Program description and justification of annotation: 16.
Submit a comment on this gene expression program’s interpretation: CLICK
QQ-plot of gene loadings, averaged over both independent splits of the data
This plot highlights the relative contribution of each gene to the GEP
Top genes driving this program.
Note: Decartes website is buggy, try refreshing. Also, Decartes fetal adrenal data have been collected at specific time points (89-122 days), all possible cell types of interest may not be represented, do not overinterpret.
The Mean Count column shows the mean read count in cells scoring highly (H > 50) on this gene expression program.
Gene | Loading | Gene.Name | GTEx | DepMap | Descartes | Mean.Counts | Mean.Tpm | |
---|---|---|---|---|---|---|---|---|
1 | ASGR1 | 0.0193653 | asialoglycoprotein receptor 1 | GTEx | DepMap | Descartes | 1.09 | 1772.54 |
2 | CP | 0.0175298 | ceruloplasmin | GTEx | DepMap | Descartes | 0.79 | 579.79 |
3 | ABCC2 | 0.0133416 | ATP binding cassette subfamily C member 2 | GTEx | DepMap | Descartes | 0.32 | 180.57 |
4 | MLXIPL | 0.0126066 | MLX interacting protein like | GTEx | DepMap | Descartes | 0.58 | 714.11 |
5 | NEAT1 | 0.0121596 | nuclear paraspeckle assembly transcript 1 | GTEx | DepMap | Descartes | 9.13 | 1299.23 |
6 | A2M | 0.0114197 | alpha-2-macroglobulin | GTEx | DepMap | Descartes | 0.79 | 601.70 |
7 | SERPINE1 | 0.0113654 | serpin family E member 1 | GTEx | DepMap | Descartes | 6.61 | 6901.10 |
8 | CFH | 0.0112976 | complement factor H | GTEx | DepMap | Descartes | 0.82 | 399.83 |
9 | APOB | 0.0111232 | apolipoprotein B | GTEx | DepMap | Descartes | 0.35 | 88.37 |
10 | LBP | 0.0110644 | lipopolysaccharide binding protein | GTEx | DepMap | Descartes | 0.37 | 817.52 |
11 | HSD17B2 | 0.0104956 | hydroxysteroid 17-beta dehydrogenase 2 | GTEx | DepMap | Descartes | 0.17 | 59.65 |
12 | FGL1 | 0.0104949 | fibrinogen like 1 | GTEx | DepMap | Descartes | 0.79 | 1634.13 |
13 | HKDC1 | 0.0104749 | hexokinase domain containing 1 | GTEx | DepMap | Descartes | 0.27 | 218.92 |
14 | HPN | 0.0103586 | hepsin | GTEx | DepMap | Descartes | 0.27 | 385.93 |
15 | C8G | 0.0102166 | complement C8 gamma chain | GTEx | DepMap | Descartes | 0.23 | 813.83 |
16 | KRT18 | 0.0101019 | keratin 18 | GTEx | DepMap | Descartes | 0.80 | 1475.68 |
17 | C3 | 0.0100899 | complement C3 | GTEx | DepMap | Descartes | 2.43 | 1757.45 |
18 | GCKR | 0.0094988 | glucokinase regulator | GTEx | DepMap | Descartes | 0.20 | 297.00 |
19 | FST | 0.0094865 | follistatin | GTEx | DepMap | Descartes | 0.33 | 407.01 |
20 | GHR | 0.0092932 | growth hormone receptor | GTEx | DepMap | Descartes | 0.32 | 197.52 |
21 | AHSG | 0.0089116 | alpha 2-HS glycoprotein | GTEx | DepMap | Descartes | 0.26 | 602.95 |
22 | APOC2 | 0.0088954 | apolipoprotein C2 | GTEx | DepMap | Descartes | 0.15 | 496.57 |
23 | CHRD | 0.0086556 | chordin | GTEx | DepMap | Descartes | 0.13 | 98.08 |
24 | F2 | 0.0085134 | coagulation factor II, thrombin | GTEx | DepMap | Descartes | 0.21 | 310.62 |
25 | TMC5 | 0.0084016 | transmembrane channel like 5 | GTEx | DepMap | Descartes | 0.22 | 142.18 |
26 | PROC | 0.0083684 | protein C, inactivator of coagulation factors Va and VIIIa | GTEx | DepMap | Descartes | 0.23 | 464.70 |
27 | PFKFB1 | 0.0083088 | 6-phosphofructo-2-kinase/fructose-2,6-biphosphatase 1 | GTEx | DepMap | Descartes | 0.11 | 190.52 |
28 | GDA | 0.0082668 | guanine deaminase | GTEx | DepMap | Descartes | 0.24 | 115.89 |
29 | ACSS3 | 0.0082046 | acyl-CoA synthetase short chain family member 3 | GTEx | DepMap | Descartes | 0.20 | 85.34 |
30 | NR5A2 | 0.0080073 | nuclear receptor subfamily 5 group A member 2 | GTEx | DepMap | Descartes | 0.26 | 174.05 |
31 | MST1 | 0.0079968 | macrophage stimulating 1 | GTEx | DepMap | Descartes | 0.44 | 348.73 |
32 | TNFSF14 | 0.0079470 | TNF superfamily member 14 | GTEx | DepMap | Descartes | 0.39 | 347.06 |
33 | OAF | 0.0078607 | out at first homolog | GTEx | DepMap | Descartes | 0.35 | 511.47 |
34 | RASD1 | 0.0078490 | ras related dexamethasone induced 1 | GTEx | DepMap | Descartes | 0.30 | 609.10 |
35 | TM4SF4 | 0.0077313 | transmembrane 4 L six family member 4 | GTEx | DepMap | Descartes | 0.45 | 1105.24 |
36 | NTN4 | 0.0075814 | netrin 4 | GTEx | DepMap | Descartes | 0.20 | 168.31 |
37 | ECHDC2 | 0.0074977 | enoyl-CoA hydratase domain containing 2 | GTEx | DepMap | Descartes | 0.41 | 233.96 |
38 | ERRFI1 | 0.0073830 | ERBB receptor feedback inhibitor 1 | GTEx | DepMap | Descartes | 0.55 | 597.51 |
39 | TGM2 | 0.0072508 | transglutaminase 2 | GTEx | DepMap | Descartes | 0.34 | 246.69 |
40 | EXT1 | 0.0071658 | exostosin glycosyltransferase 1 | GTEx | DepMap | Descartes | 2.10 | 738.08 |
41 | ELF3 | 0.0071655 | E74 like ETS transcription factor 3 | GTEx | DepMap | Descartes | 0.45 | 329.97 |
42 | SHROOM1 | 0.0071111 | shroom family member 1 | GTEx | DepMap | Descartes | 0.35 | 302.19 |
43 | ABCB4 | 0.0067808 | ATP binding cassette subfamily B member 4 | GTEx | DepMap | Descartes | 0.15 | 109.57 |
44 | ABCC3 | 0.0067282 | ATP binding cassette subfamily C member 3 | GTEx | DepMap | Descartes | 0.64 | 402.81 |
45 | CFB | 0.0064194 | complement factor B | GTEx | DepMap | Descartes | 0.15 | 251.54 |
46 | PCSK9 | 0.0063777 | proprotein convertase subtilisin/kexin type 9 | GTEx | DepMap | Descartes | 0.02 | 13.61 |
47 | PLIN5 | 0.0063776 | perilipin 5 | GTEx | DepMap | Descartes | 0.09 | 132.53 |
48 | CREB3L3 | 0.0063346 | cAMP responsive element binding protein 3 like 3 | GTEx | DepMap | Descartes | 0.14 | 241.46 |
49 | G0S2 | 0.0063264 | G0/G1 switch 2 | GTEx | DepMap | Descartes | 0.35 | 1161.31 |
50 | PLOD2 | 0.0063218 | procollagen-lysine,2-oxoglutarate 5-dioxygenase 2 | GTEx | DepMap | Descartes | 0.53 | 452.59 |
UMAP plots showing activity of gene expression program identified in community:16. Fetal Liver Hepatoblast-like
CNV Data procured from inferCNV.
Outer tracks are putative CNV regions (gains = red, losses = blue) for each patient
Inner track is expression data representing:
The top cells expressing this GEP (purple)
Random cells (n =50) from the reference set used in inferCNV (orange)
Gene set Enrichments for this program, caculated from top 50 genes
mSigDB Cell Types Gene Set:
P-value | OR | Lower 95% CI | FDR | FWER | Genes Found | Gene Set Size | |
---|---|---|---|---|---|---|---|
AIZARANI_LIVER_C17_HEPATOCYTES_3 | 2.42e-20 | 61.38 | 30.04 | 1.63e-17 | 1.63e-17 | 15ASGR1, CP, MLXIPL, SERPINE1, CFH, APOB, FGL1, HPN, C3, AHSG, F2, MST1, TNFSF14, CFB, PLIN5 |
102 |
AIZARANI_LIVER_C11_HEPATOCYTES_1 | 5.11e-16 | 22.91 | 11.83 | 1.20e-13 | 3.43e-13 | 17ASGR1, CP, MLXIPL, SERPINE1, CFH, APOB, FGL1, HPN, C3, GHR, AHSG, F2, PROC, MST1, ECHDC2, ERRFI1, CFB |
298 |
AIZARANI_LIVER_C14_HEPATOCYTES_2 | 2.34e-12 | 20.61 | 9.91 | 3.14e-10 | 1.57e-09 | 13ASGR1, CP, MLXIPL, CFH, APOB, LBP, FGL1, HPN, C3, AHSG, F2, MST1, CFB |
226 |
DESCARTES_FETAL_LIVER_HEPATOBLASTS | 5.38e-16 | 17.34 | 9.26 | 1.20e-13 | 3.61e-13 | 20ASGR1, CP, ABCC2, MLXIPL, APOB, LBP, HSD17B2, FGL1, HKDC1, HPN, FST, AHSG, APOC2, F2, PROC, TM4SF4, ERRFI1, CFB, PCSK9, CREB3L3 |
501 |
AIZARANI_LIVER_C30_HEPATOCYTES_4 | 2.04e-14 | 16.44 | 8.62 | 3.42e-12 | 1.37e-11 | 18ASGR1, CP, ABCC2, MLXIPL, A2M, CFH, HPN, GCKR, FST, CHRD, PROC, MST1, TNFSF14, ECHDC2, ERRFI1, SHROOM1, ABCC3, PLIN5 |
446 |
AIZARANI_LIVER_C31_KUPFFER_CELLS_5 | 1.97e-08 | 21.25 | 8.42 | 1.89e-06 | 1.32e-05 | 8MLXIPL, FST, CHRD, MST1, TNFSF14, ECHDC2, SHROOM1, PLIN5 |
120 |
GAO_SMALL_INTESTINE_24W_C4_ENTEROCYTE_PROGENITOR_SUBTYPE_2 | 9.57e-08 | 22.59 | 8.35 | 8.03e-06 | 6.42e-05 | 7ABCC2, APOB, C8G, MST1, TGM2, CFB, G0S2 |
97 |
DESCARTES_FETAL_SPLEEN_AFP_ALB_POSITIVE_CELLS | 2.38e-09 | 17.55 | 7.70 | 2.66e-07 | 1.60e-06 | 10ASGR1, APOB, LBP, FGL1, HPN, FST, AHSG, F2, MST1, TM4SF4 |
188 |
TRAVAGLINI_LUNG_MUCOUS_CELL | 5.39e-07 | 17.23 | 6.41 | 3.61e-05 | 3.61e-04 | 7CP, HSD17B2, C3, TMC5, RASD1, TGM2, CFB |
125 |
DESCARTES_FETAL_PLACENTA_AFP_ALB_POSITIVE_CELLS | 3.01e-07 | 14.61 | 5.83 | 2.24e-05 | 2.02e-04 | 8ASGR1, ABCC2, MLXIPL, APOB, AHSG, F2, MST1, TM4SF4 |
171 |
AIZARANI_LIVER_C4_EPCAM_POS_BILE_DUCT_CELLS_1 | 6.90e-07 | 13.01 | 5.20 | 3.86e-05 | 4.63e-04 | 8APOB, HSD17B2, KRT18, C3, TM4SF4, ERRFI1, ELF3, ABCC3 |
191 |
BUSSLINGER_DUODENAL_MATURE_ENTEROCYTES | 5.98e-07 | 10.98 | 4.64 | 3.65e-05 | 4.01e-04 | 9ABCC2, APOB, HKDC1, C8G, TMC5, TM4SF4, ECHDC2, ABCC3, CREB3L3 |
259 |
DESCARTES_FETAL_STOMACH_MUC13_DMBT1_POSITIVE_CELLS | 3.86e-05 | 15.09 | 4.57 | 1.62e-03 | 2.59e-02 | 5APOB, HSD17B2, HKDC1, GDA, CREB3L3 |
97 |
DESCARTES_FETAL_INTESTINE_INTESTINAL_EPITHELIAL_CELLS | 1.01e-06 | 10.28 | 4.35 | 5.19e-05 | 6.75e-04 | 9ABCC2, APOB, HSD17B2, HKDC1, C8G, TMC5, GDA, ELF3, CREB3L3 |
276 |
DESCARTES_FETAL_HEART_ELF3_AGBL2_POSITIVE_CELLS | 7.92e-04 | 18.54 | 3.56 | 2.31e-02 | 5.32e-01 | 3CP, TMC5, ELF3 |
46 |
CUI_DEVELOPING_HEART_C6_EPICARDIAL_CELL | 1.08e-04 | 9.02 | 3.10 | 4.26e-03 | 7.24e-02 | 6CFH, KRT18, C3, MST1, CFB, PLOD2 |
