QQ-plot of gene loadings, averaged over both independent splits of the data
This plot highlights the relative contribution of each gene to the GEP
Top genes driving this program. Note: Decartes website is buggy, try refreshing. Also, Decartes fetal adrenal data have been collected at specific time points (89-122 days), all possible cell types of interest may not be represented, do not overinterpret. The Mean Count column shows the mean read count in cells scoring highly (H > 50) on this gene expression program (currently only calculated for the cells in the first 50/50 split of the data).
Note: Decartes website is buggy, try refreshing. Also, Decartes fetal adrenal data have been collected at specific time points (89-122 days), all possible cell types of interest may not be represented, do not overinterpret.
The Mean Count column shows the mean read count in cells scoring highly (H > 50) on this gene expression program.
| Gene | Loading | Gene.Name | GTEx | DepMap | Descartes | Mean.Counts | Mean.Tpm | |
|---|---|---|---|---|---|---|---|---|
| 1 | EGR1 | 0.0102998 | early growth response 1 | GTEx | DepMap | Descartes | 29.86 | 2764.73 |
| 2 | FOS | 0.0097413 | Fos proto-oncogene, AP-1 transcription factor subunit | GTEx | DepMap | Descartes | 30.49 | 4432.09 |
| 3 | ZFP36 | 0.0096566 | ZFP36 ring finger protein | GTEx | DepMap | Descartes | 18.68 | 2923.40 |
| 4 | FOSB | 0.0086561 | FosB proto-oncogene, AP-1 transcription factor subunit | GTEx | DepMap | Descartes | 50.81 | 3547.40 |
| 5 | NR2F2 | 0.0081723 | nuclear receptor subfamily 2 group F member 2 | GTEx | DepMap | Descartes | 11.33 | 602.71 |
| 6 | JUNB | 0.0081603 | JunB proto-oncogene, AP-1 transcription factor subunit | GTEx | DepMap | Descartes | 21.62 | 3073.54 |
| 7 | NR4A1 | 0.0075405 | nuclear receptor subfamily 4 group A member 1 | GTEx | DepMap | Descartes | 14.03 | 786.97 |
| 8 | ATF3 | 0.0072174 | activating transcription factor 3 | GTEx | DepMap | Descartes | 10.07 | 1274.29 |
| 9 | CXCL12 | 0.0071967 | C-X-C motif chemokine ligand 12 | GTEx | DepMap | Descartes | 7.22 | 512.89 |
| 10 | DCN | 0.0068289 | decorin | GTEx | DepMap | Descartes | 63.72 | 2280.75 |
| 11 | CXCL14 | 0.0067588 | C-X-C motif chemokine ligand 14 | GTEx | DepMap | Descartes | 6.35 | 768.41 |
| 12 | IGFBP7 | 0.0066877 | insulin like growth factor binding protein 7 | GTEx | DepMap | Descartes | 80.07 | 13467.57 |
| 13 | RGS16 | 0.0065591 | regulator of G protein signaling 16 | GTEx | DepMap | Descartes | 4.50 | 516.99 |
| 14 | JUN | 0.0065504 | Jun proto-oncogene, AP-1 transcription factor subunit | GTEx | DepMap | Descartes | 14.28 | 1218.91 |
| 15 | C3 | 0.0064624 | complement C3 | GTEx | DepMap | Descartes | 11.62 | 538.36 |
| 16 | KLF4 | 0.0063517 | Kruppel like factor 4 | GTEx | DepMap | Descartes | 6.55 | 587.08 |
| 17 | SOCS3 | 0.0061727 | suppressor of cytokine signaling 3 | GTEx | DepMap | Descartes | 9.59 | 1020.49 |
| 18 | SRPX | 0.0061159 | sushi repeat containing protein X-linked | GTEx | DepMap | Descartes | 6.30 | 827.74 |
| 19 | IER2 | 0.0060579 | immediate early response 2 | GTEx | DepMap | Descartes | 6.09 | 560.75 |
| 20 | KLF10 | 0.0059414 | Kruppel like factor 10 | GTEx | DepMap | Descartes | 3.30 | 245.51 |
| 21 | ID3 | 0.0058742 | inhibitor of DNA binding 3, HLH protein | GTEx | DepMap | Descartes | 4.97 | 1434.62 |
| 22 | IER5L | 0.0058690 | immediate early response 5 like | GTEx | DepMap | Descartes | 2.33 | 259.78 |
| 23 | SERPING1 | 0.0056916 | serpin family G member 1 | GTEx | DepMap | Descartes | 9.59 | 1039.91 |
| 24 | HES1 | 0.0055971 | hes family bHLH transcription factor 1 | GTEx | DepMap | Descartes | 5.71 | 899.34 |
| 25 | FSTL1 | 0.0055601 | follistatin like 1 | GTEx | DepMap | Descartes | 10.30 | 404.32 |
| 26 | EFEMP1 | 0.0055310 | EGF containing fibulin extracellular matrix protein 1 | GTEx | DepMap | Descartes | 3.90 | 284.32 |
| 27 | SERPINF1 | 0.0053895 | serpin family F member 1 | GTEx | DepMap | Descartes | 22.14 | 3478.14 |
| 28 | GADD45B | 0.0053239 | growth arrest and DNA damage inducible beta | GTEx | DepMap | Descartes | 6.00 | 757.62 |
| 29 | PTCH1 | 0.0052869 | patched 1 | GTEx | DepMap | Descartes | 1.41 | 40.12 |
| 30 | CFH | 0.0052661 | complement factor H | GTEx | DepMap | Descartes | 9.17 | 346.84 |
| 31 | SFRP4 | 0.0052485 | secreted frizzled related protein 4 | GTEx | DepMap | Descartes | 10.07 | 922.90 |
| 32 | AMOTL2 | 0.0051505 | angiomotin like 2 | GTEx | DepMap | Descartes | 3.11 | 186.38 |
| 33 | DUSP1 | 0.0051321 | dual specificity phosphatase 1 | GTEx | DepMap | Descartes | 8.82 | 1247.00 |
| 34 | LUM | 0.0051221 | lumican | GTEx | DepMap | Descartes | 43.64 | 3921.44 |
| 35 | IGFBP4 | 0.0050492 | insulin like growth factor binding protein 4 | GTEx | DepMap | Descartes | 14.07 | 1380.69 |
| 36 | NFIA | 0.0048658 | nuclear factor I A | GTEx | DepMap | Descartes | 4.64 | 25.17 |
| 37 | OSR2 | 0.0048632 | odd-skipped related transciption factor 2 | GTEx | DepMap | Descartes | 0.95 | 149.56 |
| 38 | FGF7 | 0.0048421 | fibroblast growth factor 7 | GTEx | DepMap | Descartes | 2.00 | 98.73 |
| 39 | CYBRD1 | 0.0046649 | cytochrome b reductase 1 | GTEx | DepMap | Descartes | 3.91 | 228.90 |
| 40 | MEOX2 | 0.0046548 | mesenchyme homeobox 2 | GTEx | DepMap | Descartes | 0.43 | 52.00 |
| 41 | FLRT2 | 0.0046155 | fibronectin leucine rich transmembrane protein 2 | GTEx | DepMap | Descartes | 1.85 | 15.21 |
| 42 | RARRES1 | 0.0045968 | retinoic acid receptor responder 1 | GTEx | DepMap | Descartes | 0.77 | 89.04 |
| 43 | BRD2 | 0.0045870 | bromodomain containing 2 | GTEx | DepMap | Descartes | 6.70 | 380.99 |
| 44 | ADM | 0.0045811 | adrenomedullin | GTEx | DepMap | Descartes | 5.13 | 688.16 |
| 45 | NFIB | 0.0045514 | nuclear factor I B | GTEx | DepMap | Descartes | 4.49 | 128.58 |
| 46 | PKDCC | 0.0045277 | protein kinase domain containing, cytoplasmic | GTEx | DepMap | Descartes | 2.06 | 220.32 |
| 47 | SSPN | 0.0045058 | sarcospan | GTEx | DepMap | Descartes | 3.44 | 199.92 |
| 48 | EGR3 | 0.0045033 | early growth response 3 | GTEx | DepMap | Descartes | 5.78 | 367.41 |
| 49 | LAMA2 | 0.0044083 | laminin subunit alpha 2 | GTEx | DepMap | Descartes | 5.19 | NA |
| 50 | ZFP36L1 | 0.0044020 | ZFP36 ring finger protein like 1 | GTEx | DepMap | Descartes | 24.52 | 1984.40 |
UMAP plots showing activity of gene expression program identified in community:18. Cancer Associated Fibroblast: Inflammatory
CNV Data procured from inferCNV.
Outer tracks are putative CNV regions (gains = red, losses = blue) for each patient
Inner track is expression data representing:
The top cells expressing this GEP (purple)
Random cells (n =50) from the reference set used in inferCNV (orange)
Gene set Enrichments for this program, caculated from top 50 genes
mSigDB Cell Types Gene Set:
| P-value | OR | Lower 95% CI | FDR | FWER | Genes Found | Gene Set Size | |
|---|---|---|---|---|---|---|---|
| FAN_OVARY_CL6_PUTATIVE_EARLY_ATRETIC_FOLLICLE_THECAL_CELL_2 | 1.42e-40 | 83.04 | 44.49 | 9.54e-38 | 9.54e-38 | 32EGR1, FOS, ZFP36, FOSB, NR2F2, JUNB, NR4A1, ATF3, CXCL12, DCN, JUN, KLF4, SOCS3, IER2, KLF10, ID3, SERPING1, HES1, FSTL1, SERPINF1, GADD45B, CFH, SFRP4, DUSP1, LUM, IGFBP4, NFIA, OSR2, CYBRD1, ADM, SSPN, ZFP36L1 |
300 |
| AIZARANI_LIVER_C21_STELLATE_CELLS_1 | 3.15e-29 | 62.18 | 33.38 | 7.05e-27 | 2.12e-26 | 23EGR1, FOS, ZFP36, FOSB, NR2F2, JUNB, CXCL12, DCN, IGFBP7, RGS16, KLF4, SOCS3, SRPX, FSTL1, EFEMP1, SERPINF1, CFH, LUM, IGFBP4, NFIA, CYBRD1, SSPN, ZFP36L1 |
194 |
| TRAVAGLINI_LUNG_ADVENTITIAL_FIBROBLAST_CELL | 2.21e-33 | 59.37 | 32.28 | 7.42e-31 | 1.48e-30 | 28EGR1, FOS, ZFP36, FOSB, JUNB, NR4A1, CXCL12, DCN, CXCL14, JUN, C3, KLF4, SOCS3, SRPX, IER2, FSTL1, EFEMP1, SERPINF1, CFH, SFRP4, DUSP1, LUM, IGFBP4, OSR2, FGF7, CYBRD1, RARRES1, ADM |
296 |
| FAN_OVARY_CL2_PUTATIVE_EARLY_ATRETIC_FOLLICLE_THECAL_CELL_1 | 4.47e-17 | 51.64 | 24.27 | 2.73e-15 | 3.00e-14 | 13EGR1, FOS, ZFP36, FOSB, JUNB, DCN, JUN, SERPING1, HES1, SERPINF1, DUSP1, LUM, ZFP36L1 |
98 |
| DURANTE_ADULT_OLFACTORY_NEUROEPITHELIUM_VASCULAR_SMOOTH_MUSCLE_CELLS | 5.49e-14 | 42.98 | 19.15 | 2.83e-12 | 3.68e-11 | 11EGR1, FOS, ZFP36, NR2F2, JUNB, ATF3, IGFBP7, RGS16, JUN, SOCS3, GADD45B |
93 |
| RUBENSTEIN_SKELETAL_MUSCLE_FAP_CELLS | 3.86e-18 | 36.07 | 18.22 | 3.24e-16 | 2.59e-15 | 16CXCL12, DCN, CXCL14, IGFBP7, C3, SERPING1, FSTL1, EFEMP1, SERPINF1, CFH, SFRP4, LUM, NFIA, CYBRD1, SSPN, LAMA2 |
179 |
| BUSSLINGER_GASTRIC_PREZYMOGENIC_CELLS | 7.44e-11 | 45.72 | 17.66 | 2.50e-09 | 5.00e-08 | 8EGR1, FOS, FOSB, NR2F2, JUN, IER2, GADD45B, NFIB |
60 |
| FAN_OVARY_CL14_MATURE_SMOOTH_MUSCLE_CELL | 4.55e-20 | 29.14 | 15.49 | 5.08e-18 | 3.05e-17 | 20EGR1, FOS, ZFP36, FOSB, NR2F2, JUNB, ATF3, IGFBP7, RGS16, JUN, SOCS3, IER2, KLF10, ID3, SERPING1, HES1, GADD45B, DUSP1, BRD2, ZFP36L1 |
306 |
| DURANTE_ADULT_OLFACTORY_NEUROEPITHELIUM_FIBROBLASTS_STROMAL_CELLS | 2.64e-11 | 37.51 | 15.47 | 9.31e-10 | 1.77e-08 | 9NR2F2, DCN, IGFBP7, SERPING1, SERPINF1, LUM, IGFBP4, FGF7, SSPN |
82 |
| FAN_OVARY_CL16_LYMPHATIC_ENDOTHELIAL_CELL | 8.11e-18 | 29.95 | 15.39 | 6.04e-16 | 5.44e-15 | 17FOS, FOSB, NR2F2, JUNB, IGFBP7, JUN, KLF4, IER2, KLF10, SERPING1, EFEMP1, GADD45B, DUSP1, IGFBP4, NFIA, ADM, NFIB |
232 |
| HAY_BONE_MARROW_STROMAL | 2.07e-26 | 27.83 | 15.15 | 3.48e-24 | 1.39e-23 | 31EGR1, ZFP36, FOSB, NR2F2, ATF3, CXCL12, DCN, CXCL14, IGFBP7, RGS16, JUN, SOCS3, SRPX, ID3, SERPING1, HES1, FSTL1, EFEMP1, GADD45B, CFH, AMOTL2, LUM, IGFBP4, OSR2, FGF7, CYBRD1, FLRT2, RARRES1, ADM, NFIB, SSPN |
765 |
| CUI_DEVELOPING_HEART_C3_FIBROBLAST_LIKE_CELL | 7.15e-13 | 33.23 | 14.93 | 3.43e-11 | 4.80e-10 | 11CXCL12, DCN, IGFBP7, SRPX, SERPING1, FSTL1, SERPINF1, LUM, NFIA, CYBRD1, FLRT2 |
117 |
| HU_FETAL_RETINA_FIBROBLAST | 6.04e-21 | 27.07 | 14.60 | 8.10e-19 | 4.05e-18 | 22EGR1, FOS, ZFP36, FOSB, NR2F2, JUNB, CXCL12, DCN, IGFBP7, JUN, KLF4, SOCS3, IER2, ID3, HES1, FSTL1, GADD45B, PTCH1, LUM, IGFBP4, NFIA, ZFP36L1 |
