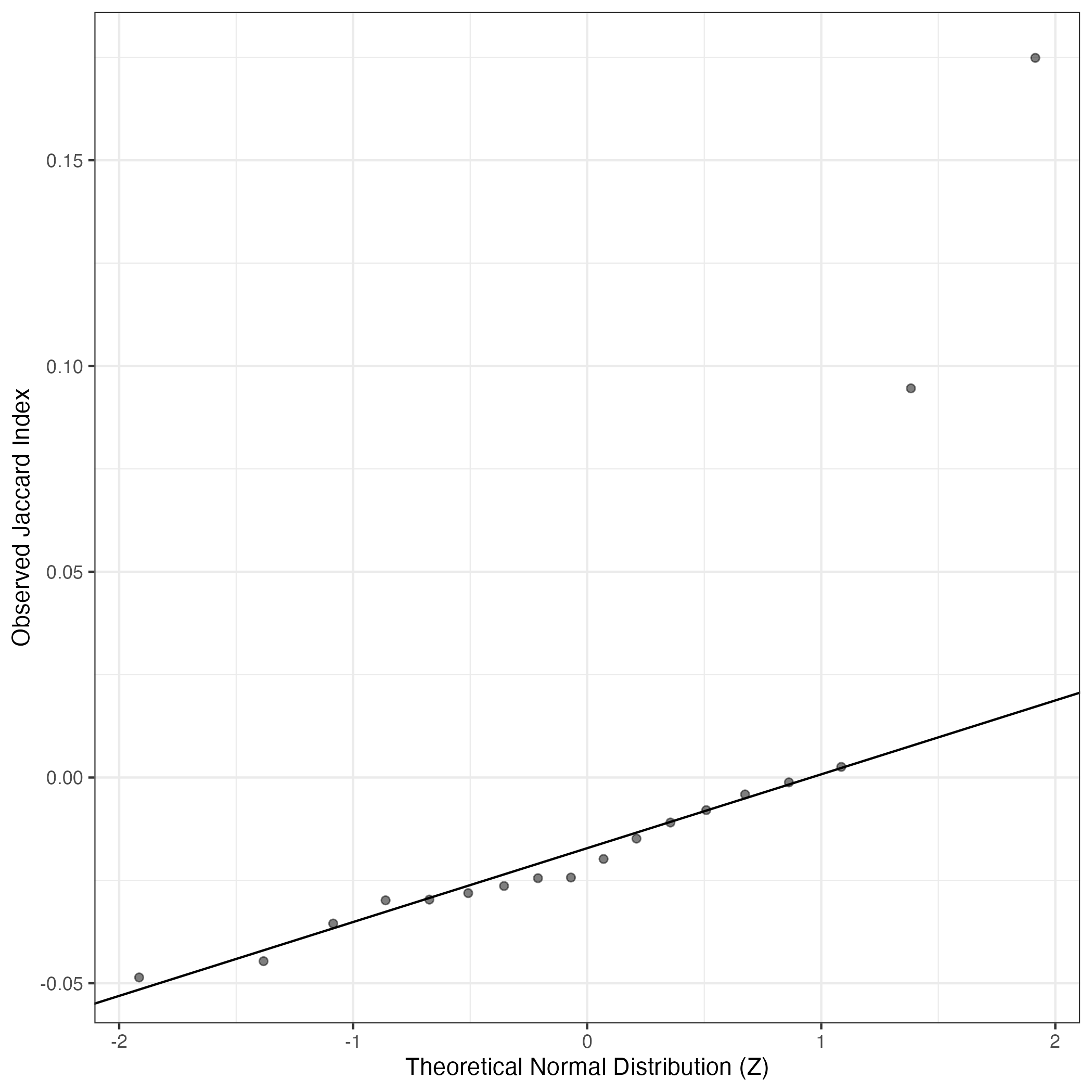
QQ-plot of gene loadings, averaged over both independent splits of the data
This plot highlights the relative contribution of each gene to the GEP
Top genes driving this program. Note: Decartes website is buggy, try refreshing. Also, Decartes fetal adrenal data have been collected at specific time points (89-122 days), all possible cell types of interest may not be represented, do not overinterpret. The Mean Count column shows the mean read count in cells scoring highly (H > 50) on this gene expression program (currently only calculated for the cells in the first 50/50 split of the data).
Note: Decartes website is buggy, try refreshing. Also, Decartes fetal adrenal data have been collected at specific time points (89-122 days), all possible cell types of interest may not be represented, do not overinterpret.
The Mean Count column shows the mean read count in cells scoring highly (H > 50) on this gene expression program.
Gene | Loading | Gene.Name | GTEx | DepMap | Descartes | Mean.Counts | Mean.Tpm | |
---|---|---|---|---|---|---|---|---|
1 | STMN2 | 0.0143561 | stathmin 2 | GTEx | DepMap | Descartes | 72.83 | 6004.22 |
2 | MAPT | 0.0134381 | microtubule associated protein tau | GTEx | DepMap | Descartes | 21.57 | 488.57 |
3 | TUBA1A | 0.0127529 | tubulin alpha 1a | GTEx | DepMap | Descartes | 99.49 | 7878.82 |
4 | GAP43 | 0.0125004 | growth associated protein 43 | GTEx | DepMap | Descartes | 30.85 | 2666.88 |
5 | RTN1 | 0.0120585 | reticulon 1 | GTEx | DepMap | Descartes | 17.01 | 826.27 |
6 | VSNL1 | 0.0117232 | visinin like 1 | GTEx | DepMap | Descartes | 8.97 | 548.03 |
7 | CCND1 | 0.0112340 | cyclin D1 | GTEx | DepMap | Descartes | 59.77 | 2648.80 |
8 | UCHL1 | 0.0109099 | ubiquitin C-terminal hydrolase L1 | GTEx | DepMap | Descartes | 26.19 | 2553.91 |
9 | CELF4 | 0.0106351 | CUGBP Elav-like family member 4 | GTEx | DepMap | Descartes | 9.17 | 416.24 |
10 | NNAT | 0.0102044 | neuronatin | GTEx | DepMap | Descartes | 10.32 | 1353.73 |
11 | MLLT11 | 0.0101876 | MLLT11 transcription factor 7 cofactor | GTEx | DepMap | Descartes | 15.97 | 986.07 |
12 | CRMP1 | 0.0100123 | collapsin response mediator protein 1 | GTEx | DepMap | Descartes | 9.12 | 435.44 |
13 | NREP | 0.0099296 | neuronal regeneration related protein | GTEx | DepMap | Descartes | 15.20 | NA |
14 | TUBB2B | 0.0094441 | tubulin beta 2B class IIb | GTEx | DepMap | Descartes | 15.27 | 1162.65 |
15 | GNG3 | 0.0093461 | G protein subunit gamma 3 | GTEx | DepMap | Descartes | 3.81 | 660.83 |
16 | KIF5A | 0.0092114 | kinesin family member 5A | GTEx | DepMap | Descartes | 5.08 | 130.78 |
17 | MEG3 | 0.0091654 | maternally expressed 3 | GTEx | DepMap | Descartes | 48.00 | 675.21 |
18 | SYT13 | 0.0089691 | synaptotagmin 13 | GTEx | DepMap | Descartes | 2.27 | 68.79 |
19 | KRT19 | 0.0089006 | keratin 19 | GTEx | DepMap | Descartes | 9.53 | 1090.46 |
20 | PCSK1N | 0.0088614 | proprotein convertase subtilisin/kexin type 1 inhibitor | GTEx | DepMap | Descartes | 9.27 | 1429.60 |
21 | VAT1 | 0.0088264 | vesicle amine transport 1 | GTEx | DepMap | Descartes | 13.17 | 735.34 |
22 | PTCHD1 | 0.0088235 | patched domain containing 1 | GTEx | DepMap | Descartes | 3.99 | 53.93 |
23 | VAT1L | 0.0087820 | vesicle amine transport 1 like | GTEx | DepMap | Descartes | 5.21 | 217.79 |
24 | ATP6V0A1 | 0.0087655 | ATPase H+ transporting V0 subunit a1 | GTEx | DepMap | Descartes | 8.19 | 292.23 |
25 | SNAP25 | 0.0087251 | synaptosome associated protein 25 | GTEx | DepMap | Descartes | 5.61 | 414.10 |
26 | PAK3 | 0.0086948 | p21 (RAC1) activated kinase 3 | GTEx | DepMap | Descartes | 8.12 | 134.37 |
27 | RUNDC3A | 0.0086843 | RUN domain containing 3A | GTEx | DepMap | Descartes | 6.34 | 281.74 |
28 | SYT7 | 0.0085773 | synaptotagmin 7 | GTEx | DepMap | Descartes | 3.14 | 72.36 |
29 | GNAO1 | 0.0085588 | G protein subunit alpha o1 | GTEx | DepMap | Descartes | 6.01 | 161.25 |
30 | TUBB2A | 0.0084662 | tubulin beta 2A class IIa | GTEx | DepMap | Descartes | 14.87 | 1373.49 |
31 | MAP2 | 0.0082747 | microtubule associated protein 2 | GTEx | DepMap | Descartes | 7.94 | 120.49 |
32 | ALCAM | 0.0082746 | activated leukocyte cell adhesion molecule | GTEx | DepMap | Descartes | 11.76 | 396.76 |
33 | FRRS1L | 0.0082167 | ferric chelate reductase 1 like | GTEx | DepMap | Descartes | 3.26 | NA |
34 | KIF5C | 0.0082106 | kinesin family member 5C | GTEx | DepMap | Descartes | 12.42 | 252.89 |
35 | TMOD1 | 0.0081811 | tropomodulin 1 | GTEx | DepMap | Descartes | 8.30 | 442.40 |
36 | DPP6 | 0.0081143 | dipeptidyl peptidase like 6 | GTEx | DepMap | Descartes | 5.08 | 161.59 |
37 | NDRG4 | 0.0081081 | NDRG family member 4 | GTEx | DepMap | Descartes | 7.34 | 221.01 |
38 | REEP1 | 0.0080769 | receptor accessory protein 1 | GTEx | DepMap | Descartes | 3.41 | 138.42 |
39 | NEFL | 0.0079951 | neurofilament light chain | GTEx | DepMap | Descartes | 4.04 | 186.25 |
40 | SYP | 0.0078902 | synaptophysin | GTEx | DepMap | Descartes | 4.60 | 296.56 |
41 | PEG3 | 0.0078632 | paternally expressed 3 | GTEx | DepMap | Descartes | 17.22 | NA |
42 | ELAVL4 | 0.0078374 | ELAV like RNA binding protein 4 | GTEx | DepMap | Descartes | 11.40 | 419.41 |
43 | CALY | 0.0078180 | calcyon neuron specific vesicular protein | GTEx | DepMap | Descartes | 1.70 | 112.79 |
44 | STMN1 | 0.0078049 | stathmin 1 | GTEx | DepMap | Descartes | 24.82 | 1256.14 |
45 | ENO2 | 0.0076999 | enolase 2 | GTEx | DepMap | Descartes | 7.99 | 438.03 |
46 | TUB | 0.0076589 | TUB bipartite transcription factor | GTEx | DepMap | Descartes | 2.90 | 69.08 |
47 | RAB6B | 0.0076514 | RAB6B, member RAS oncogene family | GTEx | DepMap | Descartes | 3.43 | 98.87 |
48 | MAP1B | 0.0074211 | microtubule associated protein 1B | GTEx | DepMap | Descartes | 42.80 | 500.54 |
49 | BRSK2 | 0.0074188 | BR serine/threonine kinase 2 | GTEx | DepMap | Descartes | 2.16 | 83.78 |
50 | APLP1 | 0.0073700 | amyloid beta precursor like protein 1 | GTEx | DepMap | Descartes | 6.19 | 415.91 |
UMAP plots showing activity of gene expression program identified in community:14. Neuroblastoma: Adrenergic #2
CNV Data procured from inferCNV.
Outer tracks are putative CNV regions (gains = red, losses = blue) for each patient
Inner track is expression data representing:
The top cells expressing this GEP (purple)
Random cells (n =50) from the reference set used in inferCNV (orange)
Gene set Enrichments for this program, caculated from top 50 genes
mSigDB Cell Types Gene Set:
P-value | OR | Lower 95% CI | FDR | FWER | Genes Found | Gene Set Size | |
---|---|---|---|---|---|---|---|
TRAVAGLINI_LUNG_NEUROENDOCRINE_CELL | 9.49e-28 | 77.03 | 40.11 | 1.27e-25 | 6.37e-25 | 20STMN2, UCHL1, NNAT, CRMP1, TUBB2B, MEG3, SYT13, PCSK1N, SNAP25, PAK3, RUNDC3A, SYT7, GNAO1, KIF5C, ELAVL4, CALY, STMN1, ENO2, MAP1B, APLP1 |
128 |
DURANTE_ADULT_OLFACTORY_NEUROEPITHELIUM_GLOBOSE_BASAL_CELLS | 7.49e-13 | 87.68 | 32.55 | 2.39e-11 | 5.03e-10 | 8STMN2, TUBA1A, RTN1, UCHL1, TUBB2B, ELAVL4, STMN1, MAP1B |
35 |
HU_FETAL_RETINA_HORIZONTAL | 2.40e-12 | 73.99 | 27.84 | 7.33e-11 | 1.61e-09 | 8STMN2, TUBA1A, RTN1, NNAT, MLLT11, TUBB2B, NDRG4, STMN1 |
40 |
MANNO_MIDBRAIN_NEUROTYPES_HDA2 | 3.72e-33 | 46.20 | 24.98 | 1.64e-30 | 2.50e-30 | 32STMN2, TUBA1A, GAP43, RTN1, VSNL1, UCHL1, CELF4, NNAT, MLLT11, CRMP1, NREP, TUBB2B, GNG3, MEG3, SYT13, SNAP25, PAK3, RUNDC3A, SYT7, GNAO1, TUBB2A, MAP2, DPP6, NDRG4, REEP1, SYP, ELAVL4, STMN1, ENO2, TUB, MAP1B, APLP1 |
513 |
HU_FETAL_RETINA_RGC | 9.15e-32 | 45.41 | 24.73 | 2.05e-29 | 6.14e-29 | 30STMN2, MAPT, TUBA1A, GAP43, RTN1, UCHL1, CELF4, MLLT11, CRMP1, TUBB2B, KIF5A, SYT13, PCSK1N, VAT1, SNAP25, SYT7, GNAO1, TUBB2A, MAP2, ALCAM, KIF5C, NDRG4, REEP1, NEFL, ELAVL4, STMN1, ENO2, RAB6B, MAP1B, APLP1 |
443 |
HU_FETAL_RETINA_AMACRINE | 4.76e-14 | 57.71 | 24.47 | 1.60e-12 | 3.19e-11 | 10STMN2, RTN1, CELF4, NNAT, MLLT11, NREP, TUBB2B, TUBB2A, MAP2, STMN1 |
64 |
MANNO_MIDBRAIN_NEUROTYPES_HDA1 | 4.88e-33 | 44.10 | 23.71 | 1.64e-30 | 3.27e-30 | 33STMN2, GAP43, RTN1, VSNL1, UCHL1, CELF4, NNAT, MLLT11, CRMP1, NREP, TUBB2B, GNG3, MEG3, SYT13, PCSK1N, VAT1, SNAP25, PAK3, RUNDC3A, SYT7, GNAO1, MAP2, KIF5C, DPP6, NDRG4, REEP1, SYP, PEG3, ELAVL4, ENO2, TUB, MAP1B, APLP1 |
584 |
MANNO_MIDBRAIN_NEUROTYPES_HOMTN | 1.90e-28 | 40.55 | 22.15 | 3.19e-26 | 1.27e-25 | 27STMN2, TUBA1A, GAP43, RTN1, UCHL1, MLLT11, CRMP1, TUBB2B, GNG3, MEG3, VAT1L, SNAP25, RUNDC3A, SYT7, TUBB2A, MAP2, ALCAM, KIF5C, REEP1, NEFL, SYP, ELAVL4, STMN1, ENO2, RAB6B, MAP1B, APLP1 |
389 |
DURANTE_ADULT_OLFACTORY_NEUROEPITHELIUM_IMMATURE_NEURONS | 2.95e-18 | 43.12 | 21.34 | 1.56e-16 | 1.98e-15 | 15STMN2, TUBA1A, GAP43, RTN1, UCHL1, CRMP1, TUBB2B, PCSK1N, RUNDC3A, TUBB2A, KIF5C, ELAVL4, STMN1, MAP1B, APLP1 |
139 |
MANNO_MIDBRAIN_NEUROTYPES_HNBML1 | 5.87e-24 | 34.91 | 18.89 | 5.63e-22 | 3.94e-21 | 23STMN2, TUBA1A, GAP43, RTN1, UCHL1, NNAT, MLLT11, CRMP1, NREP, TUBB2B, GNG3, PCSK1N, SNAP25, PAK3, RUNDC3A, SYT7, MAP2, KIF5C, NDRG4, ELAVL4, STMN1, MAP1B, BRSK2 |
328 |
DESCARTES_FETAL_PANCREAS_ENS_NEURONS | 3.31e-17 | 36.17 | 17.96 | 1.48e-15 | 2.22e-14 | 15STMN2, TUBA1A, GAP43, UCHL1, NNAT, MLLT11, TUBB2B, GNG3, KIF5A, VAT1L, TUBB2A, ELAVL4, ENO2, RAB6B, MAP1B |
163 |
DESCARTES_FETAL_STOMACH_ENS_NEURONS | 1.02e-11 | 42.13 | 17.30 | 2.75e-10 | 6.87e-09 | 9STMN2, MAPT, GAP43, UCHL1, TUBB2B, TUBB2A, DPP6, NDRG4, ELAVL4 |
74 |
MANNO_MIDBRAIN_NEUROTYPES_HRN | 3.11e-22 | 31.39 | 16.91 | 2.32e-20 | 2.09e-19 | 22STMN2, GAP43, RTN1, UCHL1, CELF4, NNAT, MLLT11, CRMP1, NREP, TUBB2B, GNG3, SYT13, SNAP25, PAK3, SYT7, MAP2, KIF5C, SYP, ELAVL4, STMN1, MAP1B, APLP1 |
335 |
