QQ-plot of gene loadings, averaged over both independent splits of the data
This plot highlights the relative contribution of each gene to the GEP
Top genes driving this program.
Note: Decartes website is buggy, try refreshing. Also, Decartes fetal adrenal data have been collected at specific time points (89-122 days), all possible cell types of interest may not be represented, do not overinterpret.
The Mean Count column shows the mean read count in cells scoring highly (H > 50) on this gene expression program.
| Gene | Loading | Gene.Name | GTEx | DepMap | Descartes | Mean.Counts | Mean.Tpm | |
|---|---|---|---|---|---|---|---|---|
| 1 | LUM | 0.0138274 | lumican | GTEx | DepMap | Descartes | 26.68 | 3376.91 |
| 2 | GSN | 0.0124919 | gelsolin | GTEx | DepMap | Descartes | 17.80 | 915.04 |
| 3 | GLT8D2 | 0.0120590 | glycosyltransferase 8 domain containing 2 | GTEx | DepMap | Descartes | 1.55 | 263.24 |
| 4 | CYP1B1 | 0.0120067 | cytochrome P450 family 1 subfamily B member 1 | GTEx | DepMap | Descartes | 5.27 | 322.03 |
| 5 | OAF | 0.0119821 | out at first homolog | GTEx | DepMap | Descartes | 3.22 | 440.77 |
| 6 | SERPINF1 | 0.0119705 | serpin family F member 1 | GTEx | DepMap | Descartes | 14.41 | 3102.80 |
| 7 | MEST | 0.0114190 | mesoderm specific transcript | GTEx | DepMap | Descartes | 6.93 | 838.83 |
| 8 | DCN | 0.0107483 | decorin | GTEx | DepMap | Descartes | 25.11 | 1207.03 |
| 9 | SRPX | 0.0106881 | sushi repeat containing protein X-linked | GTEx | DepMap | Descartes | 2.99 | 507.31 |
| 10 | PRELP | 0.0106436 | proline and arginine rich end leucine rich repeat protein | GTEx | DepMap | Descartes | 1.40 | 76.18 |
| 11 | GPC3 | 0.0106136 | glypican 3 | GTEx | DepMap | Descartes | 1.66 | 236.48 |
| 12 | IGFBP4 | 0.0105729 | insulin like growth factor binding protein 4 | GTEx | DepMap | Descartes | 10.00 | 1330.84 |
| 13 | OGN | 0.0105432 | osteoglycin | GTEx | DepMap | Descartes | 1.42 | 137.40 |
| 14 | THBS4 | 0.0104271 | thrombospondin 4 | GTEx | DepMap | Descartes | 1.61 | 169.83 |
| 15 | SFRP4 | 0.0104192 | secreted frizzled related protein 4 | GTEx | DepMap | Descartes | 3.80 | 430.31 |
| 16 | OLFML3 | 0.0102556 | olfactomedin like 3 | GTEx | DepMap | Descartes | 2.38 | 364.16 |
| 17 | PDGFRL | 0.0102352 | platelet derived growth factor receptor like | GTEx | DepMap | Descartes | 1.18 | 199.83 |
| 18 | PAMR1 | 0.0101720 | peptidase domain containing associated with muscle regeneration 1 | GTEx | DepMap | Descartes | 1.05 | 111.97 |
| 19 | VIT | 0.0098341 | vitrin | GTEx | DepMap | Descartes | 0.60 | 68.11 |
| 20 | ENTPD2 | 0.0092916 | ectonucleoside triphosphate diphosphohydrolase 2 | GTEx | DepMap | Descartes | 0.59 | 92.84 |
| 21 | ISLR | 0.0089532 | immunoglobulin superfamily containing leucine rich repeat | GTEx | DepMap | Descartes | 1.13 | 158.71 |
| 22 | IGF1 | 0.0087481 | insulin like growth factor 1 | GTEx | DepMap | Descartes | 2.51 | 111.55 |
| 23 | IGFBP6 | 0.0085069 | insulin like growth factor binding protein 6 | GTEx | DepMap | Descartes | 7.25 | 2066.59 |
| 24 | ABCA9 | 0.0085019 | ATP binding cassette subfamily A member 9 | GTEx | DepMap | Descartes | 0.73 | 40.35 |
| 25 | CAPN6 | 0.0083834 | calpain 6 | GTEx | DepMap | Descartes | 0.41 | 40.62 |
| 26 | NID1 | 0.0082693 | nidogen 1 | GTEx | DepMap | Descartes | 1.55 | 89.45 |
| 27 | MEOX2 | 0.0081966 | mesenchyme homeobox 2 | GTEx | DepMap | Descartes | 0.55 | 76.84 |
| 28 | CFH | 0.0081620 | complement factor H | GTEx | DepMap | Descartes | 1.87 | 93.89 |
| 29 | HTRA3 | 0.0081438 | HtrA serine peptidase 3 | GTEx | DepMap | Descartes | 1.23 | 168.44 |
| 30 | OLFML2B | 0.0081115 | olfactomedin like 2B | GTEx | DepMap | Descartes | 1.78 | 181.28 |
| 31 | PODNL1 | 0.0079822 | podocan like 1 | GTEx | DepMap | Descartes | 0.79 | 98.04 |
| 32 | OSR2 | 0.0078869 | odd-skipped related transciption factor 2 | GTEx | DepMap | Descartes | 0.92 | 125.96 |
| 33 | CLDN1 | 0.0078797 | claudin 1 | GTEx | DepMap | Descartes | 0.80 | 81.41 |
| 34 | SERPING1 | 0.0078600 | serpin family G member 1 | GTEx | DepMap | Descartes | 4.00 | 571.95 |
| 35 | IGFBP7 | 0.0078544 | insulin like growth factor binding protein 7 | GTEx | DepMap | Descartes | 61.17 | 13079.71 |
| 36 | SMOC2 | 0.0077968 | SPARC related modular calcium binding 2 | GTEx | DepMap | Descartes | 1.46 | 148.89 |
| 37 | TPD52L1 | 0.0076574 | TPD52 like 1 | GTEx | DepMap | Descartes | 0.87 | 117.44 |
| 38 | SRPX2 | 0.0076128 | sushi repeat containing protein X-linked 2 | GTEx | DepMap | Descartes | 0.52 | 22.51 |
| 39 | EBF2 | 0.0075319 | EBF transcription factor 2 | GTEx | DepMap | Descartes | 0.69 | 46.97 |
| 40 | LAMA2 | 0.0074205 | laminin subunit alpha 2 | GTEx | DepMap | Descartes | 0.59 | NA |
| 41 | NGF | 0.0073412 | nerve growth factor | GTEx | DepMap | Descartes | 0.73 | 227.48 |
| 42 | COL3A1 | 0.0072907 | collagen type III alpha 1 chain | GTEx | DepMap | Descartes | 9.81 | 598.99 |
| 43 | FGF7 | 0.0072566 | fibroblast growth factor 7 | GTEx | DepMap | Descartes | 1.68 | 105.66 |
| 44 | ABCA6 | 0.0071748 | ATP binding cassette subfamily A member 6 | GTEx | DepMap | Descartes | 0.96 | 42.52 |
| 45 | FSTL1 | 0.0069029 | follistatin like 1 | GTEx | DepMap | Descartes | 2.40 | 137.95 |
| 46 | MMP2 | 0.0068056 | matrix metallopeptidase 2 | GTEx | DepMap | Descartes | 2.19 | 208.77 |
| 47 | CCL2 | 0.0066850 | C-C motif chemokine ligand 2 | GTEx | DepMap | Descartes | 15.15 | 4998.17 |
| 48 | CXCL12 | 0.0065680 | C-X-C motif chemokine ligand 12 | GTEx | DepMap | Descartes | 2.09 | 200.10 |
| 49 | EGFR | 0.0065385 | epidermal growth factor receptor | GTEx | DepMap | Descartes | 0.58 | 19.07 |
| 50 | FBLN5 | 0.0065298 | fibulin 5 | GTEx | DepMap | Descartes | 1.18 | 166.22 |
UMAP plots showing activity of gene expression program identified in GEP 21. Ganglioneuroblastoma Stromal:
CNV Data procured from inferCNV.
Outer tracks are putative CNV regions (gains = red, losses = blue) for each patient
Inner track is expression data representing:
The top cells expressing this GEP (purple)
Random cells (n =50) from the reference set used in inferCNV (orange)
Gene set Enrichments for this program, caculated from top 50 genes
mSigDB Cell Types Gene Set:
| P-value | OR | Lower 95% CI | FDR | FWER | Genes Found | Gene Set Size | |
|---|---|---|---|---|---|---|---|
| CUI_DEVELOPING_HEART_C3_FIBROBLAST_LIKE_CELL | 1.40e-28 | 85.73 | 44.56 | 4.71e-26 | 9.41e-26 | 20LUM, GLT8D2, SERPINF1, MEST, DCN, SRPX, GPC3, OGN, OLFML3, ISLR, NID1, HTRA3, SERPING1, IGFBP7, SMOC2, EBF2, FSTL1, MMP2, CXCL12, FBLN5 |
117 |
| DESCARTES_FETAL_HEART_STROMAL_CELLS | 5.80e-13 | 91.35 | 33.71 | 2.78e-11 | 3.89e-10 | 8LUM, SERPINF1, DCN, PRELP, GPC3, ISLR, ABCA9, HTRA3 |
34 |
| RUBENSTEIN_SKELETAL_MUSCLE_FAP_CELLS | 3.06e-28 | 62.59 | 33.26 | 6.83e-26 | 2.05e-25 | 22LUM, GSN, SERPINF1, DCN, SFRP4, PDGFRL, VIT, ISLR, IGF1, IGFBP6, ABCA9, CFH, HTRA3, SERPING1, IGFBP7, SMOC2, LAMA2, COL3A1, FSTL1, MMP2, CXCL12, FBLN5 |
179 |
| TRAVAGLINI_LUNG_ADVENTITIAL_FIBROBLAST_CELL | 2.21e-33 | 59.37 | 32.28 | 1.48e-30 | 1.48e-30 | 28LUM, GSN, CYP1B1, OAF, SERPINF1, DCN, SRPX, IGFBP4, OGN, SFRP4, OLFML3, PDGFRL, PAMR1, ISLR, IGF1, IGFBP6, ABCA9, CFH, HTRA3, OSR2, COL3A1, FGF7, ABCA6, FSTL1, MMP2, CCL2, CXCL12, FBLN5 |
296 |
| DURANTE_ADULT_OLFACTORY_NEUROEPITHELIUM_FIBROBLASTS_STROMAL_CELLS | 2.42e-16 | 56.26 | 25.65 | 1.47e-14 | 1.62e-13 | 12LUM, GSN, CYP1B1, SERPINF1, DCN, IGFBP4, IGFBP6, SERPING1, IGFBP7, COL3A1, FGF7, CCL2 |
82 |
| GAO_LARGE_INTESTINE_24W_C1_DCLK1POS_PROGENITOR | 5.13e-17 | 50.90 | 23.99 | 3.83e-15 | 3.44e-14 | 13LUM, SERPINF1, DCN, SRPX, OGN, PDGFRL, PAMR1, ISLR, SERPING1, LAMA2, COL3A1, MMP2, CCL2 |
99 |
| DESCARTES_FETAL_KIDNEY_STROMAL_CELLS | 6.24e-18 | 40.86 | 20.21 | 6.98e-16 | 4.19e-15 | 15LUM, SERPINF1, DCN, SRPX, PRELP, OGN, ENTPD2, ISLR, IGF1, IGFBP6, HTRA3, OLFML2B, OSR2, EBF2, COL3A1 |
146 |
| DESCARTES_FETAL_ADRENAL_STROMAL_CELLS | 1.27e-17 | 38.79 | 19.22 | 1.17e-15 | 8.53e-15 | 15LUM, CYP1B1, DCN, PRELP, OGN, PDGFRL, PAMR1, ISLR, IGFBP6, MEOX2, SRPX2, NGF, COL3A1, FGF7, ABCA6 |
153 |
| DESCARTES_FETAL_THYMUS_STROMAL_CELLS | 1.00e-16 | 39.48 | 19.17 | 6.74e-15 | 6.74e-14 | 14LUM, MEST, DCN, SRPX, GPC3, OGN, OLFML3, ISLR, HTRA3, SERPING1, EBF2, COL3A1, FSTL1, MMP2 |
137 |
| CUI_DEVELOPING_HEART_SMOOTH_MUSCLE_CELL | 6.52e-10 | 49.49 | 17.75 | 2.58e-08 | 4.38e-07 | 7SERPINF1, IGFBP4, PDGFRL, CFH, OLFML2B, OSR2, COL3A1 |
48 |
| AIZARANI_LIVER_C21_STELLATE_CELLS_1 | 1.40e-17 | 33.03 | 16.71 | 1.17e-15 | 9.37e-15 | 16LUM, GSN, SERPINF1, DCN, SRPX, PRELP, IGFBP4, OLFML3, CFH, IGFBP7, COL3A1, FSTL1, MMP2, CCL2, CXCL12, FBLN5 |
194 |
| FAN_OVARY_CL6_PUTATIVE_EARLY_ATRETIC_FOLLICLE_THECAL_CELL_2 | 3.09e-20 | 29.76 | 15.82 | 4.14e-18 | 2.07e-17 | 20LUM, GSN, SERPINF1, DCN, PRELP, GPC3, IGFBP4, OGN, SFRP4, OLFML3, PDGFRL, IGF1, CFH, OSR2, SERPING1, SMOC2, COL3A1, FSTL1, MMP2, CXCL12 |
300 |
| HAY_BONE_MARROW_STROMAL | 5.49e-25 | 25.54 | 13.96 | 9.21e-23 | 3.69e-22 | 30LUM, GSN, GLT8D2, CYP1B1, DCN, SRPX, PRELP, IGFBP4, OLFML3, PDGFRL, ISLR, IGFBP6, ABCA9, NID1, CFH, OLFML2B, PODNL1, OSR2, SERPING1, IGFBP7, SMOC2, SRPX2, COL3A1, FGF7, ABCA6, FSTL1, MMP2, CCL2, CXCL12, EGFR |
765 |
| DESCARTES_FETAL_STOMACH_STROMAL_CELLS | 3.99e-08 | 38.66 | 12.81 | 1.05e-06 | 2.68e-05 | 6DCN, SRPX, CAPN6, OSR2, EBF2, COL3A1 |
50 |
