Program description and justification of annotation: 7.
Submit a comment on this gene expression program’s interpretation: CLICK
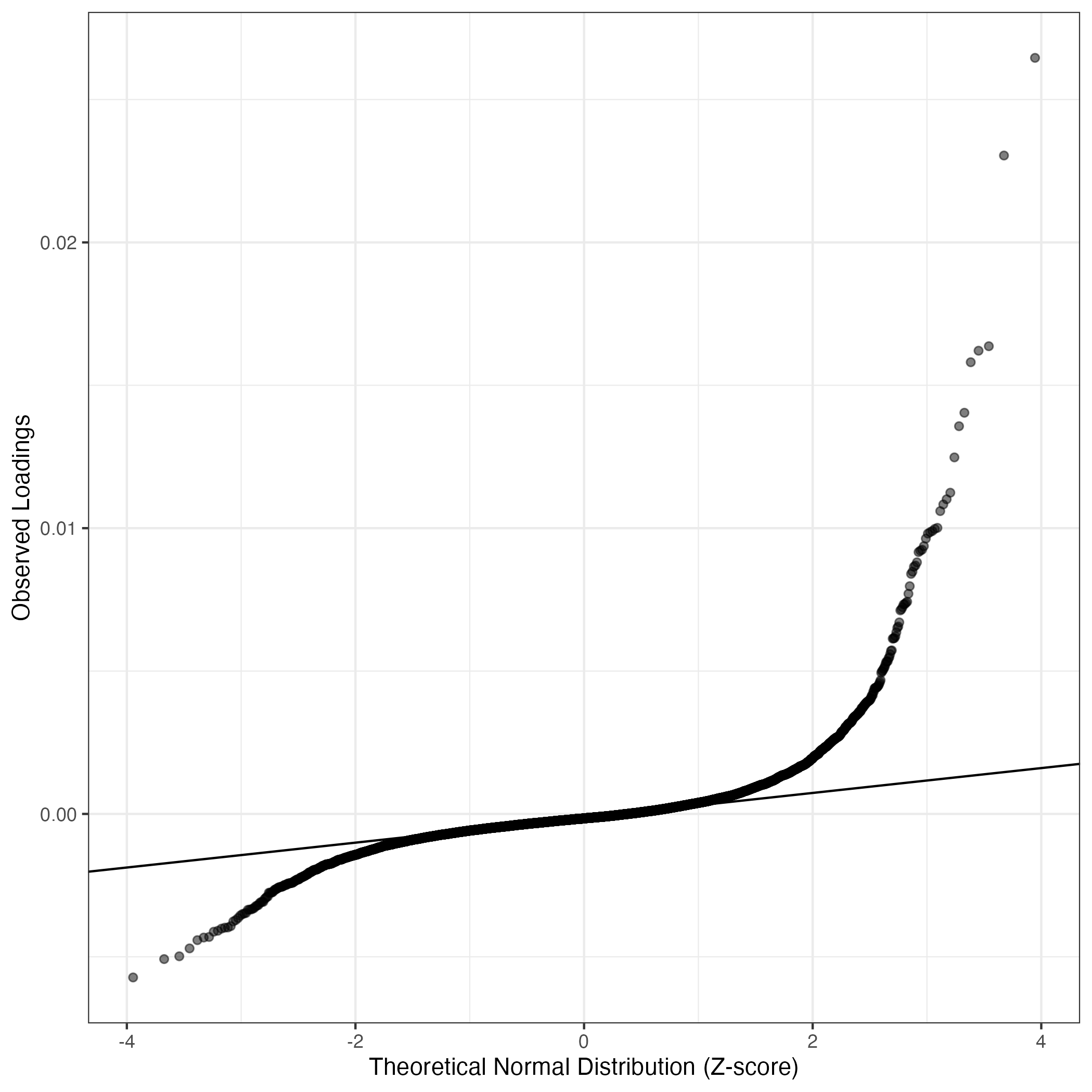
QQ-plot of gene loadings, averaged over both independent splits of the data
This plot highlights the relative contribution of each gene to the GEP
Top genes driving this program.
Note: Decartes website is buggy, try refreshing. Also, Decartes fetal adrenal data have been collected at specific time points (89-122 days), all possible cell types of interest may not be represented, do not overinterpret.
The Mean Count column shows the mean read count in cells scoring highly (H > 50) on this gene expression program.
Gene | Loading | Gene.Name | GTEx | DepMap | Descartes | Mean.Counts | Mean.Tpm | |
---|---|---|---|---|---|---|---|---|
1 | SEMA3D | 0.0264584 | semaphorin 3D | GTEx | DepMap | Descartes | 3.45 | 1786.36 |
2 | CCDC178 | 0.0230410 | coiled-coil domain containing 178 | GTEx | DepMap | Descartes | 0.93 | NA |
3 | CEP112 | 0.0163672 | centrosomal protein 112 | GTEx | DepMap | Descartes | 1.32 | 1342.81 |
4 | KCND2 | 0.0162100 | potassium voltage-gated channel subfamily D member 2 | GTEx | DepMap | Descartes | 6.29 | 2809.78 |
5 | SORCS1 | 0.0158069 | sortilin related VPS10 domain containing receptor 1 | GTEx | DepMap | Descartes | 2.75 | 1148.46 |
6 | HRAS | 0.0140390 | HRas proto-oncogene, GTPase | GTEx | DepMap | Descartes | 0.76 | 2370.85 |
7 | KCNB2 | 0.0135683 | potassium voltage-gated channel subfamily B member 2 | GTEx | DepMap | Descartes | 2.52 | 1885.73 |
8 | ZFHX4 | 0.0124770 | zinc finger homeobox 4 | GTEx | DepMap | Descartes | 0.95 | 198.61 |
9 | NRG1 | 0.0112410 | neuregulin 1 | GTEx | DepMap | Descartes | 9.44 | 1985.94 |
10 | ADCY8 | 0.0110122 | adenylate cyclase 8 | GTEx | DepMap | Descartes | 0.35 | 275.31 |
11 | TENM2 | 0.0108302 | teneurin transmembrane protein 2 | GTEx | DepMap | Descartes | 1.56 | NA |
12 | LSAMP | 0.0105981 | limbic system associated membrane protein | GTEx | DepMap | Descartes | 2.88 | 859.47 |
13 | LINGO2 | 0.0100114 | leucine rich repeat and Ig domain containing 2 | GTEx | DepMap | Descartes | 4.66 | 4191.53 |
14 | PCDH17 | 0.0099747 | protocadherin 17 | GTEx | DepMap | Descartes | 0.50 | 193.91 |
15 | ENOX1 | 0.0099004 | ecto-NOX disulfide-thiol exchanger 1 | GTEx | DepMap | Descartes | 2.61 | 2434.74 |
16 | MALAT1 | 0.0098620 | metastasis associated lung adenocarcinoma transcript 1 | GTEx | DepMap | Descartes | 172.67 | 53608.94 |
17 | CNGB1 | 0.0098109 | cyclic nucleotide gated channel subunit beta 1 | GTEx | DepMap | Descartes | 1.04 | 524.17 |
18 | PCDH15 | 0.0096353 | protocadherin related 15 | GTEx | DepMap | Descartes | 1.30 | 360.96 |
19 | RASSF7 | 0.0093717 | Ras association domain family member 7 | GTEx | DepMap | Descartes | 0.27 | 532.58 |
20 | BRINP3 | 0.0092463 | BMP/retinoic acid inducible neural specific 3 | GTEx | DepMap | Descartes | 1.40 | NA |
21 | CNTN1 | 0.0092103 | contactin 1 | GTEx | DepMap | Descartes | 2.95 | 1533.33 |
22 | ALDH1A2 | 0.0091635 | aldehyde dehydrogenase 1 family member A2 | GTEx | DepMap | Descartes | 0.42 | 301.76 |
23 | DSCAM | 0.0088048 | DS cell adhesion molecule | GTEx | DepMap | Descartes | 1.55 | NA |
24 | MARCH11 | 0.0086937 | NA | GTEx | DepMap | Descartes | 1.96 | NA |
25 | RBM20 | 0.0086503 | RNA binding motif protein 20 | GTEx | DepMap | Descartes | 0.46 | 243.58 |
26 | MEIS1 | 0.0084786 | Meis homeobox 1 | GTEx | DepMap | Descartes | 1.79 | 986.91 |
27 | IL7 | 0.0084005 | interleukin 7 | GTEx | DepMap | Descartes | 2.46 | 2733.18 |
28 | SDK2 | 0.0079700 | sidekick cell adhesion molecule 2 | GTEx | DepMap | Descartes | 0.24 | 72.05 |
29 | CDH4 | 0.0077041 | cadherin 4 | GTEx | DepMap | Descartes | 0.90 | 377.16 |
30 | CD44 | 0.0074266 | CD44 molecule (Indian blood group) | GTEx | DepMap | Descartes | 1.03 | 555.84 |
31 | PPP2R2B | 0.0073856 | protein phosphatase 2 regulatory subunit Bbeta | GTEx | DepMap | Descartes | 1.10 | 270.63 |
32 | SYNPO2 | 0.0073429 | synaptopodin 2 | GTEx | DepMap | Descartes | 0.89 | 191.59 |
33 | FAM155A | 0.0073308 | NA | GTEx | DepMap | Descartes | 7.26 | 1857.54 |
34 | TENM1 | 0.0072335 | teneurin transmembrane protein 1 | GTEx | DepMap | Descartes | 1.04 | NA |
35 | KLHL14 | 0.0071590 | kelch like family member 14 | GTEx | DepMap | Descartes | 0.20 | 159.80 |
36 | RORA | 0.0071231 | RAR related orphan receptor A | GTEx | DepMap | Descartes | 4.36 | 905.95 |
37 | H3F3B | 0.0067029 | NA | GTEx | DepMap | Descartes | 2.68 | NA |
38 | TMTC2 | 0.0065597 | transmembrane O-mannosyltransferase targeting cadherins 2 | GTEx | DepMap | Descartes | 1.48 | 631.63 |
39 | CNTNAP2 | 0.0065129 | contactin associated protein 2 | GTEx | DepMap | Descartes | 13.73 | 2682.88 |
40 | PCSK5 | 0.0063578 | proprotein convertase subtilisin/kexin type 5 | GTEx | DepMap | Descartes | 0.33 | 92.99 |
41 | TRIM9 | 0.0062191 | tripartite motif containing 9 | GTEx | DepMap | Descartes | 0.35 | 216.69 |
42 | PACRG | 0.0061548 | parkin coregulated | GTEx | DepMap | Descartes | 0.67 | 944.16 |
43 | PAG1 | 0.0061430 | phosphoprotein membrane anchor with glycosphingolipid microdomains 1 | GTEx | DepMap | Descartes | 0.82 | 223.70 |
44 | CELF4 | 0.0061354 | CUGBP Elav-like family member 4 | GTEx | DepMap | Descartes | 1.58 | 1331.96 |
45 | TBX2 | 0.0057232 | T-box transcription factor 2 | GTEx | DepMap | Descartes | 0.64 | 416.66 |
46 | ENPP6 | 0.0057086 | ectonucleotide pyrophosphatase/phosphodiesterase 6 | GTEx | DepMap | Descartes | 0.08 | 82.81 |
47 | COL22A1 | 0.0055881 | collagen type XXII alpha 1 chain | GTEx | DepMap | Descartes | 0.17 | 70.92 |
48 | NAV3 | 0.0054820 | neuron navigator 3 | GTEx | DepMap | Descartes | 0.50 | 126.69 |
49 | LUZP2 | 0.0054449 | leucine zipper protein 2 | GTEx | DepMap | Descartes | 0.50 | 318.81 |
50 | IL15 | 0.0053436 | interleukin 15 | GTEx | DepMap | Descartes | 0.16 | 76.34 |
UMAP plots showing activity of gene expression program identified in community:7. Neuroblastoma #3
CNV Data procured from inferCNV.
Outer tracks are putative CNV regions (gains = red, losses = blue) for each patient
Inner track is expression data representing:
The top cells expressing this GEP (purple)
Random cells (n =50) from the reference set used in inferCNV (orange)
Gene set Enrichments for this program, caculated from top 50 genes
mSigDB Cell Types Gene Set:
P-value | OR | Lower 95% CI | FDR | FWER | Genes Found | Gene Set Size | |
---|---|---|---|---|---|---|---|
DESCARTES_MAIN_FETAL_OLIGODENDROCYTES | 7.93e-05 | 20.12 | 5.08 | 5.91e-03 | 5.32e-02 | 4KCND2, PCDH15, BRINP3, PPP2R2B |
58 |
ZHONG_PFC_MAJOR_TYPES_OPC | 2.84e-05 | 16.14 | 4.88 | 2.72e-03 | 1.91e-02 | 5LSAMP, PCDH15, BRINP3, CNTN1, LUZP2 |
91 |
FAN_EMBRYONIC_CTX_EX_2_EXCITATORY_NEURON | 1.80e-03 | 37.11 | 3.99 | 7.09e-02 | 1.00e+00 | 2ZFHX4, PPP2R2B |
16 |
LAKE_ADULT_KIDNEY_C5_PROXIMAL_TUBULE_EPITHELIAL_CELLS_STRESS_INFLAM | 4.02e-07 | 8.69 | 3.98 | 9.00e-05 | 2.70e-04 | 11SORCS1, NRG1, TENM2, LSAMP, ENOX1, PCDH15, CNTN1, RORA, CNTNAP2, PCSK5, ENPP6 |
417 |
DESCARTES_FETAL_STOMACH_ENS_NEURONS | 2.04e-04 | 15.52 | 3.95 | 1.37e-02 | 1.37e-01 | 4CNGB1, PCDH15, DSCAM, CNTNAP2 |
74 |
MANNO_MIDBRAIN_NEUROTYPES_HDA | 3.19e-07 | 8.00 | 3.78 | 9.00e-05 | 2.14e-04 | 12SEMA3D, ADCY8, LSAMP, CNGB1, CNTN1, DSCAM, CDH4, FAM155A, TENM1, KLHL14, CELF4, NAV3 |
506 |
LAKE_ADULT_KIDNEY_C29_UNKNOWN_NOVEL_PT_CFH_POS_SUBPOPULATION_S2 | 3.63e-04 | 13.24 | 3.39 | 2.03e-02 | 2.44e-01 | 4CEP112, ALDH1A2, FAM155A, RORA |
86 |
MANNO_MIDBRAIN_NEUROTYPES_HDA1 | 1.37e-06 | 6.90 | 3.27 | 1.85e-04 | 9.23e-04 | 12KCND2, ZFHX4, ADCY8, LSAMP, CNTN1, DSCAM, CDH4, FAM155A, TENM1, RORA, CELF4, NAV3 |
584 |
MANNO_MIDBRAIN_NEUROTYPES_HNBGABA | 1.35e-06 | 6.37 | 3.09 | 1.85e-04 | 9.07e-04 | 13KCND2, SORCS1, ZFHX4, LSAMP, PCDH17, CNGB1, BRINP3, DSCAM, CDH4, FAM155A, TENM1, CNTNAP2, CELF4 |
703 |
MANNO_MIDBRAIN_NEUROTYPES_HGABA | 1.83e-07 | 5.92 | 3.08 | 9.00e-05 | 1.23e-04 | 17ZFHX4, TENM2, LSAMP, PCDH17, ENOX1, CNTN1, DSCAM, CDH4, PPP2R2B, FAM155A, TENM1, KLHL14, RORA, CNTNAP2, TRIM9, CELF4, NAV3 |
1105 |
MANNO_MIDBRAIN_NEUROTYPES_HNBML5 | 8.75e-06 | 6.87 | 3.04 | 9.79e-04 | 5.87e-03 | 10ZFHX4, TENM2, CNGB1, DSCAM, CDH4, FAM155A, TENM1, KLHL14, CNTNAP2, CELF4 |
465 |
FAN_EMBRYONIC_CTX_OPC | 1.33e-03 | 15.33 | 2.96 | 5.96e-02 | 8.94e-01 | 3PCDH15, BRINP3, CNTN1 |
55 |
ZHONG_PFC_C5_BCL11B_CALB2_POS_INP | 3.40e-03 | 26.01 | 2.87 | 1.19e-01 | 1.00e+00 | 2CNTNAP2, CELF4 |
22 |
MURARO_PANCREAS_PANCREATIC_POLYPEPTIDE_CELL | 3.45e-04 | 9.26 | 2.83 | 2.03e-02 | 2.31e-01 | 5TENM2, PCDH17, MALAT1, MEIS1, SYNPO2 |
155 |
DESCARTES_FETAL_PANCREAS_ENS_NEURONS | 4.33e-04 | 8.79 | 2.69 | 2.24e-02 | 2.91e-01 | 5NRG1, CNGB1, PCDH15, DSCAM, CNTNAP2 |
163 |
MANNO_MIDBRAIN_NEUROTYPES_HOPC | 7.30e-05 | 6.65 | 2.68 | 5.91e-03 | 4.90e-02 | 8KCND2, PCDH17, PCDH15, BRINP3, CNTN1, PPP2R2B, FAM155A, LUZP2 |
366 |
ZHONG_PFC_C2_SOX5_BCL11B_POS_EXCITATORY_NEURON | 5.48e-03 | 20.00 | 2.24 | 1.75e-01 | 1.00e+00 | 2LSAMP, CNTNAP2 |
