Program description and justification of annotation: 14.
Submit a comment on this gene expression program’s interpretation: CLICK
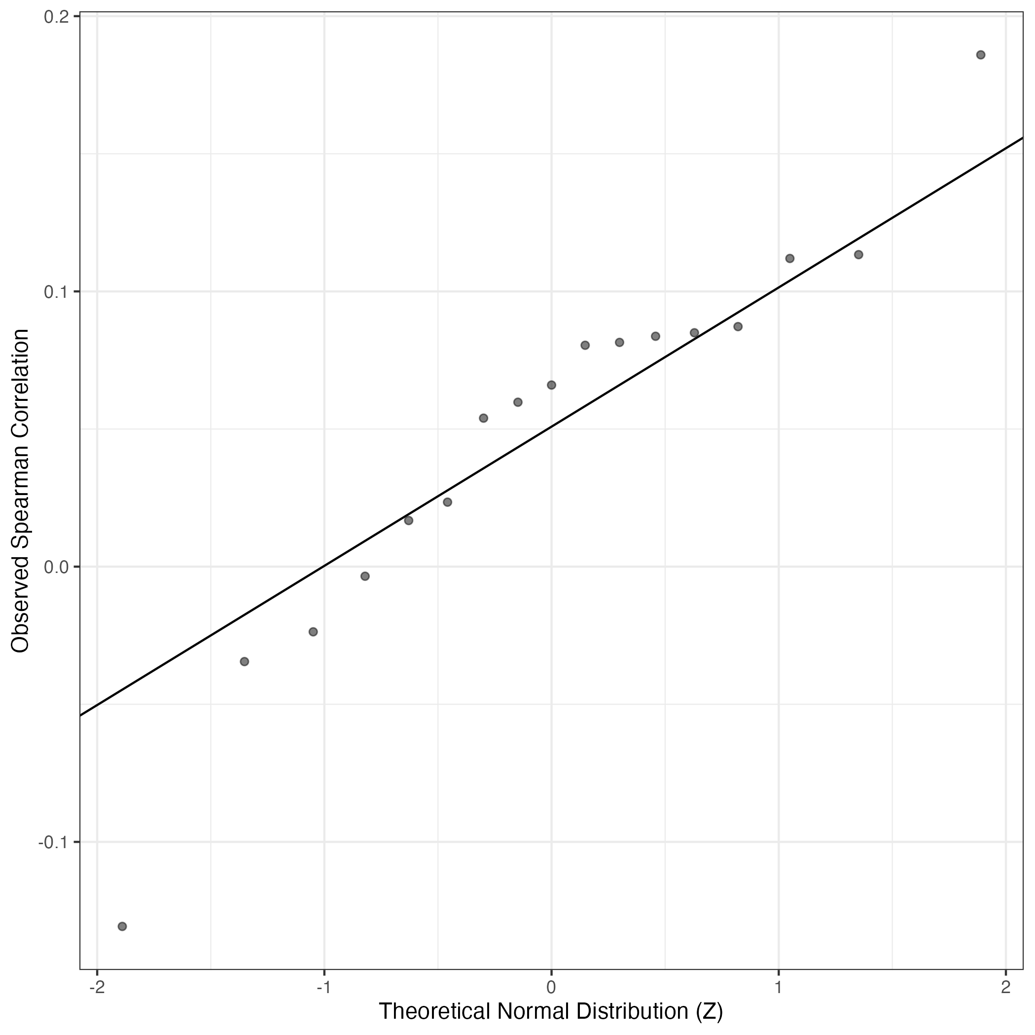
QQ-plot of gene loadings, averaged over both independent splits of the data
This plot highlights the relative contribution of each gene to the GEP
Top genes driving this program.
Note: Decartes website is buggy, try refreshing. Also, Decartes fetal adrenal data have been collected at specific time points (89-122 days), all possible cell types of interest may not be represented, do not overinterpret.
The Mean Count column shows the mean read count in cells scoring highly (H > 50) on this gene expression program.
| Gene | Loading | Gene.Name | GTEx | DepMap | Descartes | Mean.Counts | Mean.Tpm | |
|---|---|---|---|---|---|---|---|---|
| 1 | AOAH | 0.0229321 | acyloxyacyl hydrolase | GTEx | DepMap | Descartes | 1.25 | 1462.72 |
| 2 | IL18 | 0.0222444 | interleukin 18 | GTEx | DepMap | Descartes | 0.77 | 1242.60 |
| 3 | SAT1 | 0.0210541 | spermidine/spermine N1-acetyltransferase 1 | GTEx | DepMap | Descartes | 3.00 | 7116.04 |
| 4 | RBM47 | 0.0188444 | RNA binding motif protein 47 | GTEx | DepMap | Descartes | 1.37 | 790.49 |
| 5 | SLC9A9 | 0.0161499 | solute carrier family 9 member A9 | GTEx | DepMap | Descartes | 0.84 | 650.69 |
| 6 | NPL | 0.0145672 | N-acetylneuraminate pyruvate lyase | GTEx | DepMap | Descartes | 0.67 | 630.08 |
| 7 | CD74 | 0.0138495 | CD74 molecule | GTEx | DepMap | Descartes | 1.27 | 1028.86 |
| 8 | PLXDC2 | 0.0123362 | plexin domain containing 2 | GTEx | DepMap | Descartes | 1.60 | 353.29 |
| 9 | MITF | 0.0119390 | melanocyte inducing transcription factor | GTEx | DepMap | Descartes | 0.72 | 396.29 |
| 10 | ARHGAP25 | 0.0114772 | Rho GTPase activating protein 25 | GTEx | DepMap | Descartes | 0.38 | 311.11 |
| 11 | ITPR2 | 0.0114407 | inositol 1,4,5-trisphosphate receptor type 2 | GTEx | DepMap | Descartes | 0.83 | 181.08 |
| 12 | SRGN | 0.0111735 | serglycin | GTEx | DepMap | Descartes | 0.63 | 1350.91 |
| 13 | ARHGAP15 | 0.0103456 | Rho GTPase activating protein 15 | GTEx | DepMap | Descartes | 0.79 | 655.89 |
| 14 | ABCA1 | 0.0103351 | ATP binding cassette subfamily A member 1 | GTEx | DepMap | Descartes | 0.63 | 169.49 |
| 15 | SLC1A3 | 0.0102776 | solute carrier family 1 member 3 | GTEx | DepMap | Descartes | 0.30 | 227.12 |
| 16 | SYK | 0.0102233 | spleen associated tyrosine kinase | GTEx | DepMap | Descartes | 0.33 | 163.51 |
| 17 | MYO1F | 0.0100847 | myosin IF | GTEx | DepMap | Descartes | 0.41 | 267.69 |
| 18 | FGD2 | 0.0100365 | FYVE, RhoGEF and PH domain containing 2 | GTEx | DepMap | Descartes | 0.23 | 97.37 |
| 19 | ZEB2 | 0.0098892 | zinc finger E-box binding homeobox 2 | GTEx | DepMap | Descartes | 1.82 | 516.93 |
| 20 | LGMN | 0.0097330 | legumain | GTEx | DepMap | Descartes | 0.56 | 747.63 |
| 21 | SLCO2B1 | 0.0096352 | solute carrier organic anion transporter family member 2B1 | GTEx | DepMap | Descartes | 0.35 | 172.03 |
| 22 | MERTK | 0.0094157 | MER proto-oncogene, tyrosine kinase | GTEx | DepMap | Descartes | 0.29 | 229.61 |
| 23 | LYN | 0.0091288 | LYN proto-oncogene, Src family tyrosine kinase | GTEx | DepMap | Descartes | 0.41 | 205.42 |
| 24 | PLA2G7 | 0.0090791 | phospholipase A2 group VII | GTEx | DepMap | Descartes | 0.20 | 291.58 |
| 25 | EPB41L2 | 0.0089929 | erythrocyte membrane protein band 4.1 like 2 | GTEx | DepMap | Descartes | 0.42 | 251.50 |
| 26 | TNFAIP2 | 0.0089456 | TNF alpha induced protein 2 | GTEx | DepMap | Descartes | 0.44 | 269.99 |
| 27 | PARP14 | 0.0089410 | poly(ADP-ribose) polymerase family member 14 | GTEx | DepMap | Descartes | 0.40 | 127.70 |
| 28 | ATG7 | 0.0086705 | autophagy related 7 | GTEx | DepMap | Descartes | 1.28 | 651.56 |
| 29 | RAB20 | 0.0084975 | RAB20, member RAS oncogene family | GTEx | DepMap | Descartes | 0.29 | 549.99 |
| 30 | LCP2 | 0.0083127 | lymphocyte cytosolic protein 2 | GTEx | DepMap | Descartes | 0.25 | 164.85 |
| 31 | SAMSN1 | 0.0081857 | SAM domain, SH3 domain and nuclear localization signals 1 | GTEx | DepMap | Descartes | 0.30 | 273.30 |
| 32 | DOCK2 | 0.0081480 | dedicator of cytokinesis 2 | GTEx | DepMap | Descartes | 0.45 | 181.61 |
| 33 | RASSF4 | 0.0081230 | Ras association domain family member 4 | GTEx | DepMap | Descartes | 0.38 | 273.30 |
| 34 | MEF2C | 0.0080532 | myocyte enhancer factor 2C | GTEx | DepMap | Descartes | 0.61 | 232.26 |
| 35 | PDGFC | 0.0080390 | platelet derived growth factor C | GTEx | DepMap | Descartes | 0.27 | 210.77 |
| 36 | IFI30 | 0.0079685 | IFI30 lysosomal thiol reductase | GTEx | DepMap | Descartes | 0.16 | 220.69 |
| 37 | ITGAX | 0.0079169 | integrin subunit alpha X | GTEx | DepMap | Descartes | 0.40 | 224.67 |
| 38 | CD84 | 0.0078611 | CD84 molecule | GTEx | DepMap | Descartes | 0.17 | 48.54 |
| 39 | ETV6 | 0.0078583 | ETS variant transcription factor 6 | GTEx | DepMap | Descartes | 1.07 | 478.97 |
| 40 | SFMBT2 | 0.0078210 | Scm like with four mbt domains 2 | GTEx | DepMap | Descartes | 0.83 | 250.51 |
| 41 | ADAP2 | 0.0078164 | ArfGAP with dual PH domains 2 | GTEx | DepMap | Descartes | 0.38 | 414.00 |
| 42 | CD83 | 0.0077866 | CD83 molecule | GTEx | DepMap | Descartes | 0.33 | 386.66 |
| 43 | ENTPD1 | 0.0077617 | ectonucleoside triphosphate diphosphohydrolase 1 | GTEx | DepMap | Descartes | 0.37 | 80.59 |
| 44 | PTPRJ | 0.0077577 | protein tyrosine phosphatase receptor type J | GTEx | DepMap | Descartes | 0.59 | 199.51 |
| 45 | ARHGAP18 | 0.0077392 | Rho GTPase activating protein 18 | GTEx | DepMap | Descartes | 0.36 | NA |
| 46 | BMP2K | 0.0077212 | BMP2 inducible kinase | GTEx | DepMap | Descartes | 0.62 | 234.60 |
| 47 | TNS3 | 0.0077167 | tensin 3 | GTEx | DepMap | Descartes | 0.57 | 215.29 |
| 48 | IQGAP2 | 0.0076808 | IQ motif containing GTPase activating protein 2 | GTEx | DepMap | Descartes | 0.37 | 167.99 |
| 49 | GSAP | 0.0075742 | gamma-secretase activating protein | GTEx | DepMap | Descartes | 0.34 | NA |
| 50 | KYNU | 0.0074950 | kynureninase | GTEx | DepMap | Descartes | 0.26 | 57.61 |
UMAP plots showing activity of gene expression program identified in community:14. Unknown NFkB
CNV Data procured from inferCNV.
Outer tracks are putative CNV regions (gains = red, losses = blue) for each patient
Inner track is expression data representing:
The top cells expressing this GEP (purple)
Random cells (n =50) from the reference set used in inferCNV (orange)
Gene set Enrichments for this program, caculated from top 50 genes
mSigDB Cell Types Gene Set:
| P-value | OR | Lower 95% CI | FDR | FWER | Genes Found | Gene Set Size | |
|---|---|---|---|---|---|---|---|
| DESCARTES_FETAL_EYE_MICROGLIA | 2.47e-19 | 43.58 | 21.89 | 1.84e-17 | 1.66e-16 | 16AOAH, SLC9A9, CD74, ARHGAP25, ITPR2, ARHGAP15, MYO1F, FGD2, LGMN, SLCO2B1, MERTK, RAB20, DOCK2, CD84, ADAP2, CD83 |
151 |
| FAN_EMBRYONIC_CTX_BIG_GROUPS_MICROGLIA | 2.21e-27 | 39.26 | 21.44 | 1.48e-24 | 1.48e-24 | 26AOAH, SAT1, SLC9A9, NPL, CD74, PLXDC2, ITPR2, SRGN, SLC1A3, SYK, MYO1F, FGD2, LGMN, SLCO2B1, MERTK, LYN, EPB41L2, SAMSN1, DOCK2, IFI30, ITGAX, CD84, SFMBT2, ADAP2, CD83, ENTPD1 |
371 |
| HU_FETAL_RETINA_MICROGLIA | 4.66e-27 | 38.06 | 20.77 | 1.56e-24 | 3.13e-24 | 26AOAH, SAT1, NPL, CD74, PLXDC2, ARHGAP25, ITPR2, SRGN, SYK, MYO1F, FGD2, LGMN, SLCO2B1, MERTK, LYN, PARP14, LCP2, SAMSN1, DOCK2, MEF2C, ITGAX, CD84, SFMBT2, ADAP2, CD83, ENTPD1 |
382 |
| GAO_LARGE_INTESTINE_24W_C11_PANETH_LIKE_CELL | 4.77e-24 | 35.25 | 19.08 | 5.95e-22 | 3.20e-21 | 23AOAH, SLC9A9, NPL, CD74, SRGN, ABCA1, FGD2, LGMN, SLCO2B1, MERTK, LYN, PLA2G7, TNFAIP2, LCP2, SAMSN1, DOCK2, IFI30, ITGAX, CD84, SFMBT2, ADAP2, CD83, KYNU |
325 |
| ZHONG_PFC_MAJOR_TYPES_MICROGLIA | 1.48e-25 | 32.89 | 17.98 | 2.48e-23 | 9.92e-23 | 26AOAH, SAT1, SLC9A9, NPL, CD74, PLXDC2, ITPR2, SRGN, SYK, MYO1F, FGD2, LGMN, SLCO2B1, MERTK, LYN, PLA2G7, SAMSN1, DOCK2, RASSF4, IFI30, ITGAX, CD84, SFMBT2, ADAP2, CD83, ENTPD1 |
438 |
| AIZARANI_LIVER_C6_KUPFFER_CELLS_2 | 1.87e-19 | 33.48 | 17.40 | 1.57e-17 | 1.25e-16 | 18IL18, SAT1, RBM47, PLXDC2, SLC1A3, FGD2, ZEB2, LGMN, SLCO2B1, MERTK, LYN, EPB41L2, TNFAIP2, RASSF4, ITGAX, CD84, ADAP2, CD83 |
228 |
| DESCARTES_FETAL_STOMACH_MYELOID_CELLS | 1.31e-11 | 40.92 | 16.80 | 4.88e-10 | 8.79e-09 | 9CD74, MYO1F, FGD2, MERTK, IFI30, ITGAX, CD84, ADAP2, CD83 |
76 |
| FAN_EMBRYONIC_CTX_MICROGLIA_3 | 1.02e-06 | 67.68 | 15.86 | 2.29e-05 | 6.87e-04 | 4SLC1A3, LGMN, SLCO2B1, MERTK |
20 |
| CUI_DEVELOPING_HEART_C8_MACROPHAGE | 1.77e-19 | 29.91 | 15.75 | 1.57e-17 | 1.19e-16 | 19AOAH, RBM47, CD74, SRGN, SYK, MYO1F, LGMN, SLCO2B1, LYN, LCP2, SAMSN1, DOCK2, MEF2C, IFI30, ITGAX, ADAP2, CD83, ARHGAP18, IQGAP2 |
275 |
| DESCARTES_FETAL_CEREBELLUM_MICROGLIA | 1.18e-25 | 28.20 | 15.43 | 2.48e-23 | 7.94e-23 | 29AOAH, IL18, RBM47, SLC9A9, NPL, CD74, PLXDC2, MITF, ARHGAP25, ARHGAP15, SYK, MYO1F, FGD2, LGMN, MERTK, LYN, PLA2G7, ATG7, RAB20, LCP2, SAMSN1, DOCK2, ITGAX, CD84, SFMBT2, ADAP2, CD83, ENTPD1, BMP2K |
642 |
| DESCARTES_FETAL_THYMUS_ANTIGEN_PRESENTING_CELLS | 2.46e-15 | 30.74 | 15.01 | 1.37e-13 | 1.65e-12 | 14IL18, CD74, SRGN, SLC1A3, MYO1F, FGD2, LGMN, SAMSN1, RASSF4, ITGAX, CD84, ADAP2, CD83, KYNU |
172 |
| MANNO_MIDBRAIN_NEUROTYPES_HMGL | 5.32e-24 | 26.71 | 14.64 | 5.95e-22 | 3.57e-21 | 27IL18, SAT1, RBM47, SLC9A9, NPL, CD74, PLXDC2, ARHGAP25, ITPR2, SRGN, SYK, MYO1F, FGD2, LGMN, SLCO2B1, MERTK, LYN, PARP14, SAMSN1, RASSF4, MEF2C, CD84, SFMBT2, ADAP2, CD83, ENTPD1, BMP2K |
577 |
| DESCARTES_MAIN_FETAL_MICROGLIA | 1.14e-13 | 26.58 | 12.73 | 5.46e-12 | 7.65e-11 | 13SLC9A9, NPL, PLXDC2, ARHGAP25, ITPR2, SLCO2B1, MERTK, ATG7, SAMSN1, ITGAX, SFMBT2, ENTPD1, PTPRJ |
178 |
| DESCARTES_FETAL_CEREBRUM_MICROGLIA | 3.44e-17 | 18.72 | 10.07 | 2.31e-15 | 2.31e-14 | 21AOAH, IL18, RBM47, NPL, CD74, ARHGAP15, MYO1F, FGD2, LGMN, MERTK, PLA2G7, ATG7, RAB20, SAMSN1, DOCK2, IFI30, ITGAX, SFMBT2, ADAP2, CD83, ENTPD1 |
