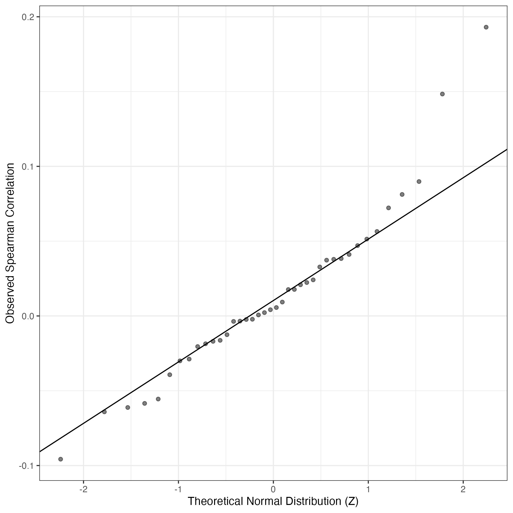
QQ-plot of gene loadings, averaged over both independent splits of the data
This plot highlights the relative contribution of each gene to the GEP
Top genes driving this program.
Note: Decartes website is buggy, try refreshing. Also, Decartes fetal adrenal data have been collected at specific time points (89-122 days), all possible cell types of interest may not be represented, do not overinterpret.
The Mean Count column shows the mean read count in cells scoring highly (H > 50) on this gene expression program.
Gene | Loading | Gene.Name | GTEx | DepMap | Descartes | Mean.Counts | Mean.Tpm | |
---|---|---|---|---|---|---|---|---|
1 | ADA | 0.0193366 | adenosine deaminase | GTEx | DepMap | Descartes | 2.75 | 511.28 |
2 | VIPR2 | 0.0143528 | vasoactive intestinal peptide receptor 2 | GTEx | DepMap | Descartes | 0.87 | 79.27 |
3 | ARPP21 | 0.0133875 | cAMP regulated phosphoprotein 21 | GTEx | DepMap | Descartes | 1.87 | 333.09 |
4 | MZB1 | 0.0132781 | marginal zone B and B1 cell specific protein | GTEx | DepMap | Descartes | 4.46 | NA |
5 | SH3TC1 | 0.0127439 | SH3 domain and tetratricopeptide repeats 1 | GTEx | DepMap | Descartes | 1.50 | 138.20 |
6 | TFDP2 | 0.0121330 | transcription factor Dp-2 | GTEx | DepMap | Descartes | 3.21 | 132.13 |
7 | GAS2 | 0.0110704 | growth arrest specific 2 | GTEx | DepMap | Descartes | 0.40 | 30.20 |
8 | CD3G | 0.0105136 | CD3 gamma subunit of T-cell receptor complex | GTEx | DepMap | Descartes | 3.03 | 539.80 |
9 | TSHR | 0.0105029 | thyroid stimulating hormone receptor | GTEx | DepMap | Descartes | 0.26 | 24.71 |
10 | CAPSL | 0.0092156 | calcyphosine like | GTEx | DepMap | Descartes | 0.08 | 46.05 |
11 | NUCB2 | 0.0091990 | nucleobindin 2 | GTEx | DepMap | Descartes | 3.55 | 346.24 |
12 | PTP4A2 | 0.0086629 | protein tyrosine phosphatase 4A2 | GTEx | DepMap | Descartes | 3.63 | 313.09 |
13 | SMPD3 | 0.0086371 | sphingomyelin phosphodiesterase 3 | GTEx | DepMap | Descartes | 1.20 | 92.96 |
14 | SCGB3A1 | 0.0083062 | secretoglobin family 3A member 1 | GTEx | DepMap | Descartes | 0.32 | 99.26 |
15 | RAG2 | 0.0078690 | recombination activating 2 | GTEx | DepMap | Descartes | 0.17 | 39.93 |
16 | SOCS1 | 0.0067487 | suppressor of cytokine signaling 1 | GTEx | DepMap | Descartes | 2.02 | 403.20 |
17 | GNA15 | 0.0067070 | G protein subunit alpha 15 | GTEx | DepMap | Descartes | 0.65 | 89.15 |
18 | PITPNM2 | 0.0064879 | phosphatidylinositol transfer protein membrane associated 2 | GTEx | DepMap | Descartes | 0.43 | 34.58 |
19 | ABHD12B | 0.0064158 | abhydrolase domain containing 12B | GTEx | DepMap | Descartes | 0.03 | 3.32 |
20 | AQP3 | 0.0059735 | aquaporin 3 (Gill blood group) | GTEx | DepMap | Descartes | 0.66 | 133.78 |
21 | PON1 | 0.0058962 | paraoxonase 1 | GTEx | DepMap | Descartes | 0.09 | 20.39 |
22 | ITPR2 | 0.0058288 | inositol 1,4,5-trisphosphate receptor type 2 | GTEx | DepMap | Descartes | 0.77 | 26.45 |
23 | RDH10 | 0.0057084 | retinol dehydrogenase 10 | GTEx | DepMap | Descartes | 0.32 | 23.75 |
24 | LEF1 | 0.0053233 | lymphoid enhancer binding factor 1 | GTEx | DepMap | Descartes | 1.17 | 139.47 |
25 | GXYLT2 | 0.0053111 | glucoside xylosyltransferase 2 | GTEx | DepMap | Descartes | 0.09 | 4.49 |
26 | DDIT4 | 0.0051747 | DNA damage inducible transcript 4 | GTEx | DepMap | Descartes | 3.10 | 700.82 |
27 | LDLRAD4 | 0.0051733 | low density lipoprotein receptor class A domain containing 4 | GTEx | DepMap | Descartes | 1.39 | NA |
28 | UGP2 | 0.0051224 | UDP-glucose pyrophosphorylase 2 | GTEx | DepMap | Descartes | 1.48 | 115.39 |
29 | RASSF6 | 0.0050754 | Ras association domain family member 6 | GTEx | DepMap | Descartes | 0.14 | 19.85 |
30 | TCF7 | 0.0049876 | transcription factor 7 | GTEx | DepMap | Descartes | 1.01 | 68.86 |
31 | ELOVL4 | 0.0049268 | ELOVL fatty acid elongase 4 | GTEx | DepMap | Descartes | 0.59 | 111.69 |
32 | ID1 | 0.0047749 | inhibitor of DNA binding 1, HLH protein | GTEx | DepMap | Descartes | 1.82 | 360.70 |
33 | GALNT2 | 0.0046952 | polypeptide N-acetylgalactosaminyltransferase 2 | GTEx | DepMap | Descartes | 0.68 | 58.01 |
34 | SIVA1 | 0.0045279 | SIVA1 apoptosis inducing factor | GTEx | DepMap | Descartes | 2.95 | 194.76 |
35 | SLC25A5 | 0.0044333 | solute carrier family 25 member 5 | GTEx | DepMap | Descartes | 5.64 | 1193.25 |
36 | HRH2 | 0.0043689 | histamine receptor H2 | GTEx | DepMap | Descartes | 0.25 | 15.91 |
37 | LCT | 0.0042611 | lactase | GTEx | DepMap | Descartes | 0.05 | 2.60 |
38 | DGKA | 0.0042268 | diacylglycerol kinase alpha | GTEx | DepMap | Descartes | 0.44 | 37.75 |
39 | CEP70 | 0.0040812 | centrosomal protein 70 | GTEx | DepMap | Descartes | 0.52 | 62.82 |
40 | LRMP | 0.0040125 | NA | GTEx | DepMap | Descartes | 0.36 | 40.57 |
41 | PFKFB2 | 0.0039705 | 6-phosphofructo-2-kinase/fructose-2,6-biphosphatase 2 | GTEx | DepMap | Descartes | 0.11 | 12.99 |
42 | RNASEH2B | 0.0038611 | ribonuclease H2 subunit B | GTEx | DepMap | Descartes | 1.90 | 72.77 |
43 | HIST1H1B | 0.0038592 | NA | GTEx | DepMap | Descartes | 0.98 | NA |
44 | PRMT7 | 0.0037748 | protein arginine methyltransferase 7 | GTEx | DepMap | Descartes | 0.54 | 36.51 |
45 | GALNT7 | 0.0037356 | polypeptide N-acetylgalactosaminyltransferase 7 | GTEx | DepMap | Descartes | 0.27 | 33.38 |
46 | RAB11FIP1 | 0.0037002 | RAB11 family interacting protein 1 | GTEx | DepMap | Descartes | 0.70 | 28.45 |
47 | PAFAH2 | 0.0036589 | platelet activating factor acetylhydrolase 2 | GTEx | DepMap | Descartes | 0.19 | 29.72 |
48 | TASP1 | 0.0035636 | taspase 1 | GTEx | DepMap | Descartes | 0.36 | 58.33 |
49 | PCGF5 | 0.0035118 | polycomb group ring finger 5 | GTEx | DepMap | Descartes | 0.59 | 27.46 |
50 | P2RX1 | 0.0034979 | purinergic receptor P2X 1 | GTEx | DepMap | Descartes | 0.17 | 30.21 |
UMAP plots showing activity of gene expression program identified in GEP 23. Pro-B Cell:
CNV Data procured from inferCNV.
Outer tracks are putative CNV regions (gains = red, losses = blue) for each patient
Inner track is expression data representing:
The top cells expressing this GEP (purple)
Random cells (n =50) from the reference set used in inferCNV (orange)
Gene set Enrichments for this program, caculated from top 50 genes
mSigDB Cell Types Gene Set:
P-value | OR | Lower 95% CI | FDR | FWER | Genes Found | Gene Set Size | |
---|---|---|---|---|---|---|---|
DESCARTES_MAIN_FETAL_THYMOCYTES | 2.67e-14 | 36.51 | 16.89 | 1.79e-11 | 1.79e-11 | 12MZB1, TFDP2, CD3G, TSHR, RAG2, PITPNM2, LEF1, LDLRAD4, TCF7, ELOVL4, DGKA, RNASEH2B |
120 |
DESCARTES_FETAL_LUNG_LYMPHOID_CELLS | 3.28e-05 | 11.28 | 3.87 | 1.10e-02 | 2.20e-02 | 6MZB1, CD3G, RAG2, LEF1, TCF7, DGKA |
157 |
DESCARTES_FETAL_KIDNEY_LYMPHOID_CELLS | 1.49e-04 | 8.48 | 2.92 | 3.33e-02 | 9.99e-02 | 6ADA, ARPP21, CD3G, RAG2, TCF7, DGKA |
207 |
DESCARTES_FETAL_PANCREAS_LYMPHOID_CELLS | 4.46e-04 | 8.73 | 2.67 | 7.47e-02 | 2.99e-01 | 5CD3G, RAG2, LEF1, TCF7, DGKA |
164 |
DESCARTES_FETAL_LIVER_LYMPHOID_CELLS | 1.46e-03 | 8.98 | 2.31 | 1.64e-01 | 9.81e-01 | 4ARPP21, CD3G, RAG2, LEF1 |
125 |
DURANTE_ADULT_OLFACTORY_NEUROEPITHELIUM_RESPIRATORY_COLUMNAR_CELLS | 5.48e-03 | 20.00 | 2.24 | 2.30e-01 | 1.00e+00 | 2AQP3, SLC25A5 |
28 |
TRAVAGLINI_LUNG_CD4_NAIVE_T_CELL | 1.78e-03 | 8.49 | 2.19 | 1.71e-01 | 1.00e+00 | 4AQP3, LEF1, TCF7, DGKA |
132 |
HAY_BONE_MARROW_PRO_B | 1.10e-03 | 5.72 | 1.98 | 1.48e-01 | 7.40e-01 | 6TFDP2, UGP2, SIVA1, SLC25A5, CEP70, RNASEH2B |
304 |
DESCARTES_FETAL_STOMACH_LYMPHOID_CELLS | 4.15e-03 | 10.09 | 1.97 | 2.30e-01 | 1.00e+00 | 3CD3G, LEF1, TCF7 |
82 |
TRAVAGLINI_LUNG_GOBLET_CELL | 2.69e-03 | 7.55 | 1.95 | 2.26e-01 | 1.00e+00 | 4NUCB2, GNA15, RDH10, UGP2 |
148 |
DURANTE_ADULT_OLFACTORY_NEUROEPITHELIUM_RESPIRATORY_HORIZONTAL_BASAL_CELLS | 7.55e-03 | 16.78 | 1.89 | 2.67e-01 | 1.00e+00 | 2AQP3, SLC25A5 |
33 |
FAN_EMBRYONIC_CTX_BRAIN_NAIVE_LIKE_T_CELL | 3.40e-03 | 7.06 | 1.82 | 2.30e-01 | 1.00e+00 | 4CD3G, LEF1, TCF7, DGKA |
158 |
AIZARANI_LIVER_C8_RESIDENT_B_CELLS_1 | 8.47e-03 | 15.77 | 1.78 | 2.84e-01 | 1.00e+00 | 2MZB1, NUCB2 |
35 |
DESCARTES_FETAL_ADRENAL_LYMPHOID_CELLS | 3.79e-03 | 6.83 | 1.77 | 2.30e-01 | 1.00e+00 | 4ARPP21, MZB1, CD3G, TCF7 |
163 |
ZHENG_CORD_BLOOD_C8_PUTATIVE_LYMPHOID_PRIMED_MULTIPOTENT_PROGENITOR_2 | 6.61e-03 | 8.48 | 1.66 | 2.46e-01 | 1.00e+00 | 3ADA, MZB1, NUCB2 |
97 |
ZHENG_CORD_BLOOD_C10_MULTILYMPHOID_PROGENITOR | 6.61e-03 | 8.48 | 1.66 | 2.46e-01 | 1.00e+00 | 3ADA, MZB1, SH3TC1 |
97 |
BUSSLINGER_DUODENAL_LATE_IMMATURE_ENTEROCYTES | 5.06e-03 | 6.28 | 1.62 | 2.30e-01 | 1.00e+00 | 4ADA, SMPD3, SLC25A5, LCT |
177 |
HAY_BONE_MARROW_NAIVE_T_CELL | 4.37e-03 | 4.29 | 1.49 | 2.30e-01 | 1.00e+00 | 6CD3G, SOCS1, AQP3, LEF1, TCF7, DGKA |
403 |
TRAVAGLINI_LUNG_PLASMACYTOID_DENDRITIC_CELL | 9.53e-03 | 7.39 | 1.45 | 3.05e-01 | 1.00e+00 | 3MZB1, SMPD3, PFKFB2 |
111 |
FAN_OVARY_CL18_B_LYMPHOCYTE | 5.42e-03 | 4.10 | 1.42 | 2.30e-01 | 1.00e+00 | 6MZB1, SH3TC1, PTP4A2, GNA15, LDLRAD4, SIVA1 |
422 |
Dowload full table
