QQ-plot of gene loadings, averaged over both independent splits of the data
This plot highlights the relative contribution of each gene to the GEP
Top genes driving this program.
Note: Decartes website is buggy, try refreshing. Also, Decartes fetal adrenal data have been collected at specific time points (89-122 days), all possible cell types of interest may not be represented, do not overinterpret.
The Mean Count column shows the mean read count in cells scoring highly (H > 50) on this gene expression program.
| Gene | Loading | Gene.Name | GTEx | DepMap | Descartes | Mean.Counts | Mean.Tpm | |
|---|---|---|---|---|---|---|---|---|
| 1 | EEF1A1 | 0.0106823 | eukaryotic translation elongation factor 1 alpha 1 | GTEx | DepMap | Descartes | 86.72 | 5038.01 |
| 2 | RPL13 | 0.0089587 | ribosomal protein L13 | GTEx | DepMap | Descartes | 78.89 | 4762.46 |
| 3 | RPSA | 0.0072813 | ribosomal protein SA | GTEx | DepMap | Descartes | 22.31 | 2626.83 |
| 4 | EIF3E | 0.0072348 | eukaryotic translation initiation factor 3 subunit E | GTEx | DepMap | Descartes | 4.20 | 523.24 |
| 5 | PABPC1 | 0.0068550 | poly(A) binding protein cytoplasmic 1 | GTEx | DepMap | Descartes | 7.06 | 687.55 |
| 6 | EEF2 | 0.0063330 | eukaryotic translation elongation factor 2 | GTEx | DepMap | Descartes | 10.43 | 747.45 |
| 7 | TPT1 | 0.0057085 | tumor protein, translationally-controlled 1 | GTEx | DepMap | Descartes | 38.23 | 2322.34 |
| 8 | TOMM7 | 0.0052509 | translocase of outer mitochondrial membrane 7 | GTEx | DepMap | Descartes | 5.01 | 1761.44 |
| 9 | COX7C | 0.0050795 | cytochrome c oxidase subunit 7C | GTEx | DepMap | Descartes | 9.08 | 1350.54 |
| 10 | HNRNPA1 | 0.0049304 | heterogeneous nuclear ribonucleoprotein A1 | GTEx | DepMap | Descartes | 12.23 | 653.30 |
| 11 | EEF1D | 0.0047354 | eukaryotic translation elongation factor 1 delta | GTEx | DepMap | Descartes | 7.01 | 584.74 |
| 12 | PFDN5 | 0.0044662 | prefoldin subunit 5 | GTEx | DepMap | Descartes | 8.82 | 1110.39 |
| 13 | TMSB4X | 0.0044288 | thymosin beta 4 X-linked | GTEx | DepMap | Descartes | 86.88 | 14274.19 |
| 14 | EIF3L | 0.0043609 | eukaryotic translation initiation factor 3 subunit L | GTEx | DepMap | Descartes | 4.24 | 263.92 |
| 15 | FXYD5 | 0.0042855 | FXYD domain containing ion transport regulator 5 | GTEx | DepMap | Descartes | 2.11 | 446.38 |
| 16 | UQCRB | 0.0042468 | ubiquinol-cytochrome c reductase binding protein | GTEx | DepMap | Descartes | 5.21 | 152.77 |
| 17 | COMMD6 | 0.0042141 | COMM domain containing 6 | GTEx | DepMap | Descartes | 4.92 | 690.65 |
| 18 | RPL18 | 0.0040579 | ribosomal protein L18 | GTEx | DepMap | Descartes | 27.98 | 1868.19 |
| 19 | CCR7 | 0.0039314 | C-C motif chemokine receptor 7 | GTEx | DepMap | Descartes | 1.13 | 176.38 |
| 20 | EIF3H | 0.0037740 | eukaryotic translation initiation factor 3 subunit H | GTEx | DepMap | Descartes | 3.07 | 189.36 |
| 21 | CD52 | 0.0036936 | CD52 molecule | GTEx | DepMap | Descartes | 5.11 | 3009.70 |
| 22 | ARHGDIB | 0.0034273 | Rho GDP dissociation inhibitor beta | GTEx | DepMap | Descartes | 3.84 | 1050.64 |
| 23 | COX4I1 | 0.0034254 | cytochrome c oxidase subunit 4I1 | GTEx | DepMap | Descartes | 7.10 | 455.26 |
| 24 | ARID5A | 0.0032973 | AT-rich interaction domain 5A | GTEx | DepMap | Descartes | 0.46 | 55.40 |
| 25 | CIRBP | 0.0032095 | cold inducible RNA binding protein | GTEx | DepMap | Descartes | 5.21 | 284.71 |
| 26 | PLAC8 | 0.0031830 | placenta associated 8 | GTEx | DepMap | Descartes | 0.84 | 123.59 |
| 27 | CREM | 0.0031153 | cAMP responsive element modulator | GTEx | DepMap | Descartes | 1.76 | 265.24 |
| 28 | NBEAL1 | 0.0030343 | neurobeachin like 1 | GTEx | DepMap | Descartes | 0.60 | 14.00 |
| 29 | LTB | 0.0030102 | lymphotoxin beta | GTEx | DepMap | Descartes | 8.52 | 2021.08 |
| 30 | CD7 | 0.0030089 | CD7 molecule | GTEx | DepMap | Descartes | 2.23 | 399.72 |
| 31 | SELL | 0.0029603 | selectin L | GTEx | DepMap | Descartes | 0.73 | 103.10 |
| 32 | GYPC | 0.0029343 | glycophorin C (Gerbich blood group) | GTEx | DepMap | Descartes | 1.38 | 264.53 |
| 33 | LEF1 | 0.0028812 | lymphoid enhancer binding factor 1 | GTEx | DepMap | Descartes | 0.53 | 52.78 |
| 34 | EIF3F | 0.0028574 | eukaryotic translation initiation factor 3 subunit F | GTEx | DepMap | Descartes | 2.97 | 96.13 |
| 35 | NAP1L1 | 0.0028470 | nucleosome assembly protein 1 like 1 | GTEx | DepMap | Descartes | 4.43 | 74.34 |
| 36 | GPSM3 | 0.0027909 | G protein signaling modulator 3 | GTEx | DepMap | Descartes | 1.35 | 314.66 |
| 37 | FBL | 0.0027392 | fibrillarin | GTEx | DepMap | Descartes | 0.97 | 178.53 |
| 38 | LYPD3 | 0.0027368 | LY6/PLAUR domain containing 3 | GTEx | DepMap | Descartes | 0.26 | 60.09 |
| 39 | EIF4A2 | 0.0027188 | eukaryotic translation initiation factor 4A2 | GTEx | DepMap | Descartes | 3.98 | 154.61 |
| 40 | UXT | 0.0027043 | ubiquitously expressed prefoldin like chaperone | GTEx | DepMap | Descartes | 1.78 | 570.76 |
| 41 | TMSB10 | 0.0026977 | thymosin beta 10 | GTEx | DepMap | Descartes | 49.95 | 24434.33 |
| 42 | ARPC1B | 0.0026768 | actin related protein ⅔ complex subunit 1B | GTEx | DepMap | Descartes | 1.94 | 303.30 |
| 43 | PFN1 | 0.0026681 | profilin 1 | GTEx | DepMap | Descartes | 10.09 | 2381.94 |
| 44 | SNRPD2 | 0.0026083 | small nuclear ribonucleoprotein D2 polypeptide | GTEx | DepMap | Descartes | 3.22 | 923.64 |
| 45 | CORO1A | 0.0026060 | coronin 1A | GTEx | DepMap | Descartes | 2.74 | 300.75 |
| 46 | ALDOA | 0.0025708 | aldolase, fructose-bisphosphate A | GTEx | DepMap | Descartes | 2.78 | 172.76 |
| 47 | BTG1 | 0.0025014 | BTG anti-proliferation factor 1 | GTEx | DepMap | Descartes | 8.63 | 644.16 |
| 48 | OST4 | 0.0025002 | oligosaccharyltransferase complex subunit 4, non-catalytic | GTEx | DepMap | Descartes | 4.17 | 1900.18 |
| 49 | RGCC | 0.0024467 | regulator of cell cycle | GTEx | DepMap | Descartes | 2.73 | NA |
| 50 | OXA1L | 0.0024082 | OXA1L mitochondrial inner membrane protein | GTEx | DepMap | Descartes | 0.58 | 46.81 |
UMAP plots showing activity of gene expression program identified in GEP 3. Translation (Activity Program):
CNV Data procured from inferCNV.
Outer tracks are putative CNV regions (gains = red, losses = blue) for each patient
Inner track is expression data representing:
The top cells expressing this GEP (purple)
Random cells (n =50) from the reference set used in inferCNV (orange)
Gene set Enrichments for this program, caculated from top 50 genes
mSigDB Cell Types Gene Set:
| P-value | OR | Lower 95% CI | FDR | FWER | Genes Found | Gene Set Size | |
|---|---|---|---|---|---|---|---|
| RUBENSTEIN_SKELETAL_MUSCLE_T_CELLS | 9.08e-46 | 135.69 | 72.54 | 6.09e-43 | 6.09e-43 | 31EEF1A1, RPL13, RPSA, EIF3E, PABPC1, TPT1, TOMM7, COX7C, HNRNPA1, EEF1D, PFDN5, TMSB4X, EIF3L, FXYD5, UQCRB, COMMD6, RPL18, EIF3H, CD52, ARHGDIB, PLAC8, LTB, CD7, SELL, EIF3F, UXT, ARPC1B, PFN1, CORO1A, BTG1, OST4 |
181 |
| RUBENSTEIN_SKELETAL_MUSCLE_SATELLITE_CELLS | 5.86e-23 | 34.09 | 18.35 | 1.31e-20 | 3.93e-20 | 22EEF1A1, RPL13, RPSA, EIF3E, PABPC1, EEF2, TPT1, TOMM7, HNRNPA1, EEF1D, EIF3L, UQCRB, COMMD6, RPL18, EIF3H, COX4I1, CIRBP, EIF3F, EIF4A2, UXT, SNRPD2, ALDOA |
310 |
| FAN_OVARY_CL12_T_LYMPHOCYTE_NK_CELL_2 | 2.75e-17 | 36.67 | 18.20 | 2.63e-15 | 1.84e-14 | 15PABPC1, TPT1, TMSB4X, FXYD5, CD52, ARHGDIB, CREM, LTB, CD7, ARPC1B, PFN1, CORO1A, BTG1, OST4, RGCC |
161 |
| HAY_BONE_MARROW_NAIVE_T_CELL | 6.26e-25 | 33.07 | 18.04 | 2.10e-22 | 4.20e-22 | 25EEF1A1, RPL13, RPSA, EIF3E, PABPC1, TPT1, TOMM7, COX7C, EEF1D, FXYD5, COMMD6, RPL18, CCR7, EIF3H, ARID5A, CREM, NBEAL1, LTB, LEF1, GPSM3, LYPD3, EIF4A2, SNRPD2, BTG1, RGCC |
403 |
| CUI_DEVELOPING_HEART_C9_B_T_CELL | 5.74e-16 | 34.45 | 16.78 | 4.81e-14 | 3.85e-13 | 14PABPC1, FXYD5, CD52, ARHGDIB, PLAC8, LTB, CD7, SELL, LEF1, GPSM3, ARPC1B, CORO1A, BTG1, RGCC |
155 |
| RUBENSTEIN_SKELETAL_MUSCLE_MYELOID_CELLS | 6.62e-22 | 30.24 | 16.29 | 1.11e-19 | 4.44e-19 | 22EEF1A1, EIF3E, PABPC1, COX7C, PFDN5, TMSB4X, EIF3L, FXYD5, COMMD6, CD52, ARHGDIB, COX4I1, PLAC8, EIF3F, NAP1L1, GPSM3, TMSB10, ARPC1B, PFN1, CORO1A, ALDOA, OST4 |
347 |
| ZHENG_CORD_BLOOD_C8_PUTATIVE_LYMPHOID_PRIMED_MULTIPOTENT_PROGENITOR_2 | 3.50e-12 | 35.87 | 15.49 | 1.24e-10 | 2.35e-09 | 10TPT1, HNRNPA1, PFDN5, TMSB4X, COMMD6, CD52, SELL, GYPC, NAP1L1, SNRPD2 |
97 |
| RUBENSTEIN_SKELETAL_MUSCLE_B_CELLS | 3.66e-15 | 29.80 | 14.56 | 2.05e-13 | 2.46e-12 | 14EEF1A1, RPL13, RPSA, PABPC1, COX7C, EEF1D, PFDN5, RPL18, CD52, PLAC8, LTB, SELL, EIF4A2, BTG1 |
177 |
| FAN_EMBRYONIC_CTX_BRAIN_NAIVE_LIKE_T_CELL | 2.46e-14 | 30.26 | 14.45 | 1.27e-12 | 1.65e-11 | 13EEF1D, FXYD5, CCR7, CD52, ARHGDIB, PLAC8, LTB, CD7, SELL, LEF1, GPSM3, CORO1A, RGCC |
158 |
| FAN_EMBRYONIC_CTX_BIG_GROUPS_BRAIN_IMMUNE | 3.33e-13 | 28.99 | 13.49 | 1.31e-11 | 2.23e-10 | 12EEF1D, FXYD5, CD52, ARHGDIB, PLAC8, LTB, CD7, SELL, GPSM3, ARPC1B, PFN1, CORO1A |
148 |
| DESCARTES_FETAL_STOMACH_LYMPHOID_CELLS | 9.58e-10 | 32.13 | 12.59 | 2.07e-08 | 6.43e-07 | 8CCR7, CD52, LTB, CD7, SELL, LEF1, GPSM3, CORO1A |
82 |
| MENON_FETAL_KIDNEY_10_IMMUNE_CELLS | 1.06e-09 | 31.71 | 12.43 | 2.22e-08 | 7.09e-07 | 8PABPC1, TPT1, TMSB4X, ARHGDIB, TMSB10, ARPC1B, PFN1, CORO1A |
83 |
| LAKE_ADULT_KIDNEY_C9_THIN_ASCENDING_LIMB | 2.23e-15 | 23.34 | 11.87 | 1.49e-13 | 1.49e-12 | 16EEF1A1, RPL13, RPSA, PABPC1, EEF2, TPT1, COX7C, EEF1D, PFDN5, RPL18, COX4I1, CIRBP, NAP1L1, EIF4A2, ALDOA, BTG1 |
268 |
| TRAVAGLINI_LUNG_PROXIMAL_BASAL_CELL | 2.41e-20 | 20.72 | 11.34 | 3.23e-18 | 1.62e-17 | 25EEF1A1, RPL13, RPSA, EIF3E, PABPC1, EEF2, TPT1, HNRNPA1, EEF1D, EIF3L, UQCRB, COMMD6, RPL18, EIF3H, COX4I1, CIRBP, GYPC, EIF3F, NAP1L1, FBL, EIF4A2, UXT, SNRPD2, ALDOA, OXA1L |
629 |
| RUBENSTEIN_SKELETAL_MUSCLE_NK_CELLS | 1.05e-13 | 22.94 | 11.25 | 4.69e-12 | 7.04e-11 | 14RPSA, PABPC1, HNRNPA1, TMSB4X, CD52, ARHGDIB, PLAC8, CD7, GPSM3, ARPC1B, PFN1, CORO1A, BTG1, OST4 |
226 |
| LAKE_ADULT_KIDNEY_C18_COLLECTING_DUCT_PRINCIPAL_CELLS_MEDULLA | 1.81e-15 | 21.12 | 10.91 | 1.35e-13 | 1.21e-12 | 17EEF1A1, RPL13, RPSA, PABPC1, EEF2, TPT1, COX7C, EEF1D, PFDN5, TMSB4X, RPL18, COX4I1, CREM, NAP1L1, EIF4A2, TMSB10, ALDOA |
