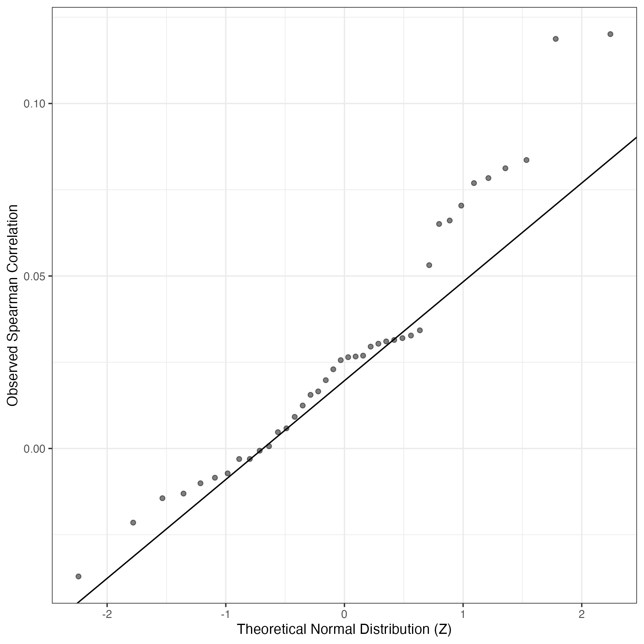
QQ-plot of gene loadings, averaged over both independent splits of the data
This plot highlights the relative contribution of each gene to the GEP
Top genes driving this program.
Note: Decartes website is buggy, try refreshing. Also, Decartes fetal adrenal data have been collected at specific time points (89-122 days), all possible cell types of interest may not be represented, do not overinterpret.
The Mean Count column shows the mean read count in cells scoring highly (H > 50) on this gene expression program.
Gene | Loading | Gene.Name | GTEx | DepMap | Descartes | Mean.Counts | Mean.Tpm | |
---|---|---|---|---|---|---|---|---|
1 | IGFBP5 | 0.0171228 | insulin like growth factor binding protein 5 | GTEx | DepMap | Descartes | 34.36 | 1443.01 |
2 | COL8A1 | 0.0165202 | collagen type VIII alpha 1 chain | GTEx | DepMap | Descartes | 3.35 | 156.04 |
3 | PLAT | 0.0128457 | plasminogen activator, tissue type | GTEx | DepMap | Descartes | 3.67 | 333.24 |
4 | COL18A1 | 0.0120867 | collagen type XVIII alpha 1 chain | GTEx | DepMap | Descartes | 6.59 | 264.09 |
5 | PTPRZ1 | 0.0115737 | protein tyrosine phosphatase receptor type Z1 | GTEx | DepMap | Descartes | 0.60 | 26.82 |
6 | TNFRSF12A | 0.0104422 | TNF receptor superfamily member 12A | GTEx | DepMap | Descartes | 3.27 | 494.88 |
7 | TTYH1 | 0.0099717 | tweety family member 1 | GTEx | DepMap | Descartes | 1.45 | 113.63 |
8 | VIM | 0.0098962 | vimentin | GTEx | DepMap | Descartes | 76.58 | 6744.19 |
9 | COL12A1 | 0.0098825 | collagen type XII alpha 1 chain | GTEx | DepMap | Descartes | 1.51 | 34.50 |
10 | OLFML2A | 0.0095573 | olfactomedin like 2A | GTEx | DepMap | Descartes | 1.60 | 74.09 |
11 | TGFBI | 0.0095263 | transforming growth factor beta induced | GTEx | DepMap | Descartes | 5.26 | 285.82 |
12 | LYPD1 | 0.0088861 | LY6/PLAUR domain containing 1 | GTEx | DepMap | Descartes | 0.99 | 77.29 |
13 | KRT80 | 0.0087508 | keratin 80 | GTEx | DepMap | Descartes | 0.02 | 1.90 |
14 | NES | 0.0085245 | nestin | GTEx | DepMap | Descartes | 4.06 | 172.05 |
15 | ERBB3 | 0.0083427 | erb-b2 receptor tyrosine kinase 3 | GTEx | DepMap | Descartes | 1.20 | 73.08 |
16 | GAS7 | 0.0080593 | growth arrest specific 7 | GTEx | DepMap | Descartes | 1.58 | 54.23 |
17 | NTM | 0.0080218 | neurotrimin | GTEx | DepMap | Descartes | 1.63 | 142.22 |
18 | S100A16 | 0.0078903 | S100 calcium binding protein A16 | GTEx | DepMap | Descartes | 3.49 | 721.89 |
19 | TNFAIP6 | 0.0077169 | TNF alpha induced protein 6 | GTEx | DepMap | Descartes | 2.04 | 362.97 |
20 | TNC | 0.0076155 | tenascin C | GTEx | DepMap | Descartes | 1.85 | 43.13 |
21 | COL7A1 | 0.0075179 | collagen type VII alpha 1 chain | GTEx | DepMap | Descartes | 0.93 | 31.75 |
22 | COL5A2 | 0.0072624 | collagen type V alpha 2 chain | GTEx | DepMap | Descartes | 2.42 | 84.75 |
23 | PMEPA1 | 0.0071371 | prostate transmembrane protein, androgen induced 1 | GTEx | DepMap | Descartes | 4.28 | 234.09 |
24 | SLC15A3 | 0.0070621 | solute carrier family 15 member 3 | GTEx | DepMap | Descartes | 1.45 | 93.32 |
25 | S100A6 | 0.0069583 | S100 calcium binding protein A6 | GTEx | DepMap | Descartes | 41.92 | 16598.74 |
26 | RGS16 | 0.0069221 | regulator of G protein signaling 16 | GTEx | DepMap | Descartes | 4.27 | 473.95 |
27 | ANXA2 | 0.0068749 | annexin A2 | GTEx | DepMap | Descartes | 17.65 | 1331.58 |
28 | ITGB1 | 0.0068242 | integrin subunit beta 1 | GTEx | DepMap | Descartes | 9.58 | 676.31 |
29 | COL9A3 | 0.0066909 | collagen type IX alpha 3 chain | GTEx | DepMap | Descartes | 0.65 | 93.85 |
30 | S100A10 | 0.0066852 | S100 calcium binding protein A10 | GTEx | DepMap | Descartes | 17.13 | 7121.27 |
31 | TSPAN11 | 0.0065204 | tetraspanin 11 | GTEx | DepMap | Descartes | 0.71 | 36.08 |
32 | KRT17 | 0.0062761 | keratin 17 | GTEx | DepMap | Descartes | 0.81 | 114.57 |
33 | CHST3 | 0.0062708 | carbohydrate sulfotransferase 3 | GTEx | DepMap | Descartes | 0.38 | 14.65 |
34 | COL4A2 | 0.0062384 | collagen type IV alpha 2 chain | GTEx | DepMap | Descartes | 9.98 | 321.24 |
35 | LRRC15 | 0.0061947 | leucine rich repeat containing 15 | GTEx | DepMap | Descartes | 0.02 | 0.42 |
36 | ADAMTSL1 | 0.0061853 | ADAMTS like 1 | GTEx | DepMap | Descartes | 0.32 | 11.55 |
37 | TIMP3 | 0.0060703 | TIMP metallopeptidase inhibitor 3 | GTEx | DepMap | Descartes | 5.70 | 335.37 |
38 | FHDC1 | 0.0060425 | FH2 domain containing 1 | GTEx | DepMap | Descartes | 0.44 | 18.29 |
39 | ANXA5 | 0.0060268 | annexin A5 | GTEx | DepMap | Descartes | 6.61 | 990.22 |
40 | COL6A1 | 0.0058133 | collagen type VI alpha 1 chain | GTEx | DepMap | Descartes | 5.05 | 264.15 |
41 | COL20A1 | 0.0057494 | collagen type XX alpha 1 chain | GTEx | DepMap | Descartes | 0.19 | 9.85 |
42 | ECM1 | 0.0057322 | extracellular matrix protein 1 | GTEx | DepMap | Descartes | 0.65 | 51.71 |
43 | COL6A2 | 0.0057316 | collagen type VI alpha 2 chain | GTEx | DepMap | Descartes | 6.90 | 477.02 |
44 | TFAP2A | 0.0057193 | transcription factor AP-2 alpha | GTEx | DepMap | Descartes | 0.64 | 58.55 |
45 | COL5A1 | 0.0057018 | collagen type V alpha 1 chain | GTEx | DepMap | Descartes | 2.06 | 58.02 |
46 | NGFR | 0.0056537 | nerve growth factor receptor | GTEx | DepMap | Descartes | 1.63 | 156.93 |
47 | SPARC | 0.0055947 | secreted protein acidic and cysteine rich | GTEx | DepMap | Descartes | 21.42 | 1389.94 |
48 | MOG | 0.0054617 | myelin oligodendrocyte glycoprotein | GTEx | DepMap | Descartes | 0.01 | 0.20 |
49 | KDELR3 | 0.0054531 | KDEL endoplasmic reticulum protein retention receptor 3 | GTEx | DepMap | Descartes | 0.72 | 89.26 |
50 | ACTG2 | 0.0054106 | actin gamma 2, smooth muscle | GTEx | DepMap | Descartes | 2.82 | 195.04 |
UMAP plots showing activity of gene expression program identified in GEP 27. Schwannian Stromal Cell: NB:
CNV Data procured from inferCNV.
Outer tracks are putative CNV regions (gains = red, losses = blue) for each patient
Inner track is expression data representing:
The top cells expressing this GEP (purple)
Random cells (n =50) from the reference set used in inferCNV (orange)
Gene set Enrichments for this program, caculated from top 50 genes
mSigDB Cell Types Gene Set:
P-value | OR | Lower 95% CI | FDR | FWER | Genes Found | Gene Set Size | |
---|---|---|---|---|---|---|---|
DESCARTES_FETAL_STOMACH_ENS_GLIA | 3.10e-08 | 40.47 | 13.39 | 1.39e-06 | 2.08e-05 | 6PTPRZ1, OLFML2A, SLC15A3, TSPAN11, COL20A1, TFAP2A |
48 |
CUI_DEVELOPING_HEART_COMPACT_VENTRICULAR_CARDIOMYOCYTE | 5.81e-09 | 35.05 | 12.76 | 3.25e-07 | 3.90e-06 | 7VIM, COL12A1, COL5A2, COL6A1, COL6A2, COL5A1, SPARC |
65 |
AIZARANI_LIVER_C33_STELLATE_CELLS_2 | 4.82e-11 | 26.91 | 11.71 | 8.17e-09 | 3.23e-08 | 10IGFBP5, PLAT, VIM, ITGB1, COL4A2, TIMP3, COL6A1, COL6A2, COL5A1, SPARC |
126 |
DESCARTES_FETAL_ADRENAL_SCHWANN_CELLS | 6.08e-11 | 26.23 | 11.42 | 8.17e-09 | 4.08e-08 | 10COL18A1, PTPRZ1, TTYH1, OLFML2A, LYPD1, ERBB3, PMEPA1, TSPAN11, COL20A1, NGFR |
129 |
DESCARTES_FETAL_EYE_STROMAL_CELLS | 2.03e-09 | 29.01 | 11.40 | 1.51e-07 | 1.36e-06 | 8COL12A1, TNFAIP6, COL5A2, COL6A1, COL6A2, COL5A1, SPARC, KDELR3 |
90 |
MURARO_PANCREAS_MESENCHYMAL_STROMAL_CELL | 7.27e-21 | 20.74 | 11.37 | 4.88e-18 | 4.88e-18 | 26IGFBP5, COL8A1, PLAT, COL18A1, TNFRSF12A, VIM, COL12A1, OLFML2A, TGFBI, NES, GAS7, S100A16, TNFAIP6, TNC, COL5A2, PMEPA1, ANXA2, ITGB1, COL4A2, TIMP3, ANXA5, COL6A1, COL6A2, COL5A1, SPARC, KDELR3 |
680 |
MENON_FETAL_KIDNEY_3_STROMAL_CELLS | 2.74e-08 | 27.47 | 10.09 | 1.39e-06 | 1.84e-05 | 7IGFBP5, VIM, TNC, COL5A2, ITGB1, COL4A2, SPARC |
81 |
MENON_FETAL_KIDNEY_9_ENDOTHELIAL_CELLS | 5.49e-09 | 25.29 | 9.99 | 3.25e-07 | 3.68e-06 | 8IGFBP5, NES, S100A6, ANXA2, ITGB1, COL4A2, TIMP3, SPARC |
102 |
DURANTE_ADULT_OLFACTORY_NEUROEPITHELIUM_FIBROBLASTS_STROMAL_CELLS | 2.99e-08 | 27.08 | 9.96 | 1.39e-06 | 2.00e-05 | 7IGFBP5, VIM, TGFBI, ECM1, COL6A2, TFAP2A, SPARC |
82 |
TRAVAGLINI_LUNG_MYOFIBROBLAST_CELL | 1.97e-07 | 28.86 | 9.68 | 6.29e-06 | 1.32e-04 | 6VIM, COL12A1, TGFBI, NTM, TNC, S100A10 |
65 |
DESCARTES_FETAL_PANCREAS_ENS_GLIA | 4.28e-07 | 25.02 | 8.44 | 1.20e-05 | 2.87e-04 | 6PTPRZ1, OLFML2A, ERBB3, TSPAN11, COL20A1, TFAP2A |
74 |
FAN_EMBRYONIC_CTX_BIG_GROUPS_GLIAL | 4.39e-08 | 19.04 | 7.56 | 1.73e-06 | 2.95e-05 | 8PTPRZ1, TTYH1, VIM, LYPD1, NTM, S100A16, TNC, ANXA5 |
133 |
ZHONG_PFC_C9_ORG_OTHER | 8.45e-07 | 22.11 | 7.48 | 2.18e-05 | 5.67e-04 | 6PTPRZ1, TTYH1, NTM, S100A16, TNC, SPARC |
83 |
AIZARANI_LIVER_C21_STELLATE_CELLS_1 | 3.21e-09 | 16.98 | 7.45 | 2.15e-07 | 2.15e-06 | 10IGFBP5, VIM, RGS16, ITGB1, COL4A2, TIMP3, COL6A1, COL6A2, COL5A1, SPARC |
194 |
DESCARTES_FETAL_THYMUS_STROMAL_CELLS | 5.52e-08 | 18.44 | 7.33 | 2.06e-06 | 3.70e-05 | 8IGFBP5, PLAT, COL12A1, COL5A2, S100A6, COL6A1, COL5A1, SPARC |
137 |
FAN_EMBRYONIC_CTX_BRAIN_ENDOTHELIAL_2 | 8.73e-11 | 15.14 | 7.31 | 9.76e-09 | 5.86e-08 | 13COL18A1, VIM, OLFML2A, NTM, COL5A2, ANXA2, ITGB1, COL4A2, TIMP3, COL6A1, ECM1, COL6A2, SPARC |
303 |
HU_FETAL_RETINA_MULLER | 2.20e-05 | 28.56 | 7.12 | 3.52e-04 | 1.48e-02 | 4PTPRZ1, TTYH1, VIM, PMEPA1 |
42 |
DURANTE_ADULT_OLFACTORY_NEUROEPITHELIUM_OLFACTORY_ENSHEATHING_GLIA | 3.07e-07 | 18.82 | 6.99 | 9.35e-06 | 2.06e-04 | 7TTYH1, VIM, ERBB3, GAS7, S100A10, TIMP3, SPARC |
115 |
CUI_DEVELOPING_HEART_C3_FIBROBLAST_LIKE_CELL | 3.45e-07 | 18.49 | 6.86 | 1.01e-05 | 2.31e-04 | 7COL12A1, TGFBI, COL5A2, COL6A1, COL6A2, COL5A1, SPARC |
117 |
