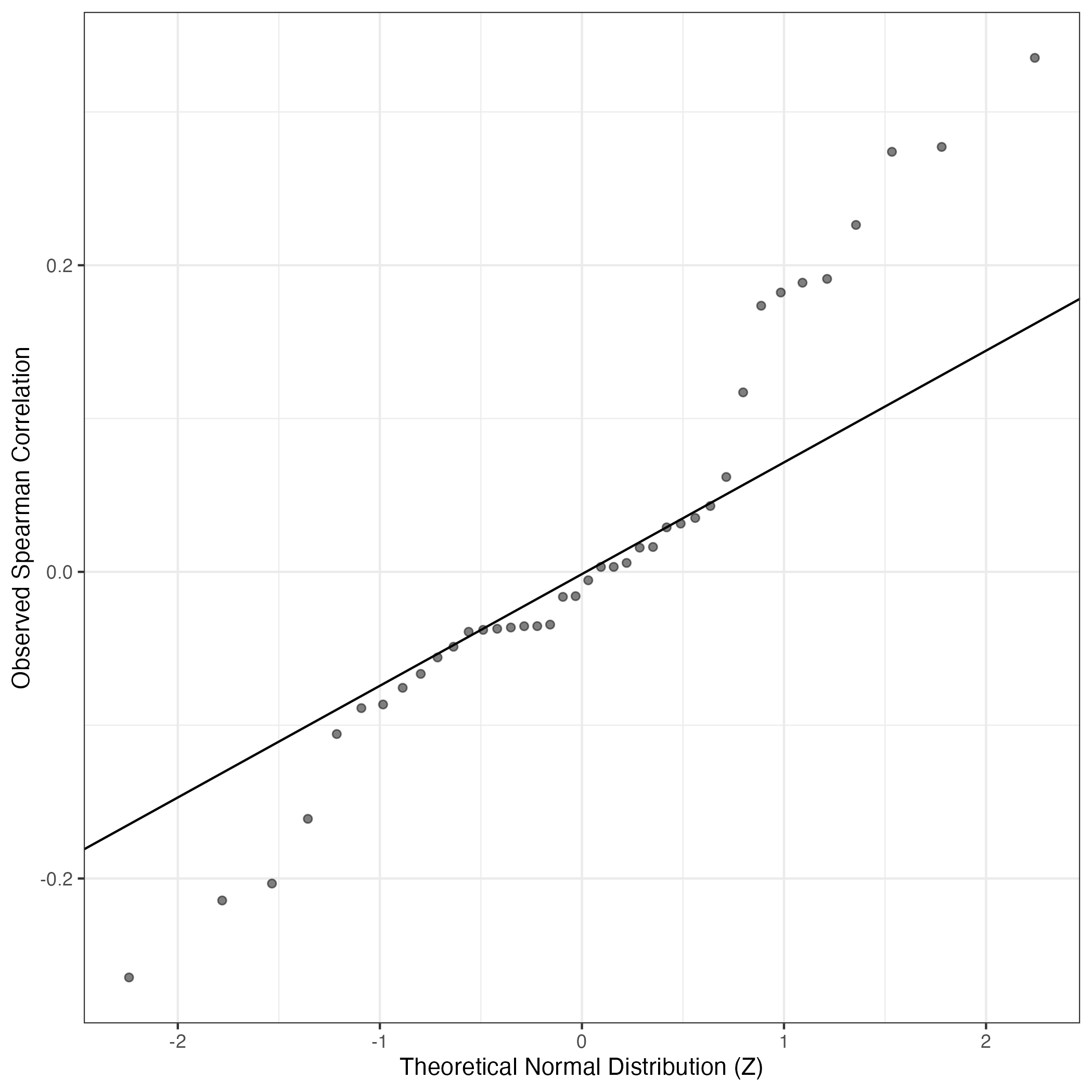
QQ-plot of gene loadings, averaged over both independent splits of the data
This plot highlights the relative contribution of each gene to the GEP
Top genes driving this program.
Note: Decartes website is buggy, try refreshing. Also, Decartes fetal adrenal data have been collected at specific time points (89-122 days), all possible cell types of interest may not be represented, do not overinterpret.
The Mean Count column shows the mean read count in cells scoring highly (H > 50) on this gene expression program.
Gene | Loading | Gene.Name | GTEx | DepMap | Descartes | Mean.Counts | Mean.Tpm | |
---|---|---|---|---|---|---|---|---|
1 | MYCN | 0.0092316 | MYCN proto-oncogene, bHLH transcription factor | GTEx | DepMap | Descartes | 16.94 | 763.33 |
2 | RPL18 | 0.0087324 | ribosomal protein L18 | GTEx | DepMap | Descartes | 93.98 | 3117.03 |
3 | PRRX2 | 0.0085411 | paired related homeobox 2 | GTEx | DepMap | Descartes | 1.72 | 174.01 |
4 | NPM1 | 0.0081606 | nucleophosmin 1 | GTEx | DepMap | Descartes | 38.44 | 2772.99 |
5 | EEF1B2 | 0.0079988 | eukaryotic translation elongation factor 1 beta 2 | GTEx | DepMap | Descartes | 50.22 | 5963.78 |
6 | NPW | 0.0079421 | neuropeptide W | GTEx | DepMap | Descartes | 4.96 | 765.07 |
7 | HIST3H2A | 0.0077776 | NA | GTEx | DepMap | Descartes | 8.17 | NA |
8 | NME1 | 0.0074440 | NME/NM23 nucleoside diphosphate kinase 1 | GTEx | DepMap | Descartes | 21.08 | 1602.17 |
9 | PPA1 | 0.0074141 | inorganic pyrophosphatase 1 | GTEx | DepMap | Descartes | 13.35 | 482.33 |
10 | BCHE | 0.0073811 | butyrylcholinesterase | GTEx | DepMap | Descartes | 0.78 | 40.70 |
11 | NACA | 0.0072269 | nascent polypeptide associated complex subunit alpha | GTEx | DepMap | Descartes | 64.55 | 1306.19 |
12 | BTF3 | 0.0069834 | basic transcription factor 3 | GTEx | DepMap | Descartes | 34.07 | 3531.56 |
13 | RPL13 | 0.0066197 | ribosomal protein L13 | GTEx | DepMap | Descartes | 174.27 | 4912.94 |
14 | APEX1 | 0.0066141 | apurinic/apyrimidinic endodeoxyribonuclease 1 | GTEx | DepMap | Descartes | 9.01 | 659.32 |
15 | ACTG1 | 0.0065636 | actin gamma 1 | GTEx | DepMap | Descartes | 115.18 | 6632.46 |
16 | CCNB1IP1 | 0.0062575 | cyclin B1 interacting protein 1 | GTEx | DepMap | Descartes | 5.29 | 409.53 |
17 | RSL1D1 | 0.0057389 | ribosomal L1 domain containing 1 | GTEx | DepMap | Descartes | 5.80 | 136.40 |
18 | TMEM100 | 0.0055587 | transmembrane protein 100 | GTEx | DepMap | Descartes | 0.93 | 68.99 |
19 | TOMM20 | 0.0053874 | translocase of outer mitochondrial membrane 20 | GTEx | DepMap | Descartes | 11.77 | 463.90 |
20 | LDHB | 0.0052399 | lactate dehydrogenase B | GTEx | DepMap | Descartes | 21.18 | 1720.43 |
21 | IMPDH2 | 0.0052376 | inosine monophosphate dehydrogenase 2 | GTEx | DepMap | Descartes | 3.84 | 290.69 |
22 | TDRD12 | 0.0052164 | tudor domain containing 12 | GTEx | DepMap | Descartes | 0.41 | 12.34 |
23 | RGS4 | 0.0049500 | regulator of G protein signaling 4 | GTEx | DepMap | Descartes | 3.21 | 106.36 |
24 | TAF1D | 0.0048924 | TATA-box binding protein associated factor, RNA polymerase I subunit D | GTEx | DepMap | Descartes | 5.00 | 145.97 |
25 | NMU | 0.0048282 | neuromedin U | GTEx | DepMap | Descartes | 0.88 | 128.24 |
26 | RPL22L1 | 0.0048203 | ribosomal protein L22 like 1 | GTEx | DepMap | Descartes | 6.31 | 393.07 |
27 | TWIST1 | 0.0046792 | twist family bHLH transcription factor 1 | GTEx | DepMap | Descartes | 5.41 | 444.50 |
28 | POLR1D | 0.0046638 | RNA polymerase I and III subunit D | GTEx | DepMap | Descartes | 6.46 | 181.25 |
29 | LDHA | 0.0045245 | lactate dehydrogenase A | GTEx | DepMap | Descartes | 11.07 | 569.55 |
30 | PDLIM4 | 0.0044356 | PDZ and LIM domain 4 | GTEx | DepMap | Descartes | 2.62 | 148.60 |
31 | SERPINF1 | 0.0043218 | serpin family F member 1 | GTEx | DepMap | Descartes | 5.55 | 500.47 |
32 | EXOSC5 | 0.0042779 | exosome component 5 | GTEx | DepMap | Descartes | 2.20 | 267.64 |
33 | CMBL | 0.0042216 | carboxymethylenebutenolidase homolog | GTEx | DepMap | Descartes | 1.41 | 47.46 |
34 | ARC | 0.0040615 | activity regulated cytoskeleton associated protein | GTEx | DepMap | Descartes | 4.41 | 215.30 |
35 | IGFBP2 | 0.0039222 | insulin like growth factor binding protein 2 | GTEx | DepMap | Descartes | 6.22 | 163.21 |
36 | PHB | 0.0038272 | NA | GTEx | DepMap | Descartes | 6.12 | 392.95 |
37 | NPR3 | 0.0037742 | natriuretic peptide receptor 3 | GTEx | DepMap | Descartes | 0.24 | 4.31 |
38 | NOB1 | 0.0037613 | NIN1 (RPN12) binding protein 1 homolog | GTEx | DepMap | Descartes | 1.33 | 97.06 |
39 | RPSA | 0.0037430 | ribosomal protein SA | GTEx | DepMap | Descartes | 42.92 | 2631.72 |
40 | AHCY | 0.0037382 | adenosylhomocysteinase | GTEx | DepMap | Descartes | 2.58 | 132.57 |
41 | MFAP4 | 0.0037324 | microfibril associated protein 4 | GTEx | DepMap | Descartes | 0.86 | 60.15 |
42 | CTHRC1 | 0.0037269 | collagen triple helix repeat containing 1 | GTEx | DepMap | Descartes | 2.14 | 222.86 |
43 | EIF3H | 0.0034830 | eukaryotic translation initiation factor 3 subunit H | GTEx | DepMap | Descartes | 7.91 | 256.28 |
44 | CHRNA9 | 0.0034741 | cholinergic receptor nicotinic alpha 9 subunit | GTEx | DepMap | Descartes | 0.06 | 3.69 |
45 | PHB2 | 0.0034612 | prohibitin 2 | GTEx | DepMap | Descartes | 6.63 | 558.86 |
46 | EIF3M | 0.0034324 | eukaryotic translation initiation factor 3 subunit M | GTEx | DepMap | Descartes | 4.06 | 101.16 |
47 | SLC25A3 | 0.0034253 | solute carrier family 25 member 3 | GTEx | DepMap | Descartes | 12.95 | 270.20 |
48 | MET | 0.0033811 | MET proto-oncogene, receptor tyrosine kinase | GTEx | DepMap | Descartes | 0.16 | 2.96 |
49 | TKT | 0.0033663 | transketolase | GTEx | DepMap | Descartes | 5.94 | 98.40 |
50 | SUMO2 | 0.0033613 | small ubiquitin like modifier 2 | GTEx | DepMap | Descartes | 31.20 | 1287.15 |
UMAP plots showing activity of gene expression program identified in GEP 33. Neuroblastoma: MYCN:
CNV Data procured from inferCNV.
Outer tracks are putative CNV regions (gains = red, losses = blue) for each patient
Inner track is expression data representing:
The top cells expressing this GEP (purple)
Random cells (n =50) from the reference set used in inferCNV (orange)
Gene set Enrichments for this program, caculated from top 50 genes
mSigDB Cell Types Gene Set:
P-value | OR | Lower 95% CI | FDR | FWER | Genes Found | Gene Set Size | |
---|---|---|---|---|---|---|---|
TRAVAGLINI_LUNG_BASAL_CELL | 5.60e-12 | 22.42 | 10.48 | 9.39e-10 | 3.75e-09 | 12NPM1, NACA, BTF3, RPL13, ACTG1, IMPDH2, LDHA, SERPINF1, IGFBP2, RPSA, AHCY, EIF3M |
188 |
TRAVAGLINI_LUNG_PROXIMAL_BASAL_CELL | 8.88e-18 | 17.59 | 9.57 | 5.96e-15 | 5.96e-15 | 23RPL18, NPM1, EEF1B2, NACA, BTF3, RPL13, APEX1, CCNB1IP1, RSL1D1, LDHB, IMPDH2, POLR1D, SERPINF1, IGFBP2, PHB, NOB1, RPSA, AHCY, EIF3H, PHB2, EIF3M, SLC25A3, SUMO2 |
629 |
RUBENSTEIN_SKELETAL_MUSCLE_SATELLITE_CELLS | 4.05e-13 | 18.16 | 9.11 | 9.07e-11 | 2.72e-10 | 15RPL18, NPM1, EEF1B2, NACA, BTF3, RPL13, RSL1D1, LDHB, IMPDH2, RPL22L1, PDLIM4, RPSA, EIF3H, EIF3M, SLC25A3 |
310 |
TRAVAGLINI_LUNG_BRONCHIAL_VESSEL_1_CELL | 7.73e-10 | 16.55 | 7.54 | 7.41e-08 | 5.19e-07 | 11RPL18, NPM1, NME1, NACA, RPL13, RSL1D1, IMPDH2, RPL22L1, LDHA, IGFBP2, RPSA |
224 |
LAKE_ADULT_KIDNEY_C8_DECENDING_THIN_LIMB | 4.94e-10 | 14.83 | 6.98 | 6.47e-08 | 3.32e-07 | 12RPL18, NPM1, EEF1B2, NACA, BTF3, RPL13, ACTG1, LDHB, TAF1D, LDHA, RPSA, MET |
278 |
RUBENSTEIN_SKELETAL_MUSCLE_T_CELLS | 2.95e-08 | 15.95 | 6.71 | 1.52e-06 | 1.98e-05 | 9RPL18, NPM1, EEF1B2, BTF3, RPL13, RSL1D1, LDHB, RPSA, EIF3H |
181 |
TRAVAGLINI_LUNG_PROLIFERATING_BASAL_CELL | 1.15e-14 | 12.28 | 6.70 | 3.86e-12 | 7.73e-12 | 23RPL18, NPM1, EEF1B2, NME1, NACA, BTF3, RPL13, APEX1, LDHB, IMPDH2, NMU, POLR1D, SERPINF1, IGFBP2, PHB, NOB1, RPSA, AHCY, PHB2, EIF3M, SLC25A3, TKT, SUMO2 |
891 |
BUSSLINGER_DUODENAL_DIFFERENTIATING_STEM_CELLS | 1.39e-09 | 13.47 | 6.34 | 1.17e-07 | 9.34e-07 | 12RPL18, NPM1, EEF1B2, BTF3, RPL13, APEX1, ACTG1, IMPDH2, AHCY, PHB2, SLC25A3, TKT |
305 |
LAKE_ADULT_KIDNEY_C9_THIN_ASCENDING_LIMB | 4.94e-09 | 13.71 | 6.26 | 3.31e-07 | 3.31e-06 | 11RPL18, NPM1, NACA, BTF3, RPL13, ACTG1, LDHB, LDHA, RPSA, SLC25A3, MET |
268 |
BUSSLINGER_DUODENAL_STEM_CELLS | 1.73e-09 | 13.20 | 6.22 | 1.29e-07 | 1.16e-06 | 12RPL18, NPM1, EEF1B2, BTF3, RPL13, APEX1, ACTG1, IMPDH2, RPL22L1, AHCY, EIF3H, TKT |
311 |
BUSSLINGER_DUODENAL_TRANSIT_AMPLIFYING_CELLS | 7.76e-07 | 12.80 | 5.12 | 3.36e-05 | 5.20e-04 | 8RPL18, NPM1, EEF1B2, RPL13, ACTG1, PHB, PHB2, SLC25A3 |
194 |
FAN_OVARY_CL1_GPRC5A_TNFRS12A_HIGH_SELECTABLE_FOLLICLE_STROMAL_CELL | 1.55e-08 | 10.73 | 5.06 | 9.28e-07 | 1.04e-05 | 12RPL18, NPM1, NME1, NACA, ACTG1, RSL1D1, IMPDH2, LDHA, SERPINF1, RPSA, MFAP4, EIF3H |
380 |
MENON_FETAL_KIDNEY_1_EMBRYONIC_RED_BLOOD_CELLS | 9.51e-06 | 14.20 | 4.85 | 3.55e-04 | 6.38e-03 | 6NPM1, EEF1B2, NACA, BTF3, RPSA, SUMO2 |
126 |
HAY_BONE_MARROW_CD34_POS_HSC | 1.09e-05 | 13.86 | 4.74 | 3.84e-04 | 7.30e-03 | 6NACA, BTF3, CCNB1IP1, RSL1D1, TAF1D, NPR3 |
129 |
MURARO_PANCREAS_ACINAR_CELL | 5.78e-10 | 9.03 | 4.69 | 6.47e-08 | 3.88e-07 | 17NPM1, EEF1B2, NACA, BTF3, RPL13, ACTG1, LDHB, IMPDH2, RPL22L1, POLR1D, LDHA, SERPINF1, IGFBP2, RPSA, AHCY, MET, TKT |
731 |
HAY_BONE_MARROW_EARLY_ERYTHROBLAST | 3.49e-05 | 15.42 | 4.67 | 1.07e-03 | 2.34e-02 | 5NPM1, NME1, PPA1, NMU, AHCY |
95 |
LAKE_ADULT_KIDNEY_C19_COLLECTING_DUCT_INTERCALATED_CELLS_TYPE_A_MEDULLA | 3.94e-07 | 9.89 | 4.37 | 1.89e-05 | 2.65e-04 | 10RPL18, NPM1, NACA, BTF3, RPL13, ACTG1, LDHB, LDHA, RPSA, SLC25A3 |
