Program: 24. M2 Macrophage.

Program: 24. M2 Macrophage.




Submit a comment on this gene expression program’s interpretation: CLICK

QQ-plot of gene loadings, averaged over both independent splits of the data
This plot highlights the relative contribution of each gene to the GEP

Interactive QQ Plot

Top genes driving this program.
Note: Decartes website is buggy, try refreshing. Also, Decartes fetal adrenal data have been collected at specific time points (89-122 days), all possible cell types of interest may not be represented, do not overinterpret.
The Mean Count column shows the mean read count in cells scoring highly (H > 50) on this gene expression program.

Gene Loading Gene.Name GTEx DepMap Descartes Mean.Counts Mean.Tpm
1 APOC1 0.0128542 apolipoprotein C1 GTEx DepMap Descartes 47.08 24531.14
2 APOE 0.0111055 apolipoprotein E GTEx DepMap Descartes 66.44 17878.05
3 GPNMB 0.0095050 glycoprotein nmb GTEx DepMap Descartes 5.63 719.92
4 MMP3 0.0093485 matrix metallopeptidase 3 GTEx DepMap Descartes 0.04 5.23
5 LIPA 0.0092862 lipase A, lysosomal acid type GTEx DepMap Descartes 5.80 796.00
6 MS4A4A 0.0092341 membrane spanning 4-domains A4A GTEx DepMap Descartes 2.28 511.83
7 CD5L 0.0087501 CD5 molecule like GTEx DepMap Descartes 2.08 533.44
8 LGMN 0.0085598 legumain GTEx DepMap Descartes 5.17 947.26
9 OTOA 0.0082770 otoancorin GTEx DepMap Descartes 0.91 56.67
10 CTSL 0.0076193 cathepsin L GTEx DepMap Descartes 4.89 NA
11 SLC40A1 0.0073434 solute carrier family 40 member 1 GTEx DepMap Descartes 3.84 396.60
12 AMDHD1 0.0071694 amidohydrolase domain containing 1 GTEx DepMap Descartes 0.04 5.77
13 SMPDL3A 0.0064438 sphingomyelin phosphodiesterase acid like 3A GTEx DepMap Descartes 1.21 271.97
14 CTSZ 0.0060788 cathepsin Z GTEx DepMap Descartes 5.79 1021.72
15 SLCO2B1 0.0060034 solute carrier organic anion transporter family member 2B1 GTEx DepMap Descartes 1.15 62.28
16 CD14 0.0059587 CD14 molecule GTEx DepMap Descartes 5.93 1244.79
17 CTSD 0.0058512 cathepsin D GTEx DepMap Descartes 15.04 1973.59
18 TNFSF18 0.0055917 TNF superfamily member 18 GTEx DepMap Descartes 0.12 19.74
19 PSAP 0.0055014 prosaposin GTEx DepMap Descartes 24.52 2488.13
20 SGK1 0.0053183 serum/glucocorticoid regulated kinase 1 GTEx DepMap Descartes 3.35 242.62
21 PLTP 0.0050316 phospholipid transfer protein GTEx DepMap Descartes 1.81 244.02
22 PLD3 0.0049011 phospholipase D family member 3 GTEx DepMap Descartes 3.61 504.54
23 FOS 0.0047744 Fos proto-oncogene, AP-1 transcription factor subunit GTEx DepMap Descartes 25.13 4722.03
24 CDCP1 0.0047627 CUB domain containing protein 1 GTEx DepMap Descartes 0.09 4.16
25 NHSL2 0.0047190 NHS like 2 GTEx DepMap Descartes 3.12 87.17
26 CD68 0.0046722 CD68 molecule GTEx DepMap Descartes 9.45 1512.45
27 TFRC 0.0046280 transferrin receptor GTEx DepMap Descartes 1.85 159.43
28 ABCA1 0.0045656 ATP binding cassette subfamily A member 1 GTEx DepMap Descartes 0.91 26.52
29 ATF3 0.0045469 activating transcription factor 3 GTEx DepMap Descartes 3.80 652.04
30 KCNMA1 0.0045406 potassium calcium-activated channel subfamily M alpha 1 GTEx DepMap Descartes 0.67 11.96
31 NUPR1 0.0044933 nuclear protein 1, transcriptional regulator GTEx DepMap Descartes 1.52 108.25
32 ASAH1 0.0044485 N-acylsphingosine amidohydrolase 1 GTEx DepMap Descartes 5.12 292.27
33 AXL 0.0043851 AXL receptor tyrosine kinase GTEx DepMap Descartes 1.35 102.54
34 SDCBP 0.0043548 syndecan binding protein GTEx DepMap Descartes 5.19 527.66
35 LGALS3 0.0043346 galectin 3 GTEx DepMap Descartes 4.73 737.73
36 CTSB 0.0043173 cathepsin B GTEx DepMap Descartes 13.69 1058.25
37 MSR1 0.0042760 macrophage scavenger receptor 1 GTEx DepMap Descartes 1.08 106.93
38 CPM 0.0042582 carboxypeptidase M GTEx DepMap Descartes 0.85 51.77
39 SLC1A3 0.0042432 solute carrier family 1 member 3 GTEx DepMap Descartes 0.51 44.66
40 SPP1 0.0041260 secreted phosphoprotein 1 GTEx DepMap Descartes 43.84 5713.17
41 DAB2 0.0039553 DAB adaptor protein 2 GTEx DepMap Descartes 1.53 111.56
42 NPC2 0.0039196 NPC intracellular cholesterol transporter 2 GTEx DepMap Descartes 16.19 3268.79
43 GADD45B 0.0038899 growth arrest and DNA damage inducible beta GTEx DepMap Descartes 5.76 1095.21
44 ITM2B 0.0038727 integral membrane protein 2B GTEx DepMap Descartes 10.32 382.36
45 FCGRT 0.0038584 Fc gamma receptor and transporter GTEx DepMap Descartes 5.96 851.62
46 PLAU 0.0038469 plasminogen activator, urokinase GTEx DepMap Descartes 0.39 35.99
47 KLF6 0.0038420 Kruppel like factor 6 GTEx DepMap Descartes 8.41 693.23
48 JUN 0.0037570 Jun proto-oncogene, AP-1 transcription factor subunit GTEx DepMap Descartes 7.08 1003.28
49 C2 0.0037220 complement C2 GTEx DepMap Descartes 0.60 69.82
50 GLUL 0.0037046 glutamate-ammonia ligase GTEx DepMap Descartes 6.23 288.40


Dowload full table


UMAP plots showing activity of gene expression program identified in GEP 24. M2 Macrophage:

Interactive UMAP Plot


Boxlot showing activity of gene expression program identified in GEP 24. M2 Macrophage:
Interactive Boxplot


CNV Data procured from inferCNV.
Outer tracks are putative CNV regions (gains = red, losses = blue) for each patient
Inner track is expression data representing:
    The top cells expressing this GEP (purple)
    Random cells (n =50) from the reference set used in inferCNV (orange)

Interactive BioCircos Plot


Gene set Enrichments for this program, caculated from top 50 genes


mSigDB Cell Types Gene Set:

P-value OR Lower 95% CI FDR FWER Genes Found Gene Set Size
FAN_EMBRYONIC_CTX_MICROGLIA_3 7.59e-13 155.47 49.97 3.92e-11 5.09e-10
7LGMN, SLCO2B1, CTSD, CD68, ASAH1, CTSB, SLC1A3
20
AIZARANI_LIVER_C6_KUPFFER_CELLS_2 2.57e-29 56.49 30.50 8.64e-27 1.73e-26
24GPNMB, LIPA, MS4A4A, CD5L, LGMN, SLC40A1, SLCO2B1, CD14, CTSD, PSAP, SGK1, PLTP, PLD3, ASAH1, AXL, SDCBP, CTSB, MSR1, CPM, SLC1A3, DAB2, NPC2, FCGRT, GLUL
228
TRAVAGLINI_LUNG_IGSF21_DENDRITIC_CELL 1.13e-13 73.77 29.45 6.32e-12 7.58e-11
9MS4A4A, LGMN, CTSL, SLCO2B1, PLTP, ATF3, MSR1, CPM, DAB2
46
TRAVAGLINI_LUNG_TREM2_DENDRITIC_CELL 1.06e-36 54.40 28.73 7.12e-34 7.12e-34
35APOC1, APOE, GPNMB, LIPA, MS4A4A, LGMN, CTSL, SLC40A1, CTSZ, SLCO2B1, CD14, CTSD, PSAP, SGK1, PLD3, CD68, TFRC, ATF3, KCNMA1, NUPR1, ASAH1, AXL, SDCBP, LGALS3, CTSB, MSR1, CPM, SLC1A3, SPP1, DAB2, NPC2, ITM2B, FCGRT, C2, GLUL
572
TRAVAGLINI_LUNG_MACROPHAGE_CELL 1.94e-20 38.41 19.91 2.61e-18 1.30e-17
18APOC1, APOE, GPNMB, MS4A4A, CTSL, SLCO2B1, CTSD, PSAP, NUPR1, ASAH1, SDCBP, LGALS3, CTSB, MSR1, DAB2, NPC2, FCGRT, GLUL
201
ZHONG_PFC_MAJOR_TYPES_MICROGLIA 4.31e-27 35.76 19.55 9.65e-25 2.89e-24
27APOC1, APOE, LIPA, LGMN, CTSL, SLCO2B1, CD14, CTSD, PSAP, SGK1, PLTP, PLD3, FOS, CD68, ASAH1, AXL, CTSB, SPP1, DAB2, NPC2, GADD45B, ITM2B, FCGRT, KLF6, JUN, C2, GLUL
438
FAN_EMBRYONIC_CTX_BIG_GROUPS_MICROGLIA 2.90e-24 33.27 18.08 4.87e-22 1.95e-21
24APOC1, APOE, LIPA, LGMN, CTSL, SLCO2B1, CD14, CTSD, PSAP, PLD3, FOS, CD68, ASAH1, CTSB, SLC1A3, SPP1, DAB2, NPC2, GADD45B, ITM2B, FCGRT, JUN, C2, GLUL
371
DURANTE_ADULT_OLFACTORY_NEUROEPITHELIUM_MACROPHAGES 8.68e-10 32.57 12.75 3.43e-08 5.82e-07
8APOC1, APOE, SLC40A1, CD14, SGK1, CD68, MSR1, NPC2
81
MANNO_MIDBRAIN_NEUROTYPES_HMGL 7.07e-20 20.89 11.40 7.90e-18 4.74e-17
24APOC1, APOE, GPNMB, LIPA, MS4A4A, CD5L, LGMN, CTSL, SLCO2B1, CD14, CTSD, SGK1, CD68, ATF3, ASAH1, AXL, CTSB, SPP1, DAB2, NPC2, GADD45B, ITM2B, FCGRT, PLAU
577
FAN_OVARY_CL6_PUTATIVE_EARLY_ATRETIC_FOLLICLE_THECAL_CELL_2 1.26e-14 20.72 10.55 9.40e-13 8.46e-12
16APOE, SLC40A1, CTSD, PSAP, SGK1, PLTP, PLD3, FOS, ATF3, LGALS3, NPC2, GADD45B, ITM2B, FCGRT, JUN, GLUL
300
CUI_DEVELOPING_HEART_C8_MACROPHAGE 7.32e-14 20.61 10.32 4.47e-12 4.91e-11
15MS4A4A, LGMN, SLCO2B1, CD14, CTSD, PSAP, SGK1, CD68, CTSB, MSR1, NPC2, GADD45B, FCGRT, KLF6, GLUL
275
HU_FETAL_RETINA_MICROGLIA 2.82e-14 17.65 9.13 1.89e-12 1.89e-11
17LIPA, LGMN, SLCO2B1, CD14, CTSD, PSAP, SGK1, FOS, ATF3, CTSB, SPP1, NPC2, GADD45B, ITM2B, FCGRT, KLF6, GLUL
382
TRAVAGLINI_LUNG_EREG_DENDRITIC_CELL 4.87e-16 16.24 8.74 4.08e-14 3.27e-13
21MS4A4A, LGMN, CTSL, CTSZ, SLCO2B1, CD14, PSAP, SGK1, FOS, CDCP1, TFRC, ABCA1, ATF3, CTSB, MSR1, SLC1A3, NPC2, GADD45B, FCGRT, PLAU, GLUL
579
DESCARTES_FETAL_ADRENAL_MYELOID_CELLS 1.84e-09 18.06 7.92 6.49e-08 1.23e-06
10MS4A4A, CD5L, LGMN, CTSZ, SLCO2B1, CD14, CD68, MSR1, SLC1A3, SPP1
183
TRAVAGLINI_LUNG_PROLIFERATING_MACROPHAGE_CELL 2.84e-17 14.40 7.91 2.72e-15 1.90e-14
26APOC1, APOE, GPNMB, LIPA, MS4A4A, CTSL, CTSZ, CD14, CTSD, PSAP, PLD3, CDCP1, CD68, NUPR1, ASAH1, AXL, SDCBP, LGALS3, CTSB, MSR1, DAB2, NPC2, ITM2B, FCGRT, C2, GLUL
968
HAY_BONE_MARROW_IMMATURE_NEUTROPHIL 3.21e-09 16.98 7.45 1.08e-07 2.15e-06
10LIPA, SGK1, ABCA1, ASAH1, LGALS3, CTSB, NPC2, ITM2B, FCGRT, GLUL
194
FAN_OVARY_CL16_LYMPHATIC_ENDOTHELIAL_CELL 1.11e-09 15.95 7.27 4.16e-08 7.48e-07
11CTSL, CTSD, PSAP, FOS, LGALS3, NPC2, GADD45B, ITM2B, FCGRT, KLF6, JUN
232
AIZARANI_LIVER_C2_KUPFFER_CELLS_1 4.29e-09 16.45 7.22 1.37e-07 2.88e-06
10LIPA, MS4A4A, SLCO2B1, PSAP, SGK1, AXL, CTSB, MSR1, CPM, NPC2
200
GAO_LARGE_INTESTINE_24W_C11_PANETH_LIKE_CELL 2.04e-10 14.08 6.80 8.55e-09 1.37e-07
13LIPA, MS4A4A, LGMN, CTSL, CTSZ, SLCO2B1, CD14, SGK1, CD68, ABCA1, DAB2, PLAU, C2
325
DESCARTES_FETAL_CEREBELLUM_MICROGLIA 7.77e-12 11.28 5.92 3.48e-10 5.21e-09
18APOC1, APOE, GPNMB, MS4A4A, CD5L, LGMN, CTSL, SMPDL3A, CTSZ, CD14, TNFSF18, CDCP1, CD68, LGALS3, CTSB, SPP1, GADD45B, C2
642

Dowload full table

mSigDB Hallmark Gene Sets:

P-value OR Lower 95% CI FDR FWER Genes Found Gene Set Size
HALLMARK_COMPLEMENT 6.91e-08 14.37 6.05 3.45e-06 3.45e-06
9APOC1, LIPA, LGMN, CTSL, CTSD, LGALS3, CTSB, CPM, C2
200
HALLMARK_TNFA_SIGNALING_VIA_NFKB 9.73e-07 12.40 4.96 2.43e-05 4.87e-05
8SGK1, FOS, ABCA1, ATF3, GADD45B, PLAU, KLF6, JUN
200
HALLMARK_COAGULATION 1.59e-05 12.91 4.42 2.65e-04 7.96e-04
6APOC1, MMP3, LGMN, CTSB, PLAU, C2
138
HALLMARK_IL2_STAT5_SIGNALING 1.20e-04 8.83 3.04 1.50e-03 6.02e-03
6SMPDL3A, CTSZ, CDCP1, SPP1, GADD45B, KLF6
199
HALLMARK_APOPTOSIS 4.10e-04 8.90 2.72 4.10e-03 2.05e-02
5CD14, ATF3, LGALS3, GADD45B, JUN
161
HALLMARK_CHOLESTEROL_HOMEOSTASIS 3.11e-03 11.23 2.19 1.73e-02 1.56e-01
3LGMN, ATF3, LGALS3
74
HALLMARK_EPITHELIAL_MESENCHYMAL_TRANSITION 1.08e-03 7.12 2.18 6.75e-03 5.40e-02
5MMP3, SPP1, DAB2, GADD45B, JUN
200
HALLMARK_INFLAMMATORY_RESPONSE 1.08e-03 7.12 2.18 6.75e-03 5.40e-02
5CD14, ABCA1, AXL, MSR1, KLF6
200
HALLMARK_P53_PATHWAY 1.08e-03 7.12 2.18 6.75e-03 5.40e-02
5CTSD, FOS, ATF3, NUPR1, JUN
200
HALLMARK_HYPOXIA 7.71e-03 5.55 1.44 3.85e-02 3.85e-01
4FOS, ATF3, KLF6, JUN
200
HALLMARK_UV_RESPONSE_UP 2.41e-02 5.15 1.01 1.10e-01 1.00e+00
3FOS, TFRC, ATF3
158
HALLMARK_MTORC1_SIGNALING 4.35e-02 4.05 0.80 1.55e-01 1.00e+00
3LGMN, TFRC, NUPR1
200
HALLMARK_HEME_METABOLISM 4.35e-02 4.05 0.80 1.55e-01 1.00e+00
3TFRC, SDCBP, CTSB
200
HALLMARK_KRAS_SIGNALING_UP 4.35e-02 4.05 0.80 1.55e-01 1.00e+00
3GPNMB, SPP1, PLAU
200
HALLMARK_IL6_JAK_STAT3_SIGNALING 4.64e-02 6.13 0.71 1.55e-01 1.00e+00
2CD14, JUN
87
HALLMARK_UV_RESPONSE_DN 1.10e-01 3.67 0.43 3.44e-01 1.00e+00
2KCNMA1, DAB2
144
HALLMARK_ADIPOGENESIS 1.85e-01 2.63 0.31 4.86e-01 1.00e+00
2APOE, ABCA1
200
HALLMARK_ESTROGEN_RESPONSE_LATE 1.85e-01 2.63 0.31 4.86e-01 1.00e+00
2SGK1, FOS
200
HALLMARK_ANGIOGENESIS 1.34e-01 7.29 0.18 3.93e-01 1.00e+00
1SPP1
36
HALLMARK_PROTEIN_SECRETION 3.17e-01 2.68 0.07 7.81e-01 1.00e+00
1ABCA1
96

Dowload full table

KEGG Pathways:

P-value OR Lower 95% CI FDR FWER Genes Found Gene Set Size
KEGG_LYSOSOME 3.22e-11 28.12 12.23 6.00e-09 6.00e-09
10LIPA, LGMN, CTSL, CTSZ, CTSD, PSAP, CD68, ASAH1, CTSB, NPC2
121
KEGG_TOLL_LIKE_RECEPTOR_SIGNALING_PATHWAY 6.90e-04 11.09 2.84 6.42e-02 1.28e-01
4CD14, FOS, SPP1, JUN
102
KEGG_ANTIGEN_PROCESSING_AND_PRESENTATION 5.05e-03 9.38 1.83 3.13e-01 9.39e-01
3LGMN, CTSL, CTSB
88
KEGG_MAPK_SIGNALING_PATHWAY 2.00e-02 4.13 1.07 8.26e-01 1.00e+00
4CD14, FOS, GADD45B, JUN
267
KEGG_COLORECTAL_CANCER 2.50e-02 8.68 1.00 8.26e-01 1.00e+00
2FOS, JUN
62
KEGG_COMPLEMENT_AND_COAGULATION_CASCADES 3.05e-02 7.77 0.90 8.26e-01 1.00e+00
2PLAU, C2
69
KEGG_LEISHMANIA_INFECTION 3.30e-02 7.44 0.86 8.26e-01 1.00e+00
2FOS, JUN
72
KEGG_B_CELL_RECEPTOR_SIGNALING_PATHWAY 3.55e-02 7.13 0.82 8.26e-01 1.00e+00
2FOS, JUN
75
KEGG_HEMATOPOIETIC_CELL_LINEAGE 4.64e-02 6.13 0.71 9.59e-01 1.00e+00
2CD14, TFRC
87
KEGG_T_CELL_RECEPTOR_SIGNALING_PATHWAY 6.78e-02 4.91 0.57 1.00e+00 1.00e+00
2FOS, JUN
108
KEGG_STEROID_BIOSYNTHESIS 6.56e-02 15.93 0.37 1.00e+00 1.00e+00
1LIPA
17
KEGG_ENDOCYTOSIS 1.59e-01 2.91 0.34 1.00e+00 1.00e+00
2TFRC, DAB2
181
KEGG_FOCAL_ADHESION 1.83e-01 2.64 0.31 1.00e+00 1.00e+00
2SPP1, JUN
199
KEGG_NITROGEN_METABOLISM 8.77e-02 11.59 0.28 1.00e+00 1.00e+00
1GLUL
23
KEGG_HISTIDINE_METABOLISM 1.09e-01 9.11 0.22 1.00e+00 1.00e+00
1AMDHD1
29
KEGG_ALANINE_ASPARTATE_AND_GLUTAMATE_METABOLISM 1.20e-01 8.23 0.20 1.00e+00 1.00e+00
1GLUL
32
KEGG_PATHWAYS_IN_CANCER 3.61e-01 1.61 0.19 1.00e+00 1.00e+00
2FOS, JUN
325
KEGG_SPHINGOLIPID_METABOLISM 1.44e-01 6.71 0.16 1.00e+00 1.00e+00
1ASAH1
39
KEGG_ALDOSTERONE_REGULATED_SODIUM_REABSORPTION 1.54e-01 6.22 0.15 1.00e+00 1.00e+00
1SGK1
42
KEGG_ABC_TRANSPORTERS 1.61e-01 5.93 0.14 1.00e+00 1.00e+00
1ABCA1
44

Dowload full table

CHR Positional Gene Sets:

P-value OR Lower 95% CI FDR FWER Genes Found Gene Set Size
chr8p22 1.37e-02 12.10 1.38 1.00e+00 1.00e+00
2ASAH1, MSR1
45
chr10q22 4.46e-02 4.01 0.79 1.00e+00 1.00e+00
3PSAP, KCNMA1, PLAU
202
chr5p13 9.06e-02 4.13 0.48 1.00e+00 1.00e+00
2SLC1A3, DAB2
128
chr1q25 1.31e-01 3.30 0.38 1.00e+00 1.00e+00
2TNFSF18, GLUL
160
chr19q13 6.12e-01 1.20 0.37 1.00e+00 1.00e+00
5APOC1, APOE, PLD3, AXL, FCGRT
1165
chr14q24 1.72e-01 2.76 0.32 1.00e+00 1.00e+00
2FOS, NPC2
191
chr20q13 6.68e-01 1.31 0.15 1.00e+00 1.00e+00
2CTSZ, PLTP
400
chr12q15 1.97e-01 4.72 0.12 1.00e+00 1.00e+00
1CPM
55
chr4q22 2.43e-01 3.70 0.09 1.00e+00 1.00e+00
1SPP1
70
chr10p15 2.90e-01 3.00 0.07 1.00e+00 1.00e+00
1KLF6
86
chr8q12 2.95e-01 2.93 0.07 1.00e+00 1.00e+00
1SDCBP
88
chr14q22 3.01e-01 2.87 0.07 1.00e+00 1.00e+00
1LGALS3
90
chr7p15 3.17e-01 2.68 0.07 1.00e+00 1.00e+00
1GPNMB
96
chr11q22 3.23e-01 2.63 0.06 1.00e+00 1.00e+00
1MMP3
98
chr6q23 3.44e-01 2.43 0.06 1.00e+00 1.00e+00
1SGK1
106
chr2q32 3.49e-01 2.38 0.06 1.00e+00 1.00e+00
1SLC40A1
108
chr6q22 3.77e-01 2.16 0.05 1.00e+00 1.00e+00
1SMPDL3A
119
chr3q29 3.84e-01 2.11 0.05 1.00e+00 1.00e+00
1TFRC
122
chr9q31 3.99e-01 2.01 0.05 1.00e+00 1.00e+00
1ABCA1
128
chr12q23 4.38e-01 1.77 0.04 1.00e+00 1.00e+00
1AMDHD1
145

Dowload full table

Transcription Factor Targets:

P-value OR Lower 95% CI FDR FWER Genes Found Gene Set Size
MAP2K1_TARGET_GENES 5.49e-04 74.10 7.33 6.23e-01 6.23e-01
2SGK1, FOS
9
LXR_Q3 4.01e-03 10.22 1.99 6.49e-01 1.00e+00
3APOC1, SGK1, ABCA1
81
SRF_Q5_01 1.80e-03 6.31 1.94 6.49e-01 1.00e+00
5SGK1, FOS, ABCA1, ATF3, KLF6
225
LXR_DR4_Q3 5.88e-03 8.86 1.73 8.33e-01 1.00e+00
3APOC1, SGK1, ABCA1
93
PRMT5_TARGET_GENES 7.58e-03 8.06 1.58 9.53e-01 1.00e+00
3CD68, AXL, KLF6
102
GTF2A2_TARGET_GENES 3.50e-03 3.95 1.49 6.49e-01 1.00e+00
7SGK1, FOS, TFRC, ATF3, GADD45B, KLF6, GLUL
522
THRA_TARGET_GENES 9.30e-03 7.45 1.46 9.58e-01 1.00e+00
3APOC1, DAB2, JUN
110
TFEB_TARGET_GENES 3.04e-03 2.87 1.36 6.49e-01 1.00e+00
12CD5L, CTSD, SGK1, PLD3, CD68, AXL, CTSB, DAB2, FCGRT, PLAU, KLF6, C2
1387
RBM15_TARGET_GENES 1.93e-02 5.62 1.11 1.00e+00 1.00e+00
3FOS, ATF3, KLF6
145
GTF2E2_TARGET_GENES 2.06e-02 3.42 1.05 1.00e+00 1.00e+00
5TFRC, ATF3, GADD45B, KLF6, GLUL
411
SIRT3_TARGET_GENES 2.28e-02 9.13 1.05 1.00e+00 1.00e+00
2TFRC, DAB2
59
TGANTCA_AP1_C 3.37e-02 2.43 1.04 1.00e+00 1.00e+00
9GPNMB, MMP3, SGK1, CD68, SDCBP, LGALS3, GADD45B, ITM2B, PLAU
1139
IK1_01 2.38e-02 3.91 1.02 1.00e+00 1.00e+00
4TNFSF18, GADD45B, ITM2B, JUN
282
TATA_C 2.47e-02 3.87 1.00 1.00e+00 1.00e+00
4MMP3, AMDHD1, ABCA1, ATF3
285
AACTTT_UNKNOWN 3.52e-02 2.06 0.98 1.00e+00 1.00e+00
12TNFSF18, FOS, ATF3, KCNMA1, AXL, SDCBP, SLC1A3, SPP1, NPC2, FCGRT, KLF6, JUN
1928
TCANNTGAY_SREBP1_01 3.59e-02 2.93 0.90 1.00e+00 1.00e+00
5GPNMB, CD5L, CTSD, PSAP, C2
479
ZNF34_TARGET_GENES 3.13e-02 7.66 0.88 1.00e+00 1.00e+00
2LIPA, GADD45B
70
PAF1_TARGET_GENES 3.72e-02 6.94 0.80 1.00e+00 1.00e+00
2CD68, KLF6
77
TGGAAA_NFAT_Q4_01 2.07e-01 1.63 0.72 1.00e+00 1.00e+00
10MMP3, SMPDL3A, SGK1, FOS, CD68, KCNMA1, SDCBP, SPP1, DAB2, GADD45B
1934
BACH2_TARGET_GENES 2.14e-01 1.57 0.70 1.00e+00 1.00e+00
10GPNMB, SLCO2B1, TNFSF18, PSAP, PLD3, FOS, CD68, ASAH1, MSR1, DAB2
1998

Dowload full table

GO Biological Processes:

P-value OR Lower 95% CI FDR FWER Genes Found Gene Set Size
GOBP_GLYCOLIPID_TRANSPORT 2.06e-06 197.13 28.20 3.08e-03 1.54e-02
3PSAP, PLTP, NPC2
7
GOBP_PHOSPHOLIPID_EFFLUX 1.65e-05 79.36 13.63 8.23e-03 1.23e-01
3APOC1, APOE, ABCA1
13
GOBP_REGULATION_OF_CDC42_PROTEIN_SIGNAL_TRANSDUCTION 3.22e-04 103.49 9.64 6.04e-02 1.00e+00
2APOE, ABCA1
7
GOBP_HIGH_DENSITY_LIPOPROTEIN_PARTICLE_REMODELING 4.64e-05 53.00 9.53 1.24e-02 3.47e-01
3APOC1, APOE, PLTP
18
GOBP_TRIGLYCERIDE_RICH_LIPOPROTEIN_PARTICLE_CLEARANCE 4.28e-04 86.37 8.33 6.82e-02 1.00e+00
2APOC1, APOE
8
GOBP_POSITIVE_REGULATION_OF_CHOLESTEROL_EFFLUX 7.49e-05 44.24 8.07 1.81e-02 5.60e-01
3APOE, PLTP, ABCA1
21
GOBP_REGULATION_OF_PLASMA_LIPOPROTEIN_PARTICLE_LEVELS 1.26e-07 21.64 8.00 9.46e-04 9.46e-04
7APOC1, APOE, LIPA, PLTP, ABCA1, MSR1, NPC2
101
GOBP_ZYMOGEN_ACTIVATION 3.13e-06 26.18 7.80 3.90e-03 2.34e-02
5CD5L, LGMN, CTSL, CTSZ, PLAU
58
GOBP_POSITIVE_REGULATION_OF_CHOLESTEROL_ESTERIFICATION 5.49e-04 74.10 7.33 8.56e-02 1.00e+00
2APOC1, APOE
9
GOBP_CHOLESTEROL_EFFLUX 5.10e-06 23.50 7.04 4.58e-03 3.81e-02
5APOC1, APOE, PLTP, ABCA1, NPC2
64
GOBP_PLASMA_LIPOPROTEIN_PARTICLE_CLEARANCE 5.50e-06 23.11 6.92 4.58e-03 4.12e-02
5APOC1, APOE, LIPA, MSR1, NPC2
65
GOBP_VERY_LOW_DENSITY_LIPOPROTEIN_PARTICLE_CLEARANCE 6.85e-04 64.86 6.55 9.64e-02 1.00e+00
2APOC1, APOE
10
GOBP_INTERMEMBRANE_LIPID_TRANSFER 3.17e-05 25.85 6.47 1.05e-02 2.37e-01
4APOE, PLTP, ABCA1, NPC2
46
GOBP_COLLAGEN_CATABOLIC_PROCESS 3.46e-05 25.26 6.32 1.05e-02 2.58e-01
4MMP3, CTSL, CTSD, CTSB
47
GOBP_POSITIVE_REGULATION_OF_STEROL_TRANSPORT 2.46e-04 28.45 5.35 5.10e-02 1.00e+00
3APOE, PLTP, ABCA1
31
GOBP_PROTEIN_LIPID_COMPLEX_SUBUNIT_ORGANIZATION 6.91e-05 20.88 5.27 1.78e-02 5.17e-01
4APOC1, APOE, PLTP, ABCA1
56
GOBP_STEROL_TRANSPORT 7.91e-06 14.69 5.02 5.38e-03 5.92e-02
6APOC1, APOE, PLTP, ABCA1, MSR1, NPC2
122
GOBP_CELLULAR_RESPONSE_TO_LIPOPROTEIN_PARTICLE_STIMULUS 3.24e-04 25.71 4.86 6.04e-02 1.00e+00
3APOE, CD68, ABCA1
34
GOBP_PHOSPHOLIPID_TRANSPORT 3.32e-05 15.60 4.72 1.05e-02 2.48e-01
5APOC1, APOE, PLTP, ABCA1, NPC2
94
GOBP_PROTEIN_CONTAINING_COMPLEX_REMODELING 3.53e-04 24.91 4.72 6.04e-02 1.00e+00
3APOC1, APOE, PLTP
35

Dowload full table

Immunological Gene Sets:

P-value OR Lower 95% CI FDR FWER Genes Found Gene Set Size
GSE24634_TREG_VS_TCONV_POST_DAY10_IL4_CONVERSION_DN 1.98e-14 26.13 12.79 9.64e-11 9.64e-11
14APOC1, LIPA, MS4A4A, CTSL, CTSZ, CD14, PSAP, CTSB, SPP1, NPC2, FCGRT, PLAU, C2, GLUL
200
GSE24634_TREG_VS_TCONV_POST_DAY7_IL4_CONVERSION_DN 4.43e-13 23.72 11.38 8.16e-10 2.16e-09
13LIPA, CTSL, CTSZ, CD14, PSAP, FOS, CD68, ASAH1, LGALS3, CTSB, SLC1A3, FCGRT, PLAU
198
GSE29618_MONOCYTE_VS_MDC_DAY7_FLU_VACCINE_UP 5.03e-13 23.47 11.26 8.16e-10 2.45e-09
13CTSL, SMPDL3A, CD14, CTSD, PSAP, CD68, ASAH1, SDCBP, LGALS3, CTSB, NPC2, ITM2B, GLUL
200
GSE24634_TEFF_VS_TCONV_DAY10_IN_CULTURE_DN 1.15e-11 20.99 9.83 1.12e-08 5.60e-08
12GPNMB, LIPA, MS4A4A, CTSZ, PSAP, NUPR1, SDCBP, LGALS3, SPP1, DAB2, NPC2, GLUL
200
GSE29618_MONOCYTE_VS_MDC_UP 1.15e-11 20.99 9.83 1.12e-08 5.60e-08
12CTSL, CD14, CTSD, PSAP, CD68, ABCA1, ASAH1, SDCBP, CTSB, NPC2, ITM2B, GLUL
200
GSE3920_UNTREATED_VS_IFNA_TREATED_ENDOTHELIAL_CELL_UP 5.70e-11 21.49 9.75 4.63e-08 2.78e-07
11APOC1, LIPA, MS4A4A, SLCO2B1, CD68, SDCBP, SPP1, DAB2, NPC2, PLAU, JUN
175
GSE34156_UNTREATED_VS_6H_TLR1_TLR2_LIGAND_TREATED_MONOCYTE_UP 2.01e-10 18.95 8.62 1.22e-07 9.78e-07
11CTSZ, CD14, PSAP, ABCA1, ASAH1, LGALS3, MSR1, NPC2, FCGRT, PLAU, GLUL
197
GSE34156_TLR1_TLR2_LIGAND_VS_NOD2_AND_TLR1_TLR2_LIGAND_24H_TREATED_MONOCYTE_UP 2.01e-10 18.95 8.62 1.22e-07 9.78e-07
11CTSL, CTSZ, CD14, CTSD, PSAP, ASAH1, LGALS3, MSR1, FCGRT, PLAU, GLUL
197
GSE7509_DC_VS_MONOCYTE_UP 2.35e-10 18.65 8.48 1.27e-07 1.15e-06
11APOE, CD5L, CTSD, PSAP, PLTP, CD68, ATF3, LGALS3, CTSB, SPP1, DAB2
200
GSE34156_NOD2_LIGAND_VS_TLR1_TLR2_LIGAND_6H_TREATED_MONOCYTE_DN 3.72e-09 16.71 7.34 1.81e-06 1.81e-05
10CTSL, CTSZ, CD14, CTSD, ABCA1, ASAH1, LGALS3, MSR1, PLAU, GLUL
197
GSE24634_TEFF_VS_TCONV_DAY3_IN_CULTURE_DN 4.29e-09 16.45 7.22 1.90e-06 2.09e-05
10LIPA, MS4A4A, CTSL, CD14, FOS, CD68, DAB2, FCGRT, KLF6, C2
200
GSE6259_33D1_POS_DC_VS_CD4_TCELL_DN 2.32e-08 16.43 6.91 9.43e-06 1.13e-04
9APOE, GPNMB, LGMN, CTSZ, SLCO2B1, PLD3, ABCA1, NUPR1, ITM2B
176
GSE22886_NAIVE_CD4_TCELL_VS_MONOCYTE_DN 6.91e-08 14.37 6.05 1.98e-05 3.36e-04
9CD14, PSAP, FOS, ASAH1, SDCBP, LGALS3, CTSB, NPC2, GLUL
200
GSE24634_TEFF_VS_TCONV_DAY7_IN_CULTURE_DN 6.91e-08 14.37 6.05 1.98e-05 3.36e-04
9LIPA, CTSL, PSAP, SGK1, CTSB, SPP1, DAB2, NPC2, FCGRT
200
GSE29618_BCELL_VS_MONOCYTE_DAY7_FLU_VACCINE_DN 6.91e-08 14.37 6.05 1.98e-05 3.36e-04
9CD14, CTSD, PSAP, SGK1, CD68, ATF3, SDCBP, ITM2B, FCGRT
200
GSE21670_STAT3_KO_VS_WT_CD4_TCELL_TGFB_IL6_TREATED_DN 6.91e-08 14.37 6.05 1.98e-05 3.36e-04
9GPNMB, PSAP, PLD3, ASAH1, SDCBP, CTSB, MSR1, SLC1A3, ITM2B
200
GSE19401_PAM2CSK4_VS_RETINOIC_ACID_AND_PAM2CSK4_STIM_FOLLICULAR_DC_DN 6.91e-08 14.37 6.05 1.98e-05 3.36e-04
9APOC1, APOE, GPNMB, LIPA, CTSL, CTSZ, SLCO2B1, CTSD, ASAH1
200
GSE6269_FLU_VS_STAPH_AUREUS_INF_PBMC_DN 2.51e-07 14.97 5.97 6.80e-05 1.22e-03
8CTSD, PLD3, SDCBP, LGALS3, CTSB, NPC2, C2, GLUL
167
GSE21360_NAIVE_VS_PRIMARY_MEMORY_CD8_TCELL_DN 4.61e-07 13.76 5.50 1.18e-04 2.25e-03
8APOC1, LIPA, CD5L, SMPDL3A, SLCO2B1, CD68, ATF3, NPC2
181
GSE24634_TREG_VS_TCONV_POST_DAY5_IL4_CONVERSION_DN 9.03e-07 12.53 5.01 1.58e-04 4.40e-03
8LIPA, CTSZ, CD68, LGALS3, CTSB, SLC1A3, NPC2, FCGRT
198

Dowload full table

Top Ranked Transcription Factors for this Gene Expression Program:

Gene Symbol TF Rank DNA Binding Domain Motif Status IUPAC PWM GTEx DepMap Decartes
TNFSF18 18 No Unlikely to be sequence specific TF Not a DNA binding protein No motif None Protein is a cytokine
SGK1 20 No Unlikely to be sequence specific TF Not a DNA binding protein No motif None None
FOS 23 Yes Known motif Monomer or homomultimer High-throughput in vitro None None
ATF3 29 Yes Known motif Monomer or homomultimer High-throughput in vitro None None
KLF6 47 Yes Known motif Monomer or homomultimer High-throughput in vitro None None
JUN 48 Yes Known motif Monomer or homomultimer High-throughput in vitro None None
FOSB 59 Yes Known motif Monomer or homomultimer High-throughput in vitro None None
EGR2 60 Yes Known motif Monomer or homomultimer High-throughput in vitro None Binds HOX4A promoter (PMID:21836637)
KLF4 61 Yes Known motif Monomer or homomultimer High-throughput in vitro None None
CREG1 68 No Unlikely to be sequence specific TF Not a DNA binding protein No motif None Regulates transcription in tethering assays (PMID: 9710587). Unlikely to be a TF, based on the lack of a canonical DBD
LHX2 75 Yes Known motif Monomer or homomultimer High-throughput in vitro Has a putative AT-hook None
RCAN1 78 No Unlikely to be sequence specific TF Not a DNA binding protein No motif None SH3 domain protein that interacts with calcineurin. GO annotation and abstract in (PMID: 8595418) appear erroneous - mentions a binding domain in the abstract, but no evidence is provided in the paper.
CITED2 103 No Unlikely to be sequence specific TF Not a DNA binding protein No motif None None
BHLHE41 106 Yes Known motif Monomer or homomultimer High-throughput in vitro None None
NR1H3 111 Yes Inferred motif Obligate heteromer In vivo/Misc source None Binds as an obligate heterodimer with RXR-proteins. (PDB: 2ACL) is a crystal structure of the two proteins without DNA
HMOX1 114 No Unlikely to be sequence specific TF Not a DNA binding protein No motif None Well characterized enzyme with no additional domains. Included only because GO lists it as a regulator of TFs. No support for DNA binding activity.
EGR1 118 Yes Known motif Monomer or homomultimer High-throughput in vitro None None
GLA 133 No Unlikely to be sequence specific TF Not a DNA binding protein No motif None GLA appears to lack a functional SAND domain. It encodes a well-characterized enzyme, Galactosidase Alpha. Most of the polypeptide encodes a glycoside hydrolase domain and most of the rest encodes another pfam domain called Glycoside hydrolase family 27. It has a low-scoring SAND domain match that almost certainly overlaps with a known domain related to its function as an enzyme.
ZFP36 146 No ssDNA/RNA binding Not a DNA binding protein No motif None RNA binding protein (PMID: 10330172).
SEMA4A 147 No Unlikely to be sequence specific TF Not a DNA binding protein No motif None None



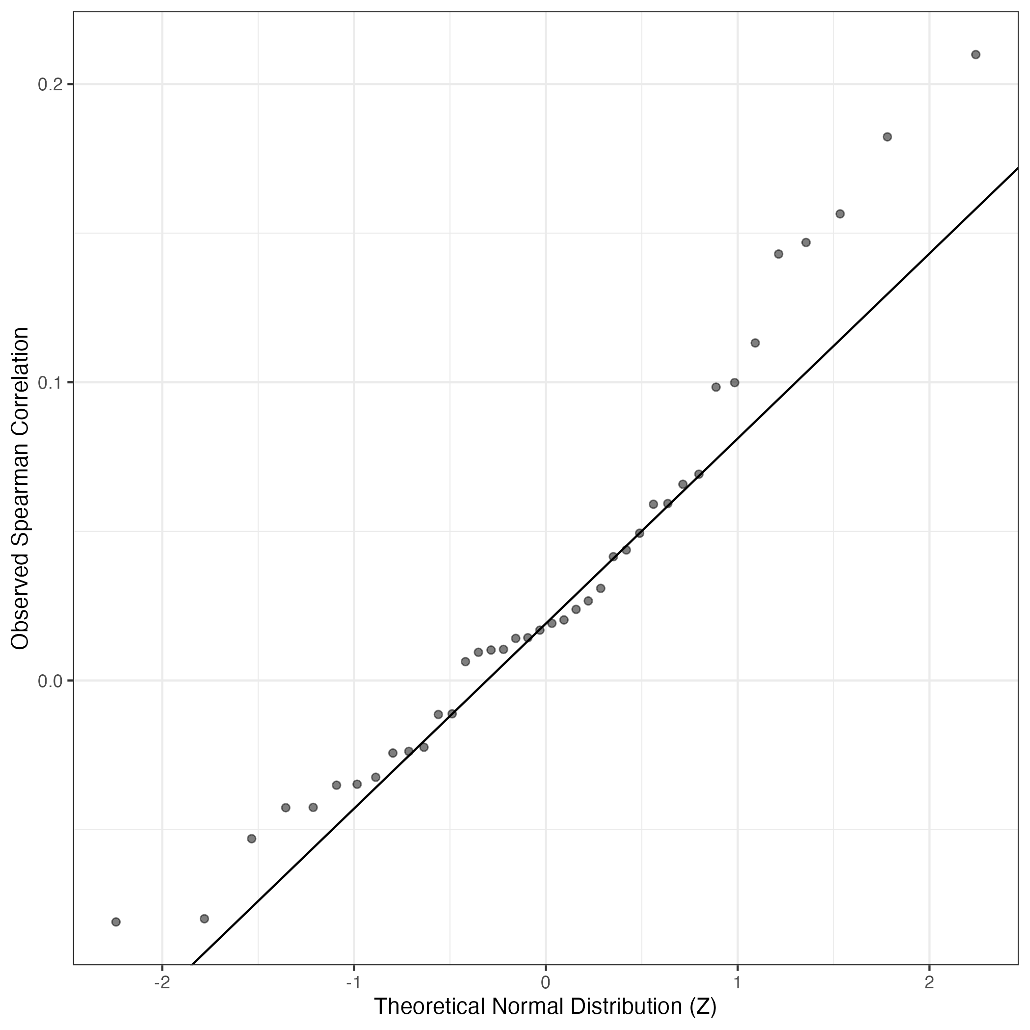
QQ Plot showing correlations with other GEPs in this dataset, calculated by Spearman correlation:

Interactive QQ-plot of gene loadings:

Interactive QQ Plot


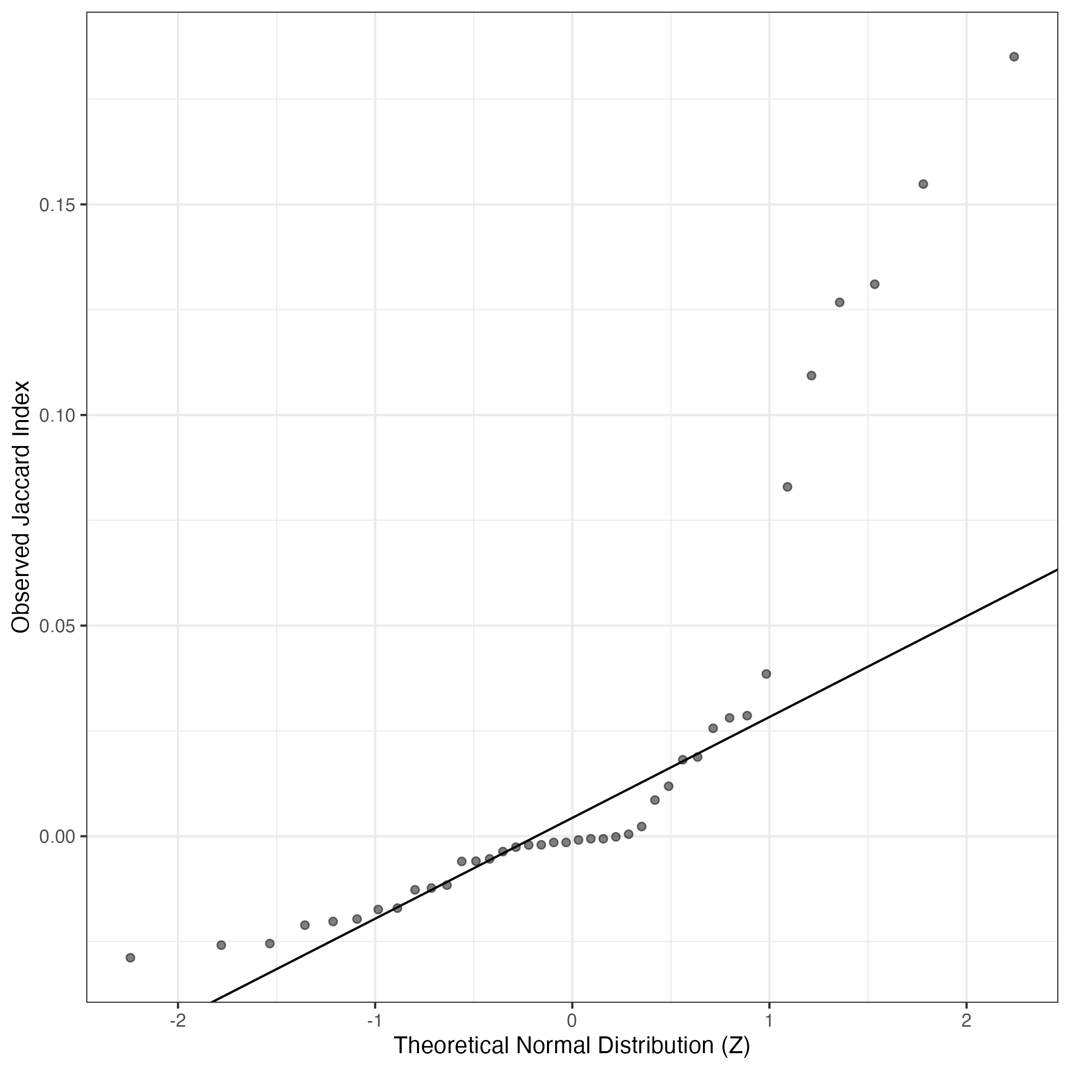
A similar QQ-plot as above, but only for instances where the H value is e.g. > 25, i.e. we are confident that the expression program is active above noise. Agreemenet between these binary vectors is tested using the Jaccard Index, with the P-values calculated by an exact test:

Interactive QQ-plot:

Interactive QQ Plot


Singler cell type annotations for the top 50 cells on this program.