505 |
| TRAVAGLINI_LUNG_IGSF21_DENDRITIC_CELL | 9.74e-07 | 33.82 | 9.97 | 2.25e-05 | 6.53e-04 | 5LGMN, SLCO2B1, PDGFC, CD83, ARHGAP18 |
46 |
| DESCARTES_FETAL_INTESTINE_MYELOID_CELLS | 2.48e-12 | 20.51 | 9.86 | 9.77e-11 | 1.66e-09 | 13AOAH, CD74, ITPR2, ABCA1, FGD2, LGMN, MERTK, RAB20, IFI30, ITGAX, ADAP2, CD83, KYNU |
227 |
| TRAVAGLINI_LUNG_CLASSICAL_MONOCYTE_CELL | 1.15e-12 | 18.99 | 9.34 | 5.12e-11 | 7.72e-10 | 14AOAH, SAT1, RBM47, PLXDC2, SYK, MYO1F, FGD2, ZEB2, LYN, TNFAIP2, MEF2C, IFI30, ENTPD1, KYNU |
270 |
| TRAVAGLINI_LUNG_EREG_DENDRITIC_CELL | 4.87e-16 | 16.24 | 8.74 | 2.97e-14 | 3.27e-13 | 21SAT1, RBM47, CD74, PLXDC2, SRGN, ABCA1, SLC1A3, ZEB2, LGMN, SLCO2B1, EPB41L2, RAB20, LCP2, SAMSN1, IFI30, ITGAX, ETV6, CD83, ENTPD1, ARHGAP18, KYNU |
579 |
| AIZARANI_LIVER_C2_KUPFFER_CELLS_1 | 2.35e-10 | 18.65 | 8.48 | 8.31e-09 | 1.58e-07 | 11IL18, SAT1, PLXDC2, SRGN, SYK, FGD2, SLCO2B1, LYN, ITGAX, CD84, CD83 |
200 |
| DESCARTES_FETAL_MUSCLE_MYELOID_CELLS | 3.68e-08 | 19.51 | 7.74 | 1.18e-06 | 2.47e-05 | 8RBM47, CD74, FGD2, MERTK, PLA2G7, ADAP2, CD83, KYNU |
130 |
Dowload full table
mSigDB Hallmark Gene Sets:
| P-value | OR | Lower 95% CI | FDR | FWER | Genes Found | Gene Set Size | |
|---|---|---|---|---|---|---|---|
| HALLMARK_TNFA_SIGNALING_VIA_NFKB | 1.24e-04 | 8.78 | 3.02 | 6.18e-03 | 6.18e-03 | 6IL18, SAT1, ABCA1, TNFAIP2, CD83, KYNU |
200 |
| HALLMARK_INTERFERON_GAMMA_RESPONSE | 1.08e-03 | 7.12 | 2.18 | 1.35e-02 | 5.40e-02 | 5CD74, TNFAIP2, PARP14, LCP2, IFI30 |
200 |
| HALLMARK_COMPLEMENT | 1.08e-03 | 7.12 | 2.18 | 1.35e-02 | 5.40e-02 | 5LGMN, LYN, PLA2G7, LCP2, KYNU |
200 |
| HALLMARK_ALLOGRAFT_REJECTION | 1.08e-03 | 7.12 | 2.18 | 1.35e-02 | 5.40e-02 | 5IL18, CD74, SRGN, LYN, LCP2 |
200 |
| HALLMARK_INTERFERON_ALPHA_RESPONSE | 6.61e-03 | 8.48 | 1.66 | 5.51e-02 | 3.30e-01 | 3CD74, PARP14, IFI30 |
97 |
| HALLMARK_ANDROGEN_RESPONSE | 7.18e-03 | 8.22 | 1.61 | 5.51e-02 | 3.59e-01 | 3SAT1, MERTK, IQGAP2 |
100 |
| HALLMARK_INFLAMMATORY_RESPONSE | 7.71e-03 | 5.55 | 1.44 | 5.51e-02 | 3.85e-01 | 4IL18, ABCA1, LYN, LCP2 |
200 |
| HALLMARK_APOPTOSIS | 1.32e-01 | 3.28 | 0.38 | 7.11e-01 | 1.00e+00 | 2IL18, SAT1 |
161 |
| HALLMARK_MITOTIC_SPINDLE | 1.83e-01 | 2.64 | 0.31 | 7.11e-01 | 1.00e+00 | 2EPB41L2, DOCK2 |
199 |
| HALLMARK_APICAL_JUNCTION | 1.85e-01 | 2.63 | 0.31 | 7.11e-01 | 1.00e+00 | 2SYK, EPB41L2 |
200 |
| HALLMARK_MTORC1_SIGNALING | 1.85e-01 | 2.63 | 0.31 | 7.11e-01 | 1.00e+00 | 2LGMN, IFI30 |
200 |
| HALLMARK_P53_PATHWAY | 1.85e-01 | 2.63 | 0.31 | 7.11e-01 | 1.00e+00 | 2SAT1, IFI30 |
200 |
| HALLMARK_APICAL_SURFACE | 1.61e-01 | 5.93 | 0.14 | 7.11e-01 | 1.00e+00 | 1LYN |
44 |
| HALLMARK_CHOLESTEROL_HOMEOSTASIS | 2.55e-01 | 3.49 | 0.09 | 9.11e-01 | 1.00e+00 | 1LGMN |
74 |
| HALLMARK_IL6_JAK_STAT3_SIGNALING | 2.93e-01 | 2.97 | 0.07 | 9.43e-01 | 1.00e+00 | 1PDGFC |
87 |
| HALLMARK_PROTEIN_SECRETION | 3.17e-01 | 2.68 | 0.07 | 9.43e-01 | 1.00e+00 | 1ABCA1 |
96 |
| HALLMARK_PI3K_AKT_MTOR_SIGNALING | 3.41e-01 | 2.45 | 0.06 | 9.43e-01 | 1.00e+00 | 1ITPR2 |
105 |
| HALLMARK_BILE_ACID_METABOLISM | 3.59e-01 | 2.30 | 0.06 | 9.43e-01 | 1.00e+00 | 1ABCA1 |
112 |
| HALLMARK_COAGULATION | 4.22e-01 | 1.86 | 0.05 | 9.43e-01 | 1.00e+00 | 1LGMN |
138 |
| HALLMARK_UV_RESPONSE_UP | 4.66e-01 | 1.62 | 0.04 | 9.43e-01 | 1.00e+00 | 1LYN |
158 |
Dowload full table
KEGG Pathways:
| P-value | OR | Lower 95% CI | FDR | FWER | Genes Found | Gene Set Size | |
|---|---|---|---|---|---|---|---|
| KEGG_FC_EPSILON_RI_SIGNALING_PATHWAY | 3.74e-03 | 10.49 | 2.04 | 3.98e-01 | 6.95e-01 | 3SYK, LYN, LCP2 |
79 |
| KEGG_ANTIGEN_PROCESSING_AND_PRESENTATION | 5.05e-03 | 9.38 | 1.83 | 3.98e-01 | 9.39e-01 | 3CD74, LGMN, IFI30 |
88 |
| KEGG_FC_GAMMA_R_MEDIATED_PHAGOCYTOSIS | 6.42e-03 | 8.57 | 1.68 | 3.98e-01 | 1.00e+00 | 3SYK, LYN, DOCK2 |
96 |
| KEGG_LONG_TERM_DEPRESSION | 3.13e-02 | 7.66 | 0.88 | 1.00e+00 | 1.00e+00 | 2ITPR2, LYN |
70 |
| KEGG_MELANOMA | 3.21e-02 | 7.55 | 0.87 | 1.00e+00 | 1.00e+00 | 2MITF, PDGFC |
71 |
| KEGG_B_CELL_RECEPTOR_SIGNALING_PATHWAY | 3.55e-02 | 7.13 | 0.82 | 1.00e+00 | 1.00e+00 | 2SYK, LYN |
75 |
| KEGG_REGULATION_OF_ACTIN_CYTOSKELETON | 5.07e-02 | 3.80 | 0.75 | 1.00e+00 | 1.00e+00 | 3PDGFC, ITGAX, IQGAP2 |
213 |
| KEGG_GAP_JUNCTION | 4.93e-02 | 5.92 | 0.69 | 1.00e+00 | 1.00e+00 | 2ITPR2, PDGFC |
90 |
| KEGG_NATURAL_KILLER_CELL_MEDIATED_CYTOTOXICITY | 1.01e-01 | 3.86 | 0.45 | 1.00e+00 | 1.00e+00 | 2SYK, LCP2 |
137 |
| KEGG_CHEMOKINE_SIGNALING_PATHWAY | 1.70e-01 | 2.79 | 0.33 | 1.00e+00 | 1.00e+00 | 2LYN, DOCK2 |
189 |
| KEGG_DORSO_VENTRAL_AXIS_FORMATION | 9.13e-02 | 11.08 | 0.26 | 1.00e+00 | 1.00e+00 | 1ETV6 |
24 |
| KEGG_CYTOKINE_CYTOKINE_RECEPTOR_INTERACTION | 2.77e-01 | 1.98 | 0.23 | 1.00e+00 | 1.00e+00 | 2IL18, PDGFC |
265 |
| KEGG_ETHER_LIPID_METABOLISM | 1.23e-01 | 7.97 | 0.19 | 1.00e+00 | 1.00e+00 | 1PLA2G7 |
33 |
| KEGG_REGULATION_OF_AUTOPHAGY | 1.30e-01 | 7.50 | 0.18 | 1.00e+00 | 1.00e+00 | 1ATG7 |
35 |
| KEGG_TRYPTOPHAN_METABOLISM | 1.47e-01 | 6.54 | 0.16 | 1.00e+00 | 1.00e+00 | 1KYNU |
40 |
| KEGG_AMINO_SUGAR_AND_NUCLEOTIDE_SUGAR_METABOLISM | 1.61e-01 | 5.93 | 0.14 | 1.00e+00 | 1.00e+00 | 1NPL |
44 |
| KEGG_ABC_TRANSPORTERS | 1.61e-01 | 5.93 | 0.14 | 1.00e+00 | 1.00e+00 | 1ABCA1 |
44 |
| KEGG_ARGININE_AND_PROLINE_METABOLISM | 1.94e-01 | 4.81 | 0.12 | 1.00e+00 | 1.00e+00 | 1SAT1 |
54 |
| KEGG_CYTOSOLIC_DNA_SENSING_PATHWAY | 1.97e-01 | 4.72 | 0.12 | 1.00e+00 | 1.00e+00 | 1IL18 |
55 |
| KEGG_NOD_LIKE_RECEPTOR_SIGNALING_PATHWAY | 2.19e-01 | 4.18 | 0.10 | 1.00e+00 | 1.00e+00 | 1IL18 |
62 |
Dowload full table
CHR Positional Gene Sets:
| P-value | OR | Lower 95% CI | FDR | FWER | Genes Found | Gene Set Size | |
|---|---|---|---|---|---|---|---|
| chr2q22 | 2.45e-03 | 12.27 | 2.38 | 6.81e-01 | 6.81e-01 | 3ARHGAP15, ZEB2, KYNU |
68 |
| chr6p23 | 5.81e-02 | 18.20 | 0.42 | 1.00e+00 | 1.00e+00 | 1CD83 |
15 |
| chr5q35 | 2.16e-01 | 2.37 | 0.28 | 1.00e+00 | 1.00e+00 | 2LCP2, DOCK2 |
222 |
| chr3p13 | 1.47e-01 | 6.54 | 0.16 | 1.00e+00 | 1.00e+00 | 1MITF |
40 |
| chr21q11 | 1.67e-01 | 5.67 | 0.14 | 1.00e+00 | 1.00e+00 | 1SAMSN1 |
46 |
| chr10p14 | 1.71e-01 | 5.54 | 0.13 | 1.00e+00 | 1.00e+00 | 1SFMBT2 |
47 |
| chr14q32 | 1.00e+00 | 0.96 | 0.11 | 1.00e+00 | 1.00e+00 | 2LGMN, TNFAIP2 |
546 |
| chr7p12 | 2.06e-01 | 4.47 | 0.11 | 1.00e+00 | 1.00e+00 | 1TNS3 |
58 |
| chr2q13 | 2.09e-01 | 4.40 | 0.11 | 1.00e+00 | 1.00e+00 | 1MERTK |
59 |
| chr4p14 | 2.25e-01 | 4.05 | 0.10 | 1.00e+00 | 1.00e+00 | 1RBM47 |
64 |
| chr12p11 | 2.64e-01 | 3.36 | 0.08 | 1.00e+00 | 1.00e+00 | 1ITPR2 |
77 |
| chr19p13 | 1.00e+00 | 0.68 | 0.08 | 1.00e+00 | 1.00e+00 | 2MYO1F, IFI30 |
773 |
| chr8q12 | 2.95e-01 | 2.93 | 0.07 | 1.00e+00 | 1.00e+00 | 1LYN |
88 |
| chr6q23 | 3.44e-01 | 2.43 | 0.06 | 1.00e+00 | 1.00e+00 | 1EPB41L2 |
106 |
| chr5q33 | 3.52e-01 | 2.36 | 0.06 | 1.00e+00 | 1.00e+00 | 1CD74 |
109 |
| chr4q32 | 3.62e-01 | 2.28 | 0.06 | 1.00e+00 | 1.00e+00 | 1PDGFC |
113 |
| chr6q22 | 3.77e-01 | 2.16 | 0.05 | 1.00e+00 | 1.00e+00 | 1ARHGAP18 |
119 |
| chr5p13 | 3.99e-01 | 2.01 | 0.05 | 1.00e+00 | 1.00e+00 | 1SLC1A3 |
128 |
| chr9q31 | 3.99e-01 | 2.01 | 0.05 | 1.00e+00 | 1.00e+00 | 1ABCA1 |
128 |
| chr5q14 | 4.03e-01 | 1.98 | 0.05 | 1.00e+00 | 1.00e+00 | 1MEF2C |
130 |
Dowload full table
Transcription Factor Targets:
| P-value | OR | Lower 95% CI | FDR | FWER | Genes Found | Gene Set Size | |
|---|---|---|---|---|---|---|---|
| LXR_DR4_Q3 | 4.88e-04 | 12.21 | 3.12 | 1.56e-01 | 5.53e-01 | 4MITF, ABCA1, MEF2C, ETV6 |
93 |
| ELF1_Q6 | 3.96e-04 | 7.01 | 2.42 | 1.56e-01 | 4.49e-01 | 6SAT1, SLC9A9, MITF, ITPR2, FGD2, SAMSN1 |
249 |
| ETS1_B | 5.80e-04 | 6.51 | 2.25 | 1.56e-01 | 6.58e-01 | 6SLC9A9, ITPR2, ARHGAP15, LYN, LCP2, ETV6 |
268 |
| HNF3ALPHA_Q6 | 1.36e-03 | 6.74 | 2.07 | 2.58e-01 | 1.00e+00 | 5IL18, RBM47, SRGN, LCP2, MEF2C |
211 |
| RGAGGAARY_PU1_Q6 | 6.88e-04 | 4.70 | 1.89 | 1.56e-01 | 7.80e-01 | 8ITPR2, FGD2, LYN, RAB20, LCP2, SAMSN1, ETV6, PTPRJ |
515 |
| BACH2_TARGET_GENES | 6.32e-05 | 3.56 | 1.88 | 7.16e-02 | 7.16e-02 | 18RBM47, ARHGAP25, SRGN, ARHGAP15, SYK, ZEB2, SLCO2B1, LYN, PARP14, SAMSN1, MEF2C, IFI30, ITGAX, CD84, ETV6, TNS3, IQGAP2, GSAP |
1998 |
| PAX4_02 | 2.42e-03 | 5.88 | 1.81 | 3.43e-01 | 1.00e+00 | 5SAT1, MITF, ARHGAP15, ETV6, KYNU |
241 |
| ETS_Q4 | 2.92e-03 | 5.62 | 1.73 | 3.68e-01 | 1.00e+00 | 5SLC9A9, ITPR2, ARHGAP15, LYN, LCP2 |
252 |
| HBZ_TARGET_GENES | 2.17e-03 | 3.57 | 1.52 | 3.43e-01 | 1.00e+00 | 9SLC9A9, SLC1A3, FGD2, SLCO2B1, EPB41L2, SAMSN1, MEF2C, CD83, GSAP |
778 |
| PU1_Q6 | 1.34e-02 | 4.69 | 1.21 | 7.64e-01 | 1.00e+00 | 4IL18, LYN, RAB20, LCP2 |
236 |
| IRF_Q6 | 1.50e-02 | 4.53 | 1.17 | 7.64e-01 | 1.00e+00 | 4SAT1, ZEB2, ETV6, KYNU |
244 |
| EVI1_02 | 1.67e-02 | 5.95 | 1.17 | 7.64e-01 | 1.00e+00 | 3RBM47, SLC9A9, KYNU |
137 |
| GATA1_03 | 1.54e-02 | 4.49 | 1.17 | 7.64e-01 | 1.00e+00 | 4NPL, ARHGAP15, ZEB2, MEF2C |
246 |
| FOXO1_01 | 1.58e-02 | 4.45 | 1.16 | 7.64e-01 | 1.00e+00 | 4PLXDC2, MITF, ZEB2, LCP2 |
248 |
| ISRE_01 | 1.69e-02 | 4.37 | 1.13 | 7.64e-01 | 1.00e+00 | 4ZEB2, MEF2C, ETV6, KYNU |
253 |
| NFKAPPAB_01 | 1.73e-02 | 4.33 | 1.12 | 7.64e-01 | 1.00e+00 | 4SAMSN1, ETV6, CD83, BMP2K |
255 |
| IRF1_01 | 1.73e-02 | 4.33 | 1.12 | 7.64e-01 | 1.00e+00 | 4SAT1, MITF, PDGFC, KYNU |
255 |
| TFIIA_Q6 | 1.75e-02 | 4.31 | 1.12 | 7.64e-01 | 1.00e+00 | 4SLC9A9, SRGN, ABCA1, ETV6 |
256 |
| NFKB_Q6 | 1.80e-02 | 4.28 | 1.11 | 7.64e-01 | 1.00e+00 | 4PLXDC2, SAMSN1, CD83, PTPRJ |
258 |
| PXR_Q2 | 1.84e-02 | 4.25 | 1.10 | 7.64e-01 | 1.00e+00 | 4SAT1, MITF, ARHGAP15, ARHGAP18 |
260 |
Dowload full table
GO Biological Processes:
| P-value | OR | Lower 95% CI | FDR | FWER | Genes Found | Gene Set Size | |
|---|---|---|---|---|---|---|---|
| GOBP_GRANULOCYTE_MACROPHAGE_COLONY_STIMULATING_FACTOR_PRODUCTION | 3.20e-05 | 61.17 | 10.83 | 3.42e-02 | 2.40e-01 | 3IL18, SYK, CD84 |
16 |
