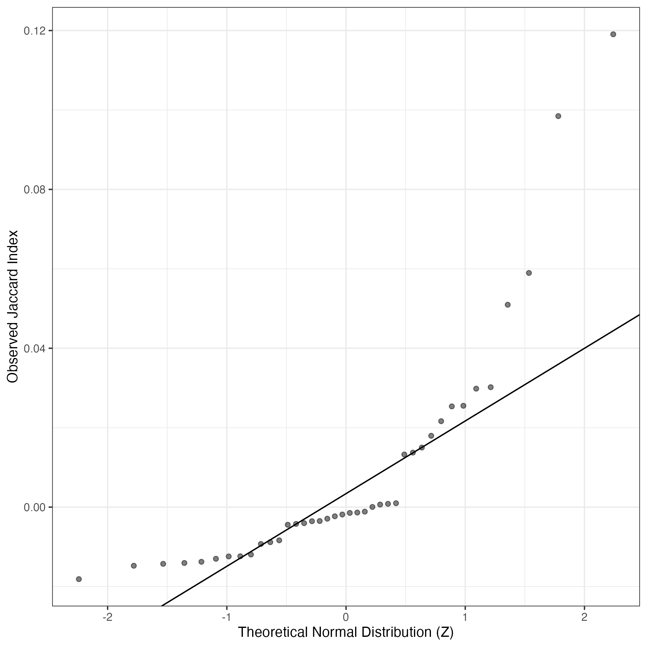
QQ-plot of gene loadings, averaged over both independent splits of the data
This plot highlights the relative contribution of each gene to the GEP
Top genes driving this program.
Note: Decartes website is buggy, try refreshing. Also, Decartes fetal adrenal data have been collected at specific time points (89-122 days), all possible cell types of interest may not be represented, do not overinterpret.
The Mean Count column shows the mean read count in cells scoring highly (H > 50) on this gene expression program.
Gene | Loading | Gene.Name | GTEx | DepMap | Descartes | Mean.Counts | Mean.Tpm | |
---|---|---|---|---|---|---|---|---|
1 | CD79A | 0.0244662 | CD79a molecule | GTEx | DepMap | Descartes | 3.27 | 1386.56 |
2 | BANK1 | 0.0203030 | B cell scaffold protein with ankyrin repeats 1 | GTEx | DepMap | Descartes | 0.75 | 108.76 |
3 | CD37 | 0.0183321 | CD37 molecule | GTEx | DepMap | Descartes | 5.42 | 839.06 |
4 | TNFRSF13C | 0.0179506 | TNF receptor superfamily member 13C | GTEx | DepMap | Descartes | 0.70 | 83.01 |
5 | CD22 | 0.0150326 | CD22 molecule | GTEx | DepMap | Descartes | 0.45 | 62.78 |
6 | CD19 | 0.0147713 | CD19 molecule | GTEx | DepMap | Descartes | 0.35 | 65.47 |
7 | VPREB3 | 0.0133621 | V-set pre-B cell surrogate light chain 3 | GTEx | DepMap | Descartes | 1.84 | 1538.26 |
8 | BLK | 0.0125577 | BLK proto-oncogene, Src family tyrosine kinase | GTEx | DepMap | Descartes | 0.35 | 73.72 |
9 | CD79B | 0.0112739 | CD79b molecule | GTEx | DepMap | Descartes | 2.23 | 970.37 |
10 | PAX5 | 0.0111983 | paired box 5 | GTEx | DepMap | Descartes | 0.32 | 17.83 |
11 | MEF2C | 0.0110563 | myocyte enhancer factor 2C | GTEx | DepMap | Descartes | 1.06 | 63.53 |
12 | CXCR5 | 0.0106511 | C-X-C motif chemokine receptor 5 | GTEx | DepMap | Descartes | 0.22 | 18.89 |
13 | POU2AF1 | 0.0106418 | POU class 2 homeobox associating factor 1 | GTEx | DepMap | Descartes | 0.27 | 31.10 |
14 | SMIM14 | 0.0103054 | small integral membrane protein 14 | GTEx | DepMap | Descartes | 1.41 | NA |
15 | HVCN1 | 0.0101424 | hydrogen voltage gated channel 1 | GTEx | DepMap | Descartes | 0.47 | 106.46 |
16 | CD72 | 0.0092896 | CD72 molecule | GTEx | DepMap | Descartes | 0.57 | 159.04 |
17 | EAF2 | 0.0087487 | ELL associated factor 2 | GTEx | DepMap | Descartes | 0.43 | 162.66 |
18 | PNOC | 0.0084936 | prepronociceptin | GTEx | DepMap | Descartes | 0.18 | 61.00 |
19 | BTG1 | 0.0084509 | BTG anti-proliferation factor 1 | GTEx | DepMap | Descartes | 11.95 | 1192.25 |
20 | CD83 | 0.0084405 | CD83 molecule | GTEx | DepMap | Descartes | 2.30 | 478.62 |
21 | SPIB | 0.0082725 | Spi-B transcription factor | GTEx | DepMap | Descartes | 0.66 | 83.11 |
22 | RCSD1 | 0.0081243 | RCSD domain containing 1 | GTEx | DepMap | Descartes | 0.73 | 67.79 |
23 | CD40 | 0.0079653 | CD40 molecule | GTEx | DepMap | Descartes | 0.34 | 84.28 |
24 | ADAM28 | 0.0079438 | ADAM metallopeptidase domain 28 | GTEx | DepMap | Descartes | 0.35 | 25.02 |
25 | BIRC3 | 0.0079279 | baculoviral IAP repeat containing 3 | GTEx | DepMap | Descartes | 1.43 | 88.76 |
26 | GNG7 | 0.0079169 | G protein subunit gamma 7 | GTEx | DepMap | Descartes | 0.42 | 47.47 |
27 | ISG20 | 0.0077322 | interferon stimulated exonuclease gene 20 | GTEx | DepMap | Descartes | 2.21 | 180.65 |
28 | CD52 | 0.0076620 | CD52 molecule | GTEx | DepMap | Descartes | 6.31 | 4472.60 |
29 | RALGPS2 | 0.0076476 | Ral GEF with PH domain and SH3 binding motif 2 | GTEx | DepMap | Descartes | 0.45 | 31.04 |
30 | HERPUD1 | 0.0076388 | homocysteine inducible ER protein with ubiquitin like domain 1 | GTEx | DepMap | Descartes | 2.79 | 410.93 |
31 | GPR18 | 0.0073601 | G protein-coupled receptor 18 | GTEx | DepMap | Descartes | 0.35 | 97.59 |
32 | YBX3 | 0.0073586 | Y-box binding protein 3 | GTEx | DepMap | Descartes | 1.26 | NA |
33 | RGS13 | 0.0072426 | regulator of G protein signaling 13 | GTEx | DepMap | Descartes | 0.33 | 15.60 |
34 | CD74 | 0.0071591 | CD74 molecule | GTEx | DepMap | Descartes | 24.15 | 2967.36 |
35 | LAPTM5 | 0.0071320 | lysosomal protein transmembrane 5 | GTEx | DepMap | Descartes | 3.10 | 616.68 |
36 | NCF1 | 0.0071227 | neutrophil cytosolic factor 1 | GTEx | DepMap | Descartes | 0.84 | 159.35 |
37 | LYN | 0.0069553 | LYN proto-oncogene, Src family tyrosine kinase | GTEx | DepMap | Descartes | 0.49 | 37.60 |
38 | BTK | 0.0069220 | Bruton tyrosine kinase | GTEx | DepMap | Descartes | 0.26 | 46.05 |
39 | CXCR4 | 0.0068006 | C-X-C motif chemokine receptor 4 | GTEx | DepMap | Descartes | 5.49 | 1353.26 |
40 | DAPP1 | 0.0067479 | dual adaptor of phosphotyrosine and 3-phosphoinositides 1 | GTEx | DepMap | Descartes | 0.22 | 33.46 |
41 | CD55 | 0.0067473 | CD55 molecule (Cromer blood group) | GTEx | DepMap | Descartes | 1.29 | 239.60 |
42 | NFKBID | 0.0066069 | NFKB inhibitor delta | GTEx | DepMap | Descartes | 0.77 | 196.83 |
43 | RBM38 | 0.0065452 | RNA binding motif protein 38 | GTEx | DepMap | Descartes | 0.67 | 129.40 |
44 | LAT2 | 0.0063428 | linker for activation of T cells family member 2 | GTEx | DepMap | Descartes | 0.40 | 65.25 |
45 | SP140 | 0.0062902 | SP140 nuclear body protein | GTEx | DepMap | Descartes | 0.27 | 33.93 |
46 | COL19A1 | 0.0059395 | collagen type XIX alpha 1 chain | GTEx | DepMap | Descartes | 0.06 | 3.50 |
47 | RHOH | 0.0058893 | ras homolog family member H | GTEx | DepMap | Descartes | 1.29 | 132.38 |
48 | LRMP | 0.0058850 | NA | GTEx | DepMap | Descartes | 0.33 | 25.65 |
49 | P2RX5 | 0.0058841 | purinergic receptor P2X 5 | GTEx | DepMap | Descartes | 0.32 | 66.38 |
50 | TRIM38 | 0.0057313 | tripartite motif containing 38 | GTEx | DepMap | Descartes | 0.32 | 16.30 |
UMAP plots showing activity of gene expression program identified in GEP 26. Naive B Cell:
CNV Data procured from inferCNV.
Outer tracks are putative CNV regions (gains = red, losses = blue) for each patient
Inner track is expression data representing:
The top cells expressing this GEP (purple)
Random cells (n =50) from the reference set used in inferCNV (orange)
Gene set Enrichments for this program, caculated from top 50 genes
mSigDB Cell Types Gene Set:
P-value | OR | Lower 95% CI | FDR | FWER | Genes Found | Gene Set Size | |
---|---|---|---|---|---|---|---|
TRAVAGLINI_LUNG_B_CELL | 1.58e-52 | 198.97 | 104.47 | 1.06e-49 | 1.06e-49 | 33CD79A, BANK1, CD37, TNFRSF13C, CD22, CD19, VPREB3, BLK, CD79B, PAX5, MEF2C, CXCR5, POU2AF1, SMIM14, HVCN1, CD72, EAF2, PNOC, SPIB, RCSD1, CD40, ADAM28, BIRC3, GNG7, CD52, RALGPS2, CD74, LAPTM5, NCF1, CXCR4, DAPP1, SP140, P2RX5 |
155 |
DURANTE_ADULT_OLFACTORY_NEUROEPITHELIUM_B_CELLS | 1.56e-23 | 198.20 | 85.08 | 2.09e-21 | 1.05e-20 | 13CD79A, BANK1, CD37, TNFRSF13C, VPREB3, CD79B, CD83, BIRC3, CD52, CD74, LAPTM5, CXCR4, NFKBID |
35 |
FAN_EMBRYONIC_CTX_BRAIN_B_CELL | 1.88e-38 | 151.21 | 79.28 | 6.30e-36 | 1.26e-35 | 24CD79A, BANK1, CD37, CD22, CD19, VPREB3, CD79B, PAX5, SMIM14, CD72, BTG1, SPIB, BIRC3, ISG20, CD52, RALGPS2, GPR18, CD74, NCF1, CXCR4, CD55, SP140, RHOH, P2RX5 |
100 |
AIZARANI_LIVER_C34_MHC_II_POS_B_CELLS | 3.81e-37 | 114.23 | 60.94 | 8.53e-35 | 2.56e-34 | 25CD79A, BANK1, CD37, TNFRSF13C, CD22, CD19, VPREB3, CD79B, PAX5, POU2AF1, CD83, SPIB, RCSD1, BIRC3, GNG7, ISG20, CD52, RALGPS2, YBX3, LAPTM5, NCF1, LYN, CXCR4, SP140, P2RX5 |
134 |
HAY_BONE_MARROW_FOLLICULAR_B_CELL | 1.86e-34 | 97.61 | 52.01 | 3.11e-32 | 1.25e-31 | 24CD79A, BANK1, CD37, TNFRSF13C, CD22, CD19, BLK, MEF2C, CXCR5, SMIM14, HVCN1, PNOC, CD83, SPIB, CD40, ADAM28, BIRC3, GNG7, CD52, RALGPS2, NFKBID, SP140, COL19A1, P2RX5 |
142 |
DESCARTES_FETAL_SPLEEN_LYMPHOID_CELLS | 1.67e-22 | 60.17 | 30.41 | 1.60e-20 | 1.12e-19 | 17CD79A, CD37, TNFRSF13C, CD22, VPREB3, BLK, PAX5, CXCR5, POU2AF1, SPIB, CD52, RALGPS2, GPR18, NCF1, SP140, COL19A1, RHOH |
124 |
RUBENSTEIN_SKELETAL_MUSCLE_B_CELLS | 3.22e-18 | 36.52 | 18.44 | 2.70e-16 | 2.16e-15 | 16CD79A, BANK1, CD37, VPREB3, CD79B, HVCN1, EAF2, BTG1, CD83, CD52, CD74, LAPTM5, NCF1, BTK, CXCR4, RHOH |
177 |
GAO_LARGE_INTESTINE_ADULT_CI_MESENCHYMAL_CELLS | 5.06e-23 | 31.53 | 17.07 | 5.66e-21 | 3.39e-20 | 23CD79A, CD37, CD19, VPREB3, BLK, CD79B, MEF2C, POU2AF1, HVCN1, EAF2, PNOC, RCSD1, ADAM28, GNG7, ISG20, CD52, LAPTM5, NCF1, BTK, DAPP1, SP140, RHOH, P2RX5 |
361 |
DESCARTES_MAIN_FETAL_LYMPHOID_CELLS | 2.27e-14 | 30.47 | 14.54 | 1.69e-12 | 1.52e-11 | 13CD79A, CD37, CD22, CD19, VPREB3, BLK, CD79B, PAX5, CXCR5, ISG20, CD52, GPR18, CXCR4 |
157 |
DESCARTES_FETAL_ADRENAL_LYMPHOID_CELLS | 3.68e-14 | 29.25 | 13.97 | 2.24e-12 | 2.47e-11 | 13CD79A, CD19, BLK, CD79B, PAX5, CXCR5, SPIB, BIRC3, ISG20, CD52, GPR18, RHOH, P2RX5 |
163 |
DESCARTES_FETAL_KIDNEY_LYMPHOID_CELLS | 3.17e-14 | 25.16 | 12.34 | 2.13e-12 | 2.13e-11 | 14CD79A, CD19, VPREB3, BLK, CD79B, PAX5, CXCR5, POU2AF1, ISG20, CD52, GPR18, CXCR4, RHOH, P2RX5 |
207 |
DESCARTES_FETAL_PANCREAS_LYMPHOID_CELLS | 1.13e-12 | 25.94 | 12.10 | 6.29e-11 | 7.55e-10 | 12CD79A, CD22, CD19, VPREB3, BLK, CD79B, PAX5, POU2AF1, CD72, GPR18, RHOH, P2RX5 |
164 |
DESCARTES_FETAL_LIVER_LYMPHOID_CELLS | 4.45e-11 | 27.14 | 11.82 | 2.30e-09 | 2.99e-08 | 10CD79A, CD19, VPREB3, BLK, CD79B, PAX5, POU2AF1, CD72, SPIB, P2RX5 |
125 |
DESCARTES_FETAL_LUNG_LYMPHOID_CELLS | 4.18e-10 | 21.24 | 9.30 | 2.00e-08 | 2.81e-07 | 10CD79A, CD19, VPREB3, BLK, CD79B, PAX5, CXCR5, CD52, RHOH, P2RX5 |
157 |
DESCARTES_FETAL_HEART_LYMPHOID_CELLS | 9.97e-09 | 23.32 | 9.23 | 3.93e-07 | 6.69e-06 | 8CD19, VPREB3, BLK, CD79B, PAX5, POU2AF1, ISG20, CD52 |
110 |
AIZARANI_LIVER_C8_RESIDENT_B_CELLS_1 | 1.05e-05 | 34.98 | 8.63 | 2.62e-04 | 7.08e-03 | 4CD79A, POU2AF1, ISG20, HERPUD1 |
35 |
DESCARTES_FETAL_EYE_MICROGLIA | 6.18e-09 | 19.31 | 8.10 | 2.59e-07 | 4.15e-06 | 9BANK1, CD37, CD83, ADAM28, CD74, LAPTM5, LAT2, SP140, RHOH |
151 |
AIZARANI_LIVER_C38_RESIDENT_B_CELLS_3 | 9.91e-05 | 39.79 | 7.33 | 1.75e-03 | 6.65e-02 | 3CD79A, POU2AF1, HERPUD1 |
23 |
DESCARTES_FETAL_INTESTINE_LYMPHOID_CELLS | 2.19e-07 | 15.26 | 6.09 | 6.68e-06 | 1.47e-04 | 8CD79A, VPREB3, BLK, CD79B, PAX5, CXCR5, CD52, GPR18 |
164 |
DURANTE_ADULT_OLFACTORY_NEUROEPITHELIUM_MACROPHAGES | 1.62e-05 | 18.27 | 5.51 | 3.88e-04 | 1.09e-02 | 5CD83, HERPUD1, CD74, LAPTM5, CXCR4 |