28 |
MANNO_MIDBRAIN_NEUROTYPES_HDA2 | 6.72e-04 | 4.72 | 1.90 | 3.22e-02 | 4.51e-01 | 8PCDH17, ENOX1, CNTN1, DSCAM, CDH4, FAM155A, CNTNAP2, CELF4 |
513 |
DESCARTES_FETAL_LIVER_STELLATE_CELLS | 3.47e-03 | 7.01 | 1.81 | 1.19e-01 | 1.00e+00 | 4CCDC178, CDH4, SYNPO2, TBX2 |
159 |
DESCARTES_FETAL_INTESTINE_ENS_NEURONS | 3.55e-03 | 6.97 | 1.80 | 1.19e-01 | 1.00e+00 | 4KCND2, CNGB1, CNTN1, CNTNAP2 |
160 |
Dowload full table
mSigDB Hallmark Gene Sets:
P-value | OR | Lower 95% CI | FDR | FWER | Genes Found | Gene Set Size | |
---|---|---|---|---|---|---|---|
HALLMARK_APICAL_JUNCTION | 4.35e-02 | 4.05 | 0.80 | 9.37e-01 | 1.00e+00 | 3HRAS, CNTN1, CDH4 |
200 |
HALLMARK_IL6_JAK_STAT3_SIGNALING | 4.64e-02 | 6.13 | 0.71 | 9.37e-01 | 1.00e+00 | 2IL7, CD44 |
87 |
HALLMARK_INTERFERON_ALPHA_RESPONSE | 5.62e-02 | 5.48 | 0.64 | 9.37e-01 | 1.00e+00 | 2IL7, IL15 |
97 |
HALLMARK_IL2_STAT5_SIGNALING | 1.83e-01 | 2.64 | 0.31 | 1.00e+00 | 1.00e+00 | 2CD44, RORA |
199 |
HALLMARK_INTERFERON_GAMMA_RESPONSE | 1.85e-01 | 2.63 | 0.31 | 1.00e+00 | 1.00e+00 | 2IL7, IL15 |
200 |
HALLMARK_EPITHELIAL_MESENCHYMAL_TRANSITION | 1.85e-01 | 2.63 | 0.31 | 1.00e+00 | 1.00e+00 | 2CD44, IL15 |
200 |
HALLMARK_ALLOGRAFT_REJECTION | 1.85e-01 | 2.63 | 0.31 | 1.00e+00 | 1.00e+00 | 2IL7, IL15 |
200 |
HALLMARK_PEROXISOME | 3.39e-01 | 2.48 | 0.06 | 1.00e+00 | 1.00e+00 | 1HRAS |
104 |
HALLMARK_PI3K_AKT_MTOR_SIGNALING | 3.41e-01 | 2.45 | 0.06 | 1.00e+00 | 1.00e+00 | 1HRAS |
105 |
HALLMARK_SPERMATOGENESIS | 4.15e-01 | 1.90 | 0.05 | 1.00e+00 | 1.00e+00 | 1PACRG |
135 |
HALLMARK_APOPTOSIS | 4.72e-01 | 1.59 | 0.04 | 1.00e+00 | 1.00e+00 | 1CD44 |
161 |
HALLMARK_TNFA_SIGNALING_VIA_NFKB | 5.47e-01 | 1.28 | 0.03 | 1.00e+00 | 1.00e+00 | 1CD44 |
200 |
HALLMARK_HYPOXIA | 5.47e-01 | 1.28 | 0.03 | 1.00e+00 | 1.00e+00 | 1RORA |
200 |
HALLMARK_G2M_CHECKPOINT | 5.47e-01 | 1.28 | 0.03 | 1.00e+00 | 1.00e+00 | 1MEIS1 |
200 |
HALLMARK_ESTROGEN_RESPONSE_EARLY | 5.47e-01 | 1.28 | 0.03 | 1.00e+00 | 1.00e+00 | 1CD44 |
200 |
HALLMARK_ESTROGEN_RESPONSE_LATE | 5.47e-01 | 1.28 | 0.03 | 1.00e+00 | 1.00e+00 | 1CD44 |
200 |
HALLMARK_INFLAMMATORY_RESPONSE | 5.47e-01 | 1.28 | 0.03 | 1.00e+00 | 1.00e+00 | 1IL15 |
200 |
HALLMARK_GLYCOLYSIS | 5.47e-01 | 1.28 | 0.03 | 1.00e+00 | 1.00e+00 | 1CD44 |
200 |
HALLMARK_P53_PATHWAY | 5.47e-01 | 1.28 | 0.03 | 1.00e+00 | 1.00e+00 | 1HRAS |
200 |
HALLMARK_KRAS_SIGNALING_UP | 5.47e-01 | 1.28 | 0.03 | 1.00e+00 | 1.00e+00 | 1ALDH1A2 |
200 |
Dowload full table
KEGG Pathways:
P-value | OR | Lower 95% CI | FDR | FWER | Genes Found | Gene Set Size | |
---|---|---|---|---|---|---|---|
KEGG_CELL_ADHESION_MOLECULES_CAMS | 1.54e-02 | 6.14 | 1.21 | 1.00e+00 | 1.00e+00 | 3CNTN1, CDH4, CNTNAP2 |
133 |
KEGG_LONG_TERM_POTENTIATION | 3.13e-02 | 7.66 | 0.88 | 1.00e+00 | 1.00e+00 | 2HRAS, ADCY8 |
70 |
KEGG_ERBB_SIGNALING_PATHWAY | 4.64e-02 | 6.13 | 0.71 | 1.00e+00 | 1.00e+00 | 2HRAS, NRG1 |
87 |
KEGG_HEMATOPOIETIC_CELL_LINEAGE | 4.64e-02 | 6.13 | 0.71 | 1.00e+00 | 1.00e+00 | 2IL7, CD44 |
87 |
KEGG_GAP_JUNCTION | 4.93e-02 | 5.92 | 0.69 | 1.00e+00 | 1.00e+00 | 2HRAS, ADCY8 |
90 |
KEGG_GNRH_SIGNALING_PATHWAY | 6.04e-02 | 5.26 | 0.61 | 1.00e+00 | 1.00e+00 | 2HRAS, ADCY8 |
101 |
KEGG_MELANOGENESIS | 6.04e-02 | 5.26 | 0.61 | 1.00e+00 | 1.00e+00 | 2HRAS, ADCY8 |
101 |
KEGG_AXON_GUIDANCE | 9.18e-02 | 4.10 | 0.48 | 1.00e+00 | 1.00e+00 | 2SEMA3D, HRAS |
129 |
KEGG_TIGHT_JUNCTION | 9.54e-02 | 4.01 | 0.47 | 1.00e+00 | 1.00e+00 | 2HRAS, PPP2R2B |
132 |
KEGG_JAK_STAT_SIGNALING_PATHWAY | 1.24e-01 | 3.40 | 0.40 | 1.00e+00 | 1.00e+00 | 2IL7, IL15 |
155 |
KEGG_CHEMOKINE_SIGNALING_PATHWAY | 1.70e-01 | 2.79 | 0.33 | 1.00e+00 | 1.00e+00 | 2HRAS, ADCY8 |
189 |
KEGG_CYTOKINE_CYTOKINE_RECEPTOR_INTERACTION | 2.77e-01 | 1.98 | 0.23 | 1.00e+00 | 1.00e+00 | 2IL7, IL15 |
265 |
KEGG_THYROID_CANCER | 1.09e-01 | 9.11 | 0.22 | 1.00e+00 | 1.00e+00 | 1HRAS |
29 |
KEGG_ETHER_LIPID_METABOLISM | 1.23e-01 | 7.97 | 0.19 | 1.00e+00 | 1.00e+00 | 1ENPP6 |
33 |
KEGG_BLADDER_CANCER | 1.54e-01 | 6.22 | 0.15 | 1.00e+00 | 1.00e+00 | 1HRAS |
42 |
KEGG_INTESTINAL_IMMUNE_NETWORK_FOR_IGA_PRODUCTION | 1.74e-01 | 5.43 | 0.13 | 1.00e+00 | 1.00e+00 | 1IL15 |
48 |
KEGG_TASTE_TRANSDUCTION | 1.87e-01 | 5.00 | 0.12 | 1.00e+00 | 1.00e+00 | 1ADCY8 |
52 |
KEGG_ENDOMETRIAL_CANCER | 1.87e-01 | 5.00 | 0.12 | 1.00e+00 | 1.00e+00 | 1HRAS |
52 |
KEGG_NON_SMALL_CELL_LUNG_CANCER | 1.94e-01 | 4.81 | 0.12 | 1.00e+00 | 1.00e+00 | 1HRAS |
54 |
KEGG_ACUTE_MYELOID_LEUKEMIA | 2.03e-01 | 4.55 | 0.11 | 1.00e+00 | 1.00e+00 | 1HRAS |
57 |
Dowload full table
CHR Positional Gene Sets:
P-value | OR | Lower 95% CI | FDR | FWER | Genes Found | Gene Set Size | |
---|---|---|---|---|---|---|---|
chr18q12 | 6.42e-03 | 8.57 | 1.68 | 8.93e-01 | 1.00e+00 | 3CCDC178, KLHL14, CELF4 |
96 |
chr8q21 | 5.16e-03 | 6.25 | 1.62 | 8.93e-01 | 1.00e+00 | 4KCNB2, ZFHX4, IL7, PAG1 |
178 |
chr10q25 | 8.82e-02 | 4.20 | 0.49 | 1.00e+00 | 1.00e+00 | 2SORCS1, RBM20 |
126 |
chr12q21 | 9.06e-02 | 4.13 | 0.48 | 1.00e+00 | 1.00e+00 | 2TMTC2, NAV3 |
128 |
chr6q26 | 5.43e-02 | 19.60 | 0.45 | 1.00e+00 | 1.00e+00 | 1PACRG |
14 |
chr8q24 | 3.56e-01 | 1.63 | 0.19 | 1.00e+00 | 1.00e+00 | 2ADCY8, COL22A1 |
321 |
chr5q34 | 1.41e-01 | 6.89 | 0.17 | 1.00e+00 | 1.00e+00 | 1TENM2 |
38 |
chrXq25 | 1.74e-01 | 5.43 | 0.13 | 1.00e+00 | 1.00e+00 | 1TENM1 |
48 |
chr4q26 | 1.90e-01 | 4.91 | 0.12 | 1.00e+00 | 1.00e+00 | 1SYNPO2 |
53 |
chr13q33 | 1.97e-01 | 4.72 | 0.12 | 1.00e+00 | 1.00e+00 | 1FAM155A |
55 |
chr11p14 | 2.00e-01 | 4.64 | 0.11 | 1.00e+00 | 1.00e+00 | 1LUZP2 |
56 |
chr12q12 | 2.06e-01 | 4.47 | 0.11 | 1.00e+00 | 1.00e+00 | 1CNTN1 |
58 |
chr2p14 | 2.06e-01 | 4.47 | 0.11 | 1.00e+00 | 1.00e+00 | 1MEIS1 |
58 |
chr7q35 | 2.28e-01 | 3.99 | 0.10 | 1.00e+00 | 1.00e+00 | 1CNTNAP2 |
65 |
chr8p12 | 2.34e-01 | 3.86 | 0.09 | 1.00e+00 | 1.00e+00 | 1NRG1 |
67 |
chr1q31 | 2.46e-01 | 3.64 | 0.09 | 1.00e+00 | 1.00e+00 | 1BRINP3 |
71 |
chr16q21 | 2.55e-01 | 3.49 | 0.09 | 1.00e+00 | 1.00e+00 | 1CNGB1 |
74 |
chr14q22 | 3.01e-01 | 2.87 | 0.07 | 1.00e+00 | 1.00e+00 | 1TRIM9 |
90 |
chr17q24 | 3.12e-01 | 2.74 | 0.07 | 1.00e+00 | 1.00e+00 | 1CEP112 |
94 |
chr4q35 | 3.41e-01 | 2.45 | 0.06 | 1.00e+00 | 1.00e+00 | 1ENPP6 |
105 |
Dowload full table
Transcription Factor Targets:
P-value | OR | Lower 95% CI | FDR | FWER | Genes Found | Gene Set Size | |
---|---|---|---|---|---|---|---|
TGACAGNY_MEIS1_01 | 3.82e-08 | 7.06 | 3.62 | 4.33e-05 | 4.33e-05 | 16CEP112, HRAS, ZFHX4, NRG1, ADCY8, LSAMP, PCDH17, DSCAM, MEIS1, SDK2, PPP2R2B, RORA, TMTC2, PACRG, TBX2, NAV3 |
850 |
CDPCR3HD_01 | 3.58e-05 | 8.81 | 3.31 | 2.03e-02 | 4.05e-02 | 7KCNB2, NRG1, BRINP3, MEIS1, TMTC2, CELF4, IL15 |
238 |
PIT1_Q6 | 3.20e-04 | 7.32 | 2.52 | 1.12e-01 | 3.62e-01 | 6DSCAM, MEIS1, PPP2R2B, TENM1, RORA, TMTC2 |
239 |
CDPCR1_01 | 1.64e-03 | 8.69 | 2.24 | 2.15e-01 | 1.00e+00 | 4BRINP3, MEIS1, CELF4, IL15 |
129 |
TGTTTGY_HNF3_Q6 | 3.94e-04 | 4.24 | 1.88 | 1.12e-01 | 4.47e-01 | 10NRG1, CNTN1, ALDH1A2, DSCAM, MEIS1, SDK2, PPP2R2B, CNTNAP2, PAG1, NAV3 |
748 |
CEBPE_TARGET_GENES | 8.47e-03 | 15.77 | 1.78 | 2.94e-01 | 1.00e+00 | 2MALAT1, ALDH1A2 |
35 |
FOXM1_01 | 2.73e-03 | 5.72 | 1.76 | 2.15e-01 | 1.00e+00 | 5LSAMP, PCDH17, BRINP3, ALDH1A2, CELF4 |
248 |
E47_02 | 3.02e-03 | 5.58 | 1.71 | 2.15e-01 | 1.00e+00 | 5PCDH17, DSCAM, PPP2R2B, CELF4, COL22A1 |
254 |
HNF1_Q6 | 3.12e-03 | 5.53 | 1.70 | 2.15e-01 | 1.00e+00 | 5RASSF7, PPP2R2B, TENM1, RORA, TBX2 |
256 |
FREAC3_01 | 3.18e-03 | 5.51 | 1.69 | 2.15e-01 | 1.00e+00 | 5NRG1, SDK2, PPP2R2B, CELF4, NAV3 |
257 |
FREAC2_01 | 3.55e-03 | 5.36 | 1.65 | 2.15e-01 | 1.00e+00 | 5ZFHX4, NRG1, ENOX1, PPP2R2B, RORA |
264 |
GFI1_01 | 3.61e-03 | 5.34 | 1.64 | 2.15e-01 | 1.00e+00 | 5BRINP3, MEIS1, RORA, TMTC2, CELF4 |
265 |
E12_Q6 | 3.61e-03 | 5.34 | 1.64 | 2.15e-01 | 1.00e+00 | 5PCDH15, ALDH1A2, DSCAM, CELF4, COL22A1 |
265 |
CACCCBINDINGFACTOR_Q6 | 3.96e-03 | 5.22 | 1.60 | 2.25e-01 | 1.00e+00 | 5KCNB2, NRG1, PCDH17, MEIS1, CELF4 |
271 |
AAAYRNCTG_UNKNOWN | 3.10e-03 | 4.62 | 1.60 | 2.15e-01 | 1.00e+00 | 6NRG1, PCDH17, CNTN1, MEIS1, PACRG, NAV3 |
375 |
YNGTTNNNATT_UNKNOWN | 3.14e-03 | 4.61 | 1.59 | 2.15e-01 | 1.00e+00 | 6DSCAM, CD44, TMTC2, CNTNAP2, CELF4, TBX2 |
376 |
FOXJ2_01 | 6.12e-03 | 5.94 | 1.54 | 2.94e-01 | 1.00e+00 | 4NRG1, PCDH17, RORA, CELF4 |
187 |
PAX8_B | 8.42e-03 | 7.74 | 1.52 | 2.94e-01 | 1.00e+00 | 3NRG1, PPP2R2B, TMTC2 |
106 |
HNF3_Q6 | 6.70e-03 | 5.78 | 1.50 | 2.94e-01 | 1.00e+00 | 4NRG1, PCDH17, CELF4, NAV3 |
192 |
CAGGTA_AREB6_01 | 2.64e-03 | 3.46 | 1.47 | 2.15e-01 | 1.00e+00 | 9ZFHX4, NRG1, ENOX1, BRINP3, ALDH1A2, PPP2R2B, PACRG, CELF4, ENPP6 |
802 |
Dowload full table
GO Biological Processes:
P-value | OR | Lower 95% CI | FDR | FWER | Genes Found | Gene Set Size | |
---|---|---|---|---|---|---|---|
GOBP_CARDIAC_MUSCLE_CELL_MYOBLAST_DIFFERENTIATION | 8.35e-04 | 57.69 | 5.91 | 8.95e-01 | 1.00e+00 | 2NRG1, TBX2 |
11 |
GOBP_HETEROPHILIC_CELL_CELL_ADHESION_VIA_PLASMA_MEMBRANE_CELL_ADHESION_MOLECULES | 8.44e-04 | 18.11 | 3.48 | 8.95e-01 | 1.00e+00 | 3TENM2, CDH4, TENM1 |
