Program: 31. Myelocyte.

Program: 31. Myelocyte.




Submit a comment on this gene expression program’s interpretation: CLICK

QQ-plot of gene loadings, averaged over both independent splits of the data
This plot highlights the relative contribution of each gene to the GEP

Interactive QQ Plot
## Error in apply(allData[cellsHGreaterThan50, ], 2, mean): dim(X) must have a positive length
## Error in apply(allDataTpm[cellsHGreaterThan50, ], 2, mean): dim(X) must have a positive length
## Error in eval(expr, envir, enclos): object 'meanCountsHOver50' not found
## Error in eval(expr, envir, enclos): object 'meanTpmHOver50' not found
## Error in data.frame(Gene = geneCardsLink, Loading = dftoDisplay[, 2], : object 'countHighScoringCells' not found
## Error in rownames(dftForKable) <- rn: object 'dftForKable' not found

Top genes driving this program.
Note: Decartes website is buggy, try refreshing. Also, Decartes fetal adrenal data have been collected at specific time points (89-122 days), all possible cell types of interest may not be represented, do not overinterpret.
The Mean Count column shows the mean read count in cells scoring highly (H > 50) on this gene expression program.

## Error in kable(dftForKable[1:50, ], row.names = TRUE): object 'dftForKable' not found
## Error in eval(quote(list(...)), env): object 'countHighScoringCells' not found


Dowload full table


UMAP plots showing activity of gene expression program identified in GEP 31. Myelocyte:

Interactive UMAP Plot


Boxlot showing activity of gene expression program identified in GEP 31. Myelocyte:
Interactive Boxplot


CNV Data procured from inferCNV.
Outer tracks are putative CNV regions (gains = red, losses = blue) for each patient
Inner track is expression data representing:
    The top cells expressing this GEP (purple)
    Random cells (n =50) from the reference set used in inferCNV (orange)

Interactive BioCircos Plot


Gene set Enrichments for this program, caculated from top 50 genes


mSigDB Cell Types Gene Set:

P-value OR Lower 95% CI FDR FWER Genes Found Gene Set Size
DURANTE_ADULT_OLFACTORY_NEUROEPITHELIUM_BOWMANS_GLAND 2.96e-04 26.56 5.01 1.68e-01 1.99e-01
3LCN2, LTF, SLPI
33
DURANTE_ADULT_OLFACTORY_NEUROEPITHELIUM_RESPIRATORY_EPITHELIAL_CELLS 1.58e-03 39.95 4.27 3.53e-01 1.00e+00
2LTF, SLPI
15
TRAVAGLINI_LUNG_NEUTROPHIL_CELL 5.00e-04 5.64 2.13 1.68e-01 3.36e-01
7PGLYRP1, HLX, GCA, B4GALT5, MSRB1, PGD, TMEM259
368
BUSSLINGER_GASTRIC_REG3A_POSITIVE_CELLS 1.31e-02 12.39 1.41 1.00e+00 1.00e+00
2LCN2, LTF
44
HAY_BONE_MARROW_NEUTROPHIL 7.21e-03 3.85 1.33 1.00e+00 1.00e+00
6HLX, GCA, TMEM107, MSRB1, AGO4, PGD
449
TRAVAGLINI_LUNG_MUCOUS_CELL 1.31e-02 6.54 1.28 1.00e+00 1.00e+00
3LCN2, LTF, SLPI
125
TRAVAGLINI_LUNG_GOBLET_CELL 2.04e-02 5.50 1.08 1.00e+00 1.00e+00
3LCN2, SLPI, PGD
148
AIZARANI_LIVER_C24_EPCAM_POS_BILE_DUCT_CELLS_3 3.59e-02 4.38 0.86 1.00e+00 1.00e+00
3LCN2, SLPI, CYSTM1
185
TRAVAGLINI_LUNG_BASOPHIL_MAST_2_CELL 4.23e-02 2.80 0.86 1.00e+00 1.00e+00
5COL9A2, B4GALT5, GBE1, CYSTM1, RELB
502
DESCARTES_FETAL_MUSCLE_MEGAKARYOCYTES 6.59e-02 3.40 0.67 1.00e+00 1.00e+00
3SIAE, SORT1, MADD
238
DESCARTES_FETAL_EYE_CORNEAL_AND_CONJUNCTIVAL_EPITHELIAL_CELLS 6.92e-02 3.32 0.66 1.00e+00 1.00e+00
3LCN2, SLPI, B4GALT5
243
TRAVAGLINI_LUNG_SEROUS_CELL 5.42e-02 5.60 0.65 1.00e+00 1.00e+00
2LTF, SLPI
95
DESCARTES_FETAL_STOMACH_ERYTHROBLASTS 5.93e-02 5.31 0.62 1.00e+00 1.00e+00
2YOD1, ABCB10
100
TRAVAGLINI_LUNG_PROLIFERATING_MACROPHAGE_CELL 1.70e-01 1.77 0.62 1.00e+00 1.00e+00
6GCA, TMEM107, SORT1, HAUS4, CNIH4, PGD
968
FAN_EMBRYONIC_CTX_OLIG 2.06e-01 1.85 0.57 1.00e+00 1.00e+00
5SLC27A4, SORT1, LDLR, ENPP4, SETD7
754
HU_FETAL_RETINA_BLOOD 9.70e-02 2.86 0.57 1.00e+00 1.00e+00
3YOD1, FBN2, ABCB10
282
DESCARTES_MAIN_FETAL_CORNEAL_AND_CONJUNCTIVAL_EPITHELIAL_CELLS 1.03e-01 2.78 0.55 1.00e+00 1.00e+00
3LCN2, SLPI, B4GALT5
290
MURARO_PANCREAS_DUCTAL_CELL 4.61e-01 1.34 0.47 1.00e+00 1.00e+00
6LCN2, SIAE, SLPI, B4GALT5, LDLR, SETD7
1276
DESCARTES_FETAL_PANCREAS_ERYTHROBLASTS 9.90e-02 3.92 0.46 1.00e+00 1.00e+00
2YOD1, ABCB10
135
BUSSLINGER_ESOPHAGEAL_LATE_SUPRABASAL_CELLS 1.05e-01 3.77 0.44 1.00e+00 1.00e+00
2SLPI, SORT1
140