mSigDB Hallmark Gene Sets:
P-value | OR | Lower 95% CI | FDR | FWER | Genes Found | Gene Set Size | |
---|---|---|---|---|---|---|---|
HALLMARK_WNT_BETA_CATENIN_SIGNALING | 1.20e-02 | 13.01 | 1.48 | 3.01e-01 | 6.01e-01 | 2LEF1, TCF7 |
42 |
HALLMARK_P53_PATHWAY | 7.71e-03 | 5.55 | 1.44 | 3.01e-01 | 3.85e-01 | 4ADA, SOCS1, DDIT4, DGKA |
200 |
HALLMARK_GLYCOLYSIS | 4.35e-02 | 4.05 | 0.80 | 7.25e-01 | 1.00e+00 | 3DDIT4, UGP2, LCT |
200 |
HALLMARK_APOPTOSIS | 1.32e-01 | 3.28 | 0.38 | 1.00e+00 | 1.00e+00 | 2GNA15, LEF1 |
161 |
HALLMARK_HYPOXIA | 1.85e-01 | 2.63 | 0.31 | 1.00e+00 | 1.00e+00 | 2DDIT4, UGP2 |
200 |
HALLMARK_HEME_METABOLISM | 1.85e-01 | 2.63 | 0.31 | 1.00e+00 | 1.00e+00 | 2TFDP2, AQP3 |
200 |
HALLMARK_ALLOGRAFT_REJECTION | 1.85e-01 | 2.63 | 0.31 | 1.00e+00 | 1.00e+00 | 2CD3G, SOCS1 |
200 |
HALLMARK_TGF_BETA_SIGNALING | 1.94e-01 | 4.81 | 0.12 | 1.00e+00 | 1.00e+00 | 1ID1 |
54 |
HALLMARK_IL6_JAK_STAT3_SIGNALING | 2.93e-01 | 2.97 | 0.07 | 1.00e+00 | 1.00e+00 | 1SOCS1 |
87 |
HALLMARK_PI3K_AKT_MTOR_SIGNALING | 3.41e-01 | 2.45 | 0.06 | 1.00e+00 | 1.00e+00 | 1ITPR2 |
105 |
HALLMARK_UNFOLDED_PROTEIN_RESPONSE | 3.62e-01 | 2.28 | 0.06 | 1.00e+00 | 1.00e+00 | 1DDIT4 |
113 |
HALLMARK_UV_RESPONSE_DN | 4.35e-01 | 1.78 | 0.04 | 1.00e+00 | 1.00e+00 | 1ID1 |
144 |
HALLMARK_DNA_REPAIR | 4.49e-01 | 1.71 | 0.04 | 1.00e+00 | 1.00e+00 | 1ADA |
150 |
HALLMARK_UV_RESPONSE_UP | 4.66e-01 | 1.62 | 0.04 | 1.00e+00 | 1.00e+00 | 1AQP3 |
158 |
HALLMARK_MITOTIC_SPINDLE | 5.45e-01 | 1.29 | 0.03 | 1.00e+00 | 1.00e+00 | 1PCGF5 |
199 |
HALLMARK_IL2_STAT5_SIGNALING | 5.45e-01 | 1.29 | 0.03 | 1.00e+00 | 1.00e+00 | 1SOCS1 |
199 |
HALLMARK_ESTROGEN_RESPONSE_EARLY | 5.47e-01 | 1.28 | 0.03 | 1.00e+00 | 1.00e+00 | 1AQP3 |
200 |
HALLMARK_INTERFERON_GAMMA_RESPONSE | 5.47e-01 | 1.28 | 0.03 | 1.00e+00 | 1.00e+00 | 1SOCS1 |
200 |
HALLMARK_MTORC1_SIGNALING | 5.47e-01 | 1.28 | 0.03 | 1.00e+00 | 1.00e+00 | 1DDIT4 |
200 |
HALLMARK_INFLAMMATORY_RESPONSE | 5.47e-01 | 1.28 | 0.03 | 1.00e+00 | 1.00e+00 | 1GNA15 |
200 |
Dowload full table
KEGG Pathways:
P-value | OR | Lower 95% CI | FDR | FWER | Genes Found | Gene Set Size | |
---|---|---|---|---|---|---|---|
KEGG_CALCIUM_SIGNALING_PATHWAY | 6.44e-04 | 8.03 | 2.46 | 1.20e-01 | 1.20e-01 | 5GNA15, ITPR2, SLC25A5, HRH2, P2RX1 |
178 |
KEGG_GALACTOSE_METABOLISM | 4.74e-03 | 21.66 | 2.42 | 2.92e-01 | 8.81e-01 | 2UGP2, LCT |
26 |
KEGG_THYROID_CANCER | 5.87e-03 | 19.27 | 2.16 | 2.92e-01 | 1.00e+00 | 2LEF1, TCF7 |
29 |
KEGG_O_GLYCAN_BIOSYNTHESIS | 6.27e-03 | 18.58 | 2.09 | 2.92e-01 | 1.00e+00 | 2GALNT2, GALNT7 |
30 |
KEGG_PRIMARY_IMMUNODEFICIENCY | 8.47e-03 | 15.77 | 1.78 | 3.15e-01 | 1.00e+00 | 2ADA, RAG2 |
35 |
KEGG_ENDOMETRIAL_CANCER | 1.80e-02 | 10.41 | 1.19 | 4.43e-01 | 1.00e+00 | 2LEF1, TCF7 |
52 |
KEGG_BASAL_CELL_CARCINOMA | 2.00e-02 | 9.82 | 1.13 | 4.43e-01 | 1.00e+00 | 2LEF1, TCF7 |
55 |
KEGG_ACUTE_MYELOID_LEUKEMIA | 2.14e-02 | 9.46 | 1.09 | 4.43e-01 | 1.00e+00 | 2LEF1, TCF7 |
57 |
KEGG_NEUROACTIVE_LIGAND_RECEPTOR_INTERACTION | 2.13e-02 | 4.06 | 1.05 | 4.43e-01 | 1.00e+00 | 4VIPR2, TSHR, HRH2, P2RX1 |
272 |
KEGG_COLORECTAL_CANCER | 2.50e-02 | 8.68 | 1.00 | 4.66e-01 | 1.00e+00 | 2LEF1, TCF7 |
62 |
KEGG_ADHERENS_JUNCTION | 3.38e-02 | 7.33 | 0.85 | 5.20e-01 | 1.00e+00 | 2LEF1, TCF7 |
73 |
KEGG_ARRHYTHMOGENIC_RIGHT_VENTRICULAR_CARDIOMYOPATHY_ARVC | 3.47e-02 | 7.23 | 0.84 | 5.20e-01 | 1.00e+00 | 2LEF1, TCF7 |
74 |
KEGG_PHOSPHATIDYLINOSITOL_SIGNALING_SYSTEM | 3.64e-02 | 7.04 | 0.81 | 5.20e-01 | 1.00e+00 | 2ITPR2, DGKA |
76 |
KEGG_PROSTATE_CANCER | 4.83e-02 | 5.98 | 0.69 | 6.42e-01 | 1.00e+00 | 2LEF1, TCF7 |
89 |
KEGG_MELANOGENESIS | 6.04e-02 | 5.26 | 0.61 | 7.49e-01 | 1.00e+00 | 2LEF1, TCF7 |
101 |
KEGG_WNT_SIGNALING_PATHWAY | 1.19e-01 | 3.50 | 0.41 | 1.00e+00 | 1.00e+00 | 2LEF1, TCF7 |
151 |
KEGG_PENTOSE_AND_GLUCURONATE_INTERCONVERSIONS | 1.06e-01 | 9.44 | 0.23 | 1.00e+00 | 1.00e+00 | 1UGP2 |
28 |
KEGG_ETHER_LIPID_METABOLISM | 1.23e-01 | 7.97 | 0.19 | 1.00e+00 | 1.00e+00 | 1PAFAH2 |
33 |
KEGG_PATHWAYS_IN_CANCER | 3.61e-01 | 1.61 | 0.19 | 1.00e+00 | 1.00e+00 | 2LEF1, TCF7 |
325 |
KEGG_FRUCTOSE_AND_MANNOSE_METABOLISM | 1.27e-01 | 7.73 | 0.19 | 1.00e+00 | 1.00e+00 | 1PFKFB2 |
34 |
Dowload full table
CHR Positional Gene Sets:
P-value | OR | Lower 95% CI | FDR | FWER | Genes Found | Gene Set Size | |
---|---|---|---|---|---|---|---|
chr16q22 | 1.56e-01 | 2.94 | 0.34 | 1.00e+00 | 1.00e+00 | 2SMPD3, PRMT7 |
179 |
chr11p12 | 7.30e-02 | 14.16 | 0.33 | 1.00e+00 | 1.00e+00 | 1RAG2 |
19 |
chr5q35 | 2.16e-01 | 2.37 | 0.28 | 1.00e+00 | 1.00e+00 | 2SCGB3A1, HRH2 |
222 |
chr5q31 | 3.08e-01 | 1.83 | 0.21 | 1.00e+00 | 1.00e+00 | 2MZB1, TCF7 |
287 |
chr3p13 | 1.47e-01 | 6.54 | 0.16 | 1.00e+00 | 1.00e+00 | 1GXYLT2 |
40 |
chr2p15 | 1.57e-01 | 6.07 | 0.15 | 1.00e+00 | 1.00e+00 | 1UGP2 |
43 |
chr11p14 | 2.00e-01 | 4.64 | 0.11 | 1.00e+00 | 1.00e+00 | 1GAS2 |
56 |
chr14q31 | 2.00e-01 | 4.64 | 0.11 | 1.00e+00 | 1.00e+00 | 1TSHR |
56 |
chr3q23 | 2.00e-01 | 4.64 | 0.11 | 1.00e+00 | 1.00e+00 | 1TFDP2 |
56 |
chr12p11 | 2.64e-01 | 3.36 | 0.08 | 1.00e+00 | 1.00e+00 | 1ITPR2 |
77 |
chrXq24 | 2.73e-01 | 3.23 | 0.08 | 1.00e+00 | 1.00e+00 | 1SLC25A5 |
80 |
chr4q25 | 2.93e-01 | 2.97 | 0.07 | 1.00e+00 | 1.00e+00 | 1LEF1 |
87 |
chr14q22 | 3.01e-01 | 2.87 | 0.07 | 1.00e+00 | 1.00e+00 | 1ABHD12B |
90 |
chr6q14 | 3.09e-01 | 2.77 | 0.07 | 1.00e+00 | 1.00e+00 | 1ELOVL4 |
93 |
chr8p11 | 3.15e-01 | 2.71 | 0.07 | 1.00e+00 | 1.00e+00 | 1RAB11FIP1 |
95 |
chr20p12 | 3.39e-01 | 2.48 | 0.06 | 1.00e+00 | 1.00e+00 | 1TASP1 |
104 |
chr3q22 | 3.72e-01 | 2.20 | 0.05 | 1.00e+00 | 1.00e+00 | 1CEP70 |
117 |
chr5p13 | 3.99e-01 | 2.01 | 0.05 | 1.00e+00 | 1.00e+00 | 1CAPSL |
128 |
chr1p35 | 4.03e-01 | 1.98 | 0.05 | 1.00e+00 | 1.00e+00 | 1PTP4A2 |
130 |
chr7q36 | 4.38e-01 | 1.77 | 0.04 | 1.00e+00 | 1.00e+00 | 1VIPR2 |
145 |
Dowload full table
Transcription Factor Targets:
P-value | OR | Lower 95% CI | FDR | FWER | Genes Found | Gene Set Size | |
---|---|---|---|---|---|---|---|
IRF_Q6 | 2.55e-03 | 5.81 | 1.78 | 1.00e+00 | 1.00e+00 | 5ARPP21, TFDP2, SOCS1, DGKA, PCGF5 |
244 |
MAML1_TARGET_GENES | 7.06e-03 | 4.52 | 1.39 | 1.00e+00 | 1.00e+00 | 5MZB1, SH3TC1, LDLRAD4, DGKA, P2RX1 |
312 |
RAG1_TARGET_GENES | 4.21e-03 | 3.02 | 1.34 | 1.00e+00 | 1.00e+00 | 10ADA, ARPP21, MZB1, SH3TC1, CD3G, ITPR2, LEF1, DDIT4, DGKA, CEP70 |
1046 |
MNX1_TARGET_GENES | 1.98e-02 | 63.54 | 1.27 | 1.00e+00 | 1.00e+00 | 1DGKA |
5 |
OLF1_01 | 2.20e-02 | 4.01 | 1.04 | 1.00e+00 | 1.00e+00 | 4SMPD3, PITPNM2, ITPR2, GALNT7 |
275 |
ZNF584_TARGET_GENES | 3.50e-02 | 4.43 | 0.87 | 1.00e+00 | 1.00e+00 | 3PTP4A2, SMPD3, PAFAH2 |
183 |
ZNF555_TARGET_GENES | 3.55e-02 | 7.13 | 0.82 | 1.00e+00 | 1.00e+00 | 2ADA, GXYLT2 |
75 |
SRCAP_TARGET_GENES | 5.09e-02 | 2.65 | 0.82 | 1.00e+00 | 1.00e+00 | 5CD3G, NUCB2, ITPR2, UGP2, DGKA |
530 |
PCGF1_TARGET_GENES | 5.63e-02 | 2.57 | 0.79 | 1.00e+00 | 1.00e+00 | 5AQP3, RDH10, TCF7, DGKA, PFKFB2 |
546 |
WCTCNATGGY_UNKNOWN | 4.26e-02 | 6.43 | 0.74 | 1.00e+00 | 1.00e+00 | 2ID1, GALNT2 |
83 |
TCCCRNNRTGC_UNKNOWN | 5.24e-02 | 3.75 | 0.74 | 1.00e+00 | 1.00e+00 | 3SMPD3, RDH10, RASSF6 |
216 |
AACTTT_UNKNOWN | 2.06e-01 | 1.63 | 0.73 | 1.00e+00 | 1.00e+00 | 10VIPR2, ARPP21, TFDP2, TSHR, NUCB2, SOCS1, LEF1, UGP2, ELOVL4, PCGF5 |
1928 |
HNF3B_01 | 5.65e-02 | 3.63 | 0.72 | 1.00e+00 | 1.00e+00 | 3TFDP2, RASSF6, ID1 |
223 |
RYTTCCTG_ETS2_B | 1.23e-01 | 1.84 | 0.70 | 1.00e+00 | 1.00e+00 | 7SH3TC1, AQP3, ITPR2, DDIT4, GALNT2, SLC25A5, DGKA |
1112 |
HP1SITEFACTOR_Q6 | 6.40e-02 | 3.44 | 0.68 | 1.00e+00 | 1.00e+00 | 3TFDP2, RDH10, LCT |
235 |
FOXJ2_02 | 6.92e-02 | 3.32 | 0.66 | 1.00e+00 | 1.00e+00 | 3ARPP21, ID1, TASP1 |
243 |
CTCNANGTGNY_UNKNOWN | 5.32e-02 | 5.66 | 0.66 | 1.00e+00 | 1.00e+00 | 2SMPD3, ELOVL4 |
94 |
RTAAACA_FREAC2_01 | 1.59e-01 | 1.83 | 0.64 | 1.00e+00 | 1.00e+00 | 6TFDP2, SOCS1, DDIT4, RASSF6, TCF7, SLC25A5 |
938 |
CAGCTG_AP4_Q5 | 2.51e-01 | 1.57 | 0.63 | 1.00e+00 | 1.00e+00 | 8ARPP21, TFDP2, RDH10, LEF1, DDIT4, LDLRAD4, TCF7, ID1 |
1530 |
ISRE_01 | 7.59e-02 | 3.19 | 0.63 | 1.00e+00 | 1.00e+00 | 3ARPP21, DGKA, PCGF5 |
253 |
Dowload full table
GO Biological Processes:
P-value | OR | Lower 95% CI | FDR | FWER | Genes Found | Gene Set Size | |
---|---|---|---|---|---|---|---|
GOBP_SOMATIC_DIVERSIFICATION_OF_T_CELL_RECEPTOR_GENES | 1.54e-04 | 172.68 | 14.09 | 5.77e-01 | 1.00e+00 | 2LEF1, TCF7 |
5 |
GOBP_V_D_J_RECOMBINATION | 3.20e-05 | 61.17 | 10.83 | 2.40e-01 | 2.40e-01 | 3RAG2, LEF1, TCF7 |
16 |
GOBP_REGULATION_OF_GAMMA_DELTA_T_CELL_DIFFERENTIATION | 5.49e-04 | 74.10 | 7.33 | 8.23e-01 | 1.00e+00 | 2LEF1, TCF7 |
9 |
GOBP_REGULATION_OF_GAMMA_DELTA_T_CELL_ACTIVATION | 8.35e-04 | 57.69 | 5.91 | 9.69e-01 | 1.00e+00 | 2LEF1, TCF7 |
11 |
GOBP_GAMMA_DELTA_T_CELL_DIFFERENTIATION | 9.99e-04 | 51.89 | 5.39 | 9.69e-01 | 1.00e+00 | 2LEF1, TCF7 |
12 |
GOBP_REGULATION_OF_GENE_EXPRESSION_BY_GENETIC_IMPRINTING | 1.80e-03 | 37.11 | 3.99 | 1.00e+00 | 1.00e+00 | 2PRMT7, PCGF5 |
16 |
GOBP_COPULATION | 2.54e-03 | 30.58 | 3.34 | 1.00e+00 | 1.00e+00 | 2ADA, P2RX1 |
