 0.56, iPS_cells:PDB_2lox-21: 0.55, iPS_cells:PDB_2lox-17: 0.55, Embryonic_stem_cells: 0.55 |
MHHNB11_CACGTGGAGGTGCCTC-1 | Neurons | 0.34 | 368.91 | Raw ScoresNeurons:adrenal_medulla_cell_line: 0.69, Neuroepithelial_cell:ESC-derived: 0.58, iPS_cells:PDB_1lox-21Puro-20: 0.55, iPS_cells:PDB_1lox-21Puro-26: 0.55, iPS_cells:PDB_1lox-17Puro-10: 0.55, iPS_cells:PDB_2lox-22: 0.55, iPS_cells:PDB_1lox-17Puro-5: 0.54, iPS_cells:PDB_2lox-21: 0.54, iPS_cells:PDB_2lox-17: 0.54, Neurons:ES_cell-derived_neural_precursor: 0.53 |
MHHNB11_TAGGTACCAGCATCTA-1 | Neurons | 0.35 | 363.11 | Raw ScoresNeurons:adrenal_medulla_cell_line: 0.7, Neuroepithelial_cell:ESC-derived: 0.57, iPS_cells:PDB_1lox-21Puro-20: 0.55, iPS_cells:PDB_1lox-21Puro-26: 0.54, iPS_cells:PDB_1lox-17Puro-10: 0.54, iPS_cells:PDB_2lox-22: 0.54, Astrocyte:Embryonic_stem_cell-derived: 0.54, iPS_cells:PDB_1lox-17Puro-5: 0.54, iPS_cells:PDB_2lox-21: 0.53, iPS_cells:PDB_2lox-17: 0.53 |
MHHNB11_CTTGAGAGTTGGTAGG-1 | Neurons | 0.34 | 359.87 | Raw ScoresNeurons:adrenal_medulla_cell_line: 0.71, Neuroepithelial_cell:ESC-derived: 0.58, iPS_cells:PDB_1lox-21Puro-20: 0.56, iPS_cells:PDB_1lox-21Puro-26: 0.55, iPS_cells:PDB_1lox-17Puro-10: 0.55, iPS_cells:PDB_2lox-22: 0.55, iPS_cells:PDB_1lox-17Puro-5: 0.54, iPS_cells:PDB_2lox-21: 0.54, Astrocyte:Embryonic_stem_cell-derived: 0.54, iPS_cells:PDB_2lox-17: 0.54 |
MHHNB11_TTCGATTAGGTAGTCG-1 | Neurons | 0.29 | 352.01 | Raw ScoresNeurons:adrenal_medulla_cell_line: 0.67, Neuroepithelial_cell:ESC-derived: 0.56, iPS_cells:PDB_1lox-21Puro-20: 0.54, iPS_cells:PDB_2lox-22: 0.53, iPS_cells:PDB_1lox-21Puro-26: 0.53, iPS_cells:PDB_1lox-17Puro-10: 0.53, iPS_cells:PDB_1lox-17Puro-5: 0.53, iPS_cells:PDB_2lox-21: 0.53, iPS_cells:PDB_2lox-17: 0.53, iPS_cells:fibroblast-derived:Retroviral_transf: 0.53 |
MHHNB11_AGACCATCATCTATCT-1 | Neurons | 0.33 | 346.59 | Raw ScoresNeurons:adrenal_medulla_cell_line: 0.69, Neuroepithelial_cell:ESC-derived: 0.57, iPS_cells:PDB_1lox-21Puro-20: 0.56, iPS_cells:PDB_1lox-21Puro-26: 0.56, iPS_cells:PDB_1lox-17Puro-10: 0.55, iPS_cells:PDB_2lox-22: 0.55, iPS_cells:PDB_1lox-17Puro-5: 0.55, iPS_cells:PDB_2lox-21: 0.54, iPS_cells:PDB_2lox-17: 0.54, iPS_cells:PDB_2lox-5: 0.54 |
MHHNB11_AGCCAATAGCACTGGA-1 | Neurons | 0.33 | 338.88 | Raw ScoresNeurons:adrenal_medulla_cell_line: 0.7, Neuroepithelial_cell:ESC-derived: 0.59, iPS_cells:PDB_1lox-21Puro-20: 0.57, iPS_cells:PDB_1lox-21Puro-26: 0.56, iPS_cells:PDB_1lox-17Puro-10: 0.56, iPS_cells:PDB_2lox-22: 0.56, iPS_cells:PDB_1lox-17Puro-5: 0.55, iPS_cells:PDB_2lox-21: 0.55, iPS_cells:PDB_2lox-17: 0.55, iPS_cells:PDB_2lox-5: 0.55 |
MHHNB11_TCTTTGACACAGTATC-1 | Neurons | 0.34 | 331.24 | Raw ScoresNeurons:adrenal_medulla_cell_line: 0.71, Neuroepithelial_cell:ESC-derived: 0.59, iPS_cells:PDB_1lox-21Puro-20: 0.58, iPS_cells:PDB_1lox-21Puro-26: 0.57, iPS_cells:PDB_1lox-17Puro-10: 0.57, iPS_cells:PDB_1lox-17Puro-5: 0.57, iPS_cells:PDB_2lox-22: 0.57, iPS_cells:PDB_2lox-21: 0.56, iPS_cells:PDB_2lox-17: 0.56, Embryonic_stem_cells: 0.56 |
MHHNB11_ACTTTCAGTCACAGTT-1 | Neurons | 0.34 | 328.37 | Raw ScoresNeurons:adrenal_medulla_cell_line: 0.7, Neuroepithelial_cell:ESC-derived: 0.57, iPS_cells:PDB_1lox-21Puro-20: 0.55, iPS_cells:PDB_1lox-21Puro-26: 0.54, iPS_cells:PDB_1lox-17Puro-10: 0.54, iPS_cells:PDB_1lox-17Puro-5: 0.54, iPS_cells:PDB_2lox-22: 0.54, Astrocyte:Embryonic_stem_cell-derived: 0.54, iPS_cells:PDB_2lox-21: 0.53, iPS_cells:PDB_2lox-17: 0.53 |
MHHNB11_CTCCATGAGGACTAAT-1 | Neurons | 0.33 | 326.39 | Raw ScoresNeurons:adrenal_medulla_cell_line: 0.69, Neuroepithelial_cell:ESC-derived: 0.57, iPS_cells:PDB_1lox-21Puro-20: 0.55, iPS_cells:PDB_1lox-21Puro-26: 0.55, iPS_cells:PDB_1lox-17Puro-10: 0.54, iPS_cells:PDB_2lox-22: 0.54, iPS_cells:PDB_1lox-17Puro-5: 0.54, Astrocyte:Embryonic_stem_cell-derived: 0.54, iPS_cells:PDB_2lox-21: 0.54, iPS_cells:PDB_2lox-17: 0.53 |
MHHNB11_ACCACAAAGCTTTCTT-1 | Neurons | 0.33 | 324.15 | Raw ScoresNeurons:adrenal_medulla_cell_line: 0.68, Neuroepithelial_cell:ESC-derived: 0.56, iPS_cells:PDB_1lox-21Puro-20: 0.55, iPS_cells:PDB_1lox-21Puro-26: 0.55, iPS_cells:PDB_1lox-17Puro-10: 0.54, iPS_cells:PDB_2lox-22: 0.54, iPS_cells:PDB_1lox-17Puro-5: 0.54, iPS_cells:PDB_2lox-21: 0.53, Astrocyte:Embryonic_stem_cell-derived: 0.53, iPS_cells:PDB_2lox-17: 0.53 |
MHHNB11_CGGTCAGGTCGCGGTT-1 | Neurons | 0.35 | 318.86 | Raw ScoresNeurons:adrenal_medulla_cell_line: 0.72, Neuroepithelial_cell:ESC-derived: 0.61, iPS_cells:PDB_1lox-21Puro-20: 0.58, iPS_cells:PDB_1lox-21Puro-26: 0.58, iPS_cells:PDB_1lox-17Puro-10: 0.58, iPS_cells:PDB_2lox-22: 0.57, iPS_cells:PDB_1lox-17Puro-5: 0.57, iPS_cells:PDB_2lox-21: 0.57, iPS_cells:PDB_2lox-17: 0.57, Neurons:ES_cell-derived_neural_precursor: 0.57 |
MHHNB11_ACACTGACAGTCTTCC-1 | Neurons | 0.28 | 312.25 | Raw ScoresNeurons:adrenal_medulla_cell_line: 0.64, Neuroepithelial_cell:ESC-derived: 0.54, iPS_cells:PDB_2lox-22: 0.52, iPS_cells:PDB_1lox-21Puro-20: 0.52, iPS_cells:PDB_1lox-17Puro-10: 0.52, iPS_cells:PDB_2lox-21: 0.51, iPS_cells:PDB_2lox-17: 0.51, iPS_cells:PDB_1lox-21Puro-26: 0.51, Tissue_stem_cells:CD326-CD56+: 0.51, iPS_cells:adipose_stem_cell-derived:minicircle-derived: 0.51 |
MHHNB11_ATTATCCGTGCGTTTA-1 | Neurons | 0.34 | 310.81 | Raw ScoresNeurons:adrenal_medulla_cell_line: 0.69, Neuroepithelial_cell:ESC-derived: 0.57, iPS_cells:PDB_1lox-21Puro-20: 0.55, iPS_cells:PDB_1lox-21Puro-26: 0.54, iPS_cells:PDB_1lox-17Puro-10: 0.54, iPS_cells:PDB_2lox-22: 0.54, iPS_cells:PDB_1lox-17Puro-5: 0.54, Astrocyte:Embryonic_stem_cell-derived: 0.53, iPS_cells:PDB_2lox-21: 0.53, iPS_cells:PDB_2lox-17: 0.53 |
MHHNB11_TACCGGGTCACTTATC-1 | Neurons | 0.34 | 308.86 | Raw ScoresNeurons:adrenal_medulla_cell_line: 0.7, Neuroepithelial_cell:ESC-derived: 0.58, iPS_cells:PDB_1lox-21Puro-20: 0.56, iPS_cells:PDB_1lox-21Puro-26: 0.55, iPS_cells:PDB_2lox-22: 0.55, iPS_cells:PDB_1lox-17Puro-10: 0.55, iPS_cells:PDB_1lox-17Puro-5: 0.55, iPS_cells:PDB_2lox-21: 0.54, iPS_cells:PDB_2lox-17: 0.54, iPS_cells:PDB_2lox-5: 0.54 |