81 |
Dowload full table
mSigDB Hallmark Gene Sets:
P-value | OR | Lower 95% CI | FDR | FWER | Genes Found | Gene Set Size | |
---|---|---|---|---|---|---|---|
HALLMARK_INTERFERON_GAMMA_RESPONSE | 1.24e-04 | 8.78 | 3.02 | 6.18e-03 | 6.18e-03 | 6BANK1, BTG1, CD40, ISG20, GPR18, CD74 |
200 |
HALLMARK_KRAS_SIGNALING_UP | 1.08e-03 | 7.12 | 2.18 | 2.70e-02 | 5.40e-02 | 5CD37, BIRC3, LAPTM5, CXCR4, LAT2 |
200 |
HALLMARK_ALLOGRAFT_REJECTION | 7.71e-03 | 5.55 | 1.44 | 1.28e-01 | 3.85e-01 | 4CD79A, CD40, CD74, LYN |
200 |
HALLMARK_IL2_STAT5_SIGNALING | 4.30e-02 | 4.07 | 0.80 | 3.11e-01 | 1.00e+00 | 3CD79B, CD83, RHOH |
199 |
HALLMARK_TNFA_SIGNALING_VIA_NFKB | 4.35e-02 | 4.05 | 0.80 | 3.11e-01 | 1.00e+00 | 3BTG1, CD83, BIRC3 |
200 |
HALLMARK_HYPOXIA | 4.35e-02 | 4.05 | 0.80 | 3.11e-01 | 1.00e+00 | 3BTG1, ISG20, CXCR4 |
200 |
HALLMARK_INFLAMMATORY_RESPONSE | 4.35e-02 | 4.05 | 0.80 | 3.11e-01 | 1.00e+00 | 3CD40, LYN, CD55 |
200 |
HALLMARK_INTERFERON_ALPHA_RESPONSE | 5.62e-02 | 5.48 | 0.64 | 3.52e-01 | 1.00e+00 | 2ISG20, CD74 |
97 |
HALLMARK_PI3K_AKT_MTOR_SIGNALING | 6.46e-02 | 5.06 | 0.59 | 3.59e-01 | 1.00e+00 | 2CXCR4, DAPP1 |
105 |
HALLMARK_UV_RESPONSE_UP | 1.28e-01 | 3.34 | 0.39 | 6.00e-01 | 1.00e+00 | 2BTG1, LYN |
158 |
HALLMARK_APOPTOSIS | 1.32e-01 | 3.28 | 0.38 | 6.00e-01 | 1.00e+00 | 2BIRC3, ISG20 |
161 |
HALLMARK_COMPLEMENT | 1.85e-01 | 2.63 | 0.31 | 6.16e-01 | 1.00e+00 | 2LYN, CD55 |
200 |
HALLMARK_MTORC1_SIGNALING | 1.85e-01 | 2.63 | 0.31 | 6.16e-01 | 1.00e+00 | 2CXCR4, DAPP1 |
200 |
HALLMARK_GLYCOLYSIS | 1.85e-01 | 2.63 | 0.31 | 6.16e-01 | 1.00e+00 | 2ISG20, CXCR4 |
200 |
HALLMARK_APICAL_SURFACE | 1.61e-01 | 5.93 | 0.14 | 6.16e-01 | 1.00e+00 | 1LYN |
44 |
HALLMARK_UNFOLDED_PROTEIN_RESPONSE | 3.62e-01 | 2.28 | 0.06 | 1.00e+00 | 1.00e+00 | 1HERPUD1 |
113 |
HALLMARK_ESTROGEN_RESPONSE_LATE | 5.47e-01 | 1.28 | 0.03 | 1.00e+00 | 1.00e+00 | 1ISG20 |
200 |
HALLMARK_MYOGENESIS | 5.47e-01 | 1.28 | 0.03 | 1.00e+00 | 1.00e+00 | 1MEF2C |
200 |
HALLMARK_P53_PATHWAY | 5.47e-01 | 1.28 | 0.03 | 1.00e+00 | 1.00e+00 | 1BTG1 |
200 |
HALLMARK_HEME_METABOLISM | 5.47e-01 | 1.28 | 0.03 | 1.00e+00 | 1.00e+00 | 1RBM38 |
200 |
Dowload full table
KEGG Pathways:
P-value | OR | Lower 95% CI | FDR | FWER | Genes Found | Gene Set Size | |
---|---|---|---|---|---|---|---|
KEGG_B_CELL_RECEPTOR_SIGNALING_PATHWAY | 4.65e-10 | 35.48 | 13.86 | 8.65e-08 | 8.65e-08 | 8CD79A, CD22, CD19, CD79B, CD72, LYN, BTK, DAPP1 |
75 |
KEGG_PRIMARY_IMMUNODEFICIENCY | 2.39e-07 | 46.13 | 13.38 | 2.23e-05 | 4.45e-05 | 5CD79A, TNFRSF13C, CD19, CD40, BTK |
35 |
KEGG_INTESTINAL_IMMUNE_NETWORK_FOR_IGA_PRODUCTION | 8.97e-04 | 17.71 | 3.40 | 3.34e-02 | 1.67e-01 | 3TNFRSF13C, CD40, CXCR4 |
48 |
KEGG_HEMATOPOIETIC_CELL_LINEAGE | 3.79e-04 | 13.08 | 3.35 | 2.35e-02 | 7.05e-02 | 4CD37, CD22, CD19, CD55 |
87 |
KEGG_CHEMOKINE_SIGNALING_PATHWAY | 8.41e-04 | 7.55 | 2.31 | 3.34e-02 | 1.56e-01 | 5CXCR5, GNG7, NCF1, LYN, CXCR4 |
189 |
KEGG_LEUKOCYTE_TRANSENDOTHELIAL_MIGRATION | 1.07e-02 | 7.06 | 1.39 | 3.33e-01 | 1.00e+00 | 3NCF1, CXCR4, RHOH |
116 |
KEGG_CYTOKINE_CYTOKINE_RECEPTOR_INTERACTION | 1.96e-02 | 4.16 | 1.08 | 5.20e-01 | 1.00e+00 | 4TNFRSF13C, CXCR5, CD40, CXCR4 |
265 |
KEGG_VIRAL_MYOCARDITIS | 3.13e-02 | 7.66 | 0.88 | 7.28e-01 | 1.00e+00 | 2CD40, CD55 |
70 |
KEGG_FC_EPSILON_RI_SIGNALING_PATHWAY | 3.90e-02 | 6.76 | 0.78 | 8.06e-01 | 1.00e+00 | 2LYN, BTK |
79 |
KEGG_FC_GAMMA_R_MEDIATED_PHAGOCYTOSIS | 5.52e-02 | 5.54 | 0.64 | 1.00e+00 | 1.00e+00 | 2NCF1, LYN |
96 |
KEGG_CELL_ADHESION_MOLECULES_CAMS | 9.66e-02 | 3.98 | 0.46 | 1.00e+00 | 1.00e+00 | 2CD22, CD40 |
133 |
KEGG_ASTHMA | 1.13e-01 | 8.79 | 0.21 | 1.00e+00 | 1.00e+00 | 1CD40 |
30 |
KEGG_ALLOGRAFT_REJECTION | 1.37e-01 | 7.08 | 0.17 | 1.00e+00 | 1.00e+00 | 1CD40 |
37 |
KEGG_AUTOIMMUNE_THYROID_DISEASE | 1.87e-01 | 5.00 | 0.12 | 1.00e+00 | 1.00e+00 | 1CD40 |
52 |
KEGG_NOD_LIKE_RECEPTOR_SIGNALING_PATHWAY | 2.19e-01 | 4.18 | 0.10 | 1.00e+00 | 1.00e+00 | 1BIRC3 |
62 |
KEGG_EPITHELIAL_CELL_SIGNALING_IN_HELICOBACTER_PYLORI_INFECTION | 2.37e-01 | 3.81 | 0.09 | 1.00e+00 | 1.00e+00 | 1LYN |
68 |
KEGG_COMPLEMENT_AND_COAGULATION_CASCADES | 2.40e-01 | 3.75 | 0.09 | 1.00e+00 | 1.00e+00 | 1CD55 |
69 |
KEGG_LONG_TERM_DEPRESSION | 2.43e-01 | 3.70 | 0.09 | 1.00e+00 | 1.00e+00 | 1LYN |
70 |
KEGG_LEISHMANIA_INFECTION | 2.49e-01 | 3.59 | 0.09 | 1.00e+00 | 1.00e+00 | 1NCF1 |
72 |
KEGG_SMALL_CELL_LUNG_CANCER | 2.84e-01 | 3.07 | 0.08 | 1.00e+00 | 1.00e+00 | 1BIRC3 |
84 |
Dowload full table
CHR Positional Gene Sets:
P-value | OR | Lower 95% CI | FDR | FWER | Genes Found | Gene Set Size | |
---|---|---|---|---|---|---|---|
chr4p14 | 2.66e-02 | 8.40 | 0.97 | 1.00e+00 | 1.00e+00 | 2SMIM14, RHOH |
64 |
chr8p21 | 9.06e-02 | 4.13 | 0.48 | 1.00e+00 | 1.00e+00 | 2PNOC, ADAM28 |
128 |
chr6p23 | 5.81e-02 | 18.20 | 0.42 | 1.00e+00 | 1.00e+00 | 1CD83 |
15 |
chr19q13 | 6.12e-01 | 1.20 | 0.37 | 1.00e+00 | 1.00e+00 | 5CD79A, CD37, CD22, SPIB, NFKBID |
1165 |
chr9p13 | 1.44e-01 | 3.10 | 0.36 | 1.00e+00 | 1.00e+00 | 2PAX5, CD72 |
170 |
chr11q23 | 1.92e-01 | 2.57 | 0.30 | 1.00e+00 | 1.00e+00 | 2CXCR5, POU2AF1 |
205 |
chr7q11 | 2.60e-01 | 2.08 | 0.24 | 1.00e+00 | 1.00e+00 | 2NCF1, LAT2 |
253 |
chr16q13 | 1.47e-01 | 6.54 | 0.16 | 1.00e+00 | 1.00e+00 | 1HERPUD1 |
40 |
chr20q13 | 6.68e-01 | 1.31 | 0.15 | 1.00e+00 | 1.00e+00 | 2CD40, RBM38 |
400 |
chr4q24 | 2.00e-01 | 4.64 | 0.11 | 1.00e+00 | 1.00e+00 | 1BANK1 |
56 |
chr6q13 | 2.00e-01 | 4.64 | 0.11 | 1.00e+00 | 1.00e+00 | 1COL19A1 |
56 |
chr2q22 | 2.37e-01 | 3.81 | 0.09 | 1.00e+00 | 1.00e+00 | 1CXCR4 |
68 |
chr1q31 | 2.46e-01 | 3.64 | 0.09 | 1.00e+00 | 1.00e+00 | 1RGS13 |
71 |
chr8q12 | 2.95e-01 | 2.93 | 0.07 | 1.00e+00 | 1.00e+00 | 1LYN |
88 |
chr13q32 | 3.15e-01 | 2.71 | 0.07 | 1.00e+00 | 1.00e+00 | 1GPR18 |
95 |
chr11q22 | 3.23e-01 | 2.63 | 0.06 | 1.00e+00 | 1.00e+00 | 1BIRC3 |
98 |
chr5q33 | 3.52e-01 | 2.36 | 0.06 | 1.00e+00 | 1.00e+00 | 1CD74 |
109 |
chr17q23 | 3.59e-01 | 2.30 | 0.06 | 1.00e+00 | 1.00e+00 | 1CD79B |
112 |
chr1q24 | 3.87e-01 | 2.09 | 0.05 | 1.00e+00 | 1.00e+00 | 1RCSD1 |
123 |
chr12q21 | 3.99e-01 | 2.01 | 0.05 | 1.00e+00 | 1.00e+00 | 1BTG1 |
128 |
Dowload full table
Transcription Factor Targets:
P-value | OR | Lower 95% CI | FDR | FWER | Genes Found | Gene Set Size | |
---|---|---|---|---|---|---|---|
MAML1_TARGET_GENES | 1.79e-09 | 13.16 | 6.20 | 2.03e-06 | 2.03e-06 | 12CD37, CD19, BLK, CD79B, CXCR5, POU2AF1, CD72, SPIB, BIRC3, GPR18, P2RX5, TRIM38 |
312 |
OCT1_B | 7.66e-05 | 7.77 | 2.92 | 2.89e-02 | 8.67e-02 | 7VPREB3, CD79B, EAF2, SPIB, RGS13, LYN, BTK |
269 |
ZNF597_TARGET_GENES | 6.73e-05 | 4.57 | 2.16 | 2.89e-02 | 7.63e-02 | 12BANK1, CD37, BLK, MEF2C, CD72, CD83, BIRC3, ISG20, CD55, NFKBID, SP140, RHOH |
877 |
NFKAPPAB_01 | 3.07e-03 | 5.56 | 1.71 | 3.45e-01 | 1.00e+00 | 5CXCR5, CD83, CD40, BIRC3, NFKBID |
255 |
BACH2_TARGET_GENES | 2.24e-04 | 3.25 | 1.70 | 6.36e-02 | 2.54e-01 | 17CD79A, BANK1, MEF2C, CXCR5, POU2AF1, SMIM14, CD72, ADAM28, BIRC3, ISG20, HERPUD1, YBX3, LYN, BTK, SP140, RHOH, TRIM38 |
1998 |
NFKB_Q6 | 3.23e-03 | 5.49 | 1.69 | 3.45e-01 | 1.00e+00 | 5CXCR5, CD83, SPIB, CD40, NFKBID |
258 |
OCT_Q6 | 3.73e-03 | 5.30 | 1.63 | 3.52e-01 | 1.00e+00 | 5VPREB3, EAF2, SPIB, LYN, BTK |
267 |
RYTTCCTG_ETS2_B | 1.92e-03 | 3.20 | 1.48 | 3.11e-01 | 1.00e+00 | 11CD79A, CD19, MEF2C, SPIB, CD40, GPR18, LYN, BTK, DAPP1, NFKBID, RHOH |
1112 |
TERF1_TARGET_GENES | 5.62e-03 | 4.79 | 1.47 | 4.55e-01 | 1.00e+00 | 5BANK1, CD22, MEF2C, ISG20, CD74 |
295 |
WRNIP1_TARGET_GENES | 3.12e-03 | 3.16 | 1.40 | 3.45e-01 | 1.00e+00 | 10TNFRSF13C, CD19, BLK, POU2AF1, BTG1, ADAM28, CXCR4, DAPP1, RBM38, P2RX5 |
1000 |
CCCNNGGGAR_OLF1_01 | 8.42e-03 | 4.33 | 1.33 | 5.27e-01 | 1.00e+00 | 5CD79B, POU2AF1, CD72, SPIB, NFKBID |
326 |
POU2AF1_TARGET_GENES | 6.24e-03 | 3.01 | 1.28 | 4.72e-01 | 1.00e+00 | 9BANK1, CD37, VPREB3, CD79B, MEF2C, POU2AF1, CD72, LYN, RHOH |
922 |
NFKB_Q6_01 | 1.36e-02 | 4.67 | 1.21 | 5.47e-01 | 1.00e+00 | 4CXCR5, CD40, BIRC3, NFKBID |
237 |
GGGNNTTTCC_NFKB_Q6_01 | 1.57e-02 | 6.09 | 1.20 | 5.47e-01 | 1.00e+00 | 3CXCR5, BIRC3, CD74 |
134 |
TEL2_Q6 | 1.42e-02 | 4.61 | 1.19 | 5.47e-01 | 1.00e+00 | 4CD79A, SPIB, LYN, DAPP1 |
240 |
NFKAPPAB65_01 | 1.44e-02 | 4.59 | 1.19 | 5.47e-01 | 1.00e+00 | 4CXCR5, CD40, BIRC3, NFKBID |
241 |
ETS_Q4 | 1.66e-02 | 4.38 | 1.14 | 5.47e-01 | 1.00e+00 | 4CD79A, SPIB, LYN, NFKBID |
252 |
ISRE_01 | 1.69e-02 | 4.37 | 1.13 | 5.47e-01 | 1.00e+00 | 4MEF2C, GPR18, CXCR4, DAPP1 |
253 |
ICSBP_Q6 | 1.69e-02 | 4.37 | 1.13 | 5.47e-01 | 1.00e+00 | 4BANK1, CXCR4, DAPP1, SP140 |
253 |
NERF_Q2 | 1.71e-02 | 4.35 | 1.13 | 5.47e-01 | 1.00e+00 | 4CD79A, CD79B, SPIB, LYN |
254 |
Dowload full table
GO Biological Processes:
P-value | OR | Lower 95% CI | FDR | FWER | Genes Found | Gene Set Size | |
---|---|---|---|---|---|---|---|
GOBP_REGULATION_OF_B_CELL_PROLIFERATION | 8.54e-11 | 44.85 | 17.35 | 1.28e-07 | 6.39e-07 | 8TNFRSF13C, CD22, BLK, MEF2C, CD40, CD74, LYN, BTK |
61 |
GOBP_REGULATION_OF_B_CELL_RECEPTOR_SIGNALING_PATHWAY | 7.42e-08 | 60.20 | 17.12 | 3.70e-05 | 5.55e-04 | 5CD22, CD19, BLK, PAX5, LYN |
28 |
GOBP_REGULATION_OF_B_CELL_APOPTOTIC_PROCESS | 8.22e-07 | 72.18 | 16.80 | 2.67e-04 | 6.15e-03 | 4BLK, CD74, LYN, BTK |
19 |
GOBP_B_CELL_PROLIFERATION | 3.15e-12 | 36.29 | 15.67 | 7.85e-09 | 2.36e-08 | 10CD79A, TNFRSF13C, CD22, CD19, BLK, MEF2C, CD40, CD74, LYN, BTK |
96 |
GOBP_NEGATIVE_REGULATION_OF_B_CELL_ACTIVATION | 1.76e-07 | 49.45 | 14.27 | 7.32e-05 | 1.32e-03 | 5BANK1, BLK, LAPTM5, LYN, BTK |
33 |
GOBP_MAST_CELL_PROLIFERATION | 1.54e-04 | 172.68 | 14.09 | 1.92e-02 | 1.00e+00 | 2BLK, LYN |
5 |
GOBP_B_CELL_APOPTOTIC_PROCESS | 2.63e-06 | 51.58 | 12.40 | 8.02e-04 | 1.97e-02 | 4BLK, CD74, LYN, BTK |
25 |
GOBP_B_CELL_RECEPTOR_SIGNALING_PATHWAY | 5.21e-11 | 26.68 | 11.62 | 9.75e-08 | 3.90e-07 | 10CD79A, CD22, CD19, BLK, CD79B, PAX5, MEF2C, LYN, BTK, LAT2 |
127 |
GOBP_TOLERANCE_INDUCTION_TO_SELF_ANTIGEN | 2.31e-04 | 129.66 | 11.45 | 2.62e-02 | 1.00e+00 | 2BLK, LYN |
6 |
GOBP_NEGATIVE_REGULATION_OF_B_CELL_PROLIFERATION | 3.88e-05 | 56.82 | 10.14 | 6.74e-03 | 2.90e-01 | 3BLK, LYN, BTK |