GAO_LARGE_INTESTINE_ADULT_CJ_IMMUNE_CELLS | 2.25e-12 | 13.20 | 6.85 | 7.55e-10 | 1.51e-09 | 17IGFBP5, PLAT, COL18A1, COL12A1, OLFML2A, TGFBI, NES, COL5A2, SLC15A3, TSPAN11, COL4A2, TIMP3, COL6A1, ECM1, COL6A2, COL5A1, SPARC |
505 |
Dowload full table
mSigDB Hallmark Gene Sets:
P-value | OR | Lower 95% CI | FDR | FWER | Genes Found | Gene Set Size | |
---|---|---|---|---|---|---|---|
HALLMARK_EPITHELIAL_MESENCHYMAL_TRANSITION | 6.65e-19 | 35.18 | 18.04 | 3.32e-17 | 3.32e-17 | 17TNFRSF12A, VIM, COL12A1, TGFBI, NTM, TNC, COL7A1, COL5A2, PMEPA1, ITGB1, COL4A2, LRRC15, TIMP3, ECM1, COL6A2, COL5A1, SPARC |
200 |
HALLMARK_HYPOXIA | 1.08e-03 | 7.12 | 2.18 | 1.80e-02 | 5.40e-02 | 5TGFBI, ANXA2, CHST3, COL5A1, KDELR3 |
200 |
HALLMARK_MYOGENESIS | 1.08e-03 | 7.12 | 2.18 | 1.80e-02 | 5.40e-02 | 5ERBB3, ITGB1, COL4A2, COL6A2, SPARC |
200 |
HALLMARK_APOPTOSIS | 3.63e-03 | 6.92 | 1.79 | 4.54e-02 | 1.82e-01 | 4PLAT, TNFRSF12A, ERBB3, TIMP3 |
161 |
HALLMARK_COAGULATION | 1.70e-02 | 5.91 | 1.16 | 1.58e-01 | 8.50e-01 | 3PLAT, TIMP3, SPARC |
138 |
HALLMARK_UV_RESPONSE_DN | 1.90e-02 | 5.66 | 1.11 | 1.58e-01 | 9.50e-01 | 3IGFBP5, COL5A2, ANXA2 |
144 |
HALLMARK_CHOLESTEROL_HOMEOSTASIS | 3.47e-02 | 7.23 | 0.84 | 1.67e-01 | 1.00e+00 | 2TNFRSF12A, ANXA5 |
74 |
HALLMARK_IL2_STAT5_SIGNALING | 4.30e-02 | 4.07 | 0.80 | 1.67e-01 | 1.00e+00 | 3RGS16, COL6A1, ECM1 |
199 |
HALLMARK_TNFA_SIGNALING_VIA_NFKB | 4.35e-02 | 4.05 | 0.80 | 1.67e-01 | 1.00e+00 | 3TNFAIP6, TNC, PMEPA1 |
200 |
HALLMARK_APICAL_JUNCTION | 4.35e-02 | 4.05 | 0.80 | 1.67e-01 | 1.00e+00 | 3TGFBI, ITGB1, ACTG2 |
200 |
HALLMARK_COMPLEMENT | 4.35e-02 | 4.05 | 0.80 | 1.67e-01 | 1.00e+00 | 3PLAT, COL4A2, ANXA5 |
200 |
HALLMARK_GLYCOLYSIS | 4.35e-02 | 4.05 | 0.80 | 1.67e-01 | 1.00e+00 | 3TGFBI, COL5A1, KDELR3 |
200 |
HALLMARK_P53_PATHWAY | 4.35e-02 | 4.05 | 0.80 | 1.67e-01 | 1.00e+00 | 3RGS16, S100A10, KRT17 |
200 |
HALLMARK_INFLAMMATORY_RESPONSE | 1.85e-01 | 2.63 | 0.31 | 5.69e-01 | 1.00e+00 | 2TNFAIP6, RGS16 |
200 |
HALLMARK_KRAS_SIGNALING_UP | 1.85e-01 | 2.63 | 0.31 | 5.69e-01 | 1.00e+00 | 2PLAT, RGS16 |
200 |
HALLMARK_ANGIOGENESIS | 1.34e-01 | 7.29 | 0.18 | 4.77e-01 | 1.00e+00 | 1COL5A2 |
36 |
HALLMARK_TGF_BETA_SIGNALING | 1.94e-01 | 4.81 | 0.12 | 5.69e-01 | 1.00e+00 | 1PMEPA1 |
54 |
HALLMARK_IL6_JAK_STAT3_SIGNALING | 2.93e-01 | 2.97 | 0.07 | 8.13e-01 | 1.00e+00 | 1TNFRSF12A |
87 |
HALLMARK_ANDROGEN_RESPONSE | 3.28e-01 | 2.58 | 0.06 | 8.63e-01 | 1.00e+00 | 1PMEPA1 |
100 |
HALLMARK_UNFOLDED_PROTEIN_RESPONSE | 3.62e-01 | 2.28 | 0.06 | 9.04e-01 | 1.00e+00 | 1KDELR3 |
113 |
Dowload full table
KEGG Pathways:
P-value | OR | Lower 95% CI | FDR | FWER | Genes Found | Gene Set Size | |
---|---|---|---|---|---|---|---|
KEGG_ECM_RECEPTOR_INTERACTION | 3.53e-08 | 26.38 | 9.71 | 6.57e-06 | 6.57e-06 | 7TNC, COL5A2, ITGB1, COL4A2, COL6A1, COL6A2, COL5A1 |
84 |
KEGG_FOCAL_ADHESION | 1.15e-05 | 10.60 | 3.97 | 1.07e-03 | 2.14e-03 | 7TNC, COL5A2, ITGB1, COL4A2, COL6A1, COL6A2, COL5A1 |
199 |
KEGG_SMALL_CELL_LUNG_CANCER | 4.36e-02 | 6.35 | 0.74 | 1.00e+00 | 1.00e+00 | 2ITGB1, COL4A2 |
84 |
KEGG_GLYCOSAMINOGLYCAN_BIOSYNTHESIS_CHONDROITIN_SULFATE | 8.40e-02 | 12.14 | 0.29 | 1.00e+00 | 1.00e+00 | 1CHST3 |
22 |
KEGG_CYTOKINE_CYTOKINE_RECEPTOR_INTERACTION | 2.77e-01 | 1.98 | 0.23 | 1.00e+00 | 1.00e+00 | 2TNFRSF12A, NGFR |
265 |
KEGG_PATHWAYS_IN_CANCER | 3.61e-01 | 1.61 | 0.19 | 1.00e+00 | 1.00e+00 | 2ITGB1, COL4A2 |
325 |
KEGG_VIBRIO_CHOLERAE_INFECTION | 1.94e-01 | 4.81 | 0.12 | 1.00e+00 | 1.00e+00 | 1KDELR3 |
54 |
KEGG_PATHOGENIC_ESCHERICHIA_COLI_INFECTION | 2.00e-01 | 4.64 | 0.11 | 1.00e+00 | 1.00e+00 | 1ITGB1 |
56 |
KEGG_EPITHELIAL_CELL_SIGNALING_IN_HELICOBACTER_PYLORI_INFECTION | 2.37e-01 | 3.81 | 0.09 | 1.00e+00 | 1.00e+00 | 1PTPRZ1 |
68 |
KEGG_COMPLEMENT_AND_COAGULATION_CASCADES | 2.40e-01 | 3.75 | 0.09 | 1.00e+00 | 1.00e+00 | 1PLAT |
69 |
KEGG_LEISHMANIA_INFECTION | 2.49e-01 | 3.59 | 0.09 | 1.00e+00 | 1.00e+00 | 1ITGB1 |
72 |
KEGG_ARRHYTHMOGENIC_RIGHT_VENTRICULAR_CARDIOMYOPATHY_ARVC | 2.55e-01 | 3.49 | 0.09 | 1.00e+00 | 1.00e+00 | 1ITGB1 |
74 |
KEGG_HYPERTROPHIC_CARDIOMYOPATHY_HCM | 2.81e-01 | 3.11 | 0.08 | 1.00e+00 | 1.00e+00 | 1ITGB1 |
83 |
KEGG_ERBB_SIGNALING_PATHWAY | 2.93e-01 | 2.97 | 0.07 | 1.00e+00 | 1.00e+00 | 1ERBB3 |
87 |
KEGG_DILATED_CARDIOMYOPATHY | 3.01e-01 | 2.87 | 0.07 | 1.00e+00 | 1.00e+00 | 1ITGB1 |
90 |
KEGG_VASCULAR_SMOOTH_MUSCLE_CONTRACTION | 3.67e-01 | 2.24 | 0.06 | 1.00e+00 | 1.00e+00 | 1ACTG2 |
115 |
KEGG_LEUKOCYTE_TRANSENDOTHELIAL_MIGRATION | 3.69e-01 | 2.22 | 0.05 | 1.00e+00 | 1.00e+00 | 1ITGB1 |
116 |
KEGG_NEUROTROPHIN_SIGNALING_PATHWAY | 3.94e-01 | 2.04 | 0.05 | 1.00e+00 | 1.00e+00 | 1NGFR |
126 |
KEGG_AXON_GUIDANCE | 4.01e-01 | 1.99 | 0.05 | 1.00e+00 | 1.00e+00 | 1ITGB1 |
129 |
KEGG_CELL_ADHESION_MOLECULES_CAMS | 4.10e-01 | 1.93 | 0.05 | 1.00e+00 | 1.00e+00 | 1ITGB1 |
133 |
Dowload full table
CHR Positional Gene Sets:
P-value | OR | Lower 95% CI | FDR | FWER | Genes Found | Gene Set Size | |
---|---|---|---|---|---|---|---|
chr1q21 | 6.42e-02 | 2.80 | 0.73 | 1.00e+00 | 1.00e+00 | 4S100A16, S100A6, S100A10, ECM1 |
392 |
chr9q33 | 9.42e-02 | 4.04 | 0.47 | 1.00e+00 | 1.00e+00 | 2OLFML2A, TNC |
131 |
chr21q22 | 1.56e-01 | 2.28 | 0.45 | 1.00e+00 | 1.00e+00 | 3COL18A1, COL6A1, COL6A2 |
353 |
chr20q13 | 2.00e-01 | 2.01 | 0.40 | 1.00e+00 | 1.00e+00 | 3PMEPA1, COL9A3, COL20A1 |
400 |
chr4q27 | 1.09e-01 | 9.11 | 0.22 | 1.00e+00 | 1.00e+00 | 1ANXA5 |
29 |
chr11q25 | 1.16e-01 | 8.50 | 0.20 | 1.00e+00 | 1.00e+00 | 1NTM |
31 |
chr12q13 | 6.71e-01 | 1.29 | 0.15 | 1.00e+00 | 1.00e+00 | 2KRT80, ERBB3 |
407 |
chr3q12 | 1.67e-01 | 5.67 | 0.14 | 1.00e+00 | 1.00e+00 | 1COL8A1 |
46 |
chr17q21 | 6.95e-01 | 1.14 | 0.13 | 1.00e+00 | 1.00e+00 | 2KRT17, NGFR |
457 |
chr2q23 | 1.84e-01 | 5.10 | 0.12 | 1.00e+00 | 1.00e+00 | 1TNFAIP6 |
51 |
chr6p24 | 2.03e-01 | 4.55 | 0.11 | 1.00e+00 | 1.00e+00 | 1TFAP2A |
57 |
chr10p13 | 2.25e-01 | 4.05 | 0.10 | 1.00e+00 | 1.00e+00 | 1VIM |
64 |
chr12p11 | 2.64e-01 | 3.36 | 0.08 | 1.00e+00 | 1.00e+00 | 1TSPAN11 |
77 |
chr6q14 | 3.09e-01 | 2.77 | 0.07 | 1.00e+00 | 1.00e+00 | 1COL12A1 |
93 |
chr8p11 | 3.15e-01 | 2.71 | 0.07 | 1.00e+00 | 1.00e+00 | 1PLAT |
95 |
chr2q32 | 3.49e-01 | 2.38 | 0.06 | 1.00e+00 | 1.00e+00 | 1COL5A2 |
108 |
chr5q33 | 3.52e-01 | 2.36 | 0.06 | 1.00e+00 | 1.00e+00 | 1SPARC |
109 |
chr3q29 | 3.84e-01 | 2.11 | 0.05 | 1.00e+00 | 1.00e+00 | 1LRRC15 |
122 |
chr15q22 | 3.89e-01 | 2.07 | 0.05 | 1.00e+00 | 1.00e+00 | 1ANXA2 |
124 |
chr2q35 | 3.94e-01 | 2.04 | 0.05 | 1.00e+00 | 1.00e+00 | 1IGFBP5 |
126 |
Dowload full table
Transcription Factor Targets:
P-value | OR | Lower 95% CI | FDR | FWER | Genes Found | Gene Set Size | |
---|---|---|---|---|---|---|---|
BACH1_01 | 6.66e-05 | 7.95 | 2.99 | 7.55e-02 | 7.55e-02 | 7TNFRSF12A, COL7A1, S100A10, LRRC15, ADAMTSL1, ECM1, SPARC |
263 |
RREB1_01 | 8.95e-03 | 5.30 | 1.37 | 8.45e-01 | 1.00e+00 | 4IGFBP5, VIM, S100A16, TIMP3 |
209 |
ZSCAN26_TARGET_GENES | 1.98e-02 | 63.54 | 1.27 | 8.61e-01 | 1.00e+00 | 1LYPD1 |
5 |
HES2_TARGET_GENES | 1.50e-02 | 2.50 | 1.15 | 8.61e-01 | 1.00e+00 | 11VIM, COL12A1, TGFBI, GAS7, TNFAIP6, COL7A1, PMEPA1, S100A6, ANXA2, ITGB1, S100A10 |
1420 |
ZIC3_01 | 1.73e-02 | 4.33 | 1.12 | 8.61e-01 | 1.00e+00 | 4ERBB3, COL7A1, CHST3, TIMP3 |
255 |
LMO2COM_01 | 1.96e-02 | 4.16 | 1.08 | 8.61e-01 | 1.00e+00 | 4IGFBP5, COL12A1, LYPD1, ERBB3 |
265 |
AP1_Q4 | 2.10e-02 | 4.07 | 1.06 | 8.61e-01 | 1.00e+00 | 4TNFRSF12A, VIM, S100A10, LRRC15 |
271 |
TGANTCA_AP1_C | 3.37e-02 | 2.43 | 1.04 | 1.00e+00 | 1.00e+00 | 9TNFRSF12A, COL7A1, COL5A2, S100A10, KRT17, LRRC15, ADAMTSL1, ECM1, SPARC |
1139 |
TBX1_TARGET_GENES | 3.74e-02 | 4.31 | 0.85 | 1.00e+00 | 1.00e+00 | 3TGFBI, KRT80, COL7A1 |
188 |
TGGAAA_NFAT_Q4_01 | 9.14e-02 | 1.83 | 0.85 | 1.00e+00 | 1.00e+00 | 11IGFBP5, COL8A1, PTPRZ1, VIM, COL12A1, ERBB3, GAS7, S100A10, KRT17, ADAMTSL1, FHDC1 |
1934 |
FOXH1_TARGET_GENES | 8.14e-02 | 2.22 | 0.84 | 1.00e+00 | 1.00e+00 | 7GAS7, S100A16, PMEPA1, ANXA2, S100A10, ADAMTSL1, TFAP2A |
924 |
STTTCRNTTT_IRF_Q6 | 3.94e-02 | 4.22 | 0.83 | 1.00e+00 | 1.00e+00 | 3IGFBP5, SLC15A3, COL4A2 |
192 |
YTAATTAA_LHX3_01 | 3.94e-02 | 4.22 | 0.83 | 1.00e+00 | 1.00e+00 | 3COL12A1, LRRC15, TFAP2A |
192 |
CTAWWWATA_RSRFC4_Q2 | 5.27e-02 | 3.00 | 0.78 | 1.00e+00 | 1.00e+00 | 4COL8A1, LYPD1, PMEPA1, ADAMTSL1 |
366 |
RP58_01 | 5.01e-02 | 3.82 | 0.75 | 1.00e+00 | 1.00e+00 | 3GAS7, COL7A1, S100A10 |
212 |
GGGTGGRR_PAX4_03 | 1.39e-01 | 1.83 | 0.74 | 1.00e+00 | 1.00e+00 | 8IGFBP5, PLAT, VIM, LYPD1, S100A16, S100A10, KRT17, SPARC |
1310 |
RYAAAKNNNNNNTTGW_UNKNOWN | 4.36e-02 | 6.35 | 0.74 | 1.00e+00 | 1.00e+00 | 2ANXA2, ADAMTSL1 |
84 |
AP4_Q6 | 5.78e-02 | 3.59 | 0.71 | 1.00e+00 | 1.00e+00 | 3NES, GAS7, COL7A1 |
225 |
SRF_Q5_01 | 5.78e-02 | 3.59 | 0.71 | 1.00e+00 | 1.00e+00 | 3ADAMTSL1, TIMP3, ACTG2 |
225 |
RNCTGNYNRNCTGNY_UNKNOWN | 4.64e-02 | 6.13 | 0.71 | 1.00e+00 | 1.00e+00 | 2ADAMTSL1, SPARC |
87 |
Dowload full table
GO Biological Processes:
P-value | OR | Lower 95% CI | FDR | FWER | Genes Found | Gene Set Size | |
---|---|---|---|---|---|---|---|
GOBP_ENDODERMAL_CELL_DIFFERENTIATION | 3.44e-10 | 54.82 | 19.55 | 1.29e-06 | 2.58e-06 | 7COL8A1, COL12A1, COL7A1, COL5A2, COL4A2, COL6A1, COL5A1 |
44 |
GOBP_ENDODERM_FORMATION | 1.34e-09 | 44.16 | 15.93 | 3.35e-06 | 1.00e-05 | 7COL8A1, COL12A1, COL7A1, COL5A2, COL4A2, COL6A1, COL5A1 |
53 |
GOBP_REGULATION_OF_ENDODERMAL_CELL_DIFFERENTIATION | 1.54e-04 | 172.68 | 14.09 | 1.15e-01 | 1.00e+00 | 2COL5A2, COL5A1 |