19 |
GOBP_GAMMA_DELTA_T_CELL_ACTIVATION | 2.54e-03 | 30.58 | 3.34 | 1.00e+00 | 1.00e+00 | 2LEF1, TCF7 |
19 |
GOBP_B_CELL_PROLIFERATION | 5.50e-04 | 11.81 | 3.03 | 8.23e-01 | 1.00e+00 | 4ADA, MZB1, RAG2, LEF1 |
96 |
GOBP_O_GLYCAN_PROCESSING | 1.71e-03 | 13.99 | 2.71 | 1.00e+00 | 1.00e+00 | 3GXYLT2, GALNT2, GALNT7 |
60 |
GOBP_GENETIC_IMPRINTING | 4.39e-03 | 22.60 | 2.52 | 1.00e+00 | 1.00e+00 | 2PRMT7, PCGF5 |
25 |
GOBP_T_CELL_DIFFERENTIATION | 3.72e-04 | 7.10 | 2.45 | 8.23e-01 | 1.00e+00 | 6ADA, CD3G, RAG2, SOCS1, LEF1, TCF7 |
246 |
GOBP_T_CELL_DIFFERENTIATION_IN_THYMUS | 2.99e-03 | 11.39 | 2.22 | 1.00e+00 | 1.00e+00 | 3ADA, CD3G, RAG2 |
73 |
GOBP_SOMATIC_DIVERSIFICATION_OF_IMMUNE_RECEPTORS | 3.23e-03 | 11.08 | 2.16 | 1.00e+00 | 1.00e+00 | 3RAG2, LEF1, TCF7 |
75 |
GOBP_BETA_CATENIN_TCF_COMPLEX_ASSEMBLY | 6.69e-03 | 17.94 | 2.02 | 1.00e+00 | 1.00e+00 | 2LEF1, TCF7 |
31 |
GOBP_REGULATION_OF_T_CELL_DIFFERENTIATION | 2.56e-03 | 7.65 | 1.97 | 1.00e+00 | 1.00e+00 | 4ADA, SOCS1, LEF1, TCF7 |
146 |
GOBP_PURINERGIC_NUCLEOTIDE_RECEPTOR_SIGNALING_PATHWAY | 7.12e-03 | 17.34 | 1.95 | 1.00e+00 | 1.00e+00 | 2ADA, P2RX1 |
32 |
GOBP_ORGANOPHOSPHATE_CATABOLIC_PROCESS | 3.10e-03 | 7.25 | 1.87 | 1.00e+00 | 1.00e+00 | 4ADA, SMPD3, ABHD12B, PON1 |
154 |
GOBP_PLATELET_ACTIVATION | 3.32e-03 | 7.10 | 1.83 | 1.00e+00 | 1.00e+00 | 4GNA15, ITPR2, DGKA, P2RX1 |
157 |
GOBP_RESPONSE_TO_DOPAMINE | 5.37e-03 | 9.17 | 1.79 | 1.00e+00 | 1.00e+00 | 3GNA15, ID1, HRH2 |
90 |
Dowload full table
Immunological Gene Sets:
P-value | OR | Lower 95% CI | FDR | FWER | Genes Found | Gene Set Size | |
---|---|---|---|---|---|---|---|
GSE1460_DP_VS_CD4_THYMOCYTE_UP | 4.29e-09 | 16.45 | 7.22 | 2.09e-05 | 2.09e-05 | 10ARPP21, MZB1, SH3TC1, TSHR, GNA15, AQP3, PON1, LDLRAD4, LCT, PRMT7 |
200 |
GSE1460_INTRATHYMIC_T_PROGENITOR_VS_CD4_THYMOCYTE_UP | 6.62e-08 | 14.44 | 6.08 | 1.61e-04 | 3.22e-04 | 9ARPP21, MZB1, TFDP2, TSHR, RAG2, GNA15, LDLRAD4, GALNT2, CEP70 |
199 |
GSE5099_CLASSICAL_M1_VS_ALTERNATIVE_M2_MACROPHAGE_DN | 6.13e-07 | 13.23 | 5.29 | 9.82e-04 | 2.99e-03 | 8CAPSL, SMPD3, GNA15, GXYLT2, TCF7, GALNT2, GALNT7, PCGF5 |
188 |
GSE27241_CTRL_VS_DIGOXIN_TREATED_RORGT_KO_CD4_TCELL_IN_TH17_POLARIZING_CONDITIONS_UP | 8.06e-07 | 12.73 | 5.09 | 9.82e-04 | 3.93e-03 | 8ADA, MZB1, TFDP2, TSHR, SMPD3, ELOVL4, SLC25A5, RNASEH2B |
195 |
GSE29618_BCELL_VS_PDC_DAY7_FLU_VACCINE_DN | 1.11e-05 | 10.65 | 3.99 | 8.26e-03 | 5.42e-02 | 7ADA, NUCB2, SMPD3, GNA15, LDLRAD4, SIVA1, PAFAH2 |
198 |
GSE24142_DN2_VS_DN3_THYMOCYTE_DN | 1.15e-05 | 10.60 | 3.97 | 8.26e-03 | 5.60e-02 | 7ARPP21, CD3G, ITPR2, LEF1, DDIT4, GALNT2, DGKA |
199 |
GSE24142_EARLY_THYMIC_PROGENITOR_VS_DN3_THYMOCYTE_ADULT_DN | 1.19e-05 | 10.54 | 3.95 | 8.26e-03 | 5.79e-02 | 7ADA, ARPP21, CD3G, RAG2, SOCS1, LEF1, DGKA |
200 |
GSE5099_DAY3_VS_DAY7_MCSF_TREATED_MACROPHAGE_DN | 7.63e-05 | 9.63 | 3.31 | 4.02e-02 | 3.72e-01 | 6CAPSL, SMPD3, LEF1, TCF7, GALNT2, GALNT7 |
183 |
GSE24142_EARLY_THYMIC_PROGENITOR_VS_DN3_THYMOCYTE_DN | 1.17e-04 | 8.88 | 3.05 | 4.02e-02 | 5.71e-01 | 6ADA, ARPP21, SOCS1, ITPR2, LEF1, DGKA |
198 |
GSE29618_PDC_VS_MDC_UP | 1.17e-04 | 8.88 | 3.05 | 4.02e-02 | 5.71e-01 | 6MZB1, NUCB2, AQP3, PFKFB2, PAFAH2, P2RX1 |
198 |
GSE10325_CD4_TCELL_VS_MYELOID_UP | 1.20e-04 | 8.83 | 3.04 | 4.02e-02 | 5.86e-01 | 6CD3G, NUCB2, AQP3, LEF1, TCF7, DGKA |
199 |
GSE1460_INTRATHYMIC_T_PROGENITOR_VS_NAIVE_CD4_TCELL_ADULT_BLOOD_UP | 1.20e-04 | 8.83 | 3.04 | 4.02e-02 | 5.86e-01 | 6TFDP2, RAG2, GNA15, ITPR2, RNASEH2B, GALNT7 |
199 |
GSE29618_PDC_VS_MDC_DAY7_FLU_VACCINE_UP | 1.20e-04 | 8.83 | 3.04 | 4.02e-02 | 5.86e-01 | 6ADA, MZB1, NUCB2, SMPD3, AQP3, PAFAH2 |
199 |
GSE25088_WT_VS_STAT6_KO_MACROPHAGE_IL4_STIM_UP | 1.20e-04 | 8.83 | 3.04 | 4.02e-02 | 5.86e-01 | 6VIPR2, SMPD3, AQP3, TCF7, ELOVL4, DGKA |
199 |
GOLDRATH_NAIVE_VS_EFF_CD8_TCELL_UP | 1.24e-04 | 8.78 | 3.02 | 4.02e-02 | 6.03e-01 | 6SOCS1, ITPR2, LEF1, DDIT4, TCF7, DGKA |
200 |
GSE40274_FOXP3_VS_FOXP3_AND_XBP1_TRANSDUCED_ACTIVATED_CD4_TCELL_DN | 3.87e-04 | 9.02 | 2.76 | 1.18e-01 | 1.00e+00 | 5CD3G, PITPNM2, ITPR2, LEF1, TCF7 |
159 |
GSE27241_WT_VS_RORGT_KO_TH17_POLARIZED_CD4_TCELL_TREATED_WITH_DIGOXIN_DN | 6.44e-04 | 8.03 | 2.46 | 1.38e-01 | 1.00e+00 | 5CD3G, SOCS1, GALNT7, TASP1, P2RX1 |
178 |
GSE22886_NAIVE_CD4_TCELL_VS_MONOCYTE_UP | 1.01e-03 | 7.23 | 2.22 | 1.38e-01 | 1.00e+00 | 5CD3G, NUCB2, AQP3, LEF1, DGKA |
197 |
GSE29618_MONOCYTE_VS_PDC_DN | 1.01e-03 | 7.23 | 2.22 | 1.38e-01 | 1.00e+00 | 5MZB1, NUCB2, AQP3, PAFAH2, TASP1 |
197 |
GSE22886_NAIVE_TCELL_VS_MONOCYTE_UP | 1.03e-03 | 7.19 | 2.20 | 1.38e-01 | 1.00e+00 | 5TFDP2, CD3G, NUCB2, LEF1, DGKA |
198 |
Top Ranked Transcription Factors for this Gene Expression Program:
Gene Symbol | TF Rank | DNA Binding Domain | Motif Status | IUPAC PWM | GTEx | DepMap | Decartes |
---|---|---|---|---|---|---|---|
TFDP2 | 6 | Yes | Inferred motif | Obligate heteromer | In vivo/Misc source | None | None |
LEF1 | 24 | Yes | Known motif | Monomer or homomultimer | High-throughput in vitro | None | None |
TCF7 | 30 | Yes | Known motif | Monomer or homomultimer | High-throughput in vitro | None | None |
ID1 | 32 | No | Unlikely to be sequence specific TF | Not a DNA binding protein | No motif | None | ID bHLH proteins lack the basic region and should not be able to bind DNA. The HT-SELEX motif for ID4 is likely by a co-precipitated protein or it is a contamination |
SIVA1 | 34 | No | Unlikely to be sequence specific TF | Not a DNA binding protein | No motif | None | Affects transcription through interactions with NF-kappaB (PMID: 16491128) |
HIST1H1B | 43 | No | Unlikely to be sequence specific TF | Low specificity DNA-binding protein | No motif | None | Linker histone. To my knowledge there has been no demonstration of sequence specificity of linker histones, so I think this one should be called unlikely. |
HIST1H1D | 52 | No | Unlikely to be sequence specific TF | Low specificity DNA-binding protein | No motif | None | Linker histone that binds DNA as heteromeric complex with the other histone proteins |
NOTCH1 | 54 | No | Unlikely to be sequence specific TF | Not a DNA binding protein | No motif | None | A transmembrane protein that inhibits MEF2C activation (PMID: 10082551). NOTCH1 does not bind DNA in the structure, and is not required for DNA binding, since RBPJ is bound without it in (PDB:4J2X). |
LZTFL1 | 61 | No | Unlikely to be sequence specific TF | Not a DNA binding protein | No motif | None | Lactotransferrin - major iron-binding protein in milk. Two papers from the 1990s (PMID: 7854459; PMID: 1037119) demonstrate strong DNA binding. |
HOXA10 | 63 | Yes | Known motif | Monomer or homomultimer | High-throughput in vitro | None | None |
RORC | 64 | Yes | Known motif | Monomer or homomultimer | High-throughput in vitro | None | None |
HIVEP3 | 74 | Yes | Inferred motif | Monomer or homomultimer | In vivo/Misc source | Has a putative AT-hook | Binds to NFKB-like consensus sequence to repress transcription (PMID: 21189157). PWMs for HIVEP1 and 2 in Transfac and Hocomoco are also NFKB-like. |
IKZF1 | 75 | Yes | Known motif | Monomer or homomultimer | In vivo/Misc source | Only known motifs are from Transfac or HocoMoco - origin is uncertain | None |
MTA3 | 83 | No | Unlikely to be sequence specific TF | Low specificity DNA-binding protein | No motif | None | Contains a GATA and SANT domain. Unclear whether the GATA domain is a bona fide DBD as the MTA/RERE family domains are atypical to human GATA domains (see alignment). In CIS-BP there is one protein from C.elegans that shares domain homology and binds a GATA motif (elg-27, ChIP-seq). Hasnt been tried in any in vitro assays |
BCL11B | 84 | Yes | Known motif | Monomer or homomultimer | High-throughput in vitro | None | None |
NOTCH3 | 85 | No | Unlikely to be sequence specific TF | Not a DNA binding protein | No motif | None | Fragment of NOTCH. Is a coactivator. |
HOXA9 | 90 | Yes | Known motif | Monomer or homomultimer | High-throughput in vitro | None | None |
HDAC4 | 92 | No | Unlikely to be sequence specific TF | Not a DNA binding protein | No motif | None | Histone deacetylase; likely to be a transcriptional cofactor |
MBNL1 | 93 | No | ssDNA/RNA binding | Not a DNA binding protein | No motif | None | None |
HIST1H1E | 104 | No | Unlikely to be sequence specific TF | Low specificity DNA-binding protein | No motif | None | Binds DNA as heteromultimeric complex |
QQ Plot showing correlations with other GEPs in this dataset, calculated by Spearman correlation:
Interactive QQ-plot of gene loadings:
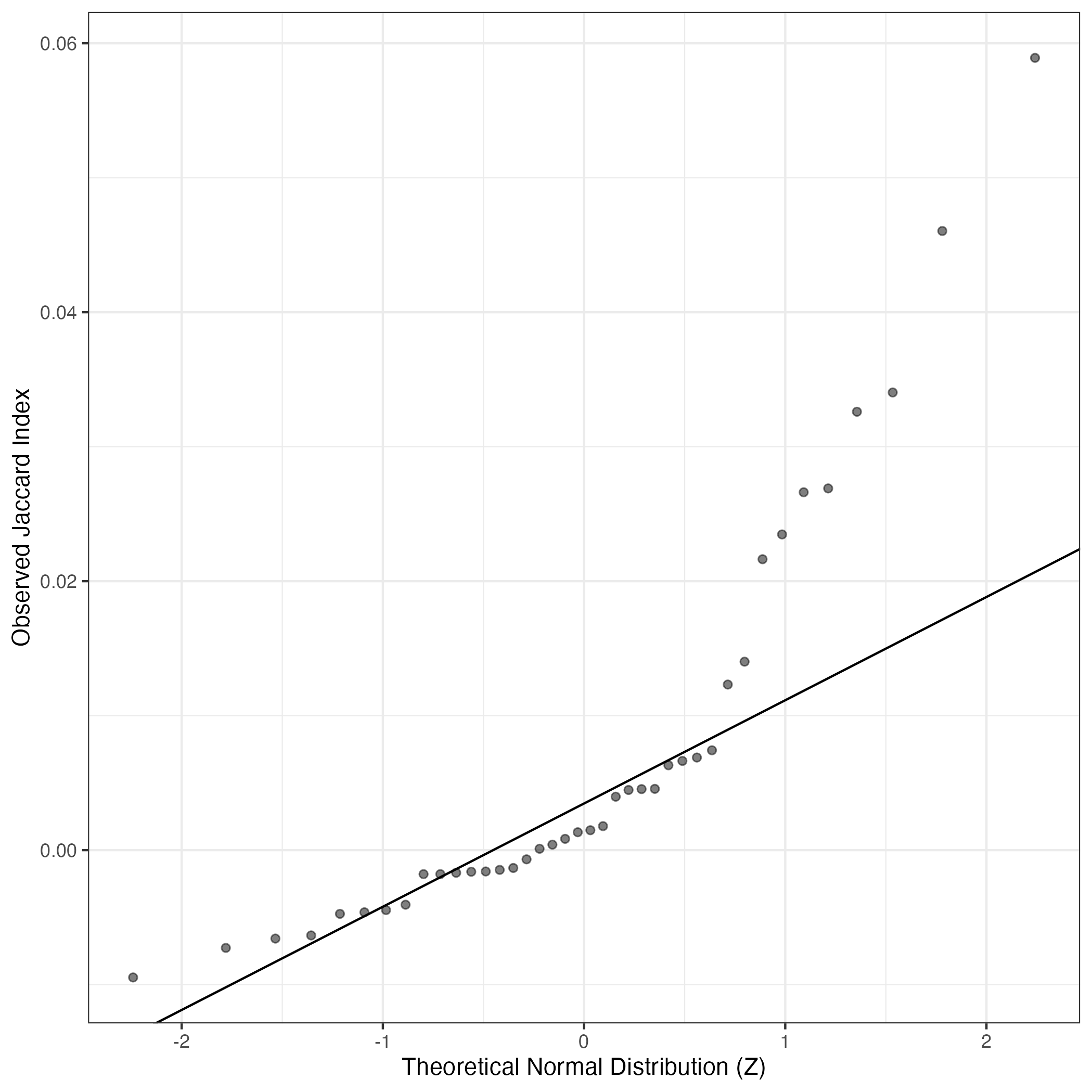
A similar QQ-plot as above, but only for instances where the H value is e.g. > 25, i.e. we are confident that the expression program is active above noise. Agreemenet between these binary vectors is tested using the Jaccard Index, with the P-values calculated by an exact test:
Interactive QQ-plot:
Singler cell type annotations for the top 50 cells on this program.