322 |
| LAKE_ADULT_KIDNEY_C7_PROXIMAL_TUBULE_EPITHELIAL_CELLS_S3 | 9.53e-11 | 24.98 | 10.89 | 2.37e-09 | 6.40e-08 | 10EEF1A1, RPL13, RPSA, PABPC1, EEF2, TPT1, COX7C, RPL18, COX4I1, TMSB10 |
135 |
| FAN_OVARY_CL2_PUTATIVE_EARLY_ATRETIC_FOLLICLE_THECAL_CELL_1 | 4.00e-09 | 26.41 | 10.42 | 7.66e-08 | 2.68e-06 | 8TOMM7, PFDN5, UQCRB, COMMD6, CIRBP, NBEAL1, SNRPD2, OST4 |
98 |
| MANNO_MIDBRAIN_NEUROTYPES_BASAL | 2.30e-08 | 28.24 | 10.37 | 4.17e-07 | 1.54e-05 | 7EEF1A1, RPL13, EEF2, PFDN5, UQCRB, COX4I1, EIF4A2 |
79 |
| LAKE_ADULT_KIDNEY_C8_DECENDING_THIN_LIMB | 8.56e-14 | 20.37 | 10.20 | 4.10e-12 | 5.74e-11 | 15EEF1A1, RPL13, RPSA, PABPC1, EEF2, TPT1, EEF1D, PFDN5, RPL18, CIRBP, NAP1L1, EIF4A2, TMSB10, ALDOA, BTG1 |
278 |
Dowload full table
mSigDB Hallmark Gene Sets:
| P-value | OR | Lower 95% CI | FDR | FWER | Genes Found | Gene Set Size | |
|---|---|---|---|---|---|---|---|
| HALLMARK_MYC_TARGETS_V1 | 1.24e-04 | 8.78 | 3.02 | 6.18e-03 | 6.18e-03 | 6PABPC1, HNRNPA1, RPL18, NAP1L1, FBL, SNRPD2 |
200 |
| HALLMARK_OXIDATIVE_PHOSPHORYLATION | 7.71e-03 | 5.55 | 1.44 | 1.93e-01 | 3.85e-01 | 4COX7C, UQCRB, COX4I1, OXA1L |
200 |
| HALLMARK_HYPOXIA | 4.35e-02 | 4.05 | 0.80 | 7.25e-01 | 1.00e+00 | 3PLAC8, ALDOA, BTG1 |
200 |
| HALLMARK_UNFOLDED_PROTEIN_RESPONSE | 7.33e-02 | 4.69 | 0.55 | 7.70e-01 | 1.00e+00 | 2EEF2, EIF4A2 |
113 |
| HALLMARK_UV_RESPONSE_UP | 1.28e-01 | 3.34 | 0.39 | 7.70e-01 | 1.00e+00 | 2ALDOA, BTG1 |
158 |
| HALLMARK_IL2_STAT5_SIGNALING | 1.83e-01 | 2.64 | 0.31 | 7.70e-01 | 1.00e+00 | 2LTB, SELL |
199 |
| HALLMARK_MTORC1_SIGNALING | 1.85e-01 | 2.63 | 0.31 | 7.70e-01 | 1.00e+00 | 2CORO1A, ALDOA |
200 |
| HALLMARK_INFLAMMATORY_RESPONSE | 1.85e-01 | 2.63 | 0.31 | 7.70e-01 | 1.00e+00 | 2CCR7, SELL |
200 |
| HALLMARK_P53_PATHWAY | 1.85e-01 | 2.63 | 0.31 | 7.70e-01 | 1.00e+00 | 2RPL18, BTG1 |
200 |
| HALLMARK_ALLOGRAFT_REJECTION | 1.85e-01 | 2.63 | 0.31 | 7.70e-01 | 1.00e+00 | 2LTB, CD7 |
200 |
| HALLMARK_WNT_BETA_CATENIN_SIGNALING | 1.54e-01 | 6.22 | 0.15 | 7.70e-01 | 1.00e+00 | 1LEF1 |
42 |
| HALLMARK_APICAL_SURFACE | 1.61e-01 | 5.93 | 0.14 | 7.70e-01 | 1.00e+00 | 1LYPD3 |
44 |
| HALLMARK_IL6_JAK_STAT3_SIGNALING | 2.93e-01 | 2.97 | 0.07 | 9.12e-01 | 1.00e+00 | 1LTB |
87 |
| HALLMARK_INTERFERON_ALPHA_RESPONSE | 3.20e-01 | 2.66 | 0.07 | 9.12e-01 | 1.00e+00 | 1SELL |
97 |
| HALLMARK_PEROXISOME | 3.39e-01 | 2.48 | 0.06 | 9.12e-01 | 1.00e+00 | 1PABPC1 |
104 |
| HALLMARK_PI3K_AKT_MTOR_SIGNALING | 3.41e-01 | 2.45 | 0.06 | 9.12e-01 | 1.00e+00 | 1PFN1 |
105 |
| HALLMARK_FATTY_ACID_METABOLISM | 4.66e-01 | 1.62 | 0.04 | 9.12e-01 | 1.00e+00 | 1ALDOA |
158 |
| HALLMARK_APOPTOSIS | 4.72e-01 | 1.59 | 0.04 | 9.12e-01 | 1.00e+00 | 1LEF1 |
161 |
| HALLMARK_MITOTIC_SPINDLE | 5.45e-01 | 1.29 | 0.03 | 9.12e-01 | 1.00e+00 | 1UXT |
199 |
| HALLMARK_TNFA_SIGNALING_VIA_NFKB | 5.47e-01 | 1.28 | 0.03 | 9.12e-01 | 1.00e+00 | 1BTG1 |
200 |
Dowload full table
KEGG Pathways:
| P-value | OR | Lower 95% CI | FDR | FWER | Genes Found | Gene Set Size | |
|---|---|---|---|---|---|---|---|
| KEGG_CARDIAC_MUSCLE_CONTRACTION | 3.74e-03 | 10.49 | 2.04 | 4.70e-01 | 6.95e-01 | 3COX7C, UQCRB, COX4I1 |
79 |
| KEGG_RIBOSOME | 5.05e-03 | 9.38 | 1.83 | 4.70e-01 | 9.39e-01 | 3RPL13, RPSA, RPL18 |
88 |
| KEGG_PARKINSONS_DISEASE | 1.45e-02 | 6.28 | 1.23 | 7.04e-01 | 1.00e+00 | 3COX7C, UQCRB, COX4I1 |
130 |
| KEGG_OXIDATIVE_PHOSPHORYLATION | 1.51e-02 | 6.18 | 1.22 | 7.04e-01 | 1.00e+00 | 3COX7C, UQCRB, COX4I1 |
132 |
| KEGG_ALZHEIMERS_DISEASE | 2.74e-02 | 4.89 | 0.96 | 1.00e+00 | 1.00e+00 | 3COX7C, UQCRB, COX4I1 |
166 |
| KEGG_HUNTINGTONS_DISEASE | 3.45e-02 | 4.46 | 0.88 | 1.00e+00 | 1.00e+00 | 3COX7C, UQCRB, COX4I1 |
182 |
| KEGG_REGULATION_OF_ACTIN_CYTOSKELETON | 5.07e-02 | 3.80 | 0.75 | 1.00e+00 | 1.00e+00 | 3TMSB4X, ARPC1B, PFN1 |
213 |
| KEGG_SPLICEOSOME | 8.94e-02 | 4.17 | 0.49 | 1.00e+00 | 1.00e+00 | 2HNRNPA1, SNRPD2 |
127 |
| KEGG_PROTEIN_EXPORT | 9.13e-02 | 11.08 | 0.26 | 1.00e+00 | 1.00e+00 | 1OXA1L |
24 |
| KEGG_PENTOSE_PHOSPHATE_PATHWAY | 1.02e-01 | 9.80 | 0.23 | 1.00e+00 | 1.00e+00 | 1ALDOA |
27 |
| KEGG_CYTOKINE_CYTOKINE_RECEPTOR_INTERACTION | 2.77e-01 | 1.98 | 0.23 | 1.00e+00 | 1.00e+00 | 2CCR7, LTB |
265 |
| KEGG_THYROID_CANCER | 1.09e-01 | 9.11 | 0.22 | 1.00e+00 | 1.00e+00 | 1LEF1 |
29 |
| KEGG_FRUCTOSE_AND_MANNOSE_METABOLISM | 1.27e-01 | 7.73 | 0.19 | 1.00e+00 | 1.00e+00 | 1ALDOA |
34 |
| KEGG_VASOPRESSIN_REGULATED_WATER_REABSORPTION | 1.61e-01 | 5.93 | 0.14 | 1.00e+00 | 1.00e+00 | 1ARHGDIB |
44 |
| KEGG_ENDOMETRIAL_CANCER | 1.87e-01 | 5.00 | 0.12 | 1.00e+00 | 1.00e+00 | 1LEF1 |
52 |
| KEGG_BASAL_CELL_CARCINOMA | 1.97e-01 | 4.72 | 0.12 | 1.00e+00 | 1.00e+00 | 1LEF1 |
55 |
| KEGG_PATHOGENIC_ESCHERICHIA_COLI_INFECTION | 2.00e-01 | 4.64 | 0.11 | 1.00e+00 | 1.00e+00 | 1ARPC1B |
56 |
| KEGG_ACUTE_MYELOID_LEUKEMIA | 2.03e-01 | 4.55 | 0.11 | 1.00e+00 | 1.00e+00 | 1LEF1 |
57 |
| KEGG_GLYCOLYSIS_GLUCONEOGENESIS | 2.19e-01 | 4.18 | 0.10 | 1.00e+00 | 1.00e+00 | 1ALDOA |
62 |
| KEGG_COLORECTAL_CANCER | 2.19e-01 | 4.18 | 0.10 | 1.00e+00 | 1.00e+00 | 1LEF1 |
62 |
Dowload full table
CHR Positional Gene Sets:
| P-value | OR | Lower 95% CI | FDR | FWER | Genes Found | Gene Set Size | |
|---|---|---|---|---|---|---|---|
| chr12q21 | 9.06e-02 | 4.13 | 0.48 | 1.00e+00 | 1.00e+00 | 2NAP1L1, BTG1 |
128 |
| chr16q24 | 9.30e-02 | 4.07 | 0.47 | 1.00e+00 | 1.00e+00 | 2RPL13, COX4I1 |
130 |
| chr8q22 | 1.22e-01 | 3.45 | 0.40 | 1.00e+00 | 1.00e+00 | 2PABPC1, UQCRB |
153 |
| chr19q13 | 6.12e-01 | 1.20 | 0.37 | 1.00e+00 | 1.00e+00 | 5FXYD5, RPL18, FBL, LYPD3, SNRPD2 |
1165 |
| chr13q14 | 2.41e-01 | 2.19 | 0.26 | 1.00e+00 | 1.00e+00 | 2TPT1, RGCC |
240 |
| chr16p11 | 2.74e-01 | 2.00 | 0.23 | 1.00e+00 | 1.00e+00 | 2CORO1A, ALDOA |
263 |
| chr8q24 | 3.56e-01 | 1.63 | 0.19 | 1.00e+00 | 1.00e+00 | 2EEF1D, EIF3H |
321 |
| chr12q13 | 6.71e-01 | 1.29 | 0.15 | 1.00e+00 | 1.00e+00 | 2HNRNPA1, PFDN5 |
407 |
| chr8q23 | 1.61e-01 | 5.93 | 0.14 | 1.00e+00 | 1.00e+00 | 1EIF3E |
44 |
| chr6p21 | 7.00e-01 | 1.12 | 0.13 | 1.00e+00 | 1.00e+00 | 2LTB, GPSM3 |
467 |
| chr6q13 | 2.00e-01 | 4.64 | 0.11 | 1.00e+00 | 1.00e+00 | 1EEF1A1 |
56 |
| chr13q22 | 2.16e-01 | 4.25 | 0.10 | 1.00e+00 | 1.00e+00 | 1COMMD6 |
61 |
| chr19p13 | 1.00e+00 | 0.68 | 0.08 | 1.00e+00 | 1.00e+00 | 2EEF2, CIRBP |
773 |
| chr4q25 | 2.93e-01 | 2.97 | 0.07 | 1.00e+00 | 1.00e+00 | 1LEF1 |
87 |
| chr7p15 | 3.17e-01 | 2.68 | 0.07 | 1.00e+00 | 1.00e+00 | 1TOMM7 |
96 |
| chr12p12 | 3.46e-01 | 2.41 | 0.06 | 1.00e+00 | 1.00e+00 | 1ARHGDIB |
107 |
| chr3q27 | 3.67e-01 | 2.24 | 0.06 | 1.00e+00 | 1.00e+00 | 1EIF4A2 |
115 |
| chr1q24 | 3.87e-01 | 2.09 | 0.05 | 1.00e+00 | 1.00e+00 | 1SELL |
123 |
| chr5q14 | 4.03e-01 | 1.98 | 0.05 | 1.00e+00 | 1.00e+00 | 1COX7C |
130 |
| chr2p23 | 4.38e-01 | 1.77 | 0.04 | 1.00e+00 | 1.00e+00 | 1OST4 |
145 |
Dowload full table
Transcription Factor Targets:
| P-value | OR | Lower 95% CI | FDR | FWER | Genes Found | Gene Set Size | |
|---|---|---|---|---|---|---|---|
| GTF2A2_TARGET_GENES | 5.18e-08 | 8.63 | 4.18 | 5.86e-05 | 5.86e-05 | 13EEF1A1, RPL13, RPSA, PABPC1, EEF2, HNRNPA1, EEF1D, TMSB4X, RPL18, CIRBP, EIF4A2, TMSB10, BTG1 |
522 |
| PSMB5_TARGET_GENES | 2.38e-06 | 9.21 | 3.90 | 1.35e-03 | 2.70e-03 | 9EEF1A1, RPSA, PABPC1, EEF2, TMSB4X, CIRBP, EIF4A2, TMSB10, ALDOA |
307 |
| ZFHX3_TARGET_GENES | 6.46e-06 | 4.17 | 2.22 | 2.44e-03 | 7.32e-03 | 19EEF1A1, EIF3E, PABPC1, TPT1, TOMM7, COX7C, HNRNPA1, EEF1D, PFDN5, FXYD5, UQCRB, COMMD6, RPL18, ARHGDIB, COX4I1, PLAC8, EIF3F, EIF4A2, ALDOA |
1857 |
| SETD7_TARGET_GENES | 4.43e-05 | 4.49 | 2.18 | 1.26e-02 | 5.02e-02 | 13EEF1A1, RPL13, TPT1, HNRNPA1, EEF1D, TMSB4X, COX4I1, CIRBP, CREM, NAP1L1, EIF4A2, ARPC1B, ALDOA |
991 |
| PER1_TARGET_GENES | 7.55e-03 | 16.78 | 1.89 | 9.97e-01 | 1.00e+00 | 2EEF1A1, EIF4A2 |
33 |
| SNRNP70_TARGET_GENES | 9.26e-04 | 3.53 | 1.63 | 2.10e-01 | 1.00e+00 | 11EEF1A1, RPL13, EEF2, HNRNPA1, EEF1D, RPL18, SELL, NAP1L1, EIF4A2, ARPC1B, PFN1 |
1009 |
| THRA_TARGET_GENES | 9.30e-03 | 7.45 | 1.46 | 9.97e-01 | 1.00e+00 | 3EIF3E, EEF2, OXA1L |
110 |
| FOXE1_TARGET_GENES | 5.45e-03 | 3.31 | 1.34 | 9.41e-01 | 1.00e+00 | 8RPL13, PABPC1, EEF2, COX7C, HNRNPA1, COMMD6, RPL18, EIF4A2 |
728 |
| CRGAARNNNNCGA_UNKNOWN | 1.55e-02 | 11.31 | 1.29 | 9.97e-01 | 1.00e+00 | 2TPT1, LEF1 |
48 |
| MORC2_TARGET_GENES | 5.81e-03 | 2.51 | 1.25 | 9.41e-01 | 1.00e+00 | 14EEF1A1, RPL13, RPSA, EIF3E, EEF2, TOMM7, HNRNPA1, EEF1D, TMSB4X, COX4I1, CIRBP, CREM, EIF3F, BTG1 |
1954 |
| SQSTM1_TARGET_GENES | 1.74e-02 | 10.62 | 1.22 | 9.97e-01 | 1.00e+00 | 2EEF1A1, EEF1D |
51 |
| HOXA2_TARGET_GENES | 1.06e-02 | 2.51 | 1.19 | 9.97e-01 | 1.00e+00 | 12EEF1A1, TOMM7, COX7C, HNRNPA1, UQCRB, COMMD6, RPL18, EIF3H, EIF3F, FBL, UXT, OXA1L |
1586 |
| ZMYND11_TARGET_GENES | 1.87e-02 | 10.20 | 1.17 | 9.97e-01 | 1.00e+00 | 2RPL13, EEF1D |
53 |
| NFRKB_TARGET_GENES | 9.74e-03 | 2.40 | 1.17 | 9.97e-01 | 1.00e+00 | 13EIF3E, COX7C, HNRNPA1, EEF1D, PFDN5, EIF3L, EIF3H, EIF3F, EIF4A2, SNRPD2, CORO1A, ALDOA, OXA1L |
1843 |
| HOXC11_TARGET_GENES | 1.94e-02 | 10.01 | 1.15 | 9.97e-01 | 1.00e+00 | 2EEF1A1, GPSM3 |
54 |
| ETS_Q4 | 1.66e-02 | 4.38 | 1.14 | 9.97e-01 | 1.00e+00 | 4FXYD5, UXT, ARPC1B, CORO1A |
252 |
| GUCY1B1_TARGET_GENES | 1.40e-02 | 3.00 | 1.13 | 9.97e-01 | 1.00e+00 | 7EEF2, TOMM7, EEF1D, COMMD6, COX4I1, GPSM3, EIF4A2 |
686 |
| TBPL1_TARGET_GENES | 1.90e-02 | 5.66 | 1.11 | 9.97e-01 | 1.00e+00 | 3EEF1A1, PABPC1, NAP1L1 |
144 |
| SMAD_Q6 | 1.80e-02 | 4.28 | 1.11 | 9.97e-01 | 1.00e+00 | 4HNRNPA1, ARHGDIB, ARID5A, CREM |
258 |
| SUPT16H_TARGET_GENES | 1.91e-02 | 2.28 | 1.11 | 9.97e-01 | 1.00e+00 | 13EEF1A1, RPL13, EEF2, HNRNPA1, EEF1D, TMSB4X, COMMD6, RPL18, CIRBP, LEF1, EIF4A2, ALDOA, BTG1 |
1944 |
Dowload full table
GO Biological Processes:
| P-value | OR | Lower 95% CI | FDR | FWER | Genes Found | Gene Set Size | |
|---|---|---|---|---|---|---|---|
| GOBP_FORMATION_OF_CYTOPLASMIC_TRANSLATION_INITIATION_COMPLEX | 3.90e-07 | 90.00 | 20.43 | 5.83e-04 | 2.92e-03 | 4EIF3E, EIF3L, EIF3H, EIF3F |
16 |
| GOBP_CYTOPLASMIC_TRANSLATIONAL_INITIATION | 2.06e-07 | 47.76 | 13.82 | 5.13e-04 | 1.54e-03 | 5EIF3E, EIF3L, EIF3H, EIF3F, EIF4A2 |