5 |
GOBP_ENDODERM_DEVELOPMENT | 1.75e-08 | 29.46 | 10.80 | 2.63e-05 | 1.31e-04 | 7COL8A1, COL12A1, COL7A1, COL5A2, COL4A2, COL6A1, COL5A1 |
76 |
GOBP_FORMATION_OF_PRIMARY_GERM_LAYER | 1.41e-08 | 22.24 | 8.80 | 2.63e-05 | 1.06e-04 | 8COL8A1, COL12A1, COL7A1, COL5A2, ITGB1, COL4A2, COL6A1, COL5A1 |
115 |
GOBP_EXTERNAL_ENCAPSULATING_STRUCTURE_ORGANIZATION | 8.29e-13 | 15.48 | 7.91 | 6.20e-09 | 6.20e-09 | 16COL8A1, COL18A1, COL12A1, OLFML2A, TGFBI, TNC, COL7A1, COL5A2, ITGB1, COL9A3, COL4A2, ADAMTSL1, COL6A1, COL6A2, COL5A1, SPARC |
396 |
GOBP_MEMBRANE_RAFT_ASSEMBLY | 8.35e-04 | 57.69 | 5.91 | 3.44e-01 | 1.00e+00 | 2ANXA2, S100A10 |
11 |
GOBP_GASTRULATION | 4.24e-07 | 13.93 | 5.56 | 4.54e-04 | 3.17e-03 | 8COL8A1, COL12A1, COL7A1, COL5A2, ITGB1, COL4A2, COL6A1, COL5A1 |
179 |
GOBP_EPIDERMIS_MORPHOGENESIS | 2.46e-04 | 28.45 | 5.35 | 1.50e-01 | 1.00e+00 | 3IGFBP5, KRT17, NGFR |
31 |
GOBP_REGULATION_OF_HAIR_FOLLICLE_DEVELOPMENT | 2.03e-03 | 34.68 | 3.75 | 5.87e-01 | 1.00e+00 | 2KRT17, NGFR |
17 |
GOBP_INTERMEDIATE_FILAMENT_BASED_PROCESS | 1.07e-03 | 16.60 | 3.20 | 4.01e-01 | 1.00e+00 | 3VIM, NES, KRT17 |
51 |
GOBP_COLLAGEN_FIBRIL_ORGANIZATION | 1.26e-03 | 15.63 | 3.02 | 4.48e-01 | 1.00e+00 | 3COL12A1, COL5A2, COL5A1 |
54 |
GOBP_BIOLOGICAL_ADHESION | 3.05e-07 | 5.25 | 2.79 | 3.80e-04 | 2.28e-03 | 19COL8A1, COL18A1, TNFRSF12A, TTYH1, COL12A1, TGFBI, ERBB3, NTM, TNFAIP6, TNC, COL7A1, ANXA2, ITGB1, S100A10, LRRC15, COL6A1, COL6A2, COL5A1, MOG |
1481 |
GOBP_ANATOMICAL_STRUCTURE_FORMATION_INVOLVED_IN_MORPHOGENESIS | 1.60e-06 | 5.23 | 2.69 | 1.50e-03 | 1.20e-02 | 16COL8A1, COL18A1, TNFRSF12A, COL12A1, TGFBI, COL7A1, COL5A2, ANXA2, ITGB1, COL4A2, COL6A1, ECM1, TFAP2A, COL5A1, NGFR, SPARC |
1142 |
GOBP_INTERMEDIATE_FILAMENT_ORGANIZATION | 4.05e-03 | 23.65 | 2.62 | 8.65e-01 | 1.00e+00 | 2VIM, KRT17 |
24 |
GOBP_MEMBRANE_RAFT_ORGANIZATION | 4.39e-03 | 22.60 | 2.52 | 8.97e-01 | 1.00e+00 | 2ANXA2, S100A10 |
25 |
GOBP_REGULATION_OF_HAIR_CYCLE | 4.74e-03 | 21.66 | 2.42 | 9.15e-01 | 1.00e+00 | 2KRT17, NGFR |
26 |
GOBP_NERVE_DEVELOPMENT | 2.55e-03 | 12.08 | 2.35 | 6.58e-01 | 1.00e+00 | 3ERBB3, TFAP2A, NGFR |
69 |
GOBP_PLATELET_DEGRANULATION | 1.59e-03 | 8.76 | 2.26 | 5.19e-01 | 1.00e+00 | 4TIMP3, ANXA5, ECM1, SPARC |
128 |
GOBP_VASCULATURE_DEVELOPMENT | 1.25e-04 | 4.55 | 2.09 | 1.04e-01 | 9.35e-01 | 11COL8A1, COL18A1, TNFRSF12A, TGFBI, ANXA2, ITGB1, COL4A2, ECM1, COL5A1, NGFR, SPARC |
786 |
Dowload full table
Immunological Gene Sets:
P-value | OR | Lower 95% CI | FDR | FWER | Genes Found | Gene Set Size | |
---|---|---|---|---|---|---|---|
GSE40685_NAIVE_CD4_TCELL_VS_FOXP3_KO_TREG_PRECURSOR_DN | 8.06e-07 | 12.73 | 5.09 | 3.93e-03 | 3.93e-03 | 8VIM, ITGB1, S100A10, COL4A2, COL6A1, COL6A2, SPARC, ACTG2 |
195 |
GSE22886_NAIVE_VS_IGG_IGA_MEMORY_BCELL_DN | 1.11e-04 | 8.97 | 3.09 | 1.00e-01 | 5.40e-01 | 6VIM, S100A6, ANXA2, ITGB1, S100A10, ANXA5 |
196 |
GSE29618_BCELL_VS_MDC_DN | 1.24e-04 | 8.78 | 3.02 | 1.00e-01 | 6.03e-01 | 6VIM, TGFBI, S100A6, ANXA2, S100A10, ANXA5 |
200 |
GSE18893_TCONV_VS_TREG_24H_CULTURE_UP | 1.24e-04 | 8.78 | 3.02 | 1.00e-01 | 6.03e-01 | 6VIM, S100A6, ANXA2, ITGB1, S100A10, ANXA5 |
200 |
GSE25123_WT_VS_PPARG_KO_MACROPHAGE_IL4_STIM_DN | 1.24e-04 | 8.78 | 3.02 | 1.00e-01 | 6.03e-01 | 6ERBB3, SLC15A3, S100A6, ANXA2, S100A10, ACTG2 |
200 |
GSE43955_1H_VS_20H_ACT_CD4_TCELL_WITH_TGFB_IL6_DN | 1.24e-04 | 8.78 | 3.02 | 1.00e-01 | 6.03e-01 | 6TNC, COL5A2, S100A6, TIMP3, ECM1, KDELR3 |
200 |
GSE3920_IFNA_VS_IFNG_TREATED_ENDOTHELIAL_CELL_DN | 4.84e-04 | 8.57 | 2.62 | 2.10e-01 | 1.00e+00 | 5PLAT, COL12A1, GAS7, RGS16, ITGB1 |
167 |
GSE13522_WT_VS_IFNAR_KO_SKIN_DN | 6.28e-04 | 8.07 | 2.47 | 2.10e-01 | 1.00e+00 | 5VIM, ERBB3, S100A6, RGS16, S100A10 |
177 |
GSE3565_CTRL_VS_LPS_INJECTED_DUSP1_KO_SPLENOCYTES_UP | 6.94e-04 | 7.89 | 2.42 | 2.10e-01 | 1.00e+00 | 5VIM, S100A6, ANXA2, ITGB1, S100A10 |
181 |
GSE37532_WT_VS_PPARG_KO_LN_TCONV_DN | 7.65e-04 | 7.72 | 2.36 | 2.10e-01 | 1.00e+00 | 5VIM, S100A6, ANXA2, ITGB1, S100A10 |
185 |
GSE32901_NAIVE_VS_TH17_NEG_CD4_TCELL_DN | 1.46e-03 | 8.98 | 2.31 | 2.74e-01 | 1.00e+00 | 4TNFAIP6, TNC, COL5A2, RGS16 |
125 |
GSE26928_NAIVE_VS_EFF_MEMORY_CD4_TCELL_DN | 9.44e-04 | 7.35 | 2.25 | 2.10e-01 | 1.00e+00 | 5TNFRSF12A, TGFBI, PMEPA1, ANXA2, S100A10 |
194 |
GSE22886_NAIVE_VS_IGM_MEMORY_BCELL_DN | 1.01e-03 | 7.23 | 2.22 | 2.10e-01 | 1.00e+00 | 5VIM, SLC15A3, ANXA2, ITGB1, S100A10 |
197 |
GSE1460_CD4_THYMOCYTE_VS_THYMIC_STROMAL_CELL_DN | 1.06e-03 | 7.16 | 2.19 | 2.10e-01 | 1.00e+00 | 5IGFBP5, TNFRSF12A, OLFML2A, LRRC15, COL6A2 |
199 |
GOLDRATH_NAIVE_VS_MEMORY_CD8_TCELL_DN | 1.08e-03 | 7.12 | 2.18 | 2.10e-01 | 1.00e+00 | 5PLAT, S100A6, ANXA2, ITGB1, S100A10 |
200 |
GSE1432_1H_VS_24H_IFNG_MICROGLIA_UP | 1.08e-03 | 7.12 | 2.18 | 2.10e-01 | 1.00e+00 | 5VIM, RGS16, ANXA2, ANXA5, COL6A1 |
200 |
GSE1460_INTRATHYMIC_T_PROGENITOR_VS_THYMIC_STROMAL_CELL_DN | 1.08e-03 | 7.12 | 2.18 | 2.10e-01 | 1.00e+00 | 5IGFBP5, TNFRSF12A, VIM, OLFML2A, COL6A2 |
200 |
GSE17721_LPS_VS_POLYIC_4H_BMDC_UP | 1.08e-03 | 7.12 | 2.18 | 2.10e-01 | 1.00e+00 | 5PTPRZ1, GAS7, PMEPA1, ITGB1, COL4A2 |
200 |
GSE7852_TREG_VS_TCONV_THYMUS_UP | 1.08e-03 | 7.12 | 2.18 | 2.10e-01 | 1.00e+00 | 5PMEPA1, SLC15A3, S100A6, ITGB1, S100A10 |
200 |
GSE4748_CTRL_VS_LPS_AND_CYANOBACTERIUM_LPSLIKE_STIM_DC_3H_DN | 1.08e-03 | 7.12 | 2.18 | 2.10e-01 | 1.00e+00 | 5PLAT, S100A16, ANXA2, FHDC1, COL6A2 |
200 |
Top Ranked Transcription Factors for this Gene Expression Program:
Gene Symbol | TF Rank | DNA Binding Domain | Motif Status | IUPAC PWM | GTEx | DepMap | Decartes |
---|---|---|---|---|---|---|---|
GAS7 | 16 | No | Unlikely to be sequence specific TF | Not a DNA binding protein | No motif | None | (PMID: 9736752) only shows that it has a proline-rich domain similar to the one in Oct2. No evidence of DNA binding. |
TFAP2A | 44 | Yes | Known motif | Monomer or homomultimer | High-throughput in vitro | None | None |
NFIX | 51 | Yes | Known motif | Monomer or homomultimer | High-throughput in vitro | None | None |
CREB3L1 | 52 | Yes | Known motif | Monomer or homomultimer | High-throughput in vitro | None | None |
MDFI | 80 | No | Unlikely to be sequence specific TF | Not a DNA binding protein | No motif | None | MDF1 is a co-repressor that inhibits DNA-binding (PMID: 8797820) |
IL1RAP | 83 | No | Unlikely to be sequence specific TF | Not a DNA binding protein | No motif | None | None |
FLNA | 84 | No | Unlikely to be sequence specific TF | Not a DNA binding protein | No motif | None | Go annotation is based on (PMID: 15684392), which shows that it binds FOXC1 and PBX1 but doesnt show evidence for binding to DNA |
GLI3 | 94 | Yes | Known motif | Monomer or homomultimer | High-throughput in vitro | None | None |
SPHK1 | 97 | No | Unlikely to be sequence specific TF | Not a DNA binding protein | No motif | None | None |
HOXB7 | 108 | Yes | Known motif | Monomer or homomultimer | High-throughput in vitro | None | None |
AEBP1 | 148 | Yes | Likely to be sequence specific TF | Monomer or homomultimer | No motif | None | This is a protease, but its ability to bind DNA is supported by both gel-shift (PMID: 15654748) and ChIP (PMID: 22723309). |
RCAN1 | 157 | No | Unlikely to be sequence specific TF | Not a DNA binding protein | No motif | None | SH3 domain protein that interacts with calcineurin. GO annotation and abstract in (PMID: 8595418) appear erroneous - mentions a binding domain in the abstract, but no evidence is provided in the paper. |
PRNP | 173 | No | Unlikely to be sequence specific TF | Not a DNA binding protein | No motif | None | None |
LPP | 176 | No | Unlikely to be sequence specific TF | Not a DNA binding protein | No motif | None | znfLIM is probably not a DNA binding domain (PMID: 8506279). The protein has been reported to be coactivator for ETV4 (PMID: 16738319). |
HES1 | 178 | Yes | Known motif | Monomer or homomultimer | High-throughput in vitro | None | None |
TGFB1I1 | 188 | No | Unlikely to be sequence specific TF | Not a DNA binding protein | No motif | None | Available evidence suggests that it acts as a co-factor |
SOX13 | 192 | Yes | Known motif | Monomer or homomultimer | 100 perc ID - in vitro | None | None |
ID3 | 203 | No | Unlikely to be sequence specific TF | Not a DNA binding protein | No motif | None | ID bHLH proteins lack the basic region and should not be able to bind DNA. The HT-SELEX motif for ID4 is likely by a co-precipitated protein or it is a contamination |
MEF2C | 208 | Yes | Known motif | Monomer or homomultimer | High-throughput in vitro | None | None |
PLEKHA4 | 218 | No | Unlikely to be sequence specific TF | Not a DNA binding protein | No motif | Has a putative AT-hook | No DBDs; no indication of DNA binding - included only because Vasquerizas 2009 included it with an x. |
QQ Plot showing correlations with other GEPs in this dataset, calculated by Spearman correlation:
Interactive QQ-plot of gene loadings:
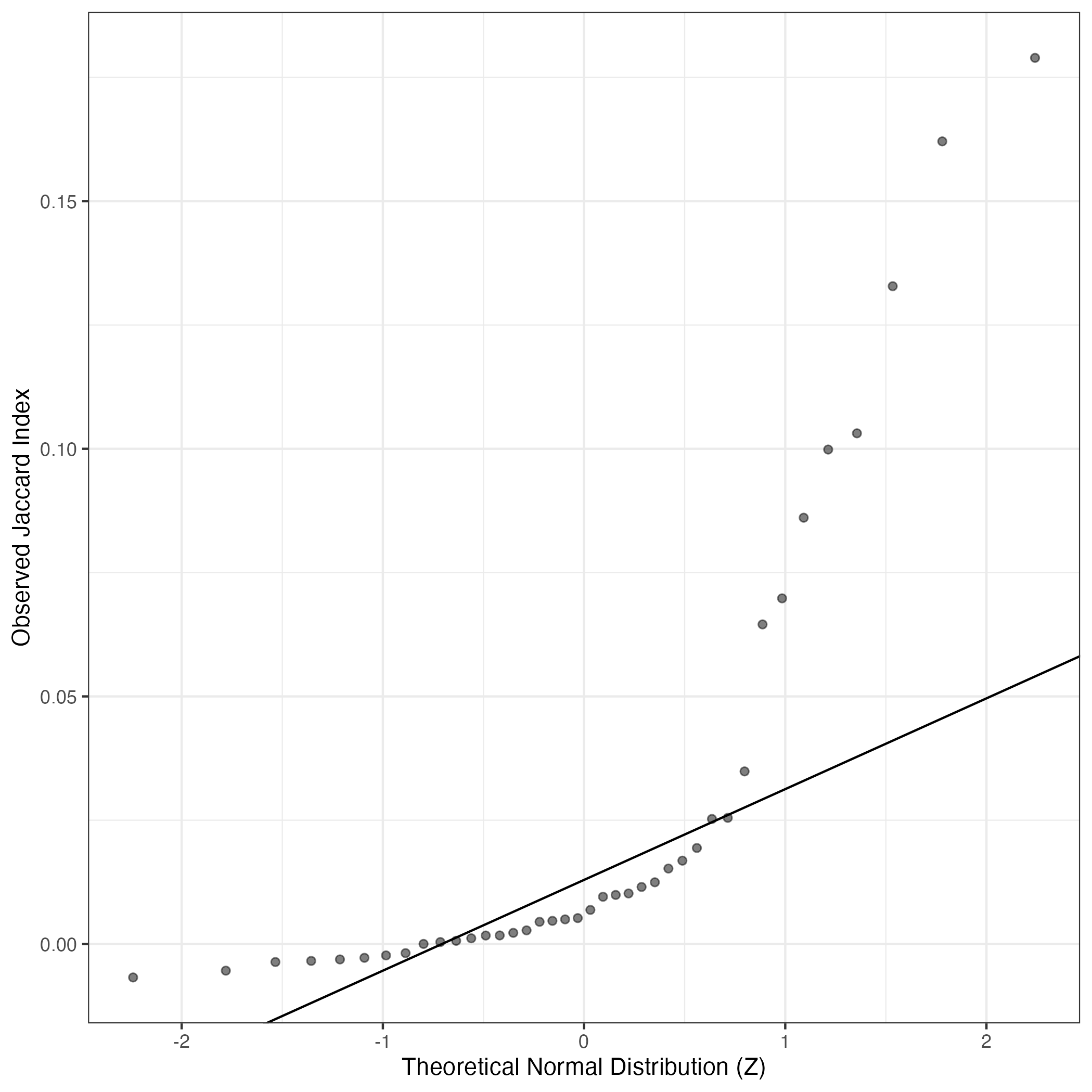
A similar QQ-plot as above, but only for instances where the H value is e.g. > 25, i.e. we are confident that the expression program is active above noise. Agreemenet between these binary vectors is tested using the Jaccard Index, with the P-values calculated by an exact test:
Interactive QQ-plot:
Singler cell type annotations for the top 50 cells on this program.