MANNO_MIDBRAIN_NEUROTYPES_HDA | 1.84e-25 | 30.66 | 16.79 | 2.05e-23 | 1.23e-22 | 27STMN2, TUBA1A, GAP43, RTN1, UCHL1, CELF4, NNAT, MLLT11, CRMP1, NREP, TUBB2B, GNG3, MEG3, SYT13, SNAP25, PAK3, SYT7, GNAO1, MAP2, KIF5C, DPP6, REEP1, ELAVL4, STMN1, ENO2, MAP1B, APLP1 |
506 |
DESCARTES_FETAL_INTESTINE_ENS_NEURONS | 8.96e-16 | 33.28 | 16.22 | 3.76e-14 | 6.01e-13 | 14STMN2, MAPT, GAP43, UCHL1, MLLT11, TUBB2B, GNG3, KIF5A, VAT1L, TUBB2A, DPP6, NDRG4, ELAVL4, MAP1B |
160 |
MANNO_MIDBRAIN_NEUROTYPES_HSERT | 2.54e-22 | 27.11 | 14.77 | 2.13e-20 | 1.70e-19 | 24STMN2, GAP43, RTN1, VSNL1, UCHL1, CELF4, MLLT11, CRMP1, GNG3, MEG3, SYT13, PCSK1N, VAT1L, SNAP25, GNAO1, TUBB2A, KIF5C, NDRG4, REEP1, SYP, PEG3, ENO2, MAP1B, APLP1 |
450 |
DURANTE_ADULT_OLFACTORY_NEUROEPITHELIUM_MATURE_NEURONS | 7.84e-15 | 28.07 | 13.74 | 2.77e-13 | 5.26e-12 | 14STMN2, TUBA1A, GAP43, RTN1, UCHL1, TUBB2B, PCSK1N, SNAP25, RUNDC3A, REEP1, NEFL, ENO2, MAP1B, APLP1 |
187 |
MANNO_MIDBRAIN_NEUROTYPES_HNBM | 1.76e-17 | 25.38 | 13.25 | 8.42e-16 | 1.18e-14 | 18STMN2, TUBA1A, GAP43, NNAT, MLLT11, CRMP1, TUBB2B, GNG3, SNAP25, PAK3, RUNDC3A, SYT7, MAP2, KIF5C, ELAVL4, STMN1, MAP1B, BRSK2 |
295 |
MANNO_MIDBRAIN_NEUROTYPES_HNBML5 | 1.36e-20 | 24.11 | 13.09 | 8.29e-19 | 9.12e-18 | 23STMN2, RTN1, VSNL1, CELF4, NNAT, MLLT11, CRMP1, NREP, TUBB2B, GNG3, MEG3, SYT13, SNAP25, PAK3, GNAO1, MAP2, KIF5C, NDRG4, PEG3, ELAVL4, ENO2, MAP1B, APLP1 |
465 |
MANNO_MIDBRAIN_NEUROTYPES_HNBGABA | 7.70e-22 | 21.74 | 11.93 | 5.17e-20 | 5.17e-19 | 27STMN2, GAP43, RTN1, UCHL1, CELF4, NNAT, CRMP1, TUBB2B, MEG3, SYT13, VAT1L, SNAP25, PAK3, RUNDC3A, SYT7, GNAO1, MAP2, KIF5C, DPP6, NDRG4, REEP1, SYP, PEG3, ELAVL4, RAB6B, MAP1B, APLP1 |
703 |
Dowload full table
mSigDB Hallmark Gene Sets:
P-value | OR | Lower 95% CI | FDR | FWER | Genes Found | Gene Set Size | |
---|---|---|---|---|---|---|---|
HALLMARK_ESTROGEN_RESPONSE_EARLY | 1.08e-03 | 7.12 | 2.18 | 5.40e-02 | 5.40e-02 | 5MAPT, CCND1, TUBB2B, KRT19, REEP1 |
200 |
HALLMARK_HEDGEHOG_SIGNALING | 8.94e-03 | 15.30 | 1.73 | 1.37e-01 | 4.47e-01 | 2RTN1, CRMP1 |
36 |
HALLMARK_PANCREAS_BETA_CELLS | 1.10e-02 | 13.70 | 1.56 | 1.37e-01 | 5.48e-01 | 2SYT13, PAK3 |
40 |
HALLMARK_KRAS_SIGNALING_UP | 7.71e-03 | 5.55 | 1.44 | 1.37e-01 | 3.85e-01 | 4PCSK1N, SNAP25, KIF5C, PEG3 |
200 |
HALLMARK_ESTROGEN_RESPONSE_LATE | 4.35e-02 | 4.05 | 0.80 | 4.35e-01 | 1.00e+00 | 3MAPT, CCND1, KRT19 |
200 |
HALLMARK_ANDROGEN_RESPONSE | 5.93e-02 | 5.31 | 0.62 | 4.94e-01 | 1.00e+00 | 2CCND1, KRT19 |
100 |
HALLMARK_APOPTOSIS | 1.32e-01 | 3.28 | 0.38 | 6.16e-01 | 1.00e+00 | 2CCND1, ENO2 |
161 |
HALLMARK_IL2_STAT5_SIGNALING | 1.83e-01 | 2.64 | 0.31 | 6.16e-01 | 1.00e+00 | 2ALCAM, APLP1 |
199 |
HALLMARK_TNFA_SIGNALING_VIA_NFKB | 1.85e-01 | 2.63 | 0.31 | 6.16e-01 | 1.00e+00 | 2CCND1, TUBB2A |
200 |
HALLMARK_HYPOXIA | 1.85e-01 | 2.63 | 0.31 | 6.16e-01 | 1.00e+00 | 2KIF5A, ENO2 |
200 |
HALLMARK_G2M_CHECKPOINT | 1.85e-01 | 2.63 | 0.31 | 6.16e-01 | 1.00e+00 | 2CCND1, STMN1 |
200 |
HALLMARK_MYOGENESIS | 1.85e-01 | 2.63 | 0.31 | 6.16e-01 | 1.00e+00 | 2GNAO1, REEP1 |
200 |
HALLMARK_EPITHELIAL_MESENCHYMAL_TRANSITION | 1.85e-01 | 2.63 | 0.31 | 6.16e-01 | 1.00e+00 | 2ENO2, APLP1 |
200 |
HALLMARK_GLYCOLYSIS | 1.85e-01 | 2.63 | 0.31 | 6.16e-01 | 1.00e+00 | 2STMN1, ENO2 |
200 |
HALLMARK_NOTCH_SIGNALING | 1.20e-01 | 8.23 | 0.20 | 6.16e-01 | 1.00e+00 | 1CCND1 |
32 |
HALLMARK_CHOLESTEROL_HOMEOSTASIS | 2.55e-01 | 3.49 | 0.09 | 7.97e-01 | 1.00e+00 | 1ALCAM |
74 |
HALLMARK_UNFOLDED_PROTEIN_RESPONSE | 3.62e-01 | 2.28 | 0.06 | 1.00e+00 | 1.00e+00 | 1TUBB2A |
113 |
HALLMARK_SPERMATOGENESIS | 4.15e-01 | 1.90 | 0.05 | 1.00e+00 | 1.00e+00 | 1PCSK1N |
135 |
HALLMARK_UV_RESPONSE_DN | 4.35e-01 | 1.78 | 0.04 | 1.00e+00 | 1.00e+00 | 1MAP1B |
144 |
HALLMARK_FATTY_ACID_METABOLISM | 4.66e-01 | 1.62 | 0.04 | 1.00e+00 | 1.00e+00 | 1ENO2 |
158 |
Dowload full table
KEGG Pathways:
P-value | OR | Lower 95% CI | FDR | FWER | Genes Found | Gene Set Size | |
---|---|---|---|---|---|---|---|
KEGG_PATHOGENIC_ESCHERICHIA_COLI_INFECTION | 1.40e-03 | 15.04 | 2.91 | 2.61e-01 | 2.61e-01 | 3TUBA1A, TUBB2B, TUBB2A |
56 |
KEGG_GAP_JUNCTION | 5.37e-03 | 9.17 | 1.79 | 5.00e-01 | 1.00e+00 | 3TUBA1A, TUBB2B, TUBB2A |
90 |
KEGG_FOCAL_ADHESION | 1.83e-01 | 2.64 | 0.31 | 1.00e+00 | 1.00e+00 | 2CCND1, PAK3 |
199 |
KEGG_MAPK_SIGNALING_PATHWAY | 2.80e-01 | 1.97 | 0.23 | 1.00e+00 | 1.00e+00 | 2MAPT, STMN1 |
267 |
KEGG_THYROID_CANCER | 1.09e-01 | 9.11 | 0.22 | 1.00e+00 | 1.00e+00 | 1CCND1 |
29 |
KEGG_SNARE_INTERACTIONS_IN_VESICULAR_TRANSPORT | 1.41e-01 | 6.89 | 0.17 | 1.00e+00 | 1.00e+00 | 1SNAP25 |
38 |
KEGG_BLADDER_CANCER | 1.54e-01 | 6.22 | 0.15 | 1.00e+00 | 1.00e+00 | 1CCND1 |
42 |
KEGG_TASTE_TRANSDUCTION | 1.87e-01 | 5.00 | 0.12 | 1.00e+00 | 1.00e+00 | 1GNG3 |
52 |
KEGG_ENDOMETRIAL_CANCER | 1.87e-01 | 5.00 | 0.12 | 1.00e+00 | 1.00e+00 | 1CCND1 |
52 |
KEGG_AMYOTROPHIC_LATERAL_SCLEROSIS_ALS | 1.90e-01 | 4.91 | 0.12 | 1.00e+00 | 1.00e+00 | 1NEFL |
53 |
KEGG_VIBRIO_CHOLERAE_INFECTION | 1.94e-01 | 4.81 | 0.12 | 1.00e+00 | 1.00e+00 | 1ATP6V0A1 |
54 |
KEGG_NON_SMALL_CELL_LUNG_CANCER | 1.94e-01 | 4.81 | 0.12 | 1.00e+00 | 1.00e+00 | 1CCND1 |
54 |
KEGG_ACUTE_MYELOID_LEUKEMIA | 2.03e-01 | 4.55 | 0.11 | 1.00e+00 | 1.00e+00 | 1CCND1 |
57 |
KEGG_RNA_DEGRADATION | 2.09e-01 | 4.40 | 0.11 | 1.00e+00 | 1.00e+00 | 1ENO2 |
59 |
KEGG_GLYCOLYSIS_GLUCONEOGENESIS | 2.19e-01 | 4.18 | 0.10 | 1.00e+00 | 1.00e+00 | 1ENO2 |
62 |
KEGG_COLORECTAL_CANCER | 2.19e-01 | 4.18 | 0.10 | 1.00e+00 | 1.00e+00 | 1CCND1 |
62 |
KEGG_GLIOMA | 2.28e-01 | 3.99 | 0.10 | 1.00e+00 | 1.00e+00 | 1CCND1 |
65 |
KEGG_P53_SIGNALING_PATHWAY | 2.37e-01 | 3.81 | 0.09 | 1.00e+00 | 1.00e+00 | 1CCND1 |
68 |
KEGG_EPITHELIAL_CELL_SIGNALING_IN_HELICOBACTER_PYLORI_INFECTION | 2.37e-01 | 3.81 | 0.09 | 1.00e+00 | 1.00e+00 | 1ATP6V0A1 |
68 |
KEGG_LONG_TERM_DEPRESSION | 2.43e-01 | 3.70 | 0.09 | 1.00e+00 | 1.00e+00 | 1GNAO1 |
70 |
Dowload full table
CHR Positional Gene Sets:
P-value | OR | Lower 95% CI | FDR | FWER | Genes Found | Gene Set Size | |
---|---|---|---|---|---|---|---|
chr17q21 | 3.04e-02 | 3.07 | 0.95 | 1.00e+00 | 1.00e+00 | 5MAPT, KRT19, VAT1, ATP6V0A1, RUNDC3A |
457 |
chr6p25 | 4.17e-02 | 6.51 | 0.75 | 1.00e+00 | 1.00e+00 | 2TUBB2B, TUBB2A |
82 |
chr3q13 | 1.67e-01 | 2.82 | 0.33 | 1.00e+00 | 1.00e+00 | 2GAP43, ALCAM |
187 |
chr4p13 | 1.16e-01 | 8.50 | 0.20 | 1.00e+00 | 1.00e+00 | 1UCHL1 |
31 |
chr11q12 | 3.72e-01 | 1.57 | 0.18 | 1.00e+00 | 1.00e+00 | 2GNG3, SYT7 |
333 |
chrXp11 | 6.55e-01 | 1.42 | 0.17 | 1.00e+00 | 1.00e+00 | 2PCSK1N, SYP |
370 |
chr16q13 | 1.47e-01 | 6.54 | 0.16 | 1.00e+00 | 1.00e+00 | 1GNAO1 |
40 |
chr12q13 | 6.71e-01 | 1.29 | 0.15 | 1.00e+00 | 1.00e+00 | 2TUBA1A, KIF5A |
407 |
chr2q34 | 1.64e-01 | 5.80 | 0.14 | 1.00e+00 | 1.00e+00 | 1MAP2 |
45 |
chr2q23 | 1.84e-01 | 5.10 | 0.12 | 1.00e+00 | 1.00e+00 | 1KIF5C |
51 |
chr5q22 | 1.97e-01 | 4.72 | 0.12 | 1.00e+00 | 1.00e+00 | 1NREP |
55 |
chr1p33 | 2.13e-01 | 4.32 | 0.11 | 1.00e+00 | 1.00e+00 | 1ELAVL4 |
60 |
chr16q21 | 2.55e-01 | 3.49 | 0.09 | 1.00e+00 | 1.00e+00 | 1NDRG4 |
74 |
chr2p24 | 2.55e-01 | 3.49 | 0.09 | 1.00e+00 | 1.00e+00 | 1VSNL1 |
74 |
chrXq23 | 2.98e-01 | 2.90 | 0.07 | 1.00e+00 | 1.00e+00 | 1PAK3 |
89 |
chr18q12 | 3.17e-01 | 2.68 | 0.07 | 1.00e+00 | 1.00e+00 | 1CELF4 |
96 |
chr16q23 | 3.39e-01 | 2.48 | 0.06 | 1.00e+00 | 1.00e+00 | 1VAT1L |
104 |
chr20p12 | 3.39e-01 | 2.48 | 0.06 | 1.00e+00 | 1.00e+00 | 1SNAP25 |
104 |
chr3q22 | 3.72e-01 | 2.20 | 0.05 | 1.00e+00 | 1.00e+00 | 1RAB6B |
117 |
chr19q13 | 4.39e-01 | 0.45 | 0.05 | 1.00e+00 | 1.00e+00 | 2PEG3, APLP1 |
1165 |
Dowload full table
Transcription Factor Targets:
P-value | OR | Lower 95% CI | FDR | FWER | Genes Found | Gene Set Size | |
---|---|---|---|---|---|---|---|
NRSF_01 | 5.72e-04 | 11.68 | 2.99 | 6.37e-02 | 6.48e-01 | 4STMN2, ATP6V0A1, SNAP25, RUNDC3A |
97 |
CTGCAGY_UNKNOWN | 3.97e-06 | 5.74 | 2.79 | 3.81e-03 | 4.50e-03 | 13STMN2, MAPT, TUBA1A, VSNL1, NNAT, GNG3, PCSK1N, PTCHD1, ALCAM, NEFL, ELAVL4, ENO2, MAP1B |
779 |
GGGYGTGNY_UNKNOWN | 6.73e-06 | 5.86 | 2.77 | 3.81e-03 | 7.62e-03 | 12TUBA1A, GAP43, RTN1, UCHL1, MLLT11, CRMP1, KIF5A, VAT1, PAK3, STMN1, RAB6B, MAP1B |
686 |
RNTCANNRNNYNATTW_UNKNOWN | 2.06e-03 | 13.07 | 2.53 | 9.67e-02 | 1.00e+00 | 3CELF4, MAP2, ELAVL4 |
64 |
FOXM1_01 | 3.88e-04 | 7.04 | 2.43 | 6.37e-02 | 4.40e-01 | 6VSNL1, CELF4, PCSK1N, SNAP25, ELAVL4, STMN1 |
248 |
YY1_02 | 4.13e-04 | 6.96 | 2.40 | 6.37e-02 | 4.68e-01 | 6TUBA1A, CCND1, SNAP25, GNAO1, PEG3, BRSK2 |
251 |
GGCKCATGS_UNKNOWN | 2.45e-03 | 12.27 | 2.38 | 9.67e-02 | 1.00e+00 | 3VSNL1, CCND1, CELF4 |
68 |
PAX4_03 | 4.58e-04 | 6.82 | 2.35 | 6.37e-02 | 5.19e-01 | 6STMN2, NREP, PCSK1N, GNAO1, STMN1, MAP1B |
256 |
YWATTWNNRGCT_UNKNOWN | 2.77e-03 | 11.73 | 2.28 | 9.67e-02 | 1.00e+00 | 3SNAP25, GNAO1, MAP2 |
71 |
YGCANTGCR_UNKNOWN | 1.55e-03 | 8.83 | 2.27 | 9.67e-02 | 1.00e+00 | 4VSNL1, NNAT, MLLT11, MAP1B |
127 |
DR4_Q2 | 5.58e-04 | 6.56 | 2.26 | 6.37e-02 | 6.33e-01 | 6NNAT, NREP, PCSK1N, ELAVL4, ENO2, RAB6B |
266 |
MYCMAX_B | 6.38e-04 | 6.38 | 2.20 | 6.37e-02 | 7.23e-01 | 6CCND1, CELF4, CRMP1, SNAP25, SYT7, STMN1 |
273 |
HSF1_01 | 6.75e-04 | 6.31 | 2.18 | 6.37e-02 | 7.65e-01 | 6RTN1, NNAT, PAK3, MAP2, ELAVL4, RAB6B |
276 |
GATA_Q6 | 1.10e-03 | 7.08 | 2.17 | 8.34e-02 | 1.00e+00 | 5NREP, TUBB2B, SYT7, ELAVL4, ENO2 |
201 |
HSF_Q6 | 1.31e-03 | 6.81 | 2.09 | 8.75e-02 | 1.00e+00 | 5RTN1, UCHL1, NNAT, SNAP25, CALY |
209 |
YATTNATC_UNKNOWN | 6.21e-04 | 5.43 | 2.05 | 6.37e-02 | 7.03e-01 | 7STMN2, CELF4, NREP, KIF5A, VAT1, PTCHD1, GNAO1 |
382 |
GTGGGTGK_UNKNOWN | 9.81e-04 | 5.86 | 2.02 | 8.14e-02 | 1.00e+00 | 6MAPT, UCHL1, CELF4, TUBB2B, PAK3, TUB |
297 |
EGR3_01 | 4.29e-03 | 9.97 | 1.94 | 1.11e-01 | 1.00e+00 | 3CELF4, PTCHD1, SNAP25 |
83 |