Cell ID Singler label Singler Delta Activity Score Top Singler Raw Scores
STDY8004894_TTCCCAGGTATGGTTC Macrophage:monocyte-derived:M-CSF 0.19 1304.56
Raw ScoresMacrophage:monocyte-derived:M-CSF: 0.52, Monocyte:leukotriene_D4: 0.52, Macrophage:monocyte-derived:M-CSF/IFNg: 0.51, DC:monocyte-derived:anti-DC-SIGN_2h: 0.51, Monocyte: 0.51, DC:monocyte-derived:AEC-conditioned: 0.51, Macrophage:monocyte-derived:IL-4/Dex/cntrl: 0.51, Monocyte:anti-FcgRIIB: 0.51, Macrophage:monocyte-derived:IL-4/Dex/TGFb: 0.51, Macrophage:monocyte-derived:M-CSF/IFNg/Pam3Cys: 0.5
STDY8004894_CGAGCACCATGTCGAT DC:monocyte-derived:antiCD40/VAF347 0.19 791.19
Raw ScoresMacrophage:monocyte-derived:M-CSF: 0.54, DC:monocyte-derived:anti-DC-SIGN_2h: 0.54, DC:monocyte-derived:antiCD40/VAF347: 0.54, Macrophage:monocyte-derived:IL-4/Dex/TGFb: 0.53, DC:monocyte-derived: 0.53, Macrophage:monocyte-derived:IL-4/Dex/cntrl: 0.53, Macrophage:monocyte-derived: 0.53, DC:monocyte-derived:A._fumigatus_germ_tubes_6h: 0.53, DC:monocyte-derived:Galectin-1: 0.53, Macrophage:monocyte-derived:M-CSF/Pam3Cys: 0.53
STDY7843578_CAGTCCTTCCGGCACA Macrophage:monocyte-derived:IL-4/Dex/TGFb 0.18 543.92
Raw ScoresMacrophage:monocyte-derived:M-CSF: 0.45, Macrophage:monocyte-derived:IL-4/Dex/cntrl: 0.45, Macrophage:monocyte-derived:IL-4/Dex/TGFb: 0.44, Macrophage:monocyte-derived:M-CSF/IFNg: 0.44, Macrophage:monocyte-derived:IL-4/cntrl: 0.43, DC:monocyte-derived:anti-DC-SIGN_2h: 0.43, Macrophage:monocyte-derived:IL-4/TGFb: 0.43, Monocyte:leukotriene_D4: 0.43, Macrophage:monocyte-derived: 0.43, Macrophage:monocyte-derived:IFNa: 0.43
STDY8004894_GAAGCAGTCTGGGCCA DC:monocyte-derived:anti-DC-SIGN_2h 0.18 531.84
Raw ScoresMacrophage:monocyte-derived:M-CSF: 0.45, DC:monocyte-derived:anti-DC-SIGN_2h: 0.44, Monocyte:leukotriene_D4: 0.44, Monocyte: 0.43, DC:monocyte-derived: 0.43, Macrophage:monocyte-derived:M-CSF/IFNg: 0.43, Macrophage:monocyte-derived:M-CSF/IFNg/Pam3Cys: 0.43, DC:monocyte-derived:Galectin-1: 0.43, DC:monocyte-derived:A._fumigatus_germ_tubes_6h: 0.43, DC:monocyte-derived:LPS: 0.43
STDY7843578_ACACCCTAGGGAACGG Macrophage:monocyte-derived:M-CSF 0.17 508.36
Raw ScoresMacrophage:monocyte-derived:M-CSF: 0.42, Macrophage:monocyte-derived:IL-4/Dex/TGFb: 0.41, Macrophage:monocyte-derived:IL-4/Dex/cntrl: 0.41, Macrophage:monocyte-derived:M-CSF/IFNg: 0.41, DC:monocyte-derived:anti-DC-SIGN_2h: 0.41, Macrophage:monocyte-derived:M-CSF/IFNg/Pam3Cys: 0.4, Monocyte:leukotriene_D4: 0.4, Macrophage:Alveolar:B._anthacis_spores: 0.4, Macrophage:monocyte-derived: 0.4, DC:monocyte-derived:LPS: 0.4
STDY7843578_GATCGCGTCAATCACG Macrophage:monocyte-derived:IL-4/Dex/TGFb 0.15 470.31
Raw ScoresMacrophage:monocyte-derived:M-CSF: 0.36, Macrophage:monocyte-derived:IL-4/Dex/cntrl: 0.36, Macrophage:monocyte-derived:IL-4/Dex/TGFb: 0.36, DC:monocyte-derived:anti-DC-SIGN_2h: 0.36, Macrophage:monocyte-derived:M-CSF/IFNg: 0.35, Monocyte:leukotriene_D4: 0.35, DC:monocyte-derived: 0.35, Macrophage:monocyte-derived:M-CSF/IFNg/Pam3Cys: 0.35, DC:monocyte-derived:antiCD40/VAF347: 0.35, Macrophage:monocyte-derived:M-CSF/Pam3Cys: 0.34
STDY7843578_TAGCCGGCATGCGCAC Macrophage:monocyte-derived:IL-4/Dex/TGFb 0.14 469.99
Raw ScoresDC:monocyte-derived:anti-DC-SIGN_2h: 0.39, Macrophage:monocyte-derived:IL-4/Dex/TGFb: 0.39, Macrophage:monocyte-derived:M-CSF: 0.38, Macrophage:monocyte-derived:IL-4/Dex/cntrl: 0.38, DC:monocyte-derived:A._fumigatus_germ_tubes_6h: 0.38, Monocyte:leukotriene_D4: 0.38, DC:monocyte-derived: 0.38, DC:monocyte-derived:LPS: 0.38, DC:monocyte-derived:antiCD40/VAF347: 0.37, DC:monocyte-derived:Galectin-1: 0.37
STDY8004894_CTCTGGTAGCATGGCA Macrophage:monocyte-derived 0.15 425.91
Raw ScoresMacrophage:monocyte-derived: 0.49, DC:monocyte-derived:AEC-conditioned: 0.49, Macrophage:monocyte-derived:M-CSF: 0.49, DC:monocyte-derived:Galectin-1: 0.49, Macrophage:monocyte-derived:IFNa: 0.48, Macrophage:monocyte-derived:IL-4/Dex/TGFb: 0.48, Macrophage:monocyte-derived:IL-4/Dex/cntrl: 0.48, DC:monocyte-derived:anti-DC-SIGN_2h: 0.48, Monocyte:leukotriene_D4: 0.48, DC:monocyte-derived:LPS: 0.48
STDY7843578_AACACGTAGTTGTAGA DC:monocyte-derived:anti-DC-SIGN_2h 0.17 409.31
Raw ScoresDC:monocyte-derived:anti-DC-SIGN_2h: 0.42, Macrophage:monocyte-derived:M-CSF: 0.42, DC:monocyte-derived:A._fumigatus_germ_tubes_6h: 0.42, Macrophage:monocyte-derived:IL-4/Dex/TGFb: 0.42, Macrophage:monocyte-derived:M-CSF/IFNg/Pam3Cys: 0.42, Macrophage:monocyte-derived:M-CSF/Pam3Cys: 0.42, Macrophage:monocyte-derived:IL-4/Dex/cntrl: 0.41, DC:monocyte-derived:Galectin-1: 0.41, DC:monocyte-derived: 0.41, DC:monocyte-derived:antiCD40/VAF347: 0.41
STDY8004894_CACATAGTCAATCACG Macrophage:monocyte-derived:M-CSF 0.21 386.12
Raw ScoresMacrophage:monocyte-derived:M-CSF: 0.51, DC:monocyte-derived:anti-DC-SIGN_2h: 0.5, Macrophage:monocyte-derived:IL-4/Dex/TGFb: 0.5, Macrophage:monocyte-derived:IL-4/Dex/cntrl: 0.5, Monocyte:leukotriene_D4: 0.5, DC:monocyte-derived:Galectin-1: 0.5, Macrophage:monocyte-derived:M-CSF/IFNg: 0.5, Macrophage:monocyte-derived:IL-4/cntrl: 0.5, Macrophage:monocyte-derived:IL-4/TGFb: 0.5, DC:monocyte-derived: 0.5
STDY7685341_GCATGCGGTCACTTCC DC:monocyte-derived:anti-DC-SIGN_2h 0.14 366.12
Raw ScoresDC:monocyte-derived:anti-DC-SIGN_2h: 0.34, Macrophage:monocyte-derived:M-CSF/IFNg/Pam3Cys: 0.34, DC:monocyte-derived:A._fumigatus_germ_tubes_6h: 0.34, Monocyte:S._typhimurium_flagellin: 0.33, Monocyte:CD16+: 0.33, Monocyte:CD16-: 0.33, Macrophage:monocyte-derived:M-CSF/Pam3Cys: 0.33, Monocyte:leukotriene_D4: 0.33, Monocyte: 0.33, Monocyte:CD14+: 0.33
STDY7843578_CGGAGCTGTGACGCCT Macrophage:monocyte-derived:IL-4/Dex/TGFb 0.13 358.54
Raw ScoresMacrophage:monocyte-derived:M-CSF: 0.34, DC:monocyte-derived:anti-DC-SIGN_2h: 0.34, DC:monocyte-derived:LPS: 0.34, Macrophage:monocyte-derived:IL-4/Dex/cntrl: 0.34, Macrophage:monocyte-derived:IL-4/Dex/TGFb: 0.34, Macrophage:monocyte-derived:M-CSF/IFNg: 0.34, DC:monocyte-derived:AEC-conditioned: 0.33, DC:monocyte-derived:Galectin-1: 0.33, Monocyte:leukotriene_D4: 0.33, Macrophage:monocyte-derived:M-CSF/IFNg/Pam3Cys: 0.33
STDY7843578_CTGTGCTAGGCAATTA Macrophage:monocyte-derived:IL-4/Dex/cntrl 0.15 290.22
Raw ScoresMacrophage:monocyte-derived:M-CSF: 0.36, Macrophage:monocyte-derived:IL-4/Dex/cntrl: 0.36, Macrophage:monocyte-derived:IL-4/Dex/TGFb: 0.35, Monocyte:leukotriene_D4: 0.35, DC:monocyte-derived:anti-DC-SIGN_2h: 0.35, Macrophage:monocyte-derived:M-CSF/IFNg/Pam3Cys: 0.35, Macrophage:monocyte-derived:M-CSF/Pam3Cys: 0.35, DC:monocyte-derived:antiCD40/VAF347: 0.35, Macrophage:monocyte-derived:M-CSF/IFNg: 0.34, Macrophage:monocyte-derived: 0.34
STDY7843578_CTGCTGTGTACTTAGC Macrophage:monocyte-derived:M-CSF 0.17 269.56
Raw ScoresMacrophage:monocyte-derived:M-CSF: 0.41, Macrophage:monocyte-derived:IL-4/Dex/TGFb: 0.4, Macrophage:monocyte-derived:IL-4/Dex/cntrl: 0.4, Monocyte:leukotriene_D4: 0.4, Macrophage:monocyte-derived:M-CSF/IFNg: 0.4, DC:monocyte-derived:anti-DC-SIGN_2h: 0.4, Macrophage:Alveolar: 0.4, Macrophage:monocyte-derived:IL-4/cntrl: 0.39, Macrophage:monocyte-derived: 0.39, Macrophage:monocyte-derived:IL-4/TGFb: 0.39
STDY7843578_CGCGGTATCCGTAGTA Macrophage:monocyte-derived:IL-4/Dex/TGFb 0.16 263.38
Raw ScoresMacrophage:monocyte-derived:M-CSF: 0.39, DC:monocyte-derived:anti-DC-SIGN_2h: 0.38, Monocyte:leukotriene_D4: 0.38, Macrophage:monocyte-derived:IL-4/Dex/cntrl: 0.38, Macrophage:monocyte-derived:IL-4/Dex/TGFb: 0.38, Macrophage:monocyte-derived:M-CSF/IFNg: 0.37, DC:monocyte-derived:AEC-conditioned: 0.37, DC:monocyte-derived: 0.37, Monocyte: 0.37, DC:monocyte-derived:LPS: 0.37
STDY7685340_GAATAAGGTTAAAGAC Macrophage:monocyte-derived:M-CSF 0.14 261.60
Raw ScoresMacrophage:monocyte-derived:M-CSF: 0.37, DC:monocyte-derived:anti-DC-SIGN_2h: 0.37, Monocyte:leukotriene_D4: 0.37, Macrophage:monocyte-derived:IL-4/Dex/cntrl: 0.36, DC:monocyte-derived:A._fumigatus_germ_tubes_6h: 0.36, Macrophage:monocyte-derived:IL-4/Dex/TGFb: 0.36, Monocyte:CD16-: 0.36, DC:monocyte-derived:antiCD40/VAF347: 0.36, Macrophage:monocyte-derived: 0.36, Monocyte:CD14+: 0.35
STDY7685342_ATCTACTGTTATCGGT Monocyte:CD16+ 0.17 258.79
Raw ScoresMonocyte:CD16-: 0.46, Monocyte:CD16+: 0.45, Monocyte:CD14+: 0.45, Macrophage:monocyte-derived:M-CSF/IFNg/Pam3Cys: 0.45, Macrophage:monocyte-derived:M-CSF/IFNg: 0.45, Monocyte:leukotriene_D4: 0.45, Monocyte: 0.44, Monocyte:anti-FcgRIIB: 0.44, Macrophage:monocyte-derived:M-CSF: 0.43, Macrophage:monocyte-derived:M-CSF/Pam3Cys: 0.43
STDY7685341_TCTGGAAAGGAGCGTT Monocyte:CD16+ 0.16 248.37
Raw ScoresMonocyte:CD16-: 0.43, Monocyte:CD14+: 0.42, Monocyte:leukotriene_D4: 0.42, Monocyte:CD16+: 0.42, Macrophage:monocyte-derived:M-CSF: 0.42, Macrophage:monocyte-derived:M-CSF/IFNg/Pam3Cys: 0.42, Monocyte: 0.42, Macrophage:monocyte-derived:M-CSF/Pam3Cys: 0.42, Monocyte:anti-FcgRIIB: 0.42, DC:monocyte-derived:anti-DC-SIGN_2h: 0.42
STDY8004894_GCGCAGTTCATCTGTT DC:monocyte-derived:AM580 0.18 248.32
Raw ScoresDC:monocyte-derived:anti-DC-SIGN_2h: 0.52, Macrophage:monocyte-derived:M-CSF: 0.52, DC:monocyte-derived: 0.51, DC:monocyte-derived:A._fumigatus_germ_tubes_6h: 0.51, DC:monocyte-derived:CD40L: 0.51, Monocyte:leukotriene_D4: 0.51, DC:monocyte-derived:AM580: 0.51, DC:monocyte-derived:Schuler_treatment: 0.51, DC:monocyte-derived:immature: 0.51, DC:monocyte-derived:AEC-conditioned: 0.51
STDY7843578_CTGAAGTAGCCTTGAT Macrophage:monocyte-derived:M-CSF 0.14 228.40
Raw ScoresMacrophage:monocyte-derived:M-CSF: 0.33, Macrophage:monocyte-derived:IL-4/Dex/TGFb: 0.33, Macrophage:monocyte-derived:IL-4/Dex/cntrl: 0.33, DC:monocyte-derived:anti-DC-SIGN_2h: 0.33, Macrophage:monocyte-derived:M-CSF/Pam3Cys: 0.33, Monocyte:leukotriene_D4: 0.32, Macrophage:monocyte-derived:M-CSF/IFNg/Pam3Cys: 0.32, DC:monocyte-derived:antiCD40/VAF347: 0.32, DC:monocyte-derived:A._fumigatus_germ_tubes_6h: 0.32, Macrophage:Alveolar:B._anthacis_spores: 0.32
STDY8004894_GTAGTCAAGTCCGGTC Macrophage:monocyte-derived:IL-4/Dex/TGFb 0.17 220.96
Raw ScoresMacrophage:monocyte-derived:M-CSF: 0.47, DC:monocyte-derived:anti-DC-SIGN_2h: 0.46, DC:monocyte-derived: 0.46, DC:monocyte-derived:antiCD40/VAF347: 0.46, Macrophage:monocyte-derived:M-CSF/IFNg/Pam3Cys: 0.46, Macrophage:monocyte-derived:M-CSF/Pam3Cys: 0.46, Monocyte:leukotriene_D4: 0.46, DC:monocyte-derived:Galectin-1: 0.46, Macrophage:monocyte-derived: 0.46, DC:monocyte-derived:A._fumigatus_germ_tubes_6h: 0.46
STDY7685342_CTGATCCTCCACGTGG Macrophage:monocyte-derived:IL-4/Dex/cntrl 0.12 217.71
Raw ScoresMonocyte:leukotriene_D4: 0.33, Macrophage:monocyte-derived:M-CSF: 0.33, DC:monocyte-derived:anti-DC-SIGN_2h: 0.33, Macrophage:monocyte-derived:IL-4/Dex/cntrl: 0.32, Monocyte: 0.32, Macrophage:monocyte-derived:IL-4/Dex/TGFb: 0.32, Macrophage:monocyte-derived:M-CSF/IFNg/Pam3Cys: 0.32, Monocyte:anti-FcgRIIB: 0.32, Macrophage:monocyte-derived:M-CSF/IFNg: 0.32, Monocyte:CD16+: 0.32
STDY7685342_CGTCCATAGTGAACGC Macrophage:monocyte-derived:IL-4/Dex/cntrl 0.12 205.10
Raw ScoresMacrophage:monocyte-derived:M-CSF: 0.35, Monocyte:leukotriene_D4: 0.35, Monocyte:CD16-: 0.34, Macrophage:monocyte-derived:M-CSF/IFNg: 0.34, Monocyte: 0.34, Monocyte:CD16+: 0.34, DC:monocyte-derived:anti-DC-SIGN_2h: 0.34, Monocyte:CD14+: 0.34, Monocyte:anti-FcgRIIB: 0.34, Macrophage:monocyte-derived:IL-4/Dex/cntrl: 0.33
STDY7685341_ATTGGACGTCCGACGT Monocyte:CD16- 0.16 205.07
Raw ScoresMonocyte:CD16-: 0.43, Monocyte:CD16+: 0.43, Monocyte:leukotriene_D4: 0.43, Monocyte:CD14+: 0.43, DC:monocyte-derived:anti-DC-SIGN_2h: 0.43, Monocyte: 0.42, Macrophage:monocyte-derived:M-CSF: 0.42, Monocyte:anti-FcgRIIB: 0.42, Macrophage:monocyte-derived:M-CSF/IFNg: 0.42, Macrophage:monocyte-derived:M-CSF/IFNg/Pam3Cys: 0.42