| DESCARTES_FETAL_EYE_STROMAL_CELLS | 2.03e-09 | 29.01 | 11.40 | 7.15e-08 | 1.36e-06 | 8LUM, DCN, OGN, PDGFRL, ISLR, IGFBP6, COL3A1, CXCL12 |
90 |
| RUBENSTEIN_SKELETAL_MUSCLE_FBN1_FAP_CELLS | 7.12e-15 | 21.55 | 10.97 | 3.98e-13 | 4.77e-12 | 16GSN, SERPINF1, DCN, OLFML3, PDGFRL, VIT, ISLR, IGFBP6, NID1, HTRA3, OSR2, SERPING1, COL3A1, FSTL1, MMP2, FBLN5 |
289 |
| DESCARTES_FETAL_MUSCLE_STROMAL_CELLS | 4.00e-09 | 26.41 | 10.42 | 1.34e-07 | 2.68e-06 | 8LUM, DCN, OGN, PDGFRL, ISLR, IGFBP6, SMOC2, COL3A1 |
98 |
| TRAVAGLINI_LUNG_LIPOFIBROBLAST_CELL | 4.61e-09 | 20.03 | 8.39 | 1.47e-07 | 3.09e-06 | 9CYP1B1, OAF, SERPINF1, SRPX, IGFBP4, NGF, COL3A1, FGF7, CXCL12 |
146 |
| HU_FETAL_RETINA_FIBROBLAST | 5.45e-13 | 15.94 | 8.14 | 2.78e-11 | 3.66e-10 | 16LUM, GLT8D2, OAF, MEST, DCN, IGFBP4, OGN, OLFML3, IGFBP6, NID1, IGFBP7, COL3A1, FSTL1, MMP2, CXCL12, EGFR |
385 |
| TRAVAGLINI_LUNG_ALVEOLAR_FIBROBLAST_CELL | 1.26e-08 | 17.70 | 7.43 | 3.86e-07 | 8.49e-06 | 9LUM, PRELP, GPC3, OLFML3, ISLR, SERPING1, ABCA6, MMP2, FBLN5 |
164 |
Dowload full table
mSigDB Hallmark Gene Sets:
| P-value | OR | Lower 95% CI | FDR | FWER | Genes Found | Gene Set Size | |
|---|---|---|---|---|---|---|---|
| HALLMARK_EPITHELIAL_MESENCHYMAL_TRANSITION | 2.35e-10 | 18.65 | 8.48 | 1.18e-08 | 1.18e-08 | 11LUM, MEST, DCN, IGFBP4, SFRP4, LAMA2, COL3A1, FSTL1, MMP2, CXCL12, FBLN5 |
200 |
| HALLMARK_ANGIOGENESIS | 3.84e-04 | 24.16 | 4.58 | 5.12e-03 | 1.92e-02 | 3LUM, COL3A1, FSTL1 |
36 |
| HALLMARK_MYOGENESIS | 1.24e-04 | 8.78 | 3.02 | 3.09e-03 | 6.18e-03 | 6GSN, IGF1, IGFBP7, TPD52L1, LAMA2, COL3A1 |
200 |
| HALLMARK_APOPTOSIS | 4.10e-04 | 8.90 | 2.72 | 5.12e-03 | 2.05e-02 | 5LUM, GSN, DCN, IGFBP6, MMP2 |
161 |
| HALLMARK_COAGULATION | 2.09e-03 | 8.11 | 2.09 | 2.09e-02 | 1.05e-01 | 4GSN, CFH, SERPING1, MMP2 |
138 |
| HALLMARK_HYPOXIA | 7.71e-03 | 5.55 | 1.44 | 4.82e-02 | 3.85e-01 | 4DCN, SRPX, GPC3, EGFR |
200 |
| HALLMARK_ESTROGEN_RESPONSE_EARLY | 7.71e-03 | 5.55 | 1.44 | 4.82e-02 | 3.85e-01 | 4IGFBP4, OLFML3, TPD52L1, CXCL12 |
200 |
| HALLMARK_ESTROGEN_RESPONSE_LATE | 7.71e-03 | 5.55 | 1.44 | 4.82e-02 | 3.85e-01 | 4MEST, IGFBP4, TPD52L1, CXCL12 |
200 |
| HALLMARK_INTERFERON_GAMMA_RESPONSE | 4.35e-02 | 4.05 | 0.80 | 2.18e-01 | 1.00e+00 | 3CFH, SERPING1, CCL2 |
200 |
| HALLMARK_GLYCOLYSIS | 4.35e-02 | 4.05 | 0.80 | 2.18e-01 | 1.00e+00 | 3DCN, GPC3, EGFR |
200 |
| HALLMARK_PI3K_AKT_MTOR_SIGNALING | 6.46e-02 | 5.06 | 0.59 | 2.94e-01 | 1.00e+00 | 2NGF, EGFR |
105 |
| HALLMARK_BILE_ACID_METABOLISM | 7.22e-02 | 4.73 | 0.55 | 3.01e-01 | 1.00e+00 | 2ABCA9, ABCA6 |
112 |
| HALLMARK_UV_RESPONSE_DN | 1.10e-01 | 3.67 | 0.43 | 4.24e-01 | 1.00e+00 | 2COL3A1, FBLN5 |
144 |
| HALLMARK_APICAL_JUNCTION | 1.85e-01 | 2.63 | 0.31 | 4.62e-01 | 1.00e+00 | 2MMP2, EGFR |
200 |
| HALLMARK_COMPLEMENT | 1.85e-01 | 2.63 | 0.31 | 4.62e-01 | 1.00e+00 | 2CFH, SERPING1 |
200 |
| HALLMARK_INFLAMMATORY_RESPONSE | 1.85e-01 | 2.63 | 0.31 | 4.62e-01 | 1.00e+00 | 2GPC3, CCL2 |
200 |
| HALLMARK_XENOBIOTIC_METABOLISM | 1.85e-01 | 2.63 | 0.31 | 4.62e-01 | 1.00e+00 | 2IGFBP4, IGF1 |
200 |
| HALLMARK_ALLOGRAFT_REJECTION | 1.85e-01 | 2.63 | 0.31 | 4.62e-01 | 1.00e+00 | 2CCL2, EGFR |
200 |
| HALLMARK_KRAS_SIGNALING_UP | 1.85e-01 | 2.63 | 0.31 | 4.62e-01 | 1.00e+00 | 2CFH, NGF |
200 |
| HALLMARK_APICAL_SURFACE | 1.61e-01 | 5.93 | 0.14 | 4.62e-01 | 1.00e+00 | 1SRPX |
44 |
Dowload full table
KEGG Pathways:
| P-value | OR | Lower 95% CI | FDR | FWER | Genes Found | Gene Set Size | |
|---|---|---|---|---|---|---|---|
| KEGG_MELANOMA | 2.77e-03 | 11.73 | 2.28 | 2.57e-01 | 5.15e-01 | 3IGF1, FGF7, EGFR |
71 |
| KEGG_FOCAL_ADHESION | 1.06e-03 | 7.16 | 2.19 | 1.96e-01 | 1.96e-01 | 5THBS4, IGF1, LAMA2, COL3A1, EGFR |
199 |
| KEGG_ECM_RECEPTOR_INTERACTION | 4.44e-03 | 9.85 | 1.92 | 2.75e-01 | 8.25e-01 | 3THBS4, LAMA2, COL3A1 |
84 |
| KEGG_BLADDER_CANCER | 1.20e-02 | 13.01 | 1.48 | 3.49e-01 | 1.00e+00 | 2MMP2, EGFR |
42 |
| KEGG_ABC_TRANSPORTERS | 1.31e-02 | 12.39 | 1.41 | 3.49e-01 | 1.00e+00 | 2ABCA9, ABCA6 |
44 |
| KEGG_LEUKOCYTE_TRANSENDOTHELIAL_MIGRATION | 1.07e-02 | 7.06 | 1.39 | 3.49e-01 | 1.00e+00 | 3CLDN1, MMP2, CXCL12 |
116 |
| KEGG_PATHWAYS_IN_CANCER | 8.32e-03 | 4.34 | 1.34 | 3.49e-01 | 1.00e+00 | 5IGF1, LAMA2, FGF7, MMP2, EGFR |
325 |
| KEGG_GLIOMA | 2.73e-02 | 8.26 | 0.95 | 6.30e-01 | 1.00e+00 | 2IGF1, EGFR |
65 |
| KEGG_COMPLEMENT_AND_COAGULATION_CASCADES | 3.05e-02 | 7.77 | 0.90 | 6.30e-01 | 1.00e+00 | 2CFH, SERPING1 |
69 |
| KEGG_REGULATION_OF_ACTIN_CYTOSKELETON | 5.07e-02 | 3.80 | 0.75 | 6.73e-01 | 1.00e+00 | 3GSN, FGF7, EGFR |
213 |
| KEGG_HYPERTROPHIC_CARDIOMYOPATHY_HCM | 4.26e-02 | 6.43 | 0.74 | 6.73e-01 | 1.00e+00 | 2IGF1, LAMA2 |
83 |
| KEGG_TGF_BETA_SIGNALING_PATHWAY | 4.54e-02 | 6.20 | 0.72 | 6.73e-01 | 1.00e+00 | 2DCN, THBS4 |
86 |
| KEGG_PROSTATE_CANCER | 4.83e-02 | 5.98 | 0.69 | 6.73e-01 | 1.00e+00 | 2IGF1, EGFR |
89 |
| KEGG_DILATED_CARDIOMYOPATHY | 4.93e-02 | 5.92 | 0.69 | 6.73e-01 | 1.00e+00 | 2IGF1, LAMA2 |
90 |
| KEGG_GNRH_SIGNALING_PATHWAY | 6.04e-02 | 5.26 | 0.61 | 7.49e-01 | 1.00e+00 | 2MMP2, EGFR |
101 |
| KEGG_CYTOKINE_CYTOKINE_RECEPTOR_INTERACTION | 8.44e-02 | 3.05 | 0.60 | 9.39e-01 | 1.00e+00 | 3CCL2, CXCL12, EGFR |
265 |
| KEGG_MAPK_SIGNALING_PATHWAY | 8.58e-02 | 3.02 | 0.60 | 9.39e-01 | 1.00e+00 | 3NGF, FGF7, EGFR |
267 |
| KEGG_CHEMOKINE_SIGNALING_PATHWAY | 1.70e-01 | 2.79 | 0.33 | 1.00e+00 | 1.00e+00 | 2CCL2, CXCL12 |
189 |
| KEGG_DORSO_VENTRAL_AXIS_FORMATION | 9.13e-02 | 11.08 | 0.26 | 9.43e-01 | 1.00e+00 | 1EGFR |
24 |
| KEGG_TRYPTOPHAN_METABOLISM | 1.47e-01 | 6.54 | 0.16 | 1.00e+00 | 1.00e+00 | 1CYP1B1 |
40 |
Dowload full table
CHR Positional Gene Sets:
| P-value | OR | Lower 95% CI | FDR | FWER | Genes Found | Gene Set Size | |
|---|---|---|---|---|---|---|---|
| chr17q24 | 5.32e-02 | 5.66 | 0.66 | 1.00e+00 | 1.00e+00 | 2ABCA9, ABCA6 |
94 |
| chr2p22 | 5.73e-02 | 5.42 | 0.63 | 1.00e+00 | 1.00e+00 | 2CYP1B1, VIT |
98 |
| chr6q22 | 8.01e-02 | 4.45 | 0.52 | 1.00e+00 | 1.00e+00 | 2TPD52L1, LAMA2 |
119 |
| chr12q21 | 9.06e-02 | 4.13 | 0.48 | 1.00e+00 | 1.00e+00 | 2LUM, DCN |
128 |
| chr12q23 | 1.11e-01 | 3.64 | 0.42 | 1.00e+00 | 1.00e+00 | 2GLT8D2, IGF1 |
145 |
| chr1p13 | 1.92e-01 | 2.57 | 0.30 | 1.00e+00 | 1.00e+00 | 2OLFML3, NGF |
205 |
| chr3q28 | 1.13e-01 | 8.79 | 0.21 | 1.00e+00 | 1.00e+00 | 1CLDN1 |
30 |
| chr8p22 | 1.64e-01 | 5.80 | 0.14 | 1.00e+00 | 1.00e+00 | 1PDGFRL |
45 |
| chr1q31 | 2.46e-01 | 3.64 | 0.09 | 1.00e+00 | 1.00e+00 | 1CFH |
71 |
| chr6q27 | 2.58e-01 | 3.45 | 0.08 | 1.00e+00 | 1.00e+00 | 1SMOC2 |
75 |
| chr4q12 | 2.70e-01 | 3.27 | 0.08 | 1.00e+00 | 1.00e+00 | 1IGFBP7 |
79 |
| chr7p11 | 2.78e-01 | 3.15 | 0.08 | 1.00e+00 | 1.00e+00 | 1EGFR |
82 |
| chr7p21 | 2.81e-01 | 3.11 | 0.08 | 1.00e+00 | 1.00e+00 | 1MEOX2 |
83 |
| chrXq23 | 2.98e-01 | 2.90 | 0.07 | 1.00e+00 | 1.00e+00 | 1CAPN6 |
89 |
| chr7q32 | 3.01e-01 | 2.87 | 0.07 | 1.00e+00 | 1.00e+00 | 1MEST |
90 |
| chr16q12 | 3.17e-01 | 2.68 | 0.07 | 1.00e+00 | 1.00e+00 | 1MMP2 |
96 |
| chr2q32 | 3.49e-01 | 2.38 | 0.06 | 1.00e+00 | 1.00e+00 | 1COL3A1 |
108 |
| chr15q24 | 3.69e-01 | 2.22 | 0.05 | 1.00e+00 | 1.00e+00 | 1ISLR |
116 |
| chr8p21 | 3.99e-01 | 2.01 | 0.05 | 1.00e+00 | 1.00e+00 | 1EBF2 |
128 |
| chr5q14 | 4.03e-01 | 1.98 | 0.05 | 1.00e+00 | 1.00e+00 | 1THBS4 |
130 |
Dowload full table
Transcription Factor Targets:
| P-value | OR | Lower 95% CI | FDR | FWER | Genes Found | Gene Set Size | |
|---|---|---|---|---|---|---|---|
| STAT3_01 | 3.40e-03 | 26.01 | 2.87 | 2.05e-01 | 1.00e+00 | 2SERPING1, CCL2 |
22 |
| PAX2_02 | 5.48e-04 | 6.58 | 2.27 | 2.05e-01 | 6.20e-01 | 6GLT8D2, GPC3, IGF1, ABCA6, FSTL1, EGFR |
265 |
| RP58_01 | 1.39e-03 | 6.71 | 2.06 | 2.05e-01 | 1.00e+00 | 5GLT8D2, IGF1, SRPX2, COL3A1, FGF7 |
212 |
| WGGAATGY_TEF1_Q6 | 6.69e-04 | 5.36 | 2.02 | 2.05e-01 | 7.58e-01 | 7OLFML3, VIT, IGFBP6, NID1, SMOC2, SRPX2, FSTL1 |
387 |
| RTTTNNNYTGGM_UNKNOWN | 3.17e-03 | 7.20 | 1.86 | 2.05e-01 | 1.00e+00 | 4PDGFRL, NGF, EGFR, FBLN5 |
155 |
| TITF1_Q3 | 2.55e-03 | 5.81 | 1.78 | 2.05e-01 | 1.00e+00 | 5OGN, MEOX2, CLDN1, FSTL1, EGFR |
244 |
| TTCYNRGAA_STAT5B_01 | 1.95e-03 | 5.09 | 1.76 | 2.05e-01 | 1.00e+00 | 6SRPX, OLFML3, SERPING1, SRPX2, LAMA2, CCL2 |
341 |
| TGGAAA_NFAT_Q4_01 | 1.59e-04 | 3.36 | 1.75 | 1.80e-01 | 1.80e-01 | 17GSN, DCN, SRPX, PRELP, SFRP4, OLFML3, PAMR1, VIT, IGF1, CAPN6, MEOX2, IGFBP7, EBF2, NGF, FGF7, FSTL1, CCL2 |
1934 |
| STAT5B_01 | 3.07e-03 | 5.56 | 1.71 | 2.05e-01 | 1.00e+00 | 5SRPX, OLFML3, SERPING1, LAMA2, CCL2 |
255 |
| STAT5A_01 | 3.28e-03 | 5.47 | 1.68 | 2.05e-01 | 1.00e+00 | 5SRPX, OLFML3, SERPING1, LAMA2, CCL2 |
259 |
| GTGGGTGK_UNKNOWN | 5.78e-03 | 4.76 | 1.46 | 2.73e-01 | 1.00e+00 | 5DCN, IGF1, IGFBP6, CAPN6, FSTL1 |
297 |
| WGTTNNNNNAAA_UNKNOWN | 4.79e-03 | 3.72 | 1.41 | 2.59e-01 | 1.00e+00 | 7DCN, OGN, IGFBP6, CAPN6, EBF2, FGF7, MMP2 |
554 |
| HFH4_01 | 8.38e-03 | 5.41 | 1.40 | 3.45e-01 | 1.00e+00 | 4PAMR1, EBF2, ABCA6, FSTL1 |
205 |
| STAT5A_04 | 9.69e-03 | 5.18 | 1.34 | 3.54e-01 | 1.00e+00 | 4VIT, IGF1, CAPN6, FSTL1 |
214 |
| AGCYRWTTC_UNKNOWN | 1.20e-02 | 6.76 | 1.33 | 3.58e-01 | 1.00e+00 | 3IGF1, MEOX2, FSTL1 |
121 |
| FOXM1_01 | 1.58e-02 | 4.45 | 1.16 | 4.10e-01 | 1.00e+00 | 4MEOX2, EBF2, COL3A1, FSTL1 |
248 |
| AP3_Q6 | 1.64e-02 | 4.40 | 1.14 | 4.10e-01 | 1.00e+00 | 4VIT, MEOX2, EBF2, FSTL1 |
251 |
| CP2_01 | 1.84e-02 | 4.25 | 1.10 | 4.10e-01 | 1.00e+00 | 4PRELP, GPC3, IGFBP6, NGF |
260 |
| TEF_Q6 | 1.89e-02 | 4.21 | 1.09 | 4.10e-01 | 1.00e+00 | 4OLFML3, IGF1, EBF2, FGF7 |