47 |
GOBP_CARDIOBLAST_DIFFERENTIATION | 2.54e-03 | 30.58 | 3.34 | 1.00e+00 | 1.00e+00 | 2NRG1, TBX2 |
19 |
GOBP_CELL_CELL_ADHESION_VIA_PLASMA_MEMBRANE_ADHESION_MOLECULES | 8.38e-05 | 7.65 | 2.88 | 6.27e-01 | 6.27e-01 | 7TENM2, PCDH17, PCDH15, DSCAM, SDK2, CDH4, TENM1 |
273 |
GOBP_PHOTORECEPTOR_CELL_DIFFERENTIATION | 1.71e-03 | 13.99 | 2.71 | 1.00e+00 | 1.00e+00 | 3CNGB1, DSCAM, SDK2 |
60 |
GOBP_HOMOPHILIC_CELL_ADHESION_VIA_PLASMA_MEMBRANE_ADHESION_MOLECULES | 4.84e-04 | 8.57 | 2.62 | 8.95e-01 | 1.00e+00 | 5PCDH17, PCDH15, DSCAM, SDK2, CDH4 |
167 |
GOBP_CAMERA_TYPE_EYE_MORPHOGENESIS | 1.08e-03 | 9.79 | 2.52 | 8.95e-01 | 1.00e+00 | 4DSCAM, MEIS1, SDK2, TBX2 |
115 |
GOBP_RETINA_LAYER_FORMATION | 4.39e-03 | 22.60 | 2.52 | 1.00e+00 | 1.00e+00 | 2DSCAM, SDK2 |
25 |
GOBP_CAMERA_TYPE_EYE_PHOTORECEPTOR_CELL_DIFFERENTIATION | 4.39e-03 | 22.60 | 2.52 | 1.00e+00 | 1.00e+00 | 2DSCAM, SDK2 |
25 |
GOBP_NEGATIVE_REGULATION_OF_SYNAPTIC_TRANSMISSION | 2.25e-03 | 12.65 | 2.46 | 1.00e+00 | 1.00e+00 | 3ADCY8, PCDH17, CELF4 |
66 |
GOBP_POSITIVE_REGULATION_OF_FILOPODIUM_ASSEMBLY | 6.27e-03 | 18.58 | 2.09 | 1.00e+00 | 1.00e+00 | 2TENM2, TENM1 |
30 |
GOBP_EMBRYONIC_DIGESTIVE_TRACT_DEVELOPMENT | 6.69e-03 | 17.94 | 2.02 | 1.00e+00 | 1.00e+00 | 2ALDH1A2, PCSK5 |
31 |
GOBP_EYE_MORPHOGENESIS | 2.38e-03 | 7.82 | 2.02 | 1.00e+00 | 1.00e+00 | 4DSCAM, MEIS1, SDK2, TBX2 |
143 |
GOBP_CAMERA_TYPE_EYE_DEVELOPMENT | 1.22e-03 | 5.61 | 1.94 | 9.11e-01 | 1.00e+00 | 6ALDH1A2, DSCAM, MEIS1, SDK2, CELF4, TBX2 |
310 |
GOBP_EMBRYONIC_CAMERA_TYPE_EYE_DEVELOPMENT | 7.55e-03 | 16.78 | 1.89 | 1.00e+00 | 1.00e+00 | 2ALDH1A2, TBX2 |
33 |
GOBP_REGULATION_OF_DEVELOPMENTAL_GROWTH | 1.40e-03 | 5.45 | 1.88 | 9.55e-01 | 1.00e+00 | 6SEMA3D, DSCAM, MEIS1, IL7, CDH4, TBX2 |
319 |
GOBP_CELL_CELL_ADHESION | 3.16e-04 | 4.06 | 1.87 | 8.95e-01 | 1.00e+00 | 11TENM2, PCDH17, PCDH15, DSCAM, IL7, SDK2, CDH4, CD44, TENM1, PAG1, IL15 |
880 |
GOBP_NEURAL_CREST_CELL_DIFFERENTIATION | 5.37e-03 | 9.17 | 1.79 | 1.00e+00 | 1.00e+00 | 3SEMA3D, NRG1, ALDH1A2 |
90 |
GOBP_LOCOMOTORY_BEHAVIOR | 3.63e-03 | 6.92 | 1.79 | 1.00e+00 | 1.00e+00 | 4KCND2, ADCY8, DSCAM, MEIS1 |
161 |
GOBP_POSITIVE_REGULATION_OF_CELL_PROJECTION_ORGANIZATION | 2.04e-03 | 5.04 | 1.74 | 1.00e+00 | 1.00e+00 | 6HRAS, TENM2, CNTN1, DSCAM, CDH4, TENM1 |
344 |
Dowload full table
Immunological Gene Sets:
P-value | OR | Lower 95% CI | FDR | FWER | Genes Found | Gene Set Size | |
---|---|---|---|---|---|---|---|
GSE12003_4D_VS_8D_CULTURE_MIR223_KO_BM_PROGENITOR_UP | 2.96e-03 | 7.34 | 1.90 | 1.00e+00 | 1.00e+00 | 4KCND2, BRINP3, CNTN1, NAV3 |
152 |
GSE13522_WT_VS_IFNAR_KO_SKIN_DN | 5.06e-03 | 6.28 | 1.62 | 1.00e+00 | 1.00e+00 | 4CEP112, HRAS, CD44, RORA |
177 |
GSE37301_LYMPHOID_PRIMED_MPP_VS_RAG2_KO_NK_CELL_DN | 6.95e-03 | 5.72 | 1.48 | 1.00e+00 | 1.00e+00 | 4PCDH17, MEIS1, FAM155A, PCSK5 |
194 |
GSE360_L_MAJOR_VS_B_MALAYI_LOW_DOSE_MAC_UP | 7.32e-03 | 5.63 | 1.46 | 1.00e+00 | 1.00e+00 | 4RASSF7, CD44, FAM155A, NAV3 |
197 |
GSE19401_PAM2CSK4_VS_RETINOIC_ACID_STIM_FOLLICULAR_DC_DN | 7.32e-03 | 5.63 | 1.46 | 1.00e+00 | 1.00e+00 | 4NRG1, LSAMP, CNTN1, LUZP2 |
197 |
GSE29618_PRE_VS_DAY7_POST_TIV_FLU_VACCINE_MONOCYTE_UP | 7.45e-03 | 5.60 | 1.45 | 1.00e+00 | 1.00e+00 | 4PCDH17, BRINP3, RORA, IL15 |
198 |
GSE360_L_MAJOR_VS_B_MALAYI_HIGH_DOSE_MAC_UP | 7.71e-03 | 5.55 | 1.44 | 1.00e+00 | 1.00e+00 | 4CD44, FAM155A, PCSK5, NAV3 |
200 |
GSE5589_WT_VS_IL10_KO_LPS_AND_IL10_STIM_MACROPHAGE_180MIN_DN | 1.20e-02 | 6.76 | 1.33 | 1.00e+00 | 1.00e+00 | 3ENOX1, KLHL14, PACRG |
121 |
GSE7596_AKT_TRANSD_VS_CTRL_CD4_TCONV_WITH_TGFB_DN | 1.42e-02 | 6.33 | 1.24 | 1.00e+00 | 1.00e+00 | 3LSAMP, DSCAM, TBX2 |
129 |
GSE37605_TREG_VS_TCONV_C57BL6_FOXP3_FUSION_GFP_UP | 1.61e-02 | 6.04 | 1.19 | 1.00e+00 | 1.00e+00 | 3CNTN1, FAM155A, CELF4 |
135 |
GSE8685_IL2_ACT_IL2_STARVED_VS_IL21_ACT_IL2_STARVED_CD4_TCELL_DN | 1.90e-02 | 5.66 | 1.11 | 1.00e+00 | 1.00e+00 | 3LSAMP, PAG1, TBX2 |
144 |
GSE7459_UNTREATED_VS_IL6_TREATED_ACT_CD4_TCELL_DN | 1.93e-02 | 5.62 | 1.11 | 1.00e+00 | 1.00e+00 | 3ADCY8, ALDH1A2, PACRG |
145 |
GSE24671_CTRL_VS_SENDAI_VIRUS_INFECTED_MOUSE_SPLENOCYTES_UP | 2.53e-02 | 5.05 | 0.99 | 1.00e+00 | 1.00e+00 | 3MALAT1, CNTN1, DSCAM |
161 |
GSE3565_CTRL_VS_LPS_INJECTED_SPLENOCYTES_UP | 3.26e-02 | 4.56 | 0.90 | 1.00e+00 | 1.00e+00 | 3CD44, RORA, IL15 |
178 |
GSE2935_UV_INACTIVATED_VS_LIVE_SENDAI_VIRUS_INF_MACROPHAGE_DN | 3.31e-02 | 4.53 | 0.89 | 1.00e+00 | 1.00e+00 | 3CD44, RORA, IL15 |
179 |
GSE18791_CTRL_VS_NEWCASTLE_VIRUS_DC_1H_UP | 3.40e-02 | 4.48 | 0.88 | 1.00e+00 | 1.00e+00 | 3LSAMP, PCDH17, SDK2 |
181 |
GSE14415_INDUCED_TREG_VS_FOXP3_KO_INDUCED_TREG_DN | 3.40e-02 | 4.48 | 0.88 | 1.00e+00 | 1.00e+00 | 3CD44, RORA, IL15 |
181 |
GSE18791_UNSTIM_VS_NEWCATSLE_VIRUS_DC_2H_UP | 3.50e-02 | 4.43 | 0.87 | 1.00e+00 | 1.00e+00 | 3DSCAM, RBM20, FAM155A |
183 |
GSE41867_LCMV_ARMSTRONG_VS_CLONE13_DAY15_EFFECTOR_CD8_TCELL_DN | 3.54e-02 | 4.41 | 0.87 | 1.00e+00 | 1.00e+00 | 3KCND2, SORCS1, FAM155A |
184 |
GSE16385_IFNG_TNF_VS_ROSIGLITAZONE_STIM_MACROPHAGE_DN | 3.69e-02 | 4.34 | 0.86 | 1.00e+00 | 1.00e+00 | 3DSCAM, FAM155A, TBX2 |
187 |
Top Ranked Transcription Factors for this Gene Expression Program:
Gene Symbol | TF Rank | DNA Binding Domain | Motif Status | IUPAC PWM | GTEx | DepMap | Decartes |
---|---|---|---|---|---|---|---|
ZFHX4 | 8 | Yes | Inferred motif | Monomer or homomultimer | In vivo/Misc source | None | Curious protein with numerous C2H2 and homeodomain-like domains. |
NRG1 | 9 | No | Unlikely to be sequence specific TF | Not a DNA binding protein | No motif | None | Cell surface receptor - does not have predicted DBDs |
RBM20 | 25 | No | ssDNA/RNA binding | Not a DNA binding protein | No motif | None | Likely an RNA-binding protein |
MEIS1 | 26 | Yes | Known motif | Monomer or homomultimer | High-throughput in vitro | None | None |
RORA | 36 | Yes | Known motif | Monomer or homomultimer | High-throughput in vitro | None | None |
TBX2 | 45 | Yes | Known motif | Monomer or homomultimer | High-throughput in vitro | None | None |
DPF3 | 57 | Yes | Inferred motif | Monomer or homomultimer | High-throughput in vitro | Single C2H2 domain | Single C2H2 ZF. PHD domains mediate recognition of acetylated histones (PMID: 20613843); unclear if the ZF contributes DNA-binding specificity to the interaction. |
SETBP1 | 66 | Yes | Likely to be sequence specific TF | Monomer or homomultimer | No motif | None | Orthologous protein from mouse (Setbp1) bind DNA sequence-specifically by PBM |
EBF1 | 72 | Yes | Known motif | Monomer or homomultimer | High-throughput in vitro | None | None |
MAPK10 | 80 | No | Unlikely to be sequence specific TF | Not a DNA binding protein | No motif | None | Protein is a kinase |
MYRF | 99 | Yes | Known motif | Monomer or homomultimer | High-throughput in vitro | None | Mouse ortholog binds a highly similar motif. |
TOP2A | 100 | No | Unlikely to be sequence specific TF | Low specificity DNA-binding protein | No motif | None | DNA topoisomerase. Binds DNA in the crystal structure (PDB: 4FM9). |
FOXN4 | 102 | Yes | Known motif | Monomer or homomultimer | In vivo/Misc source | Only known motifs are from Transfac or HocoMoco - origin is uncertain | None |
SOX5 | 121 | Yes | Known motif | Monomer or homomultimer | High-throughput in vitro | None | None |
UNK | 123 | No | ssDNA/RNA binding | Not a DNA binding protein | No motif | None | None |
BPTF | 125 | Yes | Known motif | Monomer or homomultimer | In vivo/Misc source | Only known motifs are from Transfac or HocoMoco - origin is uncertain; Has a putative AT-hook | (PMID: 10575013) obtained a motif by SELEX and showed that mutating the sequence diminished binding in vitro. Unusual for a PHD/Ring finger, but its there in the literature. |
PABPN1 | 127 | No | ssDNA/RNA binding | Not a DNA binding protein | No motif | None | None |
POU2F2 | 128 | Yes | Known motif | Monomer or homomultimer | High-throughput in vitro | None | None |
CPEB1 | 135 | Yes | Known motif | Monomer or homomultimer | High-throughput in vitro | None | HT-SELEX motif could be an artefact of ssDNA binding activity, as CPEB1 is a well-characterized RNA-binding protein. Could not find evidence of CPEB1 DNA-binding activity in the literature |
BMP7 | 137 | No | Unlikely to be sequence specific TF | Not a DNA binding protein | No motif | None | None |
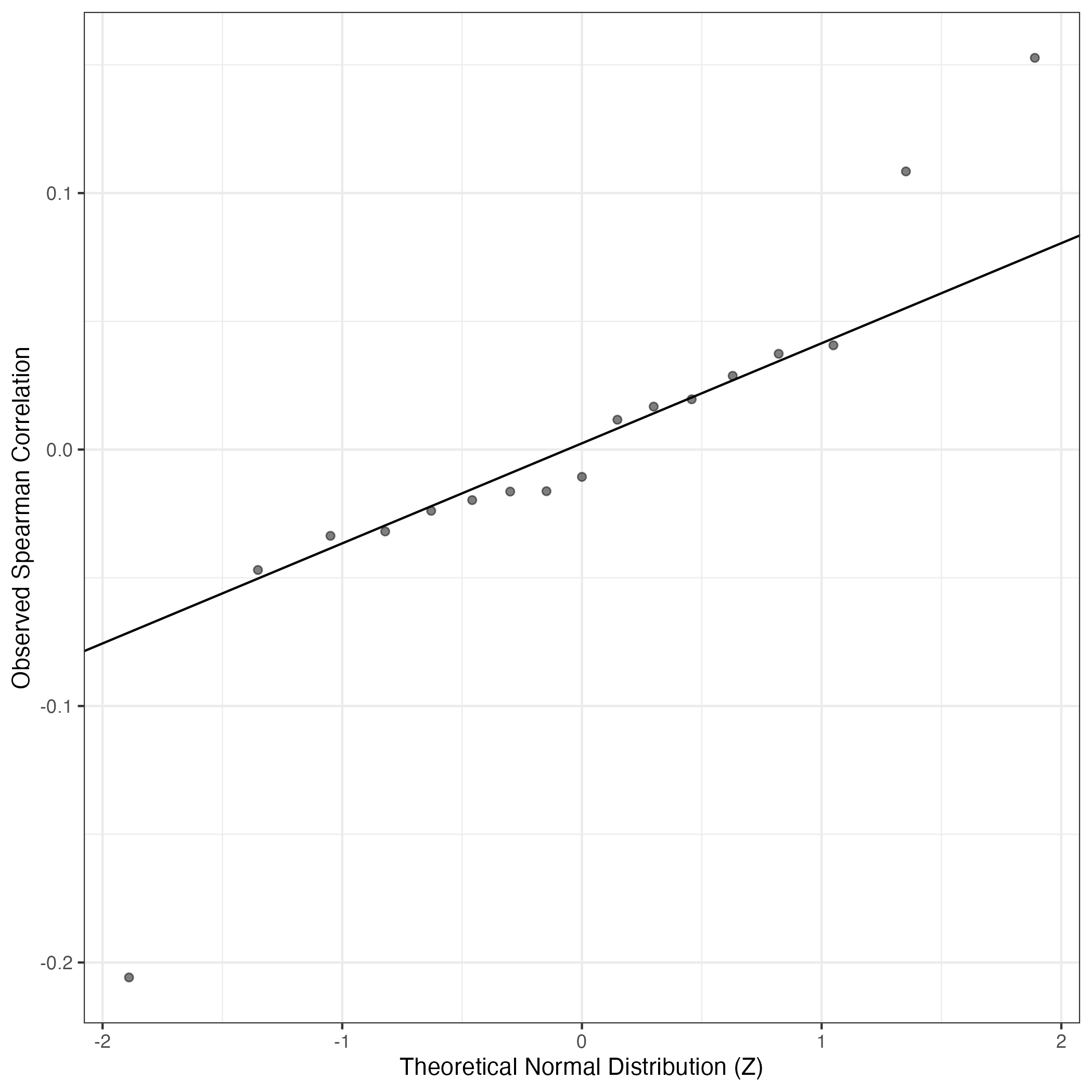
QQ Plot showing correlations with other Gene Expression Programs in this dataset, calculated by Spearman correlation:
Interactive QQ-plot of gene loadings:
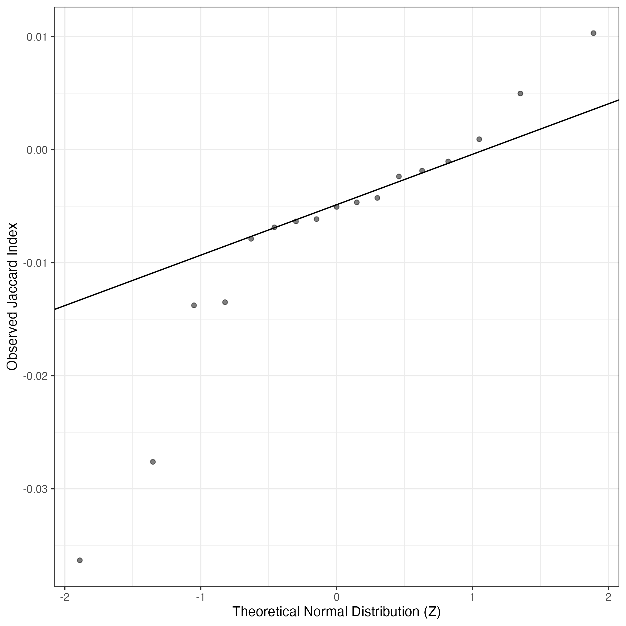
A similar QQ-plot as above, but only for instances where the H value is e.g. > 25, i.e. we are confident that the expression program is active above noise. Agreemenet between these binary vectors is tested using the Jaccard Index, with the P-values calculated by an exact test:
Interactive QQ-plot:
Singler cell type annotations for the top 50 cells on this program.
