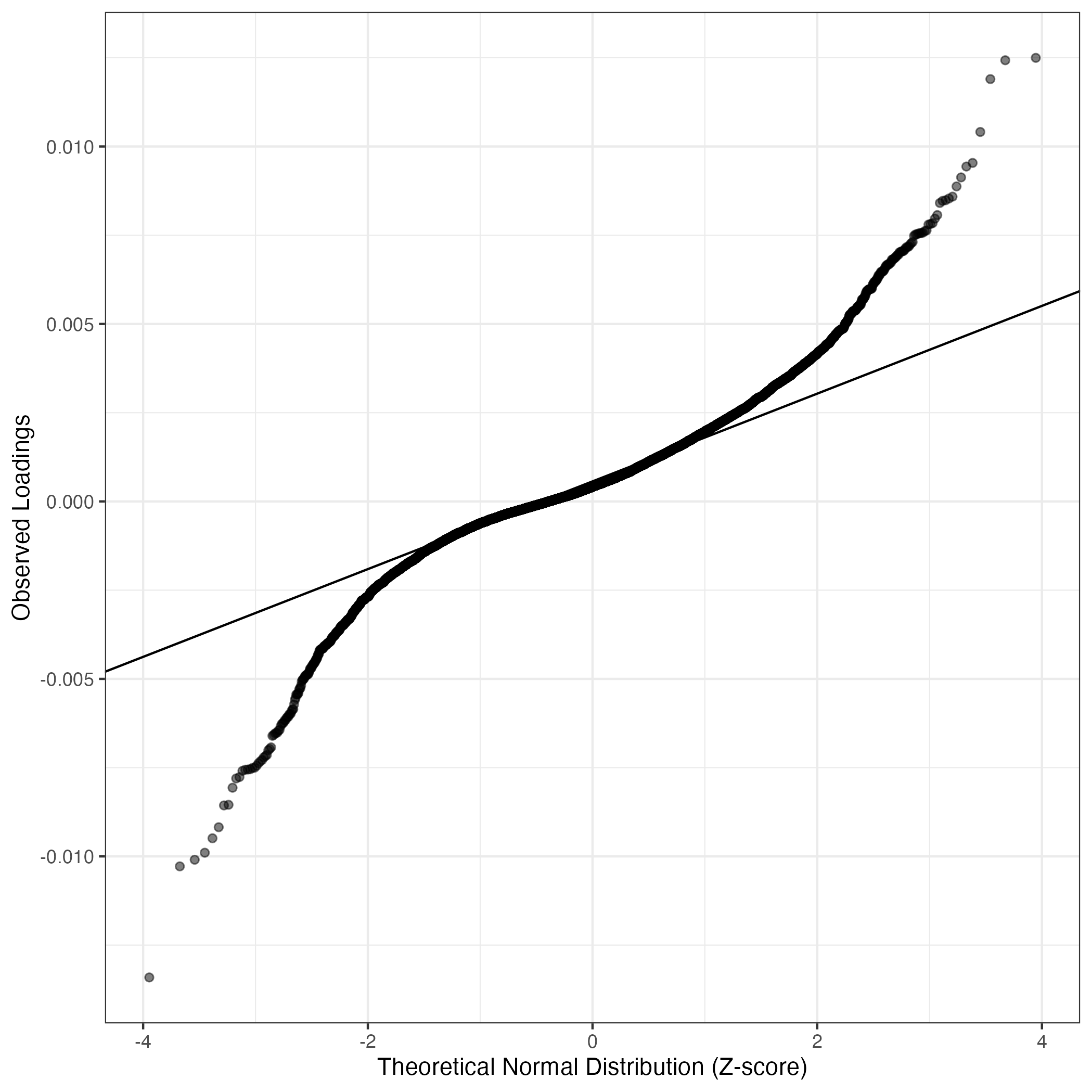
QQ-plot of gene loadings, averaged over both independent splits of the data
This plot highlights the relative contribution of each gene to the GEP
Top genes driving this program.
Note: Decartes website is buggy, try refreshing. Also, Decartes fetal adrenal data have been collected at specific time points (89-122 days), all possible cell types of interest may not be represented, do not overinterpret.
The Mean Count column shows the mean read count in cells scoring highly (H > 50) on this gene expression program.
Gene | Loading | Gene.Name | GTEx | DepMap | Descartes | Mean.Counts | Mean.Tpm | |
---|---|---|---|---|---|---|---|---|
1 | SOX4 | 0.0124964 | SRY-box transcription factor 4 | GTEx | DepMap | Descartes | 27.46 | 673.02 |
2 | KCNQ1OT1 | 0.0124291 | KCNQ1 opposite strand/antisense transcript 1 | GTEx | DepMap | Descartes | 3.93 | 6.20 |
3 | SORBS2 | 0.0118981 | sorbin and SH3 domain containing 2 | GTEx | DepMap | Descartes | 3.87 | 79.29 |
4 | TMEM132C | 0.0104092 | transmembrane protein 132C | GTEx | DepMap | Descartes | 0.80 | 22.89 |
5 | CHGA | 0.0095362 | chromogranin A | GTEx | DepMap | Descartes | 7.12 | 423.11 |
6 | NCAM1 | 0.0094346 | neural cell adhesion molecule 1 | GTEx | DepMap | Descartes | 8.23 | 156.84 |
7 | CADM1 | 0.0091287 | cell adhesion molecule 1 | GTEx | DepMap | Descartes | 8.85 | 116.04 |
8 | DPP6 | 0.0088751 | dipeptidyl peptidase like 6 | GTEx | DepMap | Descartes | 2.37 | 60.38 |
9 | CCND1 | 0.0085867 | cyclin D1 | GTEx | DepMap | Descartes | 18.55 | 536.93 |
10 | GTF2I | 0.0085335 | general transcription factor IIi | GTEx | DepMap | Descartes | 7.81 | 195.30 |
11 | SYT11 | 0.0084854 | synaptotagmin 11 | GTEx | DepMap | Descartes | 3.52 | 80.47 |
12 | SPOCK1 | 0.0084674 | SPARC (osteonectin), cwcv and kazal like domains proteoglycan 1 | GTEx | DepMap | Descartes | 3.90 | 90.69 |
13 | LUC7L3 | 0.0084080 | LUC7 like 3 pre-mRNA splicing factor | GTEx | DepMap | Descartes | 9.64 | 174.01 |
14 | CDKN1C | 0.0080672 | cyclin dependent kinase inhibitor 1C | GTEx | DepMap | Descartes | 2.90 | 209.79 |
15 | ANO6 | 0.0079670 | anoctamin 6 | GTEx | DepMap | Descartes | 1.25 | 26.21 |
16 | SLC4A8 | 0.0078406 | solute carrier family 4 member 8 | GTEx | DepMap | Descartes | 1.68 | 18.52 |
17 | PIWIL2 | 0.0078159 | piwi like RNA-mediated gene silencing 2 | GTEx | DepMap | Descartes | 0.20 | 5.38 |
18 | KCNQ2 | 0.0078004 | potassium voltage-gated channel subfamily Q member 2 | GTEx | DepMap | Descartes | 2.09 | 28.88 |
19 | MALAT1 | 0.0076342 | metastasis associated lung adenocarcinoma transcript 1 | GTEx | DepMap | Descartes | 440.06 | 7289.14 |
20 | SYT2 | 0.0076157 | synaptotagmin 2 | GTEx | DepMap | Descartes | 0.45 | 7.06 |
21 | HNRNPU | 0.0075719 | heterogeneous nuclear ribonucleoprotein U | GTEx | DepMap | Descartes | 6.30 | 57.62 |
22 | USP22 | 0.0075675 | ubiquitin specific peptidase 22 | GTEx | DepMap | Descartes | 3.78 | 85.23 |
23 | CACNA2D3 | 0.0075544 | calcium voltage-gated channel auxiliary subunit alpha2delta 3 | GTEx | DepMap | Descartes | 0.96 | 34.32 |
24 | TCF4 | 0.0075454 | transcription factor 4 | GTEx | DepMap | Descartes | 6.30 | 88.55 |
25 | ARID1B | 0.0075258 | AT-rich interaction domain 1B | GTEx | DepMap | Descartes | 2.28 | 25.85 |
26 | NOS1AP | 0.0075190 | nitric oxide synthase 1 adaptor protein | GTEx | DepMap | Descartes | 1.00 | 23.32 |
27 | PNISR | 0.0074795 | PNN interacting serine and arginine rich protein | GTEx | DepMap | Descartes | 8.03 | 185.62 |
28 | ZBTB20 | 0.0073074 | zinc finger and BTB domain containing 20 | GTEx | DepMap | Descartes | 3.52 | 15.74 |
29 | RGMB | 0.0072795 | repulsive guidance molecule BMP co-receptor b | GTEx | DepMap | Descartes | 1.53 | 39.05 |
30 | SNRNP200 | 0.0072408 | small nuclear ribonucleoprotein U5 subunit 200 | GTEx | DepMap | Descartes | 3.03 | 49.53 |
31 | MDK | 0.0071874 | midkine | GTEx | DepMap | Descartes | 18.11 | 1594.81 |
32 | CHGB | 0.0071659 | chromogranin B | GTEx | DepMap | Descartes | 9.44 | 579.96 |
33 | DST | 0.0071645 | dystonin | GTEx | DepMap | Descartes | 5.06 | 28.44 |
34 | SYT1 | 0.0071313 | synaptotagmin 1 | GTEx | DepMap | Descartes | 6.70 | 184.57 |
35 | ENAH | 0.0070849 | ENAH actin regulator | GTEx | DepMap | Descartes | 3.07 | 26.48 |
36 | ZFHX3 | 0.0070541 | zinc finger homeobox 3 | GTEx | DepMap | Descartes | 8.46 | 56.56 |
37 | DDX17 | 0.0070468 | DEAD-box helicase 17 | GTEx | DepMap | Descartes | 4.90 | 95.61 |
38 | DLC1 | 0.0070435 | DLC1 Rho GTPase activating protein | GTEx | DepMap | Descartes | 3.23 | 57.12 |
39 | VPS13C | 0.0070253 | vacuolar protein sorting 13 homolog C | GTEx | DepMap | Descartes | 1.62 | 15.01 |
40 | SRRM2 | 0.0070166 | serine/arginine repetitive matrix 2 | GTEx | DepMap | Descartes | 5.75 | 77.59 |
41 | CXXC5 | 0.0069539 | CXXC finger protein 5 | GTEx | DepMap | Descartes | 2.22 | 100.05 |
42 | SLC38A2 | 0.0069505 | solute carrier family 38 member 2 | GTEx | DepMap | Descartes | 2.08 | 56.15 |
43 | CDK6 | 0.0069213 | cyclin dependent kinase 6 | GTEx | DepMap | Descartes | 4.50 | 44.40 |
44 | PKD1 | 0.0068859 | polycystin 1, transient receptor potential channel interacting | GTEx | DepMap | Descartes | 0.98 | 9.11 |
45 | ADCY1 | 0.0068654 | adenylate cyclase 1 | GTEx | DepMap | Descartes | 0.92 | 9.30 |
46 | EML5 | 0.0068478 | EMAP like 5 | GTEx | DepMap | Descartes | 1.39 | 18.41 |
47 | PCDH9 | 0.0068217 | protocadherin 9 | GTEx | DepMap | Descartes | 2.69 | 10.63 |
48 | FOXO3 | 0.0068165 | forkhead box O3 | GTEx | DepMap | Descartes | 3.29 | 52.65 |
49 | DYNC1H1 | 0.0068095 | dynein cytoplasmic 1 heavy chain 1 | GTEx | DepMap | Descartes | 4.13 | 24.74 |
50 | KLF13 | 0.0067320 | Kruppel like factor 13 | GTEx | DepMap | Descartes | 1.76 | 34.43 |
UMAP plots showing activity of gene expression program identified in GEP 40. Cell Cycle (G1):
CNV Data procured from inferCNV.
Outer tracks are putative CNV regions (gains = red, losses = blue) for each patient
Inner track is expression data representing:
The top cells expressing this GEP (purple)
Random cells (n =50) from the reference set used in inferCNV (orange)
Gene set Enrichments for this program, caculated from top 50 genes
mSigDB Cell Types Gene Set:
P-value | OR | Lower 95% CI | FDR | FWER | Genes Found | Gene Set Size | |
---|---|---|---|---|---|---|---|
DURANTE_ADULT_OLFACTORY_NEUROEPITHELIUM_IMMATURE_NEURONS | 3.00e-09 | 21.09 | 8.83 | 2.01e-06 | 2.01e-06 | 9KCNQ1OT1, NCAM1, CADM1, GTF2I, SYT11, SPOCK1, RGMB, SYT1, PCDH9 |
139 |
BUSSLINGER_GASTRIC_PREZYMOGENIC_CELLS | 3.70e-06 | 25.20 | 7.53 | 8.28e-04 | 2.48e-03 | 5SOX4, CDKN1C, RGMB, ENAH, SRRM2 |
60 |
FAN_OVARY_CL3_MATURE_CUMULUS_GRANULOSA_CELL_1 | 4.05e-08 | 12.80 | 5.64 | 1.36e-05 | 2.72e-05 | 10SOX4, KCNQ1OT1, GTF2I, LUC7L3, MALAT1, MDK, DST, ENAH, DDX17, EML5 |
254 |
MENON_FETAL_KIDNEY_3_STROMAL_CELLS | 1.62e-05 | 18.27 | 5.51 | 1.93e-03 | 1.09e-02 | 5SOX4, KCNQ1OT1, NCAM1, MDK, DST |
81 |
MENON_FETAL_KIDNEY_0_CAP_MESENCHYME_CELLS | 2.69e-05 | 16.33 | 4.94 | 2.26e-03 | 1.81e-02 | 5SOX4, NCAM1, LUC7L3, MDK, ENAH |
90 |
FAN_EMBRYONIC_CTX_EX_2_EXCITATORY_NEURON | 1.80e-03 | 37.11 | 3.99 | 3.15e-02 | 1.00e+00 | 2ZBTB20, MDK |
16 |
DESCARTES_FETAL_STOMACH_ENS_NEURONS | 2.04e-04 | 15.52 | 3.95 | 8.34e-03 | 1.37e-01 | 4DPP6, SPOCK1, SYT1, EML5 |
74 |
LAKE_ADULT_KIDNEY_C2_PODOCYTES | 1.72e-05 | 9.93 | 3.72 | 1.93e-03 | 1.16e-02 | 7KCNQ1OT1, DPP6, SPOCK1, LUC7L3, CDKN1C, DST, CDK6 |
212 |
AIZARANI_LIVER_C7_EPCAM_POS_BILE_DUCT_CELLS_2 | 2.12e-05 | 9.60 | 3.60 | 2.03e-03 | 1.42e-02 | 7SOX4, SORBS2, CCND1, GTF2I, CDKN1C, ZBTB20, ENAH |
219 |
AIZARANI_LIVER_C33_STELLATE_CELLS_2 | 1.33e-04 | 11.47 | 3.49 | 6.49e-03 | 8.91e-02 | 5LUC7L3, DST, ENAH, ZFHX3, DLC1 |
126 |
TRAVAGLINI_LUNG_NEUROENDOCRINE_CELL | 1.43e-04 | 11.29 | 3.44 | 6.49e-03 | 9.59e-02 | 5NCAM1, TCF4, NOS1AP, CHGB, SYT1 |
128 |
BUSSLINGER_GASTRIC_OXYNTIC_ENTEROCHROMAFFIN_LIKE_CELLS | 3.47e-04 | 13.41 | 3.43 | 1.11e-02 | 2.33e-01 | 4SOX4, CHGA, DPP6, CHGB |
85 |
LAKE_ADULT_KIDNEY_C26_MESANGIAL_CELLS | 6.36e-05 | 9.97 | 3.42 | 4.13e-03 | 4.27e-02 | 6SPOCK1, TCF4, DST, DLC1, SLC38A2, PCDH9 |
177 |
CUI_DEVELOPING_HEART_TRABECULAR_ATRIAL_CARDIOMYOCYTE | 6.77e-05 | 9.85 | 3.39 | 4.13e-03 | 4.54e-02 | 6NCAM1, LUC7L3, MALAT1, MDK, DST, DDX17 |
179 |
AIZARANI_LIVER_C24_EPCAM_POS_BILE_DUCT_CELLS_3 | 8.10e-05 | 9.52 | 3.27 | 4.53e-03 | 5.44e-02 | 6SOX4, SORBS2, CCND1, GTF2I, CDKN1C, ENAH |
185 |
MANNO_MIDBRAIN_NEUROTYPES_HSERT | 6.63e-06 | 7.10 | 3.15 | 1.11e-03 | 4.45e-03 | 10CHGA, NCAM1, CADM1, SPOCK1, SLC4A8, CHGB, SYT1, ZFHX3, ADCY1, PCDH9 |
450 |