262 |
| ALPHACP1_01 | 1.91e-02 | 4.20 | 1.09 | 4.10e-01 | 1.00e+00 | 4GPC3, OLFML3, EBF2, FGF7 |
263 |
Dowload full table
GO Biological Processes:
| P-value | OR | Lower 95% CI | FDR | FWER | Genes Found | Gene Set Size | |
|---|---|---|---|---|---|---|---|
| GOBP_KERATAN_SULFATE_CATABOLIC_PROCESS | 1.27e-05 | 88.17 | 14.90 | 8.88e-03 | 9.52e-02 | 3LUM, PRELP, OGN |
12 |
| GOBP_KERATINOCYTE_APOPTOTIC_PROCESS | 2.31e-04 | 129.66 | 11.45 | 6.91e-02 | 1.00e+00 | 2GSN, SFRP4 |
6 |
| GOBP_REGULATION_OF_INSULIN_LIKE_GROWTH_FACTOR_RECEPTOR_SIGNALING_PATHWAY | 1.13e-04 | 37.87 | 7.01 | 4.45e-02 | 8.45e-01 | 3IGFBP4, IGF1, IGFBP6 |
24 |
| GOBP_AMINOGLYCAN_CATABOLIC_PROCESS | 6.88e-06 | 22.02 | 6.60 | 7.03e-03 | 5.15e-02 | 5LUM, DCN, PRELP, GPC3, OGN |
68 |
| GOBP_KERATAN_SULFATE_BIOSYNTHETIC_PROCESS | 1.81e-04 | 31.85 | 5.95 | 5.63e-02 | 1.00e+00 | 3LUM, PRELP, OGN |
28 |
| GOBP_SULFUR_COMPOUND_CATABOLIC_PROCESS | 6.91e-05 | 20.88 | 5.27 | 3.58e-02 | 5.17e-01 | 4LUM, DCN, PRELP, OGN |
56 |
| GOBP_KERATAN_SULFATE_METABOLIC_PROCESS | 2.96e-04 | 26.56 | 5.01 | 8.52e-02 | 1.00e+00 | 3LUM, PRELP, OGN |
33 |
| GOBP_POSITIVE_REGULATION_OF_INSULIN_LIKE_GROWTH_FACTOR_RECEPTOR_SIGNALING_PATHWAY | 1.18e-03 | 47.19 | 4.96 | 1.96e-01 | 1.00e+00 | 2IGFBP4, IGF1 |
13 |
| GOBP_INSULIN_LIKE_GROWTH_FACTOR_RECEPTOR_SIGNALING_PATHWAY | 3.53e-04 | 24.91 | 4.72 | 9.44e-02 | 1.00e+00 | 3IGFBP4, IGF1, IGFBP6 |
35 |
| GOBP_RESPONSE_TO_UV_A | 1.37e-03 | 43.30 | 4.59 | 2.18e-01 | 1.00e+00 | 2MMP2, EGFR |
14 |
| GOBP_RESPONSE_TO_DEXAMETHASONE | 4.51e-04 | 22.75 | 4.33 | 1.05e-01 | 1.00e+00 | 3SERPINF1, CLDN1, EGFR |
38 |
| GOBP_POSITIVE_REGULATION_OF_EPITHELIAL_CELL_APOPTOTIC_PROCESS | 5.25e-04 | 21.53 | 4.11 | 1.19e-01 | 1.00e+00 | 3GSN, SFRP4, CCL2 |
40 |
| GOBP_POSITIVE_REGULATION_OF_EPITHELIAL_CELL_PROLIFERATION | 1.31e-05 | 10.38 | 3.89 | 8.88e-03 | 9.77e-02 | 7THBS4, IGF1, OSR2, CLDN1, FGF7, CXCL12, EGFR |
203 |
| GOBP_EPITHELIAL_CELL_PROLIFERATION | 5.17e-07 | 8.46 | 3.88 | 3.87e-03 | 3.87e-03 | 11SERPINF1, GPC3, IGFBP4, THBS4, IGF1, OSR2, CLDN1, FGF7, CCL2, CXCL12, EGFR |
428 |
| GOBP_AMINOGLYCAN_BIOSYNTHETIC_PROCESS | 8.31e-05 | 12.74 | 3.87 | 3.88e-02 | 6.21e-01 | 5LUM, DCN, PRELP, GPC3, OGN |
114 |
| GOBP_EPITHELIAL_CELL_CELL_ADHESION | 2.03e-03 | 34.68 | 3.75 | 2.98e-01 | 1.00e+00 | 2CYP1B1, THBS4 |
17 |
| GOBP_EXTERNAL_ENCAPSULATING_STRUCTURE_ORGANIZATION | 2.20e-06 | 8.10 | 3.58 | 5.50e-03 | 1.65e-02 | 10LUM, CYP1B1, DCN, VIT, NID1, SMOC2, LAMA2, COL3A1, MMP2, FBLN5 |
396 |
| GOBP_REGULATION_OF_BMP_SIGNALING_PATHWAY | 4.50e-04 | 12.49 | 3.20 | 1.05e-01 | 1.00e+00 | 4GPC3, SFRP4, HTRA3, FSTL1 |
91 |
| GOBP_POSITIVE_REGULATION_OF_CALCIUM_ION_IMPORT | 2.81e-03 | 28.89 | 3.17 | 3.97e-01 | 1.00e+00 | 2CCL2, CXCL12 |
20 |
| GOBP_COLLAGEN_FIBRIL_ORGANIZATION | 1.26e-03 | 15.63 | 3.02 | 2.06e-01 | 1.00e+00 | 3LUM, CYP1B1, COL3A1 |
54 |
Dowload full table
Immunological Gene Sets:
| P-value | OR | Lower 95% CI | FDR | FWER | Genes Found | Gene Set Size | |
|---|---|---|---|---|---|---|---|
| GSE19888_ADENOSINE_A3R_ACT_VS_TCELL_MEMBRANES_ACT_IN_MAST_CELL_UP | 1.19e-05 | 10.54 | 3.95 | 5.79e-02 | 5.79e-02 | 7LUM, OAF, DCN, NID1, OSR2, SERPING1, COL3A1 |
200 |
| GSE1460_CD4_THYMOCYTE_VS_THYMIC_STROMAL_CELL_DN | 1.20e-04 | 8.83 | 3.04 | 1.51e-01 | 5.86e-01 | 6GLT8D2, MEST, OLFML3, PDGFRL, NID1, SRPX2 |
199 |
| GSE5589_WT_VS_IL6_KO_LPS_AND_IL6_STIM_MACROPHAGE_45MIN_DN | 1.20e-04 | 8.83 | 3.04 | 1.51e-01 | 5.86e-01 | 6OAF, DCN, OLFML3, IGFBP6, NID1, FGF7 |
199 |
| GSE4748_CTRL_VS_LPS_STIM_DC_3H_UP | 1.24e-04 | 8.78 | 3.02 | 1.51e-01 | 6.03e-01 | 6CYP1B1, NID1, SERPING1, COL3A1, FSTL1, CXCL12 |
200 |
| GSE24671_CTRL_VS_BAKIMULC_INFECTED_MOUSE_SPLENOCYTES_DN | 5.24e-04 | 8.42 | 2.57 | 3.51e-01 | 1.00e+00 | 5DCN, GPC3, IGFBP6, LAMA2, FSTL1 |
170 |
| GSE6259_FLT3L_INDUCED_33D1_POS_DC_VS_CD4_TCELL_UP | 5.38e-04 | 8.37 | 2.56 | 3.51e-01 | 1.00e+00 | 5SERPINF1, IGF1, ABCA9, CFH, MMP2 |
171 |
| GSE19512_NAUTRAL_VS_INDUCED_TREG_UP | 1.01e-03 | 7.23 | 2.22 | 3.51e-01 | 1.00e+00 | 5SRPX, ENTPD2, MEOX2, CCL2, FBLN5 |
197 |
| GSE2405_0H_VS_24H_A_PHAGOCYTOPHILUM_STIM_NEUTROPHIL_DN | 1.08e-03 | 7.12 | 2.18 | 3.51e-01 | 1.00e+00 | 5CFH, SERPING1, TPD52L1, MMP2, FBLN5 |
200 |
| GSE2405_0H_VS_1.5H_A_PHAGOCYTOPHILUM_STIM_NEUTROPHIL_UP | 1.08e-03 | 7.12 | 2.18 | 3.51e-01 | 1.00e+00 | 5PRELP, SFRP4, OLFML2B, COL3A1, EGFR |
200 |
| GSE8835_HEALTHY_VS_CLL_CD8_TCELL_DN | 1.08e-03 | 7.12 | 2.18 | 3.51e-01 | 1.00e+00 | 5LUM, DCN, SRPX2, COL3A1, MMP2 |
200 |
| GSE2585_CTEC_VS_THYMIC_DC_DN | 1.08e-03 | 7.12 | 2.18 | 3.51e-01 | 1.00e+00 | 5PAMR1, NID1, CFH, IGFBP7, MMP2 |
200 |
| GSE3039_CD4_TCELL_VS_B2_BCELL_UP | 1.08e-03 | 7.12 | 2.18 | 3.51e-01 | 1.00e+00 | 5IGFBP4, OLFML3, CFH, SERPING1, FSTL1 |
200 |
| GSE16450_CTRL_VS_IFNA_12H_STIM_MATURE_NEURON_CELL_LINE_UP | 1.08e-03 | 7.12 | 2.18 | 3.51e-01 | 1.00e+00 | 5CYP1B1, PDGFRL, IGFBP6, MEOX2, IGFBP7 |
200 |
| GSE23505_IL6_IL1_IL23_VS_IL6_IL1_TGFB_TREATED_CD4_TCELL_UP | 1.08e-03 | 7.12 | 2.18 | 3.51e-01 | 1.00e+00 | 5LUM, DCN, SFRP4, MMP2, CXCL12 |
200 |
| GSE32164_RESTING_DIFFERENTIATED_VS_ALTERNATIVELY_ACT_M2_MACROPHAGE_UP | 1.08e-03 | 7.12 | 2.18 | 3.51e-01 | 1.00e+00 | 5LUM, IGFBP7, TPD52L1, LAMA2, EGFR |
200 |
| GSE6259_FLT3L_INDUCED_33D1_POS_DC_VS_CD8_TCELL_UP | 2.56e-03 | 7.65 | 1.97 | 7.81e-01 | 1.00e+00 | 4SERPINF1, CFH, CCL2, EGFR |
146 |
| GSE37605_FOXP3_FUSION_GFP_VS_IRES_GFP_TREG_C57BL6_DN | 4.96e-03 | 6.32 | 1.63 | 7.82e-01 | 1.00e+00 | 4SRPX, OGN, IGFBP6, FBLN5 |
176 |
| GSE6259_CD4_TCELL_VS_CD8_TCELL_UP | 6.12e-03 | 5.94 | 1.54 | 7.82e-01 | 1.00e+00 | 4SERPINF1, OGN, IGFBP6, FSTL1 |
187 |
| GSE2706_R848_VS_LPS_2H_STIM_DC_UP | 6.35e-03 | 5.87 | 1.52 | 7.82e-01 | 1.00e+00 | 4PRELP, CLDN1, FGF7, CCL2 |
189 |
| GSE18804_BRAIN_VS_COLON_TUMORAL_MACROPHAGE_DN | 6.95e-03 | 5.72 | 1.48 | 7.82e-01 | 1.00e+00 | 4LUM, GPC3, THBS4, LAMA2 |
194 |
Top Ranked Transcription Factors for this Gene Expression Program:
| Gene Symbol | TF Rank | DNA Binding Domain | Motif Status | IUPAC PWM | GTEx | DepMap | Decartes |
|---|---|---|---|---|---|---|---|
| CYP1B1 | 4 | No | Unlikely to be sequence specific TF | Not a DNA binding protein | No motif | None | None |
| SFRP4 | 15 | No | Unlikely to be sequence specific TF | Not a DNA binding protein | No motif | None | None |
| MEOX2 | 27 | Yes | Known motif | Monomer or homomultimer | High-throughput in vitro | None | None |
| OSR2 | 32 | Yes | Known motif | Monomer or homomultimer | High-throughput in vitro | None | None |
| EBF2 | 39 | Yes | Known motif | Monomer or homomultimer | In vivo/Misc source | Only known motifs are from Transfac or HocoMoco - origin is uncertain | EBF1 has a nice HT-SELEX model and based on this paper (PMID:23499423). EBF2 binds similar motif to control brown/beige fat cell identity. |
| TWIST2 | 60 | Yes | Known motif | Monomer or homomultimer | 100 perc ID - in vitro | None | None |
| NR1H3 | 63 | Yes | Inferred motif | Obligate heteromer | In vivo/Misc source | None | Binds as an obligate heterodimer with RXR-proteins. (PDB: 2ACL) is a crystal structure of the two proteins without DNA |
| SFRP5 | 65 | No | Unlikely to be sequence specific TF | Not a DNA binding protein | No motif | None | None |
| PTCH1 | 66 | No | Unlikely to be sequence specific TF | Not a DNA binding protein | No motif | None | None |
| NFIA | 73 | Yes | Known motif | Monomer or homomultimer | High-throughput in vitro | None | None |
| ETV4 | 76 | Yes | Known motif | Monomer or homomultimer | High-throughput in vitro | None | None |
| CC2D1A | 94 | Yes | Likely to be sequence specific TF | Monomer or homomultimer | No motif | None | (PMID: 17714190) states that human Freud-1L bound specifically to its dual repressor element in the 5-HT1A receptor gene in vitro |
| TBX18 | 100 | Yes | Known motif | Monomer or homomultimer | High-throughput in vitro | None | None |
| GLI1 | 101 | Yes | Known motif | Monomer or homomultimer | In vivo/Misc source | None | None |
| NR2F2 | 108 | Yes | Known motif | Monomer or homomultimer | 100 perc ID - in vitro | None | None |
| FBN1 | 116 | No | Unlikely to be sequence specific TF | Not a DNA binding protein | No motif | None | None |
| SOX9 | 132 | Yes | Known motif | Monomer or homomultimer | High-throughput in vitro | None | Also binds ssDNA loops. |
| JUN | 133 | Yes | Known motif | Monomer or homomultimer | High-throughput in vitro | None | None |
| GAS7 | 134 | No | Unlikely to be sequence specific TF | Not a DNA binding protein | No motif | None | (PMID: 9736752) only shows that it has a proline-rich domain similar to the one in Oct2. No evidence of DNA binding. |
| NRK | 138 | No | Unlikely to be sequence specific TF | Not a DNA binding protein | No motif | None | Protein is a kinase |
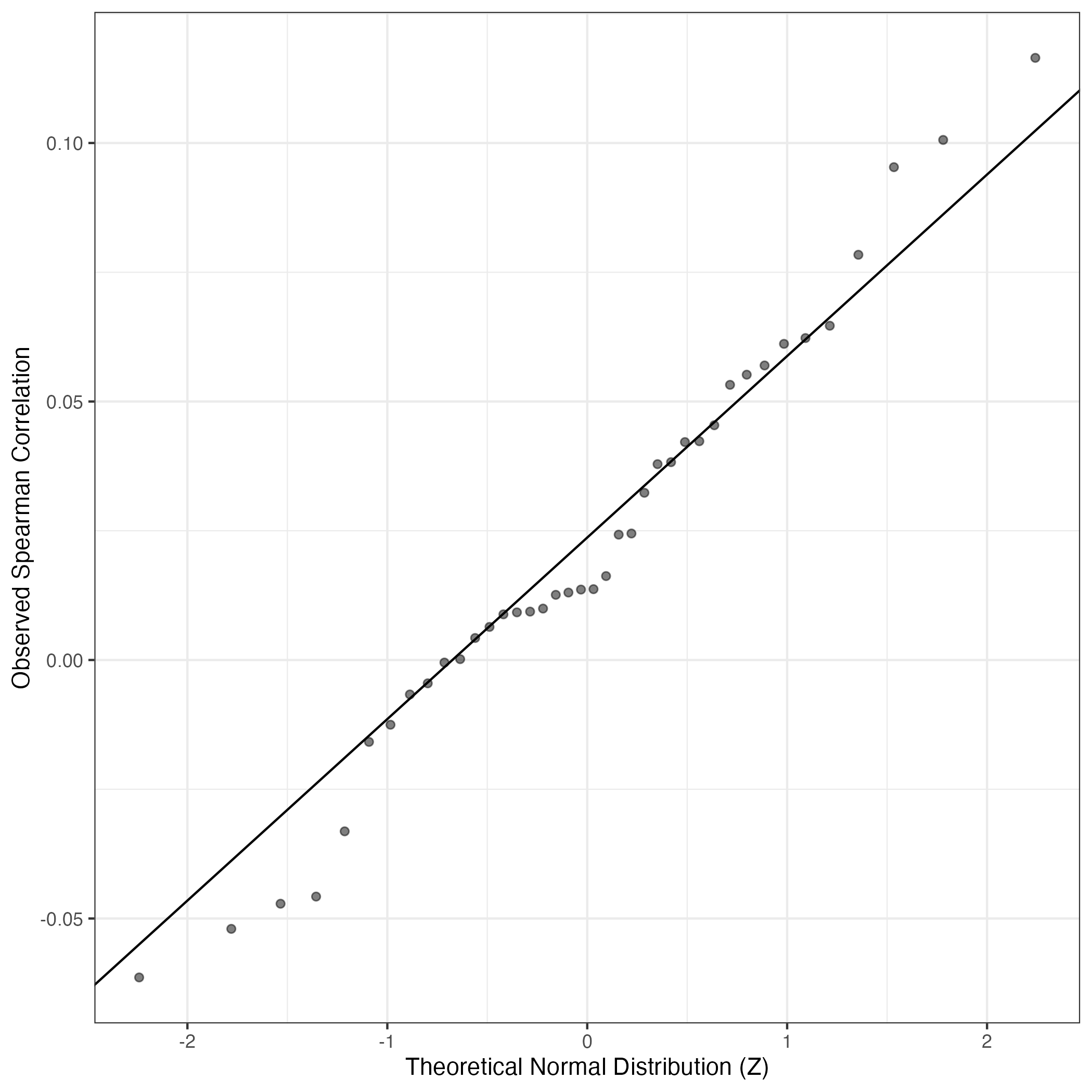
QQ Plot showing correlations with other GEPs in this dataset, calculated by Spearman correlation:
Interactive QQ-plot of gene loadings:
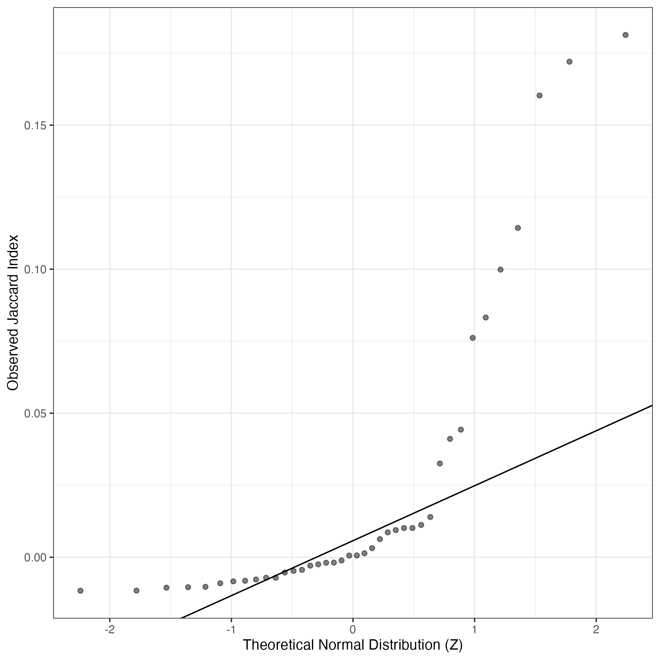
A similar QQ-plot as above, but only for instances where the H value is e.g. > 25, i.e. we are confident that the expression program is active above noise. Agreemenet between these binary vectors is tested using the Jaccard Index, with the P-values calculated by an exact test:
Interactive QQ-plot:
Singler cell type annotations for the top 50 cells on this program.