195 |
MURARO_PANCREAS_ACINAR_CELL | 2.04e-06 | 6.12 | 2.97 | 9.79e-05 | 1.37e-03 | 13NEAT1, FGL1, HPN, KRT18, C3, TMC5, NR5A2, OAF, NTN4, ELF3, ABCC3, CFB, PLIN5 |
731 |
DESCARTES_FETAL_LUNG_MESOTHELIAL_CELLS | 7.69e-04 | 10.75 | 2.76 | 2.31e-02 | 5.16e-01 | 4CFH, C3, MST1, CFB |
105 |
BUSSLINGER_DUODENAL_LATE_IMMATURE_ENTEROCYTES | 6.28e-04 | 8.07 | 2.47 | 2.08e-02 | 4.21e-01 | 5APOB, HSD17B2, GDA, TM4SF4, CREB3L3 |
177 |
MURARO_PANCREAS_DUCTAL_CELL | 6.01e-06 | 4.67 | 2.40 | 2.69e-04 | 4.03e-03 | 16NEAT1, A2M, CFH, HSD17B2, HKDC1, KRT18, C3, TMC5, NR5A2, NTN4, ERRFI1, TGM2, EXT1, ELF3, ABCC3, CFB |
1276 |
Dowload full table
mSigDB Hallmark Gene Sets:
P-value | OR | Lower 95% CI | FDR | FWER | Genes Found | Gene Set Size | |
---|---|---|---|---|---|---|---|
HALLMARK_COAGULATION | 1.44e-13 | 31.31 | 14.54 | 7.21e-12 | 7.21e-12 | 12A2M, SERPINE1, CFH, HPN, C8G, C3, APOC2, F2, PROC, GDA, MST1, CFB |
138 |
HALLMARK_COMPLEMENT | 1.19e-05 | 10.54 | 3.95 | 2.97e-04 | 5.94e-04 | 7CP, SERPINE1, CFH, C3, F2, CFB, PCSK9 |
200 |
HALLMARK_XENOBIOTIC_METABOLISM | 1.24e-04 | 8.78 | 3.02 | 2.06e-03 | 6.18e-03 | 6ABCC2, SERPINE1, HSD17B2, GCKR, ABCC3, CFB |
200 |
HALLMARK_HYPOXIA | 1.08e-03 | 7.12 | 2.18 | 1.35e-02 | 5.40e-02 | 5CP, SERPINE1, ERRFI1, TGM2, EXT1 |
200 |
HALLMARK_GLYCOLYSIS | 7.71e-03 | 5.55 | 1.44 | 6.42e-02 | 3.85e-01 | 4PFKFB1, EXT1, ELF3, PLOD2 |
200 |
HALLMARK_KRAS_SIGNALING_UP | 7.71e-03 | 5.55 | 1.44 | 6.42e-02 | 3.85e-01 | 4CFH, HKDC1, CFB, G0S2 |
200 |
HALLMARK_ESTROGEN_RESPONSE_EARLY | 4.35e-02 | 4.05 | 0.80 | 2.72e-01 | 1.00e+00 | 3KRT18, TGM2, ELF3 |
200 |
HALLMARK_EPITHELIAL_MESENCHYMAL_TRANSITION | 4.35e-02 | 4.05 | 0.80 | 2.72e-01 | 1.00e+00 | 3SERPINE1, TGM2, PLOD2 |
200 |
HALLMARK_APOPTOSIS | 1.32e-01 | 3.28 | 0.38 | 6.91e-01 | 1.00e+00 | 2KRT18, F2 |
161 |
HALLMARK_TNFA_SIGNALING_VIA_NFKB | 1.85e-01 | 2.63 | 0.31 | 6.91e-01 | 1.00e+00 | 2SERPINE1, G0S2 |
200 |
HALLMARK_INTERFERON_GAMMA_RESPONSE | 1.85e-01 | 2.63 | 0.31 | 6.91e-01 | 1.00e+00 | 2CFH, CFB |
200 |
HALLMARK_INFLAMMATORY_RESPONSE | 1.85e-01 | 2.63 | 0.31 | 6.91e-01 | 1.00e+00 | 2SERPINE1, HPN |
200 |
HALLMARK_APICAL_SURFACE | 1.61e-01 | 5.93 | 0.14 | 6.91e-01 | 1.00e+00 | 1PCSK9 |
44 |
HALLMARK_TGF_BETA_SIGNALING | 1.94e-01 | 4.81 | 0.12 | 6.91e-01 | 1.00e+00 | 1SERPINE1 |
54 |
HALLMARK_CHOLESTEROL_HOMEOSTASIS | 2.55e-01 | 3.49 | 0.09 | 8.50e-01 | 1.00e+00 | 1ERRFI1 |
74 |
HALLMARK_IL6_JAK_STAT3_SIGNALING | 2.93e-01 | 2.97 | 0.07 | 9.14e-01 | 1.00e+00 | 1A2M |
87 |
HALLMARK_PROTEIN_SECRETION | 3.17e-01 | 2.68 | 0.07 | 9.33e-01 | 1.00e+00 | 1KRT18 |
96 |
HALLMARK_PEROXISOME | 3.39e-01 | 2.48 | 0.06 | 9.41e-01 | 1.00e+00 | 1ABCB4 |
104 |
HALLMARK_UV_RESPONSE_DN | 4.35e-01 | 1.78 | 0.04 | 1.00e+00 | 1.00e+00 | 1SERPINE1 |
144 |
HALLMARK_FATTY_ACID_METABOLISM | 4.66e-01 | 1.62 | 0.04 | 1.00e+00 | 1.00e+00 | 1G0S2 |
158 |
Dowload full table
KEGG Pathways:
P-value | OR | Lower 95% CI | FDR | FWER | Genes Found | Gene Set Size | |
---|---|---|---|---|---|---|---|
KEGG_COMPLEMENT_AND_COAGULATION_CASCADES | 2.36e-10 | 38.95 | 15.17 | 4.38e-08 | 4.38e-08 | 8A2M, SERPINE1, CFH, C8G, C3, F2, PROC, CFB |
69 |
KEGG_ABC_TRANSPORTERS | 6.96e-04 | 19.44 | 3.72 | 6.47e-02 | 1.29e-01 | 3ABCC2, ABCB4, ABCC3 |
44 |
KEGG_TGF_BETA_SIGNALING_PATHWAY | 4.54e-02 | 6.20 | 0.72 | 1.00e+00 | 1.00e+00 | 2FST, CHRD |
86 |
KEGG_SYSTEMIC_LUPUS_ERYTHEMATOSUS | 1.04e-01 | 3.80 | 0.44 | 1.00e+00 | 1.00e+00 | 2C8G, C3 |
139 |
KEGG_HUNTINGTONS_DISEASE | 1.60e-01 | 2.89 | 0.34 | 1.00e+00 | 1.00e+00 | 2TGM2, CREB3L3 |
182 |
KEGG_MATURITY_ONSET_DIABETES_OF_THE_YOUNG | 9.49e-02 | 10.62 | 0.25 | 1.00e+00 | 1.00e+00 | 1NR5A2 |
25 |
KEGG_GLYCOSAMINOGLYCAN_BIOSYNTHESIS_HEPARAN_SULFATE | 9.85e-02 | 10.19 | 0.24 | 1.00e+00 | 1.00e+00 | 1EXT1 |
26 |
KEGG_CYTOKINE_CYTOKINE_RECEPTOR_INTERACTION | 2.77e-01 | 1.98 | 0.23 | 1.00e+00 | 1.00e+00 | 2GHR, TNFSF14 |
265 |
KEGG_NEUROACTIVE_LIGAND_RECEPTOR_INTERACTION | 2.87e-01 | 1.93 | 0.23 | 1.00e+00 | 1.00e+00 | 2GHR, F2 |
272 |
KEGG_PROPANOATE_METABOLISM | 1.23e-01 | 7.97 | 0.19 | 1.00e+00 | 1.00e+00 | 1ACSS3 |
33 |
KEGG_FRUCTOSE_AND_MANNOSE_METABOLISM | 1.27e-01 | 7.73 | 0.19 | 1.00e+00 | 1.00e+00 | 1PFKFB1 |
34 |
KEGG_PRION_DISEASES | 1.30e-01 | 7.50 | 0.18 | 1.00e+00 | 1.00e+00 | 1C8G |
35 |
KEGG_PORPHYRIN_AND_CHLOROPHYLL_METABOLISM | 1.51e-01 | 6.37 | 0.15 | 1.00e+00 | 1.00e+00 | 1CP |
41 |
KEGG_LYSINE_DEGRADATION | 1.61e-01 | 5.93 | 0.14 | 1.00e+00 | 1.00e+00 | 1PLOD2 |
44 |
KEGG_VASOPRESSIN_REGULATED_WATER_REABSORPTION | 1.61e-01 | 5.93 | 0.14 | 1.00e+00 | 1.00e+00 | 1CREB3L3 |
44 |
KEGG_STEROID_HORMONE_BIOSYNTHESIS | 1.97e-01 | 4.72 | 0.12 | 1.00e+00 | 1.00e+00 | 1HSD17B2 |
55 |
KEGG_PATHOGENIC_ESCHERICHIA_COLI_INFECTION | 2.00e-01 | 4.64 | 0.11 | 1.00e+00 | 1.00e+00 | 1KRT18 |
56 |
KEGG_P53_SIGNALING_PATHWAY | 2.37e-01 | 3.81 | 0.09 | 1.00e+00 | 1.00e+00 | 1SERPINE1 |
68 |
KEGG_LEISHMANIA_INFECTION | 2.49e-01 | 3.59 | 0.09 | 1.00e+00 | 1.00e+00 | 1C3 |
72 |
KEGG_PROSTATE_CANCER | 2.98e-01 | 2.90 | 0.07 | 1.00e+00 | 1.00e+00 | 1CREB3L3 |
89 |
Dowload full table
CHR Positional Gene Sets:
P-value | OR | Lower 95% CI | FDR | FWER | Genes Found | Gene Set Size | |
---|---|---|---|---|---|---|---|
chr1q32 | 8.51e-02 | 3.03 | 0.60 | 1.00e+00 | 1.00e+00 | 3NR5A2, ELF3, G0S2 |
266 |
chr3q27 | 7.56e-02 | 4.61 | 0.54 | 1.00e+00 | 1.00e+00 | 2AHSG, CHRD |
115 |
chr1p32 | 1.20e-01 | 3.47 | 0.41 | 1.00e+00 | 1.00e+00 | 2ECHDC2, PCSK9 |
152 |
chr3q25 | 1.20e-01 | 3.47 | 0.41 | 1.00e+00 | 1.00e+00 | 2CP, TM4SF4 |
152 |
chr19p13 | 5.35e-01 | 1.41 | 0.37 | 1.00e+00 | 1.00e+00 | 4C3, TNFSF14, PLIN5, CREB3L3 |
773 |
chr20q11 | 2.37e-01 | 2.22 | 0.26 | 1.00e+00 | 1.00e+00 | 2LBP, TGM2 |
237 |
chr8p22 | 1.64e-01 | 5.80 | 0.14 | 1.00e+00 | 1.00e+00 | 1FGL1 |
45 |
chr12q22 | 1.84e-01 | 5.10 | 0.12 | 1.00e+00 | 1.00e+00 | 1NTN4 |
51 |
chr1q31 | 2.46e-01 | 3.64 | 0.09 | 1.00e+00 | 1.00e+00 | 1CFH |
71 |
chr2p24 | 2.55e-01 | 3.49 | 0.09 | 1.00e+00 | 1.00e+00 | 1APOB |
74 |
chr5q11 | 2.87e-01 | 3.04 | 0.07 | 1.00e+00 | 1.00e+00 | 1FST |
85 |
chr16q23 | 3.39e-01 | 2.48 | 0.06 | 1.00e+00 | 1.00e+00 | 1HSD17B2 |
104 |
chr19q13 | 4.39e-01 | 0.45 | 0.05 | 1.00e+00 | 1.00e+00 | 2HPN, APOC2 |
1165 |
chr12q21 | 3.99e-01 | 2.01 | 0.05 | 1.00e+00 | 1.00e+00 | 1ACSS3 |
128 |
chr5p13 | 3.99e-01 | 2.01 | 0.05 | 1.00e+00 | 1.00e+00 | 1GHR |
128 |
chr11p11 | 4.38e-01 | 1.77 | 0.04 | 1.00e+00 | 1.00e+00 | 1F2 |
145 |
chr2p23 | 4.38e-01 | 1.77 | 0.04 | 1.00e+00 | 1.00e+00 | 1GCKR |
145 |
chr2q14 | 4.57e-01 | 1.67 | 0.04 | 1.00e+00 | 1.00e+00 | 1PROC |
154 |
chr16p12 | 4.78e-01 | 1.56 | 0.04 | 1.00e+00 | 1.00e+00 | 1TMC5 |
164 |
chr7q21 | 4.78e-01 | 1.56 | 0.04 | 1.00e+00 | 1.00e+00 | 1ABCB4 |
164 |
Dowload full table
Transcription Factor Targets:
P-value | OR | Lower 95% CI | FDR | FWER | Genes Found | Gene Set Size | |
---|---|---|---|---|---|---|---|
NR1H4_TARGET_GENES | 2.59e-05 | 7.76 | 3.12 | 2.94e-02 | 2.94e-02 | 8C8G, C3, GCKR, PFKFB1, TM4SF4, ECHDC2, ELF3, CFB |
315 |
ZNF133_TARGET_GENES | 3.10e-03 | 7.25 | 1.87 | 4.29e-01 | 1.00e+00 | 4SERPINE1, FGL1, KRT18, G0S2 |
154 |
HNF1_01 | 2.64e-03 | 5.76 | 1.77 | 4.29e-01 | 1.00e+00 | 5HPN, CHRD, NR5A2, TM4SF4, ERRFI1 |
246 |
CEBPB_01 | 3.73e-03 | 5.30 | 1.63 | 4.29e-01 | 1.00e+00 | 5ASGR1, C3, TNFSF14, ECHDC2, ERRFI1 |
267 |
GATA6_01 | 3.79e-03 | 5.28 | 1.62 | 4.29e-01 | 1.00e+00 | 5FST, PFKFB1, NR5A2, ECHDC2, ERRFI1 |
268 |
ZSCAN2_TARGET_GENES | 1.61e-03 | 3.48 | 1.55 | 4.29e-01 | 1.00e+00 | 10ASGR1, HSD17B2, FGL1, HPN, C3, AHSG, F2, EXT1, ABCC3, CFB |
908 |
HES2_TARGET_GENES | 3.62e-03 | 2.81 | 1.33 | 4.29e-01 | 1.00e+00 | 12CP, NEAT1, SERPINE1, LBP, FGL1, C3, FST, TM4SF4, NTN4, ABCC3, CFB, PLOD2 |
1420 |
HNF1_C | 1.60e-02 | 4.44 | 1.15 | 8.61e-01 | 1.00e+00 | 4FST, F2, PROC, ERRFI1 |
249 |
HNF1_Q6 | 1.75e-02 | 4.31 | 1.12 | 8.61e-01 | 1.00e+00 | 4HPN, F2, TM4SF4, ERRFI1 |
256 |
CEBPB_02 | 1.98e-02 | 4.15 | 1.08 | 8.61e-01 | 1.00e+00 | 4ASGR1, CP, FST, G0S2 |
266 |
TGTTTGY_HNF3_Q6 | 2.10e-02 | 2.75 | 1.04 | 8.61e-01 | 1.00e+00 | 7A2M, FGL1, AHSG, PROC, NTN4, ERRFI1, CFB |
748 |
GATAAGR_GATA_C | 2.86e-02 | 3.69 | 0.96 | 1.00e+00 | 1.00e+00 | 4PFKFB1, NR5A2, MST1, ECHDC2 |
299 |
WTGAAAT_UNKNOWN | 3.01e-02 | 2.75 | 0.96 | 1.00e+00 | 1.00e+00 | 6CFH, HPN, FST, PFKFB1, ERRFI1, G0S2 |
625 |
GATA_Q6 | 4.40e-02 | 4.03 | 0.80 | 1.00e+00 | 1.00e+00 | 3PFKFB1, NR5A2, ECHDC2 |
201 |
FOXD3_01 | 4.46e-02 | 4.01 | 0.79 | 1.00e+00 | 1.00e+00 | 3FST, PROC, ERRFI1 |
202 |
SNRNP70_TARGET_GENES | 9.62e-02 | 2.03 | 0.77 | 1.00e+00 | 1.00e+00 | 7MLXIPL, NEAT1, A2M, FGL1, GCKR, ECHDC2, ERRFI1 |
1009 |
STAT5A_04 | 5.12e-02 | 3.78 | 0.75 | 1.00e+00 | 1.00e+00 | 3NR5A2, ECHDC2, EXT1 |
214 |
TATAAA_TATA_01 | 1.40e-01 | 1.82 | 0.74 | 1.00e+00 | 1.00e+00 | 8CP, SERPINE1, FST, APOC2, NR5A2, TM4SF4, G0S2, PLOD2 |
1317 |
TGACCTY_ERR1_Q2 | 1.09e-01 | 1.93 | 0.73 | 1.00e+00 | 1.00e+00 | 7HPN, F2, NR5A2, ERRFI1, ELF3, CREB3L3, G0S2 |