MHHNB11_CCTGTTGCATATAGCC-1 | Neurons | 0.33 | 307.01 | Raw ScoresNeurons:adrenal_medulla_cell_line: 0.69, Neuroepithelial_cell:ESC-derived: 0.57, iPS_cells:PDB_1lox-21Puro-20: 0.55, iPS_cells:PDB_1lox-21Puro-26: 0.54, iPS_cells:PDB_1lox-17Puro-10: 0.54, iPS_cells:PDB_2lox-22: 0.54, iPS_cells:PDB_1lox-17Puro-5: 0.54, iPS_cells:PDB_2lox-21: 0.53, iPS_cells:PDB_2lox-17: 0.53, Embryonic_stem_cells: 0.53 |
MHHNB11_TGCTGAATCTTGATTC-1 | Neurons | 0.33 | 299.14 | Raw ScoresNeurons:adrenal_medulla_cell_line: 0.68, Neuroepithelial_cell:ESC-derived: 0.56, iPS_cells:PDB_1lox-21Puro-20: 0.55, iPS_cells:PDB_1lox-21Puro-26: 0.55, iPS_cells:PDB_1lox-17Puro-10: 0.54, iPS_cells:PDB_2lox-22: 0.54, iPS_cells:PDB_1lox-17Puro-5: 0.54, iPS_cells:PDB_2lox-21: 0.54, iPS_cells:PDB_2lox-17: 0.53, Neurons:ES_cell-derived_neural_precursor: 0.53 |
MHHNB11_ATTCTACTCGTCGACG-1 | Neurons | 0.33 | 299.09 | Raw ScoresNeurons:adrenal_medulla_cell_line: 0.69, Neuroepithelial_cell:ESC-derived: 0.57, iPS_cells:PDB_1lox-21Puro-20: 0.55, iPS_cells:PDB_1lox-21Puro-26: 0.54, iPS_cells:PDB_1lox-17Puro-10: 0.54, iPS_cells:PDB_2lox-22: 0.54, iPS_cells:PDB_1lox-17Puro-5: 0.54, iPS_cells:PDB_2lox-21: 0.53, iPS_cells:PDB_2lox-17: 0.53, Astrocyte:Embryonic_stem_cell-derived: 0.53 |
MHHNB11_TAGGTACTCTGCCTCA-1 | Neurons | 0.34 | 297.86 | Raw ScoresNeurons:adrenal_medulla_cell_line: 0.68, Neuroepithelial_cell:ESC-derived: 0.56, iPS_cells:PDB_1lox-21Puro-20: 0.53, iPS_cells:PDB_1lox-21Puro-26: 0.53, Astrocyte:Embryonic_stem_cell-derived: 0.53, iPS_cells:PDB_2lox-22: 0.52, iPS_cells:PDB_1lox-17Puro-10: 0.52, iPS_cells:PDB_2lox-21: 0.52, iPS_cells:PDB_1lox-17Puro-5: 0.52, iPS_cells:PDB_2lox-17: 0.52 |
MHHNB11_ATCACTTGTGCATTAC-1 | Neurons | 0.33 | 297.17 | Raw ScoresNeurons:adrenal_medulla_cell_line: 0.69, Neuroepithelial_cell:ESC-derived: 0.58, iPS_cells:PDB_1lox-21Puro-20: 0.56, iPS_cells:PDB_1lox-21Puro-26: 0.55, iPS_cells:PDB_2lox-22: 0.55, iPS_cells:PDB_1lox-17Puro-10: 0.55, iPS_cells:PDB_1lox-17Puro-5: 0.55, iPS_cells:PDB_2lox-21: 0.54, iPS_cells:PDB_2lox-17: 0.54, Astrocyte:Embryonic_stem_cell-derived: 0.54 |
MHHNB11_CATACTTCAAATGGTA-1 | Neurons | 0.34 | 296.74 | Raw ScoresNeurons:adrenal_medulla_cell_line: 0.7, Neuroepithelial_cell:ESC-derived: 0.57, iPS_cells:PDB_1lox-21Puro-20: 0.56, iPS_cells:PDB_1lox-21Puro-26: 0.56, iPS_cells:PDB_2lox-22: 0.55, iPS_cells:PDB_1lox-17Puro-10: 0.55, iPS_cells:PDB_1lox-17Puro-5: 0.55, iPS_cells:PDB_2lox-21: 0.55, iPS_cells:PDB_2lox-17: 0.54, Embryonic_stem_cells: 0.54 |
MHHNB11_AGATCGTGTCATGCAT-1 | Neurons | 0.33 | 296.20 | Raw ScoresNeurons:adrenal_medulla_cell_line: 0.69, Neuroepithelial_cell:ESC-derived: 0.58, iPS_cells:PDB_1lox-21Puro-20: 0.56, iPS_cells:PDB_1lox-21Puro-26: 0.56, iPS_cells:PDB_1lox-17Puro-10: 0.56, iPS_cells:PDB_2lox-22: 0.55, iPS_cells:PDB_1lox-17Puro-5: 0.55, iPS_cells:PDB_2lox-21: 0.55, iPS_cells:PDB_2lox-17: 0.55, Embryonic_stem_cells: 0.54 |
MHHNB11_GGAGAACCACATACGT-1 | Neurons | 0.33 | 293.94 | Raw ScoresNeurons:adrenal_medulla_cell_line: 0.69, Neuroepithelial_cell:ESC-derived: 0.56, iPS_cells:PDB_1lox-21Puro-20: 0.54, iPS_cells:PDB_1lox-21Puro-26: 0.54, iPS_cells:PDB_2lox-22: 0.54, iPS_cells:PDB_1lox-17Puro-10: 0.53, iPS_cells:PDB_2lox-21: 0.53, Astrocyte:Embryonic_stem_cell-derived: 0.53, iPS_cells:PDB_1lox-17Puro-5: 0.53, iPS_cells:PDB_2lox-17: 0.53 |
MHHNB11_TGTTGAGAGCGTTACT-1 | Neurons | 0.33 | 293.76 | Raw ScoresNeurons:adrenal_medulla_cell_line: 0.68, Neuroepithelial_cell:ESC-derived: 0.56, iPS_cells:PDB_1lox-21Puro-20: 0.54, iPS_cells:PDB_1lox-21Puro-26: 0.54, iPS_cells:PDB_2lox-22: 0.54, iPS_cells:PDB_1lox-17Puro-10: 0.53, iPS_cells:PDB_1lox-17Puro-5: 0.53, iPS_cells:PDB_2lox-21: 0.53, iPS_cells:PDB_2lox-17: 0.53, Embryonic_stem_cells: 0.52 |
MHHNB11_CGTTGGGAGCACACCC-1 | Neurons | 0.33 | 291.53 | Raw ScoresNeurons:adrenal_medulla_cell_line: 0.68, Neuroepithelial_cell:ESC-derived: 0.56, iPS_cells:PDB_1lox-21Puro-20: 0.54, iPS_cells:PDB_1lox-21Puro-26: 0.54, iPS_cells:PDB_2lox-22: 0.53, iPS_cells:PDB_1lox-17Puro-10: 0.53, iPS_cells:PDB_1lox-17Puro-5: 0.53, Astrocyte:Embryonic_stem_cell-derived: 0.53, iPS_cells:PDB_2lox-21: 0.53, iPS_cells:PDB_2lox-17: 0.53 |
MHHNB11_GATCCCTCAAGGTCGA-1 | Neurons | 0.33 | 289.95 | Raw ScoresNeurons:adrenal_medulla_cell_line: 0.67, Neuroepithelial_cell:ESC-derived: 0.56, iPS_cells:PDB_1lox-21Puro-20: 0.54, iPS_cells:PDB_1lox-21Puro-26: 0.53, iPS_cells:PDB_1lox-17Puro-10: 0.53, iPS_cells:PDB_2lox-22: 0.53, iPS_cells:PDB_1lox-17Puro-5: 0.53, Astrocyte:Embryonic_stem_cell-derived: 0.52, iPS_cells:PDB_2lox-21: 0.52, iPS_cells:PDB_2lox-17: 0.52 |
MHHNB11_GTTAGACCACAGCTTA-1 | Neurons | 0.34 | 289.84 | Raw ScoresNeurons:adrenal_medulla_cell_line: 0.67, Neuroepithelial_cell:ESC-derived: 0.56, iPS_cells:PDB_1lox-21Puro-20: 0.54, iPS_cells:PDB_1lox-21Puro-26: 0.54, iPS_cells:PDB_1lox-17Puro-10: 0.53, iPS_cells:PDB_2lox-22: 0.53, iPS_cells:PDB_1lox-17Puro-5: 0.53, iPS_cells:PDB_2lox-21: 0.53, iPS_cells:PDB_2lox-17: 0.52, Astrocyte:Embryonic_stem_cell-derived: 0.52 |
MHHNB11_GAAGCCCTCTGATTCT-1 | Neurons | 0.34 | 288.97 | Raw ScoresNeurons:adrenal_medulla_cell_line: 0.7, Neuroepithelial_cell:ESC-derived: 0.58, iPS_cells:PDB_1lox-21Puro-20: 0.56, iPS_cells:PDB_1lox-21Puro-26: 0.56, iPS_cells:PDB_1lox-17Puro-10: 0.56, iPS_cells:PDB_2lox-22: 0.55, iPS_cells:PDB_1lox-17Puro-5: 0.55, Astrocyte:Embryonic_stem_cell-derived: 0.55, iPS_cells:PDB_2lox-21: 0.55, iPS_cells:PDB_2lox-17: 0.55 |
MHHNB11_CATACAGCACCCATAA-1 | Neurons | 0.33 | 286.50 | Raw ScoresNeurons:adrenal_medulla_cell_line: 0.69, Neuroepithelial_cell:ESC-derived: 0.58, iPS_cells:PDB_1lox-21Puro-20: 0.56, iPS_cells:PDB_1lox-21Puro-26: 0.55, iPS_cells:PDB_1lox-17Puro-10: 0.55, iPS_cells:PDB_2lox-22: 0.55, iPS_cells:PDB_1lox-17Puro-5: 0.55, iPS_cells:PDB_2lox-21: 0.55, iPS_cells:PDB_2lox-17: 0.54, Astrocyte:Embryonic_stem_cell-derived: 0.54 |