326 |
FAN_OVARY_CL0_XBP1_SELK_HIGH_STROMAL_CELL | 1.95e-05 | 12.44 | 4.26 | 6.53e-04 | 1.31e-02 | 6RPL18, NPM1, NACA, BTF3, RPL13, RSL1D1 |
143 |
MURARO_PANCREAS_MESENCHYMAL_STROMAL_CELL | 1.66e-08 | 8.06 | 4.07 | 9.28e-07 | 1.11e-05 | 15NPM1, EEF1B2, BTF3, APEX1, ACTG1, LDHB, RPL22L1, LDHA, SERPINF1, MFAP4, CTHRC1, PHB2, EIF3M, SLC25A3, TKT |
680 |
LAKE_ADULT_KIDNEY_C10_THIN_ASCENDING_LIMB | 8.02e-07 | 9.11 | 4.03 | 3.36e-05 | 5.38e-04 | 10RPL18, NPM1, PPA1, BTF3, RPL13, ACTG1, LDHB, LDHA, RPSA, SLC25A3 |
353 |
Dowload full table
mSigDB Hallmark Gene Sets:
P-value | OR | Lower 95% CI | FDR | FWER | Genes Found | Gene Set Size | |
---|---|---|---|---|---|---|---|
HALLMARK_MYC_TARGETS_V1 | 2.35e-10 | 18.65 | 8.48 | 1.18e-08 | 1.18e-08 | 11RPL18, NPM1, EEF1B2, NME1, APEX1, RSL1D1, IMPDH2, LDHA, PHB, PHB2, SLC25A3 |
200 |
HALLMARK_MYC_TARGETS_V2 | 1.55e-03 | 14.50 | 2.80 | 3.88e-02 | 7.77e-02 | 3NPM1, EXOSC5, PHB |
58 |
HALLMARK_EPITHELIAL_MESENCHYMAL_TRANSITION | 7.71e-03 | 5.55 | 1.44 | 9.64e-02 | 3.85e-01 | 4RGS4, PDLIM4, IGFBP2, CTHRC1 |
200 |
HALLMARK_OXIDATIVE_PHOSPHORYLATION | 7.71e-03 | 5.55 | 1.44 | 9.64e-02 | 3.85e-01 | 4LDHB, LDHA, PHB2, SLC25A3 |
200 |
HALLMARK_DNA_REPAIR | 2.11e-02 | 5.43 | 1.07 | 2.11e-01 | 1.00e+00 | 3NME1, IMPDH2, POLR1D |
150 |
HALLMARK_UNFOLDED_PROTEIN_RESPONSE | 7.33e-02 | 4.69 | 0.55 | 6.11e-01 | 1.00e+00 | 2NPM1, EXOSC5 |
113 |
HALLMARK_UV_RESPONSE_DN | 1.10e-01 | 3.67 | 0.43 | 6.60e-01 | 1.00e+00 | 2RGS4, MET |
144 |
HALLMARK_FATTY_ACID_METABOLISM | 1.28e-01 | 3.34 | 0.39 | 6.60e-01 | 1.00e+00 | 2APEX1, LDHA |
158 |
HALLMARK_ADIPOGENESIS | 1.85e-01 | 2.63 | 0.31 | 6.60e-01 | 1.00e+00 | 2CMBL, TKT |
200 |
HALLMARK_MTORC1_SIGNALING | 1.85e-01 | 2.63 | 0.31 | 6.60e-01 | 1.00e+00 | 2PPA1, LDHA |
200 |
HALLMARK_GLYCOLYSIS | 1.85e-01 | 2.63 | 0.31 | 6.60e-01 | 1.00e+00 | 2LDHA, MET |
200 |
HALLMARK_P53_PATHWAY | 1.85e-01 | 2.63 | 0.31 | 6.60e-01 | 1.00e+00 | 2RPL18, LDHB |
200 |
HALLMARK_ALLOGRAFT_REJECTION | 1.85e-01 | 2.63 | 0.31 | 6.60e-01 | 1.00e+00 | 2NPM1, NME1 |
200 |
HALLMARK_KRAS_SIGNALING_UP | 1.85e-01 | 2.63 | 0.31 | 6.60e-01 | 1.00e+00 | 2MYCN, TMEM100 |
200 |
HALLMARK_CHOLESTEROL_HOMEOSTASIS | 2.55e-01 | 3.49 | 0.09 | 8.50e-01 | 1.00e+00 | 1ACTG1 |
74 |
HALLMARK_UV_RESPONSE_UP | 4.66e-01 | 1.62 | 0.04 | 1.00e+00 | 1.00e+00 | 1IGFBP2 |
158 |
HALLMARK_IL2_STAT5_SIGNALING | 5.45e-01 | 1.29 | 0.03 | 1.00e+00 | 1.00e+00 | 1AHCY |
199 |
HALLMARK_HYPOXIA | 5.47e-01 | 1.28 | 0.03 | 1.00e+00 | 1.00e+00 | 1LDHA |
200 |
HALLMARK_ESTROGEN_RESPONSE_LATE | 5.47e-01 | 1.28 | 0.03 | 1.00e+00 | 1.00e+00 | 1NMU |
200 |
HALLMARK_APICAL_JUNCTION | 5.47e-01 | 1.28 | 0.03 | 1.00e+00 | 1.00e+00 | 1ACTG1 |
200 |
Dowload full table
KEGG Pathways:
P-value | OR | Lower 95% CI | FDR | FWER | Genes Found | Gene Set Size | |
---|---|---|---|---|---|---|---|
KEGG_CYSTEINE_AND_METHIONINE_METABOLISM | 3.24e-04 | 25.71 | 4.86 | 3.68e-02 | 6.02e-02 | 3LDHB, LDHA, AHCY |
34 |
KEGG_RIBOSOME | 3.96e-04 | 12.93 | 3.31 | 3.68e-02 | 7.37e-02 | 4RPL18, RPL13, RPL22L1, RPSA |
88 |
KEGG_PROPANOATE_METABOLISM | 7.55e-03 | 16.78 | 1.89 | 4.68e-01 | 1.00e+00 | 2LDHB, LDHA |
33 |
KEGG_PYRUVATE_METABOLISM | 1.10e-02 | 13.70 | 1.56 | 5.09e-01 | 1.00e+00 | 2LDHB, LDHA |
40 |
KEGG_PURINE_METABOLISM | 2.45e-02 | 5.11 | 1.01 | 7.76e-01 | 1.00e+00 | 3NME1, IMPDH2, POLR1D |
159 |
KEGG_GLYCOLYSIS_GLUCONEOGENESIS | 2.50e-02 | 8.68 | 1.00 | 7.76e-01 | 1.00e+00 | 2LDHB, LDHA |
62 |
KEGG_ADHERENS_JUNCTION | 3.38e-02 | 7.33 | 0.85 | 8.98e-01 | 1.00e+00 | 2ACTG1, MET |
73 |
KEGG_PYRIMIDINE_METABOLISM | 5.73e-02 | 5.42 | 0.63 | 1.00e+00 | 1.00e+00 | 2NME1, POLR1D |
98 |
KEGG_FOCAL_ADHESION | 1.83e-01 | 2.64 | 0.31 | 1.00e+00 | 1.00e+00 | 2ACTG1, MET |
199 |
KEGG_SELENOAMINO_ACID_METABOLISM | 9.85e-02 | 10.19 | 0.24 | 1.00e+00 | 1.00e+00 | 1AHCY |
26 |
KEGG_PENTOSE_PHOSPHATE_PATHWAY | 1.02e-01 | 9.80 | 0.23 | 1.00e+00 | 1.00e+00 | 1TKT |
27 |
KEGG_RNA_POLYMERASE | 1.09e-01 | 9.11 | 0.22 | 1.00e+00 | 1.00e+00 | 1POLR1D |
29 |
KEGG_BASE_EXCISION_REPAIR | 1.30e-01 | 7.50 | 0.18 | 1.00e+00 | 1.00e+00 | 1APEX1 |
35 |
KEGG_DRUG_METABOLISM_OTHER_ENZYMES | 1.84e-01 | 5.10 | 0.12 | 1.00e+00 | 1.00e+00 | 1IMPDH2 |
51 |
KEGG_VIBRIO_CHOLERAE_INFECTION | 1.94e-01 | 4.81 | 0.12 | 1.00e+00 | 1.00e+00 | 1ACTG1 |
54 |
KEGG_CYTOSOLIC_DNA_SENSING_PATHWAY | 1.97e-01 | 4.72 | 0.12 | 1.00e+00 | 1.00e+00 | 1POLR1D |
55 |
KEGG_PATHOGENIC_ESCHERICHIA_COLI_INFECTION | 2.00e-01 | 4.64 | 0.11 | 1.00e+00 | 1.00e+00 | 1ACTG1 |
56 |
KEGG_RNA_DEGRADATION | 2.09e-01 | 4.40 | 0.11 | 1.00e+00 | 1.00e+00 | 1EXOSC5 |
59 |
KEGG_EPITHELIAL_CELL_SIGNALING_IN_HELICOBACTER_PYLORI_INFECTION | 2.37e-01 | 3.81 | 0.09 | 1.00e+00 | 1.00e+00 | 1MET |
68 |
KEGG_RENAL_CELL_CARCINOMA | 2.43e-01 | 3.70 | 0.09 | 1.00e+00 | 1.00e+00 | 1MET |
70 |
Dowload full table
CHR Positional Gene Sets:
P-value | OR | Lower 95% CI | FDR | FWER | Genes Found | Gene Set Size | |
---|---|---|---|---|---|---|---|
chr3q26 | 1.65e-01 | 2.83 | 0.33 | 1.00e+00 | 1.00e+00 | 2BCHE, RPL22L1 |
186 |
chr17q25 | 3.22e-01 | 1.77 | 0.21 | 1.00e+00 | 1.00e+00 | 2ACTG1, SUMO2 |
297 |
chr3p21 | 3.32e-01 | 1.72 | 0.20 | 1.00e+00 | 1.00e+00 | 2IMPDH2, TKT |
304 |
chr8q24 | 3.56e-01 | 1.63 | 0.19 | 1.00e+00 | 1.00e+00 | 2ARC, EIF3H |
321 |
chr14q11 | 3.61e-01 | 1.61 | 0.19 | 1.00e+00 | 1.00e+00 | 2APEX1, CCNB1IP1 |
325 |
chr16p13 | 6.71e-01 | 1.29 | 0.15 | 1.00e+00 | 1.00e+00 | 2NPW, RSL1D1 |
407 |
chr19q13 | 7.98e-01 | 0.69 | 0.14 | 1.00e+00 | 1.00e+00 | 3RPL18, TDRD12, EXOSC5 |
1165 |
chr17q21 | 6.95e-01 | 1.14 | 0.13 | 1.00e+00 | 1.00e+00 | 2NME1, PHB |
457 |
chr4p14 | 2.25e-01 | 4.05 | 0.10 | 1.00e+00 | 1.00e+00 | 1CHRNA9 |
64 |
chr2p24 | 2.55e-01 | 3.49 | 0.09 | 1.00e+00 | 1.00e+00 | 1MYCN |
74 |
chr4q12 | 2.70e-01 | 3.27 | 0.08 | 1.00e+00 | 1.00e+00 | 1NMU |
79 |
chr7p21 | 2.81e-01 | 3.11 | 0.08 | 1.00e+00 | 1.00e+00 | 1TWIST1 |
83 |
chr17q22 | 2.90e-01 | 3.00 | 0.07 | 1.00e+00 | 1.00e+00 | 1TMEM100 |
86 |
chr12p12 | 3.46e-01 | 2.41 | 0.06 | 1.00e+00 | 1.00e+00 | 1LDHB |
107 |
chr2q35 | 3.94e-01 | 2.04 | 0.05 | 1.00e+00 | 1.00e+00 | 1IGFBP2 |
126 |
chr5p13 | 3.99e-01 | 2.01 | 0.05 | 1.00e+00 | 1.00e+00 | 1NPR3 |
128 |
chr7q31 | 4.01e-01 | 1.99 | 0.05 | 1.00e+00 | 1.00e+00 | 1MET |
129 |
chr16q24 | 4.03e-01 | 1.98 | 0.05 | 1.00e+00 | 1.00e+00 | 1RPL13 |
130 |
chr5q13 | 4.31e-01 | 1.81 | 0.04 | 1.00e+00 | 1.00e+00 | 1BTF3 |
142 |
chr12q23 | 4.38e-01 | 1.77 | 0.04 | 1.00e+00 | 1.00e+00 | 1SLC25A3 |
145 |
Dowload full table
Transcription Factor Targets:
P-value | OR | Lower 95% CI | FDR | FWER | Genes Found | Gene Set Size | |
---|---|---|---|---|---|---|---|
PSMB5_TARGET_GENES | 1.71e-04 | 6.78 | 2.55 | 1.94e-01 | 1.94e-01 | 7NPM1, ACTG1, IMPDH2, TWIST1, LDHA, RPSA, SLC25A3 |
307 |
RUVBL1_TARGET_GENES | 6.77e-04 | 7.94 | 2.43 | 3.84e-01 | 7.67e-01 | 5RPL18, NACA, IMPDH2, TAF1D, PHB2 |
180 |
HOXA1_TARGET_GENES | 1.66e-03 | 3.27 | 1.51 | 4.69e-01 | 1.00e+00 | 11NPM1, NACA, RPL13, LDHA, PHB, NOB1, RPSA, PHB2, EIF3M, SLC25A3, MET |
1090 |
GTF2A2_TARGET_GENES | 3.50e-03 | 3.95 | 1.49 | 7.94e-01 | 1.00e+00 | 7RPL18, NPM1, RPL13, ACTG1, RPL22L1, LDHA, RPSA |
522 |
GCCATNTTG_YY1_Q6 | 6.37e-03 | 3.96 | 1.37 | 1.00e+00 | 1.00e+00 | 6EEF1B2, NACA, BTF3, CCNB1IP1, PHB2, SUMO2 |
437 |
PPARG_01 | 1.49e-02 | 11.57 | 1.32 | 1.00e+00 | 1.00e+00 | 2PRRX2, EEF1B2 |
47 |
HOXB6_TARGET_GENES | 9.81e-03 | 3.23 | 1.22 | 1.00e+00 | 1.00e+00 | 7NPM1, NME1, PPA1, IMPDH2, EXOSC5, EIF3M, MET |
638 |
NFRKB_TARGET_GENES | 9.74e-03 | 2.40 | 1.17 | 1.00e+00 | 1.00e+00 | 13NPM1, EEF1B2, NME1, NACA, BTF3, RSL1D1, LDHB, TAF1D, RPL22L1, EIF3H, SLC25A3, MET, SUMO2 |
1843 |
PHF2_TARGET_GENES | 1.75e-02 | 2.39 | 1.10 | 1.00e+00 | 1.00e+00 | 11NACA, RPL13, RSL1D1, TAF1D, TWIST1, POLR1D, LDHA, CMBL, NOB1, AHCY, EIF3M |
1485 |
KAT5_TARGET_GENES | 1.81e-02 | 2.64 | 1.07 | 1.00e+00 | 1.00e+00 | 8EEF1B2, NPW, NME1, NACA, RPL13, RSL1D1, LDHB, RPSA |
910 |
MYCMAX_B | 2.15e-02 | 4.04 | 1.05 | 1.00e+00 | 1.00e+00 | 4NPM1, EEF1B2, SERPINF1, EXOSC5 |
273 |
SETD7_TARGET_GENES | 2.76e-02 | 2.42 | 0.98 | 1.00e+00 | 1.00e+00 | 8NPM1, BTF3, RPL13, ACTG1, IMPDH2, TAF1D, RPL22L1, AHCY |
991 |
PPARA_TARGET_GENES | 2.81e-02 | 8.14 | 0.94 | 1.00e+00 | 1.00e+00 | 2NME1, SLC25A3 |
66 |
NFE2L1_TARGET_GENES | 8.69e-02 | 1.89 | 0.87 | 1.00e+00 | 1.00e+00 | 11NPM1, NACA, BTF3, ACTG1, CCNB1IP1, TAF1D, RPL22L1, EXOSC5, AHCY, EIF3M, TKT |
1875 |
FOXE1_TARGET_GENES | 5.45e-02 | 2.36 | 0.82 | 1.00e+00 | 1.00e+00 | 6RPL18, NACA, RPL13, ACTG1, RPL22L1, LDHA |
728 |
ZNF419_TARGET_GENES | 3.14e-02 | 36.29 | 0.79 | 1.00e+00 | 1.00e+00 | 1EXOSC5 |
8 |
TEAD2_TARGET_GENES | 1.04e-01 | 1.85 | 0.79 | 1.00e+00 | 1.00e+00 | 9NPM1, EEF1B2, PPA1, TOMM20, TAF1D, RPL22L1, NOB1, EIF3H, EIF3M |
1494 |
UBN1_TARGET_GENES | 1.27e-01 | 1.77 | 0.79 | 1.00e+00 | 1.00e+00 | 10EEF1B2, NME1, RPL13, TAF1D, LDHA, NPR3, RPSA, AHCY, EIF3H, SUMO2 |
1779 |
ZNF592_TARGET_GENES | 1.43e-01 | 1.66 | 0.74 | 1.00e+00 | 1.00e+00 | 10NME1, PPA1, RPL13, TOMM20, IMPDH2, LDHA, CTHRC1, PHB2, TKT, SUMO2 |
1890 |
KDM5D_TARGET_GENES | 1.76e-01 | 1.70 | 0.72 | 1.00e+00 | 1.00e+00 | 9PPA1, RSL1D1, TOMM20, LDHA, EXOSC5, CMBL, EIF3M, TKT, SUMO2 |
1628 |
Dowload full table
GO Biological Processes:
P-value | OR | Lower 95% CI | FDR | FWER | Genes Found | Gene Set Size | |
---|---|---|---|---|---|---|---|
GOBP_ACTIVATION_OF_PROTEIN_KINASE_C_ACTIVITY | 1.54e-04 | 172.68 | 14.09 | 3.85e-01 | 1.00e+00 | 2PHB, PHB2 |