34 |
| GOBP_CYTOPLASMIC_TRANSLATION | 5.49e-09 | 25.29 | 9.99 | 4.11e-05 | 4.11e-05 | 8RPSA, EIF3E, EEF2, EIF3L, RPL18, EIF3H, EIF3F, EIF4A2 |
102 |
| GOBP_SEQUESTERING_OF_ACTIN_MONOMERS | 6.85e-04 | 64.86 | 6.55 | 1.97e-01 | 1.00e+00 | 2TMSB4X, TMSB10 |
10 |
| GOBP_TRANSLATIONAL_INITIATION | 5.10e-08 | 14.91 | 6.28 | 1.91e-04 | 3.82e-04 | 9RPL13, RPSA, EIF3E, PABPC1, EIF3L, RPL18, EIF3H, EIF3F, EIF4A2 |
193 |
| GOBP_VIRAL_TRANSLATION | 1.80e-03 | 37.11 | 3.99 | 4.14e-01 | 1.00e+00 | 2EIF3L, EIF3F |
16 |
| GOBP_NUCLEAR_TRANSCRIBED_MRNA_CATABOLIC_PROCESS_NONSENSE_MEDIATED_DECAY | 1.06e-04 | 12.07 | 3.67 | 5.48e-02 | 7.91e-01 | 5RPL13, RPSA, EIF3E, PABPC1, RPL18 |
120 |
| GOBP_AEROBIC_RESPIRATION | 3.63e-04 | 13.24 | 3.39 | 1.29e-01 | 1.00e+00 | 4COX7C, UQCRB, COX4I1, OXA1L |
86 |
| GOBP_PEPTIDE_BIOSYNTHETIC_PROCESS | 3.51e-07 | 6.70 | 3.32 | 5.83e-04 | 2.63e-03 | 14EEF1A1, RPL13, RPSA, EIF3E, PABPC1, EEF2, EEF1D, EIF3L, RPL18, EIF3H, CIRBP, EIF3F, EIF4A2, OXA1L |
740 |
| GOBP_REGULATION_OF_ACTIN_FILAMENT_LENGTH | 8.34e-05 | 9.47 | 3.26 | 4.82e-02 | 6.24e-01 | 6TMSB4X, CCR7, TMSB10, ARPC1B, PFN1, CORO1A |
186 |
| GOBP_VIRAL_GENE_EXPRESSION | 1.17e-04 | 8.88 | 3.05 | 5.48e-02 | 8.76e-01 | 6RPL13, RPSA, EIF3L, RPL18, LEF1, EIF3F |
198 |
| GOBP_MITOCHONDRIAL_ELECTRON_TRANSPORT_CYTOCHROME_C_TO_OXYGEN | 3.10e-03 | 27.37 | 3.01 | 5.95e-01 | 1.00e+00 | 2COX7C, COX4I1 |
21 |
| GOBP_POSITIVE_REGULATION_OF_ACTIN_FILAMENT_POLYMERIZATION | 5.72e-04 | 11.68 | 2.99 | 1.86e-01 | 1.00e+00 | 4CCR7, ARPC1B, PFN1, CORO1A |
97 |
| GOBP_REGULATION_OF_ACTIN_FILAMENT_ORGANIZATION | 8.38e-05 | 7.65 | 2.88 | 4.82e-02 | 6.27e-01 | 7TMSB4X, CCR7, TMSB10, ARPC1B, PFN1, CORO1A, RGCC |
273 |
| GOBP_ACTIN_POLYMERIZATION_OR_DEPOLYMERIZATION | 1.82e-04 | 8.16 | 2.81 | 8.03e-02 | 1.00e+00 | 6TMSB4X, CCR7, TMSB10, ARPC1B, PFN1, CORO1A |
215 |
| GOBP_AMIDE_BIOSYNTHETIC_PROCESS | 2.38e-06 | 5.64 | 2.80 | 2.97e-03 | 1.78e-02 | 14EEF1A1, RPL13, RPSA, EIF3E, PABPC1, EEF2, EEF1D, EIF3L, RPL18, EIF3H, CIRBP, EIF3F, EIF4A2, OXA1L |
877 |
| GOBP_NEGATIVE_REGULATION_OF_SUPRAMOLECULAR_FIBER_ORGANIZATION | 4.10e-04 | 8.90 | 2.72 | 1.39e-01 | 1.00e+00 | 5PFDN5, TMSB4X, TMSB10, PFN1, CORO1A |
161 |
| GOBP_PEPTIDE_METABOLIC_PROCESS | 3.28e-06 | 5.47 | 2.72 | 3.50e-03 | 2.45e-02 | 14EEF1A1, RPL13, RPSA, EIF3E, PABPC1, EEF2, EEF1D, EIF3L, RPL18, EIF3H, CIRBP, EIF3F, EIF4A2, OXA1L |
903 |
| GOBP_REGULATION_OF_PROTEIN_POLYMERIZATION | 2.32e-04 | 7.78 | 2.68 | 9.15e-02 | 1.00e+00 | 6TMSB4X, CCR7, TMSB10, ARPC1B, PFN1, CORO1A |
225 |
| GOBP_REGULATION_OF_SUPRAMOLECULAR_FIBER_ORGANIZATION | 7.87e-05 | 6.58 | 2.65 | 4.82e-02 | 5.88e-01 | 8PFDN5, TMSB4X, CCR7, TMSB10, ARPC1B, PFN1, CORO1A, RGCC |
370 |
Dowload full table
Immunological Gene Sets:
| P-value | OR | Lower 95% CI | FDR | FWER | Genes Found | Gene Set Size | |
|---|---|---|---|---|---|---|---|
| GSE21927_SPLEEN_C57BL6_VS_4T1_TUMOR_BALBC_MONOCYTES_UP | 6.65e-19 | 35.18 | 18.04 | 3.24e-15 | 3.24e-15 | 17RPL13, PABPC1, EEF2, TPT1, EEF1D, PFDN5, EIF3L, UQCRB, RPL18, EIF3H, COX4I1, CIRBP, CD7, EIF3F, FBL, UXT, SNRPD2 |
200 |
| GSE34205_HEALTHY_VS_FLU_INF_INFANT_PBMC_UP | 1.02e-11 | 21.21 | 9.93 | 2.49e-08 | 4.98e-08 | 12RPL13, EEF2, TPT1, EEF1D, EIF3L, COMMD6, RPL18, LTB, EIF3F, NAP1L1, FBL, UXT |
198 |
| GSE5099_CLASSICAL_M1_VS_ALTERNATIVE_M2_MACROPHAGE_UP | 1.71e-10 | 19.26 | 8.76 | 2.18e-07 | 8.31e-07 | 11RPL13, PABPC1, EEF2, COX7C, PFDN5, CCR7, ARID5A, PLAC8, GYPC, EIF3F, BTG1 |
194 |
| GSE22886_NAIVE_CD4_TCELL_VS_DC_UP | 2.01e-10 | 18.95 | 8.62 | 2.18e-07 | 9.78e-07 | 11EIF3E, EEF2, HNRNPA1, CCR7, EIF3H, CD7, GYPC, LEF1, EIF3F, UXT, BTG1 |
197 |
| GSE22886_NAIVE_TCELL_VS_DC_UP | 2.23e-10 | 18.75 | 8.53 | 2.18e-07 | 1.09e-06 | 11HNRNPA1, EEF1D, PFDN5, CCR7, SELL, GYPC, LEF1, EIF3F, GPSM3, UXT, BTG1 |
199 |
| GSE2770_TGFB_AND_IL4_ACT_VS_ACT_CD4_TCELL_2H_UP | 3.54e-09 | 16.80 | 7.38 | 1.90e-06 | 1.72e-05 | 10RPL13, PABPC1, PFDN5, EIF3L, UQCRB, COMMD6, ARHGDIB, LTB, EIF3F, OST4 |
196 |
| GSE10325_CD4_TCELL_VS_LUPUS_CD4_TCELL_UP | 3.72e-09 | 16.71 | 7.34 | 1.90e-06 | 1.81e-05 | 10EIF3E, PFDN5, EIF3L, RPL18, EIF3H, EIF3F, FBL, UXT, BTG1, RGCC |
197 |
| GSE22886_NAIVE_CD8_TCELL_VS_DC_UP | 4.09e-09 | 16.53 | 7.26 | 1.90e-06 | 1.99e-05 | 10EIF3E, EEF2, HNRNPA1, EIF3H, LTB, CD7, GYPC, EIF3F, UXT, SNRPD2 |
199 |
| GSE42088_UNINF_VS_LEISHMANIA_INF_DC_4H_DN | 4.09e-09 | 16.53 | 7.26 | 1.90e-06 | 1.99e-05 | 10RPL13, EIF3E, EEF1D, EIF3L, RPL18, EIF3H, CIRBP, EIF3F, BTG1, OXA1L |
199 |
| GSE2405_0H_VS_24H_A_PHAGOCYTOPHILUM_STIM_NEUTROPHIL_UP | 4.29e-09 | 16.45 | 7.22 | 1.90e-06 | 2.09e-05 | 10RPL13, RPSA, EIF3E, TPT1, FXYD5, UQCRB, RPL18, EIF3H, GYPC, CORO1A |
200 |
| GSE42088_UNINF_VS_LEISHMANIA_INF_DC_2H_DN | 4.29e-09 | 16.45 | 7.22 | 1.90e-06 | 2.09e-05 | 10RPL13, EIF3E, EEF2, PFDN5, EIF3L, FXYD5, EIF3H, EIF3F, FBL, UXT |
200 |
| GSE3565_CTRL_VS_LPS_INJECTED_SPLENOCYTES_DN | 2.21e-08 | 16.53 | 6.95 | 8.98e-06 | 1.08e-04 | 9RPL13, EEF2, RPL18, CCR7, PLAC8, LTB, CD7, LEF1, FBL |
175 |
| GSE36476_CTRL_VS_TSST_ACT_40H_MEMORY_CD4_TCELL_YOUNG_UP | 6.08e-08 | 14.60 | 6.15 | 2.02e-05 | 2.96e-04 | 9TPT1, EEF1D, UQCRB, CIRBP, PLAC8, LEF1, LYPD3, BTG1, RGCC |
197 |
| GSE22886_NAIVE_TCELL_VS_NKCELL_UP | 6.34e-08 | 14.52 | 6.11 | 2.02e-05 | 3.09e-04 | 9EIF3E, PABPC1, CCR7, EIF3H, LTB, LEF1, GPSM3, UXT, OXA1L |
198 |
| GSE36476_CTRL_VS_TSST_ACT_16H_MEMORY_CD4_TCELL_YOUNG_UP | 6.34e-08 | 14.52 | 6.11 | 2.02e-05 | 3.09e-04 | 9COX7C, UQCRB, CD52, ARHGDIB, CIRBP, PLAC8, LEF1, LYPD3, BTG1 |
198 |
| GSE6269_FLU_VS_E_COLI_INF_PBMC_DN | 2.19e-07 | 15.26 | 6.09 | 6.28e-05 | 1.07e-03 | 8RPL13, EEF2, EIF3L, COX4I1, GYPC, EIF3F, NAP1L1, FBL |
164 |
| GSE26156_DOUBLE_POSITIVE_VS_CD4_SINGLE_POSITIVE_THYMOCYTE_UP | 6.62e-08 | 14.44 | 6.08 | 2.02e-05 | 3.22e-04 | 9RPL13, TPT1, PFDN5, CCR7, CIRBP, CREM, LTB, EIF4A2, BTG1 |
199 |
| GSE3720_UNSTIM_VS_PMA_STIM_VD2_GAMMADELTA_TCELL_UP | 3.58e-07 | 14.26 | 5.69 | 9.58e-05 | 1.74e-03 | 8EEF1A1, RPSA, RPL18, PLAC8, LTB, SELL, LEF1, FBL |
175 |
| GSE6269_HEALTHY_VS_FLU_INF_PBMC_UP | 3.74e-07 | 14.17 | 5.66 | 9.58e-05 | 1.82e-03 | 8RPL13, TOMM7, EIF3L, EIF3H, COX4I1, EIF3F, FBL, UXT |
176 |
| GSE3565_DUSP1_VS_WT_SPLENOCYTES_DN | 4.24e-07 | 13.93 | 5.56 | 1.03e-04 | 2.07e-03 | 8EEF2, RPL18, PLAC8, LTB, CD7, SELL, LEF1, FBL |
179 |
Top Ranked Transcription Factors for this Gene Expression Program:
| Gene Symbol | TF Rank | DNA Binding Domain | Motif Status | IUPAC PWM | GTEx | DepMap | Decartes |
|---|---|---|---|---|---|---|---|
| HNRNPA1 | 10 | No | ssDNA/RNA binding | Not a DNA binding protein | No motif | None | Binds single stranded DNA in the structure (PDB: 1PGZ) |
| COMMD6 | 17 | No | Unlikely to be sequence specific TF | Not a DNA binding protein | No motif | None | None |
| ARID5A | 24 | Yes | Known motif | Monomer or homomultimer | 100 perc ID - in vitro | None | None |
| CREM | 27 | Yes | Known motif | Monomer or homomultimer | High-throughput in vitro | None | None |
| LEF1 | 33 | Yes | Known motif | Monomer or homomultimer | High-throughput in vitro | None | None |
| RGCC | 49 | No | Unlikely to be sequence specific TF | Not a DNA binding protein | No motif | None | None |
| ATXN7 | 63 | No | Unlikely to be sequence specific TF | Not a DNA binding protein | No motif | None | ATXN7 SCA7 domain facilitates interactions with histone dimers (PMID: 20634802) |
| ELF1 | 69 | Yes | Known motif | Monomer or homomultimer | High-throughput in vitro | None | None |
| TCF7 | 70 | Yes | Known motif | Monomer or homomultimer | High-throughput in vitro | None | None |
| TSC22D3 | 73 | No | Unlikely to be sequence specific TF | Not a DNA binding protein | No motif | None | There is some evidence that a related protein (TSC22D1) binds DNA specifically - thus, it is possible this is also a TF. |
| RNF125 | 82 | No | Unlikely to be sequence specific TF | Not a DNA binding protein | No motif | None | Protein is a ubiguitin ligase |
| ZFP36L2 | 88 | No | ssDNA/RNA binding | Not a DNA binding protein | No motif | None | RNA-binding protein (PMID: 20506496). |
| KLF2 | 100 | Yes | Known motif | Monomer or homomultimer | High-throughput in vitro | None | None |
| PCBP2 | 102 | No | ssDNA/RNA binding | Not a DNA binding protein | No motif | None | Protein is an RBP. Structure (PDB:2PQU) is with single stranded DNA |
| STAT4 | 109 | Yes | Known motif | Monomer or homomultimer | In vivo/Misc source | Only known motifs are from Transfac or HocoMoco - origin is uncertain | None |
| NFATC1 | 128 | Yes | Known motif | Monomer or homomultimer | High-throughput in vitro | None | None |
| PRKCH | 130 | No | Unlikely to be sequence specific TF | Not a DNA binding protein | No motif | None | Protein is a kinase that activates another kinase leading to degradation of NFKB inhibitor NFKBIA (PMID: 21820409) |
| CIB1 | 132 | No | Unlikely to be sequence specific TF | Not a DNA binding protein | No motif | None | None |
| TXK | 151 | No | Unlikely to be sequence specific TF | Not a DNA binding protein | No motif | None | Experimental evidence for DNA-binding was performed with nuclear extract - thus, the apparent specific-binding of TXK could be due to indirect binding (PMID: 11859127). In addition a whitepaper suggests that this interaction could not be replicated (Miskimins, Beth) |
| CSRNP1 | 157 | Yes | Likely to be sequence specific TF | Monomer or homomultimer | No motif | None | All three paralogs (CSRNP1, CSRNP2, and CSRNP3) bind an AGAGTG consensus based on SELEX experiments (PMID: 17726538) |
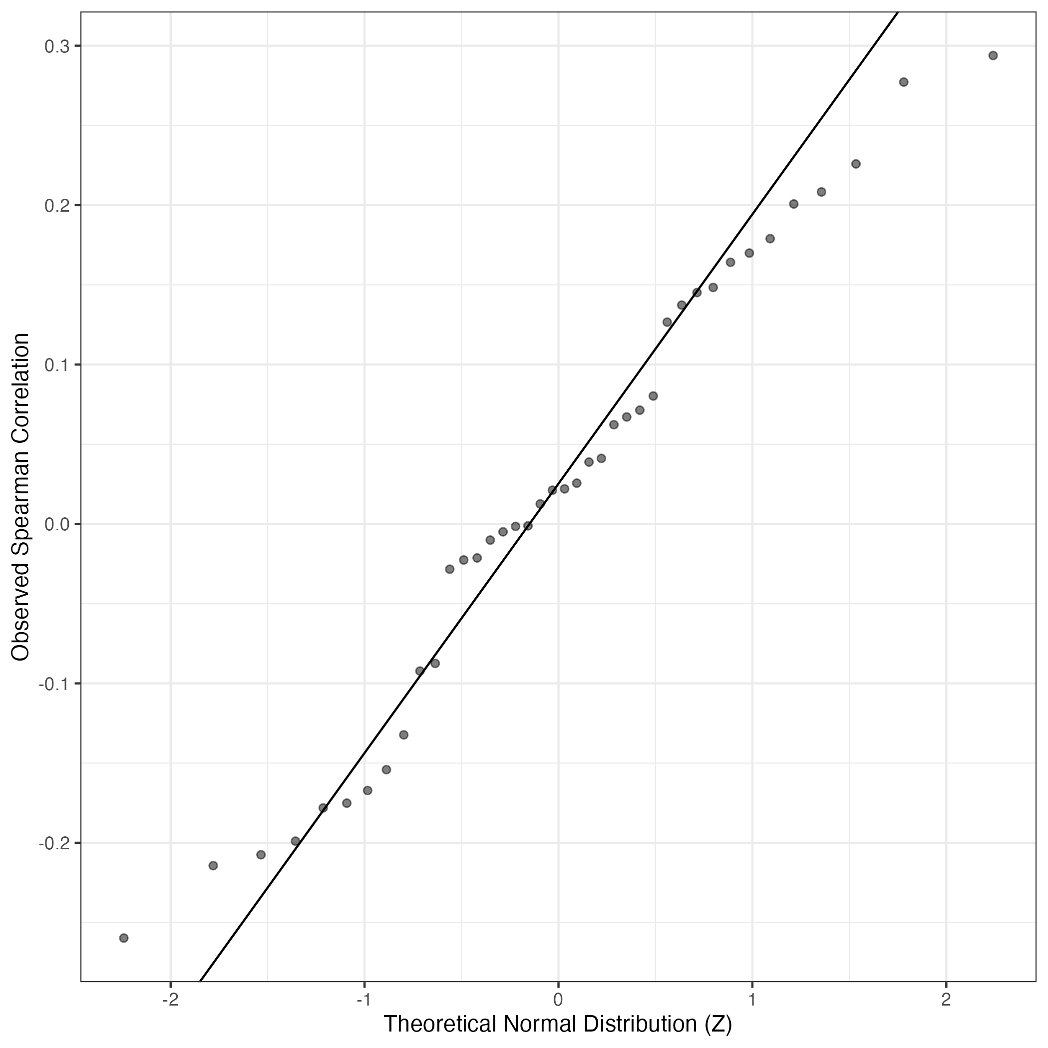
QQ Plot showing correlations with other GEPs in this dataset, calculated by Spearman correlation:
Interactive QQ-plot of gene loadings:
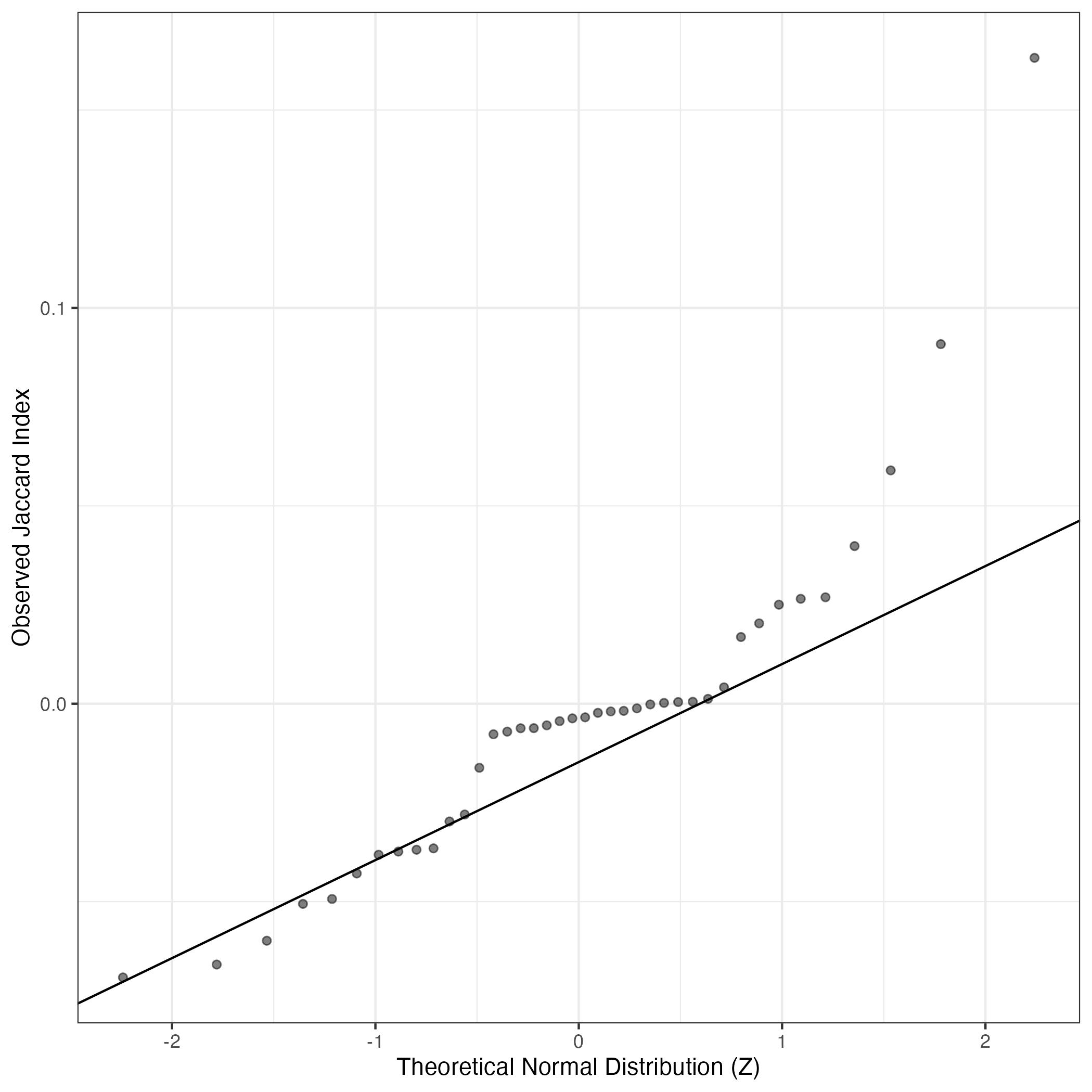
A similar QQ-plot as above, but only for instances where the H value is e.g. > 25, i.e. we are confident that the expression program is active above noise. Agreemenet between these binary vectors is tested using the Jaccard Index, with the P-values calculated by an exact test:
Interactive QQ-plot:
Singler cell type annotations for the top 50 cells on this program.