GGGTGGRR_PAX4_03 | 1.53e-04 | 3.75 | 1.87 | 5.77e-02 | 1.73e-01 | 14STMN2, MAPT, GAP43, CELF4, NREP, PCSK1N, PTCHD1, RUNDC3A, GNAO1, ELAVL4, ENO2, TUB, RAB6B, MAP1B |
1310 |
TCCATTKW_UNKNOWN | 2.42e-03 | 5.88 | 1.81 | 9.67e-02 | 1.00e+00 | 5VSNL1, NNAT, GNAO1, MAP2, ELAVL4 |
241 |
Dowload full table
GO Biological Processes:
P-value | OR | Lower 95% CI | FDR | FWER | Genes Found | Gene Set Size | |
---|---|---|---|---|---|---|---|
GOBP_ANTEROGRADE_DENDRITIC_TRANSPORT | 1.54e-04 | 172.68 | 14.09 | 3.12e-02 | 1.00e+00 | 2KIF5A, KIF5C |
5 |
GOBP_NEGATIVE_REGULATION_OF_MICROTUBULE_POLYMERIZATION | 1.65e-05 | 79.36 | 13.63 | 5.14e-03 | 1.23e-01 | 3STMN2, MAP2, STMN1 |
13 |
GOBP_ANTEROGRADE_AXONAL_TRANSPORT | 1.09e-06 | 33.01 | 9.74 | 5.80e-04 | 8.13e-03 | 5KIF5A, MAP2, KIF5C, NEFL, CALY |
47 |
GOBP_REGULATION_OF_MICROTUBULE_POLYMERIZATION | 1.49e-06 | 30.82 | 9.13 | 7.41e-04 | 1.11e-02 | 5STMN2, MAPT, MAP2, STMN1, MAP1B |
50 |
GOBP_AXO_DENDRITIC_TRANSPORT | 2.82e-07 | 27.03 | 9.08 | 2.34e-04 | 2.11e-03 | 6MAPT, KIF5A, MAP2, KIF5C, NEFL, CALY |
69 |
GOBP_NEGATIVE_REGULATION_OF_MICROTUBULE_POLYMERIZATION_OR_DEPOLYMERIZATION | 1.32e-05 | 32.88 | 8.14 | 4.94e-03 | 9.89e-02 | 4STMN2, MAP2, STMN1, MAP1B |
37 |
GOBP_RETROGRADE_AXONAL_TRANSPORT | 7.49e-05 | 44.24 | 8.07 | 1.80e-02 | 5.60e-01 | 3KIF5A, NEFL, CALY |
21 |
GOBP_PERIPHERAL_NERVOUS_SYSTEM_AXON_REGENERATION | 5.49e-04 | 74.10 | 7.33 | 7.61e-02 | 1.00e+00 | 2NEFL, MAP1B |
9 |
GOBP_DENDRITIC_TRANSPORT | 5.49e-04 | 74.10 | 7.33 | 7.61e-02 | 1.00e+00 | 2KIF5A, KIF5C |
9 |
GOBP_ANTEROGRADE_AXONAL_PROTEIN_TRANSPORT | 5.49e-04 | 74.10 | 7.33 | 7.61e-02 | 1.00e+00 | 2KIF5A, KIF5C |
9 |
GOBP_ESTABLISHMENT_OF_MITOCHONDRION_LOCALIZATION | 1.28e-04 | 36.22 | 6.71 | 2.73e-02 | 9.57e-01 | 3MAPT, NEFL, MAP1B |
25 |
GOBP_DENSE_CORE_GRANULE_TRANSPORT | 6.85e-04 | 64.86 | 6.55 | 8.59e-02 | 1.00e+00 | 2KIF5A, MAP2 |
10 |
GOBP_NEUROTRANSMITTER_RECEPTOR_TRANSPORT | 3.17e-05 | 25.85 | 6.47 | 8.47e-03 | 2.37e-01 | 4KIF5A, SNAP25, KIF5C, CALY |
46 |
GOBP_TRANSPORT_ALONG_MICROTUBULE | 1.50e-07 | 16.08 | 6.41 | 1.76e-04 | 1.12e-03 | 8MAPT, KIF5A, MAP2, KIF5C, NEFL, CALY, TUB, MAP1B |
156 |
GOBP_CYTOSKELETON_DEPENDENT_INTRACELLULAR_TRANSPORT | 5.57e-08 | 14.75 | 6.21 | 1.39e-04 | 4.17e-04 | 9MAPT, TUBA1A, KIF5A, MAP2, KIF5C, NEFL, CALY, TUB, MAP1B |
195 |
GOBP_PROTEIN_LOCALIZATION_TO_PRESYNAPSE | 8.35e-04 | 57.69 | 5.91 | 1.00e-01 | 1.00e+00 | 2KIF5A, KIF5C |
11 |
GOBP_MICROTUBULE_POLYMERIZATION | 1.26e-05 | 19.27 | 5.80 | 4.94e-03 | 9.46e-02 | 5STMN2, MAPT, MAP2, STMN1, MAP1B |
77 |
GOBP_REGULATION_OF_MICROTUBULE_POLYMERIZATION_OR_DEPOLYMERIZATION | 1.62e-05 | 18.27 | 5.51 | 5.14e-03 | 1.21e-01 | 5STMN2, MAPT, MAP2, STMN1, MAP1B |
81 |
GOBP_ORGANELLE_TRANSPORT_ALONG_MICROTUBULE | 1.62e-05 | 18.27 | 5.51 | 5.14e-03 | 1.21e-01 | 5MAPT, KIF5A, MAP2, NEFL, MAP1B |
81 |
GOBP_SYNAPTIC_VESICLE_LOCALIZATION | 5.99e-05 | 21.71 | 5.47 | 1.49e-02 | 4.48e-01 | 4KIF5A, MAP2, KIF5C, BRSK2 |
54 |
Dowload full table
Immunological Gene Sets:
P-value | OR | Lower 95% CI | FDR | FWER | Genes Found | Gene Set Size | |
---|---|---|---|---|---|---|---|
GSE21546_WT_VS_SAP1A_KO_AND_ELK1_KO_ANTI_CD3_STIM_DP_THYMOCYTES_UP | 1.20e-04 | 8.83 | 3.04 | 5.86e-01 | 5.86e-01 | 6RTN1, NREP, KIF5A, VAT1L, REEP1, RAB6B |
199 |
GSE21546_UNSTIM_VS_ANTI_CD3_STIM_SAP1A_KO_DP_THYMOCYTES_UP | 1.03e-03 | 7.19 | 2.20 | 1.00e+00 | 1.00e+00 | 5UCHL1, MLLT11, NREP, VAT1L, TUBB2A |
198 |
GSE17721_0.5H_VS_4H_CPG_BMDC_DN | 1.08e-03 | 7.12 | 2.18 | 1.00e+00 | 1.00e+00 | 5RTN1, NNAT, ALCAM, KIF5C, ENO2 |
200 |
GSE1925_CTRL_VS_3H_IFNG_STIM_IFNG_PRIMED_MACROPHAGE_DN | 1.08e-03 | 7.12 | 2.18 | 1.00e+00 | 1.00e+00 | 5NNAT, CRMP1, NEFL, PEG3, ENO2 |
200 |
GSE13411_IGM_VS_SWITCHED_MEMORY_BCELL_UP | 6.83e-03 | 5.75 | 1.49 | 1.00e+00 | 1.00e+00 | 4CCND1, UCHL1, DPP6, SYP |
193 |
GSE22886_IL2_VS_IL15_STIM_NKCELL_UP | 7.20e-03 | 5.66 | 1.47 | 1.00e+00 | 1.00e+00 | 4VSNL1, SYT13, GNAO1, PEG3 |
196 |
GSE22886_NAIVE_CD8_TCELL_VS_NEUTROPHIL_DN | 7.32e-03 | 5.63 | 1.46 | 1.00e+00 | 1.00e+00 | 4STMN2, TUBA1A, MAP2, TUB |
197 |
GSE22611_NOD2_TRANSD_VS_CTRL_TRANSD_HEK293_MDP_STIM_6H_UP | 7.32e-03 | 5.63 | 1.46 | 1.00e+00 | 1.00e+00 | 4NREP, VAT1, MAP2, SYP |
197 |
GSE3982_MAC_VS_TH1_UP | 7.45e-03 | 5.60 | 1.45 | 1.00e+00 | 1.00e+00 | 4TUBA1A, RTN1, VAT1, TUBB2A |
198 |
GSE7460_TREG_VS_TCONV_ACT_WITH_TGFB_UP | 7.45e-03 | 5.60 | 1.45 | 1.00e+00 | 1.00e+00 | 4TUBB2B, FRRS1L, KIF5C, NDRG4 |
198 |
GSE28783_ANTI_MIR33_VS_CTRL_ATHEROSCLEROSIS_MACROPHAGE_DN | 7.45e-03 | 5.60 | 1.45 | 1.00e+00 | 1.00e+00 | 4PEG3, ELAVL4, STMN1, BRSK2 |
198 |
GSE15930_STIM_VS_STIM_AND_IL12_24H_CD8_T_CELL_DN | 7.58e-03 | 5.57 | 1.44 | 1.00e+00 | 1.00e+00 | 4RTN1, RUNDC3A, SYT7, ELAVL4 |
199 |
GSE4142_NAIVE_VS_GC_BCELL_UP | 7.58e-03 | 5.57 | 1.44 | 1.00e+00 | 1.00e+00 | 4UCHL1, CRMP1, SYT13, NEFL |
199 |
GSE5455_HEALTHY_VS_TUMOR_BEARING_MOUSE_SPLEEN_MONOCYTE_24H_INCUBATION_UP | 7.58e-03 | 5.57 | 1.44 | 1.00e+00 | 1.00e+00 | 4MLLT11, TUBB2B, TUBB2A, REEP1 |
199 |
GSE40274_FOXP3_VS_FOXP3_AND_GATA1_TRANSDUCED_ACTIVATED_CD4_TCELL_DN | 7.58e-03 | 5.57 | 1.44 | 1.00e+00 | 1.00e+00 | 4TUBB2A, NDRG4, NEFL, ENO2 |
199 |
GSE19825_NAIVE_VS_DAY3_EFF_CD8_TCELL_UP | 7.71e-03 | 5.55 | 1.44 | 1.00e+00 | 1.00e+00 | 4NREP, PTCHD1, SYP, ELAVL4 |
200 |
GSE30083_SP1_VS_SP4_THYMOCYTE_UP | 7.71e-03 | 5.55 | 1.44 | 1.00e+00 | 1.00e+00 | 4TUBA1A, UCHL1, TUBB2B, ENO2 |
200 |
GSE360_DC_VS_MAC_B_MALAYI_HIGH_DOSE_DN | 7.71e-03 | 5.55 | 1.44 | 1.00e+00 | 1.00e+00 | 4RTN1, TUBB2A, ENO2, APLP1 |
200 |
GSE360_L_DONOVANI_VS_T_GONDII_DC_UP | 7.71e-03 | 5.55 | 1.44 | 1.00e+00 | 1.00e+00 | 4VSNL1, CCND1, KIF5A, ENO2 |
200 |
GSE16385_IFNG_TNF_VS_IL4_STIM_MACROPHAGE_UP | 7.71e-03 | 5.55 | 1.44 | 1.00e+00 | 1.00e+00 | 4RTN1, CCND1, CELF4, TUBB2A |
200 |
Top Ranked Transcription Factors for this Gene Expression Program:
Gene Symbol | TF Rank | DNA Binding Domain | Motif Status | IUPAC PWM | GTEx | DepMap | Decartes |
---|---|---|---|---|---|---|---|
MLLT11 | 11 | No | Unlikely to be sequence specific TF | Not a DNA binding protein | No motif | None | None |
PEG3 | 41 | Yes | Likely to be sequence specific TF | Monomer or homomultimer | No motif | None | SCAN C2H2 ZF Protein. |
TUB | 46 | No | Unlikely to be sequence specific TF | Low specificity DNA-binding protein | No motif | None | The Tubby C-terminal domain (IPR000007; PF01167) has been shown to impart nuclear localization and bind select dsDNA sequences in gel-shift experiments (PMID: 10591637). This article hypothesized that this domain constitutes a bona fide sequence specific TF, but no concrete evidence for this exists to date |
HAND2 | 65 | Yes | Known motif | Monomer or homomultimer | High-throughput in vitro | None | None |
EBF1 | 99 | Yes | Known motif | Monomer or homomultimer | High-throughput in vitro | None | None |
HDAC5 | 100 | No | Unlikely to be sequence specific TF | Not a DNA binding protein | No motif | None | Histone deacetylase; likely to be a transcriptional cofactor |
CAMTA1 | 107 | Yes | Likely to be sequence specific TF | Monomer or homomultimer | No motif | None | Binds CGCATTGCG based on EMSA performed in (PMID: 25049392) |
SMARCE1 | 125 | No | Unlikely to be sequence specific TF | Low specificity DNA-binding protein | No motif | None | In the alignment, it clusters with other HMG proteins that have not yielded motifs. Contributes to SWI/SNF DNA-binding (PMID: 9435219). |
SORBS2 | 130 | No | Unlikely to be sequence specific TF | Not a DNA binding protein | No motif | None | None |
POU2F2 | 135 | Yes | Known motif | Monomer or homomultimer | High-throughput in vitro | None | None |
GATA3 | 159 | Yes | Known motif | Monomer or homomultimer | High-throughput in vitro | None | None |
ZFHX3 | 183 | Yes | Known motif | Monomer or homomultimer | High-throughput in vitro | None | None |
EPHA5 | 207 | No | Unlikely to be sequence specific TF | Not a DNA binding protein | No motif | None | None |
MYT1 | 208 | Yes | Likely to be sequence specific TF | Monomer or homomultimer | No motif | None | Crystal structure (PDB:2JX1) has GTGAACTTTCGGT DNA; similar to MYT1L SELEX and PBM sites. |
MEIS1 | 210 | Yes | Known motif | Monomer or homomultimer | High-throughput in vitro | None | None |
NTRK1 | 237 | No | Unlikely to be sequence specific TF | Not a DNA binding protein | No motif | None | Membrane bound receptor protein |
BPTF | 244 | Yes | Known motif | Monomer or homomultimer | In vivo/Misc source | Only known motifs are from Transfac or HocoMoco - origin is uncertain; Has a putative AT-hook | (PMID: 10575013) obtained a motif by SELEX and showed that mutating the sequence diminished binding in vitro. Unusual for a PHD/Ring finger, but its there in the literature. |
PHOX2A | 248 | Yes | Known motif | Monomer or homomultimer | High-throughput in vitro | None | None |
THRA | 255 | Yes | Known motif | Monomer or homomultimer | High-throughput in vitro | None | Likely binds as a heterodimer too |
CSRNP3 | 272 | Yes | Likely to be sequence specific TF | Monomer or homomultimer | No motif | None | All three paralogs (CSRNP1, CSRNP2, and CSRNP3) bind an AGAGTG consensus based on SELEX experiments (PMID: 17726538) |
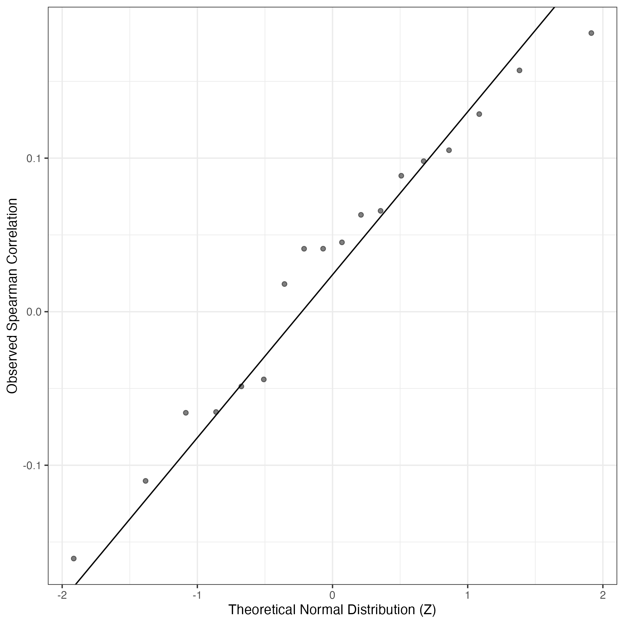
QQ Plot showing correlations with other GEPs in this dataset, calculated by Spearman correlation:
Interactive QQ-plot of gene loadings:
A similar QQ-plot as above, but only for instances where the H value is e.g. > 25, i.e. we are confident that the expression program is active above noise. Agreemenet between these binary vectors is tested using the Jaccard Index, with the P-values calculated by an exact test:
Interactive QQ-plot:
Singler cell type annotations for the top 50 cells on this program.