385 |
| FAN_OVARY_CL7_ANGEIOGENIC_ENDOTHELIAL_CELL | 3.01e-17 | 27.50 | 14.16 | 2.02e-15 | 2.02e-14 | 17EGR1, FOS, ZFP36, FOSB, JUNB, IGFBP7, JUN, KLF4, SOCS3, IER2, ID3, HES1, GADD45B, DUSP1, IGFBP4, NFIB, ZFP36L1 |
251 |
| ZHENG_CORD_BLOOD_C5_SIMILAR_TO_HSC_C6_PUTATIVE_ALTERED_METABOLIC_STATE | 1.22e-10 | 31.15 | 12.91 | 3.89e-09 | 8.17e-08 | 9FOS, ZFP36, JUNB, NR4A1, ATF3, JUN, IER2, GADD45B, DUSP1 |
97 |
| CUI_DEVELOPING_HEART_C5_VALVAR_CELL | 3.39e-14 | 25.03 | 12.27 | 1.89e-12 | 2.27e-11 | 14EGR1, FOS, JUNB, NR4A1, ATF3, SOCS3, SRPX, IER2, ID3, HES1, SERPINF1, GADD45B, SFRP4, EGR3 |
208 |
| ZHONG_PFC_HES1_POS_C1_NPC | 2.31e-04 | 129.66 | 11.45 | 2.35e-03 | 1.55e-01 | 2HES1, ZFP36L1 |
6 |
| BUSSLINGER_ESOPHAGEAL_QUIESCENT_BASAL_CELLS | 1.92e-08 | 29.04 | 10.65 | 4.30e-07 | 1.29e-05 | 7FOS, FOSB, JUNB, DCN, CXCL14, SOCS3, NFIB |
77 |
| GAO_LARGE_INTESTINE_24W_C1_DCLK1POS_PROGENITOR | 4.33e-09 | 26.12 | 10.30 | 1.04e-07 | 2.91e-06 | 8DCN, C3, SRPX, SERPING1, SERPINF1, LUM, CYBRD1, LAMA2 |
99 |
| CUI_DEVELOPING_HEART_VASCULAR_ENDOTHELIAL_CELL | 7.60e-12 | 21.80 | 10.20 | 3.19e-10 | 5.10e-09 | 12ZFP36, FOSB, JUNB, IGFBP7, JUN, KLF4, IER2, IER5L, EFEMP1, GADD45B, CFH, SFRP4 |
193 |
Dowload full table
mSigDB Hallmark Gene Sets:
| P-value | OR | Lower 95% CI | FDR | FWER | Genes Found | Gene Set Size | |
|---|---|---|---|---|---|---|---|
| HALLMARK_TNFA_SIGNALING_VIA_NFKB | 2.27e-17 | 31.95 | 16.17 | 1.13e-15 | 1.13e-15 | 16EGR1, FOS, ZFP36, FOSB, JUNB, NR4A1, ATF3, JUN, KLF4, SOCS3, IER2, KLF10, HES1, GADD45B, DUSP1, EGR3 |
200 |
| HALLMARK_EPITHELIAL_MESENCHYMAL_TRANSITION | 6.91e-08 | 14.37 | 6.05 | 1.73e-06 | 3.45e-06 | 9CXCL12, DCN, JUN, FSTL1, GADD45B, SFRP4, LUM, IGFBP4, LAMA2 |
200 |
| HALLMARK_HYPOXIA | 9.73e-07 | 12.40 | 4.96 | 1.62e-05 | 4.87e-05 | 8FOS, ZFP36, ATF3, DCN, JUN, SRPX, DUSP1, ADM |
200 |
| HALLMARK_ESTROGEN_RESPONSE_EARLY | 1.19e-05 | 10.54 | 3.95 | 1.19e-04 | 5.94e-04 | 7FOS, CXCL12, KLF4, KLF10, HES1, IGFBP4, EGR3 |
200 |
| HALLMARK_ESTROGEN_RESPONSE_LATE | 1.19e-05 | 10.54 | 3.95 | 1.19e-04 | 5.94e-04 | 7FOS, ZFP36, CXCL12, CXCL14, KLF4, IGFBP4, EGR3 |
200 |
| HALLMARK_APOPTOSIS | 3.77e-05 | 10.99 | 3.77 | 3.14e-04 | 1.89e-03 | 6ATF3, DCN, JUN, GADD45B, LUM, EGR3 |
161 |
| HALLMARK_P53_PATHWAY | 1.24e-04 | 8.78 | 3.02 | 8.83e-04 | 6.18e-03 | 6FOS, ATF3, RGS16, JUN, KLF4, ZFP36L1 |
200 |
| HALLMARK_TGF_BETA_SIGNALING | 1.26e-03 | 15.63 | 3.02 | 7.02e-03 | 6.32e-02 | 3JUNB, KLF10, ID3 |
54 |
| HALLMARK_UV_RESPONSE_UP | 3.76e-04 | 9.08 | 2.77 | 2.35e-03 | 1.88e-02 | 5FOS, FOSB, JUNB, NR4A1, ATF3 |
158 |
| HALLMARK_ANGIOGENESIS | 8.94e-03 | 15.30 | 1.73 | 3.73e-02 | 4.47e-01 | 2FSTL1, LUM |
36 |
| HALLMARK_MYOGENESIS | 7.71e-03 | 5.55 | 1.44 | 3.50e-02 | 3.85e-01 | 4IGFBP7, GADD45B, SSPN, LAMA2 |
200 |
| HALLMARK_INTERFERON_GAMMA_RESPONSE | 7.71e-03 | 5.55 | 1.44 | 3.50e-02 | 3.85e-01 | 4SOCS3, SERPING1, CFH, SSPN |
200 |
| HALLMARK_COAGULATION | 1.70e-02 | 5.91 | 1.16 | 6.54e-02 | 8.50e-01 | 3C3, SERPING1, CFH |
138 |
| HALLMARK_UV_RESPONSE_DN | 1.90e-02 | 5.66 | 1.11 | 6.79e-02 | 9.50e-01 | 3EFEMP1, DUSP1, NFIB |
144 |
| HALLMARK_IL2_STAT5_SIGNALING | 4.30e-02 | 4.07 | 0.80 | 1.28e-01 | 1.00e+00 | 3RGS16, GADD45B, PTCH1 |
199 |
| HALLMARK_COMPLEMENT | 4.35e-02 | 4.05 | 0.80 | 1.28e-01 | 1.00e+00 | 3C3, SERPING1, CFH |
200 |
| HALLMARK_KRAS_SIGNALING_UP | 4.35e-02 | 4.05 | 0.80 | 1.28e-01 | 1.00e+00 | 3RGS16, KLF4, CFH |
200 |
| HALLMARK_IL6_JAK_STAT3_SIGNALING | 4.64e-02 | 6.13 | 0.71 | 1.29e-01 | 1.00e+00 | 2JUN, SOCS3 |
87 |
| HALLMARK_ADIPOGENESIS | 1.85e-01 | 2.63 | 0.31 | 3.70e-01 | 1.00e+00 | 2C3, SSPN |
200 |
| HALLMARK_INFLAMMATORY_RESPONSE | 1.85e-01 | 2.63 | 0.31 | 3.70e-01 | 1.00e+00 | 2RGS16, ADM |
200 |
Dowload full table
KEGG Pathways:
| P-value | OR | Lower 95% CI | FDR | FWER | Genes Found | Gene Set Size | |
|---|---|---|---|---|---|---|---|
| KEGG_COMPLEMENT_AND_COAGULATION_CASCADES | 2.55e-03 | 12.08 | 2.35 | 1.79e-01 | 4.75e-01 | 3C3, SERPING1, CFH |
69 |
| KEGG_MAPK_SIGNALING_PATHWAY | 5.69e-04 | 6.53 | 2.25 | 1.06e-01 | 1.06e-01 | 6FOS, NR4A1, JUN, GADD45B, DUSP1, FGF7 |
267 |
| KEGG_LEISHMANIA_INFECTION | 2.88e-03 | 11.56 | 2.25 | 1.79e-01 | 5.36e-01 | 3FOS, JUN, C3 |
72 |
| KEGG_PATHWAYS_IN_CANCER | 8.32e-03 | 4.34 | 1.34 | 3.87e-01 | 1.00e+00 | 5FOS, JUN, PTCH1, FGF7, LAMA2 |
325 |
| KEGG_COLORECTAL_CANCER | 2.50e-02 | 8.68 | 1.00 | 9.32e-01 | 1.00e+00 | 2FOS, JUN |
62 |
| KEGG_B_CELL_RECEPTOR_SIGNALING_PATHWAY | 3.55e-02 | 7.13 | 0.82 | 1.00e+00 | 1.00e+00 | 2FOS, JUN |
75 |
| KEGG_TGF_BETA_SIGNALING_PATHWAY | 4.54e-02 | 6.20 | 0.72 | 1.00e+00 | 1.00e+00 | 2DCN, ID3 |
86 |
| KEGG_TOLL_LIKE_RECEPTOR_SIGNALING_PATHWAY | 6.14e-02 | 5.21 | 0.60 | 1.00e+00 | 1.00e+00 | 2FOS, JUN |
102 |
| KEGG_T_CELL_RECEPTOR_SIGNALING_PATHWAY | 6.78e-02 | 4.91 | 0.57 | 1.00e+00 | 1.00e+00 | 2FOS, JUN |
108 |
| KEGG_WNT_SIGNALING_PATHWAY | 1.19e-01 | 3.50 | 0.41 | 1.00e+00 | 1.00e+00 | 2JUN, SFRP4 |
151 |
| KEGG_CHEMOKINE_SIGNALING_PATHWAY | 1.70e-01 | 2.79 | 0.33 | 1.00e+00 | 1.00e+00 | 2CXCL12, CXCL14 |
189 |
| KEGG_FOCAL_ADHESION | 1.83e-01 | 2.64 | 0.31 | 1.00e+00 | 1.00e+00 | 2JUN, LAMA2 |
199 |
| KEGG_MATURITY_ONSET_DIABETES_OF_THE_YOUNG | 9.49e-02 | 10.62 | 0.25 | 1.00e+00 | 1.00e+00 | 1HES1 |
25 |
| KEGG_CYTOKINE_CYTOKINE_RECEPTOR_INTERACTION | 2.77e-01 | 1.98 | 0.23 | 1.00e+00 | 1.00e+00 | 2CXCL12, CXCL14 |
265 |
| KEGG_PRION_DISEASES | 1.30e-01 | 7.50 | 0.18 | 1.00e+00 | 1.00e+00 | 1EGR1 |
35 |
| KEGG_NOTCH_SIGNALING_PATHWAY | 1.71e-01 | 5.54 | 0.13 | 1.00e+00 | 1.00e+00 | 1HES1 |
47 |
| KEGG_TYPE_II_DIABETES_MELLITUS | 1.71e-01 | 5.54 | 0.13 | 1.00e+00 | 1.00e+00 | 1SOCS3 |
47 |
| KEGG_INTESTINAL_IMMUNE_NETWORK_FOR_IGA_PRODUCTION | 1.74e-01 | 5.43 | 0.13 | 1.00e+00 | 1.00e+00 | 1CXCL12 |
48 |
| KEGG_BASAL_CELL_CARCINOMA | 1.97e-01 | 4.72 | 0.12 | 1.00e+00 | 1.00e+00 | 1PTCH1 |
55 |
| KEGG_HEDGEHOG_SIGNALING_PATHWAY | 2.00e-01 | 4.64 | 0.11 | 1.00e+00 | 1.00e+00 | 1PTCH1 |
56 |
Dowload full table
CHR Positional Gene Sets:
| P-value | OR | Lower 95% CI | FDR | FWER | Genes Found | Gene Set Size | |
|---|---|---|---|---|---|---|---|
| chr12q21 | 9.06e-02 | 4.13 | 0.48 | 1.00e+00 | 1.00e+00 | 2DCN, LUM |
128 |
| chr8q22 | 1.22e-01 | 3.45 | 0.40 | 1.00e+00 | 1.00e+00 | 2KLF10, OSR2 |
153 |
| chr19p13 | 5.35e-01 | 1.41 | 0.37 | 1.00e+00 | 1.00e+00 | 4JUNB, C3, IER2, GADD45B |
773 |
| chr14q24 | 1.72e-01 | 2.76 | 0.32 | 1.00e+00 | 1.00e+00 | 2FOS, ZFP36L1 |
191 |
| chr5q31 | 3.08e-01 | 1.83 | 0.21 | 1.00e+00 | 1.00e+00 | 2EGR1, CXCL14 |
287 |
| chr14q31 | 2.00e-01 | 4.64 | 0.11 | 1.00e+00 | 1.00e+00 | 1FLRT2 |
56 |
| chr1q31 | 2.46e-01 | 3.64 | 0.09 | 1.00e+00 | 1.00e+00 | 1CFH |
71 |
| chr4q12 | 2.70e-01 | 3.27 | 0.08 | 1.00e+00 | 1.00e+00 | 1IGFBP7 |
79 |
| chr2p21 | 2.73e-01 | 3.23 | 0.08 | 1.00e+00 | 1.00e+00 | 1PKDCC |
80 |
| chr7p21 | 2.81e-01 | 3.11 | 0.08 | 1.00e+00 | 1.00e+00 | 1MEOX2 |
83 |
| chr12p12 | 3.46e-01 | 2.41 | 0.06 | 1.00e+00 | 1.00e+00 | 1SSPN |
107 |
| chr2p16 | 3.64e-01 | 2.26 | 0.06 | 1.00e+00 | 1.00e+00 | 1EFEMP1 |
114 |
| chr3q22 | 3.72e-01 | 2.20 | 0.05 | 1.00e+00 | 1.00e+00 | 1AMOTL2 |
117 |
| chr6q22 | 3.77e-01 | 2.16 | 0.05 | 1.00e+00 | 1.00e+00 | 1LAMA2 |
119 |
| chr19q13 | 4.39e-01 | 0.45 | 0.05 | 1.00e+00 | 1.00e+00 | 2ZFP36, FOSB |
1165 |
| chr3q29 | 3.84e-01 | 2.11 | 0.05 | 1.00e+00 | 1.00e+00 | 1HES1 |
122 |
| chr8p21 | 3.99e-01 | 2.01 | 0.05 | 1.00e+00 | 1.00e+00 | 1EGR3 |
128 |
| chr9q31 | 3.99e-01 | 2.01 | 0.05 | 1.00e+00 | 1.00e+00 | 1KLF4 |
128 |
| chr1p32 | 4.53e-01 | 1.69 | 0.04 | 1.00e+00 | 1.00e+00 | 1JUN |
152 |
| chr3q25 | 4.53e-01 | 1.69 | 0.04 | 1.00e+00 | 1.00e+00 | 1RARRES1 |
152 |
Dowload full table
Transcription Factor Targets:
| P-value | OR | Lower 95% CI | FDR | FWER | Genes Found | Gene Set Size | |
|---|---|---|---|---|---|---|---|
| SRF_01 | 4.50e-08 | 37.85 | 12.54 | 2.55e-05 | 5.10e-05 | 6EGR1, FOS, FOSB, JUNB, IER2, EGR3 |
51 |
| SRF_Q5_01 | 1.31e-08 | 14.54 | 6.40 | 1.48e-05 | 1.48e-05 | 10EGR1, FOS, FOSB, NR2F2, JUNB, ATF3, IER2, PTCH1, FGF7, EGR3 |
225 |
| SRF_C | 1.27e-07 | 13.32 | 5.62 | 4.80e-05 | 1.44e-04 | 9EGR1, FOS, FOSB, NR2F2, JUNB, NR4A1, IER2, PTCH1, EGR3 |
215 |
| SRF_Q4 | 2.24e-07 | 12.41 | 5.24 | 6.33e-05 | 2.53e-04 | 9EGR1, FOS, FOSB, NR2F2, JUNB, NR4A1, IER2, PTCH1, EGR3 |
230 |
| MDM2_TARGET_GENES | 1.18e-03 | 47.19 | 4.96 | 5.56e-02 | 1.00e+00 | 2BRD2, ADM |
13 |
| AHRARNT_02 | 1.58e-03 | 39.95 | 4.27 | 6.16e-02 | 1.00e+00 | 2EGR1, HES1 |
15 |
| MEF2_03 | 3.72e-06 | 10.26 | 4.11 | 5.94e-04 | 4.22e-03 | 8FOS, NR4A1, ATF3, JUN, PTCH1, MEOX2, NFIB, SSPN |
240 |
| CEBPDELTA_Q6 | 4.59e-06 | 9.96 | 4.00 | 5.94e-04 | 5.20e-03 | 8FOS, FOSB, NR4A1, ATF3, JUN, EFEMP1, SERPINF1, PTCH1 |
247 |
| SRF_Q6 | 4.72e-06 | 9.92 | 3.98 | 5.94e-04 | 5.35e-03 | 8EGR1, FOS, FOSB, NR2F2, JUNB, NR4A1, PTCH1, EGR3 |
248 |
| CCAWWNAAGG_SRF_Q4 | 3.96e-04 | 12.93 | 3.31 | 2.55e-02 | 4.49e-01 | 4EGR1, FOSB, NR4A1, PTCH1 |
88 |
| GTF2A2_TARGET_GENES | 3.36e-06 | 6.90 | 3.17 | 5.94e-04 | 3.81e-03 | 11EGR1, FOS, ZFP36, FOSB, JUNB, ATF3, SOCS3, HES1, GADD45B, DUSP1, BRD2 |
522 |
| YTATTTTNR_MEF2_02 | 1.62e-06 | 6.26 | 3.04 | 3.67e-04 | 1.83e-03 | 13FOS, FOSB, JUNB, NR4A1, JUN, IER5L, HES1, GADD45B, NFIA, MEOX2, NFIB, SSPN, LAMA2 |
715 |
| CREB_Q2 | 7.66e-05 | 7.77 | 2.92 | 7.89e-03 | 8.67e-02 | 7EGR1, FOS, FOSB, ATF3, GADD45B, DUSP1, EGR3 |
269 |
| CDPCR3_01 | 1.48e-03 | 14.76 | 2.85 | 6.16e-02 | 1.00e+00 | 3HES1, NFIA, FGF7 |
57 |
| EGR_Q6 | 9.79e-05 | 7.46 | 2.80 | 8.72e-03 | 1.11e-01 | 7EGR1, ZFP36, NR2F2, KLF10, PTCH1, BRD2, ZFP36L1 |
280 |
| ATXN7L3_TARGET_GENES | 1.00e-04 | 7.43 | 2.79 | 8.72e-03 | 1.13e-01 | 7ATF3, KLF4, IER5L, HES1, GADD45B, OSR2, BRD2 |
281 |
| PSMB5_TARGET_GENES | 1.71e-04 | 6.78 | 2.55 | 1.38e-02 | 1.94e-01 | 7ZFP36, JUNB, ATF3, IER5L, DUSP1, BRD2, ADM |