Cell ID | Singler label | Singler Delta | Activity Score | Top Singler Raw Scores |
---|---|---|---|---|
NB05_CTCTGGTGTCGCGAAA-1 | Neurons:adrenal_medulla_cell_line | 0.18 | 449.16 | Raw ScoresNeurons:adrenal_medulla_cell_line: 0.25, Astrocyte:Embryonic_stem_cell-derived: 0.21, Neuroepithelial_cell:ESC-derived: 0.21, Neurons:ES_cell-derived_neural_precursor: 0.19, iPS_cells:PDB_1lox-21Puro-20: 0.17, iPS_cells:PDB_1lox-21Puro-26: 0.17, iPS_cells:PDB_1lox-17Puro-5: 0.17, iPS_cells:PDB_1lox-17Puro-10: 0.17, Embryonic_stem_cells: 0.17, iPS_cells:PDB_2lox-22: 0.16 |
NB05_TGCGTGGCAGACAAAT-1 | Neurons:adrenal_medulla_cell_line | 0.15 | 428.41 | Raw ScoresNeurons:adrenal_medulla_cell_line: 0.33, Neuroepithelial_cell:ESC-derived: 0.33, Astrocyte:Embryonic_stem_cell-derived: 0.32, Endothelial_cells:HUVEC:VEGF: 0.3, Endothelial_cells:lymphatic:TNFa_48h: 0.3, Neurons:ES_cell-derived_neural_precursor: 0.3, Endothelial_cells:lymphatic: 0.3, Endothelial_cells:HUVEC: 0.29, MSC: 0.29, iPS_cells:CRL2097_foreskin: 0.29 |
NB05_ATTATCCAGGATGCGT-1 | Neurons:adrenal_medulla_cell_line | 0.18 | 380.04 | Raw ScoresNeurons:adrenal_medulla_cell_line: 0.29, Astrocyte:Embryonic_stem_cell-derived: 0.24, Neuroepithelial_cell:ESC-derived: 0.24, Neurons:ES_cell-derived_neural_precursor: 0.22, iPS_cells:PDB_1lox-17Puro-10: 0.2, iPS_cells:PDB_1lox-21Puro-20: 0.2, Embryonic_stem_cells: 0.2, iPS_cells:PDB_1lox-21Puro-26: 0.2, iPS_cells:PDB_1lox-17Puro-5: 0.2, iPS_cells:PDB_2lox-22: 0.19 |
NB05_CTTAGGACAGTAAGAT-1 | Neurons:adrenal_medulla_cell_line | 0.11 | 345.00 | Raw ScoresNeurons:adrenal_medulla_cell_line: 0.25, Astrocyte:Embryonic_stem_cell-derived: 0.22, Neuroepithelial_cell:ESC-derived: 0.22, Neurons:ES_cell-derived_neural_precursor: 0.21, Tissue_stem_cells:CD326-CD56+: 0.19, Neurons:Schwann_cell: 0.19, MSC: 0.19, Endothelial_cells:lymphatic:TNFa_48h: 0.18, Embryonic_stem_cells: 0.18, Endothelial_cells:HUVEC:VEGF: 0.18 |
NB05_GTATTCTCATCAGTCA-1 | Neurons:adrenal_medulla_cell_line | 0.17 | 340.72 | Raw ScoresNeurons:adrenal_medulla_cell_line: 0.2, Astrocyte:Embryonic_stem_cell-derived: 0.16, Neuroepithelial_cell:ESC-derived: 0.15, Neurons:ES_cell-derived_neural_precursor: 0.13, iPS_cells:PDB_1lox-21Puro-26: 0.11, iPS_cells:PDB_1lox-17Puro-10: 0.11, iPS_cells:PDB_1lox-21Puro-20: 0.11, Embryonic_stem_cells: 0.11, iPS_cells:PDB_1lox-17Puro-5: 0.11, iPS_cells:PDB_2lox-22: 0.11 |
NB05_CAGCTGGCACGGATAG-1 | Neurons:adrenal_medulla_cell_line | 0.17 | 292.59 | Raw ScoresNeurons:adrenal_medulla_cell_line: 0.23, Neuroepithelial_cell:ESC-derived: 0.19, Astrocyte:Embryonic_stem_cell-derived: 0.18, Neurons:ES_cell-derived_neural_precursor: 0.18, iPS_cells:PDB_1lox-17Puro-10: 0.15, iPS_cells:PDB_1lox-21Puro-20: 0.15, iPS_cells:PDB_1lox-21Puro-26: 0.15, iPS_cells:PDB_1lox-17Puro-5: 0.15, iPS_cells:skin_fibroblast-derived: 0.15, Embryonic_stem_cells: 0.15 |
NB05_CTCCTAGAGAGACTTA-1 | Neurons:adrenal_medulla_cell_line | 0.14 | 255.82 | Raw ScoresNeurons:adrenal_medulla_cell_line: 0.21, Neuroepithelial_cell:ESC-derived: 0.19, Neurons:ES_cell-derived_neural_precursor: 0.18, Astrocyte:Embryonic_stem_cell-derived: 0.17, Embryonic_stem_cells: 0.16, iPS_cells:PDB_1lox-17Puro-10: 0.16, iPS_cells:PDB_1lox-21Puro-20: 0.16, iPS_cells:PDB_1lox-21Puro-26: 0.16, iPS_cells:PDB_1lox-17Puro-5: 0.15, Tissue_stem_cells:CD326-CD56+: 0.15 |
NB05_AGCGGTCAGCTCTCGG-1 | Neurons:adrenal_medulla_cell_line | 0.15 | 254.16 | Raw ScoresNeurons:adrenal_medulla_cell_line: 0.2, Astrocyte:Embryonic_stem_cell-derived: 0.17, Neuroepithelial_cell:ESC-derived: 0.17, Neurons:ES_cell-derived_neural_precursor: 0.16, iPS_cells:PDB_1lox-21Puro-20: 0.13, iPS_cells:PDB_1lox-17Puro-10: 0.13, iPS_cells:PDB_1lox-21Puro-26: 0.13, iPS_cells:PDB_1lox-17Puro-5: 0.13, Embryonic_stem_cells: 0.13, iPS_cells:PDB_2lox-22: 0.12 |
NB05_TCAGGATAGTACGCCC-1 | Neurons:adrenal_medulla_cell_line | 0.14 | 238.64 | Raw ScoresNeurons:adrenal_medulla_cell_line: 0.21, Astrocyte:Embryonic_stem_cell-derived: 0.18, Neuroepithelial_cell:ESC-derived: 0.18, Neurons:ES_cell-derived_neural_precursor: 0.16, iPS_cells:PDB_1lox-17Puro-10: 0.14, iPS_cells:PDB_1lox-21Puro-20: 0.14, iPS_cells:PDB_1lox-17Puro-5: 0.14, iPS_cells:PDB_1lox-21Puro-26: 0.14, Embryonic_stem_cells: 0.14, iPS_cells:PDB_2lox-22: 0.13 |
NB05_ATCCGAACAGATTGCT-1 | Neurons:adrenal_medulla_cell_line | 0.13 | 235.18 | Raw ScoresNeurons:adrenal_medulla_cell_line: 0.16, Neuroepithelial_cell:ESC-derived: 0.12, Astrocyte:Embryonic_stem_cell-derived: 0.12, Neurons:ES_cell-derived_neural_precursor: 0.11, iPS_cells:PDB_1lox-21Puro-20: 0.09, iPS_cells:PDB_1lox-17Puro-5: 0.09, iPS_cells:PDB_1lox-17Puro-10: 0.09, Embryonic_stem_cells: 0.09, iPS_cells:PDB_1lox-21Puro-26: 0.09, iPS_cells:PDB_2lox-22: 0.09 |
NB05_TATCTCATCACCCTCA-1 | Neurons:adrenal_medulla_cell_line | 0.10 | 230.00 | Raw ScoresNeurons:adrenal_medulla_cell_line: 0.15, Astrocyte:Embryonic_stem_cell-derived: 0.13, Neuroepithelial_cell:ESC-derived: 0.12, Neurons:ES_cell-derived_neural_precursor: 0.11, iPS_cells:PDB_1lox-21Puro-20: 0.1, iPS_cells:PDB_1lox-17Puro-10: 0.1, iPS_cells:PDB_1lox-17Puro-5: 0.1, iPS_cells:PDB_1lox-21Puro-26: 0.1, Embryonic_stem_cells: 0.1, iPS_cells:PDB_2lox-22: 0.1 |
NB05_CCTAGCTTCCCTTGCA-1 | Neurons:adrenal_medulla_cell_line | 0.16 | 227.53 | Raw ScoresNeurons:adrenal_medulla_cell_line: 0.23, Neuroepithelial_cell:ESC-derived: 0.19, Neurons:ES_cell-derived_neural_precursor: 0.18, Astrocyte:Embryonic_stem_cell-derived: 0.18, iPS_cells:PDB_1lox-21Puro-20: 0.16, iPS_cells:PDB_1lox-17Puro-10: 0.15, iPS_cells:PDB_1lox-17Puro-5: 0.15, iPS_cells:PDB_1lox-21Puro-26: 0.15, Embryonic_stem_cells: 0.15, iPS_cells:PDB_2lox-22: 0.15 |
NB05_TACACGACAATGAATG-1 | Neurons:adrenal_medulla_cell_line | 0.12 | 226.64 | Raw ScoresNeurons:adrenal_medulla_cell_line: 0.16, Astrocyte:Embryonic_stem_cell-derived: 0.13, Neuroepithelial_cell:ESC-derived: 0.12, Neurons:ES_cell-derived_neural_precursor: 0.11, iPS_cells:PDB_1lox-17Puro-10: 0.1, iPS_cells:PDB_1lox-21Puro-20: 0.1, iPS_cells:PDB_1lox-17Puro-5: 0.1, iPS_cells:PDB_1lox-21Puro-26: 0.1, Embryonic_stem_cells: 0.1, iPS_cells:PDB_2lox-22: 0.09 |
NB05_AGAATAGTCGCACTCT-1 | Neurons:adrenal_medulla_cell_line | 0.15 | 226.34 | Raw ScoresNeurons:adrenal_medulla_cell_line: 0.19, Neuroepithelial_cell:ESC-derived: 0.16, Astrocyte:Embryonic_stem_cell-derived: 0.16, Neurons:ES_cell-derived_neural_precursor: 0.15, iPS_cells:PDB_1lox-21Puro-20: 0.13, iPS_cells:PDB_1lox-21Puro-26: 0.13, iPS_cells:PDB_1lox-17Puro-10: 0.13, Embryonic_stem_cells: 0.13, iPS_cells:PDB_1lox-17Puro-5: 0.13, iPS_cells:PDB_2lox-22: 0.12 |
NB05_CCAATCCTCAAACAAG-1 | Neurons:adrenal_medulla_cell_line | 0.13 | 225.74 | Raw ScoresNeurons:adrenal_medulla_cell_line: 0.17, Neuroepithelial_cell:ESC-derived: 0.14, Astrocyte:Embryonic_stem_cell-derived: 0.14, Neurons:ES_cell-derived_neural_precursor: 0.14, Embryonic_stem_cells: 0.11, iPS_cells:PDB_1lox-21Puro-20: 0.11, iPS_cells:PDB_1lox-17Puro-10: 0.11, iPS_cells:PDB_1lox-21Puro-26: 0.11, iPS_cells:PDB_1lox-17Puro-5: 0.11, iPS_cells:PDB_2lox-22: 0.1 |
NB05_CCTATTATCGTCCGTT-1 | Neurons:adrenal_medulla_cell_line | 0.13 | 216.43 | Raw ScoresNeurons:adrenal_medulla_cell_line: 0.19, Neuroepithelial_cell:ESC-derived: 0.16, Astrocyte:Embryonic_stem_cell-derived: 0.15, Neurons:ES_cell-derived_neural_precursor: 0.13, Embryonic_stem_cells: 0.12, iPS_cells:PDB_1lox-21Puro-20: 0.12, Tissue_stem_cells:CD326-CD56+: 0.11, iPS_cells:PDB_1lox-17Puro-10: 0.11, iPS_cells:PDB_1lox-21Puro-26: 0.11, iPS_cells:fibroblast-derived:Retroviral_transf: 0.11 |
NB05_CGGACACAGAGGGCTT-1 | Neurons:adrenal_medulla_cell_line | 0.14 | 211.93 | Raw ScoresNeurons:adrenal_medulla_cell_line: 0.19, Astrocyte:Embryonic_stem_cell-derived: 0.15, Neuroepithelial_cell:ESC-derived: 0.15, Neurons:ES_cell-derived_neural_precursor: 0.14, iPS_cells:PDB_1lox-21Puro-20: 0.12, iPS_cells:PDB_1lox-21Puro-26: 0.12, iPS_cells:PDB_1lox-17Puro-10: 0.12, Embryonic_stem_cells: 0.12, iPS_cells:PDB_1lox-17Puro-5: 0.12, Tissue_stem_cells:CD326-CD56+: 0.12 |
NB05_GACACGCAGCTTTGGT-1 | Astrocyte:Embryonic_stem_cell-derived | 0.11 | 209.93 | Raw ScoresNeurons:adrenal_medulla_cell_line: 0.14, Astrocyte:Embryonic_stem_cell-derived: 0.12, Neuroepithelial_cell:ESC-derived: 0.12, Neurons:ES_cell-derived_neural_precursor: 0.11, Embryonic_stem_cells: 0.1, iPS_cells:PDB_1lox-21Puro-20: 0.09, iPS_cells:PDB_1lox-17Puro-10: 0.09, iPS_cells:PDB_2lox-22: 0.09, iPS_cells:PDB_1lox-21Puro-26: 0.09, iPS_cells:PDB_2lox-21: 0.09 |
NB05_AGCGTCGTCTGCAGTA-1 | Neurons:adrenal_medulla_cell_line | 0.17 | 208.81 | Raw ScoresNeurons:adrenal_medulla_cell_line: 0.24, Neuroepithelial_cell:ESC-derived: 0.21, Neurons:ES_cell-derived_neural_precursor: 0.19, Astrocyte:Embryonic_stem_cell-derived: 0.18, iPS_cells:PDB_1lox-21Puro-20: 0.16, iPS_cells:PDB_1lox-17Puro-10: 0.16, iPS_cells:PDB_1lox-21Puro-26: 0.16, iPS_cells:PDB_1lox-17Puro-5: 0.16, Embryonic_stem_cells: 0.16, iPS_cells:PDB_2lox-22: 0.15 |
NB05_GATGAGGTCGCCCTTA-1 | Neurons:adrenal_medulla_cell_line | 0.12 | 208.34 | Raw ScoresNeurons:adrenal_medulla_cell_line: 0.19, Neuroepithelial_cell:ESC-derived: 0.15, Astrocyte:Embryonic_stem_cell-derived: 0.15, Neurons:ES_cell-derived_neural_precursor: 0.14, iPS_cells:PDB_1lox-17Puro-10: 0.12, Embryonic_stem_cells: 0.12, iPS_cells:PDB_1lox-17Puro-5: 0.12, iPS_cells:PDB_1lox-21Puro-20: 0.12, iPS_cells:PDB_1lox-21Puro-26: 0.12, iPS_cells:PDB_2lox-22: 0.11 |
NB05_AAGACCTTCGAGAACG-1 | Neurons:adrenal_medulla_cell_line | 0.17 | 207.19 | Raw ScoresNeurons:adrenal_medulla_cell_line: 0.22, Neuroepithelial_cell:ESC-derived: 0.17, Astrocyte:Embryonic_stem_cell-derived: 0.17, Neurons:ES_cell-derived_neural_precursor: 0.16, iPS_cells:PDB_1lox-21Puro-20: 0.14, Embryonic_stem_cells: 0.14, iPS_cells:PDB_1lox-21Puro-26: 0.14, iPS_cells:PDB_1lox-17Puro-10: 0.14, iPS_cells:PDB_1lox-17Puro-5: 0.14, iPS_cells:PDB_2lox-22: 0.12 |
NB05_GCACTCTCACGTCTCT-1 | Neurons:adrenal_medulla_cell_line | 0.12 | 204.56 | Raw ScoresNeurons:adrenal_medulla_cell_line: 0.14, Astrocyte:Embryonic_stem_cell-derived: 0.11, Neuroepithelial_cell:ESC-derived: 0.11, Neurons:ES_cell-derived_neural_precursor: 0.09, iPS_cells:PDB_1lox-17Puro-10: 0.08, iPS_cells:PDB_1lox-21Puro-20: 0.08, iPS_cells:PDB_1lox-21Puro-26: 0.08, iPS_cells:PDB_1lox-17Puro-5: 0.08, Embryonic_stem_cells: 0.08, iPS_cells:PDB_2lox-22: 0.07 |
NB05_CTCCTAGCAATCCAAC-1 | Neurons:adrenal_medulla_cell_line | 0.11 | 203.99 | Raw ScoresNeurons:adrenal_medulla_cell_line: 0.14, Neuroepithelial_cell:ESC-derived: 0.12, Neurons:ES_cell-derived_neural_precursor: 0.12, Astrocyte:Embryonic_stem_cell-derived: 0.12, iPS_cells:PDB_1lox-21Puro-20: 0.1, iPS_cells:PDB_1lox-17Puro-10: 0.1, iPS_cells:PDB_1lox-17Puro-5: 0.1, Embryonic_stem_cells: 0.09, iPS_cells:PDB_1lox-21Puro-26: 0.09, iPS_cells:PDB_2lox-22: 0.09 |
NB05_CCGTTCACAAGTCTAC-1 | Neurons:adrenal_medulla_cell_line | 0.10 | 203.94 | Raw ScoresNeurons:adrenal_medulla_cell_line: 0.13, Neuroepithelial_cell:ESC-derived: 0.1, Astrocyte:Embryonic_stem_cell-derived: 0.1, Neurons:ES_cell-derived_neural_precursor: 0.09, iPS_cells:PDB_1lox-21Puro-20: 0.08, iPS_cells:PDB_1lox-17Puro-10: 0.08, iPS_cells:PDB_1lox-17Puro-5: 0.08, iPS_cells:PDB_2lox-5: 0.07, iPS_cells:PDB_1lox-21Puro-26: 0.07, Embryonic_stem_cells: 0.07 |
NB05_AGAGCGATCTATCCCG-1 | Neurons:adrenal_medulla_cell_line | 0.15 | 203.88 | Raw ScoresNeurons:adrenal_medulla_cell_line: 0.21, Neuroepithelial_cell:ESC-derived: 0.16, Astrocyte:Embryonic_stem_cell-derived: 0.16, Neurons:ES_cell-derived_neural_precursor: 0.15, iPS_cells:PDB_1lox-21Puro-20: 0.15, iPS_cells:PDB_1lox-17Puro-10: 0.14, iPS_cells:PDB_1lox-21Puro-26: 0.14, iPS_cells:PDB_1lox-17Puro-5: 0.14, Embryonic_stem_cells: 0.14, iPS_cells:PDB_2lox-22: 0.13 |