| GOBP_POSITIVE_REGULATION_OF_FC_RECEPTOR_MEDIATED_STIMULATORY_SIGNALING_PATHWAY | 3.22e-04 | 103.49 | 9.64 | 9.69e-02 | 1.00e+00 | 2LYN, PTPRJ |
7 |
| GOBP_MELANOCYTE_DIFFERENTIATION | 1.13e-04 | 37.87 | 7.01 | 8.45e-02 | 8.45e-01 | 3MITF, ZEB2, MEF2C |
24 |
| GOBP_REGULATION_OF_MONOCYTE_CHEMOTAXIS | 1.62e-04 | 33.18 | 6.19 | 8.86e-02 | 1.00e+00 | 3LGMN, LYN, PLA2G7 |
27 |
| GOBP_B_CELL_HOMEOSTASIS | 1.81e-04 | 31.85 | 5.95 | 8.86e-02 | 1.00e+00 | 3CD74, LYN, MEF2C |
28 |
| GOBP_REGULATION_OF_FC_RECEPTOR_MEDIATED_STIMULATORY_SIGNALING_PATHWAY | 8.35e-04 | 57.69 | 5.91 | 1.40e-01 | 1.00e+00 | 2LYN, PTPRJ |
11 |
| GOBP_REGULATION_OF_MAST_CELL_ACTIVATION_INVOLVED_IN_IMMUNE_RESPONSE | 2.22e-04 | 29.50 | 5.54 | 9.25e-02 | 1.00e+00 | 3SYK, LYN, CD84 |
30 |
| GOBP_NEGATIVE_T_CELL_SELECTION | 9.99e-04 | 51.89 | 5.39 | 1.49e-01 | 1.00e+00 | 2CD74, DOCK2 |
12 |
| GOBP_POSITIVE_REGULATION_OF_GRANULOCYTE_MACROPHAGE_COLONY_STIMULATING_FACTOR_PRODUCTION | 1.18e-03 | 47.19 | 4.96 | 1.59e-01 | 1.00e+00 | 2IL18, SYK |
13 |
| GOBP_MAST_CELL_ACTIVATION | 9.06e-05 | 19.39 | 4.91 | 8.45e-02 | 6.78e-01 | 4SYK, LYN, LCP2, CD84 |
60 |
| GOBP_PIGMENT_CELL_DIFFERENTIATION | 3.24e-04 | 25.71 | 4.86 | 9.69e-02 | 1.00e+00 | 3MITF, ZEB2, MEF2C |
34 |
| GOBP_POSITIVE_THYMIC_T_CELL_SELECTION | 1.37e-03 | 43.30 | 4.59 | 1.67e-01 | 1.00e+00 | 2CD74, DOCK2 |
14 |
| GOBP_ALPHA_BETA_T_CELL_PROLIFERATION | 4.17e-04 | 23.45 | 4.45 | 1.11e-01 | 1.00e+00 | 3IL18, SYK, DOCK2 |
37 |
| GOBP_REGULATION_OF_MAST_CELL_ACTIVATION | 5.65e-04 | 20.97 | 4.00 | 1.27e-01 | 1.00e+00 | 3SYK, LYN, CD84 |
41 |
| GOBP_POSITIVE_REGULATION_OF_TYPE_2_IMMUNE_RESPONSE | 1.80e-03 | 37.11 | 3.99 | 1.98e-01 | 1.00e+00 | 2IL18, CD74 |
16 |
| GOBP_REGULATION_OF_LEUKOCYTE_DEGRANULATION | 6.50e-04 | 19.93 | 3.81 | 1.33e-01 | 1.00e+00 | 3SYK, LYN, CD84 |
43 |
| GOBP_REGULATION_OF_PEPTIDYL_TYROSINE_PHOSPHORYLATION | 7.02e-06 | 9.37 | 3.76 | 3.42e-02 | 5.25e-02 | 8IL18, CD74, SYK, LYN, PARP14, SAMSN1, PDGFC, PTPRJ |
262 |
| GOBP_DEVELOPMENTAL_PIGMENTATION | 6.96e-04 | 19.44 | 3.72 | 1.33e-01 | 1.00e+00 | 3MITF, ZEB2, MEF2C |
44 |
| GOBP_LEUKOCYTE_HOMEOSTASIS | 2.63e-04 | 14.48 | 3.69 | 9.50e-02 | 1.00e+00 | 4CD74, MERTK, LYN, MEF2C |
79 |
| GOBP_REGULATION_OF_LEUKOCYTE_APOPTOTIC_PROCESS | 2.76e-04 | 14.30 | 3.65 | 9.50e-02 | 1.00e+00 | 4CD74, MERTK, LYN, MEF2C |
80 |
Dowload full table
Immunological Gene Sets:
| P-value | OR | Lower 95% CI | FDR | FWER | Genes Found | Gene Set Size | |
|---|---|---|---|---|---|---|---|
| GSE10325_LUPUS_CD4_TCELL_VS_LUPUS_MYELOID_DN | 5.03e-13 | 23.47 | 11.26 | 2.45e-09 | 2.45e-09 | 13RBM47, NPL, CD74, SYK, LYN, TNFAIP2, RASSF4, MEF2C, IFI30, ITGAX, ADAP2, TNS3, KYNU |
200 |
| GSE11057_PBMC_VS_MEM_CD4_TCELL_UP | 9.65e-12 | 21.32 | 9.98 | 2.35e-08 | 4.70e-08 | 12AOAH, IL18, SRGN, ZEB2, PLA2G7, TNFAIP2, RASSF4, MEF2C, PDGFC, IFI30, BMP2K, KYNU |
197 |
| GSE10325_CD4_TCELL_VS_MYELOID_DN | 2.35e-10 | 18.65 | 8.48 | 2.29e-07 | 1.15e-06 | 11SAT1, RBM47, NPL, SYK, LYN, MEF2C, IFI30, ITGAX, ENTPD1, TNS3, KYNU |
200 |
| GSE24634_TEFF_VS_TCONV_DAY3_IN_CULTURE_DN | 2.35e-10 | 18.65 | 8.48 | 2.29e-07 | 1.15e-06 | 11AOAH, NPL, SYK, MERTK, PDGFC, IFI30, ITGAX, CD84, ADAP2, GSAP, KYNU |
200 |
| GSE24634_IL4_VS_CTRL_TREATED_NAIVE_CD4_TCELL_DAY5_UP | 2.35e-10 | 18.65 | 8.48 | 2.29e-07 | 1.15e-06 | 11NPL, LGMN, SLCO2B1, PLA2G7, EPB41L2, TNFAIP2, RAB20, RASSF4, PDGFC, CD83, BMP2K |
200 |
| GSE24634_TREG_VS_TCONV_POST_DAY7_IL4_CONVERSION_DN | 3.90e-09 | 16.62 | 7.30 | 2.61e-06 | 1.90e-05 | 10IL18, SAT1, RBM47, NPL, SLC1A3, SYK, PLA2G7, RAB20, PDGFC, KYNU |
198 |
| GSE22886_NAIVE_CD8_TCELL_VS_MONOCYTE_DN | 4.29e-09 | 16.45 | 7.22 | 2.61e-06 | 2.09e-05 | 10SAT1, NPL, SYK, LYN, TNFAIP2, ATG7, IFI30, ETV6, ADAP2, TNS3 |
200 |
| GSE17301_CTRL_VS_48H_ACD3_ACD28_STIM_CD8_TCELL_DN | 4.29e-09 | 16.45 | 7.22 | 2.61e-06 | 2.09e-05 | 10AOAH, CD74, LYN, PLA2G7, TNFAIP2, RAB20, LCP2, RASSF4, PTPRJ, GSAP |
200 |
| GSE6259_FLT3L_INDUCED_33D1_POS_DC_VS_CD4_TCELL_UP | 1.81e-08 | 16.93 | 7.12 | 9.82e-06 | 8.83e-05 | 9AOAH, NPL, SLC1A3, SLCO2B1, MERTK, PARP14, LCP2, PDGFC, CD84 |
171 |
| GSE6259_33D1_POS_DC_VS_CD4_TCELL_DN | 2.32e-08 | 16.43 | 6.91 | 1.04e-05 | 1.13e-04 | 9AOAH, NPL, ABCA1, LGMN, SLCO2B1, MERTK, LCP2, PDGFC, CD84 |
176 |
| GSE15330_MEGAKARYOCYTE_ERYTHROID_VS_GRANULOCYTE_MONOCYTE_PROGENITOR_UP | 2.56e-08 | 16.23 | 6.83 | 1.04e-05 | 1.25e-04 | 9RBM47, SRGN, MYO1F, ZEB2, ITGAX, ENTPD1, PTPRJ, ARHGAP18, GSAP |
178 |
| GSE15330_LYMPHOID_MULTIPOTENT_VS_MEGAKARYOCYTE_ERYTHROID_PROGENITOR_IKAROS_KO_DN | 2.56e-08 | 16.23 | 6.83 | 1.04e-05 | 1.25e-04 | 9RBM47, SRGN, MYO1F, ZEB2, ITGAX, ENTPD1, PTPRJ, ARHGAP18, GSAP |
178 |
| GSE11057_CD4_EFF_MEM_VS_PBMC_DN | 5.33e-08 | 14.83 | 6.24 | 1.87e-05 | 2.60e-04 | 9AOAH, CD74, PLXDC2, SRGN, SYK, RAB20, PDGFC, ITGAX, BMP2K |
194 |
| GSE36826_WT_VS_IL1R_KO_SKIN_UP | 6.08e-08 | 14.60 | 6.15 | 1.87e-05 | 2.96e-04 | 9AOAH, SAT1, MITF, FGD2, EPB41L2, TNFAIP2, RAB20, PDGFC, ITGAX |
197 |
| GSE22886_NAIVE_TCELL_VS_DC_DN | 6.91e-08 | 14.37 | 6.05 | 1.87e-05 | 3.36e-04 | 9RBM47, MITF, SYK, SLCO2B1, PLA2G7, ATG7, ADAP2, ENTPD1, KYNU |
200 |
| GSE29618_MONOCYTE_VS_PDC_DAY7_FLU_VACCINE_UP | 6.91e-08 | 14.37 | 6.05 | 1.87e-05 | 3.36e-04 | 9AOAH, SAT1, NPL, MYO1F, TNFAIP2, RAB20, IFI30, ADAP2, ENTPD1 |
200 |
| GSE23568_ID3_KO_VS_WT_CD8_TCELL_DN | 6.91e-08 | 14.37 | 6.05 | 1.87e-05 | 3.36e-04 | 9ABCA1, SYK, LGMN, LYN, PLA2G7, MEF2C, IFI30, CD83, BMP2K |
200 |
| GSE36078_WT_VS_IL1R_KO_LUNG_DC_AFTER_AD5_INF_UP | 6.91e-08 | 14.37 | 6.05 | 1.87e-05 | 3.36e-04 | 9RBM47, MYO1F, ZEB2, SAMSN1, ITGAX, ENTPD1, PTPRJ, ARHGAP18, IQGAP2 |
200 |
| GSE21360_PRIMARY_VS_QUATERNARY_MEMORY_CD8_TCELL_UP | 3.43e-07 | 14.34 | 5.72 | 8.79e-05 | 1.67e-03 | 8CD74, MYO1F, TNFAIP2, RASSF4, CD83, ENTPD1, PTPRJ, TNS3 |
174 |
| GSE13946_CTRL_VS_DSS_COLITIS_GD_TCELL_FROM_COLON_UP | 4.07e-07 | 14.01 | 5.59 | 9.44e-05 | 1.98e-03 | 8RBM47, SRGN, MYO1F, ZEB2, ITGAX, PTPRJ, ARHGAP18, GSAP |
178 |
Top Ranked Transcription Factors for this Gene Expression Program:
| Gene Symbol | TF Rank | DNA Binding Domain | Motif Status | IUPAC PWM | GTEx | DepMap | Decartes |
|---|---|---|---|---|---|---|---|
| MITF | 9 | Yes | Known motif | Monomer or homomultimer | 100 perc ID - in vitro | None | Binds DNA both as homo- and heterodimers (PMID: 23207919). The structure 4ATI is a homodimer with DNA GTTAGCACATGACCCT. |
| SYK | 16 | No | Unlikely to be sequence specific TF | Not a DNA binding protein | No motif | None | Known co-factor |
| ZEB2 | 19 | Yes | Inferred motif | Monomer or homomultimer | In vivo/Misc source | None | None |
| MEF2C | 34 | Yes | Known motif | Monomer or homomultimer | High-throughput in vitro | None | None |
| ETV6 | 39 | Yes | Known motif | Monomer or homomultimer | High-throughput in vitro | None | None |
| CIITA | 55 | No | Unlikely to be sequence specific TF | Not a DNA binding protein | No motif | None | Chromatin modifier |
| TRPS1 | 66 | Yes | Known motif | Monomer or homomultimer | In vivo/Misc source | Only known motifs are from Transfac or HocoMoco - origin is uncertain | None |
| TLR4 | 67 | No | Unlikely to be sequence specific TF | Not a DNA binding protein | No motif | None | None |
| PREX1 | 71 | No | Unlikely to be sequence specific TF | Not a DNA binding protein | No motif | None | Included only because Vasquerizas 2009 includes it with an x. No DBD and no other data to support being a TF. |
| HCK | 79 | No | Unlikely to be sequence specific TF | Not a DNA binding protein | No motif | None | Inhibits TP73-mediated transcription activation (PMID: 17535448) |
| GAS7 | 88 | No | Unlikely to be sequence specific TF | Not a DNA binding protein | No motif | None | (PMID: 9736752) only shows that it has a proline-rich domain similar to the one in Oct2. No evidence of DNA binding. |
| RREB1 | 91 | Yes | Known motif | Monomer or homomultimer | In vivo/Misc source | None | None |
| CFLAR | 96 | No | Unlikely to be sequence specific TF | Not a DNA binding protein | No motif | None | None |
| AFF1 | 97 | No | Unlikely to be sequence specific TF | Not a DNA binding protein | No motif | Has a putative AT-hook | MLL fusion partner |
| CMKLR1 | 99 | No | Unlikely to be sequence specific TF | Not a DNA binding protein | No motif | None | Protein is a G protein-coupled receptor for the chemoattractant adipokine chemerin |
| FLI1 | 100 | Yes | Known motif | Monomer or homomultimer | High-throughput in vitro | None | None |
| ZFP36L1 | 103 | No | ssDNA/RNA binding | Not a DNA binding protein | No motif | None | RNA-binding protein (PMID: 27102483; PMID: 17013884). |
| PLEK | 106 | No | Unlikely to be sequence specific TF | Not a DNA binding protein | No motif | None | The DEP-domain is a winged helix-turn-helix protein domain, and thus it is related to ETS, RFX, and FOX domains. However, there is no evidence for DNA-binding activity and it has been shown to operate in G-protein signalling upstream of TFs |
| PLSCR1 | 112 | Yes | Likely to be sequence specific TF | Monomer or homomultimer | No motif | None | PLSCR1 has been demonstrated to bind a GTAACCATGTGGA sequence in the IP3R1 promoter (PMID:16091359), mediated by a specific portion of the protein. |
| ICAM1 | 114 | No | Unlikely to be sequence specific TF | Not a DNA binding protein | No motif | None | None |
QQ Plot showing correlations with other Gene Expression Programs in this dataset, calculated by Spearman correlation:
Interactive QQ-plot of gene loadings:
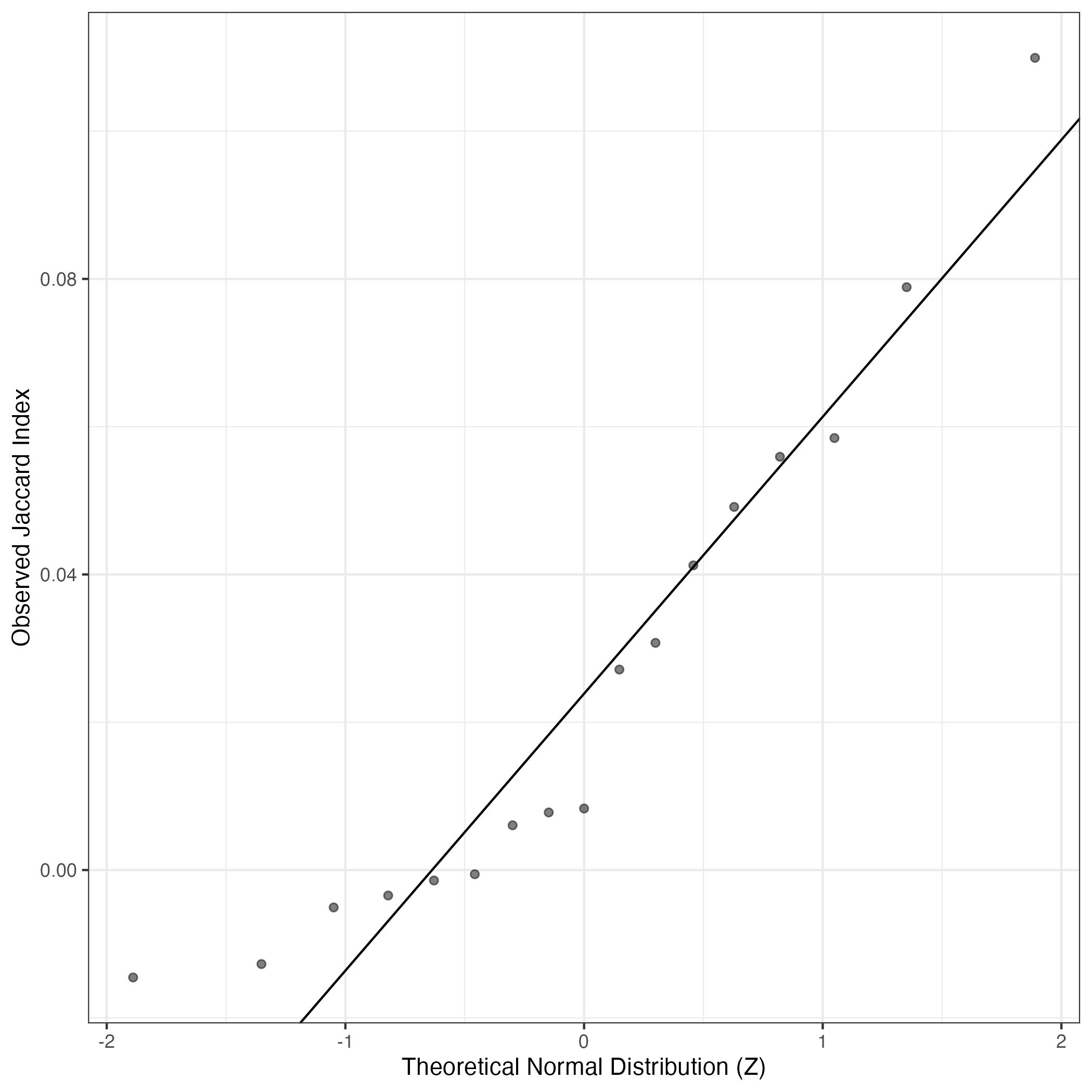
A similar QQ-plot as above, but only for instances where the H value is e.g. > 25, i.e. we are confident that the expression program is active above noise. Agreemenet between these binary vectors is tested using the Jaccard Index, with the P-values calculated by an exact test:
Interactive QQ-plot:
Singler cell type annotations for the top 50 cells on this program.