1064 |
HP1SITEFACTOR_Q6 | 6.40e-02 | 3.44 | 0.68 | 1.00e+00 | 1.00e+00 | 3HSD17B2, NR5A2, ECHDC2 |
235 |
Dowload full table
GO Biological Processes:
P-value | OR | Lower 95% CI | FDR | FWER | Genes Found | Gene Set Size | |
---|---|---|---|---|---|---|---|
GOBP_COMPLEMENT_ACTIVATION_ALTERNATIVE_PATHWAY | 6.51e-07 | 77.19 | 17.86 | 4.87e-03 | 4.87e-03 | 4CFH, C8G, C3, CFB |
18 |
GOBP_LEUKOTRIENE_TRANSPORT | 3.22e-04 | 103.49 | 9.64 | 1.00e-01 | 1.00e+00 | 2ABCC2, ABCC3 |
7 |
GOBP_TRIGLYCERIDE_RICH_LIPOPROTEIN_PARTICLE_CLEARANCE | 4.28e-04 | 86.37 | 8.33 | 1.13e-01 | 1.00e+00 | 2APOB, APOC2 |
8 |
GOBP_RESPONSE_TO_FRUCTOSE | 5.49e-04 | 74.10 | 7.33 | 1.17e-01 | 1.00e+00 | 2KRT18, GCKR |
9 |
GOBP_CHYLOMICRON_REMODELING | 5.49e-04 | 74.10 | 7.33 | 1.17e-01 | 1.00e+00 | 2APOB, APOC2 |
9 |
GOBP_HYPERSENSITIVITY | 6.85e-04 | 64.86 | 6.55 | 1.25e-01 | 1.00e+00 | 2C3, EXT1 |
10 |
GOBP_DRUG_TRANSMEMBRANE_TRANSPORT | 6.85e-04 | 64.86 | 6.55 | 1.25e-01 | 1.00e+00 | 2ABCC2, ABCC3 |
10 |
GOBP_VERY_LOW_DENSITY_LIPOPROTEIN_PARTICLE_CLEARANCE | 6.85e-04 | 64.86 | 6.55 | 1.25e-01 | 1.00e+00 | 2APOB, APOC2 |
10 |
GOBP_NEGATIVE_REGULATION_OF_FIBRINOLYSIS | 6.85e-04 | 64.86 | 6.55 | 1.25e-01 | 1.00e+00 | 2SERPINE1, F2 |
10 |
GOBP_COMPLEMENT_DEPENDENT_CYTOTOXICITY | 6.85e-04 | 64.86 | 6.55 | 1.25e-01 | 1.00e+00 | 2CFH, C3 |
10 |
GOBP_POSITIVE_REGULATION_OF_LIPID_STORAGE | 1.81e-04 | 31.85 | 5.95 | 7.45e-02 | 1.00e+00 | 3APOB, C3, PLIN5 |
28 |
GOBP_CHYLOMICRON_ASSEMBLY | 8.35e-04 | 57.69 | 5.91 | 1.37e-01 | 1.00e+00 | 2APOB, APOC2 |
11 |
GOBP_REGULATION_OF_HEXOKINASE_ACTIVITY | 8.35e-04 | 57.69 | 5.91 | 1.37e-01 | 1.00e+00 | 2GCKR, PFKFB1 |
11 |
GOBP_ACUTE_INFLAMMATORY_RESPONSE | 3.73e-06 | 16.87 | 5.74 | 9.29e-03 | 2.79e-02 | 6LBP, C3, AHSG, F2, EXT1, CREB3L3 |
107 |
GOBP_BASEMENT_MEMBRANE_ORGANIZATION | 2.22e-04 | 29.50 | 5.54 | 8.04e-02 | 1.00e+00 | 3HPN, NTN4, EXT1 |
30 |
GOBP_DRUG_TRANSPORT | 9.99e-04 | 51.89 | 5.39 | 1.43e-01 | 1.00e+00 | 2ABCC2, ABCC3 |
12 |
GOBP_BILE_ACID_SECRETION | 9.99e-04 | 51.89 | 5.39 | 1.43e-01 | 1.00e+00 | 2ABCC2, ABCB4 |
12 |
GOBP_REGULATION_OF_COMPLEMENT_ACTIVATION | 5.37e-06 | 15.77 | 5.38 | 1.00e-02 | 4.02e-02 | 6A2M, CFH, C8G, C3, F2, CFB |
114 |
GOBP_CYTOLYSIS | 2.46e-04 | 28.45 | 5.35 | 8.04e-02 | 1.00e+00 | 3LBP, C8G, F2 |
31 |
GOBP_REGULATION_OF_PLASMINOGEN_ACTIVATION | 1.18e-03 | 47.19 | 4.96 | 1.52e-01 | 1.00e+00 | 2SERPINE1, HPN |
13 |
Dowload full table
Immunological Gene Sets:
P-value | OR | Lower 95% CI | FDR | FWER | Genes Found | Gene Set Size | |
---|---|---|---|---|---|---|---|
GSE20715_0H_VS_24H_OZONE_LUNG_DN | 1.19e-05 | 10.54 | 3.95 | 5.79e-02 | 5.79e-02 | 7CP, KRT18, C3, FST, ELF3, ABCC3, CFB |
200 |
GSE22443_NAIVE_VS_ACT_AND_IL2_TREATED_CD8_TCELL_DN | 1.24e-04 | 8.78 | 3.02 | 3.01e-01 | 6.03e-01 | 6ABCC2, LBP, KRT18, C3, ERRFI1, ELF3 |
200 |
GSE40493_BCL6_KO_VS_WT_TREG_DN | 1.15e-03 | 9.62 | 2.47 | 3.99e-01 | 1.00e+00 | 4HKDC1, ACSS3, PCSK9, CREB3L3 |
117 |
GSE42021_TREG_PLN_VS_CD24LO_TREG_THYMUS_DN | 1.01e-03 | 7.23 | 2.22 | 3.99e-01 | 1.00e+00 | 5C3, GCKR, APOC2, EXT1, CFB |
197 |
GSE37605_C57BL6_VS_NOD_FOXP3_IRES_GFP_TREG_UP | 1.73e-03 | 8.56 | 2.20 | 5.64e-01 | 1.00e+00 | 4ABCC2, MLXIPL, KRT18, PROC |
131 |
GSE360_L_DONOVANI_VS_B_MALAYI_HIGH_DOSE_MAC_UP | 1.06e-03 | 7.16 | 2.19 | 3.99e-01 | 1.00e+00 | 5SERPINE1, PFKFB1, TGM2, G0S2, PLOD2 |
199 |
GSE19198_6H_VS_24H_IL21_TREATED_TCELL_UP | 1.06e-03 | 7.16 | 2.19 | 3.99e-01 | 1.00e+00 | 5SERPINE1, APOC2, TNFSF14, ABCC3, G0S2 |
199 |
GSE42021_CD24HI_VS_CD24LOW_TCONV_THYMUS_DN | 1.06e-03 | 7.16 | 2.19 | 3.99e-01 | 1.00e+00 | 5CFH, C3, FST, TGM2, CFB |
199 |
GSE17721_CTRL_VS_CPG_2H_BMDC_DN | 1.08e-03 | 7.12 | 2.18 | 3.99e-01 | 1.00e+00 | 5NEAT1, SERPINE1, FST, TGM2, ELF3 |
200 |
GSE17721_POLYIC_VS_CPG_1H_BMDC_DN | 1.08e-03 | 7.12 | 2.18 | 3.99e-01 | 1.00e+00 | 5NEAT1, A2M, FGL1, ERRFI1, TGM2 |
200 |
GSE20715_0H_VS_24H_OZONE_TLR4_KO_LUNG_DN | 1.08e-03 | 7.12 | 2.18 | 3.99e-01 | 1.00e+00 | 5LBP, KRT18, FST, ELF3, CFB |
200 |
GSE24634_IL4_VS_CTRL_TREATED_NAIVE_CD4_TCELL_DAY7_DN | 1.08e-03 | 7.12 | 2.18 | 3.99e-01 | 1.00e+00 | 5ASGR1, C3, FST, TNFSF14, CFB |
200 |
GSE19198_CTRL_VS_IL21_TREATED_TCELL_24H_UP | 1.08e-03 | 7.12 | 2.18 | 3.99e-01 | 1.00e+00 | 5CP, SERPINE1, OAF, ERRFI1, TGM2 |
200 |
GSE42021_CD24HI_VS_CD24INT_TREG_THYMUS_DN | 1.08e-03 | 7.12 | 2.18 | 3.99e-01 | 1.00e+00 | 5CFH, C3, TGM2, EXT1, CFB |
200 |
GSE43955_1H_VS_42H_ACT_CD4_TCELL_WITH_TGFB_IL6_DN | 1.08e-03 | 7.12 | 2.18 | 3.99e-01 | 1.00e+00 | 5CP, A2M, C8G, APOC2, PFKFB1 |
200 |
GSE9509_LPS_VS_LPS_AND_IL10_STIM_IL10_KO_MACROPHAGE_20MIN_UP | 6.95e-03 | 5.72 | 1.48 | 8.16e-01 | 1.00e+00 | 4NEAT1, CFH, C3, PLOD2 |
194 |
GSE1460_CD4_THYMOCYTE_VS_NAIVE_CD4_TCELL_CORD_BLOOD_DN | 7.32e-03 | 5.63 | 1.46 | 8.16e-01 | 1.00e+00 | 4FGL1, NR5A2, ABCC3, PLOD2 |
197 |
GSE360_L_MAJOR_VS_T_GONDII_DC_UP | 7.32e-03 | 5.63 | 1.46 | 8.16e-01 | 1.00e+00 | 4C8G, APOC2, TM4SF4, ABCB4 |
197 |
GSE17721_CTRL_VS_GARDIQUIMOD_12H_BMDC_DN | 7.45e-03 | 5.60 | 1.45 | 8.16e-01 | 1.00e+00 | 4SERPINE1, LBP, NR5A2, ABCB4 |
198 |
GSE25088_ROSIGLITAZONE_VS_IL4_AND_ROSIGLITAZONE_STIM_STAT6_KO_MACROPHAGE_DAY10_DN | 7.45e-03 | 5.60 | 1.45 | 8.16e-01 | 1.00e+00 | 4HPN, C3, TGM2, CFB |
198 |
Top Ranked Transcription Factors for this Gene Expression Program:
Gene Symbol | TF Rank | DNA Binding Domain | Motif Status | IUPAC PWM | GTEx | DepMap | Decartes |
---|---|---|---|---|---|---|---|
MLXIPL | 4 | Yes | Known motif | Monomer or homomultimer | High-throughput in vitro | None | None |
NR5A2 | 30 | Yes | Known motif | Monomer or homomultimer | High-throughput in vitro | None | None |
ELF3 | 41 | Yes | Known motif | Monomer or homomultimer | High-throughput in vitro | None | None |
CREB3L3 | 48 | Yes | Likely to be sequence specific TF | Monomer or homomultimer | No motif | None | Gel-shift and reporter experiments demonstrate that CREB3L3 is a TF (PMID: 11353085). |
ZC3H12A | 73 | No | ssDNA/RNA binding | Not a DNA binding protein | No motif | None | None |
YBX3 | 74 | Yes | Known motif | Monomer or homomultimer | 100 perc ID - in vitro | None | Identical DBD to YBX1. Might also bind RNA. |
ID1 | 80 | No | Unlikely to be sequence specific TF | Not a DNA binding protein | No motif | None | ID bHLH proteins lack the basic region and should not be able to bind DNA. The HT-SELEX motif for ID4 is likely by a co-precipitated protein or it is a contamination |
MBNL2 | 81 | Yes | Likely to be sequence specific TF | Monomer or homomultimer | High-throughput in vitro | None | Has methylated and unmethylated HT-SELEX motifs, despite this family largely binding RNA exclusively (PMID: 28473536 ) |
ZFP36L1 | 85 | No | ssDNA/RNA binding | Not a DNA binding protein | No motif | None | RNA-binding protein (PMID: 27102483; PMID: 17013884). |
SMAD3 | 100 | Yes | Known motif | Monomer or homomultimer | High-throughput in vitro | None | None |
PCSK6 | 115 | No | Unlikely to be sequence specific TF | Not a DNA binding protein | No motif | None | None |
HES1 | 118 | Yes | Known motif | Monomer or homomultimer | High-throughput in vitro | None | None |
ZFP36 | 121 | No | ssDNA/RNA binding | Not a DNA binding protein | No motif | None | RNA binding protein (PMID: 10330172). |
THRB | 133 | Yes | Known motif | Monomer or homomultimer | High-throughput in vitro | None | None |
AR | 134 | Yes | Known motif | Monomer or homomultimer | High-throughput in vitro | None | None |
GATA4 | 147 | Yes | Known motif | Monomer or homomultimer | High-throughput in vitro | None | None |
BHLHE40 | 149 | Yes | Known motif | Monomer or homomultimer | High-throughput in vitro | None | None |
TRIB1 | 162 | No | Unlikely to be sequence specific TF | Not a DNA binding protein | No motif | None | Associates with CEBPB and CEBPA and inhibits their activities (PMID: 17724128). This is probably achieved through control of their proteosomal degradation (PMID: 17576771) |
LPP | 167 | No | Unlikely to be sequence specific TF | Not a DNA binding protein | No motif | None | znfLIM is probably not a DNA binding domain (PMID: 8506279). The protein has been reported to be coactivator for ETV4 (PMID: 16738319). |
ARNTL2 | 168 | Yes | Inferred motif | Obligate heteromer | High-throughput in vitro | None | ARNTL2 Forms heterodimers with CLOCK and NPAS2 (PMID:10864977 ). |
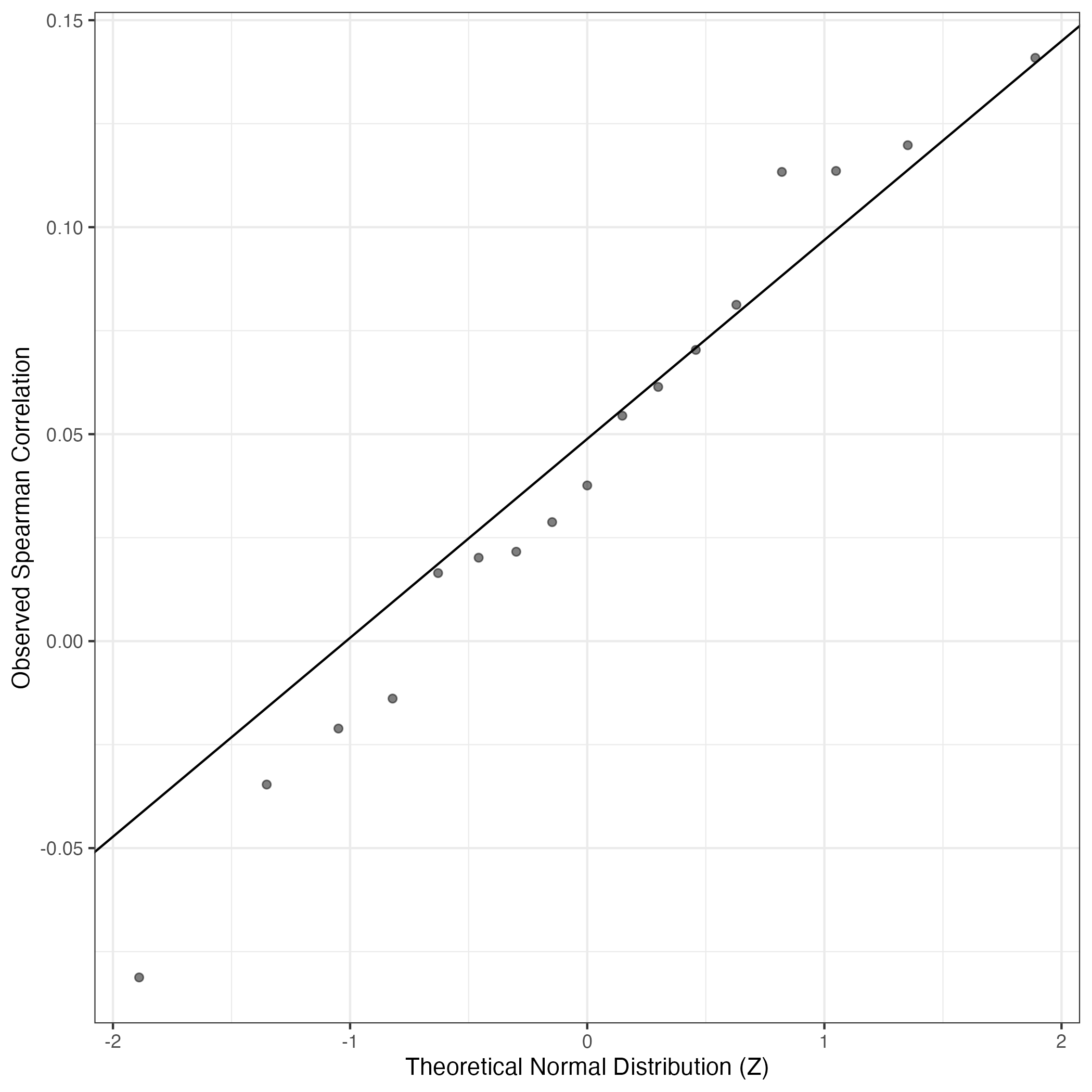
QQ Plot showing correlations with other Gene Expression Programs in this dataset, calculated by Spearman correlation:
Interactive QQ-plot of gene loadings:
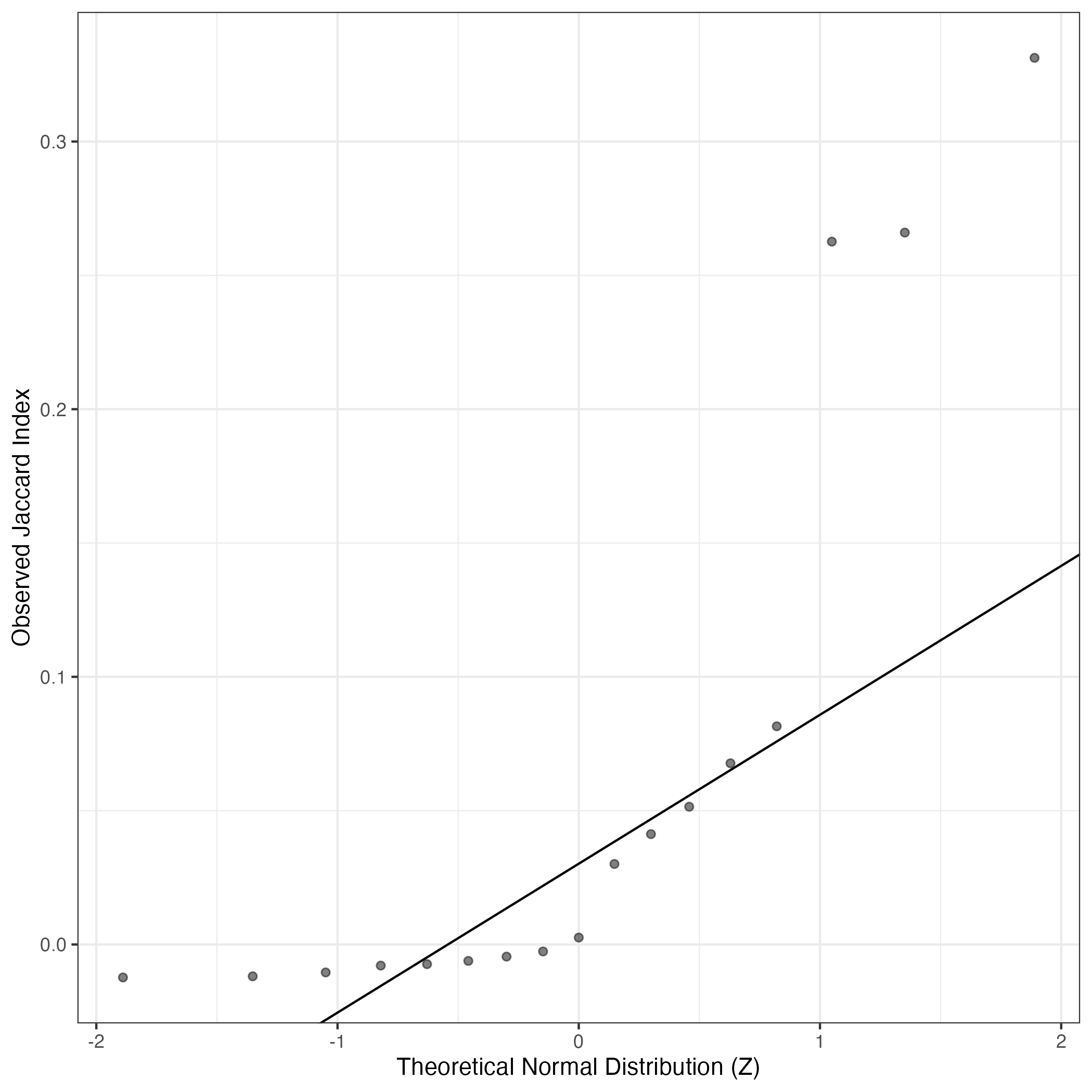
A similar QQ-plot as above, but only for instances where the H value is e.g. > 25, i.e. we are confident that the expression program is active above noise. Agreemenet between these binary vectors is tested using the Jaccard Index, with the P-values calculated by an exact test:
Interactive QQ-plot:
Singler cell type annotations for the top 50 cells on this program.