| Cell ID | Singler label | Singler Delta | Activity Score | Top Singler Raw Scores |
|---|---|---|---|---|
| T19_GGACAAGCACGCATCG.1 | Tissue_stem_cells:BM_MSC:TGFb3 | 0.16 | 2871.01 | Raw ScoresSmooth_muscle_cells:bronchial: 0.37, Smooth_muscle_cells:bronchial:vit_D: 0.37, Fibroblasts:breast: 0.37, iPS_cells:adipose_stem_cells: 0.36, Tissue_stem_cells:BM_MSC:BMP2: 0.36, Osteoblasts: 0.36, Chondrocytes:MSC-derived: 0.36, Tissue_stem_cells:BM_MSC:TGFb3: 0.36, Tissue_stem_cells:iliac_MSC: 0.35, iPS_cells:CRL2097_foreskin: 0.35 |
| T19_CGGACACGTAACGCGA.1 | Smooth_muscle_cells:bronchial | 0.16 | 1822.26 | Raw ScoresFibroblasts:breast: 0.33, Osteoblasts: 0.33, Smooth_muscle_cells:bronchial: 0.33, Smooth_muscle_cells:bronchial:vit_D: 0.32, iPS_cells:adipose_stem_cells: 0.32, Tissue_stem_cells:BM_MSC:BMP2: 0.32, Tissue_stem_cells:BM_MSC:TGFb3: 0.31, Tissue_stem_cells:iliac_MSC: 0.31, Tissue_stem_cells:BM_MSC: 0.31, Chondrocytes:MSC-derived: 0.31 |
| T19_CGTTGGGGTTGATTCG.1 | Smooth_muscle_cells:bronchial | 0.16 | 1572.38 | Raw ScoresiPS_cells:adipose_stem_cells: 0.33, Fibroblasts:breast: 0.33, Smooth_muscle_cells:bronchial: 0.33, Smooth_muscle_cells:bronchial:vit_D: 0.33, Chondrocytes:MSC-derived: 0.33, Osteoblasts: 0.33, Tissue_stem_cells:BM_MSC:BMP2: 0.33, Tissue_stem_cells:BM_MSC:TGFb3: 0.32, Tissue_stem_cells:iliac_MSC: 0.32, Tissue_stem_cells:BM_MSC: 0.31 |
| T19_CGAGCACCATTAACCG.1 | Tissue_stem_cells:BM_MSC:TGFb3 | 0.13 | 1466.12 | Raw ScoresSmooth_muscle_cells:bronchial: 0.35, Smooth_muscle_cells:bronchial:vit_D: 0.35, iPS_cells:adipose_stem_cells: 0.34, Fibroblasts:breast: 0.34, Chondrocytes:MSC-derived: 0.34, Tissue_stem_cells:BM_MSC:TGFb3: 0.34, Tissue_stem_cells:BM_MSC:BMP2: 0.34, Osteoblasts: 0.33, Tissue_stem_cells:iliac_MSC: 0.32, Fibroblasts:foreskin: 0.32 |
| T19_CACCACTAGAGCTTCT.1 | Smooth_muscle_cells:bronchial | 0.17 | 1425.04 | Raw ScoresOsteoblasts: 0.33, Smooth_muscle_cells:bronchial: 0.33, Smooth_muscle_cells:bronchial:vit_D: 0.33, Fibroblasts:breast: 0.32, Chondrocytes:MSC-derived: 0.32, iPS_cells:adipose_stem_cells: 0.32, Tissue_stem_cells:BM_MSC:BMP2: 0.32, Tissue_stem_cells:BM_MSC:TGFb3: 0.32, Tissue_stem_cells:BM_MSC: 0.32, iPS_cells:CRL2097_foreskin: 0.31 |
| T19_GATGAGGGTAGCTAAA.1 | Smooth_muscle_cells:bronchial | 0.14 | 1154.12 | Raw ScoresSmooth_muscle_cells:bronchial: 0.36, Smooth_muscle_cells:bronchial:vit_D: 0.36, Fibroblasts:breast: 0.36, iPS_cells:adipose_stem_cells: 0.35, Chondrocytes:MSC-derived: 0.34, Osteoblasts: 0.34, Tissue_stem_cells:BM_MSC:BMP2: 0.34, Fibroblasts:foreskin: 0.34, Neurons:Schwann_cell: 0.34, Tissue_stem_cells:BM_MSC:TGFb3: 0.34 |
| T19_TATCTCATCCAGAAGG.1 | Smooth_muscle_cells:bronchial | 0.16 | 1092.83 | Raw ScoresSmooth_muscle_cells:bronchial: 0.36, Smooth_muscle_cells:bronchial:vit_D: 0.36, Fibroblasts:breast: 0.36, iPS_cells:adipose_stem_cells: 0.35, Chondrocytes:MSC-derived: 0.35, Tissue_stem_cells:iliac_MSC: 0.35, iPS_cells:CRL2097_foreskin: 0.35, Tissue_stem_cells:BM_MSC:TGFb3: 0.35, Osteoblasts: 0.34, Tissue_stem_cells:BM_MSC:BMP2: 0.34 |
| T19_CGGAGTCGTACTTCTT.1 | Chondrocytes:MSC-derived | 0.14 | 1074.57 | Raw ScoresiPS_cells:adipose_stem_cells: 0.36, Fibroblasts:breast: 0.36, Smooth_muscle_cells:bronchial: 0.36, Smooth_muscle_cells:bronchial:vit_D: 0.36, Tissue_stem_cells:BM_MSC:BMP2: 0.36, Chondrocytes:MSC-derived: 0.36, Tissue_stem_cells:BM_MSC:TGFb3: 0.35, Osteoblasts: 0.35, Smooth_muscle_cells:vascular: 0.35, iPS_cells:CRL2097_foreskin: 0.35 |
| T19_TTATGCTTCGTTGCCT.1 | Smooth_muscle_cells:bronchial | 0.14 | 1031.91 | Raw ScoresSmooth_muscle_cells:bronchial: 0.36, Smooth_muscle_cells:bronchial:vit_D: 0.36, Fibroblasts:breast: 0.35, iPS_cells:adipose_stem_cells: 0.34, Osteoblasts: 0.34, Tissue_stem_cells:BM_MSC:BMP2: 0.34, Tissue_stem_cells:BM_MSC:TGFb3: 0.33, Chondrocytes:MSC-derived: 0.33, Smooth_muscle_cells:vascular: 0.33, iPS_cells:CRL2097_foreskin: 0.33 |
| T19_AACCGCGAGGATGCGT.1 | Fibroblasts:breast | 0.16 | 1030.27 | Raw ScoresOsteoblasts: 0.36, Tissue_stem_cells:BM_MSC:BMP2: 0.36, Tissue_stem_cells:BM_MSC:TGFb3: 0.36, Fibroblasts:breast: 0.36, Smooth_muscle_cells:bronchial: 0.36, iPS_cells:adipose_stem_cells: 0.35, Smooth_muscle_cells:bronchial:vit_D: 0.35, Tissue_stem_cells:BM_MSC: 0.35, Tissue_stem_cells:BM_MSC:osteogenic: 0.35, Tissue_stem_cells:iliac_MSC: 0.35 |
| T19_ACAGCTATCTTGGGTA.1 | Smooth_muscle_cells:bronchial | 0.14 | 1012.56 | Raw ScoresSmooth_muscle_cells:bronchial: 0.35, Smooth_muscle_cells:bronchial:vit_D: 0.35, Chondrocytes:MSC-derived: 0.35, iPS_cells:adipose_stem_cells: 0.34, Tissue_stem_cells:BM_MSC:BMP2: 0.34, Fibroblasts:breast: 0.34, Tissue_stem_cells:BM_MSC:TGFb3: 0.34, Osteoblasts: 0.34, Tissue_stem_cells:BM_MSC: 0.33, Tissue_stem_cells:BM_MSC:osteogenic: 0.33 |
| T19_CTTACCGCAATACGCT.1 | Tissue_stem_cells:BM_MSC:TGFb3 | 0.12 | 1011.48 | Raw ScoresFibroblasts:breast: 0.34, Smooth_muscle_cells:bronchial: 0.34, Smooth_muscle_cells:bronchial:vit_D: 0.33, Osteoblasts: 0.33, iPS_cells:adipose_stem_cells: 0.33, Tissue_stem_cells:BM_MSC:BMP2: 0.32, Chondrocytes:MSC-derived: 0.32, Tissue_stem_cells:BM_MSC:TGFb3: 0.32, Tissue_stem_cells:iliac_MSC: 0.32, iPS_cells:CRL2097_foreskin: 0.32 |
| T19_AGCAGCCAGCTTTGGT.1 | Fibroblasts:foreskin | 0.12 | 1004.01 | Raw ScoresFibroblasts:breast: 0.36, Smooth_muscle_cells:bronchial: 0.35, Smooth_muscle_cells:bronchial:vit_D: 0.35, iPS_cells:adipose_stem_cells: 0.35, Tissue_stem_cells:BM_MSC:BMP2: 0.35, Osteoblasts: 0.35, iPS_cells:CRL2097_foreskin: 0.34, Chondrocytes:MSC-derived: 0.34, Fibroblasts:foreskin: 0.34, Tissue_stem_cells:BM_MSC:TGFb3: 0.34 |
| T19_GTCGTAAGTTAAGTAG.1 | Smooth_muscle_cells:bronchial | 0.12 | 998.50 | Raw ScoresSmooth_muscle_cells:bronchial: 0.34, Smooth_muscle_cells:bronchial:vit_D: 0.34, Fibroblasts:breast: 0.34, iPS_cells:adipose_stem_cells: 0.34, Osteoblasts: 0.33, Tissue_stem_cells:iliac_MSC: 0.33, Tissue_stem_cells:BM_MSC:BMP2: 0.33, Chondrocytes:MSC-derived: 0.33, Tissue_stem_cells:BM_MSC:TGFb3: 0.33, Smooth_muscle_cells:vascular: 0.32 |
| T19_CCTTACGCAATAGAGT.1 | Tissue_stem_cells:BM_MSC:TGFb3 | 0.15 | 977.68 | Raw ScoresSmooth_muscle_cells:bronchial: 0.38, Fibroblasts:breast: 0.38, Smooth_muscle_cells:bronchial:vit_D: 0.37, iPS_cells:adipose_stem_cells: 0.37, Osteoblasts: 0.37, Tissue_stem_cells:BM_MSC:BMP2: 0.37, Tissue_stem_cells:BM_MSC:TGFb3: 0.37, Tissue_stem_cells:iliac_MSC: 0.37, Chondrocytes:MSC-derived: 0.36, iPS_cells:CRL2097_foreskin: 0.35 |
| T19_GGTGTTAGTGGTACAG.1 | Neurons:Schwann_cell | 0.10 | 975.74 | Raw ScoresTissue_stem_cells:BM_MSC:BMP2: 0.34, Smooth_muscle_cells:bronchial: 0.34, iPS_cells:adipose_stem_cells: 0.34, Tissue_stem_cells:BM_MSC:TGFb3: 0.33, Osteoblasts: 0.33, Chondrocytes:MSC-derived: 0.33, Fibroblasts:foreskin: 0.33, Fibroblasts:breast: 0.33, Smooth_muscle_cells:bronchial:vit_D: 0.33, Neurons:Schwann_cell: 0.33 |
| T19_CTGCCTACAGTATCTG.1 | Fibroblasts:breast | 0.14 | 966.30 | Raw ScoresSmooth_muscle_cells:bronchial: 0.35, Smooth_muscle_cells:bronchial:vit_D: 0.35, Fibroblasts:breast: 0.33, Tissue_stem_cells:BM_MSC:BMP2: 0.33, Chondrocytes:MSC-derived: 0.33, iPS_cells:adipose_stem_cells: 0.33, Tissue_stem_cells:BM_MSC:TGFb3: 0.33, Osteoblasts: 0.33, iPS_cells:CRL2097_foreskin: 0.32, Tissue_stem_cells:iliac_MSC: 0.32 |
| T19_ACCCACTTCTACGAGT.1 | Smooth_muscle_cells:bronchial | 0.14 | 954.20 | Raw ScoresSmooth_muscle_cells:bronchial: 0.35, Smooth_muscle_cells:bronchial:vit_D: 0.35, iPS_cells:adipose_stem_cells: 0.34, Fibroblasts:breast: 0.34, Chondrocytes:MSC-derived: 0.33, Osteoblasts: 0.33, Tissue_stem_cells:BM_MSC:TGFb3: 0.33, iPS_cells:foreskin_fibrobasts: 0.33, iPS_cells:CRL2097_foreskin: 0.33, Tissue_stem_cells:BM_MSC:BMP2: 0.33 |
| T19_TGCACCTCAGGATCGA.1 | Smooth_muscle_cells:bronchial | 0.14 | 932.98 | Raw ScoresSmooth_muscle_cells:bronchial: 0.35, Smooth_muscle_cells:bronchial:vit_D: 0.35, Fibroblasts:breast: 0.35, iPS_cells:adipose_stem_cells: 0.35, Tissue_stem_cells:BM_MSC:BMP2: 0.34, Tissue_stem_cells:BM_MSC:TGFb3: 0.34, Chondrocytes:MSC-derived: 0.34, Tissue_stem_cells:iliac_MSC: 0.34, Osteoblasts: 0.33, Smooth_muscle_cells:vascular: 0.33 |
| T19_TATCTCAGTTGGACCC.1 | Smooth_muscle_cells:bronchial | 0.16 | 891.37 | Raw ScoresSmooth_muscle_cells:bronchial: 0.36, Smooth_muscle_cells:bronchial:vit_D: 0.36, Fibroblasts:breast: 0.36, iPS_cells:adipose_stem_cells: 0.35, Tissue_stem_cells:BM_MSC:BMP2: 0.35, Chondrocytes:MSC-derived: 0.35, Osteoblasts: 0.35, Tissue_stem_cells:BM_MSC:TGFb3: 0.35, Smooth_muscle_cells:vascular: 0.34, iPS_cells:fibroblasts: 0.34 |
| T19_AAAGTAGCATATGGTC.1 | Smooth_muscle_cells:bronchial | 0.16 | 890.19 | Raw ScoresSmooth_muscle_cells:bronchial: 0.34, Osteoblasts: 0.34, Fibroblasts:breast: 0.34, Chondrocytes:MSC-derived: 0.33, Smooth_muscle_cells:bronchial:vit_D: 0.33, Tissue_stem_cells:BM_MSC:BMP2: 0.33, Tissue_stem_cells:BM_MSC:TGFb3: 0.33, iPS_cells:adipose_stem_cells: 0.33, Tissue_stem_cells:iliac_MSC: 0.33, Tissue_stem_cells:BM_MSC: 0.33 |
| T19_TCAGCTCGTGTATGGG.1 | Smooth_muscle_cells:bronchial | 0.15 | 887.52 | Raw ScoresSmooth_muscle_cells:bronchial: 0.37, Smooth_muscle_cells:bronchial:vit_D: 0.36, iPS_cells:adipose_stem_cells: 0.36, Fibroblasts:breast: 0.35, Tissue_stem_cells:BM_MSC:BMP2: 0.35, Osteoblasts: 0.35, Chondrocytes:MSC-derived: 0.35, Tissue_stem_cells:BM_MSC:TGFb3: 0.35, Tissue_stem_cells:iliac_MSC: 0.34, Fibroblasts:foreskin: 0.34 |
| T19_TGCGGGTTCATGCAAC.1 | Smooth_muscle_cells:bronchial | 0.09 | 870.70 | Raw ScoresiPS_cells:adipose_stem_cells: 0.33, Smooth_muscle_cells:bronchial: 0.33, Tissue_stem_cells:BM_MSC:BMP2: 0.33, Smooth_muscle_cells:bronchial:vit_D: 0.32, Fibroblasts:breast: 0.32, Osteoblasts: 0.32, Tissue_stem_cells:BM_MSC:TGFb3: 0.32, Chondrocytes:MSC-derived: 0.32, Tissue_stem_cells:BM_MSC:osteogenic: 0.32, Tissue_stem_cells:iliac_MSC: 0.31 |
| T19_GCACATAGTAAACGCG.1 | Tissue_stem_cells:BM_MSC:BMP2 | 0.13 | 867.18 | Raw ScoresSmooth_muscle_cells:bronchial: 0.35, Smooth_muscle_cells:bronchial:vit_D: 0.35, Fibroblasts:breast: 0.35, iPS_cells:adipose_stem_cells: 0.35, Osteoblasts: 0.34, Tissue_stem_cells:BM_MSC:BMP2: 0.34, Chondrocytes:MSC-derived: 0.34, iPS_cells:CRL2097_foreskin: 0.34, Fibroblasts:foreskin: 0.34, Tissue_stem_cells:BM_MSC:TGFb3: 0.34 |
| T19_TTCCCAGGTTAAGATG.1 | Macrophage:monocyte-derived:M-CSF | 0.10 | 861.06 | Raw ScoresMacrophage:monocyte-derived:S._aureus: 0.32, Macrophage:monocyte-derived:M-CSF: 0.32, DC:monocyte-derived:AEC-conditioned: 0.32, Macrophage:monocyte-derived:IFNa: 0.32, DC:monocyte-derived:LPS: 0.32, Monocyte:anti-FcgRIIB: 0.32, DC:monocyte-derived:anti-DC-SIGN_2h: 0.32, DC:monocyte-derived:Poly(IC): 0.32, DC:monocyte-derived:A._fumigatus_germ_tubes_6h: 0.31, DC:monocyte-derived:antiCD40/VAF347: 0.31 |
| T19_GTCACGGTCCTTTACA.1 | Chondrocytes:MSC-derived | 0.10 | 833.22 | Raw ScoresSmooth_muscle_cells:bronchial: 0.31, Smooth_muscle_cells:bronchial:vit_D: 0.31, Fibroblasts:breast: 0.3, Tissue_stem_cells:BM_MSC:BMP2: 0.3, Osteoblasts: 0.3, iPS_cells:adipose_stem_cells: 0.3, Tissue_stem_cells:iliac_MSC: 0.3, Tissue_stem_cells:BM_MSC:TGFb3: 0.3, Smooth_muscle_cells:vascular: 0.29, Chondrocytes:MSC-derived: 0.29 |
| T19_CGTTAGATCCCATTAT.1 | Tissue_stem_cells:BM_MSC:TGFb3 | 0.12 | 818.71 | Raw ScoresSmooth_muscle_cells:bronchial:vit_D: 0.32, Smooth_muscle_cells:bronchial: 0.32, Fibroblasts:breast: 0.31, Tissue_stem_cells:BM_MSC:BMP2: 0.31, iPS_cells:adipose_stem_cells: 0.31, Tissue_stem_cells:BM_MSC:TGFb3: 0.31, Osteoblasts: 0.31, Tissue_stem_cells:iliac_MSC: 0.31, Chondrocytes:MSC-derived: 0.3, Smooth_muscle_cells:vascular: 0.29 |
| T19_ACGTCAAGTACCGGCT.1 | Fibroblasts:breast | 0.14 | 803.79 | Raw ScoresSmooth_muscle_cells:bronchial: 0.34, Smooth_muscle_cells:bronchial:vit_D: 0.34, Fibroblasts:breast: 0.33, Osteoblasts: 0.33, iPS_cells:adipose_stem_cells: 0.33, Chondrocytes:MSC-derived: 0.32, Tissue_stem_cells:BM_MSC:BMP2: 0.32, Tissue_stem_cells:BM_MSC:TGFb3: 0.32, Tissue_stem_cells:iliac_MSC: 0.32, Tissue_stem_cells:BM_MSC:osteogenic: 0.32 |
| T19_GCCAAATGTCCGTGAC.1 | Neurons:Schwann_cell | 0.16 | 793.68 | Raw ScoresNeurons:Schwann_cell: 0.37, Smooth_muscle_cells:bronchial: 0.37, Fibroblasts:breast: 0.37, Smooth_muscle_cells:bronchial:vit_D: 0.37, iPS_cells:adipose_stem_cells: 0.36, Chondrocytes:MSC-derived: 0.36, Osteoblasts: 0.36, Tissue_stem_cells:BM_MSC:BMP2: 0.36, Tissue_stem_cells:BM_MSC:TGFb3: 0.35, Tissue_stem_cells:iliac_MSC: 0.35 |
| T19_TGACGGCCATTTCAGG.1 | Tissue_stem_cells:iliac_MSC | 0.12 | 789.56 | Raw ScoresFibroblasts:breast: 0.34, Smooth_muscle_cells:bronchial: 0.34, Smooth_muscle_cells:bronchial:vit_D: 0.34, iPS_cells:adipose_stem_cells: 0.34, Tissue_stem_cells:BM_MSC:BMP2: 0.34, Tissue_stem_cells:iliac_MSC: 0.33, Osteoblasts: 0.33, Tissue_stem_cells:BM_MSC:TGFb3: 0.33, Smooth_muscle_cells:vascular: 0.33, Chondrocytes:MSC-derived: 0.33 |
| T19_ATCCGAAGTGTGGTTT.1 | Fibroblasts:breast | 0.15 | 778.05 | Raw ScoresiPS_cells:adipose_stem_cells: 0.36, Fibroblasts:breast: 0.36, Osteoblasts: 0.36, Smooth_muscle_cells:bronchial: 0.36, Chondrocytes:MSC-derived: 0.35, Smooth_muscle_cells:bronchial:vit_D: 0.35, Tissue_stem_cells:BM_MSC:BMP2: 0.35, Tissue_stem_cells:BM_MSC:TGFb3: 0.35, Tissue_stem_cells:iliac_MSC: 0.34, iPS_cells:CRL2097_foreskin: 0.34 |
| T19_CTCTAATGTCTGCCAG.1 | Fibroblasts:breast | 0.15 | 771.72 | Raw ScoresSmooth_muscle_cells:bronchial: 0.34, Fibroblasts:breast: 0.34, Osteoblasts: 0.34, Smooth_muscle_cells:bronchial:vit_D: 0.34, iPS_cells:adipose_stem_cells: 0.34, Tissue_stem_cells:BM_MSC:BMP2: 0.34, Chondrocytes:MSC-derived: 0.33, Smooth_muscle_cells:vascular: 0.33, Tissue_stem_cells:BM_MSC:TGFb3: 0.33, Tissue_stem_cells:BM_MSC: 0.32 |
| T19_TACCTATGTACAGTTC.1 | Chondrocytes:MSC-derived | 0.11 | 766.38 | Raw ScoresiPS_cells:adipose_stem_cells: 0.35, Fibroblasts:breast: 0.35, Smooth_muscle_cells:bronchial: 0.35, Osteoblasts: 0.35, Smooth_muscle_cells:bronchial:vit_D: 0.34, Chondrocytes:MSC-derived: 0.34, Tissue_stem_cells:BM_MSC:BMP2: 0.34, Tissue_stem_cells:BM_MSC:TGFb3: 0.34, Tissue_stem_cells:BM_MSC: 0.33, iPS_cells:CRL2097_foreskin: 0.33 |
| T19_TCAGGTAGTCTAACGT.1 | Smooth_muscle_cells:bronchial | 0.13 | 761.06 | Raw ScoresSmooth_muscle_cells:bronchial: 0.34, Fibroblasts:breast: 0.34, Smooth_muscle_cells:bronchial:vit_D: 0.34, iPS_cells:adipose_stem_cells: 0.34, iPS_cells:CRL2097_foreskin: 0.33, Tissue_stem_cells:BM_MSC:TGFb3: 0.33, Tissue_stem_cells:BM_MSC:BMP2: 0.33, Osteoblasts: 0.33, Chondrocytes:MSC-derived: 0.33, iPS_cells:fibroblasts: 0.32 |