MHHNB11_TGACAGTGTAGAGATT-1 | Neurons | 0.33 | 284.87 | Raw ScoresNeurons:adrenal_medulla_cell_line: 0.68, Neuroepithelial_cell:ESC-derived: 0.56, iPS_cells:PDB_1lox-21Puro-20: 0.54, iPS_cells:PDB_1lox-21Puro-26: 0.54, iPS_cells:PDB_1lox-17Puro-10: 0.54, iPS_cells:PDB_1lox-17Puro-5: 0.53, iPS_cells:PDB_2lox-22: 0.53, Astrocyte:Embryonic_stem_cell-derived: 0.53, iPS_cells:PDB_2lox-21: 0.53, iPS_cells:PDB_2lox-17: 0.52 |
MHHNB11_GAAGGACGTATGCGTT-1 | Neurons | 0.33 | 284.74 | Raw ScoresNeurons:adrenal_medulla_cell_line: 0.67, Neuroepithelial_cell:ESC-derived: 0.55, iPS_cells:PDB_1lox-21Puro-20: 0.53, Astrocyte:Embryonic_stem_cell-derived: 0.52, iPS_cells:PDB_1lox-17Puro-10: 0.52, iPS_cells:PDB_1lox-21Puro-26: 0.52, iPS_cells:PDB_1lox-17Puro-5: 0.52, iPS_cells:PDB_2lox-22: 0.51, iPS_cells:PDB_2lox-21: 0.51, iPS_cells:PDB_2lox-17: 0.51 |
MHHNB11_TTGTTTGCATTCTGTT-1 | Neurons | 0.33 | 283.26 | Raw ScoresNeurons:adrenal_medulla_cell_line: 0.69, Neuroepithelial_cell:ESC-derived: 0.57, iPS_cells:PDB_1lox-21Puro-20: 0.56, iPS_cells:PDB_1lox-21Puro-26: 0.55, iPS_cells:PDB_1lox-17Puro-10: 0.55, iPS_cells:PDB_2lox-22: 0.55, iPS_cells:PDB_1lox-17Puro-5: 0.54, iPS_cells:PDB_2lox-21: 0.54, iPS_cells:PDB_2lox-17: 0.54, Embryonic_stem_cells: 0.53 |
MHHNB11_GGTGGCTCAACTGATC-1 | Neurons | 0.34 | 282.85 | Raw ScoresNeurons:adrenal_medulla_cell_line: 0.69, Neuroepithelial_cell:ESC-derived: 0.57, iPS_cells:PDB_1lox-21Puro-20: 0.55, iPS_cells:PDB_1lox-21Puro-26: 0.55, iPS_cells:PDB_1lox-17Puro-10: 0.55, iPS_cells:PDB_2lox-22: 0.54, iPS_cells:PDB_1lox-17Puro-5: 0.54, Astrocyte:Embryonic_stem_cell-derived: 0.54, iPS_cells:PDB_2lox-21: 0.54, iPS_cells:PDB_2lox-17: 0.53 |
MHHNB11_TGATTCTCAAACCACT-1 | Neurons | 0.34 | 282.25 | Raw ScoresNeurons:adrenal_medulla_cell_line: 0.69, Neuroepithelial_cell:ESC-derived: 0.58, iPS_cells:PDB_1lox-21Puro-20: 0.55, iPS_cells:PDB_1lox-21Puro-26: 0.55, iPS_cells:PDB_1lox-17Puro-10: 0.55, iPS_cells:PDB_2lox-22: 0.55, iPS_cells:PDB_1lox-17Puro-5: 0.54, iPS_cells:PDB_2lox-21: 0.54, iPS_cells:PDB_2lox-17: 0.54, Embryonic_stem_cells: 0.54 |
MHHNB11_CACTTCGTCATCCCGT-1 | Neurons | 0.28 | 280.58 | Raw ScoresNeurons:adrenal_medulla_cell_line: 0.62, Neuroepithelial_cell:ESC-derived: 0.51, iPS_cells:PDB_1lox-21Puro-20: 0.49, iPS_cells:PDB_2lox-22: 0.49, iPS_cells:PDB_1lox-17Puro-10: 0.49, iPS_cells:PDB_1lox-21Puro-26: 0.49, iPS_cells:PDB_1lox-17Puro-5: 0.49, iPS_cells:PDB_2lox-21: 0.48, iPS_cells:PDB_2lox-17: 0.48, Embryonic_stem_cells: 0.48 |
MHHNB11_CGTGCTTAGCTAGATA-1 | Neurons | 0.33 | 278.67 | Raw ScoresNeurons:adrenal_medulla_cell_line: 0.7, Neuroepithelial_cell:ESC-derived: 0.58, iPS_cells:PDB_1lox-21Puro-20: 0.56, iPS_cells:PDB_1lox-21Puro-26: 0.56, iPS_cells:PDB_1lox-17Puro-10: 0.55, iPS_cells:PDB_2lox-22: 0.55, iPS_cells:PDB_1lox-17Puro-5: 0.55, iPS_cells:PDB_2lox-21: 0.54, iPS_cells:PDB_2lox-17: 0.54, Embryonic_stem_cells: 0.54 |
MHHNB11_CAACGATAGTTTAGGA-1 | Neurons | 0.34 | 277.34 | Raw ScoresNeurons:adrenal_medulla_cell_line: 0.69, Neuroepithelial_cell:ESC-derived: 0.57, iPS_cells:PDB_1lox-21Puro-20: 0.55, iPS_cells:PDB_2lox-22: 0.54, iPS_cells:PDB_1lox-21Puro-26: 0.54, iPS_cells:PDB_1lox-17Puro-10: 0.54, iPS_cells:PDB_1lox-17Puro-5: 0.53, iPS_cells:PDB_2lox-21: 0.53, Astrocyte:Embryonic_stem_cell-derived: 0.53, iPS_cells:PDB_2lox-17: 0.53 |
MHHNB11_CTCAGTCCAAGGCCTC-1 | Neurons | 0.33 | 276.33 | Raw ScoresNeurons:adrenal_medulla_cell_line: 0.68, Neuroepithelial_cell:ESC-derived: 0.56, iPS_cells:PDB_1lox-21Puro-20: 0.54, iPS_cells:PDB_1lox-21Puro-26: 0.53, iPS_cells:PDB_1lox-17Puro-10: 0.53, iPS_cells:PDB_2lox-22: 0.53, Astrocyte:Embryonic_stem_cell-derived: 0.53, iPS_cells:PDB_1lox-17Puro-5: 0.53, iPS_cells:PDB_2lox-21: 0.52, Neurons:ES_cell-derived_neural_precursor: 0.52 |
MHHNB11_CAAGAGGTCTCCTGCA-1 | Neurons | 0.32 | 275.37 | Raw ScoresNeurons:adrenal_medulla_cell_line: 0.67, Neuroepithelial_cell:ESC-derived: 0.54, iPS_cells:PDB_1lox-21Puro-20: 0.52, iPS_cells:PDB_1lox-21Puro-26: 0.52, iPS_cells:PDB_1lox-17Puro-10: 0.52, iPS_cells:PDB_2lox-22: 0.52, iPS_cells:PDB_1lox-17Puro-5: 0.51, Astrocyte:Embryonic_stem_cell-derived: 0.51, iPS_cells:PDB_2lox-21: 0.51, iPS_cells:PDB_2lox-17: 0.51 |
MHHNB11_TTGAACGAGAGTTGAT-1 | Neurons | 0.33 | 275.28 | Raw ScoresNeurons:adrenal_medulla_cell_line: 0.67, Neuroepithelial_cell:ESC-derived: 0.55, iPS_cells:PDB_1lox-21Puro-20: 0.54, iPS_cells:PDB_1lox-21Puro-26: 0.54, iPS_cells:PDB_1lox-17Puro-10: 0.53, iPS_cells:PDB_2lox-22: 0.53, iPS_cells:PDB_1lox-17Puro-5: 0.53, iPS_cells:PDB_2lox-21: 0.52, iPS_cells:PDB_2lox-17: 0.52, Neurons:ES_cell-derived_neural_precursor: 0.52 |
MHHNB11_AACAAAGCATATCTCT-1 | Neurons | 0.31 | 273.93 | Raw ScoresNeurons:adrenal_medulla_cell_line: 0.66, Neuroepithelial_cell:ESC-derived: 0.54, iPS_cells:PDB_1lox-21Puro-20: 0.52, iPS_cells:PDB_2lox-22: 0.52, iPS_cells:PDB_1lox-21Puro-26: 0.52, iPS_cells:PDB_1lox-17Puro-10: 0.51, iPS_cells:PDB_2lox-21: 0.51, iPS_cells:PDB_2lox-17: 0.51, iPS_cells:PDB_1lox-17Puro-5: 0.51, iPS_cells:adipose_stem_cell-derived:minicircle-derived: 0.51 |
MHHNB11_ACTGTCCAGATGCTAA-1 | Neurons | 0.33 | 273.01 | Raw ScoresNeurons:adrenal_medulla_cell_line: 0.69, Neuroepithelial_cell:ESC-derived: 0.57, iPS_cells:PDB_1lox-21Puro-20: 0.55, iPS_cells:PDB_1lox-21Puro-26: 0.55, iPS_cells:PDB_1lox-17Puro-10: 0.54, iPS_cells:PDB_2lox-22: 0.54, iPS_cells:PDB_1lox-17Puro-5: 0.54, iPS_cells:PDB_2lox-21: 0.54, iPS_cells:PDB_2lox-17: 0.54, Astrocyte:Embryonic_stem_cell-derived: 0.53 |
Below shows the significant enrichments of this GEP for literature curated gene lists
This data was procured from existing single cell RNA-seq maps of neuroblastoma or related relevant data.
High ranks indicate this gene is a driver of this GEP.
These curated gene list are ranked by the P-value (on this GEP) of their constituent genes.
The Mean Count column shows the mean read count in cells scoring highly (H > 50) on this gene expression program.