| Cell ID | Singler label | Singler Delta | Activity Score | Top Singler Raw Scores |
|---|---|---|---|---|
| NB13_GGCAATTCATCACCCT-1 | DC:monocyte-derived:anti-DC-SIGN_2h | 0.06 | 1373.98 | Raw ScoresMacrophage:monocyte-derived:IL-4/Dex/cntrl: 0.24, Macrophage:monocyte-derived:IL-4/Dex/TGFb: 0.24, Macrophage:monocyte-derived:M-CSF: 0.24, DC:monocyte-derived:anti-DC-SIGN_2h: 0.23, DC:monocyte-derived: 0.23, DC:monocyte-derived:AEC-conditioned: 0.23, Macrophage:monocyte-derived: 0.23, Macrophage:monocyte-derived:IL-4/cntrl: 0.23, Macrophage:monocyte-derived:M-CSF/IFNg: 0.23, Endothelial_cells:lymphatic:TNFa_48h: 0.23 |
| NB12_TCAGGATTCGTTACGA-1 | Neurons:adrenal_medulla_cell_line | 0.13 | 680.76 | Raw ScoresNeurons:adrenal_medulla_cell_line: 0.25, Astrocyte:Embryonic_stem_cell-derived: 0.2, Neuroepithelial_cell:ESC-derived: 0.19, Neurons:ES_cell-derived_neural_precursor: 0.19, iPS_cells:PDB_1lox-17Puro-10: 0.17, iPS_cells:PDB_1lox-17Puro-5: 0.17, iPS_cells:PDB_1lox-21Puro-26: 0.17, iPS_cells:PDB_1lox-21Puro-20: 0.17, Embryonic_stem_cells: 0.17, iPS_cells:skin_fibroblast-derived: 0.16 |
| NB12_CTTTGCGGTGGGTCAA-1 | Macrophage:monocyte-derived:IL-4/Dex/TGFb | 0.07 | 542.03 | Raw ScoresMacrophage:monocyte-derived:M-CSF: 0.2, Macrophage:monocyte-derived:IL-4/cntrl: 0.2, Macrophage:monocyte-derived:IL-4/Dex/cntrl: 0.2, Macrophage:monocyte-derived:IL-4/Dex/TGFb: 0.2, Macrophage:monocyte-derived:IL-4/TGFb: 0.19, DC:monocyte-derived:AEC-conditioned: 0.19, DC:monocyte-derived: 0.19, DC:monocyte-derived:AM580: 0.19, DC:monocyte-derived:anti-DC-SIGN_2h: 0.19, Macrophage:monocyte-derived:M-CSF/IFNg: 0.19 |
| NB13_GTTCATTCACATGTGT-1 | Macrophage:monocyte-derived:IL-4/Dex/cntrl | 0.13 | 495.82 | Raw ScoresMacrophage:monocyte-derived:M-CSF/IFNg: 0.28, Macrophage:monocyte-derived:M-CSF: 0.28, Macrophage:monocyte-derived:IL-4/Dex/TGFb: 0.28, Macrophage:monocyte-derived:IL-4/Dex/cntrl: 0.28, Macrophage:monocyte-derived:IL-4/cntrl: 0.28, Macrophage:monocyte-derived:IL-4/TGFb: 0.28, Macrophage:monocyte-derived:M-CSF/IFNg/Pam3Cys: 0.27, DC:monocyte-derived:AEC-conditioned: 0.27, Macrophage:Alveolar:B._anthacis_spores: 0.27, Macrophage:Alveolar: 0.27 |
| NB13_TCAACGATCGATAGAA-1 | Endothelial_cells:lymphatic:TNFa_48h | 0.05 | 495.01 | Raw ScoresEndothelial_cells:lymphatic:TNFa_48h: 0.19, Endothelial_cells:lymphatic: 0.18, Endothelial_cells:HUVEC:VEGF: 0.18, Endothelial_cells:HUVEC:Serum_Amyloid_A: 0.18, Astrocyte:Embryonic_stem_cell-derived: 0.18, Macrophage:monocyte-derived:IL-4/Dex/cntrl: 0.18, Endothelial_cells:blood_vessel: 0.17, DC:monocyte-derived: 0.17, Endothelial_cells:lymphatic:KSHV: 0.17, Macrophage:monocyte-derived:IL-4/Dex/TGFb: 0.17 |
| NB13_CGTAGCGGTGTTCTTT-1 | Macrophage:monocyte-derived:M-CSF/IFNg | 0.04 | 461.60 | Raw ScoresMacrophage:monocyte-derived:M-CSF: 0.17, Macrophage:monocyte-derived:M-CSF/IFNg: 0.16, Macrophage:monocyte-derived:IL-4/Dex/cntrl: 0.16, Macrophage:monocyte-derived:IL-4/Dex/TGFb: 0.16, DC:monocyte-derived:AEC-conditioned: 0.16, Monocyte:leukotriene_D4: 0.16, DC:monocyte-derived:immature: 0.16, DC:monocyte-derived:LPS: 0.16, Macrophage:monocyte-derived: 0.16, Macrophage:Alveolar: 0.16 |
| NB07_CACCACTAGGCGTACA-1 | Macrophage:monocyte-derived:IL-4/Dex/cntrl | 0.09 | 417.52 | Raw ScoresMacrophage:monocyte-derived:M-CSF: 0.19, Macrophage:monocyte-derived:IL-4/Dex/TGFb: 0.18, Macrophage:monocyte-derived:IL-4/Dex/cntrl: 0.18, Macrophage:monocyte-derived:M-CSF/IFNg: 0.18, Macrophage:monocyte-derived:IL-4/cntrl: 0.18, Macrophage:monocyte-derived:IL-4/TGFb: 0.18, DC:monocyte-derived: 0.17, DC:monocyte-derived:anti-DC-SIGN_2h: 0.17, Macrophage:monocyte-derived:M-CSF/IFNg/Pam3Cys: 0.17, Monocyte:leukotriene_D4: 0.17 |
| NB12_GTCGGGTAGTACGCGA-1 | Macrophage:monocyte-derived:IL-4/Dex/cntrl | 0.08 | 399.76 | Raw ScoresMacrophage:monocyte-derived:M-CSF: 0.17, Macrophage:monocyte-derived:IL-4/Dex/cntrl: 0.17, Macrophage:monocyte-derived:IL-4/Dex/TGFb: 0.17, DC:monocyte-derived:anti-DC-SIGN_2h: 0.16, DC:monocyte-derived: 0.16, Macrophage:monocyte-derived:M-CSF/IFNg: 0.16, DC:monocyte-derived:immature: 0.15, Monocyte:leukotriene_D4: 0.15, DC:monocyte-derived:AEC-conditioned: 0.15, Macrophage:monocyte-derived:IL-4/cntrl: 0.15 |
| NB12_GTCCTCATCACCAGGC-1 | Neurons:adrenal_medulla_cell_line | 0.09 | 397.17 | Raw ScoresNeurons:adrenal_medulla_cell_line: 0.19, Astrocyte:Embryonic_stem_cell-derived: 0.15, Neuroepithelial_cell:ESC-derived: 0.14, Neurons:ES_cell-derived_neural_precursor: 0.13, iPS_cells:PDB_1lox-17Puro-10: 0.12, Macrophage:monocyte-derived:IL-4/Dex/cntrl: 0.12, iPS_cells:PDB_1lox-17Puro-5: 0.12, iPS_cells:PDB_1lox-21Puro-20: 0.12, iPS_cells:PDB_1lox-21Puro-26: 0.12, Macrophage:monocyte-derived:IL-4/Dex/TGFb: 0.12 |
| NB12_GGTGTTATCCGGCACA-1 | Macrophage:monocyte-derived:IL-4/Dex/cntrl | 0.11 | 390.94 | Raw ScoresMacrophage:monocyte-derived:M-CSF: 0.2, Macrophage:monocyte-derived:IL-4/Dex/cntrl: 0.2, Macrophage:monocyte-derived:IL-4/Dex/TGFb: 0.2, DC:monocyte-derived:anti-DC-SIGN_2h: 0.19, DC:monocyte-derived: 0.19, Macrophage:monocyte-derived:M-CSF/IFNg: 0.18, Macrophage:monocyte-derived:IL-4/cntrl: 0.18, Macrophage:monocyte-derived:IL-4/TGFb: 0.18, DC:monocyte-derived:immature: 0.18, DC:monocyte-derived:AM580: 0.18 |
| NB13_CATCCACGTCTAGTCA-1 | Macrophage:monocyte-derived:M-CSF/IFNg | 0.10 | 388.59 | Raw ScoresMacrophage:monocyte-derived:M-CSF/IFNg: 0.23, Macrophage:monocyte-derived:M-CSF: 0.22, DC:monocyte-derived:AEC-conditioned: 0.22, Macrophage:monocyte-derived:IL-4/Dex/cntrl: 0.22, Monocyte:leukotriene_D4: 0.22, Macrophage:monocyte-derived:M-CSF/IFNg/Pam3Cys: 0.21, Monocyte: 0.21, DC:monocyte-derived:LPS: 0.21, Monocyte:anti-FcgRIIB: 0.21, DC:monocyte-derived:anti-DC-SIGN_2h: 0.21 |
| NB13_GACAGAGAGCTAGTCT-1 | Macrophage:monocyte-derived:M-CSF | 0.07 | 388.05 | Raw ScoresMacrophage:monocyte-derived:IL-4/Dex/cntrl: 0.18, Macrophage:monocyte-derived:M-CSF: 0.18, Macrophage:monocyte-derived:IL-4/Dex/TGFb: 0.18, DC:monocyte-derived:anti-DC-SIGN_2h: 0.18, DC:monocyte-derived: 0.17, DC:monocyte-derived:LPS: 0.17, Macrophage:monocyte-derived:M-CSF/IFNg: 0.17, DC:monocyte-derived:AEC-conditioned: 0.17, DC:monocyte-derived:immature: 0.17, Monocyte:leukotriene_D4: 0.17 |
| NB13_CGCTTCACACATGGGA-1 | DC:monocyte-derived:LPS | 0.09 | 386.80 | Raw ScoresDC:monocyte-derived:anti-DC-SIGN_2h: 0.19, Macrophage:monocyte-derived:M-CSF/IFNg: 0.19, Macrophage:monocyte-derived:M-CSF: 0.19, Macrophage:monocyte-derived:M-CSF/IFNg/Pam3Cys: 0.19, DC:monocyte-derived:Galectin-1: 0.19, Macrophage:monocyte-derived:IL-4/Dex/cntrl: 0.19, DC:monocyte-derived:LPS: 0.19, Macrophage:monocyte-derived:IL-4/Dex/TGFb: 0.19, Macrophage:monocyte-derived:M-CSF/Pam3Cys: 0.19, DC:monocyte-derived:AEC-conditioned: 0.19 |
| NB07_AGGTCCGAGCAATATG-1 | Monocyte:CD16- | 0.08 | 367.10 | Raw ScoresMonocyte:CD16-: 0.26, Monocyte:CD14+: 0.26, Monocyte:CD16+: 0.26, Macrophage:monocyte-derived:M-CSF/IFNg: 0.26, Monocyte: 0.25, Macrophage:monocyte-derived:M-CSF: 0.25, Macrophage:monocyte-derived:IL-4/Dex/cntrl: 0.25, DC:monocyte-derived:anti-DC-SIGN_2h: 0.25, DC:monocyte-derived: 0.25, Monocyte:leukotriene_D4: 0.25 |
| NB13_ACTTGTTTCCAAACTG-1 | DC:monocyte-derived:LPS | 0.04 | 365.23 | Raw ScoresDC:monocyte-derived:AEC-conditioned: 0.16, DC:monocyte-derived:anti-DC-SIGN_2h: 0.16, Macrophage:monocyte-derived:IL-4/Dex/TGFb: 0.15, Macrophage:monocyte-derived: 0.15, Macrophage:monocyte-derived:IL-4/Dex/cntrl: 0.15, Macrophage:monocyte-derived:M-CSF: 0.15, DC:monocyte-derived:LPS: 0.15, Macrophage:Alveolar:B._anthacis_spores: 0.15, DC:monocyte-derived: 0.15, Macrophage:monocyte-derived:IFNa: 0.15 |
| NB06_GTGAAGGAGAGCTATA-1 | Macrophage:monocyte-derived:IL-4/Dex/TGFb | 0.11 | 358.00 | Raw ScoresMacrophage:monocyte-derived:IL-4/Dex/TGFb: 0.23, Macrophage:monocyte-derived:IL-4/Dex/cntrl: 0.23, Macrophage:monocyte-derived:M-CSF: 0.22, Macrophage:monocyte-derived:IL-4/cntrl: 0.22, Macrophage:monocyte-derived:IL-4/TGFb: 0.22, Macrophage:monocyte-derived: 0.22, DC:monocyte-derived:anti-DC-SIGN_2h: 0.22, Macrophage:monocyte-derived:IFNa: 0.22, Macrophage:monocyte-derived:S._aureus: 0.22, DC:monocyte-derived: 0.21 |
| NB06_TGTGTTTGTTTGGGCC-1 | Macrophage:monocyte-derived:IL-4/Dex/cntrl | 0.11 | 355.79 | Raw ScoresMacrophage:monocyte-derived:IL-4/Dex/cntrl: 0.22, Macrophage:monocyte-derived:IL-4/Dex/TGFb: 0.22, Macrophage:monocyte-derived:M-CSF: 0.22, DC:monocyte-derived: 0.21, DC:monocyte-derived:anti-DC-SIGN_2h: 0.21, Monocyte:leukotriene_D4: 0.21, Macrophage:monocyte-derived:M-CSF/IFNg: 0.21, DC:monocyte-derived:immature: 0.2, Monocyte: 0.2, Macrophage:monocyte-derived:IL-4/cntrl: 0.2 |
| NB01_ACACCCTCATCCGGGT-1 | Neurons:adrenal_medulla_cell_line | 0.07 | 341.74 | Raw ScoresAstrocyte:Embryonic_stem_cell-derived: 0.17, Neurons:adrenal_medulla_cell_line: 0.17, Neuroepithelial_cell:ESC-derived: 0.15, Neurons:ES_cell-derived_neural_precursor: 0.14, Smooth_muscle_cells:bronchial: 0.12, Macrophage:monocyte-derived:IL-4/Dex/cntrl: 0.12, Smooth_muscle_cells:bronchial:vit_D: 0.12, DC:monocyte-derived:immature: 0.12, Macrophage:monocyte-derived:IL-4/Dex/TGFb: 0.12, Embryonic_stem_cells: 0.11 |
| NB13_TTAGGACTCATGCAAC-1 | Neurons:adrenal_medulla_cell_line | 0.11 | 329.66 | Raw ScoresNeurons:adrenal_medulla_cell_line: 0.29, Astrocyte:Embryonic_stem_cell-derived: 0.24, Neuroepithelial_cell:ESC-derived: 0.23, Neurons:ES_cell-derived_neural_precursor: 0.22, Neurons:Schwann_cell: 0.21, B_cell:Memory: 0.21, T_cell:CD4+_central_memory: 0.2, Pro-B_cell_CD34+: 0.2, T_cell:CD4+: 0.2, T_cell:CD4+_Naive: 0.2 |
| NB07_CTTGGCTAGCCCTAAT-1 | Macrophage:monocyte-derived:M-CSF | 0.08 | 323.24 | Raw ScoresMacrophage:monocyte-derived:IL-4/Dex/cntrl: 0.19, Macrophage:monocyte-derived:M-CSF: 0.19, Macrophage:monocyte-derived:IL-4/Dex/TGFb: 0.19, DC:monocyte-derived:anti-DC-SIGN_2h: 0.18, Macrophage:monocyte-derived:IL-4/cntrl: 0.18, Macrophage:monocyte-derived:IL-4/TGFb: 0.18, DC:monocyte-derived: 0.17, Macrophage:Alveolar: 0.17, DC:monocyte-derived:immature: 0.17, Monocyte:leukotriene_D4: 0.17 |
| NB13_CTGATCCCATGGTTGT-1 | Tissue_stem_cells:BM_MSC | 0.09 | 313.71 | Raw ScoresiPS_cells:CRL2097_foreskin: 0.28, Smooth_muscle_cells:bronchial: 0.28, iPS_cells:PDB_fibroblasts: 0.28, Chondrocytes:MSC-derived: 0.27, Smooth_muscle_cells:bronchial:vit_D: 0.27, Osteoblasts: 0.27, iPS_cells:skin_fibroblast: 0.27, Fibroblasts:breast: 0.27, iPS_cells:fibroblasts: 0.27, iPS_cells:adipose_stem_cells: 0.27 |
| NB13_TATTACCCACCTCGTT-1 | Macrophage:monocyte-derived:IL-4/Dex/TGFb | 0.10 | 299.95 | Raw ScoresMacrophage:monocyte-derived:IL-4/Dex/TGFb: 0.22, Macrophage:monocyte-derived:IL-4/Dex/cntrl: 0.22, Macrophage:monocyte-derived:M-CSF: 0.22, Macrophage:monocyte-derived:M-CSF/IFNg: 0.21, Macrophage:monocyte-derived: 0.21, Macrophage:monocyte-derived:IL-4/cntrl: 0.21, DC:monocyte-derived:anti-DC-SIGN_2h: 0.21, DC:monocyte-derived:AEC-conditioned: 0.2, Monocyte:leukotriene_D4: 0.2, Macrophage:monocyte-derived:IL-4/TGFb: 0.2 |
| NB13_AATCGGTCATGGTCAT-1 | Macrophage:monocyte-derived:IL-4/Dex/cntrl | 0.09 | 295.45 | Raw ScoresMacrophage:monocyte-derived:IL-4/Dex/cntrl: 0.19, Macrophage:monocyte-derived:M-CSF: 0.19, Macrophage:monocyte-derived:M-CSF/IFNg: 0.19, Macrophage:monocyte-derived:IL-4/Dex/TGFb: 0.19, DC:monocyte-derived:anti-DC-SIGN_2h: 0.18, DC:monocyte-derived:AEC-conditioned: 0.18, Monocyte:leukotriene_D4: 0.18, DC:monocyte-derived: 0.18, Monocyte: 0.18, Monocyte:anti-FcgRIIB: 0.18 |
| NB08_AAATGCCCAACCGCCA-1 | DC:monocyte-derived:A._fumigatus_germ_tubes_6h | 0.10 | 295.11 | Raw ScoresDC:monocyte-derived:A._fumigatus_germ_tubes_6h: 0.19, Macrophage:monocyte-derived:M-CSF/Pam3Cys: 0.18, Macrophage:monocyte-derived:M-CSF: 0.18, Macrophage:monocyte-derived:M-CSF/IFNg/Pam3Cys: 0.18, DC:monocyte-derived:Galectin-1: 0.18, Monocyte:S._typhimurium_flagellin: 0.18, DC:monocyte-derived:anti-DC-SIGN_2h: 0.18, DC:monocyte-derived:LPS: 0.18, DC:monocyte-derived: 0.18, DC:monocyte-derived:Schuler_treatment: 0.18 |
| NB07_GTACTTTTCATGTGGT-1 | DC:monocyte-derived | 0.06 | 295.00 | Raw ScoresMacrophage:monocyte-derived:M-CSF: 0.15, Macrophage:monocyte-derived:M-CSF/IFNg: 0.15, DC:monocyte-derived:anti-DC-SIGN_2h: 0.14, Macrophage:monocyte-derived:IL-4/Dex/cntrl: 0.14, DC:monocyte-derived: 0.14, Macrophage:monocyte-derived:IL-4/Dex/TGFb: 0.14, Monocyte:leukotriene_D4: 0.14, DC:monocyte-derived:immature: 0.13, DC:monocyte-derived:AEC-conditioned: 0.13, DC:monocyte-derived:Galectin-1: 0.13 |