ZHENG_CORD_BLOOD_C4_PUTATIVE_EARLY_ERYTHROID_COMMITMENT | 5.72e-04 | 11.68 | 2.99 | 1.53e-02 | 3.84e-01 | 4ZBTB20, SLC38A2, CDK6, FOXO3 |
97 |
ZHENG_CORD_BLOOD_C10_MULTILYMPHOID_PROGENITOR | 5.72e-04 | 11.68 | 2.99 | 1.53e-02 | 3.84e-01 | 4LUC7L3, MALAT1, DDX17, CXXC5 |
97 |
BUSSLINGER_GASTRIC_G_CELLS | 5.94e-04 | 11.56 | 2.96 | 1.53e-02 | 3.99e-01 | 4SORBS2, MDK, CHGB, DST |
98 |
MENON_FETAL_KIDNEY_4_PODOCYTES | 1.45e-04 | 8.52 | 2.93 | 6.49e-03 | 9.73e-02 | 6LUC7L3, CDKN1C, MALAT1, DST, DDX17, SRRM2 |
206 |
Dowload full table
mSigDB Hallmark Gene Sets:
P-value | OR | Lower 95% CI | FDR | FWER | Genes Found | Gene Set Size | |
---|---|---|---|---|---|---|---|
HALLMARK_ANDROGEN_RESPONSE | 7.18e-03 | 8.22 | 1.61 | 3.59e-01 | 3.59e-01 | 3CCND1, SLC38A2, CDK6 |
100 |
HALLMARK_MITOTIC_SPINDLE | 4.30e-02 | 4.07 | 0.80 | 5.44e-01 | 1.00e+00 | 3SORBS2, DST, DYNC1H1 |
199 |
HALLMARK_ESTROGEN_RESPONSE_EARLY | 4.35e-02 | 4.05 | 0.80 | 5.44e-01 | 1.00e+00 | 3CCND1, DLC1, ADCY1 |
200 |
HALLMARK_EPITHELIAL_MESENCHYMAL_TRANSITION | 4.35e-02 | 4.05 | 0.80 | 5.44e-01 | 1.00e+00 | 3CADM1, SPOCK1, DST |
200 |
HALLMARK_UV_RESPONSE_UP | 1.28e-01 | 3.34 | 0.39 | 6.91e-01 | 1.00e+00 | 2CDKN1C, HNRNPU |
158 |
HALLMARK_IL2_STAT5_SIGNALING | 1.83e-01 | 2.64 | 0.31 | 6.91e-01 | 1.00e+00 | 2SYT11, CDKN1C |
199 |
HALLMARK_HYPOXIA | 1.85e-01 | 2.63 | 0.31 | 6.91e-01 | 1.00e+00 | 2CDKN1C, FOXO3 |
200 |
HALLMARK_G2M_CHECKPOINT | 1.85e-01 | 2.63 | 0.31 | 6.91e-01 | 1.00e+00 | 2CCND1, HNRNPU |
200 |
HALLMARK_ESTROGEN_RESPONSE_LATE | 1.85e-01 | 2.63 | 0.31 | 6.91e-01 | 1.00e+00 | 2CCND1, MDK |
200 |
HALLMARK_APICAL_JUNCTION | 1.85e-01 | 2.63 | 0.31 | 6.91e-01 | 1.00e+00 | 2MDK, PKD1 |
200 |
HALLMARK_NOTCH_SIGNALING | 1.20e-01 | 8.23 | 0.20 | 6.91e-01 | 1.00e+00 | 1CCND1 |
32 |
HALLMARK_HEDGEHOG_SIGNALING | 1.34e-01 | 7.29 | 0.18 | 6.91e-01 | 1.00e+00 | 1CDK6 |
36 |
HALLMARK_PANCREAS_BETA_CELLS | 1.47e-01 | 6.54 | 0.16 | 6.91e-01 | 1.00e+00 | 1CHGA |
40 |
HALLMARK_TGF_BETA_SIGNALING | 1.94e-01 | 4.81 | 0.12 | 6.91e-01 | 1.00e+00 | 1CDKN1C |
54 |
HALLMARK_PROTEIN_SECRETION | 3.17e-01 | 2.68 | 0.07 | 1.00e+00 | 1.00e+00 | 1DST |
96 |
HALLMARK_PEROXISOME | 3.39e-01 | 2.48 | 0.06 | 1.00e+00 | 1.00e+00 | 1CADM1 |
104 |
HALLMARK_UV_RESPONSE_DN | 4.35e-01 | 1.78 | 0.04 | 1.00e+00 | 1.00e+00 | 1DLC1 |
144 |
HALLMARK_APOPTOSIS | 4.72e-01 | 1.59 | 0.04 | 1.00e+00 | 1.00e+00 | 1CCND1 |
161 |
HALLMARK_TNFA_SIGNALING_VIA_NFKB | 5.47e-01 | 1.28 | 0.03 | 1.00e+00 | 1.00e+00 | 1CCND1 |
200 |
HALLMARK_MYOGENESIS | 5.47e-01 | 1.28 | 0.03 | 1.00e+00 | 1.00e+00 | 1NCAM1 |
200 |
Dowload full table
KEGG Pathways:
P-value | OR | Lower 95% CI | FDR | FWER | Genes Found | Gene Set Size | |
---|---|---|---|---|---|---|---|
KEGG_NON_SMALL_CELL_LUNG_CANCER | 1.26e-03 | 15.63 | 3.02 | 2.35e-01 | 2.35e-01 | 3CCND1, CDK6, FOXO3 |
54 |
KEGG_CELL_CYCLE | 1.31e-02 | 6.54 | 1.28 | 7.86e-01 | 1.00e+00 | 3CCND1, CDKN1C, CDK6 |
125 |
KEGG_ENDOMETRIAL_CANCER | 1.80e-02 | 10.41 | 1.19 | 7.86e-01 | 1.00e+00 | 2CCND1, FOXO3 |
52 |
KEGG_GLIOMA | 2.73e-02 | 8.26 | 0.95 | 7.86e-01 | 1.00e+00 | 2CCND1, CDK6 |
65 |
KEGG_P53_SIGNALING_PATHWAY | 2.97e-02 | 7.89 | 0.91 | 7.86e-01 | 1.00e+00 | 2CCND1, CDK6 |
68 |
KEGG_PANCREATIC_CANCER | 3.13e-02 | 7.66 | 0.88 | 7.86e-01 | 1.00e+00 | 2CCND1, CDK6 |
70 |
KEGG_MELANOMA | 3.21e-02 | 7.55 | 0.87 | 7.86e-01 | 1.00e+00 | 2CCND1, CDK6 |
71 |
KEGG_CHRONIC_MYELOID_LEUKEMIA | 3.38e-02 | 7.33 | 0.85 | 7.86e-01 | 1.00e+00 | 2CCND1, CDK6 |
73 |
KEGG_SMALL_CELL_LUNG_CANCER | 4.36e-02 | 6.35 | 0.74 | 9.00e-01 | 1.00e+00 | 2CCND1, CDK6 |
84 |
KEGG_DILATED_CARDIOMYOPATHY | 4.93e-02 | 5.92 | 0.69 | 9.16e-01 | 1.00e+00 | 2CACNA2D3, ADCY1 |
90 |
KEGG_SPLICEOSOME | 8.94e-02 | 4.17 | 0.49 | 1.00e+00 | 1.00e+00 | 2HNRNPU, SNRNP200 |
127 |
KEGG_CELL_ADHESION_MOLECULES_CAMS | 9.66e-02 | 3.98 | 0.46 | 1.00e+00 | 1.00e+00 | 2NCAM1, CADM1 |
133 |
KEGG_CHEMOKINE_SIGNALING_PATHWAY | 1.70e-01 | 2.79 | 0.33 | 1.00e+00 | 1.00e+00 | 2ADCY1, FOXO3 |
189 |
KEGG_DORSO_VENTRAL_AXIS_FORMATION | 9.13e-02 | 11.08 | 0.26 | 1.00e+00 | 1.00e+00 | 1PIWIL2 |
24 |
KEGG_THYROID_CANCER | 1.09e-01 | 9.11 | 0.22 | 1.00e+00 | 1.00e+00 | 1CCND1 |
29 |
KEGG_PATHWAYS_IN_CANCER | 3.61e-01 | 1.61 | 0.19 | 1.00e+00 | 1.00e+00 | 2CCND1, CDK6 |
325 |
KEGG_BASAL_TRANSCRIPTION_FACTORS | 1.30e-01 | 7.50 | 0.18 | 1.00e+00 | 1.00e+00 | 1GTF2I |
35 |
KEGG_PRION_DISEASES | 1.30e-01 | 7.50 | 0.18 | 1.00e+00 | 1.00e+00 | 1NCAM1 |
35 |
KEGG_BLADDER_CANCER | 1.54e-01 | 6.22 | 0.15 | 1.00e+00 | 1.00e+00 | 1CCND1 |
42 |
KEGG_VASOPRESSIN_REGULATED_WATER_REABSORPTION | 1.61e-01 | 5.93 | 0.14 | 1.00e+00 | 1.00e+00 | 1DYNC1H1 |
44 |
Dowload full table
CHR Positional Gene Sets:
P-value | OR | Lower 95% CI | FDR | FWER | Genes Found | Gene Set Size | |
---|---|---|---|---|---|---|---|
chr11q23 | 1.92e-01 | 2.57 | 0.30 | 1.00e+00 | 1.00e+00 | 2NCAM1, CADM1 |
205 |
chr5q31 | 3.08e-01 | 1.83 | 0.21 | 1.00e+00 | 1.00e+00 | 2SPOCK1, CXXC5 |
287 |
chr12q13 | 6.71e-01 | 1.29 | 0.15 | 1.00e+00 | 1.00e+00 | 2SLC4A8, SLC38A2 |
407 |
chr16p13 | 6.71e-01 | 1.29 | 0.15 | 1.00e+00 | 1.00e+00 | 2SRRM2, PKD1 |
407 |
chr11q13 | 6.78e-01 | 1.24 | 0.15 | 1.00e+00 | 1.00e+00 | 2CCND1, MALAT1 |
421 |
chr8p22 | 1.64e-01 | 5.80 | 0.14 | 1.00e+00 | 1.00e+00 | 1DLC1 |
45 |
chr6q16 | 1.87e-01 | 5.00 | 0.12 | 1.00e+00 | 1.00e+00 | 1PNISR |
52 |
chr14q31 | 2.00e-01 | 4.64 | 0.11 | 1.00e+00 | 1.00e+00 | 1EML5 |
56 |
chr14q32 | 1.00e+00 | 0.96 | 0.11 | 1.00e+00 | 1.00e+00 | 2CHGA, DYNC1H1 |
546 |
chr12q12 | 2.06e-01 | 4.47 | 0.11 | 1.00e+00 | 1.00e+00 | 1ANO6 |
58 |
chr7p12 | 2.06e-01 | 4.47 | 0.11 | 1.00e+00 | 1.00e+00 | 1ADCY1 |
58 |
chr5q15 | 2.13e-01 | 4.32 | 0.11 | 1.00e+00 | 1.00e+00 | 1RGMB |
60 |
chr1q22 | 2.43e-01 | 3.70 | 0.09 | 1.00e+00 | 1.00e+00 | 1SYT11 |
70 |
chr15q13 | 2.93e-01 | 2.97 | 0.07 | 1.00e+00 | 1.00e+00 | 1KLF13 |
87 |
chr20p12 | 3.39e-01 | 2.48 | 0.06 | 1.00e+00 | 1.00e+00 | 1CHGB |
104 |
chr4q35 | 3.41e-01 | 2.45 | 0.06 | 1.00e+00 | 1.00e+00 | 1SORBS2 |
105 |
chr6q21 | 3.72e-01 | 2.20 | 0.05 | 1.00e+00 | 1.00e+00 | 1FOXO3 |
117 |
chr15q22 | 3.89e-01 | 2.07 | 0.05 | 1.00e+00 | 1.00e+00 | 1VPS13C |
124 |
chr12q21 | 3.99e-01 | 2.01 | 0.05 | 1.00e+00 | 1.00e+00 | 1SYT1 |
128 |
chr8p21 | 3.99e-01 | 2.01 | 0.05 | 1.00e+00 | 1.00e+00 | 1PIWIL2 |
128 |
Dowload full table
Transcription Factor Targets:
P-value | OR | Lower 95% CI | FDR | FWER | Genes Found | Gene Set Size | |
---|---|---|---|---|---|---|---|
KCCGNSWTTT_UNKNOWN | 6.43e-05 | 13.47 | 4.09 | 1.93e-02 | 7.29e-02 | 5NCAM1, SYT11, DDX17, CXXC5, FOXO3 |
108 |
POU6F1_01 | 3.77e-05 | 8.73 | 3.28 | 1.93e-02 | 4.27e-02 | 7SOX4, NCAM1, CADM1, CACNA2D3, ZBTB20, ZFHX3, CXXC5 |
240 |
AHRARNT_01 | 2.31e-04 | 10.13 | 3.09 | 5.09e-02 | 2.62e-01 | 5SOX4, LUC7L3, ZBTB20, SRRM2, CDK6 |
142 |
PITX2_Q2 | 6.82e-05 | 7.92 | 2.98 | 1.93e-02 | 7.73e-02 | 7SOX4, SORBS2, LUC7L3, CACNA2D3, DST, DDX17, DLC1 |
264 |
PAX6_01 | 6.90e-04 | 11.09 | 2.84 | 6.01e-02 | 7.82e-01 | 4SOX4, LUC7L3, TCF4, ZBTB20 |
102 |
CDP_02 | 9.45e-04 | 10.15 | 2.61 | 7.14e-02 | 1.00e+00 | 4CADM1, CACNA2D3, TCF4, SYT1 |
111 |
BCL6B_TARGET_GENES | 4.97e-04 | 8.52 | 2.61 | 5.32e-02 | 5.63e-01 | 5GTF2I, PIWIL2, KCNQ2, TCF4, ARID1B |
168 |
PAX4_02 | 3.34e-04 | 7.25 | 2.50 | 5.09e-02 | 3.78e-01 | 6SOX4, CACNA2D3, TCF4, DDX17, CXXC5, KLF13 |
241 |
PTF1BETA_Q6 | 3.72e-04 | 7.10 | 2.45 | 5.09e-02 | 4.21e-01 | 6SOX4, ZBTB20, DDX17, CDK6, FOXO3, KLF13 |
246 |
FOXO1_01 | 3.88e-04 | 7.04 | 2.43 | 5.09e-02 | 4.40e-01 | 6CCND1, LUC7L3, CDKN1C, DDX17, CXXC5, SLC38A2 |
248 |
E2F1_Q3_01 | 4.05e-04 | 6.99 | 2.41 | 5.09e-02 | 4.58e-01 | 6NCAM1, CADM1, CDKN1C, CDK6, FOXO3, KLF13 |
250 |
RTAAACA_FREAC2_01 | 2.59e-05 | 4.75 | 2.31 | 1.93e-02 | 2.94e-02 | 13CADM1, CCND1, LUC7L3, CDKN1C, TCF4, MDK, DST, DDX17, DLC1, CXXC5, SLC38A2, PCDH9, FOXO3 |
938 |
TEF_Q6 | 5.16e-04 | 6.66 | 2.30 | 5.32e-02 | 5.85e-01 | 6SOX4, CADM1, CCND1, LUC7L3, ZFHX3, DDX17 |
262 |
HTF_01 | 2.77e-03 | 11.73 | 2.28 | 9.82e-02 | 1.00e+00 | 3CCND1, SYT11, ZFHX3 |
71 |
YWATTWNNRGCT_UNKNOWN | 2.77e-03 | 11.73 | 2.28 | 9.82e-02 | 1.00e+00 | 3CACNA2D3, ZFHX3, DDX17 |
71 |
ZSCAN5C_TARGET_GENES | 2.63e-03 | 7.60 | 1.96 | 9.82e-02 | 1.00e+00 | 4MALAT1, ENAH, DLC1, SLC38A2 |
147 |
PAX4_04 | 1.73e-03 | 6.37 | 1.95 | 9.82e-02 | 1.00e+00 | 5SOX4, LUC7L3, TCF4, ZBTB20, ZFHX3 |
223 |
NKX61_01 | 2.17e-03 | 6.04 | 1.85 | 9.82e-02 | 1.00e+00 | 5SOX4, CADM1, TCF4, ZBTB20, DDX17 |
235 |
OCT1_03 | 2.21e-03 | 6.01 | 1.85 | 9.82e-02 | 1.00e+00 | 5CACNA2D3, TCF4, DDX17, DLC1, FOXO3 |
236 |
CEBP_Q2 | 2.29e-03 | 5.96 | 1.83 | 9.82e-02 | 1.00e+00 | 5CADM1, CDKN1C, TCF4, ZBTB20, SLC38A2 |
238 |
Dowload full table
GO Biological Processes:
P-value | OR | Lower 95% CI | FDR | FWER | Genes Found | Gene Set Size | |
---|---|---|---|---|---|---|---|
GOBP_POSITIVE_REGULATION_OF_SYNAPTIC_VESICLE_EXOCYTOSIS | 3.22e-04 | 103.49 | 9.64 | 2.87e-01 | 1.00e+00 | 2SLC4A8, SYT1 |
7 |
GOBP_REGULATION_OF_METAPHASE_PLATE_CONGRESSION | 4.28e-04 | 86.37 | 8.33 | 3.08e-01 | 1.00e+00 | 2HNRNPU, DYNC1H1 |
8 |
GOBP_CATECHOLAMINE_SECRETION | 5.56e-05 | 22.15 | 5.58 | 2.87e-01 | 4.16e-01 | 4CHGA, SYT11, SYT2, SYT1 |
53 |
GOBP_DOPAMINE_SECRETION | 2.96e-04 | 26.56 | 5.01 | 2.87e-01 | 1.00e+00 | 3SYT11, SYT2, SYT1 |
33 |
GOBP_NEGATIVE_REGULATION_OF_CATECHOLAMINE_SECRETION | 1.18e-03 | 47.19 | 4.96 | 3.67e-01 | 1.00e+00 | 2CHGA, SYT11 |
13 |
GOBP_REGULATION_OF_SPINDLE_ORGANIZATION | 4.87e-04 | 22.12 | 4.22 | 3.08e-01 | 1.00e+00 | 3HNRNPU, PKD1, DYNC1H1 |
39 |
GOBP_REGULATION_OF_CALCIUM_ION_DEPENDENT_EXOCYTOSIS | 5.65e-04 | 20.97 | 4.00 | 3.08e-01 | 1.00e+00 | 3SYT11, SYT2, SYT1 |
41 |
GOBP_REGULATION_OF_MEMBRANE_INVAGINATION | 1.80e-03 | 37.11 | 3.99 | 4.60e-01 | 1.00e+00 | 2SYT11, ANO6 |
16 |
GOBP_POSITIVE_REGULATION_OF_NEUROTRANSMITTER_SECRETION | 2.03e-03 | 34.68 | 3.75 | 4.60e-01 | 1.00e+00 | 2SLC4A8, SYT1 |
17 |
GOBP_CALCIUM_ION_REGULATED_EXOCYTOSIS_OF_NEUROTRANSMITTER | 2.03e-03 | 34.68 | 3.75 | 4.60e-01 | 1.00e+00 | 2SYT2, SYT1 |
17 |
GOBP_MONOAMINE_TRANSPORT | 2.63e-04 | 14.48 | 3.69 | 2.87e-01 | 1.00e+00 | 4CHGA, SYT11, SYT2, SYT1 |
79 |
GOBP_CELLULAR_RESPONSE_TO_CALCIUM_ION | 2.89e-04 | 14.11 | 3.60 | 2.87e-01 | 1.00e+00 | 4SYT11, SYT2, SYT1, ADCY1 |
81 |
GOBP_DOPAMINE_TRANSPORT | 8.44e-04 | 18.11 | 3.48 | 3.16e-01 | 1.00e+00 | 3SYT11, SYT2, SYT1 |
47 |
GOBP_REGULATION_OF_ERYTHROCYTE_DIFFERENTIATION | 8.44e-04 | 18.11 | 3.48 | 3.16e-01 | 1.00e+00 | 3CDK6, FOXO3, KLF13 |
47 |
GOBP_REGULATION_OF_REGULATED_SECRETORY_PATHWAY | 1.89e-04 | 10.60 | 3.23 | 2.87e-01 | 1.00e+00 | 5SYT11, SLC4A8, SYT2, SYT1, ADCY1 |
136 |
GOBP_AMINE_TRANSPORT | 5.08e-04 | 12.07 | 3.09 | 3.08e-01 | 1.00e+00 | 4CHGA, SYT11, SYT2, SYT1 |
94 |
GOBP_RESPONSE_TO_CALCIUM_ION | 2.46e-04 | 9.99 | 3.05 | 2.87e-01 | 1.00e+00 | 5CCND1, SYT11, SYT2, SYT1, ADCY1 |
144 |
GOBP_RETROGRADE_AXONAL_TRANSPORT | 3.10e-03 | 27.37 | 3.01 | 6.11e-01 | 1.00e+00 | 2DST, DYNC1H1 |
21 |
GOBP_REGULATION_OF_SYNAPTIC_VESICLE_EXOCYTOSIS | 1.33e-03 | 15.33 | 2.96 | 3.78e-01 | 1.00e+00 | 3SLC4A8, SYT1, ADCY1 |
55 |
GOBP_REGULATION_OF_NEUROTRANSMITTER_TRANSPORT | 6.17e-04 | 11.44 | 2.93 | 3.08e-01 | 1.00e+00 | 4SYT11, SLC4A8, SYT1, ADCY1 |
99 |
Dowload full table
Immunological Gene Sets:
P-value | OR | Lower 95% CI | FDR | FWER | Genes Found | Gene Set Size | |
---|---|---|---|---|---|---|---|
GSE11057_PBMC_VS_MEM_CD4_TCELL_UP | 1.01e-03 | 7.23 | 2.22 | 5.84e-01 | 1.00e+00 | 5SOX4, CACNA2D3, TCF4, ZFHX3, PCDH9 |
197 |
GSE45365_CD8A_DC_VS_CD11B_DC_IFNAR_KO_MCMV_INFECTION_UP | 1.01e-03 | 7.23 | 2.22 | 5.84e-01 | 1.00e+00 | 5CHGA, NCAM1, CCND1, HNRNPU, RGMB |
197 |
GSE7831_1H_VS_4H_INFLUENZA_STIM_PDC_DN | 1.06e-03 | 7.16 | 2.19 | 5.84e-01 | 1.00e+00 | 5HNRNPU, TCF4, SRRM2, SLC38A2, PCDH9 |
199 |
KAECH_NAIVE_VS_DAY8_EFF_CD8_TCELL_UP | 1.08e-03 | 7.12 | 2.18 | 5.84e-01 | 1.00e+00 | 5TCF4, ZBTB20, CXXC5, PKD1, EML5 |
200 |
KAECH_DAY8_EFF_VS_DAY15_EFF_CD8_TCELL_DN | 1.08e-03 | 7.12 | 2.18 | 5.84e-01 | 1.00e+00 | 5CADM1, TCF4, ZBTB20, CXXC5, PKD1 |
200 |
GSE14308_TH1_VS_TH17_DN | 1.08e-03 | 7.12 | 2.18 | 5.84e-01 | 1.00e+00 | 5SOX4, MALAT1, USP22, PNISR, PKD1 |
200 |
GSE360_L_DONOVANI_VS_T_GONDII_DC_UP | 1.08e-03 | 7.12 | 2.18 | 5.84e-01 | 1.00e+00 | 5SORBS2, CCND1, SYT11, SPOCK1, SYT2 |
200 |
GSE9650_NAIVE_VS_EFF_CD8_TCELL_UP | 1.08e-03 | 7.12 | 2.18 | 5.84e-01 | 1.00e+00 | 5TCF4, ZBTB20, CXXC5, PKD1, EML5 |
200 |
GSE21546_WT_VS_SAP1A_KO_AND_ELK1_KO_DP_THYMOCYTES_DN | 1.08e-03 | 7.12 | 2.18 | 5.84e-01 | 1.00e+00 | 5TCF4, ZFHX3, CXXC5, PKD1, FOXO3 |
200 |
GSE13522_CTRL_VS_T_CRUZI_Y_STRAIN_INF_SKIN_BALBC_MOUSE_DN | 2.15e-03 | 8.05 | 2.08 | 1.00e+00 | 1.00e+00 | 4SOX4, TCF4, PKD1, EML5 |
139 |
GSE13547_2H_VS_12_H_ANTI_IGM_STIM_ZFX_KO_BCELL_UP | 4.04e-03 | 6.71 | 1.73 | 1.00e+00 | 1.00e+00 | 4SYT11, DST, DDX17, FOXO3 |
166 |
GSE15330_LYMPHOID_MULTIPOTENT_VS_MEGAKARYOCYTE_ERYTHROID_PROGENITOR_IKAROS_KO_UP | 4.04e-03 | 6.71 | 1.73 | 1.00e+00 | 1.00e+00 | 4GTF2I, ZBTB20, CXXC5, EML5 |
166 |
GSE3920_UNTREATED_VS_IFNG_TREATED_FIBROBLAST_DN | 5.26e-03 | 6.21 | 1.61 | 1.00e+00 | 1.00e+00 | 4ZBTB20, DST, VPS13C, EML5 |
179 |
GSE5099_DAY3_VS_DAY7_MCSF_TREATED_MACROPHAGE_DN | 5.68e-03 | 6.07 | 1.57 | 1.00e+00 | 1.00e+00 | 4MALAT1, ARID1B, DST, CDK6 |
183 |
GSE16450_IMMATURE_VS_MATURE_NEURON_CELL_LINE_UP | 6.95e-03 | 5.72 | 1.48 | 1.00e+00 | 1.00e+00 | 4MALAT1, ZBTB20, VPS13C, FOXO3 |
194 |
GSE21927_SPLEEN_VS_TUMOR_MONOCYTE_BALBC_DN | 6.95e-03 | 5.72 | 1.48 | 1.00e+00 | 1.00e+00 | 4TCF4, ARID1B, NOS1AP, CXXC5 |
194 |
GSE25088_CTRL_VS_IL4_STIM_MACROPHAGE_UP | 6.95e-03 | 5.72 | 1.48 | 1.00e+00 | 1.00e+00 | 4SOX4, TCF4, CXXC5, PCDH9 |
194 |
GSE29618_MONOCYTE_VS_PDC_DN | 7.32e-03 | 5.63 | 1.46 | 1.00e+00 | 1.00e+00 | 4SOX4, GTF2I, LUC7L3, TCF4 |
197 |
GSE15930_NAIVE_VS_48H_IN_VITRO_STIM_IFNAB_CD8_TCELL_UP | 7.45e-03 | 5.60 | 1.45 | 1.00e+00 | 1.00e+00 | 4SOX4, ZBTB20, ZFHX3, PKD1 |
198 |
GSE2770_TGFB_AND_IL4_ACT_VS_ACT_CD4_TCELL_6H_UP | 7.45e-03 | 5.60 | 1.45 | 1.00e+00 | 1.00e+00 | 4GTF2I, HNRNPU, DDX17, CDK6 |
198 |
Top Ranked Transcription Factors for this Gene Expression Program:
Gene Symbol | TF Rank | DNA Binding Domain | Motif Status | IUPAC PWM | GTEx | DepMap | Decartes |
---|---|---|---|---|---|---|---|
SOX4 | 1 | Yes | Known motif | Monomer or homomultimer | High-throughput in vitro | None | Also binds ssDNA loops. |
SORBS2 | 3 | No | Unlikely to be sequence specific TF | Not a DNA binding protein | No motif | None | None |
GTF2I | 10 | Yes | Known motif | Monomer or homomultimer | In vivo/Misc source | Only known motifs are from Transfac or HocoMoco - origin is uncertain | (PMID: 18326499) shows through SELEX and EMSA that this family binds DNA specifically. Transfac motifs are dubious. |
HNRNPU | 21 | No | ssDNA/RNA binding | Not a DNA binding protein | No motif | None | Binds pre-mRNA in vivo and binds both RNA and ssDNA in vitro (PMID: 1628625) |
TCF4 | 24 | Yes | Known motif | Monomer or homomultimer | High-throughput in vitro | None | None |
ARID1B | 25 | No | Unlikely to be sequence specific TF | Low specificity DNA-binding protein | No motif | None | Non-specific DNA binder (PMID: 15170388). |
ZBTB20 | 28 | Yes | Known motif | Monomer or homomultimer | High-throughput in vitro | None | None |
ZFHX3 | 36 | Yes | Known motif | Monomer or homomultimer | High-throughput in vitro | None | None |
CXXC5 | 41 | Yes | Known motif | Monomer or homomultimer | High-throughput in vitro | None | None |
FOXO3 | 48 | Yes | Known motif | Monomer or homomultimer | High-throughput in vitro | None | None |
KLF13 | 50 | Yes | Known motif | Monomer or homomultimer | High-throughput in vitro | None | None |
POU3F1 | 52 | Yes | Known motif | Monomer or homomultimer | High-throughput in vitro | None | None |
PLXNA1 | 57 | No | Unlikely to be sequence specific TF | Not a DNA binding protein | No motif | None | Protein is a semaphorin receptor that operates far upstream on the signaling cascade. |
MLXIP | 62 | Yes | Inferred motif | Obligate heteromer | High-throughput in vitro | None | None |
KMT2A | 65 | Yes | Known motif | Monomer or homomultimer | High-throughput in vitro | None | Contains 3 AT-hook domain, a CXXC domain, and a possible C2H2 domain. |
SFPQ | 68 | No | ssDNA/RNA binding | Not a DNA binding protein | No motif | None | Splicing factor - contains 2 RRM domains |
EBF1 | 69 | Yes | Known motif | Monomer or homomultimer | High-throughput in vitro | None | None |
ARID1A | 70 | No | Unlikely to be sequence specific TF | Low specificity DNA-binding protein | No motif | None | Non-specific DNA binder (PMID: 15170388). |
TEAD1 | 72 | Yes | Known motif | Monomer or homomultimer | High-throughput in vitro | None | None |
PABPN1 | 76 | No | ssDNA/RNA binding | Not a DNA binding protein | No motif | None | None |
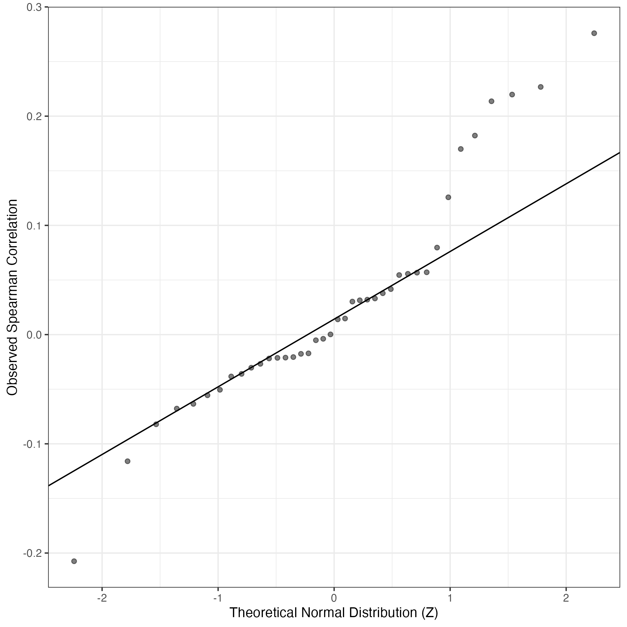
QQ Plot showing correlations with other GEPs in this dataset, calculated by Spearman correlation:
Interactive QQ-plot of gene loadings:
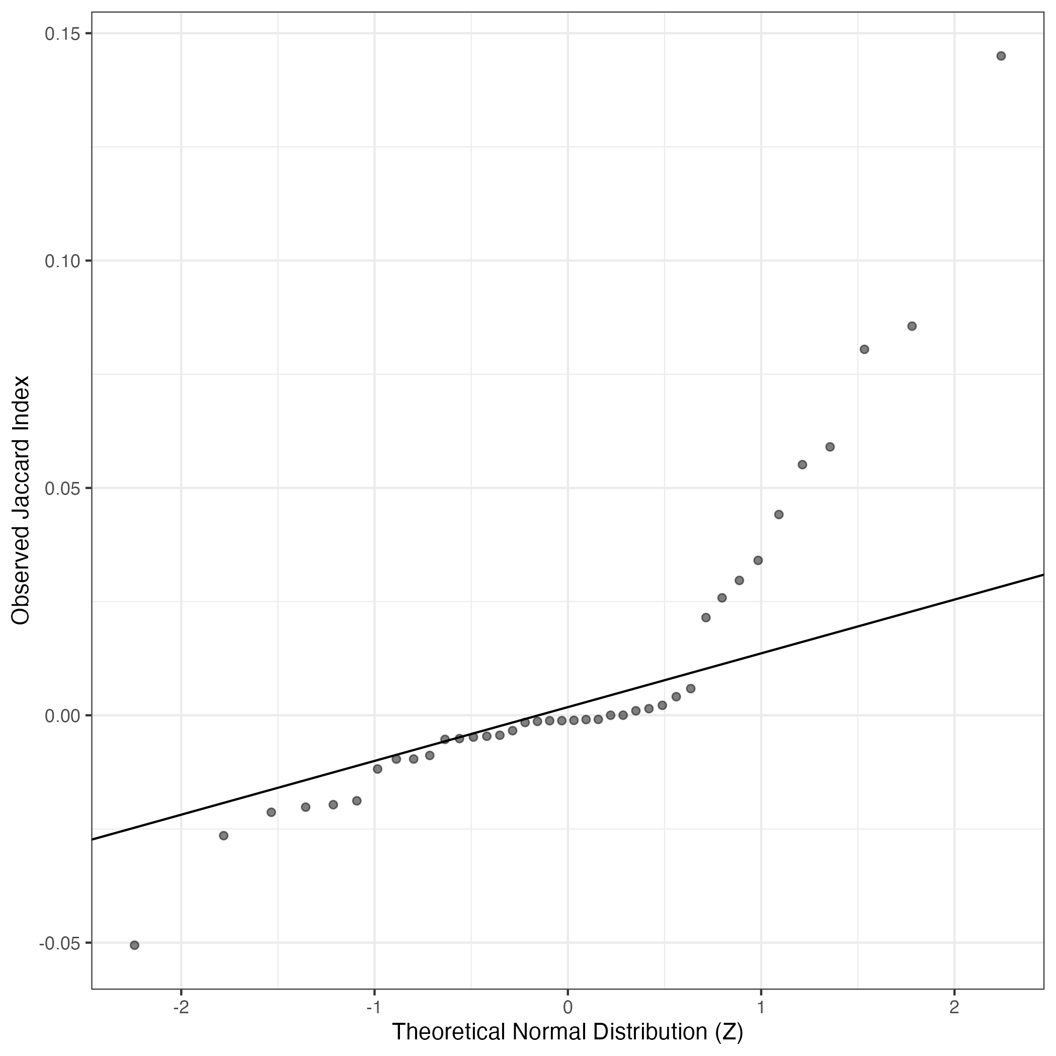
A similar QQ-plot as above, but only for instances where the H value is e.g. > 25, i.e. we are confident that the expression program is active above noise. Agreemenet between these binary vectors is tested using the Jaccard Index, with the P-values calculated by an exact test:
Interactive QQ-plot:
Singler cell type annotations for the top 50 cells on this program.