307 |
| FOXJ2_02 | 3.49e-04 | 7.19 | 2.48 | 2.55e-02 | 3.95e-01 | 6ATF3, IGFBP7, EFEMP1, NFIA, FGF7, NFIB |
243 |
| E2F1_Q3_01 | 4.05e-04 | 6.99 | 2.41 | 2.55e-02 | 4.58e-01 | 6NR2F2, JUNB, KLF4, KLF10, ID3, EGR3 |
250 |
| TFIIA_Q6 | 4.58e-04 | 6.82 | 2.35 | 2.68e-02 | 5.19e-01 | 6EGR1, FOSB, NR4A1, IER2, ID3, NFIB |
256 |
Dowload full table
GO Biological Processes:
| P-value | OR | Lower 95% CI | FDR | FWER | Genes Found | Gene Set Size | |
|---|---|---|---|---|---|---|---|
| GOBP_KERATINOCYTE_APOPTOTIC_PROCESS | 1.18e-06 | 261.33 | 34.39 | 3.53e-04 | 8.82e-03 | 3ZFP36, SFRP4, ZFP36L1 |
6 |
| GOBP_PROGESTERONE_BIOSYNTHETIC_PROCESS | 2.31e-04 | 129.66 | 11.45 | 2.37e-02 | 1.00e+00 | 2EGR1, ADM |
6 |
| GOBP_LABYRINTHINE_LAYER_DEVELOPMENT | 7.77e-07 | 35.54 | 10.46 | 2.64e-04 | 5.81e-03 | 5JUNB, SOCS3, HES1, ADM, ZFP36L1 |
44 |
| GOBP_PLACENTA_BLOOD_VESSEL_DEVELOPMENT | 5.61e-06 | 41.71 | 10.17 | 1.31e-03 | 4.20e-02 | 4NR2F2, JUNB, SOCS3, HES1 |
30 |
| GOBP_NUCLEAR_TRANSCRIBED_MRNA_CATABOLIC_PROCESS_DEADENYLATION_INDEPENDENT_DECAY | 3.22e-04 | 103.49 | 9.64 | 3.05e-02 | 1.00e+00 | 2ZFP36, ZFP36L1 |
7 |
| GOBP_POSITIVE_REGULATION_OF_HORMONE_BIOSYNTHETIC_PROCESS | 3.22e-04 | 103.49 | 9.64 | 3.05e-02 | 1.00e+00 | 2EGR1, ADM |
7 |
| GOBP_REGULATION_OF_EPITHELIAL_CELL_PROLIFERATION_INVOLVED_IN_LUNG_MORPHOGENESIS | 3.22e-04 | 103.49 | 9.64 | 3.05e-02 | 1.00e+00 | 2FGF7, NFIB |
7 |
| GOBP_PRI_MIRNA_TRANSCRIPTION_BY_RNA_POLYMERASE_II | 1.81e-06 | 29.51 | 8.75 | 4.83e-04 | 1.35e-02 | 5EGR1, FOS, JUN, KLF4, NFIB |
52 |
| GOBP_LABYRINTHINE_LAYER_MORPHOGENESIS | 6.44e-05 | 46.77 | 8.51 | 8.16e-03 | 4.82e-01 | 3SOCS3, ADM, ZFP36L1 |
20 |
| GOBP_EMBRYONIC_PLACENTA_DEVELOPMENT | 6.31e-07 | 23.32 | 7.88 | 2.25e-04 | 4.72e-03 | 6NR2F2, JUNB, SOCS3, HES1, ADM, ZFP36L1 |
79 |
| GOBP_POSITIVE_REGULATION_OF_PRI_MIRNA_TRANSCRIPTION_BY_RNA_POLYMERASE_II | 1.81e-05 | 30.14 | 7.49 | 2.88e-03 | 1.35e-01 | 4EGR1, FOS, JUN, KLF4 |
40 |
| GOBP_EPITHELIAL_CELL_PROLIFERATION_INVOLVED_IN_LUNG_MORPHOGENESIS | 5.49e-04 | 74.10 | 7.33 | 4.28e-02 | 1.00e+00 | 2FGF7, NFIB |
9 |
| GOBP_EMBRYONIC_PLACENTA_MORPHOGENESIS | 1.13e-04 | 37.87 | 7.01 | 1.32e-02 | 8.45e-01 | 3SOCS3, ADM, ZFP36L1 |
24 |
| GOBP_RESPONSE_TO_CORTICOSTEROID | 1.23e-07 | 16.53 | 6.58 | 6.39e-05 | 9.18e-04 | 8FOS, ZFP36, FOSB, IGFBP7, SERPINF1, DUSP1, ADM, ZFP36L1 |
152 |
| GOBP_NEGATIVE_REGULATION_OF_ERYTHROCYTE_DIFFERENTIATION | 6.85e-04 | 64.86 | 6.55 | 4.82e-02 | 1.00e+00 | 2ZFP36, ZFP36L1 |
10 |
| GOBP_CELL_PROLIFERATION_INVOLVED_IN_METANEPHROS_DEVELOPMENT | 6.85e-04 | 64.86 | 6.55 | 4.82e-02 | 1.00e+00 | 2EGR1, PTCH1 |
10 |
| GOBP_VASCULAR_ASSOCIATED_SMOOTH_MUSCLE_CELL_DEVELOPMENT | 6.85e-04 | 64.86 | 6.55 | 4.82e-02 | 1.00e+00 | 2HES1, ADM |
10 |
| GOBP_COMPLEMENT_DEPENDENT_CYTOTOXICITY | 6.85e-04 | 64.86 | 6.55 | 4.82e-02 | 1.00e+00 | 2C3, CFH |
10 |
| GOBP_REGULATION_OF_EPIDERMIS_DEVELOPMENT | 7.39e-06 | 21.68 | 6.50 | 1.58e-03 | 5.53e-02 | 5ZFP36, HES1, PTCH1, SFRP4, ZFP36L1 |
69 |
| GOBP_KERATINOCYTE_PROLIFERATION | 3.76e-05 | 24.69 | 6.19 | 5.30e-03 | 2.81e-01 | 4ZFP36, PTCH1, FGF7, ZFP36L1 |
48 |
Dowload full table
Immunological Gene Sets:
| P-value | OR | Lower 95% CI | FDR | FWER | Genes Found | Gene Set Size | |
|---|---|---|---|---|---|---|---|
| GSE37605_TREG_VS_TCONV_NOD_FOXP3_FUSION_GFP_UP | 1.25e-14 | 32.04 | 15.27 | 6.11e-11 | 6.11e-11 | 13EGR1, FOS, ZFP36, FOSB, JUNB, NR4A1, ATF3, JUN, IER2, ID3, DUSP1, ADM, EGR3 |
150 |
| GSE36891_POLYIC_TLR3_VS_PAM_TLR2_STIM_PERITONEAL_MACROPHAGE_UP | 1.35e-11 | 24.83 | 11.23 | 9.36e-09 | 6.55e-08 | 11EGR1, FOS, ZFP36, FOSB, JUNB, NR4A1, ATF3, JUN, KLF4, IER2, DUSP1 |
153 |
| GSE37605_FOXP3_FUSION_GFP_VS_IRES_GFP_TREG_C57BL6_UP | 4.64e-12 | 22.80 | 10.66 | 9.34e-09 | 2.26e-08 | 12EGR1, FOS, ZFP36, FOSB, JUNB, NR4A1, ATF3, JUN, ID3, DUSP1, NFIA, ADM |
185 |
| GSE37605_C57BL6_VS_NOD_FOXP3_FUSION_GFP_TREG_DN | 6.73e-12 | 22.04 | 10.31 | 9.34e-09 | 3.28e-08 | 12FOS, ZFP36, FOSB, JUNB, NR4A1, ATF3, JUN, KLF4, IER2, ID3, DUSP1, ZFP36L1 |
191 |
| GSE23925_LIGHT_ZONE_VS_NAIVE_BCELL_UP | 1.08e-11 | 21.10 | 9.88 | 9.34e-09 | 5.29e-08 | 12EGR1, FOS, ZFP36, FOSB, JUNB, NR4A1, ATF3, IER2, ID3, DUSP1, EGR3, ZFP36L1 |
199 |
| GSE14769_UNSTIM_VS_40MIN_LPS_BMDM_DN | 1.15e-11 | 20.99 | 9.83 | 9.34e-09 | 5.60e-08 | 12EGR1, FOS, ZFP36, JUNB, ATF3, JUN, SOCS3, IER2, ID3, GADD45B, DUSP1, ZFP36L1 |
200 |
| GSE23925_DARK_ZONE_VS_NAIVE_BCELL_DN | 1.15e-11 | 20.99 | 9.83 | 9.34e-09 | 5.60e-08 | 12EGR1, FOS, ZFP36, FOSB, JUNB, NR4A1, IER2, ID3, EFEMP1, DUSP1, EGR3, ZFP36L1 |
200 |
| GSE37301_PRO_BCELL_VS_GRANULOCYTE_MONOCYTE_PROGENITOR_UP | 4.61e-09 | 20.03 | 8.39 | 1.73e-06 | 2.25e-05 | 9FOS, ZFP36, FOSB, JUN, ID3, GADD45B, DUSP1, CYBRD1, FLRT2 |
146 |
| GSE45365_NK_CELL_VS_BCELL_UP | 3.90e-09 | 16.62 | 7.30 | 1.73e-06 | 1.90e-05 | 10EGR1, FOS, ZFP36, FOSB, JUNB, ATF3, IER2, ID3, DUSP1, EGR3 |
198 |
| KAECH_DAY8_EFF_VS_MEMORY_CD8_TCELL_DN | 4.09e-09 | 16.53 | 7.26 | 1.73e-06 | 1.99e-05 | 10EGR1, FOS, ZFP36, FOSB, JUN, KLF4, SOCS3, IER2, DUSP1, ZFP36L1 |
199 |
| GSE19923_WT_VS_HEB_AND_E2A_KO_DP_THYMOCYTE_DN | 4.29e-09 | 16.45 | 7.22 | 1.73e-06 | 2.09e-05 | 10EGR1, FOS, ZFP36, JUNB, NR4A1, ATF3, SOCS3, IER2, DUSP1, ZFP36L1 |
200 |
| GSE16385_ROSIGLITAZONE_IFNG_TNF_VS_IL4_STIM_MACROPHAGE_UP | 4.29e-09 | 16.45 | 7.22 | 1.73e-06 | 2.09e-05 | 10EGR1, FOS, ZFP36, FOSB, JUNB, NR4A1, IER2, DUSP1, LUM, ZFP36L1 |
200 |
| GSE27434_WT_VS_DNMT1_KO_TREG_DN | 4.29e-09 | 16.45 | 7.22 | 1.73e-06 | 2.09e-05 | 10EGR1, FOS, ZFP36, JUNB, NR4A1, SOCS3, IER2, GADD45B, DUSP1, ZFP36L1 |
200 |
| GSE24671_CTRL_VS_BAKIMULC_INFECTED_MOUSE_SPLENOCYTES_DN | 1.72e-08 | 17.04 | 7.16 | 6.00e-06 | 8.40e-05 | 9JUNB, NR4A1, DCN, FSTL1, GADD45B, DUSP1, FLRT2, LAMA2, ZFP36L1 |
170 |
| GSE36891_UNSTIM_VS_POLYIC_TLR3_STIM_PERITONEAL_MACROPHAGE_UP | 1.05e-07 | 16.88 | 6.72 | 1.83e-05 | 5.13e-04 | 8EGR1, FOS, ZFP36, FOSB, NR4A1, ATF3, IER2, EGR3 |
149 |
| GSE7219_WT_VS_NIK_NFKB2_KO_DC_UP | 3.56e-08 | 15.59 | 6.56 | 1.16e-05 | 1.73e-04 | 9EGR1, ZFP36, ATF3, JUN, SOCS3, KLF10, GADD45B, BRD2, ZFP36L1 |
185 |
| GSE9988_ANTI_TREM1_AND_LPS_VS_CTRL_TREATED_MONOCYTES_UP | 5.33e-08 | 14.83 | 6.24 | 1.25e-05 | 2.60e-04 | 9EGR1, NR4A1, JUN, SOCS3, KLF10, HES1, GADD45B, DUSP1, ADM |
194 |
| GSE29617_CTRL_VS_DAY7_TIV_FLU_VACCINE_PBMC_2008_UP | 5.82e-08 | 14.67 | 6.18 | 1.25e-05 | 2.84e-04 | 9FOS, FOSB, JUNB, NR4A1, ATF3, SOCS3, SERPING1, DUSP1, EGR3 |
196 |
| GSE9988_LOW_LPS_VS_CTRL_TREATED_MONOCYTE_UP | 5.82e-08 | 14.67 | 6.18 | 1.25e-05 | 2.84e-04 | 9EGR1, NR4A1, JUN, SOCS3, HES1, GADD45B, DUSP1, ADM, EGR3 |
196 |
| GSE9988_ANTI_TREM1_VS_CTRL_TREATED_MONOCYTES_UP | 6.34e-08 | 14.52 | 6.11 | 1.25e-05 | 3.09e-04 | 9EGR1, NR4A1, ATF3, JUN, KLF10, GADD45B, DUSP1, ADM, EGR3 |
198 |
Top Ranked Transcription Factors for this Gene Expression Program:
| Gene Symbol | TF Rank | DNA Binding Domain | Motif Status | IUPAC PWM | GTEx | DepMap | Decartes |
|---|---|---|---|---|---|---|---|
| EGR1 | 1 | Yes | Known motif | Monomer or homomultimer | High-throughput in vitro | None | None |
| FOS | 2 | Yes | Known motif | Monomer or homomultimer | High-throughput in vitro | None | None |
| ZFP36 | 3 | No | ssDNA/RNA binding | Not a DNA binding protein | No motif | None | RNA binding protein (PMID: 10330172). |
| FOSB | 4 | Yes | Known motif | Monomer or homomultimer | High-throughput in vitro | None | None |
| NR2F2 | 5 | Yes | Known motif | Monomer or homomultimer | 100 perc ID - in vitro | None | None |
| JUNB | 6 | Yes | Known motif | Monomer or homomultimer | High-throughput in vitro | None | Prefers forming heterodimers with FOS; FOSB; FOSL1 and FOSL2 over homodimers (PMID:12805554); but, clearly can bind DNA specifically in vitro. |
| NR4A1 | 7 | Yes | Known motif | Monomer or homomultimer | High-throughput in vitro | None | None |
| ATF3 | 8 | Yes | Known motif | Monomer or homomultimer | High-throughput in vitro | None | None |
| JUN | 14 | Yes | Known motif | Monomer or homomultimer | High-throughput in vitro | None | None |
| KLF4 | 16 | Yes | Known motif | Monomer or homomultimer | High-throughput in vitro | None | None |
| KLF10 | 20 | Yes | Known motif | Monomer or homomultimer | High-throughput in vitro | None | None |
| ID3 | 21 | No | Unlikely to be sequence specific TF | Not a DNA binding protein | No motif | None | ID bHLH proteins lack the basic region and should not be able to bind DNA. The HT-SELEX motif for ID4 is likely by a co-precipitated protein or it is a contamination |
| HES1 | 24 | Yes | Known motif | Monomer or homomultimer | High-throughput in vitro | None | None |
| PTCH1 | 29 | No | Unlikely to be sequence specific TF | Not a DNA binding protein | No motif | None | None |
| SFRP4 | 31 | No | Unlikely to be sequence specific TF | Not a DNA binding protein | No motif | None | None |
| NFIA | 36 | Yes | Known motif | Monomer or homomultimer | High-throughput in vitro | None | None |
| OSR2 | 37 | Yes | Known motif | Monomer or homomultimer | High-throughput in vitro | None | None |
| MEOX2 | 40 | Yes | Known motif | Monomer or homomultimer | High-throughput in vitro | None | None |
| NFIB | 45 | Yes | Known motif | Monomer or homomultimer | High-throughput in vitro | None | None |
| EGR3 | 48 | Yes | Known motif | Monomer or homomultimer | High-throughput in vitro | None | None |
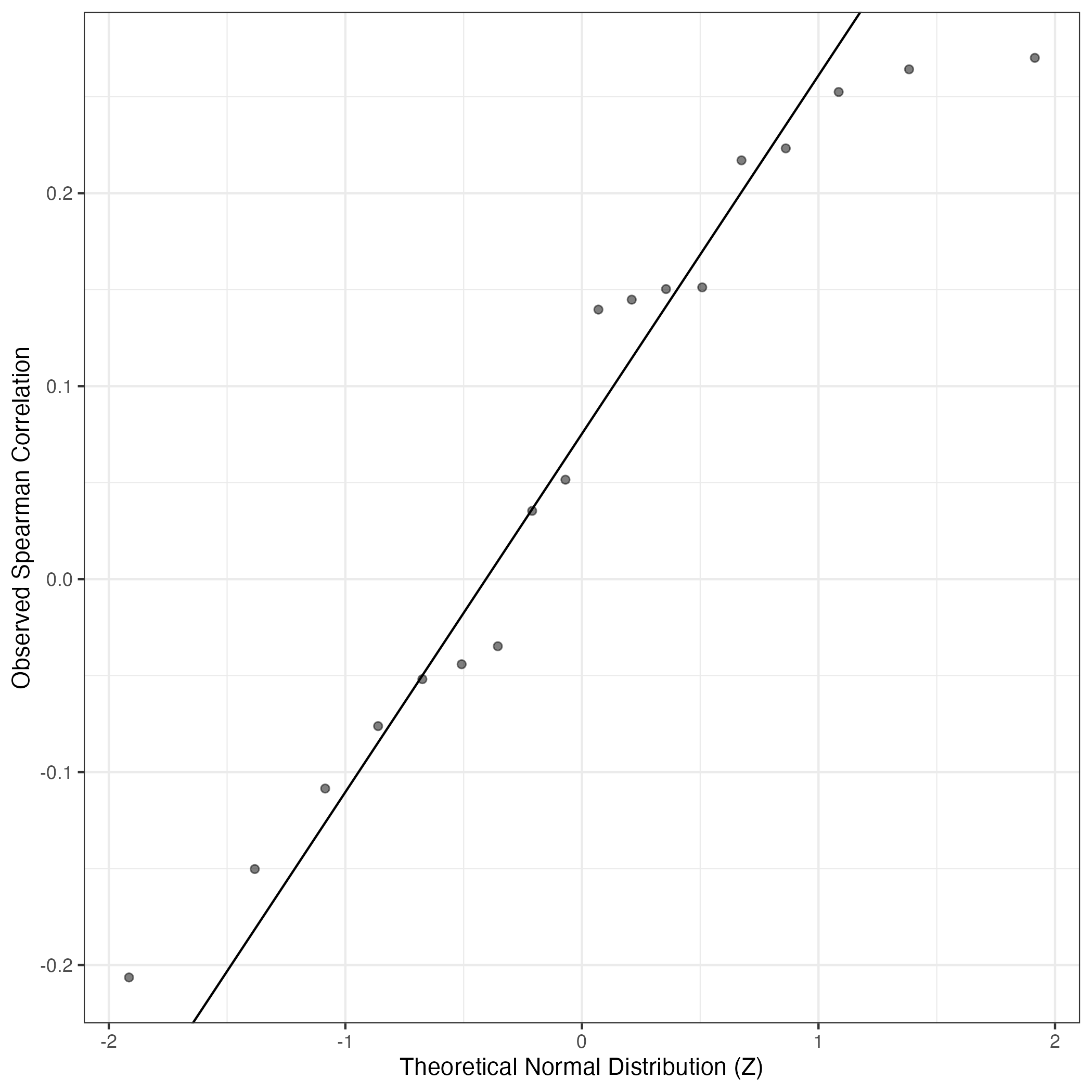
QQ Plot showing correlations with other GEPs in this dataset, calculated by Spearman correlation:
Interactive QQ-plot of gene loadings:
A similar QQ-plot as above, but only for instances where the H value is e.g. > 25, i.e. we are confident that the expression program is active above noise. Agreemenet between these binary vectors is tested using the Jaccard Index, with the P-values calculated by an exact test:
Interactive QQ-plot:
Singler cell type annotations for the top 50 cells on this program.