| NB13_ACTTACTCACGTGAGA-1 | Neurons:adrenal_medulla_cell_line | 0.07 | 288.31 | Raw ScoresNeurons:adrenal_medulla_cell_line: 0.18, Astrocyte:Embryonic_stem_cell-derived: 0.15, Macrophage:monocyte-derived:IL-4/Dex/TGFb: 0.14, Macrophage:monocyte-derived:IL-4/Dex/cntrl: 0.14, Neuroepithelial_cell:ESC-derived: 0.14, DC:monocyte-derived:anti-DC-SIGN_2h: 0.14, Macrophage:monocyte-derived:IL-4/cntrl: 0.14, Macrophage:monocyte-derived:IL-4/TGFb: 0.14, Macrophage:monocyte-derived: 0.14, DC:monocyte-derived:AEC-conditioned: 0.14 |
| NB12_CCTTACGAGGACCACA-1 | Neurons:adrenal_medulla_cell_line | 0.10 | 287.38 | Raw ScoresNeurons:adrenal_medulla_cell_line: 0.2, Astrocyte:Embryonic_stem_cell-derived: 0.16, Neuroepithelial_cell:ESC-derived: 0.15, iPS_cells:PDB_1lox-17Puro-10: 0.15, iPS_cells:PDB_1lox-21Puro-20: 0.15, iPS_cells:PDB_1lox-21Puro-26: 0.15, iPS_cells:PDB_1lox-17Puro-5: 0.15, Neurons:ES_cell-derived_neural_precursor: 0.15, Embryonic_stem_cells: 0.14, iPS_cells:skin_fibroblast-derived: 0.14 |
| NB07_CATCCACTCTGTGCAA-1 | Macrophage:monocyte-derived:IL-4/Dex/cntrl | 0.06 | 286.52 | Raw ScoresMacrophage:monocyte-derived:M-CSF: 0.15, Macrophage:monocyte-derived:IL-4/Dex/cntrl: 0.14, Macrophage:monocyte-derived:IL-4/Dex/TGFb: 0.14, DC:monocyte-derived:anti-DC-SIGN_2h: 0.14, Macrophage:monocyte-derived:M-CSF/IFNg: 0.14, DC:monocyte-derived:immature: 0.13, DC:monocyte-derived: 0.13, Monocyte:leukotriene_D4: 0.13, Macrophage:monocyte-derived:IL-4/cntrl: 0.13, Macrophage:monocyte-derived:IL-4/TGFb: 0.13 |
| NB06_GTGTGCGGTTAGGGTG-1 | Macrophage:monocyte-derived | 0.08 | 281.26 | Raw ScoresMacrophage:monocyte-derived:IL-4/Dex/TGFb: 0.19, Macrophage:monocyte-derived:IL-4/Dex/cntrl: 0.18, Macrophage:monocyte-derived:M-CSF: 0.18, DC:monocyte-derived:anti-DC-SIGN_2h: 0.18, Macrophage:monocyte-derived: 0.17, Macrophage:monocyte-derived:IL-4/cntrl: 0.17, Macrophage:monocyte-derived:IL-4/TGFb: 0.17, Monocyte:leukotriene_D4: 0.17, Macrophage:monocyte-derived:IFNa: 0.17, DC:monocyte-derived:LPS: 0.17 |
| NB06_TGACAACCATTGGTAC-1 | Macrophage:monocyte-derived:IL-4/Dex/cntrl | 0.08 | 276.47 | Raw ScoresMacrophage:monocyte-derived:M-CSF: 0.19, Macrophage:monocyte-derived:IL-4/Dex/cntrl: 0.18, Macrophage:monocyte-derived:IL-4/Dex/TGFb: 0.18, DC:monocyte-derived:anti-DC-SIGN_2h: 0.18, Monocyte:leukotriene_D4: 0.18, DC:monocyte-derived: 0.17, DC:monocyte-derived:AEC-conditioned: 0.17, Macrophage:monocyte-derived: 0.17, Monocyte: 0.17, Macrophage:monocyte-derived:M-CSF/IFNg: 0.17 |
| NB13_GAGCAGATCGCCTGTT-1 | Macrophage:monocyte-derived:M-CSF/IFNg | 0.08 | 275.49 | Raw ScoresMacrophage:monocyte-derived:M-CSF/IFNg: 0.16, Macrophage:monocyte-derived:M-CSF: 0.16, Macrophage:monocyte-derived:M-CSF/IFNg/Pam3Cys: 0.15, Macrophage:monocyte-derived:IL-4/Dex/TGFb: 0.15, Macrophage:monocyte-derived:IL-4/Dex/cntrl: 0.15, DC:monocyte-derived:AEC-conditioned: 0.15, Monocyte:leukotriene_D4: 0.15, Macrophage:monocyte-derived:IL-4/cntrl: 0.15, Macrophage:monocyte-derived: 0.15, DC:monocyte-derived:LPS: 0.15 |
| NB06_CGAATGTCAAACCTAC-1 | Neurons:adrenal_medulla_cell_line | 0.06 | 270.36 | Raw ScoresNeurons:adrenal_medulla_cell_line: 0.14, Macrophage:monocyte-derived:M-CSF: 0.13, Macrophage:monocyte-derived:IL-4/Dex/TGFb: 0.13, Macrophage:monocyte-derived:IL-4/Dex/cntrl: 0.13, DC:monocyte-derived:anti-DC-SIGN_2h: 0.13, Astrocyte:Embryonic_stem_cell-derived: 0.12, DC:monocyte-derived:immature: 0.12, Macrophage:monocyte-derived: 0.12, Monocyte:CXCL4: 0.12, DC:monocyte-derived: 0.12 |
| NB12_AGATCTGCACAAGTAA-1 | Neurons:adrenal_medulla_cell_line | 0.06 | 266.27 | Raw ScoresNeurons:adrenal_medulla_cell_line: 0.16, Macrophage:monocyte-derived:M-CSF: 0.14, Macrophage:monocyte-derived:IL-4/Dex/TGFb: 0.14, Astrocyte:Embryonic_stem_cell-derived: 0.14, Macrophage:monocyte-derived:IL-4/Dex/cntrl: 0.14, DC:monocyte-derived:anti-DC-SIGN_2h: 0.14, Macrophage:monocyte-derived: 0.13, DC:monocyte-derived:LPS: 0.13, Macrophage:monocyte-derived:IL-4/cntrl: 0.13, Macrophage:monocyte-derived:IL-4/TGFb: 0.13 |
| NB07_GGACAGAAGGTGCAAC-1 | DC:monocyte-derived:anti-DC-SIGN_2h | 0.07 | 265.42 | Raw ScoresMacrophage:monocyte-derived:M-CSF: 0.17, Macrophage:monocyte-derived:IL-4/Dex/cntrl: 0.17, DC:monocyte-derived:anti-DC-SIGN_2h: 0.17, Macrophage:monocyte-derived:IL-4/Dex/TGFb: 0.16, Macrophage:monocyte-derived:IL-4/cntrl: 0.16, Macrophage:monocyte-derived:IL-4/TGFb: 0.16, DC:monocyte-derived:Galectin-1: 0.16, Macrophage:monocyte-derived:M-CSF/IFNg: 0.16, DC:monocyte-derived: 0.16, DC:monocyte-derived:LPS: 0.16 |
| NB06_CATCGAAAGTTAAGTG-1 | Neurons:adrenal_medulla_cell_line | 0.22 | 260.94 | Raw ScoresNeurons:adrenal_medulla_cell_line: 0.39, Astrocyte:Embryonic_stem_cell-derived: 0.34, Neuroepithelial_cell:ESC-derived: 0.33, Neurons:ES_cell-derived_neural_precursor: 0.31, iPS_cells:PDB_1lox-21Puro-20: 0.29, iPS_cells:PDB_1lox-17Puro-10: 0.29, iPS_cells:PDB_1lox-21Puro-26: 0.29, iPS_cells:PDB_1lox-17Puro-5: 0.28, Embryonic_stem_cells: 0.28, iPS_cells:PDB_2lox-22: 0.27 |
| NB06_GTCGTAAGTCAAAGCG-1 | Neurons:adrenal_medulla_cell_line | 0.12 | 257.25 | Raw ScoresNeurons:adrenal_medulla_cell_line: 0.27, Astrocyte:Embryonic_stem_cell-derived: 0.23, Neuroepithelial_cell:ESC-derived: 0.21, Neurons:ES_cell-derived_neural_precursor: 0.19, Macrophage:monocyte-derived:IL-4/Dex/cntrl: 0.19, Macrophage:monocyte-derived:IL-4/Dex/TGFb: 0.19, Monocyte:CXCL4: 0.18, Monocyte:MCSF: 0.18, iPS_cells:PDB_1lox-17Puro-10: 0.18, Macrophage:monocyte-derived:IL-4/TGFb: 0.18 |
| NB13_CTGCCTAGTACCAGTT-1 | Macrophage:monocyte-derived:M-CSF/IFNg | 0.09 | 253.96 | Raw ScoresMacrophage:monocyte-derived:M-CSF/IFNg: 0.17, Macrophage:monocyte-derived:IL-4/Dex/TGFb: 0.17, DC:monocyte-derived:anti-DC-SIGN_2h: 0.17, Macrophage:monocyte-derived:M-CSF: 0.17, DC:monocyte-derived:AEC-conditioned: 0.16, Macrophage:monocyte-derived:IL-4/Dex/cntrl: 0.16, DC:monocyte-derived:LPS: 0.16, Monocyte:leukotriene_D4: 0.16, Monocyte: 0.16, Macrophage:monocyte-derived:IFNa: 0.16 |
| NB06_TCATTTGAGATCACGG-1 | Macrophage:monocyte-derived:IL-4/Dex/TGFb | 0.10 | 249.61 | Raw ScoresDC:monocyte-derived:anti-DC-SIGN_2h: 0.23, Macrophage:monocyte-derived:M-CSF: 0.23, Monocyte:leukotriene_D4: 0.22, Macrophage:monocyte-derived:IL-4/Dex/cntrl: 0.22, Macrophage:monocyte-derived:IL-4/Dex/TGFb: 0.22, DC:monocyte-derived: 0.22, Macrophage:monocyte-derived:M-CSF/IFNg: 0.21, DC:monocyte-derived:immature: 0.21, Monocyte:anti-FcgRIIB: 0.21, Monocyte: 0.21 |
| NB06_GTTCTCGGTGTTGAGG-1 | Macrophage:monocyte-derived:M-CSF | 0.07 | 243.40 | Raw ScoresMacrophage:monocyte-derived:M-CSF: 0.15, DC:monocyte-derived:anti-DC-SIGN_2h: 0.15, Macrophage:monocyte-derived:IL-4/Dex/TGFb: 0.15, Macrophage:monocyte-derived:IL-4/Dex/cntrl: 0.15, DC:monocyte-derived:LPS: 0.15, DC:monocyte-derived:Galectin-1: 0.15, Monocyte:leukotriene_D4: 0.15, Macrophage:monocyte-derived:M-CSF/Pam3Cys: 0.14, DC:monocyte-derived:immature: 0.14, Macrophage:monocyte-derived: 0.14 |
| NB08_CGAGAAGAGGTGCAAC-1 | DC:monocyte-derived:anti-DC-SIGN_2h | 0.10 | 242.62 | Raw ScoresDC:monocyte-derived:anti-DC-SIGN_2h: 0.22, Macrophage:monocyte-derived:M-CSF: 0.21, DC:monocyte-derived:A._fumigatus_germ_tubes_6h: 0.21, DC:monocyte-derived:antiCD40/VAF347: 0.21, Macrophage:monocyte-derived:M-CSF/Pam3Cys: 0.2, DC:monocyte-derived: 0.2, Macrophage:monocyte-derived:IL-4/Dex/TGFb: 0.2, Monocyte:S._typhimurium_flagellin: 0.2, Macrophage:monocyte-derived:M-CSF/IFNg/Pam3Cys: 0.2, DC:monocyte-derived:Galectin-1: 0.2 |
| NB13_TACCTATTCCGCATCT-1 | Neurons:adrenal_medulla_cell_line | 0.07 | 241.45 | Raw ScoresNeurons:adrenal_medulla_cell_line: 0.22, Endothelial_cells:lymphatic:TNFa_48h: 0.2, Astrocyte:Embryonic_stem_cell-derived: 0.2, Endothelial_cells:lymphatic: 0.19, Neuroepithelial_cell:ESC-derived: 0.18, Endothelial_cells:HUVEC:VEGF: 0.18, Endothelial_cells:HUVEC:Serum_Amyloid_A: 0.18, Neurons:ES_cell-derived_neural_precursor: 0.18, Endothelial_cells:HUVEC:IL-1b: 0.18, Endothelial_cells:HUVEC: 0.17 |
| NB06_TGCGTGGAGTGTTTGC-1 | Macrophage:monocyte-derived:IL-4/Dex/TGFb | 0.07 | 235.74 | Raw ScoresMacrophage:monocyte-derived:M-CSF: 0.17, Macrophage:monocyte-derived:IL-4/Dex/TGFb: 0.17, Macrophage:monocyte-derived:IL-4/Dex/cntrl: 0.17, DC:monocyte-derived:anti-DC-SIGN_2h: 0.17, DC:monocyte-derived: 0.17, Macrophage:monocyte-derived:IL-4/TGFb: 0.16, DC:monocyte-derived:AEC-conditioned: 0.16, Monocyte:leukotriene_D4: 0.16, Macrophage:monocyte-derived:IL-4/cntrl: 0.16, Macrophage:monocyte-derived: 0.16 |
| NB06_ATCTGCCAGGCATGGT-1 | Macrophage:monocyte-derived:IL-4/Dex/TGFb | 0.10 | 233.99 | Raw ScoresMacrophage:monocyte-derived:M-CSF: 0.23, Macrophage:monocyte-derived:IL-4/Dex/TGFb: 0.22, Macrophage:monocyte-derived:IL-4/Dex/cntrl: 0.22, Monocyte:leukotriene_D4: 0.21, DC:monocyte-derived:anti-DC-SIGN_2h: 0.21, DC:monocyte-derived: 0.21, Macrophage:monocyte-derived:IL-4/TGFb: 0.21, Macrophage:monocyte-derived:IL-4/cntrl: 0.21, Monocyte:CXCL4: 0.2, Macrophage:monocyte-derived:M-CSF/IFNg: 0.2 |
| NB06_TTAGGACGTAAGAGAG-1 | Macrophage:monocyte-derived:IL-4/Dex/cntrl | 0.10 | 230.65 | Raw ScoresMacrophage:monocyte-derived:IL-4/Dex/cntrl: 0.2, Macrophage:monocyte-derived:IL-4/Dex/TGFb: 0.2, Macrophage:monocyte-derived:M-CSF: 0.2, DC:monocyte-derived:anti-DC-SIGN_2h: 0.19, Macrophage:monocyte-derived:M-CSF/IFNg: 0.19, Macrophage:monocyte-derived:IL-4/TGFb: 0.19, Macrophage:monocyte-derived:IL-4/cntrl: 0.19, DC:monocyte-derived:immature: 0.18, DC:monocyte-derived: 0.18, DC:monocyte-derived:Galectin-1: 0.18 |
| NB13_AACACGTGTATGGTTC-1 | Macrophage:monocyte-derived:M-CSF/IFNg/Pam3Cys | 0.08 | 229.14 | Raw ScoresDC:monocyte-derived:Galectin-1: 0.18, DC:monocyte-derived:LPS: 0.18, Macrophage:monocyte-derived:M-CSF/Pam3Cys: 0.18, Macrophage:Alveolar:B._anthacis_spores: 0.18, Macrophage:monocyte-derived:M-CSF/IFNg/Pam3Cys: 0.18, Macrophage:Alveolar: 0.17, DC:monocyte-derived:antiCD40/VAF347: 0.17, Macrophage:monocyte-derived:S._aureus: 0.17, DC:monocyte-derived: 0.17, Macrophage:monocyte-derived:IFNa: 0.17 |
| NB07_CATGACACACAGTCGC-1 | Neurons:adrenal_medulla_cell_line | 0.12 | 228.00 | Raw ScoresNeurons:adrenal_medulla_cell_line: 0.2, Astrocyte:Embryonic_stem_cell-derived: 0.19, Neuroepithelial_cell:ESC-derived: 0.17, Neurons:ES_cell-derived_neural_precursor: 0.16, iPS_cells:PDB_1lox-21Puro-20: 0.14, iPS_cells:PDB_1lox-17Puro-10: 0.14, iPS_cells:PDB_1lox-17Puro-5: 0.14, Embryonic_stem_cells: 0.13, iPS_cells:PDB_1lox-21Puro-26: 0.13, iPS_cells:PDB_2lox-22: 0.13 |
| NB12_TTCGAAGAGCACCGCT-1 | Macrophage:monocyte-derived:IL-4/Dex/cntrl | 0.08 | 222.89 | Raw ScoresMacrophage:monocyte-derived:M-CSF: 0.18, Macrophage:monocyte-derived:IL-4/Dex/cntrl: 0.18, Macrophage:monocyte-derived:IL-4/Dex/TGFb: 0.17, DC:monocyte-derived:anti-DC-SIGN_2h: 0.17, Monocyte:leukotriene_D4: 0.17, DC:monocyte-derived: 0.17, Macrophage:monocyte-derived:M-CSF/IFNg: 0.17, DC:monocyte-derived:LPS: 0.17, DC:monocyte-derived:AEC-conditioned: 0.17, DC:monocyte-derived:Galectin-1: 0.17 |
| NB06_ACCTTTAAGAAAGTGG-1 | DC:monocyte-derived:anti-DC-SIGN_2h | 0.05 | 221.49 | Raw ScoresDC:monocyte-derived:anti-DC-SIGN_2h: 0.17, Monocyte:leukotriene_D4: 0.16, DC:monocyte-derived:CD40L: 0.16, DC:monocyte-derived:LPS: 0.16, DC:monocyte-derived:Poly(IC): 0.16, Macrophage:monocyte-derived:M-CSF/IFNg/Pam3Cys: 0.16, Macrophage:monocyte-derived:IFNa: 0.16, DC:monocyte-derived:AEC-conditioned: 0.16, DC:monocyte-derived:mature: 0.16, Macrophage:monocyte-derived:M-CSF: 0.16 |
| NB06_ACCTTTAAGTCTCCTC-1 | Monocyte:CXCL4 | 0.06 | 218.84 | Raw ScoresMacrophage:monocyte-derived:IL-4/Dex/cntrl: 0.19, Macrophage:monocyte-derived:M-CSF: 0.19, Macrophage:monocyte-derived:IL-4/Dex/TGFb: 0.19, Macrophage:monocyte-derived:M-CSF/IFNg: 0.18, Macrophage:monocyte-derived:IL-4/cntrl: 0.17, Macrophage:monocyte-derived:IL-4/TGFb: 0.17, Monocyte:CXCL4: 0.17, DC:monocyte-derived:anti-DC-SIGN_2h: 0.17, DC:monocyte-derived: 0.17, Monocyte:leukotriene_D4: 0.17 |
| NB06_TAAGTGCAGACGCAAC-1 | Monocyte:CD16- | 0.07 | 216.27 | Raw ScoresMacrophage:monocyte-derived:M-CSF/IFNg: 0.18, Macrophage:monocyte-derived:M-CSF: 0.18, Macrophage:monocyte-derived:IL-4/Dex/cntrl: 0.17, Monocyte:leukotriene_D4: 0.17, DC:monocyte-derived:anti-DC-SIGN_2h: 0.17, Macrophage:monocyte-derived:IL-4/Dex/TGFb: 0.17, Monocyte: 0.17, Monocyte:anti-FcgRIIB: 0.17, Monocyte:CD16-: 0.17, DC:monocyte-derived: 0.17 |
Below shows the significant enrichments of this GEP for literature curated gene lists
This data was procured from existing single cell RNA-seq maps of neuroblastoma or related relevant data.
High ranks indicate this gene is a driver of this GEP.
These curated gene list are ranked by the P-value (on this GEP) of their constituent genes.