Cell ID | Singler label | Singler Delta | Activity Score | Top Singler Raw Scores |
---|---|---|---|---|
T188_GTGTCCTTCTCAAAGC-1 | Neurons:adrenal_medulla_cell_line | 0.22 | 279.18 | Raw ScoresNeurons:adrenal_medulla_cell_line: 0.41, Neuroepithelial_cell:ESC-derived: 0.36, Astrocyte:Embryonic_stem_cell-derived: 0.33, iPS_cells:PDB_1lox-21Puro-20: 0.32, iPS_cells:PDB_1lox-17Puro-10: 0.32, iPS_cells:PDB_1lox-17Puro-5: 0.32, iPS_cells:PDB_1lox-21Puro-26: 0.32, Neurons:ES_cell-derived_neural_precursor: 0.32, iPS_cells:PDB_2lox-22: 0.31, Embryonic_stem_cells: 0.31 |
T200_CTACCCAGTTTGGAAA-1 | Neurons:adrenal_medulla_cell_line | 0.15 | 273.40 | Raw ScoresNeurons:adrenal_medulla_cell_line: 0.31, Astrocyte:Embryonic_stem_cell-derived: 0.29, Neuroepithelial_cell:ESC-derived: 0.27, iPS_cells:PDB_1lox-21Puro-20: 0.24, Neurons:ES_cell-derived_neural_precursor: 0.24, iPS_cells:PDB_1lox-17Puro-5: 0.24, iPS_cells:PDB_1lox-17Puro-10: 0.24, iPS_cells:adipose_stem_cell-derived:minicircle-derived: 0.24, iPS_cells:PDB_1lox-21Puro-26: 0.23, iPS_cells:PDB_2lox-21: 0.23 |
T34_AACGTTGTCTTTAGGG.1 | Neurons:adrenal_medulla_cell_line | 0.14 | 250.56 | Raw ScoresNeurons:adrenal_medulla_cell_line: 0.32, Neuroepithelial_cell:ESC-derived: 0.24, Astrocyte:Embryonic_stem_cell-derived: 0.24, iPS_cells:CRL2097_foreskin-derived:undiff.: 0.22, iPS_cells:PDB_1lox-17Puro-5: 0.22, iPS_cells:PDB_1lox-17Puro-10: 0.22, iPS_cells:PDB_2lox-22: 0.22, iPS_cells:PDB_1lox-21Puro-20: 0.22, Embryonic_stem_cells: 0.22, iPS_cells:PDB_1lox-21Puro-26: 0.22 |
T188_TGTTCATAGGGTGAAA-1 | Neurons:adrenal_medulla_cell_line | 0.12 | 243.68 | Raw ScoresNeurons:adrenal_medulla_cell_line: 0.31, Neuroepithelial_cell:ESC-derived: 0.27, Astrocyte:Embryonic_stem_cell-derived: 0.27, Neurons:ES_cell-derived_neural_precursor: 0.25, iPS_cells:PDB_2lox-22: 0.25, iPS_cells:PDB_1lox-21Puro-20: 0.25, iPS_cells:PDB_1lox-17Puro-10: 0.25, iPS_cells:PDB_2lox-17: 0.25, iPS_cells:PDB_1lox-21Puro-26: 0.25, iPS_cells:PDB_1lox-17Puro-5: 0.25 |
T34_CGGACTGGTGCTTCTC.1 | Neurons:adrenal_medulla_cell_line | 0.18 | 210.48 | Raw ScoresNeurons:adrenal_medulla_cell_line: 0.34, Neuroepithelial_cell:ESC-derived: 0.26, Astrocyte:Embryonic_stem_cell-derived: 0.26, iPS_cells:PDB_2lox-22: 0.23, iPS_cells:CRL2097_foreskin-derived:undiff.: 0.23, iPS_cells:PDB_1lox-21Puro-20: 0.23, iPS_cells:PDB_1lox-17Puro-5: 0.23, Neurons:ES_cell-derived_neural_precursor: 0.23, iPS_cells:PDB_1lox-17Puro-10: 0.23, iPS_cells:PDB_1lox-21Puro-26: 0.23 |
T34_AGCGGTCTCTCGGACG.1 | Neurons:adrenal_medulla_cell_line | 0.17 | 208.71 | Raw ScoresNeurons:adrenal_medulla_cell_line: 0.35, Neuroepithelial_cell:ESC-derived: 0.28, Astrocyte:Embryonic_stem_cell-derived: 0.27, iPS_cells:PDB_2lox-22: 0.25, iPS_cells:PDB_1lox-17Puro-5: 0.25, iPS_cells:PDB_1lox-21Puro-20: 0.24, Tissue_stem_cells:CD326-CD56+: 0.24, iPS_cells:CRL2097_foreskin-derived:undiff.: 0.24, iPS_cells:PDB_1lox-17Puro-10: 0.24, iPS_cells:adipose_stem_cell-derived:minicircle-derived: 0.24 |
T214_GGTAACTAGGTACATA-1 | Neurons:adrenal_medulla_cell_line | 0.18 | 193.15 | Raw ScoresNeurons:adrenal_medulla_cell_line: 0.35, Neuroepithelial_cell:ESC-derived: 0.29, Neurons:ES_cell-derived_neural_precursor: 0.27, Astrocyte:Embryonic_stem_cell-derived: 0.27, iPS_cells:PDB_1lox-21Puro-20: 0.27, iPS_cells:PDB_1lox-21Puro-26: 0.27, iPS_cells:PDB_1lox-17Puro-10: 0.26, iPS_cells:PDB_2lox-22: 0.26, iPS_cells:PDB_2lox-21: 0.26, iPS_cells:PDB_2lox-17: 0.26 |
T214_CGAGTTAGTATGAAGT-1 | Neurons:adrenal_medulla_cell_line | 0.22 | 192.50 | Raw ScoresNeurons:adrenal_medulla_cell_line: 0.41, Neuroepithelial_cell:ESC-derived: 0.37, iPS_cells:PDB_1lox-21Puro-20: 0.34, iPS_cells:PDB_1lox-21Puro-26: 0.34, Neurons:ES_cell-derived_neural_precursor: 0.34, iPS_cells:PDB_1lox-17Puro-10: 0.34, iPS_cells:PDB_2lox-22: 0.34, iPS_cells:PDB_1lox-17Puro-5: 0.34, iPS_cells:PDB_2lox-17: 0.33, iPS_cells:PDB_2lox-21: 0.33 |
T200_CGGTCAGTCAACGTGT-1 | Neurons:adrenal_medulla_cell_line | 0.14 | 178.04 | Raw ScoresNeurons:adrenal_medulla_cell_line: 0.3, Astrocyte:Embryonic_stem_cell-derived: 0.27, Neuroepithelial_cell:ESC-derived: 0.27, iPS_cells:adipose_stem_cell-derived:minicircle-derived: 0.24, iPS_cells:adipose_stem_cell-derived:lentiviral: 0.24, iPS_cells:PDB_1lox-21Puro-20: 0.24, iPS_cells:PDB_2lox-17: 0.24, iPS_cells:PDB_2lox-5: 0.24, iPS_cells:PDB_2lox-22: 0.24, iPS_cells:PDB_2lox-21: 0.24 |
T188_AACACACGTCGTTGCG-1 | Neurons:adrenal_medulla_cell_line | 0.14 | 175.15 | Raw ScoresNeurons:adrenal_medulla_cell_line: 0.31, Neuroepithelial_cell:ESC-derived: 0.28, Astrocyte:Embryonic_stem_cell-derived: 0.26, iPS_cells:PDB_2lox-22: 0.25, iPS_cells:PDB_2lox-21: 0.25, iPS_cells:PDB_1lox-21Puro-20: 0.24, iPS_cells:CRL2097_foreskin-derived:undiff.: 0.24, iPS_cells:PDB_2lox-17: 0.24, iPS_cells:PDB_1lox-17Puro-5: 0.24, iPS_cells:PDB_1lox-17Puro-10: 0.24 |
T34_CCTATTAGTATAGGTA.1 | Neurons:adrenal_medulla_cell_line | 0.16 | 163.69 | Raw ScoresNeurons:adrenal_medulla_cell_line: 0.31, Neuroepithelial_cell:ESC-derived: 0.24, Astrocyte:Embryonic_stem_cell-derived: 0.24, iPS_cells:CRL2097_foreskin-derived:undiff.: 0.22, iPS_cells:adipose_stem_cell-derived:minicircle-derived: 0.21, Embryonic_stem_cells: 0.21, iPS_cells:adipose_stem_cell-derived:lentiviral: 0.21, iPS_cells:PDB_2lox-22: 0.21, iPS_cells:PDB_1lox-21Puro-20: 0.21, iPS_cells:PDB_1lox-17Puro-10: 0.21 |
T188_TAAGCCAGTCTACTGA-1 | Neurons:adrenal_medulla_cell_line | 0.16 | 148.61 | Raw ScoresNeurons:adrenal_medulla_cell_line: 0.34, Neuroepithelial_cell:ESC-derived: 0.27, Astrocyte:Embryonic_stem_cell-derived: 0.27, iPS_cells:PDB_1lox-21Puro-20: 0.25, iPS_cells:PDB_1lox-17Puro-10: 0.25, iPS_cells:PDB_1lox-17Puro-5: 0.24, Neurons:ES_cell-derived_neural_precursor: 0.24, iPS_cells:PDB_1lox-21Puro-26: 0.24, iPS_cells:PDB_2lox-22: 0.24, iPS_cells:PDB_2lox-21: 0.24 |
T214_AGGCATTGTCTAATCG-1 | Neurons:adrenal_medulla_cell_line | 0.19 | 146.78 | Raw ScoresNeurons:adrenal_medulla_cell_line: 0.37, Neuroepithelial_cell:ESC-derived: 0.31, Astrocyte:Embryonic_stem_cell-derived: 0.28, iPS_cells:PDB_1lox-21Puro-20: 0.28, iPS_cells:PDB_1lox-17Puro-10: 0.28, iPS_cells:PDB_1lox-21Puro-26: 0.28, Neurons:ES_cell-derived_neural_precursor: 0.28, iPS_cells:PDB_2lox-22: 0.28, iPS_cells:PDB_2lox-21: 0.28, iPS_cells:PDB_1lox-17Puro-5: 0.28 |
T92_GATCGCGGTACAGTTC.1 | Neurons:adrenal_medulla_cell_line | 0.18 | 146.54 | Raw ScoresNeurons:adrenal_medulla_cell_line: 0.37, Neuroepithelial_cell:ESC-derived: 0.31, Astrocyte:Embryonic_stem_cell-derived: 0.29, iPS_cells:CRL2097_foreskin-derived:undiff.: 0.28, iPS_cells:PDB_2lox-22: 0.28, iPS_cells:PDB_1lox-17Puro-5: 0.27, iPS_cells:PDB_1lox-17Puro-10: 0.27, iPS_cells:PDB_1lox-21Puro-20: 0.27, Embryonic_stem_cells: 0.27, iPS_cells:PDB_2lox-21: 0.27 |
T200_TCGCTTGCACAGTGTT-1 | Neurons:adrenal_medulla_cell_line | 0.12 | 143.34 | Raw ScoresNeurons:adrenal_medulla_cell_line: 0.24, Neuroepithelial_cell:ESC-derived: 0.21, Astrocyte:Embryonic_stem_cell-derived: 0.21, iPS_cells:PDB_1lox-17Puro-5: 0.2, iPS_cells:PDB_1lox-21Puro-26: 0.2, iPS_cells:PDB_1lox-17Puro-10: 0.2, iPS_cells:PDB_1lox-21Puro-20: 0.2, Embryonic_stem_cells: 0.2, Neurons:ES_cell-derived_neural_precursor: 0.2, iPS_cells:PDB_2lox-22: 0.2 |
T188_CTGTATTCAATCCAGT-1 | Neurons:adrenal_medulla_cell_line | 0.14 | 142.61 | Raw ScoresNeurons:adrenal_medulla_cell_line: 0.34, Neuroepithelial_cell:ESC-derived: 0.29, Astrocyte:Embryonic_stem_cell-derived: 0.28, iPS_cells:CRL2097_foreskin-derived:undiff.: 0.27, iPS_cells:PDB_1lox-17Puro-5: 0.27, iPS_cells:PDB_1lox-17Puro-10: 0.27, iPS_cells:PDB_1lox-21Puro-20: 0.27, iPS_cells:PDB_2lox-5: 0.26, iPS_cells:PDB_2lox-22: 0.26, Neurons:ES_cell-derived_neural_precursor: 0.26 |
T188_TGTCAGATCAAGCTTG-1 | Neurons:adrenal_medulla_cell_line | 0.19 | 140.44 | Raw ScoresNeurons:adrenal_medulla_cell_line: 0.38, Neuroepithelial_cell:ESC-derived: 0.33, Astrocyte:Embryonic_stem_cell-derived: 0.32, iPS_cells:PDB_1lox-21Puro-20: 0.29, iPS_cells:PDB_2lox-22: 0.29, iPS_cells:PDB_1lox-17Puro-10: 0.29, iPS_cells:PDB_1lox-21Puro-26: 0.29, iPS_cells:PDB_1lox-17Puro-5: 0.29, Embryonic_stem_cells: 0.29, iPS_cells:CRL2097_foreskin-derived:undiff.: 0.29 |
T214_GCCAGGTAGGCGCTTC-1 | Neurons:adrenal_medulla_cell_line | 0.15 | 138.83 | Raw ScoresNeurons:adrenal_medulla_cell_line: 0.25, Neurons:ES_cell-derived_neural_precursor: 0.23, Neuroepithelial_cell:ESC-derived: 0.22, iPS_cells:PDB_1lox-21Puro-20: 0.21, iPS_cells:PDB_1lox-21Puro-26: 0.21, iPS_cells:PDB_1lox-17Puro-10: 0.21, Embryonic_stem_cells: 0.21, iPS_cells:PDB_1lox-17Puro-5: 0.21, iPS_cells:PDB_2lox-22: 0.21, iPS_cells:PDB_2lox-21: 0.2 |
T214_CACTGAAGTCGAGATG-1 | Neurons:adrenal_medulla_cell_line | 0.17 | 138.36 | Raw ScoresNeurons:adrenal_medulla_cell_line: 0.38, Neuroepithelial_cell:ESC-derived: 0.32, iPS_cells:PDB_1lox-21Puro-20: 0.3, iPS_cells:PDB_2lox-22: 0.3, Astrocyte:Embryonic_stem_cell-derived: 0.3, iPS_cells:PDB_2lox-21: 0.3, iPS_cells:PDB_1lox-21Puro-26: 0.3, iPS_cells:PDB_2lox-17: 0.3, iPS_cells:PDB_1lox-17Puro-10: 0.3, iPS_cells:CRL2097_foreskin-derived:undiff.: 0.3 |
T188_GGTCTGGAGTCATCGT-1 | Neurons:adrenal_medulla_cell_line | 0.09 | 135.77 | Raw ScoresNeurons:adrenal_medulla_cell_line: 0.3, Pro-B_cell_CD34+: 0.26, Astrocyte:Embryonic_stem_cell-derived: 0.26, B_cell:immature: 0.25, B_cell:Plasma_cell: 0.25, CMP: 0.25, GMP: 0.25, B_cell:Naive: 0.25, B_cell:CXCR4+_centroblast: 0.24, Neuroepithelial_cell:ESC-derived: 0.24 |
T214_AGTAGTCGTTCAGGTT-1 | Neurons:adrenal_medulla_cell_line | 0.14 | 130.66 | Raw ScoresNeurons:adrenal_medulla_cell_line: 0.35, Neuroepithelial_cell:ESC-derived: 0.3, Astrocyte:Embryonic_stem_cell-derived: 0.28, iPS_cells:PDB_2lox-22: 0.27, iPS_cells:PDB_2lox-21: 0.27, iPS_cells:PDB_1lox-21Puro-20: 0.27, iPS_cells:PDB_2lox-17: 0.27, iPS_cells:iPS:minicircle-derived: 0.27, iPS_cells:PDB_1lox-17Puro-10: 0.27, iPS_cells:PDB_1lox-21Puro-26: 0.27 |
T188_GTCATTTTCTGCTAGA-1 | Neurons:adrenal_medulla_cell_line | 0.22 | 129.28 | Raw ScoresNeurons:adrenal_medulla_cell_line: 0.42, Neuroepithelial_cell:ESC-derived: 0.38, Astrocyte:Embryonic_stem_cell-derived: 0.35, iPS_cells:PDB_1lox-21Puro-20: 0.34, iPS_cells:PDB_1lox-17Puro-10: 0.34, iPS_cells:PDB_1lox-21Puro-26: 0.34, Neurons:ES_cell-derived_neural_precursor: 0.34, Embryonic_stem_cells: 0.34, iPS_cells:PDB_2lox-22: 0.33, iPS_cells:PDB_1lox-17Puro-5: 0.33 |
T188_CATTCCGCACGACAAG-1 | Neurons:adrenal_medulla_cell_line | 0.14 | 127.39 | Raw ScoresNeurons:adrenal_medulla_cell_line: 0.34, Astrocyte:Embryonic_stem_cell-derived: 0.28, Neuroepithelial_cell:ESC-derived: 0.26, iPS_cells:PDB_1lox-17Puro-5: 0.24, iPS_cells:PDB_1lox-17Puro-10: 0.24, iPS_cells:PDB_1lox-21Puro-20: 0.24, iPS_cells:PDB_1lox-21Puro-26: 0.24, Neurons:ES_cell-derived_neural_precursor: 0.24, iPS_cells:PDB_2lox-22: 0.23, iPS_cells:CRL2097_foreskin-derived:undiff.: 0.23 |
T214_GCTACAATCCTGTTAT-1 | Neurons:adrenal_medulla_cell_line | 0.20 | 125.90 | Raw ScoresNeurons:adrenal_medulla_cell_line: 0.4, Neuroepithelial_cell:ESC-derived: 0.35, iPS_cells:PDB_1lox-21Puro-20: 0.32, Neurons:ES_cell-derived_neural_precursor: 0.32, Astrocyte:Embryonic_stem_cell-derived: 0.32, iPS_cells:PDB_1lox-21Puro-26: 0.32, iPS_cells:PDB_2lox-22: 0.31, iPS_cells:PDB_1lox-17Puro-10: 0.31, iPS_cells:PDB_1lox-17Puro-5: 0.31, iPS_cells:PDB_2lox-21: 0.31 |
T175_AAGTGAAGTTTGGCTA-1 | Neurons:adrenal_medulla_cell_line | 0.09 | 125.14 | Raw ScoresNeurons:adrenal_medulla_cell_line: 0.24, Neuroepithelial_cell:ESC-derived: 0.22, iPS_cells:CRL2097_foreskin-derived:undiff.: 0.22, iPS_cells:PDB_1lox-21Puro-20: 0.22, iPS_cells:PDB_2lox-22: 0.22, iPS_cells:iPS:minicircle-derived: 0.22, iPS_cells:PDB_1lox-17Puro-10: 0.21, iPS_cells:PDB_2lox-21: 0.21, iPS_cells:adipose_stem_cell-derived:minicircle-derived: 0.21, iPS_cells:PDB_1lox-21Puro-26: 0.21 |