| Cell ID | Singler label | Singler Delta | Activity Score | Top Singler Raw Scores |
|---|---|---|---|---|
| WK098-H17 | Tissue_stem_cells:BM_MSC:BMP2 | 0.21 | 980.04 | Raw ScoresFibroblasts:breast: 0.49, Osteoblasts: 0.48, Smooth_muscle_cells:bronchial: 0.48, Tissue_stem_cells:BM_MSC:TGFb3: 0.47, Smooth_muscle_cells:bronchial:vit_D: 0.47, iPS_cells:adipose_stem_cells: 0.47, Tissue_stem_cells:BM_MSC:BMP2: 0.47, iPS_cells:CRL2097_foreskin: 0.47, Tissue_stem_cells:iliac_MSC: 0.46, Smooth_muscle_cells:vascular: 0.46 |
| KK052-N19 | Chondrocytes:MSC-derived | 0.23 | 626.92 | Raw ScoresFibroblasts:breast: 0.49, iPS_cells:adipose_stem_cells: 0.48, Smooth_muscle_cells:bronchial: 0.47, Smooth_muscle_cells:vascular: 0.46, Smooth_muscle_cells:bronchial:vit_D: 0.46, Chondrocytes:MSC-derived: 0.46, Osteoblasts: 0.46, Tissue_stem_cells:BM_MSC:TGFb3: 0.46, iPS_cells:CRL2097_foreskin: 0.46, Smooth_muscle_cells:vascular:IL-17: 0.46 |
| KK051-A2 | Fibroblasts:breast | 0.21 | 530.14 | Raw ScoresFibroblasts:breast: 0.45, iPS_cells:adipose_stem_cells: 0.44, Tissue_stem_cells:BM_MSC:TGFb3: 0.43, Osteoblasts: 0.43, Smooth_muscle_cells:bronchial: 0.43, iPS_cells:CRL2097_foreskin: 0.43, Smooth_muscle_cells:vascular: 0.43, Smooth_muscle_cells:vascular:IL-17: 0.43, Smooth_muscle_cells:bronchial:vit_D: 0.43, Chondrocytes:MSC-derived: 0.43 |
| WK097-N22 | Fibroblasts:breast | 0.19 | 520.42 | Raw ScoresFibroblasts:breast: 0.46, Smooth_muscle_cells:bronchial: 0.45, iPS_cells:adipose_stem_cells: 0.45, Osteoblasts: 0.45, Smooth_muscle_cells:bronchial:vit_D: 0.45, Smooth_muscle_cells:vascular: 0.45, Tissue_stem_cells:BM_MSC:BMP2: 0.45, iPS_cells:CRL2097_foreskin: 0.45, Smooth_muscle_cells:vascular:IL-17: 0.44, Tissue_stem_cells:BM_MSC:TGFb3: 0.44 |
| WK098-E8 | Smooth_muscle_cells:bronchial | 0.21 | 503.62 | Raw ScoresSmooth_muscle_cells:bronchial: 0.45, Fibroblasts:breast: 0.45, Osteoblasts: 0.45, Smooth_muscle_cells:bronchial:vit_D: 0.44, iPS_cells:adipose_stem_cells: 0.44, iPS_cells:CRL2097_foreskin: 0.43, Chondrocytes:MSC-derived: 0.43, Tissue_stem_cells:BM_MSC:BMP2: 0.43, Smooth_muscle_cells:vascular: 0.43, Tissue_stem_cells:iliac_MSC: 0.42 |
| KK053-J21 | Fibroblasts:breast | 0.26 | 476.13 | Raw ScoresFibroblasts:breast: 0.52, iPS_cells:adipose_stem_cells: 0.5, Osteoblasts: 0.5, iPS_cells:CRL2097_foreskin: 0.5, Osteoblasts:BMP2: 0.5, Smooth_muscle_cells:bronchial: 0.5, Chondrocytes:MSC-derived: 0.5, Tissue_stem_cells:BM_MSC:TGFb3: 0.49, Smooth_muscle_cells:bronchial:vit_D: 0.49, Smooth_muscle_cells:vascular: 0.49 |
| WK098-B4 | Fibroblasts:breast | 0.22 | 457.75 | Raw ScoresFibroblasts:breast: 0.47, iPS_cells:adipose_stem_cells: 0.46, Tissue_stem_cells:BM_MSC:TGFb3: 0.46, Smooth_muscle_cells:bronchial: 0.45, Osteoblasts: 0.45, Smooth_muscle_cells:bronchial:vit_D: 0.45, Smooth_muscle_cells:vascular:IL-17: 0.45, Smooth_muscle_cells:vascular: 0.45, Tissue_stem_cells:BM_MSC:BMP2: 0.45, Tissue_stem_cells:iliac_MSC: 0.45 |
| WK097-O15 | Chondrocytes:MSC-derived | 0.18 | 451.00 | Raw ScoresFibroblasts:breast: 0.44, Smooth_muscle_cells:bronchial: 0.43, Smooth_muscle_cells:bronchial:vit_D: 0.43, iPS_cells:adipose_stem_cells: 0.43, Smooth_muscle_cells:vascular: 0.43, Smooth_muscle_cells:vascular:IL-17: 0.43, iPS_cells:CRL2097_foreskin: 0.42, Osteoblasts: 0.42, Tissue_stem_cells:BM_MSC:TGFb3: 0.42, Tissue_stem_cells:BM_MSC:BMP2: 0.42 |
| WK097-B15 | Neurons:Schwann_cell | 0.14 | 443.21 | Raw ScoresFibroblasts:breast: 0.46, Chondrocytes:MSC-derived: 0.45, iPS_cells:adipose_stem_cells: 0.45, Smooth_muscle_cells:bronchial: 0.45, Tissue_stem_cells:BM_MSC:BMP2: 0.45, iPS_cells:CRL2097_foreskin: 0.45, Osteoblasts: 0.45, Smooth_muscle_cells:vascular: 0.45, Smooth_muscle_cells:vascular:IL-17: 0.45, Smooth_muscle_cells:bronchial:vit_D: 0.45 |
| WK101-D21 | Tissue_stem_cells:BM_MSC:BMP2 | 0.18 | 435.32 | Raw ScoresSmooth_muscle_cells:bronchial: 0.41, Smooth_muscle_cells:bronchial:vit_D: 0.41, Tissue_stem_cells:BM_MSC:TGFb3: 0.4, Osteoblasts: 0.4, Fibroblasts:breast: 0.4, Tissue_stem_cells:BM_MSC:BMP2: 0.4, Tissue_stem_cells:iliac_MSC: 0.4, Chondrocytes:MSC-derived: 0.39, Smooth_muscle_cells:vascular: 0.39, Smooth_muscle_cells:vascular:IL-17: 0.39 |
| WK059-M17 | Fibroblasts:breast | 0.21 | 393.33 | Raw ScoresFibroblasts:breast: 0.47, Osteoblasts: 0.46, Smooth_muscle_cells:vascular:IL-17: 0.46, Smooth_muscle_cells:vascular: 0.46, Smooth_muscle_cells:bronchial: 0.45, iPS_cells:adipose_stem_cells: 0.45, Smooth_muscle_cells:bronchial:vit_D: 0.45, Tissue_stem_cells:BM_MSC:TGFb3: 0.45, Tissue_stem_cells:iliac_MSC: 0.45, Tissue_stem_cells:BM_MSC:BMP2: 0.44 |
| WK051-F21 | Smooth_muscle_cells:bronchial | 0.18 | 363.65 | Raw ScoresFibroblasts:breast: 0.42, iPS_cells:CRL2097_foreskin: 0.42, Smooth_muscle_cells:bronchial: 0.41, iPS_cells:adipose_stem_cells: 0.41, Osteoblasts: 0.41, Chondrocytes:MSC-derived: 0.41, Smooth_muscle_cells:bronchial:vit_D: 0.41, Smooth_muscle_cells:vascular: 0.41, Tissue_stem_cells:BM_MSC:BMP2: 0.41, Smooth_muscle_cells:vascular:IL-17: 0.41 |
| WK036-M19 | Fibroblasts:breast | 0.24 | 351.80 | Raw ScoresFibroblasts:breast: 0.5, Smooth_muscle_cells:bronchial: 0.49, iPS_cells:adipose_stem_cells: 0.49, Smooth_muscle_cells:bronchial:vit_D: 0.48, Osteoblasts: 0.48, Tissue_stem_cells:BM_MSC:TGFb3: 0.47, Chondrocytes:MSC-derived: 0.47, Tissue_stem_cells:BM_MSC:BMP2: 0.47, iPS_cells:CRL2097_foreskin: 0.47, Tissue_stem_cells:iliac_MSC: 0.47 |
| WK101-B3 | Tissue_stem_cells:BM_MSC:BMP2 | 0.18 | 351.46 | Raw ScoresFibroblasts:breast: 0.48, Osteoblasts: 0.47, iPS_cells:adipose_stem_cells: 0.47, Tissue_stem_cells:BM_MSC:BMP2: 0.47, Tissue_stem_cells:BM_MSC:TGFb3: 0.47, iPS_cells:CRL2097_foreskin: 0.47, Chondrocytes:MSC-derived: 0.46, Smooth_muscle_cells:bronchial: 0.46, Osteoblasts:BMP2: 0.46, Smooth_muscle_cells:vascular: 0.46 |
| WK097-K14 | Tissue_stem_cells:BM_MSC:BMP2 | 0.19 | 341.97 | Raw ScoresFibroblasts:breast: 0.48, Smooth_muscle_cells:bronchial: 0.48, Smooth_muscle_cells:bronchial:vit_D: 0.48, Smooth_muscle_cells:vascular: 0.47, Smooth_muscle_cells:vascular:IL-17: 0.47, iPS_cells:adipose_stem_cells: 0.47, Chondrocytes:MSC-derived: 0.47, Osteoblasts: 0.47, Tissue_stem_cells:BM_MSC:TGFb3: 0.47, Tissue_stem_cells:BM_MSC:BMP2: 0.46 |
| KK057-A15 | Fibroblasts:breast | 0.21 | 339.17 | Raw ScoresFibroblasts:breast: 0.53, iPS_cells:adipose_stem_cells: 0.52, Smooth_muscle_cells:bronchial: 0.52, Smooth_muscle_cells:bronchial:vit_D: 0.51, iPS_cells:CRL2097_foreskin: 0.51, Osteoblasts: 0.5, Smooth_muscle_cells:vascular: 0.5, Tissue_stem_cells:BM_MSC:TGFb3: 0.5, Osteoblasts:BMP2: 0.49, Smooth_muscle_cells:vascular:IL-17: 0.49 |
| KK052-A6 | Fibroblasts:breast | 0.26 | 338.63 | Raw ScoresFibroblasts:breast: 0.53, iPS_cells:adipose_stem_cells: 0.52, iPS_cells:CRL2097_foreskin: 0.51, Osteoblasts: 0.51, Smooth_muscle_cells:vascular: 0.51, Smooth_muscle_cells:vascular:IL-17: 0.5, Tissue_stem_cells:BM_MSC:TGFb3: 0.5, Smooth_muscle_cells:bronchial: 0.5, Smooth_muscle_cells:bronchial:vit_D: 0.5, Osteoblasts:BMP2: 0.49 |
| WK098-K7 | Chondrocytes:MSC-derived | 0.19 | 334.97 | Raw ScoresFibroblasts:breast: 0.44, Chondrocytes:MSC-derived: 0.44, Osteoblasts: 0.44, Smooth_muscle_cells:bronchial: 0.44, iPS_cells:CRL2097_foreskin: 0.44, iPS_cells:adipose_stem_cells: 0.44, Tissue_stem_cells:BM_MSC:TGFb3: 0.44, Smooth_muscle_cells:bronchial:vit_D: 0.43, Tissue_stem_cells:BM_MSC:BMP2: 0.43, Neurons:Schwann_cell: 0.43 |
| WK050-M16 | Chondrocytes:MSC-derived | 0.17 | 327.78 | Raw ScoresSmooth_muscle_cells:bronchial: 0.41, Tissue_stem_cells:BM_MSC:BMP2: 0.41, Fibroblasts:breast: 0.41, Osteoblasts: 0.41, Tissue_stem_cells:BM_MSC:TGFb3: 0.41, Smooth_muscle_cells:bronchial:vit_D: 0.41, iPS_cells:CRL2097_foreskin: 0.4, iPS_cells:adipose_stem_cells: 0.4, Chondrocytes:MSC-derived: 0.4, Tissue_stem_cells:iliac_MSC: 0.4 |
| KK059-M6 | Tissue_stem_cells:BM_MSC:TGFb3 | 0.16 | 326.55 | Raw ScoresiPS_cells:CRL2097_foreskin: 0.46, iPS_cells:adipose_stem_cells: 0.45, Fibroblasts:breast: 0.45, Smooth_muscle_cells:bronchial: 0.45, Osteoblasts: 0.44, Smooth_muscle_cells:bronchial:vit_D: 0.44, Smooth_muscle_cells:vascular: 0.44, Tissue_stem_cells:BM_MSC:TGFb3: 0.44, iPS_cells:fibroblasts: 0.43, Tissue_stem_cells:iliac_MSC: 0.43 |
| WK056-P14 | Chondrocytes:MSC-derived | 0.19 | 317.36 | Raw ScoresFibroblasts:breast: 0.43, Smooth_muscle_cells:bronchial: 0.42, Osteoblasts: 0.42, iPS_cells:CRL2097_foreskin: 0.42, Chondrocytes:MSC-derived: 0.42, iPS_cells:adipose_stem_cells: 0.42, Tissue_stem_cells:BM_MSC:TGFb3: 0.42, Smooth_muscle_cells:bronchial:vit_D: 0.42, Tissue_stem_cells:BM_MSC:BMP2: 0.41, Smooth_muscle_cells:vascular: 0.41 |
| WK098-G18 | Neurons:Schwann_cell | 0.18 | 317.28 | Raw ScoresFibroblasts:breast: 0.44, Osteoblasts: 0.44, iPS_cells:CRL2097_foreskin: 0.43, iPS_cells:adipose_stem_cells: 0.43, Tissue_stem_cells:BM_MSC:TGFb3: 0.43, Tissue_stem_cells:BM_MSC:BMP2: 0.43, Chondrocytes:MSC-derived: 0.43, Smooth_muscle_cells:bronchial: 0.43, Tissue_stem_cells:iliac_MSC: 0.43, Smooth_muscle_cells:vascular: 0.42 |
| WK055-E1 | Fibroblasts:breast | 0.22 | 311.82 | Raw ScoresFibroblasts:breast: 0.43, Smooth_muscle_cells:bronchial: 0.42, iPS_cells:adipose_stem_cells: 0.41, iPS_cells:CRL2097_foreskin: 0.41, Smooth_muscle_cells:bronchial:vit_D: 0.41, Osteoblasts: 0.41, Tissue_stem_cells:BM_MSC:TGFb3: 0.4, Smooth_muscle_cells:vascular: 0.4, Tissue_stem_cells:iliac_MSC: 0.4, Smooth_muscle_cells:vascular:IL-17: 0.4 |
| WK059-I19 | Tissue_stem_cells:BM_MSC:BMP2 | 0.20 | 309.04 | Raw ScoresFibroblasts:breast: 0.48, Smooth_muscle_cells:vascular: 0.47, Osteoblasts: 0.47, Smooth_muscle_cells:vascular:IL-17: 0.47, iPS_cells:CRL2097_foreskin: 0.47, Tissue_stem_cells:BM_MSC:TGFb3: 0.47, iPS_cells:adipose_stem_cells: 0.47, Chondrocytes:MSC-derived: 0.47, Smooth_muscle_cells:bronchial: 0.46, Tissue_stem_cells:BM_MSC:BMP2: 0.46 |
| WK067-N21 | Neurons:Schwann_cell | 0.23 | 304.65 | Raw ScoresNeurons:Schwann_cell: 0.54, Fibroblasts:breast: 0.52, Smooth_muscle_cells:bronchial: 0.52, iPS_cells:CRL2097_foreskin: 0.52, Tissue_stem_cells:BM_MSC:BMP2: 0.52, iPS_cells:adipose_stem_cells: 0.52, Osteoblasts: 0.52, Tissue_stem_cells:BM_MSC:TGFb3: 0.51, Smooth_muscle_cells:bronchial:vit_D: 0.51, Osteoblasts:BMP2: 0.51 |
| WK057-J13 | Fibroblasts:breast | 0.22 | 302.44 | Raw ScoresFibroblasts:breast: 0.43, iPS_cells:adipose_stem_cells: 0.42, Smooth_muscle_cells:bronchial: 0.42, Tissue_stem_cells:BM_MSC:TGFb3: 0.41, iPS_cells:CRL2097_foreskin: 0.41, Smooth_muscle_cells:bronchial:vit_D: 0.41, Osteoblasts: 0.41, Smooth_muscle_cells:vascular: 0.41, Smooth_muscle_cells:vascular:IL-17: 0.41, Tissue_stem_cells:BM_MSC:BMP2: 0.4 |
| KK057-I7 | Fibroblasts:breast | 0.21 | 299.04 | Raw ScoresFibroblasts:breast: 0.48, iPS_cells:adipose_stem_cells: 0.47, Smooth_muscle_cells:bronchial: 0.47, iPS_cells:CRL2097_foreskin: 0.46, Osteoblasts: 0.46, Smooth_muscle_cells:bronchial:vit_D: 0.46, Tissue_stem_cells:BM_MSC:BMP2: 0.46, Tissue_stem_cells:BM_MSC:TGFb3: 0.46, Chondrocytes:MSC-derived: 0.45, iPS_cells:fibroblasts: 0.45 |
| WK057-I1 | Osteoblasts | 0.19 | 298.55 | Raw ScoresFibroblasts:breast: 0.45, Osteoblasts: 0.44, Tissue_stem_cells:BM_MSC:TGFb3: 0.44, iPS_cells:CRL2097_foreskin: 0.44, Smooth_muscle_cells:bronchial: 0.44, iPS_cells:adipose_stem_cells: 0.44, Chondrocytes:MSC-derived: 0.44, Tissue_stem_cells:BM_MSC:BMP2: 0.44, Smooth_muscle_cells:bronchial:vit_D: 0.43, Osteoblasts:BMP2: 0.43 |
| WK098-D9 | Tissue_stem_cells:BM_MSC:BMP2 | 0.19 | 291.09 | Raw ScoresSmooth_muscle_cells:bronchial: 0.44, Fibroblasts:breast: 0.43, Tissue_stem_cells:BM_MSC:TGFb3: 0.43, Tissue_stem_cells:BM_MSC:BMP2: 0.43, Smooth_muscle_cells:bronchial:vit_D: 0.43, Osteoblasts: 0.43, iPS_cells:CRL2097_foreskin: 0.43, Smooth_muscle_cells:vascular:IL-17: 0.43, iPS_cells:adipose_stem_cells: 0.43, Chondrocytes:MSC-derived: 0.43 |
| WK098-F18 | Smooth_muscle_cells:bronchial | 0.20 | 289.41 | Raw ScoresFibroblasts:breast: 0.45, Smooth_muscle_cells:bronchial: 0.44, Smooth_muscle_cells:bronchial:vit_D: 0.44, iPS_cells:adipose_stem_cells: 0.44, Smooth_muscle_cells:vascular: 0.43, Osteoblasts: 0.43, Smooth_muscle_cells:vascular:IL-17: 0.43, iPS_cells:CRL2097_foreskin: 0.43, Tissue_stem_cells:BM_MSC:TGFb3: 0.43, Chondrocytes:MSC-derived: 0.43 |
| WK098-P9 | Tissue_stem_cells:BM_MSC:BMP2 | 0.20 | 285.09 | Raw ScoresFibroblasts:breast: 0.48, iPS_cells:adipose_stem_cells: 0.48, iPS_cells:CRL2097_foreskin: 0.47, Tissue_stem_cells:BM_MSC:TGFb3: 0.47, Chondrocytes:MSC-derived: 0.47, Smooth_muscle_cells:vascular:IL-17: 0.47, Tissue_stem_cells:BM_MSC:BMP2: 0.47, Smooth_muscle_cells:bronchial: 0.47, Osteoblasts: 0.47, Smooth_muscle_cells:vascular: 0.46 |
| WK098-B7 | Smooth_muscle_cells:bronchial | 0.20 | 281.53 | Raw ScoresFibroblasts:breast: 0.48, Osteoblasts: 0.47, Chondrocytes:MSC-derived: 0.47, Smooth_muscle_cells:bronchial: 0.47, Tissue_stem_cells:BM_MSC:TGFb3: 0.47, iPS_cells:adipose_stem_cells: 0.47, Smooth_muscle_cells:bronchial:vit_D: 0.47, iPS_cells:CRL2097_foreskin: 0.47, Tissue_stem_cells:BM_MSC:BMP2: 0.46, Tissue_stem_cells:iliac_MSC: 0.46 |