Cell ID | Singler label | Singler Delta | Activity Score | Top Singler Raw Scores |
---|---|---|---|---|
T214_CGAGGAACAATTCACG-1 | Neurons:Schwann_cell | 0.19 | 1726.52 | Raw ScoresNeurons:Schwann_cell: 0.35, MSC: 0.32, iPS_cells:CRL2097_foreskin: 0.32, iPS_cells:adipose_stem_cells: 0.31, Astrocyte:Embryonic_stem_cell-derived: 0.31, Neuroepithelial_cell:ESC-derived: 0.3, Fibroblasts:breast: 0.3, Fibroblasts:foreskin: 0.3, Smooth_muscle_cells:vascular: 0.3, Smooth_muscle_cells:vascular:IL-17: 0.3 |
T214_AACAAGAGTCGCGTCA-1 | Neurons:Schwann_cell | 0.24 | 1624.44 | Raw ScoresNeurons:Schwann_cell: 0.47, MSC: 0.39, Fibroblasts:foreskin: 0.38, iPS_cells:skin_fibroblast: 0.38, Smooth_muscle_cells:umbilical_vein: 0.38, Tissue_stem_cells:lipoma-derived_MSC: 0.38, Tissue_stem_cells:adipose-derived_MSC_AM3: 0.37, iPS_cells:foreskin_fibrobasts: 0.37, iPS_cells:PDB_fibroblasts: 0.37, Smooth_muscle_cells:vascular: 0.37 |
T214_AGTTCCCAGGGTTGCA-1 | Neurons:Schwann_cell | 0.23 | 1468.48 | Raw ScoresNeurons:Schwann_cell: 0.47, iPS_cells:CRL2097_foreskin: 0.4, MSC: 0.4, Fibroblasts:foreskin: 0.39, iPS_cells:PDB_fibroblasts: 0.39, iPS_cells:foreskin_fibrobasts: 0.39, iPS_cells:skin_fibroblast: 0.39, Smooth_muscle_cells:vascular: 0.39, Smooth_muscle_cells:vascular:IL-17: 0.39, Tissue_stem_cells:BM_MSC: 0.39 |
T214_ATTCTACCATCTGGGC-1 | Neurons:Schwann_cell | 0.19 | 1424.29 | Raw ScoresNeurons:Schwann_cell: 0.41, MSC: 0.35, iPS_cells:CRL2097_foreskin: 0.35, iPS_cells:skin_fibroblast: 0.35, Fibroblasts:foreskin: 0.35, Smooth_muscle_cells:bronchial: 0.35, iPS_cells:foreskin_fibrobasts: 0.35, Fibroblasts:breast: 0.35, Smooth_muscle_cells:vascular:IL-17: 0.35, Smooth_muscle_cells:bronchial:vit_D: 0.35 |
T214_GTGGTTAGTACAGCGA-1 | Neurons:Schwann_cell | 0.15 | 1163.73 | Raw ScoresNeurons:Schwann_cell: 0.39, Neuroepithelial_cell:ESC-derived: 0.36, MSC: 0.36, Neurons:adrenal_medulla_cell_line: 0.35, Fibroblasts:foreskin: 0.35, Smooth_muscle_cells:vascular: 0.34, Smooth_muscle_cells:umbilical_vein: 0.34, iPS_cells:CRL2097_foreskin: 0.34, Tissue_stem_cells:lipoma-derived_MSC: 0.34, Tissue_stem_cells:adipose-derived_MSC_AM3: 0.34 |
T200_CGAGTGCAGCTCACTA-1 | Neurons:Schwann_cell | 0.18 | 1115.78 | Raw ScoresNeurons:Schwann_cell: 0.44, Fibroblasts:foreskin: 0.39, Tissue_stem_cells:BM_MSC:BMP2: 0.39, iPS_cells:adipose_stem_cells: 0.38, Tissue_stem_cells:BM_MSC:TGFb3: 0.38, iPS_cells:CRL2097_foreskin: 0.38, Tissue_stem_cells:BM_MSC: 0.38, Fibroblasts:breast: 0.38, Chondrocytes:MSC-derived: 0.38, iPS_cells:foreskin_fibrobasts: 0.38 |
T200_TTCGGTCCACTAACCA-1 | Neurons:Schwann_cell | 0.16 | 1091.91 | Raw ScoresNeurons:Schwann_cell: 0.41, Tissue_stem_cells:BM_MSC:BMP2: 0.38, iPS_cells:adipose_stem_cells: 0.38, Tissue_stem_cells:BM_MSC:TGFb3: 0.38, Fibroblasts:foreskin: 0.38, Osteoblasts: 0.37, Chondrocytes:MSC-derived: 0.37, Tissue_stem_cells:BM_MSC: 0.37, Fibroblasts:breast: 0.37, iPS_cells:PDB_fibroblasts: 0.37 |
T214_GAGGCAAAGACGATAT-1 | Neurons:Schwann_cell | 0.19 | 1044.79 | Raw ScoresNeurons:Schwann_cell: 0.45, MSC: 0.39, Fibroblasts:foreskin: 0.39, iPS_cells:CRL2097_foreskin: 0.38, Smooth_muscle_cells:vascular: 0.38, Tissue_stem_cells:BM_MSC: 0.38, iPS_cells:foreskin_fibrobasts: 0.38, iPS_cells:adipose_stem_cells: 0.38, Smooth_muscle_cells:vascular:IL-17: 0.37, iPS_cells:skin_fibroblast: 0.37 |
T214_AAATGGAAGTCATGCT-1 | Neurons:Schwann_cell | 0.17 | 1021.75 | Raw ScoresNeurons:Schwann_cell: 0.37, Smooth_muscle_cells:bronchial: 0.32, iPS_cells:CRL2097_foreskin: 0.32, Smooth_muscle_cells:bronchial:vit_D: 0.32, MSC: 0.32, iPS_cells:skin_fibroblast: 0.32, Tissue_stem_cells:BM_MSC:TGFb3: 0.32, iPS_cells:PDB_fibroblasts: 0.32, Smooth_muscle_cells:vascular:IL-17: 0.31, Chondrocytes:MSC-derived: 0.31 |
T200_CAATTTCTCCGCAGTG-1 | Neurons:Schwann_cell | 0.16 | 1018.20 | Raw ScoresNeurons:Schwann_cell: 0.43, Fibroblasts:foreskin: 0.4, Tissue_stem_cells:BM_MSC:BMP2: 0.4, Tissue_stem_cells:BM_MSC:TGFb3: 0.4, Chondrocytes:MSC-derived: 0.39, Osteoblasts: 0.39, Tissue_stem_cells:BM_MSC: 0.39, iPS_cells:adipose_stem_cells: 0.39, iPS_cells:CRL2097_foreskin: 0.39, Fibroblasts:breast: 0.39 |
T188_ATTCTTGCAACTCCAA-1 | Neurons:Schwann_cell | 0.18 | 994.39 | Raw ScoresNeurons:Schwann_cell: 0.36, Smooth_muscle_cells:bronchial: 0.29, Smooth_muscle_cells:bronchial:vit_D: 0.28, Osteoblasts: 0.28, iPS_cells:CRL2097_foreskin: 0.28, iPS_cells:adipose_stem_cells: 0.28, Astrocyte:Embryonic_stem_cell-derived: 0.28, Osteoblasts:BMP2: 0.28, Fibroblasts:breast: 0.28, Tissue_stem_cells:BM_MSC:TGFb3: 0.28 |
T214_AACCTGATCTTCGTAT-1 | Endothelial_cells:lymphatic | 0.15 | 990.81 | Raw ScoresEndothelial_cells:lymphatic:TNFa_48h: 0.4, Endothelial_cells:lymphatic: 0.39, Endothelial_cells:blood_vessel: 0.39, Endothelial_cells:lymphatic:KSHV: 0.38, Endothelial_cells:HUVEC: 0.38, Endothelial_cells:HUVEC:Serum_Amyloid_A: 0.38, Endothelial_cells:HUVEC:IL-1b: 0.38, Neurons:Schwann_cell: 0.37, Endothelial_cells:HUVEC:H5N1-infected: 0.37, Endothelial_cells:HUVEC:PR8-infected: 0.37 |
T200_CTGAGGCTCGCGTCGA-1 | Neurons:Schwann_cell | 0.18 | 945.98 | Raw ScoresNeurons:Schwann_cell: 0.45, Fibroblasts:foreskin: 0.41, Tissue_stem_cells:BM_MSC:BMP2: 0.41, iPS_cells:adipose_stem_cells: 0.41, Tissue_stem_cells:BM_MSC: 0.4, Fibroblasts:breast: 0.4, MSC: 0.4, iPS_cells:foreskin_fibrobasts: 0.4, iPS_cells:skin_fibroblast: 0.4, iPS_cells:CRL2097_foreskin: 0.4 |
T214_TACGCTCCATCTAACG-1 | Neurons:Schwann_cell | 0.19 | 945.52 | Raw ScoresNeurons:Schwann_cell: 0.45, Fibroblasts:foreskin: 0.4, MSC: 0.4, iPS_cells:adipose_stem_cells: 0.4, iPS_cells:CRL2097_foreskin: 0.4, iPS_cells:skin_fibroblast: 0.39, Smooth_muscle_cells:vascular: 0.39, iPS_cells:PDB_fibroblasts: 0.39, iPS_cells:foreskin_fibrobasts: 0.39, Tissue_stem_cells:BM_MSC: 0.39 |
T200_AGACACTAGGCCGCTT-1 | Neurons:Schwann_cell | 0.20 | 893.79 | Raw ScoresNeurons:Schwann_cell: 0.42, Fibroblasts:foreskin: 0.39, iPS_cells:skin_fibroblast: 0.39, MSC: 0.39, iPS_cells:CRL2097_foreskin: 0.39, iPS_cells:PDB_fibroblasts: 0.38, iPS_cells:foreskin_fibrobasts: 0.38, Tissue_stem_cells:BM_MSC: 0.38, Tissue_stem_cells:BM_MSC:BMP2: 0.38, Osteoblasts: 0.38 |
T214_CTCCCTCCAAGGTCAG-1 | Neurons:Schwann_cell | 0.17 | 848.40 | Raw ScoresNeurons:Schwann_cell: 0.42, MSC: 0.38, Fibroblasts:foreskin: 0.38, Tissue_stem_cells:BM_MSC: 0.38, iPS_cells:adipose_stem_cells: 0.38, iPS_cells:CRL2097_foreskin: 0.38, Tissue_stem_cells:BM_MSC:BMP2: 0.37, iPS_cells:foreskin_fibrobasts: 0.37, Smooth_muscle_cells:vascular: 0.37, Tissue_stem_cells:BM_MSC:osteogenic: 0.37 |
T200_CGGTCAGAGTTGGCTT-1 | Neurons:Schwann_cell | 0.18 | 844.69 | Raw ScoresNeurons:Schwann_cell: 0.41, Tissue_stem_cells:BM_MSC:BMP2: 0.35, Smooth_muscle_cells:bronchial: 0.35, Fibroblasts:breast: 0.35, Smooth_muscle_cells:bronchial:vit_D: 0.34, Tissue_stem_cells:BM_MSC:TGFb3: 0.34, Chondrocytes:MSC-derived: 0.34, Fibroblasts:foreskin: 0.34, iPS_cells:adipose_stem_cells: 0.34, Osteoblasts: 0.34 |
T214_GAGTTACAGCCTGAAG-1 | Neurons:Schwann_cell | 0.18 | 843.79 | Raw ScoresNeurons:Schwann_cell: 0.45, MSC: 0.39, iPS_cells:adipose_stem_cells: 0.39, Tissue_stem_cells:BM_MSC:BMP2: 0.39, Tissue_stem_cells:BM_MSC: 0.39, iPS_cells:CRL2097_foreskin: 0.39, Fibroblasts:foreskin: 0.39, Chondrocytes:MSC-derived: 0.38, iPS_cells:skin_fibroblast: 0.38, Tissue_stem_cells:BM_MSC:TGFb3: 0.38 |
T200_CAGCACGCACGAAGAC-1 | Neurons:Schwann_cell | 0.15 | 828.57 | Raw ScoresNeurons:Schwann_cell: 0.4, Fibroblasts:foreskin: 0.36, Tissue_stem_cells:BM_MSC:BMP2: 0.35, Smooth_muscle_cells:bronchial: 0.34, iPS_cells:adipose_stem_cells: 0.34, iPS_cells:foreskin_fibrobasts: 0.34, Tissue_stem_cells:BM_MSC:TGFb3: 0.34, iPS_cells:CRL2097_foreskin: 0.34, Smooth_muscle_cells:bronchial:vit_D: 0.34, Fibroblasts:breast: 0.33 |
T214_GTCTAGAAGGTTTACC-1 | Neurons:Schwann_cell | 0.18 | 805.31 | Raw ScoresNeurons:Schwann_cell: 0.44, Tissue_stem_cells:BM_MSC: 0.38, MSC: 0.38, iPS_cells:skin_fibroblast: 0.38, iPS_cells:CRL2097_foreskin: 0.38, iPS_cells:foreskin_fibrobasts: 0.38, iPS_cells:adipose_stem_cells: 0.38, Fibroblasts:foreskin: 0.38, Tissue_stem_cells:BM_MSC:osteogenic: 0.38, Smooth_muscle_cells:vascular:IL-17: 0.38 |
T200_GTAGATCCAGGACTTT-1 | Neurons:Schwann_cell | 0.17 | 765.00 | Raw ScoresNeurons:Schwann_cell: 0.41, Fibroblasts:foreskin: 0.36, iPS_cells:skin_fibroblast: 0.36, iPS_cells:foreskin_fibrobasts: 0.36, iPS_cells:CRL2097_foreskin: 0.36, Tissue_stem_cells:BM_MSC:BMP2: 0.36, MSC: 0.36, Chondrocytes:MSC-derived: 0.36, Osteoblasts: 0.36, iPS_cells:PDB_fibroblasts: 0.35 |
T214_TTACGTTTCGACATTG-1 | Neurons:Schwann_cell | 0.17 | 732.60 | Raw ScoresNeurons:Schwann_cell: 0.42, MSC: 0.37, Tissue_stem_cells:adipose-derived_MSC_AM3: 0.37, Fibroblasts:foreskin: 0.37, Tissue_stem_cells:lipoma-derived_MSC: 0.36, iPS_cells:skin_fibroblast: 0.36, iPS_cells:CRL2097_foreskin: 0.36, iPS_cells:foreskin_fibrobasts: 0.36, iPS_cells:PDB_fibroblasts: 0.35, Tissue_stem_cells:dental_pulp: 0.35 |
T200_ACGATGTCACAGCCTG-1 | Neurons:Schwann_cell | 0.16 | 676.91 | Raw ScoresNeurons:Schwann_cell: 0.43, Tissue_stem_cells:BM_MSC:BMP2: 0.38, Chondrocytes:MSC-derived: 0.38, iPS_cells:adipose_stem_cells: 0.38, Fibroblasts:foreskin: 0.38, Tissue_stem_cells:BM_MSC: 0.38, Tissue_stem_cells:BM_MSC:TGFb3: 0.38, Osteoblasts: 0.38, iPS_cells:skin_fibroblast: 0.37, Tissue_stem_cells:BM_MSC:osteogenic: 0.37 |
T200_TGCAGATAGCGTGTTT-1 | Neurons:Schwann_cell | 0.17 | 664.41 | Raw ScoresNeurons:Schwann_cell: 0.36, Fibroblasts:foreskin: 0.31, Tissue_stem_cells:BM_MSC:BMP2: 0.3, Chondrocytes:MSC-derived: 0.3, iPS_cells:CRL2097_foreskin: 0.3, Tissue_stem_cells:BM_MSC:TGFb3: 0.3, Smooth_muscle_cells:bronchial: 0.3, Osteoblasts: 0.3, iPS_cells:foreskin_fibrobasts: 0.3, iPS_cells:skin_fibroblast: 0.3 |
T214_CAATCGATCTCGTGAA-1 | Neurons:Schwann_cell | 0.16 | 642.97 | Raw ScoresNeurons:Schwann_cell: 0.36, Fibroblasts:foreskin: 0.3, Tissue_stem_cells:BM_MSC: 0.3, iPS_cells:CRL2097_foreskin: 0.3, Tissue_stem_cells:BM_MSC:TGFb3: 0.3, Chondrocytes:MSC-derived: 0.3, MSC: 0.3, iPS_cells:adipose_stem_cells: 0.29, iPS_cells:foreskin_fibrobasts: 0.29, Smooth_muscle_cells:vascular:IL-17: 0.29 |
T214_GTTCTATAGGGATCAC-1 | Neurons:Schwann_cell | 0.16 | 632.57 | Raw ScoresNeurons:Schwann_cell: 0.4, Tissue_stem_cells:BM_MSC:TGFb3: 0.34, Tissue_stem_cells:BM_MSC:BMP2: 0.34, Tissue_stem_cells:BM_MSC: 0.34, Smooth_muscle_cells:bronchial: 0.34, Smooth_muscle_cells:bronchial:vit_D: 0.33, iPS_cells:CRL2097_foreskin: 0.33, MSC: 0.33, Fibroblasts:foreskin: 0.33, Smooth_muscle_cells:vascular: 0.33 |
T200_TATATCCAGCCTAGGA-1 | Neurons:Schwann_cell | 0.14 | 623.70 | Raw ScoresNeurons:Schwann_cell: 0.37, Fibroblasts:foreskin: 0.34, Tissue_stem_cells:BM_MSC:BMP2: 0.33, iPS_cells:adipose_stem_cells: 0.33, iPS_cells:skin_fibroblast: 0.33, Chondrocytes:MSC-derived: 0.33, iPS_cells:PDB_fibroblasts: 0.32, Fibroblasts:breast: 0.32, MSC: 0.32, Tissue_stem_cells:BM_MSC:TGFb3: 0.32 |
T200_AGTTCCCGTTGGTGTT-1 | Neurons:Schwann_cell | 0.15 | 619.57 | Raw ScoresNeurons:Schwann_cell: 0.35, Tissue_stem_cells:BM_MSC:BMP2: 0.33, Fibroblasts:foreskin: 0.33, Smooth_muscle_cells:bronchial: 0.32, Tissue_stem_cells:BM_MSC:TGFb3: 0.32, Chondrocytes:MSC-derived: 0.32, Tissue_stem_cells:BM_MSC: 0.32, Smooth_muscle_cells:bronchial:vit_D: 0.32, iPS_cells:adipose_stem_cells: 0.32, Osteoblasts: 0.31 |
T200_TCATCATGTGCCTGAC-1 | Neurons:Schwann_cell | 0.15 | 587.42 | Raw ScoresNeurons:Schwann_cell: 0.37, Fibroblasts:foreskin: 0.32, Tissue_stem_cells:BM_MSC:BMP2: 0.31, Tissue_stem_cells:BM_MSC: 0.31, MSC: 0.31, iPS_cells:CRL2097_foreskin: 0.31, Smooth_muscle_cells:bronchial: 0.31, Smooth_muscle_cells:vascular: 0.31, iPS_cells:adipose_stem_cells: 0.31, Smooth_muscle_cells:vascular:IL-17: 0.3 |