NB05_CTGCTGTTCCGTTGCT-1 | Neurons:adrenal_medulla_cell_line | 0.15 | 199.19 | Raw ScoresNeurons:adrenal_medulla_cell_line: 0.23, Neuroepithelial_cell:ESC-derived: 0.19, Neurons:ES_cell-derived_neural_precursor: 0.19, Astrocyte:Embryonic_stem_cell-derived: 0.18, Embryonic_stem_cells: 0.17, iPS_cells:PDB_1lox-17Puro-10: 0.16, iPS_cells:PDB_1lox-21Puro-20: 0.16, iPS_cells:PDB_1lox-17Puro-5: 0.16, iPS_cells:PDB_1lox-21Puro-26: 0.16, iPS_cells:PDB_2lox-22: 0.16 |
NB05_ATTTCTGGTACCGCTG-1 | Neurons:adrenal_medulla_cell_line | 0.12 | 192.62 | Raw ScoresNeurons:adrenal_medulla_cell_line: 0.17, Astrocyte:Embryonic_stem_cell-derived: 0.14, Neuroepithelial_cell:ESC-derived: 0.14, Neurons:ES_cell-derived_neural_precursor: 0.13, iPS_cells:PDB_1lox-21Puro-20: 0.11, Embryonic_stem_cells: 0.11, iPS_cells:PDB_1lox-17Puro-10: 0.11, iPS_cells:PDB_1lox-21Puro-26: 0.11, iPS_cells:PDB_2lox-22: 0.11, iPS_cells:PDB_1lox-17Puro-5: 0.11 |
NB05_GTACTTTCACTCTGTC-1 | Neurons:adrenal_medulla_cell_line | 0.16 | 192.10 | Raw ScoresNeurons:adrenal_medulla_cell_line: 0.22, Neuroepithelial_cell:ESC-derived: 0.19, Neurons:ES_cell-derived_neural_precursor: 0.18, Astrocyte:Embryonic_stem_cell-derived: 0.18, iPS_cells:PDB_1lox-17Puro-10: 0.15, Embryonic_stem_cells: 0.15, iPS_cells:PDB_1lox-21Puro-20: 0.15, iPS_cells:PDB_1lox-21Puro-26: 0.15, iPS_cells:PDB_1lox-17Puro-5: 0.15, iPS_cells:PDB_2lox-22: 0.14 |
NB05_TAGAGCTCAGTTCCCT-1 | Neurons:adrenal_medulla_cell_line | 0.12 | 189.68 | Raw ScoresNeurons:adrenal_medulla_cell_line: 0.18, Astrocyte:Embryonic_stem_cell-derived: 0.15, Neuroepithelial_cell:ESC-derived: 0.15, Neurons:ES_cell-derived_neural_precursor: 0.14, iPS_cells:PDB_1lox-21Puro-20: 0.12, iPS_cells:PDB_1lox-21Puro-26: 0.12, iPS_cells:PDB_1lox-17Puro-10: 0.12, Embryonic_stem_cells: 0.12, iPS_cells:PDB_1lox-17Puro-5: 0.12, iPS_cells:PDB_2lox-22: 0.11 |
NB05_TCATTTGGTTCTCATT-1 | Neurons:adrenal_medulla_cell_line | 0.10 | 189.67 | Raw ScoresEndothelial_cells:HUVEC:VEGF: 0.17, Neuroepithelial_cell:ESC-derived: 0.17, Astrocyte:Embryonic_stem_cell-derived: 0.17, Neurons:adrenal_medulla_cell_line: 0.16, Endothelial_cells:lymphatic:TNFa_48h: 0.16, Neurons:ES_cell-derived_neural_precursor: 0.16, Endothelial_cells:HUVEC: 0.16, Endothelial_cells:HUVEC:Serum_Amyloid_A: 0.16, Endothelial_cells:lymphatic: 0.16, Endothelial_cells:HUVEC:H5N1-infected: 0.15 |
NB05_CTCGGGACATAGTAAG-1 | Neurons:adrenal_medulla_cell_line | 0.13 | 189.35 | Raw ScoresNeurons:adrenal_medulla_cell_line: 0.18, Neuroepithelial_cell:ESC-derived: 0.16, Neurons:ES_cell-derived_neural_precursor: 0.15, Astrocyte:Embryonic_stem_cell-derived: 0.15, iPS_cells:PDB_1lox-17Puro-10: 0.13, iPS_cells:PDB_1lox-21Puro-20: 0.13, iPS_cells:PDB_1lox-21Puro-26: 0.13, iPS_cells:PDB_1lox-17Puro-5: 0.13, Embryonic_stem_cells: 0.13, iPS_cells:skin_fibroblast-derived: 0.13 |
NB05_CCTTTCTTCGAATGGG-1 | Neurons:adrenal_medulla_cell_line | 0.11 | 188.04 | Raw ScoresNeurons:adrenal_medulla_cell_line: 0.13, Neuroepithelial_cell:ESC-derived: 0.09, Neurons:ES_cell-derived_neural_precursor: 0.09, Astrocyte:Embryonic_stem_cell-derived: 0.09, iPS_cells:PDB_1lox-21Puro-20: 0.08, Embryonic_stem_cells: 0.07, iPS_cells:PDB_1lox-17Puro-10: 0.07, iPS_cells:PDB_1lox-21Puro-26: 0.07, Smooth_muscle_cells:bronchial: 0.07, iPS_cells:PDB_1lox-17Puro-5: 0.07 |
NB05_GCATGATTCCGTAGTA-1 | Neurons:adrenal_medulla_cell_line | 0.13 | 182.51 | Raw ScoresNeurons:adrenal_medulla_cell_line: 0.19, Neuroepithelial_cell:ESC-derived: 0.17, Neurons:ES_cell-derived_neural_precursor: 0.16, Astrocyte:Embryonic_stem_cell-derived: 0.15, Embryonic_stem_cells: 0.14, iPS_cells:PDB_1lox-17Puro-5: 0.14, iPS_cells:PDB_1lox-17Puro-10: 0.14, iPS_cells:PDB_1lox-21Puro-20: 0.14, iPS_cells:PDB_1lox-21Puro-26: 0.14, Tissue_stem_cells:CD326-CD56+: 0.13 |
NB05_CACCAGGAGTTCGCAT-1 | Neurons:adrenal_medulla_cell_line | 0.10 | 181.96 | Raw ScoresNeurons:adrenal_medulla_cell_line: 0.11, Neuroepithelial_cell:ESC-derived: 0.08, Astrocyte:Embryonic_stem_cell-derived: 0.07, Neurons:ES_cell-derived_neural_precursor: 0.07, iPS_cells:PDB_1lox-21Puro-20: 0.06, Embryonic_stem_cells: 0.06, iPS_cells:PDB_1lox-17Puro-10: 0.06, iPS_cells:PDB_1lox-21Puro-26: 0.06, iPS_cells:PDB_1lox-17Puro-5: 0.06, iPS_cells:skin_fibroblast-derived: 0.06 |
NB05_CGTAGGCAGCCTATGT-1 | Neurons:adrenal_medulla_cell_line | 0.13 | 179.35 | Raw ScoresNeurons:adrenal_medulla_cell_line: 0.18, Neuroepithelial_cell:ESC-derived: 0.16, Astrocyte:Embryonic_stem_cell-derived: 0.14, Neurons:ES_cell-derived_neural_precursor: 0.14, iPS_cells:PDB_1lox-17Puro-5: 0.12, iPS_cells:PDB_1lox-17Puro-10: 0.12, iPS_cells:PDB_1lox-21Puro-20: 0.12, iPS_cells:PDB_1lox-21Puro-26: 0.12, Embryonic_stem_cells: 0.12, iPS_cells:fibroblast-derived:Retroviral_transf: 0.11 |
NB05_CCACGGATCGTTGCCT-1 | Neurons:adrenal_medulla_cell_line | 0.11 | 174.96 | Raw ScoresNeurons:adrenal_medulla_cell_line: 0.16, Neuroepithelial_cell:ESC-derived: 0.13, Astrocyte:Embryonic_stem_cell-derived: 0.12, Neurons:ES_cell-derived_neural_precursor: 0.12, iPS_cells:CRL2097_foreskin: 0.1, iPS_cells:PDB_1lox-21Puro-20: 0.1, iPS_cells:PDB_1lox-17Puro-10: 0.1, Embryonic_stem_cells: 0.1, Smooth_muscle_cells:bronchial: 0.1, iPS_cells:PDB_1lox-21Puro-26: 0.1 |
NB05_CACTCCAAGGGCACTA-1 | Neurons:adrenal_medulla_cell_line | 0.13 | 174.83 | Raw ScoresNeurons:adrenal_medulla_cell_line: 0.18, Neuroepithelial_cell:ESC-derived: 0.14, Astrocyte:Embryonic_stem_cell-derived: 0.14, Neurons:ES_cell-derived_neural_precursor: 0.13, Embryonic_stem_cells: 0.11, iPS_cells:PDB_1lox-21Puro-20: 0.11, iPS_cells:PDB_1lox-17Puro-10: 0.11, iPS_cells:PDB_1lox-21Puro-26: 0.11, Neurons:Schwann_cell: 0.11, iPS_cells:PDB_1lox-17Puro-5: 0.11 |
NB12_TTTGCGCTCAGGATCT-1 | Neurons:adrenal_medulla_cell_line | 0.22 | 174.67 | Raw ScoresNeurons:adrenal_medulla_cell_line: 0.33, Neuroepithelial_cell:ESC-derived: 0.29, Astrocyte:Embryonic_stem_cell-derived: 0.29, Neurons:ES_cell-derived_neural_precursor: 0.28, iPS_cells:PDB_1lox-21Puro-20: 0.25, Embryonic_stem_cells: 0.25, iPS_cells:PDB_1lox-17Puro-10: 0.25, iPS_cells:PDB_1lox-21Puro-26: 0.25, iPS_cells:PDB_1lox-17Puro-5: 0.24, iPS_cells:skin_fibroblast-derived: 0.24 |
NB05_AGTTGGTTCCGAGCCA-1 | Neurons:adrenal_medulla_cell_line | 0.13 | 174.08 | Raw ScoresNeurons:adrenal_medulla_cell_line: 0.18, Neuroepithelial_cell:ESC-derived: 0.14, Astrocyte:Embryonic_stem_cell-derived: 0.13, Neurons:ES_cell-derived_neural_precursor: 0.13, iPS_cells:PDB_1lox-21Puro-20: 0.12, iPS_cells:PDB_2lox-21: 0.12, iPS_cells:PDB_2lox-5: 0.12, iPS_cells:PDB_1lox-21Puro-26: 0.12, Tissue_stem_cells:CD326-CD56+: 0.12, iPS_cells:PDB_2lox-22: 0.12 |
NB05_TAAACCGGTCTCCATC-1 | Neurons:adrenal_medulla_cell_line | 0.15 | 171.69 | Raw ScoresNeurons:adrenal_medulla_cell_line: 0.23, Neuroepithelial_cell:ESC-derived: 0.2, Astrocyte:Embryonic_stem_cell-derived: 0.18, Neurons:ES_cell-derived_neural_precursor: 0.18, iPS_cells:PDB_1lox-17Puro-10: 0.17, iPS_cells:PDB_1lox-21Puro-20: 0.17, Embryonic_stem_cells: 0.17, iPS_cells:PDB_1lox-21Puro-26: 0.17, iPS_cells:PDB_1lox-17Puro-5: 0.17, iPS_cells:PDB_2lox-22: 0.17 |
NB05_GAGTCCGCACCAGCAC-1 | Neurons:adrenal_medulla_cell_line | 0.14 | 169.07 | Raw ScoresNeurons:adrenal_medulla_cell_line: 0.18, Neuroepithelial_cell:ESC-derived: 0.16, Astrocyte:Embryonic_stem_cell-derived: 0.16, Neurons:ES_cell-derived_neural_precursor: 0.15, iPS_cells:PDB_1lox-21Puro-20: 0.13, iPS_cells:PDB_1lox-17Puro-10: 0.13, iPS_cells:PDB_1lox-21Puro-26: 0.13, Embryonic_stem_cells: 0.13, iPS_cells:PDB_1lox-17Puro-5: 0.13, iPS_cells:PDB_2lox-22: 0.12 |
NB05_CCGTGGAGTGGTAACG-1 | Neurons:adrenal_medulla_cell_line | 0.14 | 167.57 | Raw ScoresNeurons:adrenal_medulla_cell_line: 0.17, Neuroepithelial_cell:ESC-derived: 0.14, Neurons:ES_cell-derived_neural_precursor: 0.13, Astrocyte:Embryonic_stem_cell-derived: 0.12, iPS_cells:PDB_1lox-21Puro-20: 0.12, iPS_cells:PDB_1lox-21Puro-26: 0.12, iPS_cells:PDB_1lox-17Puro-10: 0.12, iPS_cells:PDB_1lox-17Puro-5: 0.12, iPS_cells:PDB_2lox-22: 0.11, Embryonic_stem_cells: 0.11 |
NB05_TCACAAGAGATTACCC-1 | Neurons:adrenal_medulla_cell_line | 0.15 | 167.24 | Raw ScoresNeurons:adrenal_medulla_cell_line: 0.21, Neuroepithelial_cell:ESC-derived: 0.17, Neurons:ES_cell-derived_neural_precursor: 0.16, Astrocyte:Embryonic_stem_cell-derived: 0.16, iPS_cells:PDB_1lox-17Puro-10: 0.14, iPS_cells:PDB_1lox-17Puro-5: 0.14, iPS_cells:PDB_1lox-21Puro-26: 0.14, iPS_cells:PDB_1lox-21Puro-20: 0.14, Embryonic_stem_cells: 0.14, iPS_cells:PDB_2lox-22: 0.14 |
NB05_TCTCATACATAACCTG-1 | Neurons:adrenal_medulla_cell_line | 0.08 | 167.08 | Raw ScoresNeurons:adrenal_medulla_cell_line: 0.1, Neuroepithelial_cell:ESC-derived: 0.08, Astrocyte:Embryonic_stem_cell-derived: 0.07, Neurons:ES_cell-derived_neural_precursor: 0.07, iPS_cells:PDB_1lox-17Puro-10: 0.06, iPS_cells:PDB_1lox-21Puro-20: 0.06, Embryonic_stem_cells: 0.06, iPS_cells:PDB_1lox-21Puro-26: 0.06, iPS_cells:PDB_1lox-17Puro-5: 0.05, iPS_cells:PDB_2lox-22: 0.05 |
NB05_CAAGATCGTGCACCAC-1 | Neurons:adrenal_medulla_cell_line | 0.13 | 165.57 | Raw ScoresNeurons:adrenal_medulla_cell_line: 0.16, Neuroepithelial_cell:ESC-derived: 0.13, Astrocyte:Embryonic_stem_cell-derived: 0.13, Neurons:ES_cell-derived_neural_precursor: 0.11, iPS_cells:PDB_1lox-21Puro-20: 0.1, iPS_cells:PDB_1lox-17Puro-5: 0.1, iPS_cells:PDB_1lox-17Puro-10: 0.1, iPS_cells:PDB_1lox-21Puro-26: 0.1, Embryonic_stem_cells: 0.1, iPS_cells:skin_fibroblast-derived: 0.1 |
NB05_TCGGGACTCCTAGGGC-1 | Neurons:adrenal_medulla_cell_line | 0.13 | 164.83 | Raw ScoresNeurons:adrenal_medulla_cell_line: 0.15, Neuroepithelial_cell:ESC-derived: 0.14, Neurons:ES_cell-derived_neural_precursor: 0.13, Astrocyte:Embryonic_stem_cell-derived: 0.11, iPS_cells:PDB_1lox-17Puro-10: 0.11, iPS_cells:PDB_1lox-21Puro-20: 0.11, iPS_cells:PDB_1lox-17Puro-5: 0.11, iPS_cells:PDB_1lox-21Puro-26: 0.1, Embryonic_stem_cells: 0.1, iPS_cells:PDB_2lox-21: 0.09 |
NB05_CTTGGCTAGAAACCGC-1 | Neurons:adrenal_medulla_cell_line | 0.11 | 162.74 | Raw ScoresNeurons:adrenal_medulla_cell_line: 0.14, Neuroepithelial_cell:ESC-derived: 0.11, Astrocyte:Embryonic_stem_cell-derived: 0.1, Neurons:ES_cell-derived_neural_precursor: 0.1, Embryonic_stem_cells: 0.08, iPS_cells:PDB_1lox-17Puro-10: 0.08, iPS_cells:PDB_1lox-21Puro-20: 0.08, iPS_cells:PDB_1lox-21Puro-26: 0.07, iPS_cells:PDB_1lox-17Puro-5: 0.07, iPS_cells:skin_fibroblast-derived: 0.07 |
NB05_GCTGCAGTCCTTGACC-1 | Neurons:adrenal_medulla_cell_line | 0.14 | 161.72 | Raw ScoresNeurons:adrenal_medulla_cell_line: 0.2, Neuroepithelial_cell:ESC-derived: 0.16, Astrocyte:Embryonic_stem_cell-derived: 0.15, Neurons:ES_cell-derived_neural_precursor: 0.15, Embryonic_stem_cells: 0.13, iPS_cells:PDB_1lox-17Puro-10: 0.13, iPS_cells:PDB_1lox-21Puro-20: 0.13, iPS_cells:PDB_1lox-17Puro-5: 0.13, iPS_cells:PDB_1lox-21Puro-26: 0.13, iPS_cells:PDB_2lox-5: 0.12 |
NB05_CAAGGCCCATTCACTT-1 | Neurons:adrenal_medulla_cell_line | 0.15 | 158.61 | Raw ScoresNeurons:adrenal_medulla_cell_line: 0.19, Neuroepithelial_cell:ESC-derived: 0.17, Neurons:ES_cell-derived_neural_precursor: 0.15, Astrocyte:Embryonic_stem_cell-derived: 0.15, Embryonic_stem_cells: 0.14, iPS_cells:PDB_1lox-21Puro-20: 0.13, iPS_cells:PDB_1lox-17Puro-10: 0.13, iPS_cells:PDB_1lox-21Puro-26: 0.13, iPS_cells:PDB_1lox-17Puro-5: 0.13, iPS_cells:PDB_2lox-22: 0.13 |
NB05_TACCTTATCCCTTGTG-1 | Neurons:adrenal_medulla_cell_line | 0.10 | 157.90 | Raw ScoresNeurons:adrenal_medulla_cell_line: 0.12, Neuroepithelial_cell:ESC-derived: 0.08, Astrocyte:Embryonic_stem_cell-derived: 0.08, Neurons:ES_cell-derived_neural_precursor: 0.08, iPS_cells:PDB_1lox-17Puro-10: 0.07, Embryonic_stem_cells: 0.06, iPS_cells:PDB_1lox-21Puro-26: 0.06, iPS_cells:PDB_1lox-21Puro-20: 0.06, iPS_cells:PDB_1lox-17Puro-5: 0.06, iPS_cells:skin_fibroblast-derived: 0.06 |
Below shows the significant enrichments of this GEP for literature curated gene lists
This data was procured from existing single cell RNA-seq maps of neuroblastoma or related relevant data.