| WK098-L20 | Smooth_muscle_cells:bronchial | 0.18 | 279.52 | Raw ScoresFibroblasts:breast: 0.42, Smooth_muscle_cells:bronchial: 0.42, iPS_cells:CRL2097_foreskin: 0.42, iPS_cells:adipose_stem_cells: 0.42, Smooth_muscle_cells:bronchial:vit_D: 0.42, Osteoblasts: 0.42, Tissue_stem_cells:BM_MSC:TGFb3: 0.41, Smooth_muscle_cells:vascular:IL-17: 0.41, Chondrocytes:MSC-derived: 0.41, Tissue_stem_cells:BM_MSC:BMP2: 0.41 |
| WK098-D20 | Smooth_muscle_cells:bronchial | 0.21 | 271.33 | Raw ScoresFibroblasts:breast: 0.43, Smooth_muscle_cells:bronchial: 0.42, Smooth_muscle_cells:bronchial:vit_D: 0.42, Osteoblasts: 0.42, Smooth_muscle_cells:vascular: 0.41, Tissue_stem_cells:BM_MSC:BMP2: 0.41, iPS_cells:adipose_stem_cells: 0.41, iPS_cells:CRL2097_foreskin: 0.41, Tissue_stem_cells:BM_MSC:TGFb3: 0.41, Smooth_muscle_cells:vascular:IL-17: 0.41 |
| WK051-F13 | Smooth_muscle_cells:bronchial | 0.18 | 261.47 | Raw ScoresFibroblasts:breast: 0.42, iPS_cells:CRL2097_foreskin: 0.41, iPS_cells:adipose_stem_cells: 0.41, Chondrocytes:MSC-derived: 0.41, Smooth_muscle_cells:bronchial: 0.41, Osteoblasts: 0.41, Tissue_stem_cells:BM_MSC:TGFb3: 0.41, Smooth_muscle_cells:vascular:IL-17: 0.41, Smooth_muscle_cells:bronchial:vit_D: 0.41, Tissue_stem_cells:BM_MSC:BMP2: 0.4 |
| WK098-A12 | Tissue_stem_cells:BM_MSC:BMP2 | 0.17 | 261.46 | Raw ScoresFibroblasts:breast: 0.4, iPS_cells:adipose_stem_cells: 0.39, Chondrocytes:MSC-derived: 0.38, Tissue_stem_cells:BM_MSC:BMP2: 0.38, Smooth_muscle_cells:bronchial: 0.38, iPS_cells:CRL2097_foreskin: 0.38, Tissue_stem_cells:BM_MSC:TGFb3: 0.38, Osteoblasts: 0.38, Smooth_muscle_cells:vascular:IL-17: 0.38, Smooth_muscle_cells:bronchial:vit_D: 0.38 |
| WK098-H8 | Tissue_stem_cells:BM_MSC:BMP2 | 0.21 | 257.53 | Raw ScoresFibroblasts:breast: 0.5, iPS_cells:adipose_stem_cells: 0.48, Smooth_muscle_cells:vascular:IL-17: 0.48, Smooth_muscle_cells:vascular: 0.48, Smooth_muscle_cells:bronchial: 0.48, Osteoblasts: 0.48, iPS_cells:CRL2097_foreskin: 0.47, Tissue_stem_cells:BM_MSC:BMP2: 0.47, Smooth_muscle_cells:bronchial:vit_D: 0.47, Tissue_stem_cells:BM_MSC:TGFb3: 0.47 |
| WK050-I23 | iPS_cells:CRL2097_foreskin | 0.20 | 255.38 | Raw ScoresFibroblasts:breast: 0.42, iPS_cells:CRL2097_foreskin: 0.42, iPS_cells:adipose_stem_cells: 0.41, Tissue_stem_cells:BM_MSC:TGFb3: 0.41, Chondrocytes:MSC-derived: 0.41, Smooth_muscle_cells:bronchial: 0.41, Osteoblasts: 0.41, Smooth_muscle_cells:bronchial:vit_D: 0.4, Tissue_stem_cells:BM_MSC:BMP2: 0.4, Smooth_muscle_cells:vascular: 0.4 |
| WK024-H17 | Smooth_muscle_cells:bronchial | 0.21 | 253.18 | Raw ScoresFibroblasts:breast: 0.39, Smooth_muscle_cells:bronchial: 0.38, Smooth_muscle_cells:bronchial:vit_D: 0.38, iPS_cells:adipose_stem_cells: 0.37, Osteoblasts: 0.37, iPS_cells:CRL2097_foreskin: 0.37, Tissue_stem_cells:iliac_MSC: 0.36, Chondrocytes:MSC-derived: 0.36, Smooth_muscle_cells:vascular: 0.36, Tissue_stem_cells:BM_MSC:BMP2: 0.36 |
| WK059-C4 | Tissue_stem_cells:BM_MSC:BMP2 | 0.18 | 244.70 | Raw ScoresFibroblasts:breast: 0.43, iPS_cells:CRL2097_foreskin: 0.42, iPS_cells:adipose_stem_cells: 0.41, Smooth_muscle_cells:bronchial: 0.41, Tissue_stem_cells:BM_MSC:TGFb3: 0.41, Smooth_muscle_cells:bronchial:vit_D: 0.41, Smooth_muscle_cells:vascular:IL-17: 0.41, Smooth_muscle_cells:vascular: 0.41, Tissue_stem_cells:BM_MSC:BMP2: 0.41, Osteoblasts: 0.41 |
| WK098-O20 | iPS_cells:adipose_stem_cells | 0.20 | 241.22 | Raw ScoresFibroblasts:breast: 0.46, iPS_cells:adipose_stem_cells: 0.45, Osteoblasts: 0.45, iPS_cells:CRL2097_foreskin: 0.45, Smooth_muscle_cells:bronchial: 0.45, Chondrocytes:MSC-derived: 0.44, Tissue_stem_cells:BM_MSC:TGFb3: 0.44, Tissue_stem_cells:BM_MSC:BMP2: 0.44, Smooth_muscle_cells:vascular: 0.44, Smooth_muscle_cells:bronchial:vit_D: 0.44 |
| WK098-O9 | Tissue_stem_cells:BM_MSC:BMP2 | 0.17 | 238.80 | Raw ScoresSmooth_muscle_cells:bronchial: 0.39, Fibroblasts:breast: 0.39, Smooth_muscle_cells:bronchial:vit_D: 0.39, Tissue_stem_cells:BM_MSC:TGFb3: 0.39, Tissue_stem_cells:BM_MSC:BMP2: 0.38, Chondrocytes:MSC-derived: 0.38, iPS_cells:adipose_stem_cells: 0.38, Smooth_muscle_cells:vascular: 0.38, Smooth_muscle_cells:vascular:IL-17: 0.38, Osteoblasts: 0.38 |
| WK099-I5 | Tissue_stem_cells:BM_MSC:TGFb3 | 0.19 | 232.43 | Raw ScoresFibroblasts:breast: 0.41, Tissue_stem_cells:BM_MSC:TGFb3: 0.41, Smooth_muscle_cells:vascular:IL-17: 0.41, Smooth_muscle_cells:bronchial: 0.41, iPS_cells:adipose_stem_cells: 0.4, Osteoblasts: 0.4, Smooth_muscle_cells:bronchial:vit_D: 0.4, Tissue_stem_cells:BM_MSC:BMP2: 0.4, Smooth_muscle_cells:vascular: 0.4, Chondrocytes:MSC-derived: 0.4 |
| WK057-P14 | Chondrocytes:MSC-derived | 0.14 | 230.90 | Raw ScoresFibroblasts:breast: 0.41, Smooth_muscle_cells:bronchial: 0.41, iPS_cells:adipose_stem_cells: 0.41, Chondrocytes:MSC-derived: 0.4, Tissue_stem_cells:BM_MSC:TGFb3: 0.4, Osteoblasts: 0.4, Smooth_muscle_cells:bronchial:vit_D: 0.4, Tissue_stem_cells:BM_MSC:BMP2: 0.4, Smooth_muscle_cells:vascular:IL-17: 0.4, iPS_cells:CRL2097_foreskin: 0.4 |
| WK055-L21 | Smooth_muscle_cells:bronchial | 0.22 | 228.51 | Raw ScoresSmooth_muscle_cells:bronchial: 0.48, Fibroblasts:breast: 0.47, Smooth_muscle_cells:bronchial:vit_D: 0.47, iPS_cells:CRL2097_foreskin: 0.46, Tissue_stem_cells:BM_MSC:TGFb3: 0.46, iPS_cells:adipose_stem_cells: 0.46, Osteoblasts: 0.46, Chondrocytes:MSC-derived: 0.46, Tissue_stem_cells:BM_MSC:BMP2: 0.45, Smooth_muscle_cells:vascular: 0.45 |
| WK098-F3 | Smooth_muscle_cells:bronchial | 0.17 | 227.21 | Raw ScoresFibroblasts:breast: 0.43, iPS_cells:CRL2097_foreskin: 0.42, iPS_cells:adipose_stem_cells: 0.42, Smooth_muscle_cells:bronchial: 0.42, Chondrocytes:MSC-derived: 0.42, Osteoblasts: 0.42, Tissue_stem_cells:BM_MSC:TGFb3: 0.42, Tissue_stem_cells:BM_MSC:BMP2: 0.42, Smooth_muscle_cells:bronchial:vit_D: 0.41, Smooth_muscle_cells:vascular:IL-17: 0.41 |
| WK051-L13 | Smooth_muscle_cells:bronchial | 0.23 | 225.99 | Raw ScoresSmooth_muscle_cells:bronchial: 0.43, Fibroblasts:breast: 0.43, Smooth_muscle_cells:bronchial:vit_D: 0.43, Osteoblasts: 0.42, iPS_cells:adipose_stem_cells: 0.42, iPS_cells:CRL2097_foreskin: 0.42, Tissue_stem_cells:BM_MSC:BMP2: 0.41, Chondrocytes:MSC-derived: 0.41, Tissue_stem_cells:iliac_MSC: 0.41, Tissue_stem_cells:BM_MSC:TGFb3: 0.41 |
| KK059-G12 | Fibroblasts:breast | 0.21 | 218.04 | Raw ScoresFibroblasts:breast: 0.42, Smooth_muscle_cells:bronchial: 0.41, Smooth_muscle_cells:bronchial:vit_D: 0.41, iPS_cells:adipose_stem_cells: 0.4, Osteoblasts: 0.4, iPS_cells:CRL2097_foreskin: 0.4, Tissue_stem_cells:BM_MSC:TGFb3: 0.39, Chondrocytes:MSC-derived: 0.39, Tissue_stem_cells:BM_MSC:BMP2: 0.39, Smooth_muscle_cells:vascular: 0.39 |
| WK057-N16 | Chondrocytes:MSC-derived | 0.18 | 217.40 | Raw ScoresFibroblasts:breast: 0.39, Tissue_stem_cells:BM_MSC:TGFb3: 0.38, iPS_cells:adipose_stem_cells: 0.38, Smooth_muscle_cells:bronchial: 0.37, Chondrocytes:MSC-derived: 0.37, Osteoblasts: 0.37, Smooth_muscle_cells:bronchial:vit_D: 0.37, Tissue_stem_cells:BM_MSC:BMP2: 0.37, Smooth_muscle_cells:vascular: 0.37, iPS_cells:CRL2097_foreskin: 0.37 |
| WK049-K11 | Tissue_stem_cells:BM_MSC:TGFb3 | 0.19 | 217.03 | Raw ScoresFibroblasts:breast: 0.41, Osteoblasts: 0.41, iPS_cells:adipose_stem_cells: 0.4, Tissue_stem_cells:BM_MSC:TGFb3: 0.4, Tissue_stem_cells:BM_MSC:BMP2: 0.4, Smooth_muscle_cells:bronchial: 0.4, Chondrocytes:MSC-derived: 0.4, Smooth_muscle_cells:bronchial:vit_D: 0.4, iPS_cells:CRL2097_foreskin: 0.4, Smooth_muscle_cells:vascular: 0.39 |
Below shows the significant enrichments of this GEP for literature curated gene lists
This data was procured from existing single cell RNA-seq maps of neuroblastoma or related relevant data.
High ranks indicate this gene is a driver of this GEP.
These curated gene list are ranked by the P-value (on this GEP) of their constituent genes.
The Mean Count column shows the mean read count in cells scoring highly (H > 50) on this gene expression program.
| Genes | Weight | Rank | GTEx | DepMap | Decartes | Mean.Counts | Mean.TPM |
|---|---|---|---|---|---|---|---|
| CXCL12 | 0.0071967 | 9 | GTEx | DepMap | Descartes | 7.22 | 512.89 |
| CXCL14 | 0.0067588 | 11 | GTEx | DepMap | Descartes | 6.35 | 768.41 |
| C3 | 0.0064624 | 15 | GTEx | DepMap | Descartes | 11.62 | 538.36 |
| SERPING1 | 0.0056916 | 23 | GTEx | DepMap | Descartes | 9.59 | 1039.91 |
| C7 | 0.0040511 | 67 | GTEx | DepMap | Descartes | 16.73 | 715.41 |
| CFD | 0.0032353 | 113 | GTEx | DepMap | Descartes | 2.41 | 452.51 |
| PDGFRA | 0.0031669 | 125 | GTEx | DepMap | Descartes | 1.96 | 68.71 |
| IGFBP6 | 0.0030966 | 131 | GTEx | DepMap | Descartes | 1.46 | 307.28 |
| IGF1 | 0.0028328 | 160 | GTEx | DepMap | Descartes | 5.35 | 159.16 |
| SCARA5 | 0.0025372 | 210 | GTEx | DepMap | Descartes | 1.31 | 73.35 |
| PDGFRB | 0.0023172 | 248 | GTEx | DepMap | Descartes | 3.57 | 156.94 |
| GPX3 | 0.0019957 | 326 | GTEx | DepMap | Descartes | 1.31 | 149.37 |
| SCARA3 | 0.0019719 | 332 | GTEx | DepMap | Descartes | 1.10 | 82.59 |
| IL33 | 0.0018552 | 360 | GTEx | DepMap | Descartes | 0.86 | 74.20 |
| PDGFD | 0.0018315 | 365 | GTEx | DepMap | Descartes | 0.78 | 41.69 |
| CFB | 0.0013778 | 546 | GTEx | DepMap | Descartes | 0.13 | 11.18 |
| RGMA | 0.0009366 | 889 | GTEx | DepMap | Descartes | 0.18 | 4.35 |
| PDPN | 0.0005350 | 1574 | GTEx | DepMap | Descartes | 0.90 | 61.07 |
| HGF | 0.0002968 | 2385 | GTEx | DepMap | Descartes | 0.90 | 37.74 |
| CCL2 | 0.0002213 | 2785 | GTEx | DepMap | Descartes | 38.68 | 10116.56 |
| IL1R1 | -0.0001910 | 6903 | GTEx | DepMap | Descartes | 2.30 | 93.94 |
| IL10 | -0.0002410 | 7527 | GTEx | DepMap | Descartes | 0.11 | 7.07 |
| CXCL2 | -0.0004715 | 9713 | GTEx | DepMap | Descartes | 16.83 | 2991.34 |
| SOD2 | -0.0006587 | 10909 | GTEx | DepMap | Descartes | 11.72 | 188.22 |
| LIF | -0.0030221 | 12548 | GTEx | DepMap | Descartes | 5.77 | 316.96 |
Mesenchymal Fig 1D (Olsen)
Selected mesenchymal marker genes shown in Fig. 1D of Olsen et al. https://www.biorxiv.org/content/10.1101/2020.05.04.077057v1 - these are highly expressed in their mesenchymal cluster on their UMAP.:
Wilcoxon ranksum test P-value for gene set overrepresentation: 2.95e-08
Mean rank of genes in gene set: 830.08
Rank on gene expression program of genes in gene set:
| Genes | Weight | Rank | GTEx | DepMap | Decartes | Mean.Counts | Mean.TPM |
|---|---|---|---|---|---|---|---|
| DCN | 0.0068289 | 10 | GTEx | DepMap | Descartes | 63.72 | 2280.75 |
| LUM | 0.0051221 | 34 | GTEx | DepMap | Descartes | 43.64 | 3921.44 |
| CALD1 | 0.0038248 | 71 | GTEx | DepMap | Descartes | 9.20 | 431.92 |
| PDGFRA | 0.0031669 | 125 | GTEx | DepMap | Descartes | 1.96 | 68.71 |
| LEPR | 0.0030396 | 134 | GTEx | DepMap | Descartes | 0.47 | 15.37 |
| COL6A2 | 0.0026571 | 192 | GTEx | DepMap | Descartes | 12.45 | 826.58 |
| PRRX1 | 0.0023775 | 239 | GTEx | DepMap | Descartes | 2.87 | 172.11 |
| MGP | 0.0022006 | 276 | GTEx | DepMap | Descartes | 35.89 | 4459.42 |
| BGN | 0.0014794 | 489 | GTEx | DepMap | Descartes | 13.85 | 1162.67 |
| COL1A2 | 0.0014207 | 513 | GTEx | DepMap | Descartes | 63.62 | 1912.19 |
| COL3A1 | 0.0011364 | 699 | GTEx | DepMap | Descartes | 67.48 | 2181.32 |
| COL1A1 | 0.0007252 | 1167 | GTEx | DepMap | Descartes | 144.60 | 4094.47 |
| SPARC | -0.0001859 | 6842 | GTEx | DepMap | Descartes | 48.46 | 2406.20 |
Bridge region mesencchymal (Olsen)
Marker genes shown in Fig. 3A of Olsen et al. https://www.biorxiv.org/content/10.1101/2020.05.04.077057v1 - Cells were ordered by pseudotime in the bridge region, this first group of cells were from the mesenchymal part of the trajectory.:
Wilcoxon ranksum test P-value for gene set overrepresentation: 1.82e-07
Mean rank of genes in gene set: 1166.77
Rank on gene expression program of genes in gene set:
| Genes | Weight | Rank | GTEx | DepMap | Decartes | Mean.Counts | Mean.TPM |
|---|---|---|---|---|---|---|---|
| KLF4 | 0.0063517 | 16 | GTEx | DepMap | Descartes | 6.55 | 587.08 |
| LUM | 0.0051221 | 34 | GTEx | DepMap | Descartes | 43.64 | 3921.44 |
| CALD1 | 0.0038248 | 71 | GTEx | DepMap | Descartes | 9.20 | 431.92 |
| PDGFRA | 0.0031669 | 125 | GTEx | DepMap | Descartes | 1.96 | 68.71 |
| MYC | 0.0027472 | 175 | GTEx | DepMap | Descartes | 3.02 | 198.70 |
| PRRX1 | 0.0023775 | 239 | GTEx | DepMap | Descartes | 2.87 | 172.11 |
| MAFF | 0.0018385 | 363 | GTEx | DepMap | Descartes | 5.57 | 434.54 |
| BGN | 0.0014794 | 489 | GTEx | DepMap | Descartes | 13.85 | 1162.67 |
| COL1A2 | 0.0014207 | 513 | GTEx | DepMap | Descartes | 63.62 | 1912.19 |
| FGF1 | 0.0003768 | 2072 | GTEx | DepMap | Descartes | 0.14 | 7.66 |
| PODXL | 0.0001105 | 3510 | GTEx | DepMap | Descartes | 0.16 | 5.36 |
| TNNT2 | 0.0001074 | 3541 | GTEx | DepMap | Descartes | 0.02 | 2.14 |
| NPNT | 0.0000507 | 4020 | GTEx | DepMap | Descartes | 0.14 | 6.22 |
Below shows ranks on this GEP for literature curated gene lists for large gene sets
These include those reported as mesenchymal/adrenergic by Van Groningen et al.