5 |
GOBP_ANTIVIRAL_INNATE_IMMUNE_RESPONSE | 6.85e-04 | 64.86 | 6.55 | 1.00e+00 | 1.00e+00 | 2PHB, PHB2 |
10 |
GOBP_GTP_BIOSYNTHETIC_PROCESS | 8.35e-04 | 57.69 | 5.91 | 1.00e+00 | 1.00e+00 | 2NME1, IMPDH2 |
11 |
GOBP_GUANOSINE_CONTAINING_COMPOUND_BIOSYNTHETIC_PROCESS | 1.18e-03 | 47.19 | 4.96 | 1.00e+00 | 1.00e+00 | 2NME1, IMPDH2 |
13 |
GOBP_CYTOPLASMIC_TRANSLATION | 4.90e-05 | 14.31 | 4.34 | 3.67e-01 | 3.67e-01 | 5RPL18, RPL22L1, RPSA, EIF3H, EIF3M |
102 |
GOBP_CD40_SIGNALING_PATHWAY | 1.58e-03 | 39.95 | 4.27 | 1.00e+00 | 1.00e+00 | 2PHB, PHB2 |
15 |
GOBP_FORMATION_OF_CYTOPLASMIC_TRANSLATION_INITIATION_COMPLEX | 1.80e-03 | 37.11 | 3.99 | 1.00e+00 | 1.00e+00 | 2EIF3H, EIF3M |
16 |
GOBP_TRANSLATIONAL_INITIATION | 1.02e-04 | 9.11 | 3.14 | 3.81e-01 | 7.63e-01 | 6RPL18, NPM1, RPL13, RPSA, EIF3H, EIF3M |
193 |
GOBP_PURINE_NUCLEOSIDE_BIOSYNTHETIC_PROCESS | 3.40e-03 | 26.01 | 2.87 | 1.00e+00 | 1.00e+00 | 2NME1, IMPDH2 |
22 |
GOBP_REGULATION_OF_PROTON_TRANSPORT | 3.72e-03 | 24.78 | 2.74 | 1.00e+00 | 1.00e+00 | 2TWIST1, PHB2 |
23 |
GOBP_PURINE_NUCLEOSIDE_METABOLIC_PROCESS | 1.80e-03 | 13.75 | 2.66 | 1.00e+00 | 1.00e+00 | 3NME1, IMPDH2, AHCY |
61 |
GOBP_GTP_METABOLIC_PROCESS | 4.05e-03 | 23.65 | 2.62 | 1.00e+00 | 1.00e+00 | 2NME1, IMPDH2 |
24 |
GOBP_MITOCHONDRIAL_CALCIUM_ION_TRANSMEMBRANE_TRANSPORT | 4.39e-03 | 22.60 | 2.52 | 1.00e+00 | 1.00e+00 | 2PHB, PHB2 |
25 |
GOBP_RIG_I_SIGNALING_PATHWAY | 4.39e-03 | 22.60 | 2.52 | 1.00e+00 | 1.00e+00 | 2PHB, PHB2 |
25 |
GOBP_POSITIVE_REGULATION_OF_HEART_RATE | 4.74e-03 | 21.66 | 2.42 | 1.00e+00 | 1.00e+00 | 2RGS4, NMU |
26 |
GOBP_CIRCADIAN_SLEEP_WAKE_CYCLE | 4.74e-03 | 21.66 | 2.42 | 1.00e+00 | 1.00e+00 | 2NMU, AHCY |
26 |
GOBP_REGULATION_OF_OSTEOBLAST_PROLIFERATION | 5.10e-03 | 20.80 | 2.32 | 1.00e+00 | 1.00e+00 | 2NPR3, CTHRC1 |
27 |
GOBP_RIBONUCLEOSIDE_METABOLIC_PROCESS | 2.88e-03 | 11.56 | 2.25 | 1.00e+00 | 1.00e+00 | 3NME1, IMPDH2, AHCY |
72 |
GOBP_RIBOSOMAL_SMALL_SUBUNIT_BIOGENESIS | 3.23e-03 | 11.08 | 2.16 | 1.00e+00 | 1.00e+00 | 3NPM1, NOB1, RPSA |
75 |
GOBP_CARDIAC_EPITHELIAL_TO_MESENCHYMAL_TRANSITION | 6.69e-03 | 17.94 | 2.02 | 1.00e+00 | 1.00e+00 | 2TMEM100, TWIST1 |
31 |
Dowload full table
Immunological Gene Sets:
P-value | OR | Lower 95% CI | FDR | FWER | Genes Found | Gene Set Size | |
---|---|---|---|---|---|---|---|
GSE2405_0H_VS_9H_A_PHAGOCYTOPHILUM_STIM_NEUTROPHIL_DN | 2.35e-10 | 18.65 | 8.48 | 1.15e-06 | 1.15e-06 | 11RPL18, NPM1, EEF1B2, RPL13, ACTG1, LDHB, RPL22L1, LDHA, RPSA, EIF3H, TKT |
200 |
GSE2405_0H_VS_24H_A_PHAGOCYTOPHILUM_STIM_NEUTROPHIL_UP | 6.91e-08 | 14.37 | 6.05 | 1.12e-04 | 3.36e-04 | 9RPL18, NPM1, EEF1B2, RPL13, ACTG1, RPL22L1, RPSA, EIF3H, TKT |
200 |
GSE21927_SPLEEN_C57BL6_VS_4T1_TUMOR_BALBC_MONOCYTES_UP | 6.91e-08 | 14.37 | 6.05 | 1.12e-04 | 3.36e-04 | 9RPL18, EEF1B2, NACA, BTF3, RPL13, ACTG1, TOMM20, NMU, EIF3H |
200 |
GSE13485_CTRL_VS_DAY7_YF17D_VACCINE_PBMC_UP | 5.44e-07 | 13.45 | 5.37 | 6.62e-04 | 2.65e-03 | 8EEF1B2, NACA, BTF3, RSL1D1, TOMM20, EIF3H, SLC25A3, TKT |
185 |
GSE3565_DUSP1_VS_WT_SPLENOCYTES_POST_LPS_INJECTION_UP | 3.28e-06 | 12.96 | 4.84 | 3.19e-03 | 1.60e-02 | 7RPL18, NPM1, EEF1B2, RPL13, TAF1D, AHCY, EIF3H |
164 |
GSE3720_UNSTIM_VS_PMA_STIM_VD2_GAMMADELTA_TCELL_UP | 5.01e-06 | 12.11 | 4.53 | 4.07e-03 | 2.44e-02 | 7RPL18, EEF1B2, NACA, IMPDH2, TAF1D, RPSA, EIF3M |
175 |
GSE29618_MONOCYTE_VS_MDC_DN | 1.19e-05 | 10.54 | 3.95 | 7.23e-03 | 5.79e-02 | 7NME1, PPA1, APEX1, ACTG1, CCNB1IP1, RPSA, PHB2 |
200 |
GSE360_CTRL_VS_M_TUBERCULOSIS_DC_UP | 1.19e-05 | 10.54 | 3.95 | 7.23e-03 | 5.79e-02 | 7EEF1B2, NACA, BTF3, LDHB, AHCY, EIF3H, EIF3M |
200 |
GSE21670_UNTREATED_VS_IL6_TREATED_STAT3_KO_CD4_TCELL_DN | 1.14e-04 | 8.92 | 3.07 | 4.64e-02 | 5.55e-01 | 6IMPDH2, LDHA, EXOSC5, PHB, AHCY, MET |
197 |
GSE22886_NAIVE_TCELL_VS_NKCELL_UP | 1.17e-04 | 8.88 | 3.05 | 4.64e-02 | 5.71e-01 | 6CCNB1IP1, RSL1D1, TOMM20, LDHB, IMPDH2, EIF3H |
198 |
GSE17322_CD103_POS_VS_CD11B_HIGH_LUNG_DC_DN | 1.20e-04 | 8.83 | 3.04 | 4.64e-02 | 5.86e-01 | 6BTF3, LDHB, TAF1D, POLR1D, PHB, SLC25A3 |
199 |
GSE26343_UNSTIM_VS_LPS_STIM_MACROPHAGE_UP | 1.24e-04 | 8.78 | 3.02 | 4.64e-02 | 6.03e-01 | 6NPM1, NME1, BTF3, APEX1, RSL1D1, AHCY |
200 |
GSE42088_UNINF_VS_LEISHMANIA_INF_DC_2H_DN | 1.24e-04 | 8.78 | 3.02 | 4.64e-02 | 6.03e-01 | 6NACA, BTF3, RPL13, POLR1D, EIF3H, TKT |
200 |
GSE10325_LUPUS_BCELL_VS_LUPUS_MYELOID_UP | 9.44e-04 | 7.35 | 2.25 | 1.64e-01 | 1.00e+00 | 5NPM1, EEF1B2, CCNB1IP1, LDHB, RPSA |
194 |
GSE2770_TGFB_AND_IL4_VS_IL12_TREATED_ACT_CD4_TCELL_2H_UP | 9.88e-04 | 7.27 | 2.23 | 1.64e-01 | 1.00e+00 | 5EEF1B2, NACA, APEX1, POLR1D, TKT |
196 |
GSE34156_NOD2_LIGAND_VS_NOD2_AND_TLR1_TLR2_LIGAND_6H_TREATED_MONOCYTE_UP | 9.88e-04 | 7.27 | 2.23 | 1.64e-01 | 1.00e+00 | 5EEF1B2, RPL13, CCNB1IP1, NOB1, RPSA |
196 |
GSE37301_COMMON_LYMPHOID_PROGENITOR_VS_GRAN_MONO_PROGENITOR_DN | 9.88e-04 | 7.27 | 2.23 | 1.64e-01 | 1.00e+00 | 5EEF1B2, LDHB, NMU, EIF3H, EIF3M |
196 |
GSE2770_IL12_VS_TGFB_AND_IL12_TREATED_ACT_CD4_TCELL_6H_UP | 1.01e-03 | 7.23 | 2.22 | 1.64e-01 | 1.00e+00 | 5PRRX2, ACTG1, IMPDH2, ARC, MFAP4 |
197 |
GSE8685_IL2_STARVED_VS_IL2_ACT_IL2_STARVED_CD4_TCELL_DN | 1.03e-03 | 7.19 | 2.20 | 1.64e-01 | 1.00e+00 | 5NPM1, IMPDH2, POLR1D, SERPINF1, TKT |
198 |
GSE2405_HEAT_KILLED_VS_LIVE_A_PHAGOCYTOPHILUM_STIM_NEUTROPHIL_9H_UP | 1.06e-03 | 7.16 | 2.19 | 1.64e-01 | 1.00e+00 | 5NPM1, BTF3, POLR1D, LDHA, EXOSC5 |
199 |
Top Ranked Transcription Factors for this Gene Expression Program:
Gene Symbol | TF Rank | DNA Binding Domain | Motif Status | IUPAC PWM | GTEx | DepMap | Decartes |
---|---|---|---|---|---|---|---|
MYCN | 1 | Yes | Known motif | Monomer or homomultimer | High-throughput in vitro | None | None |
PRRX2 | 3 | Yes | Known motif | Monomer or homomultimer | High-throughput in vitro | None | None |
NPM1 | 4 | No | Unlikely to be sequence specific TF | Low specificity DNA-binding protein | No motif | None | No evidence for sequence-specific DNA-binding (PMID: 2223875) |
APEX1 | 14 | No | Unlikely to be sequence specific TF | Low specificity DNA-binding protein | No motif | None | The structure (PDB:1DEW) is with abasic DNA - the protein is a base excision repair enzyme that cleaves off abasic bases |
TWIST1 | 27 | Yes | Known motif | Monomer or homomultimer | In vivo/Misc source | Only known motifs are from Transfac or HocoMoco - origin is uncertain | Can form both homodimers and heterodimers with TCF3 (PMID: 16502419). |
PHB | 36 | No | Unlikely to be sequence specific TF | Not a DNA binding protein | No motif | None | Protein is likely a mitochondrial chaperone and thus its roles associated with transcription are likely to be very indirect (PMID: 10835343) |
PHB2 | 45 | No | Unlikely to be sequence specific TF | Not a DNA binding protein | No motif | None | Protein has been shown to bind to TFs and function as a co-repressor. There appears to be no evidence for direct DNA-binding activity (PMID: 18629613) |
MET | 48 | No | Unlikely to be sequence specific TF | Not a DNA binding protein | No motif | None | Its a cell surface receptor and kinase - included only because Vasquerizas 2009 included it with an x. |
CNBP | 73 | No | ssDNA/RNA binding | Not a DNA binding protein | No motif | None | CNBP has a specificity for single-stranded DNA (PMID: 2562787) |
VEGFA | 87 | No | Unlikely to be sequence specific TF | Not a DNA binding protein | No motif | None | Extracellular signaling molecule. Included only because it regulates CREB. |
EDF1 | 91 | No | Unlikely to be sequence specific TF | Not a DNA binding protein | No motif | None | Known co-factor that binds DNA indirectly through interactions with TFs (PMID:12040021) |
EIF3K | 96 | No | Unlikely to be sequence specific TF | Not a DNA binding protein | No motif | None | None |
TSHZ1 | 101 | Yes | Likely to be sequence specific TF | Monomer or homomultimer | No motif | None | None |
PROX1 | 123 | Yes | Known motif | Monomer or homomultimer | High-throughput in vitro | None | None |
RCOR2 | 142 | No | Unlikely to be sequence specific TF | Not a DNA binding protein | No motif | None | Contains 2 SANT domains, and no other putative DNA-binding domains |
ZMAT4 | 147 | Yes | Likely to be sequence specific TF | Monomer or homomultimer | No motif | None | Possible RBP. |
ALKBH2 | 162 | No | Unlikely to be sequence specific TF | Low specificity DNA-binding protein | No motif | None | Dioxygenase that repairs alkylated DNA and RNA containing 1-methyladenine and 3-methylcytosine by oxidative demethylation. Binds DNA in the crystal structure (PDB: 3BTX) |
CREB3L4 | 168 | Yes | Known motif | Monomer or homomultimer | High-throughput in vitro | None | None |
COPS2 | 182 | No | Unlikely to be sequence specific TF | Not a DNA binding protein | No motif | None | None |
MAZ | 224 | Yes | Known motif | Monomer or homomultimer | High-throughput in vitro | ChIP-seq motif is consistent with recognition code (RCADE) | None |
QQ Plot showing correlations with other GEPs in this dataset, calculated by Spearman correlation:
Interactive QQ-plot of gene loadings:
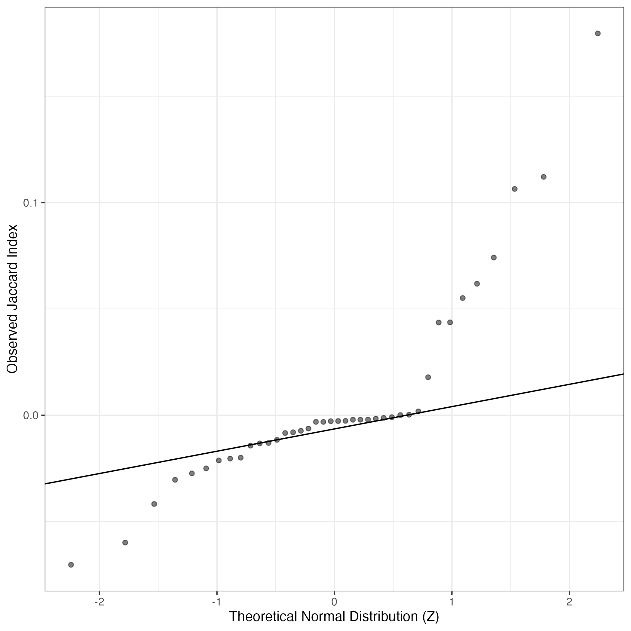
A similar QQ-plot as above, but only for instances where the H value is e.g. > 25, i.e. we are confident that the expression program is active above noise. Agreemenet between these binary vectors is tested using the Jaccard Index, with the P-values calculated by an exact test:
Interactive QQ-plot:
Singler cell type annotations for the top 50 cells on this program.