STDY7843578_GAAACTCTCTTGTATC Macrophage:monocyte-derived:IL-4/Dex/cntrl 0.15 191.04
Raw ScoresMacrophage:monocyte-derived:IL-4/Dex/cntrl: 0.34, Macrophage:monocyte-derived:M-CSF: 0.34, Macrophage:monocyte-derived:IL-4/Dex/TGFb: 0.34, Macrophage:monocyte-derived:IL-4/cntrl: 0.34, Monocyte:leukotriene_D4: 0.34, DC:monocyte-derived:anti-DC-SIGN_2h: 0.34, DC:monocyte-derived:AEC-conditioned: 0.34, Macrophage:monocyte-derived:M-CSF/IFNg: 0.33, Macrophage:monocyte-derived:IL-4/TGFb: 0.33, DC:monocyte-derived:LPS: 0.33
STDY7843578_TGAGCCGTCGGTGTCG Macrophage:monocyte-derived:IL-4/Dex/cntrl 0.15 175.94
Raw ScoresMacrophage:monocyte-derived:M-CSF: 0.35, DC:monocyte-derived:anti-DC-SIGN_2h: 0.35, Macrophage:monocyte-derived:IL-4/Dex/cntrl: 0.34, Macrophage:monocyte-derived:IL-4/Dex/TGFb: 0.34, Macrophage:monocyte-derived:M-CSF/IFNg: 0.34, DC:monocyte-derived:LPS: 0.34, DC:monocyte-derived:A._fumigatus_germ_tubes_6h: 0.34, Monocyte:leukotriene_D4: 0.34, DC:monocyte-derived: 0.34, DC:monocyte-derived:AEC-conditioned: 0.34
STDY7685342_TGGCCAGCAGACAAGC DC:monocyte-derived:anti-DC-SIGN_2h 0.13 165.29
Raw ScoresMacrophage:monocyte-derived:M-CSF: 0.4, DC:monocyte-derived:anti-DC-SIGN_2h: 0.4, Monocyte:leukotriene_D4: 0.39, Macrophage:monocyte-derived:M-CSF/Pam3Cys: 0.39, DC:monocyte-derived:A._fumigatus_germ_tubes_6h: 0.39, Macrophage:monocyte-derived:IL-4/Dex/TGFb: 0.39, Monocyte: 0.39, Macrophage:monocyte-derived:IL-4/Dex/cntrl: 0.39, DC:monocyte-derived:antiCD40/VAF347: 0.39, Monocyte:anti-FcgRIIB: 0.38
STDY7685342_AACCATGTCTGTCTCG DC:monocyte-derived:anti-DC-SIGN_2h 0.10 163.57
Raw ScoresDC:monocyte-derived:anti-DC-SIGN_2h: 0.25, Macrophage:monocyte-derived:M-CSF: 0.25, Monocyte:leukotriene_D4: 0.25, Macrophage:monocyte-derived:IL-4/Dex/TGFb: 0.25, Macrophage:monocyte-derived:IL-4/Dex/cntrl: 0.25, Monocyte:CD16-: 0.25, Monocyte:CD16+: 0.25, Macrophage:Alveolar:B._anthacis_spores: 0.25, Monocyte: 0.25, Monocyte:S._typhimurium_flagellin: 0.24
STDY7787237_CAGATCACACGCGAAA Macrophage:monocyte-derived:M-CSF/IFNg 0.21 157.50
Raw ScoresMacrophage:monocyte-derived:M-CSF/IFNg: 0.52, Macrophage:monocyte-derived:M-CSF: 0.5, DC:monocyte-derived:AEC-conditioned: 0.49, Macrophage:monocyte-derived:IFNa: 0.49, Monocyte:leukotriene_D4: 0.49, Macrophage:monocyte-derived:M-CSF/IFNg/Pam3Cys: 0.49, DC:monocyte-derived:LPS: 0.49, Monocyte:anti-FcgRIIB: 0.49, Macrophage:monocyte-derived:IL-4/Dex/cntrl: 0.49, DC:monocyte-derived:Galectin-1: 0.48
STDY7843578_TTATGCTAGCGTTCCG Macrophage:monocyte-derived:IL-4/Dex/TGFb 0.11 137.59
Raw ScoresMacrophage:monocyte-derived:IL-4/Dex/cntrl: 0.23, Macrophage:monocyte-derived:IL-4/Dex/TGFb: 0.23, DC:monocyte-derived:anti-DC-SIGN_2h: 0.23, Macrophage:monocyte-derived:M-CSF: 0.23, DC:monocyte-derived:immature: 0.22, Monocyte:leukotriene_D4: 0.22, Macrophage:monocyte-derived:M-CSF/IFNg: 0.22, DC:monocyte-derived: 0.22, Macrophage:monocyte-derived:M-CSF/IFNg/Pam3Cys: 0.22, DC:monocyte-derived:antiCD40/VAF347: 0.22
STDY8004894_CTGCGGAGTAAATGTG Macrophage:monocyte-derived 0.18 132.35
Raw ScoresDC:monocyte-derived:antiCD40/VAF347: 0.5, Macrophage:monocyte-derived: 0.5, DC:monocyte-derived: 0.5, DC:monocyte-derived:Galectin-1: 0.5, Macrophage:monocyte-derived:IL-4/Dex/TGFb: 0.5, DC:monocyte-derived:anti-DC-SIGN_2h: 0.5, Macrophage:monocyte-derived:M-CSF/Pam3Cys: 0.5, Macrophage:monocyte-derived:M-CSF: 0.5, Macrophage:monocyte-derived:S._aureus: 0.5, Macrophage:monocyte-derived:IL-4/Dex/cntrl: 0.49
STDY8004894_GCGCCAATCGGAGGTA DC:monocyte-derived:antiCD40/VAF347 0.19 127.96
Raw ScoresDC:monocyte-derived:antiCD40/VAF347: 0.52, Macrophage:monocyte-derived:M-CSF: 0.52, Macrophage:monocyte-derived:M-CSF/IFNg/Pam3Cys: 0.52, DC:monocyte-derived:Galectin-1: 0.52, DC:monocyte-derived: 0.51, DC:monocyte-derived:LPS: 0.51, Monocyte:leukotriene_D4: 0.51, Macrophage:monocyte-derived:M-CSF/IFNg: 0.51, Macrophage:monocyte-derived:M-CSF/Pam3Cys: 0.51, DC:monocyte-derived:anti-DC-SIGN_2h: 0.51
STDY7843578_CTACATTAGTCAAGCG Macrophage:monocyte-derived:IL-4/Dex/TGFb 0.14 124.99
Raw ScoresMacrophage:monocyte-derived:M-CSF: 0.33, Macrophage:monocyte-derived:IL-4/Dex/cntrl: 0.33, Macrophage:monocyte-derived:IL-4/Dex/TGFb: 0.32, DC:monocyte-derived:anti-DC-SIGN_2h: 0.32, Macrophage:monocyte-derived:M-CSF/IFNg: 0.32, Macrophage:Alveolar: 0.32, Macrophage:monocyte-derived: 0.32, Macrophage:monocyte-derived:IL-4/cntrl: 0.32, Macrophage:Alveolar:B._anthacis_spores: 0.32, Macrophage:monocyte-derived:IL-4/TGFb: 0.32
STDY7685342_AACACGTGTGGCGAAT Monocyte:S._typhimurium_flagellin 0.14 121.77
Raw ScoresMonocyte:leukotriene_D4: 0.41, Monocyte:CD16-: 0.41, Macrophage:monocyte-derived:M-CSF/IFNg/Pam3Cys: 0.41, Macrophage:monocyte-derived:M-CSF/Pam3Cys: 0.4, DC:monocyte-derived:anti-DC-SIGN_2h: 0.4, Monocyte:CD16+: 0.4, Macrophage:monocyte-derived:M-CSF: 0.4, Monocyte: 0.4, Monocyte:CD14+: 0.4, Monocyte:anti-FcgRIIB: 0.4
STDY8004894_CTGTGCTAGTCTCAAC Macrophage:monocyte-derived:M-CSF 0.14 120.46
Raw ScoresMonocyte:leukotriene_D4: 0.39, Macrophage:monocyte-derived:M-CSF: 0.39, Monocyte: 0.38, Monocyte:anti-FcgRIIB: 0.38, Monocyte:CD16-: 0.38, Macrophage:monocyte-derived:M-CSF/IFNg: 0.38, DC:monocyte-derived:anti-DC-SIGN_2h: 0.38, Monocyte:CD14+: 0.38, Macrophage:monocyte-derived: 0.38, Monocyte:CD16+: 0.37
STDY7685340_TGGGCGTAGAAACGCC Macrophage:monocyte-derived:M-CSF 0.10 117.96
Raw ScoresDC:monocyte-derived:anti-DC-SIGN_2h: 0.33, Macrophage:monocyte-derived:M-CSF: 0.32, DC:monocyte-derived:A._fumigatus_germ_tubes_6h: 0.32, Macrophage:monocyte-derived:M-CSF/Pam3Cys: 0.32, DC:monocyte-derived:AEC-conditioned: 0.32, DC:monocyte-derived:antiCD40/VAF347: 0.32, Monocyte:leukotriene_D4: 0.31, Macrophage:monocyte-derived:IL-4/Dex/cntrl: 0.31, Macrophage:monocyte-derived: 0.31, DC:monocyte-derived: 0.31
STDY7685341_TACTTACTCTTGAGGT Monocyte:leukotriene_D4 0.14 112.75
Raw ScoresMonocyte:CD16+: 0.43, Monocyte:CD14+: 0.42, Monocyte:CD16-: 0.42, Monocyte:leukotriene_D4: 0.42, Monocyte: 0.41, Macrophage:monocyte-derived:M-CSF: 0.41, Monocyte:anti-FcgRIIB: 0.41, Pre-B_cell_CD34-: 0.4, DC:monocyte-derived:anti-DC-SIGN_2h: 0.4, Macrophage:monocyte-derived:M-CSF/IFNg: 0.4
STDY8004894_GTTTCTAGTGTGGTTT DC:monocyte-derived:anti-DC-SIGN_2h 0.17 110.75
Raw ScoresMacrophage:monocyte-derived:M-CSF: 0.48, DC:monocyte-derived:anti-DC-SIGN_2h: 0.48, Monocyte:leukotriene_D4: 0.47, Macrophage:monocyte-derived:M-CSF/IFNg: 0.47, DC:monocyte-derived:Galectin-1: 0.47, Macrophage:monocyte-derived:M-CSF/IFNg/Pam3Cys: 0.47, Macrophage:monocyte-derived:IL-4/Dex/cntrl: 0.47, DC:monocyte-derived:LPS: 0.47, Monocyte: 0.47, DC:monocyte-derived: 0.47
STDY8004894_GGCTCGAGTCATATCG DC:monocyte-derived:antiCD40/VAF347 0.16 109.22
Raw ScoresMacrophage:monocyte-derived:M-CSF: 0.49, Macrophage:monocyte-derived:M-CSF/Pam3Cys: 0.48, DC:monocyte-derived:anti-DC-SIGN_2h: 0.48, Macrophage:monocyte-derived:M-CSF/IFNg/Pam3Cys: 0.48, DC:monocyte-derived:Galectin-1: 0.48, Monocyte:leukotriene_D4: 0.48, Macrophage:monocyte-derived: 0.48, DC:monocyte-derived:LPS: 0.48, DC:monocyte-derived:antiCD40/VAF347: 0.47, Macrophage:monocyte-derived:M-CSF/IFNg: 0.47
STDY7685342_GCAGTTAGTCAGCTAT Monocyte:CD16+ 0.21 108.19
Raw ScoresMonocyte:CD16-: 0.5, Monocyte:CD14+: 0.5, Monocyte:CD16+: 0.5, Monocyte:leukotriene_D4: 0.48, Monocyte: 0.48, Monocyte:anti-FcgRIIB: 0.47, Macrophage:monocyte-derived:M-CSF/IFNg/Pam3Cys: 0.47, Macrophage:monocyte-derived:M-CSF/IFNg: 0.47, Pre-B_cell_CD34-: 0.46, Macrophage:monocyte-derived:M-CSF: 0.46
STDY8004894_CAGAGAGCACCAGGCT Monocyte:CD16- 0.17 107.65
Raw ScoresMonocyte:leukotriene_D4: 0.42, Monocyte:anti-FcgRIIB: 0.42, Monocyte:CD16-: 0.42, Monocyte: 0.42, Monocyte:CD14+: 0.41, Macrophage:monocyte-derived:M-CSF/IFNg/Pam3Cys: 0.41, Monocyte:S._typhimurium_flagellin: 0.41, Macrophage:monocyte-derived:M-CSF: 0.41, Monocyte:CD16+: 0.41, Macrophage:monocyte-derived:M-CSF/Pam3Cys: 0.4
STDY7685341_AAGGTTCGTCAGAAGC B_cell:Naive 0.08 104.24
Raw ScoresB_cell:immature: 0.28, Pre-B_cell_CD34-: 0.28, B_cell:Memory: 0.27, B_cell:Naive: 0.27, B_cell: 0.27, DC:monocyte-derived:anti-DC-SIGN_2h: 0.27, Monocyte:CD16+: 0.27, Monocyte:leukotriene_D4: 0.27, Monocyte:CD14+: 0.27, Monocyte:CD16-: 0.27
STDY7685341_GACACGCTCTTGCAAG DC:monocyte-derived:anti-DC-SIGN_2h 0.16 103.46
Raw ScoresDC:monocyte-derived:anti-DC-SIGN_2h: 0.44, Monocyte:leukotriene_D4: 0.44, Monocyte:CD16-: 0.43, Monocyte: 0.43, Macrophage:monocyte-derived:M-CSF: 0.43, Monocyte:CD14+: 0.43, Macrophage:monocyte-derived:M-CSF/IFNg/Pam3Cys: 0.43, Monocyte:anti-FcgRIIB: 0.43, Monocyte:CD16+: 0.43, DC:monocyte-derived:A._fumigatus_germ_tubes_6h: 0.42
STDY7685342_AGCAGCCAGGACATTA Monocyte:CD16+ 0.17 101.61
Raw ScoresMonocyte:CD16-: 0.46, Monocyte:CD14+: 0.45, Monocyte:CD16+: 0.45, Monocyte:leukotriene_D4: 0.44, Monocyte: 0.43, Pre-B_cell_CD34-: 0.43, Monocyte:anti-FcgRIIB: 0.43, Macrophage:monocyte-derived:M-CSF/IFNg: 0.42, Macrophage:monocyte-derived:M-CSF/IFNg/Pam3Cys: 0.42, Macrophage:monocyte-derived:M-CSF: 0.42
STDY7685341_TTTATGCGTCGTCTTC NK_cell 0.09 99.48
Raw ScoresNK_cell: 0.28, Pre-B_cell_CD34-: 0.27, Monocyte:CD16+: 0.26, NK_cell:IL2: 0.26, T_cell:CD8+: 0.26, Monocyte:leukotriene_D4: 0.26, NK_cell:CD56hiCD62L+: 0.26, T_cell:CD4+: 0.26, HSC_-G-CSF: 0.26, Monocyte: 0.26
STDY7843578_GTCAAGTGTTCCACTC Macrophage:monocyte-derived:IL-4/Dex/TGFb 0.14 98.19
Raw ScoresMacrophage:monocyte-derived:IL-4/Dex/TGFb: 0.29, DC:monocyte-derived:anti-DC-SIGN_2h: 0.29, Macrophage:monocyte-derived:IL-4/Dex/cntrl: 0.29, Macrophage:monocyte-derived:M-CSF: 0.29, Macrophage:monocyte-derived: 0.28, DC:monocyte-derived: 0.28, DC:monocyte-derived:A._fumigatus_germ_tubes_6h: 0.28, Macrophage:monocyte-derived:IFNa: 0.27, Macrophage:monocyte-derived:IL-4/cntrl: 0.27, DC:monocyte-derived:LPS: 0.27
STDY7843578_AGAGCTTCAAACGCGA DC:monocyte-derived:antiCD40/VAF347 0.12 97.43
Raw ScoresDC:monocyte-derived:antiCD40/VAF347: 0.27, DC:monocyte-derived:A._fumigatus_germ_tubes_6h: 0.27, Macrophage:monocyte-derived:M-CSF: 0.26, Macrophage:Alveolar:B._anthacis_spores: 0.26, Macrophage:monocyte-derived:M-CSF/Pam3Cys: 0.26, DC:monocyte-derived: 0.26, Macrophage:monocyte-derived:S._aureus: 0.26, Macrophage:monocyte-derived:M-CSF/IFNg/Pam3Cys: 0.26, Macrophage:monocyte-derived:IFNa: 0.26, DC:monocyte-derived:Galectin-1: 0.26
STDY7843578_CTACCCAAGAACTCGG Macrophage:monocyte-derived:IL-4/Dex/TGFb 0.12 92.45
Raw ScoresMacrophage:monocyte-derived:IL-4/Dex/cntrl: 0.31, Macrophage:monocyte-derived:IL-4/Dex/TGFb: 0.31, Macrophage:monocyte-derived:M-CSF: 0.31, DC:monocyte-derived:anti-DC-SIGN_2h: 0.31, Monocyte:leukotriene_D4: 0.3, Macrophage:monocyte-derived:IL-4/cntrl: 0.29, DC:monocyte-derived: 0.29, DC:monocyte-derived:AEC-conditioned: 0.29, DC:monocyte-derived:LPS: 0.29, Macrophage:monocyte-derived: 0.29
STDY8004902_CATCAAGGTTCTGTTT DC:monocyte-derived:anti-DC-SIGN_2h 0.14 88.07
Raw ScoresDC:monocyte-derived:anti-DC-SIGN_2h: 0.33, Macrophage:monocyte-derived:M-CSF: 0.32, DC:monocyte-derived: 0.32, DC:monocyte-derived:LPS: 0.32, DC:monocyte-derived:Galectin-1: 0.32, Macrophage:monocyte-derived:IL-4/Dex/TGFb: 0.32, Macrophage:monocyte-derived:IL-4/Dex/cntrl: 0.32, Monocyte:leukotriene_D4: 0.32, DC:monocyte-derived:A._fumigatus_germ_tubes_6h: 0.32, DC:monocyte-derived:antiCD40/VAF347: 0.31
STDY7685341_CCCTCCTAGTGTGGCA Monocyte:CD16- 0.16 85.29
Raw ScoresMonocyte:CD16-: 0.41, Monocyte:CD16+: 0.4, Monocyte:CD14+: 0.4, Monocyte:leukotriene_D4: 0.4, Monocyte: 0.39, Macrophage:monocyte-derived:M-CSF: 0.39, Macrophage:monocyte-derived:M-CSF/IFNg: 0.39, Monocyte:anti-FcgRIIB: 0.39, Pre-B_cell_CD34-: 0.39, Macrophage:monocyte-derived:M-CSF/IFNg/Pam3Cys: 0.38



