Program description and justification of annotation: 24.
Submit a comment on this gene expression program’s interpretation: CLICK
QQ-plot of gene loadings, averaged over both independent splits of the data
This plot highlights the relative contribution of each gene to the GEP
Top genes driving this program.
Note: Decartes website is buggy, try refreshing. Also, Decartes fetal adrenal data have been collected at specific time points (89-122 days), all possible cell types of interest may not be represented, do not overinterpret.
The Mean Count column shows the mean read count in cells scoring highly (H > 50) on this gene expression program.
Gene | Loading | Gene.Name | GTEx | DepMap | Descartes | Mean.Counts | Mean.Tpm | |
---|---|---|---|---|---|---|---|---|
1 | UPK3B | 0.0193529 | uroplakin 3B | GTEx | DepMap | Descartes | 6.42 | 206.37 |
2 | UPK1B | 0.0184249 | uroplakin 1B | GTEx | DepMap | Descartes | 3.94 | 45.24 |
3 | MUC16 | 0.0165950 | mucin 16, cell surface associated | GTEx | DepMap | Descartes | 1.83 | 2.79 |
4 | MSLN | 0.0163958 | mesothelin | GTEx | DepMap | Descartes | 8.56 | 428.79 |
5 | LRRN4 | 0.0143065 | leucine rich repeat neuronal 4 | GTEx | DepMap | Descartes | 1.65 | 35.30 |
6 | PKHD1L1 | 0.0122230 | PKHD1 like 1 | GTEx | DepMap | Descartes | 1.75 | 3.34 |
7 | IGFBP6 | 0.0117535 | insulin like growth factor binding protein 6 | GTEx | DepMap | Descartes | 20.79 | 1330.22 |
8 | SLPI | 0.0109894 | secretory leukocyte peptidase inhibitor | GTEx | DepMap | Descartes | 69.92 | 404.72 |
9 | RP23-341H2.2 | 0.0105341 | NA | GTEx | DepMap | Descartes | 0.04 | NA |
10 | C3 | 0.0104669 | complement C3 | GTEx | DepMap | Descartes | 48.56 | 575.68 |
11 | PTGIS | 0.0100554 | prostaglandin I2 synthase | GTEx | DepMap | Descartes | 8.42 | 47.16 |
12 | WT1 | 0.0098400 | WT1 transcription factor | GTEx | DepMap | Descartes | 1.33 | 7.59 |
13 | WFDC1 | 0.0098110 | WAP four-disulfide core domain 1 | GTEx | DepMap | Descartes | 0.94 | 9.08 |
14 | SLC39A8 | 0.0096520 | solute carrier family 39 member 8 | GTEx | DepMap | Descartes | 1.33 | 5.14 |
15 | CRB2 | 0.0093275 | crumbs cell polarity complex component 2 | GTEx | DepMap | Descartes | 0.31 | 2.97 |
16 | CRIP1 | 0.0092710 | cysteine rich protein 1 | GTEx | DepMap | Descartes | 96.12 | 3363.32 |
17 | LRP2 | 0.0092525 | LDL receptor related protein 2 | GTEx | DepMap | Descartes | 0.92 | 1.43 |
18 | CNTNAP3 | 0.0092188 | contactin associated protein family member 3 | GTEx | DepMap | Descartes | 0.04 | 0.04 |
19 | C1S1 | 0.0090777 | NA | GTEx | DepMap | Descartes | 6.83 | 156.86 |
20 | CALCB | 0.0089828 | calcitonin related polypeptide beta | GTEx | DepMap | Descartes | 0.19 | 8.25 |
21 | NUPR1 | 0.0088771 | nuclear protein 1, transcriptional regulator | GTEx | DepMap | Descartes | 10.79 | 397.74 |