Genes | Weight | Rank | GTEx | DepMap | Decartes | Mean.Counts | Mean.TPM |
---|---|---|---|---|---|---|---|
STMN2 | 0.0119454 | 1 | GTEx | DepMap | Descartes | 129.40 | 1855.02 |
ELAVL4 | 0.0047679 | 28 | GTEx | DepMap | Descartes | 33.55 | 224.31 |
ELAVL3 | 0.0026780 | 118 | GTEx | DepMap | Descartes | 15.34 | 83.59 |
ISL1 | 0.0007665 | 890 | GTEx | DepMap | Descartes | 9.08 | 100.52 |
Symphathoblasts Fig2 (Kamenva)
Marker genes were obtained from Fig. 2H of Kameneva et al (PMID 33833454) for symphathoblasts (differentiating from SCPs):
Wilcoxon ranksum test P-value for gene set overrepresentation: 6.53e-04
Mean rank of genes in gene set: 1067.8
Rank on gene expression program of genes in gene set:
Genes | Weight | Rank | GTEx | DepMap | Decartes | Mean.Counts | Mean.TPM |
---|---|---|---|---|---|---|---|
STMN2 | 0.0119454 | 1 | GTEx | DepMap | Descartes | 129.40 | 1855.02 |
ELAVL4 | 0.0047679 | 28 | GTEx | DepMap | Descartes | 33.55 | 224.31 |
ISL1 | 0.0007665 | 890 | GTEx | DepMap | Descartes | 9.08 | 100.52 |
ELAVL2 | 0.0003505 | 1753 | GTEx | DepMap | Descartes | 3.35 | 22.77 |
HAND2 | 0.0001296 | 2667 | GTEx | DepMap | Descartes | 33.45 | 321.34 |
Late Neuroblasts (Jansky Fig1E)
Heatmap in Fig. 1E, marker genes derived from Jansks scRNA-seq data for adrenal medulla cell types. Note: the Jansky Late Neuroblast signature is the same as the earlier Neuroblast signature, but NEFM and ALK are now absent (meaning lower expressed at later stages of differentiation):
Wilcoxon ranksum test P-value for gene set overrepresentation: 1.11e-03
Mean rank of genes in gene set: 1317.8
Rank on gene expression program of genes in gene set:
Genes | Weight | Rank | GTEx | DepMap | Decartes | Mean.Counts | Mean.TPM |
---|---|---|---|---|---|---|---|
STMN2 | 0.0119454 | 1 | GTEx | DepMap | Descartes | 129.40 | 1855.02 |
GAP43 | 0.0045864 | 36 | GTEx | DepMap | Descartes | 17.99 | 237.51 |
IL7 | 0.0018250 | 262 | GTEx | DepMap | Descartes | 1.30 | 18.29 |
ISL1 | 0.0007665 | 890 | GTEx | DepMap | Descartes | 9.08 | 100.52 |
SYN3 | -0.0001303 | 5400 | GTEx | DepMap | Descartes | 0.01 | 0.07 |
Below shows ranks on this GEP for literature curated gene lists for large gene sets
These include those reported as mesenchymal/adrenergic by Van Groningen et al.
High ranks indicate this gene is a driver of this GEP (note these results are not ordered).
The Mean Count column shows the mean read count in cells scoring highly (H > 50) on this gene expression program.
VanGroningen Adrenergic Genes
Adrenergic marker genes from Supplementary Table 2 of Van Groningen et al. Nature Genetics 2017. These genes were identified by differential expression analysis of mesenchymal-like and adrenergic-like neuroblastoma cell lines.
Wilcoxon ranksum test P-value for gene set overrepresentation: 7.26e-25
Mean rank of genes in gene set: 4178.82
Median rank of genes in gene set: 1921
Rank on gene expression program of top 30 genes in gene set:
Genes | Weight | Rank | GTEx | DepMap | Descartes | Mean.Counts | Mean.TPM |
---|---|---|---|---|---|---|---|
STMN2 | 0.0119454 | 1 | GTEx | DepMap | Descartes | 129.40 | 1855.02 |
CCNI | 0.0071408 | 13 | GTEx | DepMap | Descartes | 67.80 | 628.96 |
RGS5 | 0.0061700 | 16 | GTEx | DepMap | Descartes | 188.79 | 882.03 |
ELAVL4 | 0.0047679 | 28 | GTEx | DepMap | Descartes | 33.55 | 224.31 |
GAP43 | 0.0045864 | 36 | GTEx | DepMap | Descartes | 17.99 | 237.51 |
RTN1 | 0.0045586 | 37 | GTEx | DepMap | Descartes | 14.43 | 120.43 |
GNG4 | 0.0041702 | 52 | GTEx | DepMap | Descartes | 21.26 | 108.01 |
TUBB2B | 0.0040556 | 58 | GTEx | DepMap | Descartes | 39.19 | 548.54 |
MAGI3 | 0.0038432 | 61 | GTEx | DepMap | Descartes | 7.35 | 30.75 |
ATCAY | 0.0037889 | 63 | GTEx | DepMap | Descartes | 7.12 | 37.99 |
GLCCI1 | 0.0035653 | 69 | GTEx | DepMap | Descartes | 9.30 | 53.82 |
MAP6 | 0.0034240 | 75 | GTEx | DepMap | Descartes | 5.56 | 34.10 |
PTS | 0.0032909 | 79 | GTEx | DepMap | Descartes | 13.76 | 311.75 |
ICA1 | 0.0032485 | 81 | GTEx | DepMap | Descartes | 13.99 | 156.61 |
CELF2 | 0.0032419 | 82 | GTEx | DepMap | Descartes | 2.68 | 9.26 |
DPYSL2 | 0.0029840 | 91 | GTEx | DepMap | Descartes | 20.23 | 110.72 |
TFAP2B | 0.0029707 | 92 | GTEx | DepMap | Descartes | 14.08 | 66.99 |
DCX | 0.0029309 | 95 | GTEx | DepMap | Descartes | 5.78 | 16.64 |
RNF157 | 0.0029207 | 96 | GTEx | DepMap | Descartes | 5.77 | 28.14 |
DLK1 | 0.0029082 | 101 | GTEx | DepMap | Descartes | 71.33 | 395.55 |
GATA3 | 0.0027693 | 107 | GTEx | DepMap | Descartes | 23.73 | 197.92 |
ELAVL3 | 0.0026780 | 118 | GTEx | DepMap | Descartes | 15.34 | 83.59 |
RBP1 | 0.0025263 | 133 | GTEx | DepMap | Descartes | 37.03 | 488.76 |
PHYHIPL | 0.0025173 | 135 | GTEx | DepMap | Descartes | 12.39 | 95.26 |
TMEM108 | 0.0024899 | 139 | GTEx | DepMap | Descartes | 5.44 | 29.09 |
KLHL23 | 0.0024571 | 149 | GTEx | DepMap | Descartes | 13.94 | 87.25 |
MAP2 | 0.0024459 | 150 | GTEx | DepMap | Descartes | 11.19 | 30.72 |
PHOX2A | 0.0024004 | 154 | GTEx | DepMap | Descartes | 49.12 | 746.38 |
FAM107B | 0.0023493 | 162 | GTEx | DepMap | Descartes | 12.30 | 83.35 |
FKBP1B | 0.0023464 | 164 | GTEx | DepMap | Descartes | 5.08 | 79.08 |
VanGroningen Mesenchymal Genes
Mesenchymal marker genes from Supplementary Table 2 of Van Groningen et al. Nature Genetics 2017. These genes were identified by differential expression analysis of mesenchymal-like and adrenergic-like neuroblastoma cell lines.
Wilcoxon ranksum test P-value for gene set overrepresentation: 1.00e+00
Mean rank of genes in gene set: 8779.3
Median rank of genes in gene set: 10398
Rank on gene expression program of top 30 genes in gene set:
Genes | Weight | Rank | GTEx | DepMap | Descartes | Mean.Counts | Mean.TPM |
---|---|---|---|---|---|---|---|
TPM2 | 0.0072161 | 12 | GTEx | DepMap | Descartes | 17.87 | 305.84 |
ETS1 | 0.0064179 | 15 | GTEx | DepMap | Descartes | 4.26 | 22.97 |
NES | 0.0045367 | 39 | GTEx | DepMap | Descartes | 12.98 | 60.65 |
JAK1 | 0.0040810 | 54 | GTEx | DepMap | Descartes | 10.74 | 37.26 |
KDM5B | 0.0026961 | 114 | GTEx | DepMap | Descartes | 11.78 | 35.50 |
ITM2C | 0.0025137 | 136 | GTEx | DepMap | Descartes | 10.07 | 137.56 |
LITAF | 0.0023790 | 157 | GTEx | DepMap | Descartes | 3.54 | 35.79 |
BNC2 | 0.0022745 | 177 | GTEx | DepMap | Descartes | 2.29 | 4.94 |
CNN3 | 0.0021673 | 195 | GTEx | DepMap | Descartes | 21.68 | 312.38 |
NFIA | 0.0020389 | 217 | GTEx | DepMap | Descartes | 8.29 | 5.16 |
NFIC | 0.0019125 | 243 | GTEx | DepMap | Descartes | 7.31 | 22.26 |
ELF1 | 0.0018862 | 248 | GTEx | DepMap | Descartes | 2.26 | 16.71 |
RAB13 | 0.0017899 | 271 | GTEx | DepMap | Descartes | 14.95 | 185.80 |
IGFBP5 | 0.0017051 | 296 | GTEx | DepMap | Descartes | 9.66 | 45.28 |
SHC1 | 0.0013872 | 396 | GTEx | DepMap | Descartes | 7.90 | 58.05 |
MMP2 | 0.0013602 | 412 | GTEx | DepMap | Descartes | 7.93 | 59.09 |
LEPROT | 0.0013377 | 420 | GTEx | DepMap | Descartes | 5.28 | 31.41 |
ITPR1 | 0.0012789 | 453 | GTEx | DepMap | Descartes | 3.05 | 8.66 |
DMD | 0.0011721 | 524 | GTEx | DepMap | Descartes | 0.67 | 1.42 |
SHROOM3 | 0.0011710 | 526 | GTEx | DepMap | Descartes | 2.01 | 4.79 |
DUSP6 | 0.0011166 | 564 | GTEx | DepMap | Descartes | 2.41 | 17.39 |