17 |
GOBP_B_CELL_ACTIVATION | 3.22e-14 | 19.42 | 9.90 | 2.41e-10 | 2.41e-10 | 16CD79A, BANK1, TNFRSF13C, CD22, CD19, BLK, CD79B, MEF2C, CXCR5, POU2AF1, CD40, CD74, LAPTM5, LYN, BTK, LAT2 |
319 |
GOBP_HISTAMINE_PRODUCTION_INVOLVED_IN_INFLAMMATORY_RESPONSE | 3.22e-04 | 103.49 | 9.64 | 3.40e-02 | 1.00e+00 | 2LYN, BTK |
7 |
GOBP_REGULATION_OF_ANTIGEN_RECEPTOR_MEDIATED_SIGNALING_PATHWAY | 2.16e-07 | 28.38 | 9.52 | 8.50e-05 | 1.61e-03 | 6CD22, CD19, BLK, PAX5, LAPTM5, LYN |
66 |
GOBP_REGULATION_OF_B_CELL_ACTIVATION | 1.09e-10 | 20.14 | 9.15 | 1.36e-07 | 8.17e-07 | 11BANK1, TNFRSF13C, CD22, CD19, BLK, MEF2C, CD40, CD74, LAPTM5, LYN, BTK |
186 |
GOBP_MAST_CELL_ACTIVATION | 3.70e-06 | 25.20 | 7.53 | 1.03e-03 | 2.77e-02 | 5BLK, LYN, BTK, LAT2, RHOH |
60 |
GOBP_POSITIVE_REGULATION_OF_B_CELL_PROLIFERATION | 1.81e-05 | 30.14 | 7.49 | 4.11e-03 | 1.35e-01 | 4TNFRSF13C, MEF2C, CD40, CD74 |
40 |
GOBP_POSITIVE_REGULATION_OF_MACROPHAGE_CYTOKINE_PRODUCTION | 5.49e-04 | 74.10 | 7.33 | 5.14e-02 | 1.00e+00 | 2CD74, LAPTM5 |
9 |
GOBP_POSITIVE_REGULATION_OF_LEUKOCYTE_APOPTOTIC_PROCESS | 1.44e-04 | 34.58 | 6.44 | 1.83e-02 | 1.00e+00 | 3BLK, MEF2C, LYN |
26 |
GOBP_MAST_CELL_ACTIVATION_INVOLVED_IN_IMMUNE_RESPONSE | 3.46e-05 | 25.26 | 6.32 | 6.30e-03 | 2.58e-01 | 4BLK, LYN, BTK, LAT2 |
47 |
GOBP_LYMPHOCYTE_ACTIVATION | 6.96e-13 | 11.51 | 6.16 | 2.60e-09 | 5.20e-09 | 20CD79A, BANK1, TNFRSF13C, CD22, CD19, BLK, CD79B, MEF2C, CXCR5, POU2AF1, CD83, CD40, CD74, LAPTM5, LYN, BTK, CD55, NFKBID, LAT2, RHOH |
745 |
Dowload full table
Immunological Gene Sets:
P-value | OR | Lower 95% CI | FDR | FWER | Genes Found | Gene Set Size | |
---|---|---|---|---|---|---|---|
GSE10325_CD4_TCELL_VS_BCELL_DN | 6.82e-33 | 73.90 | 39.82 | 3.32e-29 | 3.32e-29 | 25CD79A, BANK1, CD22, CD19, VPREB3, BLK, CD79B, PAX5, MEF2C, CXCR5, POU2AF1, CD72, EAF2, PNOC, CD83, SPIB, CD40, ADAM28, GNG7, YBX3, LYN, BTK, LAT2, SP140, P2RX5 |
194 |
GSE10325_LUPUS_CD4_TCELL_VS_LUPUS_BCELL_DN | 5.49e-31 | 67.56 | 36.29 | 1.34e-27 | 2.68e-27 | 24CD79A, BANK1, CD37, CD22, CD19, VPREB3, BLK, CD79B, PAX5, MEF2C, POU2AF1, CD72, EAF2, PNOC, SPIB, CD40, ADAM28, GNG7, YBX3, CD74, LYN, BTK, LAT2, P2RX5 |
195 |
GSE29618_BCELL_VS_PDC_DAY7_FLU_VACCINE_UP | 1.68e-27 | 57.39 | 30.62 | 2.58e-24 | 8.19e-24 | 22CD79A, BANK1, CD37, CD22, CD19, VPREB3, CD79B, PAX5, POU2AF1, CD72, EAF2, BTG1, CD83, ADAM28, BIRC3, CD52, GPR18, YBX3, CD55, LAT2, SP140, P2RX5 |
193 |
GSE29618_BCELL_VS_PDC_UP | 2.12e-27 | 56.68 | 30.26 | 2.58e-24 | 1.03e-23 | 22CD79A, BANK1, CD37, CD22, CD19, CD79B, PAX5, CXCR5, POU2AF1, CD72, BTG1, CD83, ADAM28, BIRC3, ISG20, YBX3, LAPTM5, CD55, LAT2, SP140, RHOH, P2RX5 |
195 |
GSE29618_BCELL_VS_MDC_DAY7_FLU_VACCINE_UP | 7.43e-26 | 53.20 | 28.25 | 7.24e-23 | 3.62e-22 | 21CD79A, BANK1, CD37, CD22, CD19, VPREB3, BLK, CD79B, PAX5, CXCR5, POU2AF1, EAF2, PNOC, BTG1, CD83, ADAM28, BIRC3, GPR18, SP140, RHOH, P2RX5 |
191 |
GSE29618_BCELL_VS_MONOCYTE_DAY7_FLU_VACCINE_UP | 1.16e-25 | 51.96 | 27.59 | 9.41e-23 | 5.65e-22 | 21CD79A, BANK1, CD37, CD22, CD19, VPREB3, BLK, CD79B, PAX5, POU2AF1, CD72, EAF2, PNOC, BTG1, ADAM28, BIRC3, GNG7, GPR18, SP140, RHOH, P2RX5 |
195 |
GSE29618_BCELL_VS_MDC_UP | 4.72e-24 | 48.19 | 25.37 | 3.28e-21 | 2.30e-20 | 20CD79A, BANK1, CD37, CD22, CD19, BLK, CD79B, PAX5, CXCR5, POU2AF1, CD72, PNOC, BTG1, ADAM28, BIRC3, ISG20, GPR18, SP140, RHOH, P2RX5 |
193 |
GSE10325_BCELL_VS_MYELOID_UP | 6.45e-24 | 47.33 | 24.95 | 3.93e-21 | 3.14e-20 | 20CD79A, BANK1, CD22, CD19, VPREB3, CD79B, PAX5, CXCR5, POU2AF1, CD72, EAF2, PNOC, SPIB, BIRC3, GNG7, ISG20, GPR18, SP140, RHOH, P2RX5 |
196 |
GSE29618_BCELL_VS_MONOCYTE_UP | 2.42e-22 | 43.76 | 22.88 | 1.31e-19 | 1.18e-18 | 19CD79A, BANK1, CD37, CD22, CD19, CD79B, PAX5, CXCR5, POU2AF1, CD72, PNOC, BTG1, ADAM28, BIRC3, GNG7, ISG20, CXCR4, SP140, P2RX5 |
194 |
GSE23568_ID3_KO_VS_WT_CD8_TCELL_DN | 6.65e-19 | 35.18 | 18.04 | 3.24e-16 | 3.24e-15 | 17CD37, CD22, CD19, BLK, CD79B, MEF2C, CXCR5, POU2AF1, CD72, CD83, SPIB, CD40, RALGPS2, LYN, BTK, CXCR4, LAT2 |
200 |
GSE4984_UNTREATED_VS_GALECTIN1_TREATED_DC_DN | 1.09e-17 | 33.60 | 16.99 | 4.82e-15 | 5.31e-14 | 16CD79A, BANK1, CD22, CD19, VPREB3, CD79B, CXCR5, POU2AF1, HVCN1, CD72, PNOC, CD83, SPIB, RALGPS2, RHOH, P2RX5 |
191 |
GSE16266_LPS_VS_HEATSHOCK_AND_LPS_STIM_MEF_UP | 2.09e-17 | 32.12 | 16.26 | 8.49e-15 | 1.02e-13 | 16CD79A, TNFRSF13C, CD22, CD19, BLK, CD79B, MEF2C, CXCR5, POU2AF1, CD72, CD83, SPIB, CD40, BIRC3, CD74, BTK |
199 |
GSE33424_CD161_HIGH_VS_NEG_CD8_TCELL_UP | 2.27e-17 | 31.95 | 16.17 | 8.49e-15 | 1.10e-13 | 16CD22, CD19, BLK, CD79B, MEF2C, CXCR5, POU2AF1, CD72, CD83, SPIB, CD40, BIRC3, RALGPS2, CD74, LYN, BTK |
200 |
GSE32901_NAIVE_VS_TH17_NEG_CD4_TCELL_UP | 2.27e-15 | 30.94 | 15.10 | 6.50e-13 | 1.10e-11 | 14CD79A, BANK1, TNFRSF13C, CD22, CD19, BLK, CD79B, MEF2C, CD83, SPIB, RALGPS2, CD74, LYN, LAT2 |
171 |
GSE22886_NAIVE_BCELL_VS_MONOCYTE_UP | 5.62e-16 | 29.42 | 14.66 | 1.83e-13 | 2.74e-12 | 15CD79A, BANK1, CD22, CD19, VPREB3, CD79B, PAX5, POU2AF1, CD72, PNOC, SPIB, GPR18, CXCR4, SP140, P2RX5 |
197 |
GSE3982_MEMORY_CD4_TCELL_VS_BCELL_DN | 5.62e-16 | 29.42 | 14.66 | 1.83e-13 | 2.74e-12 | 15BANK1, CD79B, PAX5, MEF2C, POU2AF1, CD72, EAF2, SPIB, GNG7, ISG20, YBX3, CD74, LYN, LAT2, P2RX5 |
197 |
GSE22886_NAIVE_BCELL_VS_NEUTROPHIL_UP | 6.53e-16 | 29.09 | 14.50 | 1.99e-13 | 3.18e-12 | 15CD79A, BANK1, CD22, CD19, VPREB3, CD79B, POU2AF1, CD72, CD83, SPIB, CD52, GPR18, CD74, RBM38, P2RX5 |
199 |
GSE10325_LUPUS_BCELL_VS_LUPUS_MYELOID_UP | 1.30e-14 | 27.00 | 13.21 | 3.52e-12 | 6.34e-11 | 14CD79A, BANK1, CD19, VPREB3, CD79B, PAX5, POU2AF1, CD72, PNOC, SPIB, GNG7, SP140, RHOH, P2RX5 |
194 |
GSE33425_CD8_ALPHAALPHA_VS_ALPHABETA_CD161_HIGH_TCELL_UP | 1.98e-14 | 26.13 | 12.79 | 5.07e-12 | 9.64e-11 | 14CD79A, CD22, CD19, CD79B, MEF2C, POU2AF1, SMIM14, CD72, SPIB, CD40, RALGPS2, CD74, LYN, BTK |
200 |
GSE4748_CYANOBACTERIUM_LPSLIKE_VS_LPS_AND_CYANOBACTERIUM_LPSLIKE_STIM_DC_3H_UP | 3.42e-13 | 24.24 | 11.63 | 8.32e-11 | 1.66e-09 | 13CD79A, BANK1, CD22, BLK, CD79B, PAX5, MEF2C, CXCR5, CD72, PNOC, CD83, SPIB, P2RX5 |
194 |
Top Ranked Transcription Factors for this Gene Expression Program:
Gene Symbol | TF Rank | DNA Binding Domain | Motif Status | IUPAC PWM | GTEx | DepMap | Decartes |
---|---|---|---|---|---|---|---|
PAX5 | 10 | Yes | Known motif | Monomer or homomultimer | High-throughput in vitro | None | PDB:1K78 is a PAX5:ETS1 heterodimer |
MEF2C | 11 | Yes | Known motif | Monomer or homomultimer | High-throughput in vitro | None | None |
POU2AF1 | 13 | Yes | Known motif | Obligate heteromer | In vivo/Misc source | Only known motifs are from Transfac or HocoMoco - origin is uncertain | Requires POU2F1 to bind DNA. In the crystal structure (PDB:1CQT), POU2AF1 contacts both the POU2F1 and DNA major groove |
EAF2 | 17 | No | Unlikely to be sequence specific TF | Not a DNA binding protein | No motif | None | No convincing evidence that this protein binds DNA with any sequence specificity, or that this activity is required for its function. Thus at best the current evidence is that it is a cofactor of some sort cofactor (PMID: 12446457) |
SPIB | 21 | Yes | Known motif | Monomer or homomultimer | High-throughput in vitro | None | None |
CD40 | 23 | No | Unlikely to be sequence specific TF | Not a DNA binding protein | No motif | None | Cell surface receptor of TNF-family |
YBX3 | 32 | Yes | Known motif | Monomer or homomultimer | 100 perc ID - in vitro | None | Identical DBD to YBX1. Might also bind RNA. |
BTK | 38 | No | Unlikely to be sequence specific TF | Not a DNA binding protein | No motif | None | Involved in the regulation of ARID3A and NFAT in B lymphocyte development; has been thoroughly investigated, but there is no evidence to demonstrate DNA binding activity (see UniProt Q06187) |
NFKBID | 42 | No | Unlikely to be sequence specific TF | Not a DNA binding protein | No motif | None | None |
SP140 | 45 | Yes | Likely to be sequence specific TF | Monomer or homomultimer | No motif | None | None |
TRIM38 | 50 | No | Unlikely to be sequence specific TF | Not a DNA binding protein | No motif | None | None |
PKHD1L1 | 58 | No | Unlikely to be sequence specific TF | Not a DNA binding protein | No motif | None | Membrane receptor (PMID: 12620974) |
SP110 | 66 | Yes | Likely to be sequence specific TF | Monomer or homomultimer | No motif | None | None |
CIITA | 70 | No | Unlikely to be sequence specific TF | Not a DNA binding protein | No motif | None | Chromatin modifier |
SP100 | 74 | Yes | Likely to be sequence specific TF | Monomer or homomultimer | No motif | None | Gel-shift experiments using human SP100 have shown binding to specific TTCG half sites (PMID: 11427895). |
TSC22D3 | 80 | No | Unlikely to be sequence specific TF | Not a DNA binding protein | No motif | None | There is some evidence that a related protein (TSC22D1) binds DNA specifically - thus, it is possible this is also a TF. |
HHEX | 81 | Yes | Inferred motif | Monomer or homomultimer | High-throughput in vitro | None | None |
LYL1 | 82 | Yes | Inferred motif | Obligate heteromer | In vivo/Misc source | None | TAL1, TAL2 and LYL are very similar and have a basic region with a bulky tryptophan inserting into the cluster of the basic residues. Binds DNA as a heterodimer with TCF3 (PDB:2YPB and PDB:2YPA). |
ELF1 | 87 | Yes | Known motif | Monomer or homomultimer | High-throughput in vitro | None | None |
KLF2 | 88 | Yes | Known motif | Monomer or homomultimer | High-throughput in vitro | None | None |
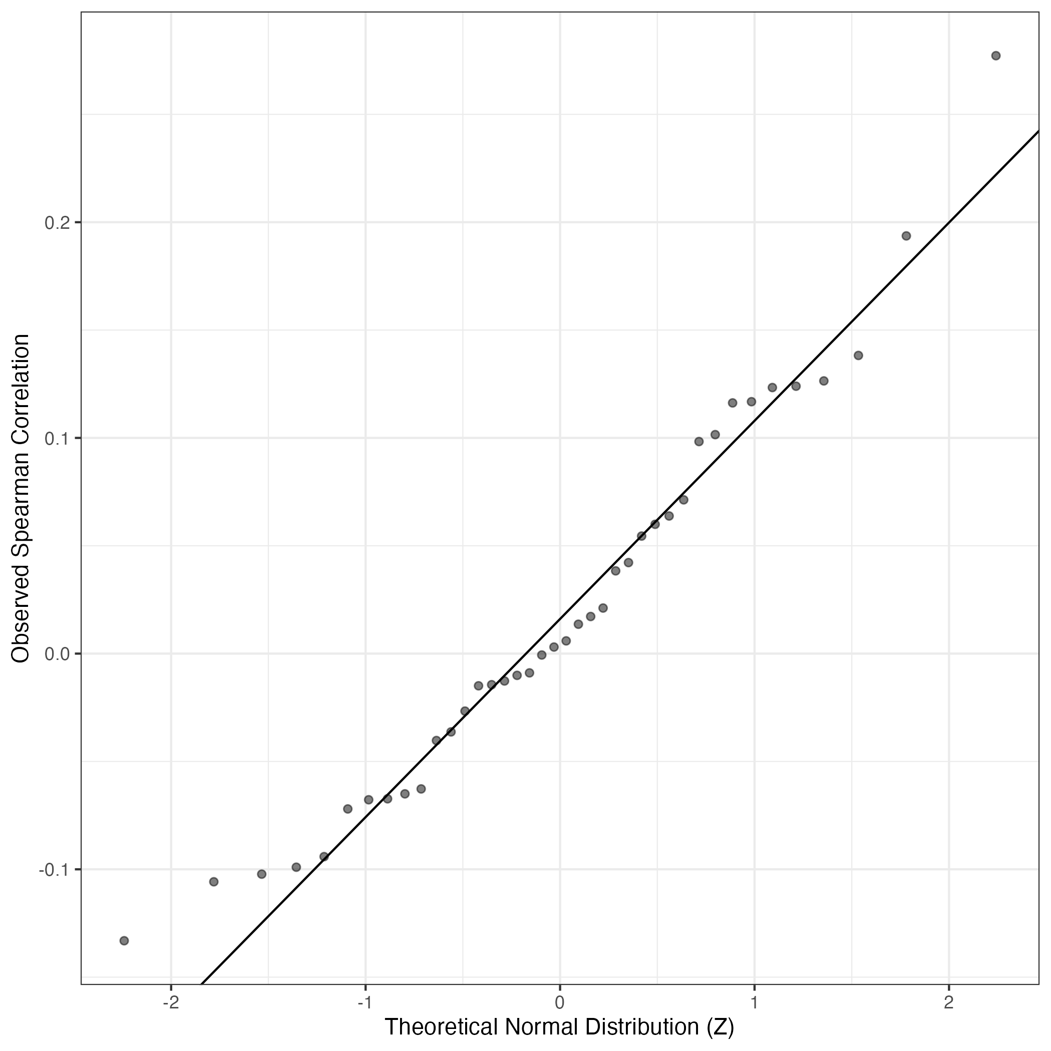
QQ Plot showing correlations with other GEPs in this dataset, calculated by Spearman correlation:
Interactive QQ-plot of gene loadings:
A similar QQ-plot as above, but only for instances where the H value is e.g. > 25, i.e. we are confident that the expression program is active above noise. Agreemenet between these binary vectors is tested using the Jaccard Index, with the P-values calculated by an exact test:
Interactive QQ-plot:
Singler cell type annotations for the top 50 cells on this program.