| T19_GACGGCTTCGAGGTAG.1 | Chondrocytes:MSC-derived | 0.12 | 758.82 | Raw ScoresiPS_cells:adipose_stem_cells: 0.32, Fibroblasts:breast: 0.32, Chondrocytes:MSC-derived: 0.32, Smooth_muscle_cells:bronchial: 0.32, Osteoblasts: 0.32, Smooth_muscle_cells:bronchial:vit_D: 0.32, Tissue_stem_cells:BM_MSC:BMP2: 0.31, Tissue_stem_cells:BM_MSC:TGFb3: 0.31, Smooth_muscle_cells:vascular: 0.31, iPS_cells:CRL2097_foreskin: 0.31 |
| T19_GTTTCTACACGGTAAG.1 | Smooth_muscle_cells:bronchial | 0.13 | 758.57 | Raw ScoresSmooth_muscle_cells:bronchial: 0.33, Smooth_muscle_cells:bronchial:vit_D: 0.33, Tissue_stem_cells:BM_MSC:BMP2: 0.32, Tissue_stem_cells:BM_MSC:TGFb3: 0.32, Fibroblasts:breast: 0.32, iPS_cells:adipose_stem_cells: 0.32, Osteoblasts: 0.32, Tissue_stem_cells:iliac_MSC: 0.31, Chondrocytes:MSC-derived: 0.31, iPS_cells:CRL2097_foreskin: 0.31 |
| T19_TCAACGACAACTGCTA.1 | Tissue_stem_cells:BM_MSC:BMP2 | 0.14 | 758.19 | Raw ScoresSmooth_muscle_cells:bronchial: 0.33, Smooth_muscle_cells:bronchial:vit_D: 0.32, Fibroblasts:breast: 0.32, Tissue_stem_cells:BM_MSC:BMP2: 0.32, Tissue_stem_cells:BM_MSC:TGFb3: 0.32, iPS_cells:adipose_stem_cells: 0.31, Osteoblasts: 0.31, Chondrocytes:MSC-derived: 0.31, Smooth_muscle_cells:vascular: 0.31, Smooth_muscle_cells:vascular:IL-17: 0.31 |
| T19_GTACGTAAGTCCGGTC.1 | Fibroblasts:breast | 0.13 | 755.67 | Raw ScoresFibroblasts:breast: 0.35, iPS_cells:adipose_stem_cells: 0.35, Smooth_muscle_cells:bronchial: 0.34, Smooth_muscle_cells:bronchial:vit_D: 0.33, Chondrocytes:MSC-derived: 0.33, Tissue_stem_cells:BM_MSC:BMP2: 0.33, Smooth_muscle_cells:vascular: 0.32, Fibroblasts:foreskin: 0.32, Osteoblasts: 0.32, Tissue_stem_cells:BM_MSC: 0.32 |
| T19_CACACAAAGAGTCTGG.1 | Tissue_stem_cells:BM_MSC:TGFb3 | 0.14 | 744.82 | Raw ScoresSmooth_muscle_cells:bronchial: 0.38, Tissue_stem_cells:BM_MSC:BMP2: 0.37, Smooth_muscle_cells:bronchial:vit_D: 0.37, Tissue_stem_cells:BM_MSC:TGFb3: 0.37, iPS_cells:adipose_stem_cells: 0.37, Fibroblasts:breast: 0.37, Chondrocytes:MSC-derived: 0.36, Osteoblasts: 0.36, iPS_cells:CRL2097_foreskin: 0.36, Tissue_stem_cells:iliac_MSC: 0.36 |
| T19_TTATGCTAGTAGCGGT.1 | Fibroblasts:breast | 0.13 | 743.87 | Raw ScoresiPS_cells:adipose_stem_cells: 0.35, Fibroblasts:breast: 0.35, Smooth_muscle_cells:bronchial: 0.34, Smooth_muscle_cells:bronchial:vit_D: 0.34, Tissue_stem_cells:BM_MSC:BMP2: 0.33, Tissue_stem_cells:BM_MSC:TGFb3: 0.33, Chondrocytes:MSC-derived: 0.33, iPS_cells:CRL2097_foreskin: 0.33, Fibroblasts:foreskin: 0.33, Osteoblasts: 0.33 |
| T19_CGATCGGTCAGCTGGC.1 | Fibroblasts:breast | 0.13 | 731.33 | Raw ScoresSmooth_muscle_cells:bronchial: 0.31, Smooth_muscle_cells:bronchial:vit_D: 0.31, Fibroblasts:breast: 0.3, iPS_cells:adipose_stem_cells: 0.3, Chondrocytes:MSC-derived: 0.3, Osteoblasts: 0.3, Tissue_stem_cells:BM_MSC:BMP2: 0.3, Tissue_stem_cells:BM_MSC: 0.29, Tissue_stem_cells:BM_MSC:TGFb3: 0.29, Smooth_muscle_cells:vascular: 0.29 |
| T19_CCATGTCGTCGAACAG.1 | Smooth_muscle_cells:bronchial | 0.13 | 723.05 | Raw ScoresSmooth_muscle_cells:bronchial: 0.33, Smooth_muscle_cells:bronchial:vit_D: 0.33, iPS_cells:adipose_stem_cells: 0.33, Fibroblasts:breast: 0.32, Osteoblasts: 0.32, Tissue_stem_cells:iliac_MSC: 0.32, Fibroblasts:foreskin: 0.32, Tissue_stem_cells:BM_MSC:BMP2: 0.32, Tissue_stem_cells:BM_MSC:TGFb3: 0.32, iPS_cells:CRL2097_foreskin: 0.31 |
| T19_GTCTCGTAGTTGTAGA.1 | Tissue_stem_cells:BM_MSC:TGFb3 | 0.12 | 715.74 | Raw ScoresiPS_cells:adipose_stem_cells: 0.32, Fibroblasts:breast: 0.32, Tissue_stem_cells:BM_MSC:TGFb3: 0.31, Osteoblasts: 0.31, Tissue_stem_cells:BM_MSC:BMP2: 0.31, Smooth_muscle_cells:bronchial: 0.31, Chondrocytes:MSC-derived: 0.31, Smooth_muscle_cells:bronchial:vit_D: 0.31, Tissue_stem_cells:iliac_MSC: 0.31, iPS_cells:CRL2097_foreskin: 0.3 |
| T19_CGGAGTCCAGGATCGA.1 | Smooth_muscle_cells:bronchial | 0.11 | 703.21 | Raw ScoresSmooth_muscle_cells:bronchial: 0.31, Smooth_muscle_cells:bronchial:vit_D: 0.31, Tissue_stem_cells:BM_MSC:BMP2: 0.31, iPS_cells:adipose_stem_cells: 0.31, Chondrocytes:MSC-derived: 0.31, Tissue_stem_cells:BM_MSC:TGFb3: 0.31, Fibroblasts:breast: 0.31, Fibroblasts:foreskin: 0.3, Osteoblasts: 0.3, Tissue_stem_cells:iliac_MSC: 0.3 |
| T19_GATGCTAGTGTGACCC.1 | Tissue_stem_cells:BM_MSC:BMP2 | 0.13 | 701.52 | Raw ScoresiPS_cells:adipose_stem_cells: 0.34, Smooth_muscle_cells:bronchial: 0.34, Tissue_stem_cells:BM_MSC:BMP2: 0.33, Fibroblasts:breast: 0.33, Smooth_muscle_cells:bronchial:vit_D: 0.33, Tissue_stem_cells:BM_MSC:TGFb3: 0.33, Chondrocytes:MSC-derived: 0.33, Osteoblasts: 0.33, Tissue_stem_cells:BM_MSC: 0.32, iPS_cells:CRL2097_foreskin: 0.32 |
| T19_GAACCTATCTGATTCT.1 | Tissue_stem_cells:BM_MSC:BMP2 | 0.12 | 695.93 | Raw ScoresSmooth_muscle_cells:bronchial: 0.34, Fibroblasts:breast: 0.34, iPS_cells:adipose_stem_cells: 0.34, Tissue_stem_cells:BM_MSC:BMP2: 0.34, Smooth_muscle_cells:bronchial:vit_D: 0.34, Tissue_stem_cells:iliac_MSC: 0.34, Osteoblasts: 0.34, Tissue_stem_cells:BM_MSC:TGFb3: 0.33, Tissue_stem_cells:BM_MSC:osteogenic: 0.33, iPS_cells:CRL2097_foreskin: 0.33 |
| T19_TGTGGTAGTTTCGCTC.1 | Smooth_muscle_cells:bronchial | 0.11 | 694.78 | Raw ScoresFibroblasts:breast: 0.33, iPS_cells:adipose_stem_cells: 0.33, Smooth_muscle_cells:bronchial: 0.33, Chondrocytes:MSC-derived: 0.32, Tissue_stem_cells:BM_MSC:BMP2: 0.32, Tissue_stem_cells:BM_MSC: 0.32, Tissue_stem_cells:BM_MSC:TGFb3: 0.32, Neurons:Schwann_cell: 0.32, Osteoblasts: 0.32, Smooth_muscle_cells:bronchial:vit_D: 0.32 |
| T19_AACCGCGTCGGCGGTT.1 | Smooth_muscle_cells:bronchial | 0.13 | 693.48 | Raw ScoresSmooth_muscle_cells:bronchial: 0.33, iPS_cells:adipose_stem_cells: 0.32, Fibroblasts:breast: 0.32, Smooth_muscle_cells:bronchial:vit_D: 0.32, Tissue_stem_cells:BM_MSC:BMP2: 0.32, Tissue_stem_cells:BM_MSC:TGFb3: 0.32, Chondrocytes:MSC-derived: 0.32, Osteoblasts: 0.32, Smooth_muscle_cells:vascular: 0.31, Tissue_stem_cells:iliac_MSC: 0.31 |
| T19_CCGGGATCAACTTGAC.1 | Fibroblasts:breast | 0.14 | 692.96 | Raw ScoresFibroblasts:breast: 0.37, Smooth_muscle_cells:bronchial: 0.37, Smooth_muscle_cells:bronchial:vit_D: 0.37, Osteoblasts: 0.36, iPS_cells:adipose_stem_cells: 0.36, Tissue_stem_cells:BM_MSC:BMP2: 0.36, Tissue_stem_cells:iliac_MSC: 0.36, Tissue_stem_cells:BM_MSC:TGFb3: 0.36, iPS_cells:fibroblasts: 0.36, Smooth_muscle_cells:vascular: 0.35 |
| T19_TGGCCAGCACGGTTTA.1 | Fibroblasts:foreskin | 0.09 | 692.93 | Raw ScoresChondrocytes:MSC-derived: 0.29, Smooth_muscle_cells:bronchial: 0.29, Osteoblasts: 0.29, Smooth_muscle_cells:bronchial:vit_D: 0.29, iPS_cells:adipose_stem_cells: 0.29, Fibroblasts:breast: 0.29, Tissue_stem_cells:BM_MSC:TGFb3: 0.29, Neurons:Schwann_cell: 0.29, Tissue_stem_cells:BM_MSC:BMP2: 0.29, Fibroblasts:foreskin: 0.29 |
Below shows the significant enrichments of this GEP for literature curated gene lists
This data was procured from existing single cell RNA-seq maps of neuroblastoma or related relevant data.
High ranks indicate this gene is a driver of this GEP.
These curated gene list are ranked by the P-value (on this GEP) of their constituent genes.
The Mean Count column shows the mean read count in cells scoring highly (H > 50) on this gene expression program.
| Genes | Weight | Rank | GTEx | DepMap | Decartes | Mean.Counts | Mean.TPM |
|---|---|---|---|---|---|---|---|
| IGF1 | 0.0087481 | 22 | GTEx | DepMap | Descartes | 2.51 | 111.55 |
| IGFBP6 | 0.0085069 | 23 | GTEx | DepMap | Descartes | 7.25 | 2066.59 |
| SERPING1 | 0.0078600 | 34 | GTEx | DepMap | Descartes | 4.00 | 571.95 |
| CCL2 | 0.0066850 | 47 | GTEx | DepMap | Descartes | 15.15 | 4998.17 |
| CXCL12 | 0.0065680 | 48 | GTEx | DepMap | Descartes | 2.09 | 200.10 |
| SCARA5 | 0.0051077 | 79 | GTEx | DepMap | Descartes | 0.23 | 19.13 |
| CFB | 0.0022579 | 253 | GTEx | DepMap | Descartes | 0.12 | 14.80 |
| GPX3 | 0.0022401 | 256 | GTEx | DepMap | Descartes | 1.43 | 231.36 |
| C3 | 0.0021180 | 274 | GTEx | DepMap | Descartes | 1.62 | 92.54 |
| C7 | 0.0014254 | 419 | GTEx | DepMap | Descartes | 0.75 | 45.45 |
| PDPN | 0.0012909 | 460 | GTEx | DepMap | Descartes | 0.23 | 19.87 |
| RGMA | 0.0012278 | 494 | GTEx | DepMap | Descartes | 0.20 | 5.63 |
| PDGFD | 0.0010740 | 577 | GTEx | DepMap | Descartes | 0.10 | 8.49 |
| PDGFRA | 0.0008299 | 731 | GTEx | DepMap | Descartes | 0.49 | 22.89 |
| LIF | 0.0007786 | 766 | GTEx | DepMap | Descartes | 0.10 | 6.66 |
| PDGFRB | 0.0006892 | 860 | GTEx | DepMap | Descartes | 0.79 | 40.81 |
| SCARA3 | 0.0001995 | 2065 | GTEx | DepMap | Descartes | 0.06 | 4.69 |
| IL33 | 0.0000829 | 2928 | GTEx | DepMap | Descartes | 0.08 | 9.56 |
| CXCL2 | -0.0000135 | 4402 | GTEx | DepMap | Descartes | 1.64 | 312.95 |
| CFD | -0.0000151 | 4445 | GTEx | DepMap | Descartes | 1.45 | 543.48 |
| IL10 | -0.0000427 | 5276 | GTEx | DepMap | Descartes | 0.11 | 8.91 |
| HGF | -0.0000542 | 5661 | GTEx | DepMap | Descartes | 0.13 | 4.89 |
| SOD2 | -0.0001229 | 7647 | GTEx | DepMap | Descartes | 1.11 | 17.40 |
| IL1R1 | -0.0003869 | 11691 | GTEx | DepMap | Descartes | 0.11 | 4.50 |
| CXCL14 | -0.0004032 | 11774 | GTEx | DepMap | Descartes | 0.28 | 46.59 |
Myofibroblastic CAF
These marker genes were curated across cancer subtypes in multiple organ systems as reviewed in Lavie et. al. (PMID 35883004) and contain myofibroblastic specific CAF genes:
Wilcoxon ranksum test P-value for gene set overrepresentation: 1.26e-07
Mean rank of genes in gene set: 3611.41
Rank on gene expression program of genes in gene set:
| Genes | Weight | Rank | GTEx | DepMap | Decartes | Mean.Counts | Mean.TPM |
|---|---|---|---|---|---|---|---|
| LUM | 0.0138274 | 1 | GTEx | DepMap | Descartes | 26.68 | 3376.91 |
| DCN | 0.0107483 | 8 | GTEx | DepMap | Descartes | 25.11 | 1207.03 |
| IGFBP7 | 0.0078544 | 35 | GTEx | DepMap | Descartes | 61.17 | 13079.71 |
| COL3A1 | 0.0072907 | 42 | GTEx | DepMap | Descartes | 9.81 | 598.99 |
| MMP2 | 0.0068056 | 46 | GTEx | DepMap | Descartes | 2.19 | 208.77 |
| COL15A1 | 0.0049265 | 86 | GTEx | DepMap | Descartes | 1.24 | 78.06 |
| COL1A2 | 0.0047099 | 96 | GTEx | DepMap | Descartes | 10.52 | 548.22 |
| COL1A1 | 0.0044521 | 103 | GTEx | DepMap | Descartes | 14.48 | 772.02 |
| THBS1 | 0.0040786 | 115 | GTEx | DepMap | Descartes | 1.38 | 52.87 |
| THBS2 | 0.0026607 | 208 | GTEx | DepMap | Descartes | 0.76 | 42.69 |
| FN1 | 0.0025887 | 217 | GTEx | DepMap | Descartes | 5.42 | 190.16 |
| CNN3 | 0.0022649 | 252 | GTEx | DepMap | Descartes | 2.43 | 369.32 |
| COL8A1 | 0.0021104 | 275 | GTEx | DepMap | Descartes | 0.69 | 32.14 |
| COL5A2 | 0.0019757 | 297 | GTEx | DepMap | Descartes | 0.79 | 33.32 |
| COL5A1 | 0.0019722 | 298 | GTEx | DepMap | Descartes | 0.65 | 23.89 |
| MYL9 | 0.0017766 | 328 | GTEx | DepMap | Descartes | 2.71 | 270.61 |
| TGFBR2 | 0.0015777 | 379 | GTEx | DepMap | Descartes | 0.64 | 39.30 |
| PGF | 0.0012204 | 498 | GTEx | DepMap | Descartes | 0.75 | 67.62 |
| TMEM119 | 0.0006050 | 980 | GTEx | DepMap | Descartes | 0.15 | 17.45 |
| COL4A1 | 0.0005327 | 1073 | GTEx | DepMap | Descartes | 1.53 | 63.50 |
| TPM2 | 0.0005210 | 1097 | GTEx | DepMap | Descartes | 1.89 | 305.35 |
| BGN | 0.0004283 | 1270 | GTEx | DepMap | Descartes | 1.41 | 154.00 |
| COL12A1 | 0.0003854 | 1352 | GTEx | DepMap | Descartes | 0.20 | 4.48 |
| TPM1 | 0.0003315 | 1502 | GTEx | DepMap | Descartes | 2.45 | 156.91 |
| TAGLN | 0.0003149 | 1561 | GTEx | DepMap | Descartes | 4.59 | 298.73 |
| CNN2 | 0.0002815 | 1673 | GTEx | DepMap | Descartes | 0.35 | 42.05 |
| IGFBP3 | 0.0001510 | 2350 | GTEx | DepMap | Descartes | 0.28 | 34.04 |
| MMP11 | 0.0001450 | 2399 | GTEx | DepMap | Descartes | 0.27 | 21.05 |
| ITGA7 | 0.0001048 | 2715 | GTEx | DepMap | Descartes | 0.07 | 5.26 |
| HOPX | 0.0000434 | 3373 | GTEx | DepMap | Descartes | 0.18 | 15.22 |
| TNC | 0.0000313 | 3534 | GTEx | DepMap | Descartes | 0.28 | 8.20 |
| COL11A1 | 0.0000167 | 3737 | GTEx | DepMap | Descartes | 0.06 | 1.44 |
| ACTA2 | -0.0000130 | 4381 | GTEx | DepMap | Descartes | 1.88 | 323.29 |
| COL10A1 | -0.0000173 | 4510 | GTEx | DepMap | Descartes | 0.00 | 0.00 |
| VCAN | -0.0000324 | 4993 | GTEx | DepMap | Descartes | 0.67 | 16.01 |
| COL14A1 | -0.0000337 | 5025 | GTEx | DepMap | Descartes | 0.29 | 11.86 |
| WNT5A | -0.0000610 | 5833 | GTEx | DepMap | Descartes | 0.03 | 1.38 |
| COL13A1 | -0.0000690 | 6094 | GTEx | DepMap | Descartes | 0.01 | 0.64 |
| MYH11 | -0.0000959 | 6895 | GTEx | DepMap | Descartes | 0.14 | 3.79 |
| TGFB2 | -0.0001579 | 8590 | GTEx | DepMap | Descartes | 0.01 | 0.47 |
| ACTG2 | -0.0001651 | 8773 | GTEx | DepMap | Descartes | 0.07 | 5.78 |
| VEGFA | -0.0001986 | 9525 | GTEx | DepMap | Descartes | 0.10 | 2.69 |
| MYLK | -0.0002863 | 10916 | GTEx | DepMap | Descartes | 0.39 | 6.67 |
| MEF2C | -0.0002876 | 10929 | GTEx | DepMap | Descartes | 0.33 | 11.79 |
| TGFBR1 | -0.0002999 | 11053 | GTEx | DepMap | Descartes | 0.08 | 3.78 |
| THY1 | -0.0003529 | 11489 | GTEx | DepMap | Descartes | 0.97 | 50.95 |
| TGFB1 | -0.0003570 | 11517 | GTEx | DepMap | Descartes | 0.19 | 13.93 |
| POSTN | -0.0004994 | 12127 | GTEx | DepMap | Descartes | 0.78 | 56.41 |
| RGS5 | -0.0006956 | 12409 | GTEx | DepMap | Descartes | 1.35 | 51.54 |
Mesenchymal Fig 1D (Olsen)
Selected mesenchymal marker genes shown in Fig. 1D of Olsen et al. https://www.biorxiv.org/content/10.1101/2020.05.04.077057v1 - these are highly expressed in their mesenchymal cluster on their UMAP.:
Wilcoxon ranksum test P-value for gene set overrepresentation: 1.83e-07
Mean rank of genes in gene set: 1167.46
Rank on gene expression program of genes in gene set:
| Genes | Weight | Rank | GTEx | DepMap | Decartes | Mean.Counts | Mean.TPM |
|---|---|---|---|---|---|---|---|
| LUM | 0.0138274 | 1 | GTEx | DepMap | Descartes | 26.68 | 3376.91 |
| DCN | 0.0107483 | 8 | GTEx | DepMap | Descartes | 25.11 | 1207.03 |
| COL3A1 | 0.0072907 | 42 | GTEx | DepMap | Descartes | 9.81 | 598.99 |
| COL6A2 | 0.0049282 | 85 | GTEx | DepMap | Descartes | 4.29 | 384.00 |
| COL1A2 | 0.0047099 | 96 | GTEx | DepMap | Descartes | 10.52 | 548.22 |
| COL1A1 | 0.0044521 | 103 | GTEx | DepMap | Descartes | 14.48 | 772.02 |
| CALD1 | 0.0027024 | 199 | GTEx | DepMap | Descartes | 5.35 | 309.43 |
| SPARC | 0.0015745 | 382 | GTEx | DepMap | Descartes | 6.37 | 523.54 |
| PDGFRA | 0.0008299 | 731 | GTEx | DepMap | Descartes | 0.49 | 22.89 |
| PRRX1 | 0.0007525 | 805 | GTEx | DepMap | Descartes | 0.31 | 23.05 |
| BGN | 0.0004283 | 1270 | GTEx | DepMap | Descartes | 1.41 | 154.00 |
| LEPR | 0.0002207 | 1941 | GTEx | DepMap | Descartes | 0.07 | 2.61 |
| MGP | -0.0001981 | 9514 | GTEx | DepMap | Descartes | 4.18 | 850.22 |
Below shows ranks on this GEP for literature curated gene lists for large gene sets
These include those reported as mesenchymal/adrenergic by Van Groningen et al.