ARHGEF40 | 0.0011141 | 568 | GTEx | DepMap | Descartes | 2.04 | 9.13 |
SOSTDC1 | 0.0010844 | 594 | GTEx | DepMap | Descartes | 0.26 | 2.80 |
PRDX6 | 0.0010046 | 657 | GTEx | DepMap | Descartes | 32.87 | 501.43 |
PHLDA3 | 0.0009822 | 674 | GTEx | DepMap | Descartes | 1.96 | 19.54 |
HLX | 0.0008882 | 754 | GTEx | DepMap | Descartes | 1.29 | 6.14 |
GPC6 | 0.0008541 | 787 | GTEx | DepMap | Descartes | 2.78 | 11.25 |
CTSB | 0.0008353 | 810 | GTEx | DepMap | Descartes | 4.67 | 32.53 |
ATXN1 | 0.0008275 | 820 | GTEx | DepMap | Descartes | 1.55 | 4.00 |
HS3ST3A1 | 0.0007695 | 886 | GTEx | DepMap | Descartes | 0.44 | 2.92 |
Descartes adrenocortical markers
Top 50 marker genes of adrenocortical cells in the Decartes fetal adrenal single cell map (https://atlas.brotmanbaty.org/bbi/human-gene-expression-during-development/cell/adrenocortical/in/adrenal)
Wilcoxon ranksum test P-value for gene set overrepresentation: 9.76e-01
Mean rank of genes in gene set: 7467.81
Median rank of genes in gene set: 7371.5
Rank on gene expression program of top 30 genes in gene set:
Genes | Weight | Rank | GTEx | DepMap | Descartes | Mean.Counts | Mean.TPM |
---|---|---|---|---|---|---|---|
FDXR | 0.0008250 | 824 | GTEx | DepMap | Descartes | 1.99 | 22.03 |
GSTA4 | 0.0007267 | 948 | GTEx | DepMap | Descartes | 3.57 | 55.72 |
SCAP | 0.0006225 | 1108 | GTEx | DepMap | Descartes | 1.45 | 8.64 |
SH3PXD2B | 0.0004033 | 1586 | GTEx | DepMap | Descartes | 1.06 | 3.56 |
STAR | 0.0000823 | 2965 | GTEx | DepMap | Descartes | 0.09 | 0.62 |
SCARB1 | 0.0000610 | 3112 | GTEx | DepMap | Descartes | 1.70 | 7.45 |
DHCR24 | -0.0000464 | 4075 | GTEx | DepMap | Descartes | 3.93 | 17.29 |
SLC16A9 | -0.0000611 | 4311 | GTEx | DepMap | Descartes | 0.48 | 3.10 |
NPC1 | -0.0000780 | 4573 | GTEx | DepMap | Descartes | 0.35 | 2.10 |
INHA | -0.0000783 | 4578 | GTEx | DepMap | Descartes | 0.03 | 0.44 |
IGF1R | -0.0001112 | 5117 | GTEx | DepMap | Descartes | 2.84 | 6.16 |
POR | -0.0001456 | 5619 | GTEx | DepMap | Descartes | 1.58 | 16.19 |
FREM2 | -0.0001669 | 5918 | GTEx | DepMap | Descartes | 0.00 | 0.00 |
FRMD5 | -0.0001998 | 6350 | GTEx | DepMap | Descartes | 0.26 | 1.36 |
SGCZ | -0.0002390 | 6853 | GTEx | DepMap | Descartes | 0.00 | 0.01 |
PEG3 | -0.0002649 | 7164 | GTEx | DepMap | Descartes | 0.55 | NA |
ERN1 | -0.0002676 | 7198 | GTEx | DepMap | Descartes | 0.22 | 0.72 |
FDX1 | -0.0002795 | 7327 | GTEx | DepMap | Descartes | 2.89 | 21.38 |
DNER | -0.0002870 | 7416 | GTEx | DepMap | Descartes | 0.01 | 0.10 |
APOC1 | -0.0003440 | 7986 | GTEx | DepMap | Descartes | 0.71 | 21.06 |
GRAMD1B | -0.0003924 | 8455 | GTEx | DepMap | Descartes | 0.28 | 0.89 |
PAPSS2 | -0.0004239 | 8743 | GTEx | DepMap | Descartes | 0.16 | 1.01 |
BAIAP2L1 | -0.0005412 | 9599 | GTEx | DepMap | Descartes | 0.00 | 0.00 |
SH3BP5 | -0.0005995 | 9924 | GTEx | DepMap | Descartes | 1.32 | 10.64 |
JAKMIP2 | -0.0006501 | 10217 | GTEx | DepMap | Descartes | 1.95 | 5.61 |
SLC1A2 | -0.0006585 | 10276 | GTEx | DepMap | Descartes | 0.05 | 0.09 |
DHCR7 | -0.0008596 | 11131 | GTEx | DepMap | Descartes | 0.75 | 6.46 |
LDLR | -0.0008735 | 11168 | GTEx | DepMap | Descartes | 1.44 | 6.77 |
MSMO1 | -0.0008846 | 11202 | GTEx | DepMap | Descartes | 2.58 | 31.05 |
PDE10A | -0.0009528 | 11386 | GTEx | DepMap | Descartes | 0.25 | 0.72 |
Descartes chromaffin markers
Top 50 marker genes of chromaffin cells in the Decartes fetal adrenal single cell map (https://atlas.brotmanbaty.org/bbi/human-gene-expression-during-development/cell/chromaffin/in/adrenal)
Wilcoxon ranksum test P-value for gene set overrepresentation: 1.48e-04
Mean rank of genes in gene set: 4230.54
Median rank of genes in gene set: 1182
Rank on gene expression program of top 30 genes in gene set:
Genes | Weight | Rank | GTEx | DepMap | Descartes | Mean.Counts | Mean.TPM |
---|---|---|---|---|---|---|---|
STMN2 | 0.0119454 | 1 | GTEx | DepMap | Descartes | 129.40 | 1855.02 |
GAP43 | 0.0045864 | 36 | GTEx | DepMap | Descartes | 17.99 | 237.51 |
TUBB2B | 0.0040556 | 58 | GTEx | DepMap | Descartes | 39.19 | 548.54 |
RBFOX1 | 0.0032794 | 80 | GTEx | DepMap | Descartes | 1.39 | 8.16 |
MARCH11 | 0.0018890 | 247 | GTEx | DepMap | Descartes | 7.23 | NA |
ALK | 0.0018284 | 260 | GTEx | DepMap | Descartes | 1.78 | 7.80 |
IL7 | 0.0018250 | 262 | GTEx | DepMap | Descartes | 1.30 | 18.29 |
MLLT11 | 0.0015733 | 327 | GTEx | DepMap | Descartes | 28.90 | 284.73 |
SLC6A2 | 0.0015518 | 333 | GTEx | DepMap | Descartes | 8.06 | 59.88 |
EYA1 | 0.0014381 | 368 | GTEx | DepMap | Descartes | 2.94 | 18.99 |
SYNPO2 | 0.0014289 | 374 | GTEx | DepMap | Descartes | 14.19 | 25.54 |
RPH3A | 0.0014216 | 382 | GTEx | DepMap | Descartes | 2.29 | 11.29 |
HS3ST5 | 0.0012249 | 485 | GTEx | DepMap | Descartes | 1.24 | 9.06 |
TUBB2A | 0.0010695 | 601 | GTEx | DepMap | Descartes | 8.33 | 133.75 |
CCND1 | 0.0009479 | 699 | GTEx | DepMap | Descartes | 47.77 | 296.63 |
EPHA6 | 0.0008787 | 765 | GTEx | DepMap | Descartes | 0.23 | 1.73 |
CNTFR | 0.0008148 | 837 | GTEx | DepMap | Descartes | 3.31 | 40.88 |
ISL1 | 0.0007665 | 890 | GTEx | DepMap | Descartes | 9.08 | 100.52 |
TUBA1A | 0.0007388 | 927 | GTEx | DepMap | Descartes | 99.78 | 1350.08 |
CNKSR2 | 0.0006237 | 1104 | GTEx | DepMap | Descartes | 1.26 | 4.31 |
EYA4 | 0.0005785 | 1182 | GTEx | DepMap | Descartes | 1.30 | 6.23 |
PLXNA4 | 0.0004611 | 1434 | GTEx | DepMap | Descartes | 1.43 | 2.70 |
ELAVL2 | 0.0003505 | 1753 | GTEx | DepMap | Descartes | 3.35 | 22.77 |
MAB21L2 | 0.0001365 | 2623 | GTEx | DepMap | Descartes | 5.20 | 52.83 |
MAB21L1 | 0.0000751 | 3019 | GTEx | DepMap | Descartes | 10.34 | 101.01 |
TMEM132C | -0.0001340 | 5453 | GTEx | DepMap | Descartes | 0.02 | 0.08 |
ANKFN1 | -0.0001951 | 6294 | GTEx | DepMap | Descartes | 0.00 | 0.00 |
REEP1 | -0.0002670 | 7193 | GTEx | DepMap | Descartes | 0.15 | 0.90 |
SLC44A5 | -0.0003092 | 7651 | GTEx | DepMap | Descartes | 0.27 | 1.68 |
PTCHD1 | -0.0003222 | 7792 | GTEx | DepMap | Descartes | 0.03 | 0.06 |
Descartes Vascular_endothelial markers
Top 50 marker genes of Vascular_endothelial cells in the Decartes fetal adrenal single cell map (https://atlas.brotmanbaty.org/bbi/human-gene-expression-during-development/cell/vascular_endothelial/in/adrenal)
Wilcoxon ranksum test P-value for gene set overrepresentation: 1.56e-01
Mean rank of genes in gene set: 5681.37
Median rank of genes in gene set: 5179.5
Rank on gene expression program of top 30 genes in gene set:
Genes | Weight | Rank | GTEx | DepMap | Descartes | Mean.Counts | Mean.TPM |
---|---|---|---|---|---|---|---|
CHRM3 | 0.0020345 | 219 | GTEx | DepMap | Descartes | 4.01 | 12.33 |
TEK | 0.0019128 | 242 | GTEx | DepMap | Descartes | 0.06 | 0.35 |
EFNB2 | 0.0014244 | 377 | GTEx | DepMap | Descartes | 2.47 | 12.69 |
NOTCH4 | 0.0008958 | 750 | GTEx | DepMap | Descartes | 0.55 | 2.09 |
HYAL2 | 0.0005294 | 1288 | GTEx | DepMap | Descartes | 3.61 | 23.81 |
CLDN5 | 0.0000293 | 3335 | GTEx | DepMap | Descartes | 0.06 | 0.62 |
KANK3 | 0.0000115 | 3480 | GTEx | DepMap | Descartes | 0.01 | 0.03 |
TIE1 | -0.0000002 | 3578 | GTEx | DepMap | Descartes | 0.00 | 0.04 |
TMEM88 | -0.0000051 | 3621 | GTEx | DepMap | Descartes | 0.26 | 6.60 |
PTPRB | -0.0000358 | 3949 | GTEx | DepMap | Descartes | 0.14 | 0.32 |