Cell ID | Singler label | Singler Delta | Activity Score | Top Singler Raw Scores |
---|---|---|---|---|
T27_AACTCAGAGCACAGGT.1 | B_cell:CXCR4-_centrocyte | 0.16 | 956.78 | Raw ScoresB_cell:Germinal_center: 0.38, B_cell:CXCR4-_centrocyte: 0.38, B_cell:CXCR4+_centroblast: 0.37, B_cell:Memory: 0.37, B_cell:Plasma_cell: 0.36, B_cell:Naive: 0.35, B_cell:immature: 0.35, Pro-B_cell_CD34+: 0.33, Pre-B_cell_CD34-: 0.32, T_cell:gamma-delta: 0.31 |
T230_TTTGGTTGTTCCTTGC-1 | B_cell:Naive | 0.10 | 901.68 | Raw ScoresB_cell:Memory: 0.33, B_cell:Naive: 0.33, B_cell:immature: 0.32, B_cell:Germinal_center: 0.31, B_cell:CXCR4-_centrocyte: 0.31, B_cell:CXCR4+_centroblast: 0.31, B_cell: 0.29, Pro-B_cell_CD34+: 0.29, B_cell:Plasma_cell: 0.29, GMP: 0.28 |
T27_AGATTGCGTTCCCGAG.1 | B_cell:Germinal_center | 0.21 | 872.15 | Raw ScoresB_cell:Germinal_center: 0.42, B_cell:CXCR4+_centroblast: 0.41, B_cell:CXCR4-_centrocyte: 0.4, B_cell:Memory: 0.37, B_cell:Naive: 0.37, B_cell:immature: 0.36, Pro-B_cell_CD34+: 0.35, B_cell:Plasma_cell: 0.35, T_cell:gamma-delta: 0.32, BM: 0.32 |
T230_TAATTCCTCTTGTGCC-1 | B_cell:Memory | 0.15 | 776.69 | Raw ScoresB_cell:Memory: 0.43, B_cell:Naive: 0.42, B_cell:immature: 0.4, B_cell:Germinal_center: 0.39, B_cell: 0.38, B_cell:CXCR4-_centrocyte: 0.38, B_cell:Plasma_cell: 0.38, B_cell:CXCR4+_centroblast: 0.37, Pre-B_cell_CD34-: 0.35, T_cell:CD4+_central_memory: 0.35 |
T27_GCGACCAAGCGTGAGT.1 | B_cell:Germinal_center | 0.17 | 674.19 | Raw ScoresB_cell:Germinal_center: 0.39, B_cell:CXCR4+_centroblast: 0.38, B_cell:CXCR4-_centrocyte: 0.37, B_cell:Memory: 0.36, B_cell:immature: 0.36, B_cell:Naive: 0.35, Pro-B_cell_CD34+: 0.35, B_cell:Plasma_cell: 0.34, T_cell:gamma-delta: 0.33, Pre-B_cell_CD34-: 0.32 |
T27_GCGCGATTCCAAAGTC.1 | B_cell:Germinal_center | 0.19 | 503.19 | Raw ScoresB_cell:Germinal_center: 0.43, B_cell:CXCR4+_centroblast: 0.43, B_cell:CXCR4-_centrocyte: 0.41, B_cell:Memory: 0.4, B_cell:immature: 0.4, B_cell:Naive: 0.39, Pro-B_cell_CD34+: 0.38, B_cell:Plasma_cell: 0.37, T_cell:gamma-delta: 0.35, Pre-B_cell_CD34-: 0.34 |
T188_AATCGACTCCCTATTA-1 | B_cell:Naive | 0.10 | 502.70 | Raw ScoresB_cell:Naive: 0.32, B_cell:immature: 0.32, B_cell:Memory: 0.32, B_cell:Germinal_center: 0.3, B_cell:CXCR4-_centrocyte: 0.3, B_cell: 0.29, B_cell:CXCR4+_centroblast: 0.29, B_cell:Plasma_cell: 0.29, NK_cell: 0.29, Pro-B_cell_CD34+: 0.28 |
T188_GCTCAAAAGAGGACTC-1 | B_cell:Naive | 0.12 | 482.41 | Raw ScoresB_cell:Naive: 0.31, B_cell:Memory: 0.31, B_cell:immature: 0.3, B_cell: 0.28, B_cell:CXCR4-_centrocyte: 0.28, B_cell:Germinal_center: 0.28, NK_cell: 0.27, B_cell:CXCR4+_centroblast: 0.27, B_cell:Plasma_cell: 0.27, NK_cell:CD56hiCD62L+: 0.27 |
T188_TCGGTCTAGGCCTTGC-1 | B_cell:Naive | 0.13 | 479.66 | Raw ScoresB_cell:Naive: 0.33, B_cell:immature: 0.33, B_cell:Memory: 0.32, B_cell:Germinal_center: 0.31, B_cell: 0.31, B_cell:CXCR4-_centrocyte: 0.3, B_cell:CXCR4+_centroblast: 0.3, B_cell:Plasma_cell: 0.29, NK_cell: 0.29, Pro-B_cell_CD34+: 0.28 |
T200_CTCATTACATACCGTA-1 | Neurons:adrenal_medulla_cell_line | 0.12 | 445.95 | Raw ScoresNeurons:adrenal_medulla_cell_line: 0.32, Neuroepithelial_cell:ESC-derived: 0.29, iPS_cells:PDB_1lox-21Puro-20: 0.28, iPS_cells:PDB_1lox-21Puro-26: 0.28, Astrocyte:Embryonic_stem_cell-derived: 0.28, iPS_cells:PDB_1lox-17Puro-5: 0.28, iPS_cells:PDB_1lox-17Puro-10: 0.27, iPS_cells:PDB_2lox-22: 0.27, iPS_cells:PDB_2lox-21: 0.27, iPS_cells:PDB_2lox-17: 0.27 |
T27_CCTAGCTGTCCATGAT.1 | B_cell:Naive | 0.16 | 445.34 | Raw ScoresB_cell:Memory: 0.42, B_cell:Naive: 0.41, B_cell:immature: 0.41, B_cell:Germinal_center: 0.41, B_cell:CXCR4-_centrocyte: 0.4, B_cell:CXCR4+_centroblast: 0.39, B_cell: 0.36, Pro-B_cell_CD34+: 0.36, B_cell:Plasma_cell: 0.36, Pre-B_cell_CD34-: 0.35 |
T188_GAATAGATCACGGAGA-1 | B_cell:Naive | 0.10 | 439.21 | Raw ScoresB_cell:immature: 0.3, B_cell:Naive: 0.3, B_cell:Memory: 0.29, B_cell:Germinal_center: 0.27, B_cell: 0.27, B_cell:CXCR4-_centrocyte: 0.27, B_cell:Plasma_cell: 0.27, Pro-B_cell_CD34+: 0.27, B_cell:CXCR4+_centroblast: 0.26, Pre-B_cell_CD34-: 0.26 |
T40_AGCTCTCAGCACAGGT.1 | B_cell:Naive | 0.11 | 432.87 | Raw ScoresB_cell:Naive: 0.38, B_cell:immature: 0.38, B_cell:Memory: 0.37, B_cell: 0.36, B_cell:CXCR4-_centrocyte: 0.35, B_cell:Germinal_center: 0.35, NK_cell: 0.35, B_cell:Plasma_cell: 0.34, Pre-B_cell_CD34-: 0.34, T_cell:CD4+_central_memory: 0.34 |
T40_CAAGAAAGTCCGTGAC.1 | B_cell:Naive | 0.10 | 429.89 | Raw ScoresB_cell:Naive: 0.36, B_cell:immature: 0.36, B_cell:Memory: 0.35, B_cell: 0.34, B_cell:CXCR4-_centrocyte: 0.33, B_cell:Germinal_center: 0.33, Pre-B_cell_CD34-: 0.32, B_cell:Plasma_cell: 0.32, Monocyte:CD16+: 0.32, Pro-B_cell_CD34+: 0.32 |
T40_TTCTTAGCACTTAACG.1 | B_cell:immature | 0.11 | 426.06 | Raw ScoresB_cell:immature: 0.34, B_cell:Naive: 0.33, B_cell:Memory: 0.33, Pre-B_cell_CD34-: 0.32, Pro-B_cell_CD34+: 0.32, B_cell: 0.32, B_cell:CXCR4-_centrocyte: 0.31, B_cell:Germinal_center: 0.31, B_cell:Plasma_cell: 0.31, GMP: 0.3 |
T40_CGCTTCAAGCTGCAAG.1 | B_cell:immature | 0.11 | 425.49 | Raw ScoresB_cell:immature: 0.34, B_cell:Naive: 0.34, B_cell:Memory: 0.33, B_cell: 0.32, B_cell:CXCR4-_centrocyte: 0.31, Pre-B_cell_CD34-: 0.31, T_cell:CD4+_central_memory: 0.31, Pro-B_cell_CD34+: 0.31, NK_cell: 0.3, T_cell:CD4+_effector_memory: 0.3 |
T40_CACATTTGTACTCAAC.1 | B_cell:Naive | 0.11 | 421.32 | Raw ScoresB_cell:Naive: 0.33, B_cell:immature: 0.33, B_cell:Memory: 0.32, B_cell: 0.31, B_cell:CXCR4-_centrocyte: 0.3, Pre-B_cell_CD34-: 0.29, NK_cell: 0.29, B_cell:Germinal_center: 0.29, B_cell:Plasma_cell: 0.29, NK_cell:CD56hiCD62L+: 0.29 |
T188_ACATGCAAGATGCTTC-1 | B_cell:immature | 0.10 | 419.24 | Raw ScoresB_cell:Naive: 0.31, B_cell:immature: 0.31, B_cell:Memory: 0.3, B_cell: 0.3, B_cell:Germinal_center: 0.28, B_cell:CXCR4-_centrocyte: 0.28, B_cell:Plasma_cell: 0.27, B_cell:CXCR4+_centroblast: 0.27, Pro-B_cell_CD34+: 0.27, NK_cell: 0.27 |
T188_GATCATGGTTGGGACA-1 | B_cell:Naive | 0.12 | 415.15 | Raw ScoresB_cell:Naive: 0.33, B_cell:immature: 0.33, B_cell:Memory: 0.32, B_cell: 0.31, B_cell:Germinal_center: 0.3, B_cell:CXCR4-_centrocyte: 0.3, B_cell:CXCR4+_centroblast: 0.29, B_cell:Plasma_cell: 0.29, Pro-B_cell_CD34+: 0.29, Pre-B_cell_CD34-: 0.28 |
T200_CTGCTCATCTCAGGCG-1 | B_cell:Naive | 0.09 | 413.37 | Raw ScoresB_cell:Memory: 0.33, B_cell:immature: 0.33, B_cell:Naive: 0.33, B_cell: 0.32, Pre-B_cell_CD34-: 0.3, Monocyte:CD16+: 0.3, B_cell:Germinal_center: 0.3, B_cell:CXCR4-_centrocyte: 0.3, Monocyte:CD14+: 0.3, Monocyte:CD16-: 0.3 |
T188_GTAATGCCACGTAGTT-1 | B_cell:Naive | 0.11 | 404.44 | Raw ScoresB_cell:Naive: 0.31, B_cell:immature: 0.31, B_cell:Memory: 0.31, B_cell: 0.29, B_cell:CXCR4-_centrocyte: 0.29, B_cell:Germinal_center: 0.29, B_cell:CXCR4+_centroblast: 0.28, B_cell:Plasma_cell: 0.28, Pre-B_cell_CD34-: 0.27, NK_cell: 0.27 |
T188_TTGTTGTCACTAGGTT-1 | B_cell:Naive | 0.10 | 404.04 | Raw ScoresNK_cell: 0.35, T_cell:CD4+_effector_memory: 0.34, B_cell:Memory: 0.34, NK_cell:CD56hiCD62L+: 0.34, T_cell:CD4+_central_memory: 0.34, NK_cell:IL2: 0.34, B_cell:Naive: 0.34, T_cell:CD8+_Central_memory: 0.33, B_cell:immature: 0.33, T_cell:CD8+_effector_memory_RA: 0.33 |
T27_AACTTTCTCGCATGGC.1 | B_cell:Germinal_center | 0.18 | 398.00 | Raw ScoresB_cell:Germinal_center: 0.44, B_cell:CXCR4+_centroblast: 0.43, B_cell:CXCR4-_centrocyte: 0.43, B_cell:Memory: 0.41, B_cell:immature: 0.41, B_cell:Naive: 0.4, B_cell:Plasma_cell: 0.39, Pro-B_cell_CD34+: 0.39, GMP: 0.36, Pre-B_cell_CD34-: 0.35 |
T40_ATTACTCGTCGGATCC.1 | B_cell:Naive | 0.10 | 397.59 | Raw ScoresB_cell:Memory: 0.37, T_cell:CD4+_central_memory: 0.37, T_cell:CD4+_Naive: 0.36, T_cell:CD4+: 0.36, B_cell:Naive: 0.36, T_cell:CD4+effector_memory: 0.36, B_cell:immature: 0.36, T_cell:CD8+: 0.35, Pre-B_cell_CD34-: 0.35, HSC-G-CSF: 0.35 |
T188_GTTGTCCAGAATTTGG-1 | B_cell:immature | 0.11 | 391.66 | Raw ScoresB_cell:immature: 0.33, B_cell:Naive: 0.32, B_cell:Memory: 0.31, B_cell:CXCR4-_centrocyte: 0.3, B_cell: 0.3, B_cell:Germinal_center: 0.3, B_cell:Plasma_cell: 0.29, B_cell:CXCR4+_centroblast: 0.29, Pro-B_cell_CD34+: 0.29, Pre-B_cell_CD34-: 0.29 |
T27_CTTAACTCACCGCTAG.1 | B_cell:Germinal_center | 0.15 | 390.63 | Raw ScoresB_cell:Germinal_center: 0.39, B_cell:CXCR4-_centrocyte: 0.38, B_cell:CXCR4+_centroblast: 0.38, B_cell:Memory: 0.37, B_cell:Naive: 0.36, B_cell:immature: 0.36, B_cell:Plasma_cell: 0.35, Pro-B_cell_CD34+: 0.35, B_cell: 0.34, GMP: 0.33 |
T27_AGAGCTTAGGAATTAC.1 | B_cell:CXCR4+_centroblast | 0.15 | 381.65 | Raw ScoresB_cell:Germinal_center: 0.39, B_cell:CXCR4+_centroblast: 0.38, B_cell:CXCR4-_centrocyte: 0.38, B_cell:Memory: 0.36, Pro-B_cell_CD34+: 0.36, B_cell:immature: 0.36, B_cell:Naive: 0.36, GMP: 0.34, B_cell:Plasma_cell: 0.34, Pre-B_cell_CD34-: 0.33 |
T40_GCGCAGTTCAGCTCTC.1 | B_cell:Naive | 0.12 | 381.60 | Raw ScoresB_cell:immature: 0.33, B_cell:Naive: 0.33, B_cell:Memory: 0.32, B_cell: 0.32, B_cell:Germinal_center: 0.3, B_cell:CXCR4-_centrocyte: 0.3, Pre-B_cell_CD34-: 0.29, B_cell:CXCR4+_centroblast: 0.29, Pro-B_cell_CD34+: 0.29, B_cell:Plasma_cell: 0.28 |
T92_AGATTGCAGTGGACGT.1 | B_cell:Germinal_center | 0.10 | 379.84 | Raw ScoresB_cell:Memory: 0.33, B_cell:Germinal_center: 0.33, B_cell:Naive: 0.33, B_cell:CXCR4-_centrocyte: 0.32, B_cell:immature: 0.32, B_cell: 0.32, B_cell:CXCR4+_centroblast: 0.31, B_cell:Plasma_cell: 0.31, Pro-B_cell_CD34+: 0.3, Pre-B_cell_CD34-: 0.3 |