Cell ID | Singler label | Singler Delta | Activity Score | Top Singler Raw Scores |
---|---|---|---|---|
T230_GCACATAGTCGGATTT-1 | Neurons:adrenal_medulla_cell_line | 0.16 | 994.24 | Raw ScoresNeurons:adrenal_medulla_cell_line: 0.37, Neuroepithelial_cell:ESC-derived: 0.33, iPS_cells:adipose_stem_cell-derived:lentiviral: 0.31, iPS_cells:PDB_2lox-22: 0.31, iPS_cells:PDB_1lox-21Puro-20: 0.31, iPS_cells:PDB_2lox-21: 0.31, iPS_cells:adipose_stem_cell-derived:minicircle-derived: 0.31, iPS_cells:PDB_1lox-17Puro-5: 0.31, iPS_cells:CRL2097_foreskin-derived:undiff.: 0.31, iPS_cells:PDB_2lox-17: 0.31 |
T230_ATTCCTACAGAGCTAG-1 | Neurons:adrenal_medulla_cell_line | 0.08 | 763.44 | Raw ScoresNeurons:adrenal_medulla_cell_line: 0.28, Neuroepithelial_cell:ESC-derived: 0.24, iPS_cells:adipose_stem_cell-derived:minicircle-derived: 0.23, Macrophage:monocyte-derived:IL-4/Dex/cntrl: 0.23, Astrocyte:Embryonic_stem_cell-derived: 0.23, Pro-B_cell_CD34+: 0.23, iPS_cells:PDB_2lox-22: 0.23, iPS_cells:adipose_stem_cell-derived:lentiviral: 0.23, GMP: 0.23, CMP: 0.23 |
T230_GTCTACCCATAGGAGC-1 | Neurons:adrenal_medulla_cell_line | 0.21 | 713.73 | Raw ScoresNeurons:adrenal_medulla_cell_line: 0.43, Neuroepithelial_cell:ESC-derived: 0.38, iPS_cells:PDB_2lox-22: 0.35, iPS_cells:PDB_1lox-21Puro-20: 0.35, iPS_cells:PDB_1lox-17Puro-5: 0.35, iPS_cells:PDB_1lox-17Puro-10: 0.35, iPS_cells:PDB_1lox-21Puro-26: 0.35, iPS_cells:PDB_2lox-21: 0.35, iPS_cells:CRL2097_foreskin-derived:undiff.: 0.35, iPS_cells:PDB_2lox-17: 0.35 |
T230_ATGCGATAGTCACGAG-1 | Neurons:adrenal_medulla_cell_line | 0.14 | 704.15 | Raw ScoresNeurons:adrenal_medulla_cell_line: 0.32, Neuroepithelial_cell:ESC-derived: 0.27, Astrocyte:Embryonic_stem_cell-derived: 0.26, iPS_cells:PDB_2lox-22: 0.26, iPS_cells:adipose_stem_cell-derived:minicircle-derived: 0.26, iPS_cells:CRL2097_foreskin-derived:undiff.: 0.26, iPS_cells:PDB_2lox-5: 0.26, Tissue_stem_cells:CD326-CD56+: 0.26, iPS_cells:adipose_stem_cell-derived:lentiviral: 0.25, iPS_cells:PDB_2lox-17: 0.25 |
T230_TGTCCACAGTAAACGT-1 | Neurons:adrenal_medulla_cell_line | 0.16 | 703.88 | Raw ScoresNeurons:adrenal_medulla_cell_line: 0.37, Neuroepithelial_cell:ESC-derived: 0.31, iPS_cells:PDB_2lox-22: 0.3, iPS_cells:PDB_2lox-21: 0.3, iPS_cells:PDB_1lox-21Puro-20: 0.3, iPS_cells:PDB_1lox-17Puro-5: 0.3, iPS_cells:PDB_2lox-17: 0.3, iPS_cells:PDB_1lox-17Puro-10: 0.3, iPS_cells:PDB_2lox-5: 0.3, iPS_cells:adipose_stem_cell-derived:minicircle-derived: 0.3 |
T230_TGGTTAGAGCACGGAT-1 | Neurons:adrenal_medulla_cell_line | 0.16 | 655.09 | Raw ScoresNeurons:adrenal_medulla_cell_line: 0.36, Neuroepithelial_cell:ESC-derived: 0.31, Astrocyte:Embryonic_stem_cell-derived: 0.29, iPS_cells:PDB_2lox-22: 0.29, iPS_cells:PDB_2lox-17: 0.29, iPS_cells:CRL2097_foreskin-derived:undiff.: 0.29, iPS_cells:PDB_1lox-21Puro-20: 0.29, iPS_cells:PDB_1lox-17Puro-5: 0.29, iPS_cells:PDB_2lox-5: 0.29, iPS_cells:PDB_2lox-21: 0.29 |
T230_TGCTCCAGTAATGCTC-1 | Neurons:adrenal_medulla_cell_line | 0.15 | 638.46 | Raw ScoresNeurons:adrenal_medulla_cell_line: 0.34, Neuroepithelial_cell:ESC-derived: 0.31, Astrocyte:Embryonic_stem_cell-derived: 0.29, iPS_cells:PDB_2lox-22: 0.29, iPS_cells:PDB_1lox-21Puro-20: 0.29, iPS_cells:adipose_stem_cell-derived:minicircle-derived: 0.29, iPS_cells:CRL2097_foreskin-derived:undiff.: 0.29, iPS_cells:PDB_1lox-17Puro-5: 0.29, iPS_cells:PDB_2lox-21: 0.29, iPS_cells:PDB_1lox-21Puro-26: 0.29 |
T230_TGTTGGATCGGCACTG-1 | Neurons:adrenal_medulla_cell_line | 0.11 | 631.84 | Raw ScoresEndothelial_cells:HUVEC:FPV-infected: 0.32, Endothelial_cells:lymphatic: 0.31, Neurons:adrenal_medulla_cell_line: 0.31, Endothelial_cells:lymphatic:KSHV: 0.31, Endothelial_cells:HUVEC: 0.31, Tissue_stem_cells:CD326-CD56+: 0.3, Endothelial_cells:HUVEC:H5N1-infected: 0.3, Endothelial_cells:lymphatic:TNFa_48h: 0.3, Endothelial_cells:blood_vessel: 0.3, Endothelial_cells:HUVEC:B._anthracis_LT: 0.3 |
T230_ACATTTCCATGAGAAT-1 | Neurons:adrenal_medulla_cell_line | 0.19 | 614.20 | Raw ScoresNeurons:adrenal_medulla_cell_line: 0.39, Neuroepithelial_cell:ESC-derived: 0.35, iPS_cells:PDB_1lox-21Puro-20: 0.33, iPS_cells:PDB_1lox-17Puro-10: 0.33, iPS_cells:PDB_1lox-21Puro-26: 0.33, iPS_cells:PDB_2lox-22: 0.33, iPS_cells:PDB_1lox-17Puro-5: 0.33, iPS_cells:PDB_2lox-21: 0.32, iPS_cells:PDB_2lox-17: 0.32, Embryonic_stem_cells: 0.32 |
T230_GCATCGGCATGAATAG-1 | Neurons:adrenal_medulla_cell_line | 0.17 | 591.63 | Raw ScoresNeurons:adrenal_medulla_cell_line: 0.34, Neuroepithelial_cell:ESC-derived: 0.3, iPS_cells:PDB_2lox-22: 0.28, iPS_cells:PDB_1lox-21Puro-20: 0.28, iPS_cells:PDB_1lox-17Puro-10: 0.28, iPS_cells:PDB_2lox-21: 0.28, iPS_cells:PDB_2lox-5: 0.28, Neurons:ES_cell-derived_neural_precursor: 0.28, iPS_cells:PDB_1lox-17Puro-5: 0.28, Astrocyte:Embryonic_stem_cell-derived: 0.28 |
T230_CGCCATTTCAACACCA-1 | Neurons:adrenal_medulla_cell_line | 0.16 | 577.77 | Raw ScoresNeurons:adrenal_medulla_cell_line: 0.36, Neuroepithelial_cell:ESC-derived: 0.32, iPS_cells:PDB_2lox-22: 0.32, iPS_cells:PDB_2lox-17: 0.31, iPS_cells:PDB_2lox-21: 0.31, iPS_cells:PDB_1lox-21Puro-20: 0.31, iPS_cells:PDB_1lox-17Puro-10: 0.31, iPS_cells:PDB_2lox-5: 0.31, iPS_cells:PDB_1lox-21Puro-26: 0.31, iPS_cells:CRL2097_foreskin-derived:undiff.: 0.31 |
T230_ATTTACCCAACAGATA-1 | Neurons:adrenal_medulla_cell_line | 0.15 | 572.81 | Raw ScoresNeurons:adrenal_medulla_cell_line: 0.36, Neuroepithelial_cell:ESC-derived: 0.31, iPS_cells:PDB_1lox-21Puro-20: 0.3, iPS_cells:PDB_1lox-17Puro-5: 0.3, iPS_cells:CRL2097_foreskin-derived:undiff.: 0.3, iPS_cells:PDB_1lox-17Puro-10: 0.3, iPS_cells:PDB_1lox-21Puro-26: 0.3, iPS_cells:PDB_2lox-22: 0.3, iPS_cells:PDB_2lox-17: 0.29, iPS_cells:PDB_2lox-21: 0.29 |
T230_GCTTGGGGTGGGCTTC-1 | Neurons:adrenal_medulla_cell_line | 0.19 | 571.28 | Raw ScoresNeurons:adrenal_medulla_cell_line: 0.37, Neuroepithelial_cell:ESC-derived: 0.32, Astrocyte:Embryonic_stem_cell-derived: 0.3, iPS_cells:PDB_2lox-22: 0.3, iPS_cells:PDB_1lox-17Puro-10: 0.3, iPS_cells:PDB_1lox-17Puro-5: 0.3, iPS_cells:PDB_2lox-5: 0.3, iPS_cells:PDB_1lox-21Puro-20: 0.3, iPS_cells:PDB_1lox-21Puro-26: 0.3, iPS_cells:PDB_2lox-17: 0.29 |
T230_GCTTCACAGATTGATG-1 | Neurons:adrenal_medulla_cell_line | 0.11 | 563.50 | Raw ScoresNeurons:adrenal_medulla_cell_line: 0.3, Neuroepithelial_cell:ESC-derived: 0.26, iPS_cells:adipose_stem_cell-derived:lentiviral: 0.26, iPS_cells:adipose_stem_cell-derived:minicircle-derived: 0.26, Astrocyte:Embryonic_stem_cell-derived: 0.26, iPS_cells:CRL2097_foreskin-derived:undiff.: 0.26, iPS_cells:PDB_2lox-22: 0.25, iPS_cells:PDB_1lox-17Puro-5: 0.25, iPS_cells:iPS:minicircle-derived: 0.25, iPS_cells:PDB_2lox-21: 0.25 |
T230_GTGCGTGCACAGAAGC-1 | Neurons:adrenal_medulla_cell_line | 0.16 | 563.37 | Raw ScoresNeurons:adrenal_medulla_cell_line: 0.38, Neuroepithelial_cell:ESC-derived: 0.33, iPS_cells:PDB_2lox-22: 0.32, iPS_cells:PDB_1lox-17Puro-5: 0.32, iPS_cells:PDB_1lox-17Puro-10: 0.32, iPS_cells:PDB_1lox-21Puro-20: 0.32, iPS_cells:PDB_2lox-17: 0.32, iPS_cells:PDB_2lox-21: 0.32, iPS_cells:PDB_1lox-21Puro-26: 0.31, iPS_cells:PDB_2lox-5: 0.31 |
T230_ATCAGGTCAGCAATTC-1 | Neurons:adrenal_medulla_cell_line | 0.14 | 551.65 | Raw ScoresNeurons:adrenal_medulla_cell_line: 0.35, Neuroepithelial_cell:ESC-derived: 0.31, iPS_cells:adipose_stem_cell-derived:minicircle-derived: 0.3, iPS_cells:PDB_2lox-22: 0.3, iPS_cells:PDB_2lox-21: 0.3, iPS_cells:adipose_stem_cell-derived:lentiviral: 0.29, iPS_cells:PDB_2lox-17: 0.29, iPS_cells:PDB_1lox-21Puro-20: 0.29, iPS_cells:PDB_1lox-17Puro-10: 0.29, iPS_cells:PDB_2lox-5: 0.29 |
T230_GAAATGAAGTTGGAAT-1 | Neurons:adrenal_medulla_cell_line | 0.16 | 534.59 | Raw ScoresNeurons:adrenal_medulla_cell_line: 0.34, Neuroepithelial_cell:ESC-derived: 0.28, Astrocyte:Embryonic_stem_cell-derived: 0.27, iPS_cells:PDB_2lox-22: 0.27, iPS_cells:CRL2097_foreskin-derived:undiff.: 0.26, iPS_cells:PDB_2lox-5: 0.26, iPS_cells:PDB_1lox-17Puro-10: 0.26, iPS_cells:PDB_2lox-17: 0.26, iPS_cells:PDB_1lox-17Puro-5: 0.26, Embryonic_stem_cells: 0.26 |
T230_GGAATCTTCCCAGGCA-1 | Neurons:adrenal_medulla_cell_line | 0.16 | 528.10 | Raw ScoresNeurons:adrenal_medulla_cell_line: 0.38, Neuroepithelial_cell:ESC-derived: 0.34, iPS_cells:PDB_2lox-22: 0.33, iPS_cells:PDB_2lox-17: 0.33, iPS_cells:CRL2097_foreskin-derived:undiff.: 0.33, iPS_cells:PDB_2lox-21: 0.33, iPS_cells:PDB_1lox-21Puro-20: 0.33, iPS_cells:PDB_2lox-5: 0.33, iPS_cells:PDB_1lox-17Puro-5: 0.33, iPS_cells:adipose_stem_cell-derived:lentiviral: 0.32 |
T230_AAGAACAAGAACGTGC-1 | Neurons:adrenal_medulla_cell_line | 0.11 | 527.77 | Raw ScoresNeurons:adrenal_medulla_cell_line: 0.3, Neuroepithelial_cell:ESC-derived: 0.27, iPS_cells:adipose_stem_cell-derived:lentiviral: 0.26, iPS_cells:PDB_1lox-17Puro-10: 0.26, iPS_cells:PDB_2lox-22: 0.26, iPS_cells:adipose_stem_cell-derived:minicircle-derived: 0.26, iPS_cells:PDB_1lox-21Puro-20: 0.26, iPS_cells:PDB_2lox-5: 0.25, iPS_cells:PDB_1lox-17Puro-5: 0.25, Embryonic_stem_cells: 0.25 |
T230_GAACACTCATGTTCGA-1 | Neurons:adrenal_medulla_cell_line | 0.10 | 511.79 | Raw ScoresNeurons:adrenal_medulla_cell_line: 0.28, Neuroepithelial_cell:ESC-derived: 0.24, iPS_cells:adipose_stem_cell-derived:minicircle-derived: 0.24, iPS_cells:adipose_stem_cell-derived:lentiviral: 0.24, iPS_cells:PDB_2lox-22: 0.24, iPS_cells:iPS:minicircle-derived: 0.24, iPS_cells:CRL2097_foreskin-derived:undiff.: 0.24, iPS_cells:PDB_2lox-17: 0.23, Embryonic_stem_cells: 0.23, iPS_cells:PDB_2lox-21: 0.23 |
T230_GCTTCACTCATTGCGA-1 | Neurons:adrenal_medulla_cell_line | 0.20 | 510.73 | Raw ScoresNeurons:adrenal_medulla_cell_line: 0.36, Neuroepithelial_cell:ESC-derived: 0.3, Astrocyte:Embryonic_stem_cell-derived: 0.29, Neurons:ES_cell-derived_neural_precursor: 0.28, iPS_cells:PDB_1lox-21Puro-20: 0.28, iPS_cells:PDB_2lox-22: 0.28, iPS_cells:PDB_1lox-21Puro-26: 0.28, iPS_cells:PDB_2lox-21: 0.28, iPS_cells:PDB_1lox-17Puro-10: 0.28, iPS_cells:PDB_1lox-17Puro-5: 0.28 |
T230_CTCAACCCATGGGTCC-1 | Neurons:adrenal_medulla_cell_line | 0.09 | 504.40 | Raw ScoresNeurons:adrenal_medulla_cell_line: 0.29, iPS_cells:adipose_stem_cell-derived:lentiviral: 0.27, iPS_cells:adipose_stem_cell-derived:minicircle-derived: 0.27, iPS_cells:PDB_2lox-22: 0.27, iPS_cells:PDB_2lox-17: 0.27, iPS_cells:iPS:minicircle-derived: 0.26, iPS_cells:PDB_2lox-21: 0.26, iPS_cells:skin_fibroblast-derived: 0.26, iPS_cells:PDB_2lox-5: 0.26, iPS_cells:PDB_1lox-17Puro-5: 0.26 |
T230_GCATTAGAGCGACTAG-1 | Neurons:adrenal_medulla_cell_line | 0.07 | 499.41 | Raw ScoresNeurons:adrenal_medulla_cell_line: 0.26, iPS_cells:CRL2097_foreskin-derived:undiff.: 0.24, iPS_cells:PDB_2lox-5: 0.24, iPS_cells:PDB_2lox-22: 0.24, iPS_cells:PDB_1lox-17Puro-5: 0.24, Neuroepithelial_cell:ESC-derived: 0.24, iPS_cells:PDB_2lox-21: 0.24, iPS_cells:PDB_2lox-17: 0.24, iPS_cells:PDB_1lox-21Puro-20: 0.24, iPS_cells:adipose_stem_cell-derived:lentiviral: 0.24 |
T230_TAGTGCACAGCAGGAT-1 | Neurons:adrenal_medulla_cell_line | 0.20 | 498.13 | Raw ScoresNeurons:adrenal_medulla_cell_line: 0.41, Neuroepithelial_cell:ESC-derived: 0.35, iPS_cells:PDB_1lox-21Puro-20: 0.35, iPS_cells:PDB_1lox-21Puro-26: 0.35, iPS_cells:PDB_1lox-17Puro-10: 0.35, iPS_cells:PDB_1lox-17Puro-5: 0.35, iPS_cells:PDB_2lox-22: 0.35, iPS_cells:PDB_2lox-21: 0.35, iPS_cells:PDB_2lox-5: 0.35, iPS_cells:PDB_2lox-17: 0.35 |
T230_ATGCGATGTACCAGAG-1 | Neurons:adrenal_medulla_cell_line | 0.12 | 495.86 | Raw ScoresNeurons:adrenal_medulla_cell_line: 0.3, Neuroepithelial_cell:ESC-derived: 0.26, Astrocyte:Embryonic_stem_cell-derived: 0.26, iPS_cells:adipose_stem_cell-derived:minicircle-derived: 0.26, iPS_cells:adipose_stem_cell-derived:lentiviral: 0.25, iPS_cells:CRL2097_foreskin-derived:undiff.: 0.25, iPS_cells:PDB_1lox-17Puro-5: 0.25, iPS_cells:PDB_2lox-22: 0.25, iPS_cells:iPS:minicircle-derived: 0.25, iPS_cells:PDB_1lox-21Puro-20: 0.25 |