Cell ID | Singler label | Singler Delta | Activity Score | Top Singler Raw Scores |
---|---|---|---|---|
T230_AGGGTCCGTACTGAGG-1 | T_cell:CD4+_Naive | 0.06 | 1162.06 | Raw ScoresPro-B_cell_CD34+: 0.3, T_cell:CD4+_central_memory: 0.3, NK_cell: 0.3, GMP: 0.3, T_cell:CD4+_effector_memory: 0.3, Pre-B_cell_CD34-: 0.3, T_cell:gamma-delta: 0.29, CMP: 0.29, T_cell:CD4+_Naive: 0.29, NK_cell:CD56hiCD62L+: 0.29 |
T230_GGGTGAACAGAGAATT-1 | Pro-B_cell_CD34+ | 0.13 | 1037.17 | Raw ScoresT_cell:gamma-delta: 0.39, Pro-B_cell_CD34+: 0.38, T_cell:effector: 0.38, T_cell:CCR10+CLA+1,25(OH)2_vit_D3/IL-12: 0.38, T_cell:CCR10-CLA+1,25(OH)2_vit_D3/IL-12: 0.37, B_cell:Germinal_center: 0.36, B_cell:CXCR4+_centroblast: 0.35, GMP: 0.35, BM: 0.35, NK_cell:IL2: 0.35 |
T175_AAGTCGTAGCTGTACT-1 | Neurons:adrenal_medulla_cell_line | 0.09 | 910.91 | Raw ScoresNeurons:adrenal_medulla_cell_line: 0.33, Pro-B_cell_CD34+: 0.33, MEP: 0.31, GMP: 0.31, CMP: 0.3, B_cell:Germinal_center: 0.3, B_cell:CXCR4+_centroblast: 0.3, T_cell:gamma-delta: 0.3, Neuroepithelial_cell:ESC-derived: 0.29, B_cell:CXCR4-_centrocyte: 0.29 |
T175_GGGCTACGTCTGATCA-1 | T_cell:gamma-delta | 0.11 | 893.78 | Raw ScoresPro-B_cell_CD34+: 0.36, T_cell:gamma-delta: 0.35, B_cell:Germinal_center: 0.35, B_cell:CXCR4+_centroblast: 0.34, T_cell:effector: 0.34, T_cell:CCR10+CLA+1,25(OH)2_vit_D3/IL-12: 0.33, GMP: 0.33, T_cell:CCR10-CLA+1,25(OH)2_vit_D3/IL-12: 0.33, MEP: 0.33, BM: 0.32 |
T230_TGAATCGTCACTGTTT-1 | T_cell:CD4+_Naive | 0.09 | 874.01 | Raw ScoresPro-B_cell_CD34+: 0.38, GMP: 0.38, NK_cell:IL2: 0.38, T_cell:gamma-delta: 0.37, T_cell:CD4+_central_memory: 0.37, CMP: 0.37, T_cell:CD4+_effector_memory: 0.37, T_cell:CD4+_Naive: 0.37, MEP: 0.36, Pro-Myelocyte: 0.36 |
T230_GTCGAATGTCCCTCAT-1 | T_cell:CD4+_Naive | 0.09 | 801.29 | Raw ScoresT_cell:CD4+_central_memory: 0.36, Pro-B_cell_CD34+: 0.36, T_cell:CD4+_Naive: 0.36, T_cell:CD4+_effector_memory: 0.36, GMP: 0.36, NK_cell:IL2: 0.35, CMP: 0.35, NK_cell: 0.35, T_cell:CD4+: 0.35, T_cell:gamma-delta: 0.35 |
T188_ATCCACCTCCGTACGG-1 | T_cell:gamma-delta | 0.12 | 754.59 | Raw ScoresPro-B_cell_CD34+: 0.39, T_cell:gamma-delta: 0.38, T_cell:CCR10+CLA+1,25(OH)2_vit_D3/IL-12: 0.38, T_cell:effector: 0.38, B_cell:Germinal_center: 0.38, B_cell:CXCR4+_centroblast: 0.37, T_cell:CCR10-CLA+1,25(OH)2_vit_D3/IL-12: 0.37, B_cell:immature: 0.36, GMP: 0.35, B_cell:CXCR4-_centrocyte: 0.35 |
T188_GCATCTCTCTAACGGT-1 | T_cell:CD4+_Naive | 0.09 | 750.52 | Raw ScoresT_cell:CD4+_central_memory: 0.27, T_cell:CD4+_Naive: 0.27, T_cell:CD4+_effector_memory: 0.26, T_cell:CD8+_effector_memory: 0.26, T_cell:CD4+: 0.26, T_cell:CD8+: 0.26, T_cell:CD8+_naive: 0.26, T_cell:CD8+_Central_memory: 0.25, NK_cell: 0.25, T_cell:CD8+_effector_memory_RA: 0.25 |
T175_TGGGAGACATGCCGAC-1 | Pro-B_cell_CD34+ | 0.12 | 710.89 | Raw ScoresPro-B_cell_CD34+: 0.38, GMP: 0.36, T_cell:gamma-delta: 0.35, MEP: 0.35, CMP: 0.35, B_cell:CXCR4+_centroblast: 0.34, B_cell:Germinal_center: 0.34, T_cell:effector: 0.34, T_cell:CCR10-CLA+1,25(OH)2_vit_D3/IL-12: 0.34, Erythroblast: 0.34 |
T230_ACATCGAGTGTTGACT-1 | T_cell:effector | 0.10 | 674.06 | Raw ScoresPro-B_cell_CD34+: 0.39, T_cell:gamma-delta: 0.39, GMP: 0.37, T_cell:effector: 0.37, T_cell:CCR10-CLA+1,25(OH)2_vit_D3/IL-12: 0.36, T_cell:CCR10+CLA+1,25(OH)2_vit_D3/IL-12: 0.36, B_cell:Germinal_center: 0.35, CMP: 0.35, NK_cell:IL2: 0.35, B_cell:CXCR4+_centroblast: 0.35 |
T230_GTCACTCAGTTCGCAT-1 | Neurons:adrenal_medulla_cell_line | 0.12 | 666.66 | Raw ScoresNeurons:adrenal_medulla_cell_line: 0.37, Neuroepithelial_cell:ESC-derived: 0.34, iPS_cells:PDB_2lox-22: 0.33, Pro-B_cell_CD34+: 0.33, iPS_cells:PDB_1lox-21Puro-20: 0.32, iPS_cells:PDB_1lox-21Puro-26: 0.32, iPS_cells:PDB_2lox-21: 0.32, iPS_cells:CRL2097_foreskin-derived:undiff.: 0.32, iPS_cells:PDB_1lox-17Puro-10: 0.32, iPS_cells:PDB_1lox-17Puro-5: 0.32 |
T230_AACCAACCAATGGCCC-1 | T_cell:CD4+_Naive | 0.10 | 657.90 | Raw ScoresT_cell:CD4+_Naive: 0.36, T_cell:CD4+_central_memory: 0.36, T_cell:CD4+_effector_memory: 0.35, NK_cell:IL2: 0.35, T_cell:CD4+: 0.35, T_cell:CD8+: 0.35, NK_cell: 0.35, GMP: 0.35, Pro-B_cell_CD34+: 0.35, T_cell:gamma-delta: 0.34 |
T230_AATCGACTCCGCCTAT-1 | T_cell:gamma-delta | 0.14 | 640.54 | Raw ScoresT_cell:gamma-delta: 0.45, Pro-B_cell_CD34+: 0.44, NK_cell:IL2: 0.43, GMP: 0.43, B_cell:immature: 0.43, T_cell:effector: 0.42, T_cell:CCR10-CLA+1,25(OH)2_vit_D3/IL-12: 0.42, B_cell:Memory: 0.42, T_cell:CD4+_central_memory: 0.42, T_cell:CCR10+CLA+1,25(OH)2_vit_D3/IL-12: 0.42 |
T230_GTGCTTCAGTCTAACC-1 | T_cell:CD4+_Naive | 0.08 | 549.40 | Raw ScoresT_cell:CD4+_Naive: 0.26, T_cell:CD4+_central_memory: 0.26, T_cell:CD4+_effector_memory: 0.26, Pro-B_cell_CD34+: 0.25, T_cell:CD4+: 0.25, T_cell:CD8+: 0.25, B_cell:Memory: 0.25, Pre-B_cell_CD34-: 0.25, GMP: 0.25, NK_cell:CD56hiCD62L+: 0.24 |
T175_ACAGAAAGTCGTCAGC-1 | T_cell:CD4+_Naive | 0.09 | 544.22 | Raw ScoresT_cell:CD4+_Naive: 0.28, T_cell:CD4+_central_memory: 0.27, T_cell:CD4+_effector_memory: 0.27, T_cell:CD8+_effector_memory: 0.27, T_cell:CD8+: 0.27, T_cell:CD4+: 0.26, T_cell:CD8+_naive: 0.25, NK_cell: 0.25, T_cell:CD8+_Central_memory: 0.25, B_cell:Memory: 0.25 |
T175_CTCGAGGTCCATTTCA-1 | T_cell:effector | 0.12 | 540.72 | Raw ScoresT_cell:gamma-delta: 0.39, Pro-B_cell_CD34+: 0.38, T_cell:effector: 0.37, T_cell:CCR10+CLA+1,25(OH)2_vit_D3/IL-12: 0.37, T_cell:CCR10-CLA+1,25(OH)2_vit_D3/IL-12: 0.37, B_cell:Germinal_center: 0.36, B_cell:CXCR4+_centroblast: 0.36, T_cell:CD4+_central_memory: 0.35, GMP: 0.35, NK_cell:IL2: 0.34 |
T175_AATCACGGTAGGAAAG-1 | T_cell:effector | 0.09 | 535.81 | Raw ScoresT_cell:gamma-delta: 0.36, Pro-B_cell_CD34+: 0.35, T_cell:effector: 0.34, T_cell:CCR10+CLA+1,25(OH)2_vit_D3/IL-12: 0.34, T_cell:CCR10-CLA+1,25(OH)2_vit_D3/IL-12: 0.33, B_cell:Germinal_center: 0.33, GMP: 0.33, MEP: 0.33, B_cell:CXCR4+_centroblast: 0.33, CMP: 0.33 |
T230_AATTTCCGTGGGCTCT-1 | Neurons:adrenal_medulla_cell_line | 0.10 | 528.56 | Raw ScoresNeurons:adrenal_medulla_cell_line: 0.32, Neuroepithelial_cell:ESC-derived: 0.3, Pro-B_cell_CD34+: 0.28, iPS_cells:PDB_1lox-21Puro-20: 0.28, Astrocyte:Embryonic_stem_cell-derived: 0.27, iPS_cells:PDB_2lox-22: 0.27, iPS_cells:adipose_stem_cell-derived:lentiviral: 0.27, iPS_cells:PDB_1lox-17Puro-10: 0.27, iPS_cells:iPS:minicircle-derived: 0.27, iPS_cells:PDB_1lox-21Puro-26: 0.27 |
T175_AACGTCAGTTCGGCTG-1 | T_cell:CD4+_Naive | 0.08 | 519.94 | Raw ScoresT_cell:CD4+_Naive: 0.28, T_cell:CD4+_central_memory: 0.28, T_cell:CD4+_effector_memory: 0.27, T_cell:CD4+: 0.27, T_cell:CD8+: 0.27, Pro-B_cell_CD34+: 0.26, T_cell:gamma-delta: 0.26, B_cell:Memory: 0.26, NK_cell: 0.26, T_cell:CD8+_effector_memory: 0.26 |
T175_ACAGCCGAGTAAAGCT-1 | T_cell:effector | 0.08 | 516.37 | Raw ScoresPro-B_cell_CD34+: 0.38, GMP: 0.37, T_cell:gamma-delta: 0.36, CMP: 0.36, MEP: 0.36, B_cell:Germinal_center: 0.35, B_cell:CXCR4+_centroblast: 0.35, B_cell:CXCR4-_centrocyte: 0.35, T_cell:effector: 0.35, Pro-Myelocyte: 0.34 |
T175_GCTACAATCCGTGGCA-1 | Neurons:adrenal_medulla_cell_line | 0.11 | 492.55 | Raw ScoresNeurons:adrenal_medulla_cell_line: 0.33, Neuroepithelial_cell:ESC-derived: 0.28, Astrocyte:Embryonic_stem_cell-derived: 0.27, iPS_cells:CRL2097_foreskin-derived:undiff.: 0.27, iPS_cells:iPS:minicircle-derived: 0.27, iPS_cells:PDB_2lox-22: 0.26, iPS_cells:adipose_stem_cell-derived:lentiviral: 0.26, iPS_cells:adipose_stem_cell-derived:minicircle-derived: 0.26, iPS_cells:PDB_2lox-17: 0.26, iPS_cells:PDB_2lox-21: 0.26 |
T175_CACAGGCAGCACGGAT-1 | T_cell:CD4+_Naive | 0.06 | 490.79 | Raw ScoresT_cell:CD4+_Naive: 0.23, T_cell:CD4+_central_memory: 0.22, T_cell:CD8+_effector_memory: 0.22, T_cell:CD4+_effector_memory: 0.22, Pro-B_cell_CD34+: 0.22, T_cell:CD8+_naive: 0.21, NK_cell:CD56hiCD62L+: 0.21, T_cell:CD8+_Central_memory: 0.21, Neurons:adrenal_medulla_cell_line: 0.21, T_cell:CD8+: 0.21 |
T175_CAGTTAGAGTCGCTAT-1 | T_cell:effector | 0.10 | 484.72 | Raw ScoresT_cell:gamma-delta: 0.39, Pro-B_cell_CD34+: 0.39, T_cell:effector: 0.37, GMP: 0.37, B_cell:Germinal_center: 0.37, NK_cell:IL2: 0.36, T_cell:CCR10-CLA+1,25(OH)2_vit_D3/IL-12: 0.36, T_cell:CCR10+CLA+1,25(OH)2_vit_D3/IL-12: 0.36, B_cell:CXCR4+_centroblast: 0.36, CMP: 0.36 |
T230_TAAGCACTCACTTGTT-1 | T_cell:CD4+_Naive | 0.11 | 478.73 | Raw ScoresT_cell:CD4+_central_memory: 0.34, T_cell:CD4+_Naive: 0.33, T_cell:CD4+_effector_memory: 0.33, T_cell:CD8+: 0.33, T_cell:CD4+: 0.32, NK_cell: 0.32, T_cell:gamma-delta: 0.32, B_cell:Memory: 0.32, NK_cell:CD56hiCD62L+: 0.32, Pro-B_cell_CD34+: 0.31 |
T175_GATCCCTCATCCTCAC-1 | T_cell:CD8+_effector_memory | 0.06 | 447.31 | Raw ScoresT_cell:CD4+_central_memory: 0.25, Pro-B_cell_CD34+: 0.25, T_cell:CD4+_Naive: 0.24, T_cell:CD4+_effector_memory: 0.24, T_cell:CD8+_effector_memory: 0.24, T_cell:CD4+: 0.24, Pre-B_cell_CD34-: 0.24, T_cell:CD8+: 0.24, B_cell:Memory: 0.23, T_cell:gamma-delta: 0.23 |
T175_TTATTGCAGGACGGAG-1 | T_cell:CD4+_Naive | 0.07 | 446.67 | Raw ScoresPro-B_cell_CD34+: 0.38, T_cell:gamma-delta: 0.36, GMP: 0.36, T_cell:effector: 0.35, CMP: 0.35, T_cell:CD4+_central_memory: 0.35, T_cell:CCR10-CLA+1,25(OH)2_vit_D3/IL-12: 0.35, T_cell:CCR10+CLA+1,25(OH)2_vit_D3/IL-12: 0.34, MEP: 0.34, B_cell:CXCR4+_centroblast: 0.34 |
T175_GTGGGAACACACACGC-1 | T_cell:CD4+_Naive | 0.12 | 437.08 | Raw ScoresT_cell:CD4+_Naive: 0.33, T_cell:CD4+_central_memory: 0.33, T_cell:CD4+_effector_memory: 0.33, T_cell:CD8+_effector_memory: 0.32, T_cell:CD4+: 0.31, T_cell:CD8+: 0.31, T_cell:CD8+_naive: 0.3, NK_cell: 0.3, NK_cell:CD56hiCD62L+: 0.3, T_cell:gamma-delta: 0.3 |
T230_GAGAGGTTCAGCTAGT-1 | T_cell:CD4+_Naive | 0.08 | 419.11 | Raw ScoresT_cell:CD4+_Naive: 0.28, T_cell:CD4+_central_memory: 0.28, T_cell:CD4+_effector_memory: 0.27, NK_cell: 0.27, T_cell:CD4+: 0.27, T_cell:CD8+: 0.27, T_cell:CD8+_effector_memory: 0.26, T_cell:gamma-delta: 0.26, NK_cell:IL2: 0.26, Pro-B_cell_CD34+: 0.26 |
T175_TTCCTAATCTCTGGTC-1 | Pro-B_cell_CD34+ | 0.11 | 410.33 | Raw ScoresPro-B_cell_CD34+: 0.39, T_cell:gamma-delta: 0.37, MEP: 0.36, GMP: 0.36, B_cell:Germinal_center: 0.36, CMP: 0.35, B_cell:CXCR4+_centroblast: 0.35, T_cell:effector: 0.35, T_cell:CCR10-CLA+1,25(OH)2_vit_D3/IL-12: 0.35, T_cell:CCR10+CLA+1,25(OH)2_vit_D3/IL-12: 0.35 |