Cell ID | Singler label | Singler Delta | Activity Score | Top Singler Raw Scores |
---|---|---|---|---|
WK020-D13 | Neurons:adrenal_medulla_cell_line | 0.25 | 1503.26 | Raw ScoresNeurons:adrenal_medulla_cell_line: 0.52, Neuroepithelial_cell:ESC-derived: 0.46, Astrocyte:Embryonic_stem_cell-derived: 0.46, Neurons:ES_cell-derived_neural_precursor: 0.43, iPS_cells:PDB_1lox-21Puro-20: 0.41, iPS_cells:PDB_1lox-17Puro-10: 0.41, iPS_cells:PDB_1lox-21Puro-26: 0.41, iPS_cells:PDB_1lox-17Puro-5: 0.41, iPS_cells:PDB_2lox-22: 0.4, Embryonic_stem_cells: 0.4 |
WK020-P6 | Neurons:adrenal_medulla_cell_line | 0.25 | 842.69 | Raw ScoresNeurons:adrenal_medulla_cell_line: 0.52, Neuroepithelial_cell:ESC-derived: 0.45, Astrocyte:Embryonic_stem_cell-derived: 0.45, Neurons:ES_cell-derived_neural_precursor: 0.41, iPS_cells:PDB_1lox-21Puro-20: 0.41, iPS_cells:PDB_1lox-17Puro-10: 0.41, iPS_cells:PDB_1lox-21Puro-26: 0.41, iPS_cells:PDB_1lox-17Puro-5: 0.41, iPS_cells:PDB_2lox-22: 0.4, iPS_cells:PDB_2lox-5: 0.4 |
WK018-P18 | Neurons:adrenal_medulla_cell_line | 0.25 | 789.12 | Raw ScoresNeurons:adrenal_medulla_cell_line: 0.53, Neuroepithelial_cell:ESC-derived: 0.46, Astrocyte:Embryonic_stem_cell-derived: 0.45, Neurons:ES_cell-derived_neural_precursor: 0.42, iPS_cells:PDB_1lox-21Puro-20: 0.42, iPS_cells:PDB_1lox-17Puro-10: 0.41, iPS_cells:PDB_1lox-21Puro-26: 0.41, iPS_cells:PDB_1lox-17Puro-5: 0.41, iPS_cells:PDB_2lox-22: 0.41, iPS_cells:PDB_2lox-5: 0.4 |
WK020-A5 | Neurons:adrenal_medulla_cell_line | 0.24 | 645.95 | Raw ScoresNeurons:adrenal_medulla_cell_line: 0.5, Neuroepithelial_cell:ESC-derived: 0.44, Astrocyte:Embryonic_stem_cell-derived: 0.43, iPS_cells:PDB_1lox-21Puro-20: 0.4, Neurons:ES_cell-derived_neural_precursor: 0.39, iPS_cells:PDB_1lox-17Puro-10: 0.39, iPS_cells:PDB_1lox-21Puro-26: 0.39, iPS_cells:PDB_1lox-17Puro-5: 0.39, iPS_cells:CRL2097_foreskin-derived:undiff.: 0.38, iPS_cells:PDB_2lox-5: 0.38 |
WK016-G15 | Neurons:adrenal_medulla_cell_line | 0.24 | 643.51 | Raw ScoresNeurons:adrenal_medulla_cell_line: 0.51, Neuroepithelial_cell:ESC-derived: 0.44, Astrocyte:Embryonic_stem_cell-derived: 0.43, iPS_cells:PDB_1lox-21Puro-20: 0.4, Neurons:ES_cell-derived_neural_precursor: 0.4, iPS_cells:PDB_1lox-17Puro-10: 0.4, iPS_cells:PDB_1lox-21Puro-26: 0.4, iPS_cells:PDB_1lox-17Puro-5: 0.4, iPS_cells:PDB_2lox-22: 0.39, Embryonic_stem_cells: 0.39 |
WK020-D5 | Neurons:adrenal_medulla_cell_line | 0.22 | 535.60 | Raw ScoresNeurons:adrenal_medulla_cell_line: 0.47, Astrocyte:Embryonic_stem_cell-derived: 0.42, Neuroepithelial_cell:ESC-derived: 0.42, Neurons:ES_cell-derived_neural_precursor: 0.39, iPS_cells:PDB_1lox-21Puro-20: 0.37, iPS_cells:PDB_1lox-17Puro-10: 0.37, iPS_cells:PDB_1lox-17Puro-5: 0.37, iPS_cells:PDB_1lox-21Puro-26: 0.37, Embryonic_stem_cells: 0.37, iPS_cells:PDB_2lox-5: 0.36 |
WK020-E4 | Neurons:adrenal_medulla_cell_line | 0.20 | 514.28 | Raw ScoresNeurons:adrenal_medulla_cell_line: 0.43, Neuroepithelial_cell:ESC-derived: 0.39, Astrocyte:Embryonic_stem_cell-derived: 0.39, Neurons:ES_cell-derived_neural_precursor: 0.36, iPS_cells:PDB_1lox-21Puro-20: 0.34, iPS_cells:PDB_1lox-17Puro-10: 0.34, iPS_cells:PDB_1lox-17Puro-5: 0.34, iPS_cells:PDB_1lox-21Puro-26: 0.33, iPS_cells:CRL2097_foreskin-derived:undiff.: 0.33, Embryonic_stem_cells: 0.33 |
WK018-M8 | Neurons:adrenal_medulla_cell_line | 0.23 | 504.17 | Raw ScoresNeurons:adrenal_medulla_cell_line: 0.48, Neuroepithelial_cell:ESC-derived: 0.42, Astrocyte:Embryonic_stem_cell-derived: 0.41, iPS_cells:PDB_1lox-21Puro-20: 0.39, Neurons:ES_cell-derived_neural_precursor: 0.38, iPS_cells:PDB_1lox-17Puro-10: 0.38, iPS_cells:PDB_1lox-17Puro-5: 0.38, iPS_cells:PDB_1lox-21Puro-26: 0.38, iPS_cells:PDB_2lox-22: 0.37, iPS_cells:PDB_2lox-21: 0.37 |
WK020-M4 | Neurons:adrenal_medulla_cell_line | 0.22 | 485.22 | Raw ScoresNeurons:adrenal_medulla_cell_line: 0.48, Astrocyte:Embryonic_stem_cell-derived: 0.43, Neuroepithelial_cell:ESC-derived: 0.42, Neurons:ES_cell-derived_neural_precursor: 0.39, iPS_cells:PDB_1lox-21Puro-20: 0.38, iPS_cells:PDB_1lox-17Puro-10: 0.38, iPS_cells:PDB_1lox-17Puro-5: 0.38, iPS_cells:PDB_1lox-21Puro-26: 0.37, Embryonic_stem_cells: 0.37, iPS_cells:PDB_2lox-22: 0.37 |
WK020-I9 | Neurons:adrenal_medulla_cell_line | 0.23 | 467.10 | Raw ScoresNeurons:adrenal_medulla_cell_line: 0.47, Neuroepithelial_cell:ESC-derived: 0.41, Astrocyte:Embryonic_stem_cell-derived: 0.41, Neurons:ES_cell-derived_neural_precursor: 0.38, iPS_cells:PDB_1lox-21Puro-20: 0.37, iPS_cells:PDB_1lox-17Puro-10: 0.37, iPS_cells:PDB_1lox-21Puro-26: 0.37, iPS_cells:PDB_1lox-17Puro-5: 0.37, iPS_cells:PDB_2lox-22: 0.36, Embryonic_stem_cells: 0.36 |
WK020-L23 | Neurons:adrenal_medulla_cell_line | 0.22 | 442.93 | Raw ScoresNeurons:adrenal_medulla_cell_line: 0.47, Neuroepithelial_cell:ESC-derived: 0.41, Astrocyte:Embryonic_stem_cell-derived: 0.4, Neurons:ES_cell-derived_neural_precursor: 0.37, iPS_cells:PDB_1lox-21Puro-20: 0.37, iPS_cells:PDB_1lox-17Puro-10: 0.37, iPS_cells:PDB_1lox-21Puro-26: 0.36, iPS_cells:PDB_1lox-17Puro-5: 0.36, iPS_cells:PDB_2lox-22: 0.36, iPS_cells:PDB_2lox-5: 0.36 |
WK017-L15 | Neurons:adrenal_medulla_cell_line | 0.22 | 435.70 | Raw ScoresNeurons:adrenal_medulla_cell_line: 0.49, Neuroepithelial_cell:ESC-derived: 0.43, Astrocyte:Embryonic_stem_cell-derived: 0.42, Neurons:ES_cell-derived_neural_precursor: 0.39, iPS_cells:PDB_1lox-21Puro-20: 0.39, iPS_cells:PDB_1lox-21Puro-26: 0.38, iPS_cells:PDB_1lox-17Puro-10: 0.38, iPS_cells:PDB_1lox-17Puro-5: 0.38, iPS_cells:PDB_2lox-22: 0.38, iPS_cells:PDB_2lox-5: 0.38 |
WK016-M10 | Neurons:adrenal_medulla_cell_line | 0.22 | 430.26 | Raw ScoresNeurons:adrenal_medulla_cell_line: 0.47, Astrocyte:Embryonic_stem_cell-derived: 0.4, Neuroepithelial_cell:ESC-derived: 0.4, Neurons:ES_cell-derived_neural_precursor: 0.37, iPS_cells:PDB_1lox-21Puro-20: 0.37, iPS_cells:PDB_1lox-17Puro-10: 0.37, iPS_cells:PDB_1lox-21Puro-26: 0.36, iPS_cells:PDB_1lox-17Puro-5: 0.36, iPS_cells:CRL2097_foreskin-derived:undiff.: 0.36, iPS_cells:PDB_2lox-5: 0.36 |
WK018-F10 | Neurons:adrenal_medulla_cell_line | 0.21 | 414.29 | Raw ScoresNeurons:adrenal_medulla_cell_line: 0.46, Neuroepithelial_cell:ESC-derived: 0.4, Astrocyte:Embryonic_stem_cell-derived: 0.39, iPS_cells:PDB_1lox-21Puro-20: 0.36, Neurons:ES_cell-derived_neural_precursor: 0.36, iPS_cells:PDB_1lox-17Puro-10: 0.36, iPS_cells:PDB_1lox-21Puro-26: 0.36, iPS_cells:PDB_1lox-17Puro-5: 0.36, iPS_cells:PDB_2lox-5: 0.35, iPS_cells:CRL2097_foreskin-derived:undiff.: 0.35 |
WK018-P3 | Neurons:adrenal_medulla_cell_line | 0.21 | 406.12 | Raw ScoresNeurons:adrenal_medulla_cell_line: 0.46, Astrocyte:Embryonic_stem_cell-derived: 0.41, Neuroepithelial_cell:ESC-derived: 0.4, Neurons:ES_cell-derived_neural_precursor: 0.37, iPS_cells:PDB_1lox-21Puro-20: 0.36, iPS_cells:PDB_1lox-17Puro-10: 0.36, iPS_cells:PDB_1lox-21Puro-26: 0.36, iPS_cells:PDB_1lox-17Puro-5: 0.36, iPS_cells:PDB_2lox-22: 0.35, iPS_cells:PDB_2lox-5: 0.35 |
WK017-H6 | Neurons:adrenal_medulla_cell_line | 0.24 | 384.02 | Raw ScoresNeurons:adrenal_medulla_cell_line: 0.51, Neuroepithelial_cell:ESC-derived: 0.44, Astrocyte:Embryonic_stem_cell-derived: 0.42, iPS_cells:PDB_1lox-21Puro-20: 0.41, iPS_cells:PDB_1lox-21Puro-26: 0.41, iPS_cells:PDB_1lox-17Puro-10: 0.41, iPS_cells:PDB_1lox-17Puro-5: 0.41, Neurons:ES_cell-derived_neural_precursor: 0.4, iPS_cells:PDB_2lox-22: 0.4, iPS_cells:PDB_2lox-21: 0.4 |
WK020-B19 | Neurons:adrenal_medulla_cell_line | 0.22 | 381.37 | Raw ScoresNeurons:adrenal_medulla_cell_line: 0.47, Neuroepithelial_cell:ESC-derived: 0.41, Astrocyte:Embryonic_stem_cell-derived: 0.4, iPS_cells:PDB_1lox-21Puro-20: 0.37, Neurons:ES_cell-derived_neural_precursor: 0.37, iPS_cells:PDB_1lox-17Puro-10: 0.37, iPS_cells:PDB_1lox-21Puro-26: 0.37, iPS_cells:PDB_1lox-17Puro-5: 0.36, iPS_cells:PDB_2lox-22: 0.36, iPS_cells:PDB_2lox-5: 0.36 |
WK017-P16 | Neurons:adrenal_medulla_cell_line | 0.21 | 373.68 | Raw ScoresNeurons:adrenal_medulla_cell_line: 0.46, Neuroepithelial_cell:ESC-derived: 0.4, Astrocyte:Embryonic_stem_cell-derived: 0.39, iPS_cells:PDB_1lox-21Puro-20: 0.36, iPS_cells:PDB_1lox-17Puro-10: 0.35, Neurons:ES_cell-derived_neural_precursor: 0.35, iPS_cells:PDB_1lox-21Puro-26: 0.35, iPS_cells:PDB_1lox-17Puro-5: 0.35, iPS_cells:PDB_2lox-22: 0.35, iPS_cells:CRL2097_foreskin-derived:undiff.: 0.35 |
WK016-H21 | Neurons:adrenal_medulla_cell_line | 0.22 | 370.82 | Raw ScoresNeurons:adrenal_medulla_cell_line: 0.47, Neuroepithelial_cell:ESC-derived: 0.41, Astrocyte:Embryonic_stem_cell-derived: 0.4, Neurons:ES_cell-derived_neural_precursor: 0.37, iPS_cells:PDB_1lox-21Puro-20: 0.35, Embryonic_stem_cells: 0.35, iPS_cells:PDB_1lox-17Puro-10: 0.35, iPS_cells:PDB_1lox-21Puro-26: 0.35, iPS_cells:PDB_1lox-17Puro-5: 0.35, iPS_cells:CRL2097_foreskin-derived:undiff.: 0.35 |
WK016-H10 | Neurons:adrenal_medulla_cell_line | 0.20 | 361.35 | Raw ScoresNeurons:adrenal_medulla_cell_line: 0.44, Neuroepithelial_cell:ESC-derived: 0.4, Astrocyte:Embryonic_stem_cell-derived: 0.39, Neurons:ES_cell-derived_neural_precursor: 0.37, iPS_cells:PDB_1lox-21Puro-20: 0.36, iPS_cells:PDB_1lox-17Puro-10: 0.36, iPS_cells:PDB_1lox-17Puro-5: 0.36, iPS_cells:PDB_2lox-5: 0.35, iPS_cells:PDB_1lox-21Puro-26: 0.35, iPS_cells:PDB_2lox-22: 0.35 |
WK016-C2 | Neurons:adrenal_medulla_cell_line | 0.22 | 360.94 | Raw ScoresNeurons:adrenal_medulla_cell_line: 0.44, Astrocyte:Embryonic_stem_cell-derived: 0.38, Neuroepithelial_cell:ESC-derived: 0.38, Neurons:ES_cell-derived_neural_precursor: 0.35, iPS_cells:PDB_1lox-21Puro-20: 0.34, iPS_cells:PDB_1lox-17Puro-10: 0.34, iPS_cells:PDB_1lox-17Puro-5: 0.34, iPS_cells:PDB_1lox-21Puro-26: 0.34, iPS_cells:PDB_2lox-5: 0.33, iPS_cells:CRL2097_foreskin-derived:undiff.: 0.33 |
WK017-G9 | Neurons:adrenal_medulla_cell_line | 0.20 | 355.38 | Raw ScoresNeurons:adrenal_medulla_cell_line: 0.43, Neuroepithelial_cell:ESC-derived: 0.39, Astrocyte:Embryonic_stem_cell-derived: 0.38, Neurons:ES_cell-derived_neural_precursor: 0.35, iPS_cells:PDB_1lox-21Puro-20: 0.33, iPS_cells:PDB_1lox-17Puro-10: 0.33, Embryonic_stem_cells: 0.33, iPS_cells:PDB_1lox-17Puro-5: 0.33, iPS_cells:PDB_1lox-21Puro-26: 0.33, iPS_cells:PDB_2lox-5: 0.33 |
WK018-P16 | Neurons:adrenal_medulla_cell_line | 0.22 | 355.13 | Raw ScoresNeurons:adrenal_medulla_cell_line: 0.45, Neuroepithelial_cell:ESC-derived: 0.39, Astrocyte:Embryonic_stem_cell-derived: 0.38, Neurons:ES_cell-derived_neural_precursor: 0.36, iPS_cells:PDB_1lox-21Puro-20: 0.34, iPS_cells:PDB_1lox-17Puro-10: 0.34, iPS_cells:PDB_1lox-21Puro-26: 0.34, iPS_cells:PDB_1lox-17Puro-5: 0.34, Embryonic_stem_cells: 0.34, iPS_cells:PDB_2lox-22: 0.33 |
WK018-C14 | Neurons:adrenal_medulla_cell_line | 0.23 | 354.90 | Raw ScoresNeurons:adrenal_medulla_cell_line: 0.47, Neuroepithelial_cell:ESC-derived: 0.4, Astrocyte:Embryonic_stem_cell-derived: 0.39, iPS_cells:PDB_1lox-21Puro-20: 0.37, Neurons:ES_cell-derived_neural_precursor: 0.36, iPS_cells:PDB_1lox-17Puro-10: 0.36, iPS_cells:PDB_1lox-17Puro-5: 0.36, iPS_cells:PDB_1lox-21Puro-26: 0.36, iPS_cells:PDB_2lox-22: 0.36, iPS_cells:PDB_2lox-5: 0.35 |
WK017-G7 | Neurons:adrenal_medulla_cell_line | 0.21 | 353.18 | Raw ScoresNeurons:adrenal_medulla_cell_line: 0.43, Neuroepithelial_cell:ESC-derived: 0.37, Astrocyte:Embryonic_stem_cell-derived: 0.37, Neurons:ES_cell-derived_neural_precursor: 0.33, iPS_cells:PDB_1lox-21Puro-20: 0.32, iPS_cells:PDB_1lox-17Puro-10: 0.32, iPS_cells:PDB_1lox-17Puro-5: 0.32, iPS_cells:PDB_1lox-21Puro-26: 0.32, iPS_cells:PDB_2lox-22: 0.31, iPS_cells:PDB_2lox-5: 0.31 |