T230_TTTACGTTCTTCCGTG-1 | Neurons:adrenal_medulla_cell_line | 0.16 | 483.79 | Raw ScoresNeurons:adrenal_medulla_cell_line: 0.32, Neuroepithelial_cell:ESC-derived: 0.25, iPS_cells:PDB_1lox-17Puro-5: 0.24, iPS_cells:PDB_2lox-22: 0.24, Neurons:ES_cell-derived_neural_precursor: 0.24, iPS_cells:PDB_1lox-21Puro-20: 0.24, iPS_cells:PDB_1lox-17Puro-10: 0.24, Astrocyte:Embryonic_stem_cell-derived: 0.24, iPS_cells:PDB_2lox-5: 0.24, iPS_cells:PDB_1lox-21Puro-26: 0.24 |
T230_GAAGGGTGTACAAACA-1 | Neurons:adrenal_medulla_cell_line | 0.09 | 475.26 | Raw ScoresNeurons:adrenal_medulla_cell_line: 0.28, iPS_cells:adipose_stem_cell-derived:minicircle-derived: 0.26, iPS_cells:adipose_stem_cell-derived:lentiviral: 0.26, iPS_cells:PDB_2lox-22: 0.26, iPS_cells:CRL2097_foreskin-derived:undiff.: 0.25, iPS_cells:PDB_1lox-17Puro-5: 0.25, iPS_cells:PDB_2lox-17: 0.25, iPS_cells:PDB_2lox-21: 0.25, Neuroepithelial_cell:ESC-derived: 0.25, iPS_cells:PDB_1lox-21Puro-20: 0.25 |
T230_AAGCATCCAATGACCT-1 | Neurons:adrenal_medulla_cell_line | 0.08 | 472.04 | Raw ScoresNeurons:adrenal_medulla_cell_line: 0.26, iPS_cells:PDB_2lox-22: 0.24, iPS_cells:PDB_1lox-17Puro-5: 0.24, iPS_cells:PDB_2lox-17: 0.24, iPS_cells:PDB_2lox-5: 0.24, iPS_cells:PDB_2lox-21: 0.24, iPS_cells:CRL2097_foreskin-derived:undiff.: 0.24, iPS_cells:adipose_stem_cell-derived:lentiviral: 0.24, iPS_cells:PDB_1lox-17Puro-10: 0.24, iPS_cells:adipose_stem_cell-derived:minicircle-derived: 0.24 |
T230_TGCACGGGTATTGGCT-1 | Neurons:adrenal_medulla_cell_line | 0.16 | 469.27 | Raw ScoresNeurons:adrenal_medulla_cell_line: 0.34, Neuroepithelial_cell:ESC-derived: 0.29, Astrocyte:Embryonic_stem_cell-derived: 0.27, Neurons:ES_cell-derived_neural_precursor: 0.26, iPS_cells:PDB_2lox-22: 0.26, iPS_cells:adipose_stem_cell-derived:lentiviral: 0.26, iPS_cells:CRL2097_foreskin-derived:undiff.: 0.26, iPS_cells:adipose_stem_cell-derived:minicircle-derived: 0.26, iPS_cells:PDB_2lox-17: 0.26, Embryonic_stem_cells: 0.26 |
T230_ACCTACCGTTAGGCCC-1 | Neurons:adrenal_medulla_cell_line | 0.18 | 467.61 | Raw ScoresNeurons:adrenal_medulla_cell_line: 0.34, Neuroepithelial_cell:ESC-derived: 0.29, Astrocyte:Embryonic_stem_cell-derived: 0.28, Neurons:ES_cell-derived_neural_precursor: 0.26, iPS_cells:PDB_1lox-21Puro-20: 0.26, Embryonic_stem_cells: 0.26, iPS_cells:PDB_2lox-22: 0.26, iPS_cells:PDB_1lox-17Puro-10: 0.26, iPS_cells:PDB_2lox-21: 0.26, iPS_cells:CRL2097_foreskin-derived:undiff.: 0.26 |
T230_CCGTAGGCAACAGAGC-1 | Neurons:adrenal_medulla_cell_line | 0.17 | 463.38 | Raw ScoresNeurons:adrenal_medulla_cell_line: 0.38, Neuroepithelial_cell:ESC-derived: 0.34, iPS_cells:PDB_2lox-22: 0.33, iPS_cells:PDB_1lox-21Puro-20: 0.32, iPS_cells:PDB_2lox-21: 0.32, iPS_cells:PDB_2lox-17: 0.32, iPS_cells:adipose_stem_cell-derived:minicircle-derived: 0.32, iPS_cells:PDB_1lox-17Puro-5: 0.32, iPS_cells:CRL2097_foreskin-derived:undiff.: 0.32, iPS_cells:adipose_stem_cell-derived:lentiviral: 0.32 |
T230_ACACGCGCAGTCCGTG-1 | Neurons:adrenal_medulla_cell_line | 0.17 | 459.69 | Raw ScoresNeurons:adrenal_medulla_cell_line: 0.37, Neuroepithelial_cell:ESC-derived: 0.32, iPS_cells:PDB_2lox-22: 0.31, Astrocyte:Embryonic_stem_cell-derived: 0.31, iPS_cells:PDB_2lox-17: 0.31, iPS_cells:PDB_2lox-21: 0.31, iPS_cells:adipose_stem_cell-derived:minicircle-derived: 0.31, iPS_cells:PDB_2lox-5: 0.3, iPS_cells:CRL2097_foreskin-derived:undiff.: 0.3, iPS_cells:PDB_1lox-21Puro-20: 0.3 |
T230_CCCATTGGTTTGTTGG-1 | Neurons:adrenal_medulla_cell_line | 0.14 | 447.97 | Raw ScoresNeurons:adrenal_medulla_cell_line: 0.33, Neuroepithelial_cell:ESC-derived: 0.27, Astrocyte:Embryonic_stem_cell-derived: 0.27, iPS_cells:PDB_2lox-5: 0.26, iPS_cells:PDB_2lox-22: 0.26, iPS_cells:CRL2097_foreskin-derived:undiff.: 0.26, iPS_cells:PDB_2lox-17: 0.25, Embryonic_stem_cells: 0.25, iPS_cells:adipose_stem_cell-derived:minicircle-derived: 0.25, iPS_cells:PDB_2lox-21: 0.25 |
T230_GCGTTTCCAGGACAGT-1 | Neurons:adrenal_medulla_cell_line | 0.15 | 447.10 | Raw ScoresNeurons:adrenal_medulla_cell_line: 0.36, Neuroepithelial_cell:ESC-derived: 0.32, iPS_cells:CRL2097_foreskin-derived:undiff.: 0.31, iPS_cells:PDB_2lox-22: 0.3, iPS_cells:PDB_2lox-21: 0.3, iPS_cells:PDB_2lox-5: 0.3, iPS_cells:PDB_2lox-17: 0.3, Astrocyte:Embryonic_stem_cell-derived: 0.3, Embryonic_stem_cells: 0.3, iPS_cells:PDB_1lox-21Puro-20: 0.3 |
T230_TGTTCCGAGTAACGTA-1 | Neurons:adrenal_medulla_cell_line | 0.19 | 446.04 | Raw ScoresNeurons:adrenal_medulla_cell_line: 0.4, Neuroepithelial_cell:ESC-derived: 0.35, iPS_cells:PDB_2lox-22: 0.34, iPS_cells:PDB_1lox-21Puro-20: 0.34, iPS_cells:PDB_1lox-21Puro-26: 0.33, iPS_cells:PDB_1lox-17Puro-5: 0.33, iPS_cells:PDB_2lox-17: 0.33, iPS_cells:adipose_stem_cell-derived:minicircle-derived: 0.33, iPS_cells:PDB_1lox-17Puro-10: 0.33, Embryonic_stem_cells: 0.33 |
T230_AGGCCACTCTGATGGT-1 | Neurons:adrenal_medulla_cell_line | 0.20 | 439.54 | Raw ScoresNeurons:adrenal_medulla_cell_line: 0.43, Neuroepithelial_cell:ESC-derived: 0.39, iPS_cells:PDB_1lox-17Puro-10: 0.37, iPS_cells:PDB_2lox-22: 0.37, iPS_cells:PDB_1lox-21Puro-26: 0.37, iPS_cells:PDB_1lox-21Puro-20: 0.37, iPS_cells:PDB_1lox-17Puro-5: 0.37, iPS_cells:PDB_2lox-17: 0.37, iPS_cells:PDB_2lox-21: 0.37, iPS_cells:CRL2097_foreskin-derived:undiff.: 0.37 |
T230_TCCGGGAAGCGTATAA-1 | Neurons:adrenal_medulla_cell_line | 0.17 | 438.49 | Raw ScoresNeurons:adrenal_medulla_cell_line: 0.36, Neuroepithelial_cell:ESC-derived: 0.3, Neurons:ES_cell-derived_neural_precursor: 0.28, Astrocyte:Embryonic_stem_cell-derived: 0.28, iPS_cells:adipose_stem_cell-derived:minicircle-derived: 0.28, iPS_cells:PDB_2lox-22: 0.28, iPS_cells:PDB_1lox-21Puro-20: 0.28, iPS_cells:PDB_1lox-17Puro-10: 0.28, Embryonic_stem_cells: 0.28, iPS_cells:PDB_1lox-21Puro-26: 0.28 |
T230_ATCGGCGAGTTGGAGC-1 | Neurons:adrenal_medulla_cell_line | 0.15 | 438.00 | Raw ScoresNeurons:adrenal_medulla_cell_line: 0.37, Neuroepithelial_cell:ESC-derived: 0.32, Astrocyte:Embryonic_stem_cell-derived: 0.31, iPS_cells:CRL2097_foreskin-derived:undiff.: 0.3, iPS_cells:PDB_2lox-22: 0.29, iPS_cells:PDB_1lox-17Puro-5: 0.29, iPS_cells:PDB_1lox-21Puro-20: 0.29, iPS_cells:PDB_1lox-17Puro-10: 0.29, iPS_cells:PDB_1lox-21Puro-26: 0.29, iPS_cells:PDB_2lox-5: 0.29 |
T230_CTCCTCCTCTATCGGA-1 | Neurons:adrenal_medulla_cell_line | 0.14 | 436.04 | Raw ScoresNeurons:adrenal_medulla_cell_line: 0.3, Neuroepithelial_cell:ESC-derived: 0.25, Astrocyte:Embryonic_stem_cell-derived: 0.24, iPS_cells:CRL2097_foreskin-derived:undiff.: 0.23, iPS_cells:PDB_1lox-17Puro-5: 0.23, iPS_cells:PDB_1lox-21Puro-20: 0.23, iPS_cells:PDB_2lox-22: 0.23, iPS_cells:iPS:minicircle-derived: 0.23, Embryonic_stem_cells: 0.23, iPS_cells:adipose_stem_cell-derived:minicircle-derived: 0.23 |
T230_TCTATACCATTACGGT-1 | Neurons:adrenal_medulla_cell_line | 0.18 | 433.63 | Raw ScoresNeurons:adrenal_medulla_cell_line: 0.33, Neuroepithelial_cell:ESC-derived: 0.28, Astrocyte:Embryonic_stem_cell-derived: 0.26, Neurons:ES_cell-derived_neural_precursor: 0.25, Embryonic_stem_cells: 0.25, iPS_cells:PDB_1lox-17Puro-10: 0.25, iPS_cells:PDB_2lox-22: 0.25, iPS_cells:PDB_1lox-21Puro-20: 0.25, iPS_cells:PDB_1lox-17Puro-5: 0.25, iPS_cells:PDB_1lox-21Puro-26: 0.25 |
T230_AGGTGTTTCGTGAGAG-1 | Neurons:adrenal_medulla_cell_line | 0.15 | 432.73 | Raw ScoresNeurons:adrenal_medulla_cell_line: 0.31, Neuroepithelial_cell:ESC-derived: 0.26, Astrocyte:Embryonic_stem_cell-derived: 0.25, iPS_cells:PDB_1lox-21Puro-20: 0.24, iPS_cells:PDB_1lox-17Puro-5: 0.24, iPS_cells:PDB_2lox-22: 0.24, iPS_cells:PDB_1lox-17Puro-10: 0.24, iPS_cells:CRL2097_foreskin-derived:undiff.: 0.24, iPS_cells:PDB_1lox-21Puro-26: 0.24, iPS_cells:PDB_2lox-21: 0.24 |
T230_TTCCTTCAGTCCCGAC-1 | Neurons:adrenal_medulla_cell_line | 0.19 | 423.94 | Raw ScoresNeurons:adrenal_medulla_cell_line: 0.4, Neuroepithelial_cell:ESC-derived: 0.35, iPS_cells:PDB_2lox-22: 0.33, iPS_cells:PDB_1lox-21Puro-20: 0.33, iPS_cells:PDB_2lox-17: 0.33, iPS_cells:PDB_1lox-17Puro-5: 0.33, iPS_cells:PDB_1lox-21Puro-26: 0.33, iPS_cells:PDB_2lox-21: 0.33, iPS_cells:PDB_1lox-17Puro-10: 0.33, iPS_cells:CRL2097_foreskin-derived:undiff.: 0.33 |
T230_TCAAGCAGTCCACAGC-1 | Neurons:adrenal_medulla_cell_line | 0.17 | 419.01 | Raw ScoresNeurons:adrenal_medulla_cell_line: 0.38, Neuroepithelial_cell:ESC-derived: 0.34, iPS_cells:PDB_1lox-21Puro-20: 0.34, iPS_cells:PDB_1lox-17Puro-10: 0.34, iPS_cells:PDB_1lox-17Puro-5: 0.33, iPS_cells:PDB_1lox-21Puro-26: 0.33, iPS_cells:PDB_2lox-22: 0.33, iPS_cells:PDB_2lox-17: 0.33, iPS_cells:PDB_2lox-21: 0.33, Embryonic_stem_cells: 0.33 |
T230_CTCCGATAGGGTTTCT-1 | Neurons:adrenal_medulla_cell_line | 0.17 | 417.88 | Raw ScoresNeurons:adrenal_medulla_cell_line: 0.39, Neuroepithelial_cell:ESC-derived: 0.35, iPS_cells:PDB_1lox-21Puro-20: 0.34, iPS_cells:PDB_1lox-21Puro-26: 0.34, iPS_cells:PDB_1lox-17Puro-5: 0.34, iPS_cells:PDB_1lox-17Puro-10: 0.33, iPS_cells:PDB_2lox-22: 0.33, iPS_cells:CRL2097_foreskin-derived:undiff.: 0.33, iPS_cells:PDB_2lox-17: 0.33, Embryonic_stem_cells: 0.33 |
T230_GATTGGTAGAGGCCAT-1 | Neurons:adrenal_medulla_cell_line | 0.15 | 416.71 | Raw ScoresNeurons:adrenal_medulla_cell_line: 0.34, Neuroepithelial_cell:ESC-derived: 0.29, Astrocyte:Embryonic_stem_cell-derived: 0.28, iPS_cells:CRL2097_foreskin-derived:undiff.: 0.27, Neurons:ES_cell-derived_neural_precursor: 0.27, iPS_cells:PDB_1lox-17Puro-10: 0.27, iPS_cells:PDB_1lox-21Puro-20: 0.27, iPS_cells:PDB_1lox-17Puro-5: 0.27, iPS_cells:PDB_2lox-22: 0.27, iPS_cells:PDB_2lox-21: 0.27 |
T230_GCAGCTGTCAAACGAA-1 | Neurons:adrenal_medulla_cell_line | 0.14 | 416.58 | Raw ScoresNeurons:adrenal_medulla_cell_line: 0.31, Neuroepithelial_cell:ESC-derived: 0.27, Astrocyte:Embryonic_stem_cell-derived: 0.26, iPS_cells:adipose_stem_cell-derived:minicircle-derived: 0.25, iPS_cells:CRL2097_foreskin-derived:undiff.: 0.25, Embryonic_stem_cells: 0.25, iPS_cells:adipose_stem_cell-derived:lentiviral: 0.25, iPS_cells:PDB_1lox-17Puro-5: 0.25, iPS_cells:PDB_2lox-22: 0.25, Neurons:ES_cell-derived_neural_precursor: 0.24 |
T230_AGCTTCCTCCATACAG-1 | Neurons:adrenal_medulla_cell_line | 0.19 | 415.35 | Raw ScoresNeurons:adrenal_medulla_cell_line: 0.4, Neuroepithelial_cell:ESC-derived: 0.37, iPS_cells:PDB_1lox-17Puro-10: 0.36, iPS_cells:PDB_1lox-17Puro-5: 0.36, iPS_cells:PDB_1lox-21Puro-20: 0.36, iPS_cells:PDB_1lox-21Puro-26: 0.36, iPS_cells:PDB_2lox-22: 0.36, iPS_cells:PDB_2lox-17: 0.35, iPS_cells:PDB_2lox-5: 0.35, iPS_cells:PDB_2lox-21: 0.35 |
T230_CAAGGGAGTATCCCTC-1 | Neurons:adrenal_medulla_cell_line | 0.16 | 407.92 | Raw ScoresNeurons:adrenal_medulla_cell_line: 0.34, Neuroepithelial_cell:ESC-derived: 0.29, Astrocyte:Embryonic_stem_cell-derived: 0.28, iPS_cells:PDB_2lox-22: 0.28, iPS_cells:adipose_stem_cell-derived:minicircle-derived: 0.27, iPS_cells:PDB_1lox-17Puro-5: 0.27, iPS_cells:PDB_1lox-17Puro-10: 0.27, iPS_cells:PDB_1lox-21Puro-20: 0.27, iPS_cells:PDB_2lox-17: 0.27, iPS_cells:PDB_2lox-21: 0.27 |
T230_CGAATTGTCTACTATC-1 | Neurons:adrenal_medulla_cell_line | 0.18 | 407.59 | Raw ScoresNeurons:adrenal_medulla_cell_line: 0.37, Neuroepithelial_cell:ESC-derived: 0.32, iPS_cells:PDB_2lox-22: 0.31, iPS_cells:PDB_1lox-17Puro-10: 0.31, iPS_cells:PDB_1lox-17Puro-5: 0.31, iPS_cells:PDB_1lox-21Puro-20: 0.3, iPS_cells:PDB_2lox-21: 0.3, iPS_cells:PDB_2lox-5: 0.3, iPS_cells:PDB_2lox-17: 0.3, iPS_cells:PDB_1lox-21Puro-26: 0.3 |
T230_TAACGACTCAGCCTTC-1 | Neurons:adrenal_medulla_cell_line | 0.10 | 405.55 | Raw ScoresNeurons:adrenal_medulla_cell_line: 0.31, Neuroepithelial_cell:ESC-derived: 0.27, iPS_cells:adipose_stem_cell-derived:lentiviral: 0.27, iPS_cells:PDB_2lox-22: 0.27, iPS_cells:CRL2097_foreskin-derived:undiff.: 0.26, iPS_cells:iPS:minicircle-derived: 0.26, iPS_cells:PDB_1lox-17Puro-5: 0.26, iPS_cells:PDB_2lox-17: 0.26, iPS_cells:PDB_1lox-21Puro-20: 0.26, iPS_cells:PDB_2lox-5: 0.26 |
Below shows the significant enrichments of this GEP for literature curated gene lists
This data was procured from existing single cell RNA-seq maps of neuroblastoma or related relevant data.