High ranks indicate this gene is a driver of this GEP (note these results are not ordered).
The Mean Count column shows the mean read count in cells scoring highly (H > 50) on this gene expression program.
VanGroningen Adrenergic Genes
Adrenergic marker genes from Supplementary Table 2 of Van Groningen et al. Nature Genetics 2017. These genes were identified by differential expression analysis of mesenchymal-like and adrenergic-like neuroblastoma cell lines.
Wilcoxon ranksum test P-value for gene set overrepresentation: 1.00e+00
Mean rank of genes in gene set: 10616.59
Median rank of genes in gene set: 11565
Rank on gene expression program of top 30 genes in gene set:
| Genes | Weight | Rank | GTEx | DepMap | Descartes | Mean.Counts | Mean.TPM |
|---|---|---|---|---|---|---|---|
| TIAM1 | 0.0012808 | 465 | GTEx | DepMap | Descartes | 0.43 | 20.31 |
| CYGB | 0.0012588 | 474 | GTEx | DepMap | Descartes | 0.93 | 157.56 |
| SYNPO2 | 0.0011054 | 559 | GTEx | DepMap | Descartes | 0.61 | 12.87 |
| CELF2 | 0.0007711 | 780 | GTEx | DepMap | Descartes | 0.75 | 28.62 |
| SLIT3 | 0.0007636 | 789 | GTEx | DepMap | Descartes | 1.04 | 34.29 |
| RNF157 | 0.0007161 | 843 | GTEx | DepMap | Descartes | 0.48 | 30.68 |
| ABLIM1 | 0.0004434 | 1234 | GTEx | DepMap | Descartes | 0.29 | 14.04 |
| BMP7 | 0.0003723 | 1390 | GTEx | DepMap | Descartes | 0.13 | 11.07 |
| SETD7 | 0.0002476 | 1805 | GTEx | DepMap | Descartes | 0.13 | 5.61 |
| CDKN2C | 0.0002269 | 1906 | GTEx | DepMap | Descartes | 0.28 | 32.07 |
| RBMS3 | 0.0001964 | 2085 | GTEx | DepMap | Descartes | 0.83 | 30.12 |
| RBP1 | 0.0001839 | 2144 | GTEx | DepMap | Descartes | 1.96 | 331.63 |
| HEY1 | 0.0001511 | 2349 | GTEx | DepMap | Descartes | 0.09 | 6.46 |
| CETN3 | 0.0001053 | 2708 | GTEx | DepMap | Descartes | 0.18 | 19.33 |
| AKAP12 | 0.0000953 | 2815 | GTEx | DepMap | Descartes | 0.90 | 29.54 |
| SHC3 | 0.0000880 | 2879 | GTEx | DepMap | Descartes | 0.01 | 0.35 |
| STRA6 | 0.0000795 | 2970 | GTEx | DepMap | Descartes | 0.04 | 3.77 |
| NANOS1 | 0.0000688 | 3060 | GTEx | DepMap | Descartes | 0.09 | 5.78 |
| RNF144A | 0.0000529 | 3255 | GTEx | DepMap | Descartes | 0.09 | 4.67 |
| TTC8 | -0.0000144 | 4425 | GTEx | DepMap | Descartes | 0.09 | 4.39 |
| FBXO8 | -0.0000308 | 4942 | GTEx | DepMap | Descartes | 0.15 | 17.52 |
| SLC35G2 | -0.0000575 | 5739 | GTEx | DepMap | Descartes | 0.09 | NA |
| DLK1 | -0.0000738 | 6235 | GTEx | DepMap | Descartes | 0.46 | 20.46 |
| EXOC5 | -0.0000783 | 6367 | GTEx | DepMap | Descartes | 0.16 | 4.54 |
| LSM3 | -0.0000825 | 6479 | GTEx | DepMap | Descartes | 1.11 | 94.87 |
| BEND4 | -0.0000881 | 6676 | GTEx | DepMap | Descartes | 0.00 | 0.00 |
| EML6 | -0.0000988 | 6979 | GTEx | DepMap | Descartes | 0.01 | 0.23 |
| FAM167A | -0.0001118 | 7346 | GTEx | DepMap | Descartes | 0.01 | 0.32 |
| SLIT1 | -0.0001134 | 7391 | GTEx | DepMap | Descartes | 0.01 | 0.55 |
| HK2 | -0.0001160 | 7457 | GTEx | DepMap | Descartes | 0.02 | 0.59 |
VanGroningen Mesenchymal Genes
Mesenchymal marker genes from Supplementary Table 2 of Van Groningen et al. Nature Genetics 2017. These genes were identified by differential expression analysis of mesenchymal-like and adrenergic-like neuroblastoma cell lines.
Wilcoxon ranksum test P-value for gene set overrepresentation: 7.05e-110
Mean rank of genes in gene set: 2479.53
Median rank of genes in gene set: 1179
Rank on gene expression program of top 30 genes in gene set:
| Genes | Weight | Rank | GTEx | DepMap | Descartes | Mean.Counts | Mean.TPM |
|---|---|---|---|---|---|---|---|
| GSN | 0.0124919 | 2 | GTEx | DepMap | Descartes | 17.80 | 915.04 |
| MEST | 0.0114190 | 7 | GTEx | DepMap | Descartes | 6.93 | 838.83 |
| SRPX | 0.0106881 | 9 | GTEx | DepMap | Descartes | 2.99 | 507.31 |
| OLFML3 | 0.0102556 | 16 | GTEx | DepMap | Descartes | 2.38 | 364.16 |
| IGFBP6 | 0.0085069 | 23 | GTEx | DepMap | Descartes | 7.25 | 2066.59 |
| CAPN6 | 0.0083834 | 25 | GTEx | DepMap | Descartes | 0.41 | 40.62 |
| NID1 | 0.0082693 | 26 | GTEx | DepMap | Descartes | 1.55 | 89.45 |
| MEOX2 | 0.0081966 | 27 | GTEx | DepMap | Descartes | 0.55 | 76.84 |
| CFH | 0.0081620 | 28 | GTEx | DepMap | Descartes | 1.87 | 93.89 |
| OLFML2B | 0.0081115 | 30 | GTEx | DepMap | Descartes | 1.78 | 181.28 |
| COL3A1 | 0.0072907 | 42 | GTEx | DepMap | Descartes | 9.81 | 598.99 |
| FSTL1 | 0.0069029 | 45 | GTEx | DepMap | Descartes | 2.40 | 137.95 |
| MMP2 | 0.0068056 | 46 | GTEx | DepMap | Descartes | 2.19 | 208.77 |
| CXCL12 | 0.0065680 | 48 | GTEx | DepMap | Descartes | 2.09 | 200.10 |
| EGFR | 0.0065385 | 49 | GTEx | DepMap | Descartes | 0.58 | 19.07 |
| EFEMP2 | 0.0062944 | 51 | GTEx | DepMap | Descartes | 1.47 | 195.84 |
| CFI | 0.0061498 | 53 | GTEx | DepMap | Descartes | 0.64 | 90.73 |
| KDELR3 | 0.0058186 | 57 | GTEx | DepMap | Descartes | 0.47 | 85.96 |
| PLEKHH2 | 0.0057991 | 58 | GTEx | DepMap | Descartes | 0.36 | 18.22 |
| PPIC | 0.0055565 | 64 | GTEx | DepMap | Descartes | 1.00 | 229.30 |
| COL6A3 | 0.0054333 | 70 | GTEx | DepMap | Descartes | 1.94 | 62.00 |
| NFIA | 0.0052663 | 73 | GTEx | DepMap | Descartes | 0.96 | 6.71 |
| IFITM3 | 0.0051732 | 74 | GTEx | DepMap | Descartes | 18.68 | 8330.88 |
| KCNK2 | 0.0050802 | 80 | GTEx | DepMap | Descartes | 0.29 | 30.05 |
| SERPINH1 | 0.0049436 | 84 | GTEx | DepMap | Descartes | 1.90 | 164.03 |
| COL6A2 | 0.0049282 | 85 | GTEx | DepMap | Descartes | 4.29 | 384.00 |
| LAMC1 | 0.0048241 | 88 | GTEx | DepMap | Descartes | 1.07 | 43.15 |
| COL1A1 | 0.0044521 | 103 | GTEx | DepMap | Descartes | 14.48 | 772.02 |
| CYBRD1 | 0.0042490 | 109 | GTEx | DepMap | Descartes | 0.64 | 50.74 |
| TNFRSF1A | 0.0041230 | 113 | GTEx | DepMap | Descartes | 1.17 | 174.46 |
Descartes adrenocortical markers
Top 50 marker genes of adrenocortical cells in the Decartes fetal adrenal single cell map (https://atlas.brotmanbaty.org/bbi/human-gene-expression-during-development/cell/adrenocortical/in/adrenal)
Wilcoxon ranksum test P-value for gene set overrepresentation: 8.72e-01
Mean rank of genes in gene set: 6960.47
Median rank of genes in gene set: 7110
Rank on gene expression program of top 30 genes in gene set:
| Genes | Weight | Rank | GTEx | DepMap | Descartes | Mean.Counts | Mean.TPM |
|---|---|---|---|---|---|---|---|
| SH3BP5 | 0.0005796 | 1015 | GTEx | DepMap | Descartes | 0.50 | 49.22 |
| POR | 0.0002464 | 1811 | GTEx | DepMap | Descartes | 0.25 | 30.12 |
| FDX1 | 0.0002252 | 1919 | GTEx | DepMap | Descartes | 0.46 | 42.82 |
| FREM2 | 0.0001397 | 2430 | GTEx | DepMap | Descartes | 0.01 | 0.08 |
| SCARB1 | 0.0001366 | 2447 | GTEx | DepMap | Descartes | 0.11 | 4.98 |
| SCAP | 0.0000658 | 3101 | GTEx | DepMap | Descartes | 0.12 | 8.59 |
| LDLR | 0.0000549 | 3230 | GTEx | DepMap | Descartes | 0.06 | 2.97 |
| PAPSS2 | 0.0000485 | 3315 | GTEx | DepMap | Descartes | 0.05 | 3.03 |
| PDE10A | 0.0000416 | 3396 | GTEx | DepMap | Descartes | 0.06 | 2.50 |
| CYB5B | 0.0000316 | 3528 | GTEx | DepMap | Descartes | 0.27 | 20.99 |
| ERN1 | 0.0000096 | 3862 | GTEx | DepMap | Descartes | 0.14 | 3.94 |
| NPC1 | -0.0000132 | 4386 | GTEx | DepMap | Descartes | 0.05 | 2.82 |
| GRAMD1B | -0.0000304 | 4930 | GTEx | DepMap | Descartes | 0.03 | 1.10 |
| CLU | -0.0000670 | 6026 | GTEx | DepMap | Descartes | 1.60 | 175.20 |
| FDXR | -0.0000767 | 6312 | GTEx | DepMap | Descartes | 0.09 | 10.24 |
| INHA | -0.0000922 | 6791 | GTEx | DepMap | Descartes | 0.00 | 0.21 |
| DHCR24 | -0.0000980 | 6950 | GTEx | DepMap | Descartes | 0.03 | 1.69 |
| SGCZ | -0.0001021 | 7089 | GTEx | DepMap | Descartes | 0.00 | 0.06 |
| BAIAP2L1 | -0.0001041 | 7131 | GTEx | DepMap | Descartes | 0.00 | 0.00 |
| HMGCR | -0.0001059 | 7191 | GTEx | DepMap | Descartes | 0.07 | 4.34 |
| SH3PXD2B | -0.0001082 | 7250 | GTEx | DepMap | Descartes | 0.06 | 1.65 |
| STAR | -0.0001221 | 7625 | GTEx | DepMap | Descartes | 0.00 | 0.00 |
| HMGCS1 | -0.0001811 | 9160 | GTEx | DepMap | Descartes | 0.12 | 5.84 |
| APOC1 | -0.0001954 | 9464 | GTEx | DepMap | Descartes | 3.48 | 1071.38 |
| DHCR7 | -0.0002015 | 9581 | GTEx | DepMap | Descartes | 0.02 | 2.47 |
| SLC16A9 | -0.0002040 | 9634 | GTEx | DepMap | Descartes | 0.01 | 0.22 |
| FRMD5 | -0.0002297 | 10133 | GTEx | DepMap | Descartes | 0.00 | 0.19 |
| IGF1R | -0.0002347 | 10213 | GTEx | DepMap | Descartes | 0.10 | 2.25 |
| MSMO1 | -0.0002709 | 10743 | GTEx | DepMap | Descartes | 0.09 | 11.22 |
| PEG3 | -0.0002985 | 11034 | GTEx | DepMap | Descartes | 0.06 | NA |
Descartes chromaffin markers
Top 50 marker genes of chromaffin cells in the Decartes fetal adrenal single cell map (https://atlas.brotmanbaty.org/bbi/human-gene-expression-during-development/cell/chromaffin/in/adrenal)
Wilcoxon ranksum test P-value for gene set overrepresentation: 1.00e+00
Mean rank of genes in gene set: 10914.95
Median rank of genes in gene set: 11874
Rank on gene expression program of top 30 genes in gene set:
| Genes | Weight | Rank | GTEx | DepMap | Descartes | Mean.Counts | Mean.TPM |
|---|---|---|---|---|---|---|---|
| SYNPO2 | 0.0011054 | 559 | GTEx | DepMap | Descartes | 0.61 | 12.87 |
| EPHA6 | -0.0001271 | 7766 | GTEx | DepMap | Descartes | 0.01 | 0.15 |
| HS3ST5 | -0.0001314 | 7899 | GTEx | DepMap | Descartes | 0.02 | 1.03 |
| ANKFN1 | -0.0001351 | 8006 | GTEx | DepMap | Descartes | 0.01 | 0.76 |
| SLC44A5 | -0.0001467 | 8299 | GTEx | DepMap | Descartes | 0.01 | 0.54 |
| ALK | -0.0001676 | 8836 | GTEx | DepMap | Descartes | 0.01 | 0.74 |
| RPH3A | -0.0001760 | 9029 | GTEx | DepMap | Descartes | 0.00 | 0.04 |
| EYA4 | -0.0002021 | 9599 | GTEx | DepMap | Descartes | 0.01 | 0.51 |
| RYR2 | -0.0002035 | 9623 | GTEx | DepMap | Descartes | 0.02 | 0.15 |
| CNKSR2 | -0.0002247 | 10035 | GTEx | DepMap | Descartes | 0.02 | 0.35 |
| FAT3 | -0.0002402 | 10302 | GTEx | DepMap | Descartes | 0.01 | 0.07 |
| KCNB2 | -0.0002430 | 10352 | GTEx | DepMap | Descartes | 0.00 | 0.00 |
| EYA1 | -0.0002433 | 10356 | GTEx | DepMap | Descartes | 0.01 | 0.31 |
| PLXNA4 | -0.0002475 | 10422 | GTEx | DepMap | Descartes | 0.02 | 0.44 |
| PTCHD1 | -0.0002632 | 10645 | GTEx | DepMap | Descartes | 0.00 | 0.02 |
| TMEM132C | -0.0003011 | 11063 | GTEx | DepMap | Descartes | 0.02 | 0.74 |
| RGMB | -0.0003031 | 11084 | GTEx | DepMap | Descartes | 0.12 | 7.74 |
| GREM1 | -0.0003194 | 11239 | GTEx | DepMap | Descartes | 0.00 | 0.00 |
| SLC6A2 | -0.0003441 | 11438 | GTEx | DepMap | Descartes | 0.01 | 0.39 |
| RBFOX1 | -0.0004199 | 11862 | GTEx | DepMap | Descartes | 0.01 | 0.52 |
| TMEFF2 | -0.0004220 | 11874 | GTEx | DepMap | Descartes | 0.01 | 0.24 |
| GAL | -0.0004574 | 12003 | GTEx | DepMap | Descartes | 0.08 | 17.51 |
| REEP1 | -0.0004673 | 12032 | GTEx | DepMap | Descartes | 0.02 | 1.57 |
| MAB21L2 | -0.0005170 | 12166 | GTEx | DepMap | Descartes | 0.08 | 3.27 |
| NTRK1 | -0.0005306 | 12189 | GTEx | DepMap | Descartes | 0.03 | 1.70 |
| MAB21L1 | -0.0005452 | 12220 | GTEx | DepMap | Descartes | 0.09 | 7.47 |
| IL7 | -0.0005570 | 12243 | GTEx | DepMap | Descartes | 0.02 | 2.90 |
| ELAVL2 | -0.0006076 | 12317 | GTEx | DepMap | Descartes | 0.05 | 1.97 |
| NPY | -0.0006117 | 12321 | GTEx | DepMap | Descartes | 1.96 | 367.18 |
| CNTFR | -0.0006180 | 12327 | GTEx | DepMap | Descartes | 0.05 | 5.78 |
Descartes Vascular_endothelial markers
Top 50 marker genes of Vascular_endothelial cells in the Decartes fetal adrenal single cell map (https://atlas.brotmanbaty.org/bbi/human-gene-expression-during-development/cell/vascular_endothelial/in/adrenal)
Wilcoxon ranksum test P-value for gene set overrepresentation: 7.44e-01
Mean rank of genes in gene set: 6659.95
Median rank of genes in gene set: 7197
Rank on gene expression program of top 30 genes in gene set:
| Genes | Weight | Rank | GTEx | DepMap | Descartes | Mean.Counts | Mean.TPM |
|---|---|---|---|---|---|---|---|