High ranks indicate this gene is a driver of this GEP (note these results are not ordered).
The Mean Count column shows the mean read count in cells scoring highly (H > 50) on this gene expression program.
VanGroningen Adrenergic Genes
Adrenergic marker genes from Supplementary Table 2 of Van Groningen et al. Nature Genetics 2017. These genes were identified by differential expression analysis of mesenchymal-like and adrenergic-like neuroblastoma cell lines.
Wilcoxon ranksum test P-value for gene set overrepresentation: 1.00e+00
Mean rank of genes in gene set: 9276.15
Median rank of genes in gene set: 10592
Rank on gene expression program of top 30 genes in gene set:
| Genes | Weight | Rank | GTEx | DepMap | Descartes | Mean.Counts | Mean.TPM |
|---|---|---|---|---|---|---|---|
| SLIT3 | 0.0040892 | 65 | GTEx | DepMap | Descartes | 4.61 | 110.80 |
| RBMS3 | 0.0035437 | 82 | GTEx | DepMap | Descartes | 2.96 | 92.05 |
| SYNPO2 | 0.0022831 | 256 | GTEx | DepMap | Descartes | 1.62 | 28.82 |
| CYGB | 0.0021995 | 277 | GTEx | DepMap | Descartes | 1.98 | 237.06 |
| ANK2 | 0.0017972 | 374 | GTEx | DepMap | Descartes | 1.17 | 20.12 |
| TUBB4B | 0.0014684 | 492 | GTEx | DepMap | Descartes | 3.46 | 425.44 |
| NFIL3 | 0.0012655 | 611 | GTEx | DepMap | Descartes | 2.53 | 289.62 |
| FOXO3 | 0.0011507 | 688 | GTEx | DepMap | Descartes | 4.00 | 135.43 |
| HEY1 | 0.0010927 | 732 | GTEx | DepMap | Descartes | 0.38 | 20.36 |
| H1FX | 0.0009695 | 844 | GTEx | DepMap | Descartes | 2.08 | NA |
| SETD7 | 0.0009384 | 885 | GTEx | DepMap | Descartes | 0.95 | 28.74 |
| RNF144A | 0.0008649 | 979 | GTEx | DepMap | Descartes | 0.45 | 16.30 |
| DPYSL2 | 0.0007871 | 1077 | GTEx | DepMap | Descartes | 2.00 | 96.49 |
| RNF150 | 0.0007014 | 1202 | GTEx | DepMap | Descartes | 0.44 | 9.46 |
| BMP7 | 0.0006880 | 1223 | GTEx | DepMap | Descartes | 0.38 | 24.80 |
| CETN3 | 0.0006709 | 1260 | GTEx | DepMap | Descartes | 0.15 | 14.54 |
| NANOS1 | 0.0006708 | 1261 | GTEx | DepMap | Descartes | 0.13 | 10.29 |
| ATL1 | 0.0006371 | 1326 | GTEx | DepMap | Descartes | 0.18 | 9.24 |
| OLFM1 | 0.0006013 | 1394 | GTEx | DepMap | Descartes | 0.29 | 32.46 |
| SHC3 | 0.0004884 | 1698 | GTEx | DepMap | Descartes | 0.05 | 0.88 |
| NET1 | 0.0004582 | 1796 | GTEx | DepMap | Descartes | 0.62 | 40.74 |
| RBP1 | 0.0003943 | 2005 | GTEx | DepMap | Descartes | 0.55 | 65.09 |
| TIAM1 | 0.0003930 | 2009 | GTEx | DepMap | Descartes | 1.29 | 43.53 |
| PHPT1 | 0.0003638 | 2115 | GTEx | DepMap | Descartes | 0.51 | 89.78 |
| IRS2 | 0.0003300 | 2247 | GTEx | DepMap | Descartes | 2.08 | 57.16 |
| MAGI3 | 0.0002905 | 2417 | GTEx | DepMap | Descartes | 0.31 | 11.08 |
| CCSAP | 0.0002773 | 2484 | GTEx | DepMap | Descartes | 0.16 | NA |
| STRA6 | 0.0002686 | 2530 | GTEx | DepMap | Descartes | 0.06 | 5.51 |
| TBPL1 | 0.0002649 | 2544 | GTEx | DepMap | Descartes | 0.36 | 20.46 |
| CDKN2C | 0.0002625 | 2563 | GTEx | DepMap | Descartes | 0.33 | 27.02 |
VanGroningen Mesenchymal Genes
Mesenchymal marker genes from Supplementary Table 2 of Van Groningen et al. Nature Genetics 2017. These genes were identified by differential expression analysis of mesenchymal-like and adrenergic-like neuroblastoma cell lines.
Wilcoxon ranksum test P-value for gene set overrepresentation: 4.53e-69
Mean rank of genes in gene set: 3284.01
Median rank of genes in gene set: 1421
Rank on gene expression program of top 30 genes in gene set:
| Genes | Weight | Rank | GTEx | DepMap | Descartes | Mean.Counts | Mean.TPM |
|---|---|---|---|---|---|---|---|
| EGR1 | 0.0102998 | 1 | GTEx | DepMap | Descartes | 29.86 | 2764.73 |
| CXCL12 | 0.0071967 | 9 | GTEx | DepMap | Descartes | 7.22 | 512.89 |
| KLF4 | 0.0063517 | 16 | GTEx | DepMap | Descartes | 6.55 | 587.08 |
| SRPX | 0.0061159 | 18 | GTEx | DepMap | Descartes | 6.30 | 827.74 |
| KLF10 | 0.0059414 | 20 | GTEx | DepMap | Descartes | 3.30 | 245.51 |
| ID3 | 0.0058742 | 21 | GTEx | DepMap | Descartes | 4.97 | 1434.62 |
| HES1 | 0.0055971 | 24 | GTEx | DepMap | Descartes | 5.71 | 899.34 |
| FSTL1 | 0.0055601 | 25 | GTEx | DepMap | Descartes | 10.30 | 404.32 |
| CFH | 0.0052661 | 30 | GTEx | DepMap | Descartes | 9.17 | 346.84 |
| NFIA | 0.0048658 | 36 | GTEx | DepMap | Descartes | 4.64 | 25.17 |
| CYBRD1 | 0.0046649 | 39 | GTEx | DepMap | Descartes | 3.91 | 228.90 |
| MEOX2 | 0.0046548 | 40 | GTEx | DepMap | Descartes | 0.43 | 52.00 |
| FLRT2 | 0.0046155 | 41 | GTEx | DepMap | Descartes | 1.85 | 15.21 |
| EGR3 | 0.0045033 | 48 | GTEx | DepMap | Descartes | 5.78 | 367.41 |
| ZFP36L1 | 0.0044020 | 50 | GTEx | DepMap | Descartes | 24.52 | 1984.40 |
| EGFR | 0.0042225 | 57 | GTEx | DepMap | Descartes | 4.67 | 136.49 |
| OLFML2B | 0.0041776 | 59 | GTEx | DepMap | Descartes | 6.53 | 492.94 |
| GSN | 0.0041573 | 60 | GTEx | DepMap | Descartes | 17.87 | 767.87 |
| NID1 | 0.0040997 | 63 | GTEx | DepMap | Descartes | 4.82 | 192.66 |
| SOX9 | 0.0040791 | 66 | GTEx | DepMap | Descartes | 1.62 | 134.52 |
| ID1 | 0.0038417 | 70 | GTEx | DepMap | Descartes | 2.00 | 488.72 |
| CALD1 | 0.0038248 | 71 | GTEx | DepMap | Descartes | 9.20 | 431.92 |
| SPRY4 | 0.0037780 | 73 | GTEx | DepMap | Descartes | 2.94 | 135.95 |
| MEST | 0.0035659 | 80 | GTEx | DepMap | Descartes | 2.99 | 262.64 |
| FMOD | 0.0034812 | 90 | GTEx | DepMap | Descartes | 1.42 | 100.12 |
| LAMB1 | 0.0034596 | 92 | GTEx | DepMap | Descartes | 5.07 | 203.37 |
| VIM | 0.0034136 | 96 | GTEx | DepMap | Descartes | 50.84 | 4858.02 |
| CFI | 0.0033299 | 105 | GTEx | DepMap | Descartes | 1.61 | 151.65 |
| CAPN6 | 0.0033275 | 107 | GTEx | DepMap | Descartes | 2.03 | 140.41 |
| ITM2B | 0.0033086 | 108 | GTEx | DepMap | Descartes | 18.57 | 426.24 |
Descartes adrenocortical markers
Top 50 marker genes of adrenocortical cells in the Decartes fetal adrenal single cell map (https://atlas.brotmanbaty.org/bbi/human-gene-expression-during-development/cell/adrenocortical/in/adrenal)
Wilcoxon ranksum test P-value for gene set overrepresentation: 5.32e-01
Mean rank of genes in gene set: 6323.47
Median rank of genes in gene set: 7119.5
Rank on gene expression program of top 30 genes in gene set:
| Genes | Weight | Rank | GTEx | DepMap | Descartes | Mean.Counts | Mean.TPM |
|---|---|---|---|---|---|---|---|
| CLU | 0.0020717 | 304 | GTEx | DepMap | Descartes | 4.31 | 401.05 |
| LDLR | 0.0011375 | 697 | GTEx | DepMap | Descartes | 2.61 | 116.77 |
| SH3BP5 | 0.0008965 | 944 | GTEx | DepMap | Descartes | 1.88 | 128.34 |
| SH3PXD2B | 0.0007502 | 1127 | GTEx | DepMap | Descartes | 0.46 | 13.52 |
| PDE10A | 0.0007230 | 1174 | GTEx | DepMap | Descartes | 0.23 | 6.70 |
| SLC16A9 | 0.0006132 | 1367 | GTEx | DepMap | Descartes | 0.10 | 8.31 |
| HMGCS1 | 0.0005705 | 1465 | GTEx | DepMap | Descartes | 1.35 | 66.21 |
| PAPSS2 | 0.0005030 | 1665 | GTEx | DepMap | Descartes | 0.68 | 38.35 |
| FDXR | 0.0003358 | 2225 | GTEx | DepMap | Descartes | 0.07 | 7.66 |
| GSTA4 | 0.0001981 | 2918 | GTEx | DepMap | Descartes | 0.32 | 42.03 |
| DHCR24 | 0.0000644 | 3898 | GTEx | DepMap | Descartes | 0.26 | 10.04 |
| POR | 0.0000522 | 4013 | GTEx | DepMap | Descartes | 0.77 | 68.59 |
| SGCZ | 0.0000326 | 4190 | GTEx | DepMap | Descartes | 0.00 | 0.00 |
| SCARB1 | -0.0000683 | 5336 | GTEx | DepMap | Descartes | 0.16 | 6.52 |
| FDPS | -0.0000729 | 5397 | GTEx | DepMap | Descartes | 0.59 | 62.40 |
| IGF1R | -0.0001003 | 5762 | GTEx | DepMap | Descartes | 0.55 | 9.88 |
| SCAP | -0.0001520 | 6439 | GTEx | DepMap | Descartes | 0.25 | 13.98 |
| STAR | -0.0002028 | 7067 | GTEx | DepMap | Descartes | 0.01 | 0.58 |
| INHA | -0.0002110 | 7172 | GTEx | DepMap | Descartes | 0.00 | 0.00 |
| BAIAP2L1 | -0.0002250 | 7343 | GTEx | DepMap | Descartes | 0.00 | 0.00 |
| FDX1 | -0.0002425 | 7544 | GTEx | DepMap | Descartes | 0.27 | 19.54 |
| APOC1 | -0.0002984 | 8160 | GTEx | DepMap | Descartes | 0.69 | 171.83 |
| TM7SF2 | -0.0003071 | 8244 | GTEx | DepMap | Descartes | 0.03 | 2.42 |
| ERN1 | -0.0003177 | 8353 | GTEx | DepMap | Descartes | 0.52 | 14.12 |
| CYB5B | -0.0003251 | 8426 | GTEx | DepMap | Descartes | 0.46 | 24.36 |
| HMGCR | -0.0004154 | 9261 | GTEx | DepMap | Descartes | 1.04 | 55.79 |
| SLC1A2 | -0.0004294 | 9387 | GTEx | DepMap | Descartes | 0.10 | 1.90 |
| MSMO1 | -0.0004324 | 9418 | GTEx | DepMap | Descartes | 0.50 | 50.53 |
| FREM2 | -0.0004620 | 9648 | GTEx | DepMap | Descartes | 0.00 | 0.01 |
| DNER | -0.0006792 | 11013 | GTEx | DepMap | Descartes | 0.07 | 4.54 |
Descartes chromaffin markers
Top 50 marker genes of chromaffin cells in the Decartes fetal adrenal single cell map (https://atlas.brotmanbaty.org/bbi/human-gene-expression-during-development/cell/chromaffin/in/adrenal)
Wilcoxon ranksum test P-value for gene set overrepresentation: 1.00e+00
Mean rank of genes in gene set: 9380.61
Median rank of genes in gene set: 10333
Rank on gene expression program of top 30 genes in gene set:
| Genes | Weight | Rank | GTEx | DepMap | Descartes | Mean.Counts | Mean.TPM |
|---|---|---|---|---|---|---|---|
| SYNPO2 | 0.0022831 | 256 | GTEx | DepMap | Descartes | 1.62 | 28.82 |
| PLXNA4 | 0.0003082 | 2339 | GTEx | DepMap | Descartes | 0.06 | 1.01 |
| TUBB2A | 0.0001059 | 3558 | GTEx | DepMap | Descartes | 1.97 | 278.20 |
| ANKFN1 | 0.0000353 | 4175 | GTEx | DepMap | Descartes | 0.00 | 0.00 |
| EPHA6 | -0.0001199 | 6026 | GTEx | DepMap | Descartes | 0.00 | 0.05 |
| TUBA1A | -0.0001326 | 6187 | GTEx | DepMap | Descartes | 7.86 | 975.83 |
| TMEFF2 | -0.0001456 | 6348 | GTEx | DepMap | Descartes | 0.01 | 0.71 |
| TMEM132C | -0.0001666 | 6619 | GTEx | DepMap | Descartes | 0.07 | 4.27 |
| CNTFR | -0.0001836 | 6812 | GTEx | DepMap | Descartes | 0.06 | 5.02 |
| RGMB | -0.0002012 | 7048 | GTEx | DepMap | Descartes | 0.70 | 31.99 |
| GAL | -0.0002607 | 7773 | GTEx | DepMap | Descartes | 0.10 | 18.31 |
| KCNB2 | -0.0003190 | 8368 | GTEx | DepMap | Descartes | 0.01 | 0.20 |
| EYA4 | -0.0003357 | 8528 | GTEx | DepMap | Descartes | 0.01 | 0.51 |
| IL7 | -0.0003443 | 8609 | GTEx | DepMap | Descartes | 0.02 | 1.91 |
| CNKSR2 | -0.0003661 | 8824 | GTEx | DepMap | Descartes | 0.09 | 2.95 |
| FAT3 | -0.0003734 | 8898 | GTEx | DepMap | Descartes | 0.03 | 0.20 |
| ALK | -0.0004183 | 9292 | GTEx | DepMap | Descartes | 0.02 | 0.86 |
| SLC44A5 | -0.0004917 | 9875 | GTEx | DepMap | Descartes | 0.01 | 0.52 |
| HS3ST5 | -0.0005140 | 10024 | GTEx | DepMap | Descartes | 0.01 | 0.90 |
| RPH3A | -0.0005421 | 10232 | GTEx | DepMap | Descartes | 0.01 | 0.27 |
| EYA1 | -0.0005591 | 10333 | GTEx | DepMap | Descartes | 0.01 | 0.22 |
| NTRK1 | -0.0005622 | 10356 | GTEx | DepMap | Descartes | 0.01 | 0.53 |
| RBFOX1 | -0.0006216 | 10723 | GTEx | DepMap | Descartes | 0.01 | 0.27 |
| PTCHD1 | -0.0006549 | 10887 | GTEx | DepMap | Descartes | 0.01 | 0.20 |
| RYR2 | -0.0006644 | 10936 | GTEx | DepMap | Descartes | 0.04 | 0.36 |
| MAB21L2 | -0.0006755 | 10987 | GTEx | DepMap | Descartes | 0.14 | 5.79 |
| REEP1 | -0.0007464 | 11295 | GTEx | DepMap | Descartes | 0.04 | 1.34 |
| MAB21L1 | -0.0008710 | 11727 | GTEx | DepMap | Descartes | 0.08 | 9.05 |
| ELAVL2 | -0.0008952 | 11789 | GTEx | DepMap | Descartes | 0.04 | 0.61 |
| GREM1 | -0.0009131 | 11832 | GTEx | DepMap | Descartes | 0.99 | 10.42 |
Descartes Vascular_endothelial markers
Top 50 marker genes of Vascular_endothelial cells in the Decartes fetal adrenal single cell map (https://atlas.brotmanbaty.org/bbi/human-gene-expression-during-development/cell/vascular_endothelial/in/adrenal)
Wilcoxon ranksum test P-value for gene set overrepresentation: 3.05e-03
Mean rank of genes in gene set: 4665.76
Median rank of genes in gene set: 3857
Rank on gene expression program of top 30 genes in gene set:
| Genes | Weight | Rank | GTEx | DepMap | Descartes | Mean.Counts | Mean.TPM |
|---|---|---|---|---|---|---|---|
| ID1 | 0.0038417 | 70 | GTEx | DepMap | Descartes | 2.00 | 488.72 |