WK020-C17 | Neurons:adrenal_medulla_cell_line | 0.20 | 346.64 | Raw ScoresNeurons:adrenal_medulla_cell_line: 0.41, Astrocyte:Embryonic_stem_cell-derived: 0.35, Neuroepithelial_cell:ESC-derived: 0.34, Neurons:ES_cell-derived_neural_precursor: 0.31, iPS_cells:PDB_1lox-21Puro-20: 0.29, Neurons:Schwann_cell: 0.29, iPS_cells:PDB_1lox-17Puro-10: 0.29, Embryonic_stem_cells: 0.29, iPS_cells:PDB_2lox-5: 0.29, iPS_cells:PDB_1lox-17Puro-5: 0.29 |
WK016-I19 | Neurons:adrenal_medulla_cell_line | 0.21 | 346.44 | Raw ScoresNeurons:adrenal_medulla_cell_line: 0.42, Neuroepithelial_cell:ESC-derived: 0.36, Astrocyte:Embryonic_stem_cell-derived: 0.36, Neurons:ES_cell-derived_neural_precursor: 0.33, iPS_cells:PDB_1lox-21Puro-20: 0.32, iPS_cells:PDB_1lox-17Puro-10: 0.32, iPS_cells:PDB_1lox-17Puro-5: 0.31, iPS_cells:PDB_1lox-21Puro-26: 0.31, Embryonic_stem_cells: 0.31, iPS_cells:CRL2097_foreskin-derived:undiff.: 0.31 |
WK016-F5 | Neurons:adrenal_medulla_cell_line | 0.23 | 340.38 | Raw ScoresNeurons:adrenal_medulla_cell_line: 0.47, Neuroepithelial_cell:ESC-derived: 0.4, Astrocyte:Embryonic_stem_cell-derived: 0.39, Neurons:ES_cell-derived_neural_precursor: 0.37, iPS_cells:PDB_1lox-21Puro-20: 0.36, iPS_cells:PDB_1lox-17Puro-10: 0.36, iPS_cells:PDB_1lox-17Puro-5: 0.36, iPS_cells:PDB_1lox-21Puro-26: 0.36, iPS_cells:PDB_2lox-22: 0.35, iPS_cells:PDB_2lox-5: 0.35 |
WK018-L12 | Neurons:adrenal_medulla_cell_line | 0.23 | 338.32 | Raw ScoresNeurons:adrenal_medulla_cell_line: 0.47, Neuroepithelial_cell:ESC-derived: 0.4, Astrocyte:Embryonic_stem_cell-derived: 0.39, iPS_cells:PDB_1lox-17Puro-10: 0.36, iPS_cells:PDB_1lox-21Puro-20: 0.36, iPS_cells:PDB_1lox-17Puro-5: 0.36, iPS_cells:PDB_1lox-21Puro-26: 0.36, Neurons:ES_cell-derived_neural_precursor: 0.36, iPS_cells:PDB_2lox-22: 0.35, iPS_cells:PDB_2lox-5: 0.35 |
WK017-P6 | Neurons:adrenal_medulla_cell_line | 0.22 | 335.64 | Raw ScoresNeurons:adrenal_medulla_cell_line: 0.41, Astrocyte:Embryonic_stem_cell-derived: 0.35, Neuroepithelial_cell:ESC-derived: 0.34, Neurons:ES_cell-derived_neural_precursor: 0.32, iPS_cells:PDB_1lox-21Puro-20: 0.3, iPS_cells:PDB_1lox-17Puro-10: 0.3, Embryonic_stem_cells: 0.3, iPS_cells:PDB_1lox-17Puro-5: 0.29, iPS_cells:PDB_1lox-21Puro-26: 0.29, iPS_cells:CRL2097_foreskin-derived:undiff.: 0.29 |
WK016-J19 | Neurons:adrenal_medulla_cell_line | 0.22 | 324.94 | Raw ScoresNeurons:adrenal_medulla_cell_line: 0.47, Astrocyte:Embryonic_stem_cell-derived: 0.4, Neuroepithelial_cell:ESC-derived: 0.39, iPS_cells:PDB_1lox-21Puro-20: 0.36, Neurons:ES_cell-derived_neural_precursor: 0.36, iPS_cells:PDB_1lox-17Puro-10: 0.36, iPS_cells:PDB_1lox-21Puro-26: 0.36, iPS_cells:PDB_1lox-17Puro-5: 0.35, iPS_cells:PDB_2lox-22: 0.35, iPS_cells:PDB_2lox-5: 0.35 |
WK016-F3 | Neurons:adrenal_medulla_cell_line | 0.21 | 321.30 | Raw ScoresNeurons:adrenal_medulla_cell_line: 0.44, Neuroepithelial_cell:ESC-derived: 0.39, Astrocyte:Embryonic_stem_cell-derived: 0.39, Neurons:ES_cell-derived_neural_precursor: 0.35, iPS_cells:PDB_1lox-21Puro-20: 0.35, iPS_cells:PDB_1lox-17Puro-10: 0.35, iPS_cells:PDB_1lox-21Puro-26: 0.35, iPS_cells:PDB_1lox-17Puro-5: 0.35, Embryonic_stem_cells: 0.34, iPS_cells:PDB_2lox-5: 0.34 |
WK020-E20 | Neurons:adrenal_medulla_cell_line | 0.25 | 321.21 | Raw ScoresNeurons:adrenal_medulla_cell_line: 0.54, Neuroepithelial_cell:ESC-derived: 0.48, Astrocyte:Embryonic_stem_cell-derived: 0.46, Neurons:ES_cell-derived_neural_precursor: 0.44, iPS_cells:PDB_1lox-21Puro-20: 0.43, iPS_cells:PDB_2lox-22: 0.43, iPS_cells:PDB_1lox-17Puro-10: 0.43, iPS_cells:PDB_1lox-21Puro-26: 0.42, iPS_cells:PDB_1lox-17Puro-5: 0.42, Embryonic_stem_cells: 0.42 |
WK018-D17 | Neurons:adrenal_medulla_cell_line | 0.19 | 316.67 | Raw ScoresNeurons:adrenal_medulla_cell_line: 0.38, Neuroepithelial_cell:ESC-derived: 0.33, Astrocyte:Embryonic_stem_cell-derived: 0.33, Neurons:ES_cell-derived_neural_precursor: 0.31, iPS_cells:PDB_1lox-21Puro-20: 0.3, iPS_cells:PDB_1lox-17Puro-10: 0.29, iPS_cells:PDB_1lox-17Puro-5: 0.29, iPS_cells:PDB_1lox-21Puro-26: 0.29, iPS_cells:PDB_2lox-5: 0.29, iPS_cells:PDB_2lox-22: 0.29 |
WK020-A7 | Neurons:adrenal_medulla_cell_line | 0.22 | 305.29 | Raw ScoresNeurons:adrenal_medulla_cell_line: 0.47, Neuroepithelial_cell:ESC-derived: 0.41, Astrocyte:Embryonic_stem_cell-derived: 0.4, Neurons:ES_cell-derived_neural_precursor: 0.38, iPS_cells:PDB_1lox-21Puro-20: 0.37, iPS_cells:PDB_1lox-17Puro-10: 0.37, iPS_cells:PDB_1lox-17Puro-5: 0.37, iPS_cells:PDB_1lox-21Puro-26: 0.37, iPS_cells:PDB_2lox-22: 0.36, iPS_cells:CRL2097_foreskin-derived:undiff.: 0.36 |
WK020-N11 | Neurons:adrenal_medulla_cell_line | 0.24 | 297.26 | Raw ScoresNeurons:adrenal_medulla_cell_line: 0.45, Neuroepithelial_cell:ESC-derived: 0.39, Astrocyte:Embryonic_stem_cell-derived: 0.38, Neurons:ES_cell-derived_neural_precursor: 0.35, iPS_cells:PDB_1lox-21Puro-20: 0.34, iPS_cells:PDB_1lox-17Puro-10: 0.34, Embryonic_stem_cells: 0.34, iPS_cells:PDB_2lox-22: 0.33, iPS_cells:PDB_1lox-21Puro-26: 0.33, iPS_cells:PDB_1lox-17Puro-5: 0.33 |
WK020-J12 | Neurons:adrenal_medulla_cell_line | 0.17 | 297.23 | Raw ScoresNeurons:adrenal_medulla_cell_line: 0.39, Astrocyte:Embryonic_stem_cell-derived: 0.35, Neuroepithelial_cell:ESC-derived: 0.34, Neurons:ES_cell-derived_neural_precursor: 0.31, iPS_cells:PDB_1lox-21Puro-20: 0.31, iPS_cells:PDB_1lox-17Puro-5: 0.3, iPS_cells:PDB_1lox-17Puro-10: 0.3, iPS_cells:PDB_1lox-21Puro-26: 0.3, iPS_cells:CRL2097_foreskin-derived:undiff.: 0.3, Neurons:Schwann_cell: 0.3 |
WK020-P2 | Neurons:adrenal_medulla_cell_line | 0.26 | 296.65 | Raw ScoresNeurons:adrenal_medulla_cell_line: 0.52, Neuroepithelial_cell:ESC-derived: 0.47, iPS_cells:PDB_1lox-21Puro-20: 0.44, Astrocyte:Embryonic_stem_cell-derived: 0.44, iPS_cells:PDB_1lox-17Puro-10: 0.44, Neurons:ES_cell-derived_neural_precursor: 0.44, iPS_cells:PDB_1lox-21Puro-26: 0.43, iPS_cells:PDB_1lox-17Puro-5: 0.43, iPS_cells:PDB_2lox-22: 0.42, iPS_cells:PDB_2lox-21: 0.42 |
WK020-F18 | Neurons:adrenal_medulla_cell_line | 0.18 | 294.01 | Raw ScoresNeurons:adrenal_medulla_cell_line: 0.47, Neuroepithelial_cell:ESC-derived: 0.42, Astrocyte:Embryonic_stem_cell-derived: 0.42, Neurons:ES_cell-derived_neural_precursor: 0.39, iPS_cells:PDB_1lox-21Puro-20: 0.39, iPS_cells:PDB_1lox-17Puro-5: 0.39, iPS_cells:PDB_1lox-17Puro-10: 0.38, Neurons:Schwann_cell: 0.38, iPS_cells:PDB_2lox-5: 0.38, iPS_cells:CRL2097_foreskin-derived:undiff.: 0.38 |
WK020-I8 | Neurons:adrenal_medulla_cell_line | 0.17 | 290.54 | Raw ScoresNeurons:adrenal_medulla_cell_line: 0.39, Astrocyte:Embryonic_stem_cell-derived: 0.35, Neuroepithelial_cell:ESC-derived: 0.35, Neurons:ES_cell-derived_neural_precursor: 0.32, iPS_cells:PDB_1lox-21Puro-20: 0.3, iPS_cells:PDB_1lox-17Puro-10: 0.3, Neurons:Schwann_cell: 0.3, iPS_cells:PDB_1lox-17Puro-5: 0.3, Embryonic_stem_cells: 0.3, iPS_cells:PDB_1lox-21Puro-26: 0.29 |
WK019-K7 | Neurons:adrenal_medulla_cell_line | 0.15 | 285.99 | Raw ScoresNeurons:adrenal_medulla_cell_line: 0.38, Neuroepithelial_cell:ESC-derived: 0.32, Astrocyte:Embryonic_stem_cell-derived: 0.32, Neurons:ES_cell-derived_neural_precursor: 0.3, iPS_cells:PDB_1lox-21Puro-20: 0.29, iPS_cells:PDB_1lox-17Puro-10: 0.29, iPS_cells:PDB_1lox-17Puro-5: 0.29, iPS_cells:PDB_1lox-21Puro-26: 0.29, iPS_cells:PDB_2lox-22: 0.29, iPS_cells:CRL2097_foreskin-derived:undiff.: 0.29 |
WK018-B20 | Neurons:adrenal_medulla_cell_line | 0.22 | 284.78 | Raw ScoresNeurons:adrenal_medulla_cell_line: 0.45, Neuroepithelial_cell:ESC-derived: 0.39, Astrocyte:Embryonic_stem_cell-derived: 0.38, Neurons:ES_cell-derived_neural_precursor: 0.35, iPS_cells:PDB_1lox-17Puro-10: 0.35, iPS_cells:PDB_1lox-21Puro-20: 0.34, iPS_cells:PDB_1lox-17Puro-5: 0.34, iPS_cells:PDB_1lox-21Puro-26: 0.34, iPS_cells:PDB_2lox-22: 0.34, iPS_cells:CRL2097_foreskin-derived:undiff.: 0.34 |
WK016-E2 | Neurons:adrenal_medulla_cell_line | 0.20 | 277.56 | Raw ScoresNeurons:adrenal_medulla_cell_line: 0.43, Astrocyte:Embryonic_stem_cell-derived: 0.37, Neuroepithelial_cell:ESC-derived: 0.36, Neurons:ES_cell-derived_neural_precursor: 0.32, Embryonic_stem_cells: 0.31, iPS_cells:PDB_1lox-21Puro-20: 0.31, iPS_cells:PDB_1lox-17Puro-10: 0.31, iPS_cells:PDB_1lox-17Puro-5: 0.31, iPS_cells:PDB_1lox-21Puro-26: 0.31, iPS_cells:PDB_2lox-5: 0.31 |
KK053-J5 | Neurons:adrenal_medulla_cell_line | 0.20 | 273.10 | Raw ScoresNeurons:adrenal_medulla_cell_line: 0.44, Neuroepithelial_cell:ESC-derived: 0.4, Astrocyte:Embryonic_stem_cell-derived: 0.39, Neurons:Schwann_cell: 0.37, Neurons:ES_cell-derived_neural_precursor: 0.36, iPS_cells:PDB_1lox-21Puro-20: 0.35, Embryonic_stem_cells: 0.35, iPS_cells:PDB_1lox-17Puro-10: 0.35, iPS_cells:PDB_1lox-21Puro-26: 0.35, iPS_cells:PDB_1lox-17Puro-5: 0.35 |
WK020-D10 | Neurons:adrenal_medulla_cell_line | 0.19 | 271.36 | Raw ScoresNeurons:adrenal_medulla_cell_line: 0.38, Astrocyte:Embryonic_stem_cell-derived: 0.32, Neuroepithelial_cell:ESC-derived: 0.32, Neurons:ES_cell-derived_neural_precursor: 0.3, iPS_cells:PDB_1lox-21Puro-20: 0.28, iPS_cells:PDB_1lox-17Puro-10: 0.27, Embryonic_stem_cells: 0.27, iPS_cells:PDB_1lox-17Puro-5: 0.27, iPS_cells:PDB_1lox-21Puro-26: 0.27, iPS_cells:PDB_2lox-5: 0.27 |
WK017-G10 | Neurons:adrenal_medulla_cell_line | 0.19 | 270.13 | Raw ScoresNeurons:adrenal_medulla_cell_line: 0.42, Astrocyte:Embryonic_stem_cell-derived: 0.38, Neuroepithelial_cell:ESC-derived: 0.37, Neurons:ES_cell-derived_neural_precursor: 0.34, iPS_cells:PDB_1lox-21Puro-20: 0.33, iPS_cells:PDB_1lox-17Puro-5: 0.32, iPS_cells:PDB_1lox-17Puro-10: 0.32, iPS_cells:PDB_1lox-21Puro-26: 0.32, Neurons:Schwann_cell: 0.32, iPS_cells:CRL2097_foreskin-derived:undiff.: 0.32 |
WK016-J8 | Neurons:adrenal_medulla_cell_line | 0.20 | 268.51 | Raw ScoresNeurons:adrenal_medulla_cell_line: 0.44, Neuroepithelial_cell:ESC-derived: 0.38, Astrocyte:Embryonic_stem_cell-derived: 0.37, Neurons:ES_cell-derived_neural_precursor: 0.36, iPS_cells:PDB_1lox-21Puro-20: 0.35, iPS_cells:PDB_1lox-17Puro-10: 0.35, iPS_cells:PDB_1lox-21Puro-26: 0.35, iPS_cells:PDB_1lox-17Puro-5: 0.35, iPS_cells:PDB_2lox-22: 0.35, iPS_cells:PDB_2lox-5: 0.34 |
WK020-M15 | Neurons:adrenal_medulla_cell_line | 0.18 | 266.59 | Raw ScoresNeurons:adrenal_medulla_cell_line: 0.41, Astrocyte:Embryonic_stem_cell-derived: 0.35, Neuroepithelial_cell:ESC-derived: 0.35, iPS_cells:PDB_1lox-21Puro-20: 0.32, Neurons:ES_cell-derived_neural_precursor: 0.32, iPS_cells:PDB_1lox-17Puro-5: 0.31, iPS_cells:PDB_1lox-17Puro-10: 0.31, iPS_cells:PDB_2lox-22: 0.31, iPS_cells:PDB_1lox-21Puro-26: 0.31, iPS_cells:PDB_2lox-5: 0.31 |
WK017-A23 | Neurons:adrenal_medulla_cell_line | 0.21 | 264.29 | Raw ScoresNeurons:adrenal_medulla_cell_line: 0.41, Astrocyte:Embryonic_stem_cell-derived: 0.38, Neuroepithelial_cell:ESC-derived: 0.37, Neurons:ES_cell-derived_neural_precursor: 0.34, iPS_cells:PDB_1lox-21Puro-20: 0.32, iPS_cells:PDB_1lox-17Puro-10: 0.32, iPS_cells:PDB_1lox-17Puro-5: 0.32, Embryonic_stem_cells: 0.32, iPS_cells:CRL2097_foreskin-derived:undiff.: 0.32, iPS_cells:PDB_1lox-21Puro-26: 0.32 |
WK017-I19 | Neurons:adrenal_medulla_cell_line | 0.21 | 258.63 | Raw ScoresNeurons:adrenal_medulla_cell_line: 0.42, Neuroepithelial_cell:ESC-derived: 0.36, Astrocyte:Embryonic_stem_cell-derived: 0.36, Neurons:ES_cell-derived_neural_precursor: 0.32, iPS_cells:PDB_1lox-21Puro-20: 0.31, iPS_cells:PDB_1lox-17Puro-10: 0.31, iPS_cells:PDB_2lox-5: 0.31, iPS_cells:PDB_1lox-21Puro-26: 0.31, iPS_cells:PDB_1lox-17Puro-5: 0.31, iPS_cells:PDB_2lox-22: 0.31 |
Below shows the significant enrichments of this GEP for literature curated gene lists
This data was procured from existing single cell RNA-seq maps of neuroblastoma or related relevant data.
High ranks indicate this gene is a driver of this GEP.
These curated gene list are ranked by the P-value (on this GEP) of their constituent genes.
The Mean Count column shows the mean read count in cells scoring highly (H > 50) on this gene expression program.