22 | SMIM1 | 0.0081612 | small integral membrane protein 1 (Vel blood group) | GTEx | DepMap | Descartes | 4.21 | 169.08 |
23 | SVS5 | 0.0081309 | NA | GTEx | DepMap | Descartes | 0.44 | 69.27 |
24 | A730046J19RIK | 0.0080620 | NA | GTEx | DepMap | Descartes | 0.08 | 1.62 |
25 | ANG2 | 0.0074833 | NA | GTEx | DepMap | Descartes | 0.08 | 4.01 |
26 | CLDN15 | 0.0074369 | claudin 15 | GTEx | DepMap | Descartes | 1.21 | 30.87 |
27 | LVRN | 0.0073865 | laeverin | GTEx | DepMap | Descartes | 0.02 | 0.07 |
28 | ANXA8 | 0.0071879 | annexin A8 | GTEx | DepMap | Descartes | 2.77 | 47.05 |
29 | FAM151A | 0.0067649 | family with sequence similarity 151 member A | GTEx | DepMap | Descartes | 0.06 | 1.02 |
30 | VNN1 | 0.0066665 | vanin 1 | GTEx | DepMap | Descartes | 0.13 | 3.80 |
31 | FGF1 | 0.0066419 | fibroblast growth factor 1 | GTEx | DepMap | Descartes | 1.25 | 3.36 |
32 | EAR1 | 0.0066284 | NA | GTEx | DepMap | Descartes | 0.04 | 0.13 |
33 | WT1OS | 0.0065457 | NA | GTEx | DepMap | Descartes | 0.17 | 0.83 |
34 | PRR15 | 0.0064407 | proline rich 15 | GTEx | DepMap | Descartes | 1.25 | 81.83 |
35 | NKAIN4 | 0.0061350 | sodium/potassium transporting ATPase interacting 4 | GTEx | DepMap | Descartes | 8.85 | 94.47 |
36 | RSPO1 | 0.0061198 | R-spondin 1 | GTEx | DepMap | Descartes | 2.08 | 19.58 |
37 | GDF6 | 0.0060216 | growth differentiation factor 6 | GTEx | DepMap | Descartes | 0.29 | 3.86 |
38 | MYRF | 0.0058651 | myelin regulatory factor | GTEx | DepMap | Descartes | 1.81 | 15.22 |
39 | ILDR2 | 0.0057686 | immunoglobulin like domain containing receptor 2 | GTEx | DepMap | Descartes | 1.85 | 8.32 |
40 | GM12840 | 0.0056704 | NA | GTEx | DepMap | Descartes | 5.58 | 1635.07 |
41 | COL6A1 | 0.0056634 | collagen type VI alpha 1 chain | GTEx | DepMap | Descartes | 13.23 | 220.10 |
42 | C2 | 0.0056034 | complement C2 | GTEx | DepMap | Descartes | 1.37 | 9.38 |
43 | GAS1 | 0.0055451 | growth arrest specific 1 | GTEx | DepMap | Descartes | 3.98 | 358.00 |
44 | CHST4 | 0.0055195 | carbohydrate sulfotransferase 4 | GTEx | DepMap | Descartes | 0.08 | 1.70 |
45 | NKX2-9 | 0.0054683 | NA | GTEx | DepMap | Descartes | 0.06 | 11.84 |
46 | TM4SF1 | 0.0054566 | transmembrane 4 L six family member 1 | GTEx | DepMap | Descartes | 8.38 | 180.87 |
47 | RARRES2 | 0.0054392 | retinoic acid receptor responder 2 | GTEx | DepMap | Descartes | 6.40 | 556.63 |
48 | GAS6 | 0.0054242 | growth arrest specific 6 | GTEx | DepMap | Descartes | 9.83 | 108.15 |
49 | GJB5 | 0.0053440 | gap junction protein beta 5 | GTEx | DepMap | Descartes | 0.88 | 67.18 |
50 | SERPINB6B | 0.0051078 | NA | GTEx | DepMap | Descartes | 1.35 | 23.96 |
UMAP plots showing activity of gene expression program identified in community:24. Cancer Associated Fibroblast: Intermediate [Inf:AP]
CNV Data procured from inferCNV.