CRHBP | -0.0000557 | 4219 | GTEx | DepMap | Descartes | 0.00 | 0.00 |
SHE | -0.0000651 | 4369 | GTEx | DepMap | Descartes | 0.00 | 0.00 |
MMRN2 | -0.0000883 | 4742 | GTEx | DepMap | Descartes | 0.00 | 0.01 |
KDR | -0.0000884 | 4745 | GTEx | DepMap | Descartes | 0.00 | 0.00 |
BTNL9 | -0.0000996 | 4925 | GTEx | DepMap | Descartes | 0.00 | 0.00 |
ROBO4 | -0.0001062 | 5028 | GTEx | DepMap | Descartes | 0.00 | 0.00 |
CYP26B1 | -0.0001068 | 5042 | GTEx | DepMap | Descartes | 0.00 | 0.00 |
SHANK3 | -0.0001133 | 5148 | GTEx | DepMap | Descartes | 0.11 | 0.29 |
CEACAM1 | -0.0001135 | 5152 | GTEx | DepMap | Descartes | 0.00 | 0.03 |
CDH5 | -0.0001174 | 5207 | GTEx | DepMap | Descartes | 0.00 | 0.00 |
NR5A2 | -0.0001428 | 5577 | GTEx | DepMap | Descartes | 0.00 | 0.02 |
RASIP1 | -0.0001465 | 5632 | GTEx | DepMap | Descartes | 0.02 | 0.11 |
PLVAP | -0.0001486 | 5655 | GTEx | DepMap | Descartes | 0.00 | 0.00 |
GALNT15 | -0.0001511 | 5691 | GTEx | DepMap | Descartes | 0.00 | NA |
ESM1 | -0.0001700 | 5964 | GTEx | DepMap | Descartes | 0.00 | 0.00 |
F8 | -0.0001874 | 6201 | GTEx | DepMap | Descartes | 0.02 | 0.06 |
RAMP2 | -0.0002238 | 6683 | GTEx | DepMap | Descartes | 2.12 | 56.92 |
FLT4 | -0.0002496 | 6966 | GTEx | DepMap | Descartes | 0.01 | 0.02 |
SLCO2A1 | -0.0002806 | 7339 | GTEx | DepMap | Descartes | 0.00 | 0.00 |
EHD3 | -0.0002968 | 7523 | GTEx | DepMap | Descartes | 0.25 | 1.26 |
Descartes stromal markers
Top 50 marker genes of stromal cells in the Decartes fetal adrenal single cell map (https://atlas.brotmanbaty.org/bbi/human-gene-expression-during-development/cell/stromal/in/adrenal)
Wilcoxon ranksum test P-value for gene set overrepresentation: 9.97e-01
Mean rank of genes in gene set: 7801.89
Median rank of genes in gene set: 8145
Rank on gene expression program of top 30 genes in gene set:
Genes | Weight | Rank | GTEx | DepMap | Descartes | Mean.Counts | Mean.TPM |
---|---|---|---|---|---|---|---|
ADAMTS2 | 0.0022094 | 187 | GTEx | DepMap | Descartes | 1.19 | 4.93 |
GLI2 | 0.0015722 | 328 | GTEx | DepMap | Descartes | 1.20 | 4.57 |
PCOLCE | 0.0011515 | 537 | GTEx | DepMap | Descartes | 19.30 | 351.65 |
FREM1 | 0.0004692 | 1415 | GTEx | DepMap | Descartes | 0.20 | 0.65 |
CD248 | 0.0002597 | 2060 | GTEx | DepMap | Descartes | 0.83 | 8.05 |
BICC1 | 0.0001968 | 2308 | GTEx | DepMap | Descartes | 1.03 | 4.95 |
ELN | 0.0001024 | 2833 | GTEx | DepMap | Descartes | 0.22 | 1.58 |
ABCC9 | 0.0000977 | 2868 | GTEx | DepMap | Descartes | 0.31 | 0.86 |
SCARA5 | -0.0000274 | 3848 | GTEx | DepMap | Descartes | 0.00 | 0.00 |
SFRP2 | -0.0000278 | 3854 | GTEx | DepMap | Descartes | 0.00 | 0.00 |
ABCA6 | -0.0000880 | 4733 | GTEx | DepMap | Descartes | 0.00 | 0.00 |
ADAMTSL3 | -0.0001012 | 4951 | GTEx | DepMap | Descartes | 0.00 | 0.00 |
OGN | -0.0001334 | 5440 | GTEx | DepMap | Descartes | 0.00 | 0.00 |
PAMR1 | -0.0001570 | 5782 | GTEx | DepMap | Descartes | 0.00 | 0.01 |
RSPO3 | -0.0001648 | 5891 | GTEx | DepMap | Descartes | 0.00 | NA |
LAMC3 | -0.0001751 | 6040 | GTEx | DepMap | Descartes | 0.00 | 0.01 |
PCDH18 | -0.0002056 | 6438 | GTEx | DepMap | Descartes | 0.36 | 1.70 |
CLDN11 | -0.0002544 | 7029 | GTEx | DepMap | Descartes | 0.01 | 0.11 |
ACTA2 | -0.0002900 | 7452 | GTEx | DepMap | Descartes | 0.23 | 5.20 |
GAS2 | -0.0003314 | 7870 | GTEx | DepMap | Descartes | 0.06 | 0.60 |
POSTN | -0.0003431 | 7979 | GTEx | DepMap | Descartes | 0.00 | 0.00 |
ISLR | -0.0003494 | 8030 | GTEx | DepMap | Descartes | 0.05 | 0.45 |
COL27A1 | -0.0003732 | 8260 | GTEx | DepMap | Descartes | 0.02 | 0.08 |
EDNRA | -0.0004655 | 9060 | GTEx | DepMap | Descartes | 0.24 | 1.48 |
PRICKLE1 | -0.0004810 | 9177 | GTEx | DepMap | Descartes | 1.48 | 6.38 |
IGFBP3 | -0.0006461 | 10193 | GTEx | DepMap | Descartes | 0.05 | 0.60 |
CCDC80 | -0.0007127 | 10555 | GTEx | DepMap | Descartes | 0.76 | 1.77 |
DCN | -0.0007635 | 10764 | GTEx | DepMap | Descartes | 0.03 | 0.11 |
COL1A2 | -0.0008165 | 10966 | GTEx | DepMap | Descartes | 0.00 | 0.00 |
LOX | -0.0008322 | 11039 | GTEx | DepMap | Descartes | 0.04 | 0.13 |
Descartes sympathoblasts markers
Top 50 marker genes of sympathoblasts cells in the Decartes fetal adrenal single cell map (https://atlas.brotmanbaty.org/bbi/human-gene-expression-during-development/cell/sympathoblasts/in/adrenal)
Wilcoxon ranksum test P-value for gene set overrepresentation: 1.39e-01
Mean rank of genes in gene set: 5638.58
Median rank of genes in gene set: 5735
Rank on gene expression program of top 30 genes in gene set:
Genes | Weight | Rank | GTEx | DepMap | Descartes | Mean.Counts | Mean.TPM |
---|---|---|---|---|---|---|---|
SLC18A1 | 0.0077729 | 9 | GTEx | DepMap | Descartes | 5.75 | 53.89 |
PCSK1N | 0.0055747 | 22 | GTEx | DepMap | Descartes | 38.84 | 954.48 |
NTNG1 | 0.0024791 | 142 | GTEx | DepMap | Descartes | 2.07 | 12.65 |
GRM7 | 0.0023388 | 166 | GTEx | DepMap | Descartes | 0.60 | 4.11 |
GCH1 | 0.0012596 | 467 | GTEx | DepMap | Descartes | 2.08 | 18.90 |
FGF14 | 0.0008590 | 780 | GTEx | DepMap | Descartes | 3.12 | 6.94 |
MGAT4C | 0.0007268 | 946 | GTEx | DepMap | Descartes | 1.04 | 1.19 |
CDH18 | 0.0005368 | 1271 | GTEx | DepMap | Descartes | 0.25 | 1.61 |
AGBL4 | 0.0004510 | 1460 | GTEx | DepMap | Descartes | 0.24 | 1.66 |
PACRG | 0.0002830 | 1989 | GTEx | DepMap | Descartes | 0.10 | 1.86 |
KCTD16 | 0.0002736 | 2014 | GTEx | DepMap | Descartes | 0.42 | 0.86 |
DGKK | 0.0002563 | 2069 | GTEx | DepMap | Descartes | 0.30 | 1.14 |
TIAM1 | 0.0001853 | 2363 | GTEx | DepMap | Descartes | 2.02 | 7.44 |
UNC80 | 0.0001608 | 2497 | GTEx | DepMap | Descartes | 0.75 | 1.64 |
KSR2 | 0.0000575 | 3134 | GTEx | DepMap | Descartes | 0.01 | 0.02 |
ARC | -0.0000206 | 3775 | GTEx | DepMap | Descartes | 0.37 | 3.06 |
GALNTL6 | -0.0001247 | 5317 | GTEx | DepMap | Descartes | 0.19 | 1.20 |
LAMA3 | -0.0001349 | 5466 | GTEx | DepMap | Descartes | 0.00 | 0.00 |
SLC24A2 | -0.0001504 | 5682 | GTEx | DepMap | Descartes | 0.00 | 0.00 |
CDH12 | -0.0001577 | 5788 | GTEx | DepMap | Descartes | 0.00 | 0.04 |
PENK | -0.0001602 | 5819 | GTEx | DepMap | Descartes | 0.00 | 0.00 |
SORCS3 | -0.0001928 | 6254 | GTEx | DepMap | Descartes | 0.00 | 0.00 |
CNTN3 | -0.0002308 | 6769 | GTEx | DepMap | Descartes | 0.00 | 0.01 |
FAM155A | -0.0002334 | 6801 | GTEx | DepMap | Descartes | 1.94 | 5.16 |
ST18 | -0.0003986 | 8508 | GTEx | DepMap | Descartes | 0.02 | 0.06 |
CHGB | -0.0004037 | 8561 | GTEx | DepMap | Descartes | 9.81 | 102.69 |
TBX20 | -0.0004146 | 8651 | GTEx | DepMap | Descartes | 0.06 | 0.95 |
EML6 | -0.0004402 | 8867 | GTEx | DepMap | Descartes | 0.87 | 2.13 |
TENM1 | -0.0004729 | 9115 | GTEx | DepMap | Descartes | 0.00 | NA |
SLC35F3 | -0.0004821 | 9189 | GTEx | DepMap | Descartes | 0.00 | 0.01 |
Descartes erythroblasts markers
Top 50 marker genes of erythroblasts cells in the Decartes fetal adrenal single cell map (https://atlas.brotmanbaty.org/bbi/human-gene-expression-during-development/cell/erythroblasts/in/adrenal)
Wilcoxon ranksum test P-value for gene set overrepresentation: 1.57e-01
Mean rank of genes in gene set: 5599.24
Median rank of genes in gene set: 4991
Rank on gene expression program of top 30 genes in gene set:
Genes | Weight | Rank | GTEx | DepMap | Descartes | Mean.Counts | Mean.TPM |
---|---|---|---|---|---|---|---|