Genes | Weight | Rank | GTEx | DepMap | Decartes | Mean.Counts | Mean.TPM |
---|---|---|---|---|---|---|---|
UCHL1 | 0.0109099 | 8 | GTEx | DepMap | Descartes | 26.19 | 2553.91 |
NNAT | 0.0102044 | 10 | GTEx | DepMap | Descartes | 10.32 | 1353.73 |
PCSK1N | 0.0088614 | 20 | GTEx | DepMap | Descartes | 9.27 | 1429.60 |
MAP1B | 0.0074211 | 48 | GTEx | DepMap | Descartes | 42.80 | 500.54 |
HAND2 | 0.0070213 | 65 | GTEx | DepMap | Descartes | 11.03 | 650.94 |
CHGB | 0.0063820 | 87 | GTEx | DepMap | Descartes | 21.69 | 1295.55 |
GATA3 | 0.0052150 | 159 | GTEx | DepMap | Descartes | 14.20 | 676.00 |
CYB561 | 0.0051942 | 162 | GTEx | DepMap | Descartes | 5.94 | 240.13 |
TH | 0.0049663 | 179 | GTEx | DepMap | Descartes | 6.16 | 501.45 |
EML5 | 0.0047959 | 193 | GTEx | DepMap | Descartes | 3.54 | 48.51 |
CHGA | 0.0042773 | 243 | GTEx | DepMap | Descartes | 16.55 | 1139.06 |
PHOX2A | 0.0042187 | 248 | GTEx | DepMap | Descartes | 4.10 | 324.67 |
DDC | 0.0038418 | 309 | GTEx | DepMap | Descartes | 2.06 | 128.50 |
DISP2 | 0.0034835 | 372 | GTEx | DepMap | Descartes | 1.11 | 12.50 |
DBH | 0.0024276 | 615 | GTEx | DepMap | Descartes | 5.07 | 231.14 |
SLC18A1 | 0.0017025 | 965 | GTEx | DepMap | Descartes | 0.87 | 37.91 |
Neuroblast (Hanemaaijer)
Marker genes obtained from Supplementary Table SD of Hanemaaijer et al (PMID 33500353). The authors generated single-cell RNA-seq data (sort-seq, 2,229 cells total) from mouse adrenal glads at E13.5, E14.5, E17.5, E18.5, P1 and P5. These were marker genes that matched with a similar dataset generated by Furlan et al (PMID 28684471). This particular set of markers are for the Neuroblast subcluster, which is part of the Adrenal Medulla cluster.:
Wilcoxon ranksum test P-value for gene set overrepresentation: 7.52e-09
Mean rank of genes in gene set: 94.18
Rank on gene expression program of genes in gene set:
Genes | Weight | Rank | GTEx | DepMap | Decartes | Mean.Counts | Mean.TPM |
---|---|---|---|---|---|---|---|
STMN2 | 0.0143561 | 1 | GTEx | DepMap | Descartes | 72.83 | 6004.22 |
RTN1 | 0.0120585 | 5 | GTEx | DepMap | Descartes | 17.01 | 826.27 |
CCND1 | 0.0112340 | 7 | GTEx | DepMap | Descartes | 59.77 | 2648.80 |
NEFL | 0.0079951 | 39 | GTEx | DepMap | Descartes | 4.04 | 186.25 |
ELAVL4 | 0.0078374 | 42 | GTEx | DepMap | Descartes | 11.40 | 419.41 |
STMN1 | 0.0078049 | 44 | GTEx | DepMap | Descartes | 24.82 | 1256.14 |
INA | 0.0068229 | 72 | GTEx | DepMap | Descartes | 9.75 | 436.44 |
NEFM | 0.0058107 | 117 | GTEx | DepMap | Descartes | 4.67 | 232.97 |
ELAVL3 | 0.0046414 | 205 | GTEx | DepMap | Descartes | 12.82 | 363.41 |
BASP1 | 0.0045102 | 217 | GTEx | DepMap | Descartes | 17.64 | 1549.55 |
ISL1 | 0.0039784 | 287 | GTEx | DepMap | Descartes | 6.72 | 401.35 |
Adrenergic Fig 1D (Olsen)
Similar to above, but for selected adrenergic marker genes:
Wilcoxon ranksum test P-value for gene set overrepresentation: 1.46e-08
Mean rank of genes in gene set: 219.27
Rank on gene expression program of genes in gene set:
Genes | Weight | Rank | GTEx | DepMap | Decartes | Mean.Counts | Mean.TPM |
---|---|---|---|---|---|---|---|
STMN2 | 0.0143561 | 1 | GTEx | DepMap | Descartes | 72.83 | 6004.22 |
RTN1 | 0.0120585 | 5 | GTEx | DepMap | Descartes | 17.01 | 826.27 |
UCHL1 | 0.0109099 | 8 | GTEx | DepMap | Descartes | 26.19 | 2553.91 |
MLLT11 | 0.0101876 | 11 | GTEx | DepMap | Descartes | 15.97 | 986.07 |
ELAVL4 | 0.0078374 | 42 | GTEx | DepMap | Descartes | 11.40 | 419.41 |
MAP1B | 0.0074211 | 48 | GTEx | DepMap | Descartes | 42.80 | 500.54 |
TH | 0.0049663 | 179 | GTEx | DepMap | Descartes | 6.16 | 501.45 |
NRG1 | 0.0039949 | 281 | GTEx | DepMap | Descartes | 1.14 | 15.43 |
ISL1 | 0.0039784 | 287 | GTEx | DepMap | Descartes | 6.72 | 401.35 |
DBH | 0.0024276 | 615 | GTEx | DepMap | Descartes | 5.07 | 231.14 |
RGS5 | 0.0017584 | 935 | GTEx | DepMap | Descartes | 34.22 | 718.65 |
Below shows ranks on this GEP for literature curated gene lists for large gene sets
These include those reported as mesenchymal/adrenergic by Van Groningen et al.
High ranks indicate this gene is a driver of this GEP (note these results are not ordered).
The Mean Count column shows the mean read count in cells scoring highly (H > 50) on this gene expression program.
VanGroningen Adrenergic Genes
Adrenergic marker genes from Supplementary Table 2 of Van Groningen et al. Nature Genetics 2017. These genes were identified by differential expression analysis of mesenchymal-like and adrenergic-like neuroblastoma cell lines.
Wilcoxon ranksum test P-value for gene set overrepresentation: 8.79e-68
Mean rank of genes in gene set: 2718.62
Median rank of genes in gene set: 1083
Rank on gene expression program of top 30 genes in gene set:
Genes | Weight | Rank | GTEx | DepMap | Descartes | Mean.Counts | Mean.TPM |
---|---|---|---|---|---|---|---|
STMN2 | 0.0143561 | 1 | GTEx | DepMap | Descartes | 72.83 | 6004.22 |
MAPT | 0.0134381 | 2 | GTEx | DepMap | Descartes | 21.57 | 488.57 |
GAP43 | 0.0125004 | 4 | GTEx | DepMap | Descartes | 30.85 | 2666.88 |
RTN1 | 0.0120585 | 5 | GTEx | DepMap | Descartes | 17.01 | 826.27 |
CCND1 | 0.0112340 | 7 | GTEx | DepMap | Descartes | 59.77 | 2648.80 |
NNAT | 0.0102044 | 10 | GTEx | DepMap | Descartes | 10.32 | 1353.73 |
CRMP1 | 0.0100123 | 12 | GTEx | DepMap | Descartes | 9.12 | 435.44 |
TUBB2B | 0.0094441 | 14 | GTEx | DepMap | Descartes | 15.27 | 1162.65 |
SNAP25 | 0.0087251 | 25 | GTEx | DepMap | Descartes | 5.61 | 414.10 |
RUNDC3A | 0.0086843 | 27 | GTEx | DepMap | Descartes | 6.34 | 281.74 |
TUBB2A | 0.0084662 | 30 | GTEx | DepMap | Descartes | 14.87 | 1373.49 |
MAP2 | 0.0082747 | 31 | GTEx | DepMap | Descartes | 7.94 | 120.49 |
KIF5C | 0.0082106 | 34 | GTEx | DepMap | Descartes | 12.42 | 252.89 |
TMOD1 | 0.0081811 | 35 | GTEx | DepMap | Descartes | 8.30 | 442.40 |
REEP1 | 0.0080769 | 38 | GTEx | DepMap | Descartes | 3.41 | 138.42 |
NEFL | 0.0079951 | 39 | GTEx | DepMap | Descartes | 4.04 | 186.25 |
PEG3 | 0.0078632 | 41 | GTEx | DepMap | Descartes | 17.22 | NA |
ELAVL4 | 0.0078374 | 42 | GTEx | DepMap | Descartes | 11.40 | 419.41 |
ENO2 | 0.0076999 | 45 | GTEx | DepMap | Descartes | 7.99 | 438.03 |
TUB | 0.0076589 | 46 | GTEx | DepMap | Descartes | 2.90 | 69.08 |
RAB6B | 0.0076514 | 47 | GTEx | DepMap | Descartes | 3.43 | 98.87 |
MAP1B | 0.0074211 | 48 | GTEx | DepMap | Descartes | 42.80 | 500.54 |
TSPAN7 | 0.0071912 | 54 | GTEx | DepMap | Descartes | 4.53 | 395.17 |
NSG1 | 0.0071551 | 57 | GTEx | DepMap | Descartes | 4.17 | NA |
CXADR | 0.0071301 | 59 | GTEx | DepMap | Descartes | 3.35 | 98.15 |
ATCAY | 0.0070840 | 60 | GTEx | DepMap | Descartes | 3.33 | 101.76 |
STXBP1 | 0.0069374 | 67 | GTEx | DepMap | Descartes | 6.95 | 223.08 |
INA | 0.0068229 | 72 | GTEx | DepMap | Descartes | 9.75 | 436.44 |
KIF1A | 0.0067633 | 75 | GTEx | DepMap | Descartes | 7.09 | 108.04 |
GNG4 | 0.0067565 | 76 | GTEx | DepMap | Descartes | 4.50 | 133.82 |
VanGroningen Mesenchymal Genes
Mesenchymal marker genes from Supplementary Table 2 of Van Groningen et al. Nature Genetics 2017. These genes were identified by differential expression analysis of mesenchymal-like and adrenergic-like neuroblastoma cell lines.
Wilcoxon ranksum test P-value for gene set overrepresentation: 1.00e+00
Mean rank of genes in gene set: 10310.6
Median rank of genes in gene set: 11448
Rank on gene expression program of top 30 genes in gene set:
Genes | Weight | Rank | GTEx | DepMap | Descartes | Mean.Counts | Mean.TPM |
---|---|---|---|---|---|---|---|
ATP1B1 | 0.0070492 | 63 | GTEx | DepMap | Descartes | 12.88 | 755.63 |
ENAH | 0.0028345 | 506 | GTEx | DepMap | Descartes | 6.39 | 72.04 |
ROBO1 | 0.0019684 | 802 | GTEx | DepMap | Descartes | 1.03 | 28.36 |
TMEFF2 | 0.0018312 | 882 | GTEx | DepMap | Descartes | 0.63 | 37.99 |
GNAI1 | 0.0017809 | 919 | GTEx | DepMap | Descartes | 1.05 | 14.13 |
STAT1 | 0.0015141 | 1102 | GTEx | DepMap | Descartes | 3.59 | 142.53 |
STAT3 | 0.0014447 | 1166 | GTEx | DepMap | Descartes | 11.27 | 356.67 |
NBR1 | 0.0013227 | 1292 | GTEx | DepMap | Descartes | 2.19 | 70.06 |
FAM3C | 0.0010411 | 1600 | GTEx | DepMap | Descartes | 1.17 | 69.68 |
ATP2B4 | 0.0009655 | 1704 | GTEx | DepMap | Descartes | 2.65 | 54.12 |
CETN2 | 0.0006971 | 2223 | GTEx | DepMap | Descartes | 0.89 | 84.08 |
KDM5B | 0.0006458 | 2353 | GTEx | DepMap | Descartes | 2.33 | 30.68 |
APP | 0.0006124 | 2450 | GTEx | DepMap | Descartes | 4.50 | 229.45 |
LASP1 | 0.0005977 | 2495 | GTEx | DepMap | Descartes | 3.56 | 128.50 |
NRP1 | 0.0005359 | 2694 | GTEx | DepMap | Descartes | 2.60 | 63.54 |
SSBP4 | 0.0005149 | 2771 | GTEx | DepMap | Descartes | 0.98 | 84.63 |
PTPRG | 0.0004845 | 2894 | GTEx | DepMap | Descartes | 0.66 | 13.30 |
RGS3 | 0.0004668 | 2955 | GTEx | DepMap | Descartes | 0.88 | 26.53 |
ACAP2 | 0.0004265 | 3117 | GTEx | DepMap | Descartes | 1.96 | 40.60 |
ARMCX2 | 0.0004059 | 3211 | GTEx | DepMap | Descartes | 0.78 | 34.92 |
NPTN | 0.0003593 | 3432 | GTEx | DepMap | Descartes | 1.44 | 78.74 |
SEMA3C | 0.0003118 | 3670 | GTEx | DepMap | Descartes | 1.05 | 41.01 |
PXDN | 0.0002921 | 3786 | GTEx | DepMap | Descartes | 1.99 | 40.21 |
HOMER1 | 0.0002863 | 3807 | GTEx | DepMap | Descartes | 1.60 | 39.39 |
INSIG1 | 0.0002797 | 3840 | GTEx | DepMap | Descartes | 3.22 | 165.09 |
ELAVL1 | 0.0002621 | 3940 | GTEx | DepMap | Descartes | 1.50 | 35.25 |
KDELR2 | 0.0002580 | 3957 | GTEx | DepMap | Descartes | 2.62 | 129.82 |
SERPINE2 | 0.0002462 | 4021 | GTEx | DepMap | Descartes | 1.84 | 42.93 |
TM9SF2 | 0.0002317 | 4115 | GTEx | DepMap | Descartes | 1.92 | 72.19 |
SEC14L1 | 0.0002191 | 4203 | GTEx | DepMap | Descartes | 2.29 | 61.74 |
Descartes adrenocortical markers
Top 50 marker genes of adrenocortical cells in the Decartes fetal adrenal single cell map (https://atlas.brotmanbaty.org/bbi/human-gene-expression-during-development/cell/adrenocortical/in/adrenal)
Wilcoxon ranksum test P-value for gene set overrepresentation: 7.30e-03
Mean rank of genes in gene set: 4802.5
Median rank of genes in gene set: 3001.5
Rank on gene expression program of top 30 genes in gene set:
Genes | Weight | Rank | GTEx | DepMap | Descartes | Mean.Counts | Mean.TPM |
---|---|---|---|---|---|---|---|
PEG3 | 0.0078632 | 41 | GTEx | DepMap | Descartes | 17.22 | NA |
SLC1A2 | 0.0056266 | 128 | GTEx | DepMap | Descartes | 1.55 | 18.60 |
MSMO1 | 0.0042818 | 242 | GTEx | DepMap | Descartes | 2.84 | 180.50 |
JAKMIP2 | 0.0037962 | 314 | GTEx | DepMap | Descartes | 1.74 | 27.08 |
HMGCR | 0.0034311 | 383 | GTEx | DepMap | Descartes | 3.06 | 92.67 |
DHCR7 | 0.0028807 | 487 | GTEx | DepMap | Descartes | 1.57 | 82.54 |
HMGCS1 | 0.0025694 | 570 | GTEx | DepMap | Descartes | 3.19 | 86.73 |
GSTA4 | 0.0023735 | 631 | GTEx | DepMap | Descartes | 1.59 | 145.81 |
DNER | 0.0023574 | 640 | GTEx | DepMap | Descartes | 0.90 | 36.59 |
DHCR24 | 0.0017856 | 916 | GTEx | DepMap | Descartes | 0.86 | 21.13 |
FRMD5 | 0.0016167 | 1023 | GTEx | DepMap | Descartes | 0.42 | 13.96 |
LDLR | 0.0015495 | 1068 | GTEx | DepMap | Descartes | 3.10 | 75.61 |
TM7SF2 | 0.0014599 | 1149 | GTEx | DepMap | Descartes | 0.47 | 34.10 |
FDPS | 0.0013023 | 1312 | GTEx | DepMap | Descartes | 1.64 | 104.19 |
IGF1R | 0.0012707 | 1340 | GTEx | DepMap | Descartes | 1.64 | 22.16 |
INHA | 0.0012008 | 1402 | GTEx | DepMap | Descartes | 0.08 | 11.71 |
SLC16A9 | 0.0008944 | 1825 | GTEx | DepMap | Descartes | 0.16 | 5.50 |
SCAP | 0.0005840 | 2534 | GTEx | DepMap | Descartes | 0.79 | 26.30 |
CYB5B | 0.0003518 | 3469 | GTEx | DepMap | Descartes | 1.34 | 42.95 |
STAR | 0.0000042 | 5995 | GTEx | DepMap | Descartes | 0.02 | 0.57 |
FDXR | 0.0000008 | 6029 | GTEx | DepMap | Descartes | 0.09 | 6.82 |
SGCZ | -0.0000141 | 6193 | GTEx | DepMap | Descartes | 0.00 | 0.04 |
PDE10A | -0.0000704 | 6908 | GTEx | DepMap | Descartes | 0.15 | 2.55 |
BAIAP2L1 | -0.0000991 | 7320 | GTEx | DepMap | Descartes | 0.01 | 0.62 |
SCARB1 | -0.0001128 | 7509 | GTEx | DepMap | Descartes | 0.28 | 5.96 |
CLU | -0.0002134 | 8761 | GTEx | DepMap | Descartes | 7.99 | 345.32 |
POR | -0.0002471 | 9127 | GTEx | DepMap | Descartes | 0.63 | 32.60 |
GRAMD1B | -0.0002667 | 9315 | GTEx | DepMap | Descartes | 0.29 | 6.41 |
FREM2 | -0.0003023 | 9649 | GTEx | DepMap | Descartes | 0.00 | 0.00 |
APOC1 | -0.0003935 | 10341 | GTEx | DepMap | Descartes | 0.13 | 22.07 |
Descartes chromaffin markers
Top 50 marker genes of chromaffin cells in the Decartes fetal adrenal single cell map (https://atlas.brotmanbaty.org/bbi/human-gene-expression-during-development/cell/chromaffin/in/adrenal)
Wilcoxon ranksum test P-value for gene set overrepresentation: 3.34e-16
Mean rank of genes in gene set: 1713.12
Median rank of genes in gene set: 464