Outer tracks are putative CNV regions (gains = red, losses = blue) for each patient
Inner track is expression data representing:
The top cells expressing this GEP (purple)
Random cells (n =50) from the reference set used in inferCNV (orange)
Gene set Enrichments for this program, caculated from top 50 genes
mSigDB Cell Types Gene Set:
P-value | OR | Lower 95% CI | FDR | FWER | Genes Found | Gene Set Size | |
---|---|---|---|---|---|---|---|
DESCARTES_FETAL_PANCREAS_MESOTHELIAL_CELLS | 3.57e-19 | 98.14 | 44.78 | 7.99e-17 | 2.40e-16 | 12UPK3B, MUC16, MSLN, LRRN4, WT1, CRB2, LRP2, CLDN15, FGF1, RSPO1, MYRF, GAS1 |
79 |
CUI_DEVELOPING_HEART_C6_EPICARDIAL_CELL | 2.08e-26 | 72.60 | 38.07 | 1.39e-23 | 1.39e-23 | 19UPK3B, UPK1B, MUC16, MSLN, LRRN4, PKHD1L1, SLPI, C3, PTGIS, WT1, SLC39A8, CRIP1, LRP2, NUPR1, CLDN15, PRR15, MYRF, TM4SF1, RARRES2 |
195 |
DESCARTES_FETAL_INTESTINE_MESOTHELIAL_CELLS | 7.88e-17 | 79.46 | 35.33 | 1.06e-14 | 5.29e-14 | 11MUC16, MSLN, LRRN4, SLPI, C3, PTGIS, WT1, CRB2, LRP2, RSPO1, MYRF |
85 |
DESCARTES_FETAL_HEART_EPICARDIAL_FAT_CELLS | 2.29e-17 | 67.24 | 31.03 | 3.84e-15 | 1.54e-14 | 12UPK3B, UPK1B, MSLN, LRRN4, SLPI, C3, WT1, CRB2, LRP2, PRR15, RSPO1, MYRF |
110 |
DESCARTES_FETAL_STOMACH_MESOTHELIAL_CELLS | 2.47e-10 | 94.82 | 30.69 | 1.84e-08 | 1.66e-07 | 6UPK3B, C3, WT1, LRP2, RSPO1, GAS1 |
36 |
DESCARTES_FETAL_SPLEEN_MESOTHELIAL_CELLS | 2.92e-19 | 49.71 | 24.77 | 7.99e-17 | 1.96e-16 | 15UPK3B, MUC16, MSLN, LRRN4, SLPI, PTGIS, CRB2, CRIP1, LRP2, CLDN15, RSPO1, MYRF, ILDR2, GAS1, TM4SF1 |
195 |
DESCARTES_FETAL_LUNG_MESOTHELIAL_CELLS | 1.32e-10 | 40.99 | 16.19 | 1.10e-08 | 8.84e-08 | 8MSLN, LRRN4, C3, PTGIS, WT1, CRB2, CLDN15, RSPO1 |
105 |
DESCARTES_FETAL_LIVER_MESOTHELIAL_CELLS | 5.53e-12 | 22.14 | 10.43 | 5.30e-10 | 3.71e-09 | 12UPK3B, MUC16, MSLN, SLPI, WT1, CRB2, CRIP1, LRP2, RSPO1, MYRF, GAS1, GAS6 |
310 |
TRAVAGLINI_LUNG_MESOTHELIAL_CELL | 7.01e-13 | 15.54 | 7.97 | 7.84e-11 | 4.70e-10 | 16UPK3B, UPK1B, MUC16, MSLN, SLPI, C3, PTGIS, WT1, SLC39A8, CRB2, LRP2, CLDN15, MYRF, C2, GAS1, TM4SF1 |