The Mean Count column shows the mean read count in cells scoring highly (H > 50) on this gene expression program.
| Genes | Weight | Rank | GTEx | DepMap | Decartes | Mean.Counts | Mean.TPM |
|---|---|---|---|---|---|---|---|
| IL18 | 0.0222444 | 2 | GTEx | DepMap | Descartes | 0.77 | 1242.60 |
| ITGAX | 0.0079169 | 37 | GTEx | DepMap | Descartes | 0.40 | 224.67 |
| TLR4 | 0.0068252 | 67 | GTEx | DepMap | Descartes | 0.08 | 15.50 |
| CD14 | 0.0060249 | 94 | GTEx | DepMap | Descartes | 0.24 | 408.32 |
| CD80 | 0.0046667 | 158 | GTEx | DepMap | Descartes | 0.06 | 51.25 |
| IL1B | 0.0037254 | 231 | GTEx | DepMap | Descartes | 0.02 | 44.86 |
| CCL2 | 0.0011197 | 1010 | GTEx | DepMap | Descartes | 0.07 | 173.78 |
| CCL5 | 0.0009241 | 1228 | GTEx | DepMap | Descartes | 0.03 | 38.39 |
| CXCL16 | 0.0005395 | 1913 | GTEx | DepMap | Descartes | 0.04 | 43.21 |
| TNF | 0.0005334 | 1932 | GTEx | DepMap | Descartes | 0.01 | 12.98 |
| IL33 | 0.0000461 | 5050 | GTEx | DepMap | Descartes | 0.01 | 2.67 |
PMN-MDSC
These marker genes were curated for MDSC subtypes as reviewed in Veglia et. al. (PMID 33526920):
Wilcoxon ranksum test P-value for gene set overrepresentation: 1.71e-06
Mean rank of genes in gene set: 2072
Rank on gene expression program of genes in gene set:
| Genes | Weight | Rank | GTEx | DepMap | Decartes | Mean.Counts | Mean.TPM |
|---|---|---|---|---|---|---|---|
| CD84 | 0.0078611 | 38 | GTEx | DepMap | Descartes | 0.17 | 48.54 |
| STAT1 | 0.0049762 | 138 | GTEx | DepMap | Descartes | 0.37 | 203.88 |
| IL1B | 0.0037254 | 231 | GTEx | DepMap | Descartes | 0.02 | 44.86 |
| HIF1A | 0.0032010 | 301 | GTEx | DepMap | Descartes | 0.80 | 510.08 |
| ANXA1 | 0.0023101 | 465 | GTEx | DepMap | Descartes | 0.18 | 222.63 |
| STAT6 | 0.0020148 | 549 | GTEx | DepMap | Descartes | 0.08 | 58.79 |
| IRF1 | 0.0017817 | 638 | GTEx | DepMap | Descartes | 0.08 | 38.39 |
| TNFRSF10B | 0.0010788 | 1046 | GTEx | DepMap | Descartes | 0.11 | 75.66 |
| STAT3 | 0.0008444 | 1344 | GTEx | DepMap | Descartes | 0.42 | 153.43 |
| CD36 | 0.0008023 | 1394 | GTEx | DepMap | Descartes | 0.13 | 33.10 |
| PTGS2 | 0.0007828 | 1428 | GTEx | DepMap | Descartes | 0.00 | 0.00 |
| TGFB1 | 0.0006244 | 1721 | GTEx | DepMap | Descartes | 0.11 | 87.64 |
| CSF1 | 0.0003979 | 2365 | GTEx | DepMap | Descartes | 0.02 | 12.22 |
| SLC27A2 | 0.0000074 | 5564 | GTEx | DepMap | Descartes | 0.01 | 17.40 |
| ARG1 | -0.0000648 | 6818 | GTEx | DepMap | Descartes | 0.00 | 0.00 |
| ARG2 | -0.0001968 | 9112 | GTEx | DepMap | Descartes | 0.06 | 29.95 |
M-MDSC
These marker genes were curated for MDSC subtypes as reviewed in Veglia et. al. (PMID 33526920):
Wilcoxon ranksum test P-value for gene set overrepresentation: 3.28e-05
Mean rank of genes in gene set: 2543.73
Rank on gene expression program of genes in gene set:
| Genes | Weight | Rank | GTEx | DepMap | Decartes | Mean.Counts | Mean.TPM |
|---|---|---|---|---|---|---|---|
| CD84 | 0.0078611 | 38 | GTEx | DepMap | Descartes | 0.17 | 48.54 |
| CD14 | 0.0060249 | 94 | GTEx | DepMap | Descartes | 0.24 | 408.32 |
| IL1B | 0.0037254 | 231 | GTEx | DepMap | Descartes | 0.02 | 44.86 |
| HIF1A | 0.0032010 | 301 | GTEx | DepMap | Descartes | 0.80 | 510.08 |
| CD274 | 0.0031362 | 313 | GTEx | DepMap | Descartes | 0.03 | 16.10 |
| TNFRSF10B | 0.0010788 | 1046 | GTEx | DepMap | Descartes | 0.11 | 75.66 |
| STAT3 | 0.0008444 | 1344 | GTEx | DepMap | Descartes | 0.42 | 153.43 |
| CD36 | 0.0008023 | 1394 | GTEx | DepMap | Descartes | 0.13 | 33.10 |
| TGFB1 | 0.0006244 | 1721 | GTEx | DepMap | Descartes | 0.11 | 87.64 |
| TNF | 0.0005334 | 1932 | GTEx | DepMap | Descartes | 0.01 | 12.98 |
| IL10 | 0.0004146 | 2309 | GTEx | DepMap | Descartes | 0.00 | 0.00 |
| VEGFA | 0.0000713 | 4745 | GTEx | DepMap | Descartes | 0.10 | 20.76 |
| NOS2 | -0.0000619 | 6758 | GTEx | DepMap | Descartes | 0.00 | 0.00 |
| ARG1 | -0.0000648 | 6818 | GTEx | DepMap | Descartes | 0.00 | 0.00 |
| ARG2 | -0.0001968 | 9112 | GTEx | DepMap | Descartes | 0.06 | 29.95 |
Below shows ranks on this GEP for literature curated gene lists for large gene sets
These include those reported as mesenchymal/adrenergic by Van Groningen et al.
High ranks indicate this gene is a driver of this GEP (note these results are not ordered).
The Mean Count column shows the mean read count in cells scoring highly (H > 50) on this gene expression program.
VanGroningen Adrenergic Genes
Adrenergic marker genes from Supplementary Table 2 of Van Groningen et al. Nature Genetics 2017. These genes were identified by differential expression analysis of mesenchymal-like and adrenergic-like neuroblastoma cell lines.
Wilcoxon ranksum test P-value for gene set overrepresentation: 1.00e+00
Mean rank of genes in gene set: 9698.85
Median rank of genes in gene set: 11190
Rank on gene expression program of top 30 genes in gene set:
| Genes | Weight | Rank | GTEx | DepMap | Descartes | Mean.Counts | Mean.TPM |
|---|---|---|---|---|---|---|---|
| LYN | 0.0091288 | 23 | GTEx | DepMap | Descartes | 0.41 | 205.42 |
| CELF2 | 0.0049160 | 143 | GTEx | DepMap | Descartes | 0.69 | 181.79 |
| DAPK1 | 0.0046817 | 157 | GTEx | DepMap | Descartes | 0.63 | 266.49 |
| MYO5A | 0.0036141 | 246 | GTEx | DepMap | Descartes | 0.65 | 125.35 |
| CXCR4 | 0.0031182 | 319 | GTEx | DepMap | Descartes | 0.18 | 209.37 |
| EML4 | 0.0013193 | 883 | GTEx | DepMap | Descartes | 0.47 | 164.24 |
| FAM107B | 0.0011377 | 993 | GTEx | DepMap | Descartes | 0.22 | 158.94 |
| ST3GAL6 | 0.0010297 | 1094 | GTEx | DepMap | Descartes | 0.31 | 170.63 |
| PIK3R1 | 0.0010189 | 1105 | GTEx | DepMap | Descartes | 0.38 | 131.47 |
| ATP6V1B2 | 0.0009285 | 1224 | GTEx | DepMap | Descartes | 0.24 | 79.18 |
| UCP2 | 0.0007805 | 1434 | GTEx | DepMap | Descartes | 0.06 | 85.54 |
| AP1S2 | 0.0006566 | 1658 | GTEx | DepMap | Descartes | 0.14 | 73.73 |
| NPY | 0.0005524 | 1878 | GTEx | DepMap | Descartes | 3.25 | 7268.42 |
| GLRX | 0.0005383 | 1916 | GTEx | DepMap | Descartes | 0.04 | 28.87 |
| RPS6KA2 | 0.0005135 | 1989 | GTEx | DepMap | Descartes | 0.26 | 69.60 |
| RTN1 | 0.0005065 | 2011 | GTEx | DepMap | Descartes | 1.67 | 742.22 |
| GNB1 | 0.0004588 | 2155 | GTEx | DepMap | Descartes | 0.58 | 353.00 |
| KLF13 | 0.0003772 | 2444 | GTEx | DepMap | Descartes | 0.14 | 35.99 |
| PPP2R3C | 0.0003513 | 2551 | GTEx | DepMap | Descartes | 0.18 | 110.45 |
| PDK1 | 0.0003165 | 2719 | GTEx | DepMap | Descartes | 0.05 | 6.89 |
| ABLIM1 | 0.0003164 | 2721 | GTEx | DepMap | Descartes | 0.21 | 52.46 |
| SLC35G2 | 0.0002577 | 3045 | GTEx | DepMap | Descartes | 0.16 | NA |
| FKBP1B | 0.0002482 | 3114 | GTEx | DepMap | Descartes | 0.04 | 32.23 |
| NEFL | 0.0001736 | 3661 | GTEx | DepMap | Descartes | 0.08 | 33.16 |
| PBX3 | 0.0001389 | 3991 | GTEx | DepMap | Descartes | 0.66 | 437.12 |
| NFIL3 | 0.0001336 | 4037 | GTEx | DepMap | Descartes | 0.04 | 46.97 |
| ANP32A | 0.0001326 | 4046 | GTEx | DepMap | Descartes | 0.13 | 57.99 |
| RALGDS | 0.0001214 | 4161 | GTEx | DepMap | Descartes | 0.31 | 98.69 |
| CETN3 | 0.0001107 | 4274 | GTEx | DepMap | Descartes | 0.07 | 46.61 |
| LRRTM2 | 0.0000874 | 4519 | GTEx | DepMap | Descartes | 0.03 | 8.52 |
VanGroningen Mesenchymal Genes
Mesenchymal marker genes from Supplementary Table 2 of Van Groningen et al. Nature Genetics 2017. These genes were identified by differential expression analysis of mesenchymal-like and adrenergic-like neuroblastoma cell lines.
Wilcoxon ranksum test P-value for gene set overrepresentation: 5.73e-08
Mean rank of genes in gene set: 5370.17
Median rank of genes in gene set: 4623
Rank on gene expression program of top 30 genes in gene set:
| Genes | Weight | Rank | GTEx | DepMap | Descartes | Mean.Counts | Mean.TPM |
|---|---|---|---|---|---|---|---|
| PLXDC2 | 0.0123362 | 8 | GTEx | DepMap | Descartes | 1.60 | 353.29 |
| PDGFC | 0.0080390 | 35 | GTEx | DepMap | Descartes | 0.27 | 210.77 |
| IQGAP2 | 0.0076808 | 48 | GTEx | DepMap | Descartes | 0.37 | 167.99 |
| MAML2 | 0.0073311 | 54 | GTEx | DepMap | Descartes | 1.07 | 342.34 |
| LITAF | 0.0065826 | 75 | GTEx | DepMap | Descartes | 0.39 | 415.46 |
| HNMT | 0.0064507 | 78 | GTEx | DepMap | Descartes | 0.16 | 134.96 |
| CTSC | 0.0061073 | 89 | GTEx | DepMap | Descartes | 0.27 | 111.98 |
| SASH1 | 0.0059375 | 101 | GTEx | DepMap | Descartes | 0.33 | 113.96 |
| ZFP36L1 | 0.0058105 | 103 | GTEx | DepMap | Descartes | 0.44 | 433.89 |
| SH3BGRL | 0.0055489 | 109 | GTEx | DepMap | Descartes | 0.25 | 387.89 |
| RAB31 | 0.0054639 | 111 | GTEx | DepMap | Descartes | 0.34 | 270.07 |
| PLSCR1 | 0.0054615 | 112 | GTEx | DepMap | Descartes | 0.19 | 328.18 |
| B2M | 0.0054490 | 113 | GTEx | DepMap | Descartes | 2.00 | 1685.50 |
| MBNL1 | 0.0052962 | 118 | GTEx | DepMap | Descartes | 1.04 | 334.80 |
| CTSB | 0.0052640 | 120 | GTEx | DepMap | Descartes | 0.81 | 633.90 |
| SPRED1 | 0.0051421 | 126 | GTEx | DepMap | Descartes | 0.42 | 153.71 |
| TGFBR2 | 0.0049895 | 136 | GTEx | DepMap | Descartes | 0.27 | 134.44 |
| STAT1 | 0.0049762 | 138 | GTEx | DepMap | Descartes | 0.37 | 203.88 |
| ELF1 | 0.0045310 | 171 | GTEx | DepMap | Descartes | 0.30 | 204.30 |
| PEAK1 | 0.0041366 | 192 | GTEx | DepMap | Descartes | 0.47 | NA |
| SGK1 | 0.0040046 | 205 | GTEx | DepMap | Descartes | 0.33 | 198.96 |
| NR3C1 | 0.0040027 | 206 | GTEx | DepMap | Descartes | 0.41 | 124.04 |
| BNC2 | 0.0038906 | 213 | GTEx | DepMap | Descartes | 0.45 | 92.00 |
| LPP | 0.0036328 | 238 | GTEx | DepMap | Descartes | 1.07 | 130.24 |
| SLC38A6 | 0.0035463 | 254 | GTEx | DepMap | Descartes | 0.31 | 270.65 |
| ITGA4 | 0.0034527 | 264 | GTEx | DepMap | Descartes | 0.10 | 27.36 |
| FNDC3B | 0.0034377 | 270 | GTEx | DepMap | Descartes | 0.74 | 195.28 |
| PAPSS2 | 0.0031686 | 306 | GTEx | DepMap | Descartes | 0.14 | 87.97 |
| MRC2 | 0.0031225 | 317 | GTEx | DepMap | Descartes | 0.23 | 114.57 |
| GPR137B | 0.0030308 | 330 | GTEx | DepMap | Descartes | 0.19 | 269.66 |
Descartes adrenocortical markers
Top 50 marker genes of adrenocortical cells in the Decartes fetal adrenal single cell map (https://atlas.brotmanbaty.org/bbi/human-gene-expression-during-development/cell/adrenocortical/in/adrenal)
Wilcoxon ranksum test P-value for gene set overrepresentation: 9.89e-01
Mean rank of genes in gene set: 7651.31
Median rank of genes in gene set: 8759
Rank on gene expression program of top 30 genes in gene set:
| Genes | Weight | Rank | GTEx | DepMap | Descartes | Mean.Counts | Mean.TPM |
|---|---|---|---|---|---|---|---|
| PAPSS2 | 0.0031686 | 306 | GTEx | DepMap | Descartes | 0.14 | 87.97 |
| ERN1 | 0.0020118 | 551 | GTEx | DepMap | Descartes | 0.13 | 32.63 |
| NPC1 | 0.0018059 | 632 | GTEx | DepMap | Descartes | 0.29 | 123.55 |
| SH3PXD2B | 0.0015887 | 722 | GTEx | DepMap | Descartes | 0.18 | 45.44 |
| SH3BP5 | 0.0011177 | 1014 | GTEx | DepMap | Descartes | 0.16 | 108.94 |
| SCARB1 | 0.0009491 | 1195 | GTEx | DepMap | Descartes | 0.15 | 53.94 |
| FDX1 | 0.0008084 | 1382 | GTEx | DepMap | Descartes | 0.04 | 22.59 |
| INHA | 0.0001212 | 4165 | GTEx | DepMap | Descartes | 0.00 | 5.49 |
| DHCR24 | 0.0000962 | 4425 | GTEx | DepMap | Descartes | 0.06 | 18.14 |
| POR | 0.0000936 | 4446 | GTEx | DepMap | Descartes | 0.06 | 47.32 |
| SCAP | 0.0000873 | 4520 | GTEx | DepMap | Descartes | 0.11 | 39.84 |
| BAIAP2L1 | -0.0000407 | 6316 | GTEx | DepMap | Descartes | 0.02 | 17.34 |
| HMGCS1 | -0.0000471 | 6445 | GTEx | DepMap | Descartes | 0.11 | 37.28 |
| GRAMD1B | -0.0000649 | 6823 | GTEx | DepMap | Descartes | 0.05 | 7.16 |
| STAR | -0.0000661 | 6834 | GTEx | DepMap | Descartes | 0.00 | 1.20 |
| CYB5B | -0.0001074 | 7580 | GTEx | DepMap | Descartes | 0.15 | 56.97 |
| DHCR7 | -0.0001453 | 8260 | GTEx | DepMap | Descartes | 0.02 | 15.63 |
| FREM2 | -0.0001536 | 8422 | GTEx | DepMap | Descartes | 0.00 | 0.19 |
| APOC1 | -0.0001960 | 9096 | GTEx | DepMap | Descartes | 0.40 | 1275.95 |
| FDPS | -0.0002281 | 9531 | GTEx | DepMap | Descartes | 0.21 | 190.27 |
| FDXR | -0.0002657 | 9996 | GTEx | DepMap | Descartes | 0.02 | 7.37 |
| SLC16A9 | -0.0002741 | 10088 | GTEx | DepMap | Descartes | 0.08 | 34.45 |
| TM7SF2 | -0.0002975 | 10333 | GTEx | DepMap | Descartes | 0.05 | 30.57 |
| PEG3 | -0.0003166 | 10525 | GTEx | DepMap | Descartes | 0.16 | NA |
| CLU | -0.0003435 | 10729 | GTEx | DepMap | Descartes | 0.28 | 129.77 |
| DNER | -0.0004270 | 11237 | GTEx | DepMap | Descartes | 0.09 | 42.08 |
| HMGCR | -0.0004790 | 11470 | GTEx | DepMap | Descartes | 0.04 | 11.93 |
| LDLR | -0.0004861 | 11499 | GTEx | DepMap | Descartes | 0.03 | 8.34 |
| MSMO1 | -0.0005248 | 11634 | GTEx | DepMap | Descartes | 0.05 | 26.72 |
| SGCZ | -0.0006185 | 11881 | GTEx | DepMap | Descartes | 0.18 | 19.80 |
Descartes chromaffin markers
Top 50 marker genes of chromaffin cells in the Decartes fetal adrenal single cell map (https://atlas.brotmanbaty.org/bbi/human-gene-expression-during-development/cell/chromaffin/in/adrenal)
Wilcoxon ranksum test P-value for gene set overrepresentation: 1.00e+00
Mean rank of genes in gene set: 11423.27
Median rank of genes in gene set: 12238
Rank on gene expression program of top 30 genes in gene set:
| Genes | Weight | Rank | GTEx | DepMap | Descartes | Mean.Counts | Mean.TPM |
|---|---|---|---|---|---|---|---|
| NPY | 0.0005524 | 1878 | GTEx | DepMap | Descartes | 3.25 | 7268.42 |
| TUBB2A | 0.0000574 | 4911 | GTEx | DepMap | Descartes | 0.41 | 401.38 |