High ranks indicate this gene is a driver of this GEP.
These curated gene list are ranked by the P-value (on this GEP) of their constituent genes.
The Mean Count column shows the mean read count in cells scoring highly (H > 50) on this gene expression program.
Genes | Weight | Rank | GTEx | DepMap | Decartes | Mean.Counts | Mean.TPM |
---|---|---|---|---|---|---|---|
ZFHX3 | 0.0006068 | 1328 | GTEx | DepMap | Descartes | 1.92 | 221.42 |
ATRX | 0.0005723 | 1413 | GTEx | DepMap | Descartes | 0.36 | 72.11 |
Nerves and neurofiliment (Olsen)
Markers listed in on page 4 of the main text of Olsen et al. https://www.biorxiv.org/content/10.1101/2020.05.04.077057v1 - NF200 is expressed in neurofiliments and is found close to SCPs in normal tissue, NRG1 is secreted by neurons, to which ERBB3 (on glia) binds.:
Wilcoxon ranksum test P-value for gene set overrepresentation: 4.19e-02
Mean rank of genes in gene set: 9
Rank on gene expression program of genes in gene set:
Genes | Weight | Rank | GTEx | DepMap | Decartes | Mean.Counts | Mean.TPM |
---|---|---|---|---|---|---|---|
NRG1 | 0.011241 | 9 | GTEx | DepMap | Descartes | 9.44 | 1985.94 |
Adrenergic proliferating cluster (Olsen)
Stated on pages 6 and 7 of the main text of Olsen et al. https://www.biorxiv.org/content/10.1101/2020.05.04.077057v1 - it is argued that upon reanalysis of the adrenergic neuroblastoma cells, there is further heterogeneity, grouped into proliferating, mature and immature cell populations. These genes were found as markers for proliferating adrenergic cells:
Wilcoxon ranksum test P-value for gene set overrepresentation: 4.43e-02
Mean rank of genes in gene set: 1913.5
Rank on gene expression program of genes in gene set:
Genes | Weight | Rank | GTEx | DepMap | Decartes | Mean.Counts | Mean.TPM |
---|---|---|---|---|---|---|---|
MKI67 | 0.0007395 | 1078 | GTEx | DepMap | Descartes | 0.08 | 16.43 |
EZH2 | 0.0002247 | 2749 | GTEx | DepMap | Descartes | 0.45 | 251.12 |
Below shows ranks on this GEP for literature curated gene lists for large gene sets
These include those reported as mesenchymal/adrenergic by Van Groningen et al.
High ranks indicate this gene is a driver of this GEP (note these results are not ordered).
The Mean Count column shows the mean read count in cells scoring highly (H > 50) on this gene expression program.
VanGroningen Adrenergic Genes
Adrenergic marker genes from Supplementary Table 2 of Van Groningen et al. Nature Genetics 2017. These genes were identified by differential expression analysis of mesenchymal-like and adrenergic-like neuroblastoma cell lines.
Wilcoxon ranksum test P-value for gene set overrepresentation: 1.00e+00
Mean rank of genes in gene set: 7302.42
Median rank of genes in gene set: 8162
Rank on gene expression program of top 30 genes in gene set:
Genes | Weight | Rank | GTEx | DepMap | Descartes | Mean.Counts | Mean.TPM |
---|---|---|---|---|---|---|---|
MARCH11 | 0.0086937 | 24 | GTEx | DepMap | Descartes | 1.96 | NA |
SYNPO2 | 0.0073429 | 32 | GTEx | DepMap | Descartes | 0.89 | 191.59 |
FAM155A | 0.0073308 | 33 | GTEx | DepMap | Descartes | 7.26 | 1857.54 |
EVL | 0.0044814 | 64 | GTEx | DepMap | Descartes | 1.06 | 777.72 |
AUTS2 | 0.0031433 | 131 | GTEx | DepMap | Descartes | 9.32 | 2614.77 |
BMP7 | 0.0030603 | 137 | GTEx | DepMap | Descartes | 0.06 | 47.41 |
RNF150 | 0.0028560 | 153 | GTEx | DepMap | Descartes | 0.77 | 238.21 |
MAPT | 0.0027236 | 162 | GTEx | DepMap | Descartes | 0.81 | 280.27 |
ESRRG | 0.0025516 | 188 | GTEx | DepMap | Descartes | 0.48 | 201.86 |
REC8 | 0.0023455 | 218 | GTEx | DepMap | Descartes | 0.27 | 282.36 |
TTC8 | 0.0023259 | 222 | GTEx | DepMap | Descartes | 0.39 | 227.41 |
RBP1 | 0.0022483 | 235 | GTEx | DepMap | Descartes | 0.34 | 437.00 |
PPM1E | 0.0020969 | 257 | GTEx | DepMap | Descartes | 1.12 | 396.99 |
RTN1 | 0.0020963 | 258 | GTEx | DepMap | Descartes | 2.26 | 1402.25 |
NOL4 | 0.0020049 | 278 | GTEx | DepMap | Descartes | 0.67 | 453.66 |
ASRGL1 | 0.0019175 | 296 | GTEx | DepMap | Descartes | 0.20 | 226.16 |
PRIM1 | 0.0017644 | 326 | GTEx | DepMap | Descartes | 0.12 | 176.31 |
UNC79 | 0.0016650 | 368 | GTEx | DepMap | Descartes | 0.73 | 201.59 |
RUNDC3A | 0.0015605 | 406 | GTEx | DepMap | Descartes | 0.34 | 261.77 |
SHD | 0.0015540 | 409 | GTEx | DepMap | Descartes | 0.21 | 331.50 |
RNF157 | 0.0014914 | 436 | GTEx | DepMap | Descartes | 0.33 | 169.63 |
SYT1 | 0.0014080 | 474 | GTEx | DepMap | Descartes | 2.35 | 1475.22 |
ABCA3 | 0.0014051 | 477 | GTEx | DepMap | Descartes | 0.33 | 145.39 |
CD200 | 0.0013920 | 484 | GTEx | DepMap | Descartes | 0.22 | 283.01 |
NBEA | 0.0013821 | 491 | GTEx | DepMap | Descartes | 1.61 | 326.65 |
PEG3 | 0.0013623 | 504 | GTEx | DepMap | Descartes | 0.22 | NA |
PHF21B | 0.0012787 | 560 | GTEx | DepMap | Descartes | 0.16 | 117.16 |
TMEM178B | 0.0011751 | 610 | GTEx | DepMap | Descartes | 1.93 | NA |
VRK1 | 0.0011675 | 619 | GTEx | DepMap | Descartes | 0.17 | 262.99 |
INSM2 | 0.0011284 | 649 | GTEx | DepMap | Descartes | 0.16 | 160.50 |
VanGroningen Mesenchymal Genes
Mesenchymal marker genes from Supplementary Table 2 of Van Groningen et al. Nature Genetics 2017. These genes were identified by differential expression analysis of mesenchymal-like and adrenergic-like neuroblastoma cell lines.
Wilcoxon ranksum test P-value for gene set overrepresentation: 1.00e+00
Mean rank of genes in gene set: 8217.68
Median rank of genes in gene set: 9196
Rank on gene expression program of top 30 genes in gene set:
Genes | Weight | Rank | GTEx | DepMap | Descartes | Mean.Counts | Mean.TPM |
---|---|---|---|---|---|---|---|
CD44 | 0.0074266 | 30 | GTEx | DepMap | Descartes | 1.03 | 555.84 |
PCSK5 | 0.0063578 | 40 | GTEx | DepMap | Descartes | 0.33 | 92.99 |
ROBO1 | 0.0038209 | 89 | GTEx | DepMap | Descartes | 2.64 | 826.34 |
LRP10 | 0.0023312 | 220 | GTEx | DepMap | Descartes | 0.04 | 31.47 |
COL6A1 | 0.0021653 | 248 | GTEx | DepMap | Descartes | 0.25 | 193.52 |
PYGL | 0.0019298 | 289 | GTEx | DepMap | Descartes | 0.03 | 36.28 |
PTPRK | 0.0017925 | 322 | GTEx | DepMap | Descartes | 0.54 | NA |
PTN | 0.0017171 | 342 | GTEx | DepMap | Descartes | 0.30 | 377.47 |
RGL1 | 0.0016050 | 390 | GTEx | DepMap | Descartes | 0.20 | 112.84 |
ANXA6 | 0.0015568 | 407 | GTEx | DepMap | Descartes | 0.10 | 110.68 |
SLC38A6 | 0.0015210 | 423 | GTEx | DepMap | Descartes | 0.10 | 84.62 |
CRISPLD1 | 0.0009944 | 781 | GTEx | DepMap | Descartes | 0.04 | 30.81 |
ATP1B1 | 0.0009442 | 830 | GTEx | DepMap | Descartes | 0.48 | 383.86 |
RGS3 | 0.0009080 | 873 | GTEx | DepMap | Descartes | 0.19 | 97.93 |
FAM102B | 0.0008695 | 916 | GTEx | DepMap | Descartes | 0.12 | 32.89 |
SYNJ2 | 0.0008376 | 948 | GTEx | DepMap | Descartes | 0.06 | 27.25 |
GRN | 0.0008115 | 984 | GTEx | DepMap | Descartes | 0.11 | 142.75 |
HIBADH | 0.0007994 | 1001 | GTEx | DepMap | Descartes | 0.34 | 422.58 |
ACTN1 | 0.0007949 | 1010 | GTEx | DepMap | Descartes | 0.21 | 99.13 |
HIST1H2AC | 0.0007722 | 1034 | GTEx | DepMap | Descartes | 0.03 | NA |
NBR1 | 0.0007552 | 1056 | GTEx | DepMap | Descartes | 0.18 | 98.80 |
DPY19L1 | 0.0007278 | 1095 | GTEx | DepMap | Descartes | 0.04 | 27.25 |
HIST1H2BK | 0.0006897 | 1158 | GTEx | DepMap | Descartes | 0.02 | NA |
RECK | 0.0006870 | 1163 | GTEx | DepMap | Descartes | 0.21 | 90.13 |
SOSTDC1 | 0.0006400 | 1243 | GTEx | DepMap | Descartes | 0.00 | 2.96 |
COL5A1 | 0.0006186 | 1296 | GTEx | DepMap | Descartes | 0.07 | 25.83 |
RNH1 | 0.0005876 | 1372 | GTEx | DepMap | Descartes | 0.10 | 100.86 |
GPC6 | 0.0004736 | 1685 | GTEx | DepMap | Descartes | 0.95 | 396.02 |
MBD2 | 0.0004560 | 1728 | GTEx | DepMap | Descartes | 0.10 | 48.37 |
NEK7 | 0.0004517 | 1746 | GTEx | DepMap | Descartes | 0.12 | 75.50 |
Descartes adrenocortical markers
Top 50 marker genes of adrenocortical cells in the Decartes fetal adrenal single cell map (https://atlas.brotmanbaty.org/bbi/human-gene-expression-during-development/cell/adrenocortical/in/adrenal)
Wilcoxon ranksum test P-value for gene set overrepresentation: 4.66e-02
Mean rank of genes in gene set: 5262.75
Median rank of genes in gene set: 4167.5
Rank on gene expression program of top 30 genes in gene set:
Genes | Weight | Rank | GTEx | DepMap | Descartes | Mean.Counts | Mean.TPM |
---|---|---|---|---|---|---|---|
SH3BP5 | 0.0018132 | 316 | GTEx | DepMap | Descartes | 0.11 | 117.87 |
FRMD5 | 0.0015911 | 394 | GTEx | DepMap | Descartes | 1.07 | 422.87 |
PEG3 | 0.0013623 | 504 | GTEx | DepMap | Descartes | 0.22 | NA |
JAKMIP2 | 0.0013428 | 525 | GTEx | DepMap | Descartes | 0.44 | 122.72 |
TM7SF2 | 0.0007959 | 1005 | GTEx | DepMap | Descartes | 0.08 | 103.91 |
POR | 0.0007743 | 1031 | GTEx | DepMap | Descartes | 0.08 | 74.61 |
SLC1A2 | 0.0004929 | 1634 | GTEx | DepMap | Descartes | 0.20 | 35.18 |
SCAP | 0.0004499 | 1757 | GTEx | DepMap | Descartes | 0.13 | 89.53 |
BAIAP2L1 | 0.0004050 | 1924 | GTEx | DepMap | Descartes | 0.03 | 20.42 |
IGF1R | 0.0003928 | 1974 | GTEx | DepMap | Descartes | 0.67 | 110.52 |
INHA | 0.0003553 | 2135 | GTEx | DepMap | Descartes | 0.01 | 14.91 |
STAR | 0.0003435 | 2187 | GTEx | DepMap | Descartes | 0.00 | 1.80 |
FDXR | 0.0003143 | 2312 | GTEx | DepMap | Descartes | 0.05 | 42.46 |
ERN1 | 0.0001844 | 2974 | GTEx | DepMap | Descartes | 0.03 | 8.42 |
CLU | 0.0001054 | 3498 | GTEx | DepMap | Descartes | 0.32 | 205.22 |
FDPS | 0.0000832 | 3684 | GTEx | DepMap | Descartes | 0.19 | 216.54 |
LDLR | 0.0000497 | 3948 | GTEx | DepMap | Descartes | 0.04 | 14.54 |
MSMO1 | 0.0000308 | 4113 | GTEx | DepMap | Descartes | 0.08 | 94.09 |
DHCR24 | 0.0000192 | 4222 | GTEx | DepMap | Descartes | 0.05 | 28.06 |
GRAMD1B | 0.0000061 | 4352 | GTEx | DepMap | Descartes | 0.05 | 12.56 |
NPC1 | 0.0000050 | 4363 | GTEx | DepMap | Descartes | 0.13 | 45.87 |
HMGCR | -0.0000315 | 4728 | GTEx | DepMap | Descartes | 0.07 | 50.18 |
CYB5B | -0.0000922 | 5400 | GTEx | DepMap | Descartes | 0.13 | 65.26 |
HMGCS1 | -0.0001400 | 6065 | GTEx | DepMap | Descartes | 0.08 | 28.40 |
DHCR7 | -0.0001851 | 6695 | GTEx | DepMap | Descartes | 0.02 | 12.58 |
FDX1 | -0.0002117 | 7024 | GTEx | DepMap | Descartes | 0.02 | 12.61 |
FREM2 | -0.0003841 | 9029 | GTEx | DepMap | Descartes | 0.00 | 0.00 |
SCARB1 | -0.0004490 | 9595 | GTEx | DepMap | Descartes | 0.04 | 14.77 |
PAPSS2 | -0.0006180 | 10740 | GTEx | DepMap | Descartes | 0.02 | 11.49 |
SLC16A9 | -0.0006392 | 10845 | GTEx | DepMap | Descartes | 0.06 | 26.52 |
Descartes chromaffin markers
Top 50 marker genes of chromaffin cells in the Decartes fetal adrenal single cell map (https://atlas.brotmanbaty.org/bbi/human-gene-expression-during-development/cell/chromaffin/in/adrenal)
Wilcoxon ranksum test P-value for gene set overrepresentation: 1.00e+00
Mean rank of genes in gene set: 8904.39
Median rank of genes in gene set: 11735
Rank on gene expression program of top 30 genes in gene set:
Genes | Weight | Rank | GTEx | DepMap | Descartes | Mean.Counts | Mean.TPM |
---|---|---|---|---|---|---|---|
KCNB2 | 0.0135683 | 7 | GTEx | DepMap | Descartes | 2.52 | 1885.73 |
MARCH11 | 0.0086937 | 24 | GTEx | DepMap | Descartes | 1.96 | NA |
IL7 | 0.0084005 | 27 | GTEx | DepMap | Descartes | 2.46 | 2733.18 |
SYNPO2 | 0.0073429 | 32 | GTEx | DepMap | Descartes | 0.89 | 191.59 |
HS3ST5 | 0.0028622 | 152 | GTEx | DepMap | Descartes | 1.03 | 660.68 |
BASP1 | 0.0011770 | 608 | GTEx | DepMap | Descartes | 0.70 | 1010.30 |
NPY | 0.0008945 | 886 | GTEx | DepMap | Descartes | 4.07 | 12346.11 |
FAT3 | 0.0005661 | 1429 | GTEx | DepMap | Descartes | 0.28 | 22.36 |
CNKSR2 | 0.0002239 | 2753 | GTEx | DepMap | Descartes | 0.42 | 112.82 |
MAB21L2 | -0.0001451 | 6153 | GTEx | DepMap | Descartes | 0.12 | 73.16 |
MAP1B | -0.0001716 | 6494 | GTEx | DepMap | Descartes | 1.43 | 241.90 |
MAB21L1 | -0.0002193 | 7134 | GTEx | DepMap | Descartes | 0.07 | 48.89 |
GREM1 | -0.0002325 | 7325 | GTEx | DepMap | Descartes | 0.00 | 0.29 |
CNTFR | -0.0002503 | 7536 | GTEx | DepMap | Descartes | 0.12 | 150.62 |
CCND1 | -0.0003921 | 9096 | GTEx | DepMap | Descartes | 1.10 | 612.46 |