Below shows the significant enrichments of this GEP for literature curated gene lists
  This data was procured from existing single cell RNA-seq maps of neuroblastoma or related relevant data.
  High ranks indicate this gene is a driver of this GEP.
  These curated gene list are ranked by the P-value (on this GEP) of their constituent genes.
  The Mean Count column shows the mean read count in cells scoring highly (H > 50) on this gene expression program.


Stress response (Dong)
Markers obtained in computationally inferred meta program (by NMF applied to their neuroblastoma sc-RNA-seq data) from Fig. 5(a) of Dong et al. (PMID 32946775).:
Wilcoxon ranksum test P-value for gene set overrepresentation: 1.67e-03
Mean rank of genes in gene set: 137.67
Rank on gene expression program of genes in gene set:
Genes Weight Rank GTEx DepMap Decartes Mean.Counts Mean.TPM
FOS 0.0047744 23 GTEx DepMap Descartes 25.13 4722.03
JUN 0.0037570 48 GTEx DepMap Descartes 7.08 1003.28
JUNB 0.0010195 342 GTEx DepMap Descartes 21.77 4323.84


M2 Macrophage
These genes were collated from multiple sources:
Wilcoxon ranksum test P-value for gene set overrepresentation: 1.97e-03
Mean rank of genes in gene set: 2327.57
Rank on gene expression program of genes in gene set:

Genes Weight Rank GTEx DepMap Decartes Mean.Counts Mean.TPM
CD14 0.0059587 16 GTEx DepMap Descartes 5.93 1244.79
CD163 0.0027368 81 GTEx DepMap Descartes 1.21 104.75
VEGFA 0.0007470 476 GTEx DepMap Descartes 0.63 16.31
IL10 0.0002162 1443 GTEx DepMap Descartes 0.55 68.91
ARG1 -0.0000329 3681 GTEx DepMap Descartes 0.00 0.00
TGFB1 -0.0000419 3886 GTEx DepMap Descartes 0.84 99.08
IL13 -0.0001444 6710 GTEx DepMap Descartes 0.00 0.00


HSCs and immune cells (Kameneva)
Marker gene were obtained from Fig. 1D of Kameneva et al (PMID 33833454). These genes were used by the authors to annotate each cell type in their human fetal adrenal scRNA-seq data obtained 6, 8, 9, 11, 12 and 14 weeks post conception.:
Wilcoxon ranksum test P-value for gene set overrepresentation: 2.12e-03
Mean rank of genes in gene set: 295.67
Rank on gene expression program of genes in gene set:

Genes Weight Rank GTEx DepMap Decartes Mean.Counts Mean.TPM
CD163 0.0027368 81 GTEx DepMap Descartes 1.21 104.75
RGS10 0.0012463 268 GTEx DepMap Descartes 2.64 929.11
AIF1 0.0006712 538 GTEx DepMap Descartes 13.51 3764.62





Below shows ranks on this GEP for literature curated gene lists for large gene sets
  These include those reported as mesenchymal/adrenergic by Van Groningen et al.
  High ranks indicate this gene is a driver of this GEP (note these results are not ordered).
  The Mean Count column shows the mean read count in cells scoring highly (H > 50) on this gene expression program.


VanGroningen Adrenergic Genes
Adrenergic marker genes from Supplementary Table 2 of Van Groningen et al. Nature Genetics 2017. These genes were identified by differential expression analysis of mesenchymal-like and adrenergic-like neuroblastoma cell lines.
Wilcoxon ranksum test P-value for gene set overrepresentation: 1.00e+00
Mean rank of genes in gene set: 8926.27
Median rank of genes in gene set: 9905
Rank on gene expression program of top 30 genes in gene set:

Genes Weight Rank GTEx DepMap Descartes Mean.Counts Mean.TPM
DAPK1 0.0012145 274 GTEx DepMap Descartes 0.49 22.90
NCOA7 0.0008319 433 GTEx DepMap Descartes 0.45 NA
MYO5A 0.0008086 447 GTEx DepMap Descartes 0.25 6.99
CHML 0.0007741 462 GTEx DepMap Descartes 0.21 11.20
RALGDS 0.0003866 929 GTEx DepMap Descartes 0.68 45.37
NFIL3 0.0003414 1043 GTEx DepMap Descartes 0.33 68.08
ARL6IP1 0.0003139 1110 GTEx DepMap Descartes 2.00 282.72
SETD7 0.0003094 1121 GTEx DepMap Descartes 0.12 5.45
GLRX 0.0002593 1270 GTEx DepMap Descartes 1.07 104.45
LYN 0.0002449 1328 GTEx DepMap Descartes 1.09 54.52
FBXO8 0.0002308 1388 GTEx DepMap Descartes 0.12 16.46
EXOC5 0.0002022 1501 GTEx DepMap Descartes 0.23 7.92
PBX3 0.0001982 1527 GTEx DepMap Descartes 0.15 8.66
NPY 0.0001223 1922 GTEx DepMap Descartes 0.15 190.76
ATP6V1B2 0.0000630 2390 GTEx DepMap Descartes 1.21 44.30
RPS6KA2 0.0000472 2536 GTEx DepMap Descartes 0.07 3.65
ESRRG 0.0000457 2554 GTEx DepMap Descartes 0.01 0.28
VRK1 0.0000395 2628 GTEx DepMap Descartes 0.09 20.49
MCM2 0.0000251 2756 GTEx DepMap Descartes 0.05 3.85
NET1 0.0000229 2781 GTEx DepMap Descartes 0.05 4.37
CADM1 0.0000207 2808 GTEx DepMap Descartes 0.27 10.00
UCP2 -0.0000092 3204 GTEx DepMap Descartes 2.72 393.88
RET -0.0000168 3342 GTEx DepMap Descartes 0.00 0.00
CAMSAP1 -0.0000186 3377 GTEx DepMap Descartes 0.08 4.48
GGH -0.0000315 3640 GTEx DepMap Descartes 0.19 30.12
TBC1D30 -0.0000333 3689 GTEx DepMap Descartes 0.05 3.05
TMEM178B -0.0000347 3718 GTEx DepMap Descartes 0.00 NA
RTN2 -0.0000447 3950 GTEx DepMap Descartes 0.12 13.11
NCAN -0.0000453 3964 GTEx DepMap Descartes 0.00 0.00
AGTPBP1 -0.0000474 4019 GTEx DepMap Descartes 0.12 22.55


VanGroningen Mesenchymal Genes
Mesenchymal marker genes from Supplementary Table 2 of Van Groningen et al. Nature Genetics 2017. These genes were identified by differential expression analysis of mesenchymal-like and adrenergic-like neuroblastoma cell lines.
Wilcoxon ranksum test P-value for gene set overrepresentation: 1.32e-07
Mean rank of genes in gene set: 5396.63
Median rank of genes in gene set: 5361
Rank on gene expression program of top 30 genes in gene set:

Genes Weight Rank GTEx DepMap Descartes Mean.Counts Mean.TPM
APOE 0.0111055 2 GTEx DepMap Descartes 66.44 17878.05
LIPA 0.0092862 5 GTEx DepMap Descartes 5.80 796.00
SGK1 0.0053183 20 GTEx DepMap Descartes 3.35 242.62
SDCBP 0.0043548 34 GTEx DepMap Descartes 5.19 527.66
CTSB 0.0043173 36 GTEx DepMap Descartes 13.69 1058.25
NPC2 0.0039196 42 GTEx DepMap Descartes 16.19 3268.79
ITM2B 0.0038727 44 GTEx DepMap Descartes 10.32 382.36
KLF6 0.0038420 47 GTEx DepMap Descartes 8.41 693.23
GRN 0.0036719 51 GTEx DepMap Descartes 7.93 1097.43
KLF4 0.0033425 61 GTEx DepMap Descartes 2.95 307.51
CTSC 0.0032496 65 GTEx DepMap Descartes 4.79 216.48
CREG1 0.0031979 68 GTEx DepMap Descartes 2.01 292.97
CD63 0.0027715 80 GTEx DepMap Descartes 8.92 2245.11
GPR137B 0.0025472 91 GTEx DepMap Descartes 0.48 63.49
A2M 0.0025197 94 GTEx DepMap Descartes 1.76 117.82
TSPAN4 0.0023962 102 GTEx DepMap Descartes 1.43 136.83
GDF15 0.0023061 113 GTEx DepMap Descartes 0.17 144.40
EGR1 0.0022362 118 GTEx DepMap Descartes 4.88 518.01
HNMT 0.0020412 135 GTEx DepMap Descartes 0.69 71.79
SLC38A6 0.0020080 139 GTEx DepMap Descartes 0.28 32.57
HEXB 0.0018814 154 GTEx DepMap Descartes 0.96 156.94
KCTD12 0.0018359 159 GTEx DepMap Descartes 0.80 44.64
PDGFC 0.0017662 167 GTEx DepMap Descartes 0.13 9.43
HES1 0.0017590 169 GTEx DepMap Descartes 5.28 990.27
LAMP1 0.0016605 179 GTEx DepMap Descartes 2.11 121.70
CXCL12 0.0015915 187 GTEx DepMap Descartes 0.63 67.01
SPRED1 0.0015691 190 GTEx DepMap Descartes 0.44 17.84
RGL1 0.0015570 193 GTEx DepMap Descartes 0.61 40.90
ADAM9 0.0014952 200 GTEx DepMap Descartes 0.48 31.33
FILIP1L 0.0014640 204 GTEx DepMap Descartes 0.85 72.34


Descartes adrenocortical markers
Top 50 marker genes of adrenocortical cells in the Decartes fetal adrenal single cell map (https://atlas.brotmanbaty.org/bbi/human-gene-expression-during-development/cell/adrenocortical/in/adrenal)
Wilcoxon ranksum test P-value for gene set overrepresentation: 5.83e-01
Mean rank of genes in gene set: 6401.28
Median rank of genes in gene set: 6661
Rank on gene expression program of top 30 genes in gene set:

Genes Weight Rank GTEx DepMap Descartes Mean.Counts Mean.TPM
APOC1 0.0128542 1 GTEx DepMap Descartes 47.08 24531.14
PAPSS2 0.0014558 206 GTEx DepMap Descartes 0.23 23.12
SCARB1 0.0008597 412 GTEx DepMap Descartes 0.29 15.70
SH3PXD2B 0.0006603 546 GTEx DepMap Descartes 0.23 8.89
SLC16A9 0.0004743 766 GTEx DepMap Descartes 0.04 1.75
SH3BP5 0.0003995 899 GTEx DepMap Descartes 0.83 99.37
NPC1 0.0002882 1177 GTEx DepMap Descartes 0.19 8.24
DHCR7 0.0001154 1968 GTEx DepMap Descartes 0.03 4.62
FDX1 -0.0000210 3425 GTEx DepMap Descartes 0.60 56.36
POR -0.0000259 3524 GTEx DepMap Descartes 0.27 29.16
FREM2 -0.0000311 3627 GTEx DepMap Descartes 0.00 0.00
ERN1 -0.0000433 3922 GTEx DepMap Descartes 0.28 10.74
STAR -0.0000506 4097 GTEx DepMap Descartes 0.07 7.74
SGCZ -0.0000544 4189 GTEx DepMap Descartes 0.00 0.00
GRAMD1B -0.0001075 5672 GTEx DepMap Descartes 0.01 1.06
PEG3 -0.0001240 6147 GTEx DepMap Descartes 0.01 NA
INHA -0.0001282 6265 GTEx DepMap Descartes 0.00 0.00
PDE10A -0.0001372 6522 GTEx DepMap Descartes 0.04 0.82
BAIAP2L1 -0.0001474 6800 GTEx DepMap Descartes 0.00 0.00
FRMD5 -0.0001579 7100 GTEx DepMap Descartes 0.00 0.00
SCAP -0.0001935 8067 GTEx DepMap Descartes 0.13 10.80
FDXR -0.0002147 8554 GTEx DepMap Descartes 0.08 4.61
TM7SF2 -0.0002485 9302 GTEx DepMap Descartes 0.04 13.08
SLC1A2 -0.0002650 9630 GTEx DepMap Descartes 0.00 0.00
DNER -0.0002778 9849 GTEx DepMap Descartes 0.08 6.92
HMGCS1 -0.0002837 9954 GTEx DepMap Descartes 0.07 3.96
IGF1R -0.0002914 10085 GTEx DepMap Descartes 0.05 1.77
DHCR24 -0.0003012 10249 GTEx DepMap Descartes 0.04 1.52
FDPS -0.0003041 10295 GTEx DepMap Descartes 0.33 44.70
CYB5B -0.0003139 10439 GTEx DepMap Descartes 0.23 14.83


Descartes chromaffin markers
Top 50 marker genes of chromaffin cells in the Decartes fetal adrenal single cell map (https://atlas.brotmanbaty.org/bbi/human-gene-expression-during-development/cell/chromaffin/in/adrenal)
Wilcoxon ranksum test P-value for gene set overrepresentation: 1.00e+00
Mean rank of genes in gene set: 9534.93
Median rank of genes in gene set: 9866
Rank on gene expression program of top 30 genes in gene set:

Genes Weight Rank GTEx DepMap Descartes Mean.Counts Mean.TPM
NPY 0.0001223 1922 GTEx DepMap Descartes 0.15 190.76
GREM1 -0.0000406 3859 GTEx DepMap Descartes 0.01 0.09
RPH3A -0.0000434 3926 GTEx DepMap Descartes 0.00 0.00
ANKFN1 -0.0001030 5547 GTEx DepMap Descartes 0.00 0.00
MAB21L2 -0.0001352 6470 GTEx DepMap Descartes 0.01 1.47
FAT3 -0.0001458 6749 GTEx DepMap Descartes 0.03 0.21
EYA1 -0.0001543 6993 GTEx DepMap Descartes 0.01 0.84
KCNB2 -0.0001652 7303 GTEx DepMap Descartes 0.00 0.00
PLXNA4 -0.0002003 8227 GTEx DepMap Descartes 0.01 0.39
HS3ST5 -0.0002036 8292 GTEx DepMap Descartes 0.00 0.00
PTCHD1 -0.0002045 8305 GTEx DepMap Descartes 0.00 0.00
EPHA6 -0.0002290 8882 GTEx DepMap Descartes 0.00 0.00
SLC44A5 -0.0002328 8972 GTEx DepMap Descartes 0.00 0.00
EYA4 -0.0002329 8973 GTEx DepMap Descartes 0.00 0.00
SLC6A2 -0.0002377 9078 GTEx DepMap Descartes 0.03 2.24
ALK -0.0002418 9157 GTEx DepMap Descartes 0.00 0.00
CNKSR2 -0.0002426 9180 GTEx DepMap Descartes 0.00 0.00
TMEM132C -0.0002428 9184 GTEx DepMap Descartes 0.00 0.00
RYR2 -0.0002463 9255 GTEx DepMap Descartes 0.00 0.00
SYNPO2 -0.0002589 9521 GTEx DepMap Descartes 0.05 0.81
MARCH11 -0.0002791 9866 GTEx DepMap Descartes 0.01 NA
RBFOX1 -0.0002821 9917 GTEx DepMap Descartes 0.05 3.44
RGMB -0.0003202 10517 GTEx DepMap Descartes 0.07 3.77
ELAVL2 -0.0003341 10689 GTEx DepMap Descartes 0.08 4.04
NTRK1 -0.0003704 11090 GTEx DepMap Descartes 0.08 8.38
TMEFF2 -0.0003729 11115 GTEx DepMap Descartes 0.05 3.19
TUBB2A -0.0003968 11349 GTEx DepMap Descartes 0.77 175.71
MAB21L1 -0.0003998 11370 GTEx DepMap Descartes 0.00 0.00
ISL1 -0.0004278 11593 GTEx DepMap Descartes 0.04 4.46
REEP1 -0.0004305 11612 GTEx DepMap Descartes 0.00 0.00


Descartes Vascular_endothelial markers
Top 50 marker genes of Vascular_endothelial cells in the Decartes fetal adrenal single cell map (https://atlas.brotmanbaty.org/bbi/human-gene-expression-during-development/cell/vascular_endothelial/in/adrenal)
Wilcoxon ranksum test P-value for gene set overrepresentation: 8.66e-01
Mean rank of genes in gene set: 6924.03
Median rank of genes in gene set: 8000.5
Rank on gene expression program of top 30 genes in gene set:

Genes Weight Rank GTEx DepMap Descartes Mean.Counts Mean.TPM
CYP26B1 0.0012671 257 GTEx DepMap Descartes 0.03 9.07
F8 0.0006107 584 GTEx DepMap Descartes 0.07 2.14
CRHBP 0.0005399 680 GTEx DepMap Descartes 0.13 24.30
SHE 0.0003180 1104 GTEx DepMap Descartes 0.08 1.72
CDH13 0.0000298 2709 GTEx DepMap Descartes 0.01 0.46
CEACAM1 0.0000113 2933 GTEx DepMap Descartes 0.05 11.27
EHD3 -0.0000312 3633 GTEx DepMap Descartes 0.04 1.78
HYAL2 -0.0000479 4035 GTEx DepMap Descartes 0.25 10.70
IRX3 -0.0000483 4041 GTEx DepMap Descartes 0.00 0.00
TMEM88 -0.0000649 4478 GTEx DepMap Descartes 0.16 78.90
NR5A2 -0.0000929 5247 GTEx DepMap Descartes 0.00 0.00
ESM1 -0.0000950 5313 GTEx DepMap Descartes 0.00 0.00
GALNT15 -0.0001003 5474 GTEx DepMap Descartes 0.00 NA
NOTCH4 -0.0001107 5755 GTEx DepMap Descartes 0.13 7.44
TEK -0.0001185 5984 GTEx DepMap Descartes 0.00 0.00
FLT4 -0.0001472 6793 GTEx DepMap Descartes 0.00 0.00
MYRIP -0.0001560 7045 GTEx DepMap Descartes 0.00 0.00
KDR -0.0001761 7577 GTEx DepMap Descartes 0.00 0.00
SHANK3 -0.0001909 7992 GTEx DepMap Descartes 0.03 1.22
BTNL9 -0.0001916 8009 GTEx DepMap Descartes 0.01 2.64
CDH5 -0.0001965 8138 GTEx DepMap Descartes 0.05 4.74
RASIP1 -0.0002163 8600 GTEx DepMap Descartes 0.04 3.50
CALCRL -0.0002191 8663 GTEx DepMap Descartes 0.03 1.15
CHRM3 -0.0002194 8670 GTEx DepMap Descartes 0.00 0.00
PLVAP -0.0002244 8776 GTEx DepMap Descartes 0.09 13.49
NPR1 -0.0002306 8922 GTEx DepMap Descartes 0.04 2.79
KANK3 -0.0002326 8967 GTEx DepMap Descartes 0.00 0.00
ID1 -0.0002377 9077 GTEx DepMap Descartes 0.12 19.97
SLCO2A1 -0.0002464 9258 GTEx DepMap Descartes 0.00 0.00
ROBO4 -0.0002624 9584 GTEx DepMap Descartes 0.01 1.48


Descartes stromal markers
Top 50 marker genes of stromal cells in the Decartes fetal adrenal single cell map (https://atlas.brotmanbaty.org/bbi/human-gene-expression-during-development/cell/stromal/in/adrenal)
Wilcoxon ranksum test P-value for gene set overrepresentation: 9.37e-01
Mean rank of genes in gene set: 7108.73
Median rank of genes in gene set: 7694.5
Rank on gene expression program of top 30 genes in gene set:

Genes Weight Rank GTEx DepMap Descartes Mean.Counts Mean.TPM
DKK2 0.0006814 528 GTEx DepMap Descartes 0.03 3.65
COL6A3 0.0001524 1754 GTEx DepMap Descartes 0.25 8.79
ACTA2 -0.0000089 3198 GTEx DepMap Descartes 0.16 28.48
ABCA6 -0.0000090 3200 GTEx DepMap Descartes 0.11 4.71
ADAMTS2 -0.0000385 3816 GTEx DepMap Descartes 0.12 6.16
ITGA11 -0.0000440 3936 GTEx DepMap Descartes 0.01 0.53
FREM1 -0.0000453 3963 GTEx DepMap Descartes 0.01 0.53
C7 -0.0000454 3967 GTEx DepMap Descartes 0.16 11.23
GAS2 -0.0000660 4510 GTEx DepMap Descartes 0.00 0.00
EDNRA -0.0000671 4542 GTEx DepMap Descartes 0.04 4.11
GLI2 -0.0000781 4828 GTEx DepMap Descartes 0.00 0.00
LAMC3 -0.0000970 5376 GTEx DepMap Descartes 0.00 0.00
ABCC9 -0.0001235 6130 GTEx DepMap Descartes 0.00 0.00
SFRP2 -0.0001454 6737 GTEx DepMap Descartes 0.15 31.35
DCN -0.0001466 6773 GTEx DepMap Descartes 1.80 90.99
PCDH18 -0.0001474 6801 GTEx DepMap Descartes 0.00 0.00
IGFBP3 -0.0001547 7008 GTEx DepMap Descartes 0.35 40.73
ADAMTSL3 -0.0001631 7240 GTEx DepMap Descartes 0.05 2.31
CDH11 -0.0001658 7319 GTEx DepMap Descartes 0.04 1.44
PRICKLE1 -0.0001683 7384 GTEx DepMap Descartes 0.09 4.46
RSPO3 -0.0001712 7455 GTEx DepMap Descartes 0.07 NA
SCARA5 -0.0001799 7683 GTEx DepMap Descartes 0.21 10.68
COL27A1 -0.0001809 7706 GTEx DepMap Descartes 0.00 0.00
BICC1 -0.0001876 7892 GTEx DepMap Descartes 0.03 1.33
PDGFRA -0.0001886 7919 GTEx DepMap Descartes 0.11 4.83
COL12A1 -0.0001908 7988 GTEx DepMap Descartes 0.16 4.86
COL3A1 -0.0001914 8003 GTEx DepMap Descartes 5.25 379.15
MGP -0.0001927 8037 GTEx DepMap Descartes 1.96 444.75
CLDN11 -0.0001971 8153 GTEx DepMap Descartes 0.03 2.60
HHIP -0.0002030 8280 GTEx DepMap Descartes 0.00 0.00


Descartes sympathoblasts markers
Top 50 marker genes of sympathoblasts cells in the Decartes fetal adrenal single cell map (https://atlas.brotmanbaty.org/bbi/human-gene-expression-during-development/cell/sympathoblasts/in/adrenal)
Wilcoxon ranksum test P-value for gene set overrepresentation: 9.12e-01
Mean rank of genes in gene set: 7070.26
Median rank of genes in gene set: 6895.5
Rank on gene expression program of top 30 genes in gene set:

Genes Weight Rank GTEx DepMap Descartes Mean.Counts Mean.TPM
GALNTL6 0.0001933 1542 GTEx DepMap Descartes 0.01 2.68
ST18 0.0000948 2105 GTEx DepMap Descartes 0.01 1.63
CNTN3 0.0000153 2878 GTEx DepMap Descartes 0.01 0.46
EML6 -0.0000571 4277 GTEx DepMap Descartes 0.01 0.62
SLC24A2 -0.0000647 4474 GTEx DepMap Descartes 0.00 0.00
FGF14 -0.0000812 4913 GTEx DepMap Descartes 0.01 0.12
TIAM1 -0.0000816 4921 GTEx DepMap Descartes 0.11 5.73
SORCS3 -0.0000857 5028 GTEx DepMap Descartes 0.00 0.00
AGBL4 -0.0000866 5051 GTEx DepMap Descartes 0.00 0.00
PACRG -0.0000923 5229 GTEx DepMap Descartes 0.00 0.00
TENM1 -0.0001116 5784 GTEx DepMap Descartes 0.01 NA
PCSK2 -0.0001168 5934 GTEx DepMap Descartes 0.00 0.00
SLC35F3 -0.0001207 6045 GTEx DepMap Descartes 0.00 0.00
TBX20 -0.0001289 6280 GTEx DepMap Descartes 0.00 0.00
KSR2 -0.0001298 6308 GTEx DepMap Descartes 0.00 0.00
SPOCK3 -0.0001306 6333 GTEx DepMap Descartes 0.01 3.30
DGKK -0.0001308 6335 GTEx DepMap Descartes 0.01 0.47
GRID2 -0.0001395 6588 GTEx DepMap Descartes 0.00 0.00
CDH18 -0.0001485 6845 GTEx DepMap Descartes 0.01 0.74
ARC -0.0001521 6946 GTEx DepMap Descartes 0.04 6.89
ROBO1 -0.0001532 6973 GTEx DepMap Descartes 0.05 2.45
CCSER1 -0.0001560 7044 GTEx DepMap Descartes 0.03 NA
CDH12 -0.0001579 7098 GTEx DepMap Descartes 0.00 0.00
GRM7 -0.0001584 7112 GTEx DepMap Descartes 0.00 0.00
LAMA3 -0.0001723 7496 GTEx DepMap Descartes 0.00 0.00
NTNG1 -0.0001792 7663 GTEx DepMap Descartes 0.01 0.48
FAM155A -0.0001987 8191 GTEx DepMap Descartes 0.00 0.00
UNC80 -0.0002146 8553 GTEx DepMap Descartes 0.01 0.22
PENK -0.0002301 8911 GTEx DepMap Descartes 0.00 0.00
MGAT4C -0.0002473 9278 GTEx DepMap Descartes 0.00 0.00


Descartes erythroblasts markers
Top 50 marker genes of erythroblasts cells in the Decartes fetal adrenal single cell map (https://atlas.brotmanbaty.org/bbi/human-gene-expression-during-development/cell/erythroblasts/in/adrenal)
Wilcoxon ranksum test P-value for gene set overrepresentation: 2.55e-01
Mean rank of genes in gene set: 5831.62
Median rank of genes in gene set: 4942
Rank on gene expression program of top 30 genes in gene set:

Genes Weight Rank GTEx DepMap Descartes Mean.Counts Mean.TPM
SLC25A21 0.0025066 95 GTEx DepMap Descartes 0.00 0.00
BLVRB 0.0023589 109 GTEx DepMap Descartes 2.15 625.57
GCLC 0.0008544 415 GTEx DepMap Descartes 0.31 24.63
ABCB10 0.0005386 684 GTEx DepMap Descartes 0.11 9.35
FECH 0.0004043 892 GTEx DepMap Descartes 0.12 4.48
TMCC2 0.0000683 2324 GTEx DepMap Descartes 0.05 7.67
MARCH3 0.0000554 2458 GTEx DepMap Descartes 0.07 NA
SOX6 0.0000173 2848 GTEx DepMap Descartes 0.03 1.00
ALAS2 -0.0000109 3238 GTEx DepMap Descartes 0.04 2.76
SNCA -0.0000202 3402 GTEx DepMap Descartes 0.09 6.79
RGS6 -0.0000415 3880 GTEx DepMap Descartes 0.00 0.00
CAT -0.0000700 4627 GTEx DepMap Descartes 0.44 68.58
SLC4A1 -0.0000748 4741 GTEx DepMap Descartes 0.00 0.00
TRAK2 -0.0000768 4787 GTEx DepMap Descartes 0.12 3.57
RHD -0.0000824 4942 GTEx DepMap Descartes 0.00 0.00
TFR2 -0.0001033 5554 GTEx DepMap Descartes 0.01 0.50
SPTB -0.0001294 6293 GTEx DepMap Descartes 0.00 0.00
GYPC -0.0001831 7764 GTEx DepMap Descartes 0.84 159.85
MICAL2 -0.0002048 8312 GTEx DepMap Descartes 0.09 3.50
SPECC1 -0.0002108 8450 GTEx DepMap Descartes 0.07 2.59
CPOX -0.0002135 8532 GTEx DepMap Descartes 0.04 5.08
ANK1 -0.0002258 8803 GTEx DepMap Descartes 0.00 0.00
DENND4A -0.0002543 9416 GTEx DepMap Descartes 0.11 5.18
SELENBP1 -0.0002687 9700 GTEx DepMap Descartes 0.03 2.68
XPO7 -0.0002780 9853 GTEx DepMap Descartes 0.05 3.73
TSPAN5 -0.0003935 11313 GTEx DepMap Descartes 0.03 1.13
EPB41 -0.0004260 11582 GTEx DepMap Descartes 0.12 6.40
RAPGEF2 -0.0004372 11660 GTEx DepMap Descartes 0.07 2.65
SLC25A37 -0.0008080 12443 GTEx DepMap Descartes 0.24 21.30
NA NA NA NA NA NA NA NA