| Cell ID | Singler label | Singler Delta | Activity Score | Top Singler Raw Scores |
|---|---|---|---|---|
| T34_GCCTCTATCAGATAAG.1 | Neurons:adrenal_medulla_cell_line | 0.13 | 431.98 | Raw ScoresNeurons:adrenal_medulla_cell_line: 0.28, Neuroepithelial_cell:ESC-derived: 0.24, Astrocyte:Embryonic_stem_cell-derived: 0.23, iPS_cells:adipose_stem_cell-derived:minicircle-derived: 0.22, iPS_cells:adipose_stem_cell-derived:lentiviral: 0.22, iPS_cells:CRL2097_foreskin-derived:undiff.: 0.21, iPS_cells:PDB_2lox-22: 0.21, iPS_cells:fibroblast-derived:Retroviral_transf: 0.21, iPS_cells:PDB_2lox-17: 0.21, iPS_cells:PDB_2lox-21: 0.21 |
| T44_GACGTTAGTTCTCATT.1 | Neurons:adrenal_medulla_cell_line | 0.16 | 341.70 | Raw ScoresNeurons:adrenal_medulla_cell_line: 0.32, Neuroepithelial_cell:ESC-derived: 0.26, Astrocyte:Embryonic_stem_cell-derived: 0.25, iPS_cells:CRL2097_foreskin-derived:undiff.: 0.23, Tissue_stem_cells:CD326-CD56+: 0.23, iPS_cells:PDB_2lox-22: 0.22, Embryonic_stem_cells: 0.22, iPS_cells:PDB_1lox-17Puro-5: 0.22, iPS_cells:PDB_2lox-21: 0.22, Neurons:ES_cell-derived_neural_precursor: 0.22 |
| T34_CCACCTACATAAGACA.1 | GMP | 0.13 | 337.41 | Raw ScoresPro-B_cell_CD34+: 0.38, GMP: 0.38, CMP: 0.37, Pro-Myelocyte: 0.35, MEP: 0.35, HSC_CD34+: 0.35, T_cell:gamma-delta: 0.35, BM: 0.34, Pre-B_cell_CD34-: 0.34, B_cell:Germinal_center: 0.33 |
| T40_CAGGTGCTCGACAGCC.1 | Erythroblast | 0.12 | 300.70 | Raw ScoresMEP: 0.4, Erythroblast: 0.39, CMP: 0.36, Pro-Myelocyte: 0.35, GMP: 0.35, Pro-B_cell_CD34+: 0.35, BM: 0.34, HSC_CD34+: 0.33, T_cell:gamma-delta: 0.32, NK_cell:IL2: 0.31 |
| T92_CTGCCTACAGCTGTGC.1 | Neurons:adrenal_medulla_cell_line | 0.18 | 276.72 | Raw ScoresNeurons:adrenal_medulla_cell_line: 0.34, Neuroepithelial_cell:ESC-derived: 0.28, Astrocyte:Embryonic_stem_cell-derived: 0.25, iPS_cells:PDB_1lox-21Puro-20: 0.25, iPS_cells:PDB_1lox-17Puro-10: 0.24, iPS_cells:PDB_1lox-17Puro-5: 0.24, iPS_cells:PDB_1lox-21Puro-26: 0.24, iPS_cells:PDB_2lox-22: 0.24, iPS_cells:PDB_2lox-17: 0.24, iPS_cells:PDB_2lox-5: 0.24 |
| T44_AGGTCATGTAGGCATG.1 | Neurons:adrenal_medulla_cell_line | 0.13 | 274.90 | Raw ScoresNeurons:adrenal_medulla_cell_line: 0.28, Neuroepithelial_cell:ESC-derived: 0.24, Astrocyte:Embryonic_stem_cell-derived: 0.23, Tissue_stem_cells:CD326-CD56+: 0.22, Neurons:Schwann_cell: 0.21, Embryonic_stem_cells: 0.21, iPS_cells:adipose_stem_cell-derived:minicircle-derived: 0.21, iPS_cells:CRL2097_foreskin-derived:undiff.: 0.21, iPS_cells:adipose_stem_cell-derived:lentiviral: 0.21, Smooth_muscle_cells:umbilical_vein: 0.21 |
| T69_GGCAATTTCGTTACGA.1 | Smooth_muscle_cells:vascular:IL-17 | 0.17 | 265.15 | Raw ScoresSmooth_muscle_cells:vascular:IL-17: 0.34, Smooth_muscle_cells:vascular: 0.33, Fibroblasts:breast: 0.33, Tissue_stem_cells:BM_MSC: 0.33, Tissue_stem_cells:BM_MSC:BMP2: 0.32, iPS_cells:adipose_stem_cells: 0.32, Tissue_stem_cells:BM_MSC:TGFb3: 0.32, Chondrocytes:MSC-derived: 0.32, Fibroblasts:foreskin: 0.31, Tissue_stem_cells:BM_MSC:osteogenic: 0.31 |
| T27_TAAACCGTCTATGTGG.1 | Neurons:adrenal_medulla_cell_line | 0.12 | 259.94 | Raw ScoresNeurons:adrenal_medulla_cell_line: 0.29, Neuroepithelial_cell:ESC-derived: 0.24, iPS_cells:PDB_2lox-22: 0.23, iPS_cells:CRL2097_foreskin-derived:undiff.: 0.22, iPS_cells:PDB_2lox-17: 0.22, Astrocyte:Embryonic_stem_cell-derived: 0.22, iPS_cells:PDB_2lox-21: 0.22, iPS_cells:PDB_2lox-5: 0.22, iPS_cells:PDB_1lox-17Puro-5: 0.22, iPS_cells:PDB_1lox-21Puro-20: 0.22 |
| T40_ATTATCCTCCATTCTA.1 | Macrophage:monocyte-derived:IL-4/Dex/TGFb | 0.13 | 253.43 | Raw ScoresMacrophage:monocyte-derived: 0.4, DC:monocyte-derived:anti-DC-SIGN_2h: 0.4, Macrophage:monocyte-derived:IL-4/Dex/TGFb: 0.39, DC:monocyte-derived:AM580: 0.39, Macrophage:monocyte-derived:IL-4/Dex/cntrl: 0.39, Monocyte:leukotriene_D4: 0.39, Macrophage:monocyte-derived:M-CSF/IFNg: 0.39, DC:monocyte-derived: 0.39, Macrophage:monocyte-derived:IL-4/TGFb: 0.39, Macrophage:monocyte-derived:M-CSF: 0.39 |
| T27_CAGTAACGTACCGCTG.1 | Neurons:adrenal_medulla_cell_line | 0.09 | 244.20 | Raw ScoresNeurons:adrenal_medulla_cell_line: 0.24, Astrocyte:Embryonic_stem_cell-derived: 0.22, Neuroepithelial_cell:ESC-derived: 0.22, Neurons:Schwann_cell: 0.2, iPS_cells:adipose_stem_cell-derived:lentiviral: 0.2, Endothelial_cells:HUVEC:FPV-infected: 0.2, Embryonic_stem_cells: 0.2, iPS_cells:adipose_stem_cell-derived:minicircle-derived: 0.2, iPS_cells:PDB_2lox-22: 0.2, iPS_cells:PDB_2lox-17: 0.2 |
| T92_TATTACCAGGCGTACA.1 | T_cell:gamma-delta | 0.15 | 242.19 | Raw ScoresT_cell:gamma-delta: 0.39, T_cell:CD4+_central_memory: 0.35, NK_cell:IL2: 0.35, T_cell:CD4+_effector_memory: 0.34, T_cell:effector: 0.34, T_cell:CCR10-CLA+1,25(OH)2_vit_D3/IL-12: 0.34, Pre-B_cell_CD34-: 0.33, T_cell:CD8+_Central_memory: 0.33, T_cell:CD8+: 0.33, T_cell:CD8+_effector_memory_RA: 0.33 |
| T44_CCGTACTTCAGCTCGG.1 | Neurons:adrenal_medulla_cell_line | 0.17 | 241.59 | Raw ScoresNeurons:adrenal_medulla_cell_line: 0.33, Astrocyte:Embryonic_stem_cell-derived: 0.27, Neuroepithelial_cell:ESC-derived: 0.27, iPS_cells:CRL2097_foreskin-derived:undiff.: 0.24, Tissue_stem_cells:CD326-CD56+: 0.23, Embryonic_stem_cells: 0.23, Neurons:ES_cell-derived_neural_precursor: 0.23, iPS_cells:PDB_1lox-17Puro-5: 0.23, iPS_cells:PDB_2lox-5: 0.23, iPS_cells:PDB_1lox-21Puro-20: 0.23 |
| T44_CGGAGCTTCCAGTAGT.1 | Neurons:adrenal_medulla_cell_line | 0.14 | 240.54 | Raw ScoresNeurons:adrenal_medulla_cell_line: 0.3, Neuroepithelial_cell:ESC-derived: 0.26, Astrocyte:Embryonic_stem_cell-derived: 0.24, Embryonic_stem_cells: 0.23, iPS_cells:CRL2097_foreskin-derived:undiff.: 0.23, iPS_cells:fibroblast-derived:Retroviral_transf: 0.23, iPS_cells:PDB_2lox-22: 0.23, iPS_cells:adipose_stem_cell-derived:minicircle-derived: 0.22, Tissue_stem_cells:CD326-CD56+: 0.22, iPS_cells:PDB_1lox-21Puro-20: 0.22 |
| T44_TACGGGCGTCTTGATG.1 | Neurons:adrenal_medulla_cell_line | 0.16 | 237.38 | Raw ScoresNeurons:adrenal_medulla_cell_line: 0.32, Astrocyte:Embryonic_stem_cell-derived: 0.27, Neuroepithelial_cell:ESC-derived: 0.27, iPS_cells:CRL2097_foreskin-derived:undiff.: 0.23, Neurons:ES_cell-derived_neural_precursor: 0.23, iPS_cells:PDB_2lox-5: 0.22, Embryonic_stem_cells: 0.22, iPS_cells:PDB_2lox-22: 0.22, iPS_cells:PDB_2lox-17: 0.22, iPS_cells:PDB_2lox-21: 0.22 |
| T27_CCTACACGTCTCTCGT.1 | Neurons:adrenal_medulla_cell_line | 0.12 | 237.09 | Raw ScoresNeurons:adrenal_medulla_cell_line: 0.27, Neuroepithelial_cell:ESC-derived: 0.22, iPS_cells:PDB_2lox-22: 0.21, iPS_cells:PDB_2lox-21: 0.21, iPS_cells:PDB_2lox-17: 0.21, Astrocyte:Embryonic_stem_cell-derived: 0.21, iPS_cells:CRL2097_foreskin-derived:undiff.: 0.21, iPS_cells:PDB_1lox-17Puro-5: 0.21, iPS_cells:PDB_1lox-21Puro-20: 0.21, iPS_cells:PDB_2lox-5: 0.21 |
| T34_ATCATGGCAGTCAGCC.1 | Neurons:adrenal_medulla_cell_line | 0.14 | 233.73 | Raw ScoresNeurons:adrenal_medulla_cell_line: 0.29, Neuroepithelial_cell:ESC-derived: 0.22, Astrocyte:Embryonic_stem_cell-derived: 0.22, iPS_cells:CRL2097_foreskin-derived:undiff.: 0.2, iPS_cells:PDB_2lox-22: 0.2, iPS_cells:PDB_1lox-17Puro-5: 0.2, iPS_cells:adipose_stem_cell-derived:minicircle-derived: 0.2, iPS_cells:PDB_1lox-21Puro-20: 0.2, iPS_cells:PDB_2lox-21: 0.2, Embryonic_stem_cells: 0.2 |
| T44_CTCGGGAGTGACTCAT.1 | Neurons:adrenal_medulla_cell_line | 0.16 | 230.49 | Raw ScoresNeurons:adrenal_medulla_cell_line: 0.31, Neuroepithelial_cell:ESC-derived: 0.24, Astrocyte:Embryonic_stem_cell-derived: 0.23, iPS_cells:CRL2097_foreskin-derived:undiff.: 0.21, Tissue_stem_cells:CD326-CD56+: 0.21, Embryonic_stem_cells: 0.21, iPS_cells:PDB_2lox-22: 0.21, iPS_cells:PDB_2lox-17: 0.21, iPS_cells:PDB_2lox-21: 0.21, iPS_cells:PDB_2lox-5: 0.21 |
| T34_AACGTTGTCTTTAGGG.1 | Neurons:adrenal_medulla_cell_line | 0.14 | 226.63 | Raw ScoresNeurons:adrenal_medulla_cell_line: 0.32, Neuroepithelial_cell:ESC-derived: 0.24, Astrocyte:Embryonic_stem_cell-derived: 0.24, iPS_cells:CRL2097_foreskin-derived:undiff.: 0.22, iPS_cells:PDB_1lox-17Puro-5: 0.22, iPS_cells:PDB_1lox-17Puro-10: 0.22, iPS_cells:PDB_2lox-22: 0.22, iPS_cells:PDB_1lox-21Puro-20: 0.22, Embryonic_stem_cells: 0.22, iPS_cells:PDB_1lox-21Puro-26: 0.22 |
| T34_GGATGTTGTTAAGACA.1 | Neurons:adrenal_medulla_cell_line | 0.13 | 218.66 | Raw ScoresNeurons:adrenal_medulla_cell_line: 0.3, Neuroepithelial_cell:ESC-derived: 0.23, Tissue_stem_cells:CD326-CD56+: 0.22, iPS_cells:PDB_2lox-22: 0.22, iPS_cells:adipose_stem_cell-derived:minicircle-derived: 0.22, iPS_cells:PDB_2lox-21: 0.22, iPS_cells:PDB_2lox-17: 0.22, iPS_cells:CRL2097_foreskin-derived:undiff.: 0.22, iPS_cells:PDB_2lox-5: 0.22, iPS_cells:PDB_1lox-17Puro-5: 0.22 |
| T40_GTGCAGCTCAAACCGT.1 | Monocyte:leukotriene_D4 | 0.12 | 218.23 | Raw ScoresPre-B_cell_CD34-: 0.4, Monocyte:CD14+: 0.39, Monocyte:CD16+: 0.39, Monocyte:leukotriene_D4: 0.39, Monocyte:CD16-: 0.39, Monocyte:anti-FcgRIIB: 0.39, Monocyte: 0.39, DC:monocyte-derived:anti-DC-SIGN_2h: 0.38, HSC_-G-CSF: 0.38, Macrophage:monocyte-derived:M-CSF/IFNg: 0.38 |
| T44_AGTGGGAAGTAGTGCG.1 | Neurons:adrenal_medulla_cell_line | 0.15 | 215.67 | Raw ScoresNeurons:adrenal_medulla_cell_line: 0.32, Neuroepithelial_cell:ESC-derived: 0.24, Astrocyte:Embryonic_stem_cell-derived: 0.24, iPS_cells:CRL2097_foreskin-derived:undiff.: 0.22, Tissue_stem_cells:CD326-CD56+: 0.21, Neurons:Schwann_cell: 0.21, Embryonic_stem_cells: 0.21, iPS_cells:PDB_2lox-22: 0.21, iPS_cells:iPS:minicircle-derived: 0.21, iPS_cells:PDB_1lox-17Puro-5: 0.21 |
| T34_AGCGGTCTCTCGGACG.1 | Neurons:adrenal_medulla_cell_line | 0.17 | 212.07 | Raw ScoresNeurons:adrenal_medulla_cell_line: 0.35, Neuroepithelial_cell:ESC-derived: 0.28, Astrocyte:Embryonic_stem_cell-derived: 0.27, iPS_cells:PDB_2lox-22: 0.25, iPS_cells:PDB_1lox-17Puro-5: 0.25, iPS_cells:PDB_1lox-21Puro-20: 0.24, Tissue_stem_cells:CD326-CD56+: 0.24, iPS_cells:CRL2097_foreskin-derived:undiff.: 0.24, iPS_cells:PDB_1lox-17Puro-10: 0.24, iPS_cells:adipose_stem_cell-derived:minicircle-derived: 0.24 |
| T27_CATTCGCTCTTTACAC.1 | Neurons:adrenal_medulla_cell_line | 0.10 | 210.82 | Raw ScoresNeurons:adrenal_medulla_cell_line: 0.26, Neuroepithelial_cell:ESC-derived: 0.22, iPS_cells:PDB_2lox-22: 0.21, iPS_cells:adipose_stem_cell-derived:minicircle-derived: 0.21, Astrocyte:Embryonic_stem_cell-derived: 0.21, iPS_cells:PDB_2lox-17: 0.21, iPS_cells:PDB_2lox-21: 0.21, iPS_cells:PDB_1lox-21Puro-20: 0.21, iPS_cells:adipose_stem_cell-derived:lentiviral: 0.21, iPS_cells:PDB_1lox-17Puro-5: 0.21 |
| T44_GCTGCGATCCGTTGCT.1 | Neurons:adrenal_medulla_cell_line | 0.15 | 210.33 | Raw ScoresNeurons:adrenal_medulla_cell_line: 0.32, Astrocyte:Embryonic_stem_cell-derived: 0.26, Neuroepithelial_cell:ESC-derived: 0.26, iPS_cells:CRL2097_foreskin-derived:undiff.: 0.23, Neurons:ES_cell-derived_neural_precursor: 0.22, iPS_cells:PDB_2lox-5: 0.22, iPS_cells:PDB_2lox-21: 0.22, iPS_cells:PDB_2lox-22: 0.22, iPS_cells:PDB_2lox-17: 0.22, iPS_cells:PDB_1lox-21Puro-20: 0.22 |
| T92_GCATGTAAGTATGACA.1 | Neurons:adrenal_medulla_cell_line | 0.15 | 209.26 | Raw ScoresNeurons:adrenal_medulla_cell_line: 0.33, Neuroepithelial_cell:ESC-derived: 0.27, Astrocyte:Embryonic_stem_cell-derived: 0.25, iPS_cells:CRL2097_foreskin-derived:undiff.: 0.25, iPS_cells:PDB_2lox-22: 0.25, iPS_cells:adipose_stem_cell-derived:lentiviral: 0.24, iPS_cells:PDB_1lox-17Puro-5: 0.24, iPS_cells:PDB_2lox-21: 0.24, iPS_cells:PDB_2lox-5: 0.24, iPS_cells:PDB_2lox-17: 0.24 |