T214_TGGTACATCTCGCTCA-1 | Neurons:adrenal_medulla_cell_line | 0.18 | 124.58 | Raw ScoresNeurons:adrenal_medulla_cell_line: 0.36, Neuroepithelial_cell:ESC-derived: 0.31, Astrocyte:Embryonic_stem_cell-derived: 0.29, iPS_cells:PDB_2lox-21: 0.28, iPS_cells:PDB_2lox-17: 0.28, iPS_cells:PDB_1lox-21Puro-20: 0.28, iPS_cells:PDB_2lox-22: 0.28, iPS_cells:PDB_2lox-5: 0.28, iPS_cells:PDB_1lox-21Puro-26: 0.28, Neurons:ES_cell-derived_neural_precursor: 0.28 |
T188_TGGAGGATCCCGGTAG-1 | Neurons:adrenal_medulla_cell_line | 0.21 | 124.32 | Raw ScoresNeurons:adrenal_medulla_cell_line: 0.4, Neuroepithelial_cell:ESC-derived: 0.36, Astrocyte:Embryonic_stem_cell-derived: 0.33, iPS_cells:PDB_1lox-21Puro-20: 0.33, iPS_cells:PDB_1lox-21Puro-26: 0.33, iPS_cells:PDB_1lox-17Puro-10: 0.32, iPS_cells:PDB_1lox-17Puro-5: 0.32, Neurons:ES_cell-derived_neural_precursor: 0.32, iPS_cells:PDB_2lox-22: 0.32, Embryonic_stem_cells: 0.31 |
T214_CTTCCTTTCTTTGCAT-1 | Neurons:adrenal_medulla_cell_line | 0.16 | 123.92 | Raw ScoresNeurons:adrenal_medulla_cell_line: 0.29, Neuroepithelial_cell:ESC-derived: 0.26, Astrocyte:Embryonic_stem_cell-derived: 0.25, Neurons:ES_cell-derived_neural_precursor: 0.24, iPS_cells:PDB_1lox-21Puro-20: 0.24, iPS_cells:PDB_1lox-21Puro-26: 0.24, iPS_cells:PDB_1lox-17Puro-10: 0.23, iPS_cells:PDB_2lox-21: 0.23, iPS_cells:PDB_2lox-22: 0.23, iPS_cells:PDB_1lox-17Puro-5: 0.23 |
T188_ACAACCATCATCACCC-1 | Neurons:adrenal_medulla_cell_line | 0.18 | 123.40 | Raw ScoresNeurons:adrenal_medulla_cell_line: 0.38, Neuroepithelial_cell:ESC-derived: 0.33, Astrocyte:Embryonic_stem_cell-derived: 0.32, Embryonic_stem_cells: 0.29, iPS_cells:PDB_1lox-21Puro-20: 0.29, iPS_cells:CRL2097_foreskin-derived:undiff.: 0.29, iPS_cells:PDB_2lox-22: 0.29, iPS_cells:PDB_1lox-17Puro-5: 0.29, iPS_cells:PDB_1lox-21Puro-26: 0.29, iPS_cells:PDB_1lox-17Puro-10: 0.29 |
T188_CACAGGCAGCGACCCT-1 | Neurons:adrenal_medulla_cell_line | 0.13 | 123.19 | Raw ScoresNeurons:adrenal_medulla_cell_line: 0.33, Astrocyte:Embryonic_stem_cell-derived: 0.27, Neuroepithelial_cell:ESC-derived: 0.27, iPS_cells:CRL2097_foreskin-derived:undiff.: 0.25, iPS_cells:PDB_1lox-17Puro-5: 0.25, Embryonic_stem_cells: 0.25, iPS_cells:PDB_2lox-22: 0.25, iPS_cells:PDB_1lox-17Puro-10: 0.25, iPS_cells:PDB_1lox-21Puro-20: 0.25, iPS_cells:PDB_2lox-21: 0.25 |
T200_TTAATCCCATACAGGG-1 | Neurons:adrenal_medulla_cell_line | 0.17 | 123.19 | Raw ScoresNeurons:adrenal_medulla_cell_line: 0.33, Neuroepithelial_cell:ESC-derived: 0.3, Astrocyte:Embryonic_stem_cell-derived: 0.29, iPS_cells:PDB_1lox-21Puro-20: 0.28, iPS_cells:PDB_1lox-17Puro-10: 0.28, iPS_cells:PDB_1lox-17Puro-5: 0.28, iPS_cells:PDB_1lox-21Puro-26: 0.28, iPS_cells:PDB_2lox-22: 0.27, iPS_cells:PDB_2lox-21: 0.27, iPS_cells:PDB_2lox-17: 0.27 |
T200_GTCATTTGTATGACAA-1 | Neurons:adrenal_medulla_cell_line | 0.09 | 122.45 | Raw ScoresNeurons:adrenal_medulla_cell_line: 0.21, Neuroepithelial_cell:ESC-derived: 0.18, Astrocyte:Embryonic_stem_cell-derived: 0.18, iPS_cells:PDB_1lox-17Puro-5: 0.17, iPS_cells:CRL2097_foreskin-derived:undiff.: 0.17, iPS_cells:PDB_1lox-21Puro-20: 0.17, iPS_cells:PDB_2lox-22: 0.16, iPS_cells:PDB_1lox-21Puro-26: 0.16, iPS_cells:PDB_2lox-5: 0.16, Neurons:ES_cell-derived_neural_precursor: 0.16 |
T19_CTCAGAAGTAAACGCG.1 | Neurons:adrenal_medulla_cell_line | 0.13 | 121.52 | Raw ScoresNeurons:adrenal_medulla_cell_line: 0.29, Astrocyte:Embryonic_stem_cell-derived: 0.24, Neuroepithelial_cell:ESC-derived: 0.23, Neurons:Schwann_cell: 0.21, Fibroblasts:breast: 0.2, Fibroblasts:foreskin: 0.2, Smooth_muscle_cells:bronchial: 0.2, Smooth_muscle_cells:bronchial:vit_D: 0.2, Tissue_stem_cells:BM_MSC:BMP2: 0.2, iPS_cells:CRL2097_foreskin: 0.2 |
T175_AAACGAAGTCGCTGCA-1 | Neurons:adrenal_medulla_cell_line | 0.15 | 121.47 | Raw ScoresNeurons:adrenal_medulla_cell_line: 0.32, Neuroepithelial_cell:ESC-derived: 0.26, Astrocyte:Embryonic_stem_cell-derived: 0.24, iPS_cells:CRL2097_foreskin-derived:undiff.: 0.24, iPS_cells:PDB_1lox-17Puro-5: 0.24, iPS_cells:PDB_2lox-22: 0.24, iPS_cells:PDB_1lox-21Puro-20: 0.24, iPS_cells:PDB_2lox-21: 0.24, iPS_cells:PDB_1lox-21Puro-26: 0.24, Embryonic_stem_cells: 0.24 |
T19_CGATTGACACTCTGTC.1 | Neurons:adrenal_medulla_cell_line | 0.18 | 121.11 | Raw ScoresNeurons:adrenal_medulla_cell_line: 0.4, Neuroepithelial_cell:ESC-derived: 0.33, Astrocyte:Embryonic_stem_cell-derived: 0.32, iPS_cells:CRL2097_foreskin-derived:undiff.: 0.31, iPS_cells:PDB_2lox-22: 0.31, iPS_cells:PDB_1lox-17Puro-5: 0.3, iPS_cells:PDB_1lox-17Puro-10: 0.3, iPS_cells:PDB_1lox-21Puro-20: 0.3, iPS_cells:PDB_2lox-17: 0.3, iPS_cells:PDB_2lox-21: 0.3 |
T214_GATAGAACAGTGGCTC-1 | Neurons:adrenal_medulla_cell_line | 0.19 | 120.71 | Raw ScoresNeurons:adrenal_medulla_cell_line: 0.38, Neuroepithelial_cell:ESC-derived: 0.32, Astrocyte:Embryonic_stem_cell-derived: 0.3, iPS_cells:PDB_1lox-21Puro-20: 0.29, Neurons:ES_cell-derived_neural_precursor: 0.29, iPS_cells:PDB_2lox-22: 0.29, iPS_cells:PDB_2lox-21: 0.29, iPS_cells:PDB_1lox-21Puro-26: 0.29, iPS_cells:PDB_1lox-17Puro-10: 0.29, iPS_cells:PDB_2lox-17: 0.29 |
T188_TGCGATACATGATAGA-1 | Neurons:adrenal_medulla_cell_line | 0.15 | 119.63 | Raw ScoresNeurons:adrenal_medulla_cell_line: 0.34, Astrocyte:Embryonic_stem_cell-derived: 0.28, Neuroepithelial_cell:ESC-derived: 0.27, iPS_cells:PDB_2lox-22: 0.24, iPS_cells:CRL2097_foreskin-derived:undiff.: 0.24, iPS_cells:PDB_2lox-17: 0.24, Tissue_stem_cells:CD326-CD56+: 0.24, iPS_cells:PDB_1lox-21Puro-20: 0.24, iPS_cells:PDB_2lox-21: 0.24, iPS_cells:PDB_2lox-5: 0.24 |
T44_TCTCATAAGTGAAGTT.1 | Neurons:adrenal_medulla_cell_line | 0.20 | 119.11 | Raw ScoresNeurons:adrenal_medulla_cell_line: 0.38, Neuroepithelial_cell:ESC-derived: 0.32, Astrocyte:Embryonic_stem_cell-derived: 0.3, iPS_cells:PDB_1lox-21Puro-20: 0.29, iPS_cells:PDB_1lox-17Puro-10: 0.28, iPS_cells:PDB_1lox-17Puro-5: 0.28, iPS_cells:CRL2097_foreskin-derived:undiff.: 0.28, iPS_cells:PDB_2lox-22: 0.28, iPS_cells:PDB_1lox-21Puro-26: 0.28, iPS_cells:PDB_2lox-21: 0.28 |
T214_TCACAAGAGGTGCCAA-1 | Neurons:adrenal_medulla_cell_line | 0.21 | 118.82 | Raw ScoresNeurons:adrenal_medulla_cell_line: 0.4, Neuroepithelial_cell:ESC-derived: 0.36, iPS_cells:PDB_1lox-21Puro-20: 0.34, iPS_cells:PDB_1lox-21Puro-26: 0.34, iPS_cells:PDB_1lox-17Puro-10: 0.34, iPS_cells:PDB_2lox-22: 0.34, iPS_cells:PDB_1lox-17Puro-5: 0.33, iPS_cells:PDB_2lox-17: 0.33, iPS_cells:PDB_2lox-21: 0.33, Embryonic_stem_cells: 0.33 |
T92_GACGGCTAGCGTAATA.1 | Neurons:adrenal_medulla_cell_line | 0.17 | 118.79 | Raw ScoresNeurons:adrenal_medulla_cell_line: 0.35, Neuroepithelial_cell:ESC-derived: 0.28, Astrocyte:Embryonic_stem_cell-derived: 0.27, iPS_cells:CRL2097_foreskin-derived:undiff.: 0.25, Tissue_stem_cells:CD326-CD56+: 0.25, iPS_cells:adipose_stem_cell-derived:minicircle-derived: 0.24, iPS_cells:PDB_2lox-22: 0.24, iPS_cells:iPS:minicircle-derived: 0.24, iPS_cells:adipose_stem_cell-derived:lentiviral: 0.24, Embryonic_stem_cells: 0.24 |
T92_TGGCGCATCTGTCAAG.1 | Neurons:adrenal_medulla_cell_line | 0.17 | 118.19 | Raw ScoresNeurons:adrenal_medulla_cell_line: 0.37, Neuroepithelial_cell:ESC-derived: 0.32, Astrocyte:Embryonic_stem_cell-derived: 0.3, iPS_cells:PDB_2lox-22: 0.28, iPS_cells:PDB_1lox-21Puro-20: 0.28, iPS_cells:CRL2097_foreskin-derived:undiff.: 0.28, iPS_cells:PDB_2lox-21: 0.28, iPS_cells:PDB_1lox-17Puro-10: 0.28, iPS_cells:PDB_1lox-17Puro-5: 0.28, Embryonic_stem_cells: 0.28 |
T188_TGTGCGGTCGTAATGC-1 | Neurons:adrenal_medulla_cell_line | 0.19 | 117.27 | Raw ScoresNeurons:adrenal_medulla_cell_line: 0.38, Neuroepithelial_cell:ESC-derived: 0.32, Astrocyte:Embryonic_stem_cell-derived: 0.31, iPS_cells:PDB_1lox-17Puro-10: 0.28, Embryonic_stem_cells: 0.28, Neurons:ES_cell-derived_neural_precursor: 0.28, iPS_cells:PDB_1lox-17Puro-5: 0.28, iPS_cells:PDB_1lox-21Puro-20: 0.28, iPS_cells:CRL2097_foreskin-derived:undiff.: 0.28, iPS_cells:PDB_2lox-22: 0.28 |
T214_GCGTTTCGTCGCAGTC-1 | Neurons:adrenal_medulla_cell_line | 0.20 | 116.30 | Raw ScoresNeurons:adrenal_medulla_cell_line: 0.41, Neuroepithelial_cell:ESC-derived: 0.36, iPS_cells:PDB_1lox-21Puro-20: 0.34, iPS_cells:PDB_1lox-17Puro-10: 0.34, iPS_cells:PDB_1lox-21Puro-26: 0.34, iPS_cells:PDB_1lox-17Puro-5: 0.34, iPS_cells:PDB_2lox-22: 0.33, iPS_cells:PDB_2lox-21: 0.33, Neurons:ES_cell-derived_neural_precursor: 0.33, Astrocyte:Embryonic_stem_cell-derived: 0.33 |
T10_GGTGAAGCACTGCCAG.1 | Neurons:adrenal_medulla_cell_line | 0.22 | 114.79 | Raw ScoresNeurons:adrenal_medulla_cell_line: 0.41, Neuroepithelial_cell:ESC-derived: 0.35, Astrocyte:Embryonic_stem_cell-derived: 0.33, iPS_cells:PDB_1lox-17Puro-10: 0.31, Neurons:ES_cell-derived_neural_precursor: 0.3, iPS_cells:PDB_1lox-17Puro-5: 0.3, iPS_cells:PDB_1lox-21Puro-20: 0.3, iPS_cells:PDB_1lox-21Puro-26: 0.3, iPS_cells:CRL2097_foreskin-derived:undiff.: 0.3, Embryonic_stem_cells: 0.3 |
T92_GTTCTCGGTAGCTTGT.1 | Neurons:adrenal_medulla_cell_line | 0.18 | 113.58 | Raw ScoresNeurons:adrenal_medulla_cell_line: 0.35, Neuroepithelial_cell:ESC-derived: 0.29, Astrocyte:Embryonic_stem_cell-derived: 0.27, iPS_cells:CRL2097_foreskin-derived:undiff.: 0.26, iPS_cells:PDB_1lox-21Puro-20: 0.26, iPS_cells:PDB_1lox-17Puro-5: 0.26, iPS_cells:PDB_1lox-17Puro-10: 0.26, iPS_cells:adipose_stem_cell-derived:minicircle-derived: 0.25, iPS_cells:PDB_2lox-21: 0.25, Embryonic_stem_cells: 0.25 |
T19_CCACGGACATTTGCTT.1 | Neurons:adrenal_medulla_cell_line | 0.14 | 113.30 | Raw ScoresNeurons:adrenal_medulla_cell_line: 0.33, Astrocyte:Embryonic_stem_cell-derived: 0.29, Neuroepithelial_cell:ESC-derived: 0.29, Neurons:ES_cell-derived_neural_precursor: 0.25, Neurons:Schwann_cell: 0.25, iPS_cells:PDB_1lox-17Puro-10: 0.25, Embryonic_stem_cells: 0.25, iPS_cells:PDB_1lox-17Puro-5: 0.25, iPS_cells:PDB_2lox-22: 0.25, iPS_cells:PDB_2lox-5: 0.24 |
T188_GGTGGCTGTGCTCTTC-1 | Neurons:adrenal_medulla_cell_line | 0.18 | 113.00 | Raw ScoresNeurons:adrenal_medulla_cell_line: 0.39, Astrocyte:Embryonic_stem_cell-derived: 0.33, Neuroepithelial_cell:ESC-derived: 0.33, iPS_cells:PDB_1lox-21Puro-20: 0.31, iPS_cells:PDB_2lox-22: 0.3, iPS_cells:PDB_1lox-17Puro-5: 0.3, iPS_cells:PDB_1lox-17Puro-10: 0.3, iPS_cells:PDB_1lox-21Puro-26: 0.3, iPS_cells:PDB_2lox-17: 0.3, iPS_cells:PDB_2lox-21: 0.3 |
T188_GACGTTACAATCTCTT-1 | Neurons:adrenal_medulla_cell_line | 0.18 | 112.95 | Raw ScoresNeurons:adrenal_medulla_cell_line: 0.31, Neuroepithelial_cell:ESC-derived: 0.27, Astrocyte:Embryonic_stem_cell-derived: 0.25, iPS_cells:PDB_1lox-21Puro-20: 0.25, iPS_cells:PDB_1lox-17Puro-10: 0.25, iPS_cells:PDB_1lox-17Puro-5: 0.25, iPS_cells:PDB_1lox-21Puro-26: 0.25, Neurons:ES_cell-derived_neural_precursor: 0.25, iPS_cells:PDB_2lox-22: 0.24, iPS_cells:CRL2097_foreskin-derived:undiff.: 0.24 |
T214_GAATCACTCTGTCTCG-1 | Neurons:adrenal_medulla_cell_line | 0.18 | 112.89 | Raw ScoresNeurons:adrenal_medulla_cell_line: 0.36, Neuroepithelial_cell:ESC-derived: 0.31, Astrocyte:Embryonic_stem_cell-derived: 0.3, iPS_cells:PDB_1lox-21Puro-20: 0.28, iPS_cells:PDB_2lox-22: 0.28, iPS_cells:PDB_1lox-21Puro-26: 0.28, iPS_cells:PDB_1lox-17Puro-10: 0.28, iPS_cells:PDB_2lox-21: 0.28, iPS_cells:PDB_1lox-17Puro-5: 0.28, iPS_cells:PDB_2lox-17: 0.28 |
T188_TACGTCCCACCTAAAC-1 | Neurons:adrenal_medulla_cell_line | 0.20 | 112.54 | Raw ScoresNeurons:adrenal_medulla_cell_line: 0.35, Astrocyte:Embryonic_stem_cell-derived: 0.28, Neuroepithelial_cell:ESC-derived: 0.28, Neurons:ES_cell-derived_neural_precursor: 0.25, iPS_cells:PDB_1lox-21Puro-20: 0.24, iPS_cells:PDB_1lox-17Puro-10: 0.24, Embryonic_stem_cells: 0.24, iPS_cells:PDB_1lox-21Puro-26: 0.24, iPS_cells:PDB_2lox-22: 0.24, iPS_cells:PDB_1lox-17Puro-5: 0.24 |
Below shows the significant enrichments of this GEP for literature curated gene lists
This data was procured from existing single cell RNA-seq maps of neuroblastoma or related relevant data.