T200_GACATCACATGAGATA-1 | Neurons:Schwann_cell | 0.16 | 526.78 | Raw ScoresNeurons:Schwann_cell: 0.39, Fibroblasts:foreskin: 0.36, Tissue_stem_cells:BM_MSC:BMP2: 0.34, iPS_cells:CRL2097_foreskin: 0.34, Fibroblasts:breast: 0.34, iPS_cells:foreskin_fibrobasts: 0.34, Tissue_stem_cells:BM_MSC: 0.34, MSC: 0.34, iPS_cells:adipose_stem_cells: 0.34, Smooth_muscle_cells:vascular:IL-17: 0.34 |
T214_GCACGTGAGTGCAAAT-1 | Neurons:Schwann_cell | 0.16 | 510.02 | Raw ScoresNeurons:Schwann_cell: 0.4, MSC: 0.34, iPS_cells:adipose_stem_cells: 0.34, Fibroblasts:foreskin: 0.34, Tissue_stem_cells:BM_MSC:BMP2: 0.34, iPS_cells:CRL2097_foreskin: 0.34, Tissue_stem_cells:dental_pulp: 0.33, iPS_cells:skin_fibroblast: 0.33, Tissue_stem_cells:BM_MSC: 0.33, iPS_cells:PDB_fibroblasts: 0.33 |
T200_AGGAGGTGTAGGGAGG-1 | Neurons:Schwann_cell | 0.15 | 497.23 | Raw ScoresNeurons:Schwann_cell: 0.4, Tissue_stem_cells:BM_MSC: 0.36, Fibroblasts:foreskin: 0.36, iPS_cells:adipose_stem_cells: 0.36, Chondrocytes:MSC-derived: 0.36, Tissue_stem_cells:BM_MSC:BMP2: 0.35, Fibroblasts:breast: 0.35, Osteoblasts: 0.35, Tissue_stem_cells:BM_MSC:TGFb3: 0.35, MSC: 0.35 |
T214_TTCCTTCAGCCGTCGT-1 | Neurons:Schwann_cell | 0.14 | 483.75 | Raw ScoresNeurons:Schwann_cell: 0.36, Smooth_muscle_cells:bronchial: 0.33, iPS_cells:CRL2097_foreskin: 0.33, Smooth_muscle_cells:bronchial:vit_D: 0.33, Tissue_stem_cells:BM_MSC:BMP2: 0.33, Tissue_stem_cells:BM_MSC:TGFb3: 0.32, Fibroblasts:foreskin: 0.32, Osteoblasts: 0.32, Chondrocytes:MSC-derived: 0.32, iPS_cells:adipose_stem_cells: 0.32 |
T200_ACATTTCTCAGCTAGT-1 | Neurons:Schwann_cell | 0.13 | 483.23 | Raw ScoresNeurons:Schwann_cell: 0.36, Fibroblasts:foreskin: 0.34, Tissue_stem_cells:BM_MSC:BMP2: 0.33, Epithelial_cells:bladder: 0.33, Endothelial_cells:HUVEC:PR8-infected: 0.32, iPS_cells:adipose_stem_cells: 0.32, Tissue_stem_cells:BM_MSC: 0.32, MSC: 0.32, iPS_cells:skin_fibroblast: 0.32, Smooth_muscle_cells:vascular: 0.32 |
T214_GAGATGGAGAAACTAC-1 | Endothelial_cells:blood_vessel | 0.14 | 478.71 | Raw ScoresEndothelial_cells:lymphatic:TNFa_48h: 0.36, Endothelial_cells:lymphatic: 0.36, Endothelial_cells:lymphatic:KSHV: 0.36, Endothelial_cells:blood_vessel: 0.35, Endothelial_cells:HUVEC: 0.34, Neurons:Schwann_cell: 0.34, Endothelial_cells:HUVEC:Serum_Amyloid_A: 0.34, Endothelial_cells:HUVEC:PR8-infected: 0.33, Endothelial_cells:HUVEC:FPV-infected: 0.33, Endothelial_cells:HUVEC:IL-1b: 0.33 |
T75_GTGCATACACTACAGT.1 | Neurons:Schwann_cell | 0.18 | 457.72 | Raw ScoresNeurons:Schwann_cell: 0.44, MSC: 0.41, Fibroblasts:foreskin: 0.4, Smooth_muscle_cells:vascular: 0.39, iPS_cells:CRL2097_foreskin: 0.39, Tissue_stem_cells:BM_MSC: 0.39, iPS_cells:foreskin_fibrobasts: 0.38, Tissue_stem_cells:dental_pulp: 0.38, iPS_cells:skin_fibroblast: 0.38, Tissue_stem_cells:lipoma-derived_MSC: 0.38 |
T44_GATCGTACAATAGCAA.1 | Neurons:Schwann_cell | 0.16 | 431.02 | Raw ScoresNeurons:Schwann_cell: 0.38, MSC: 0.34, Fibroblasts:foreskin: 0.33, iPS_cells:foreskin_fibrobasts: 0.33, iPS_cells:CRL2097_foreskin: 0.33, iPS_cells:skin_fibroblast: 0.33, iPS_cells:PDB_fibroblasts: 0.33, Smooth_muscle_cells:umbilical_vein: 0.33, Tissue_stem_cells:dental_pulp: 0.33, Smooth_muscle_cells:vascular: 0.32 |
T200_GGTGGCTAGCCGCTTG-1 | Neurons:adrenal_medulla_cell_line | 0.10 | 416.28 | Raw ScoresNeurons:Schwann_cell: 0.37, MSC: 0.33, Fibroblasts:foreskin: 0.33, Smooth_muscle_cells:umbilical_vein: 0.33, iPS_cells:foreskin_fibrobasts: 0.32, Neuroepithelial_cell:ESC-derived: 0.32, Astrocyte:Embryonic_stem_cell-derived: 0.32, Endothelial_cells:HUVEC:PR8-infected: 0.32, iPS_cells:skin_fibroblast: 0.32, Tissue_stem_cells:adipose-derived_MSC_AM3: 0.32 |
T44_CATATTCGTTACCAGT.1 | Neurons:Schwann_cell | 0.17 | 413.83 | Raw ScoresNeurons:Schwann_cell: 0.4, MSC: 0.38, Fibroblasts:foreskin: 0.37, Smooth_muscle_cells:umbilical_vein: 0.36, Tissue_stem_cells:lipoma-derived_MSC: 0.36, iPS_cells:skin_fibroblast: 0.36, Tissue_stem_cells:adipose-derived_MSC_AM3: 0.36, iPS_cells:foreskin_fibrobasts: 0.36, iPS_cells:CRL2097_foreskin: 0.36, Smooth_muscle_cells:vascular: 0.35 |
T200_ACCCAAACAAGTGACG-1 | Neurons:Schwann_cell | 0.14 | 389.83 | Raw ScoresNeurons:Schwann_cell: 0.37, Fibroblasts:foreskin: 0.34, Tissue_stem_cells:BM_MSC:BMP2: 0.33, iPS_cells:foreskin_fibrobasts: 0.33, iPS_cells:CRL2097_foreskin: 0.32, iPS_cells:adipose_stem_cells: 0.32, Fibroblasts:breast: 0.32, iPS_cells:skin_fibroblast: 0.32, MSC: 0.32, Tissue_stem_cells:BM_MSC: 0.32 |
T200_TTGAACGAGTTGGACG-1 | Neurons:Schwann_cell | 0.10 | 374.02 | Raw ScoresNeurons:Schwann_cell: 0.34, Fibroblasts:foreskin: 0.32, Tissue_stem_cells:BM_MSC:BMP2: 0.31, Tissue_stem_cells:BM_MSC:TGFb3: 0.31, Chondrocytes:MSC-derived: 0.3, iPS_cells:adipose_stem_cells: 0.3, Fibroblasts:breast: 0.3, Osteoblasts: 0.3, iPS_cells:foreskin_fibrobasts: 0.3, Endothelial_cells:HUVEC:PR8-infected: 0.3 |
T200_AATCGACAGGGAGTTC-1 | Neurons:Schwann_cell | 0.13 | 354.47 | Raw ScoresNeurons:Schwann_cell: 0.34, Fibroblasts:foreskin: 0.32, iPS_cells:foreskin_fibrobasts: 0.31, Tissue_stem_cells:BM_MSC:BMP2: 0.3, iPS_cells:CRL2097_foreskin: 0.3, iPS_cells:skin_fibroblast: 0.3, iPS_cells:adipose_stem_cells: 0.3, MSC: 0.3, Fibroblasts:breast: 0.3, Endothelial_cells:HUVEC:PR8-infected: 0.3 |
T71_ACGAGGACAGTAACGG.1 | Neurons:Schwann_cell | 0.11 | 349.18 | Raw ScoresNeurons:Schwann_cell: 0.33, Fibroblasts:foreskin: 0.29, Fibroblasts:breast: 0.29, Chondrocytes:MSC-derived: 0.29, Tissue_stem_cells:BM_MSC:TGFb3: 0.29, Tissue_stem_cells:BM_MSC:BMP2: 0.28, iPS_cells:foreskin_fibrobasts: 0.28, iPS_cells:CRL2097_foreskin: 0.28, Tissue_stem_cells:iliac_MSC: 0.28, MSC: 0.28 |
T44_GCGCAGTAGTGTTTGC.1 | Neurons:Schwann_cell | 0.16 | 345.30 | Raw ScoresNeurons:Schwann_cell: 0.36, MSC: 0.31, Smooth_muscle_cells:vascular: 0.31, Fibroblasts:foreskin: 0.31, Tissue_stem_cells:BM_MSC: 0.3, iPS_cells:skin_fibroblast: 0.3, iPS_cells:foreskin_fibrobasts: 0.3, Chondrocytes:MSC-derived: 0.3, iPS_cells:adipose_stem_cells: 0.3, iPS_cells:CRL2097_foreskin: 0.3 |
T214_AGGGAGTAGGGTCTTT-1 | Neurons:Schwann_cell | 0.15 | 335.95 | Raw ScoresNeurons:Schwann_cell: 0.35, Fibroblasts:foreskin: 0.31, MSC: 0.3, Tissue_stem_cells:BM_MSC: 0.3, iPS_cells:foreskin_fibrobasts: 0.3, iPS_cells:skin_fibroblast: 0.3, Tissue_stem_cells:BM_MSC:osteogenic: 0.3, iPS_cells:CRL2097_foreskin: 0.3, iPS_cells:PDB_fibroblasts: 0.3, Smooth_muscle_cells:umbilical_vein: 0.3 |
T175_AGATCCACACTGAATC-1 | Neurons:Schwann_cell | 0.16 | 325.56 | Raw ScoresNeurons:Schwann_cell: 0.32, Smooth_muscle_cells:bronchial: 0.27, Smooth_muscle_cells:bronchial:vit_D: 0.27, iPS_cells:CRL2097_foreskin: 0.27, Fibroblasts:foreskin: 0.27, Fibroblasts:breast: 0.26, MSC: 0.26, Smooth_muscle_cells:vascular: 0.26, Osteoblasts: 0.26, Smooth_muscle_cells:vascular:IL-17: 0.26 |
T44_AGTGAGGTCAATACCG.1 | Neurons:Schwann_cell | 0.15 | 298.98 | Raw ScoresNeurons:Schwann_cell: 0.33, iPS_cells:foreskin_fibrobasts: 0.28, Fibroblasts:breast: 0.28, iPS_cells:CRL2097_foreskin: 0.28, MSC: 0.28, Fibroblasts:foreskin: 0.27, Chondrocytes:MSC-derived: 0.27, iPS_cells:adipose_stem_cells: 0.27, iPS_cells:skin_fibroblast: 0.27, Tissue_stem_cells:dental_pulp: 0.27 |
T200_AGCTACACAAAGTATG-1 | Neurons:Schwann_cell | 0.16 | 293.75 | Raw ScoresNeurons:Schwann_cell: 0.44, MSC: 0.43, Fibroblasts:foreskin: 0.42, Tissue_stem_cells:lipoma-derived_MSC: 0.42, Tissue_stem_cells:adipose-derived_MSC_AM3: 0.42, iPS_cells:skin_fibroblast: 0.41, iPS_cells:PDB_fibroblasts: 0.41, iPS_cells:fibroblasts: 0.41, Endothelial_cells:HUVEC:PR8-infected: 0.41, iPS_cells:foreskin_fibrobasts: 0.41 |
T71_CAACCAACATTTCAGG.1 | Neurons:Schwann_cell | 0.12 | 284.84 | Raw ScoresNeurons:Schwann_cell: 0.37, Fibroblasts:foreskin: 0.35, MSC: 0.35, iPS_cells:foreskin_fibrobasts: 0.35, Tissue_stem_cells:BM_MSC: 0.35, iPS_cells:skin_fibroblast: 0.34, iPS_cells:CRL2097_foreskin: 0.34, iPS_cells:adipose_stem_cells: 0.34, Smooth_muscle_cells:vascular: 0.34, Tissue_stem_cells:dental_pulp: 0.34 |
T200_CGCATGGGTGTTGAGG-1 | Neurons:Schwann_cell | 0.12 | 277.03 | Raw ScoresNeurons:Schwann_cell: 0.33, Fibroblasts:foreskin: 0.3, Tissue_stem_cells:BM_MSC:BMP2: 0.29, Smooth_muscle_cells:bronchial: 0.29, Chondrocytes:MSC-derived: 0.29, iPS_cells:CRL2097_foreskin: 0.29, Tissue_stem_cells:BM_MSC:TGFb3: 0.29, Smooth_muscle_cells:bronchial:vit_D: 0.29, Osteoblasts: 0.28, MSC: 0.28 |
Below shows the significant enrichments of this GEP for literature curated gene lists
This data was procured from existing single cell RNA-seq maps of neuroblastoma or related relevant data.
High ranks indicate this gene is a driver of this GEP.
These curated gene list are ranked by the P-value (on this GEP) of their constituent genes.
The Mean Count column shows the mean read count in cells scoring highly (H > 50) on this gene expression program.
Genes | Weight | Rank | GTEx | DepMap | Decartes | Mean.Counts | Mean.TPM |
---|---|---|---|---|---|---|---|
PTPRZ1 | 0.0115737 | 5 | GTEx | DepMap | Descartes | 0.60 | 26.82 |
TTYH1 | 0.0099717 | 7 | GTEx | DepMap | Descartes | 1.45 | 113.63 |
ERBB3 | 0.0083427 | 15 | GTEx | DepMap | Descartes | 1.20 | 73.08 |
NGFR | 0.0056537 | 46 | GTEx | DepMap | Descartes | 1.63 | 156.93 |
PLP1 | 0.0021633 | 215 | GTEx | DepMap | Descartes | 2.73 | 300.66 |
CNP | 0.0009784 | 525 | GTEx | DepMap | Descartes | 1.52 | 95.87 |
LMO4 | 0.0009385 | 542 | GTEx | DepMap | Descartes | 1.11 | 53.62 |
CST3 | 0.0005681 | 894 | GTEx | DepMap | Descartes | 11.63 | 890.18 |
DAGLA | 0.0005583 | 910 | GTEx | DepMap | Descartes | 0.06 | 2.54 |
SERPINE2 | 0.0003371 | 1498 | GTEx | DepMap | Descartes | 1.25 | 52.27 |
CHL1 | -0.0003038 | 12096 | GTEx | DepMap | Descartes | 0.50 | 18.41 |
SCPs mouse and neuroblastoma (Olsen)
Similar to above, but for genes common to neuroblastoma SCP-like cells (as determined from their UMAP plot) and mouse SCP cells.:
Wilcoxon ranksum test P-value for gene set overrepresentation: 1.51e-04
Mean rank of genes in gene set: 2328.82
Rank on gene expression program of genes in gene set:
Genes | Weight | Rank | GTEx | DepMap | Decartes | Mean.Counts | Mean.TPM |
---|---|---|---|---|---|---|---|
ERBB3 | 0.0083427 | 15 | GTEx | DepMap | Descartes | 1.20 | 73.08 |
GPM6B | 0.0052195 | 56 | GTEx | DepMap | Descartes | 4.37 | 341.21 |
CNN3 | 0.0045299 | 73 | GTEx | DepMap | Descartes | 4.91 | 645.43 |
SEMA3B | 0.0029246 | 149 | GTEx | DepMap | Descartes | 2.36 | 221.91 |
NRXN1 | 0.0025911 | 169 | GTEx | DepMap | Descartes | 2.35 | 93.49 |
PLP1 | 0.0021633 | 215 | GTEx | DepMap | Descartes | 2.73 | 300.66 |
DST | 0.0017937 | 270 | GTEx | DepMap | Descartes | 3.69 | 42.50 |
S100B | 0.0006461 | 788 | GTEx | DepMap | Descartes | 10.38 | 3042.11 |
MPZ | 0.0001314 | 3232 | GTEx | DepMap | Descartes | 1.24 | 234.01 |
FXYD1 | -0.0000632 | 8137 | GTEx | DepMap | Descartes | 1.10 | 427.41 |
LGI4 | -0.0006071 | 12513 | GTEx | DepMap | Descartes | 0.94 | 97.35 |
EMT II (Kinker)
These marker genes were obtained in a pan cancer cell lines NMF analysis of scRNA-eq data in Kinker et al (PMID 33128048) - 10 metaprograms were recovered that manifest across cancers, this EMT program was enriched in HNSCC cell lines:
Wilcoxon ranksum test P-value for gene set overrepresentation: 3.62e-04
Mean rank of genes in gene set: 153
Rank on gene expression program of genes in gene set:
Genes | Weight | Rank | GTEx | DepMap | Decartes | Mean.Counts | Mean.TPM |
---|---|---|---|---|---|---|---|
VIM | 0.0098962 | 8 | GTEx | DepMap | Descartes | 76.58 | 6744.19 |
COL5A1 | 0.0057018 | 45 | GTEx | DepMap | Descartes | 2.06 | 58.02 |
FN1 | 0.0031554 | 139 | GTEx | DepMap | Descartes | 13.01 | 307.06 |
AXL | 0.0012192 | 420 | GTEx | DepMap | Descartes | 0.73 | 32.91 |
Below shows ranks on this GEP for literature curated gene lists for large gene sets
These include those reported as mesenchymal/adrenergic by Van Groningen et al.