649 |
RUBENSTEIN_SKELETAL_MUSCLE_FBN1_FAP_CELLS | 3.49e-07 | 14.17 | 5.69 | 2.34e-05 | 2.34e-04 | 8IGFBP6, SLPI, C3, PTGIS, CRIP1, NUPR1, COL6A1, GAS1 |
289 |
DESCARTES_FETAL_PLACENTA_IGFBP1_DKK1_POSITIVE_CELLS | 1.65e-04 | 16.22 | 4.17 | 7.92e-03 | 1.11e-01 | 4IGFBP6, WT1, PRR15, GAS1 |
116 |
HAY_BONE_MARROW_STROMAL | 1.03e-06 | 7.82 | 3.60 | 6.27e-05 | 6.90e-04 | 11IGFBP6, SLPI, PTGIS, NUPR1, FGF1, RSPO1, COL6A1, GAS1, TM4SF1, RARRES2, GAS6 |
765 |
TRAVAGLINI_LUNG_ADVENTITIAL_FIBROBLAST_CELL | 6.60e-05 | 9.83 | 3.40 | 3.41e-03 | 4.43e-02 | 6IGFBP6, SLPI, C3, PTGIS, COL6A1, GAS1 |
296 |
TRAVAGLINI_LUNG_ALVEOLAR_EPITHELIAL_TYPE_1_CELL | 3.33e-05 | 8.86 | 3.34 | 1.86e-03 | 2.23e-02 | 7UPK3B, MSLN, LRRN4, SLC39A8, MYRF, TM4SF1, GAS6 |
391 |
DESCARTES_FETAL_KIDNEY_STROMAL_CELLS | 3.96e-04 | 12.79 | 3.30 | 1.66e-02 | 2.66e-01 | 4IGFBP6, NUPR1, LVRN, GDF6 |
146 |
DESCARTES_FETAL_EYE_CORNEAL_AND_CONJUNCTIVAL_EPITHELIAL_CELLS | 2.65e-04 | 9.76 | 3.00 | 1.18e-02 | 1.78e-01 | 5UPK1B, MUC16, MSLN, SLPI, CRIP1 |
243 |
DESCARTES_FETAL_MUSCLE_STROMAL_CELLS | 1.64e-03 | 14.04 | 2.75 | 5.49e-02 | 1.00e+00 | 3IGFBP6, LVRN, GDF6 |
98 |
RUBENSTEIN_SKELETAL_MUSCLE_FAP_CELLS | 8.46e-04 | 10.38 | 2.69 | 3.16e-02 | 5.68e-01 | 4IGFBP6, C3, NUPR1, COL6A1 |
179 |
AIZARANI_LIVER_C4_EPCAM_POS_BILE_DUCT_CELLS_1 | 1.07e-03 | 9.72 | 2.51 | 3.80e-02 | 7.21e-01 | 4SLPI, C3, MYRF, CHST4 |
191 |
DESCARTES_FETAL_CEREBELLUM_OLIGODENDROCYTES | 2.33e-03 | 12.35 | 2.42 | 6.80e-02 | 1.00e+00 | 3SLPI, GDF6, MYRF |
111 |
Dowload full table
mSigDB Hallmark Gene Sets:
P-value | OR | Lower 95% CI | FDR | FWER | Genes Found | Gene Set Size | |
---|---|---|---|---|---|---|---|
HALLMARK_COAGULATION | 4.25e-02 | 6.40 | 0.75 | 8.11e-01 | 1.00e+00 | 2C3, C2 |
138 |
HALLMARK_IL2_STAT5_SIGNALING | 8.05e-02 | 4.42 | 0.52 | 8.11e-01 | 1.00e+00 | 2SLC39A8, COL6A1 |
199 |
HALLMARK_COMPLEMENT | 8.11e-02 | 4.40 | 0.51 | 8.11e-01 | 1.00e+00 | 2C3, C2 |
200 |
HALLMARK_P53_PATHWAY | 8.11e-02 | 4.40 | 0.51 | 8.11e-01 | 1.00e+00 | 2NUPR1, TM4SF1 |
200 |