SOX6 | 0.0087502 | 6 | GTEx | DepMap | Descartes | 2.45 | 8.32 |
RGS6 | 0.0017267 | 288 | GTEx | DepMap | Descartes | 0.01 | 0.05 |
TSPAN5 | 0.0012545 | 470 | GTEx | DepMap | Descartes | 5.08 | 33.34 |
ANK1 | 0.0008799 | 763 | GTEx | DepMap | Descartes | 0.68 | 1.96 |
GYPC | 0.0008476 | 797 | GTEx | DepMap | Descartes | 0.00 | 0.00 |
TFR2 | 0.0005473 | 1253 | GTEx | DepMap | Descartes | 0.41 | 3.27 |
CAT | 0.0004387 | 1495 | GTEx | DepMap | Descartes | 1.58 | 19.07 |
RAPGEF2 | 0.0002472 | 2101 | GTEx | DepMap | Descartes | 1.79 | 5.81 |
TMCC2 | 0.0001837 | 2371 | GTEx | DepMap | Descartes | 0.22 | 1.34 |
FECH | 0.0001452 | 2573 | GTEx | DepMap | Descartes | 0.62 | 2.17 |
ABCB10 | -0.0000075 | 3635 | GTEx | DepMap | Descartes | 0.66 | 4.25 |
ALAS2 | -0.0000600 | 4284 | GTEx | DepMap | Descartes | 0.00 | 0.00 |
CPOX | -0.0000642 | 4355 | GTEx | DepMap | Descartes | 0.53 | 5.70 |
DENND4A | -0.0000879 | 4732 | GTEx | DepMap | Descartes | 0.93 | 2.94 |
RHD | -0.0001038 | 4991 | GTEx | DepMap | Descartes | 0.00 | 0.01 |
XPO7 | -0.0001044 | 4999 | GTEx | DepMap | Descartes | 1.79 | 9.56 |
SLC4A1 | -0.0001482 | 5651 | GTEx | DepMap | Descartes | 0.00 | 0.00 |
TRAK2 | -0.0001683 | 5935 | GTEx | DepMap | Descartes | 1.36 | 5.54 |
SLC25A21 | -0.0002285 | 6743 | GTEx | DepMap | Descartes | 0.00 | 0.00 |
SPTB | -0.0003603 | 8130 | GTEx | DepMap | Descartes | 0.05 | 0.12 |
SELENBP1 | -0.0003787 | 8308 | GTEx | DepMap | Descartes | 0.02 | 0.14 |
GCLC | -0.0005013 | 9322 | GTEx | DepMap | Descartes | 0.95 | 6.53 |
EPB41 | -0.0006015 | 9933 | GTEx | DepMap | Descartes | 5.24 | 21.77 |
SLC25A37 | -0.0006093 | 9989 | GTEx | DepMap | Descartes | 3.65 | 21.19 |
MARCH3 | -0.0009003 | 11251 | GTEx | DepMap | Descartes | 0.09 | NA |
SPECC1 | -0.0011352 | 11758 | GTEx | DepMap | Descartes | 0.02 | 0.05 |
SNCA | -0.0012813 | 12003 | GTEx | DepMap | Descartes | 0.26 | 1.48 |
MICAL2 | -0.0013738 | 12108 | GTEx | DepMap | Descartes | 0.21 | 0.77 |
BLVRB | -0.0013945 | 12134 | GTEx | DepMap | Descartes | 0.28 | 4.44 |
NA | NA | NA | NA | NA | NA | NA | NA |
Descartes myeloid markers
Top 50 marker genes of myeloid cells in the Decartes fetal adrenal single cell map (https://atlas.brotmanbaty.org/bbi/human-gene-expression-during-development/cell/myeloid/in/adrenal)
Wilcoxon ranksum test P-value for gene set overrepresentation: 9.87e-01
Mean rank of genes in gene set: 7576.53
Median rank of genes in gene set: 7461
Rank on gene expression program of top 30 genes in gene set:
Genes | Weight | Rank | GTEx | DepMap | Descartes | Mean.Counts | Mean.TPM |
---|---|---|---|---|---|---|---|
PTPRE | 0.0012021 | 503 | GTEx | DepMap | Descartes | 2.30 | 10.78 |
CTSB | 0.0008353 | 810 | GTEx | DepMap | Descartes | 4.67 | 32.53 |
MSR1 | 0.0003770 | 1663 | GTEx | DepMap | Descartes | 0.11 | 0.94 |
CYBB | 0.0000385 | 3275 | GTEx | DepMap | Descartes | 0.00 | 0.02 |
CD163 | 0.0000166 | 3431 | GTEx | DepMap | Descartes | 0.00 | 0.00 |
HCK | -0.0000654 | 4376 | GTEx | DepMap | Descartes | 0.00 | 0.00 |
MERTK | -0.0000813 | 4611 | GTEx | DepMap | Descartes | 0.10 | 0.87 |
SLCO2B1 | -0.0000878 | 4729 | GTEx | DepMap | Descartes | 0.00 | 0.00 |
FGD2 | -0.0000894 | 4774 | GTEx | DepMap | Descartes | 0.00 | 0.00 |
FGL2 | -0.0000896 | 4777 | GTEx | DepMap | Descartes | 0.00 | 0.00 |
RGL1 | -0.0001196 | 5244 | GTEx | DepMap | Descartes | 0.95 | 5.19 |
CSF1R | -0.0001348 | 5464 | GTEx | DepMap | Descartes | 0.00 | 0.00 |
ATP8B4 | -0.0001394 | 5536 | GTEx | DepMap | Descartes | 0.00 | 0.00 |
MS4A4A | -0.0001412 | 5554 | GTEx | DepMap | Descartes | 0.00 | 0.00 |
ADAP2 | -0.0001818 | 6129 | GTEx | DepMap | Descartes | 0.00 | 0.00 |
CD14 | -0.0002189 | 6625 | GTEx | DepMap | Descartes | 0.01 | 0.14 |
SPP1 | -0.0002292 | 6753 | GTEx | DepMap | Descartes | 0.00 | 0.01 |
SLC9A9 | -0.0002640 | 7156 | GTEx | DepMap | Descartes | 0.00 | 0.02 |
CD74 | -0.0002851 | 7392 | GTEx | DepMap | Descartes | 0.02 | 0.09 |
WWP1 | -0.0002976 | 7530 | GTEx | DepMap | Descartes | 0.75 | 3.67 |
CTSS | -0.0003655 | 8186 | GTEx | DepMap | Descartes | 0.00 | 0.00 |
MARCH1 | -0.0003892 | 8419 | GTEx | DepMap | Descartes | 0.00 | NA |
CD163L1 | -0.0004731 | 9116 | GTEx | DepMap | Descartes | 2.76 | 12.99 |
ABCA1 | -0.0005141 | 9433 | GTEx | DepMap | Descartes | 0.04 | 0.10 |
TGFBI | -0.0005572 | 9692 | GTEx | DepMap | Descartes | 0.03 | 0.14 |
LGMN | -0.0005878 | 9856 | GTEx | DepMap | Descartes | 0.74 | 8.42 |
SFMBT2 | -0.0006421 | 10167 | GTEx | DepMap | Descartes | 0.06 | 0.11 |
HRH1 | -0.0006487 | 10213 | GTEx | DepMap | Descartes | 0.01 | 0.03 |
RBPJ | -0.0007570 | 10741 | GTEx | DepMap | Descartes | 5.57 | 23.31 |
IFNGR1 | -0.0007648 | 10768 | GTEx | DepMap | Descartes | 0.67 | 7.95 |
Descartes Schwann markers
Top 50 marker genes of Schwann cells in the Decartes fetal adrenal single cell map (https://atlas.brotmanbaty.org/bbi/human-gene-expression-during-development/cell/schwann/in/adrenal)
Wilcoxon ranksum test P-value for gene set overrepresentation: 9.92e-01
Mean rank of genes in gene set: 7587.95
Median rank of genes in gene set: 8874
Rank on gene expression program of top 30 genes in gene set:
Genes | Weight | Rank | GTEx | DepMap | Descartes | Mean.Counts | Mean.TPM |
---|---|---|---|---|---|---|---|
MARCKS | 0.0020997 | 207 | GTEx | DepMap | Descartes | 47.93 | 295.53 |
SFRP1 | 0.0018661 | 252 | GTEx | DepMap | Descartes | 26.70 | 156.35 |
STARD13 | 0.0013337 | 422 | GTEx | DepMap | Descartes | 0.69 | 3.10 |
PMP22 | 0.0010650 | 611 | GTEx | DepMap | Descartes | 4.31 | 66.97 |
GFRA3 | 0.0005484 | 1249 | GTEx | DepMap | Descartes | 0.25 | 3.26 |
ERBB4 | 0.0004428 | 1479 | GTEx | DepMap | Descartes | 0.47 | 1.17 |
TRPM3 | 0.0003985 | 1599 | GTEx | DepMap | Descartes | 0.29 | 0.70 |
NRXN1 | 0.0002724 | 2016 | GTEx | DepMap | Descartes | 1.84 | 5.67 |
SORCS1 | 0.0001941 | 2324 | GTEx | DepMap | Descartes | 1.87 | 6.84 |
MPZ | 0.0000507 | 3192 | GTEx | DepMap | Descartes | 0.07 | 1.11 |
LRRTM4 | -0.0000131 | 3700 | GTEx | DepMap | Descartes | 0.02 | 0.13 |
XKR4 | -0.0000870 | 4718 | GTEx | DepMap | Descartes | 0.01 | 0.01 |
ERBB3 | -0.0000930 | 4826 | GTEx | DepMap | Descartes | 0.01 | 0.04 |
IL1RAPL2 | -0.0001161 | 5180 | GTEx | DepMap | Descartes | 0.00 | 0.00 |
PLP1 | -0.0001171 | 5201 | GTEx | DepMap | Descartes | 0.00 | 0.00 |
KCTD12 | -0.0001569 | 5781 | GTEx | DepMap | Descartes | 1.79 | 7.43 |
GAS7 | -0.0001651 | 5893 | GTEx | DepMap | Descartes | 0.02 | 0.06 |
COL25A1 | -0.0002458 | 6930 | GTEx | DepMap | Descartes | 0.00 | 0.00 |
NRXN3 | -0.0002806 | 7341 | GTEx | DepMap | Descartes | 0.00 | 0.00 |
OLFML2A | -0.0003492 | 8027 | GTEx | DepMap | Descartes | 0.00 | 0.00 |
EGFLAM | -0.0003500 | 8035 | GTEx | DepMap | Descartes | 0.01 | 0.04 |
SCN7A | -0.0003751 | 8275 | GTEx | DepMap | Descartes | 0.01 | 0.03 |
LAMA4 | -0.0005207 | 9473 | GTEx | DepMap | Descartes | 0.18 | 0.51 |
LAMB1 | -0.0005352 | 9566 | GTEx | DepMap | Descartes | 3.38 | 16.50 |
IL1RAPL1 | -0.0005511 | 9657 | GTEx | DepMap | Descartes | 0.02 | 0.15 |
EDNRB | -0.0005513 | 9659 | GTEx | DepMap | Descartes | 0.00 | 0.01 |
MDGA2 | -0.0006432 | 10174 | GTEx | DepMap | Descartes | 0.00 | 0.01 |
PAG1 | -0.0007059 | 10522 | GTEx | DepMap | Descartes | 0.19 | 0.41 |