T175_GCCGTGATCCAAATGC-1 | T_cell:CD4+_Naive | 0.07 | 409.43 | Raw ScoresT_cell:CD4+_Naive: 0.28, T_cell:CD4+_central_memory: 0.27, T_cell:CD4+_effector_memory: 0.27, T_cell:gamma-delta: 0.26, T_cell:CD8+: 0.26, Pro-B_cell_CD34+: 0.26, T_cell:CD4+: 0.26, NK_cell:CD56hiCD62L+: 0.26, GMP: 0.26, NK_cell: 0.25 |
T175_TGTTCCGTCTCACGAA-1 | T_cell:CD4+_Naive | 0.07 | 408.69 | Raw ScoresT_cell:CD4+_Naive: 0.23, T_cell:CD4+_central_memory: 0.23, T_cell:CD4+_effector_memory: 0.22, T_cell:CD4+: 0.22, T_cell:CD8+_effector_memory: 0.21, T_cell:CD8+: 0.21, Pro-B_cell_CD34+: 0.21, T_cell:CD8+_naive: 0.21, Pre-B_cell_CD34-: 0.21, NK_cell: 0.21 |
T230_ACTATTCGTGGACCTC-1 | T_cell:CD4+_Naive | 0.11 | 408.68 | Raw ScoresT_cell:CD4+_Naive: 0.33, T_cell:CD4+_central_memory: 0.32, Pro-B_cell_CD34+: 0.32, T_cell:CD4+_effector_memory: 0.32, T_cell:CD4+: 0.31, GMP: 0.31, T_cell:CD8+: 0.31, CMP: 0.3, B_cell:Memory: 0.3, T_cell:gamma-delta: 0.3 |
T175_TCAGTCCCAGCGATTT-1 | Neurons:adrenal_medulla_cell_line | 0.10 | 402.79 | Raw ScoresNeurons:adrenal_medulla_cell_line: 0.31, Pro-B_cell_CD34+: 0.29, MEP: 0.28, iPS_cells:PDB_1lox-21Puro-20: 0.27, B_cell:CXCR4+_centroblast: 0.27, iPS_cells:PDB_2lox-17: 0.27, B_cell:Germinal_center: 0.27, iPS_cells:PDB_2lox-21: 0.27, iPS_cells:PDB_2lox-22: 0.27, iPS_cells:PDB_1lox-17Puro-5: 0.27 |
T175_TCATGAGGTCGGCCTA-1 | T_cell:CD4+_Naive | 0.05 | 398.11 | Raw ScoresPro-B_cell_CD34+: 0.37, GMP: 0.36, MEP: 0.35, CMP: 0.35, T_cell:gamma-delta: 0.35, T_cell:CD4+_central_memory: 0.34, B_cell:Germinal_center: 0.34, B_cell:CXCR4-_centrocyte: 0.33, T_cell:CD4+_Naive: 0.33, B_cell:CXCR4+_centroblast: 0.33 |
T175_CTGTATTCAAACTAAG-1 | T_cell:CD4+_Naive | 0.07 | 397.69 | Raw ScoresT_cell:CD4+_Naive: 0.28, T_cell:CD4+_central_memory: 0.28, T_cell:CD4+_effector_memory: 0.28, T_cell:CD8+_effector_memory: 0.27, Pro-B_cell_CD34+: 0.26, T_cell:CD8+: 0.26, T_cell:CD8+_naive: 0.26, T_cell:CD4+: 0.26, NK_cell:CD56hiCD62L+: 0.26, B_cell:Memory: 0.26 |
T175_TTACGTTGTGCACATT-1 | T_cell:CD4+_Naive | 0.09 | 397.58 | Raw ScoresT_cell:CD4+_Naive: 0.29, T_cell:CD4+_central_memory: 0.29, Pro-B_cell_CD34+: 0.29, T_cell:CD4+_effector_memory: 0.28, T_cell:CD8+: 0.28, T_cell:CD4+: 0.28, GMP: 0.27, Pre-B_cell_CD34-: 0.27, T_cell:gamma-delta: 0.26, B_cell:Memory: 0.26 |
T175_TCACTCGTCCTTTAGT-1 | Neurons:adrenal_medulla_cell_line | 0.03 | 395.46 | Raw ScoresT_cell:CD4+_Naive: 0.23, T_cell:CD4+_central_memory: 0.23, T_cell:CD4+_effector_memory: 0.23, T_cell:CD8+: 0.22, T_cell:CD8+_effector_memory: 0.22, T_cell:CD4+: 0.22, B_cell:Memory: 0.22, T_cell:CD8+_naive: 0.22, Pro-B_cell_CD34+: 0.22, NK_cell:CD56hiCD62L+: 0.21 |
T230_GGCAGTCAGAGTGTTA-1 | Neurons:adrenal_medulla_cell_line | 0.12 | 394.70 | Raw ScoresNeurons:adrenal_medulla_cell_line: 0.32, Neuroepithelial_cell:ESC-derived: 0.27, Astrocyte:Embryonic_stem_cell-derived: 0.26, Neurons:ES_cell-derived_neural_precursor: 0.25, iPS_cells:PDB_2lox-22: 0.25, iPS_cells:CRL2097_foreskin-derived:undiff.: 0.25, Embryonic_stem_cells: 0.24, iPS_cells:PDB_1lox-21Puro-20: 0.24, iPS_cells:PDB_1lox-17Puro-5: 0.24, iPS_cells:adipose_stem_cell-derived:minicircle-derived: 0.24 |
T230_CATACTTAGTCACAGG-1 | Pro-B_cell_CD34+ | 0.12 | 394.19 | Raw ScoresPro-B_cell_CD34+: 0.4, GMP: 0.39, T_cell:gamma-delta: 0.38, CMP: 0.38, MEP: 0.37, T_cell:effector: 0.37, NK_cell:IL2: 0.37, T_cell:CD4+_central_memory: 0.37, T_cell:CCR10+CLA+1,25(OH)2_vit_D3/IL-12: 0.36, B_cell:immature: 0.36 |
T175_AGGTAGGCATTCACAG-1 | T_cell:CD4+_Naive | 0.07 | 387.30 | Raw ScoresT_cell:CD4+_Naive: 0.25, T_cell:CD4+_central_memory: 0.25, T_cell:CD4+_effector_memory: 0.25, Pro-B_cell_CD34+: 0.24, T_cell:CD8+_effector_memory: 0.24, B_cell:Memory: 0.24, NK_cell:CD56hiCD62L+: 0.24, T_cell:CD8+: 0.24, T_cell:CD4+: 0.24, T_cell:CD8+_naive: 0.23 |
T175_TCAATTCCATCGTGCG-1 | Neurons:adrenal_medulla_cell_line | 0.11 | 385.52 | Raw ScoresNeurons:adrenal_medulla_cell_line: 0.33, Pro-B_cell_CD34+: 0.28, Neuroepithelial_cell:ESC-derived: 0.28, iPS_cells:PDB_1lox-17Puro-5: 0.28, iPS_cells:PDB_2lox-22: 0.28, iPS_cells:PDB_1lox-21Puro-20: 0.28, iPS_cells:PDB_2lox-17: 0.27, iPS_cells:PDB_2lox-21: 0.27, iPS_cells:PDB_1lox-17Puro-10: 0.27, iPS_cells:CRL2097_foreskin-derived:undiff.: 0.27 |
T230_TAAGCACGTTCGTACA-1 | T_cell:CD4+_central_memory | 0.09 | 377.74 | Raw ScoresT_cell:CD4+_central_memory: 0.29, T_cell:CD4+_Naive: 0.29, T_cell:CD4+_effector_memory: 0.29, T_cell:CD8+_effector_memory: 0.28, Pro-B_cell_CD34+: 0.28, T_cell:CD4+: 0.28, NK_cell: 0.27, T_cell:CD8+_naive: 0.27, T_cell:CD8+: 0.27, T_cell:CD8+_Central_memory: 0.27 |
T230_CCTGTTGGTCATCACA-1 | T_cell:CD4+_Naive | 0.10 | 376.71 | Raw ScoresT_cell:CD4+_Naive: 0.35, T_cell:CD4+_central_memory: 0.34, T_cell:CD4+_effector_memory: 0.34, T_cell:CD4+: 0.34, T_cell:CD8+: 0.34, Pro-B_cell_CD34+: 0.33, NK_cell: 0.33, T_cell:gamma-delta: 0.33, GMP: 0.33, NK_cell:IL2: 0.32 |
T230_GGGACCTAGTTCCTGA-1 | Pro-B_cell_CD34+ | 0.07 | 376.18 | Raw ScoresT_cell:CD4+_central_memory: 0.32, Pro-B_cell_CD34+: 0.31, T_cell:CD4+_effector_memory: 0.31, GMP: 0.31, T_cell:CD4+_Naive: 0.31, T_cell:gamma-delta: 0.31, NK_cell:IL2: 0.31, CMP: 0.31, NK_cell: 0.31, B_cell:Memory: 0.31 |
T175_AACACACGTCGTTTCC-1 | Neurons:adrenal_medulla_cell_line | 0.03 | 374.24 | Raw ScoresT_cell:CD4+_central_memory: 0.26, T_cell:CD4+_Naive: 0.25, T_cell:CD4+_effector_memory: 0.25, Pro-B_cell_CD34+: 0.25, T_cell:CD4+: 0.25, B_cell:Memory: 0.24, T_cell:CD8+: 0.24, T_cell:CD8+_effector_memory: 0.24, B_cell:Naive: 0.24, Pre-B_cell_CD34-: 0.24 |
T175_GCATGATTCTCGGGAC-1 | Neurons:adrenal_medulla_cell_line | 0.11 | 369.15 | Raw ScoresNeurons:adrenal_medulla_cell_line: 0.32, Neuroepithelial_cell:ESC-derived: 0.25, Astrocyte:Embryonic_stem_cell-derived: 0.25, iPS_cells:PDB_1lox-21Puro-20: 0.25, iPS_cells:PDB_1lox-17Puro-5: 0.25, iPS_cells:PDB_1lox-17Puro-10: 0.25, iPS_cells:PDB_1lox-21Puro-26: 0.25, iPS_cells:PDB_2lox-22: 0.25, iPS_cells:CRL2097_foreskin-derived:undiff.: 0.25, iPS_cells:PDB_2lox-17: 0.24 |
T175_GCGTGCACATAGGCGA-1 | Neurons:adrenal_medulla_cell_line | 0.17 | 354.70 | Raw ScoresNeurons:adrenal_medulla_cell_line: 0.38, Neuroepithelial_cell:ESC-derived: 0.33, iPS_cells:PDB_1lox-21Puro-20: 0.31, iPS_cells:PDB_1lox-17Puro-10: 0.31, iPS_cells:PDB_1lox-21Puro-26: 0.31, iPS_cells:CRL2097_foreskin-derived:undiff.: 0.31, iPS_cells:PDB_2lox-22: 0.31, iPS_cells:PDB_1lox-17Puro-5: 0.31, iPS_cells:PDB_2lox-17: 0.3, iPS_cells:PDB_2lox-21: 0.3 |
T175_GTCATCCTCAAGGCTT-1 | T_cell:CD4+_Naive | 0.07 | 345.08 | Raw ScoresT_cell:CD4+_Naive: 0.26, T_cell:CD4+_central_memory: 0.25, T_cell:CD4+_effector_memory: 0.25, Pro-B_cell_CD34+: 0.25, T_cell:CD8+_effector_memory: 0.24, T_cell:CD4+: 0.24, T_cell:CD8+: 0.24, B_cell:Memory: 0.24, T_cell:CD8+_naive: 0.24, NK_cell: 0.24 |
T230_AGGTAGGAGGTCTACT-1 | T_cell:CD4+_Naive | 0.05 | 341.41 | Raw ScoresPro-B_cell_CD34+: 0.27, GMP: 0.27, CMP: 0.26, T_cell:CD4+_Naive: 0.26, T_cell:CD4+_central_memory: 0.26, T_cell:CD4+_effector_memory: 0.25, T_cell:gamma-delta: 0.25, MEP: 0.25, T_cell:effector: 0.25, B_cell:Memory: 0.24 |
T71_TTTGCGCAGGCCCGTT.1 | T_cell:gamma-delta | 0.08 | 329.03 | Raw ScoresPro-B_cell_CD34+: 0.35, T_cell:gamma-delta: 0.34, T_cell:effector: 0.33, T_cell:CCR10-CLA+1,25(OH)2_vit_D3/IL-12: 0.33, T_cell:CCR10+CLA+1,25(OH)2_vit_D3/IL-12: 0.33, B_cell:CXCR4+_centroblast: 0.33, GMP: 0.33, MEP: 0.33, T_cell:CD4+_central_memory: 0.33, B_cell:Germinal_center: 0.33 |
Below shows the significant enrichments of this GEP for literature curated gene lists
This data was procured from existing single cell RNA-seq maps of neuroblastoma or related relevant data.
High ranks indicate this gene is a driver of this GEP.
These curated gene list are ranked by the P-value (on this GEP) of their constituent genes.
The Mean Count column shows the mean read count in cells scoring highly (H > 50) on this gene expression program.
Genes | Weight | Rank | GTEx | DepMap | Decartes | Mean.Counts | Mean.TPM |
---|---|---|---|---|---|---|---|
CD247 | 0.0016221 | 214 | GTEx | DepMap | Descartes | 0.70 | 118.05 |
PTPRC | 0.0015996 | 225 | GTEx | DepMap | Descartes | 1.79 | 126.87 |
Proteasomal degradation (Kinker)
These marker genes were obtained in a pan cancer cell lines NMF analysis of scRNA-eq data in Kinker et al (PMID 33128048) - 10 metaprograms were recovered that manifest across cancers, this is for proteasomal degradataion:
Wilcoxon ranksum test P-value for gene set overrepresentation: 1.26e-02
Mean rank of genes in gene set: 2650.4
Rank on gene expression program of genes in gene set:
Genes | Weight | Rank | GTEx | DepMap | Decartes | Mean.Counts | Mean.TPM |
---|---|---|---|---|---|---|---|
PSME2 | 0.0010204 | 437 | GTEx | DepMap | Descartes | 2.83 | 196.26 |
PSMA4 | 0.0007773 | 616 | GTEx | DepMap | Descartes | 1.74 | 96.19 |
PSMA3 | 0.0006668 | 763 | GTEx | DepMap | Descartes | 0.99 | 168.22 |
PSMB3 | 0.0003597 | 1618 | GTEx | DepMap | Descartes | 2.19 | 583.02 |
PSMC2 | -0.0002443 | 9818 | GTEx | DepMap | Descartes | 0.39 | 19.38 |
Cell cycle (Dong)
Markers obtained in computationally inferred meta program (by NMF applied to their neuroblastoma sc-RNA-seq data) from Fig. 5(a) of Dong et al. (PMID 32946775).:
Wilcoxon ranksum test P-value for gene set overrepresentation: 1.32e-02
Mean rank of genes in gene set: 1628.67
Rank on gene expression program of genes in gene set:
Genes | Weight | Rank | GTEx | DepMap | Decartes | Mean.Counts | Mean.TPM |
---|---|---|---|---|---|---|---|
MKI67 | 0.0006657 | 764 | GTEx | DepMap | Descartes | 1.35 | 21.31 |
PCNA | 0.0004918 | 1160 | GTEx | DepMap | Descartes | 1.38 | 205.35 |
TOP2A | 0.0001456 | 2962 | GTEx | DepMap | Descartes | 1.92 | 62.34 |
Below shows ranks on this GEP for literature curated gene lists for large gene sets
These include those reported as mesenchymal/adrenergic by Van Groningen et al.
High ranks indicate this gene is a driver of this GEP (note these results are not ordered).
The Mean Count column shows the mean read count in cells scoring highly (H > 50) on this gene expression program.
VanGroningen Adrenergic Genes
Adrenergic marker genes from Supplementary Table 2 of Van Groningen et al. Nature Genetics 2017. These genes were identified by differential expression analysis of mesenchymal-like and adrenergic-like neuroblastoma cell lines.