High ranks indicate this gene is a driver of this GEP.
These curated gene list are ranked by the P-value (on this GEP) of their constituent genes.
The Mean Count column shows the mean read count in cells scoring highly (H > 50) on this gene expression program.
Genes | Weight | Rank | GTEx | DepMap | Decartes | Mean.Counts | Mean.TPM |
---|---|---|---|---|---|---|---|
EIF3F | 0.0027697 | 76 | GTEx | DepMap | Descartes | 7.34 | 124.09 |
EIF3E | 0.0015606 | 251 | GTEx | DepMap | Descartes | 6.75 | 429.19 |
EIF3L | 0.0012483 | 361 | GTEx | DepMap | Descartes | 8.14 | 312.46 |
Pigmentation (Kinker)
These marker genes were obtained in a pan cancer cell lines NMF analysis of scRNA-eq data in Kinker et al (PMID 33128048) - 10 metaprograms were recovered that manifest across cancers, Skin pigmentation genes, identified in melanoma.:
Wilcoxon ranksum test P-value for gene set overrepresentation: 4.03e-02
Mean rank of genes in gene set: 3110.5
Rank on gene expression program of genes in gene set:
Genes | Weight | Rank | GTEx | DepMap | Decartes | Mean.Counts | Mean.TPM |
---|---|---|---|---|---|---|---|
PMEL | 0.0017331 | 217 | GTEx | DepMap | Descartes | 0.20 | 10.48 |
MLANA | -0.0000588 | 3474 | GTEx | DepMap | Descartes | 0.00 | 0.00 |
DCT | -0.0000695 | 3615 | GTEx | DepMap | Descartes | 0.00 | 0.08 |
MITF | -0.0001806 | 5136 | GTEx | DepMap | Descartes | 0.02 | 0.52 |
Mesemchymal validated (Olsen)
Stated on pages 7 and 8 of the main text of Olsen et al. https://www.biorxiv.org/content/10.1101/2020.05.04.077057v1 - it is stated that a mesenchymal-like neuroblastoma cell state is validate by combined immunofluorescence staining for PDGFRA and FISH for PPMID gain, a gene on 17q.:
Wilcoxon ranksum test P-value for gene set overrepresentation: 4.48e-02
Mean rank of genes in gene set: 124
Rank on gene expression program of genes in gene set:
Genes | Weight | Rank | GTEx | DepMap | Decartes | Mean.Counts | Mean.TPM |
---|---|---|---|---|---|---|---|
PDGFRA | 0.0022518 | 124 | GTEx | DepMap | Descartes | 0.87 | 19.82 |
Below shows ranks on this GEP for literature curated gene lists for large gene sets
These include those reported as mesenchymal/adrenergic by Van Groningen et al.
High ranks indicate this gene is a driver of this GEP (note these results are not ordered).
The Mean Count column shows the mean read count in cells scoring highly (H > 50) on this gene expression program.
VanGroningen Adrenergic Genes
Adrenergic marker genes from Supplementary Table 2 of Van Groningen et al. Nature Genetics 2017. These genes were identified by differential expression analysis of mesenchymal-like and adrenergic-like neuroblastoma cell lines.
Wilcoxon ranksum test P-value for gene set overrepresentation: 1.00e+00
Mean rank of genes in gene set: 7979.83
Median rank of genes in gene set: 9578
Rank on gene expression program of top 30 genes in gene set:
Genes | Weight | Rank | GTEx | DepMap | Descartes | Mean.Counts | Mean.TPM |
---|---|---|---|---|---|---|---|
OLA1 | 0.0029330 | 70 | GTEx | DepMap | Descartes | 4.76 | 140.28 |
NPTX2 | 0.0029258 | 71 | GTEx | DepMap | Descartes | 0.43 | 19.85 |
TMEM97 | 0.0027139 | 81 | GTEx | DepMap | Descartes | 3.07 | 151.86 |
GAL | 0.0026816 | 83 | GTEx | DepMap | Descartes | 4.57 | 772.32 |
LMO3 | 0.0025766 | 92 | GTEx | DepMap | Descartes | 0.36 | 12.54 |
CCNI | 0.0025731 | 94 | GTEx | DepMap | Descartes | 26.93 | 1281.50 |
DUSP4 | 0.0023498 | 113 | GTEx | DepMap | Descartes | 1.12 | 26.78 |
RAB33A | 0.0022893 | 121 | GTEx | DepMap | Descartes | 1.11 | 159.30 |
AKAP1 | 0.0017833 | 204 | GTEx | DepMap | Descartes | 1.09 | 31.51 |
GNG4 | 0.0017689 | 207 | GTEx | DepMap | Descartes | 3.39 | 88.09 |
DLK1 | 0.0017205 | 222 | GTEx | DepMap | Descartes | 2.26 | 58.57 |
ICA1 | 0.0014269 | 277 | GTEx | DepMap | Descartes | 3.91 | 218.46 |
CENPV | 0.0014233 | 278 | GTEx | DepMap | Descartes | 7.32 | 522.33 |
CACNA2D2 | 0.0014039 | 285 | GTEx | DepMap | Descartes | 0.27 | 6.66 |
GLCCI1 | 0.0013499 | 318 | GTEx | DepMap | Descartes | 2.88 | 80.86 |
DTD1 | 0.0012821 | 346 | GTEx | DepMap | Descartes | 3.17 | 99.38 |
MSI2 | 0.0012646 | 355 | GTEx | DepMap | Descartes | 1.84 | 32.66 |
FKBP4 | 0.0012587 | 356 | GTEx | DepMap | Descartes | 3.10 | 104.20 |
NCAN | 0.0011551 | 397 | GTEx | DepMap | Descartes | 0.46 | 9.39 |
CACNA1B | 0.0011206 | 406 | GTEx | DepMap | Descartes | 0.53 | 6.77 |
PHPT1 | 0.0011013 | 418 | GTEx | DepMap | Descartes | 6.26 | 599.08 |
CKB | 0.0010540 | 439 | GTEx | DepMap | Descartes | 12.06 | 1039.07 |
TUBB2B | 0.0010049 | 471 | GTEx | DepMap | Descartes | 32.38 | 2165.62 |
HK2 | 0.0009187 | 539 | GTEx | DepMap | Descartes | 0.15 | 3.22 |
ESRRG | 0.0008877 | 556 | GTEx | DepMap | Descartes | 0.15 | 3.70 |
RBP1 | 0.0007484 | 665 | GTEx | DepMap | Descartes | 4.59 | 326.43 |
HMGA1 | 0.0007198 | 687 | GTEx | DepMap | Descartes | 4.06 | 220.58 |
AHSA1 | 0.0006469 | 771 | GTEx | DepMap | Descartes | 1.73 | 159.70 |
TTC8 | 0.0006406 | 779 | GTEx | DepMap | Descartes | 0.47 | 11.46 |
NARS2 | 0.0006391 | 781 | GTEx | DepMap | Descartes | 0.41 | 21.43 |
VanGroningen Mesenchymal Genes
Mesenchymal marker genes from Supplementary Table 2 of Van Groningen et al. Nature Genetics 2017. These genes were identified by differential expression analysis of mesenchymal-like and adrenergic-like neuroblastoma cell lines.
Wilcoxon ranksum test P-value for gene set overrepresentation: 1.00e+00
Mean rank of genes in gene set: 7458.11
Median rank of genes in gene set: 7690
Rank on gene expression program of top 30 genes in gene set:
Genes | Weight | Rank | GTEx | DepMap | Descartes | Mean.Counts | Mean.TPM |
---|---|---|---|---|---|---|---|
PRDX4 | 0.0032633 | 57 | GTEx | DepMap | Descartes | 3.68 | 469.07 |
RCN1 | 0.0022419 | 126 | GTEx | DepMap | Descartes | 1.21 | 59.43 |
OSTC | 0.0021825 | 133 | GTEx | DepMap | Descartes | 3.10 | 372.69 |
CRABP2 | 0.0021814 | 134 | GTEx | DepMap | Descartes | 0.52 | 69.50 |
HS3ST3A1 | 0.0021090 | 144 | GTEx | DepMap | Descartes | 0.08 | 2.51 |
TPM2 | 0.0014428 | 273 | GTEx | DepMap | Descartes | 1.39 | 105.08 |
PPIB | 0.0014229 | 279 | GTEx | DepMap | Descartes | 7.04 | 743.54 |
PRDX6 | 0.0013811 | 300 | GTEx | DepMap | Descartes | 3.77 | 272.38 |
EGR3 | 0.0012118 | 372 | GTEx | DepMap | Descartes | 0.64 | 19.61 |
F2R | 0.0011833 | 385 | GTEx | DepMap | Descartes | 0.46 | 16.19 |
ENAH | 0.0011588 | 393 | GTEx | DepMap | Descartes | 2.76 | 26.80 |
SSR3 | 0.0009973 | 478 | GTEx | DepMap | Descartes | 1.84 | 59.85 |
FZD2 | 0.0009821 | 490 | GTEx | DepMap | Descartes | 0.19 | 6.78 |
DNM3OS | 0.0009356 | 524 | GTEx | DepMap | Descartes | 0.13 | 7.17 |
PCDH18 | 0.0008486 | 593 | GTEx | DepMap | Descartes | 0.09 | 2.00 |
SEMA3F | 0.0008024 | 620 | GTEx | DepMap | Descartes | 0.09 | 2.96 |
FUCA2 | 0.0007833 | 638 | GTEx | DepMap | Descartes | 0.45 | 24.68 |
LMAN1 | 0.0005809 | 863 | GTEx | DepMap | Descartes | 1.36 | 35.41 |
EGFR | 0.0005781 | 869 | GTEx | DepMap | Descartes | 0.06 | 0.72 |
PCOLCE2 | 0.0005661 | 886 | GTEx | DepMap | Descartes | 0.10 | 6.30 |
FKBP14 | 0.0004972 | 996 | GTEx | DepMap | Descartes | 0.16 | 4.20 |
DDOST | 0.0004938 | 1001 | GTEx | DepMap | Descartes | 1.13 | 66.55 |
MMP2 | 0.0004871 | 1011 | GTEx | DepMap | Descartes | 0.43 | 16.81 |
NANS | 0.0004525 | 1084 | GTEx | DepMap | Descartes | 0.71 | 28.50 |
ANTXR1 | 0.0004436 | 1094 | GTEx | DepMap | Descartes | 0.21 | 4.54 |
SOX9 | 0.0004415 | 1102 | GTEx | DepMap | Descartes | 0.09 | 2.78 |
ITPRIPL2 | 0.0004169 | 1146 | GTEx | DepMap | Descartes | 0.13 | 2.40 |
SMAD3 | 0.0004102 | 1161 | GTEx | DepMap | Descartes | 0.16 | 3.00 |
DDR2 | 0.0004059 | 1177 | GTEx | DepMap | Descartes | 0.38 | 4.83 |
STEAP1 | 0.0004022 | 1189 | GTEx | DepMap | Descartes | 0.03 | 2.86 |
Descartes adrenocortical markers
Top 50 marker genes of adrenocortical cells in the Decartes fetal adrenal single cell map (https://atlas.brotmanbaty.org/bbi/human-gene-expression-during-development/cell/adrenocortical/in/adrenal)
Wilcoxon ranksum test P-value for gene set overrepresentation: 8.32e-01
Mean rank of genes in gene set: 6854.67
Median rank of genes in gene set: 7072
Rank on gene expression program of top 30 genes in gene set:
Genes | Weight | Rank | GTEx | DepMap | Descartes | Mean.Counts | Mean.TPM |
---|---|---|---|---|---|---|---|
SCARB1 | 0.0005653 | 887 | GTEx | DepMap | Descartes | 0.20 | 4.13 |
GSTA4 | 0.0002711 | 1517 | GTEx | DepMap | Descartes | 1.72 | 129.56 |
SH3BP5 | 0.0002364 | 1621 | GTEx | DepMap | Descartes | 0.84 | 32.16 |
INHA | 0.0001199 | 2079 | GTEx | DepMap | Descartes | 0.01 | 1.27 |
DHCR7 | 0.0001030 | 2171 | GTEx | DepMap | Descartes | 0.20 | 9.01 |
BAIAP2L1 | 0.0000627 | 2377 | GTEx | DepMap | Descartes | 0.03 | 1.02 |
SCAP | 0.0000016 | 2801 | GTEx | DepMap | Descartes | 0.36 | 10.20 |
MSMO1 | -0.0000254 | 3047 | GTEx | DepMap | Descartes | 0.48 | 27.04 |
FDX1 | -0.0000389 | 3211 | GTEx | DepMap | Descartes | 0.79 | 31.62 |
FREM2 | -0.0000487 | 3334 | GTEx | DepMap | Descartes | 0.00 | 0.00 |
SLC16A9 | -0.0000722 | 3648 | GTEx | DepMap | Descartes | 0.15 | 4.40 |
STAR | -0.0000892 | 3867 | GTEx | DepMap | Descartes | 0.02 | 0.90 |
SGCZ | -0.0001496 | 4710 | GTEx | DepMap | Descartes | 0.02 | 0.26 |
GRAMD1B | -0.0001598 | 4841 | GTEx | DepMap | Descartes | 0.07 | 1.14 |
ERN1 | -0.0001901 | 5265 | GTEx | DepMap | Descartes | 0.13 | 2.24 |
FRMD5 | -0.0002653 | 6216 | GTEx | DepMap | Descartes | 0.10 | 2.20 |
HMGCR | -0.0002748 | 6367 | GTEx | DepMap | Descartes | 0.43 | 11.84 |
SLC1A2 | -0.0003075 | 6746 | GTEx | DepMap | Descartes | 0.48 | 5.07 |
PDE10A | -0.0003616 | 7398 | GTEx | DepMap | Descartes | 0.14 | 2.03 |
PAPSS2 | -0.0003637 | 7414 | GTEx | DepMap | Descartes | 0.01 | 0.29 |
FDPS | -0.0004189 | 8069 | GTEx | DepMap | Descartes | 1.76 | 105.97 |
TM7SF2 | -0.0004501 | 8379 | GTEx | DepMap | Descartes | 0.50 | 30.20 |
NPC1 | -0.0004764 | 8619 | GTEx | DepMap | Descartes | 0.05 | 1.18 |
APOC1 | -0.0005457 | 9207 | GTEx | DepMap | Descartes | 0.57 | 65.56 |
FDXR | -0.0005888 | 9537 | GTEx | DepMap | Descartes | 0.16 | 8.06 |
LDLR | -0.0006512 | 9996 | GTEx | DepMap | Descartes | 0.03 | 0.65 |
SH3PXD2B | -0.0007258 | 10453 | GTEx | DepMap | Descartes | 0.04 | 0.55 |
POR | -0.0007258 | 10455 | GTEx | DepMap | Descartes | 0.23 | 10.99 |
HMGCS1 | -0.0007844 | 10742 | GTEx | DepMap | Descartes | 0.28 | 6.29 |
CYB5B | -0.0008431 | 10992 | GTEx | DepMap | Descartes | 0.44 | 11.97 |
Descartes chromaffin markers
Top 50 marker genes of chromaffin cells in the Decartes fetal adrenal single cell map (https://atlas.brotmanbaty.org/bbi/human-gene-expression-during-development/cell/chromaffin/in/adrenal)
Wilcoxon ranksum test P-value for gene set overrepresentation: 1.00e+00
Mean rank of genes in gene set: 8895
Median rank of genes in gene set: 11959
Rank on gene expression program of top 30 genes in gene set:
Genes | Weight | Rank | GTEx | DepMap | Descartes | Mean.Counts | Mean.TPM |
---|---|---|---|---|---|---|---|
EYA4 | 0.0030462 | 62 | GTEx | DepMap | Descartes | 0.57 | 13.27 |
GAL | 0.0026816 | 83 | GTEx | DepMap | Descartes | 4.57 | 772.32 |
TUBB2B | 0.0010049 | 471 | GTEx | DepMap | Descartes | 32.38 | 2165.62 |
EPHA6 | 0.0008779 | 564 | GTEx | DepMap | Descartes | 0.14 | 4.81 |
EYA1 | 0.0006274 | 805 | GTEx | DepMap | Descartes | 0.30 | 10.04 |
PTCHD1 | 0.0002846 | 1483 | GTEx | DepMap | Descartes | 0.25 | 2.73 |
SLC44A5 | 0.0002711 | 1515 | GTEx | DepMap | Descartes | 0.10 | 3.01 |
MAB21L1 | 0.0001842 | 1808 | GTEx | DepMap | Descartes | 2.34 | 103.62 |
FAT3 | 0.0000101 | 2729 | GTEx | DepMap | Descartes | 0.34 | 2.27 |
ISL1 | -0.0000826 | 3775 | GTEx | DepMap | Descartes | 4.10 | 236.66 |
RYR2 | -0.0001010 | 4020 | GTEx | DepMap | Descartes | 0.15 | 1.16 |
ALK | -0.0003759 | 7570 | GTEx | DepMap | Descartes | 0.17 | 3.71 |
RPH3A | -0.0004815 | 8666 | GTEx | DepMap | Descartes | 0.06 | 1.60 |
HS3ST5 | -0.0005245 | 9040 | GTEx | DepMap | Descartes | 0.05 | 1.71 |
ANKFN1 | -0.0005825 | 9500 | GTEx | DepMap | Descartes | 0.01 | 0.19 |