| GAP43 | -0.0000758 | 7012 | GTEx | DepMap | Descartes | 0.48 | 380.87 |
| MAB21L1 | -0.0002025 | 9196 | GTEx | DepMap | Descartes | 0.11 | 45.84 |
| STMN2 | -0.0003156 | 10518 | GTEx | DepMap | Descartes | 1.86 | 1505.71 |
| GAL | -0.0003286 | 10628 | GTEx | DepMap | Descartes | 0.39 | 753.21 |
| NTRK1 | -0.0003517 | 10795 | GTEx | DepMap | Descartes | 0.23 | 92.93 |
| RPH3A | -0.0003787 | 10968 | GTEx | DepMap | Descartes | 0.00 | 1.99 |
| RGMB | -0.0004284 | 11245 | GTEx | DepMap | Descartes | 0.18 | 86.08 |
| FAT3 | -0.0004803 | 11473 | GTEx | DepMap | Descartes | 0.20 | 12.54 |
| BASP1 | -0.0005267 | 11640 | GTEx | DepMap | Descartes | 0.53 | 457.66 |
| CNTFR | -0.0005273 | 11642 | GTEx | DepMap | Descartes | 0.12 | 79.72 |
| GREM1 | -0.0005349 | 11661 | GTEx | DepMap | Descartes | 0.00 | 0.17 |
| MAB21L2 | -0.0006184 | 11880 | GTEx | DepMap | Descartes | 0.07 | 50.85 |
| REEP1 | -0.0006236 | 11892 | GTEx | DepMap | Descartes | 0.16 | 55.36 |
| SLC6A2 | -0.0006651 | 11962 | GTEx | DepMap | Descartes | 0.09 | 36.89 |
| TUBB2B | -0.0007456 | 12075 | GTEx | DepMap | Descartes | 1.10 | 891.62 |
| MLLT11 | -0.0008287 | 12169 | GTEx | DepMap | Descartes | 0.29 | 211.41 |
| PTCHD1 | -0.0008336 | 12175 | GTEx | DepMap | Descartes | 0.08 | 7.09 |
| CCND1 | -0.0008831 | 12216 | GTEx | DepMap | Descartes | 0.89 | 315.44 |
| HS3ST5 | -0.0009099 | 12238 | GTEx | DepMap | Descartes | 0.70 | 212.82 |
| SYNPO2 | -0.0009489 | 12268 | GTEx | DepMap | Descartes | 0.28 | 29.52 |
| KCNB2 | -0.0010090 | 12307 | GTEx | DepMap | Descartes | 0.74 | 223.04 |
| PLXNA4 | -0.0010238 | 12320 | GTEx | DepMap | Descartes | 0.19 | 15.84 |
| ELAVL2 | -0.0010240 | 12321 | GTEx | DepMap | Descartes | 0.68 | 187.69 |
| CNKSR2 | -0.0010334 | 12330 | GTEx | DepMap | Descartes | 0.45 | 53.74 |
| TMEFF2 | -0.0011203 | 12371 | GTEx | DepMap | Descartes | 0.08 | 27.52 |
| TUBA1A | -0.0011499 | 12381 | GTEx | DepMap | Descartes | 2.14 | 1794.26 |
| EYA1 | -0.0011860 | 12393 | GTEx | DepMap | Descartes | 0.44 | 119.81 |
| ANKFN1 | -0.0012524 | 12415 | GTEx | DepMap | Descartes | 0.42 | 86.79 |
Descartes Vascular_endothelial markers
Top 50 marker genes of Vascular_endothelial cells in the Decartes fetal adrenal single cell map (https://atlas.brotmanbaty.org/bbi/human-gene-expression-during-development/cell/vascular_endothelial/in/adrenal)
Wilcoxon ranksum test P-value for gene set overrepresentation: 8.97e-01
Mean rank of genes in gene set: 7018.18
Median rank of genes in gene set: 6982.5
Rank on gene expression program of top 30 genes in gene set:
| Genes | Weight | Rank | GTEx | DepMap | Descartes | Mean.Counts | Mean.TPM |
|---|---|---|---|---|---|---|---|
| SHE | 0.0015304 | 752 | GTEx | DepMap | Descartes | 0.03 | 6.91 |
| CRHBP | 0.0010709 | 1057 | GTEx | DepMap | Descartes | 0.02 | 29.62 |
| F8 | 0.0004375 | 2223 | GTEx | DepMap | Descartes | 0.01 | 1.25 |
| FLT4 | 0.0003893 | 2403 | GTEx | DepMap | Descartes | 0.02 | 5.86 |
| RASIP1 | 0.0002725 | 2951 | GTEx | DepMap | Descartes | 0.02 | 15.52 |
| PLVAP | 0.0002524 | 3082 | GTEx | DepMap | Descartes | 0.05 | 37.18 |
| CALCRL | 0.0002483 | 3113 | GTEx | DepMap | Descartes | 0.06 | 14.92 |
| TIE1 | 0.0002334 | 3218 | GTEx | DepMap | Descartes | 0.03 | 17.30 |
| IRX3 | 0.0002141 | 3361 | GTEx | DepMap | Descartes | 0.00 | 1.13 |
| MMRN2 | 0.0002128 | 3370 | GTEx | DepMap | Descartes | 0.01 | 4.18 |
| HYAL2 | 0.0001498 | 3895 | GTEx | DepMap | Descartes | 0.04 | 20.69 |
| NOTCH4 | 0.0000249 | 5322 | GTEx | DepMap | Descartes | 0.06 | 13.57 |
| BTNL9 | 0.0000102 | 5528 | GTEx | DepMap | Descartes | 0.01 | 0.99 |
| CEACAM1 | -0.0000080 | 5780 | GTEx | DepMap | Descartes | 0.04 | 12.61 |
| EHD3 | -0.0000309 | 6152 | GTEx | DepMap | Descartes | 0.01 | 2.83 |
| SLCO2A1 | -0.0000421 | 6350 | GTEx | DepMap | Descartes | 0.03 | 13.52 |
| KANK3 | -0.0000447 | 6395 | GTEx | DepMap | Descartes | 0.02 | 11.19 |
| ROBO4 | -0.0000494 | 6492 | GTEx | DepMap | Descartes | 0.01 | 2.60 |
| GALNT15 | -0.0000578 | 6674 | GTEx | DepMap | Descartes | 0.02 | NA |
| TEK | -0.0000915 | 7291 | GTEx | DepMap | Descartes | 0.04 | 8.55 |
| PODXL | -0.0001023 | 7487 | GTEx | DepMap | Descartes | 0.05 | 17.07 |
| KDR | -0.0001222 | 7844 | GTEx | DepMap | Descartes | 0.02 | 2.83 |
| ESM1 | -0.0001497 | 8340 | GTEx | DepMap | Descartes | 0.02 | 8.12 |
| CYP26B1 | -0.0001748 | 8735 | GTEx | DepMap | Descartes | 0.01 | 0.63 |
| CLDN5 | -0.0001786 | 8793 | GTEx | DepMap | Descartes | 0.03 | 6.48 |
| NPR1 | -0.0001861 | 8922 | GTEx | DepMap | Descartes | 0.00 | 0.00 |
| NR5A2 | -0.0002450 | 9736 | GTEx | DepMap | Descartes | 0.02 | 4.99 |
| RAMP2 | -0.0002493 | 9792 | GTEx | DepMap | Descartes | 0.05 | 118.49 |
| CDH5 | -0.0002557 | 9883 | GTEx | DepMap | Descartes | 0.01 | 5.11 |
| MYRIP | -0.0002798 | 10151 | GTEx | DepMap | Descartes | 0.10 | 21.40 |
Descartes stromal markers
Top 50 marker genes of stromal cells in the Decartes fetal adrenal single cell map (https://atlas.brotmanbaty.org/bbi/human-gene-expression-during-development/cell/stromal/in/adrenal)
Wilcoxon ranksum test P-value for gene set overrepresentation: 1.00e+00
Mean rank of genes in gene set: 9360.64
Median rank of genes in gene set: 10380.5
Rank on gene expression program of top 30 genes in gene set:
| Genes | Weight | Rank | GTEx | DepMap | Descartes | Mean.Counts | Mean.TPM |
|---|---|---|---|---|---|---|---|
| ABCA6 | 0.0018837 | 597 | GTEx | DepMap | Descartes | 0.06 | 18.32 |
| ACTA2 | 0.0002730 | 2948 | GTEx | DepMap | Descartes | 0.07 | 125.53 |
| LAMC3 | 0.0001266 | 4120 | GTEx | DepMap | Descartes | 0.01 | 3.35 |
| SCARA5 | 0.0000277 | 5285 | GTEx | DepMap | Descartes | 0.00 | 1.71 |
| GAS2 | 0.0000169 | 5445 | GTEx | DepMap | Descartes | 0.07 | 47.91 |
| ELN | -0.0000231 | 6024 | GTEx | DepMap | Descartes | 0.13 | 58.63 |
| CLDN11 | -0.0000412 | 6329 | GTEx | DepMap | Descartes | 0.08 | 31.69 |
| DCN | -0.0000512 | 6529 | GTEx | DepMap | Descartes | 0.06 | 15.33 |
| LUM | -0.0000542 | 6600 | GTEx | DepMap | Descartes | 0.06 | 58.50 |
| ADAMTSL3 | -0.0000816 | 7107 | GTEx | DepMap | Descartes | 0.04 | 7.79 |
| RSPO3 | -0.0000925 | 7306 | GTEx | DepMap | Descartes | 0.00 | NA |
| IGFBP3 | -0.0001011 | 7469 | GTEx | DepMap | Descartes | 0.05 | 32.07 |
| OGN | -0.0001053 | 7537 | GTEx | DepMap | Descartes | 0.03 | 20.35 |
| LRRC17 | -0.0001376 | 8123 | GTEx | DepMap | Descartes | 0.02 | 10.22 |
| CD248 | -0.0001819 | 8856 | GTEx | DepMap | Descartes | 0.01 | 5.38 |
| PRRX1 | -0.0002207 | 9433 | GTEx | DepMap | Descartes | 0.05 | 26.34 |
| COL27A1 | -0.0002254 | 9497 | GTEx | DepMap | Descartes | 0.02 | 7.08 |
| PCDH18 | -0.0002407 | 9680 | GTEx | DepMap | Descartes | 0.00 | 0.00 |
| FREM1 | -0.0002452 | 9741 | GTEx | DepMap | Descartes | 0.12 | 11.46 |
| EDNRA | -0.0002470 | 9758 | GTEx | DepMap | Descartes | 0.01 | 8.28 |
| HHIP | -0.0002685 | 10031 | GTEx | DepMap | Descartes | 0.03 | 5.17 |
| MGP | -0.0002862 | 10216 | GTEx | DepMap | Descartes | 0.09 | 114.99 |
| PAMR1 | -0.0003200 | 10545 | GTEx | DepMap | Descartes | 0.03 | 15.97 |
| ISLR | -0.0003251 | 10596 | GTEx | DepMap | Descartes | 0.04 | 23.84 |
| ABCC9 | -0.0003326 | 10656 | GTEx | DepMap | Descartes | 0.01 | 1.82 |
| GLI2 | -0.0003367 | 10676 | GTEx | DepMap | Descartes | 0.02 | 5.35 |
| PDGFRA | -0.0003401 | 10700 | GTEx | DepMap | Descartes | 0.02 | 2.50 |
| C7 | -0.0003479 | 10765 | GTEx | DepMap | Descartes | 0.04 | 16.98 |
| CCDC80 | -0.0003574 | 10831 | GTEx | DepMap | Descartes | 0.04 | 2.87 |
| DKK2 | -0.0004256 | 11231 | GTEx | DepMap | Descartes | 0.03 | 11.28 |
Descartes sympathoblasts markers
Top 50 marker genes of sympathoblasts cells in the Decartes fetal adrenal single cell map (https://atlas.brotmanbaty.org/bbi/human-gene-expression-during-development/cell/sympathoblasts/in/adrenal)
Wilcoxon ranksum test P-value for gene set overrepresentation: 1.00e+00
Mean rank of genes in gene set: 10231.82
Median rank of genes in gene set: 11712.5
Rank on gene expression program of top 30 genes in gene set:
| Genes | Weight | Rank | GTEx | DepMap | Descartes | Mean.Counts | Mean.TPM |
|---|---|---|---|---|---|---|---|
| AGBL4 | 0.0003352 | 2631 | GTEx | DepMap | Descartes | 1.47 | 426.31 |
| ST18 | 0.0001706 | 3679 | GTEx | DepMap | Descartes | 0.11 | 38.73 |
| TENM1 | 0.0001573 | 3810 | GTEx | DepMap | Descartes | 0.47 | NA |
| PENK | 0.0000441 | 5076 | GTEx | DepMap | Descartes | 0.00 | 16.45 |
| CNTN3 | 0.0000239 | 5334 | GTEx | DepMap | Descartes | 0.03 | 8.17 |
| CDH12 | 0.0000237 | 5341 | GTEx | DepMap | Descartes | 0.08 | 31.10 |
| SLC24A2 | 0.0000149 | 5469 | GTEx | DepMap | Descartes | 0.04 | 4.42 |
| C1QL1 | -0.0001100 | 7622 | GTEx | DepMap | Descartes | 0.04 | 33.87 |
| DGKK | -0.0001999 | 9158 | GTEx | DepMap | Descartes | 0.01 | 0.52 |
| SORCS3 | -0.0002058 | 9248 | GTEx | DepMap | Descartes | 0.03 | 5.02 |
| LAMA3 | -0.0002149 | 9361 | GTEx | DepMap | Descartes | 0.10 | 13.54 |
| HTATSF1 | -0.0002810 | 10163 | GTEx | DepMap | Descartes | 0.06 | 43.28 |
| SLC35F3 | -0.0003122 | 10484 | GTEx | DepMap | Descartes | 0.10 | 57.50 |
| TBX20 | -0.0003144 | 10504 | GTEx | DepMap | Descartes | 0.10 | 61.04 |
| CHGA | -0.0004575 | 11385 | GTEx | DepMap | Descartes | 0.83 | 560.36 |
| GCH1 | -0.0004612 | 11402 | GTEx | DepMap | Descartes | 0.22 | 74.27 |
| PACRG | -0.0004894 | 11509 | GTEx | DepMap | Descartes | 0.28 | 176.72 |
| SLC18A1 | -0.0005054 | 11569 | GTEx | DepMap | Descartes | 0.10 | 36.29 |
| ARC | -0.0005439 | 11688 | GTEx | DepMap | Descartes | 0.01 | 1.49 |
| PCSK1N | -0.0005626 | 11737 | GTEx | DepMap | Descartes | 0.75 | 1005.38 |
| KSR2 | -0.0006615 | 11955 | GTEx | DepMap | Descartes | 0.23 | 16.29 |
| TIAM1 | -0.0007537 | 12088 | GTEx | DepMap | Descartes | 0.44 | 83.34 |
| GRM7 | -0.0007567 | 12095 | GTEx | DepMap | Descartes | 0.10 | 39.48 |
| KCTD16 | -0.0008383 | 12180 | GTEx | DepMap | Descartes | 0.73 | 55.92 |
| PCSK2 | -0.0009246 | 12247 | GTEx | DepMap | Descartes | 0.10 | 23.80 |
| CHGB | -0.0009610 | 12278 | GTEx | DepMap | Descartes | 0.73 | 427.93 |
| CDH18 | -0.0009649 | 12281 | GTEx | DepMap | Descartes | 0.09 | 22.55 |
| GALNTL6 | -0.0010200 | 12315 | GTEx | DepMap | Descartes | 0.15 | 54.91 |
| SPOCK3 | -0.0010590 | 12338 | GTEx | DepMap | Descartes | 0.08 | 34.94 |
| MGAT4C | -0.0010720 | 12351 | GTEx | DepMap | Descartes | 0.30 | 11.59 |
Descartes erythroblasts markers
Top 50 marker genes of erythroblasts cells in the Decartes fetal adrenal single cell map (https://atlas.brotmanbaty.org/bbi/human-gene-expression-during-development/cell/erythroblasts/in/adrenal)
Wilcoxon ranksum test P-value for gene set overrepresentation: 1.01e-01
Mean rank of genes in gene set: 5417.03
Median rank of genes in gene set: 4418
Rank on gene expression program of top 30 genes in gene set:
| Genes | Weight | Rank | GTEx | DepMap | Descartes | Mean.Counts | Mean.TPM |
|---|---|---|---|---|---|---|---|
| BLVRB | 0.0020441 | 537 | GTEx | DepMap | Descartes | 0.09 | 168.15 |
| SPECC1 | 0.0020257 | 545 | GTEx | DepMap | Descartes | 0.10 | 26.15 |
| MARCH3 | 0.0020113 | 552 | GTEx | DepMap | Descartes | 0.26 | NA |
| GYPC | 0.0010480 | 1076 | GTEx | DepMap | Descartes | 0.02 | 33.83 |
| DENND4A | 0.0006800 | 1608 | GTEx | DepMap | Descartes | 0.52 | 115.49 |
| CAT | 0.0005932 | 1789 | GTEx | DepMap | Descartes | 0.08 | 90.20 |
| MICAL2 | 0.0004666 | 2132 | GTEx | DepMap | Descartes | 0.05 | 18.87 |
| GCLC | 0.0004360 | 2226 | GTEx | DepMap | Descartes | 0.10 | 52.35 |
| TRAK2 | 0.0003681 | 2483 | GTEx | DepMap | Descartes | 0.09 | 31.11 |
| RHD | 0.0002857 | 2865 | GTEx | DepMap | Descartes | 0.02 | 13.90 |
| SLC25A37 | 0.0002269 | 3271 | GTEx | DepMap | Descartes | 0.08 | 38.98 |
| SLC4A1 | 0.0001669 | 3720 | GTEx | DepMap | Descartes | 0.00 | 2.05 |
| SELENBP1 | 0.0001466 | 3928 | GTEx | DepMap | Descartes | 0.01 | 12.14 |
| EPB41 | 0.0001378 | 4003 | GTEx | DepMap | Descartes | 0.38 | 82.58 |
| ABCB10 | 0.0000974 | 4418 | GTEx | DepMap | Descartes | 0.08 | 42.42 |
| SNCA | 0.0000886 | 4498 | GTEx | DepMap | Descartes | 0.14 | 76.31 |
| ALAS2 | -0.0000426 | 6362 | GTEx | DepMap | Descartes | 0.00 | 0.00 |
| RGS6 | -0.0000438 | 6379 | GTEx | DepMap | Descartes | 0.01 | 2.92 |
| FECH | -0.0000935 | 7330 | GTEx | DepMap | Descartes | 0.04 | 10.26 |
| TMCC2 | -0.0000967 | 7391 | GTEx | DepMap | Descartes | 0.02 | 6.21 |
| CPOX | -0.0001231 | 7870 | GTEx | DepMap | Descartes | 0.04 | 34.10 |
| RAPGEF2 | -0.0001856 | 8915 | GTEx | DepMap | Descartes | 0.38 | 81.15 |
| SPTB | -0.0002049 | 9233 | GTEx | DepMap | Descartes | 0.06 | 8.74 |
| SLC25A21 | -0.0002390 | 9659 | GTEx | DepMap | Descartes | 0.01 | 1.24 |
| XPO7 | -0.0002435 | 9717 | GTEx | DepMap | Descartes | 0.16 | 54.54 |
| ANK1 | -0.0002626 | 9959 | GTEx | DepMap | Descartes | 0.15 | 26.64 |
| SOX6 | -0.0003701 | 10912 | GTEx | DepMap | Descartes | 0.56 | 76.95 |
| TFR2 | -0.0005154 | 11604 | GTEx | DepMap | Descartes | 0.15 | 49.01 |
| TSPAN5 | -0.0007670 | 12112 | GTEx | DepMap | Descartes | 0.31 | 99.08 |
| NA | NA | NA | NA | NA | NA | NA | NA |
Descartes myeloid markers
Top 50 marker genes of myeloid cells in the Decartes fetal adrenal single cell map (https://atlas.brotmanbaty.org/bbi/human-gene-expression-during-development/cell/myeloid/in/adrenal)