PLCE1 | -0.0007445 | 10691 | GTEx | DepMap | Descartes | 0.43 | 0.99 |
FIGN | -0.0007547 | 10730 | GTEx | DepMap | Descartes | 1.08 | 3.00 |
Descartes Megakaryocytes markers
Top 50 marker genes of Megakaryocytes cells in the Decartes fetal adrenal single cell map (https://atlas.brotmanbaty.org/bbi/human-gene-expression-during-development/cell/megakaryocytes/in/adrenal)
Wilcoxon ranksum test P-value for gene set overrepresentation: 9.98e-01
Mean rank of genes in gene set: 7831.96
Median rank of genes in gene set: 8833
Rank on gene expression program of top 30 genes in gene set:
Genes | Weight | Rank | GTEx | DepMap | Descartes | Mean.Counts | Mean.TPM |
---|---|---|---|---|---|---|---|
INPP4B | 0.0012870 | 446 | GTEx | DepMap | Descartes | 0.49 | 1.58 |
ARHGAP6 | 0.0012718 | 460 | GTEx | DepMap | Descartes | 0.75 | 3.36 |
PRKAR2B | 0.0006903 | 998 | GTEx | DepMap | Descartes | 6.00 | 41.45 |
TPM4 | 0.0005221 | 1296 | GTEx | DepMap | Descartes | 20.62 | 113.56 |
DOK6 | 0.0004023 | 1590 | GTEx | DepMap | Descartes | 1.30 | 3.94 |
PDE3A | 0.0003284 | 1818 | GTEx | DepMap | Descartes | 0.41 | 1.57 |
HIPK2 | 0.0002604 | 2054 | GTEx | DepMap | Descartes | 3.90 | 6.70 |
CD84 | 0.0001528 | 2536 | GTEx | DepMap | Descartes | 0.00 | 0.01 |
ITGB3 | 0.0000831 | 2955 | GTEx | DepMap | Descartes | 0.03 | 0.10 |
LIMS1 | -0.0000078 | 3639 | GTEx | DepMap | Descartes | 6.01 | 36.10 |
GP1BA | -0.0000989 | 4910 | GTEx | DepMap | Descartes | 0.01 | 0.11 |
TUBB1 | -0.0001097 | 5094 | GTEx | DepMap | Descartes | 0.00 | 0.03 |
MMRN1 | -0.0001101 | 5099 | GTEx | DepMap | Descartes | 0.00 | 0.00 |
TRPC6 | -0.0001522 | 5705 | GTEx | DepMap | Descartes | 0.00 | 0.00 |
ITGA2B | -0.0001772 | 6069 | GTEx | DepMap | Descartes | 0.01 | 0.03 |
SPN | -0.0001868 | 6190 | GTEx | DepMap | Descartes | 0.01 | 0.05 |
RAB27B | -0.0001906 | 6226 | GTEx | DepMap | Descartes | 0.45 | 1.65 |
P2RX1 | -0.0002024 | 6395 | GTEx | DepMap | Descartes | 0.00 | 0.00 |
PLEK | -0.0002639 | 7154 | GTEx | DepMap | Descartes | 0.00 | 0.00 |
MED12L | -0.0002867 | 7411 | GTEx | DepMap | Descartes | 0.34 | 0.80 |
STON2 | -0.0003759 | 8283 | GTEx | DepMap | Descartes | 0.43 | 2.47 |
SLC24A3 | -0.0004192 | 8699 | GTEx | DepMap | Descartes | 0.00 | 0.00 |
MCTP1 | -0.0004342 | 8833 | GTEx | DepMap | Descartes | 0.02 | 0.08 |
SLC2A3 | -0.0005229 | 9492 | GTEx | DepMap | Descartes | 0.09 | 0.62 |
FLI1 | -0.0005975 | 9913 | GTEx | DepMap | Descartes | 0.00 | 0.02 |
ACTN1 | -0.0006503 | 10219 | GTEx | DepMap | Descartes | 4.61 | 24.96 |
UBASH3B | -0.0006703 | 10346 | GTEx | DepMap | Descartes | 0.01 | 0.01 |
PSTPIP2 | -0.0006792 | 10391 | GTEx | DepMap | Descartes | 0.01 | 0.10 |
FERMT3 | -0.0006951 | 10473 | GTEx | DepMap | Descartes | 0.03 | 0.25 |
FLNA | -0.0007636 | 10766 | GTEx | DepMap | Descartes | 5.30 | 15.85 |
Descartes Lyphoid markers
Top 50 marker genes of Lyphoid cells in the Decartes fetal adrenal single cell map (https://atlas.brotmanbaty.org/bbi/human-gene-expression-during-development/cell/lymphoid/in/adrenal)
Wilcoxon ranksum test P-value for gene set overrepresentation: 1.14e-02
Mean rank of genes in gene set: 5004.76
Median rank of genes in gene set: 3637
Rank on gene expression program of top 30 genes in gene set:
Genes | Weight | Rank | GTEx | DepMap | Descartes | Mean.Counts | Mean.TPM |
---|---|---|---|---|---|---|---|
ETS1 | 0.0064179 | 15 | GTEx | DepMap | Descartes | 4.26 | 22.97 |
CELF2 | 0.0032419 | 82 | GTEx | DepMap | Descartes | 2.68 | 9.26 |
TOX | 0.0021189 | 203 | GTEx | DepMap | Descartes | 2.18 | 14.21 |
FOXP1 | 0.0019225 | 240 | GTEx | DepMap | Descartes | 6.43 | 18.90 |
ANKRD44 | 0.0014319 | 372 | GTEx | DepMap | Descartes | 1.73 | 7.02 |
GNG2 | 0.0013643 | 410 | GTEx | DepMap | Descartes | 5.25 | 36.59 |
TMSB10 | 0.0011507 | 538 | GTEx | DepMap | Descartes | 240.33 | 12511.90 |
BACH2 | 0.0010943 | 585 | GTEx | DepMap | Descartes | 0.63 | 1.79 |
SCML4 | 0.0010908 | 587 | GTEx | DepMap | Descartes | 0.04 | 0.27 |
MSN | 0.0010691 | 602 | GTEx | DepMap | Descartes | 5.24 | 35.55 |
EVL | 0.0009287 | 714 | GTEx | DepMap | Descartes | 7.60 | 53.43 |
WIPF1 | 0.0008996 | 746 | GTEx | DepMap | Descartes | 2.08 | 12.35 |
ARID5B | 0.0008851 | 757 | GTEx | DepMap | Descartes | 2.62 | 9.93 |
FYN | 0.0007102 | 966 | GTEx | DepMap | Descartes | 4.25 | 30.76 |
STK39 | 0.0006741 | 1025 | GTEx | DepMap | Descartes | 2.70 | 22.22 |
BCL2 | 0.0005552 | 1231 | GTEx | DepMap | Descartes | 1.90 | 7.05 |
RAP1GAP2 | 0.0004884 | 1364 | GTEx | DepMap | Descartes | 1.26 | 4.78 |
ABLIM1 | 0.0003443 | 1771 | GTEx | DepMap | Descartes | 3.55 | 12.17 |
PITPNC1 | 0.0003437 | 1772 | GTEx | DepMap | Descartes | 1.92 | 8.46 |
PDE3B | 0.0001597 | 2504 | GTEx | DepMap | Descartes | 1.21 | 5.72 |
ARHGAP15 | 0.0000765 | 3008 | GTEx | DepMap | Descartes | 0.00 | 0.03 |
CCL5 | -0.0000588 | 4266 | GTEx | DepMap | Descartes | 0.00 | 0.14 |
PRKCH | -0.0001051 | 5010 | GTEx | DepMap | Descartes | 0.08 | 0.51 |
IKZF1 | -0.0001524 | 5708 | GTEx | DepMap | Descartes | 0.01 | 0.03 |
SKAP1 | -0.0001609 | 5832 | GTEx | DepMap | Descartes | 0.01 | 0.09 |
SAMD3 | -0.0001747 | 6032 | GTEx | DepMap | Descartes | 0.00 | 0.00 |
MCTP2 | -0.0001986 | 6338 | GTEx | DepMap | Descartes | 0.00 | 0.00 |
RCSD1 | -0.0002159 | 6578 | GTEx | DepMap | Descartes | 0.00 | 0.01 |
NCALD | -0.0003730 | 8257 | GTEx | DepMap | Descartes | 0.51 | 3.26 |
PLEKHA2 | -0.0004737 | 9122 | GTEx | DepMap | Descartes | 0.14 | 0.61 |
Below shows the ranks on this GEP for immune marker gene lists curated by CellTypist (https://www.celltypist.org/encyclopedia).
High ranks indicate this gene is a driver of this GEP.
These curated gene list are ranked by P-value (on this GEP) of their constituent genes.
The Mean Count column shows the mean read count in cells scoring highly (H > 50) on this gene expression program.
Genes | Weight | Rank | GTEx | DepMap | Decartes | Mean.Counts | Mean.TPM |
---|---|---|---|---|---|---|---|
ETS1 | 0.0064179 | 15 | GTEx | DepMap | Descartes | 4.26 | 22.97 |
GATA3 | 0.0027693 | 107 | GTEx | DepMap | Descartes | 23.73 | 197.92 |
Erythroid: Mid erythroid (curated markers)
middle erythroid cells in fetal liver:
Wilcoxon ranksum test P-value for gene set overrepresentation: 1.31e-02
Mean rank of genes in gene set: 579.5
Rank on gene expression program of genes in gene set:
Genes | Weight | Rank | GTEx | DepMap | Decartes | Mean.Counts | Mean.TPM |
---|---|---|---|---|---|---|---|
PRDX2 | 0.0017463 | 282 | GTEx | DepMap | Descartes | 65.01 | 930.58 |
KCNH2 | 0.0007777 | 877 | GTEx | DepMap | Descartes | 3.33 | 18.63 |
T cells: gamma-delta T cells (model markers)
unconventional T lymphocyte subpopulation expressing a gamma-delta T cell receptor complex on the surface to recognise antigens:
Wilcoxon ranksum test P-value for gene set overrepresentation: 1.78e-02
Mean rank of genes in gene set: 1878.67
Rank on gene expression program of genes in gene set:
Genes | Weight | Rank | GTEx | DepMap | Decartes | Mean.Counts | Mean.TPM |
---|---|---|---|---|---|---|---|
KCNK10 | 0.0014671 | 357 | GTEx | DepMap | Descartes | 0.56 | 1.98 |
GRIN1 | 0.0005879 | 1166 | GTEx | DepMap | Descartes | 0.53 | 2.99 |
KLRC2 | -0.0000483 | 4113 | GTEx | DepMap | Descartes | 0.00 | 0.00 |