High ranks indicate this gene is a driver of this GEP.
These curated gene list are ranked by the P-value (on this GEP) of their constituent genes.
The Mean Count column shows the mean read count in cells scoring highly (H > 50) on this gene expression program.
Genes | Weight | Rank | GTEx | DepMap | Decartes | Mean.Counts | Mean.TPM |
---|---|---|---|---|---|---|---|
CDKN1C | 0.0080672 | 14 | GTEx | DepMap | Descartes | 2.90 | 209.79 |
SOX11 | 0.0046352 | 198 | GTEx | DepMap | Descartes | 5.23 | 68.19 |
GSE1 | 0.0046294 | 199 | GTEx | DepMap | Descartes | 1.44 | NA |
MIAT | 0.0042358 | 271 | GTEx | DepMap | Descartes | 2.09 | 25.29 |
WDR6 | 0.0038951 | 365 | GTEx | DepMap | Descartes | 1.14 | 30.11 |
DPYSL3 | 0.0035201 | 510 | GTEx | DepMap | Descartes | 3.57 | 72.71 |
RCC2 | 0.0027202 | 1023 | GTEx | DepMap | Descartes | 1.12 | 30.61 |
NFASC | 0.0025294 | 1212 | GTEx | DepMap | Descartes | 0.34 | 3.83 |
DLL3 | 0.0017589 | 2355 | GTEx | DepMap | Descartes | 0.53 | 24.01 |
TBX20 | 0.0006790 | 5204 | GTEx | DepMap | Descartes | 0.04 | 3.48 |
CKB | 0.0005148 | 5844 | GTEx | DepMap | Descartes | 12.18 | 937.85 |
LDHB | -0.0059692 | 12504 | GTEx | DepMap | Descartes | 11.76 | 760.29 |
Cell cycle (Dong)
Markers obtained in computationally inferred meta program (by NMF applied to their neuroblastoma sc-RNA-seq data) from Fig. 5(a) of Dong et al. (PMID 32946775).:
Wilcoxon ranksum test P-value for gene set overrepresentation: 7.30e-03
Mean rank of genes in gene set: 1167
Rank on gene expression program of genes in gene set:
Genes | Weight | Rank | GTEx | DepMap | Decartes | Mean.Counts | Mean.TPM |
---|---|---|---|---|---|---|---|
TOP2A | 0.0042530 | 267 | GTEx | DepMap | Descartes | 5.71 | 119.68 |
MKI67 | 0.0026702 | 1062 | GTEx | DepMap | Descartes | 2.77 | 25.50 |
PCNA | 0.0018681 | 2172 | GTEx | DepMap | Descartes | 2.05 | 167.32 |
Meta_9 ATRX (Dong)
Markers obtained in computationally inferred meta program (by NMF applied to their neuroblastoma sc-RNA-seq data) from Fig. 5(a) of Dong et al. (PMID 32946775).:
Wilcoxon ranksum test P-value for gene set overrepresentation: 9.48e-03
Mean rank of genes in gene set: 265
Rank on gene expression program of genes in gene set:
Genes | Weight | Rank | GTEx | DepMap | Decartes | Mean.Counts | Mean.TPM |
---|---|---|---|---|---|---|---|
ZFHX3 | 0.0070541 | 36 | GTEx | DepMap | Descartes | 8.46 | 56.56 |
ATRX | 0.0035431 | 494 | GTEx | DepMap | Descartes | 3.16 | 33.47 |
Below shows ranks on this GEP for literature curated gene lists for large gene sets
These include those reported as mesenchymal/adrenergic by Van Groningen et al.
High ranks indicate this gene is a driver of this GEP (note these results are not ordered).
The Mean Count column shows the mean read count in cells scoring highly (H > 50) on this gene expression program.
VanGroningen Adrenergic Genes
Adrenergic marker genes from Supplementary Table 2 of Van Groningen et al. Nature Genetics 2017. These genes were identified by differential expression analysis of mesenchymal-like and adrenergic-like neuroblastoma cell lines.
Wilcoxon ranksum test P-value for gene set overrepresentation: 8.48e-07
Mean rank of genes in gene set: 5294.21
Median rank of genes in gene set: 4030
Rank on gene expression program of top 30 genes in gene set:
Genes | Weight | Rank | GTEx | DepMap | Descartes | Mean.Counts | Mean.TPM |
---|---|---|---|---|---|---|---|
CHGA | 0.0095362 | 5 | GTEx | DepMap | Descartes | 7.12 | 423.11 |
NCAM1 | 0.0094346 | 6 | GTEx | DepMap | Descartes | 8.23 | 156.84 |
CADM1 | 0.0091287 | 7 | GTEx | DepMap | Descartes | 8.85 | 116.04 |
CCND1 | 0.0085867 | 9 | GTEx | DepMap | Descartes | 18.55 | 536.93 |
CHGB | 0.0071659 | 32 | GTEx | DepMap | Descartes | 9.44 | 579.96 |
SYT1 | 0.0071313 | 34 | GTEx | DepMap | Descartes | 6.70 | 184.57 |
FOXO3 | 0.0068165 | 48 | GTEx | DepMap | Descartes | 3.29 | 52.65 |
KLF13 | 0.0067320 | 50 | GTEx | DepMap | Descartes | 1.76 | 34.43 |
KIF5C | 0.0064111 | 66 | GTEx | DepMap | Descartes | 6.95 | 115.18 |
RBMS3 | 0.0063790 | 67 | GTEx | DepMap | Descartes | 4.40 | 57.97 |
ICA1 | 0.0062038 | 74 | GTEx | DepMap | Descartes | 3.72 | 194.27 |
TUB | 0.0056881 | 103 | GTEx | DepMap | Descartes | 1.11 | 20.26 |
AUTS2 | 0.0053473 | 130 | GTEx | DepMap | Descartes | 2.18 | 35.39 |
RNF165 | 0.0053107 | 132 | GTEx | DepMap | Descartes | 1.74 | 27.83 |
TMEM178B | 0.0049259 | 158 | GTEx | DepMap | Descartes | 0.64 | NA |
CLASP2 | 0.0048892 | 160 | GTEx | DepMap | Descartes | 1.57 | 25.64 |
NNAT | 0.0047654 | 183 | GTEx | DepMap | Descartes | 6.68 | 645.11 |
SOX11 | 0.0046352 | 198 | GTEx | DepMap | Descartes | 5.23 | 68.19 |
GLCCI1 | 0.0045587 | 211 | GTEx | DepMap | Descartes | 2.63 | 63.41 |
GCH1 | 0.0045383 | 212 | GTEx | DepMap | Descartes | 0.75 | 35.59 |
EML6 | 0.0044908 | 217 | GTEx | DepMap | Descartes | 0.14 | 2.15 |
TACC2 | 0.0044514 | 223 | GTEx | DepMap | Descartes | 0.90 | 11.56 |
GRIA2 | 0.0043588 | 243 | GTEx | DepMap | Descartes | 1.19 | 29.57 |
RIMS3 | 0.0043067 | 253 | GTEx | DepMap | Descartes | 1.22 | 17.44 |
EYA1 | 0.0042674 | 263 | GTEx | DepMap | Descartes | 0.30 | 9.22 |
MIAT | 0.0042358 | 271 | GTEx | DepMap | Descartes | 2.09 | 25.29 |
GABRB3 | 0.0040439 | 318 | GTEx | DepMap | Descartes | 1.26 | 26.47 |
INSM2 | 0.0039758 | 337 | GTEx | DepMap | Descartes | 1.60 | 60.58 |
PIK3R1 | 0.0039736 | 339 | GTEx | DepMap | Descartes | 2.88 | 54.13 |
CCSAP | 0.0039614 | 345 | GTEx | DepMap | Descartes | 0.93 | NA |
VanGroningen Mesenchymal Genes
Mesenchymal marker genes from Supplementary Table 2 of Van Groningen et al. Nature Genetics 2017. These genes were identified by differential expression analysis of mesenchymal-like and adrenergic-like neuroblastoma cell lines.
Wilcoxon ranksum test P-value for gene set overrepresentation: 1.00e+00
Mean rank of genes in gene set: 6876.25
Median rank of genes in gene set: 7498
Rank on gene expression program of top 30 genes in gene set:
Genes | Weight | Rank | GTEx | DepMap | Descartes | Mean.Counts | Mean.TPM |
---|---|---|---|---|---|---|---|
ENAH | 0.0070849 | 35 | GTEx | DepMap | Descartes | 3.07 | 26.48 |
DLC1 | 0.0070435 | 38 | GTEx | DepMap | Descartes | 3.23 | 57.12 |
SLC38A2 | 0.0069505 | 42 | GTEx | DepMap | Descartes | 2.08 | 56.15 |
PTN | 0.0055345 | 110 | GTEx | DepMap | Descartes | 1.53 | 133.43 |
SERPINE2 | 0.0053665 | 126 | GTEx | DepMap | Descartes | 3.33 | 69.83 |
NRP1 | 0.0050136 | 154 | GTEx | DepMap | Descartes | 1.44 | 28.61 |
NES | 0.0049077 | 159 | GTEx | DepMap | Descartes | 1.21 | 28.80 |
ACTN1 | 0.0048446 | 170 | GTEx | DepMap | Descartes | 1.35 | 33.32 |
LAMB1 | 0.0043868 | 239 | GTEx | DepMap | Descartes | 0.55 | 11.73 |
FAM3C | 0.0042954 | 256 | GTEx | DepMap | Descartes | 1.19 | 67.84 |
TCF7L2 | 0.0042514 | 268 | GTEx | DepMap | Descartes | 0.49 | 12.99 |
LMAN1 | 0.0039521 | 346 | GTEx | DepMap | Descartes | 1.37 | 35.84 |
RBMS1 | 0.0039185 | 355 | GTEx | DepMap | Descartes | 2.44 | 65.15 |
PXDN | 0.0038507 | 378 | GTEx | DepMap | Descartes | 0.77 | 12.74 |
ITGAV | 0.0037843 | 403 | GTEx | DepMap | Descartes | 0.49 | 9.60 |
LIFR | 0.0037507 | 414 | GTEx | DepMap | Descartes | 0.35 | 4.07 |
KDM5B | 0.0036329 | 463 | GTEx | DepMap | Descartes | 1.28 | 15.38 |
TJP1 | 0.0033999 | 572 | GTEx | DepMap | Descartes | 0.54 | 8.33 |
MEST | 0.0033605 | 595 | GTEx | DepMap | Descartes | 1.27 | 62.14 |
FGFR1 | 0.0033535 | 600 | GTEx | DepMap | Descartes | 0.34 | 7.13 |
CNN3 | 0.0033126 | 625 | GTEx | DepMap | Descartes | 1.58 | 96.09 |
STAT3 | 0.0032714 | 653 | GTEx | DepMap | Descartes | 1.83 | 50.48 |
APP | 0.0032543 | 662 | GTEx | DepMap | Descartes | 2.17 | 74.63 |
MBTPS1 | 0.0031251 | 730 | GTEx | DepMap | Descartes | 0.78 | 22.80 |
ATP2B1 | 0.0031150 | 737 | GTEx | DepMap | Descartes | 1.35 | 23.38 |
SLC30A1 | 0.0029708 | 820 | GTEx | DepMap | Descartes | 0.35 | 8.72 |
ATP1B1 | 0.0028691 | 917 | GTEx | DepMap | Descartes | 3.88 | 183.02 |
COPA | 0.0028439 | 933 | GTEx | DepMap | Descartes | 1.29 | 26.50 |
SCPEP1 | 0.0027598 | 989 | GTEx | DepMap | Descartes | 0.75 | 50.19 |
FLRT2 | 0.0026178 | 1108 | GTEx | DepMap | Descartes | 0.27 | 0.91 |
Descartes adrenocortical markers
Top 50 marker genes of adrenocortical cells in the Decartes fetal adrenal single cell map (https://atlas.brotmanbaty.org/bbi/human-gene-expression-during-development/cell/adrenocortical/in/adrenal)
Wilcoxon ranksum test P-value for gene set overrepresentation: 8.86e-01
Mean rank of genes in gene set: 7001.03
Median rank of genes in gene set: 7814
Rank on gene expression program of top 30 genes in gene set:
Genes | Weight | Rank | GTEx | DepMap | Descartes | Mean.Counts | Mean.TPM |
---|---|---|---|---|---|---|---|
IGF1R | 0.0054235 | 119 | GTEx | DepMap | Descartes | 0.94 | 9.23 |
SH3BP5 | 0.0027981 | 962 | GTEx | DepMap | Descartes | 0.83 | 30.42 |
SLC1A2 | 0.0027247 | 1016 | GTEx | DepMap | Descartes | 0.50 | 4.86 |
FRMD5 | 0.0024950 | 1247 | GTEx | DepMap | Descartes | 0.24 | 5.05 |
PEG3 | 0.0022207 | 1605 | GTEx | DepMap | Descartes | 0.86 | NA |
SCAP | 0.0021809 | 1659 | GTEx | DepMap | Descartes | 0.49 | 13.46 |
JAKMIP2 | 0.0020515 | 1843 | GTEx | DepMap | Descartes | 0.84 | 11.28 |
PDE10A | 0.0018872 | 2135 | GTEx | DepMap | Descartes | 0.25 | 3.36 |
HMGCR | 0.0015825 | 2696 | GTEx | DepMap | Descartes | 0.58 | 16.00 |
SLC16A9 | 0.0013724 | 3201 | GTEx | DepMap | Descartes | 0.18 | 5.05 |
SH3PXD2B | 0.0011571 | 3771 | GTEx | DepMap | Descartes | 0.16 | 2.17 |
NPC1 | 0.0011269 | 3849 | GTEx | DepMap | Descartes | 0.14 | 3.74 |
FDXR | 0.0010174 | 4147 | GTEx | DepMap | Descartes | 0.25 | 12.91 |
DNER | 0.0008813 | 4522 | GTEx | DepMap | Descartes | 0.92 | 35.48 |
POR | 0.0004977 | 5916 | GTEx | DepMap | Descartes | 0.40 | 19.75 |
GRAMD1B | 0.0003412 | 6572 | GTEx | DepMap | Descartes | 0.10 | 1.52 |
SGCZ | 0.0001324 | 7514 | GTEx | DepMap | Descartes | 0.01 | 0.42 |
SCARB1 | 0.0001243 | 7564 | GTEx | DepMap | Descartes | 0.17 | 3.04 |
STAR | 0.0000211 | 8064 | GTEx | DepMap | Descartes | 0.03 | 1.14 |
FREM2 | -0.0000352 | 8334 | GTEx | DepMap | Descartes | 0.00 | 0.01 |
FDX1 | -0.0001256 | 8781 | GTEx | DepMap | Descartes | 0.72 | 26.98 |
TM7SF2 | -0.0002981 | 9535 | GTEx | DepMap | Descartes | 1.05 | 54.80 |
DHCR24 | -0.0003335 | 9688 | GTEx | DepMap | Descartes | 0.36 | 6.45 |
APOC1 | -0.0004709 | 10144 | GTEx | DepMap | Descartes | 1.33 | 197.00 |
CLU | -0.0005117 | 10288 | GTEx | DepMap | Descartes | 2.89 | 137.98 |
PAPSS2 | -0.0006438 | 10624 | GTEx | DepMap | Descartes | 0.03 | 0.97 |
INHA | -0.0006547 | 10640 | GTEx | DepMap | Descartes | 0.02 | 2.26 |
BAIAP2L1 | -0.0007299 | 10792 | GTEx | DepMap | Descartes | 0.01 | 0.44 |
DHCR7 | -0.0010009 | 11246 | GTEx | DepMap | Descartes | 0.21 | 9.04 |
ERN1 | -0.0011290 | 11408 | GTEx | DepMap | Descartes | 0.14 | 2.28 |
Descartes chromaffin markers
Top 50 marker genes of chromaffin cells in the Decartes fetal adrenal single cell map (https://atlas.brotmanbaty.org/bbi/human-gene-expression-during-development/cell/chromaffin/in/adrenal)
Wilcoxon ranksum test P-value for gene set overrepresentation: 9.23e-02
Mean rank of genes in gene set: 5525.63
Median rank of genes in gene set: 3161
Rank on gene expression program of top 30 genes in gene set:
Genes | Weight | Rank | GTEx | DepMap | Descartes | Mean.Counts | Mean.TPM |
---|---|---|---|---|---|---|---|
TMEM132C | 0.0104092 | 4 | GTEx | DepMap | Descartes | 0.80 | 22.89 |
CCND1 | 0.0085867 | 9 | GTEx | DepMap | Descartes | 18.55 | 536.93 |
RGMB | 0.0072795 | 29 | GTEx | DepMap | Descartes | 1.53 | 39.05 |
PLXNA4 | 0.0060182 | 81 | GTEx | DepMap | Descartes | 0.68 | 6.11 |
EYA4 | 0.0052792 | 135 | GTEx | DepMap | Descartes | 0.30 | 6.50 |
GREM1 | 0.0045749 | 208 | GTEx | DepMap | Descartes | 0.22 | 2.56 |
EYA1 | 0.0042674 | 263 | GTEx | DepMap | Descartes | 0.30 | 9.22 |
CNKSR2 | 0.0042506 | 269 | GTEx | DepMap | Descartes | 0.48 | 6.72 |
MAP1B | 0.0039006 | 364 | GTEx | DepMap | Descartes | 22.18 | 220.00 |
ALK | 0.0031335 | 723 | GTEx | DepMap | Descartes | 0.31 | 6.64 |
KCNB2 | 0.0029279 | 868 | GTEx | DepMap | Descartes | 0.46 | 15.82 |