| T27_AACTCAGAGCACAGGT.1 | B_cell:CXCR4-_centrocyte | 0.16 | 207.75 | Raw ScoresB_cell:Germinal_center: 0.38, B_cell:CXCR4-_centrocyte: 0.38, B_cell:CXCR4+_centroblast: 0.37, B_cell:Memory: 0.37, B_cell:Plasma_cell: 0.36, B_cell:Naive: 0.35, B_cell:immature: 0.35, Pro-B_cell_CD34+: 0.33, Pre-B_cell_CD34-: 0.32, T_cell:gamma-delta: 0.31 |
| T40_GACGCGTCATTGGGCC.1 | Pro-B_cell_CD34+ | 0.15 | 201.35 | Raw ScoresPro-B_cell_CD34+: 0.39, GMP: 0.38, CMP: 0.37, MEP: 0.35, Pro-Myelocyte: 0.35, HSC_CD34+: 0.35, B_cell:immature: 0.34, BM: 0.34, Pre-B_cell_CD34-: 0.34, B_cell:Germinal_center: 0.33 |
| T69_CTCACACTCCAGAGGA.1 | Neurons:adrenal_medulla_cell_line | 0.17 | 197.56 | Raw ScoresNeurons:adrenal_medulla_cell_line: 0.35, Neuroepithelial_cell:ESC-derived: 0.32, Astrocyte:Embryonic_stem_cell-derived: 0.29, Neurons:ES_cell-derived_neural_precursor: 0.29, iPS_cells:PDB_1lox-17Puro-5: 0.29, iPS_cells:PDB_1lox-21Puro-20: 0.29, iPS_cells:PDB_1lox-17Puro-10: 0.29, iPS_cells:PDB_1lox-21Puro-26: 0.29, iPS_cells:CRL2097_foreskin-derived:undiff.: 0.29, iPS_cells:PDB_2lox-22: 0.28 |
| T34_GTAACGTCACCGTTGG.1 | Neurons:adrenal_medulla_cell_line | 0.14 | 195.73 | Raw ScoresNeurons:adrenal_medulla_cell_line: 0.33, Neuroepithelial_cell:ESC-derived: 0.26, Astrocyte:Embryonic_stem_cell-derived: 0.26, iPS_cells:adipose_stem_cell-derived:minicircle-derived: 0.24, iPS_cells:PDB_2lox-22: 0.24, iPS_cells:PDB_2lox-17: 0.24, Tissue_stem_cells:CD326-CD56+: 0.24, iPS_cells:PDB_2lox-21: 0.24, iPS_cells:PDB_1lox-17Puro-5: 0.24, iPS_cells:PDB_1lox-17Puro-10: 0.24 |
| T34_CGGACTGGTGCTTCTC.1 | Neurons:adrenal_medulla_cell_line | 0.18 | 194.56 | Raw ScoresNeurons:adrenal_medulla_cell_line: 0.34, Neuroepithelial_cell:ESC-derived: 0.26, Astrocyte:Embryonic_stem_cell-derived: 0.26, iPS_cells:PDB_2lox-22: 0.23, iPS_cells:CRL2097_foreskin-derived:undiff.: 0.23, iPS_cells:PDB_1lox-21Puro-20: 0.23, iPS_cells:PDB_1lox-17Puro-5: 0.23, Neurons:ES_cell-derived_neural_precursor: 0.23, iPS_cells:PDB_1lox-17Puro-10: 0.23, iPS_cells:PDB_1lox-21Puro-26: 0.23 |
| T40_CGCGTTTGTAGCAAAT.1 | Macrophage:monocyte-derived:IL-4/cntrl | 0.19 | 190.94 | Raw ScoresMacrophage:monocyte-derived:IL-4/cntrl: 0.44, Macrophage:monocyte-derived:IL-4/TGFb: 0.43, DC:monocyte-derived:Galectin-1: 0.43, Macrophage:monocyte-derived: 0.43, Macrophage:monocyte-derived:IFNa: 0.43, DC:monocyte-derived:AM580: 0.43, Macrophage:monocyte-derived:M-CSF/IFNg: 0.43, Macrophage:monocyte-derived:S._aureus: 0.43, Macrophage:monocyte-derived:M-CSF/IFNg/Pam3Cys: 0.43, Macrophage:Alveolar:B._anthacis_spores: 0.43 |
| T69_CGGGTCACACCAACCG.1 | Tissue_stem_cells:BM_MSC | 0.12 | 189.24 | Raw ScoresTissue_stem_cells:BM_MSC:BMP2: 0.29, Smooth_muscle_cells:vascular:IL-17: 0.29, Tissue_stem_cells:BM_MSC:TGFb3: 0.28, Smooth_muscle_cells:vascular: 0.28, Tissue_stem_cells:BM_MSC: 0.28, Chondrocytes:MSC-derived: 0.28, iPS_cells:adipose_stem_cells: 0.28, Fibroblasts:breast: 0.28, Tissue_stem_cells:BM_MSC:osteogenic: 0.27, Osteoblasts: 0.27 |
| T92_TCGGGACTCACTCCTG.1 | Neurons:adrenal_medulla_cell_line | 0.12 | 181.67 | Raw ScoresNeurons:adrenal_medulla_cell_line: 0.3, Neuroepithelial_cell:ESC-derived: 0.25, Astrocyte:Embryonic_stem_cell-derived: 0.25, iPS_cells:adipose_stem_cell-derived:lentiviral: 0.24, iPS_cells:PDB_2lox-21: 0.23, iPS_cells:PDB_2lox-22: 0.23, Embryonic_stem_cells: 0.23, iPS_cells:CRL2097_foreskin-derived:undiff.: 0.23, iPS_cells:PDB_2lox-17: 0.23, Tissue_stem_cells:CD326-CD56+: 0.23 |
| T27_GAACGGAGTATTACCG.1 | Neurons:adrenal_medulla_cell_line | 0.08 | 180.48 | Raw ScoresNeurons:adrenal_medulla_cell_line: 0.24, T_cell:CD4+_Naive: 0.21, T_cell:CD4+_central_memory: 0.21, T_cell:CD4+_effector_memory: 0.2, T_cell:CD8+_effector_memory: 0.2, B_cell:Memory: 0.19, T_cell:CD4+: 0.19, B_cell:Germinal_center: 0.19, Pro-B_cell_CD34+: 0.19, B_cell:Naive: 0.19 |
| T40_TGGGAAGCAATAAGCA.1 | Monocyte:CD16- | 0.14 | 175.51 | Raw ScoresMonocyte:CD16-: 0.37, Monocyte:CD16+: 0.37, Monocyte:CD14+: 0.36, Monocyte:leukotriene_D4: 0.36, Monocyte: 0.36, Monocyte:anti-FcgRIIB: 0.36, Pre-B_cell_CD34-: 0.35, Macrophage:monocyte-derived:M-CSF/IFNg: 0.35, Macrophage:monocyte-derived:M-CSF/IFNg/Pam3Cys: 0.35, DC:monocyte-derived:A._fumigatus_germ_tubes_6h: 0.35 |
| T27_CACAGTAAGGTACTCT.1 | T_cell:CD4+_central_memory | 0.07 | 175.32 | Raw ScoresT_cell:CD4+_central_memory: 0.26, T_cell:CD4+_Naive: 0.26, T_cell:CD4+_effector_memory: 0.25, T_cell:CD8+_effector_memory: 0.25, NK_cell:CD56hiCD62L+: 0.24, T_cell:CD4+: 0.24, T_cell:CD8+_naive: 0.24, T_cell:CD8+: 0.24, NK_cell: 0.24, T_cell:CD8+_Central_memory: 0.23 |
| T92_GCAGTTACATGGATGG.1 | Neurons:adrenal_medulla_cell_line | 0.14 | 173.63 | Raw ScoresNeurons:adrenal_medulla_cell_line: 0.32, Neuroepithelial_cell:ESC-derived: 0.27, iPS_cells:PDB_1lox-21Puro-20: 0.26, iPS_cells:PDB_2lox-21: 0.25, iPS_cells:PDB_1lox-17Puro-5: 0.25, iPS_cells:PDB_1lox-17Puro-10: 0.25, iPS_cells:PDB_1lox-21Puro-26: 0.25, iPS_cells:PDB_2lox-22: 0.25, Astrocyte:Embryonic_stem_cell-derived: 0.25, iPS_cells:PDB_2lox-17: 0.25 |
| T44_GATGAGGTCGTTGACA.1 | Neurons:adrenal_medulla_cell_line | 0.14 | 173.34 | Raw ScoresNeurons:adrenal_medulla_cell_line: 0.32, Neuroepithelial_cell:ESC-derived: 0.27, Astrocyte:Embryonic_stem_cell-derived: 0.26, Tissue_stem_cells:CD326-CD56+: 0.24, Embryonic_stem_cells: 0.23, iPS_cells:fibroblast-derived:Retroviral_transf: 0.23, iPS_cells:CRL2097_foreskin-derived:undiff.: 0.23, iPS_cells:PDB_2lox-22: 0.23, iPS_cells:PDB_2lox-17: 0.23, iPS_cells:PDB_2lox-5: 0.23 |
| T40_TAGGCATGTGGTACAG.1 | DC:monocyte-derived:antiCD40/VAF347 | 0.17 | 171.43 | Raw ScoresDC:monocyte-derived:A._fumigatus_germ_tubes_6h: 0.4, DC:monocyte-derived:Galectin-1: 0.4, Macrophage:monocyte-derived:M-CSF/IFNg/Pam3Cys: 0.4, Macrophage:monocyte-derived:S._aureus: 0.4, DC:monocyte-derived:antiCD40/VAF347: 0.4, DC:monocyte-derived:LPS: 0.4, DC:monocyte-derived: 0.4, DC:monocyte-derived:anti-DC-SIGN_2h: 0.39, Macrophage:monocyte-derived:IFNa: 0.39, Macrophage:Alveolar:B._anthacis_spores: 0.39 |
| T40_GTAACTGAGTTGAGAT.1 | T_cell:CD4+_central_memory | 0.13 | 164.03 | Raw ScoresT_cell:CD4+_central_memory: 0.35, T_cell:CD4+_effector_memory: 0.35, T_cell:CD4+_Naive: 0.35, T_cell:CD8+: 0.34, T_cell:CD4+: 0.33, T_cell:CD8+_effector_memory: 0.33, NK_cell: 0.33, T_cell:gamma-delta: 0.32, T_cell:CD8+_naive: 0.32, T_cell:CD8+_Central_memory: 0.32 |
| T69_ACGCCGACAAGGGTCA.1 | Neurons:adrenal_medulla_cell_line | 0.11 | 163.79 | Raw ScoresNeurons:adrenal_medulla_cell_line: 0.23, Neuroepithelial_cell:ESC-derived: 0.22, Astrocyte:Embryonic_stem_cell-derived: 0.21, iPS_cells:PDB_1lox-21Puro-20: 0.2, iPS_cells:PDB_1lox-17Puro-5: 0.2, iPS_cells:PDB_2lox-22: 0.19, iPS_cells:PDB_2lox-17: 0.19, iPS_cells:PDB_2lox-21: 0.19, iPS_cells:CRL2097_foreskin-derived:undiff.: 0.19, Neurons:ES_cell-derived_neural_precursor: 0.19 |
| T27_GCGACCAAGCGTGAGT.1 | B_cell:Germinal_center | 0.17 | 162.85 | Raw ScoresB_cell:Germinal_center: 0.39, B_cell:CXCR4+_centroblast: 0.38, B_cell:CXCR4-_centrocyte: 0.37, B_cell:Memory: 0.36, B_cell:immature: 0.36, B_cell:Naive: 0.35, Pro-B_cell_CD34+: 0.35, B_cell:Plasma_cell: 0.34, T_cell:gamma-delta: 0.33, Pre-B_cell_CD34-: 0.32 |
| T27_ATTATCCGTGAGGCTA.1 | Neurons:adrenal_medulla_cell_line | 0.13 | 160.40 | Raw ScoresNeurons:adrenal_medulla_cell_line: 0.31, Astrocyte:Embryonic_stem_cell-derived: 0.25, Neuroepithelial_cell:ESC-derived: 0.25, iPS_cells:adipose_stem_cell-derived:minicircle-derived: 0.22, iPS_cells:PDB_1lox-17Puro-5: 0.22, iPS_cells:CRL2097_foreskin-derived:undiff.: 0.22, iPS_cells:PDB_1lox-17Puro-10: 0.22, iPS_cells:adipose_stem_cell-derived:lentiviral: 0.22, iPS_cells:PDB_2lox-22: 0.22, iPS_cells:PDB_1lox-21Puro-20: 0.22 |
| T44_TAGTGGTGTCTCTCGT.1 | Neurons:adrenal_medulla_cell_line | 0.15 | 160.17 | Raw ScoresNeurons:adrenal_medulla_cell_line: 0.32, Neuroepithelial_cell:ESC-derived: 0.26, Astrocyte:Embryonic_stem_cell-derived: 0.25, Tissue_stem_cells:CD326-CD56+: 0.23, iPS_cells:CRL2097_foreskin-derived:undiff.: 0.23, iPS_cells:PDB_2lox-22: 0.23, iPS_cells:PDB_1lox-17Puro-5: 0.22, iPS_cells:PDB_2lox-21: 0.22, iPS_cells:PDB_1lox-21Puro-20: 0.22, iPS_cells:PDB_2lox-5: 0.22 |
| T34_CCTATTAGTATAGGTA.1 | Neurons:adrenal_medulla_cell_line | 0.16 | 158.38 | Raw ScoresNeurons:adrenal_medulla_cell_line: 0.31, Neuroepithelial_cell:ESC-derived: 0.24, Astrocyte:Embryonic_stem_cell-derived: 0.24, iPS_cells:CRL2097_foreskin-derived:undiff.: 0.22, iPS_cells:adipose_stem_cell-derived:minicircle-derived: 0.21, Embryonic_stem_cells: 0.21, iPS_cells:adipose_stem_cell-derived:lentiviral: 0.21, iPS_cells:PDB_2lox-22: 0.21, iPS_cells:PDB_1lox-21Puro-20: 0.21, iPS_cells:PDB_1lox-17Puro-10: 0.21 |
| T27_CTCGAAAAGAGGTTAT.1 | Neurons:adrenal_medulla_cell_line | 0.10 | 157.12 | Raw ScoresNeurons:adrenal_medulla_cell_line: 0.31, Astrocyte:Embryonic_stem_cell-derived: 0.26, Neuroepithelial_cell:ESC-derived: 0.25, T_cell:CD4+_Naive: 0.25, T_cell:CD4+_central_memory: 0.25, NK_cell:CD56hiCD62L+: 0.25, iPS_cells:CRL2097_foreskin-derived:undiff.: 0.25, T_cell:CD4+_effector_memory: 0.25, Pro-B_cell_CD34+: 0.24, T_cell:CD8+_effector_memory: 0.24 |
| T27_GCGCCAAAGACTAGGC.1 | Neurons:adrenal_medulla_cell_line | 0.18 | 155.46 | Raw ScoresNeurons:adrenal_medulla_cell_line: 0.32, Neuroepithelial_cell:ESC-derived: 0.26, Astrocyte:Embryonic_stem_cell-derived: 0.25, Neurons:ES_cell-derived_neural_precursor: 0.22, iPS_cells:PDB_1lox-17Puro-5: 0.22, iPS_cells:PDB_1lox-21Puro-20: 0.22, iPS_cells:PDB_1lox-17Puro-10: 0.22, Embryonic_stem_cells: 0.22, iPS_cells:PDB_1lox-21Puro-26: 0.21, iPS_cells:PDB_2lox-22: 0.21 |
| T92_GGCGTGTCAGGTCGTC.1 | DC:monocyte-derived:Poly(IC) | 0.15 | 153.40 | Raw ScoresMacrophage:monocyte-derived:S._aureus: 0.37, Macrophage:monocyte-derived:IFNa: 0.37, DC:monocyte-derived:A._fumigatus_germ_tubes_6h: 0.37, Macrophage:monocyte-derived: 0.37, DC:monocyte-derived:Poly(IC): 0.36, DC:monocyte-derived:immature: 0.36, Macrophage:Alveolar:B._anthacis_spores: 0.36, DC:monocyte-derived:CD40L: 0.36, DC:monocyte-derived:antiCD40/VAF347: 0.36, Macrophage:Alveolar: 0.36 |
| T44_ACGGAGAAGACTGGGT.1 | Neurons:adrenal_medulla_cell_line | 0.18 | 153.17 | Raw ScoresNeurons:adrenal_medulla_cell_line: 0.35, Astrocyte:Embryonic_stem_cell-derived: 0.28, Neuroepithelial_cell:ESC-derived: 0.28, iPS_cells:CRL2097_foreskin-derived:undiff.: 0.25, iPS_cells:PDB_1lox-21Puro-20: 0.25, iPS_cells:PDB_2lox-22: 0.24, iPS_cells:fibroblast-derived:Retroviral_transf: 0.24, iPS_cells:PDB_2lox-21: 0.24, Embryonic_stem_cells: 0.24, Neurons:ES_cell-derived_neural_precursor: 0.24 |
| T92_CGCTATCAGTTAAGTG.1 | Neurons:adrenal_medulla_cell_line | 0.16 | 150.89 | Raw ScoresNeurons:adrenal_medulla_cell_line: 0.35, Neuroepithelial_cell:ESC-derived: 0.28, Astrocyte:Embryonic_stem_cell-derived: 0.27, iPS_cells:adipose_stem_cell-derived:lentiviral: 0.25, Tissue_stem_cells:CD326-CD56+: 0.25, iPS_cells:adipose_stem_cell-derived:minicircle-derived: 0.25, Embryonic_stem_cells: 0.25, iPS_cells:CRL2097_foreskin-derived:undiff.: 0.25, iPS_cells:PDB_2lox-22: 0.25, Endothelial_cells:HUVEC:FPV-infected: 0.25 |
Below shows the significant enrichments of this GEP for literature curated gene lists
This data was procured from existing single cell RNA-seq maps of neuroblastoma or related relevant data.
High ranks indicate this gene is a driver of this GEP.
These curated gene list are ranked by the P-value (on this GEP) of their constituent genes.