HALLMARK_KRAS_SIGNALING_DN | 8.11e-02 | 4.40 | 0.51 | 8.11e-01 | 1.00e+00 | 2UPK3B, CALCB |
200 |
HALLMARK_APICAL_SURFACE | 9.97e-02 | 9.91 | 0.24 | 8.31e-01 | 1.00e+00 | 1GAS1 |
44 |
HALLMARK_FATTY_ACID_METABOLISM | 3.13e-01 | 2.72 | 0.07 | 1.00e+00 | 1.00e+00 | 1VNN1 |
158 |
HALLMARK_APOPTOSIS | 3.18e-01 | 2.67 | 0.07 | 1.00e+00 | 1.00e+00 | 1IGFBP6 |
161 |
HALLMARK_ADIPOGENESIS | 3.78e-01 | 2.14 | 0.05 | 1.00e+00 | 1.00e+00 | 1C3 |
200 |
HALLMARK_MYOGENESIS | 3.78e-01 | 2.14 | 0.05 | 1.00e+00 | 1.00e+00 | 1PTGIS |
200 |
HALLMARK_APICAL_JUNCTION | 3.78e-01 | 2.14 | 0.05 | 1.00e+00 | 1.00e+00 | 1CLDN15 |
200 |
HALLMARK_MTORC1_SIGNALING | 3.78e-01 | 2.14 | 0.05 | 1.00e+00 | 1.00e+00 | 1NUPR1 |
200 |
HALLMARK_EPITHELIAL_MESENCHYMAL_TRANSITION | 3.78e-01 | 2.14 | 0.05 | 1.00e+00 | 1.00e+00 | 1GAS1 |
200 |
HALLMARK_XENOBIOTIC_METABOLISM | 3.78e-01 | 2.14 | 0.05 | 1.00e+00 | 1.00e+00 | 1VNN1 |
200 |
HALLMARK_GLYCOLYSIS | 3.78e-01 | 2.14 | 0.05 | 1.00e+00 | 1.00e+00 | 1CHST4 |
200 |
HALLMARK_HEME_METABOLISM | 3.78e-01 | 2.14 | 0.05 | 1.00e+00 | 1.00e+00 | 1C3 |
200 |
HALLMARK_ALLOGRAFT_REJECTION | 3.78e-01 | 2.14 | 0.05 | 1.00e+00 | 1.00e+00 | 1C2 |
200 |
HALLMARK_KRAS_SIGNALING_UP | 3.78e-01 | 2.14 | 0.05 | 1.00e+00 | 1.00e+00 | 1SLPI |
200 |
HALLMARK_TNFA_SIGNALING_VIA_NFKB | 1.00e+00 | 0.00 | 0.00 | 1.00e+00 | 1.00e+00 | 0 |
200 |
HALLMARK_HYPOXIA | 1.00e+00 | 0.00 | 0.00 | 1.00e+00 | 1.00e+00 | 0 |
200 |
Dowload full table
KEGG Pathways:
P-value | OR | Lower 95% CI | FDR | FWER | Genes Found | Gene Set Size | |
---|---|---|---|---|---|---|---|
KEGG_HEDGEHOG_SIGNALING_PATHWAY | 7.88e-03 | 16.12 | 1.85 | 1.00e+00 | 1.00e+00 | 2LRP2, GAS1 |
56 |
KEGG_COMPLEMENT_AND_COAGULATION_CASCADES | 1.18e-02 | 12.99 | 1.50 | 1.00e+00 | 1.00e+00 | 2C3, C2 |
69 |
KEGG_SYSTEMIC_LUPUS_ERYTHEMATOSUS | 4.30e-02 | 6.36 | 0.74 | 1.00e+00 | 1.00e+00 | 2C3, C2 |
139 |
KEGG_GLYCOSAMINOGLYCAN_BIOSYNTHESIS_KERATAN_SULFATE | 3.52e-02 | 30.43 | 0.71 | 1.00e+00 | 1.00e+00 | 1CHST4 |
15 |
KEGG_PANTOTHENATE_AND_COA_BIOSYNTHESIS | 3.75e-02 | 28.41 | 0.66 | 1.00e+00 | 1.00e+00 | 1VNN1 |