Cell ID | Singler label | Singler Delta | Activity Score | Top Singler Raw Scores |
---|---|---|---|---|
NB02_TCCACACCAAGTAATG-1 | Hepatocytes | 0.15 | 1445.54 | Raw ScoresHepatocytes: 0.26, Tissue_stem_cells:BM_MSC:TGFb3: 0.19, Smooth_muscle_cells:vascular:IL-17: 0.19, Tissue_stem_cells:BM_MSC:BMP2: 0.19, Osteoblasts: 0.18, Smooth_muscle_cells:vascular: 0.18, Chondrocytes:MSC-derived: 0.18, iPS_cells:adipose_stem_cells: 0.18, Tissue_stem_cells:BM_MSC: 0.18, Fibroblasts:breast: 0.17 |
NB02_CATCGAACACAGACAG-1 | Hepatocytes | 0.13 | 1392.68 | Raw ScoresHepatocytes: 0.27, Tissue_stem_cells:BM_MSC:TGFb3: 0.22, Smooth_muscle_cells:vascular:IL-17: 0.21, Tissue_stem_cells:BM_MSC:BMP2: 0.21, Tissue_stem_cells:iliac_MSC: 0.21, Smooth_muscle_cells:vascular: 0.21, Osteoblasts: 0.21, Chondrocytes:MSC-derived: 0.21, Fibroblasts:breast: 0.2, Tissue_stem_cells:BM_MSC: 0.2 |
NB02_ACACTGATCTTTCCTC-1 | Hepatocytes | 0.14 | 1136.92 | Raw ScoresHepatocytes: 0.25, Tissue_stem_cells:BM_MSC:TGFb3: 0.18, Fibroblasts:breast: 0.18, Smooth_muscle_cells:vascular:IL-17: 0.18, Smooth_muscle_cells:vascular: 0.18, Tissue_stem_cells:BM_MSC:BMP2: 0.18, Osteoblasts: 0.17, Osteoblasts:BMP2: 0.17, Smooth_muscle_cells:bronchial: 0.17, Smooth_muscle_cells:bronchial:vit_D: 0.17 |
NB02_TGAGCATGTTATGCGT-1 | Hepatocytes | 0.13 | 1091.79 | Raw ScoresHepatocytes: 0.23, Fibroblasts:breast: 0.17, Chondrocytes:MSC-derived: 0.16, iPS_cells:adipose_stem_cells: 0.16, Smooth_muscle_cells:vascular: 0.16, Tissue_stem_cells:BM_MSC:TGFb3: 0.16, Smooth_muscle_cells:vascular:IL-17: 0.16, iPS_cells:CRL2097_foreskin: 0.16, Osteoblasts:BMP2: 0.16, Osteoblasts: 0.16 |
NB02_ACCGTAAGTAAGCACG-1 | Hepatocytes | 0.15 | 897.47 | Raw ScoresHepatocytes: 0.26, Smooth_muscle_cells:vascular: 0.18, Tissue_stem_cells:BM_MSC:TGFb3: 0.18, Smooth_muscle_cells:vascular:IL-17: 0.18, Tissue_stem_cells:BM_MSC:BMP2: 0.17, Tissue_stem_cells:iliac_MSC: 0.17, Tissue_stem_cells:BM_MSC: 0.17, Endothelial_cells:lymphatic:TNFa_48h: 0.17, Fibroblasts:breast: 0.17, Chondrocytes:MSC-derived: 0.17 |
NB02_ATTTCTGAGGCAGGTT-1 | Hepatocytes | 0.13 | 844.91 | Raw ScoresHepatocytes: 0.19, Tissue_stem_cells:BM_MSC:TGFb3: 0.14, Smooth_muscle_cells:bronchial: 0.13, Smooth_muscle_cells:bronchial:vit_D: 0.13, Tissue_stem_cells:BM_MSC:BMP2: 0.13, Smooth_muscle_cells:vascular: 0.13, Osteoblasts: 0.13, Tissue_stem_cells:iliac_MSC: 0.13, Smooth_muscle_cells:vascular:IL-17: 0.13, Chondrocytes:MSC-derived: 0.12 |
NB02_AGCTTGAAGAGGTACC-1 | Hepatocytes | 0.13 | 815.00 | Raw ScoresHepatocytes: 0.22, Tissue_stem_cells:iliac_MSC: 0.13, Tissue_stem_cells:BM_MSC:TGFb3: 0.13, Tissue_stem_cells:BM_MSC:BMP2: 0.13, iPS_cells:CRL2097_foreskin-derived:d20_hepatic_diff: 0.12, Smooth_muscle_cells:bronchial:vit_D: 0.12, Smooth_muscle_cells:vascular: 0.12, Chondrocytes:MSC-derived: 0.12, Smooth_muscle_cells:vascular:IL-17: 0.12, Osteoblasts: 0.12 |
NB02_GCACATAGTTTGACTG-1 | Hepatocytes | 0.14 | 801.75 | Raw ScoresHepatocytes: 0.23, Tissue_stem_cells:BM_MSC:TGFb3: 0.16, iPS_cells:CRL2097_foreskin-derived:d20_hepatic_diff: 0.16, Osteoblasts: 0.16, Tissue_stem_cells:iliac_MSC: 0.16, Chondrocytes:MSC-derived: 0.16, Smooth_muscle_cells:bronchial: 0.15, Tissue_stem_cells:BM_MSC:BMP2: 0.15, iPS_cells:adipose_stem_cells: 0.15, Fibroblasts:breast: 0.15 |
NB02_TAGGCATTCCCGACTT-1 | Hepatocytes | 0.13 | 789.63 | Raw ScoresHepatocytes: 0.19, Tissue_stem_cells:iliac_MSC: 0.13, Osteoblasts: 0.13, iPS_cells:CRL2097_foreskin-derived:d20_hepatic_diff: 0.13, Tissue_stem_cells:BM_MSC:TGFb3: 0.13, Tissue_stem_cells:BM_MSC:BMP2: 0.12, Fibroblasts:breast: 0.12, Chondrocytes:MSC-derived: 0.12, Smooth_muscle_cells:vascular: 0.12, Smooth_muscle_cells:vascular:IL-17: 0.12 |
NB02_AGGTCATAGACTGGGT-1 | Hepatocytes | 0.09 | 779.53 | Raw ScoresHepatocytes: 0.16, Smooth_muscle_cells:vascular:IL-17: 0.12, Smooth_muscle_cells:vascular: 0.11, Tissue_stem_cells:BM_MSC:BMP2: 0.11, Osteoblasts: 0.11, Tissue_stem_cells:BM_MSC:TGFb3: 0.11, Tissue_stem_cells:BM_MSC: 0.11, Tissue_stem_cells:BM_MSC:osteogenic: 0.11, Tissue_stem_cells:iliac_MSC: 0.11, Fibroblasts:breast: 0.11 |
NB02_AATCCAGTCGAGAGCA-1 | Hepatocytes | 0.13 | 740.11 | Raw ScoresHepatocytes: 0.23, Tissue_stem_cells:BM_MSC:TGFb3: 0.16, Tissue_stem_cells:BM_MSC:BMP2: 0.15, Smooth_muscle_cells:vascular:IL-17: 0.15, Smooth_muscle_cells:vascular: 0.15, Osteoblasts:BMP2: 0.15, Fibroblasts:breast: 0.15, Chondrocytes:MSC-derived: 0.15, Tissue_stem_cells:iliac_MSC: 0.15, Osteoblasts: 0.15 |
NB02_CCACGGATCACATAGC-1 | Hepatocytes | 0.14 | 730.10 | Raw ScoresHepatocytes: 0.21, Tissue_stem_cells:iliac_MSC: 0.13, iPS_cells:CRL2097_foreskin-derived:d20_hepatic_diff: 0.13, Tissue_stem_cells:BM_MSC:TGFb3: 0.12, Smooth_muscle_cells:vascular: 0.12, Osteoblasts: 0.12, Tissue_stem_cells:BM_MSC:BMP2: 0.12, Osteoblasts:BMP2: 0.12, Smooth_muscle_cells:vascular:IL-17: 0.12, iPS_cells:CRL2097_foreskin: 0.12 |
NB02_ATCTGCCAGACACTAA-1 | Hepatocytes | 0.14 | 728.48 | Raw ScoresHepatocytes: 0.22, Tissue_stem_cells:BM_MSC:TGFb3: 0.16, Tissue_stem_cells:iliac_MSC: 0.15, Smooth_muscle_cells:vascular: 0.15, Smooth_muscle_cells:vascular:IL-17: 0.15, Tissue_stem_cells:BM_MSC:BMP2: 0.15, Fibroblasts:breast: 0.15, Osteoblasts: 0.15, Chondrocytes:MSC-derived: 0.14, Smooth_muscle_cells:bronchial: 0.14 |
NB02_CGATGTACATGCCTTC-1 | Hepatocytes | 0.12 | 727.75 | Raw ScoresHepatocytes: 0.21, Tissue_stem_cells:BM_MSC:TGFb3: 0.15, Smooth_muscle_cells:vascular:IL-17: 0.15, Fibroblasts:breast: 0.14, Tissue_stem_cells:BM_MSC:BMP2: 0.14, iPS_cells:CRL2097_foreskin-derived:d20_hepatic_diff: 0.14, Smooth_muscle_cells:vascular: 0.14, Tissue_stem_cells:BM_MSC: 0.14, Chondrocytes:MSC-derived: 0.14, Endothelial_cells:lymphatic:TNFa_48h: 0.14 |
NB02_GTCATTTGTTTACTCT-1 | Hepatocytes | 0.12 | 708.22 | Raw ScoresHepatocytes: 0.21, Smooth_muscle_cells:vascular:IL-17: 0.16, Smooth_muscle_cells:vascular: 0.15, Tissue_stem_cells:BM_MSC:TGFb3: 0.15, Smooth_muscle_cells:bronchial: 0.15, Fibroblasts:breast: 0.15, Osteoblasts: 0.15, Smooth_muscle_cells:bronchial:vit_D: 0.15, iPS_cells:CRL2097_foreskin: 0.15, Chondrocytes:MSC-derived: 0.14 |
NB02_CCACGGATCGCACTCT-1 | Hepatocytes | 0.12 | 662.92 | Raw ScoresHepatocytes: 0.2, Fibroblasts:breast: 0.16, Smooth_muscle_cells:vascular: 0.15, Smooth_muscle_cells:vascular:IL-17: 0.15, Tissue_stem_cells:iliac_MSC: 0.15, Tissue_stem_cells:BM_MSC:TGFb3: 0.15, iPS_cells:adipose_stem_cells: 0.15, Osteoblasts: 0.14, Osteoblasts:BMP2: 0.14, Tissue_stem_cells:BM_MSC:BMP2: 0.14 |
NB02_CGAGCACAGTGCCAGA-1 | Hepatocytes | 0.11 | 656.13 | Raw ScoresHepatocytes: 0.17, Tissue_stem_cells:BM_MSC:TGFb3: 0.14, Tissue_stem_cells:BM_MSC:BMP2: 0.13, Chondrocytes:MSC-derived: 0.12, Tissue_stem_cells:iliac_MSC: 0.12, Osteoblasts: 0.12, Tissue_stem_cells:BM_MSC:osteogenic: 0.12, Tissue_stem_cells:BM_MSC: 0.12, Smooth_muscle_cells:bronchial: 0.11, Fibroblasts:breast: 0.11 |
NB02_GGCCGATGTGTAAGTA-1 | Hepatocytes | 0.10 | 645.00 | Raw ScoresHepatocytes: 0.19, Tissue_stem_cells:BM_MSC:TGFb3: 0.17, Smooth_muscle_cells:vascular: 0.16, Smooth_muscle_cells:vascular:IL-17: 0.16, Tissue_stem_cells:BM_MSC:BMP2: 0.16, Osteoblasts:BMP2: 0.16, Fibroblasts:breast: 0.16, Osteoblasts: 0.15, Tissue_stem_cells:iliac_MSC: 0.15, Chondrocytes:MSC-derived: 0.15 |
NB02_AGCAGCCTCTTTACGT-1 | Hepatocytes | 0.11 | 640.37 | Raw ScoresHepatocytes: 0.22, Tissue_stem_cells:BM_MSC:TGFb3: 0.17, Tissue_stem_cells:iliac_MSC: 0.16, Tissue_stem_cells:BM_MSC:BMP2: 0.16, Smooth_muscle_cells:vascular:IL-17: 0.16, Smooth_muscle_cells:vascular: 0.16, Chondrocytes:MSC-derived: 0.15, Epithelial_cells:bladder: 0.15, iPS_cells:CRL2097_foreskin: 0.15, Fibroblasts:breast: 0.15 |
NB02_CGGCTAGTCAGAGCTT-1 | Hepatocytes | 0.10 | 639.79 | Raw ScoresHepatocytes: 0.2, Tissue_stem_cells:BM_MSC:TGFb3: 0.14, Tissue_stem_cells:BM_MSC:BMP2: 0.14, Endothelial_cells:lymphatic:TNFa_48h: 0.14, Smooth_muscle_cells:vascular:IL-17: 0.14, Endothelial_cells:lymphatic: 0.14, Tissue_stem_cells:BM_MSC:osteogenic: 0.13, Smooth_muscle_cells:vascular: 0.13, Tissue_stem_cells:BM_MSC: 0.13, Endothelial_cells:blood_vessel: 0.13 |
NB02_CTCGGAGAGTCGATAA-1 | Hepatocytes | 0.12 | 630.16 | Raw ScoresHepatocytes: 0.22, Smooth_muscle_cells:vascular: 0.16, Fibroblasts:breast: 0.16, Smooth_muscle_cells:vascular:IL-17: 0.16, Tissue_stem_cells:BM_MSC:TGFb3: 0.16, Tissue_stem_cells:BM_MSC:BMP2: 0.16, Smooth_muscle_cells:bronchial:vit_D: 0.16, Tissue_stem_cells:iliac_MSC: 0.15, Smooth_muscle_cells:bronchial: 0.15, Chondrocytes:MSC-derived: 0.15 |
NB02_CTCGTCAAGAGTACCG-1 | Hepatocytes | 0.14 | 599.24 | Raw ScoresHepatocytes: 0.2, Tissue_stem_cells:iliac_MSC: 0.12, Tissue_stem_cells:BM_MSC:TGFb3: 0.12, Tissue_stem_cells:BM_MSC:BMP2: 0.12, Osteoblasts: 0.12, Smooth_muscle_cells:vascular: 0.12, Smooth_muscle_cells:vascular:IL-17: 0.12, Fibroblasts:breast: 0.11, Smooth_muscle_cells:bronchial: 0.11, Smooth_muscle_cells:bronchial:vit_D: 0.11 |
NB02_TCGCGAGCATGAGCGA-1 | Hepatocytes | 0.11 | 593.89 | Raw ScoresHepatocytes: 0.2, Tissue_stem_cells:BM_MSC:TGFb3: 0.14, Tissue_stem_cells:iliac_MSC: 0.14, Tissue_stem_cells:BM_MSC:BMP2: 0.13, Osteoblasts: 0.13, Chondrocytes:MSC-derived: 0.13, Smooth_muscle_cells:vascular:IL-17: 0.13, Smooth_muscle_cells:vascular: 0.13, Tissue_stem_cells:BM_MSC: 0.12, Smooth_muscle_cells:bronchial: 0.12 |
NB02_CCAGCGAGTACGAAAT-1 | Hepatocytes | 0.11 | 589.00 | Raw ScoresHepatocytes: 0.19, iPS_cells:CRL2097_foreskin-derived:d20_hepatic_diff: 0.13, Tissue_stem_cells:BM_MSC:TGFb3: 0.13, Tissue_stem_cells:BM_MSC:BMP2: 0.13, Chondrocytes:MSC-derived: 0.12, Smooth_muscle_cells:vascular: 0.12, Smooth_muscle_cells:vascular:IL-17: 0.12, Fibroblasts:breast: 0.12, Osteoblasts: 0.12, iPS_cells:adipose_stem_cells: 0.12 |
NB02_TGACGGCCATGACGGA-1 | iPS_cells:CRL2097_foreskin-derived:d20_hepatic_diff | 0.05 | 588.14 | Raw ScoresHepatocytes: 0.15, Tissue_stem_cells:BM_MSC: 0.13, Tissue_stem_cells:BM_MSC:osteogenic: 0.13, Tissue_stem_cells:BM_MSC:BMP2: 0.13, Tissue_stem_cells:BM_MSC:TGFb3: 0.13, Osteoblasts: 0.13, Smooth_muscle_cells:vascular:IL-17: 0.12, Tissue_stem_cells:iliac_MSC: 0.12, Fibroblasts:breast: 0.12, iPS_cells:adipose_stem_cells: 0.12 |
NB02_TAGAGCTTCTAACTGG-1 | Hepatocytes | 0.09 | 585.30 | Raw ScoresHepatocytes: 0.15, Tissue_stem_cells:BM_MSC:TGFb3: 0.12, Tissue_stem_cells:BM_MSC:osteogenic: 0.12, Tissue_stem_cells:BM_MSC:BMP2: 0.12, Tissue_stem_cells:BM_MSC: 0.12, Tissue_stem_cells:iliac_MSC: 0.12, Smooth_muscle_cells:vascular:IL-17: 0.12, Osteoblasts: 0.12, Smooth_muscle_cells:vascular: 0.12, Fibroblasts:breast: 0.12 |
NB02_CTTAGGATCCTTGCCA-1 | Hepatocytes | 0.11 | 576.06 | Raw ScoresHepatocytes: 0.2, Tissue_stem_cells:BM_MSC:TGFb3: 0.15, Tissue_stem_cells:BM_MSC:BMP2: 0.15, Osteoblasts: 0.14, Tissue_stem_cells:iliac_MSC: 0.14, Tissue_stem_cells:BM_MSC: 0.14, Smooth_muscle_cells:vascular:IL-17: 0.14, Endothelial_cells:lymphatic:TNFa_48h: 0.14, Smooth_muscle_cells:vascular: 0.14, Chondrocytes:MSC-derived: 0.14 |
NB02_ATGCGATCACGCCAGT-1 | Hepatocytes | 0.09 | 545.98 | Raw ScoresHepatocytes: 0.18, Tissue_stem_cells:BM_MSC:BMP2: 0.15, Tissue_stem_cells:BM_MSC:TGFb3: 0.15, Smooth_muscle_cells:vascular:IL-17: 0.15, Smooth_muscle_cells:vascular: 0.15, Tissue_stem_cells:iliac_MSC: 0.14, Fibroblasts:breast: 0.14, Chondrocytes:MSC-derived: 0.14, Osteoblasts: 0.14, Smooth_muscle_cells:bronchial: 0.14 |
NB02_GCTCCTAGTAAGGGCT-1 | Hepatocytes | 0.12 | 527.86 | Raw ScoresHepatocytes: 0.18, Tissue_stem_cells:iliac_MSC: 0.14, Tissue_stem_cells:BM_MSC:TGFb3: 0.13, Smooth_muscle_cells:vascular:IL-17: 0.13, Smooth_muscle_cells:vascular: 0.13, Osteoblasts: 0.13, Tissue_stem_cells:BM_MSC:BMP2: 0.13, Chondrocytes:MSC-derived: 0.12, Fibroblasts:breast: 0.12, Smooth_muscle_cells:bronchial: 0.12 |
NB02_AGTCTTTTCCACGCAG-1 | Hepatocytes | 0.10 | 526.57 | Raw ScoresHepatocytes: 0.22, iPS_cells:CRL2097_foreskin: 0.19, MSC: 0.19, Fibroblasts:foreskin: 0.19, Tissue_stem_cells:adipose-derived_MSC_AM3: 0.19, Fibroblasts:breast: 0.19, Neurons:Schwann_cell: 0.19, Smooth_muscle_cells:vascular:IL-17: 0.19, Smooth_muscle_cells:vascular: 0.19, Tissue_stem_cells:BM_MSC:TGFb3: 0.19 |
NB02_AGTCTTTCATTCTTAC-1 | Hepatocytes | 0.10 | 513.00 | Raw ScoresHepatocytes: 0.2, Tissue_stem_cells:BM_MSC:TGFb3: 0.16, Smooth_muscle_cells:vascular:IL-17: 0.16, Osteoblasts: 0.16, Tissue_stem_cells:BM_MSC:BMP2: 0.16, Smooth_muscle_cells:vascular: 0.15, Fibroblasts:breast: 0.15, Tissue_stem_cells:iliac_MSC: 0.15, Tissue_stem_cells:BM_MSC: 0.15, Chondrocytes:MSC-derived: 0.15 |