Wilcoxon ranksum test P-value for gene set overrepresentation: 2.20e-21
Mean rank of genes in gene set: 745.84
Median rank of genes in gene set: 99
Rank on gene expression program of top 30 genes in gene set:
| Genes | Weight | Rank | GTEx | DepMap | Descartes | Mean.Counts | Mean.TPM |
|---|---|---|---|---|---|---|---|
| SLC9A9 | 0.0161499 | 5 | GTEx | DepMap | Descartes | 0.84 | 650.69 |
| CD74 | 0.0138495 | 7 | GTEx | DepMap | Descartes | 1.27 | 1028.86 |
| ITPR2 | 0.0114407 | 11 | GTEx | DepMap | Descartes | 0.83 | 181.08 |
| ABCA1 | 0.0103351 | 14 | GTEx | DepMap | Descartes | 0.63 | 169.49 |
| SLC1A3 | 0.0102776 | 15 | GTEx | DepMap | Descartes | 0.30 | 227.12 |
| FGD2 | 0.0100365 | 18 | GTEx | DepMap | Descartes | 0.23 | 97.37 |
| LGMN | 0.0097330 | 20 | GTEx | DepMap | Descartes | 0.56 | 747.63 |
| SLCO2B1 | 0.0096352 | 21 | GTEx | DepMap | Descartes | 0.35 | 172.03 |
| MERTK | 0.0094157 | 22 | GTEx | DepMap | Descartes | 0.29 | 229.61 |
| SFMBT2 | 0.0078210 | 40 | GTEx | DepMap | Descartes | 0.83 | 250.51 |
| ADAP2 | 0.0078164 | 41 | GTEx | DepMap | Descartes | 0.38 | 414.00 |
| ATP8B4 | 0.0073741 | 53 | GTEx | DepMap | Descartes | 0.22 | 113.39 |
| MSR1 | 0.0068753 | 64 | GTEx | DepMap | Descartes | 0.36 | 323.59 |
| CSF1R | 0.0066867 | 72 | GTEx | DepMap | Descartes | 0.18 | 136.14 |
| CD163L1 | 0.0065946 | 74 | GTEx | DepMap | Descartes | 0.70 | 443.25 |
| CYBB | 0.0065696 | 76 | GTEx | DepMap | Descartes | 0.12 | 71.10 |
| HCK | 0.0064350 | 79 | GTEx | DepMap | Descartes | 0.20 | 244.27 |
| CTSC | 0.0061073 | 89 | GTEx | DepMap | Descartes | 0.27 | 111.98 |
| CD14 | 0.0060249 | 94 | GTEx | DepMap | Descartes | 0.24 | 408.32 |
| CPVL | 0.0057669 | 104 | GTEx | DepMap | Descartes | 0.23 | 296.07 |
| CTSS | 0.0056008 | 107 | GTEx | DepMap | Descartes | 0.23 | 143.65 |
| CD163 | 0.0052874 | 119 | GTEx | DepMap | Descartes | 0.12 | 75.19 |
| CTSB | 0.0052640 | 120 | GTEx | DepMap | Descartes | 0.81 | 633.90 |
| MARCH1 | 0.0052075 | 123 | GTEx | DepMap | Descartes | 0.42 | NA |
| TGFBI | 0.0048448 | 148 | GTEx | DepMap | Descartes | 0.31 | 226.79 |
| MS4A4A | 0.0043754 | 179 | GTEx | DepMap | Descartes | 0.09 | 155.00 |
| WWP1 | 0.0042689 | 185 | GTEx | DepMap | Descartes | 0.38 | 186.10 |
| PTPRE | 0.0034424 | 269 | GTEx | DepMap | Descartes | 0.29 | 123.21 |
| AXL | 0.0028865 | 350 | GTEx | DepMap | Descartes | 0.14 | 83.21 |
| RGL1 | 0.0027599 | 374 | GTEx | DepMap | Descartes | 0.34 | 161.35 |
Descartes Schwann markers
Top 50 marker genes of Schwann cells in the Decartes fetal adrenal single cell map (https://atlas.brotmanbaty.org/bbi/human-gene-expression-during-development/cell/schwann/in/adrenal)
Wilcoxon ranksum test P-value for gene set overrepresentation: 9.98e-01
Mean rank of genes in gene set: 7808.82
Median rank of genes in gene set: 8479.5
Rank on gene expression program of top 30 genes in gene set:
| Genes | Weight | Rank | GTEx | DepMap | Descartes | Mean.Counts | Mean.TPM |
|---|---|---|---|---|---|---|---|
| GAS7 | 0.0061077 | 88 | GTEx | DepMap | Descartes | 0.37 | 134.44 |
| STARD13 | 0.0038300 | 220 | GTEx | DepMap | Descartes | 0.28 | 139.91 |
| PTPRZ1 | 0.0005706 | 1847 | GTEx | DepMap | Descartes | 0.01 | 1.13 |
| SLC35F1 | 0.0005455 | 1894 | GTEx | DepMap | Descartes | 0.05 | 10.48 |
| IL1RAPL2 | 0.0004810 | 2087 | GTEx | DepMap | Descartes | 0.05 | 22.13 |
| EDNRB | 0.0003301 | 2651 | GTEx | DepMap | Descartes | 0.01 | 1.50 |
| PAG1 | 0.0002667 | 2987 | GTEx | DepMap | Descartes | 0.40 | 58.20 |
| KCTD12 | 0.0002308 | 3243 | GTEx | DepMap | Descartes | 0.03 | 16.14 |
| PLP1 | 0.0002064 | 3412 | GTEx | DepMap | Descartes | 0.00 | 2.95 |
| XKR4 | 0.0001675 | 3707 | GTEx | DepMap | Descartes | 0.17 | 10.69 |
| COL25A1 | 0.0001585 | 3799 | GTEx | DepMap | Descartes | 0.01 | 1.64 |
| GFRA3 | 0.0001107 | 4275 | GTEx | DepMap | Descartes | 0.13 | 73.30 |
| MPZ | 0.0000797 | 4625 | GTEx | DepMap | Descartes | 0.01 | 3.14 |
| HMGA2 | 0.0000666 | 4802 | GTEx | DepMap | Descartes | 0.01 | 0.96 |
| OLFML2A | 0.0000403 | 5119 | GTEx | DepMap | Descartes | 0.00 | 0.17 |
| ADAMTS5 | 0.0000303 | 5254 | GTEx | DepMap | Descartes | 0.03 | 2.65 |
| ERBB3 | 0.0000269 | 5295 | GTEx | DepMap | Descartes | 0.01 | 5.11 |
| MDGA2 | 0.0000240 | 5332 | GTEx | DepMap | Descartes | 0.00 | 0.00 |
| PMP22 | -0.0000745 | 6990 | GTEx | DepMap | Descartes | 0.25 | 225.58 |
| PLCE1 | -0.0000867 | 7213 | GTEx | DepMap | Descartes | 0.05 | 5.27 |
| LAMA4 | -0.0001033 | 7501 | GTEx | DepMap | Descartes | 0.06 | 13.22 |
| GRIK3 | -0.0001534 | 8418 | GTEx | DepMap | Descartes | 0.02 | 1.60 |
| EGFLAM | -0.0001615 | 8541 | GTEx | DepMap | Descartes | 0.06 | 19.94 |
| PTN | -0.0002048 | 9230 | GTEx | DepMap | Descartes | 0.16 | 136.42 |
| LAMC1 | -0.0002162 | 9376 | GTEx | DepMap | Descartes | 0.10 | 20.94 |
| DST | -0.0003440 | 10733 | GTEx | DepMap | Descartes | 1.53 | 109.15 |
| IL1RAPL1 | -0.0003507 | 10788 | GTEx | DepMap | Descartes | 0.12 | 25.29 |
| COL18A1 | -0.0003805 | 10987 | GTEx | DepMap | Descartes | 0.16 | 53.40 |
| SFRP1 | -0.0004160 | 11175 | GTEx | DepMap | Descartes | 0.05 | 15.33 |
| FIGN | -0.0004201 | 11202 | GTEx | DepMap | Descartes | 0.09 | 9.65 |
Descartes Megakaryocytes markers
Top 50 marker genes of Megakaryocytes cells in the Decartes fetal adrenal single cell map (https://atlas.brotmanbaty.org/bbi/human-gene-expression-during-development/cell/megakaryocytes/in/adrenal)
Wilcoxon ranksum test P-value for gene set overrepresentation: 4.82e-03
Mean rank of genes in gene set: 4879.76
Median rank of genes in gene set: 2716
Rank on gene expression program of top 30 genes in gene set:
| Genes | Weight | Rank | GTEx | DepMap | Descartes | Mean.Counts | Mean.TPM |
|---|---|---|---|---|---|---|---|
| CD84 | 0.0078611 | 38 | GTEx | DepMap | Descartes | 0.17 | 48.54 |
| FLI1 | 0.0059385 | 100 | GTEx | DepMap | Descartes | 0.35 | 140.91 |
| PLEK | 0.0056256 | 106 | GTEx | DepMap | Descartes | 0.15 | 148.86 |
| MCTP1 | 0.0043505 | 180 | GTEx | DepMap | Descartes | 0.33 | 167.92 |
| UBASH3B | 0.0037761 | 225 | GTEx | DepMap | Descartes | 0.21 | 79.18 |
| FERMT3 | 0.0027960 | 367 | GTEx | DepMap | Descartes | 0.09 | 102.12 |
| TMSB4X | 0.0026427 | 393 | GTEx | DepMap | Descartes | 3.77 | 3651.93 |
| SLC2A3 | 0.0020183 | 548 | GTEx | DepMap | Descartes | 0.38 | 198.31 |
| GSN | 0.0019905 | 556 | GTEx | DepMap | Descartes | 0.29 | 103.13 |
| LIMS1 | 0.0018734 | 601 | GTEx | DepMap | Descartes | 0.35 | 187.00 |
| PSTPIP2 | 0.0018437 | 615 | GTEx | DepMap | Descartes | 0.06 | 59.51 |
| RAP1B | 0.0016109 | 713 | GTEx | DepMap | Descartes | 0.26 | 45.92 |
| THBS1 | 0.0009757 | 1157 | GTEx | DepMap | Descartes | 0.17 | 96.21 |
| MYH9 | 0.0006891 | 1594 | GTEx | DepMap | Descartes | 0.20 | 51.89 |
| TLN1 | 0.0006414 | 1689 | GTEx | DepMap | Descartes | 0.11 | 23.68 |
| TGFB1 | 0.0006244 | 1721 | GTEx | DepMap | Descartes | 0.11 | 87.64 |
| STON2 | 0.0005812 | 1812 | GTEx | DepMap | Descartes | 0.13 | 46.83 |
| P2RX1 | 0.0005467 | 1890 | GTEx | DepMap | Descartes | 0.01 | 12.95 |
| ZYX | 0.0004223 | 2284 | GTEx | DepMap | Descartes | 0.10 | 106.48 |
| ARHGAP6 | 0.0003652 | 2495 | GTEx | DepMap | Descartes | 0.05 | 13.55 |
| MMRN1 | 0.0003543 | 2540 | GTEx | DepMap | Descartes | 0.01 | 1.49 |
| SPN | 0.0003239 | 2685 | GTEx | DepMap | Descartes | 0.02 | 6.91 |
| STOM | 0.0003171 | 2716 | GTEx | DepMap | Descartes | 0.06 | 37.99 |
| TPM4 | 0.0002116 | 3379 | GTEx | DepMap | Descartes | 0.16 | 74.55 |
| CD9 | 0.0001810 | 3606 | GTEx | DepMap | Descartes | 0.15 | 180.92 |
| GP1BA | 0.0001391 | 3988 | GTEx | DepMap | Descartes | 0.01 | 8.18 |
| ITGB3 | 0.0000383 | 5142 | GTEx | DepMap | Descartes | 0.00 | 0.00 |
| TRPC6 | -0.0000232 | 6028 | GTEx | DepMap | Descartes | 0.01 | 4.05 |
| INPP4B | -0.0000507 | 6521 | GTEx | DepMap | Descartes | 0.36 | 61.32 |
| VCL | -0.0000553 | 6626 | GTEx | DepMap | Descartes | 0.11 | 28.49 |
Descartes Lyphoid markers
Top 50 marker genes of Lyphoid cells in the Decartes fetal adrenal single cell map (https://atlas.brotmanbaty.org/bbi/human-gene-expression-during-development/cell/lymphoid/in/adrenal)
Wilcoxon ranksum test P-value for gene set overrepresentation: 2.05e-08
Mean rank of genes in gene set: 3213.38
Median rank of genes in gene set: 744.5
Rank on gene expression program of top 30 genes in gene set:
| Genes | Weight | Rank | GTEx | DepMap | Descartes | Mean.Counts | Mean.TPM |
|---|---|---|---|---|---|---|---|
| ARHGAP15 | 0.0103456 | 13 | GTEx | DepMap | Descartes | 0.79 | 655.89 |
| PTPRC | 0.0069138 | 62 | GTEx | DepMap | Descartes | 0.34 | 159.48 |
| B2M | 0.0054490 | 113 | GTEx | DepMap | Descartes | 2.00 | 1685.50 |
| IKZF1 | 0.0053083 | 117 | GTEx | DepMap | Descartes | 0.19 | 80.81 |
| MBNL1 | 0.0052962 | 118 | GTEx | DepMap | Descartes | 1.04 | 334.80 |
| CELF2 | 0.0049160 | 143 | GTEx | DepMap | Descartes | 0.69 | 181.79 |
| RCSD1 | 0.0045651 | 169 | GTEx | DepMap | Descartes | 0.15 | 54.36 |
| SP100 | 0.0041689 | 189 | GTEx | DepMap | Descartes | 0.26 | 113.84 |
| ITPKB | 0.0041420 | 191 | GTEx | DepMap | Descartes | 0.17 | 69.60 |
| DOCK10 | 0.0041210 | 195 | GTEx | DepMap | Descartes | 0.69 | 222.44 |
| LCP1 | 0.0037110 | 233 | GTEx | DepMap | Descartes | 0.16 | 109.13 |
| PRKCH | 0.0032513 | 294 | GTEx | DepMap | Descartes | 0.25 | 143.81 |
| ARID5B | 0.0031374 | 312 | GTEx | DepMap | Descartes | 0.33 | 116.05 |
| WIPF1 | 0.0031353 | 314 | GTEx | DepMap | Descartes | 0.43 | 181.29 |
| PLEKHA2 | 0.0030087 | 336 | GTEx | DepMap | Descartes | 0.16 | 74.73 |
| SKAP1 | 0.0026369 | 395 | GTEx | DepMap | Descartes | 0.15 | 139.11 |
| ANKRD44 | 0.0023440 | 461 | GTEx | DepMap | Descartes | 0.49 | 130.82 |
| MSN | 0.0019187 | 579 | GTEx | DepMap | Descartes | 0.15 | 102.41 |
| SAMD3 | 0.0016882 | 683 | GTEx | DepMap | Descartes | 0.05 | 29.90 |
| CCND3 | 0.0015878 | 723 | GTEx | DepMap | Descartes | 0.15 | 140.10 |
| FOXP1 | 0.0015733 | 732 | GTEx | DepMap | Descartes | 1.63 | 299.51 |
| CD44 | 0.0015263 | 757 | GTEx | DepMap | Descartes | 0.73 | 259.99 |
| ETS1 | 0.0013373 | 872 | GTEx | DepMap | Descartes | 0.11 | 39.04 |
| ARHGDIB | 0.0013096 | 891 | GTEx | DepMap | Descartes | 0.04 | 83.56 |
| LEF1 | 0.0011859 | 964 | GTEx | DepMap | Descartes | 0.05 | 15.96 |
| CCL5 | 0.0009241 | 1228 | GTEx | DepMap | Descartes | 0.03 | 38.39 |
| MCTP2 | 0.0006350 | 1701 | GTEx | DepMap | Descartes | 0.05 | 15.35 |
| PITPNC1 | 0.0005312 | 1937 | GTEx | DepMap | Descartes | 0.68 | 183.02 |
| NCALD | 0.0004672 | 2129 | GTEx | DepMap | Descartes | 0.23 | 90.26 |
| SORL1 | 0.0003298 | 2655 | GTEx | DepMap | Descartes | 0.25 | 31.02 |
Below shows the ranks on this GEP for immune marker gene lists curated by CellTypist (https://www.celltypist.org/encyclopedia).
High ranks indicate this gene is a driver of this GEP.
These curated gene list are ranked by P-value (on this GEP) of their constituent genes.
The Mean Count column shows the mean read count in cells scoring highly (H > 50) on this gene expression program.
| Genes | Weight | Rank | GTEx | DepMap | Decartes | Mean.Counts | Mean.TPM |
|---|---|---|---|---|---|---|---|
| CD74 | 0.0138495 | 7 | GTEx | DepMap | Descartes | 1.27 | 1028.86 |
| PTPRC | 0.0069138 | 62 | GTEx | DepMap | Descartes | 0.34 | 159.48 |
| BIRC3 | 0.0057526 | 105 | GTEx | DepMap | Descartes | 0.20 | 66.67 |
| B2M | 0.0054490 | 113 | GTEx | DepMap | Descartes | 2.00 | 1685.50 |
| COTL1 | 0.0015412 | 749 | GTEx | DepMap | Descartes | 0.10 | 40.09 |
| SMS | 0.0006580 | 1654 | GTEx | DepMap | Descartes | 0.33 | 332.35 |
| ITM2A | 0.0005283 | 1944 | GTEx | DepMap | Descartes | 0.02 | 17.81 |
T cells: CD8a/a (model markers)
unconventional T lymphocytes with CD8 alpha/alpha homodimers binding MHC molecules:
Wilcoxon ranksum test P-value for gene set overrepresentation: 1.42e-03
Mean rank of genes in gene set: 2189.14
Rank on gene expression program of genes in gene set:
| Genes | Weight | Rank | GTEx | DepMap | Decartes | Mean.Counts | Mean.TPM |
|---|---|---|---|---|---|---|---|
| PRKCH | 0.0032513 | 294 | GTEx | DepMap | Descartes | 0.25 | 143.81 |
| MALAT1 | 0.0013022 | 894 | GTEx | DepMap | Descartes | 156.60 | 31629.25 |
| LEF1 | 0.0011859 | 964 | GTEx | DepMap | Descartes | 0.05 | 15.96 |
| CTSW | 0.0010398 | 1085 | GTEx | DepMap | Descartes | 0.01 | 9.41 |
| CD27 | 0.0002771 | 2916 | GTEx | DepMap | Descartes | 0.01 | 4.93 |
| NUCB2 | 0.0001869 | 3562 | GTEx | DepMap | Descartes | 0.08 | 49.57 |
| CD8A | 0.0000045 | 5609 | GTEx | DepMap | Descartes | 0.03 | 6.21 |
T cells: Type 1 helper T cells (model markers)
CD4+ helper T lymphocyte subpopulation which is capable of producing interferon-gamma and modulating cell-mediated immune responses:
Wilcoxon ranksum test P-value for gene set overrepresentation: 1.54e-03
Mean rank of genes in gene set: 1481.2
Rank on gene expression program of genes in gene set:
| Genes | Weight | Rank | GTEx | DepMap | Decartes | Mean.Counts | Mean.TPM |
|---|---|---|---|---|---|---|---|
| CEBPB | 0.0027237 | 380 | GTEx | DepMap | Descartes | 0.18 | 290.83 |
| ANXA1 | 0.0023101 | 465 | GTEx | DepMap | Descartes | 0.18 | 222.63 |
| CCL5 | 0.0009241 | 1228 | GTEx | DepMap | Descartes | 0.03 | 38.39 |
| KLRB1 | 0.0005340 | 1929 | GTEx | DepMap | Descartes | 0.02 | 17.11 |
| PRDM16 | 0.0002071 | 3404 | GTEx | DepMap | Descartes | 0.01 | 1.16 |