T188_CCTAACCTCTTCGATT-1 | Neurons:adrenal_medulla_cell_line | 0.11 | 379.12 | Raw ScoresNeurons:adrenal_medulla_cell_line: 0.33, B_cell:immature: 0.29, B_cell:Naive: 0.28, Astrocyte:Embryonic_stem_cell-derived: 0.28, Pro-B_cell_CD34+: 0.28, B_cell:CXCR4+_centroblast: 0.28, B_cell:Memory: 0.27, Neuroepithelial_cell:ESC-derived: 0.27, B_cell:Germinal_center: 0.27, B_cell:CXCR4-_centrocyte: 0.27 |
T27_ATCTGCCTCAGCTGGC.1 | B_cell:Germinal_center | 0.19 | 377.23 | Raw ScoresB_cell:Germinal_center: 0.42, B_cell:CXCR4+_centroblast: 0.41, B_cell:CXCR4-_centrocyte: 0.39, B_cell:immature: 0.37, B_cell:Memory: 0.37, B_cell:Naive: 0.36, Pro-B_cell_CD34+: 0.36, B_cell:Plasma_cell: 0.35, T_cell:gamma-delta: 0.32, BM: 0.32 |
T188_TGCTCGTTCAAGATAG-1 | B_cell:Naive | 0.09 | 371.20 | Raw ScoresB_cell:immature: 0.31, B_cell:Naive: 0.3, B_cell:Memory: 0.3, B_cell: 0.29, B_cell:Germinal_center: 0.29, NK_cell:CD56hiCD62L+: 0.28, B_cell:Plasma_cell: 0.28, NK_cell: 0.28, Pro-B_cell_CD34+: 0.28, Pre-B_cell_CD34-: 0.28 |
T188_CTAGACACAGGTGAGT-1 | B_cell:Memory | 0.12 | 371.14 | Raw ScoresB_cell:Memory: 0.33, B_cell:Naive: 0.33, B_cell:immature: 0.32, B_cell: 0.32, B_cell:Germinal_center: 0.3, B_cell:CXCR4-_centrocyte: 0.29, B_cell:Plasma_cell: 0.29, B_cell:CXCR4+_centroblast: 0.29, T_cell:CD4+: 0.28, Pre-B_cell_CD34-: 0.28 |
T188_CTCACTGGTATGTCAC-1 | B_cell:immature | 0.09 | 367.28 | Raw ScoresNeurons:adrenal_medulla_cell_line: 0.32, B_cell:CXCR4+_centroblast: 0.29, B_cell:immature: 0.29, Pro-B_cell_CD34+: 0.29, B_cell:Germinal_center: 0.29, Neuroepithelial_cell:ESC-derived: 0.29, Astrocyte:Embryonic_stem_cell-derived: 0.29, iPS_cells:PDB_1lox-17Puro-5: 0.27, iPS_cells:CRL2097_foreskin-derived:undiff.: 0.27, iPS_cells:PDB_1lox-21Puro-20: 0.27 |
T214_TCAGGGCGTTCTATCT-1 | B_cell:Naive | 0.12 | 360.78 | Raw ScoresB_cell:Naive: 0.32, B_cell:immature: 0.31, B_cell:Memory: 0.31, B_cell: 0.3, B_cell:Germinal_center: 0.29, B_cell:CXCR4-_centrocyte: 0.29, B_cell:CXCR4+_centroblast: 0.28, Pro-B_cell_CD34+: 0.27, B_cell:Plasma_cell: 0.26, Pre-B_cell_CD34-: 0.26 |
T40_TCACGAAAGGCAGTCA.1 | B_cell:Naive | 0.09 | 358.58 | Raw ScoresB_cell:Naive: 0.33, B_cell:Memory: 0.33, B_cell:immature: 0.33, B_cell: 0.31, Pre-B_cell_CD34-: 0.31, Pro-B_cell_CD34+: 0.3, B_cell:CXCR4-_centrocyte: 0.3, B_cell:Germinal_center: 0.3, B_cell:Plasma_cell: 0.3, Monocyte:CD16+: 0.29 |
T40_GGTGCGTGTGCCTTGG.1 | B_cell:immature | 0.11 | 355.40 | Raw ScoresB_cell:immature: 0.29, B_cell:Naive: 0.28, B_cell:Memory: 0.28, B_cell: 0.27, B_cell:Germinal_center: 0.26, Pre-B_cell_CD34-: 0.25, Pro-B_cell_CD34+: 0.25, B_cell:CXCR4-_centrocyte: 0.25, T_cell:CD8+: 0.25, T_cell:CD4+_central_memory: 0.25 |
T188_ACTTTCATCACTGGGC-1 | B_cell:Naive | 0.14 | 355.01 | Raw ScoresB_cell:Naive: 0.38, B_cell:Memory: 0.38, B_cell:immature: 0.37, B_cell: 0.35, B_cell:Germinal_center: 0.34, B_cell:CXCR4-_centrocyte: 0.34, B_cell:Plasma_cell: 0.33, B_cell:CXCR4+_centroblast: 0.33, NK_cell: 0.32, Pre-B_cell_CD34-: 0.32 |
T188_CCATAAGCAATTGTGC-1 | B_cell:immature | 0.10 | 353.41 | Raw ScoresB_cell:immature: 0.32, Pro-B_cell_CD34+: 0.31, B_cell:Naive: 0.31, B_cell:Germinal_center: 0.31, B_cell:Memory: 0.3, B_cell:CXCR4-_centrocyte: 0.29, B_cell:CXCR4+_centroblast: 0.29, Pre-B_cell_CD34-: 0.29, B_cell: 0.29, GMP: 0.28 |
T92_TCAGGATAGATATGCA.1 | B_cell:Germinal_center | 0.15 | 351.82 | Raw ScoresB_cell:Germinal_center: 0.36, B_cell:CXCR4+_centroblast: 0.35, B_cell:CXCR4-_centrocyte: 0.35, B_cell:Memory: 0.33, Pro-B_cell_CD34+: 0.32, B_cell:immature: 0.32, B_cell:Naive: 0.32, B_cell:Plasma_cell: 0.31, GMP: 0.3, Pre-B_cell_CD34-: 0.29 |
T188_CATACTTTCATCGCTC-1 | B_cell:Naive | 0.13 | 345.85 | Raw ScoresB_cell:Naive: 0.39, B_cell:Memory: 0.38, B_cell:immature: 0.38, B_cell: 0.37, T_cell:CD4+: 0.36, T_cell:CD4+_central_memory: 0.36, T_cell:CD8+: 0.36, T_cell:CD4+_Naive: 0.36, B_cell:Germinal_center: 0.35, T_cell:CD4+_effector_memory: 0.35 |
T200_CGATGCGCACTGGCGT-1 | B_cell:Naive | 0.11 | 345.42 | Raw ScoresB_cell:Memory: 0.36, B_cell:Naive: 0.36, B_cell:immature: 0.36, B_cell: 0.34, Pre-B_cell_CD34-: 0.33, B_cell:CXCR4-_centrocyte: 0.33, B_cell:Germinal_center: 0.32, Pro-B_cell_CD34+: 0.32, T_cell:CD4+_central_memory: 0.32, NK_cell: 0.32 |
T40_CTGGTCTTCATTTGGG.1 | B_cell:Naive | 0.11 | 344.44 | Raw ScoresB_cell:immature: 0.33, B_cell:Naive: 0.33, B_cell:Memory: 0.33, B_cell: 0.32, B_cell:CXCR4-_centrocyte: 0.3, B_cell:Germinal_center: 0.3, Pre-B_cell_CD34-: 0.3, Pro-B_cell_CD34+: 0.29, B_cell:Plasma_cell: 0.29, NK_cell: 0.29 |
T27_AACTCAGGTTAAGATG.1 | B_cell:Germinal_center | 0.19 | 343.02 | Raw ScoresB_cell:Germinal_center: 0.42, B_cell:CXCR4+_centroblast: 0.41, B_cell:CXCR4-_centrocyte: 0.41, B_cell:Memory: 0.39, B_cell:immature: 0.38, B_cell:Naive: 0.38, Pro-B_cell_CD34+: 0.37, B_cell:Plasma_cell: 0.36, GMP: 0.34, BM: 0.34 |
T188_GAATAGACATACATCG-1 | Neurons:adrenal_medulla_cell_line | 0.10 | 342.85 | Raw ScoresNeurons:adrenal_medulla_cell_line: 0.34, B_cell:immature: 0.3, B_cell:Naive: 0.29, B_cell:Memory: 0.29, B_cell:Plasma_cell: 0.28, B_cell:CXCR4-_centrocyte: 0.28, B_cell:CXCR4+_centroblast: 0.28, B_cell:Germinal_center: 0.28, Pro-B_cell_CD34+: 0.28, Astrocyte:Embryonic_stem_cell-derived: 0.28 |
T40_CCTATTAAGATATGGT.1 | B_cell:Naive | 0.11 | 342.46 | Raw ScoresB_cell:Memory: 0.35, B_cell:Naive: 0.35, B_cell:immature: 0.35, B_cell: 0.33, T_cell:CD4+_central_memory: 0.32, B_cell:Germinal_center: 0.32, B_cell:Plasma_cell: 0.32, Pre-B_cell_CD34-: 0.32, B_cell:CXCR4-_centrocyte: 0.32, NK_cell: 0.32 |
T188_GTGTGATTCTGCGTCT-1 | B_cell:Naive | 0.12 | 338.13 | Raw ScoresB_cell:Naive: 0.35, B_cell:immature: 0.34, B_cell:Memory: 0.34, B_cell: 0.32, B_cell:CXCR4-_centrocyte: 0.32, B_cell:Germinal_center: 0.32, B_cell:Plasma_cell: 0.31, B_cell:CXCR4+_centroblast: 0.3, Pre-B_cell_CD34-: 0.3, Pro-B_cell_CD34+: 0.3 |
T40_CATGACACATGCCTAA.1 | B_cell:Naive | 0.10 | 332.98 | Raw ScoresB_cell:immature: 0.34, B_cell:Naive: 0.34, B_cell:Memory: 0.34, B_cell: 0.31, Pre-B_cell_CD34-: 0.31, B_cell:Plasma_cell: 0.31, Pro-B_cell_CD34+: 0.31, B_cell:CXCR4-_centrocyte: 0.31, B_cell:Germinal_center: 0.31, NK_cell: 0.3 |
T40_ACATCAGAGTTAAGTG.1 | B_cell:Naive | 0.11 | 326.86 | Raw ScoresB_cell:Naive: 0.33, B_cell:immature: 0.33, B_cell:Memory: 0.32, B_cell:CXCR4-_centrocyte: 0.31, B_cell:Germinal_center: 0.31, B_cell: 0.31, Pro-B_cell_CD34+: 0.31, B_cell:CXCR4+_centroblast: 0.3, B_cell:Plasma_cell: 0.3, Pre-B_cell_CD34-: 0.3 |
T188_TATCAGGCATTCACAG-1 | B_cell:immature | 0.12 | 326.57 | Raw ScoresB_cell:immature: 0.34, B_cell:Naive: 0.33, B_cell:Memory: 0.33, B_cell: 0.31, B_cell:Germinal_center: 0.3, B_cell:CXCR4-_centrocyte: 0.3, Pro-B_cell_CD34+: 0.3, B_cell:Plasma_cell: 0.3, B_cell:CXCR4+_centroblast: 0.29, Pre-B_cell_CD34-: 0.29 |
Below shows the significant enrichments of this GEP for literature curated gene lists
This data was procured from existing single cell RNA-seq maps of neuroblastoma or related relevant data.
High ranks indicate this gene is a driver of this GEP.
These curated gene list are ranked by the P-value (on this GEP) of their constituent genes.
The Mean Count column shows the mean read count in cells scoring highly (H > 50) on this gene expression program.
Genes | Weight | Rank | GTEx | DepMap | Decartes | Mean.Counts | Mean.TPM |
---|---|---|---|---|---|---|---|
JUNB | 0.0036019 | 114 | GTEx | DepMap | Descartes | 9.13 | 2034.59 |
FOS | 0.0008807 | 795 | GTEx | DepMap | Descartes | 5.48 | 908.39 |
JUN | 0.0001738 | 2291 | GTEx | DepMap | Descartes | 2.56 | 286.87 |
Immune cells (Yuan)
Obtained from Fig. 1 of Yuan et al. https://www.biorxiv.org/content/10.1101/2020.05.15.097469v1:
Wilcoxon ranksum test P-value for gene set overrepresentation: 9.92e-03
Mean rank of genes in gene set: 308
Rank on gene expression program of genes in gene set:
Genes | Weight | Rank | GTEx | DepMap | Decartes | Mean.Counts | Mean.TPM |
---|---|---|---|---|---|---|---|
CXCR4 | 0.0068006 | 39 | GTEx | DepMap | Descartes | 5.49 | 1353.26 |
PTPRC | 0.0011929 | 577 | GTEx | DepMap | Descartes | 0.99 | 73.07 |
IFN Response (Kinker)
These marker genes were obtained in a pan cancer cell lines NMF analysis of scRNA-eq data in Kinker et al (PMID 33128048) - 10 metaprograms were recovered that manifest across cancers, this program contained interferon response genes.:
Wilcoxon ranksum test P-value for gene set overrepresentation: 1.90e-02
Mean rank of genes in gene set: 2915.6
Rank on gene expression program of genes in gene set:
Genes | Weight | Rank | GTEx | DepMap | Decartes | Mean.Counts | Mean.TPM |
---|---|---|---|---|---|---|---|
ISG20 | 0.0077322 | 27 | GTEx | DepMap | Descartes | 2.21 | 180.65 |
IFIT2 | 0.0002986 | 1779 | GTEx | DepMap | Descartes | 0.07 | 9.65 |
ISG15 | 0.0001796 | 2262 | GTEx | DepMap | Descartes | 1.54 | 682.76 |
IFIT3 | 0.0000743 | 2885 | GTEx | DepMap | Descartes | 0.08 | 17.08 |
IFIT1 | -0.0002398 | 7625 | GTEx | DepMap | Descartes | 0.06 | 3.41 |
Below shows ranks on this GEP for literature curated gene lists for large gene sets
These include those reported as mesenchymal/adrenergic by Van Groningen et al.