NB02_AACTCAGCAGGTCGTC-1 | Hepatocytes | 0.09 | 501.58 | Raw ScoresHepatocytes: 0.15, Smooth_muscle_cells:vascular:IL-17: 0.12, Smooth_muscle_cells:vascular: 0.11, Tissue_stem_cells:BM_MSC:BMP2: 0.11, Tissue_stem_cells:BM_MSC:TGFb3: 0.11, Osteoblasts: 0.11, Chondrocytes:MSC-derived: 0.11, Tissue_stem_cells:BM_MSC: 0.11, Fibroblasts:breast: 0.11, Tissue_stem_cells:BM_MSC:osteogenic: 0.11 |
NB02_TTTATGCTCGGCGGTT-1 | Hepatocytes | 0.09 | 493.96 | Raw ScoresHepatocytes: 0.17, Tissue_stem_cells:BM_MSC:TGFb3: 0.14, Smooth_muscle_cells:vascular:IL-17: 0.13, Tissue_stem_cells:BM_MSC:BMP2: 0.13, Smooth_muscle_cells:vascular: 0.12, Chondrocytes:MSC-derived: 0.12, Endothelial_cells:lymphatic:TNFa_48h: 0.12, Tissue_stem_cells:iliac_MSC: 0.12, Tissue_stem_cells:BM_MSC: 0.12, Endothelial_cells:HUVEC:Serum_Amyloid_A: 0.12 |
NB02_GCCAAATCAATGAATG-1 | Smooth_muscle_cells:vascular | 0.15 | 478.51 | Raw ScoresFibroblasts:breast: 0.24, Osteoblasts: 0.24, Smooth_muscle_cells:vascular: 0.24, Smooth_muscle_cells:vascular:IL-17: 0.24, iPS_cells:adipose_stem_cells: 0.23, Tissue_stem_cells:BM_MSC:TGFb3: 0.23, Tissue_stem_cells:BM_MSC: 0.23, Smooth_muscle_cells:bronchial: 0.23, Osteoblasts:BMP2: 0.23, Chondrocytes:MSC-derived: 0.23 |
NB02_TACTCGCGTTCACCTC-1 | Hepatocytes | 0.10 | 468.44 | Raw ScoresHepatocytes: 0.16, Osteoblasts: 0.13, Fibroblasts:breast: 0.12, Tissue_stem_cells:BM_MSC:TGFb3: 0.12, Smooth_muscle_cells:vascular:IL-17: 0.12, Smooth_muscle_cells:bronchial: 0.12, Tissue_stem_cells:BM_MSC: 0.12, Smooth_muscle_cells:vascular: 0.12, Chondrocytes:MSC-derived: 0.12, iPS_cells:adipose_stem_cells: 0.12 |
NB02_GTCGTAATCTTGCAAG-1 | Tissue_stem_cells:BM_MSC:TGFb3 | 0.05 | 453.11 | Raw ScoresHepatocytes: 0.18, Tissue_stem_cells:BM_MSC:TGFb3: 0.14, Smooth_muscle_cells:vascular:IL-17: 0.14, Chondrocytes:MSC-derived: 0.14, Smooth_muscle_cells:vascular: 0.14, Tissue_stem_cells:BM_MSC:BMP2: 0.14, Osteoblasts: 0.14, Smooth_muscle_cells:bronchial: 0.14, Smooth_muscle_cells:bronchial:vit_D: 0.14, Osteoblasts:BMP2: 0.14 |
NB02_TTGCGTCAGATGTCGG-1 | Hepatocytes | 0.15 | 443.80 | Raw ScoresHepatocytes: 0.24, Smooth_muscle_cells:vascular: 0.17, Osteoblasts: 0.16, Smooth_muscle_cells:vascular:IL-17: 0.16, Fibroblasts:breast: 0.16, Tissue_stem_cells:iliac_MSC: 0.16, iPS_cells:CRL2097_foreskin-derived:d20_hepatic_diff: 0.16, Tissue_stem_cells:BM_MSC:TGFb3: 0.16, Osteoblasts:BMP2: 0.16, Tissue_stem_cells:BM_MSC:BMP2: 0.16 |
NB02_CTCTACGAGATGTTAG-1 | Hepatocytes | 0.09 | 428.46 | Raw ScoresHepatocytes: 0.19, Tissue_stem_cells:BM_MSC:TGFb3: 0.16, Tissue_stem_cells:BM_MSC:BMP2: 0.15, Tissue_stem_cells:iliac_MSC: 0.15, Osteoblasts: 0.14, Chondrocytes:MSC-derived: 0.14, Tissue_stem_cells:BM_MSC: 0.14, Smooth_muscle_cells:vascular:IL-17: 0.14, Tissue_stem_cells:BM_MSC:osteogenic: 0.14, Osteoblasts:BMP2: 0.14 |
NB02_CTTAACTTCTGGCGTG-1 | Hepatocytes | 0.10 | 425.09 | Raw ScoresHepatocytes: 0.17, Chondrocytes:MSC-derived: 0.13, Tissue_stem_cells:BM_MSC:TGFb3: 0.13, Tissue_stem_cells:BM_MSC:BMP2: 0.13, Smooth_muscle_cells:vascular:IL-17: 0.13, Tissue_stem_cells:iliac_MSC: 0.13, Fibroblasts:breast: 0.13, Smooth_muscle_cells:vascular: 0.13, Smooth_muscle_cells:bronchial: 0.13, iPS_cells:adipose_stem_cells: 0.13 |
NB02_TTCTACAGTCACTTCC-1 | Hepatocytes | 0.08 | 411.04 | Raw ScoresHepatocytes: 0.15, Tissue_stem_cells:BM_MSC:TGFb3: 0.13, Smooth_muscle_cells:vascular:IL-17: 0.13, Tissue_stem_cells:BM_MSC:BMP2: 0.13, Smooth_muscle_cells:vascular: 0.13, Chondrocytes:MSC-derived: 0.13, Smooth_muscle_cells:bronchial: 0.12, iPS_cells:adipose_stem_cells: 0.12, Fibroblasts:breast: 0.12, iPS_cells:CRL2097_foreskin-derived:d20_hepatic_diff: 0.12 |
NB02_GGATTACGTTTGTGTG-1 | Hepatocytes | 0.08 | 383.26 | Raw ScoresHepatocytes: 0.15, Tissue_stem_cells:BM_MSC:TGFb3: 0.14, Tissue_stem_cells:BM_MSC:BMP2: 0.14, Chondrocytes:MSC-derived: 0.14, Fibroblasts:breast: 0.13, Tissue_stem_cells:iliac_MSC: 0.13, Osteoblasts: 0.13, Smooth_muscle_cells:vascular: 0.13, Smooth_muscle_cells:bronchial: 0.13, Smooth_muscle_cells:vascular:IL-17: 0.13 |
NB02_GGGAATGCAACGATGG-1 | Hepatocytes | 0.10 | 365.40 | Raw ScoresHepatocytes: 0.18, Tissue_stem_cells:iliac_MSC: 0.14, Osteoblasts: 0.13, Tissue_stem_cells:BM_MSC:TGFb3: 0.13, Tissue_stem_cells:BM_MSC:BMP2: 0.13, Smooth_muscle_cells:vascular:IL-17: 0.12, Tissue_stem_cells:BM_MSC: 0.12, Chondrocytes:MSC-derived: 0.12, Smooth_muscle_cells:vascular: 0.12, Tissue_stem_cells:BM_MSC:osteogenic: 0.12 |
NB02_GACCTGGCACTATCTT-1 | Tissue_stem_cells:iliac_MSC | 0.08 | 360.82 | Raw ScoresHepatocytes: 0.18, Smooth_muscle_cells:vascular:IL-17: 0.16, Smooth_muscle_cells:vascular: 0.16, Tissue_stem_cells:BM_MSC:TGFb3: 0.16, Tissue_stem_cells:iliac_MSC: 0.16, Fibroblasts:breast: 0.16, Tissue_stem_cells:BM_MSC:BMP2: 0.15, Tissue_stem_cells:BM_MSC: 0.15, Osteoblasts: 0.15, Tissue_stem_cells:BM_MSC:osteogenic: 0.15 |
NB02_TGGCCAGTCTTGCAAG-1 | Hepatocytes | 0.08 | 356.75 | Raw ScoresHepatocytes: 0.18, Tissue_stem_cells:BM_MSC:TGFb3: 0.15, Smooth_muscle_cells:vascular:IL-17: 0.15, Osteoblasts: 0.15, Smooth_muscle_cells:vascular: 0.15, Chondrocytes:MSC-derived: 0.15, Osteoblasts:BMP2: 0.15, Smooth_muscle_cells:bronchial: 0.14, Tissue_stem_cells:BM_MSC: 0.14, Smooth_muscle_cells:bronchial:vit_D: 0.14 |
NB02_CCATGTCCAGACAAGC-1 | Hepatocytes | 0.08 | 355.40 | Raw ScoresHepatocytes: 0.15, Tissue_stem_cells:BM_MSC:TGFb3: 0.13, Tissue_stem_cells:BM_MSC:BMP2: 0.13, Smooth_muscle_cells:bronchial: 0.12, Smooth_muscle_cells:bronchial:vit_D: 0.12, Chondrocytes:MSC-derived: 0.12, Smooth_muscle_cells:vascular:IL-17: 0.11, Osteoblasts: 0.11, iPS_cells:CRL2097_foreskin: 0.11, Tissue_stem_cells:iliac_MSC: 0.11 |
NB02_CAGTCCTAGTATCTCG-1 | Hepatocytes | 0.09 | 353.09 | Raw ScoresHepatocytes: 0.15, Osteoblasts: 0.12, Tissue_stem_cells:BM_MSC:TGFb3: 0.12, Tissue_stem_cells:iliac_MSC: 0.12, Tissue_stem_cells:BM_MSC:BMP2: 0.12, Smooth_muscle_cells:vascular:IL-17: 0.12, Fibroblasts:breast: 0.12, Chondrocytes:MSC-derived: 0.11, Tissue_stem_cells:BM_MSC: 0.11, iPS_cells:CRL2097_foreskin: 0.11 |
NB02_GTTAAGCCAATTGCTG-1 | Hepatocytes | 0.07 | 345.37 | Raw ScoresHepatocytes: 0.15, Tissue_stem_cells:BM_MSC:TGFb3: 0.14, Tissue_stem_cells:BM_MSC:BMP2: 0.13, Smooth_muscle_cells:vascular:IL-17: 0.13, Smooth_muscle_cells:vascular: 0.13, Chondrocytes:MSC-derived: 0.13, Endothelial_cells:lymphatic: 0.12, Endothelial_cells:lymphatic:KSHV: 0.12, Osteoblasts: 0.12, Tissue_stem_cells:BM_MSC: 0.12 |
NB02_GATGAGGAGTCATCCA-1 | Hepatocytes | 0.08 | 341.41 | Raw ScoresHepatocytes: 0.13, Smooth_muscle_cells:vascular:IL-17: 0.1, iPS_cells:CRL2097_foreskin-derived:d20_hepatic_diff: 0.09, Smooth_muscle_cells:vascular: 0.09, Chondrocytes:MSC-derived: 0.09, Tissue_stem_cells:BM_MSC:TGFb3: 0.09, Tissue_stem_cells:iliac_MSC: 0.08, Tissue_stem_cells:BM_MSC:BMP2: 0.08, Smooth_muscle_cells:bronchial: 0.08, iPS_cells:CRL2097_foreskin: 0.08 |
NB02_CAACCTCCAAACGTGG-1 | Hepatocytes | 0.09 | 335.59 | Raw ScoresHepatocytes: 0.17, Tissue_stem_cells:BM_MSC:TGFb3: 0.13, Tissue_stem_cells:BM_MSC:BMP2: 0.12, iPS_cells:CRL2097_foreskin-derived:d20_hepatic_diff: 0.11, Smooth_muscle_cells:vascular:IL-17: 0.11, Smooth_muscle_cells:vascular: 0.11, Fibroblasts:breast: 0.11, iPS_cells:adipose_stem_cells: 0.11, Chondrocytes:MSC-derived: 0.1, Epithelial_cells:bladder: 0.1 |
NB02_GGGAGATCAGGATCGA-1 | Tissue_stem_cells:BM_MSC | 0.11 | 330.36 | Raw ScoresTissue_stem_cells:BM_MSC:TGFb3: 0.21, Tissue_stem_cells:BM_MSC:BMP2: 0.21, Smooth_muscle_cells:vascular:IL-17: 0.21, Osteoblasts: 0.21, Tissue_stem_cells:BM_MSC: 0.21, Smooth_muscle_cells:vascular: 0.21, Fibroblasts:breast: 0.2, Chondrocytes:MSC-derived: 0.2, Tissue_stem_cells:BM_MSC:osteogenic: 0.2, iPS_cells:adipose_stem_cells: 0.2 |
Below shows the significant enrichments of this GEP for literature curated gene lists
This data was procured from existing single cell RNA-seq maps of neuroblastoma or related relevant data.
High ranks indicate this gene is a driver of this GEP.
These curated gene list are ranked by the P-value (on this GEP) of their constituent genes.
The Mean Count column shows the mean read count in cells scoring highly (H > 50) on this gene expression program.
Genes | Weight | Rank | GTEx | DepMap | Decartes | Mean.Counts | Mean.TPM |
---|---|---|---|---|---|---|---|
CALD1 | 0.0012761 | 466 | GTEx | DepMap | Descartes | 1.32 | 887.45 |
SPARC | 0.0008128 | 749 | GTEx | DepMap | Descartes | 0.88 | 1118.11 |
BGN | 0.0006593 | 925 | GTEx | DepMap | Descartes | 0.39 | 623.03 |
LUM | 0.0005235 | 1144 | GTEx | DepMap | Descartes | 0.16 | 239.71 |
COL1A2 | 0.0004825 | 1235 | GTEx | DepMap | Descartes | 2.61 | 1827.78 |
LEPR | 0.0004734 | 1256 | GTEx | DepMap | Descartes | 0.06 | 30.70 |
DCN | 0.0002880 | 1869 | GTEx | DepMap | Descartes | 0.16 | 88.74 |
MGP | 0.0002874 | 1873 | GTEx | DepMap | Descartes | 0.42 | 903.20 |
COL3A1 | 0.0002562 | 2058 | GTEx | DepMap | Descartes | 1.29 | 949.03 |
PRRX1 | 0.0000790 | 3699 | GTEx | DepMap | Descartes | 0.15 | 127.51 |
COL1A1 | 0.0000500 | 4130 | GTEx | DepMap | Descartes | 1.40 | 948.32 |
COL6A2 | -0.0000132 | 5361 | GTEx | DepMap | Descartes | 0.49 | 480.52 |
PDGFRA | -0.0000915 | 7920 | GTEx | DepMap | Descartes | 0.08 | 53.03 |
Stress response (Kinker)
These marker genes were obtained in a pan cancer cell lines NMF analysis of scRNA-eq data in Kinker et al (PMID 33128048) - 10 metaprograms were recovered that manifest across cancers.:
Wilcoxon ranksum test P-value for gene set overrepresentation: 2.68e-04
Mean rank of genes in gene set: 667.2
Rank on gene expression program of genes in gene set:
Genes | Weight | Rank | GTEx | DepMap | Decartes | Mean.Counts | Mean.TPM |
---|---|---|---|---|---|---|---|
GADD45B | 0.0055756 | 65 | GTEx | DepMap | Descartes | 0.56 | 1077.67 |
SQSTM1 | 0.0044558 | 111 | GTEx | DepMap | Descartes | 0.79 | 935.13 |
GADD45A | 0.0009125 | 662 | GTEx | DepMap | Descartes | 0.09 | 333.36 |
ATF3 | 0.0007034 | 869 | GTEx | DepMap | Descartes | 0.22 | 405.52 |
DDIT3 | 0.0003453 | 1629 | GTEx | DepMap | Descartes | 0.08 | 252.57 |
Inflammatory CAF
These marker genes were curated across cancer subtypes in multiple organ systems as reviewed in Lavie et. al. (PMID 35883004) and contain inflammatory specific CAF genes:
Wilcoxon ranksum test P-value for gene set overrepresentation: 2.37e-03
Mean rank of genes in gene set: 4231.16
Rank on gene expression program of genes in gene set:
Genes | Weight | Rank | GTEx | DepMap | Decartes | Mean.Counts | Mean.TPM |
---|---|---|---|---|---|---|---|
C3 | 0.0100899 | 17 | GTEx | DepMap | Descartes | 2.43 | 1757.45 |
CFB | 0.0064194 | 45 | GTEx | DepMap | Descartes | 0.15 | 251.54 |
SERPING1 | 0.0062372 | 53 | GTEx | DepMap | Descartes | 0.50 | 783.38 |
SOD2 | 0.0029021 | 176 | GTEx | DepMap | Descartes | 0.64 | 141.55 |
CXCL2 | 0.0027718 | 185 | GTEx | DepMap | Descartes | 0.34 | 944.40 |
LIF | 0.0013918 | 427 | GTEx | DepMap | Descartes | 0.18 | 177.15 |
IL1R1 | 0.0007813 | 780 | GTEx | DepMap | Descartes | 0.31 | 255.73 |
CCL2 | 0.0006430 | 944 | GTEx | DepMap | Descartes | 0.27 | 1022.78 |
C7 | 0.0004861 | 1224 | GTEx | DepMap | Descartes | 0.15 | 112.09 |
RGMA | 0.0003070 | 1779 | GTEx | DepMap | Descartes | 0.02 | 3.49 |
IGFBP6 | 0.0002108 | 2329 | GTEx | DepMap | Descartes | 0.02 | 77.37 |
HGF | 0.0001364 | 2972 | GTEx | DepMap | Descartes | 0.02 | 15.58 |
PDGFRB | 0.0000943 | 3495 | GTEx | DepMap | Descartes | 0.12 | 78.04 |
GPX3 | 0.0000307 | 4456 | GTEx | DepMap | Descartes | 0.08 | 125.14 |
CFD | -0.0000021 | 5074 | GTEx | DepMap | Descartes | 0.02 | 37.64 |
CXCL14 | -0.0000135 | 5372 | GTEx | DepMap | Descartes | 0.01 | 14.60 |
SCARA5 | -0.0000419 | 6285 | GTEx | DepMap | Descartes | 0.00 | 0.00 |
CXCL12 | -0.0000545 | 6706 | GTEx | DepMap | Descartes | 0.06 | 96.65 |
IL10 | -0.0000566 | 6776 | GTEx | DepMap | Descartes | 0.00 | 0.00 |
PDGFRA | -0.0000915 | 7920 | GTEx | DepMap | Descartes | 0.08 | 53.03 |
IL33 | -0.0001219 | 8817 | GTEx | DepMap | Descartes | 0.04 | 26.59 |
SCARA3 | -0.0001336 | 9144 | GTEx | DepMap | Descartes | 0.00 | 1.25 |
PDPN | -0.0001629 | 9890 | GTEx | DepMap | Descartes | 0.03 | 22.38 |
IGF1 | -0.0001681 | 9999 | GTEx | DepMap | Descartes | 0.22 | 129.58 |
PDGFD | -0.0002203 | 10914 | GTEx | DepMap | Descartes | 0.08 | 83.76 |
Below shows ranks on this GEP for literature curated gene lists for large gene sets
These include those reported as mesenchymal/adrenergic by Van Groningen et al.