Dowload full table

mSigDB Hallmark Gene Sets:

P-value OR Lower 95% CI FDR FWER Genes Found Gene Set Size
HALLMARK_TNFA_SIGNALING_VIA_NFKB 4.35e-02 4.05 0.80 1.00e+00 1.00e+00
3B4GALT5, LDLR, RELB
200
HALLMARK_COMPLEMENT 4.35e-02 4.05 0.80 1.00e+00 1.00e+00
3LTF, GCA, MSRB1
200
HALLMARK_DNA_REPAIR 1.18e-01 3.52 0.41 1.00e+00 1.00e+00
2TK2, AGO4
150
HALLMARK_MTORC1_SIGNALING 1.85e-01 2.63 0.31 1.00e+00 1.00e+00
2LDLR, GBE1
200
HALLMARK_EPITHELIAL_MESENCHYMAL_TRANSITION 1.85e-01 2.63 0.31 1.00e+00 1.00e+00
2SNTB1, FBN2
200
HALLMARK_XENOBIOTIC_METABOLISM 1.85e-01 2.63 0.31 1.00e+00 1.00e+00
2ATOH8, PGD
200
HALLMARK_ANGIOGENESIS 1.34e-01 7.29 0.18 1.00e+00 1.00e+00
1PGLYRP1
36
HALLMARK_CHOLESTEROL_HOMEOSTASIS 2.55e-01 3.49 0.09 1.00e+00 1.00e+00
1LDLR
74
HALLMARK_UV_RESPONSE_DN 4.35e-01 1.78 0.04 1.00e+00 1.00e+00
1LDLR
144
HALLMARK_UV_RESPONSE_UP 4.66e-01 1.62 0.04 1.00e+00 1.00e+00
1TGFBRAP1
158
HALLMARK_APOPTOSIS 4.72e-01 1.59 0.04 1.00e+00 1.00e+00
1MADD
161
HALLMARK_MITOTIC_SPINDLE 5.45e-01 1.29 0.03 1.00e+00 1.00e+00
1CEP192
199
HALLMARK_HYPOXIA 5.47e-01 1.28 0.03 1.00e+00 1.00e+00
1GBE1
200
HALLMARK_ADIPOGENESIS 5.47e-01 1.28 0.03 1.00e+00 1.00e+00
1GBE1
200
HALLMARK_ESTROGEN_RESPONSE_LATE 5.47e-01 1.28 0.03 1.00e+00 1.00e+00
1LTF
200
HALLMARK_INFLAMMATORY_RESPONSE 5.47e-01 1.28 0.03 1.00e+00 1.00e+00
1LDLR
200
HALLMARK_HEME_METABOLISM 5.47e-01 1.28 0.03 1.00e+00 1.00e+00
1FOXJ2
200
HALLMARK_ALLOGRAFT_REJECTION 5.47e-01 1.28 0.03 1.00e+00 1.00e+00
1LY75
200
HALLMARK_KRAS_SIGNALING_UP 5.47e-01 1.28 0.03 1.00e+00 1.00e+00
1SLPI
200
HALLMARK_WNT_BETA_CATENIN_SIGNALING 1.00e+00 0.00 0.00 1.00e+00 1.00e+00
0
42

Dowload full table

KEGG Pathways:

P-value OR Lower 95% CI FDR FWER Genes Found Gene Set Size
KEGG_LIMONENE_AND_PINENE_DEGRADATION 3.91e-02 28.30 0.63 1.00e+00 1.00e+00
1YOD1
10
KEGG_BIOSYNTHESIS_OF_UNSATURATED_FATTY_ACIDS 8.40e-02 12.14 0.29 1.00e+00 1.00e+00
1YOD1
22
KEGG_GLYCOSYLPHOSPHATIDYLINOSITOL_GPI_ANCHOR_BIOSYNTHESIS 9.49e-02 10.62 0.25 1.00e+00 1.00e+00
1PIGN
25
KEGG_PENTOSE_PHOSPHATE_PATHWAY 1.02e-01 9.80 0.23 1.00e+00 1.00e+00
1PGD
27
KEGG_HOMOLOGOUS_RECOMBINATION 1.06e-01 9.44 0.23 1.00e+00 1.00e+00
1RAD51B
28
KEGG_O_GLYCAN_BIOSYNTHESIS 1.13e-01 8.79 0.21 1.00e+00 1.00e+00
1B4GALT5
30
KEGG_LYSINE_DEGRADATION 1.61e-01 5.93 0.14 1.00e+00 1.00e+00
1SETD7
44
KEGG_ABC_TRANSPORTERS 1.61e-01 5.93 0.14 1.00e+00 1.00e+00
1ABCB10
44
KEGG_GLUTATHIONE_METABOLISM 1.81e-01 5.21 0.13 1.00e+00 1.00e+00
1PGD
50
KEGG_DRUG_METABOLISM_OTHER_ENZYMES 1.84e-01 5.10 0.12 1.00e+00 1.00e+00
1TK2
51
KEGG_STARCH_AND_SUCROSE_METABOLISM 1.87e-01 5.00 0.12 1.00e+00 1.00e+00
1GBE1
52
KEGG_PPAR_SIGNALING_PATHWAY 2.40e-01 3.75 0.09 1.00e+00 1.00e+00
1SLC27A4
69
KEGG_PYRIMIDINE_METABOLISM 3.23e-01 2.63 0.06 1.00e+00 1.00e+00
1TK2
98
KEGG_LYSOSOME 3.82e-01 2.13 0.05 1.00e+00 1.00e+00
1SORT1
121
KEGG_NEUROTROPHIN_SIGNALING_PATHWAY 3.94e-01 2.04 0.05 1.00e+00 1.00e+00
1SORT1
126
KEGG_ENDOCYTOSIS 5.12e-01 1.42 0.03 1.00e+00 1.00e+00
1LDLR
181
KEGG_MAPK_SIGNALING_PATHWAY 1.00e+00 0.96 0.02 1.00e+00 1.00e+00
1RELB
267
KEGG_N_GLYCAN_BIOSYNTHESIS 1.00e+00 0.00 0.00 1.00e+00 1.00e+00
0
46
KEGG_OTHER_GLYCAN_DEGRADATION 1.00e+00 0.00 0.00 1.00e+00 1.00e+00
0
16
KEGG_GLYCOSAMINOGLYCAN_DEGRADATION 1.00e+00 0.00 0.00 1.00e+00 1.00e+00
0
21

Dowload full table

CHR Positional Gene Sets:

P-value OR Lower 95% CI FDR FWER Genes Found Gene Set Size
chr3p21 1.14e-01 2.65 0.52 1.00e+00 1.00e+00
3LTF, TCAIM, NEK4
304
chr2q24 8.71e-02 4.23 0.49 1.00e+00 1.00e+00
2GCA, LY75
125
chr20q13 2.00e-01 2.01 0.40 1.00e+00 1.00e+00
3SLPI, B4GALT5, SLC9A8
400
chr11q24 1.61e-01 2.88 0.34 1.00e+00 1.00e+00
2SIAE, SLC37A2
183
chr1q42 2.27e-01 2.28 0.27 1.00e+00 1.00e+00
2ABCB10, CNIH4
230
chr1p34 2.91e-01 1.91 0.22 1.00e+00 1.00e+00
2COL9A2, AGO4
275
chr9q34 3.42e-01 1.69 0.20 1.00e+00 1.00e+00
2LCN2, SLC27A4
311
chr19q13 7.98e-01 0.69 0.14 1.00e+00 1.00e+00
3CD177, PGLYRP1, RELB
1165
chr6p21 7.00e-01 1.12 0.13 1.00e+00 1.00e+00
2CPNE5, ENPP4
467
chr3p12 2.31e-01 3.92 0.10 1.00e+00 1.00e+00
1GBE1
66
chr16q21 2.55e-01 3.49 0.09 1.00e+00 1.00e+00
1TK2
74
chr2q12 2.70e-01 3.27 0.08 1.00e+00 1.00e+00
1TGFBRAP1
79
chr19p13 1.00e+00 0.68 0.08 1.00e+00 1.00e+00
2LDLR, TMEM259
773
chrXq24 2.73e-01 3.23 0.08 1.00e+00 1.00e+00
1ZBTB33
80
chr1q41 3.06e-01 2.80 0.07 1.00e+00 1.00e+00
1HLX
92
chr5q23 3.57e-01 2.32 0.06 1.00e+00 1.00e+00
1FBN2
111
chr15q24 3.69e-01 2.22 0.05 1.00e+00 1.00e+00
1CLK3
116
chr11p11 4.38e-01 1.77 0.04 1.00e+00 1.00e+00
1MADD
145
chr2q11 4.40e-01 1.76 0.04 1.00e+00 1.00e+00
1UNC50
146
chr4q31 4.64e-01 1.64 0.04 1.00e+00 1.00e+00
1SETD7
157