High ranks indicate this gene is a driver of this GEP (note these results are not ordered).
The Mean Count column shows the mean read count in cells scoring highly (H > 50) on this gene expression program.
VanGroningen Adrenergic Genes
Adrenergic marker genes from Supplementary Table 2 of Van Groningen et al. Nature Genetics 2017. These genes were identified by differential expression analysis of mesenchymal-like and adrenergic-like neuroblastoma cell lines.
Wilcoxon ranksum test P-value for gene set overrepresentation: 1.00e+00
Mean rank of genes in gene set: 10229.99
Median rank of genes in gene set: 11351
Rank on gene expression program of top 30 genes in gene set:
Genes | Weight | Rank | GTEx | DepMap | Descartes | Mean.Counts | Mean.TPM |
---|---|---|---|---|---|---|---|
LYN | 0.0069553 | 37 | GTEx | DepMap | Descartes | 0.49 | 37.60 |
CXCR4 | 0.0068006 | 39 | GTEx | DepMap | Descartes | 5.49 | 1353.26 |
UCP2 | 0.0046420 | 71 | GTEx | DepMap | Descartes | 1.54 | 302.45 |
FAM107B | 0.0018997 | 302 | GTEx | DepMap | Descartes | 0.55 | 61.55 |
TSPAN13 | 0.0011276 | 603 | GTEx | DepMap | Descartes | 0.41 | 88.52 |
EML4 | 0.0008673 | 806 | GTEx | DepMap | Descartes | 0.28 | 21.79 |
DUSP4 | 0.0004567 | 1374 | GTEx | DepMap | Descartes | 0.19 | 10.55 |
CELF2 | 0.0003797 | 1543 | GTEx | DepMap | Descartes | 0.35 | 14.87 |
CYFIP2 | 0.0003519 | 1609 | GTEx | DepMap | Descartes | 0.33 | 18.58 |
HMGA1 | 0.0002992 | 1777 | GTEx | DepMap | Descartes | 1.14 | 143.32 |
ARHGEF7 | 0.0002328 | 2033 | GTEx | DepMap | Descartes | 0.21 | 13.21 |
TUBB4B | 0.0001978 | 2186 | GTEx | DepMap | Descartes | 0.93 | 166.92 |
PDK1 | 0.0001717 | 2301 | GTEx | DepMap | Descartes | 0.06 | 1.56 |
BEND4 | 0.0001616 | 2364 | GTEx | DepMap | Descartes | 0.01 | 0.44 |
GLDC | 0.0001586 | 2383 | GTEx | DepMap | Descartes | 0.00 | 0.75 |
FAM167A | 0.0001484 | 2435 | GTEx | DepMap | Descartes | 0.02 | 1.79 |
INO80C | 0.0001466 | 2447 | GTEx | DepMap | Descartes | 0.11 | 11.43 |
ABLIM1 | 0.0001407 | 2473 | GTEx | DepMap | Descartes | 0.15 | 7.41 |
ANP32A | 0.0001275 | 2539 | GTEx | DepMap | Descartes | 0.61 | 53.07 |
RBBP8 | 0.0001178 | 2599 | GTEx | DepMap | Descartes | 0.06 | 5.07 |
MYRIP | 0.0000691 | 2923 | GTEx | DepMap | Descartes | 0.01 | 0.22 |
EML6 | 0.0000614 | 2977 | GTEx | DepMap | Descartes | 0.03 | 0.89 |
CDKN3 | -0.0000090 | 3581 | GTEx | DepMap | Descartes | 0.24 | 38.62 |
AHSA1 | -0.0000127 | 3636 | GTEx | DepMap | Descartes | 0.37 | 86.68 |
MYBL2 | -0.0000546 | 4371 | GTEx | DepMap | Descartes | 0.26 | 21.44 |
HK2 | -0.0001141 | 5466 | GTEx | DepMap | Descartes | 0.04 | 1.79 |
RRM2 | -0.0001178 | 5534 | GTEx | DepMap | Descartes | 0.16 | 10.48 |
SHC3 | -0.0001188 | 5557 | GTEx | DepMap | Descartes | 0.01 | 0.11 |
GCH1 | -0.0001446 | 6056 | GTEx | DepMap | Descartes | 0.15 | 17.37 |
STRA6 | -0.0001529 | 6208 | GTEx | DepMap | Descartes | 0.00 | 0.60 |
VanGroningen Mesenchymal Genes
Mesenchymal marker genes from Supplementary Table 2 of Van Groningen et al. Nature Genetics 2017. These genes were identified by differential expression analysis of mesenchymal-like and adrenergic-like neuroblastoma cell lines.
Wilcoxon ranksum test P-value for gene set overrepresentation: 3.46e-02
Mean rank of genes in gene set: 5964.8
Median rank of genes in gene set: 6281
Rank on gene expression program of top 30 genes in gene set:
Genes | Weight | Rank | GTEx | DepMap | Descartes | Mean.Counts | Mean.TPM |
---|---|---|---|---|---|---|---|
PDLIM1 | 0.0050187 | 64 | GTEx | DepMap | Descartes | 0.42 | 119.14 |
TSC22D3 | 0.0045113 | 80 | GTEx | DepMap | Descartes | 2.91 | 576.60 |
ELF1 | 0.0041993 | 87 | GTEx | DepMap | Descartes | 0.98 | 117.33 |
PLEKHA2 | 0.0028990 | 165 | GTEx | DepMap | Descartes | 0.22 | 16.37 |
CMTM6 | 0.0027933 | 177 | GTEx | DepMap | Descartes | 0.58 | 73.00 |
SH3BGRL | 0.0027707 | 180 | GTEx | DepMap | Descartes | 0.83 | 182.82 |
ZFP36L1 | 0.0024886 | 203 | GTEx | DepMap | Descartes | 1.13 | 147.37 |
FAM3C | 0.0024839 | 204 | GTEx | DepMap | Descartes | 0.46 | 79.74 |
ARPC1B | 0.0024816 | 206 | GTEx | DepMap | Descartes | 1.59 | 303.02 |
SEL1L3 | 0.0024416 | 211 | GTEx | DepMap | Descartes | 0.13 | 7.58 |
ADAM19 | 0.0023280 | 226 | GTEx | DepMap | Descartes | 0.17 | 9.78 |
ID3 | 0.0021649 | 250 | GTEx | DepMap | Descartes | 0.66 | 303.47 |
B2M | 0.0021561 | 252 | GTEx | DepMap | Descartes | 37.62 | 5949.11 |
MOB1A | 0.0020968 | 263 | GTEx | DepMap | Descartes | 0.51 | 39.08 |
ANXA6 | 0.0020554 | 271 | GTEx | DepMap | Descartes | 0.42 | 54.62 |
MBD2 | 0.0020031 | 281 | GTEx | DepMap | Descartes | 0.22 | 16.62 |
ARL4A | 0.0019369 | 294 | GTEx | DepMap | Descartes | 0.54 | 69.00 |
JAK1 | 0.0018146 | 322 | GTEx | DepMap | Descartes | 0.64 | 37.92 |
SKIL | 0.0017558 | 334 | GTEx | DepMap | Descartes | 0.44 | 25.48 |
ITGA4 | 0.0017180 | 344 | GTEx | DepMap | Descartes | 0.23 | 15.52 |
LRP10 | 0.0017052 | 348 | GTEx | DepMap | Descartes | 0.22 | 14.02 |
SNAP23 | 0.0016846 | 354 | GTEx | DepMap | Descartes | 0.17 | 24.71 |
ITPR1 | 0.0016608 | 360 | GTEx | DepMap | Descartes | 0.09 | 4.02 |
FAM43A | 0.0016483 | 365 | GTEx | DepMap | Descartes | 0.17 | 22.26 |
SMAD3 | 0.0016314 | 371 | GTEx | DepMap | Descartes | 0.09 | 7.42 |
SCPEP1 | 0.0015437 | 406 | GTEx | DepMap | Descartes | 0.27 | 56.06 |
SQSTM1 | 0.0015082 | 420 | GTEx | DepMap | Descartes | 0.65 | 85.08 |
TUBB6 | 0.0014250 | 445 | GTEx | DepMap | Descartes | 0.07 | 18.43 |
DUSP5 | 0.0013873 | 471 | GTEx | DepMap | Descartes | 0.32 | 44.48 |
MYL12A | 0.0013760 | 476 | GTEx | DepMap | Descartes | 2.09 | 650.64 |
Descartes adrenocortical markers
Top 50 marker genes of adrenocortical cells in the Decartes fetal adrenal single cell map (https://atlas.brotmanbaty.org/bbi/human-gene-expression-during-development/cell/adrenocortical/in/adrenal)
Wilcoxon ranksum test P-value for gene set overrepresentation: 1.00e+00
Mean rank of genes in gene set: 8260.25
Median rank of genes in gene set: 9226.5
Rank on gene expression program of top 30 genes in gene set:
Genes | Weight | Rank | GTEx | DepMap | Descartes | Mean.Counts | Mean.TPM |
---|---|---|---|---|---|---|---|
SH3BP5 | 0.0022723 | 233 | GTEx | DepMap | Descartes | 0.37 | 41.08 |
CYB5B | 0.0004063 | 1490 | GTEx | DepMap | Descartes | 0.22 | 16.02 |
BAIAP2L1 | 0.0003390 | 1645 | GTEx | DepMap | Descartes | 0.01 | 0.77 |
FDX1 | 0.0001558 | 2392 | GTEx | DepMap | Descartes | 0.33 | 38.08 |
NPC1 | -0.0000223 | 3797 | GTEx | DepMap | Descartes | 0.02 | 1.53 |
FREM2 | -0.0000466 | 4239 | GTEx | DepMap | Descartes | 0.00 | 0.00 |
SCARB1 | -0.0001247 | 5660 | GTEx | DepMap | Descartes | 0.04 | 1.42 |
SGCZ | -0.0001442 | 6052 | GTEx | DepMap | Descartes | 0.00 | 0.00 |
STAR | -0.0001521 | 6190 | GTEx | DepMap | Descartes | 0.00 | 0.00 |
INHA | -0.0001605 | 6337 | GTEx | DepMap | Descartes | 0.00 | 0.00 |
SCAP | -0.0002418 | 7652 | GTEx | DepMap | Descartes | 0.06 | 5.12 |
FRMD5 | -0.0002748 | 8123 | GTEx | DepMap | Descartes | 0.02 | 0.91 |
PAPSS2 | -0.0002755 | 8137 | GTEx | DepMap | Descartes | 0.01 | 0.74 |
SLC16A9 | -0.0003046 | 8532 | GTEx | DepMap | Descartes | 0.01 | 0.68 |
FDPS | -0.0003370 | 8918 | GTEx | DepMap | Descartes | 0.41 | 61.93 |
SH3PXD2B | -0.0003514 | 9100 | GTEx | DepMap | Descartes | 0.01 | 0.29 |
CLU | -0.0003528 | 9110 | GTEx | DepMap | Descartes | 0.30 | 23.74 |
POR | -0.0003587 | 9176 | GTEx | DepMap | Descartes | 0.09 | 11.24 |
HMGCR | -0.0003693 | 9277 | GTEx | DepMap | Descartes | 0.09 | 5.44 |
FDXR | -0.0003754 | 9339 | GTEx | DepMap | Descartes | 0.03 | 2.61 |
APOC1 | -0.0004149 | 9763 | GTEx | DepMap | Descartes | 0.83 | 301.95 |
PDE10A | -0.0004235 | 9844 | GTEx | DepMap | Descartes | 0.01 | 0.24 |
HMGCS1 | -0.0004431 | 10013 | GTEx | DepMap | Descartes | 0.11 | 5.12 |
DNER | -0.0004606 | 10160 | GTEx | DepMap | Descartes | 0.06 | 3.41 |
DHCR7 | -0.0004753 | 10277 | GTEx | DepMap | Descartes | 0.03 | 2.02 |
LDLR | -0.0005090 | 10528 | GTEx | DepMap | Descartes | 0.03 | 1.36 |
GRAMD1B | -0.0005214 | 10616 | GTEx | DepMap | Descartes | 0.02 | 0.62 |
MSMO1 | -0.0005237 | 10631 | GTEx | DepMap | Descartes | 0.07 | 8.40 |
SLC1A2 | -0.0005312 | 10687 | GTEx | DepMap | Descartes | 0.06 | 0.66 |
DHCR24 | -0.0005359 | 10714 | GTEx | DepMap | Descartes | 0.01 | 0.37 |
Descartes chromaffin markers
Top 50 marker genes of chromaffin cells in the Decartes fetal adrenal single cell map (https://atlas.brotmanbaty.org/bbi/human-gene-expression-during-development/cell/chromaffin/in/adrenal)
Wilcoxon ranksum test P-value for gene set overrepresentation: 1.00e+00
Mean rank of genes in gene set: 10963.95
Median rank of genes in gene set: 11695
Rank on gene expression program of top 30 genes in gene set:
Genes | Weight | Rank | GTEx | DepMap | Descartes | Mean.Counts | Mean.TPM |
---|---|---|---|---|---|---|---|
GREM1 | -0.0001477 | 6112 | GTEx | DepMap | Descartes | 0.04 | 0.53 |
SLC44A5 | -0.0002205 | 7319 | GTEx | DepMap | Descartes | 0.01 | 0.27 |
ANKFN1 | -0.0002793 | 8201 | GTEx | DepMap | Descartes | 0.00 | 0.14 |
RPH3A | -0.0002864 | 8300 | GTEx | DepMap | Descartes | 0.00 | 0.14 |
CNKSR2 | -0.0002946 | 8405 | GTEx | DepMap | Descartes | 0.05 | 1.26 |
ALK | -0.0003094 | 8594 | GTEx | DepMap | Descartes | 0.02 | 0.58 |
EPHA6 | -0.0003135 | 8645 | GTEx | DepMap | Descartes | 0.00 | 0.00 |
RYR2 | -0.0003451 | 9022 | GTEx | DepMap | Descartes | 0.02 | 0.19 |
TMEM132C | -0.0003682 | 9262 | GTEx | DepMap | Descartes | 0.04 | 1.65 |
KCNB2 | -0.0003962 | 9571 | GTEx | DepMap | Descartes | 0.02 | 0.90 |
FAT3 | -0.0004130 | 9747 | GTEx | DepMap | Descartes | 0.02 | 0.16 |
EYA1 | -0.0004145 | 9758 | GTEx | DepMap | Descartes | 0.03 | 1.38 |
HS3ST5 | -0.0004457 | 10041 | GTEx | DepMap | Descartes | 0.01 | 0.67 |
EYA4 | -0.0005327 | 10694 | GTEx | DepMap | Descartes | 0.04 | 1.32 |
RGMB | -0.0005718 | 10924 | GTEx | DepMap | Descartes | 0.13 | 6.16 |
SLC6A2 | -0.0005806 | 10984 | GTEx | DepMap | Descartes | 0.04 | 2.45 |
PTCHD1 | -0.0006076 | 11121 | GTEx | DepMap | Descartes | 0.02 | 0.18 |
PLXNA4 | -0.0007091 | 11527 | GTEx | DepMap | Descartes | 0.04 | 0.67 |
NTRK1 | -0.0007295 | 11583 | GTEx | DepMap | Descartes | 0.15 | 10.69 |
SYNPO2 | -0.0007443 | 11619 | GTEx | DepMap | Descartes | 0.04 | 0.51 |
NPY | -0.0007668 | 11695 | GTEx | DepMap | Descartes | 2.34 | 745.38 |
TMEFF2 | -0.0008366 | 11876 | GTEx | DepMap | Descartes | 0.06 | 2.79 |
RBFOX1 | -0.0009200 | 12047 | GTEx | DepMap | Descartes | 0.06 | 2.11 |
REEP1 | -0.0009682 | 12128 | GTEx | DepMap | Descartes | 0.06 | 3.48 |
IL7 | -0.0009891 | 12158 | GTEx | DepMap | Descartes | 0.13 | 15.88 |
MAB21L2 | -0.0009894 | 12159 | GTEx | DepMap | Descartes | 0.07 | 4.82 |
GAL | -0.0010086 | 12184 | GTEx | DepMap | Descartes | 0.25 | 50.47 |
TUBB2A | -0.0010379 | 12214 | GTEx | DepMap | Descartes | 0.60 | 82.05 |
MAB21L1 | -0.0010675 | 12240 | GTEx | DepMap | Descartes | 0.18 | 10.02 |
BASP1 | -0.0011740 | 12330 | GTEx | DepMap | Descartes | 1.98 | 276.55 |
Descartes Vascular_endothelial markers
Top 50 marker genes of Vascular_endothelial cells in the Decartes fetal adrenal single cell map (https://atlas.brotmanbaty.org/bbi/human-gene-expression-during-development/cell/vascular_endothelial/in/adrenal)
Wilcoxon ranksum test P-value for gene set overrepresentation: 6.11e-01
Mean rank of genes in gene set: 6440.29
Median rank of genes in gene set: 5735.5