| CYP26B1 | 0.0025247 | 213 | GTEx | DepMap | Descartes | 0.80 | 54.21 |
| RAMP2 | 0.0005727 | 1457 | GTEx | DepMap | Descartes | 0.29 | 66.49 |
| HYAL2 | 0.0005620 | 1492 | GTEx | DepMap | Descartes | 0.21 | 11.38 |
| ARHGAP29 | 0.0004731 | 1754 | GTEx | DepMap | Descartes | 0.55 | 14.41 |
| SHE | 0.0004230 | 1902 | GTEx | DepMap | Descartes | 0.14 | 5.19 |
| F8 | 0.0003782 | 2067 | GTEx | DepMap | Descartes | 0.09 | 2.28 |
| KANK3 | 0.0003418 | 2202 | GTEx | DepMap | Descartes | 0.08 | 5.71 |
| MMRN2 | 0.0003325 | 2234 | GTEx | DepMap | Descartes | 0.20 | 8.88 |
| TEK | 0.0003262 | 2261 | GTEx | DepMap | Descartes | 0.07 | 2.76 |
| CLDN5 | 0.0003103 | 2324 | GTEx | DepMap | Descartes | 0.14 | 13.47 |
| FLT4 | 0.0002420 | 2671 | GTEx | DepMap | Descartes | 0.05 | 1.59 |
| IRX3 | 0.0002381 | 2698 | GTEx | DepMap | Descartes | 0.13 | 8.91 |
| TMEM88 | 0.0002085 | 2856 | GTEx | DepMap | Descartes | 0.42 | 100.61 |
| CDH5 | 0.0001823 | 3027 | GTEx | DepMap | Descartes | 0.16 | 7.55 |
| NPR1 | 0.0001808 | 3037 | GTEx | DepMap | Descartes | 0.05 | 2.29 |
| GALNT15 | 0.0001451 | 3262 | GTEx | DepMap | Descartes | 0.07 | NA |
| PODXL | 0.0001105 | 3510 | GTEx | DepMap | Descartes | 0.16 | 5.36 |
| EFNB2 | 0.0000824 | 3745 | GTEx | DepMap | Descartes | 1.32 | 61.06 |
| NR5A2 | 0.0000561 | 3969 | GTEx | DepMap | Descartes | 0.01 | 0.26 |
| NOTCH4 | 0.0000357 | 4172 | GTEx | DepMap | Descartes | 0.11 | 3.71 |
| SLCO2A1 | 0.0000286 | 4222 | GTEx | DepMap | Descartes | 0.22 | 9.35 |
| RASIP1 | 0.0000197 | 4309 | GTEx | DepMap | Descartes | 0.08 | 5.90 |
| TIE1 | 0.0000002 | 4517 | GTEx | DepMap | Descartes | 0.23 | 9.53 |
| CHRM3 | -0.0000410 | 4985 | GTEx | DepMap | Descartes | 0.02 | 0.67 |
| EHD3 | -0.0000542 | 5142 | GTEx | DepMap | Descartes | 0.13 | 6.11 |
| CRHBP | -0.0001264 | 6108 | GTEx | DepMap | Descartes | 0.00 | 0.09 |
| BTNL9 | -0.0001349 | 6217 | GTEx | DepMap | Descartes | 0.04 | 1.69 |
| CEACAM1 | -0.0001387 | 6269 | GTEx | DepMap | Descartes | 0.04 | 2.63 |
| MYRIP | -0.0002480 | 7622 | GTEx | DepMap | Descartes | 0.02 | 0.67 |
Descartes stromal markers
Top 50 marker genes of stromal cells in the Decartes fetal adrenal single cell map (https://atlas.brotmanbaty.org/bbi/human-gene-expression-during-development/cell/stromal/in/adrenal)
Wilcoxon ranksum test P-value for gene set overrepresentation: 1.07e-20
Mean rank of genes in gene set: 1229.3
Median rank of genes in gene set: 508.5
Rank on gene expression program of top 30 genes in gene set:
| Genes | Weight | Rank | GTEx | DepMap | Descartes | Mean.Counts | Mean.TPM |
|---|---|---|---|---|---|---|---|
| DCN | 0.0068289 | 10 | GTEx | DepMap | Descartes | 63.72 | 2280.75 |
| LUM | 0.0051221 | 34 | GTEx | DepMap | Descartes | 43.64 | 3921.44 |
| OGN | 0.0042847 | 52 | GTEx | DepMap | Descartes | 6.21 | 492.34 |
| ABCA6 | 0.0042319 | 55 | GTEx | DepMap | Descartes | 1.32 | 42.51 |
| C7 | 0.0040511 | 67 | GTEx | DepMap | Descartes | 16.73 | 715.41 |
| PCOLCE | 0.0037558 | 75 | GTEx | DepMap | Descartes | 6.65 | 988.53 |
| ISLR | 0.0035724 | 79 | GTEx | DepMap | Descartes | 4.59 | 452.24 |
| BICC1 | 0.0035299 | 85 | GTEx | DepMap | Descartes | 1.39 | 56.36 |
| CDH11 | 0.0032008 | 119 | GTEx | DepMap | Descartes | 2.26 | 68.88 |
| PDGFRA | 0.0031669 | 125 | GTEx | DepMap | Descartes | 1.96 | 68.71 |
| PAMR1 | 0.0031516 | 127 | GTEx | DepMap | Descartes | 2.07 | 137.02 |
| CCDC80 | 0.0026585 | 191 | GTEx | DepMap | Descartes | 13.97 | 233.58 |
| SCARA5 | 0.0025372 | 210 | GTEx | DepMap | Descartes | 1.31 | 73.35 |
| PRRX1 | 0.0023775 | 239 | GTEx | DepMap | Descartes | 2.87 | 172.11 |
| CD248 | 0.0022977 | 251 | GTEx | DepMap | Descartes | 0.99 | 86.16 |
| MGP | 0.0022006 | 276 | GTEx | DepMap | Descartes | 35.89 | 4459.42 |
| PCDH18 | 0.0021449 | 289 | GTEx | DepMap | Descartes | 0.61 | 24.52 |
| PRICKLE1 | 0.0020687 | 306 | GTEx | DepMap | Descartes | 0.63 | 25.64 |
| COL6A3 | 0.0018416 | 362 | GTEx | DepMap | Descartes | 10.06 | 206.04 |
| ADAMTSL3 | 0.0017915 | 377 | GTEx | DepMap | Descartes | 0.43 | 13.94 |
| HHIP | 0.0015997 | 443 | GTEx | DepMap | Descartes | 0.16 | 3.38 |
| ABCC9 | 0.0014291 | 508 | GTEx | DepMap | Descartes | 0.59 | 16.35 |
| LOX | 0.0014283 | 509 | GTEx | DepMap | Descartes | 1.14 | 45.27 |
| COL1A2 | 0.0014207 | 513 | GTEx | DepMap | Descartes | 63.62 | 1912.19 |
| FREM1 | 0.0013960 | 527 | GTEx | DepMap | Descartes | 0.30 | 7.36 |
| CLDN11 | 0.0012847 | 599 | GTEx | DepMap | Descartes | 0.39 | 24.62 |
| COL3A1 | 0.0011364 | 699 | GTEx | DepMap | Descartes | 67.48 | 2181.32 |
| LRRC17 | 0.0011050 | 722 | GTEx | DepMap | Descartes | 0.34 | 39.26 |
| ELN | 0.0010132 | 806 | GTEx | DepMap | Descartes | 2.77 | 112.05 |
| IGFBP3 | 0.0009672 | 846 | GTEx | DepMap | Descartes | 1.51 | 135.79 |
Descartes sympathoblasts markers
Top 50 marker genes of sympathoblasts cells in the Decartes fetal adrenal single cell map (https://atlas.brotmanbaty.org/bbi/human-gene-expression-during-development/cell/sympathoblasts/in/adrenal)
Wilcoxon ranksum test P-value for gene set overrepresentation: 9.70e-01
Mean rank of genes in gene set: 7377.18
Median rank of genes in gene set: 7341
Rank on gene expression program of top 30 genes in gene set:
| Genes | Weight | Rank | GTEx | DepMap | Descartes | Mean.Counts | Mean.TPM |
|---|---|---|---|---|---|---|---|
| CNTN3 | 0.0008228 | 1036 | GTEx | DepMap | Descartes | 0.15 | 9.67 |
| LAMA3 | 0.0006007 | 1396 | GTEx | DepMap | Descartes | 0.17 | 3.09 |
| TIAM1 | 0.0003930 | 2009 | GTEx | DepMap | Descartes | 1.29 | 43.53 |
| ROBO1 | 0.0002971 | 2383 | GTEx | DepMap | Descartes | 0.37 | 11.80 |
| GRM7 | 0.0000599 | 3933 | GTEx | DepMap | Descartes | 0.02 | 1.53 |
| ARC | 0.0000318 | 4195 | GTEx | DepMap | Descartes | 1.76 | 123.44 |
| SLC24A2 | 0.0000105 | 4406 | GTEx | DepMap | Descartes | 0.01 | 0.12 |
| GRID2 | -0.0000367 | 4930 | GTEx | DepMap | Descartes | 0.01 | 0.09 |
| FGF14 | -0.0000545 | 5145 | GTEx | DepMap | Descartes | 0.04 | 0.59 |
| GALNTL6 | -0.0000612 | 5232 | GTEx | DepMap | Descartes | 0.00 | 0.00 |
| PENK | -0.0000817 | 5507 | GTEx | DepMap | Descartes | 0.18 | 37.56 |
| SPOCK3 | -0.0001031 | 5794 | GTEx | DepMap | Descartes | 0.00 | 0.00 |
| PACRG | -0.0001209 | 6038 | GTEx | DepMap | Descartes | 0.01 | 1.59 |
| HTATSF1 | -0.0001620 | 6557 | GTEx | DepMap | Descartes | 0.53 | 43.11 |
| CDH12 | -0.0001655 | 6602 | GTEx | DepMap | Descartes | 0.00 | 0.00 |
| CDH18 | -0.0001675 | 6628 | GTEx | DepMap | Descartes | 0.01 | 0.49 |
| TENM1 | -0.0001679 | 6637 | GTEx | DepMap | Descartes | 0.04 | NA |
| SORCS3 | -0.0002067 | 7117 | GTEx | DepMap | Descartes | 0.00 | 0.05 |
| ST18 | -0.0002169 | 7251 | GTEx | DepMap | Descartes | 0.00 | 0.08 |
| SLC35F3 | -0.0002327 | 7431 | GTEx | DepMap | Descartes | 0.00 | 0.14 |
| TBX20 | -0.0002358 | 7476 | GTEx | DepMap | Descartes | 0.00 | 0.00 |
| NTNG1 | -0.0002467 | 7605 | GTEx | DepMap | Descartes | 0.03 | 0.92 |
| AGBL4 | -0.0002546 | 7706 | GTEx | DepMap | Descartes | 0.00 | 0.12 |
| KSR2 | -0.0002751 | 7928 | GTEx | DepMap | Descartes | 0.01 | 0.08 |
| CCSER1 | -0.0002881 | 8066 | GTEx | DepMap | Descartes | 0.01 | NA |
| MGAT4C | -0.0003096 | 8282 | GTEx | DepMap | Descartes | 0.02 | 0.16 |
| PCSK2 | -0.0004277 | 9367 | GTEx | DepMap | Descartes | 0.03 | 1.29 |
| FAM155A | -0.0004645 | 9663 | GTEx | DepMap | Descartes | 0.12 | 2.11 |
| EML6 | -0.0004809 | 9788 | GTEx | DepMap | Descartes | 0.03 | 0.55 |
| KCTD16 | -0.0004815 | 9793 | GTEx | DepMap | Descartes | 0.02 | 0.22 |
Descartes erythroblasts markers
Top 50 marker genes of erythroblasts cells in the Decartes fetal adrenal single cell map (https://atlas.brotmanbaty.org/bbi/human-gene-expression-during-development/cell/erythroblasts/in/adrenal)
Wilcoxon ranksum test P-value for gene set overrepresentation: 6.23e-01
Mean rank of genes in gene set: 6485
Median rank of genes in gene set: 6272
Rank on gene expression program of top 30 genes in gene set:
| Genes | Weight | Rank | GTEx | DepMap | Descartes | Mean.Counts | Mean.TPM |
|---|---|---|---|---|---|---|---|
| SELENBP1 | 0.0019444 | 338 | GTEx | DepMap | Descartes | 0.43 | 39.02 |
| RGS6 | 0.0013375 | 570 | GTEx | DepMap | Descartes | 0.15 | 6.85 |
| SOX6 | 0.0009429 | 878 | GTEx | DepMap | Descartes | 0.33 | 11.23 |
| SPECC1 | 0.0003345 | 2232 | GTEx | DepMap | Descartes | 0.22 | 6.65 |
| CAT | 0.0003222 | 2278 | GTEx | DepMap | Descartes | 0.47 | 49.56 |
| BLVRB | 0.0002901 | 2420 | GTEx | DepMap | Descartes | 0.31 | 46.67 |
| MARCH3 | 0.0001137 | 3491 | GTEx | DepMap | Descartes | 0.33 | NA |
| SLC25A21 | 0.0000732 | 3813 | GTEx | DepMap | Descartes | 0.01 | 0.39 |
| RHD | -0.0000520 | 5110 | GTEx | DepMap | Descartes | 0.00 | 0.00 |
| DENND4A | -0.0001012 | 5772 | GTEx | DepMap | Descartes | 0.92 | 26.70 |
| SLC4A1 | -0.0001230 | 6065 | GTEx | DepMap | Descartes | 0.00 | 0.12 |
| ALAS2 | -0.0001330 | 6190 | GTEx | DepMap | Descartes | 0.00 | 0.00 |
| TRAK2 | -0.0001342 | 6208 | GTEx | DepMap | Descartes | 0.34 | 12.12 |
| SLC25A37 | -0.0001365 | 6241 | GTEx | DepMap | Descartes | 0.70 | 37.20 |
| ANK1 | -0.0001388 | 6272 | GTEx | DepMap | Descartes | 0.15 | 3.84 |
| XPO7 | -0.0001593 | 6529 | GTEx | DepMap | Descartes | 0.31 | 14.41 |
| TMCC2 | -0.0001721 | 6693 | GTEx | DepMap | Descartes | 0.02 | 1.10 |
| GCLC | -0.0001842 | 6821 | GTEx | DepMap | Descartes | 0.45 | 30.20 |
| FECH | -0.0001858 | 6839 | GTEx | DepMap | Descartes | 0.09 | 2.69 |
| ABCB10 | -0.0002057 | 7104 | GTEx | DepMap | Descartes | 0.10 | 6.32 |
| CPOX | -0.0002798 | 7983 | GTEx | DepMap | Descartes | 0.10 | 8.72 |
| TFR2 | -0.0003687 | 8849 | GTEx | DepMap | Descartes | 0.00 | 0.23 |
| SPTB | -0.0005249 | 10116 | GTEx | DepMap | Descartes | 0.01 | 0.11 |
| RAPGEF2 | -0.0005628 | 10362 | GTEx | DepMap | Descartes | 0.85 | 23.91 |
| GYPC | -0.0006813 | 11028 | GTEx | DepMap | Descartes | 0.47 | 56.99 |
| SNCA | -0.0007785 | 11413 | GTEx | DepMap | Descartes | 0.05 | 2.28 |
| MICAL2 | -0.0008839 | 11766 | GTEx | DepMap | Descartes | 1.20 | 34.31 |
| EPB41 | -0.0011854 | 12260 | GTEx | DepMap | Descartes | 0.03 | 1.09 |
| TSPAN5 | -0.0014267 | 12424 | GTEx | DepMap | Descartes | 0.84 | 50.95 |
| NA | NA | NA | NA | NA | NA | NA | NA |
Descartes myeloid markers
Top 50 marker genes of myeloid cells in the Decartes fetal adrenal single cell map (https://atlas.brotmanbaty.org/bbi/human-gene-expression-during-development/cell/myeloid/in/adrenal)
Wilcoxon ranksum test P-value for gene set overrepresentation: 9.06e-01
Mean rank of genes in gene set: 7047.37
Median rank of genes in gene set: 8660
Rank on gene expression program of top 30 genes in gene set:
| Genes | Weight | Rank | GTEx | DepMap | Descartes | Mean.Counts | Mean.TPM |
|---|---|---|---|---|---|---|---|
| CST3 | 0.0029075 | 153 | GTEx | DepMap | Descartes | 15.75 | 1098.19 |
| RGL1 | 0.0027632 | 171 | GTEx | DepMap | Descartes | 0.96 | 46.36 |
| TGFBI | 0.0025553 | 208 | GTEx | DepMap | Descartes | 7.33 | 366.10 |
| SLCO2B1 | 0.0007327 | 1151 | GTEx | DepMap | Descartes | 0.44 | 15.25 |
| SLC9A9 | 0.0007309 | 1155 | GTEx | DepMap | Descartes | 0.19 | 13.94 |
| ABCA1 | 0.0006423 | 1312 | GTEx | DepMap | Descartes | 1.94 | 41.85 |
| AXL | 0.0004680 | 1770 | GTEx | DepMap | Descartes | 1.87 | 83.96 |
| CTSC | 0.0004486 | 1825 | GTEx | DepMap | Descartes | 1.71 | 66.74 |
| IFNGR1 | 0.0002667 | 2538 | GTEx | DepMap | Descartes | 0.73 | 69.17 |
| SLC1A3 | 0.0001902 | 2972 | GTEx | DepMap | Descartes | 0.27 | 15.31 |
| HRH1 | 0.0001213 | 3451 | GTEx | DepMap | Descartes | 0.36 | 17.50 |
| MERTK | 0.0000915 | 3674 | GTEx | DepMap | Descartes | 0.11 | 5.69 |
| FGL2 | 0.0000598 | 3935 | GTEx | DepMap | Descartes | 1.04 | 50.75 |
| LGMN | -0.0001351 | 6221 | GTEx | DepMap | Descartes | 1.41 | 137.79 |