High ranks indicate this gene is a driver of this GEP (note these results are not ordered).
The Mean Count column shows the mean read count in cells scoring highly (H > 50) on this gene expression program.
VanGroningen Adrenergic Genes
Adrenergic marker genes from Supplementary Table 2 of Van Groningen et al. Nature Genetics 2017. These genes were identified by differential expression analysis of mesenchymal-like and adrenergic-like neuroblastoma cell lines.
Wilcoxon ranksum test P-value for gene set overrepresentation: 1.00e+00
Mean rank of genes in gene set: 9843.24
Median rank of genes in gene set: 11046
Rank on gene expression program of top 30 genes in gene set:
Genes | Weight | Rank | GTEx | DepMap | Descartes | Mean.Counts | Mean.TPM |
---|---|---|---|---|---|---|---|
ABLIM1 | 0.0034648 | 155 | GTEx | DepMap | Descartes | 0.50 | 216.40 |
GLDC | 0.0023751 | 224 | GTEx | DepMap | Descartes | 0.05 | 41.81 |
MYRIP | 0.0022649 | 242 | GTEx | DepMap | Descartes | 0.29 | 173.08 |
EML4 | 0.0014453 | 401 | GTEx | DepMap | Descartes | 0.53 | 285.09 |
FAM107B | 0.0010181 | 588 | GTEx | DepMap | Descartes | 0.23 | 211.69 |
GRB10 | 0.0005567 | 1080 | GTEx | DepMap | Descartes | 0.21 | 126.42 |
PRSS12 | 0.0005366 | 1114 | GTEx | DepMap | Descartes | 0.20 | 138.70 |
GLRX | 0.0005238 | 1141 | GTEx | DepMap | Descartes | 0.04 | 34.17 |
PTS | 0.0004798 | 1241 | GTEx | DepMap | Descartes | 0.18 | 602.06 |
LYN | 0.0004629 | 1281 | GTEx | DepMap | Descartes | 0.04 | 26.81 |
NFIL3 | 0.0003705 | 1550 | GTEx | DepMap | Descartes | 0.06 | 104.72 |
RUFY3 | 0.0003045 | 1792 | GTEx | DepMap | Descartes | 0.29 | 233.23 |
IRS2 | 0.0002646 | 2016 | GTEx | DepMap | Descartes | 0.12 | 44.79 |
RALGDS | 0.0002323 | 2209 | GTEx | DepMap | Descartes | 0.18 | 110.16 |
CERK | 0.0001851 | 2538 | GTEx | DepMap | Descartes | 0.08 | 82.79 |
AKAP12 | 0.0001655 | 2699 | GTEx | DepMap | Descartes | 0.36 | 151.35 |
PDK1 | 0.0001561 | 2783 | GTEx | DepMap | Descartes | 0.02 | 3.64 |
SATB1 | 0.0001561 | 2784 | GTEx | DepMap | Descartes | 0.04 | 16.88 |
MMD | 0.0001536 | 2804 | GTEx | DepMap | Descartes | 0.09 | 125.63 |
NEFL | 0.0001490 | 2856 | GTEx | DepMap | Descartes | 0.06 | 74.76 |
NPTX2 | 0.0001358 | 2985 | GTEx | DepMap | Descartes | 0.01 | 15.78 |
ACVR1B | 0.0001321 | 3032 | GTEx | DepMap | Descartes | 0.09 | 84.92 |
TUBB4B | 0.0001263 | 3100 | GTEx | DepMap | Descartes | 0.10 | 166.48 |
PARP6 | 0.0001081 | 3309 | GTEx | DepMap | Descartes | 0.12 | 79.02 |
MAPK8 | 0.0001073 | 3316 | GTEx | DepMap | Descartes | 0.22 | 97.92 |
CAMSAP1 | 0.0001070 | 3318 | GTEx | DepMap | Descartes | 0.12 | 49.30 |
AHSA1 | 0.0000964 | 3464 | GTEx | DepMap | Descartes | 0.05 | 117.77 |
TACC2 | 0.0000895 | 3570 | GTEx | DepMap | Descartes | 0.13 | 41.15 |
CXADR | 0.0000462 | 4196 | GTEx | DepMap | Descartes | 0.09 | 50.07 |
ST3GAL6 | 0.0000436 | 4235 | GTEx | DepMap | Descartes | 0.07 | 55.63 |
VanGroningen Mesenchymal Genes
Mesenchymal marker genes from Supplementary Table 2 of Van Groningen et al. Nature Genetics 2017. These genes were identified by differential expression analysis of mesenchymal-like and adrenergic-like neuroblastoma cell lines.
Wilcoxon ranksum test P-value for gene set overrepresentation: 4.51e-22
Mean rank of genes in gene set: 4638.8
Median rank of genes in gene set: 3338
Rank on gene expression program of top 30 genes in gene set:
Genes | Weight | Rank | GTEx | DepMap | Descartes | Mean.Counts | Mean.TPM |
---|---|---|---|---|---|---|---|
A2M | 0.0114197 | 6 | GTEx | DepMap | Descartes | 0.79 | 601.70 |
CFH | 0.0112976 | 8 | GTEx | DepMap | Descartes | 0.82 | 399.83 |
ERRFI1 | 0.0073830 | 38 | GTEx | DepMap | Descartes | 0.55 | 597.51 |
EXT1 | 0.0071658 | 40 | GTEx | DepMap | Descartes | 2.10 | 738.08 |
PLOD2 | 0.0063218 | 50 | GTEx | DepMap | Descartes | 0.53 | 452.59 |
TM4SF1 | 0.0059044 | 62 | GTEx | DepMap | Descartes | 0.33 | 350.54 |
SLC39A14 | 0.0058631 | 63 | GTEx | DepMap | Descartes | 0.52 | 371.34 |
TNFRSF12A | 0.0052642 | 78 | GTEx | DepMap | Descartes | 0.33 | 634.83 |
ID1 | 0.0052045 | 80 | GTEx | DepMap | Descartes | 0.37 | 864.04 |
ZFP36L1 | 0.0051132 | 85 | GTEx | DepMap | Descartes | 0.70 | 832.16 |
MGST1 | 0.0050961 | 87 | GTEx | DepMap | Descartes | 0.26 | 397.89 |
TFPI | 0.0048534 | 95 | GTEx | DepMap | Descartes | 0.29 | 126.73 |
SMAD3 | 0.0047628 | 100 | GTEx | DepMap | Descartes | 0.29 | 142.12 |
STEAP1 | 0.0044888 | 109 | GTEx | DepMap | Descartes | 0.05 | 105.56 |
SQSTM1 | 0.0044558 | 111 | GTEx | DepMap | Descartes | 0.79 | 935.13 |
HES1 | 0.0042698 | 118 | GTEx | DepMap | Descartes | 0.21 | 518.91 |
COL27A1 | 0.0042351 | 119 | GTEx | DepMap | Descartes | 0.29 | 124.35 |
FAT1 | 0.0040930 | 123 | GTEx | DepMap | Descartes | 0.15 | 39.68 |
FNDC3B | 0.0040254 | 126 | GTEx | DepMap | Descartes | 1.00 | 394.92 |
CFI | 0.0039920 | 129 | GTEx | DepMap | Descartes | 0.12 | 171.11 |
PON2 | 0.0039449 | 130 | GTEx | DepMap | Descartes | 0.18 | 339.31 |
DUSP6 | 0.0038240 | 139 | GTEx | DepMap | Descartes | 0.27 | 264.04 |
YAP1 | 0.0037590 | 141 | GTEx | DepMap | Descartes | 0.25 | 145.00 |
ZCCHC24 | 0.0036604 | 145 | GTEx | DepMap | Descartes | 0.08 | 53.60 |
ACADVL | 0.0034448 | 157 | GTEx | DepMap | Descartes | 0.75 | 1081.92 |
RRBP1 | 0.0030646 | 166 | GTEx | DepMap | Descartes | 0.31 | 230.88 |
LPP | 0.0030274 | 167 | GTEx | DepMap | Descartes | 1.12 | 185.48 |
TIMP1 | 0.0030145 | 170 | GTEx | DepMap | Descartes | 1.53 | 5109.08 |
EGFR | 0.0029157 | 174 | GTEx | DepMap | Descartes | 0.24 | 79.04 |
SDC4 | 0.0028586 | 181 | GTEx | DepMap | Descartes | 0.29 | 447.02 |
Descartes adrenocortical markers
Top 50 marker genes of adrenocortical cells in the Decartes fetal adrenal single cell map (https://atlas.brotmanbaty.org/bbi/human-gene-expression-during-development/cell/adrenocortical/in/adrenal)
Wilcoxon ranksum test P-value for gene set overrepresentation: 2.43e-01
Mean rank of genes in gene set: 5855.39
Median rank of genes in gene set: 5044.5
Rank on gene expression program of top 30 genes in gene set:
Genes | Weight | Rank | GTEx | DepMap | Descartes | Mean.Counts | Mean.TPM |
---|---|---|---|---|---|---|---|
LDLR | 0.0061934 | 55 | GTEx | DepMap | Descartes | 0.45 | 272.96 |
BAIAP2L1 | 0.0059695 | 59 | GTEx | DepMap | Descartes | 0.27 | 259.53 |
APOC1 | 0.0023047 | 234 | GTEx | DepMap | Descartes | 0.91 | 5193.62 |
ERN1 | 0.0014360 | 407 | GTEx | DepMap | Descartes | 0.14 | 53.87 |
PAPSS2 | 0.0012058 | 489 | GTEx | DepMap | Descartes | 0.12 | 108.84 |
POR | 0.0011954 | 494 | GTEx | DepMap | Descartes | 0.12 | 188.41 |
HMGCS1 | 0.0009265 | 654 | GTEx | DepMap | Descartes | 0.12 | 76.73 |
DHCR24 | 0.0007794 | 783 | GTEx | DepMap | Descartes | 0.14 | 106.28 |
SCAP | 0.0006429 | 945 | GTEx | DepMap | Descartes | 0.12 | 86.20 |
SCARB1 | 0.0005158 | 1163 | GTEx | DepMap | Descartes | 0.07 | 41.02 |
MSMO1 | 0.0004061 | 1437 | GTEx | DepMap | Descartes | 0.06 | 106.47 |
NPC1 | 0.0003967 | 1466 | GTEx | DepMap | Descartes | 0.09 | 48.57 |
INHA | 0.0002032 | 2394 | GTEx | DepMap | Descartes | 0.01 | 25.16 |
TM7SF2 | 0.0001933 | 2458 | GTEx | DepMap | Descartes | 0.03 | 38.33 |
FDPS | 0.0001722 | 2644 | GTEx | DepMap | Descartes | 0.15 | 245.46 |
FDX1 | 0.0001617 | 2738 | GTEx | DepMap | Descartes | 0.04 | 39.42 |
DHCR7 | 0.0000348 | 4385 | GTEx | DepMap | Descartes | 0.05 | 60.96 |
SH3PXD2B | 0.0000159 | 4705 | GTEx | DepMap | Descartes | 0.12 | 45.02 |
FDXR | -0.0000139 | 5384 | GTEx | DepMap | Descartes | 0.03 | 55.04 |
STAR | -0.0000263 | 5776 | GTEx | DepMap | Descartes | 0.00 | 0.00 |
HMGCR | -0.0000850 | 7719 | GTEx | DepMap | Descartes | 0.05 | 45.15 |
FREM2 | -0.0001083 | 8415 | GTEx | DepMap | Descartes | 0.00 | 1.05 |
GRAMD1B | -0.0001203 | 8758 | GTEx | DepMap | Descartes | 0.02 | 11.62 |
CYB5B | -0.0001325 | 9110 | GTEx | DepMap | Descartes | 0.04 | 30.60 |
SH3BP5 | -0.0001608 | 9835 | GTEx | DepMap | Descartes | 0.05 | 51.25 |
DNER | -0.0001757 | 10161 | GTEx | DepMap | Descartes | 0.06 | 50.91 |
SLC16A9 | -0.0002131 | 10812 | GTEx | DepMap | Descartes | 0.00 | 1.73 |
SGCZ | -0.0002488 | 11249 | GTEx | DepMap | Descartes | 0.09 | 23.93 |
GSTA4 | -0.0002523 | 11285 | GTEx | DepMap | Descartes | 0.03 | 72.64 |
PEG3 | -0.0002972 | 11650 | GTEx | DepMap | Descartes | 0.02 | NA |
Descartes chromaffin markers
Top 50 marker genes of chromaffin cells in the Decartes fetal adrenal single cell map (https://atlas.brotmanbaty.org/bbi/human-gene-expression-during-development/cell/chromaffin/in/adrenal)
Wilcoxon ranksum test P-value for gene set overrepresentation: 1.00e+00
Mean rank of genes in gene set: 11814.9
Median rank of genes in gene set: 12237
Rank on gene expression program of top 30 genes in gene set:
Genes | Weight | Rank | GTEx | DepMap | Descartes | Mean.Counts | Mean.TPM |
---|---|---|---|---|---|---|---|
GREM1 | -0.0000378 | 6157 | GTEx | DepMap | Descartes | 0.09 | 27.08 |
RPH3A | -0.0001551 | 9683 | GTEx | DepMap | Descartes | 0.00 | 1.02 |
TUBB2A | -0.0001784 | 10210 | GTEx | DepMap | Descartes | 0.16 | 369.68 |
PTCHD1 | -0.0002011 | 10617 | GTEx | DepMap | Descartes | 0.02 | 3.87 |
MAB21L1 | -0.0002114 | 10782 | GTEx | DepMap | Descartes | 0.02 | 24.19 |
RGMB | -0.0002339 | 11099 | GTEx | DepMap | Descartes | 0.03 | 28.64 |
REEP1 | -0.0002603 | 11365 | GTEx | DepMap | Descartes | 0.06 | 54.99 |
MAB21L2 | -0.0002619 | 11385 | GTEx | DepMap | Descartes | 0.02 | 49.21 |
GAL | -0.0002728 | 11476 | GTEx | DepMap | Descartes | 0.18 | 1002.37 |
CNTFR | -0.0002782 | 11523 | GTEx | DepMap | Descartes | 0.03 | 49.77 |
TMEFF2 | -0.0003041 | 11698 | GTEx | DepMap | Descartes | 0.03 | 39.01 |
SLC6A2 | -0.0003148 | 11764 | GTEx | DepMap | Descartes | 0.02 | 15.57 |
EPHA6 | -0.0003311 | 11853 | GTEx | DepMap | Descartes | 0.12 | 60.82 |
NTRK1 | -0.0003315 | 11854 | GTEx | DepMap | Descartes | 0.03 | 44.12 |
FAT3 | -0.0003421 | 11902 | GTEx | DepMap | Descartes | 0.04 | 6.02 |
PLXNA4 | -0.0003608 | 11984 | GTEx | DepMap | Descartes | 0.08 | 18.92 |
MLLT11 | -0.0003682 | 12025 | GTEx | DepMap | Descartes | 0.16 | 260.20 |
SLC44A5 | -0.0003906 | 12086 | GTEx | DepMap | Descartes | 0.10 | 66.91 |
ANKFN1 | -0.0004303 | 12186 | GTEx | DepMap | Descartes | 0.02 | 4.55 |
ISL1 | -0.0004503 | 12232 | GTEx | DepMap | Descartes | 0.07 | 66.12 |
CNKSR2 | -0.0004518 | 12237 | GTEx | DepMap | Descartes | 0.09 | 13.40 |
ELAVL2 | -0.0004538 | 12240 | GTEx | DepMap | Descartes | 0.06 | 60.41 |
SYNPO2 | -0.0004827 | 12274 | GTEx | DepMap | Descartes | 0.09 | 14.51 |
HS3ST5 | -0.0004838 | 12276 | GTEx | DepMap | Descartes | 0.05 | 25.99 |
GAP43 | -0.0004984 | 12297 | GTEx | DepMap | Descartes | 0.18 | 357.63 |
EYA1 | -0.0005373 | 12360 | GTEx | DepMap | Descartes | 0.04 | 30.08 |
EYA4 | -0.0005446 | 12370 | GTEx | DepMap | Descartes | 0.06 | 22.30 |
MARCH11 | -0.0005448 | 12372 | GTEx | DepMap | Descartes | 0.10 | NA |
KCNB2 | -0.0005565 | 12382 | GTEx | DepMap | Descartes | 0.07 | 45.58 |
IL7 | -0.0005868 | 12412 | GTEx | DepMap | Descartes | 0.06 | 57.70 |
Descartes Vascular_endothelial markers
Top 50 marker genes of Vascular_endothelial cells in the Decartes fetal adrenal single cell map (https://atlas.brotmanbaty.org/bbi/human-gene-expression-during-development/cell/vascular_endothelial/in/adrenal)
Wilcoxon ranksum test P-value for gene set overrepresentation: 8.86e-01
Mean rank of genes in gene set: 6981.84
Median rank of genes in gene set: 7932.5
Rank on gene expression program of top 30 genes in gene set:
Genes | Weight | Rank | GTEx | DepMap | Descartes | Mean.Counts | Mean.TPM |
---|---|---|---|---|---|---|---|
NR5A2 | 0.0080073 | 30 | GTEx | DepMap | Descartes | 0.26 | 174.05 |
ID1 | 0.0052045 | 80 | GTEx | DepMap | Descartes | 0.37 | 864.04 |
MYRIP | 0.0022649 | 242 | GTEx | DepMap | Descartes | 0.29 | 173.08 |
CEACAM1 | 0.0008904 | 676 | GTEx | DepMap | Descartes | 0.03 | 21.61 |
ARHGAP29 | 0.0006081 | 983 | GTEx | DepMap | Descartes | 0.15 | 61.14 |
SHANK3 | 0.0002615 | 2038 | GTEx | DepMap | Descartes | 0.06 | 15.50 |
SHE | 0.0002560 | 2062 | GTEx | DepMap | Descartes | 0.03 | 8.12 |
KANK3 | 0.0002000 | 2413 | GTEx | DepMap | Descartes | 0.02 | 42.02 |
SLCO2A1 | 0.0001074 | 3313 | GTEx | DepMap | Descartes | 0.03 | 10.58 |
EHD3 | 0.0000691 | 3827 | GTEx | DepMap | Descartes | 0.01 | 14.32 |
CRHBP | 0.0000482 | 4162 | GTEx | DepMap | Descartes | 0.00 | 0.00 |
TEK | 0.0000453 | 4207 | GTEx | DepMap | Descartes | 0.03 | 7.76 |
IRX3 | 0.0000354 | 4376 | GTEx | DepMap | Descartes | 0.01 | 10.87 |
GALNT15 | 0.0000200 | 4623 | GTEx | DepMap | Descartes | 0.01 | NA |
CYP26B1 | 0.0000094 | 4839 | GTEx | DepMap | Descartes | 0.01 | 7.72 |
F8 | -0.0000244 | 5714 | GTEx | DepMap | Descartes | 0.00 | 4.56 |
ROBO4 | -0.0000406 | 6247 | GTEx | DepMap | Descartes | 0.00 | 2.29 |
NPR1 | -0.0000480 | 6505 | GTEx | DepMap | Descartes | 0.01 | 8.01 |
TMEM88 | -0.0000835 | 7657 | GTEx | DepMap | Descartes | 0.03 | 142.23 |
HYAL2 | -0.0001016 | 8208 | GTEx | DepMap | Descartes | 0.03 | 20.73 |
MMRN2 | -0.0001110 | 8482 | GTEx | DepMap | Descartes | 0.01 | 3.29 |
CDH5 | -0.0001128 | 8536 | GTEx | DepMap | Descartes | 0.03 | 8.93 |
TIE1 | -0.0001488 | 9548 | GTEx | DepMap | Descartes | 0.01 | 11.11 |
NOTCH4 | -0.0001755 | 10151 | GTEx | DepMap | Descartes | 0.03 | 12.45 |
RAMP2 | -0.0001816 | 10268 | GTEx | DepMap | Descartes | 0.01 | 29.41 |
PTPRB | -0.0001845 | 10340 | GTEx | DepMap | Descartes | 0.10 | 19.13 |
CLDN5 | -0.0001905 | 10434 | GTEx | DepMap | Descartes | 0.02 | 9.53 |
RASIP1 | -0.0002009 | 10614 | GTEx | DepMap | Descartes | 0.01 | 9.46 |
BTNL9 | -0.0002197 | 10908 | GTEx | DepMap | Descartes | 0.01 | 2.98 |
PODXL | -0.0002225 | 10951 | GTEx | DepMap | Descartes | 0.04 | 10.40 |
Descartes stromal markers
Top 50 marker genes of stromal cells in the Decartes fetal adrenal single cell map (https://atlas.brotmanbaty.org/bbi/human-gene-expression-during-development/cell/stromal/in/adrenal)
Wilcoxon ranksum test P-value for gene set overrepresentation: 2.44e-02
Mean rank of genes in gene set: 5201.02
Median rank of genes in gene set: 3965.5
Rank on gene expression program of top 30 genes in gene set:
Genes | Weight | Rank | GTEx | DepMap | Descartes | Mean.Counts | Mean.TPM |
---|---|---|---|---|---|---|---|
COL27A1 | 0.0042351 | 119 | GTEx | DepMap | Descartes | 0.29 | 124.35 |
ABCA6 | 0.0022715 | 240 | GTEx | DepMap | Descartes | 0.07 | 23.29 |
ADAMTSL3 | 0.0014050 | 421 | GTEx | DepMap | Descartes | 0.06 | 22.48 |
IGFBP3 | 0.0008519 | 702 | GTEx | DepMap | Descartes | 0.08 | 119.02 |
GAS2 | 0.0008169 | 745 | GTEx | DepMap | Descartes | 0.06 | 61.46 |
ABCC9 | 0.0005301 | 1126 | GTEx | DepMap | Descartes | 0.04 | 19.01 |
LUM | 0.0005235 | 1144 | GTEx | DepMap | Descartes | 0.16 | 239.71 |
BICC1 | 0.0005072 | 1180 | GTEx | DepMap | Descartes | 1.75 | 1127.06 |
C7 | 0.0004861 | 1224 | GTEx | DepMap | Descartes | 0.15 | 112.09 |
COL1A2 | 0.0004825 | 1235 | GTEx | DepMap | Descartes | 2.61 | 1827.78 |
ELN | 0.0003659 | 1560 | GTEx | DepMap | Descartes | 0.27 | 221.61 |
LAMC3 | 0.0003118 | 1752 | GTEx | DepMap | Descartes | 0.03 | 19.72 |
COL6A3 | 0.0002891 | 1863 | GTEx | DepMap | Descartes | 0.29 | 100.39 |
DCN | 0.0002880 | 1869 | GTEx | DepMap | Descartes | 0.16 | 88.74 |
MGP | 0.0002874 | 1873 | GTEx | DepMap | Descartes | 0.42 | 903.20 |
SFRP2 | 0.0002646 | 2014 | GTEx | DepMap | Descartes | 0.07 | 147.60 |
COL3A1 | 0.0002562 | 2058 | GTEx | DepMap | Descartes | 1.29 | 949.03 |
GLI2 | 0.0002175 | 2293 | GTEx | DepMap | Descartes | 0.11 | 63.55 |
ADAMTS2 | 0.0000995 | 3404 | GTEx | DepMap | Descartes | 0.21 | 129.18 |
ITGA11 | 0.0000863 | 3616 | GTEx | DepMap | Descartes | 0.09 | 28.74 |
PRRX1 | 0.0000790 | 3699 | GTEx | DepMap | Descartes | 0.15 | 127.51 |
LOX | 0.0000608 | 3957 | GTEx | DepMap | Descartes | 0.04 | 34.26 |
LRRC17 | 0.0000592 | 3974 | GTEx | DepMap | Descartes | 0.00 | 20.90 |
COL1A1 | 0.0000500 | 4130 | GTEx | DepMap | Descartes | 1.40 | 948.32 |
PCDH18 | 0.0000295 | 4483 | GTEx | DepMap | Descartes | 0.02 | 18.62 |
EDNRA | -0.0000009 | 5052 | GTEx | DepMap | Descartes | 0.03 | 27.76 |
SCARA5 | -0.0000419 | 6285 | GTEx | DepMap | Descartes | 0.00 | 0.00 |
HHIP | -0.0000510 | 6603 | GTEx | DepMap | Descartes | 0.03 | 10.18 |
RSPO3 | -0.0000678 | 7174 | GTEx | DepMap | Descartes | 0.00 | NA |
PDGFRA | -0.0000915 | 7920 | GTEx | DepMap | Descartes | 0.08 | 53.03 |
Descartes sympathoblasts markers
Top 50 marker genes of sympathoblasts cells in the Decartes fetal adrenal single cell map (https://atlas.brotmanbaty.org/bbi/human-gene-expression-during-development/cell/sympathoblasts/in/adrenal)
Wilcoxon ranksum test P-value for gene set overrepresentation: 1.00e+00
Mean rank of genes in gene set: 10606.13
Median rank of genes in gene set: 11831
Rank on gene expression program of top 30 genes in gene set:
Genes | Weight | Rank | GTEx | DepMap | Descartes | Mean.Counts | Mean.TPM |
---|---|---|---|---|---|---|---|
PENK | 0.0006820 | 893 | GTEx | DepMap | Descartes | 0.13 | 345.13 |
TENM1 | 0.0001413 | 2919 | GTEx | DepMap | Descartes | 0.12 | NA |
CNTN3 | 0.0000392 | 4316 | GTEx | DepMap | Descartes | 0.01 | 12.28 |
GCH1 | 0.0000168 | 4691 | GTEx | DepMap | Descartes | 0.08 | 72.83 |
DGKK | 0.0000062 | 4904 | GTEx | DepMap | Descartes | 0.00 | 0.00 |
SORCS3 | -0.0001006 | 8174 | GTEx | DepMap | Descartes | 0.02 | 9.69 |
CDH12 | -0.0001428 | 9401 | GTEx | DepMap | Descartes | 0.04 | 13.81 |
SLC24A2 | -0.0001824 | 10293 | GTEx | DepMap | Descartes | 0.00 | 2.86 |
C1QL1 | -0.0001981 | 10567 | GTEx | DepMap | Descartes | 0.00 | 3.10 |
PACRG | -0.0002115 | 10786 | GTEx | DepMap | Descartes | 0.05 | 104.14 |
ARC | -0.0002423 | 11183 | GTEx | DepMap | Descartes | 0.02 | 16.68 |
HTATSF1 | -0.0002441 | 11197 | GTEx | DepMap | Descartes | 0.02 | 24.70 |
ST18 | -0.0002508 | 11275 | GTEx | DepMap | Descartes | 0.00 | 5.36 |
TBX20 | -0.0002703 | 11457 | GTEx | DepMap | Descartes | 0.01 | 3.22 |
SPOCK3 | -0.0002765 | 11500 | GTEx | DepMap | Descartes | 0.05 | 45.81 |
KSR2 | -0.0002900 | 11608 | GTEx | DepMap | Descartes | 0.03 | 5.44 |
GRM7 | -0.0003084 | 11730 | GTEx | DepMap | Descartes | 0.07 | 49.23 |
SLC18A1 | -0.0003124 | 11748 | GTEx | DepMap | Descartes | 0.00 | 1.93 |
LAMA3 | -0.0003141 | 11757 | GTEx | DepMap | Descartes | 0.03 | 13.35 |
GALNTL6 | -0.0003425 | 11905 | GTEx | DepMap | Descartes | 0.04 | 29.25 |
PCSK2 | -0.0003548 | 11961 | GTEx | DepMap | Descartes | 0.01 | 9.38 |
CDH18 | -0.0003646 | 12004 | GTEx | DepMap | Descartes | 0.06 | 35.51 |
GRID2 | -0.0003773 | 12055 | GTEx | DepMap | Descartes | 0.01 | 2.04 |
TIAM1 | -0.0003794 | 12061 | GTEx | DepMap | Descartes | 0.10 | 51.67 |
MGAT4C | -0.0003821 | 12067 | GTEx | DepMap | Descartes | 0.07 | 9.20 |
EML6 | -0.0003908 | 12087 | GTEx | DepMap | Descartes | 0.13 | 23.92 |
PCSK1N | -0.0004486 | 12227 | GTEx | DepMap | Descartes | 0.21 | 608.63 |
KCTD16 | -0.0004567 | 12245 | GTEx | DepMap | Descartes | 0.08 | 11.49 |
NTNG1 | -0.0004757 | 12264 | GTEx | DepMap | Descartes | 0.04 | 4.16 |
SLC35F3 | -0.0004891 | 12279 | GTEx | DepMap | Descartes | 0.11 | 97.62 |
Descartes erythroblasts markers
Top 50 marker genes of erythroblasts cells in the Decartes fetal adrenal single cell map (https://atlas.brotmanbaty.org/bbi/human-gene-expression-during-development/cell/erythroblasts/in/adrenal)
Wilcoxon ranksum test P-value for gene set overrepresentation: 1.89e-01
Mean rank of genes in gene set: 5681.9
Median rank of genes in gene set: 5579
Rank on gene expression program of top 30 genes in gene set:
Genes | Weight | Rank | GTEx | DepMap | Descartes | Mean.Counts | Mean.TPM |
---|---|---|---|---|---|---|---|
SELENBP1 | 0.0019171 | 298 | GTEx | DepMap | Descartes | 0.06 | 57.52 |
DENND4A | 0.0017504 | 340 | GTEx | DepMap | Descartes | 0.48 | 156.64 |
TFR2 | 0.0006193 | 969 | GTEx | DepMap | Descartes | 0.14 | 157.68 |
GCLC | 0.0004960 | 1204 | GTEx | DepMap | Descartes | 0.12 | 113.41 |
EPB41 | 0.0004319 | 1367 | GTEx | DepMap | Descartes | 0.17 | 91.14 |
SLC25A37 | 0.0003948 | 1471 | GTEx | DepMap | Descartes | 0.09 | 59.48 |
SLC25A21 | 0.0003883 | 1491 | GTEx | DepMap | Descartes | 0.01 | 5.69 |
MICAL2 | 0.0003477 | 1616 | GTEx | DepMap | Descartes | 0.15 | 82.87 |
BLVRB | 0.0001505 | 2832 | GTEx | DepMap | Descartes | 0.05 | 146.80 |
GYPC | 0.0000926 | 3521 | GTEx | DepMap | Descartes | 0.01 | 13.83 |
RHD | 0.0000659 | 3873 | GTEx | DepMap | Descartes | 0.00 | 0.00 |
ABCB10 | 0.0000606 | 3962 | GTEx | DepMap | Descartes | 0.04 | 48.45 |
SPECC1 | 0.0000532 | 4076 | GTEx | DepMap | Descartes | 0.02 | 9.73 |
SNCA | 0.0000501 | 4126 | GTEx | DepMap | Descartes | 0.06 | 79.39 |
ALAS2 | -0.0000205 | 5579 | GTEx | DepMap | Descartes | 0.00 | 0.00 |
SPTB | -0.0000345 | 6050 | GTEx | DepMap | Descartes | 0.03 | 4.95 |
TRAK2 | -0.0000786 | 7507 | GTEx | DepMap | Descartes | 0.06 | 29.10 |
RGS6 | -0.0000843 | 7689 | GTEx | DepMap | Descartes | 0.02 | 3.31 |
FECH | -0.0000848 | 7715 | GTEx | DepMap | Descartes | 0.02 | 6.13 |
MARCH3 | -0.0000973 | 8078 | GTEx | DepMap | Descartes | 0.10 | NA |
CPOX | -0.0001051 | 8320 | GTEx | DepMap | Descartes | 0.01 | 7.87 |
SOX6 | -0.0001081 | 8410 | GTEx | DepMap | Descartes | 0.15 | 58.12 |
SLC4A1 | -0.0001196 | 8739 | GTEx | DepMap | Descartes | 0.00 | 0.00 |
RAPGEF2 | -0.0001456 | 9482 | GTEx | DepMap | Descartes | 0.11 | 41.91 |
TMCC2 | -0.0001606 | 9827 | GTEx | DepMap | Descartes | 0.00 | 0.00 |
XPO7 | -0.0002146 | 10834 | GTEx | DepMap | Descartes | 0.05 | 32.45 |
ANK1 | -0.0002589 | 11351 | GTEx | DepMap | Descartes | 0.01 | 2.73 |
CAT | -0.0003107 | 11740 | GTEx | DepMap | Descartes | 0.02 | 42.58 |
TSPAN5 | -0.0005040 | 12308 | GTEx | DepMap | Descartes | 0.07 | 57.19 |
NA | NA | NA | NA | NA | NA | NA | NA |
Descartes myeloid markers
Top 50 marker genes of myeloid cells in the Decartes fetal adrenal single cell map (https://atlas.brotmanbaty.org/bbi/human-gene-expression-during-development/cell/myeloid/in/adrenal)
Wilcoxon ranksum test P-value for gene set overrepresentation: 9.55e-01
Mean rank of genes in gene set: 7271.42
Median rank of genes in gene set: 8278.5
Rank on gene expression program of top 30 genes in gene set:
Genes | Weight | Rank | GTEx | DepMap | Descartes | Mean.Counts | Mean.TPM |
---|---|---|---|---|---|---|---|
WWP1 | 0.0021444 | 261 | GTEx | DepMap | Descartes | 0.28 | 190.39 |
ITPR2 | 0.0019553 | 292 | GTEx | DepMap | Descartes | 0.30 | 82.49 |
CTSB | 0.0015679 | 378 | GTEx | DepMap | Descartes | 0.48 | 505.35 |
ABCA1 | 0.0015460 | 384 | GTEx | DepMap | Descartes | 0.20 | 71.53 |
TGFBI | 0.0005824 | 1032 | GTEx | DepMap | Descartes | 0.20 | 183.35 |
CD14 | 0.0005751 | 1050 | GTEx | DepMap | Descartes | 0.10 | 226.50 |
IFNGR1 | 0.0004278 | 1374 | GTEx | DepMap | Descartes | 0.09 | 97.18 |
SLCO2B1 | 0.0002861 | 1879 | GTEx | DepMap | Descartes | 0.05 | 33.00 |
CSF1R | 0.0001411 | 2920 | GTEx | DepMap | Descartes | 0.02 | 18.18 |