Wilcoxon ranksum test P-value for gene set overrepresentation: 1.00e+00
Mean rank of genes in gene set: 9977.67
Median rank of genes in gene set: 11577
Rank on gene expression program of top 30 genes in gene set:
Genes | Weight | Rank | GTEx | DepMap | Descartes | Mean.Counts | Mean.TPM |
---|---|---|---|---|---|---|---|
KLF13 | 0.0022684 | 125 | GTEx | DepMap | Descartes | 0.90 | 47.74 |
H1FX | 0.0020373 | 147 | GTEx | DepMap | Descartes | 5.11 | NA |
MSI2 | 0.0019189 | 162 | GTEx | DepMap | Descartes | 1.23 | 44.94 |
EVL | 0.0018785 | 170 | GTEx | DepMap | Descartes | 2.68 | 219.94 |
UCP2 | 0.0016807 | 202 | GTEx | DepMap | Descartes | 1.97 | 300.46 |
ANP32A | 0.0012679 | 323 | GTEx | DepMap | Descartes | 1.54 | 116.61 |
GLRX | 0.0010346 | 430 | GTEx | DepMap | Descartes | 1.10 | 91.45 |
SATB1 | 0.0009947 | 458 | GTEx | DepMap | Descartes | 0.68 | 34.01 |
RRM2 | 0.0009141 | 498 | GTEx | DepMap | Descartes | 0.77 | 49.56 |
VRK1 | 0.0008629 | 531 | GTEx | DepMap | Descartes | 0.38 | 62.22 |
NUSAP1 | 0.0008055 | 595 | GTEx | DepMap | Descartes | 1.33 | 97.45 |
TUBB4B | 0.0007686 | 628 | GTEx | DepMap | Descartes | 2.93 | 293.36 |
HMGA1 | 0.0007136 | 693 | GTEx | DepMap | Descartes | 2.45 | 242.94 |
RUFY3 | 0.0006350 | 803 | GTEx | DepMap | Descartes | 0.81 | 49.63 |
CELF2 | 0.0006238 | 826 | GTEx | DepMap | Descartes | 0.81 | 33.08 |
DAPK1 | 0.0006219 | 829 | GTEx | DepMap | Descartes | 0.18 | 18.40 |
CYFIP2 | 0.0005785 | 921 | GTEx | DepMap | Descartes | 0.58 | 27.05 |
CDKN2C | 0.0005451 | 994 | GTEx | DepMap | Descartes | 0.44 | 74.76 |
FIGNL1 | 0.0003952 | 1465 | GTEx | DepMap | Descartes | 0.20 | 27.42 |
CCDC167 | 0.0003848 | 1510 | GTEx | DepMap | Descartes | 1.28 | 475.97 |
CDKN3 | 0.0003671 | 1589 | GTEx | DepMap | Descartes | 0.70 | 109.83 |
MAPK8 | 0.0002333 | 2282 | GTEx | DepMap | Descartes | 0.28 | 14.04 |
KIF15 | 0.0002173 | 2395 | GTEx | DepMap | Descartes | 0.18 | 5.24 |
CETN3 | 0.0002144 | 2424 | GTEx | DepMap | Descartes | 0.25 | 29.15 |
PPP2R3C | 0.0002093 | 2453 | GTEx | DepMap | Descartes | 0.39 | 57.90 |
EXOC5 | 0.0001930 | 2550 | GTEx | DepMap | Descartes | 0.23 | 4.78 |
CHML | 0.0001861 | 2613 | GTEx | DepMap | Descartes | 0.38 | 13.29 |
STRA6 | 0.0001632 | 2809 | GTEx | DepMap | Descartes | 0.04 | 1.98 |
FBXO8 | 0.0001593 | 2845 | GTEx | DepMap | Descartes | 0.09 | 15.10 |
KIF2A | 0.0001406 | 3013 | GTEx | DepMap | Descartes | 0.73 | 23.87 |
VanGroningen Mesenchymal Genes
Mesenchymal marker genes from Supplementary Table 2 of Van Groningen et al. Nature Genetics 2017. These genes were identified by differential expression analysis of mesenchymal-like and adrenergic-like neuroblastoma cell lines.
Wilcoxon ranksum test P-value for gene set overrepresentation: 1.00e+00
Mean rank of genes in gene set: 6944.74
Median rank of genes in gene set: 7731
Rank on gene expression program of top 30 genes in gene set:
Genes | Weight | Rank | GTEx | DepMap | Descartes | Mean.Counts | Mean.TPM |
---|---|---|---|---|---|---|---|
GAS2 | 0.0110704 | 7 | GTEx | DepMap | Descartes | 0.40 | 30.20 |
ID1 | 0.0047749 | 32 | GTEx | DepMap | Descartes | 1.82 | 360.70 |
ITGA4 | 0.0033511 | 56 | GTEx | DepMap | Descartes | 0.56 | 38.30 |
RGS10 | 0.0028631 | 80 | GTEx | DepMap | Descartes | 2.74 | 900.17 |
MBNL1 | 0.0026722 | 93 | GTEx | DepMap | Descartes | 1.05 | 45.04 |
REST | 0.0024400 | 110 | GTEx | DepMap | Descartes | 0.39 | 21.60 |
HIST1H2AC | 0.0024368 | 112 | GTEx | DepMap | Descartes | 0.70 | NA |
ABRACL | 0.0023899 | 115 | GTEx | DepMap | Descartes | 1.56 | NA |
AEBP1 | 0.0023607 | 120 | GTEx | DepMap | Descartes | 0.54 | 64.54 |
TRIM5 | 0.0017824 | 183 | GTEx | DepMap | Descartes | 0.07 | 3.14 |
EDEM1 | 0.0017041 | 198 | GTEx | DepMap | Descartes | 0.28 | 19.54 |
SH3BGRL | 0.0016253 | 212 | GTEx | DepMap | Descartes | 1.16 | 184.54 |
MYL12A | 0.0016120 | 219 | GTEx | DepMap | Descartes | 3.70 | 754.19 |
MBD2 | 0.0015827 | 232 | GTEx | DepMap | Descartes | 0.47 | 26.35 |
MYL12B | 0.0014686 | 254 | GTEx | DepMap | Descartes | 3.60 | 791.22 |
IGF2R | 0.0014490 | 260 | GTEx | DepMap | Descartes | 0.28 | 7.85 |
PCSK5 | 0.0013944 | 274 | GTEx | DepMap | Descartes | 0.04 | 2.01 |
HES1 | 0.0013906 | 278 | GTEx | DepMap | Descartes | 0.70 | 94.21 |
OSTC | 0.0012729 | 319 | GTEx | DepMap | Descartes | 1.93 | 443.52 |
MAN2A1 | 0.0012131 | 344 | GTEx | DepMap | Descartes | 0.18 | 15.13 |
ITM2C | 0.0011244 | 378 | GTEx | DepMap | Descartes | 1.54 | 261.31 |
SLC30A1 | 0.0010868 | 401 | GTEx | DepMap | Descartes | 0.28 | 14.93 |
NR3C1 | 0.0009712 | 472 | GTEx | DepMap | Descartes | 0.50 | 20.45 |
TRAM1 | 0.0008765 | 525 | GTEx | DepMap | Descartes | 0.72 | 54.35 |
SYNJ2 | 0.0008589 | 538 | GTEx | DepMap | Descartes | 0.09 | 2.22 |
MOB1A | 0.0008363 | 558 | GTEx | DepMap | Descartes | 0.83 | 37.90 |
EVA1A | 0.0008312 | 563 | GTEx | DepMap | Descartes | 0.05 | NA |
LPP | 0.0008275 | 566 | GTEx | DepMap | Descartes | 0.26 | 5.05 |
FAM120A | 0.0007987 | 601 | GTEx | DepMap | Descartes | 0.38 | 18.19 |
SPCS3 | 0.0007722 | 623 | GTEx | DepMap | Descartes | 0.87 | 41.54 |
Descartes adrenocortical markers
Top 50 marker genes of adrenocortical cells in the Decartes fetal adrenal single cell map (https://atlas.brotmanbaty.org/bbi/human-gene-expression-during-development/cell/adrenocortical/in/adrenal)
Wilcoxon ranksum test P-value for gene set overrepresentation: 9.39e-01
Mean rank of genes in gene set: 7208.94
Median rank of genes in gene set: 8163.5
Rank on gene expression program of top 30 genes in gene set:
Genes | Weight | Rank | GTEx | DepMap | Descartes | Mean.Counts | Mean.TPM |
---|---|---|---|---|---|---|---|
FDXR | 0.0005709 | 936 | GTEx | DepMap | Descartes | 0.19 | 15.58 |
ERN1 | 0.0004557 | 1262 | GTEx | DepMap | Descartes | 0.34 | 11.69 |
FDX1 | 0.0003760 | 1552 | GTEx | DepMap | Descartes | 0.53 | 44.77 |
LDLR | 0.0003603 | 1616 | GTEx | DepMap | Descartes | 0.14 | 6.02 |
FDPS | 0.0003157 | 1846 | GTEx | DepMap | Descartes | 1.38 | 146.42 |
POR | 0.0002156 | 2411 | GTEx | DepMap | Descartes | 0.19 | 27.85 |
IGF1R | 0.0001855 | 2620 | GTEx | DepMap | Descartes | 0.19 | 2.49 |
GRAMD1B | 0.0001626 | 2816 | GTEx | DepMap | Descartes | 0.11 | 3.71 |
MSMO1 | 0.0001102 | 3288 | GTEx | DepMap | Descartes | 0.27 | 32.43 |
CYB5B | 0.0000401 | 4040 | GTEx | DepMap | Descartes | 0.29 | 18.61 |
PAPSS2 | -0.0000092 | 4733 | GTEx | DepMap | Descartes | 0.03 | 2.90 |
FREM2 | -0.0000328 | 5255 | GTEx | DepMap | Descartes | 0.00 | 0.00 |
INHA | -0.0000573 | 5918 | GTEx | DepMap | Descartes | 0.01 | 1.19 |
TM7SF2 | -0.0000785 | 6482 | GTEx | DepMap | Descartes | 0.21 | 51.01 |
SGCZ | -0.0000811 | 6550 | GTEx | DepMap | Descartes | 0.00 | 0.00 |
HMGCR | -0.0000838 | 6626 | GTEx | DepMap | Descartes | 0.23 | 11.77 |
FRMD5 | -0.0001222 | 7566 | GTEx | DepMap | Descartes | 0.01 | 2.31 |
HMGCS1 | -0.0001225 | 7573 | GTEx | DepMap | Descartes | 0.19 | 9.43 |
BAIAP2L1 | -0.0001795 | 8754 | GTEx | DepMap | Descartes | 0.00 | 0.00 |
STAR | -0.0001845 | 8836 | GTEx | DepMap | Descartes | 0.01 | 0.11 |
SH3PXD2B | -0.0002012 | 9149 | GTEx | DepMap | Descartes | 0.01 | 0.27 |
NPC1 | -0.0002171 | 9411 | GTEx | DepMap | Descartes | 0.05 | 1.73 |
DHCR24 | -0.0002231 | 9501 | GTEx | DepMap | Descartes | 0.04 | 1.96 |
SLC16A9 | -0.0002415 | 9774 | GTEx | DepMap | Descartes | 0.03 | 1.41 |
DHCR7 | -0.0002482 | 9847 | GTEx | DepMap | Descartes | 0.02 | 1.19 |
APOC1 | -0.0002576 | 9967 | GTEx | DepMap | Descartes | 0.46 | 118.29 |
SCARB1 | -0.0002610 | 10010 | GTEx | DepMap | Descartes | 0.06 | 2.63 |
JAKMIP2 | -0.0002742 | 10177 | GTEx | DepMap | Descartes | 0.11 | 2.90 |
SH3BP5 | -0.0002744 | 10180 | GTEx | DepMap | Descartes | 0.26 | 15.40 |
PDE10A | -0.0002799 | 10243 | GTEx | DepMap | Descartes | 0.03 | 0.79 |
Descartes chromaffin markers
Top 50 marker genes of chromaffin cells in the Decartes fetal adrenal single cell map (https://atlas.brotmanbaty.org/bbi/human-gene-expression-during-development/cell/chromaffin/in/adrenal)
Wilcoxon ranksum test P-value for gene set overrepresentation: 1.00e+00
Mean rank of genes in gene set: 11406.8
Median rank of genes in gene set: 11957
Rank on gene expression program of top 30 genes in gene set:
Genes | Weight | Rank | GTEx | DepMap | Descartes | Mean.Counts | Mean.TPM |
---|---|---|---|---|---|---|---|
ANKFN1 | -0.0000319 | 5236 | GTEx | DepMap | Descartes | 0.03 | 2.34 |
EPHA6 | -0.0001118 | 7317 | GTEx | DepMap | Descartes | 0.01 | 0.22 |
SLC44A5 | -0.0001787 | 8742 | GTEx | DepMap | Descartes | 0.02 | 0.32 |
RPH3A | -0.0002117 | 9331 | GTEx | DepMap | Descartes | 0.01 | 0.39 |
RYR2 | -0.0002533 | 9907 | GTEx | DepMap | Descartes | 0.02 | 0.16 |
HS3ST5 | -0.0002791 | 10232 | GTEx | DepMap | Descartes | 0.01 | 0.26 |
EYA4 | -0.0002896 | 10350 | GTEx | DepMap | Descartes | 0.14 | 5.26 |
ALK | -0.0003264 | 10736 | GTEx | DepMap | Descartes | 0.04 | 0.60 |
PTCHD1 | -0.0003320 | 10793 | GTEx | DepMap | Descartes | 0.03 | 0.21 |
NTRK1 | -0.0003435 | 10898 | GTEx | DepMap | Descartes | 0.27 | 27.07 |
TMEFF2 | -0.0003649 | 11090 | GTEx | DepMap | Descartes | 0.15 | 16.36 |
CNKSR2 | -0.0003749 | 11165 | GTEx | DepMap | Descartes | 0.03 | 0.68 |
FAT3 | -0.0004005 | 11359 | GTEx | DepMap | Descartes | 0.03 | 0.21 |
SLC6A2 | -0.0004198 | 11482 | GTEx | DepMap | Descartes | 0.05 | 4.53 |
KCNB2 | -0.0004234 | 11504 | GTEx | DepMap | Descartes | 0.03 | 1.25 |
PLXNA4 | -0.0004527 | 11649 | GTEx | DepMap | Descartes | 0.05 | 0.71 |
GREM1 | -0.0004599 | 11675 | GTEx | DepMap | Descartes | 0.01 | 0.11 |
SYNPO2 | -0.0004635 | 11689 | GTEx | DepMap | Descartes | 0.05 | 0.64 |
EYA1 | -0.0004750 | 11745 | GTEx | DepMap | Descartes | 0.03 | 1.10 |
RBFOX1 | -0.0004964 | 11827 | GTEx | DepMap | Descartes | 0.10 | 3.34 |
TMEM132C | -0.0005345 | 11957 | GTEx | DepMap | Descartes | 0.05 | 1.44 |
IL7 | -0.0005396 | 11965 | GTEx | DepMap | Descartes | 0.26 | 22.82 |
NPY | -0.0005616 | 12042 | GTEx | DepMap | Descartes | 2.44 | 619.41 |
GAL | -0.0005951 | 12124 | GTEx | DepMap | Descartes | 0.86 | 232.87 |
MAB21L2 | -0.0005975 | 12128 | GTEx | DepMap | Descartes | 0.10 | 6.80 |
REEP1 | -0.0005980 | 12131 | GTEx | DepMap | Descartes | 0.13 | 5.44 |
ELAVL2 | -0.0006186 | 12164 | GTEx | DepMap | Descartes | 0.18 | 6.30 |
CNTFR | -0.0006948 | 12296 | GTEx | DepMap | Descartes | 0.19 | 14.85 |
MAB21L1 | -0.0006998 | 12300 | GTEx | DepMap | Descartes | 0.55 | 26.06 |
RGMB | -0.0007157 | 12317 | GTEx | DepMap | Descartes | 0.09 | 4.28 |
Descartes Vascular_endothelial markers
Top 50 marker genes of Vascular_endothelial cells in the Decartes fetal adrenal single cell map (https://atlas.brotmanbaty.org/bbi/human-gene-expression-during-development/cell/vascular_endothelial/in/adrenal)
Wilcoxon ranksum test P-value for gene set overrepresentation: 9.53e-01
Mean rank of genes in gene set: 7256.87
Median rank of genes in gene set: 7130.5
Rank on gene expression program of top 30 genes in gene set:
Genes | Weight | Rank | GTEx | DepMap | Descartes | Mean.Counts | Mean.TPM |
---|---|---|---|---|---|---|---|
ID1 | 0.0047749 | 32 | GTEx | DepMap | Descartes | 1.82 | 360.70 |
EHD3 | 0.0002028 | 2491 | GTEx | DepMap | Descartes | 0.03 | 1.38 |
FLT4 | 0.0001238 | 3149 | GTEx | DepMap | Descartes | 0.03 | 0.75 |