16 |
KEGG_ARACHIDONIC_ACID_METABOLISM | 1.29e-01 | 7.48 | 0.18 | 1.00e+00 | 1.00e+00 | 1PTGIS |
58 |
KEGG_MELANOMA | 1.56e-01 | 6.09 | 0.15 | 1.00e+00 | 1.00e+00 | 1FGF1 |
71 |
KEGG_LEISHMANIA_INFECTION | 1.58e-01 | 6.01 | 0.15 | 1.00e+00 | 1.00e+00 | 1C3 |
72 |
KEGG_ECM_RECEPTOR_INTERACTION | 1.82e-01 | 5.14 | 0.13 | 1.00e+00 | 1.00e+00 | 1COL6A1 |
84 |
KEGG_TGF_BETA_SIGNALING_PATHWAY | 1.85e-01 | 5.02 | 0.12 | 1.00e+00 | 1.00e+00 | 1GDF6 |
86 |
KEGG_LEUKOCYTE_TRANSENDOTHELIAL_MIGRATION | 2.41e-01 | 3.71 | 0.09 | 1.00e+00 | 1.00e+00 | 1CLDN15 |
116 |
KEGG_TIGHT_JUNCTION | 2.70e-01 | 3.26 | 0.08 | 1.00e+00 | 1.00e+00 | 1CLDN15 |
132 |
KEGG_CELL_ADHESION_MOLECULES_CAMS | 2.72e-01 | 3.23 | 0.08 | 1.00e+00 | 1.00e+00 | 1CLDN15 |
133 |
KEGG_FOCAL_ADHESION | 3.77e-01 | 2.15 | 0.05 | 1.00e+00 | 1.00e+00 | 1COL6A1 |
199 |
KEGG_REGULATION_OF_ACTIN_CYTOSKELETON | 3.97e-01 | 2.01 | 0.05 | 1.00e+00 | 1.00e+00 | 1FGF1 |
213 |
KEGG_MAPK_SIGNALING_PATHWAY | 4.70e-01 | 1.60 | 0.04 | 1.00e+00 | 1.00e+00 | 1FGF1 |
267 |
KEGG_PATHWAYS_IN_CANCER | 5.37e-01 | 1.32 | 0.03 | 1.00e+00 | 1.00e+00 | 1FGF1 |
325 |
KEGG_N_GLYCAN_BIOSYNTHESIS | 1.00e+00 | 0.00 | 0.00 | 1.00e+00 | 1.00e+00 | 0 |
46 |
KEGG_OTHER_GLYCAN_DEGRADATION | 1.00e+00 | 0.00 | 0.00 | 1.00e+00 | 1.00e+00 | 0 |
16 |
KEGG_O_GLYCAN_BIOSYNTHESIS | 1.00e+00 | 0.00 | 0.00 | 1.00e+00 | 1.00e+00 | 0 |
30 |
Dowload full table
CHR Positional Gene Sets:
P-value | OR | Lower 95% CI | FDR | FWER | Genes Found | Gene Set Size | |
---|---|---|---|---|---|---|---|
chr20q13 | 6.71e-02 | 3.36 | 0.67 | 1.00e+00 | 1.00e+00 | 3SLPI, PTGIS, NKAIN4 |
400 |
chr9p12 | 3.98e-02 | 26.64 | 0.62 | 1.00e+00 | 1.00e+00 | 1CNTNAP3 |
17 |
chr1p34 | 1.37e-01 | 3.19 | 0.37 | 1.00e+00 | 1.00e+00 | 2RSPO1, GJB5 |
275 |
chr8q23 | 9.97e-02 | 9.91 | 0.24 | 1.00e+00 | 1.00e+00 | 1PKHD1L1 |
44 |
chr4q24 | 1.25e-01 | 7.75 | 0.19 | 1.00e+00 | 1.00e+00 | 1SLC39A8 |
56 |
chr19p13 | 6.98e-01 | 1.13 | 0.13 | 1.00e+00 | 1.00e+00 | 2MUC16, C3 |
773 |