MERTK | 0.0001220 | 3150 | GTEx | DepMap | Descartes | 0.06 | 67.17 |
ATP8B4 | 0.0000154 | 4721 | GTEx | DepMap | Descartes | 0.01 | 10.95 |
RGL1 | 0.0000052 | 4926 | GTEx | DepMap | Descartes | 0.03 | 26.73 |
MS4A4A | -0.0000032 | 5093 | GTEx | DepMap | Descartes | 0.01 | 25.17 |
CD163 | -0.0000133 | 5365 | GTEx | DepMap | Descartes | 0.01 | 5.09 |
CTSD | -0.0000465 | 6452 | GTEx | DepMap | Descartes | 0.47 | 904.23 |
CTSS | -0.0000601 | 6909 | GTEx | DepMap | Descartes | 0.04 | 37.08 |
MSR1 | -0.0000804 | 7570 | GTEx | DepMap | Descartes | 0.02 | 45.13 |
AXL | -0.0000881 | 7804 | GTEx | DepMap | Descartes | 0.06 | 52.53 |
CST3 | -0.0000990 | 8127 | GTEx | DepMap | Descartes | 0.12 | 132.69 |
LGMN | -0.0001089 | 8430 | GTEx | DepMap | Descartes | 0.11 | 203.67 |
CPVL | -0.0001424 | 9389 | GTEx | DepMap | Descartes | 0.01 | 51.33 |
HCK | -0.0001468 | 9502 | GTEx | DepMap | Descartes | 0.01 | 5.05 |
FGL2 | -0.0001608 | 9833 | GTEx | DepMap | Descartes | 0.00 | 0.00 |
SLC1A3 | -0.0001643 | 9920 | GTEx | DepMap | Descartes | 0.03 | 33.13 |
CYBB | -0.0001834 | 10313 | GTEx | DepMap | Descartes | 0.00 | 0.00 |
MARCH1 | -0.0001876 | 10388 | GTEx | DepMap | Descartes | 0.05 | NA |
CTSC | -0.0001919 | 10463 | GTEx | DepMap | Descartes | 0.02 | 25.37 |
FGD2 | -0.0002330 | 11088 | GTEx | DepMap | Descartes | 0.00 | 1.31 |
ADAP2 | -0.0002413 | 11173 | GTEx | DepMap | Descartes | 0.03 | 49.36 |
HRH1 | -0.0002542 | 11306 | GTEx | DepMap | Descartes | 0.05 | 25.46 |
Descartes Schwann markers
Top 50 marker genes of Schwann cells in the Decartes fetal adrenal single cell map (https://atlas.brotmanbaty.org/bbi/human-gene-expression-during-development/cell/schwann/in/adrenal)
Wilcoxon ranksum test P-value for gene set overrepresentation: 1.00e+00
Mean rank of genes in gene set: 8263.43
Median rank of genes in gene set: 10889.5
Rank on gene expression program of top 30 genes in gene set:
Genes | Weight | Rank | GTEx | DepMap | Descartes | Mean.Counts | Mean.TPM |
---|---|---|---|---|---|---|---|
ERBB3 | 0.0038646 | 136 | GTEx | DepMap | Descartes | 0.09 | 63.77 |
COL18A1 | 0.0022811 | 238 | GTEx | DepMap | Descartes | 0.68 | 417.66 |
DST | 0.0010371 | 574 | GTEx | DepMap | Descartes | 1.05 | 146.07 |
STARD13 | 0.0009540 | 631 | GTEx | DepMap | Descartes | 0.23 | 127.90 |
IL1RAPL2 | 0.0007506 | 816 | GTEx | DepMap | Descartes | 0.06 | 70.26 |
LAMC1 | 0.0005869 | 1020 | GTEx | DepMap | Descartes | 0.32 | 133.24 |
PLCE1 | 0.0004937 | 1209 | GTEx | DepMap | Descartes | 0.10 | 17.10 |
SOX5 | 0.0003940 | 1472 | GTEx | DepMap | Descartes | 0.19 | 84.35 |
COL5A2 | 0.0002025 | 2399 | GTEx | DepMap | Descartes | 0.51 | 288.47 |
PLP1 | 0.0001105 | 3275 | GTEx | DepMap | Descartes | 0.00 | 10.94 |
COL25A1 | 0.0000396 | 4311 | GTEx | DepMap | Descartes | 0.02 | 7.33 |
PTPRZ1 | 0.0000141 | 4747 | GTEx | DepMap | Descartes | 0.00 | 4.13 |
MPZ | 0.0000046 | 4937 | GTEx | DepMap | Descartes | 0.01 | 3.39 |
GRIK3 | -0.0000053 | 5143 | GTEx | DepMap | Descartes | 0.02 | 4.82 |
MDGA2 | -0.0000442 | 6366 | GTEx | DepMap | Descartes | 0.00 | 0.00 |
KCTD12 | -0.0000904 | 7879 | GTEx | DepMap | Descartes | 0.04 | 33.64 |
SLC35F1 | -0.0001096 | 8446 | GTEx | DepMap | Descartes | 0.01 | 8.84 |
OLFML2A | -0.0001325 | 9109 | GTEx | DepMap | Descartes | 0.00 | 3.03 |
SFRP1 | -0.0001879 | 10398 | GTEx | DepMap | Descartes | 0.05 | 32.70 |
NRXN3 | -0.0001924 | 10471 | GTEx | DepMap | Descartes | 0.18 | 62.14 |
IL1RAPL1 | -0.0002117 | 10792 | GTEx | DepMap | Descartes | 0.10 | 69.80 |
EDNRB | -0.0002161 | 10858 | GTEx | DepMap | Descartes | 0.00 | 0.00 |
LAMA4 | -0.0002208 | 10921 | GTEx | DepMap | Descartes | 0.02 | 11.02 |
SCN7A | -0.0002284 | 11028 | GTEx | DepMap | Descartes | 0.03 | 11.41 |
TRPM3 | -0.0002330 | 11089 | GTEx | DepMap | Descartes | 0.07 | 13.86 |
HMGA2 | -0.0002364 | 11127 | GTEx | DepMap | Descartes | 0.00 | 0.65 |
EGFLAM | -0.0002398 | 11162 | GTEx | DepMap | Descartes | 0.02 | 7.93 |
GFRA3 | -0.0002400 | 11166 | GTEx | DepMap | Descartes | 0.00 | 0.58 |
VCAN | -0.0002681 | 11435 | GTEx | DepMap | Descartes | 0.53 | 167.86 |
XKR4 | -0.0002845 | 11560 | GTEx | DepMap | Descartes | 0.06 | 3.78 |
Descartes Megakaryocytes markers
Top 50 marker genes of Megakaryocytes cells in the Decartes fetal adrenal single cell map (https://atlas.brotmanbaty.org/bbi/human-gene-expression-during-development/cell/megakaryocytes/in/adrenal)
Wilcoxon ranksum test P-value for gene set overrepresentation: 4.41e-01
Mean rank of genes in gene set: 6195.4
Median rank of genes in gene set: 6014
Rank on gene expression program of top 30 genes in gene set:
Genes | Weight | Rank | GTEx | DepMap | Descartes | Mean.Counts | Mean.TPM |
---|---|---|---|---|---|---|---|
MYH9 | 0.0024972 | 211 | GTEx | DepMap | Descartes | 0.38 | 161.84 |
UBASH3B | 0.0016322 | 359 | GTEx | DepMap | Descartes | 0.21 | 116.02 |
STOM | 0.0011335 | 530 | GTEx | DepMap | Descartes | 0.12 | 105.81 |
ACTN1 | 0.0008623 | 697 | GTEx | DepMap | Descartes | 0.44 | 314.35 |
PSTPIP2 | 0.0007672 | 800 | GTEx | DepMap | Descartes | 0.03 | 40.29 |
LTBP1 | 0.0006389 | 950 | GTEx | DepMap | Descartes | 0.20 | 113.00 |
MYLK | 0.0004619 | 1285 | GTEx | DepMap | Descartes | 0.11 | 48.07 |
ZYX | 0.0003706 | 1549 | GTEx | DepMap | Descartes | 0.12 | 206.10 |
THBS1 | 0.0003366 | 1671 | GTEx | DepMap | Descartes | 0.94 | 455.45 |
FERMT3 | 0.0002373 | 2181 | GTEx | DepMap | Descartes | 0.02 | 40.17 |
STON2 | 0.0002327 | 2208 | GTEx | DepMap | Descartes | 0.04 | 29.11 |
TLN1 | 0.0002269 | 2240 | GTEx | DepMap | Descartes | 0.05 | 24.24 |
FLNA | 0.0001906 | 2483 | GTEx | DepMap | Descartes | 0.44 | 187.97 |
GSN | 0.0001722 | 2643 | GTEx | DepMap | Descartes | 0.21 | 128.10 |
RAP1B | 0.0001579 | 2762 | GTEx | DepMap | Descartes | 0.19 | 47.54 |
LIMS1 | 0.0001373 | 2963 | GTEx | DepMap | Descartes | 0.13 | 94.12 |
P2RX1 | 0.0001131 | 3244 | GTEx | DepMap | Descartes | 0.03 | 29.36 |
GP1BA | 0.0001068 | 3323 | GTEx | DepMap | Descartes | 0.01 | 10.67 |
CD9 | 0.0000804 | 3679 | GTEx | DepMap | Descartes | 0.08 | 150.09 |
VCL | 0.0000525 | 4083 | GTEx | DepMap | Descartes | 0.13 | 56.44 |
HIPK2 | -0.0000233 | 5673 | GTEx | DepMap | Descartes | 0.18 | 35.42 |
ANGPT1 | -0.0000327 | 5986 | GTEx | DepMap | Descartes | 0.01 | 12.82 |
ITGB3 | -0.0000336 | 6014 | GTEx | DepMap | Descartes | 0.00 | 0.00 |
ITGA2B | -0.0000389 | 6201 | GTEx | DepMap | Descartes | 0.00 | 2.52 |
TUBB1 | -0.0000456 | 6409 | GTEx | DepMap | Descartes | 0.00 | 0.00 |
TRPC6 | -0.0000467 | 6463 | GTEx | DepMap | Descartes | 0.04 | 35.35 |
MMRN1 | -0.0000844 | 7695 | GTEx | DepMap | Descartes | 0.00 | 9.57 |
FLI1 | -0.0000983 | 8108 | GTEx | DepMap | Descartes | 0.04 | 22.23 |
SPN | -0.0001017 | 8209 | GTEx | DepMap | Descartes | 0.00 | 0.00 |
TGFB1 | -0.0001610 | 9843 | GTEx | DepMap | Descartes | 0.09 | 103.96 |
Descartes Lyphoid markers
Top 50 marker genes of Lyphoid cells in the Decartes fetal adrenal single cell map (https://atlas.brotmanbaty.org/bbi/human-gene-expression-during-development/cell/lymphoid/in/adrenal)
Wilcoxon ranksum test P-value for gene set overrepresentation: 9.97e-01
Mean rank of genes in gene set: 7787.07
Median rank of genes in gene set: 9780.5
Rank on gene expression program of top 30 genes in gene set:
Genes | Weight | Rank | GTEx | DepMap | Descartes | Mean.Counts | Mean.TPM |
---|---|---|---|---|---|---|---|
ABLIM1 | 0.0034648 | 155 | GTEx | DepMap | Descartes | 0.50 | 216.40 |
SORL1 | 0.0015949 | 368 | GTEx | DepMap | Descartes | 0.20 | 56.07 |
FOXP1 | 0.0013787 | 434 | GTEx | DepMap | Descartes | 0.91 | 317.96 |
ARID5B | 0.0013052 | 459 | GTEx | DepMap | Descartes | 0.43 | 171.86 |
SP100 | 0.0012712 | 468 | GTEx | DepMap | Descartes | 0.17 | 102.41 |
CCND3 | 0.0009775 | 614 | GTEx | DepMap | Descartes | 0.16 | 240.57 |
BACH2 | 0.0009467 | 635 | GTEx | DepMap | Descartes | 0.45 | 150.67 |
MBNL1 | 0.0007762 | 790 | GTEx | DepMap | Descartes | 0.51 | 229.98 |
MSN | 0.0004663 | 1273 | GTEx | DepMap | Descartes | 0.15 | 138.02 |
SKAP1 | 0.0000648 | 3888 | GTEx | DepMap | Descartes | 0.03 | 45.60 |
ETS1 | 0.0000601 | 3966 | GTEx | DepMap | Descartes | 0.09 | 67.48 |
CCL5 | 0.0000450 | 4214 | GTEx | DepMap | Descartes | 0.01 | 39.13 |
SAMD3 | 0.0000104 | 4822 | GTEx | DepMap | Descartes | 0.02 | 15.72 |
PDE3B | 0.0000015 | 4991 | GTEx | DepMap | Descartes | 0.11 | 60.12 |
MCTP2 | -0.0000012 | 5054 | GTEx | DepMap | Descartes | 0.10 | 48.87 |
ANKRD44 | -0.0000536 | 6684 | GTEx | DepMap | Descartes | 0.14 | 53.21 |
PLEKHA2 | -0.0000991 | 8132 | GTEx | DepMap | Descartes | 0.04 | 33.70 |
LCP1 | -0.0001041 | 8290 | GTEx | DepMap | Descartes | 0.01 | 10.39 |
LEF1 | -0.0001208 | 8775 | GTEx | DepMap | Descartes | 0.01 | 4.76 |
ARHGDIB | -0.0001500 | 9569 | GTEx | DepMap | Descartes | 0.02 | 29.03 |
PTPRC | -0.0001526 | 9629 | GTEx | DepMap | Descartes | 0.01 | 10.29 |
ARHGAP15 | -0.0001651 | 9932 | GTEx | DepMap | Descartes | 0.07 | 113.66 |
IKZF1 | -0.0001673 | 9974 | GTEx | DepMap | Descartes | 0.01 | 0.94 |
PRKCH | -0.0001725 | 10084 | GTEx | DepMap | Descartes | 0.07 | 52.17 |
RCSD1 | -0.0002012 | 10620 | GTEx | DepMap | Descartes | 0.01 | 3.07 |
ITPKB | -0.0002352 | 11113 | GTEx | DepMap | Descartes | 0.03 | 18.93 |
PITPNC1 | -0.0002479 | 11241 | GTEx | DepMap | Descartes | 0.21 | 95.65 |
NCALD | -0.0002640 | 11403 | GTEx | DepMap | Descartes | 0.06 | 58.45 |
SCML4 | -0.0002727 | 11475 | GTEx | DepMap | Descartes | 0.03 | 17.11 |
CELF2 | -0.0002960 | 11644 | GTEx | DepMap | Descartes | 0.11 | 50.84 |
Below shows the ranks on this GEP for immune marker gene lists curated by CellTypist (https://www.celltypist.org/encyclopedia).
High ranks indicate this gene is a driver of this GEP.
These curated gene list are ranked by P-value (on this GEP) of their constituent genes.
The Mean Count column shows the mean read count in cells scoring highly (H > 50) on this gene expression program.
Genes | Weight | Rank | GTEx | DepMap | Decartes | Mean.Counts | Mean.TPM |
---|---|---|---|---|---|---|---|
AQP3 | 0.0017764 | 334 | GTEx | DepMap | Descartes | 0.04 | 54.32 |
ITGB1 | 0.0008638 | 694 | GTEx | DepMap | Descartes | 0.48 | 391.96 |
KLRB1 | 0.0000062 | 4902 | GTEx | DepMap | Descartes | 0.01 | 41.11 |
pDC precursor: pDC precursor (curated markers)
precursors of plasmacytoid dendritic cells which have intermixed lymphoid and myeloid origins and give rise to plasmacytoid dendritic cells:
Wilcoxon ranksum test P-value for gene set overrepresentation: 2.13e-02
Mean rank of genes in gene set: 1082.5
Rank on gene expression program of genes in gene set:
Genes | Weight | Rank | GTEx | DepMap | Decartes | Mean.Counts | Mean.TPM |
---|---|---|---|---|---|---|---|
IRF7 | 0.0008026 | 759 | GTEx | DepMap | Descartes | 0.05 | 88.15 |
CCDC50 | 0.0004172 | 1406 | GTEx | DepMap | Descartes | 0.10 | 50.52 |
Fibroblasts: Fibroblasts (curated markers)
the most common cells of connective tissues which synthesize the extracellular matrix and collagen to maintain tissue homeostasis:
Wilcoxon ranksum test P-value for gene set overrepresentation: 3.23e-02
Mean rank of genes in gene set: 2411.33
Rank on gene expression program of genes in gene set:
Genes | Weight | Rank | GTEx | DepMap | Decartes | Mean.Counts | Mean.TPM |
---|---|---|---|---|---|---|---|
COL1A2 | 0.0004825 | 1235 | GTEx | DepMap | Descartes | 2.61 | 1827.78 |
DCN | 0.0002880 | 1869 | GTEx | DepMap | Descartes | 0.16 | 88.74 |
COL1A1 | 0.0000500 | 4130 | GTEx | DepMap | Descartes | 1.40 | 948.32 |