The Mean Count column shows the mean read count in cells scoring highly (H > 50) on this gene expression program.
| Genes | Weight | Rank | GTEx | DepMap | Decartes | Mean.Counts | Mean.TPM |
|---|---|---|---|---|---|---|---|
| CCR7 | 0.0039314 | 19 | GTEx | DepMap | Descartes | 1.13 | 176.38 |
| SELL | 0.0029603 | 31 | GTEx | DepMap | Descartes | 0.73 | 103.10 |
| LEF1 | 0.0028812 | 33 | GTEx | DepMap | Descartes | 0.53 | 52.78 |
| TCF7 | 0.0019795 | 70 | GTEx | DepMap | Descartes | 0.54 | 34.24 |
| CD4 | 0.0000353 | 839 | GTEx | DepMap | Descartes | 0.18 | 13.74 |
| FOXP3 | -0.0001723 | 2131 | GTEx | DepMap | Descartes | 0.01 | 1.86 |
Translation (Dong)
Markers obtained in computationally inferred meta program (by NMF applied to their neuroblastoma sc-RNA-seq data) from Fig. 5(a) of Dong et al. (PMID 32946775).:
Wilcoxon ranksum test P-value for gene set overrepresentation: 1.39e-03
Mean rank of genes in gene set: 17.33
Rank on gene expression program of genes in gene set:
| Genes | Weight | Rank | GTEx | DepMap | Decartes | Mean.Counts | Mean.TPM |
|---|---|---|---|---|---|---|---|
| EIF3E | 0.0072348 | 4 | GTEx | DepMap | Descartes | 4.20 | 523.24 |
| EIF3L | 0.0043609 | 14 | GTEx | DepMap | Descartes | 4.24 | 263.92 |
| EIF3F | 0.0028574 | 34 | GTEx | DepMap | Descartes | 2.97 | 96.13 |
Myofibroblastic CAF
These marker genes were curated across cancer subtypes in multiple organ systems as reviewed in Lavie et. al. (PMID 35883004) and contain myofibroblastic specific CAF genes:
Wilcoxon ranksum test P-value for gene set overrepresentation: 4.64e-03
Mean rank of genes in gene set: 4931.1
Rank on gene expression program of genes in gene set:
| Genes | Weight | Rank | GTEx | DepMap | Decartes | Mean.Counts | Mean.TPM |
|---|---|---|---|---|---|---|---|
| CNN2 | 0.0023756 | 51 | GTEx | DepMap | Descartes | 0.47 | 66.89 |
| TGFBR2 | 0.0001868 | 576 | GTEx | DepMap | Descartes | 0.17 | 9.61 |
| MYH11 | 0.0000846 | 725 | GTEx | DepMap | Descartes | 0.00 | 0.19 |
| COL13A1 | -0.0001067 | 1600 | GTEx | DepMap | Descartes | 0.00 | 0.13 |
| COL10A1 | -0.0001113 | 1630 | GTEx | DepMap | Descartes | 0.00 | 0.00 |
| THBS1 | -0.0001806 | 2191 | GTEx | DepMap | Descartes | 0.03 | 0.73 |
| IGFBP3 | -0.0001841 | 2229 | GTEx | DepMap | Descartes | 0.02 | 0.91 |
| POSTN | -0.0001957 | 2327 | GTEx | DepMap | Descartes | 0.00 | 0.13 |
| ACTA2 | -0.0001965 | 2334 | GTEx | DepMap | Descartes | 0.06 | 7.39 |
| TGFB2 | -0.0002591 | 2882 | GTEx | DepMap | Descartes | 0.01 | 0.25 |
| ACTG2 | -0.0002626 | 2909 | GTEx | DepMap | Descartes | 0.00 | 0.03 |
| MYL9 | -0.0002753 | 3000 | GTEx | DepMap | Descartes | 0.05 | 2.61 |
| MEF2C | -0.0002901 | 3131 | GTEx | DepMap | Descartes | 0.13 | 4.57 |
| COL11A1 | -0.0003123 | 3342 | GTEx | DepMap | Descartes | 0.00 | 0.06 |
| MYLK | -0.0003380 | 3556 | GTEx | DepMap | Descartes | 0.01 | 0.18 |
| TAGLN | -0.0003392 | 3568 | GTEx | DepMap | Descartes | 0.05 | 2.40 |
| COL8A1 | -0.0003393 | 3569 | GTEx | DepMap | Descartes | 0.02 | 0.33 |
| VEGFA | -0.0003822 | 3902 | GTEx | DepMap | Descartes | 0.12 | 1.41 |
| LUM | -0.0003953 | 4014 | GTEx | DepMap | Descartes | 0.06 | 5.23 |
| COL5A1 | -0.0004070 | 4103 | GTEx | DepMap | Descartes | 0.01 | 0.19 |
| BGN | -0.0004090 | 4119 | GTEx | DepMap | Descartes | 0.02 | 1.39 |
| COL1A1 | -0.0004117 | 4143 | GTEx | DepMap | Descartes | 0.21 | 5.67 |
| TGFB1 | -0.0004190 | 4207 | GTEx | DepMap | Descartes | 0.47 | 55.87 |
| COL15A1 | -0.0004291 | 4289 | GTEx | DepMap | Descartes | 0.01 | 0.34 |
| COL3A1 | -0.0004384 | 4360 | GTEx | DepMap | Descartes | 0.11 | 3.13 |
| COL14A1 | -0.0004729 | 4626 | GTEx | DepMap | Descartes | 0.00 | 0.14 |
| TNC | -0.0004808 | 4698 | GTEx | DepMap | Descartes | 0.01 | 0.11 |
| WNT5A | -0.0004844 | 4724 | GTEx | DepMap | Descartes | 0.01 | 0.23 |
| COL5A2 | -0.0004885 | 4755 | GTEx | DepMap | Descartes | 0.01 | 0.35 |
| DCN | -0.0004972 | 4830 | GTEx | DepMap | Descartes | 0.09 | 2.22 |
| THBS2 | -0.0004979 | 4842 | GTEx | DepMap | Descartes | 0.01 | 0.28 |
| MMP11 | -0.0005000 | 4851 | GTEx | DepMap | Descartes | 0.01 | 0.56 |
| COL1A2 | -0.0005003 | 4853 | GTEx | DepMap | Descartes | 0.13 | 3.32 |
| COL12A1 | -0.0005087 | 4921 | GTEx | DepMap | Descartes | 0.01 | 0.17 |
| FN1 | -0.0005424 | 5193 | GTEx | DepMap | Descartes | 0.07 | 1.23 |
| ITGA7 | -0.0005935 | 5579 | GTEx | DepMap | Descartes | 0.01 | 0.49 |
| PGF | -0.0006090 | 5700 | GTEx | DepMap | Descartes | 0.11 | 4.58 |
| IGFBP7 | -0.0006097 | 5707 | GTEx | DepMap | Descartes | 0.62 | 64.30 |
| COL4A1 | -0.0006580 | 6084 | GTEx | DepMap | Descartes | 0.05 | 1.07 |
| TMEM119 | -0.0006769 | 6230 | GTEx | DepMap | Descartes | 0.03 | 1.62 |
| HOPX | -0.0007049 | 6425 | GTEx | DepMap | Descartes | 0.18 | 18.34 |
| TPM2 | -0.0009951 | 8460 | GTEx | DepMap | Descartes | 0.10 | 9.61 |
| MMP2 | -0.0011138 | 9103 | GTEx | DepMap | Descartes | 0.05 | 2.36 |
| TGFBR1 | -0.0011872 | 9453 | GTEx | DepMap | Descartes | 0.15 | 4.28 |
| THY1 | -0.0014552 | 10495 | GTEx | DepMap | Descartes | 0.15 | 4.84 |
| TPM1 | -0.0018863 | 11511 | GTEx | DepMap | Descartes | 0.47 | 17.31 |
| VCAN | -0.0019501 | 11612 | GTEx | DepMap | Descartes | 0.24 | 3.31 |
| CNN3 | -0.0020937 | 11792 | GTEx | DepMap | Descartes | 0.26 | 20.62 |
| RGS5 | -0.0034078 | 12423 | GTEx | DepMap | Descartes | 3.71 | 92.48 |
Below shows ranks on this GEP for literature curated gene lists for large gene sets
These include those reported as mesenchymal/adrenergic by Van Groningen et al.
High ranks indicate this gene is a driver of this GEP (note these results are not ordered).
The Mean Count column shows the mean read count in cells scoring highly (H > 50) on this gene expression program.
VanGroningen Adrenergic Genes
Adrenergic marker genes from Supplementary Table 2 of Van Groningen et al. Nature Genetics 2017. These genes were identified by differential expression analysis of mesenchymal-like and adrenergic-like neuroblastoma cell lines.
Wilcoxon ranksum test P-value for gene set overrepresentation: 1.00e+00
Mean rank of genes in gene set: 9670.68
Median rank of genes in gene set: 10414
Rank on gene expression program of top 30 genes in gene set:
| Genes | Weight | Rank | GTEx | DepMap | Descartes | Mean.Counts | Mean.TPM |
|---|---|---|---|---|---|---|---|
| LEPROTL1 | 0.0015092 | 113 | GTEx | DepMap | Descartes | 1.76 | 189.58 |
| CXCR4 | 0.0008604 | 217 | GTEx | DepMap | Descartes | 4.00 | 734.71 |
| CCNI | 0.0007888 | 232 | GTEx | DepMap | Descartes | 7.48 | 562.40 |
| UCP2 | 0.0006867 | 263 | GTEx | DepMap | Descartes | 1.07 | 155.62 |
| HK2 | 0.0002425 | 503 | GTEx | DepMap | Descartes | 0.05 | 1.32 |
| EVL | 0.0002008 | 552 | GTEx | DepMap | Descartes | 1.97 | 149.24 |
| SATB1 | 0.0001931 | 563 | GTEx | DepMap | Descartes | 0.55 | 19.72 |
| ABLIM1 | 0.0001768 | 599 | GTEx | DepMap | Descartes | 0.19 | 7.60 |
| EML4 | 0.0001112 | 679 | GTEx | DepMap | Descartes | 0.48 | 27.54 |
| PDK1 | -0.0000206 | 1049 | GTEx | DepMap | Descartes | 0.08 | 1.41 |
| BMPR1B | -0.0000219 | 1052 | GTEx | DepMap | Descartes | 0.20 | 5.48 |
| FAM167A | -0.0001580 | 2011 | GTEx | DepMap | Descartes | 0.02 | 1.00 |
| HMGA1 | -0.0001640 | 2062 | GTEx | DepMap | Descartes | 1.61 | 142.12 |
| GLDC | -0.0003444 | 3607 | GTEx | DepMap | Descartes | 0.00 | 0.10 |
| RIMS3 | -0.0003534 | 3671 | GTEx | DepMap | Descartes | 0.20 | 3.72 |
| ESRRG | -0.0003970 | 4022 | GTEx | DepMap | Descartes | 0.02 | 0.45 |
| BEND4 | -0.0004285 | 4286 | GTEx | DepMap | Descartes | 0.00 | 0.10 |
| STRA6 | -0.0004289 | 4287 | GTEx | DepMap | Descartes | 0.00 | 0.33 |
| DIABLO | -0.0004616 | 4545 | GTEx | DepMap | Descartes | 0.09 | 4.92 |
| GRB10 | -0.0004925 | 4788 | GTEx | DepMap | Descartes | 0.03 | 1.10 |
| RET | -0.0005043 | 4889 | GTEx | DepMap | Descartes | 0.02 | 0.47 |
| HEY1 | -0.0005202 | 5018 | GTEx | DepMap | Descartes | 0.03 | 1.26 |
| PARP6 | -0.0005204 | 5023 | GTEx | DepMap | Descartes | 0.31 | 14.01 |
| SERP2 | -0.0005293 | 5096 | GTEx | DepMap | Descartes | 0.39 | 61.46 |
| MYRIP | -0.0005352 | 5138 | GTEx | DepMap | Descartes | 0.01 | 0.30 |
| POPDC3 | -0.0005443 | 5206 | GTEx | DepMap | Descartes | 0.01 | 0.54 |
| DAPK1 | -0.0005565 | 5312 | GTEx | DepMap | Descartes | 0.08 | 1.79 |
| CELF2 | -0.0005744 | 5448 | GTEx | DepMap | Descartes | 0.44 | 14.57 |
| TBC1D30 | -0.0005892 | 5541 | GTEx | DepMap | Descartes | 0.04 | 0.70 |
| LMO3 | -0.0005951 | 5589 | GTEx | DepMap | Descartes | 0.02 | 0.70 |
VanGroningen Mesenchymal Genes
Mesenchymal marker genes from Supplementary Table 2 of Van Groningen et al. Nature Genetics 2017. These genes were identified by differential expression analysis of mesenchymal-like and adrenergic-like neuroblastoma cell lines.
Wilcoxon ranksum test P-value for gene set overrepresentation: 5.95e-02
Mean rank of genes in gene set: 6008.93
Median rank of genes in gene set: 5419
Rank on gene expression program of top 30 genes in gene set:
| Genes | Weight | Rank | GTEx | DepMap | Descartes | Mean.Counts | Mean.TPM |
|---|---|---|---|---|---|---|---|
| ARPC1B | 0.0026768 | 42 | GTEx | DepMap | Descartes | 1.94 | 303.30 |
| RGS10 | 0.0020440 | 67 | GTEx | DepMap | Descartes | 1.79 | 586.15 |
| ELF1 | 0.0019987 | 69 | GTEx | DepMap | Descartes | 0.77 | 79.30 |
| TSC22D3 | 0.0019129 | 73 | GTEx | DepMap | Descartes | 3.01 | 467.03 |
| PTGER4 | 0.0015377 | 108 | GTEx | DepMap | Descartes | 0.58 | 60.68 |
| LITAF | 0.0014184 | 119 | GTEx | DepMap | Descartes | 1.10 | 125.63 |
| IFITM2 | 0.0014102 | 120 | GTEx | DepMap | Descartes | 1.59 | 597.02 |
| B2M | 0.0013107 | 136 | GTEx | DepMap | Descartes | 43.73 | 5926.96 |
| ABRACL | 0.0011431 | 158 | GTEx | DepMap | Descartes | 0.89 | NA |
| RAP1A | 0.0009478 | 196 | GTEx | DepMap | Descartes | 0.56 | 34.26 |
| INSIG1 | 0.0007735 | 236 | GTEx | DepMap | Descartes | 0.35 | 31.07 |
| SUCLG2 | 0.0006982 | 257 | GTEx | DepMap | Descartes | 0.15 | 20.15 |
| CD44 | 0.0004099 | 379 | GTEx | DepMap | Descartes | 1.88 | 84.15 |
| SNAP23 | 0.0003744 | 404 | GTEx | DepMap | Descartes | 0.14 | 16.04 |
| PCSK5 | 0.0003035 | 453 | GTEx | DepMap | Descartes | 0.03 | 0.77 |
| ETS1 | 0.0002824 | 471 | GTEx | DepMap | Descartes | 0.44 | 30.08 |
| CBFB | 0.0002050 | 548 | GTEx | DepMap | Descartes | 0.33 | 22.89 |
| TGFBR2 | 0.0001868 | 576 | GTEx | DepMap | Descartes | 0.17 | 9.61 |
| POLR2L | 0.0001828 | 584 | GTEx | DepMap | Descartes | 1.72 | 484.37 |
| LRP10 | 0.0001689 | 611 | GTEx | DepMap | Descartes | 0.17 | 8.00 |
| REST | 0.0001204 | 666 | GTEx | DepMap | Descartes | 0.14 | 6.01 |
| NPC2 | 0.0001034 | 693 | GTEx | DepMap | Descartes | 1.18 | 151.33 |
| SLC30A7 | 0.0000893 | 719 | GTEx | DepMap | Descartes | 0.12 | 3.55 |
| TCF7L2 | 0.0000775 | 738 | GTEx | DepMap | Descartes | 0.06 | 2.06 |
| CMTM3 | 0.0000559 | 779 | GTEx | DepMap | Descartes | 0.30 | 33.28 |
| NOTCH2 | 0.0000358 | 835 | GTEx | DepMap | Descartes | 0.05 | 1.27 |
| PLEKHA2 | 0.0000171 | 892 | GTEx | DepMap | Descartes | 0.11 | 5.72 |
| MYLIP | 0.0000125 | 906 | GTEx | DepMap | Descartes | 0.15 | 14.71 |
| PDE7B | 0.0000095 | 916 | GTEx | DepMap | Descartes | 0.02 | 0.87 |
| DLX2 | -0.0000006 | 953 | GTEx | DepMap | Descartes | 0.00 | 0.09 |
Descartes adrenocortical markers
Top 50 marker genes of adrenocortical cells in the Decartes fetal adrenal single cell map (https://atlas.brotmanbaty.org/bbi/human-gene-expression-during-development/cell/adrenocortical/in/adrenal)
Wilcoxon ranksum test P-value for gene set overrepresentation: 9.77e-01
Mean rank of genes in gene set: 7477.47
Median rank of genes in gene set: 7425.5
Rank on gene expression program of top 30 genes in gene set:
| Genes | Weight | Rank | GTEx | DepMap | Descartes | Mean.Counts | Mean.TPM |
|---|---|---|---|---|---|---|---|
| SGCZ | -0.0000038 | 968 | GTEx | DepMap | Descartes | 0.01 | 0.23 |
| STAR | -0.0000719 | 1359 | GTEx | DepMap | Descartes | 0.01 | 0.51 |
| FREM2 | -0.0000812 | 1409 | GTEx | DepMap | Descartes | 0.00 | 0.00 |
| LDLR | -0.0001013 | 1563 | GTEx | DepMap | Descartes | 0.09 | 4.64 |
| DHCR24 | -0.0002778 | 3032 | GTEx | DepMap | Descartes | 0.09 | 2.54 |
| BAIAP2L1 | -0.0003608 | 3725 | GTEx | DepMap | Descartes | 0.00 | 0.24 |
| INHA | -0.0004959 | 4819 | GTEx | DepMap | Descartes | 0.00 | 0.71 |
| DHCR7 | -0.0005006 | 4856 | GTEx | DepMap | Descartes | 0.09 | 8.57 |
| PAPSS2 | -0.0005065 | 4900 | GTEx | DepMap | Descartes | 0.02 | 0.72 |
| NPC1 | -0.0005460 | 5220 | GTEx | DepMap | Descartes | 0.03 | 1.66 |
| SCARB1 | -0.0005831 | 5502 | GTEx | DepMap | Descartes | 0.06 | 1.76 |
| APOC1 | -0.0006645 | 6137 | GTEx | DepMap | Descartes | 2.98 | 567.18 |
| FDXR | -0.0007165 | 6506 | GTEx | DepMap | Descartes | 0.07 | 5.57 |
| FDX1 | -0.0007302 | 6609 | GTEx | DepMap | Descartes | 0.38 | 31.71 |
| FRMD5 | -0.0007669 | 6865 | GTEx | DepMap | Descartes | 0.02 | 0.65 |
| SLC16A9 | -0.0007819 | 6991 | GTEx | DepMap | Descartes | 0.04 | 1.47 |
| PDE10A | -0.0008033 | 7142 | GTEx | DepMap | Descartes | 0.02 | 0.47 |
| SH3PXD2B | -0.0008382 | 7393 | GTEx | DepMap | Descartes | 0.02 | 0.40 |
| GRAMD1B | -0.0008471 | 7458 | GTEx | DepMap | Descartes | 0.02 | 0.75 |
| ERN1 | -0.0009027 | 7849 | GTEx | DepMap | Descartes | 0.13 | 4.98 |
| CYB5B | -0.0009722 | 8317 | GTEx | DepMap | Descartes | 0.30 | 16.50 |
| HMGCS1 | -0.0010460 | 8741 | GTEx | DepMap | Descartes | 0.19 | 6.47 |
| MSMO1 | -0.0011390 | 9218 | GTEx | DepMap | Descartes | 0.14 | 12.82 |
| IGF1R | -0.0011745 | 9395 | GTEx | DepMap | Descartes | 0.13 | 1.68 |
| SCAP | -0.0011786 | 9415 | GTEx | DepMap | Descartes | 0.11 | 4.83 |