CALCRL | 0.0000517 | 3881 | GTEx | DepMap | Descartes | 0.05 | 1.94 |
F8 | -0.0000100 | 4747 | GTEx | DepMap | Descartes | 0.01 | 0.03 |
CLDN5 | -0.0000117 | 4784 | GTEx | DepMap | Descartes | 0.05 | 5.44 |
SHANK3 | -0.0000135 | 4810 | GTEx | DepMap | Descartes | 0.03 | 0.34 |
RASIP1 | -0.0000403 | 5455 | GTEx | DepMap | Descartes | 0.05 | 2.36 |
TIE1 | -0.0000478 | 5646 | GTEx | DepMap | Descartes | 0.00 | 0.00 |
CYP26B1 | -0.0000506 | 5725 | GTEx | DepMap | Descartes | 0.00 | 0.00 |
ESM1 | -0.0000511 | 5736 | GTEx | DepMap | Descartes | 0.11 | 8.42 |
GALNT15 | -0.0000533 | 5814 | GTEx | DepMap | Descartes | 0.00 | NA |
CDH5 | -0.0000562 | 5885 | GTEx | DepMap | Descartes | 0.13 | 3.99 |
NR5A2 | -0.0000601 | 5998 | GTEx | DepMap | Descartes | 0.01 | 0.17 |
CRHBP | -0.0000641 | 6120 | GTEx | DepMap | Descartes | 0.00 | 0.00 |
NPR1 | -0.0000897 | 6765 | GTEx | DepMap | Descartes | 0.01 | 0.21 |
KANK3 | -0.0000898 | 6773 | GTEx | DepMap | Descartes | 0.01 | 0.68 |
SHE | -0.0000953 | 6922 | GTEx | DepMap | Descartes | 0.01 | 0.13 |
SLCO2A1 | -0.0001003 | 7047 | GTEx | DepMap | Descartes | 0.00 | 0.00 |
MMRN2 | -0.0001074 | 7214 | GTEx | DepMap | Descartes | 0.05 | 1.47 |
ROBO4 | -0.0001086 | 7236 | GTEx | DepMap | Descartes | 0.01 | 0.40 |
KDR | -0.0001111 | 7293 | GTEx | DepMap | Descartes | 0.04 | 1.05 |
PLVAP | -0.0001117 | 7312 | GTEx | DepMap | Descartes | 0.26 | 14.60 |
PTPRB | -0.0001248 | 7634 | GTEx | DepMap | Descartes | 0.01 | 0.14 |
TEK | -0.0001324 | 7817 | GTEx | DepMap | Descartes | 0.00 | 0.00 |
IRX3 | -0.0001427 | 8044 | GTEx | DepMap | Descartes | 0.06 | 2.01 |
BTNL9 | -0.0001779 | 8731 | GTEx | DepMap | Descartes | 0.01 | 0.25 |
CDH13 | -0.0001867 | 8890 | GTEx | DepMap | Descartes | 0.00 | 0.00 |
PODXL | -0.0001979 | 9098 | GTEx | DepMap | Descartes | 0.09 | 1.89 |
MYRIP | -0.0002397 | 9743 | GTEx | DepMap | Descartes | 0.01 | 0.38 |
Descartes stromal markers
Top 50 marker genes of stromal cells in the Decartes fetal adrenal single cell map (https://atlas.brotmanbaty.org/bbi/human-gene-expression-during-development/cell/stromal/in/adrenal)
Wilcoxon ranksum test P-value for gene set overrepresentation: 9.19e-01
Mean rank of genes in gene set: 7035.82
Median rank of genes in gene set: 7202.5
Rank on gene expression program of top 30 genes in gene set:
Genes | Weight | Rank | GTEx | DepMap | Descartes | Mean.Counts | Mean.TPM |
---|---|---|---|---|---|---|---|
GAS2 | 0.0110704 | 7 | GTEx | DepMap | Descartes | 0.40 | 30.20 |
HHIP | 0.0006101 | 850 | GTEx | DepMap | Descartes | 0.17 | 5.42 |
CD248 | 0.0002906 | 1971 | GTEx | DepMap | Descartes | 0.03 | 4.82 |
LRRC17 | 0.0000331 | 4139 | GTEx | DepMap | Descartes | 0.00 | 0.00 |
ADAMTS2 | 0.0000235 | 4262 | GTEx | DepMap | Descartes | 0.03 | 3.86 |
IGFBP3 | -0.0000045 | 4657 | GTEx | DepMap | Descartes | 0.64 | 34.15 |
ABCA6 | -0.0000143 | 4819 | GTEx | DepMap | Descartes | 0.02 | 2.29 |
ADAMTSL3 | -0.0000279 | 5142 | GTEx | DepMap | Descartes | 0.00 | 0.00 |
SCARA5 | -0.0000465 | 5609 | GTEx | DepMap | Descartes | 0.00 | 0.00 |
OGN | -0.0000580 | 5936 | GTEx | DepMap | Descartes | 0.01 | 0.50 |
ABCC9 | -0.0000593 | 5977 | GTEx | DepMap | Descartes | 0.00 | 0.00 |
RSPO3 | -0.0000605 | 6008 | GTEx | DepMap | Descartes | 0.01 | NA |
DKK2 | -0.0000644 | 6125 | GTEx | DepMap | Descartes | 0.00 | 0.00 |
EDNRA | -0.0000658 | 6166 | GTEx | DepMap | Descartes | 0.00 | 0.00 |
ACTA2 | -0.0000772 | 6443 | GTEx | DepMap | Descartes | 0.03 | 5.05 |
SFRP2 | -0.0000834 | 6610 | GTEx | DepMap | Descartes | 0.00 | 0.00 |
FREM1 | -0.0000871 | 6700 | GTEx | DepMap | Descartes | 0.00 | 0.00 |
COL27A1 | -0.0000873 | 6706 | GTEx | DepMap | Descartes | 0.00 | 0.00 |
GLI2 | -0.0000937 | 6878 | GTEx | DepMap | Descartes | 0.00 | 0.00 |
ITGA11 | -0.0001022 | 7096 | GTEx | DepMap | Descartes | 0.00 | 0.00 |
POSTN | -0.0001030 | 7115 | GTEx | DepMap | Descartes | 0.00 | 0.00 |
LAMC3 | -0.0001039 | 7138 | GTEx | DepMap | Descartes | 0.00 | 0.00 |
LOX | -0.0001101 | 7267 | GTEx | DepMap | Descartes | 0.01 | 0.05 |
PAMR1 | -0.0001141 | 7384 | GTEx | DepMap | Descartes | 0.00 | 0.00 |
LUM | -0.0001148 | 7394 | GTEx | DepMap | Descartes | 0.01 | 0.56 |
ISLR | -0.0001285 | 7733 | GTEx | DepMap | Descartes | 0.00 | 0.00 |
C7 | -0.0001347 | 7875 | GTEx | DepMap | Descartes | 0.01 | 0.05 |
PRRX1 | -0.0001430 | 8051 | GTEx | DepMap | Descartes | 0.00 | 0.00 |
COL1A1 | -0.0001525 | 8240 | GTEx | DepMap | Descartes | 0.01 | 0.54 |
DCN | -0.0001533 | 8265 | GTEx | DepMap | Descartes | 0.00 | 0.00 |
Descartes sympathoblasts markers
Top 50 marker genes of sympathoblasts cells in the Decartes fetal adrenal single cell map (https://atlas.brotmanbaty.org/bbi/human-gene-expression-during-development/cell/sympathoblasts/in/adrenal)
Wilcoxon ranksum test P-value for gene set overrepresentation: 1.00e+00
Mean rank of genes in gene set: 8354.08
Median rank of genes in gene set: 9223
Rank on gene expression program of top 30 genes in gene set:
Genes | Weight | Rank | GTEx | DepMap | Descartes | Mean.Counts | Mean.TPM |
---|---|---|---|---|---|---|---|
SLC35F3 | 0.0008743 | 526 | GTEx | DepMap | Descartes | 0.05 | 2.91 |
TENM1 | 0.0003644 | 1601 | GTEx | DepMap | Descartes | 0.04 | NA |
TIAM1 | 0.0001143 | 3243 | GTEx | DepMap | Descartes | 0.17 | 9.18 |
SLC24A2 | 0.0000452 | 3966 | GTEx | DepMap | Descartes | 0.01 | 0.27 |
PCSK2 | 0.0000324 | 4148 | GTEx | DepMap | Descartes | 0.02 | 1.45 |
PENK | -0.0000320 | 5239 | GTEx | DepMap | Descartes | 0.00 | 0.00 |
GRM7 | -0.0000331 | 5264 | GTEx | DepMap | Descartes | 0.01 | 0.15 |
CCSER1 | -0.0000465 | 5612 | GTEx | DepMap | Descartes | 0.03 | NA |
ST18 | -0.0000584 | 5954 | GTEx | DepMap | Descartes | 0.00 | 0.00 |
TBX20 | -0.0000721 | 6318 | GTEx | DepMap | Descartes | 0.03 | 2.86 |
HTATSF1 | -0.0000789 | 6498 | GTEx | DepMap | Descartes | 0.54 | 41.04 |
CNTN3 | -0.0000952 | 6920 | GTEx | DepMap | Descartes | 0.00 | 0.00 |
CDH18 | -0.0001110 | 7288 | GTEx | DepMap | Descartes | 0.02 | 1.19 |
CDH12 | -0.0001138 | 7372 | GTEx | DepMap | Descartes | 0.00 | 0.00 |
SORCS3 | -0.0001174 | 7463 | GTEx | DepMap | Descartes | 0.00 | 0.00 |
DGKK | -0.0001349 | 7883 | GTEx | DepMap | Descartes | 0.02 | 0.52 |
LAMA3 | -0.0001802 | 8769 | GTEx | DepMap | Descartes | 0.01 | 0.19 |
MGAT4C | -0.0001851 | 8854 | GTEx | DepMap | Descartes | 0.10 | 0.52 |
GALNTL6 | -0.0001987 | 9111 | GTEx | DepMap | Descartes | 0.05 | 2.22 |
NTNG1 | -0.0002121 | 9335 | GTEx | DepMap | Descartes | 0.05 | 1.95 |
PACRG | -0.0002127 | 9346 | GTEx | DepMap | Descartes | 0.03 | 3.22 |
SLC18A1 | -0.0002245 | 9517 | GTEx | DepMap | Descartes | 0.05 | 3.31 |
EML6 | -0.0002249 | 9524 | GTEx | DepMap | Descartes | 0.01 | 0.31 |
KSR2 | -0.0002556 | 9944 | GTEx | DepMap | Descartes | 0.02 | 0.21 |
GRID2 | -0.0002567 | 9957 | GTEx | DepMap | Descartes | 0.07 | 4.68 |
FGF14 | -0.0002661 | 10084 | GTEx | DepMap | Descartes | 0.03 | 0.31 |
ROBO1 | -0.0002887 | 10337 | GTEx | DepMap | Descartes | 0.12 | 2.50 |
AGBL4 | -0.0002918 | 10372 | GTEx | DepMap | Descartes | 0.01 | 0.36 |
SPOCK3 | -0.0003107 | 10571 | GTEx | DepMap | Descartes | 0.01 | 0.34 |
UNC80 | -0.0003592 | 11043 | GTEx | DepMap | Descartes | 0.09 | 1.29 |
Descartes erythroblasts markers
Top 50 marker genes of erythroblasts cells in the Decartes fetal adrenal single cell map (https://atlas.brotmanbaty.org/bbi/human-gene-expression-during-development/cell/erythroblasts/in/adrenal)
Wilcoxon ranksum test P-value for gene set overrepresentation: 9.24e-01
Mean rank of genes in gene set: 7239.72
Median rank of genes in gene set: 7168
Rank on gene expression program of top 30 genes in gene set:
Genes | Weight | Rank | GTEx | DepMap | Descartes | Mean.Counts | Mean.TPM |
---|---|---|---|---|---|---|---|
CAT | 0.0010781 | 407 | GTEx | DepMap | Descartes | 0.57 | 55.43 |
MICAL2 | 0.0007697 | 625 | GTEx | DepMap | Descartes | 0.08 | 2.78 |
SLC25A21 | 0.0002087 | 2458 | GTEx | DepMap | Descartes | 0.01 | 0.31 |
CPOX | 0.0001912 | 2570 | GTEx | DepMap | Descartes | 0.05 | 9.60 |
EPB41 | 0.0000630 | 3765 | GTEx | DepMap | Descartes | 0.34 | 16.59 |
ABCB10 | 0.0000080 | 4460 | GTEx | DepMap | Descartes | 0.07 | 3.61 |
RHD | -0.0000231 | 5022 | GTEx | DepMap | Descartes | 0.00 | 0.00 |
SLC4A1 | -0.0000399 | 5443 | GTEx | DepMap | Descartes | 0.00 | 0.00 |
GCLC | -0.0000450 | 5568 | GTEx | DepMap | Descartes | 0.05 | 3.28 |
RGS6 | -0.0000536 | 5824 | GTEx | DepMap | Descartes | 0.00 | 0.00 |
ALAS2 | -0.0000625 | 6075 | GTEx | DepMap | Descartes | 0.00 | 0.00 |
TRAK2 | -0.0000707 | 6289 | GTEx | DepMap | Descartes | 0.09 | 5.12 |
SPECC1 | -0.0000715 | 6307 | GTEx | DepMap | Descartes | 0.06 | 2.52 |
FECH | -0.0000938 | 6882 | GTEx | DepMap | Descartes | 0.08 | 4.10 |
SOX6 | -0.0001052 | 7168 | GTEx | DepMap | Descartes | 0.03 | 1.59 |
SELENBP1 | -0.0001302 | 7769 | GTEx | DepMap | Descartes | 0.00 | 0.00 |
SPTB | -0.0001781 | 8737 | GTEx | DepMap | Descartes | 0.06 | 1.35 |
MARCH3 | -0.0001917 | 8981 | GTEx | DepMap | Descartes | 0.01 | NA |
GYPC | -0.0002348 | 9676 | GTEx | DepMap | Descartes | 0.77 | 101.92 |
SLC25A37 | -0.0002381 | 9718 | GTEx | DepMap | Descartes | 0.22 | 11.91 |
SNCA | -0.0002440 | 9816 | GTEx | DepMap | Descartes | 0.15 | 8.75 |
BLVRB | -0.0002767 | 10202 | GTEx | DepMap | Descartes | 0.26 | 32.37 |
ANK1 | -0.0002827 | 10275 | GTEx | DepMap | Descartes | 0.03 | 0.54 |
TFR2 | -0.0003235 | 10696 | GTEx | DepMap | Descartes | 0.02 | 0.83 |
TMCC2 | -0.0003259 | 10725 | GTEx | DepMap | Descartes | 0.01 | 0.49 |
TSPAN5 | -0.0003261 | 10728 | GTEx | DepMap | Descartes | 0.32 | 26.14 |
XPO7 | -0.0003310 | 10783 | GTEx | DepMap | Descartes | 0.08 | 2.94 |
RAPGEF2 | -0.0004030 | 11380 | GTEx | DepMap | Descartes | 0.07 | 1.00 |
DENND4A | -0.0004435 | 11603 | GTEx | DepMap | Descartes | 0.22 | 5.50 |
NA | NA | NA | NA | NA | NA | NA | NA |
Descartes myeloid markers
Top 50 marker genes of myeloid cells in the Decartes fetal adrenal single cell map (https://atlas.brotmanbaty.org/bbi/human-gene-expression-during-development/cell/myeloid/in/adrenal)
Wilcoxon ranksum test P-value for gene set overrepresentation: 1.00e+00
Mean rank of genes in gene set: 8712.24
Median rank of genes in gene set: 9284
Rank on gene expression program of top 30 genes in gene set:
Genes | Weight | Rank | GTEx | DepMap | Descartes | Mean.Counts | Mean.TPM |
---|---|---|---|---|---|---|---|
ITPR2 | 0.0058288 | 22 | GTEx | DepMap | Descartes | 0.77 | 26.45 |
SLC9A9 | 0.0003025 | 1906 | GTEx | DepMap | Descartes | 0.05 | 10.29 |
CPVL | 0.0000912 | 3478 | GTEx | DepMap | Descartes | 0.67 | 72.37 |
WWP1 | 0.0000054 | 4498 | GTEx | DepMap | Descartes | 0.09 | 3.47 |
SFMBT2 | 0.0000038 | 4533 | GTEx | DepMap | Descartes | 0.10 | 2.43 |
FGL2 | -0.0000981 | 6995 | GTEx | DepMap | Descartes | 0.46 | 14.21 |
SLC1A3 | -0.0001212 | 7551 | GTEx | DepMap | Descartes | 0.01 | 0.52 |
FMN1 | -0.0001223 | 7569 | GTEx | DepMap | Descartes | 0.03 | 0.83 |
SPP1 | -0.0001332 | 7836 | GTEx | DepMap | Descartes | 0.40 | 42.01 |
HRH1 | -0.0001343 | 7867 | GTEx | DepMap | Descartes | 0.01 | 0.37 |
MERTK | -0.0001414 | 8011 | GTEx | DepMap | Descartes | 0.01 | 0.57 |
AXL | -0.0001789 | 8746 | GTEx | DepMap | Descartes | 0.05 | 1.37 |
ADAP2 | -0.0001834 | 8819 | GTEx | DepMap | Descartes | 0.05 | 3.33 |