Rank on gene expression program of top 30 genes in gene set:
Genes | Weight | Rank | GTEx | DepMap | Descartes | Mean.Counts | Mean.TPM |
---|---|---|---|---|---|---|---|
STMN2 | 0.0143561 | 1 | GTEx | DepMap | Descartes | 72.83 | 6004.22 |
TUBA1A | 0.0127529 | 3 | GTEx | DepMap | Descartes | 99.49 | 7878.82 |
GAP43 | 0.0125004 | 4 | GTEx | DepMap | Descartes | 30.85 | 2666.88 |
CCND1 | 0.0112340 | 7 | GTEx | DepMap | Descartes | 59.77 | 2648.80 |
MLLT11 | 0.0101876 | 11 | GTEx | DepMap | Descartes | 15.97 | 986.07 |
TUBB2B | 0.0094441 | 14 | GTEx | DepMap | Descartes | 15.27 | 1162.65 |
PTCHD1 | 0.0088235 | 22 | GTEx | DepMap | Descartes | 3.99 | 53.93 |
TUBB2A | 0.0084662 | 30 | GTEx | DepMap | Descartes | 14.87 | 1373.49 |
REEP1 | 0.0080769 | 38 | GTEx | DepMap | Descartes | 3.41 | 138.42 |
MAP1B | 0.0074211 | 48 | GTEx | DepMap | Descartes | 42.80 | 500.54 |
ELAVL2 | 0.0061196 | 97 | GTEx | DepMap | Descartes | 2.70 | 115.62 |
HS3ST5 | 0.0053858 | 145 | GTEx | DepMap | Descartes | 0.75 | 30.92 |
MAB21L1 | 0.0045412 | 215 | GTEx | DepMap | Descartes | 3.21 | 165.34 |
BASP1 | 0.0045102 | 217 | GTEx | DepMap | Descartes | 17.64 | 1549.55 |
RBFOX1 | 0.0043486 | 233 | GTEx | DepMap | Descartes | 1.35 | 41.56 |
NTRK1 | 0.0043009 | 237 | GTEx | DepMap | Descartes | 1.00 | 45.50 |
ISL1 | 0.0039784 | 287 | GTEx | DepMap | Descartes | 6.72 | 401.35 |
IL7 | 0.0035231 | 363 | GTEx | DepMap | Descartes | 0.98 | 76.67 |
CNTFR | 0.0031289 | 436 | GTEx | DepMap | Descartes | 1.07 | 92.39 |
MARCH11 | 0.0031192 | 438 | GTEx | DepMap | Descartes | 1.39 | NA |
MAB21L2 | 0.0030030 | 464 | GTEx | DepMap | Descartes | 2.99 | 183.85 |
KCNB2 | 0.0024994 | 590 | GTEx | DepMap | Descartes | 0.35 | 12.45 |
TMEFF2 | 0.0018312 | 882 | GTEx | DepMap | Descartes | 0.63 | 37.99 |
CNKSR2 | 0.0016867 | 975 | GTEx | DepMap | Descartes | 1.19 | 22.90 |
ANKFN1 | 0.0016830 | 980 | GTEx | DepMap | Descartes | 0.12 | 4.77 |
RGMB | 0.0016776 | 984 | GTEx | DepMap | Descartes | 2.05 | 61.18 |
TMEM132C | 0.0014834 | 1124 | GTEx | DepMap | Descartes | 0.84 | 27.01 |
ALK | 0.0013960 | 1210 | GTEx | DepMap | Descartes | 0.56 | 11.95 |
SLC44A5 | 0.0012909 | 1321 | GTEx | DepMap | Descartes | 0.47 | 18.25 |
RYR2 | 0.0012727 | 1338 | GTEx | DepMap | Descartes | 1.07 | 10.66 |
Descartes Vascular_endothelial markers
Top 50 marker genes of Vascular_endothelial cells in the Decartes fetal adrenal single cell map (https://atlas.brotmanbaty.org/bbi/human-gene-expression-during-development/cell/vascular_endothelial/in/adrenal)
Wilcoxon ranksum test P-value for gene set overrepresentation: 1.00e+00
Mean rank of genes in gene set: 8309.32
Median rank of genes in gene set: 9471
Rank on gene expression program of top 30 genes in gene set:
Genes | Weight | Rank | GTEx | DepMap | Descartes | Mean.Counts | Mean.TPM |
---|---|---|---|---|---|---|---|
MYRIP | 0.0014570 | 1152 | GTEx | DepMap | Descartes | 0.29 | 8.65 |
EFNB2 | 0.0012120 | 1394 | GTEx | DepMap | Descartes | 2.02 | 59.29 |
CHRM3 | 0.0011824 | 1423 | GTEx | DepMap | Descartes | 0.31 | 6.78 |
CDH13 | 0.0006266 | 2408 | GTEx | DepMap | Descartes | 0.60 | 11.06 |
RAMP2 | 0.0004099 | 3191 | GTEx | DepMap | Descartes | 0.55 | 105.06 |
SHANK3 | 0.0002320 | 4113 | GTEx | DepMap | Descartes | 0.52 | 10.59 |
EHD3 | 0.0002043 | 4291 | GTEx | DepMap | Descartes | 0.27 | 7.68 |
IRX3 | -0.0000760 | 6993 | GTEx | DepMap | Descartes | 0.09 | 4.54 |
CRHBP | -0.0001209 | 7625 | GTEx | DepMap | Descartes | 0.00 | 0.45 |
NR5A2 | -0.0001232 | 7657 | GTEx | DepMap | Descartes | 0.00 | 0.24 |
ESM1 | -0.0001448 | 7959 | GTEx | DepMap | Descartes | 0.02 | 0.38 |
PTPRB | -0.0001608 | 8167 | GTEx | DepMap | Descartes | 0.10 | 1.60 |
NOTCH4 | -0.0001652 | 8207 | GTEx | DepMap | Descartes | 0.18 | 3.69 |
BTNL9 | -0.0002031 | 8651 | GTEx | DepMap | Descartes | 0.05 | 1.04 |
CEACAM1 | -0.0002254 | 8890 | GTEx | DepMap | Descartes | 0.01 | 0.82 |
NPR1 | -0.0002274 | 8916 | GTEx | DepMap | Descartes | 0.00 | 0.00 |
CLDN5 | -0.0002297 | 8943 | GTEx | DepMap | Descartes | 0.02 | 0.74 |
HYAL2 | -0.0002392 | 9051 | GTEx | DepMap | Descartes | 0.21 | 5.55 |
F8 | -0.0002670 | 9316 | GTEx | DepMap | Descartes | 0.02 | 0.51 |
TEK | -0.0002992 | 9626 | GTEx | DepMap | Descartes | 0.05 | 1.11 |
KDR | -0.0003205 | 9817 | GTEx | DepMap | Descartes | 0.02 | 0.48 |
GALNT15 | -0.0003220 | 9827 | GTEx | DepMap | Descartes | 0.01 | NA |
PODXL | -0.0003241 | 9845 | GTEx | DepMap | Descartes | 0.12 | 2.83 |
TMEM88 | -0.0003275 | 9874 | GTEx | DepMap | Descartes | 0.11 | 24.12 |
FLT4 | -0.0003458 | 10003 | GTEx | DepMap | Descartes | 0.01 | 0.26 |
MMRN2 | -0.0003559 | 10073 | GTEx | DepMap | Descartes | 0.07 | 1.22 |
ROBO4 | -0.0003596 | 10104 | GTEx | DepMap | Descartes | 0.02 | 0.81 |
RASIP1 | -0.0003615 | 10124 | GTEx | DepMap | Descartes | 0.00 | 0.15 |
KANK3 | -0.0003879 | 10303 | GTEx | DepMap | Descartes | 0.02 | 0.47 |
SHE | -0.0003950 | 10351 | GTEx | DepMap | Descartes | 0.02 | 0.14 |
Descartes stromal markers
Top 50 marker genes of stromal cells in the Decartes fetal adrenal single cell map (https://atlas.brotmanbaty.org/bbi/human-gene-expression-during-development/cell/stromal/in/adrenal)
Wilcoxon ranksum test P-value for gene set overrepresentation: 1.00e+00
Mean rank of genes in gene set: 10538.89
Median rank of genes in gene set: 11166
Rank on gene expression program of top 30 genes in gene set:
Genes | Weight | Rank | GTEx | DepMap | Descartes | Mean.Counts | Mean.TPM |
---|---|---|---|---|---|---|---|
HHIP | 0.0022171 | 694 | GTEx | DepMap | Descartes | 0.46 | 10.08 |
PRICKLE1 | 0.0019152 | 841 | GTEx | DepMap | Descartes | 1.21 | 35.03 |
FREM1 | 0.0000448 | 5610 | GTEx | DepMap | Descartes | 0.16 | 1.65 |
LAMC3 | -0.0000417 | 6543 | GTEx | DepMap | Descartes | 0.02 | 0.79 |
GAS2 | -0.0001833 | 8421 | GTEx | DepMap | Descartes | 0.01 | 0.22 |
LRRC17 | -0.0002799 | 9448 | GTEx | DepMap | Descartes | 0.02 | 1.36 |
RSPO3 | -0.0002923 | 9561 | GTEx | DepMap | Descartes | 0.01 | NA |
ADAMTS2 | -0.0002936 | 9574 | GTEx | DepMap | Descartes | 0.49 | 10.09 |
DKK2 | -0.0002942 | 9581 | GTEx | DepMap | Descartes | 0.00 | 0.00 |
GLI2 | -0.0003117 | 9730 | GTEx | DepMap | Descartes | 0.01 | 0.64 |
CLDN11 | -0.0003351 | 9936 | GTEx | DepMap | Descartes | 0.10 | 6.94 |
ITGA11 | -0.0004394 | 10612 | GTEx | DepMap | Descartes | 0.01 | 0.07 |
ADAMTSL3 | -0.0004424 | 10622 | GTEx | DepMap | Descartes | 0.02 | 0.19 |
POSTN | -0.0004664 | 10749 | GTEx | DepMap | Descartes | 0.09 | 3.34 |
SFRP2 | -0.0004784 | 10815 | GTEx | DepMap | Descartes | 0.03 | 2.86 |
CD248 | -0.0005180 | 10999 | GTEx | DepMap | Descartes | 0.02 | 0.48 |
PAMR1 | -0.0005304 | 11050 | GTEx | DepMap | Descartes | 0.03 | 1.67 |
ABCC9 | -0.0005337 | 11066 | GTEx | DepMap | Descartes | 0.03 | 0.25 |
IGFBP3 | -0.0005356 | 11075 | GTEx | DepMap | Descartes | 0.09 | 5.76 |
SCARA5 | -0.0005484 | 11133 | GTEx | DepMap | Descartes | 0.00 | 0.99 |
PCDH18 | -0.0005497 | 11139 | GTEx | DepMap | Descartes | 0.01 | 0.28 |
ELN | -0.0005505 | 11141 | GTEx | DepMap | Descartes | 0.14 | 5.94 |
COL27A1 | -0.0005626 | 11191 | GTEx | DepMap | Descartes | 0.02 | 1.28 |
LOX | -0.0005871 | 11291 | GTEx | DepMap | Descartes | 0.03 | 1.54 |
EDNRA | -0.0006163 | 11390 | GTEx | DepMap | Descartes | 0.03 | 1.00 |
ACTA2 | -0.0006515 | 11495 | GTEx | DepMap | Descartes | 0.35 | 36.28 |
BICC1 | -0.0006614 | 11515 | GTEx | DepMap | Descartes | 0.02 | 0.30 |
ABCA6 | -0.0006785 | 11575 | GTEx | DepMap | Descartes | 0.06 | 1.71 |
PDGFRA | -0.0007431 | 11762 | GTEx | DepMap | Descartes | 0.11 | 2.72 |
CDH11 | -0.0008828 | 12018 | GTEx | DepMap | Descartes | 0.06 | 1.12 |
Descartes sympathoblasts markers
Top 50 marker genes of sympathoblasts cells in the Decartes fetal adrenal single cell map (https://atlas.brotmanbaty.org/bbi/human-gene-expression-during-development/cell/sympathoblasts/in/adrenal)
Wilcoxon ranksum test P-value for gene set overrepresentation: 1.52e-07
Mean rank of genes in gene set: 3270.26
Median rank of genes in gene set: 1701.5
Rank on gene expression program of top 30 genes in gene set:
Genes | Weight | Rank | GTEx | DepMap | Descartes | Mean.Counts | Mean.TPM |
---|---|---|---|---|---|---|---|
PCSK1N | 0.0088614 | 20 | GTEx | DepMap | Descartes | 9.27 | 1429.60 |
KCTD16 | 0.0064572 | 85 | GTEx | DepMap | Descartes | 2.22 | 29.81 |
CHGB | 0.0063820 | 87 | GTEx | DepMap | Descartes | 21.69 | 1295.55 |
TENM1 | 0.0058539 | 111 | GTEx | DepMap | Descartes | 1.81 | NA |
NTNG1 | 0.0049513 | 180 | GTEx | DepMap | Descartes | 1.47 | 59.98 |
UNC80 | 0.0048686 | 186 | GTEx | DepMap | Descartes | 2.46 | 28.60 |
FAM155A | 0.0042865 | 240 | GTEx | DepMap | Descartes | 2.37 | 40.40 |
CHGA | 0.0042773 | 243 | GTEx | DepMap | Descartes | 16.55 | 1139.06 |
GCH1 | 0.0027187 | 543 | GTEx | DepMap | Descartes | 4.63 | 248.49 |
KSR2 | 0.0019989 | 785 | GTEx | DepMap | Descartes | 0.35 | 3.47 |
ROBO1 | 0.0019684 | 802 | GTEx | DepMap | Descartes | 1.03 | 28.36 |
GRID2 | 0.0019105 | 846 | GTEx | DepMap | Descartes | 0.33 | 10.14 |
SLC18A1 | 0.0017025 | 965 | GTEx | DepMap | Descartes | 0.87 | 37.91 |
TBX20 | 0.0016509 | 1005 | GTEx | DepMap | Descartes | 0.04 | 3.43 |
MGAT4C | 0.0014513 | 1159 | GTEx | DepMap | Descartes | 0.58 | 3.09 |
C1QL1 | 0.0014153 | 1185 | GTEx | DepMap | Descartes | 2.32 | 179.94 |
AGBL4 | 0.0013720 | 1244 | GTEx | DepMap | Descartes | 0.12 | 3.80 |
FGF14 | 0.0011780 | 1430 | GTEx | DepMap | Descartes | 0.52 | 6.12 |
HTATSF1 | 0.0010416 | 1598 | GTEx | DepMap | Descartes | 1.90 | 81.99 |
CCSER1 | 0.0009060 | 1805 | GTEx | DepMap | Descartes | 0.23 | NA |
DGKK | 0.0007036 | 2202 | GTEx | DepMap | Descartes | 0.88 | 15.09 |
SPOCK3 | 0.0006683 | 2288 | GTEx | DepMap | Descartes | 0.14 | 7.23 |
CDH18 | 0.0004640 | 2969 | GTEx | DepMap | Descartes | 0.07 | 2.69 |
SLC35F3 | 0.0004313 | 3086 | GTEx | DepMap | Descartes | 0.02 | 0.91 |
SLC24A2 | 0.0002865 | 3804 | GTEx | DepMap | Descartes | 0.05 | 0.43 |
EML6 | 0.0002778 | 3851 | GTEx | DepMap | Descartes | 0.30 | 3.89 |
SORCS3 | 0.0002422 | 4044 | GTEx | DepMap | Descartes | 0.04 | 1.36 |
PCSK2 | 0.0000650 | 5421 | GTEx | DepMap | Descartes | 0.55 | 13.29 |
GALNTL6 | 0.0000285 | 5752 | GTEx | DepMap | Descartes | 0.03 | 1.02 |
CNTN3 | -0.0000155 | 6210 | GTEx | DepMap | Descartes | 0.06 | 2.07 |
Descartes erythroblasts markers
Top 50 marker genes of erythroblasts cells in the Decartes fetal adrenal single cell map (https://atlas.brotmanbaty.org/bbi/human-gene-expression-during-development/cell/erythroblasts/in/adrenal)
Wilcoxon ranksum test P-value for gene set overrepresentation: 8.75e-01
Mean rank of genes in gene set: 7048.31
Median rank of genes in gene set: 7923
Rank on gene expression program of top 30 genes in gene set:
Genes | Weight | Rank | GTEx | DepMap | Descartes | Mean.Counts | Mean.TPM |
---|---|---|---|---|---|---|---|
SPTB | 0.0025003 | 589 | GTEx | DepMap | Descartes | 0.42 | 7.21 |
SNCA | 0.0021209 | 731 | GTEx | DepMap | Descartes | 1.38 | 60.70 |
SOX6 | 0.0013248 | 1289 | GTEx | DepMap | Descartes | 0.82 | 13.36 |
ANK1 | 0.0010857 | 1539 | GTEx | DepMap | Descartes | 0.68 | 12.20 |
TFR2 | 0.0007356 | 2127 | GTEx | DepMap | Descartes | 0.19 | 8.77 |
XPO7 | 0.0003470 | 3491 | GTEx | DepMap | Descartes | 0.88 | 24.37 |
TMCC2 | 0.0003437 | 3513 | GTEx | DepMap | Descartes | 0.42 | 12.43 |
FECH | 0.0001494 | 4694 | GTEx | DepMap | Descartes | 0.42 | 5.99 |
RAPGEF2 | 0.0001431 | 4748 | GTEx | DepMap | Descartes | 1.64 | 29.12 |
TSPAN5 | 0.0001122 | 4984 | GTEx | DepMap | Descartes | 0.93 | 35.12 |
ABCB10 | 0.0000471 | 5583 | GTEx | DepMap | Descartes | 0.23 | 10.01 |
SLC25A21 | -0.0000037 | 6084 | GTEx | DepMap | Descartes | 0.00 | 0.00 |
RHD | -0.0001004 | 7341 | GTEx | DepMap | Descartes | 0.00 | 0.00 |
SLC4A1 | -0.0001119 | 7492 | GTEx | DepMap | Descartes | 0.04 | 1.04 |
ALAS2 | -0.0001422 | 7923 | GTEx | DepMap | Descartes | 0.01 | 0.17 |
SPECC1 | -0.0001563 | 8107 | GTEx | DepMap | Descartes | 0.17 | 3.32 |
TRAK2 | -0.0002101 | 8722 | GTEx | DepMap | Descartes | 0.43 | 8.58 |
DENND4A | -0.0002680 | 9325 | GTEx | DepMap | Descartes | 1.62 | 27.80 |
GCLC | -0.0002832 | 9481 | GTEx | DepMap | Descartes | 0.38 | 14.99 |
RGS6 | -0.0002912 | 9557 | GTEx | DepMap | Descartes | 0.01 | 0.22 |
CPOX | -0.0003378 | 9952 | GTEx | DepMap | Descartes | 0.26 | 13.44 |
EPB41 | -0.0003573 | 10083 | GTEx | DepMap | Descartes | 0.93 | 19.96 |
MARCH3 | -0.0003618 | 10128 | GTEx | DepMap | Descartes | 0.20 | NA |
SLC25A37 | -0.0004522 | 10681 | GTEx | DepMap | Descartes | 0.72 | 23.61 |
BLVRB | -0.0004858 | 10860 | GTEx | DepMap | Descartes | 0.05 | 4.02 |
CAT | -0.0005030 | 10935 | GTEx | DepMap | Descartes | 0.42 | 25.44 |