High ranks indicate this gene is a driver of this GEP (note these results are not ordered).
The Mean Count column shows the mean read count in cells scoring highly (H > 50) on this gene expression program.
VanGroningen Adrenergic Genes
Adrenergic marker genes from Supplementary Table 2 of Van Groningen et al. Nature Genetics 2017. These genes were identified by differential expression analysis of mesenchymal-like and adrenergic-like neuroblastoma cell lines.
Wilcoxon ranksum test P-value for gene set overrepresentation: 1.00e+00
Mean rank of genes in gene set: 10266.31
Median rank of genes in gene set: 11367
Rank on gene expression program of top 30 genes in gene set:
Genes | Weight | Rank | GTEx | DepMap | Descartes | Mean.Counts | Mean.TPM |
---|---|---|---|---|---|---|---|
L1CAM | 0.0013783 | 368 | GTEx | DepMap | Descartes | 1.01 | 57.79 |
AP1S2 | 0.0011158 | 467 | GTEx | DepMap | Descartes | 2.28 | 185.26 |
HEY1 | 0.0007916 | 641 | GTEx | DepMap | Descartes | 0.27 | 28.80 |
AKAP12 | 0.0006913 | 733 | GTEx | DepMap | Descartes | 2.16 | 58.15 |
MYO5A | 0.0006582 | 773 | GTEx | DepMap | Descartes | 0.29 | 7.80 |
GRB10 | 0.0005760 | 875 | GTEx | DepMap | Descartes | 0.21 | 11.40 |
NFIL3 | 0.0005403 | 943 | GTEx | DepMap | Descartes | 0.35 | 49.39 |
GNB1 | 0.0005257 | 973 | GTEx | DepMap | Descartes | 1.40 | 88.08 |
NPTX2 | 0.0004009 | 1270 | GTEx | DepMap | Descartes | 0.22 | 19.31 |
GGH | 0.0003296 | 1534 | GTEx | DepMap | Descartes | 0.40 | 63.16 |
PHPT1 | 0.0003084 | 1658 | GTEx | DepMap | Descartes | 3.52 | 552.80 |
SETD7 | 0.0002061 | 2404 | GTEx | DepMap | Descartes | 0.20 | 4.18 |
POPDC3 | 0.0001947 | 2525 | GTEx | DepMap | Descartes | 0.09 | 12.38 |
TUBB4B | 0.0001721 | 2725 | GTEx | DepMap | Descartes | 1.96 | 189.98 |
GLDC | 0.0001649 | 2813 | GTEx | DepMap | Descartes | 0.04 | 2.90 |
NCS1 | 0.0001555 | 2912 | GTEx | DepMap | Descartes | 0.46 | 17.84 |
TACC2 | 0.0001488 | 2997 | GTEx | DepMap | Descartes | 0.26 | 5.67 |
ACOT7 | 0.0001263 | 3289 | GTEx | DepMap | Descartes | 0.67 | 57.09 |
CDC42EP3 | 0.0001213 | 3357 | GTEx | DepMap | Descartes | 0.64 | 20.41 |
EXOC5 | 0.0000939 | 3796 | GTEx | DepMap | Descartes | 0.29 | 7.22 |
PPP2R3C | 0.0000796 | 4046 | GTEx | DepMap | Descartes | 0.53 | 57.58 |
ST3GAL6 | 0.0000796 | 4047 | GTEx | DepMap | Descartes | 0.17 | 15.74 |
AHSA1 | 0.0000761 | 4126 | GTEx | DepMap | Descartes | 1.00 | 143.13 |
RBBP8 | 0.0000639 | 4362 | GTEx | DepMap | Descartes | 0.14 | 10.71 |
ANP32A | 0.0000342 | 4954 | GTEx | DepMap | Descartes | 1.02 | 52.08 |
FIGNL1 | 0.0000306 | 5040 | GTEx | DepMap | Descartes | 0.13 | 5.73 |
NGRN | 0.0000041 | 5719 | GTEx | DepMap | Descartes | 0.14 | 13.00 |
TMEM178B | 0.0000019 | 5781 | GTEx | DepMap | Descartes | 0.12 | NA |
CETN3 | -0.0000019 | 5863 | GTEx | DepMap | Descartes | 0.31 | 31.57 |
PTS | -0.0000163 | 6344 | GTEx | DepMap | Descartes | 0.77 | 125.43 |
VanGroningen Mesenchymal Genes
Mesenchymal marker genes from Supplementary Table 2 of Van Groningen et al. Nature Genetics 2017. These genes were identified by differential expression analysis of mesenchymal-like and adrenergic-like neuroblastoma cell lines.
Wilcoxon ranksum test P-value for gene set overrepresentation: 5.39e-43
Mean rank of genes in gene set: 3937.71
Median rank of genes in gene set: 1724
Rank on gene expression program of top 30 genes in gene set:
Genes | Weight | Rank | GTEx | DepMap | Descartes | Mean.Counts | Mean.TPM |
---|---|---|---|---|---|---|---|
IGFBP5 | 0.0171228 | 1 | GTEx | DepMap | Descartes | 34.36 | 1443.01 |
TNFRSF12A | 0.0104422 | 6 | GTEx | DepMap | Descartes | 3.27 | 494.88 |
VIM | 0.0098962 | 8 | GTEx | DepMap | Descartes | 76.58 | 6744.19 |
COL12A1 | 0.0098825 | 9 | GTEx | DepMap | Descartes | 1.51 | 34.50 |
OLFML2A | 0.0095573 | 10 | GTEx | DepMap | Descartes | 1.60 | 74.09 |
NES | 0.0085245 | 14 | GTEx | DepMap | Descartes | 4.06 | 172.05 |
TNC | 0.0076155 | 20 | GTEx | DepMap | Descartes | 1.85 | 43.13 |
COL5A2 | 0.0072624 | 22 | GTEx | DepMap | Descartes | 2.42 | 84.75 |
ANXA2 | 0.0068749 | 27 | GTEx | DepMap | Descartes | 17.65 | 1331.58 |
ITGB1 | 0.0068242 | 28 | GTEx | DepMap | Descartes | 9.58 | 676.31 |
COL4A2 | 0.0062384 | 34 | GTEx | DepMap | Descartes | 9.98 | 321.24 |
ANXA5 | 0.0060268 | 39 | GTEx | DepMap | Descartes | 6.61 | 990.22 |
COL6A1 | 0.0058133 | 40 | GTEx | DepMap | Descartes | 5.05 | 264.15 |
COL6A2 | 0.0057316 | 43 | GTEx | DepMap | Descartes | 6.90 | 477.02 |
COL5A1 | 0.0057018 | 45 | GTEx | DepMap | Descartes | 2.06 | 58.02 |
SPARC | 0.0055947 | 47 | GTEx | DepMap | Descartes | 21.42 | 1389.94 |
KDELR3 | 0.0054531 | 49 | GTEx | DepMap | Descartes | 0.72 | 89.26 |
EMP1 | 0.0050716 | 60 | GTEx | DepMap | Descartes | 1.74 | 70.33 |
COL4A1 | 0.0050391 | 61 | GTEx | DepMap | Descartes | 9.52 | 296.79 |
GPX8 | 0.0050014 | 63 | GTEx | DepMap | Descartes | 0.96 | 58.64 |
LGALS1 | 0.0048975 | 67 | GTEx | DepMap | Descartes | 42.46 | 16033.92 |
CNN3 | 0.0045299 | 73 | GTEx | DepMap | Descartes | 4.91 | 645.43 |
LOXL2 | 0.0045045 | 75 | GTEx | DepMap | Descartes | 1.07 | 56.69 |
COL11A1 | 0.0044081 | 77 | GTEx | DepMap | Descartes | 0.44 | 18.02 |
PLS3 | 0.0043969 | 78 | GTEx | DepMap | Descartes | 1.03 | 82.88 |
LMNA | 0.0043313 | 81 | GTEx | DepMap | Descartes | 6.79 | 476.63 |
FAM114A1 | 0.0042322 | 82 | GTEx | DepMap | Descartes | 1.17 | 62.03 |
FLNA | 0.0041860 | 84 | GTEx | DepMap | Descartes | 4.01 | 99.12 |
PTN | 0.0040127 | 91 | GTEx | DepMap | Descartes | 3.35 | 678.05 |
CALU | 0.0039454 | 96 | GTEx | DepMap | Descartes | 3.04 | 123.11 |
Descartes adrenocortical markers
Top 50 marker genes of adrenocortical cells in the Decartes fetal adrenal single cell map (https://atlas.brotmanbaty.org/bbi/human-gene-expression-during-development/cell/adrenocortical/in/adrenal)
Wilcoxon ranksum test P-value for gene set overrepresentation: 1.00e+00
Mean rank of genes in gene set: 8429.97
Median rank of genes in gene set: 9427
Rank on gene expression program of top 30 genes in gene set:
Genes | Weight | Rank | GTEx | DepMap | Descartes | Mean.Counts | Mean.TPM |
---|---|---|---|---|---|---|---|
FREM2 | 0.0018419 | 259 | GTEx | DepMap | Descartes | 0.10 | 1.98 |
FRMD5 | 0.0009010 | 562 | GTEx | DepMap | Descartes | 0.17 | 5.48 |
SH3PXD2B | 0.0002821 | 1821 | GTEx | DepMap | Descartes | 0.18 | 4.50 |
NPC1 | 0.0001466 | 3026 | GTEx | DepMap | Descartes | 0.09 | 5.28 |
FDPS | 0.0001243 | 3316 | GTEx | DepMap | Descartes | 1.23 | 120.09 |
FDX1 | 0.0001182 | 3399 | GTEx | DepMap | Descartes | 0.67 | 50.59 |
JAKMIP2 | 0.0000725 | 4188 | GTEx | DepMap | Descartes | 0.23 | 4.85 |
SCAP | 0.0000339 | 4959 | GTEx | DepMap | Descartes | 0.20 | 10.26 |
HMGCR | 0.0000150 | 5422 | GTEx | DepMap | Descartes | 0.19 | 7.99 |
POR | -0.0000192 | 6448 | GTEx | DepMap | Descartes | 0.42 | 44.56 |
FDXR | -0.0000626 | 8106 | GTEx | DepMap | Descartes | 0.15 | 11.70 |
INHA | -0.0000639 | 8159 | GTEx | DepMap | Descartes | 0.00 | 0.00 |
BAIAP2L1 | -0.0000673 | 8254 | GTEx | DepMap | Descartes | 0.01 | 0.27 |
HMGCS1 | -0.0000761 | 8559 | GTEx | DepMap | Descartes | 0.30 | 9.53 |
SGCZ | -0.0000839 | 8811 | GTEx | DepMap | Descartes | 0.00 | 0.00 |
DHCR24 | -0.0000841 | 8821 | GTEx | DepMap | Descartes | 0.08 | 2.49 |
CYB5B | -0.0000974 | 9199 | GTEx | DepMap | Descartes | 0.42 | 21.91 |
DHCR7 | -0.0001022 | 9338 | GTEx | DepMap | Descartes | 0.07 | 3.44 |
SLC16A9 | -0.0001085 | 9516 | GTEx | DepMap | Descartes | 0.02 | 1.30 |
MSMO1 | -0.0001145 | 9673 | GTEx | DepMap | Descartes | 0.24 | 16.11 |
ERN1 | -0.0001160 | 9709 | GTEx | DepMap | Descartes | 0.15 | 3.05 |
LDLR | -0.0001171 | 9743 | GTEx | DepMap | Descartes | 0.24 | 6.60 |
CLU | -0.0001345 | 10188 | GTEx | DepMap | Descartes | 2.00 | 223.00 |
GRAMD1B | -0.0001676 | 10869 | GTEx | DepMap | Descartes | 0.03 | 0.80 |
PEG3 | -0.0001910 | 11220 | GTEx | DepMap | Descartes | 0.18 | NA |
SCARB1 | -0.0002055 | 11380 | GTEx | DepMap | Descartes | 0.04 | 1.34 |
SLC1A2 | -0.0002076 | 11402 | GTEx | DepMap | Descartes | 0.03 | 0.28 |
PAPSS2 | -0.0002107 | 11443 | GTEx | DepMap | Descartes | 0.20 | 7.48 |
DNER | -0.0002122 | 11454 | GTEx | DepMap | Descartes | 0.10 | 2.99 |
PDE10A | -0.0002237 | 11568 | GTEx | DepMap | Descartes | 0.06 | 0.91 |
Descartes chromaffin markers
Top 50 marker genes of chromaffin cells in the Decartes fetal adrenal single cell map (https://atlas.brotmanbaty.org/bbi/human-gene-expression-during-development/cell/chromaffin/in/adrenal)
Wilcoxon ranksum test P-value for gene set overrepresentation: 1.00e+00
Mean rank of genes in gene set: 10793.49
Median rank of genes in gene set: 11441
Rank on gene expression program of top 30 genes in gene set:
Genes | Weight | Rank | GTEx | DepMap | Descartes | Mean.Counts | Mean.TPM |
---|---|---|---|---|---|---|---|
RGMB | 0.0002332 | 2176 | GTEx | DepMap | Descartes | 0.33 | 11.04 |
PLXNA4 | 0.0001052 | 3609 | GTEx | DepMap | Descartes | 0.10 | 1.09 |
FAT3 | -0.0000508 | 7656 | GTEx | DepMap | Descartes | 0.05 | 0.59 |
EPHA6 | -0.0000883 | 8960 | GTEx | DepMap | Descartes | 0.02 | 0.37 |
ANKFN1 | -0.0000995 | 9263 | GTEx | DepMap | Descartes | 0.00 | 0.00 |
TUBA1A | -0.0001006 | 9298 | GTEx | DepMap | Descartes | 17.02 | 1664.23 |
ALK | -0.0001084 | 9512 | GTEx | DepMap | Descartes | 0.03 | 0.86 |
SLC44A5 | -0.0001127 | 9622 | GTEx | DepMap | Descartes | 0.00 | 0.00 |
CCND1 | -0.0001245 | 9940 | GTEx | DepMap | Descartes | 4.81 | 208.77 |
RPH3A | -0.0001250 | 9952 | GTEx | DepMap | Descartes | 0.01 | 0.09 |
EYA4 | -0.0001355 | 10206 | GTEx | DepMap | Descartes | 0.00 | 0.00 |
HS3ST5 | -0.0001359 | 10220 | GTEx | DepMap | Descartes | 0.04 | 1.07 |
EYA1 | -0.0001362 | 10233 | GTEx | DepMap | Descartes | 0.04 | 0.81 |
KCNB2 | -0.0001419 | 10355 | GTEx | DepMap | Descartes | 0.04 | 1.04 |
PTCHD1 | -0.0001423 | 10368 | GTEx | DepMap | Descartes | 0.02 | 0.14 |
CNKSR2 | -0.0001510 | 10545 | GTEx | DepMap | Descartes | 0.06 | 2.18 |
RYR2 | -0.0001615 | 10749 | GTEx | DepMap | Descartes | 0.05 | 0.18 |
TUBB2A | -0.0001834 | 11113 | GTEx | DepMap | Descartes | 2.29 | 242.96 |
SLC6A2 | -0.0001899 | 11203 | GTEx | DepMap | Descartes | 0.05 | 1.80 |
RBFOX1 | -0.0001957 | 11274 | GTEx | DepMap | Descartes | 0.02 | 0.65 |
SYNPO2 | -0.0002102 | 11441 | GTEx | DepMap | Descartes | 0.44 | 3.55 |
TMEFF2 | -0.0002496 | 11795 | GTEx | DepMap | Descartes | 0.13 | 3.68 |
TMEM132C | -0.0002525 | 11818 | GTEx | DepMap | Descartes | 0.02 | 0.66 |
NTRK1 | -0.0002712 | 11920 | GTEx | DepMap | Descartes | 0.17 | 11.48 |
MAP1B | -0.0002769 | 11961 | GTEx | DepMap | Descartes | 5.28 | 76.30 |
REEP1 | -0.0002791 | 11965 | GTEx | DepMap | Descartes | 0.07 | 2.30 |
GAL | -0.0002822 | 11982 | GTEx | DepMap | Descartes | 0.31 | 75.12 |
GREM1 | -0.0002830 | 11986 | GTEx | DepMap | Descartes | 0.20 | 2.69 |
IL7 | -0.0003168 | 12148 | GTEx | DepMap | Descartes | 0.15 | 8.36 |
CNTFR | -0.0003352 | 12216 | GTEx | DepMap | Descartes | 0.18 | 9.62 |
Descartes Vascular_endothelial markers
Top 50 marker genes of Vascular_endothelial cells in the Decartes fetal adrenal single cell map (https://atlas.brotmanbaty.org/bbi/human-gene-expression-during-development/cell/vascular_endothelial/in/adrenal)
Wilcoxon ranksum test P-value for gene set overrepresentation: 1.00e+00