| PEG3 | -0.0011843 | 9438 | GTEx | DepMap | Descartes | 0.17 | NA |
| TM7SF2 | -0.0014565 | 10499 | GTEx | DepMap | Descartes | 0.21 | 18.10 |
| POR | -0.0014637 | 10523 | GTEx | DepMap | Descartes | 0.14 | 11.34 |
| SLC1A2 | -0.0015005 | 10641 | GTEx | DepMap | Descartes | 0.08 | 0.97 |
| HMGCR | -0.0016651 | 11093 | GTEx | DepMap | Descartes | 0.12 | 4.68 |
Descartes chromaffin markers
Top 50 marker genes of chromaffin cells in the Decartes fetal adrenal single cell map (https://atlas.brotmanbaty.org/bbi/human-gene-expression-during-development/cell/chromaffin/in/adrenal)
Wilcoxon ranksum test P-value for gene set overrepresentation: 1.00e+00
Mean rank of genes in gene set: 8742.32
Median rank of genes in gene set: 9185
Rank on gene expression program of top 30 genes in gene set:
| Genes | Weight | Rank | GTEx | DepMap | Descartes | Mean.Counts | Mean.TPM |
|---|---|---|---|---|---|---|---|
| PLXNA4 | 0.0002727 | 475 | GTEx | DepMap | Descartes | 0.13 | 1.34 |
| RBFOX1 | 0.0001745 | 602 | GTEx | DepMap | Descartes | 0.23 | 7.30 |
| ANKFN1 | 0.0000964 | 708 | GTEx | DepMap | Descartes | 0.02 | 0.68 |
| EPHA6 | -0.0001823 | 2212 | GTEx | DepMap | Descartes | 0.00 | 0.16 |
| PTCHD1 | -0.0003239 | 3442 | GTEx | DepMap | Descartes | 0.05 | 0.54 |
| SLC44A5 | -0.0003254 | 3454 | GTEx | DepMap | Descartes | 0.01 | 0.46 |
| HS3ST5 | -0.0004359 | 4342 | GTEx | DepMap | Descartes | 0.06 | 1.91 |
| EYA4 | -0.0005551 | 5299 | GTEx | DepMap | Descartes | 0.04 | 1.01 |
| RYR2 | -0.0007408 | 6674 | GTEx | DepMap | Descartes | 0.02 | 0.18 |
| TMEFF2 | -0.0008309 | 7351 | GTEx | DepMap | Descartes | 0.23 | 9.65 |
| RPH3A | -0.0008764 | 7686 | GTEx | DepMap | Descartes | 0.02 | 0.49 |
| SYNPO2 | -0.0009158 | 7945 | GTEx | DepMap | Descartes | 0.08 | 0.81 |
| ALK | -0.0009316 | 8064 | GTEx | DepMap | Descartes | 0.02 | 0.46 |
| STMN2 | -0.0009554 | 8217 | GTEx | DepMap | Descartes | 14.11 | 1067.20 |
| REEP1 | -0.0009690 | 8300 | GTEx | DepMap | Descartes | 0.19 | 7.38 |
| EYA1 | -0.0010178 | 8578 | GTEx | DepMap | Descartes | 0.04 | 1.32 |
| CNKSR2 | -0.0010243 | 8615 | GTEx | DepMap | Descartes | 0.07 | 1.49 |
| GREM1 | -0.0010422 | 8715 | GTEx | DepMap | Descartes | 0.01 | 0.18 |
| FAT3 | -0.0010530 | 8790 | GTEx | DepMap | Descartes | 0.04 | 0.31 |
| GAL | -0.0010747 | 8908 | GTEx | DepMap | Descartes | 0.62 | 111.07 |
| ELAVL2 | -0.0011313 | 9185 | GTEx | DepMap | Descartes | 0.43 | 16.02 |
| KCNB2 | -0.0012045 | 9526 | GTEx | DepMap | Descartes | 0.04 | 1.46 |
| RGMB | -0.0012095 | 9552 | GTEx | DepMap | Descartes | 0.28 | 8.55 |
| SLC6A2 | -0.0012428 | 9704 | GTEx | DepMap | Descartes | 0.11 | 4.24 |
| CNTFR | -0.0012581 | 9788 | GTEx | DepMap | Descartes | 0.53 | 35.58 |
| MAB21L2 | -0.0014208 | 10375 | GTEx | DepMap | Descartes | 0.29 | 16.46 |
| TMEM132C | -0.0016117 | 10965 | GTEx | DepMap | Descartes | 0.09 | 2.52 |
| IL7 | -0.0016387 | 11024 | GTEx | DepMap | Descartes | 0.34 | 24.33 |
| GAP43 | -0.0019626 | 11628 | GTEx | DepMap | Descartes | 2.28 | 165.80 |
| MLLT11 | -0.0022568 | 11970 | GTEx | DepMap | Descartes | 4.30 | 264.64 |
Descartes Vascular_endothelial markers
Top 50 marker genes of Vascular_endothelial cells in the Decartes fetal adrenal single cell map (https://atlas.brotmanbaty.org/bbi/human-gene-expression-during-development/cell/vascular_endothelial/in/adrenal)
Wilcoxon ranksum test P-value for gene set overrepresentation: 1.70e-04
Mean rank of genes in gene set: 4172.89
Median rank of genes in gene set: 3280
Rank on gene expression program of top 30 genes in gene set:
| Genes | Weight | Rank | GTEx | DepMap | Descartes | Mean.Counts | Mean.TPM |
|---|---|---|---|---|---|---|---|
| CEACAM1 | 0.0004794 | 346 | GTEx | DepMap | Descartes | 0.03 | 2.61 |
| CDH13 | 0.0002859 | 469 | GTEx | DepMap | Descartes | 0.03 | 0.56 |
| BTNL9 | 0.0000110 | 909 | GTEx | DepMap | Descartes | 0.00 | 0.12 |
| F8 | -0.0000056 | 977 | GTEx | DepMap | Descartes | 0.01 | 0.28 |
| CRHBP | -0.0000124 | 1007 | GTEx | DepMap | Descartes | 0.01 | 0.53 |
| ESM1 | -0.0001258 | 1741 | GTEx | DepMap | Descartes | 0.00 | 0.06 |
| SHE | -0.0001339 | 1803 | GTEx | DepMap | Descartes | 0.00 | 0.03 |
| KANK3 | -0.0001565 | 1997 | GTEx | DepMap | Descartes | 0.01 | 1.01 |
| RASIP1 | -0.0001707 | 2116 | GTEx | DepMap | Descartes | 0.01 | 0.45 |
| NPR1 | -0.0001903 | 2278 | GTEx | DepMap | Descartes | 0.00 | 0.02 |
| SLCO2A1 | -0.0001961 | 2329 | GTEx | DepMap | Descartes | 0.00 | 0.00 |
| NR5A2 | -0.0002532 | 2822 | GTEx | DepMap | Descartes | 0.00 | 0.02 |
| FLT4 | -0.0002591 | 2883 | GTEx | DepMap | Descartes | 0.00 | 0.04 |
| KDR | -0.0002661 | 2938 | GTEx | DepMap | Descartes | 0.00 | 0.06 |
| PLVAP | -0.0002751 | 2996 | GTEx | DepMap | Descartes | 0.01 | 1.03 |
| MMRN2 | -0.0002826 | 3074 | GTEx | DepMap | Descartes | 0.00 | 0.18 |
| TIE1 | -0.0002941 | 3165 | GTEx | DepMap | Descartes | 0.00 | 0.10 |
| EHD3 | -0.0003015 | 3236 | GTEx | DepMap | Descartes | 0.02 | 0.42 |
| CDH5 | -0.0003038 | 3260 | GTEx | DepMap | Descartes | 0.00 | 0.05 |
| PTPRB | -0.0003087 | 3300 | GTEx | DepMap | Descartes | 0.00 | 0.03 |
| GALNT15 | -0.0003106 | 3323 | GTEx | DepMap | Descartes | 0.00 | NA |
| CALCRL | -0.0003171 | 3383 | GTEx | DepMap | Descartes | 0.01 | 0.24 |
| ROBO4 | -0.0003303 | 3491 | GTEx | DepMap | Descartes | 0.00 | 0.10 |
| TMEM88 | -0.0003828 | 3906 | GTEx | DepMap | Descartes | 0.05 | 12.20 |
| SHANK3 | -0.0004443 | 4412 | GTEx | DepMap | Descartes | 0.01 | 0.18 |
| ID1 | -0.0004827 | 4711 | GTEx | DepMap | Descartes | 0.11 | 26.19 |
| PODXL | -0.0005017 | 4866 | GTEx | DepMap | Descartes | 0.02 | 0.47 |
| MYRIP | -0.0005352 | 5138 | GTEx | DepMap | Descartes | 0.01 | 0.30 |
| CLDN5 | -0.0005497 | 5250 | GTEx | DepMap | Descartes | 0.03 | 1.54 |
| TEK | -0.0005797 | 5477 | GTEx | DepMap | Descartes | 0.00 | 0.03 |
Descartes stromal markers
Top 50 marker genes of stromal cells in the Decartes fetal adrenal single cell map (https://atlas.brotmanbaty.org/bbi/human-gene-expression-during-development/cell/stromal/in/adrenal)
Wilcoxon ranksum test P-value for gene set overrepresentation: 1.93e-05
Mean rank of genes in gene set: 4031.23
Median rank of genes in gene set: 3679.5
Rank on gene expression program of top 30 genes in gene set:
| Genes | Weight | Rank | GTEx | DepMap | Descartes | Mean.Counts | Mean.TPM |
|---|---|---|---|---|---|---|---|
| FREM1 | -0.0000200 | 1048 | GTEx | DepMap | Descartes | 0.00 | 0.07 |
| LAMC3 | -0.0000278 | 1076 | GTEx | DepMap | Descartes | 0.00 | 0.00 |
| COL27A1 | -0.0000442 | 1176 | GTEx | DepMap | Descartes | 0.00 | 0.08 |
| DKK2 | -0.0001008 | 1561 | GTEx | DepMap | Descartes | 0.00 | 0.06 |
| RSPO3 | -0.0001375 | 1843 | GTEx | DepMap | Descartes | 0.00 | NA |
| IGFBP3 | -0.0001841 | 2229 | GTEx | DepMap | Descartes | 0.02 | 0.91 |
| MGP | -0.0001881 | 2264 | GTEx | DepMap | Descartes | 0.12 | 9.18 |
| ITGA11 | -0.0001938 | 2309 | GTEx | DepMap | Descartes | 0.00 | 0.06 |
| POSTN | -0.0001957 | 2327 | GTEx | DepMap | Descartes | 0.00 | 0.13 |
| ACTA2 | -0.0001965 | 2334 | GTEx | DepMap | Descartes | 0.06 | 7.39 |
| SFRP2 | -0.0002076 | 2435 | GTEx | DepMap | Descartes | 0.00 | 0.00 |
| CD248 | -0.0002203 | 2541 | GTEx | DepMap | Descartes | 0.04 | 4.77 |
| SCARA5 | -0.0002459 | 2774 | GTEx | DepMap | Descartes | 0.00 | 0.00 |
| ABCC9 | -0.0002742 | 2990 | GTEx | DepMap | Descartes | 0.00 | 0.01 |
| EDNRA | -0.0002870 | 3111 | GTEx | DepMap | Descartes | 0.00 | 0.09 |
| ADAMTSL3 | -0.0003223 | 3430 | GTEx | DepMap | Descartes | 0.00 | 0.01 |
| ABCA6 | -0.0003272 | 3467 | GTEx | DepMap | Descartes | 0.01 | 0.17 |
| C7 | -0.0003304 | 3493 | GTEx | DepMap | Descartes | 0.01 | 0.15 |
| GAS2 | -0.0003376 | 3551 | GTEx | DepMap | Descartes | 0.00 | 0.32 |
| GLI2 | -0.0003379 | 3555 | GTEx | DepMap | Descartes | 0.00 | 0.01 |
| OGN | -0.0003391 | 3567 | GTEx | DepMap | Descartes | 0.01 | 0.50 |
| CCDC80 | -0.0003408 | 3585 | GTEx | DepMap | Descartes | 0.05 | 0.50 |
| PRRX1 | -0.0003669 | 3774 | GTEx | DepMap | Descartes | 0.00 | 0.12 |
| PAMR1 | -0.0003890 | 3956 | GTEx | DepMap | Descartes | 0.00 | 0.19 |
| ELN | -0.0003892 | 3959 | GTEx | DepMap | Descartes | 0.04 | 1.17 |
| LUM | -0.0003953 | 4014 | GTEx | DepMap | Descartes | 0.06 | 5.23 |
| BICC1 | -0.0004022 | 4066 | GTEx | DepMap | Descartes | 0.01 | 0.19 |
| LRRC17 | -0.0004082 | 4115 | GTEx | DepMap | Descartes | 0.00 | 0.34 |
| COL1A1 | -0.0004117 | 4143 | GTEx | DepMap | Descartes | 0.21 | 5.67 |
| LOX | -0.0004125 | 4151 | GTEx | DepMap | Descartes | 0.01 | 0.18 |
Descartes sympathoblasts markers
Top 50 marker genes of sympathoblasts cells in the Decartes fetal adrenal single cell map (https://atlas.brotmanbaty.org/bbi/human-gene-expression-during-development/cell/sympathoblasts/in/adrenal)
Wilcoxon ranksum test P-value for gene set overrepresentation: 5.68e-01
Mean rank of genes in gene set: 6375.66
Median rank of genes in gene set: 6079
Rank on gene expression program of top 30 genes in gene set:
| Genes | Weight | Rank | GTEx | DepMap | Descartes | Mean.Counts | Mean.TPM |
|---|---|---|---|---|---|---|---|
| TENM1 | 0.0000077 | 922 | GTEx | DepMap | Descartes | 0.03 | NA |
| GRM7 | -0.0000153 | 1023 | GTEx | DepMap | Descartes | 0.00 | 0.13 |
| CNTN3 | -0.0000976 | 1534 | GTEx | DepMap | Descartes | 0.00 | 0.13 |
| CDH12 | -0.0001400 | 1862 | GTEx | DepMap | Descartes | 0.01 | 0.39 |
| SLC35F3 | -0.0001430 | 1890 | GTEx | DepMap | Descartes | 0.01 | 0.50 |
| PENK | -0.0001815 | 2200 | GTEx | DepMap | Descartes | 0.00 | 0.05 |
| KSR2 | -0.0002657 | 2935 | GTEx | DepMap | Descartes | 0.05 | 0.41 |
| ST18 | -0.0002790 | 3045 | GTEx | DepMap | Descartes | 0.00 | 0.04 |
| SORCS3 | -0.0003240 | 3443 | GTEx | DepMap | Descartes | 0.00 | 0.10 |
| LAMA3 | -0.0003452 | 3620 | GTEx | DepMap | Descartes | 0.00 | 0.04 |
| FGF14 | -0.0004123 | 4150 | GTEx | DepMap | Descartes | 0.06 | 0.76 |
| CDH18 | -0.0004295 | 4293 | GTEx | DepMap | Descartes | 0.01 | 0.27 |
| SLC18A1 | -0.0005168 | 4989 | GTEx | DepMap | Descartes | 0.10 | 4.37 |
| ROBO1 | -0.0005460 | 5218 | GTEx | DepMap | Descartes | 0.08 | 1.79 |
| MGAT4C | -0.0005799 | 5480 | GTEx | DepMap | Descartes | 0.06 | 0.35 |
| PCSK2 | -0.0006156 | 5764 | GTEx | DepMap | Descartes | 0.01 | 0.56 |
| TBX20 | -0.0006366 | 5919 | GTEx | DepMap | Descartes | 0.00 | 0.24 |
| NTNG1 | -0.0006400 | 5943 | GTEx | DepMap | Descartes | 0.02 | 0.65 |
| DGKK | -0.0006453 | 5993 | GTEx | DepMap | Descartes | 0.01 | 0.27 |
| GRID2 | -0.0006672 | 6165 | GTEx | DepMap | Descartes | 0.02 | 0.55 |
| CCSER1 | -0.0006857 | 6291 | GTEx | DepMap | Descartes | 0.01 | NA |
| AGBL4 | -0.0007286 | 6590 | GTEx | DepMap | Descartes | 0.02 | 0.87 |
| GCH1 | -0.0007320 | 6619 | GTEx | DepMap | Descartes | 0.23 | 15.09 |
| SLC24A2 | -0.0007399 | 6669 | GTEx | DepMap | Descartes | 0.01 | 0.08 |
| TIAM1 | -0.0007602 | 6824 | GTEx | DepMap | Descartes | 0.10 | 3.06 |
| EML6 | -0.0007868 | 7025 | GTEx | DepMap | Descartes | 0.02 | 0.24 |
| KCTD16 | -0.0008047 | 7150 | GTEx | DepMap | Descartes | 0.26 | 3.05 |
| SPOCK3 | -0.0008797 | 7705 | GTEx | DepMap | Descartes | 0.03 | 1.60 |
| PACRG | -0.0009866 | 8412 | GTEx | DepMap | Descartes | 0.06 | 4.86 |
| GALNTL6 | -0.0010412 | 8707 | GTEx | DepMap | Descartes | 0.01 | 0.53 |
Descartes erythroblasts markers
Top 50 marker genes of erythroblasts cells in the Decartes fetal adrenal single cell map (https://atlas.brotmanbaty.org/bbi/human-gene-expression-during-development/cell/erythroblasts/in/adrenal)
Wilcoxon ranksum test P-value for gene set overrepresentation: 1.42e-01
Mean rank of genes in gene set: 5555.66
Median rank of genes in gene set: 5397
Rank on gene expression program of top 30 genes in gene set:
| Genes | Weight | Rank | GTEx | DepMap | Descartes | Mean.Counts | Mean.TPM |
|---|---|---|---|---|---|---|---|
| GYPC | 0.0029343 | 32 | GTEx | DepMap | Descartes | 1.38 | 264.53 |
| SLC25A21 | -0.0000476 | 1196 | GTEx | DepMap | Descartes | 0.00 | 0.00 |
| RGS6 | -0.0000585 | 1271 | GTEx | DepMap | Descartes | 0.00 | 0.00 |
| SLC4A1 | -0.0000733 | 1367 | GTEx | DepMap | Descartes | 0.01 | 0.47 |
| RHD | -0.0001026 | 1572 | GTEx | DepMap | Descartes | 0.00 | 0.06 |
| ALAS2 | -0.0002626 | 2908 | GTEx | DepMap | Descartes | 0.01 | 0.77 |
| SELENBP1 | -0.0002990 | 3212 | GTEx | DepMap | Descartes | 0.00 | 0.23 |
| CPOX | -0.0003223 | 3431 | GTEx | DepMap | Descartes | 0.03 | 3.04 |
| SPTB | -0.0003599 | 3718 | GTEx | DepMap | Descartes | 0.02 | 0.31 |
| MARCH3 | -0.0003783 | 3876 | GTEx | DepMap | Descartes | 0.04 | NA |
| MICAL2 | -0.0004131 | 4159 | GTEx | DepMap | Descartes | 0.02 | 1.07 |
| SOX6 | -0.0004518 | 4470 | GTEx | DepMap | Descartes | 0.06 | 0.78 |
| ABCB10 | -0.0004784 | 4671 | GTEx | DepMap | Descartes | 0.05 | 2.23 |
| TMCC2 | -0.0005128 | 4952 | GTEx | DepMap | Descartes | 0.03 | 0.94 |
| TFR2 | -0.0005676 | 5397 | GTEx | DepMap | Descartes | 0.03 | 1.55 |
| TRAK2 | -0.0006188 | 5786 | GTEx | DepMap | Descartes | 0.06 | 2.12 |
| ANK1 | -0.0006399 | 5942 | GTEx | DepMap | Descartes | 0.03 | 0.62 |
| DENND4A | -0.0006552 | 6059 | GTEx | DepMap | Descartes | 0.15 | 4.67 |
| GCLC | -0.0007260 | 6572 | GTEx | DepMap | Descartes | 0.05 | 2.76 |
| SPECC1 | -0.0007291 | 6595 | GTEx | DepMap | Descartes | 0.05 | 1.25 |
| BLVRB | -0.0007512 | 6756 | GTEx | DepMap | Descartes | 0.23 | 29.65 |
| SNCA | -0.0009722 | 8318 | GTEx | DepMap | Descartes | 0.33 | 16.80 |
| XPO7 | -0.0009964 | 8469 | GTEx | DepMap | Descartes | 0.08 | 2.84 |
| FECH | -0.0010734 | 8900 | GTEx | DepMap | Descartes | 0.07 | 1.83 |
| CAT | -0.0010753 | 8910 | GTEx | DepMap | Descartes | 0.18 | 20.91 |