CNTFR | -0.0006966 | 10270 | GTEx | DepMap | Descartes | 0.81 | 50.56 |
CNKSR2 | -0.0007697 | 10681 | GTEx | DepMap | Descartes | 0.14 | 2.08 |
KCNB2 | -0.0008466 | 11010 | GTEx | DepMap | Descartes | 0.08 | 2.63 |
MARCH11 | -0.0008693 | 11091 | GTEx | DepMap | Descartes | 3.94 | NA |
GREM1 | -0.0011628 | 11835 | GTEx | DepMap | Descartes | 0.00 | 0.04 |
TUBB2A | -0.0012432 | 11959 | GTEx | DepMap | Descartes | 4.25 | 295.05 |
REEP1 | -0.0012544 | 11972 | GTEx | DepMap | Descartes | 0.31 | 9.01 |
SLC6A2 | -0.0012936 | 12027 | GTEx | DepMap | Descartes | 0.10 | 3.29 |
TMEFF2 | -0.0013135 | 12054 | GTEx | DepMap | Descartes | 0.15 | 3.82 |
MLLT11 | -0.0013299 | 12078 | GTEx | DepMap | Descartes | 7.93 | 407.57 |
RGMB | -0.0013433 | 12087 | GTEx | DepMap | Descartes | 0.40 | 10.59 |
ELAVL2 | -0.0013602 | 12105 | GTEx | DepMap | Descartes | 1.01 | 30.64 |
NTRK1 | -0.0014508 | 12184 | GTEx | DepMap | Descartes | 0.23 | 5.30 |
RBFOX1 | -0.0015002 | 12221 | GTEx | DepMap | Descartes | 0.04 | 0.74 |
PLXNA4 | -0.0015110 | 12234 | GTEx | DepMap | Descartes | 0.04 | 0.29 |
Descartes Vascular_endothelial markers
Top 50 marker genes of Vascular_endothelial cells in the Decartes fetal adrenal single cell map (https://atlas.brotmanbaty.org/bbi/human-gene-expression-during-development/cell/vascular_endothelial/in/adrenal)
Wilcoxon ranksum test P-value for gene set overrepresentation: 3.27e-01
Mean rank of genes in gene set: 6011.68
Median rank of genes in gene set: 6237
Rank on gene expression program of top 30 genes in gene set:
Genes | Weight | Rank | GTEx | DepMap | Descartes | Mean.Counts | Mean.TPM |
---|---|---|---|---|---|---|---|
RAMP2 | 0.0018081 | 197 | GTEx | DepMap | Descartes | 2.60 | 386.99 |
IRX3 | 0.0011586 | 394 | GTEx | DepMap | Descartes | 0.28 | 14.79 |
HYAL2 | 0.0003914 | 1212 | GTEx | DepMap | Descartes | 0.90 | 28.15 |
ESM1 | -0.0000944 | 3933 | GTEx | DepMap | Descartes | 0.05 | 2.48 |
SLCO2A1 | -0.0001084 | 4129 | GTEx | DepMap | Descartes | 0.00 | 0.01 |
NPR1 | -0.0001139 | 4221 | GTEx | DepMap | Descartes | 0.01 | 0.15 |
BTNL9 | -0.0001434 | 4634 | GTEx | DepMap | Descartes | 0.00 | 0.06 |
SHE | -0.0001668 | 4932 | GTEx | DepMap | Descartes | 0.00 | 0.02 |
RASIP1 | -0.0001684 | 4957 | GTEx | DepMap | Descartes | 0.01 | 0.43 |
FLT4 | -0.0001769 | 5074 | GTEx | DepMap | Descartes | 0.00 | 0.05 |
KANK3 | -0.0001795 | 5115 | GTEx | DepMap | Descartes | 0.00 | 0.07 |
CRHBP | -0.0001822 | 5158 | GTEx | DepMap | Descartes | 0.00 | 0.00 |
PLVAP | -0.0001859 | 5209 | GTEx | DepMap | Descartes | 0.07 | 2.71 |
F8 | -0.0001870 | 5224 | GTEx | DepMap | Descartes | 0.01 | 0.13 |
TIE1 | -0.0001889 | 5244 | GTEx | DepMap | Descartes | 0.00 | 0.06 |
NR5A2 | -0.0001917 | 5289 | GTEx | DepMap | Descartes | 0.00 | 0.04 |
GALNT15 | -0.0001962 | 5339 | GTEx | DepMap | Descartes | 0.00 | NA |
MMRN2 | -0.0002218 | 5653 | GTEx | DepMap | Descartes | 0.01 | 0.15 |
ROBO4 | -0.0002660 | 6231 | GTEx | DepMap | Descartes | 0.01 | 0.21 |
PODXL | -0.0002667 | 6243 | GTEx | DepMap | Descartes | 0.06 | 1.17 |
CDH5 | -0.0002718 | 6327 | GTEx | DepMap | Descartes | 0.01 | 0.11 |
CALCRL | -0.0002744 | 6362 | GTEx | DepMap | Descartes | 0.00 | 0.06 |
NOTCH4 | -0.0002793 | 6406 | GTEx | DepMap | Descartes | 0.18 | 3.53 |
KDR | -0.0002801 | 6418 | GTEx | DepMap | Descartes | 0.01 | 0.17 |
ARHGAP29 | -0.0002826 | 6452 | GTEx | DepMap | Descartes | 0.32 | 4.54 |
TEK | -0.0002923 | 6571 | GTEx | DepMap | Descartes | 0.00 | 0.01 |
CEACAM1 | -0.0002942 | 6600 | GTEx | DepMap | Descartes | 0.00 | 0.11 |
PTPRB | -0.0003104 | 6773 | GTEx | DepMap | Descartes | 0.00 | 0.03 |
EHD3 | -0.0003171 | 6865 | GTEx | DepMap | Descartes | 0.02 | 0.47 |
SHANK3 | -0.0003465 | 7219 | GTEx | DepMap | Descartes | 0.03 | 0.40 |
Descartes stromal markers
Top 50 marker genes of stromal cells in the Decartes fetal adrenal single cell map (https://atlas.brotmanbaty.org/bbi/human-gene-expression-during-development/cell/stromal/in/adrenal)
Wilcoxon ranksum test P-value for gene set overrepresentation: 6.28e-02
Mean rank of genes in gene set: 5440.07
Median rank of genes in gene set: 5671.5
Rank on gene expression program of top 30 genes in gene set:
Genes | Weight | Rank | GTEx | DepMap | Descartes | Mean.Counts | Mean.TPM |
---|---|---|---|---|---|---|---|
PCOLCE | 0.0023703 | 108 | GTEx | DepMap | Descartes | 3.38 | 288.75 |
PDGFRA | 0.0022518 | 124 | GTEx | DepMap | Descartes | 0.87 | 19.82 |
PCDH18 | 0.0008486 | 593 | GTEx | DepMap | Descartes | 0.09 | 2.00 |
LAMC3 | 0.0003455 | 1312 | GTEx | DepMap | Descartes | 0.01 | 0.12 |
C7 | 0.0002997 | 1442 | GTEx | DepMap | Descartes | 0.07 | 1.63 |
RSPO3 | 0.0001852 | 1802 | GTEx | DepMap | Descartes | 0.01 | NA |
GAS2 | 0.0001739 | 1860 | GTEx | DepMap | Descartes | 0.03 | 1.53 |
LOX | 0.0001141 | 2107 | GTEx | DepMap | Descartes | 0.04 | 0.97 |
EDNRA | -0.0000484 | 3329 | GTEx | DepMap | Descartes | 0.02 | 0.49 |
ABCC9 | -0.0000943 | 3930 | GTEx | DepMap | Descartes | 0.00 | 0.03 |
CD248 | -0.0000977 | 3974 | GTEx | DepMap | Descartes | 0.03 | 1.63 |
LRRC17 | -0.0001044 | 4063 | GTEx | DepMap | Descartes | 0.02 | 1.43 |
PRICKLE1 | -0.0001258 | 4390 | GTEx | DepMap | Descartes | 0.40 | 8.56 |
SCARA5 | -0.0001290 | 4431 | GTEx | DepMap | Descartes | 0.00 | 0.00 |
ITGA11 | -0.0001398 | 4585 | GTEx | DepMap | Descartes | 0.00 | 0.04 |
IGFBP3 | -0.0001521 | 4742 | GTEx | DepMap | Descartes | 0.05 | 1.91 |
SFRP2 | -0.0001740 | 5024 | GTEx | DepMap | Descartes | 0.00 | 0.15 |
COL27A1 | -0.0001798 | 5120 | GTEx | DepMap | Descartes | 0.00 | 0.03 |
ELN | -0.0001798 | 5121 | GTEx | DepMap | Descartes | 0.11 | 3.14 |
ABCA6 | -0.0002086 | 5483 | GTEx | DepMap | Descartes | 0.01 | 0.10 |
ACTA2 | -0.0002169 | 5584 | GTEx | DepMap | Descartes | 0.29 | 16.89 |
ADAMTSL3 | -0.0002199 | 5625 | GTEx | DepMap | Descartes | 0.00 | 0.04 |
POSTN | -0.0002265 | 5718 | GTEx | DepMap | Descartes | 0.01 | 0.24 |
PAMR1 | -0.0002272 | 5735 | GTEx | DepMap | Descartes | 0.00 | 0.13 |
PRRX1 | -0.0002381 | 5878 | GTEx | DepMap | Descartes | 0.01 | 0.15 |
FREM1 | -0.0002438 | 5945 | GTEx | DepMap | Descartes | 0.01 | 0.07 |
MGP | -0.0002615 | 6172 | GTEx | DepMap | Descartes | 0.08 | 4.13 |
OGN | -0.0002828 | 6454 | GTEx | DepMap | Descartes | 0.00 | 0.00 |
LUM | -0.0002858 | 6497 | GTEx | DepMap | Descartes | 0.05 | 2.28 |
ISLR | -0.0002971 | 6632 | GTEx | DepMap | Descartes | 0.00 | 0.03 |
Descartes sympathoblasts markers
Top 50 marker genes of sympathoblasts cells in the Decartes fetal adrenal single cell map (https://atlas.brotmanbaty.org/bbi/human-gene-expression-during-development/cell/sympathoblasts/in/adrenal)
Wilcoxon ranksum test P-value for gene set overrepresentation: 1.00e+00
Mean rank of genes in gene set: 8559.47
Median rank of genes in gene set: 9796.5
Rank on gene expression program of top 30 genes in gene set:
Genes | Weight | Rank | GTEx | DepMap | Descartes | Mean.Counts | Mean.TPM |
---|---|---|---|---|---|---|---|
ARC | 0.0040615 | 34 | GTEx | DepMap | Descartes | 4.41 | 215.30 |
GALNTL6 | 0.0003484 | 1305 | GTEx | DepMap | Descartes | 0.10 | 3.03 |
PENK | 0.0001684 | 1876 | GTEx | DepMap | Descartes | 0.00 | 0.45 |
GRM7 | 0.0001418 | 1983 | GTEx | DepMap | Descartes | 0.02 | 0.83 |
PACRG | 0.0000374 | 2532 | GTEx | DepMap | Descartes | 0.11 | 9.07 |
CCSER1 | -0.0000329 | 3137 | GTEx | DepMap | Descartes | 0.10 | NA |
SLC35F3 | -0.0000774 | 3709 | GTEx | DepMap | Descartes | 0.01 | 0.45 |
CNTN3 | -0.0002145 | 5550 | GTEx | DepMap | Descartes | 0.00 | 0.03 |
CDH18 | -0.0002477 | 6009 | GTEx | DepMap | Descartes | 0.02 | 0.52 |
ST18 | -0.0002679 | 6264 | GTEx | DepMap | Descartes | 0.00 | 0.09 |
CDH12 | -0.0002697 | 6290 | GTEx | DepMap | Descartes | 0.04 | 1.14 |
TBX20 | -0.0003813 | 7627 | GTEx | DepMap | Descartes | 0.00 | 0.09 |
SLC24A2 | -0.0003913 | 7769 | GTEx | DepMap | Descartes | 0.00 | 0.01 |
LAMA3 | -0.0004764 | 8618 | GTEx | DepMap | Descartes | 0.00 | 0.00 |
SORCS3 | -0.0004787 | 8643 | GTEx | DepMap | Descartes | 0.02 | 0.42 |
KSR2 | -0.0005225 | 9020 | GTEx | DepMap | Descartes | 0.07 | 0.54 |
TIAM1 | -0.0005479 | 9229 | GTEx | DepMap | Descartes | 0.24 | 4.10 |
TENM1 | -0.0005939 | 9570 | GTEx | DepMap | Descartes | 0.07 | NA |
SLC18A1 | -0.0006102 | 9705 | GTEx | DepMap | Descartes | 0.08 | 2.56 |
AGBL4 | -0.0006352 | 9888 | GTEx | DepMap | Descartes | 0.02 | 0.63 |
EML6 | -0.0006450 | 9943 | GTEx | DepMap | Descartes | 0.02 | 0.26 |
PCSK2 | -0.0006515 | 9997 | GTEx | DepMap | Descartes | 0.01 | 0.20 |
SPOCK3 | -0.0006894 | 10232 | GTEx | DepMap | Descartes | 0.05 | 2.09 |
DGKK | -0.0007175 | 10401 | GTEx | DepMap | Descartes | 0.01 | 0.12 |
MGAT4C | -0.0008300 | 10943 | GTEx | DepMap | Descartes | 0.13 | 0.56 |
ROBO1 | -0.0009736 | 11424 | GTEx | DepMap | Descartes | 0.14 | 2.22 |
HTATSF1 | -0.0009951 | 11475 | GTEx | DepMap | Descartes | 0.96 | 40.25 |
UNC80 | -0.0010123 | 11531 | GTEx | DepMap | Descartes | 0.16 | 1.39 |
NTNG1 | -0.0010306 | 11589 | GTEx | DepMap | Descartes | 0.22 | 5.55 |
GRID2 | -0.0010594 | 11642 | GTEx | DepMap | Descartes | 0.04 | 0.60 |
Descartes erythroblasts markers
Top 50 marker genes of erythroblasts cells in the Decartes fetal adrenal single cell map (https://atlas.brotmanbaty.org/bbi/human-gene-expression-during-development/cell/erythroblasts/in/adrenal)
Wilcoxon ranksum test P-value for gene set overrepresentation: 7.07e-01
Mean rank of genes in gene set: 6641.41
Median rank of genes in gene set: 6536
Rank on gene expression program of top 30 genes in gene set:
Genes | Weight | Rank | GTEx | DepMap | Descartes | Mean.Counts | Mean.TPM |
---|---|---|---|---|---|---|---|
CAT | 0.0006368 | 787 | GTEx | DepMap | Descartes | 0.45 | 25.65 |
GCLC | 0.0002212 | 1676 | GTEx | DepMap | Descartes | 0.18 | 6.11 |
SLC25A21 | 0.0001313 | 2030 | GTEx | DepMap | Descartes | 0.00 | 0.07 |
ABCB10 | 0.0000670 | 2355 | GTEx | DepMap | Descartes | 0.10 | 2.96 |
TFR2 | -0.0000037 | 2841 | GTEx | DepMap | Descartes | 0.15 | 5.80 |
SLC25A37 | -0.0000186 | 2967 | GTEx | DepMap | Descartes | 0.58 | 14.13 |
SPECC1 | -0.0000260 | 3054 | GTEx | DepMap | Descartes | 0.11 | 1.72 |
RHD | -0.0000312 | 3114 | GTEx | DepMap | Descartes | 0.00 | 0.04 |
ALAS2 | -0.0001021 | 4032 | GTEx | DepMap | Descartes | 0.00 | 0.00 |
RGS6 | -0.0001032 | 4050 | GTEx | DepMap | Descartes | 0.00 | 0.00 |
SLC4A1 | -0.0001136 | 4214 | GTEx | DepMap | Descartes | 0.00 | 0.04 |
CPOX | -0.0001599 | 4843 | GTEx | DepMap | Descartes | 0.06 | 2.62 |
SELENBP1 | -0.0001652 | 4905 | GTEx | DepMap | Descartes | 0.00 | 0.07 |
SPTB | -0.0002508 | 6055 | GTEx | DepMap | Descartes | 0.08 | 0.98 |
MICAL2 | -0.0002885 | 6536 | GTEx | DepMap | Descartes | 0.01 | 0.23 |
TMCC2 | -0.0003455 | 7211 | GTEx | DepMap | Descartes | 0.06 | 2.00 |
BLVRB | -0.0004527 | 8402 | GTEx | DepMap | Descartes | 0.14 | 11.55 |
XPO7 | -0.0005044 | 8885 | GTEx | DepMap | Descartes | 0.24 | 6.08 |
MARCH3 | -0.0005056 | 8892 | GTEx | DepMap | Descartes | 0.02 | NA |
DENND4A | -0.0005639 | 9371 | GTEx | DepMap | Descartes | 0.23 | 3.42 |
TRAK2 | -0.0006275 | 9839 | GTEx | DepMap | Descartes | 0.09 | 1.68 |
SOX6 | -0.0006283 | 9847 | GTEx | DepMap | Descartes | 0.04 | 0.58 |
FECH | -0.0007020 | 10299 | GTEx | DepMap | Descartes | 0.06 | 0.89 |
SNCA | -0.0007561 | 10607 | GTEx | DepMap | Descartes | 0.27 | 10.75 |
ANK1 | -0.0007831 | 10737 | GTEx | DepMap | Descartes | 0.05 | 0.58 |
TSPAN5 | -0.0007919 | 10763 | GTEx | DepMap | Descartes | 0.73 | 22.10 |
RAPGEF2 | -0.0008891 | 11163 | GTEx | DepMap | Descartes | 0.22 | 3.37 |
GYPC | -0.0010062 | 11509 | GTEx | DepMap | Descartes | 0.10 | 5.48 |
EPB41 | -0.0010460 | 11617 | GTEx | DepMap | Descartes | 0.44 | 8.41 |
NA | NA | NA | NA | NA | NA | NA | NA |
Descartes myeloid markers
Top 50 marker genes of myeloid cells in the Decartes fetal adrenal single cell map (https://atlas.brotmanbaty.org/bbi/human-gene-expression-during-development/cell/myeloid/in/adrenal)
Wilcoxon ranksum test P-value for gene set overrepresentation: 9.98e-01
Mean rank of genes in gene set: 7976.58
Median rank of genes in gene set: 8376