Mean rank of genes in gene set: 9853.95
Median rank of genes in gene set: 11004.5
Rank on gene expression program of top 30 genes in gene set:
Genes | Weight | Rank | GTEx | DepMap | Descartes | Mean.Counts | Mean.TPM |
---|---|---|---|---|---|---|---|
CDH13 | 0.0015964 | 308 | GTEx | DepMap | Descartes | 0.49 | 12.27 |
CRHBP | 0.0008587 | 597 | GTEx | DepMap | Descartes | 0.03 | 3.80 |
HYAL2 | 0.0002557 | 1998 | GTEx | DepMap | Descartes | 0.93 | 39.28 |
NR5A2 | 0.0000715 | 4213 | GTEx | DepMap | Descartes | 0.04 | 1.20 |
NOTCH4 | 0.0000054 | 5679 | GTEx | DepMap | Descartes | 0.24 | 7.28 |
EHD3 | 0.0000046 | 5698 | GTEx | DepMap | Descartes | 0.07 | 2.15 |
ROBO4 | -0.0000567 | 7874 | GTEx | DepMap | Descartes | 0.36 | 11.80 |
CLDN5 | -0.0000690 | 8326 | GTEx | DepMap | Descartes | 1.10 | 60.27 |
TEK | -0.0000718 | 8412 | GTEx | DepMap | Descartes | 0.06 | 1.75 |
SHANK3 | -0.0000720 | 8421 | GTEx | DepMap | Descartes | 0.10 | 1.35 |
IRX3 | -0.0000959 | 9160 | GTEx | DepMap | Descartes | 0.00 | 0.00 |
KANK3 | -0.0000973 | 9198 | GTEx | DepMap | Descartes | 0.13 | 5.13 |
CEACAM1 | -0.0001214 | 9855 | GTEx | DepMap | Descartes | 0.01 | 0.26 |
GALNT15 | -0.0001245 | 9939 | GTEx | DepMap | Descartes | 0.02 | NA |
CYP26B1 | -0.0001513 | 10552 | GTEx | DepMap | Descartes | 0.22 | 3.90 |
F8 | -0.0001524 | 10577 | GTEx | DepMap | Descartes | 0.02 | 0.41 |
FLT4 | -0.0001578 | 10687 | GTEx | DepMap | Descartes | 0.10 | 2.48 |
MYRIP | -0.0001638 | 10805 | GTEx | DepMap | Descartes | 0.00 | 0.00 |
CHRM3 | -0.0001679 | 10875 | GTEx | DepMap | Descartes | 0.08 | 1.17 |
NPR1 | -0.0001854 | 11134 | GTEx | DepMap | Descartes | 0.05 | 1.90 |
RASIP1 | -0.0002027 | 11350 | GTEx | DepMap | Descartes | 0.19 | 7.69 |
ESM1 | -0.0002498 | 11799 | GTEx | DepMap | Descartes | 0.12 | 7.14 |
BTNL9 | -0.0002536 | 11826 | GTEx | DepMap | Descartes | 0.01 | 0.26 |
CALCRL | -0.0002735 | 11934 | GTEx | DepMap | Descartes | 0.31 | 7.08 |
SHE | -0.0003031 | 12091 | GTEx | DepMap | Descartes | 0.05 | 0.94 |
TMEM88 | -0.0003137 | 12135 | GTEx | DepMap | Descartes | 0.09 | 12.74 |
TIE1 | -0.0003540 | 12270 | GTEx | DepMap | Descartes | 0.15 | 5.28 |
KDR | -0.0003928 | 12346 | GTEx | DepMap | Descartes | 0.25 | 5.34 |
CDH5 | -0.0003983 | 12356 | GTEx | DepMap | Descartes | 0.35 | 11.55 |
EFNB2 | -0.0004062 | 12374 | GTEx | DepMap | Descartes | 0.19 | 4.80 |
Descartes stromal markers
Top 50 marker genes of stromal cells in the Decartes fetal adrenal single cell map (https://atlas.brotmanbaty.org/bbi/human-gene-expression-during-development/cell/stromal/in/adrenal)
Wilcoxon ranksum test P-value for gene set overrepresentation: 9.69e-01
Mean rank of genes in gene set: 7295.05
Median rank of genes in gene set: 8937
Rank on gene expression program of top 30 genes in gene set:
Genes | Weight | Rank | GTEx | DepMap | Descartes | Mean.Counts | Mean.TPM |
---|---|---|---|---|---|---|---|
COL12A1 | 0.0098825 | 9 | GTEx | DepMap | Descartes | 1.51 | 34.50 |
COL1A2 | 0.0038378 | 100 | GTEx | DepMap | Descartes | 14.82 | 544.58 |
COL27A1 | 0.0035576 | 116 | GTEx | DepMap | Descartes | 0.24 | 8.86 |
COL1A1 | 0.0031460 | 140 | GTEx | DepMap | Descartes | 21.76 | 760.31 |
ISLR | 0.0024654 | 181 | GTEx | DepMap | Descartes | 0.50 | 61.90 |
PRRX1 | 0.0020819 | 224 | GTEx | DepMap | Descartes | 0.50 | 24.65 |
ITGA11 | 0.0012327 | 417 | GTEx | DepMap | Descartes | 0.09 | 2.19 |
IGFBP3 | 0.0011680 | 448 | GTEx | DepMap | Descartes | 0.74 | 69.11 |
COL6A3 | 0.0005350 | 956 | GTEx | DepMap | Descartes | 1.74 | 29.66 |
RSPO3 | 0.0003473 | 1460 | GTEx | DepMap | Descartes | 0.06 | NA |
ADAMTS2 | 0.0003030 | 1699 | GTEx | DepMap | Descartes | 0.27 | 8.22 |
ELN | 0.0003017 | 1704 | GTEx | DepMap | Descartes | 0.25 | 12.38 |
PRICKLE1 | 0.0002402 | 2114 | GTEx | DepMap | Descartes | 0.17 | 7.21 |
BICC1 | 0.0001809 | 2649 | GTEx | DepMap | Descartes | 0.13 | 9.49 |
LAMC3 | 0.0001321 | 3217 | GTEx | DepMap | Descartes | 0.02 | 1.04 |
ABCC9 | 0.0000238 | 5195 | GTEx | DepMap | Descartes | 0.06 | 2.19 |
DKK2 | -0.0000132 | 6246 | GTEx | DepMap | Descartes | 0.02 | 0.37 |
CDH11 | -0.0000245 | 6672 | GTEx | DepMap | Descartes | 0.40 | 9.84 |
GAS2 | -0.0000643 | 8170 | GTEx | DepMap | Descartes | 0.00 | 0.00 |
SFRP2 | -0.0000703 | 8371 | GTEx | DepMap | Descartes | 0.00 | 0.00 |
FREM1 | -0.0000772 | 8595 | GTEx | DepMap | Descartes | 0.04 | 1.14 |
PCDH18 | -0.0000843 | 8825 | GTEx | DepMap | Descartes | 0.11 | 2.73 |
ADAMTSL3 | -0.0000919 | 9049 | GTEx | DepMap | Descartes | 0.01 | 0.10 |
LRRC17 | -0.0001290 | 10051 | GTEx | DepMap | Descartes | 0.05 | 4.22 |
HHIP | -0.0001413 | 10340 | GTEx | DepMap | Descartes | 0.02 | 0.32 |
PAMR1 | -0.0001432 | 10381 | GTEx | DepMap | Descartes | 0.11 | 5.66 |
SCARA5 | -0.0001630 | 10785 | GTEx | DepMap | Descartes | 0.01 | 0.27 |
MGP | -0.0001638 | 10804 | GTEx | DepMap | Descartes | 4.17 | 533.88 |
GLI2 | -0.0001653 | 10842 | GTEx | DepMap | Descartes | 0.00 | 0.00 |
PDGFRA | -0.0001902 | 11209 | GTEx | DepMap | Descartes | 0.14 | 3.68 |
Descartes sympathoblasts markers
Top 50 marker genes of sympathoblasts cells in the Decartes fetal adrenal single cell map (https://atlas.brotmanbaty.org/bbi/human-gene-expression-during-development/cell/sympathoblasts/in/adrenal)
Wilcoxon ranksum test P-value for gene set overrepresentation: 1.00e+00
Mean rank of genes in gene set: 9585.89
Median rank of genes in gene set: 10190.5
Rank on gene expression program of top 30 genes in gene set:
Genes | Weight | Rank | GTEx | DepMap | Descartes | Mean.Counts | Mean.TPM |
---|---|---|---|---|---|---|---|
PCSK2 | 0.0008687 | 585 | GTEx | DepMap | Descartes | 0.06 | 4.09 |
ROBO1 | 0.0000569 | 4500 | GTEx | DepMap | Descartes | 0.30 | 5.51 |
ST18 | 0.0000095 | 5565 | GTEx | DepMap | Descartes | 0.01 | 0.16 |
SLC35F3 | -0.0000152 | 6314 | GTEx | DepMap | Descartes | 0.01 | 1.36 |
LAMA3 | -0.0000389 | 7199 | GTEx | DepMap | Descartes | 0.02 | 0.19 |
CNTN3 | -0.0000484 | 7567 | GTEx | DepMap | Descartes | 0.01 | 0.15 |
SLC24A2 | -0.0000487 | 7576 | GTEx | DepMap | Descartes | 0.00 | 0.00 |
GRM7 | -0.0000514 | 7685 | GTEx | DepMap | Descartes | 0.02 | 0.60 |
GALNTL6 | -0.0000675 | 8262 | GTEx | DepMap | Descartes | 0.01 | 0.20 |
NTNG1 | -0.0000756 | 8535 | GTEx | DepMap | Descartes | 0.09 | 3.91 |
SORCS3 | -0.0000765 | 8580 | GTEx | DepMap | Descartes | 0.00 | 0.00 |
DGKK | -0.0000841 | 8820 | GTEx | DepMap | Descartes | 0.01 | 0.12 |
TBX20 | -0.0000871 | 8921 | GTEx | DepMap | Descartes | 0.00 | 0.00 |
KSR2 | -0.0001092 | 9529 | GTEx | DepMap | Descartes | 0.03 | 0.28 |
HTATSF1 | -0.0001132 | 9635 | GTEx | DepMap | Descartes | 0.48 | 32.35 |
EML6 | -0.0001221 | 9872 | GTEx | DepMap | Descartes | 0.02 | 0.10 |
PACRG | -0.0001250 | 9951 | GTEx | DepMap | Descartes | 0.02 | 0.80 |
CDH18 | -0.0001338 | 10168 | GTEx | DepMap | Descartes | 0.00 | 0.00 |
FGF14 | -0.0001346 | 10190 | GTEx | DepMap | Descartes | 0.03 | 0.29 |
TENM1 | -0.0001347 | 10191 | GTEx | DepMap | Descartes | 0.01 | NA |
CCSER1 | -0.0001357 | 10208 | GTEx | DepMap | Descartes | 0.00 | NA |
AGBL4 | -0.0001382 | 10276 | GTEx | DepMap | Descartes | 0.00 | 0.00 |
CDH12 | -0.0001388 | 10290 | GTEx | DepMap | Descartes | 0.00 | 0.00 |
TIAM1 | -0.0001496 | 10519 | GTEx | DepMap | Descartes | 0.09 | 2.42 |
SPOCK3 | -0.0001617 | 10755 | GTEx | DepMap | Descartes | 0.02 | 0.69 |
PENK | -0.0001660 | 10849 | GTEx | DepMap | Descartes | 0.07 | 14.90 |
UNC80 | -0.0001756 | 10986 | GTEx | DepMap | Descartes | 0.09 | 0.61 |
SLC18A1 | -0.0001789 | 11048 | GTEx | DepMap | Descartes | 0.04 | 0.90 |
GRID2 | -0.0001865 | 11151 | GTEx | DepMap | Descartes | 0.01 | 0.15 |
FAM155A | -0.0002159 | 11492 | GTEx | DepMap | Descartes | 0.06 | 0.58 |
Descartes erythroblasts markers
Top 50 marker genes of erythroblasts cells in the Decartes fetal adrenal single cell map (https://atlas.brotmanbaty.org/bbi/human-gene-expression-during-development/cell/erythroblasts/in/adrenal)
Wilcoxon ranksum test P-value for gene set overrepresentation: 5.22e-01
Mean rank of genes in gene set: 6312.38
Median rank of genes in gene set: 7124
Rank on gene expression program of top 30 genes in gene set:
Genes | Weight | Rank | GTEx | DepMap | Descartes | Mean.Counts | Mean.TPM |
---|---|---|---|---|---|---|---|
SOX6 | 0.0009579 | 533 | GTEx | DepMap | Descartes | 0.20 | 7.76 |
MICAL2 | 0.0009490 | 537 | GTEx | DepMap | Descartes | 0.31 | 8.24 |
TSPAN5 | 0.0005383 | 947 | GTEx | DepMap | Descartes | 0.75 | 45.03 |
TRAK2 | 0.0003338 | 1513 | GTEx | DepMap | Descartes | 0.17 | 8.46 |
CAT | 0.0002891 | 1785 | GTEx | DepMap | Descartes | 0.35 | 38.69 |
CPOX | 0.0002459 | 2070 | GTEx | DepMap | Descartes | 0.10 | 7.71 |
SPECC1 | 0.0001870 | 2594 | GTEx | DepMap | Descartes | 0.17 | 4.16 |
MARCH3 | 0.0001474 | 3017 | GTEx | DepMap | Descartes | 0.21 | NA |
ABCB10 | 0.0001006 | 3690 | GTEx | DepMap | Descartes | 0.06 | 3.60 |
BLVRB | 0.0000805 | 4034 | GTEx | DepMap | Descartes | 0.53 | 101.90 |
XPO7 | 0.0000559 | 4517 | GTEx | DepMap | Descartes | 0.15 | 5.38 |
SLC25A21 | 0.0000349 | 4934 | GTEx | DepMap | Descartes | 0.00 | 0.00 |
SLC25A37 | 0.0000211 | 5265 | GTEx | DepMap | Descartes | 0.44 | 19.73 |
RHD | -0.0000200 | 6484 | GTEx | DepMap | Descartes | 0.00 | 0.00 |
ALAS2 | -0.0000373 | 7124 | GTEx | DepMap | Descartes | 0.00 | 0.00 |
SLC4A1 | -0.0000393 | 7214 | GTEx | DepMap | Descartes | 0.01 | 0.23 |
SELENBP1 | -0.0000401 | 7249 | GTEx | DepMap | Descartes | 0.05 | 7.54 |
TFR2 | -0.0000494 | 7601 | GTEx | DepMap | Descartes | 0.04 | 0.99 |
SPTB | -0.0000693 | 8337 | GTEx | DepMap | Descartes | 0.02 | 0.39 |
TMCC2 | -0.0000709 | 8386 | GTEx | DepMap | Descartes | 0.06 | 1.69 |
GCLC | -0.0000890 | 8973 | GTEx | DepMap | Descartes | 0.02 | 1.48 |
RAPGEF2 | -0.0001034 | 9376 | GTEx | DepMap | Descartes | 0.19 | 4.05 |
GYPC | -0.0001209 | 9847 | GTEx | DepMap | Descartes | 1.34 | 131.64 |
ANK1 | -0.0001328 | 10140 | GTEx | DepMap | Descartes | 0.01 | 0.14 |
FECH | -0.0001605 | 10737 | GTEx | DepMap | Descartes | 0.09 | 1.47 |
DENND4A | -0.0001745 | 10967 | GTEx | DepMap | Descartes | 0.10 | 2.02 |
EPB41 | -0.0001784 | 11041 | GTEx | DepMap | Descartes | 0.20 | 5.04 |
RGS6 | -0.0002492 | 11789 | GTEx | DepMap | Descartes | 0.00 | 0.00 |
SNCA | -0.0003991 | 12358 | GTEx | DepMap | Descartes | 0.64 | 49.68 |
NA | NA | NA | NA | NA | NA | NA | NA |
Descartes myeloid markers
Top 50 marker genes of myeloid cells in the Decartes fetal adrenal single cell map (https://atlas.brotmanbaty.org/bbi/human-gene-expression-during-development/cell/myeloid/in/adrenal)
Wilcoxon ranksum test P-value for gene set overrepresentation: 1.00e+00
Mean rank of genes in gene set: 8413.03
Median rank of genes in gene set: 9866.5
Rank on gene expression program of top 30 genes in gene set:
Genes | Weight | Rank | GTEx | DepMap | Descartes | Mean.Counts | Mean.TPM |
---|---|---|---|---|---|---|---|
TGFBI | 0.0095263 | 11 | GTEx | DepMap | Descartes | 5.26 | 285.82 |
PTPRE | 0.0013060 | 393 | GTEx | DepMap | Descartes | 0.85 | 32.95 |
AXL | 0.0012192 | 420 | GTEx | DepMap | Descartes | 0.73 | 32.91 |
CST3 | 0.0005681 | 894 | GTEx | DepMap | Descartes | 11.63 | 890.18 |
FMN1 | 0.0003581 | 1417 | GTEx | DepMap | Descartes | 0.17 | 2.49 |
RGL1 | 0.0000869 | 3926 | GTEx | DepMap | Descartes | 0.16 | 7.27 |