Descartes myeloid markers
Top 50 marker genes of myeloid cells in the Decartes fetal adrenal single cell map (https://atlas.brotmanbaty.org/bbi/human-gene-expression-during-development/cell/myeloid/in/adrenal)
Wilcoxon ranksum test P-value for gene set overrepresentation: 1.82e-21
Mean rank of genes in gene set: 734.18
Median rank of genes in gene set: 195
Rank on gene expression program of top 30 genes in gene set:

Genes Weight Rank GTEx DepMap Descartes Mean.Counts Mean.TPM
MS4A4A 0.0092341 6 GTEx DepMap Descartes 2.28 511.83
LGMN 0.0085598 8 GTEx DepMap Descartes 5.17 947.26
SLCO2B1 0.0060034 15 GTEx DepMap Descartes 1.15 62.28
CD14 0.0059587 16 GTEx DepMap Descartes 5.93 1244.79
CTSD 0.0058512 17 GTEx DepMap Descartes 15.04 1973.59
ABCA1 0.0045656 28 GTEx DepMap Descartes 0.91 26.52
AXL 0.0043851 33 GTEx DepMap Descartes 1.35 102.54
CTSB 0.0043173 36 GTEx DepMap Descartes 13.69 1058.25
MSR1 0.0042760 37 GTEx DepMap Descartes 1.08 106.93
SLC1A3 0.0042432 39 GTEx DepMap Descartes 0.51 44.66
SPP1 0.0041260 40 GTEx DepMap Descartes 43.84 5713.17
MERTK 0.0032629 64 GTEx DepMap Descartes 0.47 49.82
CTSC 0.0032496 65 GTEx DepMap Descartes 4.79 216.48
CD163 0.0027368 81 GTEx DepMap Descartes 1.21 104.75
FGL2 0.0023107 112 GTEx DepMap Descartes 2.68 239.86
CSF1R 0.0020492 134 GTEx DepMap Descartes 1.63 136.03
CD74 0.0019828 140 GTEx DepMap Descartes 110.08 10948.14
TGFBI 0.0015656 191 GTEx DepMap Descartes 1.68 93.13
RGL1 0.0015570 193 GTEx DepMap Descartes 0.61 40.90
CPVL 0.0015126 197 GTEx DepMap Descartes 2.15 374.48
CTSS 0.0014696 203 GTEx DepMap Descartes 7.85 621.76
CST3 0.0014504 207 GTEx DepMap Descartes 30.91 3166.95
IFNGR1 0.0012703 255 GTEx DepMap Descartes 2.25 318.01
ADAP2 0.0010291 336 GTEx DepMap Descartes 0.53 47.05
CD163L1 0.0008949 393 GTEx DepMap Descartes 0.37 31.55
MARCH1 0.0008749 403 GTEx DepMap Descartes 0.75 NA
WWP1 0.0008714 406 GTEx DepMap Descartes 0.36 36.15
SLC9A9 0.0007814 458 GTEx DepMap Descartes 0.28 22.95
ATP8B4 0.0007128 501 GTEx DepMap Descartes 0.17 14.29
CYBB 0.0006052 591 GTEx DepMap Descartes 2.15 166.56


Descartes Schwann markers
Top 50 marker genes of Schwann cells in the Decartes fetal adrenal single cell map (https://atlas.brotmanbaty.org/bbi/human-gene-expression-during-development/cell/schwann/in/adrenal)
Wilcoxon ranksum test P-value for gene set overrepresentation: 3.80e-01
Mean rank of genes in gene set: 6107.91
Median rank of genes in gene set: 6199
Rank on gene expression program of top 30 genes in gene set:

Genes Weight Rank GTEx DepMap Descartes Mean.Counts Mean.TPM
KCTD12 0.0018359 159 GTEx DepMap Descartes 0.80 44.64
STARD13 0.0005709 630 GTEx DepMap Descartes 0.08 4.62
MARCKS 0.0004116 875 GTEx DepMap Descartes 2.81 209.22
VIM 0.0003954 909 GTEx DepMap Descartes 11.04 1041.40
MPZ 0.0003071 1129 GTEx DepMap Descartes 0.05 7.03
GAS7 0.0002318 1383 GTEx DepMap Descartes 0.39 19.53
SOX5 0.0002172 1440 GTEx DepMap Descartes 0.01 0.82
EDNRB 0.0001265 1890 GTEx DepMap Descartes 0.00 0.00
DST 0.0000557 2453 GTEx DepMap Descartes 0.55 8.69
IL1RAPL2 0.0000530 2482 GTEx DepMap Descartes 0.00 0.00
OLFML2A 0.0000175 2846 GTEx DepMap Descartes 0.07 1.95
SLC35F1 -0.0000108 3236 GTEx DepMap Descartes 0.00 0.00
MDGA2 -0.0000256 3515 GTEx DepMap Descartes 0.00 0.00
COL25A1 -0.0000315 3643 GTEx DepMap Descartes 0.00 0.00
HMGA2 -0.0000475 4021 GTEx DepMap Descartes 0.00 0.00
GRIK3 -0.0000576 4299 GTEx DepMap Descartes 0.00 0.00
PLP1 -0.0000618 4389 GTEx DepMap Descartes 0.03 2.43
PMP22 -0.0000683 4570 GTEx DepMap Descartes 1.43 216.75
IL1RAPL1 -0.0000966 5366 GTEx DepMap Descartes 0.00 0.00
ADAMTS5 -0.0000967 5369 GTEx DepMap Descartes 0.41 16.32
COL5A2 -0.0001131 5820 GTEx DepMap Descartes 0.32 14.10
NRXN3 -0.0001210 6055 GTEx DepMap Descartes 0.00 0.00
COL18A1 -0.0001309 6343 GTEx DepMap Descartes 0.07 4.73
ERBB3 -0.0001511 6911 GTEx DepMap Descartes 0.00 0.00
PAG1 -0.0001589 7129 GTEx DepMap Descartes 0.47 13.62
FIGN -0.0001642 7278 GTEx DepMap Descartes 0.00 0.00
XKR4 -0.0001680 7375 GTEx DepMap Descartes 0.00 0.00
SORCS1 -0.0001798 7681 GTEx DepMap Descartes 0.00 0.00
PTPRZ1 -0.0001831 7765 GTEx DepMap Descartes 0.00 0.00
EGFLAM -0.0001903 7968 GTEx DepMap Descartes 0.00 0.00


Descartes Megakaryocytes markers
Top 50 marker genes of Megakaryocytes cells in the Decartes fetal adrenal single cell map (https://atlas.brotmanbaty.org/bbi/human-gene-expression-during-development/cell/megakaryocytes/in/adrenal)
Wilcoxon ranksum test P-value for gene set overrepresentation: 3.69e-01
Mean rank of genes in gene set: 6094.4
Median rank of genes in gene set: 6079
Rank on gene expression program of top 30 genes in gene set:

Genes Weight Rank GTEx DepMap Descartes Mean.Counts Mean.TPM
CD84 0.0030345 74 GTEx DepMap Descartes 1.03 51.21
CD9 0.0024216 100 GTEx DepMap Descartes 1.43 246.13
MCTP1 0.0005626 641 GTEx DepMap Descartes 0.11 9.60
LIMS1 0.0004896 744 GTEx DepMap Descartes 2.45 161.50
UBASH3B 0.0004883 747 GTEx DepMap Descartes 0.27 11.28
STOM 0.0003606 977 GTEx DepMap Descartes 0.52 67.82
STON2 0.0003435 1039 GTEx DepMap Descartes 0.11 6.48
ZYX 0.0001766 1626 GTEx DepMap Descartes 1.09 127.08
PLEK 0.0001223 1923 GTEx DepMap Descartes 1.80 197.80
ACTN1 0.0001076 2011 GTEx DepMap Descartes 0.52 28.64
PSTPIP2 0.0000878 2156 GTEx DepMap Descartes 0.35 45.90
FLI1 0.0000448 2564 GTEx DepMap Descartes 0.27 17.03
ITGA2B -0.0000252 3511 GTEx DepMap Descartes 0.00 0.00
TGFB1 -0.0000419 3886 GTEx DepMap Descartes 0.84 99.08
LTBP1 -0.0000490 4059 GTEx DepMap Descartes 0.03 0.70
ARHGAP6 -0.0000547 4204 GTEx DepMap Descartes 0.00 0.00
GP1BA -0.0000613 4375 GTEx DepMap Descartes 0.01 0.56
ANGPT1 -0.0000727 4687 GTEx DepMap Descartes 0.00 0.00
TLN1 -0.0000776 4810 GTEx DepMap Descartes 1.25 44.96
GSN -0.0000964 5361 GTEx DepMap Descartes 2.40 104.29
TUBB1 -0.0001011 5503 GTEx DepMap Descartes 0.00 0.00
INPP4B -0.0001213 6066 GTEx DepMap Descartes 0.03 0.49
RAP1B -0.0001218 6079 GTEx DepMap Descartes 1.12 25.71
SLC24A3 -0.0001246 6163 GTEx DepMap Descartes 0.00 0.00
DOK6 -0.0001260 6206 GTEx DepMap Descartes 0.00 0.00
MYLK -0.0001266 6228 GTEx DepMap Descartes 0.03 0.55
ITGB3 -0.0001584 7114 GTEx DepMap Descartes 0.00 0.00
TRPC6 -0.0001594 7144 GTEx DepMap Descartes 0.00 0.00
MED12L -0.0001731 7513 GTEx DepMap Descartes 0.00 0.00
FERMT3 -0.0001744 7544 GTEx DepMap Descartes 0.64 69.44


Descartes Lyphoid markers
Top 50 marker genes of Lyphoid cells in the Decartes fetal adrenal single cell map (https://atlas.brotmanbaty.org/bbi/human-gene-expression-during-development/cell/lymphoid/in/adrenal)
Wilcoxon ranksum test P-value for gene set overrepresentation: 1.00e+00
Mean rank of genes in gene set: 9493.38
Median rank of genes in gene set: 10737
Rank on gene expression program of top 30 genes in gene set:

Genes Weight Rank GTEx DepMap Descartes Mean.Counts Mean.TPM
ITPKB 0.0004761 760 GTEx DepMap Descartes 0.13 10.45
ARID5B 0.0003295 1067 GTEx DepMap Descartes 0.68 30.72
B2M 0.0002897 1172 GTEx DepMap Descartes 105.72 15324.92
PLEKHA2 0.0001668 1669 GTEx DepMap Descartes 0.29 14.95
MBNL1 -0.0000196 3396 GTEx DepMap Descartes 1.04 57.36
BCL2 -0.0000513 4111 GTEx DepMap Descartes 0.13 4.51
DOCK10 -0.0001161 5915 GTEx DepMap Descartes 0.28 12.42
WIPF1 -0.0001182 5973 GTEx DepMap Descartes 0.79 60.27
TOX -0.0002127 8506 GTEx DepMap Descartes 0.08 9.48
SKAP1 -0.0002183 8643 GTEx DepMap Descartes 0.09 15.01
PDE3B -0.0002253 8794 GTEx DepMap Descartes 0.11 5.67
PITPNC1 -0.0002569 9477 GTEx DepMap Descartes 0.15 4.51
PRKCH -0.0002759 9820 GTEx DepMap Descartes 0.11 24.66
MSN -0.0002764 9827 GTEx DepMap Descartes 1.12 103.61
NCALD -0.0002825 9931 GTEx DepMap Descartes 0.04 2.82
CELF2 -0.0002926 10101 GTEx DepMap Descartes 1.23 54.09
PTPRC -0.0002967 10166 GTEx DepMap Descartes 2.49 179.53
SAMD3 -0.0003033 10278 GTEx DepMap Descartes 0.01 12.86
FOXP1 -0.0003052 10313 GTEx DepMap Descartes 0.65 26.63
RAP1GAP2 -0.0003308 10648 GTEx DepMap Descartes 0.04 2.04
ARHGAP15 -0.0003359 10713 GTEx DepMap Descartes 0.27 29.03
BACH2 -0.0003402 10761 GTEx DepMap Descartes 0.04 1.08
LEF1 -0.0003636 11015 GTEx DepMap Descartes 0.03 2.02
CCL5 -0.0003757 11144 GTEx DepMap Descartes 0.27 53.74
ABLIM1 -0.0003954 11333 GTEx DepMap Descartes 0.13 5.49
RCSD1 -0.0004059 11434 GTEx DepMap Descartes 0.49 55.05
IKZF1 -0.0004167 11516 GTEx DepMap Descartes 0.37 20.93
SCML4 -0.0004208 11545 GTEx DepMap Descartes 0.03 0.65
STK39 -0.0004244 11569 GTEx DepMap Descartes 0.01 1.09
SORL1 -0.0004251 11574 GTEx DepMap Descartes 0.24 8.45



Below shows the ranks on this GEP for immune marker gene lists curated by CellTypist (https://www.celltypist.org/encyclopedia).
  High ranks indicate this gene is a driver of this GEP.
  These curated gene list are ranked by P-value (on this GEP) of their constituent genes.
  The Mean Count column shows the mean read count in cells scoring highly (H > 50) on this gene expression program.


Macrophages: Macrophages (model markers)
specialised mononuclear phagocytic cells which recognise:
Wilcoxon ranksum test P-value for gene set overrepresentation: 4.16e-04
Mean rank of genes in gene set: 222.25
Rank on gene expression program of genes in gene set:
Genes Weight Rank GTEx DepMap Decartes Mean.Counts Mean.TPM
APOC1 0.0128542 1 GTEx DepMap Descartes 47.08 24531.14
APOE 0.0111055 2 GTEx DepMap Descartes 66.44 17878.05
CD5L 0.0087501 7 GTEx DepMap Descartes 2.08 533.44
FTH1 0.0004082 879 GTEx DepMap Descartes 142.97 36567.77


Monocytes: Monocytes (model markers)
myeloid mononuclear recirculating leukocytes that are capable of differentiating into macrophages and myeloid lineage dendritic cells:
Wilcoxon ranksum test P-value for gene set overrepresentation: 1.89e-03
Mean rank of genes in gene set: 219.33
Rank on gene expression program of genes in gene set:

Genes Weight Rank GTEx DepMap Decartes Mean.Counts Mean.TPM
SAT1 0.0022740 115 GTEx DepMap Descartes 39.45 11853.18
TYROBP 0.0013596 230 GTEx DepMap Descartes 19.45 10624.54
NEAT1 0.0011103 313 GTEx DepMap Descartes 15.52 260.43


DC: Transitional DC (curated markers)
immature dendritic cells which follow dendritic cell precursors and are committed to the mature dendritic cells:
Wilcoxon ranksum test P-value for gene set overrepresentation: 7.52e-03
Mean rank of genes in gene set: 47
Rank on gene expression program of genes in gene set:

Genes Weight Rank GTEx DepMap Decartes Mean.Counts Mean.TPM
AXL 0.0043851 33 GTEx DepMap Descartes 1.35 102.54
KLF4 0.0033425 61 GTEx DepMap Descartes 2.95 307.51