RPH3A | -0.0005052 | 10045 | GTEx | DepMap | Descartes | 0.01 | 6.12 |
SLC6A2 | -0.0007137 | 11150 | GTEx | DepMap | Descartes | 0.10 | 60.02 |
REEP1 | -0.0008351 | 11541 | GTEx | DepMap | Descartes | 0.12 | 60.47 |
PTCHD1 | -0.0008717 | 11624 | GTEx | DepMap | Descartes | 0.05 | 7.75 |
SLC44A5 | -0.0008806 | 11648 | GTEx | DepMap | Descartes | 0.16 | 125.34 |
GAL | -0.0009200 | 11735 | GTEx | DepMap | Descartes | 0.12 | 611.92 |
ANKFN1 | -0.0009561 | 11802 | GTEx | DepMap | Descartes | 0.34 | 133.31 |
RGMB | -0.0010827 | 11997 | GTEx | DepMap | Descartes | 0.13 | 80.28 |
MLLT11 | -0.0012566 | 12155 | GTEx | DepMap | Descartes | 0.30 | 286.97 |
GAP43 | -0.0014272 | 12259 | GTEx | DepMap | Descartes | 0.47 | 357.26 |
TMEFF2 | -0.0014827 | 12293 | GTEx | DepMap | Descartes | 0.07 | 35.69 |
ALK | -0.0015787 | 12333 | GTEx | DepMap | Descartes | 1.61 | 468.69 |
PLXNA4 | -0.0016106 | 12350 | GTEx | DepMap | Descartes | 0.14 | 14.18 |
ISL1 | -0.0016158 | 12353 | GTEx | DepMap | Descartes | 0.31 | 229.63 |
TUBB2A | -0.0019613 | 12434 | GTEx | DepMap | Descartes | 0.27 | 180.48 |
Descartes Vascular_endothelial markers
Top 50 marker genes of Vascular_endothelial cells in the Decartes fetal adrenal single cell map (https://atlas.brotmanbaty.org/bbi/human-gene-expression-during-development/cell/vascular_endothelial/in/adrenal)
Wilcoxon ranksum test P-value for gene set overrepresentation: 7.13e-01
Mean rank of genes in gene set: 6604.34
Median rank of genes in gene set: 6650.5
Rank on gene expression program of top 30 genes in gene set:
Genes | Weight | Rank | GTEx | DepMap | Descartes | Mean.Counts | Mean.TPM |
---|---|---|---|---|---|---|---|
EFNB2 | 0.0027707 | 158 | GTEx | DepMap | Descartes | 0.31 | 152.93 |
CLDN5 | 0.0009494 | 823 | GTEx | DepMap | Descartes | 0.03 | 23.49 |
CEACAM1 | 0.0005569 | 1451 | GTEx | DepMap | Descartes | 0.05 | 25.25 |
ESM1 | 0.0002423 | 2656 | GTEx | DepMap | Descartes | 0.01 | 1.59 |
TIE1 | 0.0002111 | 2828 | GTEx | DepMap | Descartes | 0.02 | 9.79 |
BTNL9 | 0.0001632 | 3108 | GTEx | DepMap | Descartes | 0.01 | 1.46 |
SLCO2A1 | 0.0001582 | 3134 | GTEx | DepMap | Descartes | 0.02 | 10.27 |
F8 | 0.0000919 | 3613 | GTEx | DepMap | Descartes | 0.01 | 0.95 |
MYRIP | 0.0000631 | 3839 | GTEx | DepMap | Descartes | 0.06 | 33.59 |
KANK3 | 0.0000186 | 4232 | GTEx | DepMap | Descartes | 0.01 | 4.01 |
FLT4 | -0.0000049 | 4440 | GTEx | DepMap | Descartes | 0.01 | 3.29 |
CRHBP | -0.0000229 | 4648 | GTEx | DepMap | Descartes | 0.00 | 0.00 |
KDR | -0.0000692 | 5128 | GTEx | DepMap | Descartes | 0.01 | 0.67 |
CYP26B1 | -0.0000783 | 5224 | GTEx | DepMap | Descartes | 0.00 | 2.03 |
CDH5 | -0.0001053 | 5580 | GTEx | DepMap | Descartes | 0.01 | 4.25 |
MMRN2 | -0.0001452 | 6155 | GTEx | DepMap | Descartes | 0.01 | 2.91 |
ROBO4 | -0.0001666 | 6415 | GTEx | DepMap | Descartes | 0.00 | 0.68 |
NPR1 | -0.0001691 | 6456 | GTEx | DepMap | Descartes | 0.00 | 0.00 |
PLVAP | -0.0001805 | 6629 | GTEx | DepMap | Descartes | 0.02 | 8.73 |
HYAL2 | -0.0001836 | 6672 | GTEx | DepMap | Descartes | 0.02 | 11.12 |
PODXL | -0.0002131 | 7045 | GTEx | DepMap | Descartes | 0.04 | 14.23 |
CALCRL | -0.0002147 | 7073 | GTEx | DepMap | Descartes | 0.03 | 10.12 |
SHANK3 | -0.0002564 | 7607 | GTEx | DepMap | Descartes | 0.03 | 7.36 |
IRX3 | -0.0002943 | 8057 | GTEx | DepMap | Descartes | 0.00 | 0.26 |
NOTCH4 | -0.0003103 | 8228 | GTEx | DepMap | Descartes | 0.02 | 4.74 |
RASIP1 | -0.0003216 | 8366 | GTEx | DepMap | Descartes | 0.00 | 1.17 |
SHE | -0.0003266 | 8426 | GTEx | DepMap | Descartes | 0.01 | 0.54 |
EHD3 | -0.0003291 | 8464 | GTEx | DepMap | Descartes | 0.01 | 0.32 |
PTPRB | -0.0003305 | 8480 | GTEx | DepMap | Descartes | 0.04 | 9.19 |
NR5A2 | -0.0003922 | 9098 | GTEx | DepMap | Descartes | 0.01 | 1.98 |
Descartes stromal markers
Top 50 marker genes of stromal cells in the Decartes fetal adrenal single cell map (https://atlas.brotmanbaty.org/bbi/human-gene-expression-during-development/cell/stromal/in/adrenal)
Wilcoxon ranksum test P-value for gene set overrepresentation: 1.00e+00
Mean rank of genes in gene set: 9283.43
Median rank of genes in gene set: 9820.5
Rank on gene expression program of top 30 genes in gene set:
Genes | Weight | Rank | GTEx | DepMap | Descartes | Mean.Counts | Mean.TPM |
---|---|---|---|---|---|---|---|
IGFBP3 | 0.0004885 | 1644 | GTEx | DepMap | Descartes | 0.03 | 25.34 |
LAMC3 | -0.0000108 | 4512 | GTEx | DepMap | Descartes | 0.01 | 1.24 |
ABCC9 | -0.0000138 | 4550 | GTEx | DepMap | Descartes | 0.01 | 0.57 |
CLDN11 | -0.0000253 | 4671 | GTEx | DepMap | Descartes | 0.06 | 42.54 |
LOX | -0.0001297 | 5919 | GTEx | DepMap | Descartes | 0.00 | 0.87 |
CD248 | -0.0001330 | 5972 | GTEx | DepMap | Descartes | 0.00 | 8.97 |
SCARA5 | -0.0001402 | 6069 | GTEx | DepMap | Descartes | 0.00 | 0.00 |
ADAMTS2 | -0.0001722 | 6504 | GTEx | DepMap | Descartes | 0.06 | 19.63 |
PCDH18 | -0.0001750 | 6554 | GTEx | DepMap | Descartes | 0.00 | 0.21 |
OGN | -0.0002339 | 7351 | GTEx | DepMap | Descartes | 0.01 | 1.91 |
EDNRA | -0.0002506 | 7540 | GTEx | DepMap | Descartes | 0.01 | 4.90 |
PAMR1 | -0.0002928 | 8035 | GTEx | DepMap | Descartes | 0.05 | 16.58 |
RSPO3 | -0.0003161 | 8297 | GTEx | DepMap | Descartes | 0.00 | NA |
LRRC17 | -0.0003318 | 8497 | GTEx | DepMap | Descartes | 0.02 | 10.88 |
SFRP2 | -0.0003352 | 8531 | GTEx | DepMap | Descartes | 0.00 | 1.79 |
ADAMTSL3 | -0.0003474 | 8658 | GTEx | DepMap | Descartes | 0.01 | 3.17 |
ITGA11 | -0.0004244 | 9371 | GTEx | DepMap | Descartes | 0.01 | 1.27 |
MGP | -0.0004413 | 9521 | GTEx | DepMap | Descartes | 0.05 | 47.06 |
DKK2 | -0.0004536 | 9633 | GTEx | DepMap | Descartes | 0.00 | 1.37 |
LUM | -0.0004599 | 9680 | GTEx | DepMap | Descartes | 0.02 | 15.54 |
GLI2 | -0.0004661 | 9733 | GTEx | DepMap | Descartes | 0.00 | 0.98 |
FREM1 | -0.0004722 | 9790 | GTEx | DepMap | Descartes | 0.12 | 15.18 |
PRICKLE1 | -0.0004805 | 9851 | GTEx | DepMap | Descartes | 0.20 | 64.42 |
CCDC80 | -0.0004941 | 9967 | GTEx | DepMap | Descartes | 0.01 | 0.93 |
PDGFRA | -0.0005228 | 10170 | GTEx | DepMap | Descartes | 0.00 | 0.00 |
COL12A1 | -0.0005679 | 10467 | GTEx | DepMap | Descartes | 0.01 | 1.20 |
COL27A1 | -0.0005902 | 10594 | GTEx | DepMap | Descartes | 0.01 | 1.24 |
ABCA6 | -0.0005968 | 10629 | GTEx | DepMap | Descartes | 0.01 | 0.30 |
ACTA2 | -0.0006335 | 10818 | GTEx | DepMap | Descartes | 0.02 | 17.80 |
COL6A3 | -0.0006414 | 10853 | GTEx | DepMap | Descartes | 0.06 | 15.59 |
Descartes sympathoblasts markers
Top 50 marker genes of sympathoblasts cells in the Decartes fetal adrenal single cell map (https://atlas.brotmanbaty.org/bbi/human-gene-expression-during-development/cell/sympathoblasts/in/adrenal)
Wilcoxon ranksum test P-value for gene set overrepresentation: 9.58e-01
Mean rank of genes in gene set: 7287.16
Median rank of genes in gene set: 10256
Rank on gene expression program of top 30 genes in gene set:
Genes | Weight | Rank | GTEx | DepMap | Descartes | Mean.Counts | Mean.TPM |
---|---|---|---|---|---|---|---|
FAM155A | 0.0073308 | 33 | GTEx | DepMap | Descartes | 7.26 | 1857.54 |
TENM1 | 0.0072335 | 34 | GTEx | DepMap | Descartes | 1.04 | NA |
PACRG | 0.0061548 | 42 | GTEx | DepMap | Descartes | 0.67 | 944.16 |
GRM7 | 0.0046806 | 60 | GTEx | DepMap | Descartes | 0.36 | 281.29 |
AGBL4 | 0.0042807 | 71 | GTEx | DepMap | Descartes | 1.86 | 911.84 |
ROBO1 | 0.0038209 | 89 | GTEx | DepMap | Descartes | 2.64 | 826.34 |
KSR2 | 0.0035243 | 103 | GTEx | DepMap | Descartes | 0.52 | 61.02 |
KCTD16 | 0.0019190 | 295 | GTEx | DepMap | Descartes | 0.74 | 135.02 |
C1QL1 | 0.0016093 | 386 | GTEx | DepMap | Descartes | 0.12 | 272.12 |
CNTN3 | 0.0015816 | 395 | GTEx | DepMap | Descartes | 0.13 | 44.31 |
PCSK1N | 0.0011453 | 637 | GTEx | DepMap | Descartes | 1.00 | 2170.34 |
UNC80 | 0.0008858 | 896 | GTEx | DepMap | Descartes | 0.64 | 93.20 |
TIAM1 | 0.0001326 | 3297 | GTEx | DepMap | Descartes | 0.46 | 139.69 |
MGAT4C | 0.0001124 | 3444 | GTEx | DepMap | Descartes | 0.29 | 26.02 |
TBX20 | 0.0000071 | 4339 | GTEx | DepMap | Descartes | 0.09 | 114.81 |
LAMA3 | -0.0002113 | 7021 | GTEx | DepMap | Descartes | 0.04 | 6.94 |
PENK | -0.0002712 | 7775 | GTEx | DepMap | Descartes | 0.00 | 0.00 |
SORCS3 | -0.0003873 | 9057 | GTEx | DepMap | Descartes | 0.02 | 2.47 |
DGKK | -0.0004879 | 9915 | GTEx | DepMap | Descartes | 0.00 | 0.00 |
SLC24A2 | -0.0005904 | 10597 | GTEx | DepMap | Descartes | 0.03 | 4.49 |
HTATSF1 | -0.0008179 | 11498 | GTEx | DepMap | Descartes | 0.04 | 32.42 |
SLC35F3 | -0.0008189 | 11502 | GTEx | DepMap | Descartes | 0.08 | 42.63 |
ARC | -0.0008215 | 11510 | GTEx | DepMap | Descartes | 0.02 | 10.75 |
NTNG1 | -0.0009310 | 11763 | GTEx | DepMap | Descartes | 0.52 | 131.03 |
CCSER1 | -0.0009936 | 11863 | GTEx | DepMap | Descartes | 0.91 | NA |
CHGA | -0.0012459 | 12148 | GTEx | DepMap | Descartes | 0.52 | 592.72 |
GCH1 | -0.0012868 | 12174 | GTEx | DepMap | Descartes | 0.13 | 82.84 |
ST18 | -0.0012907 | 12180 | GTEx | DepMap | Descartes | 0.00 | 0.97 |
GALNTL6 | -0.0013236 | 12202 | GTEx | DepMap | Descartes | 0.17 | 69.99 |
CDH12 | -0.0014445 | 12273 | GTEx | DepMap | Descartes | 0.12 | 17.10 |
Descartes erythroblasts markers
Top 50 marker genes of erythroblasts cells in the Decartes fetal adrenal single cell map (https://atlas.brotmanbaty.org/bbi/human-gene-expression-during-development/cell/erythroblasts/in/adrenal)
Wilcoxon ranksum test P-value for gene set overrepresentation: 4.67e-01
Mean rank of genes in gene set: 6220.14
Median rank of genes in gene set: 7104
Rank on gene expression program of top 30 genes in gene set:
Genes | Weight | Rank | GTEx | DepMap | Descartes | Mean.Counts | Mean.TPM |
---|---|---|---|---|---|---|---|
RAPGEF2 | 0.0020240 | 276 | GTEx | DepMap | Descartes | 0.44 | 152.02 |
SPTB | 0.0012130 | 589 | GTEx | DepMap | Descartes | 0.06 | 14.57 |
RGS6 | 0.0011683 | 617 | GTEx | DepMap | Descartes | 0.03 | 14.41 |
SNCA | 0.0010741 | 691 | GTEx | DepMap | Descartes | 0.13 | 101.46 |
ANK1 | 0.0009513 | 821 | GTEx | DepMap | Descartes | 0.18 | 62.09 |
CPOX | 0.0004486 | 1761 | GTEx | DepMap | Descartes | 0.03 | 26.63 |
TMCC2 | 0.0003681 | 2070 | GTEx | DepMap | Descartes | 0.02 | 14.46 |
GYPC | 0.0002521 | 2620 | GTEx | DepMap | Descartes | 0.01 | 14.86 |
ABCB10 | 0.0000609 | 3861 | GTEx | DepMap | Descartes | 0.08 | 39.57 |
SPECC1 | 0.0000547 | 3910 | GTEx | DepMap | Descartes | 0.02 | 7.67 |
RHD | 0.0000003 | 4404 | GTEx | DepMap | Descartes | 0.02 | 12.66 |
ALAS2 | -0.0000842 | 5294 | GTEx | DepMap | Descartes | 0.00 | 0.00 |
BLVRB | -0.0001077 | 5606 | GTEx | DepMap | Descartes | 0.02 | 33.19 |
SLC4A1 | -0.0001969 | 6829 | GTEx | DepMap | Descartes | 0.00 | 0.00 |
TRAK2 | -0.0002172 | 7104 | GTEx | DepMap | Descartes | 0.06 | 15.17 |
CAT | -0.0002321 | 7323 | GTEx | DepMap | Descartes | 0.03 | 26.63 |
XPO7 | -0.0002806 | 7899 | GTEx | DepMap | Descartes | 0.18 | 67.90 |
SLC25A37 | -0.0002830 | 7928 | GTEx | DepMap | Descartes | 0.09 | 33.80 |
SLC25A21 | -0.0003326 | 8506 | GTEx | DepMap | Descartes | 0.01 | 2.84 |
MARCH3 | -0.0003449 | 8632 | GTEx | DepMap | Descartes | 0.07 | NA |
FECH | -0.0003524 | 8699 | GTEx | DepMap | Descartes | 0.03 | 8.16 |
SELENBP1 | -0.0004009 | 9167 | GTEx | DepMap | Descartes | 0.00 | 0.00 |
EPB41 | -0.0004680 | 9751 | GTEx | DepMap | Descartes | 0.34 | 107.76 |
TFR2 | -0.0004763 | 9820 | GTEx | DepMap | Descartes | 0.16 | 73.62 |
MICAL2 | -0.0005138 | 10105 | GTEx | DepMap | Descartes | 0.02 | 2.54 |
TSPAN5 | -0.0005784 | 10532 | GTEx | DepMap | Descartes | 0.44 | 181.77 |
DENND4A | -0.0007752 | 11372 | GTEx | DepMap | Descartes | 0.30 | 66.49 |
GCLC | -0.0008888 | 11674 | GTEx | DepMap | Descartes | 0.04 | 26.57 |
SOX6 | -0.0032065 | 12523 | GTEx | DepMap | Descartes | 0.23 | 22.74 |
NA | NA | NA | NA | NA | NA | NA | NA |
Descartes myeloid markers
Top 50 marker genes of myeloid cells in the Decartes fetal adrenal single cell map (https://atlas.brotmanbaty.org/bbi/human-gene-expression-during-development/cell/myeloid/in/adrenal)
Wilcoxon ranksum test P-value for gene set overrepresentation: 1.00e+00