Dowload full table

Transcription Factor Targets:

P-value OR Lower 95% CI FDR FWER Genes Found Gene Set Size
TERT_TARGET_GENES 1.37e-02 6.43 1.26 1.00e+00 1.00e+00
3SLC27A4, RELB, TMEM259
127
ZA_UNIPROT_Q9UM89_UNREVIEWED_TARGET_GENES 2.14e-02 9.46 1.09 1.00e+00 1.00e+00
2PGLYRP1, CLK3
57
AML1_01 2.10e-02 4.07 1.06 1.00e+00 1.00e+00
4HLX, COL9A2, SLC37A2, MADD
271
AML1_Q6 2.10e-02 4.07 1.06 1.00e+00 1.00e+00
4HLX, COL9A2, SLC37A2, MADD
271
COREBINDINGFACTOR_Q6 2.23e-02 4.00 1.04 1.00e+00 1.00e+00
4HLX, COL9A2, SLC37A2, MADD
276
CEBP_01 2.25e-02 3.98 1.03 1.00e+00 1.00e+00
4SIAE, ORAI3, MSRB1, CNIH4
277
MIF1_01 3.64e-02 4.36 0.86 1.00e+00 1.00e+00
3SIAE, ORAI3, MADD
186
MAFG_TARGET_GENES 1.44e-01 1.66 0.74 1.00e+00 1.00e+00
10TMEM107, MSRB1, SORT1, TK2, DENND4C, GBE1, NEK4, HAUS4, SETD7, TMEM259
1893
ZSCAN5B_TARGET_GENES 4.36e-02 6.35 0.74 1.00e+00 1.00e+00
2SLC27A4, TMEM259
84
ZNF33A_TARGET_GENES 7.45e-02 3.22 0.64 1.00e+00 1.00e+00
3TGFBRAP1, CLK3, TK2
251
RYBP_TARGET_GENES 2.88e-01 1.48 0.63 1.00e+00 1.00e+00
9ATOH8, COL9A2, SLC27A4, FBN2, TK2, CPNE5, SETD7, PGD, TMEM259
1858
NFE2L1_TARGET_GENES 2.90e-01 1.47 0.63 1.00e+00 1.00e+00
9YOD1, MSRB1, PIGN, TCAIM, GBE1, NEK4, CNIH4, SETD7, PGD
1875
CREBP1CJUN_01 8.36e-02 3.06 0.60 1.00e+00 1.00e+00
3CYSTM1, RELB, MADD
264
GGGTGGRR_PAX4_03 3.26e-01 1.56 0.59 1.00e+00 1.00e+00
7ATOH8, SIAE, RAD51B, ORAI3, FOXJ2, CPNE5, HAUS4
1310
BARX2_TARGET_GENES 3.83e-01 1.39 0.56 1.00e+00 1.00e+00
8RAD51B, GCA, CLK3, SORT1, ENPP4, CEP192, PGD, TMEM259
1723
TGACCTY_ERR1_Q2 2.82e-01 1.61 0.56 1.00e+00 1.00e+00
6LCN2, SLC27A4, SORT1, ZBTB33, SLC37A2, MADD
1064
CDC73_TARGET_GENES 1.35e-01 2.12 0.55 1.00e+00 1.00e+00
4COL9A2, CLK3, ABCB10, SETD7
517
SAFB2_TARGET_GENES 2.27e-01 1.73 0.53 1.00e+00 1.00e+00
5GCA, CLK3, SORT1, TK2, HAUS4
808
RYTGCNWTGGNR_UNKNOWN 7.90e-02 4.49 0.52 1.00e+00 1.00e+00
2ORAI3, TMEM107
118
FOXN3_TARGET_GENES 4.87e-01 1.36 0.52 1.00e+00 1.00e+00
7ATOH8, TMEM107, CLK3, TK2, CPNE5, NEK4, ENPP4
1502

Dowload full table

GO Biological Processes:

P-value OR Lower 95% CI FDR FWER Genes Found Gene Set Size
GOBP_REGULATION_OF_RAB_PROTEIN_SIGNAL_TRANSDUCTION 3.22e-04 103.49 9.64 6.03e-01 1.00e+00
2DENND4C, MADD
7
GOBP_IRON_COORDINATION_ENTITY_TRANSPORT 1.37e-03 43.30 4.59 1.00e+00 1.00e+00
2LCN2, LTF
14
GOBP_T_HELPER_1_CELL_DIFFERENTIATION 2.28e-03 32.49 3.53 1.00e+00 1.00e+00
2HLX, RELB
18
GOBP_RAB_PROTEIN_SIGNAL_TRANSDUCTION 3.10e-03 27.37 3.01 1.00e+00 1.00e+00
2DENND4C, MADD
21
GOBP_MYELOID_LEUKOCYTE_ACTIVATION 2.76e-05 5.44 2.50 2.06e-01 2.06e-01
11LCN2, LTF, CD177, PGLYRP1, SLPI, GCA, DNASE1L1, LDLR, CYSTM1, RELB, ENPP4
659
GOBP_CELL_ACTIVATION_INVOLVED_IN_IMMUNE_RESPONSE 6.09e-05 4.96 2.28 2.28e-01 4.56e-01
11LCN2, LTF, CD177, PGLYRP1, HLX, SLPI, GCA, DNASE1L1, CYSTM1, RELB, ENPP4
722
GOBP_MYELOID_LEUKOCYTE_MEDIATED_IMMUNITY 2.04e-04 5.07 2.16 5.09e-01 1.00e+00
9LCN2, LTF, CD177, PGLYRP1, SLPI, GCA, DNASE1L1, CYSTM1, ENPP4
550
GOBP_ANTIMICROBIAL_HUMORAL_RESPONSE 2.32e-03 7.87 2.03 1.00e+00 1.00e+00
4LCN2, LTF, PGLYRP1, SLPI
142
GOBP_POSITIVE_REGULATION_OF_BONE_MINERALIZATION 1.04e-02 14.07 1.60 1.00e+00 1.00e+00
2LTF, FBN2
39
GOBP_T_HELPER_1_TYPE_IMMUNE_RESPONSE 1.15e-02 13.35 1.52 1.00e+00 1.00e+00
2HLX, RELB
41
GOBP_REGULATION_OF_ENDOTHELIAL_CELL_DIFFERENTIATION 1.37e-02 12.10 1.38 1.00e+00 1.00e+00
2ATOH8, FOXJ2
45
GOBP_LEUKOCYTE_MEDIATED_IMMUNITY 4.48e-03 3.18 1.35 1.00e+00 1.00e+00
9LCN2, LTF, CD177, PGLYRP1, SLPI, GCA, DNASE1L1, CYSTM1, ENPP4
873
GOBP_EXOCYTOSIS 5.08e-03 3.11 1.33 1.00e+00 1.00e+00
9LCN2, LTF, CD177, PGLYRP1, SLPI, GCA, DNASE1L1, CYSTM1, ENPP4
891
GOBP_POSITIVE_REGULATION_OF_OSSIFICATION 1.55e-02 11.31 1.29 1.00e+00 1.00e+00
2LTF, FBN2
48
GOBP_POSITIVE_REGULATION_OF_BIOMINERALIZATION 1.55e-02 11.31 1.29 1.00e+00 1.00e+00
2LTF, FBN2
48
GOBP_CELL_ACTIVATION 4.46e-03 2.73 1.29 1.00e+00 1.00e+00
12LCN2, LTF, CD177, PGLYRP1, HLX, SLPI, GCA, DNASE1L1, LDLR, CYSTM1, RELB, ENPP4
1461
GOBP_ANTIFUNGAL_HUMORAL_RESPONSE 1.98e-02 63.54 1.27 1.00e+00 1.00e+00
1LTF
5
GOBP_PROTEIN_K29_LINKED_DEUBIQUITINATION 1.98e-02 63.54 1.27 1.00e+00 1.00e+00
1YOD1
5
GOBP_GLUCOSE_IMPORT_IN_RESPONSE_TO_INSULIN_STIMULUS 1.98e-02 63.54 1.27 1.00e+00 1.00e+00
1SLC27A4
5
GOBP_MICROTUBULE_NUCLEATION_BY_MICROTUBULE_ORGANIZING_CENTER 1.98e-02 63.54 1.27 1.00e+00 1.00e+00
1CEP192
5

Dowload full table

Immunological Gene Sets:

P-value OR Lower 95% CI FDR FWER Genes Found Gene Set Size
GSE34205_HEALTHY_VS_RSV_INF_INFANT_PBMC_DN 4.29e-09 16.45 7.22 2.09e-05 2.09e-05
10LCN2, LTF, CD177, PGLYRP1, HLX, SLPI, YOD1, LDLR, CYSTM1, SLC9A8
200
GSE6269_E_COLI_VS_STREP_PNEUMO_INF_PBMC_DN 4.47e-05 10.65 3.66 1.09e-01 2.18e-01
6LCN2, LTF, CD177, PGLYRP1, SLPI, PGD
166
GSE4748_CYANOBACTERIUM_LPSLIKE_VS_LPS_AND_CYANOBACTERIUM_LPSLIKE_STIM_DC_3H_DN 9.44e-04 7.35 2.25 8.77e-01 1.00e+00
5LCN2, LTF, PGLYRP1, SLPI, CYSTM1
194
GSE2770_IL12_VS_TGFB_AND_IL12_TREATED_ACT_CD4_TCELL_48H_DN 1.06e-03 7.16 2.19 8.77e-01 1.00e+00
5SLPI, GCA, DENND4C, LY75, AGO4
199
GSE17721_POLYIC_VS_CPG_16H_BMDC_UP 1.08e-03 7.12 2.18 8.77e-01 1.00e+00
5FBN2, B4GALT5, MSRB1, CLK3, DENND4C
200
GSE22886_NAIVE_BCELL_VS_NEUTROPHIL_DN 1.08e-03 7.12 2.18 8.77e-01 1.00e+00
5HLX, SLPI, GCA, B4GALT5, MSRB1
200
GSE13547_CTRL_VS_ANTI_IGM_STIM_ZFX_KO_BCELL_2H_UP 3.96e-03 6.75 1.74 9.88e-01 1.00e+00
4LCN2, LTF, PGLYRP1, SLPI
165
GSE6269_HEALTHY_VS_STAPH_PNEUMO_INF_PBMC_DN 4.40e-03 6.55 1.69 9.88e-01 1.00e+00
4LCN2, LTF, SORT1, PGD
170
GSE4984_GALECTIN1_VS_VEHICLE_CTRL_TREATED_DC_UP 6.83e-03 5.75 1.49 9.88e-01 1.00e+00
4TMEM107, CLK3, TK2, ZBTB33
193
GSE11057_CD4_CENT_MEM_VS_PBMC_DN 7.07e-03 5.69 1.47 9.88e-01 1.00e+00
4FBN2, SORT1, SLC37A2, CPNE5
195
GSE37416_CTRL_VS_12H_F_TULARENSIS_LVS_NEUTROPHIL_UP 7.07e-03 5.69 1.47 9.88e-01 1.00e+00
4MSRB1, LY75, HAUS4, AGO4
195
GSE360_T_GONDII_VS_B_MALAYI_LOW_DOSE_DC_UP 7.32e-03 5.63 1.46 9.88e-01 1.00e+00
4HLX, COL9A2, LY75, GBE1
197
GSE7400_CTRL_VS_CSF3_IN_VIVO_TREATED_PBMC_DN 7.45e-03 5.60 1.45 9.88e-01 1.00e+00
4CD177, SLPI, DNASE1L1, CYSTM1
198
GSE36888_STAT5_AB_KNOCKIN_VS_WT_TCELL_IL2_TREATED_2H_DN 7.45e-03 5.60 1.45 9.88e-01 1.00e+00
4HLX, SNTB1, GCA, FBN2
198
GSE45382_UNTREATED_VS_TGFB_TREATED_MACROPHAGES_UP 7.45e-03 5.60 1.45 9.88e-01 1.00e+00
4TK2, SLC37A2, DENND4C, SETD7
198
GSE41176_UNSTIM_VS_ANTI_IGM_STIM_BCELL_24H_UP 7.45e-03 5.60 1.45 9.88e-01 1.00e+00
4UEVLD, HLX, SIAE, CPNE5
198
GSE17721_PAM3CSK4_VS_CPG_1H_BMDC_DN 7.58e-03 5.57 1.44 9.88e-01 1.00e+00
4FOXJ2, UNC50, ABCB10, ZBTB33
199
GSE24142_DN2_VS_DN3_THYMOCYTE_FETAL_DN 7.58e-03 5.57 1.44 9.88e-01 1.00e+00
4ATOH8, CLK3, SLC37A2, RELB
199
GSE3982_NEUTROPHIL_VS_NKCELL_UP 7.58e-03 5.57 1.44 9.88e-01 1.00e+00
4HLX, SLPI, B4GALT5, AGO4
199
GSE5589_WT_VS_IL6_KO_LPS_AND_IL6_STIM_MACROPHAGE_45MIN_DN 7.58e-03 5.57 1.44 9.88e-01 1.00e+00
4SLC27A4, TGFBRAP1, SORT1, SLC37A2
199

Dowload full table

Top Ranked Transcription Factors for this Gene Expression Program:

Gene Symbol TF Rank DNA Binding Domain Motif Status IUPAC PWM GTEx DepMap Decartes
LTF 2 Yes Known motif Monomer or homomultimer In vivo/Misc source Only known motifs are from Transfac or HocoMoco - origin is uncertain None
HLX 6 Yes Known motif Monomer or homomultimer 100 perc ID - in vitro None None
ATOH8 7 Yes Inferred motif Monomer or homomultimer High-throughput in vitro None None
YOD1 14 No Unlikely to be sequence specific TF Not a DNA binding protein No motif None None
FOXJ2 24 Yes Known motif Monomer or homomultimer High-throughput in vitro None None
ZBTB33 32 Yes Known motif Monomer or homomultimer In vivo/Misc source None None
RELB 40 Yes Known motif Obligate heteromer In vivo/Misc source Only known motifs are from Transfac or HocoMoco - origin is uncertain Likely an obligate heteromer (PMID: 22101729), pmid:17869269 forms heterodimer with NFKB1, citation is a crystal structure
ARID3B 55 Yes Inferred motif Monomer or homomultimer High-throughput in vitro None None
UHRF2 57 No Unlikely to be sequence specific TF Low specificity DNA-binding protein No motif None Binds DNA in the crystal structure contacting the minor groove and backbone (PDB: 4PW5). Recognizes 5hmC-containing DNA (PDB: 4PW5)
NCOA2 64 Yes Likely to be sequence specific TF Obligate heteromer No motif None NCOA½/3 all have been tested on PBMs and HT-SELEX without yielding a motif. All are co-activators, collectively suggesting they might be obligate heteromers.
CUL1 77 No Unlikely to be sequence specific TF Not a DNA binding protein No motif None Component of the E3-ubiquitin ligase complex (PMID: 11961546)
CHURC1 92 No Unlikely to be sequence specific TF Not a DNA binding protein No motif Only known motifs are from Transfac or HocoMoco - origin is uncertain Most recent work has conclusively shown it does not bind DNA (PMID: 17610897), refuting a previous study (PMID: 14651851)
CREB3L2 100 Yes Known motif Monomer or homomultimer 100 perc ID - in vitro None None
DAP 104 No Unlikely to be sequence specific TF Not a DNA binding protein No motif None Protein functions in apoptotic signaling
MAPK14 108 No Unlikely to be sequence specific TF Not a DNA binding protein No motif None Well characterized MAPK. Included because it as a regulator of several TFs and GO captures this.
TAF13 117 No Unlikely to be sequence specific TF Low specificity DNA-binding protein No motif None Forms heterodimer TAF11:TAF13, which has a histone-fold like structure and could thus bind DNA in a non- or low specific manner (PMID: 9695952)
MXI1 124 Yes Known motif Obligate heteromer In vivo/Misc source Has a putative AT-hook Obligate heteromer (PMID: 8425219).
NCOR2 128 No Unlikely to be sequence specific TF Not a DNA binding protein No motif None Contains 2 SANT domains, and no other putative DNA-binding domains
KDM5C 131 No Unlikely to be sequence specific TF Low specificity DNA-binding protein No motif None None
MED17 151 No Unlikely to be sequence specific TF Not a DNA binding protein No motif None None



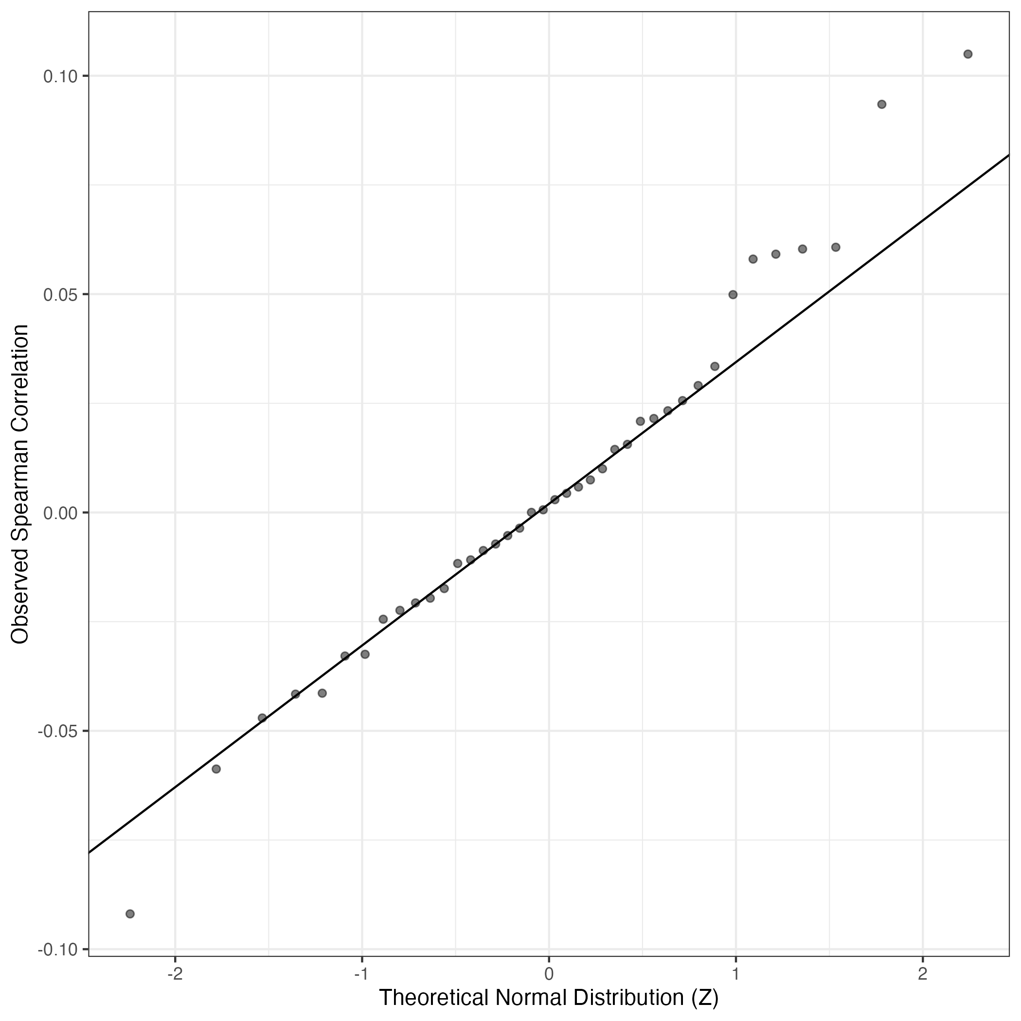
QQ Plot showing correlations with other GEPs in this dataset, calculated by Spearman correlation:

Interactive QQ-plot of gene loadings:

Interactive QQ Plot


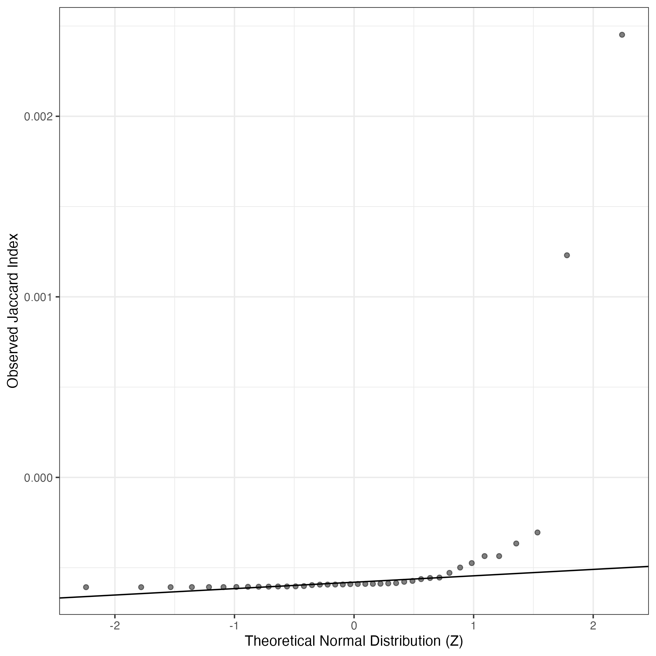
A similar QQ-plot as above, but only for instances where the H value is e.g. > 25, i.e. we are confident that the expression program is active above noise. Agreemenet between these binary vectors is tested using the Jaccard Index, with the P-values calculated by an exact test:

Interactive QQ-plot:

Interactive QQ Plot


Singler cell type annotations for the top 50 cells on this program.

## Error in 1:nrow(topCellsAnnotMat): argument of length 0
Cell ID Singler label Singler Delta Activity Score Top Singler Raw Scores
STDY7685342_TGTATTCCATGACATC HSC_-G-CSF 0.1 570.41
Raw Scores



Below shows the significant enrichments of this GEP for literature curated gene lists
  This data was procured from existing single cell RNA-seq maps of neuroblastoma or related relevant data.
  High ranks indicate this gene is a driver of this GEP.
  These curated gene list are ranked by the P-value (on this GEP) of their constituent genes.
  The Mean Count column shows the mean read count in cells scoring highly (H > 50) on this gene expression program.


Inflammatory CAF
These marker genes were curated across cancer subtypes in multiple organ systems as reviewed in Lavie et. al. (PMID 35883004) and contain inflammatory specific CAF genes:
Wilcoxon ranksum test P-value for gene set overrepresentation: 7.51e-04
Mean rank of genes in gene set: 3977.28
Rank on gene expression program of genes in gene set:
## Error in data.frame(Genes = geneCardsLinkSmallGsets, Weight = theseGenes, : object 'countHighScoringCells' not found


Below shows ranks on this GEP for literature curated gene lists for large gene sets
  These include those reported as mesenchymal/adrenergic by Van Groningen et al.
  High ranks indicate this gene is a driver of this GEP (note these results are not ordered).
  The Mean Count column shows the mean read count in cells scoring highly (H > 50) on this gene expression program.


VanGroningen Adrenergic Genes
Adrenergic marker genes from Supplementary Table 2 of Van Groningen et al. Nature Genetics 2017. These genes were identified by differential expression analysis of mesenchymal-like and adrenergic-like neuroblastoma cell lines.
Wilcoxon ranksum test P-value for gene set overrepresentation: 1.00e+00
Mean rank of genes in gene set: 7756.39
Median rank of genes in gene set: 8318
Rank on gene expression program of top 30 genes in gene set:

## Error in data.frame(Genes = geneCardsLinkSmallGsets, Weight = theseGenes, : object 'countHighScoringCells' not found



Below shows the ranks on this GEP for immune marker gene lists curated by CellTypist (https://www.celltypist.org/encyclopedia).
  High ranks indicate this gene is a driver of this GEP.
  These curated gene list are ranked by P-value (on this GEP) of their constituent genes.
  The Mean Count column shows the mean read count in cells scoring highly (H > 50) on this gene expression program.


Myelocytes: Myelocytes (model markers)
early granulocyte precursors that are derive from promyelocytes and later mature into metamyelocytes:
Wilcoxon ranksum test P-value for gene set overrepresentation: 7.88e-03
Mean rank of genes in gene set: 2364.2
Rank on gene expression program of genes in gene set:
## Error in data.frame(Genes = geneCardsLinkSmallGsets, Weight = theseGenes, : object 'countHighScoringCells' not found