SLCO2B1 | -0.0001837 | 8830 | GTEx | DepMap | Descartes | 0.02 | 0.50 |
ABCA1 | -0.0001848 | 8846 | GTEx | DepMap | Descartes | 0.05 | 1.05 |
CSF1R | -0.0001901 | 8951 | GTEx | DepMap | Descartes | 0.14 | 4.76 |
RGL1 | -0.0001965 | 9075 | GTEx | DepMap | Descartes | 0.01 | 0.14 |
CD163 | -0.0002063 | 9242 | GTEx | DepMap | Descartes | 0.01 | 0.34 |
CYBB | -0.0002079 | 9265 | GTEx | DepMap | Descartes | 0.19 | 8.57 |
ATP8B4 | -0.0002099 | 9303 | GTEx | DepMap | Descartes | 0.03 | 0.67 |
FGD2 | -0.0002101 | 9309 | GTEx | DepMap | Descartes | 0.06 | 1.41 |
MSR1 | -0.0002162 | 9391 | GTEx | DepMap | Descartes | 0.01 | 0.10 |
CTSS | -0.0002262 | 9546 | GTEx | DepMap | Descartes | 0.85 | 37.66 |
MS4A4A | -0.0002303 | 9608 | GTEx | DepMap | Descartes | 0.07 | 9.21 |
MARCH1 | -0.0002578 | 9973 | GTEx | DepMap | Descartes | 0.05 | NA |
LGMN | -0.0002634 | 10052 | GTEx | DepMap | Descartes | 0.22 | 20.80 |
CTSD | -0.0002768 | 10203 | GTEx | DepMap | Descartes | 0.57 | 86.71 |
CD14 | -0.0002776 | 10215 | GTEx | DepMap | Descartes | 0.14 | 13.48 |
CTSC | -0.0002796 | 10237 | GTEx | DepMap | Descartes | 0.46 | 15.61 |
HCK | -0.0002862 | 10312 | GTEx | DepMap | Descartes | 0.13 | 6.59 |
Descartes Schwann markers
Top 50 marker genes of Schwann cells in the Decartes fetal adrenal single cell map (https://atlas.brotmanbaty.org/bbi/human-gene-expression-during-development/cell/schwann/in/adrenal)
Wilcoxon ranksum test P-value for gene set overrepresentation: 1.00e+00
Mean rank of genes in gene set: 8223.91
Median rank of genes in gene set: 8367.5
Rank on gene expression program of top 30 genes in gene set:
Genes | Weight | Rank | GTEx | DepMap | Descartes | Mean.Counts | Mean.TPM |
---|---|---|---|---|---|---|---|
VIM | 0.0007065 | 706 | GTEx | DepMap | Descartes | 7.34 | 592.87 |
HMGA2 | 0.0005178 | 1074 | GTEx | DepMap | Descartes | 0.00 | 0.00 |
GAS7 | 0.0003024 | 1907 | GTEx | DepMap | Descartes | 0.07 | 2.80 |
COL25A1 | 0.0002739 | 2051 | GTEx | DepMap | Descartes | 0.03 | 0.35 |
ERBB3 | 0.0000325 | 4146 | GTEx | DepMap | Descartes | 0.01 | 1.00 |
IL1RAPL2 | -0.0000251 | 5070 | GTEx | DepMap | Descartes | 0.00 | 0.00 |
MDGA2 | -0.0000393 | 5430 | GTEx | DepMap | Descartes | 0.00 | 0.00 |
NRXN3 | -0.0000500 | 5709 | GTEx | DepMap | Descartes | 0.01 | 0.18 |
IL1RAPL1 | -0.0000523 | 5781 | GTEx | DepMap | Descartes | 0.00 | 0.00 |
PTPRZ1 | -0.0000734 | 6347 | GTEx | DepMap | Descartes | 0.00 | 0.00 |
TRPM3 | -0.0000747 | 6388 | GTEx | DepMap | Descartes | 0.00 | 0.00 |
ADAMTS5 | -0.0000898 | 6775 | GTEx | DepMap | Descartes | 0.01 | 0.09 |
EGFLAM | -0.0000911 | 6818 | GTEx | DepMap | Descartes | 0.02 | 0.82 |
PLP1 | -0.0001035 | 7127 | GTEx | DepMap | Descartes | 0.00 | 0.00 |
MPZ | -0.0001177 | 7466 | GTEx | DepMap | Descartes | 0.03 | 2.49 |
ERBB4 | -0.0001218 | 7561 | GTEx | DepMap | Descartes | 0.01 | 0.13 |
OLFML2A | -0.0001328 | 7827 | GTEx | DepMap | Descartes | 0.01 | 0.26 |
EDNRB | -0.0001374 | 7944 | GTEx | DepMap | Descartes | 0.00 | 0.00 |
LRRTM4 | -0.0001382 | 7956 | GTEx | DepMap | Descartes | 0.05 | 2.92 |
STARD13 | -0.0001451 | 8092 | GTEx | DepMap | Descartes | 0.01 | 0.10 |
KCTD12 | -0.0001504 | 8195 | GTEx | DepMap | Descartes | 0.13 | 3.67 |
GRIK3 | -0.0001572 | 8351 | GTEx | DepMap | Descartes | 0.01 | 0.11 |
XKR4 | -0.0001587 | 8384 | GTEx | DepMap | Descartes | 0.00 | 0.00 |
PAG1 | -0.0001678 | 8541 | GTEx | DepMap | Descartes | 0.31 | 7.65 |
PLCE1 | -0.0001741 | 8664 | GTEx | DepMap | Descartes | 0.04 | 0.46 |
COL18A1 | -0.0001833 | 8816 | GTEx | DepMap | Descartes | 0.11 | 2.71 |
SCN7A | -0.0001894 | 8938 | GTEx | DepMap | Descartes | 0.08 | 1.67 |
COL5A2 | -0.0001895 | 8941 | GTEx | DepMap | Descartes | 0.02 | 1.11 |
VCAN | -0.0001961 | 9059 | GTEx | DepMap | Descartes | 0.17 | 1.61 |
LAMC1 | -0.0002031 | 9183 | GTEx | DepMap | Descartes | 0.01 | 0.22 |
Descartes Megakaryocytes markers
Top 50 marker genes of Megakaryocytes cells in the Decartes fetal adrenal single cell map (https://atlas.brotmanbaty.org/bbi/human-gene-expression-during-development/cell/megakaryocytes/in/adrenal)
Wilcoxon ranksum test P-value for gene set overrepresentation: 6.03e-01
Mean rank of genes in gene set: 6415.98
Median rank of genes in gene set: 6645
Rank on gene expression program of top 30 genes in gene set:
Genes | Weight | Rank | GTEx | DepMap | Descartes | Mean.Counts | Mean.TPM |
---|---|---|---|---|---|---|---|
P2RX1 | 0.0034979 | 50 | GTEx | DepMap | Descartes | 0.17 | 30.21 |
SPN | 0.0029490 | 72 | GTEx | DepMap | Descartes | 0.51 | 21.10 |
FERMT3 | 0.0012445 | 336 | GTEx | DepMap | Descartes | 0.44 | 52.90 |
INPP4B | 0.0010548 | 416 | GTEx | DepMap | Descartes | 0.13 | 4.04 |
UBASH3B | 0.0008879 | 518 | GTEx | DepMap | Descartes | 0.07 | 3.66 |
TLN1 | 0.0007711 | 624 | GTEx | DepMap | Descartes | 0.44 | 11.73 |
RAP1B | 0.0007526 | 648 | GTEx | DepMap | Descartes | 1.10 | 24.23 |
MYH9 | 0.0005338 | 1024 | GTEx | DepMap | Descartes | 0.58 | 17.33 |
ACTB | 0.0005176 | 1077 | GTEx | DepMap | Descartes | 28.19 | 2610.99 |
GP1BA | 0.0004982 | 1133 | GTEx | DepMap | Descartes | 0.01 | 1.62 |
TMSB4X | 0.0002513 | 2171 | GTEx | DepMap | Descartes | 70.62 | 9125.08 |
MCTP1 | 0.0001921 | 2560 | GTEx | DepMap | Descartes | 0.08 | 2.47 |
CD84 | 0.0001517 | 2907 | GTEx | DepMap | Descartes | 0.08 | 1.88 |
ANGPT1 | 0.0000629 | 3766 | GTEx | DepMap | Descartes | 0.01 | 0.06 |
PSTPIP2 | 0.0000038 | 4532 | GTEx | DepMap | Descartes | 0.06 | 7.44 |
FLI1 | -0.0000158 | 4851 | GTEx | DepMap | Descartes | 0.10 | 3.08 |
MMRN1 | -0.0000366 | 5358 | GTEx | DepMap | Descartes | 0.01 | 0.65 |
LTBP1 | -0.0000417 | 5490 | GTEx | DepMap | Descartes | 0.01 | 0.30 |
RAB27B | -0.0000612 | 6024 | GTEx | DepMap | Descartes | 0.02 | 0.71 |
ARHGAP6 | -0.0000729 | 6337 | GTEx | DepMap | Descartes | 0.00 | 0.00 |
SLC24A3 | -0.0000735 | 6352 | GTEx | DepMap | Descartes | 0.00 | 0.00 |
ITGB3 | -0.0000752 | 6397 | GTEx | DepMap | Descartes | 0.00 | 0.00 |
TRPC6 | -0.0000844 | 6645 | GTEx | DepMap | Descartes | 0.00 | 0.00 |
TUBB1 | -0.0000902 | 6784 | GTEx | DepMap | Descartes | 0.01 | 0.80 |
MYLK | -0.0001272 | 7695 | GTEx | DepMap | Descartes | 0.03 | 0.33 |
GSN | -0.0001436 | 8063 | GTEx | DepMap | Descartes | 0.76 | 15.98 |
TGFB1 | -0.0001633 | 8466 | GTEx | DepMap | Descartes | 0.50 | 51.83 |
PLEK | -0.0001871 | 8897 | GTEx | DepMap | Descartes | 0.63 | 31.95 |
THBS1 | -0.0001884 | 8919 | GTEx | DepMap | Descartes | 0.04 | 0.67 |
FLNA | -0.0001928 | 9005 | GTEx | DepMap | Descartes | 0.39 | 8.32 |
Descartes Lyphoid markers
Top 50 marker genes of Lyphoid cells in the Decartes fetal adrenal single cell map (https://atlas.brotmanbaty.org/bbi/human-gene-expression-during-development/cell/lymphoid/in/adrenal)
Wilcoxon ranksum test P-value for gene set overrepresentation: 3.32e-01
Mean rank of genes in gene set: 6032.62
Median rank of genes in gene set: 5985.5
Rank on gene expression program of top 30 genes in gene set:
Genes | Weight | Rank | GTEx | DepMap | Descartes | Mean.Counts | Mean.TPM |
---|---|---|---|---|---|---|---|
LEF1 | 0.0053233 | 24 | GTEx | DepMap | Descartes | 1.17 | 139.47 |
IKZF1 | 0.0029223 | 75 | GTEx | DepMap | Descartes | 0.95 | 59.93 |
CCND3 | 0.0027286 | 89 | GTEx | DepMap | Descartes | 1.02 | 130.24 |
MBNL1 | 0.0026722 | 93 | GTEx | DepMap | Descartes | 1.05 | 45.04 |
ARHGDIB | 0.0022333 | 127 | GTEx | DepMap | Descartes | 4.66 | 1020.03 |
EVL | 0.0018785 | 170 | GTEx | DepMap | Descartes | 2.68 | 219.94 |
LCP1 | 0.0018152 | 178 | GTEx | DepMap | Descartes | 1.31 | 95.48 |
PTPRC | 0.0015996 | 225 | GTEx | DepMap | Descartes | 1.79 | 126.87 |
ARHGAP15 | 0.0012451 | 335 | GTEx | DepMap | Descartes | 0.36 | 48.12 |
RCSD1 | 0.0011412 | 367 | GTEx | DepMap | Descartes | 0.58 | 27.27 |
CELF2 | 0.0006238 | 826 | GTEx | DepMap | Descartes | 0.81 | 33.08 |
SKAP1 | 0.0005785 | 922 | GTEx | DepMap | Descartes | 0.23 | 62.25 |
ETS1 | 0.0005519 | 978 | GTEx | DepMap | Descartes | 0.44 | 38.05 |
MSN | 0.0004342 | 1326 | GTEx | DepMap | Descartes | 0.82 | 54.25 |
WIPF1 | 0.0004292 | 1346 | GTEx | DepMap | Descartes | 0.58 | 39.54 |
BCL2 | 0.0003189 | 1832 | GTEx | DepMap | Descartes | 0.40 | 15.58 |
ITPKB | 0.0002120 | 2438 | GTEx | DepMap | Descartes | 0.09 | 6.05 |
SP100 | 0.0001482 | 2945 | GTEx | DepMap | Descartes | 0.35 | 18.50 |
PRKCH | 0.0000848 | 3540 | GTEx | DepMap | Descartes | 0.20 | 12.49 |
ANKRD44 | 0.0000547 | 3848 | GTEx | DepMap | Descartes | 0.26 | 7.74 |
PITPNC1 | -0.0000287 | 5168 | GTEx | DepMap | Descartes | 0.19 | 10.50 |
MCTP2 | -0.0000907 | 6803 | GTEx | DepMap | Descartes | 0.05 | 2.18 |
TOX | -0.0000965 | 6958 | GTEx | DepMap | Descartes | 0.28 | 13.48 |
DOCK10 | -0.0001151 | 7398 | GTEx | DepMap | Descartes | 0.16 | 7.62 |
PDE3B | -0.0001998 | 9129 | GTEx | DepMap | Descartes | 0.23 | 8.29 |
PLEKHA2 | -0.0002514 | 9884 | GTEx | DepMap | Descartes | 0.05 | 1.69 |
SCML4 | -0.0003374 | 10850 | GTEx | DepMap | Descartes | 0.07 | 3.15 |
STK39 | -0.0003412 | 10876 | GTEx | DepMap | Descartes | 0.15 | 12.89 |
NCALD | -0.0003512 | 10976 | GTEx | DepMap | Descartes | 0.02 | 0.74 |
BACH2 | -0.0003591 | 11041 | GTEx | DepMap | Descartes | 0.16 | 4.18 |
Below shows the ranks on this GEP for immune marker gene lists curated by CellTypist (https://www.celltypist.org/encyclopedia).
High ranks indicate this gene is a driver of this GEP.
These curated gene list are ranked by P-value (on this GEP) of their constituent genes.
The Mean Count column shows the mean read count in cells scoring highly (H > 50) on this gene expression program.
Genes | Weight | Rank | GTEx | DepMap | Decartes | Mean.Counts | Mean.TPM |
---|---|---|---|---|---|---|---|
ARPP21 | 0.0133875 | 3 | GTEx | DepMap | Descartes | 1.87 | 333.09 |
SH3TC1 | 0.0127439 | 5 | GTEx | DepMap | Descartes | 1.50 | 138.20 |
SMPD3 | 0.0086371 | 13 | GTEx | DepMap | Descartes | 1.20 | 92.96 |
RAG2 | 0.0078690 | 15 | GTEx | DepMap | Descartes | 0.17 | 39.93 |
ELOVL4 | 0.0049268 | 31 | GTEx | DepMap | Descartes | 0.59 | 111.69 |
CD52 | 0.0000746 | 3638 | GTEx | DepMap | Descartes | 2.78 | 1537.28 |
Double-positive thymocytes: Double-positive thymocytes (curated markers)
immature thymocytes capable of binding MHC class I or II in the double positive (co-receptors CD4+ and CD8+) stage:
Wilcoxon ranksum test P-value for gene set overrepresentation: 7.54e-03
Mean rank of genes in gene set: 49.5
Rank on gene expression program of genes in gene set:
Genes | Weight | Rank | GTEx | DepMap | Decartes | Mean.Counts | Mean.TPM |
---|---|---|---|---|---|---|---|
SMPD3 | 0.0086371 | 13 | GTEx | DepMap | Descartes | 1.20 | 92.96 |
CD8A | 0.0027648 | 86 | GTEx | DepMap | Descartes | 0.85 | 168.57 |
Plasma cells: Plasma cells (curated markers)
B-lymphocyte white blood cells capable of secreting large quantities of immunoglobulins or antibodies:
Wilcoxon ranksum test P-value for gene set overrepresentation: 7.88e-03
Mean rank of genes in gene set: 90
Rank on gene expression program of genes in gene set:
Genes | Weight | Rank | GTEx | DepMap | Decartes | Mean.Counts | Mean.TPM |
---|---|---|---|---|---|---|---|
MZB1 | 0.0132781 | 4 | GTEx | DepMap | Descartes | 4.46 | NA |
XBP1 | 0.0018311 | 176 | GTEx | DepMap | Descartes | 1.95 | 219.97 |