Mean rank of genes in gene set: 9065.82
Median rank of genes in gene set: 10322
Rank on gene expression program of top 30 genes in gene set:
Genes | Weight | Rank | GTEx | DepMap | Descartes | Mean.Counts | Mean.TPM |
---|---|---|---|---|---|---|---|
FMN1 | 0.0031281 | 133 | GTEx | DepMap | Descartes | 1.21 | 221.22 |
RGL1 | 0.0016050 | 390 | GTEx | DepMap | Descartes | 0.20 | 112.84 |
SFMBT2 | 0.0012924 | 550 | GTEx | DepMap | Descartes | 0.17 | 52.64 |
ADAP2 | 0.0000973 | 3570 | GTEx | DepMap | Descartes | 0.04 | 31.76 |
ATP8B4 | -0.0000812 | 5261 | GTEx | DepMap | Descartes | 0.01 | 8.58 |
LGMN | -0.0001653 | 6394 | GTEx | DepMap | Descartes | 0.04 | 52.06 |
MS4A4A | -0.0001690 | 6455 | GTEx | DepMap | Descartes | 0.00 | 0.00 |
CSF1R | -0.0002468 | 7487 | GTEx | DepMap | Descartes | 0.01 | 5.92 |
CST3 | -0.0002890 | 7983 | GTEx | DepMap | Descartes | 0.07 | 56.90 |
CYBB | -0.0003086 | 8212 | GTEx | DepMap | Descartes | 0.01 | 2.45 |
WWP1 | -0.0003253 | 8406 | GTEx | DepMap | Descartes | 0.10 | 42.42 |
HCK | -0.0003257 | 8414 | GTEx | DepMap | Descartes | 0.00 | 0.94 |
SLCO2B1 | -0.0003770 | 8958 | GTEx | DepMap | Descartes | 0.01 | 0.99 |
FGD2 | -0.0004548 | 9645 | GTEx | DepMap | Descartes | 0.00 | 0.18 |
FGL2 | -0.0004638 | 9710 | GTEx | DepMap | Descartes | 0.00 | 0.07 |
MERTK | -0.0004925 | 9953 | GTEx | DepMap | Descartes | 0.01 | 1.63 |
CD163L1 | -0.0005061 | 10059 | GTEx | DepMap | Descartes | 0.10 | 35.65 |
CD163 | -0.0005171 | 10129 | GTEx | DepMap | Descartes | 0.00 | 0.15 |
CPVL | -0.0005231 | 10172 | GTEx | DepMap | Descartes | 0.01 | 10.73 |
SLC1A3 | -0.0005693 | 10472 | GTEx | DepMap | Descartes | 0.00 | 0.35 |
CTSS | -0.0005827 | 10559 | GTEx | DepMap | Descartes | 0.02 | 9.76 |
CD14 | -0.0005828 | 10561 | GTEx | DepMap | Descartes | 0.02 | 17.30 |
CD74 | -0.0006296 | 10795 | GTEx | DepMap | Descartes | 0.07 | 41.24 |
PTPRE | -0.0006305 | 10801 | GTEx | DepMap | Descartes | 0.04 | 13.62 |
AXL | -0.0006310 | 10805 | GTEx | DepMap | Descartes | 0.01 | 2.04 |
CTSC | -0.0006548 | 10909 | GTEx | DepMap | Descartes | 0.01 | 0.56 |
RBPJ | -0.0006636 | 10946 | GTEx | DepMap | Descartes | 0.24 | 97.16 |
ABCA1 | -0.0006749 | 11002 | GTEx | DepMap | Descartes | 0.03 | 5.47 |
SLC9A9 | -0.0006923 | 11062 | GTEx | DepMap | Descartes | 0.04 | 20.61 |
HRH1 | -0.0007064 | 11122 | GTEx | DepMap | Descartes | 0.01 | 2.32 |
Descartes Schwann markers
Top 50 marker genes of Schwann cells in the Decartes fetal adrenal single cell map (https://atlas.brotmanbaty.org/bbi/human-gene-expression-during-development/cell/schwann/in/adrenal)
Wilcoxon ranksum test P-value for gene set overrepresentation: 9.65e-01
Mean rank of genes in gene set: 7265.77
Median rank of genes in gene set: 8674.5
Rank on gene expression program of top 30 genes in gene set:
Genes | Weight | Rank | GTEx | DepMap | Descartes | Mean.Counts | Mean.TPM |
---|---|---|---|---|---|---|---|
SORCS1 | 0.0158069 | 5 | GTEx | DepMap | Descartes | 2.75 | 1148.46 |
PPP2R2B | 0.0073856 | 31 | GTEx | DepMap | Descartes | 1.10 | 270.63 |
PAG1 | 0.0061430 | 43 | GTEx | DepMap | Descartes | 0.82 | 223.70 |
SCN7A | 0.0044161 | 68 | GTEx | DepMap | Descartes | 0.30 | 111.08 |
NRXN1 | 0.0034136 | 112 | GTEx | DepMap | Descartes | 2.08 | 479.01 |
SOX5 | 0.0032427 | 121 | GTEx | DepMap | Descartes | 0.73 | 258.67 |
MDGA2 | 0.0030415 | 139 | GTEx | DepMap | Descartes | 0.02 | 11.47 |
XKR4 | 0.0018608 | 304 | GTEx | DepMap | Descartes | 0.36 | 36.00 |
PTN | 0.0017171 | 342 | GTEx | DepMap | Descartes | 0.30 | 377.47 |
PLCE1 | 0.0004637 | 1715 | GTEx | DepMap | Descartes | 0.04 | 7.68 |
NRXN3 | 0.0003340 | 2230 | GTEx | DepMap | Descartes | 0.26 | 68.77 |
LAMC1 | 0.0003258 | 2264 | GTEx | DepMap | Descartes | 0.11 | 36.82 |
FIGN | 0.0001326 | 3299 | GTEx | DepMap | Descartes | 0.11 | 32.10 |
IL1RAPL2 | 0.0000154 | 4262 | GTEx | DepMap | Descartes | 0.05 | 36.05 |
HMGA2 | -0.0000378 | 4789 | GTEx | DepMap | Descartes | 0.00 | 0.00 |
COL25A1 | -0.0000549 | 4962 | GTEx | DepMap | Descartes | 0.04 | 4.03 |
MPZ | -0.0000712 | 5147 | GTEx | DepMap | Descartes | 0.01 | 12.94 |
PLP1 | -0.0000957 | 5454 | GTEx | DepMap | Descartes | 0.00 | 0.00 |
ADAMTS5 | -0.0001127 | 5680 | GTEx | DepMap | Descartes | 0.01 | 0.94 |
EDNRB | -0.0001533 | 6238 | GTEx | DepMap | Descartes | 0.00 | 0.13 |
ERBB3 | -0.0002623 | 7679 | GTEx | DepMap | Descartes | 0.01 | 1.19 |
OLFML2A | -0.0002900 | 7997 | GTEx | DepMap | Descartes | 0.00 | 0.00 |
PTPRZ1 | -0.0004220 | 9352 | GTEx | DepMap | Descartes | 0.00 | 0.00 |
GRIK3 | -0.0004515 | 9611 | GTEx | DepMap | Descartes | 0.02 | 2.07 |
SLC35F1 | -0.0005966 | 10627 | GTEx | DepMap | Descartes | 0.01 | 4.51 |
GFRA3 | -0.0005985 | 10638 | GTEx | DepMap | Descartes | 0.09 | 78.32 |
GAS7 | -0.0006108 | 10704 | GTEx | DepMap | Descartes | 0.02 | 3.81 |
KCTD12 | -0.0007035 | 11109 | GTEx | DepMap | Descartes | 0.00 | 0.37 |
STARD13 | -0.0008502 | 11577 | GTEx | DepMap | Descartes | 0.03 | 3.57 |
LAMA4 | -0.0008840 | 11657 | GTEx | DepMap | Descartes | 0.02 | 4.35 |
Descartes Megakaryocytes markers
Top 50 marker genes of Megakaryocytes cells in the Decartes fetal adrenal single cell map (https://atlas.brotmanbaty.org/bbi/human-gene-expression-during-development/cell/megakaryocytes/in/adrenal)
Wilcoxon ranksum test P-value for gene set overrepresentation: 9.71e-01
Mean rank of genes in gene set: 7294.69
Median rank of genes in gene set: 7984
Rank on gene expression program of top 30 genes in gene set:
Genes | Weight | Rank | GTEx | DepMap | Descartes | Mean.Counts | Mean.TPM |
---|---|---|---|---|---|---|---|
SPN | 0.0025653 | 187 | GTEx | DepMap | Descartes | 0.03 | 18.93 |
SLC24A3 | 0.0023868 | 210 | GTEx | DepMap | Descartes | 0.09 | 63.35 |
INPP4B | 0.0021765 | 247 | GTEx | DepMap | Descartes | 0.45 | 146.77 |
STON2 | 0.0014583 | 446 | GTEx | DepMap | Descartes | 0.16 | 68.98 |
TLN1 | 0.0010070 | 770 | GTEx | DepMap | Descartes | 0.09 | 24.04 |
ACTN1 | 0.0007949 | 1010 | GTEx | DepMap | Descartes | 0.21 | 99.13 |
PRKAR2B | 0.0006443 | 1235 | GTEx | DepMap | Descartes | 0.27 | 199.64 |
MED12L | 0.0005110 | 1573 | GTEx | DepMap | Descartes | 0.09 | 26.64 |
GP1BA | 0.0003595 | 2114 | GTEx | DepMap | Descartes | 0.01 | 10.91 |
PSTPIP2 | 0.0003212 | 2282 | GTEx | DepMap | Descartes | 0.02 | 17.32 |
TRPC6 | 0.0003037 | 2364 | GTEx | DepMap | Descartes | 0.02 | 8.11 |
HIPK2 | 0.0001391 | 3261 | GTEx | DepMap | Descartes | 0.41 | 59.62 |
P2RX1 | 0.0000196 | 4220 | GTEx | DepMap | Descartes | 0.00 | 3.17 |
ITGA2B | 0.0000152 | 4270 | GTEx | DepMap | Descartes | 0.04 | 23.24 |
MYLK | -0.0000499 | 4903 | GTEx | DepMap | Descartes | 0.01 | 2.61 |
ANGPT1 | -0.0000605 | 5027 | GTEx | DepMap | Descartes | 0.02 | 9.07 |
STOM | -0.0000978 | 5483 | GTEx | DepMap | Descartes | 0.02 | 12.88 |
ARHGAP6 | -0.0002044 | 6935 | GTEx | DepMap | Descartes | 0.01 | 4.76 |
ITGB3 | -0.0002543 | 7584 | GTEx | DepMap | Descartes | 0.00 | 0.00 |
MMRN1 | -0.0002621 | 7678 | GTEx | DepMap | Descartes | 0.00 | 0.11 |
TUBB1 | -0.0002745 | 7817 | GTEx | DepMap | Descartes | 0.00 | 0.00 |
CD84 | -0.0002777 | 7860 | GTEx | DepMap | Descartes | 0.01 | 1.63 |
FERMT3 | -0.0002890 | 7984 | GTEx | DepMap | Descartes | 0.01 | 9.45 |
LIMS1 | -0.0003986 | 9153 | GTEx | DepMap | Descartes | 0.10 | 45.88 |
GSN | -0.0004038 | 9196 | GTEx | DepMap | Descartes | 0.06 | 15.65 |
PLEK | -0.0004367 | 9476 | GTEx | DepMap | Descartes | 0.00 | 0.25 |
FLI1 | -0.0004731 | 9796 | GTEx | DepMap | Descartes | 0.02 | 2.62 |
UBASH3B | -0.0004758 | 9816 | GTEx | DepMap | Descartes | 0.03 | 9.06 |
TGFB1 | -0.0004941 | 9965 | GTEx | DepMap | Descartes | 0.05 | 38.92 |
VCL | -0.0005358 | 10254 | GTEx | DepMap | Descartes | 0.07 | 16.62 |
Descartes Lyphoid markers
Top 50 marker genes of Lyphoid cells in the Decartes fetal adrenal single cell map (https://atlas.brotmanbaty.org/bbi/human-gene-expression-during-development/cell/lymphoid/in/adrenal)
Wilcoxon ranksum test P-value for gene set overrepresentation: 9.90e-01
Mean rank of genes in gene set: 7567.05
Median rank of genes in gene set: 8270.5
Rank on gene expression program of top 30 genes in gene set:
Genes | Weight | Rank | GTEx | DepMap | Descartes | Mean.Counts | Mean.TPM |
---|---|---|---|---|---|---|---|
CD44 | 0.0074266 | 30 | GTEx | DepMap | Descartes | 1.03 | 555.84 |
EVL | 0.0044814 | 64 | GTEx | DepMap | Descartes | 1.06 | 777.72 |
STK39 | 0.0031031 | 134 | GTEx | DepMap | Descartes | 0.83 | 598.87 |
GNG2 | 0.0020360 | 271 | GTEx | DepMap | Descartes | 0.43 | 336.18 |
PITPNC1 | 0.0014576 | 447 | GTEx | DepMap | Descartes | 0.65 | 216.72 |
LEF1 | 0.0005239 | 1549 | GTEx | DepMap | Descartes | 0.03 | 23.15 |
SCML4 | 0.0004471 | 1766 | GTEx | DepMap | Descartes | 0.22 | 73.47 |
SORL1 | 0.0002683 | 2520 | GTEx | DepMap | Descartes | 0.18 | 33.26 |
SKAP1 | 0.0001944 | 2912 | GTEx | DepMap | Descartes | 0.06 | 101.62 |
CELF2 | 0.0000197 | 4219 | GTEx | DepMap | Descartes | 0.24 | 53.29 |
CCL5 | -0.0000223 | 4643 | GTEx | DepMap | Descartes | 0.01 | 19.59 |
TOX | -0.0000732 | 5169 | GTEx | DepMap | Descartes | 0.86 | 419.25 |
ITPKB | -0.0000768 | 5206 | GTEx | DepMap | Descartes | 0.02 | 4.60 |
SAMD3 | -0.0001287 | 5900 | GTEx | DepMap | Descartes | 0.02 | 8.77 |
PLEKHA2 | -0.0001326 | 5965 | GTEx | DepMap | Descartes | 0.03 | 10.52 |
ARHGDIB | -0.0001515 | 6214 | GTEx | DepMap | Descartes | 0.01 | 18.39 |
PRKCH | -0.0001721 | 6502 | GTEx | DepMap | Descartes | 0.03 | 23.40 |
PDE3B | -0.0002191 | 7131 | GTEx | DepMap | Descartes | 0.22 | 72.69 |
RCSD1 | -0.0003013 | 8142 | GTEx | DepMap | Descartes | 0.02 | 3.75 |
PTPRC | -0.0003084 | 8211 | GTEx | DepMap | Descartes | 0.02 | 7.03 |
IKZF1 | -0.0003102 | 8227 | GTEx | DepMap | Descartes | 0.01 | 4.71 |
ARHGAP15 | -0.0003175 | 8314 | GTEx | DepMap | Descartes | 0.08 | 50.91 |
LCP1 | -0.0003775 | 8961 | GTEx | DepMap | Descartes | 0.02 | 11.43 |
DOCK10 | -0.0004852 | 9892 | GTEx | DepMap | Descartes | 0.30 | 64.96 |
SP100 | -0.0005048 | 10041 | GTEx | DepMap | Descartes | 0.04 | 9.07 |
CCND3 | -0.0005204 | 10148 | GTEx | DepMap | Descartes | 0.05 | 51.14 |
MCTP2 | -0.0005222 | 10167 | GTEx | DepMap | Descartes | 0.02 | 2.09 |
MSN | -0.0005790 | 10537 | GTEx | DepMap | Descartes | 0.01 | 5.93 |
ETS1 | -0.0005904 | 10598 | GTEx | DepMap | Descartes | 0.02 | 4.70 |
MBNL1 | -0.0006297 | 10797 | GTEx | DepMap | Descartes | 0.19 | 65.90 |
Below shows the ranks on this GEP for immune marker gene lists curated by CellTypist (https://www.celltypist.org/encyclopedia).
High ranks indicate this gene is a driver of this GEP.
These curated gene list are ranked by P-value (on this GEP) of their constituent genes.
The Mean Count column shows the mean read count in cells scoring highly (H > 50) on this gene expression program.
Genes | Weight | Rank | GTEx | DepMap | Decartes | Mean.Counts | Mean.TPM |
---|---|---|---|---|---|---|---|
TOP2A | 0.0035734 | 100 | GTEx | DepMap | Descartes | 0.61 | 281.68 |
MKI67 | 0.0007395 | 1078 | GTEx | DepMap | Descartes | 0.08 | 16.43 |
Cycling cells: Cycling gamma-delta T cells (curated markers)
proliferating gamma-delta (γδ) T lymphocytes:
Wilcoxon ranksum test P-value for gene set overrepresentation: 1.32e-02
Mean rank of genes in gene set: 589
Rank on gene expression program of genes in gene set:
Genes | Weight | Rank | GTEx | DepMap | Decartes | Mean.Counts | Mean.TPM |
---|---|---|---|---|---|---|---|
TOP2A | 0.0035734 | 100 | GTEx | DepMap | Descartes | 0.61 | 281.68 |
MKI67 | 0.0007395 | 1078 | GTEx | DepMap | Descartes | 0.08 | 16.43 |
Cycling cells: Cycling monocytes (curated markers)
proliferating monocytes:
Wilcoxon ranksum test P-value for gene set overrepresentation: 1.32e-02
Mean rank of genes in gene set: 589
Rank on gene expression program of genes in gene set:
Genes | Weight | Rank | GTEx | DepMap | Decartes | Mean.Counts | Mean.TPM |
---|---|---|---|---|---|---|---|
TOP2A | 0.0035734 | 100 | GTEx | DepMap | Descartes | 0.61 | 281.68 |
MKI67 | 0.0007395 | 1078 | GTEx | DepMap | Descartes | 0.08 | 16.43 |