Rank on gene expression program of top 30 genes in gene set:
Genes | Weight | Rank | GTEx | DepMap | Descartes | Mean.Counts | Mean.TPM |
---|---|---|---|---|---|---|---|
ITPR2 | 0.0003097 | 1414 | GTEx | DepMap | Descartes | 0.28 | 3.01 |
CD163L1 | 0.0000968 | 2208 | GTEx | DepMap | Descartes | 0.40 | 11.21 |
RBPJ | -0.0001530 | 4758 | GTEx | DepMap | Descartes | 1.46 | 31.21 |
TGFBI | -0.0002262 | 5714 | GTEx | DepMap | Descartes | 0.37 | 11.20 |
FGD2 | -0.0002639 | 6199 | GTEx | DepMap | Descartes | 0.00 | 0.05 |
ATP8B4 | -0.0002809 | 6428 | GTEx | DepMap | Descartes | 0.00 | 0.03 |
SFMBT2 | -0.0002950 | 6609 | GTEx | DepMap | Descartes | 0.05 | 0.76 |
CPVL | -0.0003227 | 6942 | GTEx | DepMap | Descartes | 0.07 | 2.61 |
SLC9A9 | -0.0003303 | 7023 | GTEx | DepMap | Descartes | 0.01 | 0.23 |
MERTK | -0.0003481 | 7231 | GTEx | DepMap | Descartes | 0.00 | 0.05 |
SPP1 | -0.0003865 | 7694 | GTEx | DepMap | Descartes | 0.44 | 33.70 |
HCK | -0.0003878 | 7712 | GTEx | DepMap | Descartes | 0.01 | 0.29 |
WWP1 | -0.0003906 | 7756 | GTEx | DepMap | Descartes | 0.10 | 2.66 |
SLC1A3 | -0.0004045 | 7907 | GTEx | DepMap | Descartes | 0.00 | 0.05 |
CD163 | -0.0004053 | 7918 | GTEx | DepMap | Descartes | 0.01 | 0.16 |
MARCH1 | -0.0004281 | 8157 | GTEx | DepMap | Descartes | 0.05 | NA |
HRH1 | -0.0004391 | 8264 | GTEx | DepMap | Descartes | 0.00 | 0.18 |
IFNGR1 | -0.0004426 | 8304 | GTEx | DepMap | Descartes | 0.36 | 18.84 |
ABCA1 | -0.0004439 | 8315 | GTEx | DepMap | Descartes | 0.05 | 0.65 |
CSF1R | -0.0004567 | 8437 | GTEx | DepMap | Descartes | 0.00 | 0.08 |
SLCO2B1 | -0.0004603 | 8471 | GTEx | DepMap | Descartes | 0.01 | 0.14 |
RGL1 | -0.0004605 | 8473 | GTEx | DepMap | Descartes | 0.02 | 0.49 |
MSR1 | -0.0004616 | 8482 | GTEx | DepMap | Descartes | 0.03 | 0.90 |
MS4A4A | -0.0004679 | 8526 | GTEx | DepMap | Descartes | 0.02 | 1.08 |
AXL | -0.0004747 | 8595 | GTEx | DepMap | Descartes | 0.01 | 0.21 |
CYBB | -0.0004804 | 8655 | GTEx | DepMap | Descartes | 0.01 | 0.37 |
ADAP2 | -0.0004886 | 8738 | GTEx | DepMap | Descartes | 0.02 | 0.48 |
FGL2 | -0.0004975 | 8822 | GTEx | DepMap | Descartes | 0.03 | 0.41 |
CD14 | -0.0005007 | 8858 | GTEx | DepMap | Descartes | 0.07 | 3.75 |
LGMN | -0.0005556 | 9303 | GTEx | DepMap | Descartes | 0.26 | 13.69 |
Descartes Schwann markers
Top 50 marker genes of Schwann cells in the Decartes fetal adrenal single cell map (https://atlas.brotmanbaty.org/bbi/human-gene-expression-during-development/cell/schwann/in/adrenal)
Wilcoxon ranksum test P-value for gene set overrepresentation: 9.04e-01
Mean rank of genes in gene set: 6987.45
Median rank of genes in gene set: 7025.5
Rank on gene expression program of top 30 genes in gene set:
Genes | Weight | Rank | GTEx | DepMap | Descartes | Mean.Counts | Mean.TPM |
---|---|---|---|---|---|---|---|
PMP22 | 0.0007263 | 679 | GTEx | DepMap | Descartes | 2.00 | 152.25 |
PPP2R2B | 0.0006348 | 794 | GTEx | DepMap | Descartes | 0.92 | 11.39 |
VCAN | 0.0002851 | 1480 | GTEx | DepMap | Descartes | 1.15 | 12.13 |
GFRA3 | 0.0002025 | 1742 | GTEx | DepMap | Descartes | 0.71 | 45.15 |
LAMB1 | 0.0001598 | 1909 | GTEx | DepMap | Descartes | 0.40 | 8.79 |
SLC35F1 | 0.0000859 | 2265 | GTEx | DepMap | Descartes | 0.12 | 2.77 |
GAS7 | 0.0000364 | 2537 | GTEx | DepMap | Descartes | 0.05 | 0.79 |
IL1RAPL2 | 0.0000037 | 2782 | GTEx | DepMap | Descartes | 0.00 | 0.00 |
TRPM3 | -0.0000387 | 3205 | GTEx | DepMap | Descartes | 0.01 | 0.14 |
MDGA2 | -0.0001095 | 4143 | GTEx | DepMap | Descartes | 0.00 | 0.02 |
HMGA2 | -0.0001164 | 4263 | GTEx | DepMap | Descartes | 0.00 | 0.01 |
PTPRZ1 | -0.0001386 | 4570 | GTEx | DepMap | Descartes | 0.00 | 0.00 |
IL1RAPL1 | -0.0001523 | 4747 | GTEx | DepMap | Descartes | 0.01 | 0.67 |
LRRTM4 | -0.0001855 | 5204 | GTEx | DepMap | Descartes | 0.02 | 1.00 |
ADAMTS5 | -0.0002104 | 5506 | GTEx | DepMap | Descartes | 0.01 | 0.21 |
PLP1 | -0.0002271 | 5733 | GTEx | DepMap | Descartes | 0.00 | 0.16 |
MPZ | -0.0002273 | 5738 | GTEx | DepMap | Descartes | 0.02 | 1.21 |
OLFML2A | -0.0002476 | 6008 | GTEx | DepMap | Descartes | 0.00 | 0.07 |
STARD13 | -0.0002481 | 6016 | GTEx | DepMap | Descartes | 0.02 | 0.42 |
EDNRB | -0.0002529 | 6075 | GTEx | DepMap | Descartes | 0.01 | 0.12 |
ERBB3 | -0.0002855 | 6492 | GTEx | DepMap | Descartes | 0.00 | 0.07 |
PLCE1 | -0.0003286 | 7004 | GTEx | DepMap | Descartes | 0.10 | 1.07 |
SORCS1 | -0.0003327 | 7047 | GTEx | DepMap | Descartes | 0.10 | 1.77 |
COL5A2 | -0.0003332 | 7057 | GTEx | DepMap | Descartes | 0.03 | 0.55 |
NRXN3 | -0.0003407 | 7157 | GTEx | DepMap | Descartes | 0.01 | 0.11 |
NRXN1 | -0.0003655 | 7441 | GTEx | DepMap | Descartes | 1.72 | 23.92 |
COL25A1 | -0.0003709 | 7501 | GTEx | DepMap | Descartes | 0.08 | 1.09 |
LAMC1 | -0.0003864 | 7690 | GTEx | DepMap | Descartes | 0.05 | 0.71 |
XKR4 | -0.0004580 | 8448 | GTEx | DepMap | Descartes | 0.01 | 0.03 |
COL18A1 | -0.0004673 | 8521 | GTEx | DepMap | Descartes | 0.05 | 0.66 |
Descartes Megakaryocytes markers
Top 50 marker genes of Megakaryocytes cells in the Decartes fetal adrenal single cell map (https://atlas.brotmanbaty.org/bbi/human-gene-expression-during-development/cell/megakaryocytes/in/adrenal)
Wilcoxon ranksum test P-value for gene set overrepresentation: 9.91e-01
Mean rank of genes in gene set: 7556.89
Median rank of genes in gene set: 7890
Rank on gene expression program of top 30 genes in gene set:
Genes | Weight | Rank | GTEx | DepMap | Descartes | Mean.Counts | Mean.TPM |
---|---|---|---|---|---|---|---|
TPM4 | 0.0002614 | 1550 | GTEx | DepMap | Descartes | 2.32 | 60.02 |
MCTP1 | 0.0002099 | 1712 | GTEx | DepMap | Descartes | 0.05 | 1.16 |
ITGB3 | 0.0000631 | 2375 | GTEx | DepMap | Descartes | 0.00 | 0.03 |
VCL | -0.0000314 | 3118 | GTEx | DepMap | Descartes | 0.20 | 3.34 |
STOM | -0.0000719 | 3645 | GTEx | DepMap | Descartes | 0.23 | 8.96 |
GP1BA | -0.0000721 | 3646 | GTEx | DepMap | Descartes | 0.00 | 0.04 |
MED12L | -0.0000951 | 3947 | GTEx | DepMap | Descartes | 0.06 | 0.64 |
TRPC6 | -0.0001048 | 4073 | GTEx | DepMap | Descartes | 0.00 | 0.04 |
MMRN1 | -0.0001109 | 4168 | GTEx | DepMap | Descartes | 0.00 | 0.01 |
TUBB1 | -0.0001191 | 4305 | GTEx | DepMap | Descartes | 0.00 | 0.10 |
ZYX | -0.0001198 | 4313 | GTEx | DepMap | Descartes | 0.36 | 21.66 |
SLC24A3 | -0.0001205 | 4322 | GTEx | DepMap | Descartes | 0.00 | 0.18 |
LTBP1 | -0.0001420 | 4615 | GTEx | DepMap | Descartes | 0.02 | 0.31 |
ARHGAP6 | -0.0001761 | 5054 | GTEx | DepMap | Descartes | 0.00 | 0.00 |
P2RX1 | -0.0001808 | 5137 | GTEx | DepMap | Descartes | 0.00 | 0.01 |
PDE3A | -0.0001909 | 5281 | GTEx | DepMap | Descartes | 0.10 | 1.90 |
PSTPIP2 | -0.0002879 | 6527 | GTEx | DepMap | Descartes | 0.01 | 0.27 |
MYLK | -0.0002932 | 6585 | GTEx | DepMap | Descartes | 0.02 | 0.21 |
INPP4B | -0.0002955 | 6616 | GTEx | DepMap | Descartes | 0.06 | 0.84 |
ITGA2B | -0.0003339 | 7067 | GTEx | DepMap | Descartes | 0.02 | 0.76 |
THBS1 | -0.0003904 | 7752 | GTEx | DepMap | Descartes | 0.01 | 0.23 |
FLI1 | -0.0004016 | 7875 | GTEx | DepMap | Descartes | 0.00 | 0.09 |
ANGPT1 | -0.0004031 | 7890 | GTEx | DepMap | Descartes | 0.04 | 0.97 |
DOK6 | -0.0004470 | 8348 | GTEx | DepMap | Descartes | 0.16 | 2.16 |
SPN | -0.0004678 | 8523 | GTEx | DepMap | Descartes | 0.01 | 0.13 |
GSN | -0.0004733 | 8580 | GTEx | DepMap | Descartes | 0.07 | 1.05 |
UBASH3B | -0.0004827 | 8685 | GTEx | DepMap | Descartes | 0.01 | 0.11 |
CD84 | -0.0004928 | 8776 | GTEx | DepMap | Descartes | 0.01 | 0.12 |
RAB27B | -0.0004937 | 8781 | GTEx | DepMap | Descartes | 0.02 | 0.37 |
PLEK | -0.0005024 | 8871 | GTEx | DepMap | Descartes | 0.02 | 0.88 |
Descartes Lyphoid markers
Top 50 marker genes of Lyphoid cells in the Decartes fetal adrenal single cell map (https://atlas.brotmanbaty.org/bbi/human-gene-expression-during-development/cell/lymphoid/in/adrenal)
Wilcoxon ranksum test P-value for gene set overrepresentation: 1.00e+00
Mean rank of genes in gene set: 9477.02
Median rank of genes in gene set: 9890
Rank on gene expression program of top 30 genes in gene set:
Genes | Weight | Rank | GTEx | DepMap | Descartes | Mean.Counts | Mean.TPM |
---|---|---|---|---|---|---|---|
EVL | 0.0002074 | 1721 | GTEx | DepMap | Descartes | 3.33 | 114.80 |
TOX | 0.0001795 | 1833 | GTEx | DepMap | Descartes | 0.75 | 23.49 |
ARID5B | -0.0000159 | 2945 | GTEx | DepMap | Descartes | 0.42 | 7.32 |
NCALD | -0.0002451 | 5964 | GTEx | DepMap | Descartes | 0.15 | 5.22 |
PDE3B | -0.0003494 | 7253 | GTEx | DepMap | Descartes | 0.20 | 4.15 |
ITPKB | -0.0003537 | 7305 | GTEx | DepMap | Descartes | 0.01 | 0.16 |
BACH2 | -0.0003598 | 7369 | GTEx | DepMap | Descartes | 0.24 | 3.34 |
SAMD3 | -0.0003972 | 7827 | GTEx | DepMap | Descartes | 0.00 | 0.11 |
MCTP2 | -0.0004065 | 7931 | GTEx | DepMap | Descartes | 0.02 | 0.26 |
PLEKHA2 | -0.0004262 | 8134 | GTEx | DepMap | Descartes | 0.03 | 0.60 |
STK39 | -0.0004399 | 8274 | GTEx | DepMap | Descartes | 0.49 | 18.65 |
ABLIM1 | -0.0004569 | 8439 | GTEx | DepMap | Descartes | 0.30 | 4.76 |
PITPNC1 | -0.0004587 | 8454 | GTEx | DepMap | Descartes | 0.28 | 5.31 |
PRKCH | -0.0004673 | 8520 | GTEx | DepMap | Descartes | 0.02 | 0.68 |
CCL5 | -0.0004798 | 8651 | GTEx | DepMap | Descartes | 0.08 | 8.37 |
RCSD1 | -0.0005146 | 8966 | GTEx | DepMap | Descartes | 0.01 | 0.14 |
SKAP1 | -0.0005236 | 9033 | GTEx | DepMap | Descartes | 0.01 | 0.75 |
ARHGAP15 | -0.0005907 | 9545 | GTEx | DepMap | Descartes | 0.02 | 0.65 |
LEF1 | -0.0006013 | 9639 | GTEx | DepMap | Descartes | 0.02 | 0.41 |
MBNL1 | -0.0006097 | 9698 | GTEx | DepMap | Descartes | 0.32 | 6.21 |
IKZF1 | -0.0006147 | 9749 | GTEx | DepMap | Descartes | 0.01 | 0.25 |
ANKRD44 | -0.0006584 | 10031 | GTEx | DepMap | Descartes | 0.12 | 2.23 |
ETS1 | -0.0006762 | 10150 | GTEx | DepMap | Descartes | 0.03 | 0.52 |
SCML4 | -0.0006785 | 10167 | GTEx | DepMap | Descartes | 0.05 | 1.29 |
SP100 | -0.0007201 | 10418 | GTEx | DepMap | Descartes | 0.03 | 0.61 |
DOCK10 | -0.0007828 | 10735 | GTEx | DepMap | Descartes | 0.04 | 0.64 |
CCND3 | -0.0007839 | 10739 | GTEx | DepMap | Descartes | 0.22 | 10.45 |
PTPRC | -0.0008463 | 11008 | GTEx | DepMap | Descartes | 0.07 | 1.48 |
WIPF1 | -0.0008866 | 11153 | GTEx | DepMap | Descartes | 0.05 | 1.18 |
RAP1GAP2 | -0.0008875 | 11155 | GTEx | DepMap | Descartes | 0.20 | 3.43 |
Below shows the ranks on this GEP for immune marker gene lists curated by CellTypist (https://www.celltypist.org/encyclopedia).
High ranks indicate this gene is a driver of this GEP.
These curated gene list are ranked by P-value (on this GEP) of their constituent genes.
The Mean Count column shows the mean read count in cells scoring highly (H > 50) on this gene expression program.
Genes | Weight | Rank | GTEx | DepMap | Decartes | Mean.Counts | Mean.TPM |
---|---|---|---|---|---|---|---|
GRIN1 | 0.0013673 | 307 | GTEx | DepMap | Descartes | 0.8 | 23.21 |
CD207 | 0.0000249 | 2613 | GTEx | DepMap | Descartes | 0.0 | 0.15 |
RGS13 | -0.0001765 | 5063 | GTEx | DepMap | Descartes | 0.0 | 0.06 |
HSC/MPP: Megakaryocyte-erythroid-mast cell progenitor (model markers)
shared progenitors in the fetal liver which originate from common myeloid progenitors and differentiate into megakaryocytes:
Wilcoxon ranksum test P-value for gene set overrepresentation: 5.36e-02
Mean rank of genes in gene set: 439
Rank on gene expression program of genes in gene set:
Genes | Weight | Rank | GTEx | DepMap | Decartes | Mean.Counts | Mean.TPM |
---|---|---|---|---|---|---|---|
CKB | 0.001054 | 439 | GTEx | DepMap | Descartes | 12.06 | 1039.07 |
Erythroid: Late erythroid (model markers)
late erythroid cells following early and middle erythroid cells:
Wilcoxon ranksum test P-value for gene set overrepresentation: 6.36e-02
Mean rank of genes in gene set: 2367
Rank on gene expression program of genes in gene set:
Genes | Weight | Rank | GTEx | DepMap | Decartes | Mean.Counts | Mean.TPM |
---|---|---|---|---|---|---|---|
SLC12A3 | 0.0001118 | 2121 | GTEx | DepMap | Descartes | 0 | 0.03 |
CD207 | 0.0000249 | 2613 | GTEx | DepMap | Descartes | 0 | 0.15 |