Rank on gene expression program of top 30 genes in gene set:
Genes | Weight | Rank | GTEx | DepMap | Descartes | Mean.Counts | Mean.TPM |
---|---|---|---|---|---|---|---|
BTNL9 | 0.0006435 | 1054 | GTEx | DepMap | Descartes | 0.01 | 1.25 |
EHD3 | 0.0002009 | 2172 | GTEx | DepMap | Descartes | 0.02 | 1.04 |
MYRIP | 0.0000691 | 2923 | GTEx | DepMap | Descartes | 0.01 | 0.22 |
FLT4 | -0.0000479 | 4263 | GTEx | DepMap | Descartes | 0.00 | 0.04 |
TEK | -0.0000500 | 4299 | GTEx | DepMap | Descartes | 0.00 | 0.00 |
TMEM88 | -0.0000543 | 4370 | GTEx | DepMap | Descartes | 0.03 | 17.09 |
SLCO2A1 | -0.0000584 | 4426 | GTEx | DepMap | Descartes | 0.00 | 0.00 |
NR5A2 | -0.0000588 | 4435 | GTEx | DepMap | Descartes | 0.00 | 0.00 |
NPR1 | -0.0000649 | 4562 | GTEx | DepMap | Descartes | 0.00 | 0.00 |
GALNT15 | -0.0000657 | 4571 | GTEx | DepMap | Descartes | 0.00 | NA |
F8 | -0.0000661 | 4576 | GTEx | DepMap | Descartes | 0.01 | 0.19 |
KDR | -0.0000770 | 4752 | GTEx | DepMap | Descartes | 0.00 | 0.00 |
ESM1 | -0.0000835 | 4886 | GTEx | DepMap | Descartes | 0.00 | 0.16 |
TIE1 | -0.0001058 | 5297 | GTEx | DepMap | Descartes | 0.00 | 0.00 |
CDH5 | -0.0001207 | 5588 | GTEx | DepMap | Descartes | 0.00 | 0.00 |
CLDN5 | -0.0001222 | 5603 | GTEx | DepMap | Descartes | 0.00 | 0.10 |
PLVAP | -0.0001230 | 5623 | GTEx | DepMap | Descartes | 0.01 | 2.32 |
CALCRL | -0.0001268 | 5698 | GTEx | DepMap | Descartes | 0.00 | 0.00 |
ROBO4 | -0.0001272 | 5705 | GTEx | DepMap | Descartes | 0.00 | 0.00 |
SHE | -0.0001301 | 5766 | GTEx | DepMap | Descartes | 0.00 | 0.00 |
PTPRB | -0.0001558 | 6260 | GTEx | DepMap | Descartes | 0.00 | 0.00 |
MMRN2 | -0.0001788 | 6663 | GTEx | DepMap | Descartes | 0.00 | 0.00 |
KANK3 | -0.0001826 | 6721 | GTEx | DepMap | Descartes | 0.00 | 0.00 |
RASIP1 | -0.0002134 | 7209 | GTEx | DepMap | Descartes | 0.00 | 0.41 |
PODXL | -0.0002230 | 7360 | GTEx | DepMap | Descartes | 0.01 | 0.11 |
SHANK3 | -0.0002310 | 7492 | GTEx | DepMap | Descartes | 0.00 | 0.03 |
CRHBP | -0.0002335 | 7529 | GTEx | DepMap | Descartes | 0.00 | 0.14 |
IRX3 | -0.0002363 | 7572 | GTEx | DepMap | Descartes | 0.02 | 0.72 |
ID1 | -0.0002734 | 8099 | GTEx | DepMap | Descartes | 0.15 | 30.50 |
CDH13 | -0.0002752 | 8129 | GTEx | DepMap | Descartes | 0.01 | 0.31 |
Descartes stromal markers
Top 50 marker genes of stromal cells in the Decartes fetal adrenal single cell map (https://atlas.brotmanbaty.org/bbi/human-gene-expression-during-development/cell/stromal/in/adrenal)
Wilcoxon ranksum test P-value for gene set overrepresentation: 3.29e-01
Mean rank of genes in gene set: 6032.98
Median rank of genes in gene set: 5866.5
Rank on gene expression program of top 30 genes in gene set:
Genes | Weight | Rank | GTEx | DepMap | Descartes | Mean.Counts | Mean.TPM |
---|---|---|---|---|---|---|---|
ABCA6 | 0.0001154 | 2614 | GTEx | DepMap | Descartes | 0.02 | 0.87 |
GAS2 | 0.0000550 | 3027 | GTEx | DepMap | Descartes | 0.03 | 1.98 |
ABCC9 | 0.0000272 | 3231 | GTEx | DepMap | Descartes | 0.02 | 0.40 |
GLI2 | -0.0000149 | 3681 | GTEx | DepMap | Descartes | 0.00 | 0.05 |
SFRP2 | -0.0000150 | 3682 | GTEx | DepMap | Descartes | 0.00 | 0.00 |
COL27A1 | -0.0000343 | 4006 | GTEx | DepMap | Descartes | 0.00 | 0.18 |
SCARA5 | -0.0000430 | 4162 | GTEx | DepMap | Descartes | 0.00 | 0.00 |
RSPO3 | -0.0000669 | 4593 | GTEx | DepMap | Descartes | 0.00 | NA |
POSTN | -0.0000718 | 4659 | GTEx | DepMap | Descartes | 0.00 | 0.00 |
ISLR | -0.0000723 | 4669 | GTEx | DepMap | Descartes | 0.00 | 0.71 |
ADAMTSL3 | -0.0000784 | 4784 | GTEx | DepMap | Descartes | 0.00 | 0.00 |
LOX | -0.0000815 | 4855 | GTEx | DepMap | Descartes | 0.00 | 0.28 |
C7 | -0.0000847 | 4908 | GTEx | DepMap | Descartes | 0.00 | 0.07 |
CCDC80 | -0.0000871 | 4955 | GTEx | DepMap | Descartes | 0.01 | 0.11 |
LAMC3 | -0.0000955 | 5120 | GTEx | DepMap | Descartes | 0.00 | 0.00 |
DCN | -0.0000959 | 5128 | GTEx | DepMap | Descartes | 0.21 | 6.91 |
IGFBP3 | -0.0001011 | 5227 | GTEx | DepMap | Descartes | 0.00 | 0.09 |
OGN | -0.0001124 | 5434 | GTEx | DepMap | Descartes | 0.01 | 0.20 |
PAMR1 | -0.0001148 | 5482 | GTEx | DepMap | Descartes | 0.01 | 0.64 |
LUM | -0.0001182 | 5544 | GTEx | DepMap | Descartes | 0.24 | 17.60 |
PCDH18 | -0.0001205 | 5587 | GTEx | DepMap | Descartes | 0.01 | 0.21 |
ITGA11 | -0.0001334 | 5834 | GTEx | DepMap | Descartes | 0.00 | 0.02 |
ACTA2 | -0.0001368 | 5899 | GTEx | DepMap | Descartes | 0.06 | 8.51 |
COL12A1 | -0.0001396 | 5960 | GTEx | DepMap | Descartes | 0.01 | 0.11 |
PRRX1 | -0.0001656 | 6420 | GTEx | DepMap | Descartes | 0.01 | 0.41 |
COL1A1 | -0.0001657 | 6421 | GTEx | DepMap | Descartes | 0.10 | 3.64 |
COL1A2 | -0.0001703 | 6496 | GTEx | DepMap | Descartes | 0.12 | 4.86 |
COL6A3 | -0.0001732 | 6556 | GTEx | DepMap | Descartes | 0.02 | 0.46 |
COL3A1 | -0.0001772 | 6642 | GTEx | DepMap | Descartes | 0.09 | 3.85 |
CLDN11 | -0.0001777 | 6644 | GTEx | DepMap | Descartes | 0.01 | 0.41 |
Descartes sympathoblasts markers
Top 50 marker genes of sympathoblasts cells in the Decartes fetal adrenal single cell map (https://atlas.brotmanbaty.org/bbi/human-gene-expression-during-development/cell/sympathoblasts/in/adrenal)
Wilcoxon ranksum test P-value for gene set overrepresentation: 1.00e+00
Mean rank of genes in gene set: 8693
Median rank of genes in gene set: 8724.5
Rank on gene expression program of top 30 genes in gene set:
Genes | Weight | Rank | GTEx | DepMap | Descartes | Mean.Counts | Mean.TPM |
---|---|---|---|---|---|---|---|
CCSER1 | 0.0002358 | 2016 | GTEx | DepMap | Descartes | 0.02 | NA |
EML6 | 0.0000614 | 2977 | GTEx | DepMap | Descartes | 0.03 | 0.89 |
PENK | 0.0000049 | 3417 | GTEx | DepMap | Descartes | 0.00 | 0.00 |
LAMA3 | -0.0000254 | 3852 | GTEx | DepMap | Descartes | 0.00 | 0.03 |
CNTN3 | -0.0001318 | 5811 | GTEx | DepMap | Descartes | 0.00 | 0.52 |
ST18 | -0.0001352 | 5866 | GTEx | DepMap | Descartes | 0.00 | 0.00 |
GCH1 | -0.0001446 | 6056 | GTEx | DepMap | Descartes | 0.15 | 17.37 |
SLC24A2 | -0.0001538 | 6221 | GTEx | DepMap | Descartes | 0.00 | 0.02 |
SORCS3 | -0.0001574 | 6280 | GTEx | DepMap | Descartes | 0.00 | 0.00 |
GRM7 | -0.0001937 | 6880 | GTEx | DepMap | Descartes | 0.00 | 0.00 |
CDH12 | -0.0002182 | 7288 | GTEx | DepMap | Descartes | 0.01 | 0.50 |
TBX20 | -0.0002397 | 7621 | GTEx | DepMap | Descartes | 0.00 | 0.00 |
PCSK2 | -0.0002531 | 7801 | GTEx | DepMap | Descartes | 0.00 | 0.10 |
DGKK | -0.0002546 | 7820 | GTEx | DepMap | Descartes | 0.00 | 0.11 |
KSR2 | -0.0002823 | 8246 | GTEx | DepMap | Descartes | 0.02 | 0.59 |
CDH18 | -0.0003051 | 8546 | GTEx | DepMap | Descartes | 0.00 | 0.00 |
TENM1 | -0.0003100 | 8605 | GTEx | DepMap | Descartes | 0.02 | NA |
GALNTL6 | -0.0003151 | 8660 | GTEx | DepMap | Descartes | 0.01 | 0.61 |
SPOCK3 | -0.0003189 | 8707 | GTEx | DepMap | Descartes | 0.01 | 0.49 |
AGBL4 | -0.0003219 | 8742 | GTEx | DepMap | Descartes | 0.01 | 0.38 |
PACRG | -0.0004203 | 9806 | GTEx | DepMap | Descartes | 0.02 | 1.79 |
GRID2 | -0.0004407 | 9995 | GTEx | DepMap | Descartes | 0.01 | 0.56 |
SLC35F3 | -0.0004563 | 10129 | GTEx | DepMap | Descartes | 0.01 | 0.63 |
NTNG1 | -0.0004829 | 10341 | GTEx | DepMap | Descartes | 0.02 | 0.31 |
MGAT4C | -0.0005033 | 10486 | GTEx | DepMap | Descartes | 0.03 | 0.23 |
TIAM1 | -0.0005345 | 10708 | GTEx | DepMap | Descartes | 0.03 | 1.56 |
UNC80 | -0.0005403 | 10743 | GTEx | DepMap | Descartes | 0.04 | 0.50 |
FGF14 | -0.0005455 | 10775 | GTEx | DepMap | Descartes | 0.02 | 0.26 |
SLC18A1 | -0.0005745 | 10947 | GTEx | DepMap | Descartes | 0.02 | 1.70 |
FAM155A | -0.0006221 | 11179 | GTEx | DepMap | Descartes | 0.03 | 0.66 |
Descartes erythroblasts markers
Top 50 marker genes of erythroblasts cells in the Decartes fetal adrenal single cell map (https://atlas.brotmanbaty.org/bbi/human-gene-expression-during-development/cell/erythroblasts/in/adrenal)
Wilcoxon ranksum test P-value for gene set overrepresentation: 2.98e-01
Mean rank of genes in gene set: 5919.41
Median rank of genes in gene set: 5947
Rank on gene expression program of top 30 genes in gene set:
Genes | Weight | Rank | GTEx | DepMap | Descartes | Mean.Counts | Mean.TPM |
---|---|---|---|---|---|---|---|
MARCH3 | 0.0022984 | 228 | GTEx | DepMap | Descartes | 0.12 | NA |
GYPC | 0.0013180 | 508 | GTEx | DepMap | Descartes | 0.98 | 181.65 |
CAT | 0.0011108 | 614 | GTEx | DepMap | Descartes | 0.21 | 34.76 |
DENND4A | 0.0006225 | 1100 | GTEx | DepMap | Descartes | 0.17 | 6.85 |
ANK1 | 0.0003372 | 1652 | GTEx | DepMap | Descartes | 0.02 | 1.13 |
SLC25A37 | 0.0003286 | 1676 | GTEx | DepMap | Descartes | 0.19 | 14.66 |
CPOX | 0.0002969 | 1788 | GTEx | DepMap | Descartes | 0.04 | 5.82 |
EPB41 | 0.0000765 | 2867 | GTEx | DepMap | Descartes | 0.21 | 12.93 |
ABCB10 | 0.0000272 | 3232 | GTEx | DepMap | Descartes | 0.03 | 1.36 |
SLC25A21 | -0.0000152 | 3684 | GTEx | DepMap | Descartes | 0.00 | 0.00 |
ALAS2 | -0.0000628 | 4522 | GTEx | DepMap | Descartes | 0.00 | 0.23 |
RHD | -0.0000835 | 4884 | GTEx | DepMap | Descartes | 0.00 | 0.00 |
RGS6 | -0.0000879 | 4970 | GTEx | DepMap | Descartes | 0.00 | 0.24 |
SLC4A1 | -0.0000972 | 5153 | GTEx | DepMap | Descartes | 0.00 | 0.29 |
SELENBP1 | -0.0001389 | 5947 | GTEx | DepMap | Descartes | 0.00 | 0.00 |
TRAK2 | -0.0002257 | 7404 | GTEx | DepMap | Descartes | 0.04 | 1.59 |
SPECC1 | -0.0002547 | 7823 | GTEx | DepMap | Descartes | 0.02 | 0.49 |
GCLC | -0.0002618 | 7936 | GTEx | DepMap | Descartes | 0.02 | 1.02 |
BLVRB | -0.0002838 | 8267 | GTEx | DepMap | Descartes | 0.16 | 30.48 |
TFR2 | -0.0003290 | 8820 | GTEx | DepMap | Descartes | 0.01 | 0.59 |
RAPGEF2 | -0.0003345 | 8887 | GTEx | DepMap | Descartes | 0.05 | 1.94 |
XPO7 | -0.0003401 | 8961 | GTEx | DepMap | Descartes | 0.04 | 2.66 |
MICAL2 | -0.0003471 | 9056 | GTEx | DepMap | Descartes | 0.01 | 0.35 |
TMCC2 | -0.0003538 | 9119 | GTEx | DepMap | Descartes | 0.01 | 0.90 |
FECH | -0.0003596 | 9181 | GTEx | DepMap | Descartes | 0.04 | 1.12 |
SPTB | -0.0004016 | 9636 | GTEx | DepMap | Descartes | 0.01 | 0.25 |
SOX6 | -0.0004922 | 10408 | GTEx | DepMap | Descartes | 0.01 | 0.21 |
TSPAN5 | -0.0007016 | 11499 | GTEx | DepMap | Descartes | 0.09 | 5.46 |
SNCA | -0.0008216 | 11841 | GTEx | DepMap | Descartes | 0.07 | 5.66 |
NA | NA | NA | NA | NA | NA | NA | NA |
Descartes myeloid markers
Top 50 marker genes of myeloid cells in the Decartes fetal adrenal single cell map (https://atlas.brotmanbaty.org/bbi/human-gene-expression-during-development/cell/myeloid/in/adrenal)
Wilcoxon ranksum test P-value for gene set overrepresentation: 9.03e-01
Mean rank of genes in gene set: 7036.37
Median rank of genes in gene set: 8303
Rank on gene expression program of top 30 genes in gene set:
Genes | Weight | Rank | GTEx | DepMap | Descartes | Mean.Counts | Mean.TPM |
---|---|---|---|---|---|---|---|
CD74 | 0.0071591 | 34 | GTEx | DepMap | Descartes | 24.15 | 2967.36 |
MARCH1 | 0.0037750 | 104 | GTEx | DepMap | Descartes | 0.23 | NA |
FGD2 | 0.0032801 | 131 | GTEx | DepMap | Descartes | 0.10 | 6.53 |
CYBB | 0.0026715 | 188 | GTEx | DepMap | Descartes | 0.25 | 23.57 |
CTSS | 0.0016298 | 373 | GTEx | DepMap | Descartes | 0.75 | 72.61 |
ITPR2 | 0.0008497 | 818 | GTEx | DepMap | Descartes | 0.15 | 4.70 |
HCK | 0.0007874 | 880 | GTEx | DepMap | Descartes | 0.10 | 17.39 |
IFNGR1 | 0.0003163 | 1710 | GTEx | DepMap | Descartes | 0.22 | 30.50 |
SLC9A9 | 0.0002610 | 1914 | GTEx | DepMap | Descartes | 0.03 | 2.60 |