| SHE | 0.0002585 | 1765 | GTEx | DepMap | Descartes | 0.03 | 1.83 |
| ARHGAP29 | 0.0002224 | 1935 | GTEx | DepMap | Descartes | 0.29 | 9.11 |
| ID1 | 0.0002193 | 1947 | GTEx | DepMap | Descartes | 0.50 | 125.15 |
| F8 | 0.0001916 | 2105 | GTEx | DepMap | Descartes | 0.02 | 1.02 |
| EFNB2 | 0.0001820 | 2156 | GTEx | DepMap | Descartes | 0.16 | 8.81 |
| CYP26B1 | 0.0001630 | 2279 | GTEx | DepMap | Descartes | 0.04 | 2.73 |
| NPR1 | 0.0001053 | 2709 | GTEx | DepMap | Descartes | 0.02 | 1.81 |
| KANK3 | 0.0001010 | 2761 | GTEx | DepMap | Descartes | 0.04 | 4.54 |
| EHD3 | 0.0000968 | 2803 | GTEx | DepMap | Descartes | 0.03 | 2.17 |
| CALCRL | 0.0000149 | 3772 | GTEx | DepMap | Descartes | 0.03 | 1.45 |
| BTNL9 | -0.0000318 | 4974 | GTEx | DepMap | Descartes | 0.00 | 0.25 |
| TIE1 | -0.0000353 | 5076 | GTEx | DepMap | Descartes | 0.02 | 1.43 |
| CRHBP | -0.0000375 | 5137 | GTEx | DepMap | Descartes | 0.02 | 1.69 |
| ESM1 | -0.0000392 | 5181 | GTEx | DepMap | Descartes | 0.00 | 0.00 |
| CEACAM1 | -0.0000516 | 5564 | GTEx | DepMap | Descartes | 0.01 | 0.65 |
| RASIP1 | -0.0000712 | 6160 | GTEx | DepMap | Descartes | 0.01 | 1.07 |
| TEK | -0.0000741 | 6242 | GTEx | DepMap | Descartes | 0.00 | 0.19 |
| RAMP2 | -0.0000934 | 6819 | GTEx | DepMap | Descartes | 0.55 | 177.91 |
| NR5A2 | -0.0001055 | 7177 | GTEx | DepMap | Descartes | 0.00 | 0.00 |
| HYAL2 | -0.0001069 | 7217 | GTEx | DepMap | Descartes | 0.25 | 18.70 |
| GALNT15 | -0.0001282 | 7803 | GTEx | DepMap | Descartes | 0.01 | NA |
| MMRN2 | -0.0001306 | 7875 | GTEx | DepMap | Descartes | 0.02 | 1.98 |
| SHANK3 | -0.0001343 | 7989 | GTEx | DepMap | Descartes | 0.00 | 0.18 |
| MYRIP | -0.0001425 | 8194 | GTEx | DepMap | Descartes | 0.00 | 0.00 |
| IRX3 | -0.0001529 | 8451 | GTEx | DepMap | Descartes | 0.00 | 0.00 |
| KDR | -0.0001712 | 8912 | GTEx | DepMap | Descartes | 0.00 | 0.00 |
| ROBO4 | -0.0001716 | 8925 | GTEx | DepMap | Descartes | 0.00 | 0.25 |
| FLT4 | -0.0001749 | 9001 | GTEx | DepMap | Descartes | 0.00 | 0.00 |
| SLCO2A1 | -0.0001749 | 9007 | GTEx | DepMap | Descartes | 0.00 | 0.00 |
| CDH5 | -0.0001957 | 9469 | GTEx | DepMap | Descartes | 0.00 | 0.27 |
Descartes stromal markers
Top 50 marker genes of stromal cells in the Decartes fetal adrenal single cell map (https://atlas.brotmanbaty.org/bbi/human-gene-expression-during-development/cell/stromal/in/adrenal)
Wilcoxon ranksum test P-value for gene set overrepresentation: 6.90e-09
Mean rank of genes in gene set: 3180.59
Median rank of genes in gene set: 681
Rank on gene expression program of top 30 genes in gene set:
| Genes | Weight | Rank | GTEx | DepMap | Descartes | Mean.Counts | Mean.TPM |
|---|---|---|---|---|---|---|---|
| LUM | 0.0138274 | 1 | GTEx | DepMap | Descartes | 26.68 | 3376.91 |
| DCN | 0.0107483 | 8 | GTEx | DepMap | Descartes | 25.11 | 1207.03 |
| OGN | 0.0105432 | 13 | GTEx | DepMap | Descartes | 1.42 | 137.40 |
| PAMR1 | 0.0101720 | 18 | GTEx | DepMap | Descartes | 1.05 | 111.97 |
| ISLR | 0.0089532 | 21 | GTEx | DepMap | Descartes | 1.13 | 158.71 |
| COL3A1 | 0.0072907 | 42 | GTEx | DepMap | Descartes | 9.81 | 598.99 |
| ABCA6 | 0.0071748 | 44 | GTEx | DepMap | Descartes | 0.96 | 42.52 |
| BICC1 | 0.0054795 | 68 | GTEx | DepMap | Descartes | 0.56 | 32.70 |
| COL6A3 | 0.0054333 | 70 | GTEx | DepMap | Descartes | 1.94 | 62.00 |
| SCARA5 | 0.0051077 | 79 | GTEx | DepMap | Descartes | 0.23 | 19.13 |
| PCOLCE | 0.0047992 | 90 | GTEx | DepMap | Descartes | 4.06 | 867.94 |
| COL1A2 | 0.0047099 | 96 | GTEx | DepMap | Descartes | 10.52 | 548.22 |
| COL1A1 | 0.0044521 | 103 | GTEx | DepMap | Descartes | 14.48 | 772.02 |
| LRRC17 | 0.0024902 | 221 | GTEx | DepMap | Descartes | 0.13 | 19.86 |
| FREM1 | 0.0016920 | 348 | GTEx | DepMap | Descartes | 0.10 | 3.72 |
| CDH11 | 0.0016115 | 373 | GTEx | DepMap | Descartes | 0.48 | 21.59 |
| PCDH18 | 0.0015566 | 386 | GTEx | DepMap | Descartes | 0.14 | 7.77 |
| C7 | 0.0014254 | 419 | GTEx | DepMap | Descartes | 0.75 | 45.45 |
| ADAMTSL3 | 0.0012444 | 484 | GTEx | DepMap | Descartes | 0.05 | 1.99 |
| LOX | 0.0010670 | 581 | GTEx | DepMap | Descartes | 0.27 | 16.40 |
| CD248 | 0.0010261 | 603 | GTEx | DepMap | Descartes | 0.26 | 31.24 |
| GLI2 | 0.0009731 | 631 | GTEx | DepMap | Descartes | 0.02 | 1.37 |
| PDGFRA | 0.0008299 | 731 | GTEx | DepMap | Descartes | 0.49 | 22.89 |
| PRRX1 | 0.0007525 | 805 | GTEx | DepMap | Descartes | 0.31 | 23.05 |
| COL12A1 | 0.0003854 | 1352 | GTEx | DepMap | Descartes | 0.20 | 4.48 |
| ADAMTS2 | 0.0002224 | 1934 | GTEx | DepMap | Descartes | 0.11 | 4.49 |
| COL27A1 | 0.0001751 | 2199 | GTEx | DepMap | Descartes | 0.06 | 2.47 |
| IGFBP3 | 0.0001510 | 2350 | GTEx | DepMap | Descartes | 0.28 | 34.04 |
| PRICKLE1 | 0.0001054 | 2706 | GTEx | DepMap | Descartes | 0.15 | 8.54 |
| ITGA11 | 0.0000390 | 3430 | GTEx | DepMap | Descartes | 0.04 | 0.86 |
Descartes sympathoblasts markers
Top 50 marker genes of sympathoblasts cells in the Decartes fetal adrenal single cell map (https://atlas.brotmanbaty.org/bbi/human-gene-expression-during-development/cell/sympathoblasts/in/adrenal)
Wilcoxon ranksum test P-value for gene set overrepresentation: 1.00e+00
Mean rank of genes in gene set: 8628.34
Median rank of genes in gene set: 9546.5
Rank on gene expression program of top 30 genes in gene set:
| Genes | Weight | Rank | GTEx | DepMap | Descartes | Mean.Counts | Mean.TPM |
|---|---|---|---|---|---|---|---|
| PENK | 0.0017270 | 338 | GTEx | DepMap | Descartes | 0.33 | 67.79 |
| TIAM1 | 0.0012808 | 465 | GTEx | DepMap | Descartes | 0.43 | 20.31 |
| CNTN3 | 0.0001675 | 2251 | GTEx | DepMap | Descartes | 0.02 | 1.05 |
| LAMA3 | -0.0000198 | 4597 | GTEx | DepMap | Descartes | 0.01 | 0.09 |
| SLC24A2 | -0.0000494 | 5496 | GTEx | DepMap | Descartes | 0.00 | 0.00 |
| TBX20 | -0.0000633 | 5908 | GTEx | DepMap | Descartes | 0.00 | 0.53 |
| GRM7 | -0.0000675 | 6045 | GTEx | DepMap | Descartes | 0.00 | 0.00 |
| ST18 | -0.0000802 | 6416 | GTEx | DepMap | Descartes | 0.00 | 0.00 |
| SLC35F3 | -0.0000903 | 6745 | GTEx | DepMap | Descartes | 0.00 | 0.00 |
| TENM1 | -0.0000967 | 6918 | GTEx | DepMap | Descartes | 0.02 | NA |
| SORCS3 | -0.0000971 | 6929 | GTEx | DepMap | Descartes | 0.00 | 0.00 |
| EML6 | -0.0000988 | 6979 | GTEx | DepMap | Descartes | 0.01 | 0.23 |
| CDH12 | -0.0001088 | 7265 | GTEx | DepMap | Descartes | 0.00 | 0.00 |
| CDH18 | -0.0001186 | 7522 | GTEx | DepMap | Descartes | 0.00 | 0.00 |
| GALNTL6 | -0.0001220 | 7622 | GTEx | DepMap | Descartes | 0.01 | 0.31 |
| DGKK | -0.0001343 | 7988 | GTEx | DepMap | Descartes | 0.00 | 0.00 |
| CCSER1 | -0.0001507 | 8401 | GTEx | DepMap | Descartes | 0.01 | NA |
| AGBL4 | -0.0001713 | 8914 | GTEx | DepMap | Descartes | 0.01 | 0.14 |
| PCSK2 | -0.0001929 | 9406 | GTEx | DepMap | Descartes | 0.00 | 0.10 |
| GRID2 | -0.0002066 | 9687 | GTEx | DepMap | Descartes | 0.01 | 0.45 |
| SPOCK3 | -0.0002185 | 9922 | GTEx | DepMap | Descartes | 0.01 | 0.59 |
| PACRG | -0.0002215 | 9974 | GTEx | DepMap | Descartes | 0.01 | 0.81 |
| NTNG1 | -0.0002316 | 10164 | GTEx | DepMap | Descartes | 0.01 | 0.25 |
| KSR2 | -0.0002329 | 10182 | GTEx | DepMap | Descartes | 0.01 | 0.04 |
| FGF14 | -0.0002366 | 10247 | GTEx | DepMap | Descartes | 0.02 | 0.15 |
| ROBO1 | -0.0002470 | 10411 | GTEx | DepMap | Descartes | 0.07 | 1.92 |
| SLC18A1 | -0.0002902 | 10968 | GTEx | DepMap | Descartes | 0.01 | 0.50 |
| UNC80 | -0.0002910 | 10976 | GTEx | DepMap | Descartes | 0.01 | 0.08 |
| FAM155A | -0.0002936 | 10999 | GTEx | DepMap | Descartes | 0.03 | 0.68 |
| MGAT4C | -0.0003055 | 11109 | GTEx | DepMap | Descartes | 0.02 | 0.09 |
Descartes erythroblasts markers
Top 50 marker genes of erythroblasts cells in the Decartes fetal adrenal single cell map (https://atlas.brotmanbaty.org/bbi/human-gene-expression-during-development/cell/erythroblasts/in/adrenal)
Wilcoxon ranksum test P-value for gene set overrepresentation: 1.55e-01
Mean rank of genes in gene set: 5593.72
Median rank of genes in gene set: 5520
Rank on gene expression program of top 30 genes in gene set:
| Genes | Weight | Rank | GTEx | DepMap | Descartes | Mean.Counts | Mean.TPM |
|---|---|---|---|---|---|---|---|
| SELENBP1 | 0.0024132 | 231 | GTEx | DepMap | Descartes | 0.20 | 22.19 |
| RGS6 | 0.0021649 | 268 | GTEx | DepMap | Descartes | 0.05 | 3.53 |
| GYPC | 0.0006553 | 906 | GTEx | DepMap | Descartes | 1.16 | 182.24 |
| SOX6 | 0.0006278 | 940 | GTEx | DepMap | Descartes | 0.14 | 5.32 |
| SLC25A37 | 0.0003491 | 1457 | GTEx | DepMap | Descartes | 0.37 | 25.65 |
| SLC25A21 | 0.0002872 | 1653 | GTEx | DepMap | Descartes | 0.01 | 0.72 |
| ANK1 | 0.0002118 | 1995 | GTEx | DepMap | Descartes | 0.04 | 1.37 |
| SLC4A1 | 0.0001048 | 2714 | GTEx | DepMap | Descartes | 0.00 | 0.00 |
| CPOX | 0.0000904 | 2861 | GTEx | DepMap | Descartes | 0.06 | 6.08 |
| BLVRB | 0.0000667 | 3090 | GTEx | DepMap | Descartes | 0.44 | 84.16 |
| TRAK2 | -0.0000064 | 4178 | GTEx | DepMap | Descartes | 0.10 | 3.68 |
| RHD | -0.0000185 | 4556 | GTEx | DepMap | Descartes | 0.00 | 0.00 |
| CAT | -0.0000299 | 4910 | GTEx | DepMap | Descartes | 0.20 | 24.10 |
| ABCB10 | -0.0000459 | 5372 | GTEx | DepMap | Descartes | 0.03 | 2.50 |
| FECH | -0.0000500 | 5520 | GTEx | DepMap | Descartes | 0.05 | 1.40 |
| ALAS2 | -0.0000507 | 5542 | GTEx | DepMap | Descartes | 0.00 | 0.00 |
| MARCH3 | -0.0000632 | 5905 | GTEx | DepMap | Descartes | 0.05 | NA |
| SPECC1 | -0.0000703 | 6131 | GTEx | DepMap | Descartes | 0.06 | 1.93 |
| XPO7 | -0.0000864 | 6620 | GTEx | DepMap | Descartes | 0.10 | 5.04 |
| GCLC | -0.0001309 | 7886 | GTEx | DepMap | Descartes | 0.02 | 1.55 |
| TMCC2 | -0.0001410 | 8145 | GTEx | DepMap | Descartes | 0.00 | 0.00 |
| SPTB | -0.0001639 | 8744 | GTEx | DepMap | Descartes | 0.01 | 0.24 |
| DENND4A | -0.0001662 | 8804 | GTEx | DepMap | Descartes | 0.08 | 3.03 |
| TFR2 | -0.0001849 | 9242 | GTEx | DepMap | Descartes | 0.01 | 0.13 |
| TSPAN5 | -0.0001871 | 9287 | GTEx | DepMap | Descartes | 0.29 | 21.51 |
| RAPGEF2 | -0.0002135 | 9821 | GTEx | DepMap | Descartes | 0.08 | 1.89 |
| MICAL2 | -0.0003434 | 11430 | GTEx | DepMap | Descartes | 0.03 | 1.02 |
| EPB41 | -0.0004012 | 11762 | GTEx | DepMap | Descartes | 0.02 | 0.99 |
| SNCA | -0.0005604 | 12248 | GTEx | DepMap | Descartes | 0.15 | 14.56 |
| NA | NA | NA | NA | NA | NA | NA | NA |
Descartes myeloid markers
Top 50 marker genes of myeloid cells in the Decartes fetal adrenal single cell map (https://atlas.brotmanbaty.org/bbi/human-gene-expression-during-development/cell/myeloid/in/adrenal)
Wilcoxon ranksum test P-value for gene set overrepresentation: 4.32e-01
Mean rank of genes in gene set: 6174.45
Median rank of genes in gene set: 7031.5
Rank on gene expression program of top 30 genes in gene set:
| Genes | Weight | Rank | GTEx | DepMap | Descartes | Mean.Counts | Mean.TPM |
|---|---|---|---|---|---|---|---|
| TGFBI | 0.0060580 | 56 | GTEx | DepMap | Descartes | 3.04 | 200.13 |
| CST3 | 0.0051120 | 78 | GTEx | DepMap | Descartes | 23.98 | 2274.09 |
| RGL1 | 0.0020043 | 290 | GTEx | DepMap | Descartes | 0.39 | 24.11 |
| AXL | 0.0012496 | 479 | GTEx | DepMap | Descartes | 0.53 | 31.96 |
| ABCA1 | 0.0010042 | 614 | GTEx | DepMap | Descartes | 0.39 | 12.54 |
| IFNGR1 | 0.0006721 | 881 | GTEx | DepMap | Descartes | 0.49 | 56.30 |
| SLC9A9 | 0.0005142 | 1114 | GTEx | DepMap | Descartes | 0.11 | 10.24 |
| SLC1A3 | 0.0005081 | 1126 | GTEx | DepMap | Descartes | 0.11 | 7.55 |
| ATP8B4 | 0.0004145 | 1294 | GTEx | DepMap | Descartes | 0.06 | 2.91 |
| SLCO2B1 | 0.0003499 | 1452 | GTEx | DepMap | Descartes | 0.21 | 10.68 |
| FGD2 | 0.0000681 | 3070 | GTEx | DepMap | Descartes | 0.03 | 1.59 |
| LGMN | -0.0000037 | 4107 | GTEx | DepMap | Descartes | 0.62 | 77.21 |
| CD14 | -0.0000164 | 4485 | GTEx | DepMap | Descartes | 0.87 | 135.76 |