FAT3 | 0.0029030 | 894 | GTEx | DepMap | Descartes | 0.29 | 1.80 |
ISL1 | 0.0027756 | 974 | GTEx | DepMap | Descartes | 5.26 | 250.23 |
BASP1 | 0.0027652 | 986 | GTEx | DepMap | Descartes | 22.37 | 1373.70 |
SYNPO2 | 0.0024886 | 1255 | GTEx | DepMap | Descartes | 0.72 | 5.30 |
GAL | 0.0019073 | 2096 | GTEx | DepMap | Descartes | 3.56 | 493.14 |
PTCHD1 | 0.0018751 | 2159 | GTEx | DepMap | Descartes | 0.27 | 2.71 |
SLC44A5 | 0.0017159 | 2436 | GTEx | DepMap | Descartes | 0.07 | 2.07 |
RPH3A | 0.0016681 | 2533 | GTEx | DepMap | Descartes | 0.12 | 3.48 |
ANKFN1 | 0.0015463 | 2784 | GTEx | DepMap | Descartes | 0.11 | 3.25 |
RYR2 | 0.0013869 | 3161 | GTEx | DepMap | Descartes | 0.24 | 1.74 |
SLC6A2 | 0.0009650 | 4304 | GTEx | DepMap | Descartes | 0.75 | 24.44 |
MAB21L2 | 0.0009434 | 4359 | GTEx | DepMap | Descartes | 1.86 | 78.19 |
EPHA6 | 0.0007259 | 5050 | GTEx | DepMap | Descartes | 0.03 | 0.83 |
CNTFR | 0.0005390 | 5756 | GTEx | DepMap | Descartes | 1.98 | 106.87 |
RBFOX1 | 0.0003347 | 6603 | GTEx | DepMap | Descartes | 0.63 | 15.16 |
HS3ST5 | 0.0000461 | 7944 | GTEx | DepMap | Descartes | 0.26 | 7.73 |
MARCH11 | -0.0003694 | 9824 | GTEx | DepMap | Descartes | 3.08 | NA |
MAB21L1 | -0.0016291 | 11841 | GTEx | DepMap | Descartes | 2.59 | 94.24 |
IL7 | -0.0019771 | 12043 | GTEx | DepMap | Descartes | 1.82 | 107.05 |
Descartes Vascular_endothelial markers
Top 50 marker genes of Vascular_endothelial cells in the Decartes fetal adrenal single cell map (https://atlas.brotmanbaty.org/bbi/human-gene-expression-during-development/cell/vascular_endothelial/in/adrenal)
Wilcoxon ranksum test P-value for gene set overrepresentation: 3.20e-01
Mean rank of genes in gene set: 6001.13
Median rank of genes in gene set: 6001
Rank on gene expression program of top 30 genes in gene set:
Genes | Weight | Rank | GTEx | DepMap | Descartes | Mean.Counts | Mean.TPM |
---|---|---|---|---|---|---|---|
CYP26B1 | 0.0040857 | 309 | GTEx | DepMap | Descartes | 1.09 | 22.36 |
EFNB2 | 0.0034227 | 558 | GTEx | DepMap | Descartes | 0.87 | 19.26 |
PODXL | 0.0013065 | 3356 | GTEx | DepMap | Descartes | 0.16 | 3.00 |
SHANK3 | 0.0012012 | 3642 | GTEx | DepMap | Descartes | 0.07 | 1.20 |
HYAL2 | 0.0011544 | 3775 | GTEx | DepMap | Descartes | 0.83 | 23.22 |
ARHGAP29 | 0.0011451 | 3799 | GTEx | DepMap | Descartes | 0.29 | 3.95 |
MYRIP | 0.0011000 | 3919 | GTEx | DepMap | Descartes | 0.07 | 1.49 |
EHD3 | 0.0010463 | 4057 | GTEx | DepMap | Descartes | 0.08 | 1.80 |
GALNT15 | 0.0008766 | 4535 | GTEx | DepMap | Descartes | 0.01 | NA |
TEK | 0.0008405 | 4631 | GTEx | DepMap | Descartes | 0.01 | 0.21 |
CDH13 | 0.0008222 | 4696 | GTEx | DepMap | Descartes | 0.08 | 1.01 |
ROBO4 | 0.0007352 | 5003 | GTEx | DepMap | Descartes | 0.01 | 0.31 |
ID1 | 0.0007055 | 5110 | GTEx | DepMap | Descartes | 0.31 | 38.59 |
FLT4 | 0.0007047 | 5114 | GTEx | DepMap | Descartes | 0.01 | 0.24 |
IRX3 | 0.0006589 | 5270 | GTEx | DepMap | Descartes | 0.09 | 4.22 |
MMRN2 | 0.0006141 | 5453 | GTEx | DepMap | Descartes | 0.01 | 0.37 |
CEACAM1 | 0.0005160 | 5839 | GTEx | DepMap | Descartes | 0.01 | 0.48 |
CALCRL | 0.0004850 | 5984 | GTEx | DepMap | Descartes | 0.01 | 0.20 |
SLCO2A1 | 0.0004841 | 5995 | GTEx | DepMap | Descartes | 0.01 | 0.25 |
SHE | 0.0004810 | 6007 | GTEx | DepMap | Descartes | 0.01 | 0.09 |
TMEM88 | 0.0003765 | 6425 | GTEx | DepMap | Descartes | 0.14 | 16.28 |
KDR | 0.0003651 | 6474 | GTEx | DepMap | Descartes | 0.02 | 0.42 |
CDH5 | 0.0003304 | 6618 | GTEx | DepMap | Descartes | 0.01 | 0.24 |
F8 | 0.0003302 | 6621 | GTEx | DepMap | Descartes | 0.02 | 0.29 |
ESM1 | 0.0003040 | 6724 | GTEx | DepMap | Descartes | 0.02 | 1.34 |
TIE1 | 0.0002581 | 6919 | GTEx | DepMap | Descartes | 0.01 | 0.21 |
PTPRB | 0.0001764 | 7286 | GTEx | DepMap | Descartes | 0.04 | 0.32 |
PLVAP | 0.0001473 | 7433 | GTEx | DepMap | Descartes | 0.08 | 3.46 |
KANK3 | 0.0001151 | 7602 | GTEx | DepMap | Descartes | 0.01 | 0.34 |
NPR1 | 0.0000617 | 7871 | GTEx | DepMap | Descartes | 0.00 | 0.05 |
Descartes stromal markers
Top 50 marker genes of stromal cells in the Decartes fetal adrenal single cell map (https://atlas.brotmanbaty.org/bbi/human-gene-expression-during-development/cell/stromal/in/adrenal)
Wilcoxon ranksum test P-value for gene set overrepresentation: 9.42e-01
Mean rank of genes in gene set: 7130.8
Median rank of genes in gene set: 7742
Rank on gene expression program of top 30 genes in gene set:
Genes | Weight | Rank | GTEx | DepMap | Descartes | Mean.Counts | Mean.TPM |
---|---|---|---|---|---|---|---|
ADAMTS2 | 0.0024137 | 1349 | GTEx | DepMap | Descartes | 0.18 | 3.42 |
ELN | 0.0018368 | 2219 | GTEx | DepMap | Descartes | 0.41 | 11.44 |
PRICKLE1 | 0.0015703 | 2722 | GTEx | DepMap | Descartes | 0.35 | 6.53 |
PCOLCE | 0.0014953 | 2912 | GTEx | DepMap | Descartes | 1.49 | 110.55 |
PDGFRA | 0.0012335 | 3558 | GTEx | DepMap | Descartes | 0.15 | 2.89 |
GLI2 | 0.0009397 | 4367 | GTEx | DepMap | Descartes | 0.03 | 0.35 |
LAMC3 | 0.0008607 | 4577 | GTEx | DepMap | Descartes | 0.00 | 0.00 |
CLDN11 | 0.0007800 | 4852 | GTEx | DepMap | Descartes | 0.04 | 1.60 |
LRRC17 | 0.0007275 | 5039 | GTEx | DepMap | Descartes | 0.03 | 1.73 |
CD248 | 0.0006835 | 5189 | GTEx | DepMap | Descartes | 0.02 | 1.39 |
PCDH18 | 0.0006449 | 5338 | GTEx | DepMap | Descartes | 0.02 | 0.53 |
CDH11 | 0.0006022 | 5492 | GTEx | DepMap | Descartes | 0.16 | 2.42 |
DKK2 | 0.0005898 | 5556 | GTEx | DepMap | Descartes | 0.00 | 0.11 |
EDNRA | 0.0004472 | 6142 | GTEx | DepMap | Descartes | 0.02 | 0.62 |
BICC1 | 0.0003578 | 6496 | GTEx | DepMap | Descartes | 0.06 | 1.17 |
COL12A1 | 0.0002227 | 7070 | GTEx | DepMap | Descartes | 0.03 | 0.23 |
ITGA11 | 0.0002033 | 7168 | GTEx | DepMap | Descartes | 0.01 | 0.08 |
ADAMTSL3 | 0.0001916 | 7218 | GTEx | DepMap | Descartes | 0.00 | 0.04 |
CCDC80 | 0.0001746 | 7295 | GTEx | DepMap | Descartes | 0.03 | 0.29 |
COL27A1 | 0.0001623 | 7349 | GTEx | DepMap | Descartes | 0.01 | 0.07 |
FREM1 | 0.0001411 | 7471 | GTEx | DepMap | Descartes | 0.01 | 0.14 |
ACTA2 | 0.0001000 | 7680 | GTEx | DepMap | Descartes | 0.09 | 6.61 |
C7 | 0.0000756 | 7804 | GTEx | DepMap | Descartes | 0.03 | 0.49 |
PRRX1 | 0.0000661 | 7856 | GTEx | DepMap | Descartes | 0.02 | 0.46 |
POSTN | 0.0000509 | 7926 | GTEx | DepMap | Descartes | 0.02 | 1.04 |
IGFBP3 | 0.0000073 | 8138 | GTEx | DepMap | Descartes | 0.05 | 1.72 |
SFRP2 | 0.0000030 | 8163 | GTEx | DepMap | Descartes | 0.00 | 0.00 |
GAS2 | -0.0000084 | 8223 | GTEx | DepMap | Descartes | 0.01 | 0.62 |
COL6A3 | -0.0000493 | 8399 | GTEx | DepMap | Descartes | 0.04 | 0.37 |
COL1A1 | -0.0001078 | 8688 | GTEx | DepMap | Descartes | 0.30 | 4.49 |
Descartes sympathoblasts markers
Top 50 marker genes of sympathoblasts cells in the Decartes fetal adrenal single cell map (https://atlas.brotmanbaty.org/bbi/human-gene-expression-during-development/cell/sympathoblasts/in/adrenal)
Wilcoxon ranksum test P-value for gene set overrepresentation: 3.60e-03
Mean rank of genes in gene set: 4697.82
Median rank of genes in gene set: 3752.5
Rank on gene expression program of top 30 genes in gene set:
Genes | Weight | Rank | GTEx | DepMap | Descartes | Mean.Counts | Mean.TPM |
---|---|---|---|---|---|---|---|
CHGA | 0.0095362 | 5 | GTEx | DepMap | Descartes | 7.12 | 423.11 |
CHGB | 0.0071659 | 32 | GTEx | DepMap | Descartes | 9.44 | 579.96 |
GCH1 | 0.0045383 | 212 | GTEx | DepMap | Descartes | 0.75 | 35.59 |
EML6 | 0.0044908 | 217 | GTEx | DepMap | Descartes | 0.14 | 2.15 |
UNC80 | 0.0036471 | 458 | GTEx | DepMap | Descartes | 0.62 | 5.78 |
PCSK2 | 0.0033496 | 604 | GTEx | DepMap | Descartes | 0.09 | 3.45 |
KSR2 | 0.0030034 | 805 | GTEx | DepMap | Descartes | 0.18 | 1.43 |
GRID2 | 0.0024945 | 1248 | GTEx | DepMap | Descartes | 0.26 | 5.96 |
ARC | 0.0024630 | 1286 | GTEx | DepMap | Descartes | 2.00 | 80.12 |
NTNG1 | 0.0023856 | 1379 | GTEx | DepMap | Descartes | 0.28 | 7.96 |
CDH12 | 0.0023805 | 1389 | GTEx | DepMap | Descartes | 0.14 | 3.75 |
HTATSF1 | 0.0023654 | 1409 | GTEx | DepMap | Descartes | 1.47 | 61.53 |
DGKK | 0.0023260 | 1454 | GTEx | DepMap | Descartes | 0.08 | 1.47 |
ROBO1 | 0.0020225 | 1900 | GTEx | DepMap | Descartes | 0.55 | 8.55 |
SLC24A2 | 0.0019701 | 1986 | GTEx | DepMap | Descartes | 0.03 | 0.37 |
LAMA3 | 0.0018981 | 2109 | GTEx | DepMap | Descartes | 0.04 | 0.55 |
TENM1 | 0.0017903 | 2305 | GTEx | DepMap | Descartes | 0.12 | NA |
AGBL4 | 0.0013663 | 3217 | GTEx | DepMap | Descartes | 0.16 | 5.17 |
C1QL1 | 0.0011642 | 3748 | GTEx | DepMap | Descartes | 3.25 | 255.67 |
MGAT4C | 0.0011608 | 3757 | GTEx | DepMap | Descartes | 0.58 | 2.69 |
CCSER1 | 0.0011569 | 3772 | GTEx | DepMap | Descartes | 0.11 | NA |
SPOCK3 | 0.0006844 | 5187 | GTEx | DepMap | Descartes | 0.20 | 9.62 |
TIAM1 | 0.0006828 | 5192 | GTEx | DepMap | Descartes | 0.28 | 4.46 |
TBX20 | 0.0006790 | 5204 | GTEx | DepMap | Descartes | 0.04 | 3.48 |
FGF14 | 0.0006031 | 5489 | GTEx | DepMap | Descartes | 0.23 | 2.11 |
CDH18 | 0.0003993 | 6321 | GTEx | DepMap | Descartes | 0.09 | 2.29 |
KCTD16 | 0.0001743 | 7296 | GTEx | DepMap | Descartes | 0.80 | 6.80 |
FAM155A | 0.0000814 | 7765 | GTEx | DepMap | Descartes | 0.74 | 8.76 |
PENK | 0.0000270 | 8032 | GTEx | DepMap | Descartes | 0.00 | 0.08 |
GRM7 | -0.0000419 | 8369 | GTEx | DepMap | Descartes | 0.01 | 0.41 |
Descartes erythroblasts markers
Top 50 marker genes of erythroblasts cells in the Decartes fetal adrenal single cell map (https://atlas.brotmanbaty.org/bbi/human-gene-expression-during-development/cell/erythroblasts/in/adrenal)
Wilcoxon ranksum test P-value for gene set overrepresentation: 2.74e-01
Mean rank of genes in gene set: 5871.69
Median rank of genes in gene set: 5113
Rank on gene expression program of top 30 genes in gene set:
Genes | Weight | Rank | GTEx | DepMap | Descartes | Mean.Counts | Mean.TPM |
---|---|---|---|---|---|---|---|
RAPGEF2 | 0.0025912 | 1147 | GTEx | DepMap | Descartes | 0.47 | 6.63 |
SLC25A37 | 0.0024762 | 1272 | GTEx | DepMap | Descartes | 1.09 | 26.62 |
SPTB | 0.0021006 | 1776 | GTEx | DepMap | Descartes | 0.15 | 1.97 |
EPB41 | 0.0019971 | 1950 | GTEx | DepMap | Descartes | 1.00 | 18.03 |
DENND4A | 0.0019537 | 2014 | GTEx | DepMap | Descartes | 0.46 | 6.37 |
XPO7 | 0.0018417 | 2211 | GTEx | DepMap | Descartes | 0.38 | 9.38 |
TFR2 | 0.0018334 | 2223 | GTEx | DepMap | Descartes | 0.24 | 7.93 |
SOX6 | 0.0017494 | 2370 | GTEx | DepMap | Descartes | 0.27 | 3.51 |
TMCC2 | 0.0017212 | 2424 | GTEx | DepMap | Descartes | 0.16 | 4.25 |
TSPAN5 | 0.0015914 | 2681 | GTEx | DepMap | Descartes | 1.44 | 42.80 |
GCLC | 0.0014759 | 2962 | GTEx | DepMap | Descartes | 0.22 | 6.90 |
ANK1 | 0.0012566 | 3499 | GTEx | DepMap | Descartes | 0.23 | 2.81 |
ABCB10 | 0.0011697 | 3729 | GTEx | DepMap | Descartes | 0.15 | 4.14 |
FECH | 0.0008086 | 4736 | GTEx | DepMap | Descartes | 0.27 | 4.25 |
TRAK2 | 0.0007050 | 5113 | GTEx | DepMap | Descartes | 0.21 | 3.83 |
CPOX | 0.0005823 | 5581 | GTEx | DepMap | Descartes | 0.09 | 3.41 |
MICAL2 | 0.0003798 | 6417 | GTEx | DepMap | Descartes | 0.03 | 0.46 |
SLC4A1 | 0.0001364 | 7497 | GTEx | DepMap | Descartes | 0.01 | 0.18 |
SLC25A21 | -0.0000385 | 8348 | GTEx | DepMap | Descartes | 0.00 | 0.00 |
RGS6 | -0.0000923 | 8611 | GTEx | DepMap | Descartes | 0.00 | 0.00 |
CAT | -0.0001251 | 8777 | GTEx | DepMap | Descartes | 0.28 | 13.14 |
RHD | -0.0001762 | 9005 | GTEx | DepMap | Descartes | 0.00 | 0.00 |
ALAS2 | -0.0002628 | 9389 | GTEx | DepMap | Descartes | 0.03 | 1.08 |
MARCH3 | -0.0005300 | 10328 | GTEx | DepMap | Descartes | 0.06 | NA |
SELENBP1 | -0.0005382 | 10348 | GTEx | DepMap | Descartes | 0.01 | 0.28 |
SPECC1 | -0.0005678 | 10418 | GTEx | DepMap | Descartes | 0.07 | 1.06 |
BLVRB | -0.0013493 | 11650 | GTEx | DepMap | Descartes | 0.20 | 11.44 |
SNCA | -0.0016387 | 11845 | GTEx | DepMap | Descartes | 0.72 | 26.16 |
GYPC | -0.0018136 | 11958 | GTEx | DepMap | Descartes | 0.18 | 9.80 |
NA | NA | NA | NA | NA | NA | NA | NA |
Descartes myeloid markers
Top 50 marker genes of myeloid cells in the Decartes fetal adrenal single cell map (https://atlas.brotmanbaty.org/bbi/human-gene-expression-during-development/cell/myeloid/in/adrenal)