SELENBP1 | -0.0005121 | 10968 | GTEx | DepMap | Descartes | 0.00 | 0.00 |
MICAL2 | -0.0005657 | 11199 | GTEx | DepMap | Descartes | 0.21 | 4.43 |
GYPC | -0.0010815 | 12275 | GTEx | DepMap | Descartes | 0.02 | 1.35 |
NA | NA | NA | NA | NA | NA | NA | NA |
Descartes myeloid markers
Top 50 marker genes of myeloid cells in the Decartes fetal adrenal single cell map (https://atlas.brotmanbaty.org/bbi/human-gene-expression-during-development/cell/myeloid/in/adrenal)
Wilcoxon ranksum test P-value for gene set overrepresentation: 1.00e+00
Mean rank of genes in gene set: 9739.16
Median rank of genes in gene set: 10705
Rank on gene expression program of top 30 genes in gene set:
Genes | Weight | Rank | GTEx | DepMap | Descartes | Mean.Counts | Mean.TPM |
---|---|---|---|---|---|---|---|
FMN1 | 0.0057252 | 121 | GTEx | DepMap | Descartes | 2.54 | 32.59 |
HRH1 | 0.0024432 | 612 | GTEx | DepMap | Descartes | 1.19 | 53.93 |
CD163L1 | 0.0005126 | 2784 | GTEx | DepMap | Descartes | 0.27 | 9.64 |
FGD2 | 0.0003194 | 3637 | GTEx | DepMap | Descartes | 0.26 | 7.68 |
RBPJ | 0.0002260 | 4159 | GTEx | DepMap | Descartes | 3.56 | 95.42 |
SFMBT2 | -0.0001139 | 7528 | GTEx | DepMap | Descartes | 0.36 | 8.53 |
SPP1 | -0.0001190 | 7604 | GTEx | DepMap | Descartes | 0.20 | 15.45 |
ADAP2 | -0.0002601 | 9254 | GTEx | DepMap | Descartes | 0.05 | 2.48 |
ATP8B4 | -0.0003173 | 9788 | GTEx | DepMap | Descartes | 0.00 | 0.10 |
MS4A4A | -0.0003664 | 10162 | GTEx | DepMap | Descartes | 0.03 | 2.98 |
MERTK | -0.0004028 | 10382 | GTEx | DepMap | Descartes | 0.09 | 1.56 |
SLC9A9 | -0.0004130 | 10451 | GTEx | DepMap | Descartes | 0.02 | 0.60 |
CD14 | -0.0004257 | 10528 | GTEx | DepMap | Descartes | 0.17 | 13.11 |
CSF1R | -0.0004390 | 10610 | GTEx | DepMap | Descartes | 0.04 | 0.98 |
CTSB | -0.0004447 | 10633 | GTEx | DepMap | Descartes | 2.61 | 115.11 |
SLC1A3 | -0.0004457 | 10642 | GTEx | DepMap | Descartes | 0.02 | 1.12 |
WWP1 | -0.0004462 | 10645 | GTEx | DepMap | Descartes | 0.34 | 9.53 |
CD163 | -0.0004490 | 10662 | GTEx | DepMap | Descartes | 0.05 | 0.95 |
RGL1 | -0.0004491 | 10665 | GTEx | DepMap | Descartes | 0.22 | 7.32 |
CPVL | -0.0004655 | 10745 | GTEx | DepMap | Descartes | 0.07 | 4.27 |
MARCH1 | -0.0004658 | 10747 | GTEx | DepMap | Descartes | 0.02 | NA |
SLCO2B1 | -0.0004768 | 10804 | GTEx | DepMap | Descartes | 0.01 | 0.29 |
MSR1 | -0.0004876 | 10868 | GTEx | DepMap | Descartes | 0.02 | 0.92 |
LGMN | -0.0004991 | 10918 | GTEx | DepMap | Descartes | 0.64 | 42.53 |
CYBB | -0.0005189 | 11003 | GTEx | DepMap | Descartes | 0.08 | 2.57 |
HCK | -0.0005303 | 11048 | GTEx | DepMap | Descartes | 0.03 | 1.97 |
CTSD | -0.0005403 | 11094 | GTEx | DepMap | Descartes | 1.33 | 101.89 |
IFNGR1 | -0.0005680 | 11208 | GTEx | DepMap | Descartes | 0.49 | 27.63 |
FGL2 | -0.0007046 | 11657 | GTEx | DepMap | Descartes | 0.06 | 3.07 |
ITPR2 | -0.0007370 | 11746 | GTEx | DepMap | Descartes | 0.33 | 3.19 |
Descartes Schwann markers
Top 50 marker genes of Schwann cells in the Decartes fetal adrenal single cell map (https://atlas.brotmanbaty.org/bbi/human-gene-expression-during-development/cell/schwann/in/adrenal)
Wilcoxon ranksum test P-value for gene set overrepresentation: 9.96e-01
Mean rank of genes in gene set: 7725.91
Median rank of genes in gene set: 9262
Rank on gene expression program of top 30 genes in gene set:
Genes | Weight | Rank | GTEx | DepMap | Descartes | Mean.Counts | Mean.TPM |
---|---|---|---|---|---|---|---|
PPP2R2B | 0.0072521 | 52 | GTEx | DepMap | Descartes | 4.09 | 59.22 |
SORCS1 | 0.0051884 | 164 | GTEx | DepMap | Descartes | 3.06 | 62.78 |
MDGA2 | 0.0036531 | 333 | GTEx | DepMap | Descartes | 0.58 | 16.56 |
PAG1 | 0.0028076 | 516 | GTEx | DepMap | Descartes | 6.46 | 98.32 |
DST | 0.0022021 | 699 | GTEx | DepMap | Descartes | 8.93 | 61.05 |
NRXN1 | 0.0018423 | 876 | GTEx | DepMap | Descartes | 2.53 | 44.93 |
MARCKS | 0.0017675 | 923 | GTEx | DepMap | Descartes | 14.55 | 513.57 |
IL1RAPL1 | 0.0017367 | 946 | GTEx | DepMap | Descartes | 0.18 | 10.05 |
TRPM3 | 0.0016171 | 1022 | GTEx | DepMap | Descartes | 0.40 | 6.70 |
GFRA3 | 0.0010918 | 1533 | GTEx | DepMap | Descartes | 1.34 | 94.64 |
XKR4 | 0.0007438 | 2106 | GTEx | DepMap | Descartes | 0.55 | 5.00 |
SOX5 | 0.0005290 | 2733 | GTEx | DepMap | Descartes | 0.44 | 8.46 |
SCN7A | 0.0002444 | 4032 | GTEx | DepMap | Descartes | 1.00 | 22.89 |
PMP22 | 0.0000794 | 5277 | GTEx | DepMap | Descartes | 2.28 | 196.57 |
LRRTM4 | -0.0000483 | 6621 | GTEx | DepMap | Descartes | 0.11 | 4.61 |
COL25A1 | -0.0001222 | 7642 | GTEx | DepMap | Descartes | 0.04 | 0.63 |
IL1RAPL2 | -0.0001517 | 8047 | GTEx | DepMap | Descartes | 0.00 | 0.00 |
PTN | -0.0001698 | 8250 | GTEx | DepMap | Descartes | 0.38 | 44.43 |
FIGN | -0.0002035 | 8658 | GTEx | DepMap | Descartes | 0.33 | 4.98 |
ERBB4 | -0.0002044 | 8666 | GTEx | DepMap | Descartes | 0.02 | 0.21 |
PLCE1 | -0.0002121 | 8745 | GTEx | DepMap | Descartes | 0.27 | 3.81 |
NRXN3 | -0.0002139 | 8770 | GTEx | DepMap | Descartes | 0.26 | 5.84 |
HMGA2 | -0.0003139 | 9754 | GTEx | DepMap | Descartes | 0.00 | 0.05 |
MPZ | -0.0003270 | 9869 | GTEx | DepMap | Descartes | 0.06 | 3.02 |
SFRP1 | -0.0003470 | 10011 | GTEx | DepMap | Descartes | 1.97 | 62.34 |
ADAMTS5 | -0.0004029 | 10383 | GTEx | DepMap | Descartes | 0.04 | 0.32 |
SLC35F1 | -0.0004273 | 10540 | GTEx | DepMap | Descartes | 0.12 | 1.99 |
GRIK3 | -0.0005134 | 10972 | GTEx | DepMap | Descartes | 0.04 | 0.48 |
EGFLAM | -0.0005160 | 10986 | GTEx | DepMap | Descartes | 0.28 | 5.68 |
PTPRZ1 | -0.0005739 | 11231 | GTEx | DepMap | Descartes | 0.02 | 0.48 |
Descartes Megakaryocytes markers
Top 50 marker genes of Megakaryocytes cells in the Decartes fetal adrenal single cell map (https://atlas.brotmanbaty.org/bbi/human-gene-expression-during-development/cell/megakaryocytes/in/adrenal)
Wilcoxon ranksum test P-value for gene set overrepresentation: 1.00e+00
Mean rank of genes in gene set: 9547.58
Median rank of genes in gene set: 11423
Rank on gene expression program of top 30 genes in gene set:
Genes | Weight | Rank | GTEx | DepMap | Descartes | Mean.Counts | Mean.TPM |
---|---|---|---|---|---|---|---|
DOK6 | 0.0037209 | 320 | GTEx | DepMap | Descartes | 1.17 | 25.40 |
PRKAR2B | 0.0030333 | 458 | GTEx | DepMap | Descartes | 2.14 | 83.93 |
HIPK2 | 0.0005618 | 2609 | GTEx | DepMap | Descartes | 2.95 | 24.45 |
ITGA2B | 0.0004961 | 2844 | GTEx | DepMap | Descartes | 0.19 | 6.60 |
STON2 | 0.0003886 | 3298 | GTEx | DepMap | Descartes | 0.30 | 8.29 |
RAB27B | 0.0003603 | 3428 | GTEx | DepMap | Descartes | 0.21 | 4.19 |
MED12L | 0.0001696 | 4534 | GTEx | DepMap | Descartes | 0.13 | 1.80 |
SLC24A3 | 0.0001539 | 4658 | GTEx | DepMap | Descartes | 0.05 | 1.66 |
INPP4B | -0.0001004 | 7342 | GTEx | DepMap | Descartes | 0.26 | 5.25 |
TUBB1 | -0.0001189 | 7601 | GTEx | DepMap | Descartes | 0.03 | 1.06 |
ITGB3 | -0.0001361 | 7833 | GTEx | DepMap | Descartes | 0.03 | 1.12 |
PSTPIP2 | -0.0001657 | 8214 | GTEx | DepMap | Descartes | 0.06 | 3.62 |
TRPC6 | -0.0001719 | 8266 | GTEx | DepMap | Descartes | 0.00 | 0.00 |
GP1BA | -0.0001929 | 8543 | GTEx | DepMap | Descartes | 0.01 | 0.32 |
CD9 | -0.0002151 | 8786 | GTEx | DepMap | Descartes | 1.28 | 119.10 |
P2RX1 | -0.0002878 | 9526 | GTEx | DepMap | Descartes | 0.02 | 2.62 |
ARHGAP6 | -0.0002926 | 9565 | GTEx | DepMap | Descartes | 0.00 | 0.14 |
MMRN1 | -0.0003729 | 10204 | GTEx | DepMap | Descartes | 0.02 | 0.52 |
ANGPT1 | -0.0004613 | 10726 | GTEx | DepMap | Descartes | 0.02 | 1.07 |
ACTB | -0.0004697 | 10767 | GTEx | DepMap | Descartes | 32.30 | 1978.22 |
PDE3A | -0.0005568 | 11173 | GTEx | DepMap | Descartes | 0.17 | 3.81 |
MCTP1 | -0.0005771 | 11250 | GTEx | DepMap | Descartes | 0.06 | 1.78 |
UBASH3B | -0.0006305 | 11423 | GTEx | DepMap | Descartes | 0.08 | 1.95 |
PLEK | -0.0006588 | 11505 | GTEx | DepMap | Descartes | 0.07 | 4.40 |
CD84 | -0.0006597 | 11510 | GTEx | DepMap | Descartes | 0.08 | 1.24 |
FERMT3 | -0.0006861 | 11602 | GTEx | DepMap | Descartes | 0.28 | 12.23 |
FLI1 | -0.0007412 | 11757 | GTEx | DepMap | Descartes | 0.01 | 0.21 |
SPN | -0.0007644 | 11807 | GTEx | DepMap | Descartes | 0.03 | 0.82 |
MYLK | -0.0007748 | 11821 | GTEx | DepMap | Descartes | 0.14 | 3.63 |
LTBP1 | -0.0007974 | 11879 | GTEx | DepMap | Descartes | 0.03 | 2.11 |
Descartes Lyphoid markers
Top 50 marker genes of Lyphoid cells in the Decartes fetal adrenal single cell map (https://atlas.brotmanbaty.org/bbi/human-gene-expression-during-development/cell/lymphoid/in/adrenal)
Wilcoxon ranksum test P-value for gene set overrepresentation: 1.00e+00
Mean rank of genes in gene set: 9793.19
Median rank of genes in gene set: 11684.5
Rank on gene expression program of top 30 genes in gene set:
Genes | Weight | Rank | GTEx | DepMap | Descartes | Mean.Counts | Mean.TPM |
---|---|---|---|---|---|---|---|
RAP1GAP2 | 0.0051866 | 165 | GTEx | DepMap | Descartes | 3.17 | 76.64 |
STK39 | 0.0034815 | 374 | GTEx | DepMap | Descartes | 2.85 | 130.44 |
NCALD | 0.0020600 | 754 | GTEx | DepMap | Descartes | 1.23 | 50.58 |
TOX | 0.0018840 | 860 | GTEx | DepMap | Descartes | 1.33 | 50.61 |
BCL2 | 0.0017868 | 914 | GTEx | DepMap | Descartes | 3.12 | 61.35 |
GNG2 | 0.0017425 | 944 | GTEx | DepMap | Descartes | 3.98 | 176.26 |
EVL | 0.0008539 | 1900 | GTEx | DepMap | Descartes | 4.04 | 168.87 |
SCML4 | -0.0001006 | 7346 | GTEx | DepMap | Descartes | 0.39 | 13.13 |
TMSB10 | -0.0001802 | 8376 | GTEx | DepMap | Descartes | 18.54 | 5564.43 |
SORL1 | -0.0001997 | 8613 | GTEx | DepMap | Descartes | 1.67 | 21.85 |
BACH2 | -0.0002836 | 9486 | GTEx | DepMap | Descartes | 0.74 | 12.78 |
MCTP2 | -0.0005038 | 10939 | GTEx | DepMap | Descartes | 0.02 | 0.33 |
CD44 | -0.0005366 | 11080 | GTEx | DepMap | Descartes | 8.29 | 213.59 |
DOCK10 | -0.0005466 | 11121 | GTEx | DepMap | Descartes | 0.68 | 14.55 |
SAMD3 | -0.0005482 | 11131 | GTEx | DepMap | Descartes | 0.03 | 1.26 |
SKAP1 | -0.0005495 | 11138 | GTEx | DepMap | Descartes | 0.02 | 0.98 |
FYN | -0.0005744 | 11234 | GTEx | DepMap | Descartes | 3.88 | 155.80 |
RCSD1 | -0.0006258 | 11416 | GTEx | DepMap | Descartes | 0.07 | 1.32 |
CCND3 | -0.0006706 | 11550 | GTEx | DepMap | Descartes | 0.21 | 12.67 |
ABLIM1 | -0.0006893 | 11615 | GTEx | DepMap | Descartes | 0.93 | 17.74 |
PDE3B | -0.0007025 | 11655 | GTEx | DepMap | Descartes | 0.55 | 13.77 |
ANKRD44 | -0.0007280 | 11714 | GTEx | DepMap | Descartes | 0.33 | 7.72 |
PITPNC1 | -0.0007532 | 11781 | GTEx | DepMap | Descartes | 0.82 | 16.83 |
LEF1 | -0.0009260 | 12091 | GTEx | DepMap | Descartes | 0.08 | 3.12 |
ARHGAP15 | -0.0009777 | 12167 | GTEx | DepMap | Descartes | 0.02 | 0.53 |
CCL5 | -0.0010233 | 12223 | GTEx | DepMap | Descartes | 0.29 | 36.91 |
ITPKB | -0.0010418 | 12242 | GTEx | DepMap | Descartes | 0.07 | 2.21 |
PRKCH | -0.0010609 | 12260 | GTEx | DepMap | Descartes | 0.05 | 1.33 |
PLEKHA2 | -0.0010810 | 12274 | GTEx | DepMap | Descartes | 0.36 | 10.36 |
IKZF1 | -0.0010918 | 12288 | GTEx | DepMap | Descartes | 0.06 | 1.21 |
Below shows the ranks on this GEP for immune marker gene lists curated by CellTypist (https://www.celltypist.org/encyclopedia).
High ranks indicate this gene is a driver of this GEP.
These curated gene list are ranked by P-value (on this GEP) of their constituent genes.
The Mean Count column shows the mean read count in cells scoring highly (H > 50) on this gene expression program.
Genes | Weight | Rank | GTEx | DepMap | Decartes | Mean.Counts | Mean.TPM |
---|---|---|---|---|---|---|---|
PRDX2 | 0.0034081 | 386 | GTEx | DepMap | Descartes | 4.15 | 351.53 |
KCNH2 | 0.0034057 | 387 | GTEx | DepMap | Descartes | 1.22 | 42.29 |
Megakaryocyte precursor: Megakaryocyte precursor (curated markers)
megakaryocyte precursors in the bone marrow that are committed to megakaryocytes:
Wilcoxon ranksum test P-value for gene set overrepresentation: 1.27e-02
Mean rank of genes in gene set: 551.5
Rank on gene expression program of genes in gene set:
Genes | Weight | Rank | GTEx | DepMap | Decartes | Mean.Counts | Mean.TPM |
---|---|---|---|---|---|---|---|
GATA2 | 0.0030788 | 448 | GTEx | DepMap | Descartes | 5.41 | 234.67 |
PRSS57 | 0.0023153 | 655 | GTEx | DepMap | Descartes | 0.05 | 6.26 |
HSC/MPP: MEMP (curated markers)
shared progenitors which are derived from common myeloid progenitors and will differentiate into megakaryocytes:
Wilcoxon ranksum test P-value for gene set overrepresentation: 3.54e-02
Mean rank of genes in gene set: 1646
Rank on gene expression program of genes in gene set:
Genes | Weight | Rank | GTEx | DepMap | Decartes | Mean.Counts | Mean.TPM |
---|---|---|---|---|---|---|---|
GATA2 | 0.0030788 | 448 | GTEx | DepMap | Descartes | 5.41 | 234.67 |
ITGA2B | 0.0004961 | 2844 | GTEx | DepMap | Descartes | 0.19 | 6.60 |