chr20p12 | 2.20e-01 | 4.14 | 0.10 | 1.00e+00 | 1.00e+00 | 1LRRN4 |
104 |
chr6q23 | 2.23e-01 | 4.06 | 0.10 | 1.00e+00 | 1.00e+00 | 1VNN1 |
106 |
chr5q23 | 2.32e-01 | 3.88 | 0.10 | 1.00e+00 | 1.00e+00 | 1LVRN |
111 |
chr1q24 | 2.54e-01 | 3.50 | 0.09 | 1.00e+00 | 1.00e+00 | 1ILDR2 |
123 |
chr16q24 | 2.66e-01 | 3.31 | 0.08 | 1.00e+00 | 1.00e+00 | 1WFDC1 |
130 |
chr9q33 | 2.68e-01 | 3.28 | 0.08 | 1.00e+00 | 1.00e+00 | 1CRB2 |
131 |
chr7q36 | 2.92e-01 | 2.96 | 0.07 | 1.00e+00 | 1.00e+00 | 1RARRES2 |
145 |
chr1p32 | 3.04e-01 | 2.82 | 0.07 | 1.00e+00 | 1.00e+00 | 1FAM151A |
152 |
chr3q25 | 3.04e-01 | 2.82 | 0.07 | 1.00e+00 | 1.00e+00 | 1TM4SF1 |
152 |
chr8q22 | 3.05e-01 | 2.81 | 0.07 | 1.00e+00 | 1.00e+00 | 1GDF6 |
153 |
chr7p14 | 3.22e-01 | 2.63 | 0.06 | 1.00e+00 | 1.00e+00 | 1PRR15 |
163 |
chr2q31 | 3.28e-01 | 2.57 | 0.06 | 1.00e+00 | 1.00e+00 | 1LRP2 |
167 |
chr16q22 | 3.47e-01 | 2.40 | 0.06 | 1.00e+00 | 1.00e+00 | 1CHST4 |
179 |
chr10q11 | 3.55e-01 | 2.33 | 0.06 | 1.00e+00 | 1.00e+00 | 1ANXA8 |
184 |
Dowload full table
Transcription Factor Targets:
P-value | OR | Lower 95% CI | FDR | FWER | Genes Found | Gene Set Size | |
---|---|---|---|---|---|---|---|
TGANTCA_AP1_C | 1.37e-02 | 3.01 | 1.14 | 1.00e+00 | 1.00e+00 | 7IGFBP6, CLDN15, FGF1, MYRF, ILDR2, CHST4, GJB5 |
1139 |
GATA_C | 2.53e-02 | 5.03 | 1.00 | 1.00e+00 | 1.00e+00 | 3UPK1B, PKHD1L1, MYRF |
268 |
GATAAGR_GATA_C | 3.33e-02 | 4.51 | 0.89 | 1.00e+00 | 1.00e+00 | 3PKHD1L1, MYRF, CHST4 |
299 |
SIX1_TARGET_GENES | 5.80e-02 | 3.58 | 0.71 | 1.00e+00 | 1.00e+00 | 3LRRN4, WT1, NKAIN4 |
376 |
LCORL_TARGET_GENES | 9.00e-02 | 2.95 | 0.59 | 1.00e+00 | 1.00e+00 | 3FGF1, C2, CHST4 |
455 |
CTTTGA_LEF1_Q2 | 2.03e-01 | 1.87 | 0.58 | 1.00e+00 | 1.00e+00 | 5PKHD1L1, SLC39A8, LRP2, CLDN15, VNN1 |
1247 |
DNMT1_TARGET_GENES | 6.84e-02 | 4.86 | 0.57 | 1.00e+00 | 1.00e+00 | 2C3, TM4SF1 |
181 |
TBX1_TARGET_GENES | 7.30e-02 | 4.68 | 0.55 | 1.00e+00 | 1.00e+00 | 2IGFBP6, C3 |
188 |
WTTGKCTG_UNKNOWN | 1.20e-01 | 2.59 | 0.51 | 1.00e+00 | 1.00e+00 | 3CRB2, MYRF, ILDR2 |
519 |