Wilcoxon ranksum test P-value for gene set overrepresentation: 1.00e+00
Mean rank of genes in gene set: 8465.53
Median rank of genes in gene set: 8757.5
Rank on gene expression program of top 30 genes in gene set:
Genes | Weight | Rank | GTEx | DepMap | Descartes | Mean.Counts | Mean.TPM |
---|---|---|---|---|---|---|---|
FMN1 | 0.0035600 | 485 | GTEx | DepMap | Descartes | 0.37 | 3.46 |
RBPJ | 0.0012394 | 3544 | GTEx | DepMap | Descartes | 1.77 | 34.22 |
ITPR2 | 0.0006322 | 5381 | GTEx | DepMap | Descartes | 0.12 | 1.23 |
ABCA1 | 0.0004913 | 5956 | GTEx | DepMap | Descartes | 0.12 | 1.35 |
IFNGR1 | 0.0004359 | 6193 | GTEx | DepMap | Descartes | 0.42 | 21.00 |
CYBB | 0.0002655 | 6891 | GTEx | DepMap | Descartes | 0.09 | 2.57 |
HRH1 | 0.0002587 | 6915 | GTEx | DepMap | Descartes | 0.03 | 0.84 |
MERTK | 0.0002421 | 6981 | GTEx | DepMap | Descartes | 0.03 | 0.73 |
RGL1 | 0.0002260 | 7057 | GTEx | DepMap | Descartes | 0.05 | 1.29 |
SPP1 | 0.0002184 | 7094 | GTEx | DepMap | Descartes | 1.03 | 63.54 |
MSR1 | 0.0002117 | 7123 | GTEx | DepMap | Descartes | 0.06 | 2.29 |
WWP1 | 0.0001564 | 7387 | GTEx | DepMap | Descartes | 0.16 | 4.21 |
SLCO2B1 | 0.0001324 | 7513 | GTEx | DepMap | Descartes | 0.04 | 0.60 |
ATP8B4 | 0.0000498 | 7932 | GTEx | DepMap | Descartes | 0.01 | 0.26 |
LGMN | 0.0000091 | 8128 | GTEx | DepMap | Descartes | 0.45 | 24.73 |
CD163 | 0.0000025 | 8167 | GTEx | DepMap | Descartes | 0.05 | 0.91 |
ADAP2 | -0.0000201 | 8274 | GTEx | DepMap | Descartes | 0.08 | 3.69 |
SLC1A3 | -0.0000494 | 8400 | GTEx | DepMap | Descartes | 0.06 | 1.47 |
FGD2 | -0.0001046 | 8673 | GTEx | DepMap | Descartes | 0.02 | 0.35 |
CTSB | -0.0001420 | 8842 | GTEx | DepMap | Descartes | 1.53 | 43.43 |
CTSD | -0.0001700 | 8978 | GTEx | DepMap | Descartes | 1.13 | 61.98 |
CD14 | -0.0001730 | 8992 | GTEx | DepMap | Descartes | 0.22 | 15.53 |
CPVL | -0.0001973 | 9099 | GTEx | DepMap | Descartes | 0.08 | 4.86 |
CSF1R | -0.0002516 | 9342 | GTEx | DepMap | Descartes | 0.04 | 1.02 |
SFMBT2 | -0.0002589 | 9368 | GTEx | DepMap | Descartes | 0.05 | 0.66 |
TGFBI | -0.0003072 | 9582 | GTEx | DepMap | Descartes | 0.17 | 3.57 |
FGL2 | -0.0004407 | 10046 | GTEx | DepMap | Descartes | 0.14 | 2.84 |
AXL | -0.0004764 | 10163 | GTEx | DepMap | Descartes | 0.03 | 0.91 |
MARCH1 | -0.0005098 | 10276 | GTEx | DepMap | Descartes | 0.05 | NA |
SLC9A9 | -0.0005147 | 10297 | GTEx | DepMap | Descartes | 0.02 | 0.84 |
Descartes Schwann markers
Top 50 marker genes of Schwann cells in the Decartes fetal adrenal single cell map (https://atlas.brotmanbaty.org/bbi/human-gene-expression-during-development/cell/schwann/in/adrenal)
Wilcoxon ranksum test P-value for gene set overrepresentation: 9.16e-01
Mean rank of genes in gene set: 7027.2
Median rank of genes in gene set: 8348
Rank on gene expression program of top 30 genes in gene set:
Genes | Weight | Rank | GTEx | DepMap | Descartes | Mean.Counts | Mean.TPM |
---|---|---|---|---|---|---|---|
DST | 0.0071645 | 33 | GTEx | DepMap | Descartes | 5.06 | 28.44 |
PTN | 0.0055345 | 110 | GTEx | DepMap | Descartes | 1.53 | 133.43 |
LAMB1 | 0.0043868 | 239 | GTEx | DepMap | Descartes | 0.55 | 11.73 |
LAMA4 | 0.0040954 | 307 | GTEx | DepMap | Descartes | 0.44 | 8.21 |
MARCKS | 0.0038543 | 377 | GTEx | DepMap | Descartes | 16.84 | 429.63 |
NRXN1 | 0.0034682 | 534 | GTEx | DepMap | Descartes | 1.90 | 23.81 |
SFRP1 | 0.0033148 | 624 | GTEx | DepMap | Descartes | 2.06 | 57.25 |
GRIK3 | 0.0030392 | 779 | GTEx | DepMap | Descartes | 0.19 | 2.03 |
NRXN3 | 0.0017371 | 2386 | GTEx | DepMap | Descartes | 0.05 | 0.81 |
FIGN | 0.0014198 | 3085 | GTEx | DepMap | Descartes | 0.37 | 4.62 |
TRPM3 | 0.0010268 | 4111 | GTEx | DepMap | Descartes | 0.02 | 0.21 |
COL25A1 | 0.0009781 | 4268 | GTEx | DepMap | Descartes | 0.03 | 0.50 |
SOX5 | 0.0007350 | 5006 | GTEx | DepMap | Descartes | 0.28 | 4.60 |
PLCE1 | 0.0006800 | 5202 | GTEx | DepMap | Descartes | 0.11 | 1.10 |
SCN7A | 0.0005363 | 5768 | GTEx | DepMap | Descartes | 0.27 | 4.61 |
EGFLAM | 0.0004606 | 6083 | GTEx | DepMap | Descartes | 0.08 | 1.93 |
LAMC1 | 0.0004400 | 6175 | GTEx | DepMap | Descartes | 0.09 | 1.27 |
KCTD12 | 0.0002771 | 6830 | GTEx | DepMap | Descartes | 0.16 | 3.11 |
VCAN | 0.0002270 | 7048 | GTEx | DepMap | Descartes | 0.39 | 3.47 |
COL18A1 | 0.0001667 | 7328 | GTEx | DepMap | Descartes | 0.21 | 2.95 |
ERBB3 | 0.0000425 | 7964 | GTEx | DepMap | Descartes | 0.04 | 0.85 |
OLFML2A | 0.0000247 | 8044 | GTEx | DepMap | Descartes | 0.05 | 0.62 |
MDGA2 | -0.0001007 | 8652 | GTEx | DepMap | Descartes | 0.00 | 0.05 |
SLC35F1 | -0.0001215 | 8762 | GTEx | DepMap | Descartes | 0.11 | 1.92 |
EDNRB | -0.0001725 | 8987 | GTEx | DepMap | Descartes | 0.01 | 0.43 |
COL5A2 | -0.0001832 | 9045 | GTEx | DepMap | Descartes | 0.06 | 0.73 |
PTPRZ1 | -0.0001907 | 9075 | GTEx | DepMap | Descartes | 0.01 | 0.04 |
ADAMTS5 | -0.0001951 | 9091 | GTEx | DepMap | Descartes | 0.00 | 0.03 |
HMGA2 | -0.0002123 | 9160 | GTEx | DepMap | Descartes | 0.00 | 0.00 |
XKR4 | -0.0002187 | 9184 | GTEx | DepMap | Descartes | 0.06 | 0.29 |
Descartes Megakaryocytes markers
Top 50 marker genes of Megakaryocytes cells in the Decartes fetal adrenal single cell map (https://atlas.brotmanbaty.org/bbi/human-gene-expression-during-development/cell/megakaryocytes/in/adrenal)
Wilcoxon ranksum test P-value for gene set overrepresentation: 9.91e-01
Mean rank of genes in gene set: 7551.98
Median rank of genes in gene set: 8452
Rank on gene expression program of top 30 genes in gene set:
Genes | Weight | Rank | GTEx | DepMap | Descartes | Mean.Counts | Mean.TPM |
---|---|---|---|---|---|---|---|
ACTN1 | 0.0048446 | 170 | GTEx | DepMap | Descartes | 1.35 | 33.32 |
HIPK2 | 0.0046931 | 192 | GTEx | DepMap | Descartes | 1.03 | 7.73 |
CD9 | 0.0041466 | 290 | GTEx | DepMap | Descartes | 3.14 | 253.80 |
STON2 | 0.0038804 | 371 | GTEx | DepMap | Descartes | 0.33 | 8.56 |
PDE3A | 0.0025987 | 1135 | GTEx | DepMap | Descartes | 0.17 | 2.99 |
PRKAR2B | 0.0014123 | 3108 | GTEx | DepMap | Descartes | 1.30 | 41.44 |
MED12L | 0.0012439 | 3532 | GTEx | DepMap | Descartes | 0.08 | 1.00 |
ITGA2B | 0.0012097 | 3623 | GTEx | DepMap | Descartes | 0.04 | 1.54 |
ANGPT1 | 0.0011585 | 3763 | GTEx | DepMap | Descartes | 0.04 | 1.10 |
VCL | 0.0005781 | 5600 | GTEx | DepMap | Descartes | 0.29 | 3.79 |
LTBP1 | 0.0004718 | 6045 | GTEx | DepMap | Descartes | 0.01 | 0.20 |
MYH9 | 0.0004694 | 6055 | GTEx | DepMap | Descartes | 0.51 | 7.67 |
CD84 | 0.0004451 | 6150 | GTEx | DepMap | Descartes | 0.07 | 0.99 |
ARHGAP6 | 0.0004366 | 6191 | GTEx | DepMap | Descartes | 0.00 | 0.00 |
FLNA | 0.0004239 | 6236 | GTEx | DepMap | Descartes | 0.35 | 4.14 |
GP1BA | 0.0003991 | 6323 | GTEx | DepMap | Descartes | 0.00 | 0.22 |
UBASH3B | 0.0003906 | 6360 | GTEx | DepMap | Descartes | 0.10 | 1.66 |
MYLK | 0.0003228 | 6643 | GTEx | DepMap | Descartes | 0.05 | 0.50 |
MCTP1 | 0.0002565 | 6924 | GTEx | DepMap | Descartes | 0.02 | 0.45 |
MMRN1 | 0.0002171 | 7102 | GTEx | DepMap | Descartes | 0.00 | 0.00 |
ITGB3 | 0.0001886 | 7229 | GTEx | DepMap | Descartes | 0.00 | 0.00 |
TPM4 | 0.0001753 | 7294 | GTEx | DepMap | Descartes | 1.85 | 41.86 |
THBS1 | -0.0000602 | 8452 | GTEx | DepMap | Descartes | 0.04 | 0.51 |
TLN1 | -0.0001368 | 8824 | GTEx | DepMap | Descartes | 0.37 | 4.57 |
TUBB1 | -0.0002249 | 9213 | GTEx | DepMap | Descartes | 0.01 | 0.31 |
SLC24A3 | -0.0002410 | 9292 | GTEx | DepMap | Descartes | 0.00 | 0.08 |
TRPC6 | -0.0002717 | 9423 | GTEx | DepMap | Descartes | 0.00 | 0.02 |
DOK6 | -0.0002819 | 9463 | GTEx | DepMap | Descartes | 0.33 | 3.88 |
ZYX | -0.0003228 | 9644 | GTEx | DepMap | Descartes | 0.54 | 26.64 |
PSTPIP2 | -0.0003268 | 9662 | GTEx | DepMap | Descartes | 0.03 | 0.70 |
Descartes Lyphoid markers
Top 50 marker genes of Lyphoid cells in the Decartes fetal adrenal single cell map (https://atlas.brotmanbaty.org/bbi/human-gene-expression-during-development/cell/lymphoid/in/adrenal)
Wilcoxon ranksum test P-value for gene set overrepresentation: 1.00e+00
Mean rank of genes in gene set: 9049.74
Median rank of genes in gene set: 11208
Rank on gene expression program of top 30 genes in gene set:
Genes | Weight | Rank | GTEx | DepMap | Descartes | Mean.Counts | Mean.TPM |
---|---|---|---|---|---|---|---|
RAP1GAP2 | 0.0059383 | 91 | GTEx | DepMap | Descartes | 0.91 | 15.78 |
SORL1 | 0.0032233 | 681 | GTEx | DepMap | Descartes | 0.62 | 7.09 |
FOXP1 | 0.0031054 | 744 | GTEx | DepMap | Descartes | 2.71 | 35.19 |
TOX | 0.0023269 | 1453 | GTEx | DepMap | Descartes | 0.88 | 23.35 |
DOCK10 | 0.0016827 | 2504 | GTEx | DepMap | Descartes | 0.19 | 3.78 |
BACH2 | 0.0009975 | 4200 | GTEx | DepMap | Descartes | 0.22 | 2.95 |
FYN | 0.0008197 | 4706 | GTEx | DepMap | Descartes | 3.21 | 97.25 |
PITPNC1 | 0.0008196 | 4707 | GTEx | DepMap | Descartes | 0.40 | 6.88 |
EVL | 0.0006268 | 5400 | GTEx | DepMap | Descartes | 3.30 | 97.47 |
PDE3B | 0.0004603 | 6084 | GTEx | DepMap | Descartes | 0.24 | 5.01 |
BCL2 | 0.0003811 | 6412 | GTEx | DepMap | Descartes | 0.62 | 10.39 |
ANKRD44 | 0.0002812 | 6819 | GTEx | DepMap | Descartes | 0.22 | 3.78 |
SCML4 | 0.0001739 | 7298 | GTEx | DepMap | Descartes | 0.16 | 4.98 |
MBNL1 | -0.0000909 | 8605 | GTEx | DepMap | Descartes | 0.40 | 7.45 |
PLEKHA2 | -0.0002517 | 9343 | GTEx | DepMap | Descartes | 0.08 | 1.55 |
CELF2 | -0.0003270 | 9665 | GTEx | DepMap | Descartes | 1.51 | 20.26 |
CD44 | -0.0003582 | 9789 | GTEx | DepMap | Descartes | 3.41 | 73.38 |
ITPKB | -0.0004449 | 10060 | GTEx | DepMap | Descartes | 0.02 | 0.34 |
ABLIM1 | -0.0006850 | 10702 | GTEx | DepMap | Descartes | 0.38 | 5.62 |
MCTP2 | -0.0007267 | 10784 | GTEx | DepMap | Descartes | 0.02 | 0.42 |
LEF1 | -0.0009056 | 11112 | GTEx | DepMap | Descartes | 0.03 | 0.82 |
SAMD3 | -0.0010422 | 11304 | GTEx | DepMap | Descartes | 0.01 | 0.26 |
CCL5 | -0.0011942 | 11484 | GTEx | DepMap | Descartes | 0.16 | 18.02 |
PRKCH | -0.0012077 | 11496 | GTEx | DepMap | Descartes | 0.02 | 0.74 |
RCSD1 | -0.0012659 | 11559 | GTEx | DepMap | Descartes | 0.04 | 0.76 |
ETS1 | -0.0013471 | 11644 | GTEx | DepMap | Descartes | 0.08 | 1.85 |
GNG2 | -0.0013751 | 11670 | GTEx | DepMap | Descartes | 1.67 | 50.99 |
SP100 | -0.0013992 | 11687 | GTEx | DepMap | Descartes | 0.08 | 1.69 |
LCP1 | -0.0014208 | 11707 | GTEx | DepMap | Descartes | 0.39 | 10.07 |
IKZF1 | -0.0014524 | 11735 | GTEx | DepMap | Descartes | 0.05 | 0.71 |
Below shows the ranks on this GEP for immune marker gene lists curated by CellTypist (https://www.celltypist.org/encyclopedia).
High ranks indicate this gene is a driver of this GEP.
These curated gene list are ranked by P-value (on this GEP) of their constituent genes.
The Mean Count column shows the mean read count in cells scoring highly (H > 50) on this gene expression program.
Genes | Weight | Rank | GTEx | DepMap | Decartes | Mean.Counts | Mean.TPM |
---|---|---|---|---|---|---|---|
TOP2A | 0.0042530 | 267 | GTEx | DepMap | Descartes | 5.71 | 119.68 |
MKI67 | 0.0026702 | 1062 | GTEx | DepMap | Descartes | 2.77 | 25.50 |
Cycling cells: Cycling gamma-delta T cells (curated markers)
proliferating gamma-delta (γδ) T lymphocytes:
Wilcoxon ranksum test P-value for gene set overrepresentation: 1.43e-02
Mean rank of genes in gene set: 664.5
Rank on gene expression program of genes in gene set:
Genes | Weight | Rank | GTEx | DepMap | Decartes | Mean.Counts | Mean.TPM |
---|---|---|---|---|---|---|---|
TOP2A | 0.0042530 | 267 | GTEx | DepMap | Descartes | 5.71 | 119.68 |
MKI67 | 0.0026702 | 1062 | GTEx | DepMap | Descartes | 2.77 | 25.50 |
Cycling cells: Cycling monocytes (curated markers)
proliferating monocytes:
Wilcoxon ranksum test P-value for gene set overrepresentation: 1.43e-02
Mean rank of genes in gene set: 664.5
Rank on gene expression program of genes in gene set:
Genes | Weight | Rank | GTEx | DepMap | Decartes | Mean.Counts | Mean.TPM |
---|---|---|---|---|---|---|---|
TOP2A | 0.0042530 | 267 | GTEx | DepMap | Descartes | 5.71 | 119.68 |
MKI67 | 0.0026702 | 1062 | GTEx | DepMap | Descartes | 2.77 | 25.50 |