| CTSC | -0.0000293 | 4892 | GTEx | DepMap | Descartes | 0.87 | 43.79 |
| HCK | -0.0000437 | 5306 | GTEx | DepMap | Descartes | 0.08 | 10.44 |
| ITPR2 | -0.0000631 | 5902 | GTEx | DepMap | Descartes | 0.09 | 2.13 |
| CTSB | -0.0000848 | 6560 | GTEx | DepMap | Descartes | 1.45 | 101.16 |
| CPVL | -0.0000933 | 6815 | GTEx | DepMap | Descartes | 0.16 | 17.87 |
| CD163 | -0.0001000 | 7016 | GTEx | DepMap | Descartes | 0.11 | 5.70 |
| HRH1 | -0.0001009 | 7047 | GTEx | DepMap | Descartes | 0.03 | 2.10 |
| CSF1R | -0.0001138 | 7399 | GTEx | DepMap | Descartes | 0.17 | 9.34 |
| SPP1 | -0.0001292 | 7834 | GTEx | DepMap | Descartes | 0.33 | 40.21 |
| SFMBT2 | -0.0001311 | 7892 | GTEx | DepMap | Descartes | 0.04 | 0.79 |
| CTSD | -0.0001355 | 8017 | GTEx | DepMap | Descartes | 1.65 | 197.94 |
| MERTK | -0.0001512 | 8416 | GTEx | DepMap | Descartes | 0.03 | 1.57 |
| MSR1 | -0.0001553 | 8521 | GTEx | DepMap | Descartes | 0.15 | 8.28 |
| MS4A4A | -0.0001750 | 9011 | GTEx | DepMap | Descartes | 0.30 | 43.67 |
| CYBB | -0.0001950 | 9456 | GTEx | DepMap | Descartes | 0.17 | 9.15 |
| WWP1 | -0.0002056 | 9663 | GTEx | DepMap | Descartes | 0.10 | 6.14 |
| MARCH1 | -0.0002114 | 9788 | GTEx | DepMap | Descartes | 0.08 | NA |
Descartes Schwann markers
Top 50 marker genes of Schwann cells in the Decartes fetal adrenal single cell map (https://atlas.brotmanbaty.org/bbi/human-gene-expression-during-development/cell/schwann/in/adrenal)
Wilcoxon ranksum test P-value for gene set overrepresentation: 7.05e-02
Mean rank of genes in gene set: 5472.41
Median rank of genes in gene set: 5122.5
Rank on gene expression program of top 30 genes in gene set:
| Genes | Weight | Rank | GTEx | DepMap | Descartes | Mean.Counts | Mean.TPM |
|---|---|---|---|---|---|---|---|
| LAMC1 | 0.0048241 | 88 | GTEx | DepMap | Descartes | 1.07 | 43.15 |
| GAS7 | 0.0035650 | 134 | GTEx | DepMap | Descartes | 0.63 | 25.99 |
| SCN7A | 0.0019763 | 296 | GTEx | DepMap | Descartes | 0.66 | 31.18 |
| COL5A2 | 0.0019757 | 297 | GTEx | DepMap | Descartes | 0.79 | 33.32 |
| STARD13 | 0.0018742 | 311 | GTEx | DepMap | Descartes | 0.26 | 14.92 |
| LAMA4 | 0.0016174 | 369 | GTEx | DepMap | Descartes | 0.78 | 32.45 |
| KCTD12 | 0.0015144 | 398 | GTEx | DepMap | Descartes | 0.55 | 27.16 |
| COL18A1 | 0.0011184 | 548 | GTEx | DepMap | Descartes | 1.24 | 57.02 |
| EGFLAM | 0.0009535 | 642 | GTEx | DepMap | Descartes | 0.18 | 10.55 |
| LAMB1 | 0.0008469 | 721 | GTEx | DepMap | Descartes | 0.43 | 23.23 |
| EDNRB | 0.0004927 | 1145 | GTEx | DepMap | Descartes | 0.16 | 10.83 |
| VIM | 0.0004339 | 1257 | GTEx | DepMap | Descartes | 12.49 | 1177.68 |
| GRIK3 | 0.0004231 | 1277 | GTEx | DepMap | Descartes | 0.04 | 1.27 |
| PMP22 | 0.0003538 | 1441 | GTEx | DepMap | Descartes | 1.86 | 320.32 |
| PLCE1 | 0.0001795 | 2175 | GTEx | DepMap | Descartes | 0.08 | 1.98 |
| ERBB3 | 0.0001195 | 2593 | GTEx | DepMap | Descartes | 0.10 | 6.82 |
| PLP1 | 0.0000941 | 2827 | GTEx | DepMap | Descartes | 0.59 | 60.74 |
| TRPM3 | 0.0000902 | 2862 | GTEx | DepMap | Descartes | 0.01 | 0.30 |
| IL1RAPL1 | 0.0000799 | 2963 | GTEx | DepMap | Descartes | 0.02 | 2.37 |
| NRXN3 | 0.0000431 | 3375 | GTEx | DepMap | Descartes | 0.03 | 1.31 |
| COL25A1 | -0.0000230 | 4690 | GTEx | DepMap | Descartes | 0.01 | 0.26 |
| VCAN | -0.0000324 | 4993 | GTEx | DepMap | Descartes | 0.67 | 16.01 |
| MDGA2 | -0.0000417 | 5252 | GTEx | DepMap | Descartes | 0.00 | 0.00 |
| IL1RAPL2 | -0.0000622 | 5873 | GTEx | DepMap | Descartes | 0.00 | 0.00 |
| OLFML2A | -0.0000685 | 6080 | GTEx | DepMap | Descartes | 0.14 | 5.38 |
| HMGA2 | -0.0000707 | 6142 | GTEx | DepMap | Descartes | 0.01 | 0.29 |
| XKR4 | -0.0000927 | 6803 | GTEx | DepMap | Descartes | 0.04 | 0.52 |
| ERBB4 | -0.0001268 | 7754 | GTEx | DepMap | Descartes | 0.00 | 0.02 |
| SFRP1 | -0.0001361 | 8026 | GTEx | DepMap | Descartes | 0.32 | 19.09 |
| ADAMTS5 | -0.0001428 | 8201 | GTEx | DepMap | Descartes | 0.01 | 0.36 |
Descartes Megakaryocytes markers
Top 50 marker genes of Megakaryocytes cells in the Decartes fetal adrenal single cell map (https://atlas.brotmanbaty.org/bbi/human-gene-expression-during-development/cell/megakaryocytes/in/adrenal)
Wilcoxon ranksum test P-value for gene set overrepresentation: 2.13e-01
Mean rank of genes in gene set: 5844.96
Median rank of genes in gene set: 5502
Rank on gene expression program of top 30 genes in gene set:
| Genes | Weight | Rank | GTEx | DepMap | Descartes | Mean.Counts | Mean.TPM |
|---|---|---|---|---|---|---|---|
| GSN | 0.0124919 | 2 | GTEx | DepMap | Descartes | 17.80 | 915.04 |
| THBS1 | 0.0040786 | 115 | GTEx | DepMap | Descartes | 1.38 | 52.87 |
| LTBP1 | 0.0026522 | 210 | GTEx | DepMap | Descartes | 0.35 | 16.15 |
| SLC2A3 | 0.0018209 | 320 | GTEx | DepMap | Descartes | 1.29 | 83.67 |
| STOM | 0.0011528 | 528 | GTEx | DepMap | Descartes | 0.64 | 61.89 |
| ARHGAP6 | 0.0009548 | 641 | GTEx | DepMap | Descartes | 0.07 | 4.26 |
| VCL | 0.0008595 | 709 | GTEx | DepMap | Descartes | 0.41 | 14.61 |
| TPM4 | 0.0008289 | 732 | GTEx | DepMap | Descartes | 1.99 | 112.77 |
| ZYX | 0.0003417 | 1472 | GTEx | DepMap | Descartes | 0.46 | 60.03 |
| MYH9 | 0.0002758 | 1689 | GTEx | DepMap | Descartes | 0.68 | 26.20 |
| PDE3A | 0.0002713 | 1715 | GTEx | DepMap | Descartes | 0.11 | 3.68 |
| MED12L | 0.0001029 | 2737 | GTEx | DepMap | Descartes | 0.04 | 1.31 |
| PSTPIP2 | 0.0000875 | 2883 | GTEx | DepMap | Descartes | 0.02 | 2.63 |
| ITGB3 | 0.0000742 | 3015 | GTEx | DepMap | Descartes | 0.00 | 0.11 |
| FLNA | 0.0000688 | 3061 | GTEx | DepMap | Descartes | 0.72 | 22.30 |
| MCTP1 | 0.0000616 | 3149 | GTEx | DepMap | Descartes | 0.03 | 1.52 |
| TMSB4X | 0.0000583 | 3187 | GTEx | DepMap | Descartes | 59.04 | 9679.10 |
| TLN1 | 0.0000087 | 3871 | GTEx | DepMap | Descartes | 0.45 | 12.96 |
| ITGA2B | 0.0000063 | 3915 | GTEx | DepMap | Descartes | 0.01 | 1.21 |
| SLC24A3 | 0.0000037 | 3966 | GTEx | DepMap | Descartes | 0.01 | 0.30 |
| GP1BA | -0.0000279 | 4848 | GTEx | DepMap | Descartes | 0.03 | 2.42 |
| TRPC6 | -0.0000407 | 5216 | GTEx | DepMap | Descartes | 0.02 | 1.34 |
| UBASH3B | -0.0000496 | 5502 | GTEx | DepMap | Descartes | 0.03 | 1.37 |
| TUBB1 | -0.0000510 | 5547 | GTEx | DepMap | Descartes | 0.00 | 0.55 |
| ANGPT1 | -0.0000529 | 5608 | GTEx | DepMap | Descartes | 0.05 | 2.00 |
| FLI1 | -0.0000729 | 6208 | GTEx | DepMap | Descartes | 0.03 | 2.45 |
| P2RX1 | -0.0000750 | 6259 | GTEx | DepMap | Descartes | 0.01 | 0.43 |
| INPP4B | -0.0001535 | 8466 | GTEx | DepMap | Descartes | 0.04 | 0.96 |
| MMRN1 | -0.0001674 | 8828 | GTEx | DepMap | Descartes | 0.01 | 0.62 |
| STON2 | -0.0001712 | 8913 | GTEx | DepMap | Descartes | 0.01 | 0.62 |
Descartes Lyphoid markers
Top 50 marker genes of Lyphoid cells in the Decartes fetal adrenal single cell map (https://atlas.brotmanbaty.org/bbi/human-gene-expression-during-development/cell/lymphoid/in/adrenal)
Wilcoxon ranksum test P-value for gene set overrepresentation: 9.94e-01
Mean rank of genes in gene set: 7693.86
Median rank of genes in gene set: 9487
Rank on gene expression program of top 30 genes in gene set:
| Genes | Weight | Rank | GTEx | DepMap | Descartes | Mean.Counts | Mean.TPM |
|---|---|---|---|---|---|---|---|
| B2M | 0.0011438 | 532 | GTEx | DepMap | Descartes | 61.85 | 7841.90 |
| SP100 | 0.0009599 | 640 | GTEx | DepMap | Descartes | 0.67 | 36.29 |
| CELF2 | 0.0007711 | 780 | GTEx | DepMap | Descartes | 0.75 | 28.62 |
| PLEKHA2 | 0.0006076 | 976 | GTEx | DepMap | Descartes | 0.17 | 10.23 |
| ARID5B | 0.0004505 | 1214 | GTEx | DepMap | Descartes | 0.71 | 28.57 |
| ABLIM1 | 0.0004434 | 1234 | GTEx | DepMap | Descartes | 0.29 | 14.04 |
| GNG2 | 0.0003721 | 1391 | GTEx | DepMap | Descartes | 0.66 | 56.30 |
| MBNL1 | 0.0002762 | 1688 | GTEx | DepMap | Descartes | 0.49 | 23.18 |
| NCALD | 0.0002347 | 1862 | GTEx | DepMap | Descartes | 0.16 | 14.80 |
| LEF1 | 0.0002240 | 1929 | GTEx | DepMap | Descartes | 0.19 | 16.64 |
| CCND3 | 0.0001307 | 2497 | GTEx | DepMap | Descartes | 0.32 | 41.45 |
| WIPF1 | 0.0000966 | 2805 | GTEx | DepMap | Descartes | 0.32 | 20.13 |
| ITPKB | 0.0000199 | 3687 | GTEx | DepMap | Descartes | 0.04 | 2.13 |
| MCTP2 | -0.0000498 | 5512 | GTEx | DepMap | Descartes | 0.02 | 0.67 |
| SORL1 | -0.0000755 | 6270 | GTEx | DepMap | Descartes | 0.16 | 4.22 |
| SAMD3 | -0.0001415 | 8163 | GTEx | DepMap | Descartes | 0.01 | 1.01 |
| ANKRD44 | -0.0001543 | 8488 | GTEx | DepMap | Descartes | 0.09 | 3.64 |
| PRKCH | -0.0001772 | 9057 | GTEx | DepMap | Descartes | 0.03 | 1.81 |
| CCL5 | -0.0001817 | 9173 | GTEx | DepMap | Descartes | 0.23 | 76.25 |
| MSN | -0.0001888 | 9315 | GTEx | DepMap | Descartes | 0.39 | 28.40 |
| DOCK10 | -0.0001895 | 9331 | GTEx | DepMap | Descartes | 0.06 | 2.03 |
| SKAP1 | -0.0002045 | 9643 | GTEx | DepMap | Descartes | 0.01 | 2.36 |
| BACH2 | -0.0002140 | 9827 | GTEx | DepMap | Descartes | 0.03 | 0.51 |
| RCSD1 | -0.0002186 | 9925 | GTEx | DepMap | Descartes | 0.07 | 3.81 |
| IKZF1 | -0.0002337 | 10192 | GTEx | DepMap | Descartes | 0.03 | 0.93 |
| ETS1 | -0.0002546 | 10537 | GTEx | DepMap | Descartes | 0.12 | 5.05 |
| PDE3B | -0.0002724 | 10760 | GTEx | DepMap | Descartes | 0.00 | 0.04 |
| PITPNC1 | -0.0002743 | 10780 | GTEx | DepMap | Descartes | 0.06 | 2.68 |
| SCML4 | -0.0002820 | 10875 | GTEx | DepMap | Descartes | 0.00 | 0.04 |
| BCL2 | -0.0002876 | 10930 | GTEx | DepMap | Descartes | 0.12 | 5.68 |
Below shows the ranks on this GEP for immune marker gene lists curated by CellTypist (https://www.celltypist.org/encyclopedia).
High ranks indicate this gene is a driver of this GEP.
These curated gene list are ranked by P-value (on this GEP) of their constituent genes.
The Mean Count column shows the mean read count in cells scoring highly (H > 50) on this gene expression program.
| Genes | Weight | Rank | GTEx | DepMap | Decartes | Mean.Counts | Mean.TPM |
|---|---|---|---|---|---|---|---|
| SMOC2 | 0.0077968 | 36 | GTEx | DepMap | Descartes | 1.46 | 148.89 |
| EBF2 | 0.0075319 | 39 | GTEx | DepMap | Descartes | 0.69 | 46.97 |
| OLFML1 | 0.0047340 | 93 | GTEx | DepMap | Descartes | 0.23 | 24.52 |
| F10 | 0.0022100 | 261 | GTEx | DepMap | Descartes | 0.16 | 37.51 |
| NTRK2 | 0.0017967 | 322 | GTEx | DepMap | Descartes | 0.54 | 20.76 |
| PDGFRA | 0.0008299 | 731 | GTEx | DepMap | Descartes | 0.49 | 22.89 |
| PRRX1 | 0.0007525 | 805 | GTEx | DepMap | Descartes | 0.31 | 23.05 |
| ANGPTL1 | 0.0002275 | 1903 | GTEx | DepMap | Descartes | 0.05 | 4.92 |
| SFRP1 | -0.0001361 | 8026 | GTEx | DepMap | Descartes | 0.32 | 19.09 |
Fibroblasts: Fibroblasts (curated markers)
the most common cells of connective tissues which synthesize the extracellular matrix and collagen to maintain tissue homeostasis:
Wilcoxon ranksum test P-value for gene set overrepresentation: 1.50e-03
Mean rank of genes in gene set: 69
Rank on gene expression program of genes in gene set:
| Genes | Weight | Rank | GTEx | DepMap | Decartes | Mean.Counts | Mean.TPM |
|---|---|---|---|---|---|---|---|
| DCN | 0.0107483 | 8 | GTEx | DepMap | Descartes | 25.11 | 1207.03 |
| COL1A2 | 0.0047099 | 96 | GTEx | DepMap | Descartes | 10.52 | 548.22 |
| COL1A1 | 0.0044521 | 103 | GTEx | DepMap | Descartes | 14.48 | 772.02 |
DC: Transitional DC (curated markers)
immature dendritic cells which follow dendritic cell precursors and are committed to the mature dendritic cells:
Wilcoxon ranksum test P-value for gene set overrepresentation: 1.10e-02
Mean rank of genes in gene set: 404
Rank on gene expression program of genes in gene set:
| Genes | Weight | Rank | GTEx | DepMap | Decartes | Mean.Counts | Mean.TPM |
|---|---|---|---|---|---|---|---|
| KLF4 | 0.0017765 | 329 | GTEx | DepMap | Descartes | 1.18 | 111.12 |
| AXL | 0.0012496 | 479 | GTEx | DepMap | Descartes | 0.53 | 31.96 |