| RAPGEF2 | -0.0011941 | 9483 | GTEx | DepMap | Descartes | 0.08 | 1.62 |
| SLC25A37 | -0.0013753 | 10240 | GTEx | DepMap | Descartes | 0.19 | 8.73 |
| EPB41 | -0.0015507 | 10786 | GTEx | DepMap | Descartes | 0.25 | 10.79 |
| TSPAN5 | -0.0023799 | 12066 | GTEx | DepMap | Descartes | 0.26 | 11.97 |
| NA | NA | NA | NA | NA | NA | NA | NA |
Descartes myeloid markers
Top 50 marker genes of myeloid cells in the Decartes fetal adrenal single cell map (https://atlas.brotmanbaty.org/bbi/human-gene-expression-during-development/cell/myeloid/in/adrenal)
Wilcoxon ranksum test P-value for gene set overrepresentation: 2.50e-01
Mean rank of genes in gene set: 5879.24
Median rank of genes in gene set: 5687.5
Rank on gene expression program of top 30 genes in gene set:
| Genes | Weight | Rank | GTEx | DepMap | Descartes | Mean.Counts | Mean.TPM |
|---|---|---|---|---|---|---|---|
| CD74 | 0.0004065 | 384 | GTEx | DepMap | Descartes | 8.98 | 655.70 |
| FGD2 | -0.0000504 | 1210 | GTEx | DepMap | Descartes | 0.02 | 0.88 |
| AXL | -0.0001748 | 2150 | GTEx | DepMap | Descartes | 0.06 | 2.08 |
| HCK | -0.0001816 | 2203 | GTEx | DepMap | Descartes | 0.07 | 5.27 |
| FMN1 | -0.0002083 | 2437 | GTEx | DepMap | Descartes | 0.04 | 0.45 |
| HRH1 | -0.0002382 | 2686 | GTEx | DepMap | Descartes | 0.01 | 0.38 |
| PTPRE | -0.0003409 | 3588 | GTEx | DepMap | Descartes | 0.15 | 6.71 |
| SFMBT2 | -0.0003643 | 3752 | GTEx | DepMap | Descartes | 0.04 | 1.47 |
| MERTK | -0.0004023 | 4068 | GTEx | DepMap | Descartes | 0.01 | 0.36 |
| ATP8B4 | -0.0004139 | 4167 | GTEx | DepMap | Descartes | 0.01 | 0.29 |
| SLC9A9 | -0.0004329 | 4319 | GTEx | DepMap | Descartes | 0.04 | 3.34 |
| SLCO2B1 | -0.0004407 | 4383 | GTEx | DepMap | Descartes | 0.03 | 0.82 |
| RGL1 | -0.0004583 | 4519 | GTEx | DepMap | Descartes | 0.02 | 0.56 |
| SLC1A3 | -0.0004867 | 4738 | GTEx | DepMap | Descartes | 0.02 | 0.58 |
| MARCH1 | -0.0005521 | 5274 | GTEx | DepMap | Descartes | 0.06 | NA |
| MS4A4A | -0.0005635 | 5361 | GTEx | DepMap | Descartes | 0.07 | 6.54 |
| WWP1 | -0.0005708 | 5424 | GTEx | DepMap | Descartes | 0.08 | 4.31 |
| CD163 | -0.0005897 | 5544 | GTEx | DepMap | Descartes | 0.02 | 0.62 |
| CD163L1 | -0.0005918 | 5564 | GTEx | DepMap | Descartes | 0.22 | 6.67 |
| SPP1 | -0.0006232 | 5811 | GTEx | DepMap | Descartes | 2.17 | 167.98 |
| CSF1R | -0.0006743 | 6208 | GTEx | DepMap | Descartes | 0.06 | 2.50 |
| MSR1 | -0.0006816 | 6261 | GTEx | DepMap | Descartes | 0.03 | 1.27 |
| ABCA1 | -0.0006858 | 6295 | GTEx | DepMap | Descartes | 0.05 | 0.74 |
| TGFBI | -0.0007112 | 6462 | GTEx | DepMap | Descartes | 0.12 | 4.51 |
| CST3 | -0.0007715 | 6912 | GTEx | DepMap | Descartes | 2.62 | 137.85 |
| LGMN | -0.0008346 | 7373 | GTEx | DepMap | Descartes | 0.21 | 16.56 |
| CTSB | -0.0008381 | 7392 | GTEx | DepMap | Descartes | 0.94 | 43.16 |
| ADAP2 | -0.0008683 | 7616 | GTEx | DepMap | Descartes | 0.05 | 2.79 |
| CTSD | -0.0009036 | 7857 | GTEx | DepMap | Descartes | 1.35 | 120.59 |
| FGL2 | -0.0009132 | 7925 | GTEx | DepMap | Descartes | 0.13 | 5.36 |
Descartes Schwann markers
Top 50 marker genes of Schwann cells in the Decartes fetal adrenal single cell map (https://atlas.brotmanbaty.org/bbi/human-gene-expression-during-development/cell/schwann/in/adrenal)
Wilcoxon ranksum test P-value for gene set overrepresentation: 1.76e-01
Mean rank of genes in gene set: 5768.43
Median rank of genes in gene set: 5232.5
Rank on gene expression program of top 30 genes in gene set:
| Genes | Weight | Rank | GTEx | DepMap | Descartes | Mean.Counts | Mean.TPM |
|---|---|---|---|---|---|---|---|
| TRPM3 | 0.0002724 | 476 | GTEx | DepMap | Descartes | 0.00 | 0.04 |
| PAG1 | 0.0000146 | 896 | GTEx | DepMap | Descartes | 0.36 | 8.65 |
| IL1RAPL2 | -0.0000509 | 1214 | GTEx | DepMap | Descartes | 0.00 | 0.00 |
| MDGA2 | -0.0001188 | 1685 | GTEx | DepMap | Descartes | 0.00 | 0.06 |
| IL1RAPL1 | -0.0001215 | 1704 | GTEx | DepMap | Descartes | 0.00 | 0.04 |
| XKR4 | -0.0001333 | 1800 | GTEx | DepMap | Descartes | 0.02 | 0.14 |
| HMGA2 | -0.0001375 | 1842 | GTEx | DepMap | Descartes | 0.00 | 0.02 |
| PTPRZ1 | -0.0001612 | 2038 | GTEx | DepMap | Descartes | 0.00 | 0.04 |
| NRXN3 | -0.0001648 | 2070 | GTEx | DepMap | Descartes | 0.01 | 0.20 |
| ERBB3 | -0.0002289 | 2617 | GTEx | DepMap | Descartes | 0.01 | 0.36 |
| ADAMTS5 | -0.0002454 | 2765 | GTEx | DepMap | Descartes | 0.00 | 0.01 |
| LRRTM4 | -0.0002557 | 2849 | GTEx | DepMap | Descartes | 0.02 | 0.86 |
| MPZ | -0.0002930 | 3154 | GTEx | DepMap | Descartes | 0.02 | 2.71 |
| OLFML2A | -0.0003034 | 3259 | GTEx | DepMap | Descartes | 0.00 | 0.08 |
| EDNRB | -0.0003346 | 3527 | GTEx | DepMap | Descartes | 0.00 | 0.10 |
| PLP1 | -0.0004163 | 4188 | GTEx | DepMap | Descartes | 0.00 | 0.38 |
| COL18A1 | -0.0004610 | 4538 | GTEx | DepMap | Descartes | 0.08 | 3.63 |
| COL5A2 | -0.0004885 | 4755 | GTEx | DepMap | Descartes | 0.01 | 0.35 |
| COL25A1 | -0.0004895 | 4765 | GTEx | DepMap | Descartes | 0.00 | 0.05 |
| ERBB4 | -0.0005315 | 5109 | GTEx | DepMap | Descartes | 0.00 | 0.01 |
| STARD13 | -0.0005397 | 5170 | GTEx | DepMap | Descartes | 0.01 | 0.28 |
| SLC35F1 | -0.0005468 | 5224 | GTEx | DepMap | Descartes | 0.02 | 0.57 |
| VIM | -0.0005486 | 5241 | GTEx | DepMap | Descartes | 4.44 | 459.77 |
| PLCE1 | -0.0005879 | 5535 | GTEx | DepMap | Descartes | 0.02 | 0.43 |
| LAMA4 | -0.0006061 | 5677 | GTEx | DepMap | Descartes | 0.08 | 1.64 |
| EGFLAM | -0.0006067 | 5682 | GTEx | DepMap | Descartes | 0.02 | 0.54 |
| LAMC1 | -0.0006547 | 6056 | GTEx | DepMap | Descartes | 0.02 | 0.44 |
| KCTD12 | -0.0006644 | 6136 | GTEx | DepMap | Descartes | 0.07 | 1.82 |
| GAS7 | -0.0006835 | 6277 | GTEx | DepMap | Descartes | 0.02 | 0.56 |
| GRIK3 | -0.0007005 | 6400 | GTEx | DepMap | Descartes | 0.01 | 0.10 |
Descartes Megakaryocytes markers
Top 50 marker genes of Megakaryocytes cells in the Decartes fetal adrenal single cell map (https://atlas.brotmanbaty.org/bbi/human-gene-expression-during-development/cell/megakaryocytes/in/adrenal)
Wilcoxon ranksum test P-value for gene set overrepresentation: 1.68e-02
Mean rank of genes in gene set: 5129.71
Median rank of genes in gene set: 3732
Rank on gene expression program of top 30 genes in gene set:
| Genes | Weight | Rank | GTEx | DepMap | Descartes | Mean.Counts | Mean.TPM |
|---|---|---|---|---|---|---|---|
| TMSB4X | 0.0044288 | 13 | GTEx | DepMap | Descartes | 86.88 | 14274.19 |
| SLC2A3 | 0.0011884 | 152 | GTEx | DepMap | Descartes | 0.77 | 57.55 |
| SPN | 0.0006758 | 264 | GTEx | DepMap | Descartes | 0.17 | 7.51 |
| FLI1 | 0.0006395 | 276 | GTEx | DepMap | Descartes | 0.09 | 5.61 |
| PSTPIP2 | 0.0000887 | 720 | GTEx | DepMap | Descartes | 0.02 | 1.40 |
| INPP4B | -0.0000032 | 964 | GTEx | DepMap | Descartes | 0.12 | 4.38 |
| RAB27B | -0.0000387 | 1138 | GTEx | DepMap | Descartes | 0.04 | 1.08 |
| GP1BA | -0.0000413 | 1156 | GTEx | DepMap | Descartes | 0.00 | 0.11 |
| MMRN1 | -0.0000658 | 1318 | GTEx | DepMap | Descartes | 0.00 | 0.08 |
| ITGB3 | -0.0001031 | 1575 | GTEx | DepMap | Descartes | 0.00 | 0.00 |
| THBS1 | -0.0001806 | 2191 | GTEx | DepMap | Descartes | 0.03 | 0.73 |
| SLC24A3 | -0.0001934 | 2305 | GTEx | DepMap | Descartes | 0.00 | 0.22 |
| MCTP1 | -0.0002088 | 2442 | GTEx | DepMap | Descartes | 0.02 | 0.60 |
| TUBB1 | -0.0002429 | 2736 | GTEx | DepMap | Descartes | 0.00 | 0.16 |
| TRPC6 | -0.0002490 | 2790 | GTEx | DepMap | Descartes | 0.00 | 0.01 |
| ZYX | -0.0002573 | 2867 | GTEx | DepMap | Descartes | 0.33 | 33.95 |
| ARHGAP6 | -0.0002801 | 3055 | GTEx | DepMap | Descartes | 0.00 | 0.00 |
| ANGPT1 | -0.0002884 | 3119 | GTEx | DepMap | Descartes | 0.00 | 0.05 |
| FERMT3 | -0.0002992 | 3216 | GTEx | DepMap | Descartes | 0.25 | 29.74 |
| UBASH3B | -0.0003100 | 3316 | GTEx | DepMap | Descartes | 0.03 | 1.31 |
| MYLK | -0.0003380 | 3556 | GTEx | DepMap | Descartes | 0.01 | 0.18 |
| ITGA2B | -0.0003528 | 3666 | GTEx | DepMap | Descartes | 0.01 | 0.30 |
| LTBP1 | -0.0003618 | 3732 | GTEx | DepMap | Descartes | 0.00 | 0.05 |
| TGFB1 | -0.0004190 | 4207 | GTEx | DepMap | Descartes | 0.47 | 55.87 |
| MYH9 | -0.0004435 | 4404 | GTEx | DepMap | Descartes | 0.40 | 16.29 |
| CD84 | -0.0005399 | 5172 | GTEx | DepMap | Descartes | 0.08 | 1.99 |
| P2RX1 | -0.0005488 | 5242 | GTEx | DepMap | Descartes | 0.01 | 1.12 |
| DOK6 | -0.0005851 | 5517 | GTEx | DepMap | Descartes | 0.04 | 0.71 |
| MED12L | -0.0006111 | 5722 | GTEx | DepMap | Descartes | 0.01 | 0.15 |
| VCL | -0.0007507 | 6751 | GTEx | DepMap | Descartes | 0.07 | 1.49 |
Descartes Lyphoid markers
Top 50 marker genes of Lyphoid cells in the Decartes fetal adrenal single cell map (https://atlas.brotmanbaty.org/bbi/human-gene-expression-during-development/cell/lymphoid/in/adrenal)
Wilcoxon ranksum test P-value for gene set overrepresentation: 1.82e-11
Mean rank of genes in gene set: 2581.5
Median rank of genes in gene set: 825.5
Rank on gene expression program of top 30 genes in gene set:
| Genes | Weight | Rank | GTEx | DepMap | Descartes | Mean.Counts | Mean.TPM |
|---|---|---|---|---|---|---|---|
| ARHGDIB | 0.0034273 | 22 | GTEx | DepMap | Descartes | 3.84 | 1050.64 |
| LEF1 | 0.0028812 | 33 | GTEx | DepMap | Descartes | 0.53 | 52.78 |
| TMSB10 | 0.0026977 | 41 | GTEx | DepMap | Descartes | 49.95 | 24434.33 |
| CCND3 | 0.0022273 | 55 | GTEx | DepMap | Descartes | 0.71 | 100.23 |
| PRKCH | 0.0013667 | 130 | GTEx | DepMap | Descartes | 0.25 | 24.98 |
| B2M | 0.0013107 | 136 | GTEx | DepMap | Descartes | 43.73 | 5926.96 |
| ITPKB | 0.0009776 | 194 | GTEx | DepMap | Descartes | 0.11 | 6.17 |
| PDE3B | 0.0008869 | 212 | GTEx | DepMap | Descartes | 0.35 | 19.87 |
| ARHGAP15 | 0.0007913 | 231 | GTEx | DepMap | Descartes | 0.35 | 40.45 |
| ANKRD44 | 0.0006946 | 260 | GTEx | DepMap | Descartes | 0.25 | 11.49 |
| WIPF1 | 0.0005527 | 316 | GTEx | DepMap | Descartes | 0.49 | 36.80 |
| SAMD3 | 0.0004566 | 359 | GTEx | DepMap | Descartes | 0.14 | 13.34 |
| CD44 | 0.0004099 | 379 | GTEx | DepMap | Descartes | 1.88 | 84.15 |
| FOXP1 | 0.0003790 | 402 | GTEx | DepMap | Descartes | 0.96 | 27.32 |
| PITPNC1 | 0.0003040 | 450 | GTEx | DepMap | Descartes | 0.25 | 12.55 |
| IKZF1 | 0.0002927 | 461 | GTEx | DepMap | Descartes | 0.36 | 19.95 |
| ETS1 | 0.0002824 | 471 | GTEx | DepMap | Descartes | 0.44 | 30.08 |
| SKAP1 | 0.0002664 | 479 | GTEx | DepMap | Descartes | 0.31 | 66.43 |
| EVL | 0.0002008 | 552 | GTEx | DepMap | Descartes | 1.97 | 149.24 |
| ABLIM1 | 0.0001768 | 599 | GTEx | DepMap | Descartes | 0.19 | 7.60 |
| SCML4 | 0.0000553 | 780 | GTEx | DepMap | Descartes | 0.14 | 9.01 |
| NCALD | 0.0000232 | 871 | GTEx | DepMap | Descartes | 0.08 | 4.60 |
| PLEKHA2 | 0.0000171 | 892 | GTEx | DepMap | Descartes | 0.11 | 5.72 |
| GNG2 | -0.0000418 | 1159 | GTEx | DepMap | Descartes | 0.69 | 43.91 |
| SORL1 | -0.0001619 | 2046 | GTEx | DepMap | Descartes | 0.23 | 6.03 |
| MBNL1 | -0.0002622 | 2907 | GTEx | DepMap | Descartes | 0.41 | 20.45 |
| BACH2 | -0.0002857 | 3098 | GTEx | DepMap | Descartes | 0.14 | 4.31 |
| SP100 | -0.0003001 | 3228 | GTEx | DepMap | Descartes | 0.29 | 17.83 |
| RCSD1 | -0.0003493 | 3642 | GTEx | DepMap | Descartes | 0.20 | 12.12 |
| ARID5B | -0.0003510 | 3654 | GTEx | DepMap | Descartes | 0.30 | 13.57 |
Below shows the ranks on this GEP for immune marker gene lists curated by CellTypist (https://www.celltypist.org/encyclopedia).
High ranks indicate this gene is a driver of this GEP.
These curated gene list are ranked by P-value (on this GEP) of their constituent genes.
The Mean Count column shows the mean read count in cells scoring highly (H > 50) on this gene expression program.
| Genes | Weight | Rank | GTEx | DepMap | Decartes | Mean.Counts | Mean.TPM |
|---|---|---|---|---|---|---|---|
| CCR7 | 0.0039314 | 19 | GTEx | DepMap | Descartes | 1.13 | 176.38 |
| SELL | 0.0029603 | 31 | GTEx | DepMap | Descartes | 0.73 | 103.10 |
| CD8A | 0.0007839 | 233 | GTEx | DepMap | Descartes | 0.51 | 61.07 |
T cells: Tcm/Naive helper T cells (curated markers)
CD4+ helper T lymphocytes mainly localized in secondary lymphoid tissues and sustaining the responses by proliferating and producing new effectors:
Wilcoxon ranksum test P-value for gene set overrepresentation: 2.13e-03
Mean rank of genes in gene set: 296.33
Rank on gene expression program of genes in gene set:
| Genes | Weight | Rank | GTEx | DepMap | Decartes | Mean.Counts | Mean.TPM |
|---|---|---|---|---|---|---|---|
| CCR7 | 0.0039314 | 19 | GTEx | DepMap | Descartes | 1.13 | 176.38 |
| SELL | 0.0029603 | 31 | GTEx | DepMap | Descartes | 0.73 | 103.10 |
| CD4 | 0.0000353 | 839 | GTEx | DepMap | Descartes | 0.18 | 13.74 |
T cells: T(agonist) (model markers)
unconventional T cell subpopulation in the thymus which expresses MIR155HG and shares some signatures with differentiating regulatory T cells:
Wilcoxon ranksum test P-value for gene set overrepresentation: 2.43e-03
Mean rank of genes in gene set: 2420.14
Rank on gene expression program of genes in gene set:
| Genes | Weight | Rank | GTEx | DepMap | Decartes | Mean.Counts | Mean.TPM |
|---|---|---|---|---|---|---|---|
| BIRC3 | 0.0015449 | 107 | GTEx | DepMap | Descartes | 0.67 | 33.84 |
| B2M | 0.0013107 | 136 | GTEx | DepMap | Descartes | 43.73 | 5926.96 |
| COTL1 | 0.0011352 | 159 | GTEx | DepMap | Descartes | 2.07 | 107.58 |
| ITM2A | 0.0009175 | 204 | GTEx | DepMap | Descartes | 0.85 | 170.33 |
| CD74 | 0.0004065 | 384 | GTEx | DepMap | Descartes | 8.98 | 655.70 |
| PTPRC | -0.0003867 | 3932 | GTEx | DepMap | Descartes | 1.16 | 76.14 |
| SMS | -0.0023155 | 12019 | GTEx | DepMap | Descartes | 1.04 | 105.93 |