| ATP8B4 | -0.0001540 | 6455 | GTEx | DepMap | Descartes | 0.04 | 1.82 |
| ITPR2 | -0.0002459 | 7593 | GTEx | DepMap | Descartes | 0.39 | 7.61 |
| SPP1 | -0.0002485 | 7628 | GTEx | DepMap | Descartes | 0.21 | 14.77 |
| CD14 | -0.0003133 | 8314 | GTEx | DepMap | Descartes | 0.48 | 62.31 |
| CD163L1 | -0.0003455 | 8623 | GTEx | DepMap | Descartes | 0.01 | 0.20 |
| FGD2 | -0.0003535 | 8697 | GTEx | DepMap | Descartes | 0.02 | 0.86 |
| MARCH1 | -0.0003583 | 8743 | GTEx | DepMap | Descartes | 0.02 | NA |
| WWP1 | -0.0003855 | 9015 | GTEx | DepMap | Descartes | 0.24 | 10.46 |
| ADAP2 | -0.0004132 | 9240 | GTEx | DepMap | Descartes | 0.05 | 2.70 |
| CSF1R | -0.0004248 | 9336 | GTEx | DepMap | Descartes | 0.11 | 3.95 |
| HCK | -0.0004402 | 9482 | GTEx | DepMap | Descartes | 0.11 | 9.83 |
| MSR1 | -0.0004837 | 9809 | GTEx | DepMap | Descartes | 0.11 | 3.85 |
| MS4A4A | -0.0005092 | 9988 | GTEx | DepMap | Descartes | 0.13 | 8.67 |
| CYBB | -0.0005928 | 10566 | GTEx | DepMap | Descartes | 0.11 | 2.79 |
| SFMBT2 | -0.0006034 | 10618 | GTEx | DepMap | Descartes | 0.14 | 3.94 |
| CD163 | -0.0006414 | 10823 | GTEx | DepMap | Descartes | 0.21 | 4.06 |
Descartes Schwann markers
Top 50 marker genes of Schwann cells in the Decartes fetal adrenal single cell map (https://atlas.brotmanbaty.org/bbi/human-gene-expression-during-development/cell/schwann/in/adrenal)
Wilcoxon ranksum test P-value for gene set overrepresentation: 1.06e-01
Mean rank of genes in gene set: 5595.86
Median rank of genes in gene set: 5455.5
Rank on gene expression program of top 30 genes in gene set:
| Genes | Weight | Rank | GTEx | DepMap | Descartes | Mean.Counts | Mean.TPM |
|---|---|---|---|---|---|---|---|
| LAMB1 | 0.0034596 | 92 | GTEx | DepMap | Descartes | 5.07 | 203.37 |
| VIM | 0.0034136 | 96 | GTEx | DepMap | Descartes | 50.84 | 4858.02 |
| SFRP1 | 0.0034072 | 97 | GTEx | DepMap | Descartes | 2.61 | 127.65 |
| KCTD12 | 0.0031764 | 123 | GTEx | DepMap | Descartes | 3.53 | 146.20 |
| LAMA4 | 0.0022918 | 253 | GTEx | DepMap | Descartes | 2.83 | 88.65 |
| LAMC1 | 0.0018376 | 364 | GTEx | DepMap | Descartes | 5.47 | 152.35 |
| GAS7 | 0.0012934 | 595 | GTEx | DepMap | Descartes | 2.34 | 67.45 |
| VCAN | 0.0010698 | 750 | GTEx | DepMap | Descartes | 8.58 | 169.69 |
| SCN7A | 0.0009535 | 862 | GTEx | DepMap | Descartes | 1.16 | 44.23 |
| ADAMTS5 | 0.0008913 | 950 | GTEx | DepMap | Descartes | 0.19 | 4.65 |
| EGFLAM | 0.0008354 | 1019 | GTEx | DepMap | Descartes | 0.50 | 24.87 |
| PMP22 | 0.0006521 | 1290 | GTEx | DepMap | Descartes | 1.93 | 231.40 |
| PLCE1 | 0.0005378 | 1565 | GTEx | DepMap | Descartes | 0.23 | 4.85 |
| COL5A2 | 0.0005212 | 1618 | GTEx | DepMap | Descartes | 4.11 | 108.36 |
| MARCKS | 0.0002911 | 2413 | GTEx | DepMap | Descartes | 7.00 | 372.98 |
| GRIK3 | 0.0002870 | 2434 | GTEx | DepMap | Descartes | 0.14 | 3.72 |
| DST | 0.0002388 | 2694 | GTEx | DepMap | Descartes | 3.95 | 44.18 |
| COL18A1 | 0.0002265 | 2756 | GTEx | DepMap | Descartes | 3.61 | 117.59 |
| OLFML2A | 0.0002010 | 2894 | GTEx | DepMap | Descartes | 0.73 | 28.41 |
| ERBB4 | 0.0000461 | 4066 | GTEx | DepMap | Descartes | 0.03 | 0.61 |
| STARD13 | -0.0000173 | 4717 | GTEx | DepMap | Descartes | 0.85 | 32.11 |
| PTN | -0.0000199 | 4744 | GTEx | DepMap | Descartes | 1.00 | 85.96 |
| MDGA2 | -0.0001308 | 6167 | GTEx | DepMap | Descartes | 0.01 | 0.37 |
| SOX5 | -0.0001362 | 6236 | GTEx | DepMap | Descartes | 0.16 | 6.08 |
| LRRTM4 | -0.0001869 | 6857 | GTEx | DepMap | Descartes | 0.01 | 0.40 |
| IL1RAPL2 | -0.0002097 | 7154 | GTEx | DepMap | Descartes | 0.00 | 0.00 |
| COL25A1 | -0.0002128 | 7201 | GTEx | DepMap | Descartes | 0.02 | 0.55 |
| TRPM3 | -0.0002133 | 7209 | GTEx | DepMap | Descartes | 0.03 | 0.80 |
| FIGN | -0.0002355 | 7469 | GTEx | DepMap | Descartes | 0.16 | 3.83 |
| NRXN3 | -0.0003177 | 8354 | GTEx | DepMap | Descartes | 0.14 | 2.80 |
Descartes Megakaryocytes markers
Top 50 marker genes of Megakaryocytes cells in the Decartes fetal adrenal single cell map (https://atlas.brotmanbaty.org/bbi/human-gene-expression-during-development/cell/megakaryocytes/in/adrenal)
Wilcoxon ranksum test P-value for gene set overrepresentation: 6.47e-01
Mean rank of genes in gene set: 6478.2
Median rank of genes in gene set: 6858
Rank on gene expression program of top 30 genes in gene set:
| Genes | Weight | Rank | GTEx | DepMap | Descartes | Mean.Counts | Mean.TPM |
|---|---|---|---|---|---|---|---|
| GSN | 0.0041573 | 60 | GTEx | DepMap | Descartes | 17.87 | 767.87 |
| SLC2A3 | 0.0021712 | 283 | GTEx | DepMap | Descartes | 5.41 | 324.91 |
| LTBP1 | 0.0016281 | 422 | GTEx | DepMap | Descartes | 1.54 | 62.43 |
| VCL | 0.0012544 | 617 | GTEx | DepMap | Descartes | 2.91 | 77.72 |
| PDE3A | 0.0011382 | 695 | GTEx | DepMap | Descartes | 0.79 | 25.97 |
| GP1BA | 0.0011094 | 716 | GTEx | DepMap | Descartes | 0.04 | 3.95 |
| ANGPT1 | 0.0010975 | 727 | GTEx | DepMap | Descartes | 0.29 | 17.95 |
| STOM | 0.0009259 | 908 | GTEx | DepMap | Descartes | 3.73 | 291.37 |
| ARHGAP6 | 0.0008923 | 947 | GTEx | DepMap | Descartes | 0.14 | 6.50 |
| ACTN1 | 0.0005865 | 1423 | GTEx | DepMap | Descartes | 3.72 | 180.34 |
| MMRN1 | 0.0005383 | 1561 | GTEx | DepMap | Descartes | 0.02 | 0.98 |
| MYLK | 0.0005281 | 1596 | GTEx | DepMap | Descartes | 1.85 | 40.39 |
| STON2 | 0.0002839 | 2443 | GTEx | DepMap | Descartes | 0.10 | 5.81 |
| TLN1 | 0.0002490 | 2628 | GTEx | DepMap | Descartes | 2.87 | 72.61 |
| ZYX | 0.0002079 | 2861 | GTEx | DepMap | Descartes | 3.43 | 354.64 |
| MED12L | 0.0001866 | 2996 | GTEx | DepMap | Descartes | 0.07 | 1.24 |
| SLC24A3 | 0.0001142 | 3485 | GTEx | DepMap | Descartes | 0.10 | 5.79 |
| TRPC6 | -0.0000304 | 4864 | GTEx | DepMap | Descartes | 0.03 | 1.86 |
| PRKAR2B | -0.0001576 | 6505 | GTEx | DepMap | Descartes | 0.19 | 11.97 |
| ITGA2B | -0.0001690 | 6659 | GTEx | DepMap | Descartes | 0.01 | 1.34 |
| UBASH3B | -0.0001853 | 6835 | GTEx | DepMap | Descartes | 0.62 | 21.13 |
| PSTPIP2 | -0.0001864 | 6850 | GTEx | DepMap | Descartes | 0.05 | 4.21 |
| P2RX1 | -0.0001870 | 6858 | GTEx | DepMap | Descartes | 0.02 | 1.69 |
| TUBB1 | -0.0001921 | 6924 | GTEx | DepMap | Descartes | 0.01 | 0.60 |
| MCTP1 | -0.0002102 | 7160 | GTEx | DepMap | Descartes | 0.30 | 15.50 |
| CD9 | -0.0002248 | 7340 | GTEx | DepMap | Descartes | 1.01 | 93.81 |
| DOK6 | -0.0002644 | 7819 | GTEx | DepMap | Descartes | 0.08 | 1.61 |
| RAB27B | -0.0003058 | 8235 | GTEx | DepMap | Descartes | 0.01 | 0.13 |
| ITGB3 | -0.0004018 | 9154 | GTEx | DepMap | Descartes | 0.05 | 1.61 |
| TPM4 | -0.0004112 | 9224 | GTEx | DepMap | Descartes | 4.79 | 212.43 |
Descartes Lyphoid markers
Top 50 marker genes of Lyphoid cells in the Decartes fetal adrenal single cell map (https://atlas.brotmanbaty.org/bbi/human-gene-expression-during-development/cell/lymphoid/in/adrenal)
Wilcoxon ranksum test P-value for gene set overrepresentation: 1.00e+00
Mean rank of genes in gene set: 10564.71
Median rank of genes in gene set: 11803
Rank on gene expression program of top 30 genes in gene set:
| Genes | Weight | Rank | GTEx | DepMap | Descartes | Mean.Counts | Mean.TPM |
|---|---|---|---|---|---|---|---|
| NCALD | 0.0011538 | 686 | GTEx | DepMap | Descartes | 0.41 | 26.52 |
| ARID5B | 0.0009536 | 861 | GTEx | DepMap | Descartes | 6.84 | 212.44 |
| CELF2 | 0.0001000 | 3610 | GTEx | DepMap | Descartes | 1.97 | 62.45 |
| ABLIM1 | -0.0001591 | 6527 | GTEx | DepMap | Descartes | 1.01 | 31.78 |
| ARHGAP15 | -0.0001996 | 7023 | GTEx | DepMap | Descartes | 0.16 | 12.90 |
| MBNL1 | -0.0002632 | 7804 | GTEx | DepMap | Descartes | 2.38 | 95.68 |
| CCND3 | -0.0003369 | 8538 | GTEx | DepMap | Descartes | 0.29 | 29.40 |
| MCTP2 | -0.0004180 | 9289 | GTEx | DepMap | Descartes | 0.02 | 0.50 |
| LEF1 | -0.0004210 | 9316 | GTEx | DepMap | Descartes | 0.38 | 23.08 |
| PLEKHA2 | -0.0005413 | 10226 | GTEx | DepMap | Descartes | 0.72 | 33.21 |
| SKAP1 | -0.0006020 | 10613 | GTEx | DepMap | Descartes | 0.01 | 1.09 |
| SP100 | -0.0006089 | 10659 | GTEx | DepMap | Descartes | 1.08 | 46.13 |
| SCML4 | -0.0006157 | 10690 | GTEx | DepMap | Descartes | 0.01 | 0.43 |
| RCSD1 | -0.0006331 | 10787 | GTEx | DepMap | Descartes | 0.08 | 2.27 |
| STK39 | -0.0006565 | 10898 | GTEx | DepMap | Descartes | 0.20 | 13.85 |
| SAMD3 | -0.0006842 | 11041 | GTEx | DepMap | Descartes | 0.01 | 0.47 |
| FOXP1 | -0.0007266 | 11211 | GTEx | DepMap | Descartes | 2.23 | 58.26 |
| TOX | -0.0007362 | 11256 | GTEx | DepMap | Descartes | 0.04 | 1.72 |
| BACH2 | -0.0008193 | 11556 | GTEx | DepMap | Descartes | 0.26 | 6.04 |
| ITPKB | -0.0008273 | 11583 | GTEx | DepMap | Descartes | 0.55 | 21.55 |
| BCL2 | -0.0008902 | 11778 | GTEx | DepMap | Descartes | 0.39 | 10.85 |
| RAP1GAP2 | -0.0009106 | 11828 | GTEx | DepMap | Descartes | 0.05 | 1.03 |
| ANKRD44 | -0.0009183 | 11847 | GTEx | DepMap | Descartes | 0.12 | 3.54 |
| TMSB10 | -0.0009191 | 11849 | GTEx | DepMap | Descartes | 10.23 | 4799.29 |
| DOCK10 | -0.0009196 | 11851 | GTEx | DepMap | Descartes | 0.36 | 10.30 |
| SORL1 | -0.0009701 | 11954 | GTEx | DepMap | Descartes | 0.38 | 8.14 |
| PITPNC1 | -0.0010740 | 12134 | GTEx | DepMap | Descartes | 0.47 | 15.49 |
| GNG2 | -0.0011037 | 12168 | GTEx | DepMap | Descartes | 0.60 | 37.79 |
| PRKCH | -0.0011527 | 12224 | GTEx | DepMap | Descartes | 0.09 | 5.61 |
| EVL | -0.0011848 | 12257 | GTEx | DepMap | Descartes | 0.71 | 42.74 |
Below shows the ranks on this GEP for immune marker gene lists curated by CellTypist (https://www.celltypist.org/encyclopedia).
High ranks indicate this gene is a driver of this GEP.
These curated gene list are ranked by P-value (on this GEP) of their constituent genes.
The Mean Count column shows the mean read count in cells scoring highly (H > 50) on this gene expression program.
| Genes | Weight | Rank | GTEx | DepMap | Decartes | Mean.Counts | Mean.TPM |
|---|---|---|---|---|---|---|---|
| SMOC2 | 0.0037067 | 77 | GTEx | DepMap | Descartes | 3.51 | 224.85 |
| SFRP1 | 0.0034072 | 97 | GTEx | DepMap | Descartes | 2.61 | 127.65 |
| PDGFRA | 0.0031669 | 125 | GTEx | DepMap | Descartes | 1.96 | 68.71 |
| EBF2 | 0.0025107 | 215 | GTEx | DepMap | Descartes | 1.37 | 69.54 |
| NTRK2 | 0.0024484 | 225 | GTEx | DepMap | Descartes | 1.54 | 46.53 |
| PRRX1 | 0.0023775 | 239 | GTEx | DepMap | Descartes | 2.87 | 172.11 |
| OLFML1 | 0.0023232 | 247 | GTEx | DepMap | Descartes | 0.76 | 62.36 |
| ANGPTL1 | 0.0013251 | 575 | GTEx | DepMap | Descartes | 0.38 | 22.09 |
| F10 | 0.0012140 | 643 | GTEx | DepMap | Descartes | 0.22 | 34.26 |
Fibroblasts: Fibroblasts (curated markers)
the most common cells of connective tissues which synthesize the extracellular matrix and collagen to maintain tissue homeostasis:
Wilcoxon ranksum test P-value for gene set overrepresentation: 3.16e-03
Mean rank of genes in gene set: 563.33
Rank on gene expression program of genes in gene set:
| Genes | Weight | Rank | GTEx | DepMap | Decartes | Mean.Counts | Mean.TPM |
|---|---|---|---|---|---|---|---|
| DCN | 0.0068289 | 10 | GTEx | DepMap | Descartes | 63.72 | 2280.75 |
| COL1A2 | 0.0014207 | 513 | GTEx | DepMap | Descartes | 63.62 | 1912.19 |
| COL1A1 | 0.0007252 | 1167 | GTEx | DepMap | Descartes | 144.60 | 4094.47 |
DC: Transitional DC (curated markers)
immature dendritic cells which follow dendritic cell precursors and are committed to the mature dendritic cells:
Wilcoxon ranksum test P-value for gene set overrepresentation: 1.78e-02
Mean rank of genes in gene set: 893
Rank on gene expression program of genes in gene set:
| Genes | Weight | Rank | GTEx | DepMap | Decartes | Mean.Counts | Mean.TPM |
|---|---|---|---|---|---|---|---|
| KLF4 | 0.0063517 | 16 | GTEx | DepMap | Descartes | 6.55 | 587.08 |
| AXL | 0.0004680 | 1770 | GTEx | DepMap | Descartes | 1.87 | 83.96 |