HRH1 | 0.0000867 | 3933 | GTEx | DepMap | Descartes | 0.07 | 2.38 |
ABCA1 | 0.0000249 | 5173 | GTEx | DepMap | Descartes | 0.19 | 3.63 |
WWP1 | 0.0000007 | 5813 | GTEx | DepMap | Descartes | 0.22 | 13.48 |
CTSD | -0.0000034 | 5909 | GTEx | DepMap | Descartes | 2.53 | 335.19 |
SFMBT2 | -0.0000374 | 7129 | GTEx | DepMap | Descartes | 0.05 | 2.53 |
CTSC | -0.0000575 | 7907 | GTEx | DepMap | Descartes | 1.09 | 41.28 |
ATP8B4 | -0.0000873 | 8930 | GTEx | DepMap | Descartes | 0.00 | 0.00 |
ITPR2 | -0.0000915 | 9040 | GTEx | DepMap | Descartes | 0.07 | 0.84 |
SLC1A3 | -0.0001045 | 9415 | GTEx | DepMap | Descartes | 0.07 | 2.47 |
RBPJ | -0.0001063 | 9468 | GTEx | DepMap | Descartes | 0.69 | 23.48 |
IFNGR1 | -0.0001074 | 9491 | GTEx | DepMap | Descartes | 0.31 | 24.85 |
MERTK | -0.0001107 | 9570 | GTEx | DepMap | Descartes | 0.06 | 3.06 |
SPP1 | -0.0001148 | 9683 | GTEx | DepMap | Descartes | 1.08 | 151.17 |
CPVL | -0.0001290 | 10050 | GTEx | DepMap | Descartes | 0.05 | 3.66 |
SLC9A9 | -0.0001309 | 10095 | GTEx | DepMap | Descartes | 0.06 | 2.92 |
MARCH1 | -0.0001380 | 10267 | GTEx | DepMap | Descartes | 0.07 | NA |
MSR1 | -0.0001480 | 10480 | GTEx | DepMap | Descartes | 0.12 | 5.86 |
CSF1R | -0.0001571 | 10673 | GTEx | DepMap | Descartes | 0.15 | 7.63 |
LGMN | -0.0001574 | 10681 | GTEx | DepMap | Descartes | 0.54 | 43.12 |
MS4A4A | -0.0001625 | 10767 | GTEx | DepMap | Descartes | 0.10 | 9.36 |
FGD2 | -0.0001629 | 10774 | GTEx | DepMap | Descartes | 0.02 | 0.40 |
CTSB | -0.0001747 | 10975 | GTEx | DepMap | Descartes | 1.39 | 64.07 |
HCK | -0.0001888 | 11184 | GTEx | DepMap | Descartes | 0.01 | 0.45 |
SLCO2B1 | -0.0002013 | 11338 | GTEx | DepMap | Descartes | 0.04 | 1.20 |
Descartes Schwann markers
Top 50 marker genes of Schwann cells in the Decartes fetal adrenal single cell map (https://atlas.brotmanbaty.org/bbi/human-gene-expression-during-development/cell/schwann/in/adrenal)
Wilcoxon ranksum test P-value for gene set overrepresentation: 1.03e-09
Mean rank of genes in gene set: 3007.73
Median rank of genes in gene set: 811.5
Rank on gene expression program of top 30 genes in gene set:
Genes | Weight | Rank | GTEx | DepMap | Descartes | Mean.Counts | Mean.TPM |
---|---|---|---|---|---|---|---|
COL18A1 | 0.0120867 | 4 | GTEx | DepMap | Descartes | 6.59 | 264.09 |
PTPRZ1 | 0.0115737 | 5 | GTEx | DepMap | Descartes | 0.60 | 26.82 |
VIM | 0.0098962 | 8 | GTEx | DepMap | Descartes | 76.58 | 6744.19 |
OLFML2A | 0.0095573 | 10 | GTEx | DepMap | Descartes | 1.60 | 74.09 |
ERBB3 | 0.0083427 | 15 | GTEx | DepMap | Descartes | 1.20 | 73.08 |
GAS7 | 0.0080593 | 16 | GTEx | DepMap | Descartes | 1.58 | 54.23 |
COL5A2 | 0.0072624 | 22 | GTEx | DepMap | Descartes | 2.42 | 84.75 |
PTN | 0.0040127 | 91 | GTEx | DepMap | Descartes | 3.35 | 678.05 |
KCTD12 | 0.0027985 | 154 | GTEx | DepMap | Descartes | 1.10 | 48.47 |
NRXN1 | 0.0025911 | 169 | GTEx | DepMap | Descartes | 2.35 | 93.49 |
IL1RAPL2 | 0.0023639 | 191 | GTEx | DepMap | Descartes | 0.02 | 5.05 |
SLC35F1 | 0.0022869 | 198 | GTEx | DepMap | Descartes | 0.42 | 25.47 |
STARD13 | 0.0021686 | 213 | GTEx | DepMap | Descartes | 0.44 | 24.47 |
PLP1 | 0.0021633 | 215 | GTEx | DepMap | Descartes | 2.73 | 300.66 |
EDNRB | 0.0019789 | 234 | GTEx | DepMap | Descartes | 0.54 | 36.56 |
XKR4 | 0.0019323 | 243 | GTEx | DepMap | Descartes | 0.29 | 3.92 |
DST | 0.0017937 | 270 | GTEx | DepMap | Descartes | 3.69 | 42.50 |
NRXN3 | 0.0013933 | 365 | GTEx | DepMap | Descartes | 0.19 | 5.64 |
PMP22 | 0.0013424 | 381 | GTEx | DepMap | Descartes | 3.99 | 683.78 |
LAMB1 | 0.0013080 | 392 | GTEx | DepMap | Descartes | 1.02 | 38.23 |
FIGN | 0.0011959 | 434 | GTEx | DepMap | Descartes | 0.44 | 13.72 |
MARCKS | 0.0007102 | 715 | GTEx | DepMap | Descartes | 8.22 | 406.79 |
SOX5 | 0.0005597 | 908 | GTEx | DepMap | Descartes | 0.26 | 11.38 |
LAMC1 | 0.0004213 | 1224 | GTEx | DepMap | Descartes | 1.14 | 26.44 |
SORCS1 | 0.0003701 | 1376 | GTEx | DepMap | Descartes | 0.24 | 14.46 |
IL1RAPL1 | 0.0003117 | 1636 | GTEx | DepMap | Descartes | 0.04 | 2.93 |
VCAN | 0.0003055 | 1675 | GTEx | DepMap | Descartes | 1.55 | 26.03 |
PAG1 | 0.0002065 | 2393 | GTEx | DepMap | Descartes | 0.24 | 5.26 |
PLCE1 | 0.0001848 | 2619 | GTEx | DepMap | Descartes | 0.12 | 2.12 |
MPZ | 0.0001314 | 3232 | GTEx | DepMap | Descartes | 1.24 | 234.01 |
Descartes Megakaryocytes markers
Top 50 marker genes of Megakaryocytes cells in the Decartes fetal adrenal single cell map (https://atlas.brotmanbaty.org/bbi/human-gene-expression-during-development/cell/megakaryocytes/in/adrenal)
Wilcoxon ranksum test P-value for gene set overrepresentation: 5.63e-01
Mean rank of genes in gene set: 6360.64
Median rank of genes in gene set: 7505
Rank on gene expression program of top 30 genes in gene set:
Genes | Weight | Rank | GTEx | DepMap | Descartes | Mean.Counts | Mean.TPM |
---|---|---|---|---|---|---|---|
MYLK | 0.0043818 | 79 | GTEx | DepMap | Descartes | 1.58 | 32.90 |
FLNA | 0.0041860 | 84 | GTEx | DepMap | Descartes | 4.01 | 99.12 |
VCL | 0.0030571 | 143 | GTEx | DepMap | Descartes | 1.28 | 32.71 |
TPM4 | 0.0027268 | 161 | GTEx | DepMap | Descartes | 6.23 | 248.80 |
TLN1 | 0.0022693 | 199 | GTEx | DepMap | Descartes | 1.90 | 44.65 |
ACTN1 | 0.0022101 | 206 | GTEx | DepMap | Descartes | 2.30 | 88.13 |
LIMS1 | 0.0018000 | 268 | GTEx | DepMap | Descartes | 2.13 | 91.65 |
MYH9 | 0.0016818 | 290 | GTEx | DepMap | Descartes | 2.23 | 66.44 |
CD9 | 0.0012466 | 414 | GTEx | DepMap | Descartes | 3.49 | 511.76 |
GSN | 0.0012047 | 427 | GTEx | DepMap | Descartes | 4.48 | 155.89 |
LTBP1 | 0.0009895 | 519 | GTEx | DepMap | Descartes | 0.27 | 6.98 |
ITGB3 | 0.0008860 | 572 | GTEx | DepMap | Descartes | 0.01 | 0.80 |
TGFB1 | 0.0007129 | 713 | GTEx | DepMap | Descartes | 0.99 | 87.70 |
ACTB | 0.0006416 | 791 | GTEx | DepMap | Descartes | 37.23 | 3179.50 |
ZYX | 0.0005795 | 867 | GTEx | DepMap | Descartes | 0.92 | 74.17 |
RAP1B | 0.0003826 | 1330 | GTEx | DepMap | Descartes | 1.23 | 19.27 |
UBASH3B | 0.0003822 | 1332 | GTEx | DepMap | Descartes | 0.10 | 3.00 |
RAB27B | 0.0001387 | 3138 | GTEx | DepMap | Descartes | 0.05 | 1.35 |
MED12L | 0.0000204 | 5285 | GTEx | DepMap | Descartes | 0.02 | 0.65 |
STON2 | 0.0000028 | 5749 | GTEx | DepMap | Descartes | 0.10 | 3.52 |
TUBB1 | -0.0000156 | 6321 | GTEx | DepMap | Descartes | 0.01 | 0.68 |
TRPC6 | -0.0000429 | 7348 | GTEx | DepMap | Descartes | 0.06 | 1.80 |
FERMT3 | -0.0000467 | 7505 | GTEx | DepMap | Descartes | 0.11 | 7.74 |
P2RX1 | -0.0000682 | 8287 | GTEx | DepMap | Descartes | 0.00 | 0.00 |
SLC24A3 | -0.0000868 | 8915 | GTEx | DepMap | Descartes | 0.01 | 0.25 |
ITGA2B | -0.0000976 | 9202 | GTEx | DepMap | Descartes | 0.00 | 0.00 |
PSTPIP2 | -0.0001101 | 9554 | GTEx | DepMap | Descartes | 0.02 | 3.28 |
INPP4B | -0.0001218 | 9868 | GTEx | DepMap | Descartes | 0.11 | 2.35 |
SPN | -0.0001396 | 10306 | GTEx | DepMap | Descartes | 0.02 | 1.28 |
ARHGAP6 | -0.0001536 | 10603 | GTEx | DepMap | Descartes | 0.09 | 1.96 |
Descartes Lyphoid markers
Top 50 marker genes of Lyphoid cells in the Decartes fetal adrenal single cell map (https://atlas.brotmanbaty.org/bbi/human-gene-expression-during-development/cell/lymphoid/in/adrenal)
Wilcoxon ranksum test P-value for gene set overrepresentation: 1.00e+00
Mean rank of genes in gene set: 8256.67
Median rank of genes in gene set: 10503
Rank on gene expression program of top 30 genes in gene set:
Genes | Weight | Rank | GTEx | DepMap | Descartes | Mean.Counts | Mean.TPM |
---|---|---|---|---|---|---|---|
TMSB10 | 0.0013835 | 367 | GTEx | DepMap | Descartes | 84.26 | 40706.32 |
SP100 | 0.0011895 | 437 | GTEx | DepMap | Descartes | 0.92 | 39.90 |
B2M | 0.0010369 | 495 | GTEx | DepMap | Descartes | 89.98 | 9721.77 |
MSN | 0.0008691 | 583 | GTEx | DepMap | Descartes | 1.50 | 86.04 |
ETS1 | 0.0003955 | 1284 | GTEx | DepMap | Descartes | 0.74 | 29.00 |
GNG2 | 0.0003245 | 1567 | GTEx | DepMap | Descartes | 1.02 | 73.95 |
LEF1 | 0.0002500 | 2039 | GTEx | DepMap | Descartes | 0.27 | 23.65 |
WIPF1 | 0.0001894 | 2570 | GTEx | DepMap | Descartes | 0.45 | 28.60 |
ARID5B | 0.0001782 | 2671 | GTEx | DepMap | Descartes | 1.18 | 29.15 |
ANKRD44 | 0.0001430 | 3084 | GTEx | DepMap | Descartes | 0.18 | 6.70 |
MBNL1 | 0.0001039 | 3629 | GTEx | DepMap | Descartes | 0.60 | 19.58 |
BACH2 | 0.0000911 | 3836 | GTEx | DepMap | Descartes | 0.15 | 3.49 |
ITPKB | 0.0000006 | 5815 | GTEx | DepMap | Descartes | 0.08 | 2.17 |
CD44 | -0.0000384 | 7175 | GTEx | DepMap | Descartes | 1.09 | 44.95 |
MCTP2 | -0.0000996 | 9265 | GTEx | DepMap | Descartes | 0.04 | 1.52 |
FOXP1 | -0.0001017 | 9328 | GTEx | DepMap | Descartes | 0.80 | 15.65 |
CELF2 | -0.0001022 | 9335 | GTEx | DepMap | Descartes | 0.65 | 21.12 |
RAP1GAP2 | -0.0001036 | 9386 | GTEx | DepMap | Descartes | 0.15 | 5.91 |
PLEKHA2 | -0.0001312 | 10101 | GTEx | DepMap | Descartes | 0.06 | 2.17 |
SAMD3 | -0.0001460 | 10448 | GTEx | DepMap | Descartes | 0.02 | 1.45 |
NCALD | -0.0001480 | 10479 | GTEx | DepMap | Descartes | 0.06 | 4.98 |
SKAP1 | -0.0001498 | 10527 | GTEx | DepMap | Descartes | 0.03 | 3.57 |
CCND3 | -0.0001632 | 10790 | GTEx | DepMap | Descartes | 0.48 | 48.61 |
SCML4 | -0.0001808 | 11078 | GTEx | DepMap | Descartes | 0.01 | 0.11 |
STK39 | -0.0001860 | 11143 | GTEx | DepMap | Descartes | 0.14 | 10.52 |
PRKCH | -0.0001950 | 11267 | GTEx | DepMap | Descartes | 0.10 | 3.34 |
DOCK10 | -0.0001977 | 11294 | GTEx | DepMap | Descartes | 0.11 | 2.08 |
PITPNC1 | -0.0002017 | 11344 | GTEx | DepMap | Descartes | 0.16 | 5.48 |
IKZF1 | -0.0002060 | 11388 | GTEx | DepMap | Descartes | 0.01 | 1.32 |
FYN | -0.0002066 | 11392 | GTEx | DepMap | Descartes | 0.69 | 36.49 |
Below shows the ranks on this GEP for immune marker gene lists curated by CellTypist (https://www.celltypist.org/encyclopedia).
High ranks indicate this gene is a driver of this GEP.
These curated gene list are ranked by P-value (on this GEP) of their constituent genes.
The Mean Count column shows the mean read count in cells scoring highly (H > 50) on this gene expression program.
Genes | Weight | Rank | GTEx | DepMap | Decartes | Mean.Counts | Mean.TPM |
---|---|---|---|---|---|---|---|
AXL | 0.0012192 | 420 | GTEx | DepMap | Descartes | 0.73 | 32.91 |
KLF4 | 0.0001743 | 2713 | GTEx | DepMap | Descartes | 0.65 | 42.63 |
Epithelial cells: Epithelial cells (curated markers)
highly specialised cells which are located in the outer layer of stroma and form the cellular components of the epithelium:
Wilcoxon ranksum test P-value for gene set overrepresentation: 4.24e-02
Mean rank of genes in gene set: 32
Rank on gene expression program of genes in gene set:
Genes | Weight | Rank | GTEx | DepMap | Decartes | Mean.Counts | Mean.TPM |
---|---|---|---|---|---|---|---|
KRT17 | 0.0062761 | 32 | GTEx | DepMap | Descartes | 0.81 | 114.57 |
Early MK: Early MK (curated markers)
early megakaryocytes which are committed to megakaryocyte lineage cells:
Wilcoxon ranksum test P-value for gene set overrepresentation: 4.75e-02
Mean rank of genes in gene set: 227
Rank on gene expression program of genes in gene set:
Genes | Weight | Rank | GTEx | DepMap | Decartes | Mean.Counts | Mean.TPM |
---|---|---|---|---|---|---|---|
CMTM5 | 0.0020413 | 227 | GTEx | DepMap | Descartes | 0.46 | 84.82 |