ABCA1 | -0.0000368 | 4045 | GTEx | DepMap | Descartes | 0.06 | 2.29 |
SPP1 | -0.0000821 | 4869 | GTEx | DepMap | Descartes | 0.98 | 188.35 |
SFMBT2 | -0.0001015 | 5235 | GTEx | DepMap | Descartes | 0.02 | 0.60 |
CD163 | -0.0002238 | 7373 | GTEx | DepMap | Descartes | 0.03 | 0.99 |
HRH1 | -0.0002295 | 7467 | GTEx | DepMap | Descartes | 0.01 | 0.24 |
CD14 | -0.0002381 | 7601 | GTEx | DepMap | Descartes | 0.09 | 13.88 |
MERTK | -0.0002432 | 7671 | GTEx | DepMap | Descartes | 0.01 | 0.65 |
PTPRE | -0.0002548 | 7825 | GTEx | DepMap | Descartes | 0.16 | 11.35 |
ADAP2 | -0.0002664 | 7998 | GTEx | DepMap | Descartes | 0.04 | 4.52 |
SLCO2B1 | -0.0002825 | 8253 | GTEx | DepMap | Descartes | 0.02 | 0.76 |
ATP8B4 | -0.0002906 | 8353 | GTEx | DepMap | Descartes | 0.00 | 0.07 |
RGL1 | -0.0002944 | 8403 | GTEx | DepMap | Descartes | 0.01 | 0.47 |
MSR1 | -0.0003264 | 8794 | GTEx | DepMap | Descartes | 0.02 | 1.46 |
SLC1A3 | -0.0003384 | 8934 | GTEx | DepMap | Descartes | 0.02 | 0.85 |
MS4A4A | -0.0003680 | 9258 | GTEx | DepMap | Descartes | 0.07 | 10.29 |
LGMN | -0.0003876 | 9483 | GTEx | DepMap | Descartes | 0.18 | 22.33 |
CSF1R | -0.0003997 | 9614 | GTEx | DepMap | Descartes | 0.06 | 2.78 |
CTSD | -0.0004038 | 9658 | GTEx | DepMap | Descartes | 0.63 | 84.46 |
CTSB | -0.0004146 | 9760 | GTEx | DepMap | Descartes | 0.52 | 38.01 |
FGL2 | -0.0004465 | 10049 | GTEx | DepMap | Descartes | 0.12 | 6.47 |
WWP1 | -0.0004892 | 10385 | GTEx | DepMap | Descartes | 0.04 | 2.03 |
Descartes Schwann markers
Top 50 marker genes of Schwann cells in the Decartes fetal adrenal single cell map (https://atlas.brotmanbaty.org/bbi/human-gene-expression-during-development/cell/schwann/in/adrenal)
Wilcoxon ranksum test P-value for gene set overrepresentation: 1.00e+00
Mean rank of genes in gene set: 8125.68
Median rank of genes in gene set: 8187.5
Rank on gene expression program of top 30 genes in gene set:
Genes | Weight | Rank | GTEx | DepMap | Descartes | Mean.Counts | Mean.TPM |
---|---|---|---|---|---|---|---|
PLCE1 | 0.0001188 | 2591 | GTEx | DepMap | Descartes | 0.03 | 0.59 |
PTPRZ1 | 0.0000023 | 3452 | GTEx | DepMap | Descartes | 0.00 | 0.00 |
HMGA2 | -0.0000361 | 4036 | GTEx | DepMap | Descartes | 0.00 | 0.00 |
IL1RAPL2 | -0.0000417 | 4132 | GTEx | DepMap | Descartes | 0.00 | 0.00 |
NRXN3 | -0.0000599 | 4454 | GTEx | DepMap | Descartes | 0.00 | 0.06 |
LAMC1 | -0.0000785 | 4785 | GTEx | DepMap | Descartes | 0.03 | 1.27 |
MDGA2 | -0.0000801 | 4823 | GTEx | DepMap | Descartes | 0.00 | 0.00 |
OLFML2A | -0.0000844 | 4904 | GTEx | DepMap | Descartes | 0.01 | 0.15 |
GAS7 | -0.0001303 | 5769 | GTEx | DepMap | Descartes | 0.04 | 1.70 |
ADAMTS5 | -0.0001311 | 5791 | GTEx | DepMap | Descartes | 0.00 | 0.00 |
EDNRB | -0.0001341 | 5846 | GTEx | DepMap | Descartes | 0.00 | 0.08 |
GRIK3 | -0.0001361 | 5883 | GTEx | DepMap | Descartes | 0.00 | 0.02 |
IL1RAPL1 | -0.0001443 | 6053 | GTEx | DepMap | Descartes | 0.00 | 0.00 |
MPZ | -0.0001455 | 6072 | GTEx | DepMap | Descartes | 0.01 | 0.94 |
PLP1 | -0.0001503 | 6161 | GTEx | DepMap | Descartes | 0.00 | 0.22 |
COL5A2 | -0.0001601 | 6330 | GTEx | DepMap | Descartes | 0.02 | 0.33 |
ERBB3 | -0.0001737 | 6568 | GTEx | DepMap | Descartes | 0.00 | 0.00 |
TRPM3 | -0.0001910 | 6846 | GTEx | DepMap | Descartes | 0.00 | 0.00 |
COL25A1 | -0.0002143 | 7226 | GTEx | DepMap | Descartes | 0.00 | 0.32 |
STARD13 | -0.0002241 | 7381 | GTEx | DepMap | Descartes | 0.00 | 0.07 |
ERBB4 | -0.0002289 | 7458 | GTEx | DepMap | Descartes | 0.00 | 0.00 |
SLC35F1 | -0.0002679 | 8015 | GTEx | DepMap | Descartes | 0.00 | 0.11 |
XKR4 | -0.0002910 | 8360 | GTEx | DepMap | Descartes | 0.00 | 0.08 |
FIGN | -0.0003307 | 8841 | GTEx | DepMap | Descartes | 0.03 | 0.56 |
EGFLAM | -0.0003485 | 9070 | GTEx | DepMap | Descartes | 0.01 | 0.17 |
COL18A1 | -0.0003600 | 9185 | GTEx | DepMap | Descartes | 0.06 | 2.21 |
LRRTM4 | -0.0003892 | 9497 | GTEx | DepMap | Descartes | 0.00 | 0.12 |
KCTD12 | -0.0003986 | 9604 | GTEx | DepMap | Descartes | 0.03 | 1.61 |
SOX5 | -0.0004231 | 9840 | GTEx | DepMap | Descartes | 0.04 | 1.42 |
PTN | -0.0004471 | 10053 | GTEx | DepMap | Descartes | 0.12 | 19.22 |
Descartes Megakaryocytes markers
Top 50 marker genes of Megakaryocytes cells in the Decartes fetal adrenal single cell map (https://atlas.brotmanbaty.org/bbi/human-gene-expression-during-development/cell/megakaryocytes/in/adrenal)
Wilcoxon ranksum test P-value for gene set overrepresentation: 1.06e-01
Mean rank of genes in gene set: 5602.73
Median rank of genes in gene set: 5228
Rank on gene expression program of top 30 genes in gene set:
Genes | Weight | Rank | GTEx | DepMap | Descartes | Mean.Counts | Mean.TPM |
---|---|---|---|---|---|---|---|
SLC2A3 | 0.0029433 | 160 | GTEx | DepMap | Descartes | 0.68 | 61.28 |
P2RX1 | 0.0020859 | 265 | GTEx | DepMap | Descartes | 0.06 | 8.76 |
FLI1 | 0.0012632 | 539 | GTEx | DepMap | Descartes | 0.10 | 7.64 |
MYH9 | 0.0011579 | 589 | GTEx | DepMap | Descartes | 0.40 | 19.49 |
TMSB4X | 0.0011215 | 606 | GTEx | DepMap | Descartes | 58.64 | 11678.35 |
TGFB1 | 0.0009361 | 749 | GTEx | DepMap | Descartes | 0.39 | 58.66 |
TLN1 | 0.0008416 | 827 | GTEx | DepMap | Descartes | 0.26 | 11.47 |
RAP1B | 0.0008386 | 833 | GTEx | DepMap | Descartes | 0.53 | 16.03 |
FERMT3 | 0.0006964 | 991 | GTEx | DepMap | Descartes | 0.23 | 28.75 |
FLNA | 0.0005617 | 1193 | GTEx | DepMap | Descartes | 0.26 | 11.02 |
ACTB | 0.0005025 | 1281 | GTEx | DepMap | Descartes | 16.27 | 2166.01 |
UBASH3B | 0.0002157 | 2104 | GTEx | DepMap | Descartes | 0.02 | 1.22 |
ITGB3 | 0.0000402 | 3131 | GTEx | DepMap | Descartes | 0.00 | 0.00 |
CD84 | -0.0000063 | 3544 | GTEx | DepMap | Descartes | 0.06 | 1.79 |
GP1BA | -0.0000270 | 3876 | GTEx | DepMap | Descartes | 0.00 | 0.00 |
TPM4 | -0.0000432 | 4164 | GTEx | DepMap | Descartes | 0.77 | 40.99 |
PLEK | -0.0000472 | 4255 | GTEx | DepMap | Descartes | 0.21 | 22.58 |
PDE3A | -0.0000540 | 4364 | GTEx | DepMap | Descartes | 0.02 | 0.70 |
TRPC6 | -0.0000622 | 4509 | GTEx | DepMap | Descartes | 0.00 | 0.07 |
MED12L | -0.0000764 | 4732 | GTEx | DepMap | Descartes | 0.01 | 0.27 |
ARHGAP6 | -0.0000892 | 5006 | GTEx | DepMap | Descartes | 0.00 | 0.00 |
LTBP1 | -0.0000973 | 5157 | GTEx | DepMap | Descartes | 0.00 | 0.00 |
MMRN1 | -0.0001012 | 5228 | GTEx | DepMap | Descartes | 0.00 | 0.10 |
SLC24A3 | -0.0001280 | 5726 | GTEx | DepMap | Descartes | 0.00 | 0.00 |
SPN | -0.0001304 | 5775 | GTEx | DepMap | Descartes | 0.12 | 4.28 |
TUBB1 | -0.0001431 | 6024 | GTEx | DepMap | Descartes | 0.00 | 0.00 |
MCTP1 | -0.0001713 | 6516 | GTEx | DepMap | Descartes | 0.01 | 0.22 |
GSN | -0.0001789 | 6665 | GTEx | DepMap | Descartes | 0.41 | 15.60 |
MYLK | -0.0002022 | 7045 | GTEx | DepMap | Descartes | 0.03 | 0.41 |
ITGA2B | -0.0002123 | 7192 | GTEx | DepMap | Descartes | 0.00 | 0.09 |
Descartes Lyphoid markers
Top 50 marker genes of Lyphoid cells in the Decartes fetal adrenal single cell map (https://atlas.brotmanbaty.org/bbi/human-gene-expression-during-development/cell/lymphoid/in/adrenal)
Wilcoxon ranksum test P-value for gene set overrepresentation: 7.15e-04
Mean rank of genes in gene set: 4495.52
Median rank of genes in gene set: 1554.5
Rank on gene expression program of top 30 genes in gene set:
Genes | Weight | Rank | GTEx | DepMap | Descartes | Mean.Counts | Mean.TPM |
---|---|---|---|---|---|---|---|
RCSD1 | 0.0081243 | 22 | GTEx | DepMap | Descartes | 0.73 | 67.79 |
SP100 | 0.0045638 | 74 | GTEx | DepMap | Descartes | 0.53 | 43.62 |
ARHGDIB | 0.0031395 | 142 | GTEx | DepMap | Descartes | 3.26 | 1024.00 |
BACH2 | 0.0028996 | 164 | GTEx | DepMap | Descartes | 0.27 | 14.99 |
PLEKHA2 | 0.0028990 | 165 | GTEx | DepMap | Descartes | 0.22 | 16.37 |
ANKRD44 | 0.0027533 | 182 | GTEx | DepMap | Descartes | 0.36 | 22.29 |
MCTP2 | 0.0024928 | 202 | GTEx | DepMap | Descartes | 0.10 | 5.68 |
ARID5B | 0.0022884 | 230 | GTEx | DepMap | Descartes | 0.42 | 26.00 |
B2M | 0.0021561 | 252 | GTEx | DepMap | Descartes | 37.62 | 5949.11 |
FOXP1 | 0.0016693 | 358 | GTEx | DepMap | Descartes | 0.89 | 45.43 |
CCND3 | 0.0016501 | 364 | GTEx | DepMap | Descartes | 0.59 | 95.11 |
LCP1 | 0.0014565 | 432 | GTEx | DepMap | Descartes | 0.66 | 60.69 |
MSN | 0.0014180 | 450 | GTEx | DepMap | Descartes | 0.50 | 52.61 |
WIPF1 | 0.0013643 | 482 | GTEx | DepMap | Descartes | 0.40 | 32.65 |
ARHGAP15 | 0.0013423 | 494 | GTEx | DepMap | Descartes | 0.32 | 45.33 |
MBNL1 | 0.0013065 | 515 | GTEx | DepMap | Descartes | 0.41 | 24.70 |
IKZF1 | 0.0012470 | 553 | GTEx | DepMap | Descartes | 0.36 | 26.77 |
PTPRC | 0.0011929 | 577 | GTEx | DepMap | Descartes | 0.99 | 73.07 |
ITPKB | 0.0010813 | 630 | GTEx | DepMap | Descartes | 0.08 | 5.00 |
BCL2 | 0.0005101 | 1266 | GTEx | DepMap | Descartes | 0.29 | 15.33 |
CELF2 | 0.0003797 | 1543 | GTEx | DepMap | Descartes | 0.35 | 14.87 |
PDE3B | 0.0003702 | 1566 | GTEx | DepMap | Descartes | 0.15 | 9.75 |
DOCK10 | 0.0002322 | 2037 | GTEx | DepMap | Descartes | 0.15 | 7.47 |
ABLIM1 | 0.0001407 | 2473 | GTEx | DepMap | Descartes | 0.15 | 7.41 |
SORL1 | 0.0001212 | 2575 | GTEx | DepMap | Descartes | 0.17 | 5.90 |
ETS1 | 0.0000308 | 3200 | GTEx | DepMap | Descartes | 0.25 | 20.51 |
CD44 | -0.0000455 | 4213 | GTEx | DepMap | Descartes | 0.86 | 51.98 |
SCML4 | -0.0001612 | 6350 | GTEx | DepMap | Descartes | 0.04 | 3.90 |
SKAP1 | -0.0002876 | 8320 | GTEx | DepMap | Descartes | 0.11 | 25.07 |
EVL | -0.0003302 | 8834 | GTEx | DepMap | Descartes | 1.04 | 91.06 |
Below shows the ranks on this GEP for immune marker gene lists curated by CellTypist (https://www.celltypist.org/encyclopedia).
High ranks indicate this gene is a driver of this GEP.
These curated gene list are ranked by P-value (on this GEP) of their constituent genes.
The Mean Count column shows the mean read count in cells scoring highly (H > 50) on this gene expression program.
Genes | Weight | Rank | GTEx | DepMap | Decartes | Mean.Counts | Mean.TPM |
---|---|---|---|---|---|---|---|
CD79A | 0.0244662 | 1 | GTEx | DepMap | Descartes | 3.27 | 1386.56 |
CD74 | 0.0071591 | 34 | GTEx | DepMap | Descartes | 24.15 | 2967.36 |
MALAT1 | 0.0016203 | 380 | GTEx | DepMap | Descartes | 190.92 | 8780.97 |
B cells: B cells (curated markers)
B lymphocytes with diverse cell surface immunoglobulin receptors recognising specific antigenic epitopes and mediating humoral immunity:
Wilcoxon ranksum test P-value for gene set overrepresentation: 7.18e-03
Mean rank of genes in gene set: 3.5
Rank on gene expression program of genes in gene set:
Genes | Weight | Rank | GTEx | DepMap | Decartes | Mean.Counts | Mean.TPM |
---|---|---|---|---|---|---|---|
CD79A | 0.0244662 | 1 | GTEx | DepMap | Descartes | 3.27 | 1386.56 |
CD19 | 0.0147713 | 6 | GTEx | DepMap | Descartes | 0.35 | 65.47 |
B cells: Follicular B cells (curated markers)
resting mature B lymphocytes found in the primary and secondary lymphoid follicles and participating in T cell-dependent immune responses:
Wilcoxon ranksum test P-value for gene set overrepresentation: 7.22e-03
Mean rank of genes in gene set: 8.5
Rank on gene expression program of genes in gene set:
Genes | Weight | Rank | GTEx | DepMap | Decartes | Mean.Counts | Mean.TPM |
---|---|---|---|---|---|---|---|
CD22 | 0.0150326 | 5 | GTEx | DepMap | Descartes | 0.45 | 62.78 |
CXCR5 | 0.0106511 | 12 | GTEx | DepMap | Descartes | 0.22 | 18.89 |