GCANCTGNY_MYOD_Q6 | 1.64e-01 | 1.95 | 0.51 | 1.00e+00 | 1.00e+00 | 4IGFBP6, CLDN15, LVRN, ANXA8 |
935 |
ZNF92_TARGET_GENES | 2.53e-01 | 1.62 | 0.50 | 1.00e+00 | 1.00e+00 | 5C3, CRB2, PRR15, NKAIN4, TM4SF1 |
1440 |
LBP1_Q6 | 9.67e-02 | 3.96 | 0.46 | 1.00e+00 | 1.00e+00 | 2IGFBP6, ANXA8 |
222 |
GATA1_02 | 1.17e-01 | 3.53 | 0.41 | 1.00e+00 | 1.00e+00 | 2SLC39A8, MYRF |
249 |
ZIC3_01 | 1.21e-01 | 3.44 | 0.40 | 1.00e+00 | 1.00e+00 | 2CRB2, CALCB |
255 |
AP4_Q6_01 | 1.23e-01 | 3.41 | 0.40 | 1.00e+00 | 1.00e+00 | 2CLDN15, ANXA8 |
257 |
NRF2_Q4 | 1.24e-01 | 3.40 | 0.40 | 1.00e+00 | 1.00e+00 | 2CLDN15, FGF1 |
258 |
CP2_01 | 1.25e-01 | 3.38 | 0.40 | 1.00e+00 | 1.00e+00 | 2IGFBP6, ANXA8 |
260 |
AREB6_03 | 1.28e-01 | 3.34 | 0.39 | 1.00e+00 | 1.00e+00 | 2PRR15, NKAIN4 |
263 |
AML_Q6 | 1.32e-01 | 3.26 | 0.38 | 1.00e+00 | 1.00e+00 | 2ANXA8, MYRF |
269 |
LYF1_01 | 1.34e-01 | 3.24 | 0.38 | 1.00e+00 | 1.00e+00 | 2IGFBP6, SLC39A8 |
271 |
Dowload full table
GO Biological Processes:
P-value | OR | Lower 95% CI | FDR | FWER | Genes Found | Gene Set Size | |
---|---|---|---|---|---|---|---|
GOBP_REGULATION_OF_FEMALE_GONAD_DEVELOPMENT | 8.32e-05 | 214.97 | 19.15 | 2.07e-01 | 6.22e-01 | 2WT1, NUPR1 |
6 |
GOBP_REGULATION_OF_APOPTOTIC_CELL_CLEARANCE | 1.99e-04 | 123.89 | 12.26 | 2.63e-01 | 1.00e+00 | 2C3, C2 |
9 |
GOBP_REGULATION_OF_GONAD_DEVELOPMENT | 4.28e-04 | 78.83 | 8.29 | 3.20e-01 | 1.00e+00 | 2WT1, NUPR1 |
13 |
GOBP_APOPTOTIC_CELL_CLEARANCE | 2.44e-04 | 27.77 | 5.35 | 2.63e-01 | 1.00e+00 | 3C3, C2, GAS6 |
51 |
GOBP_ANIMAL_ORGAN_FORMATION | 4.14e-04 | 22.99 | 4.45 | 3.20e-01 | 1.00e+00 | 3WT1, LRP2, FGF1 |
61 |
GOBP_POSITIVE_REGULATION_OF_PHAGOCYTOSIS | 5.45e-04 | 20.83 | 4.04 | 3.40e-01 | 1.00e+00 | 3C3, C2, GAS6 |
67 |
GOBP_REGULATION_OF_ANIMAL_ORGAN_FORMATION | 1.74e-03 | 36.25 | 4.04 | 6.22e-01 | 1.00e+00 | 2WT1, FGF1 |
26 |
GOBP_NEGATIVE_REGULATION_OF_PEPTIDASE_ACTIVITY | 2.91e-05 | 11.44 | 3.95 | 1.09e-01 | 2.18e-01 | 6SLPI, C3, WFDC1, CRB2, ANXA8, GAS6 |
255 |
GOBP_NEGATIVE_REGULATION_OF_PROTEOLYSIS | 1.49e-05 | 10.10 | 3.80 | 1.09e-01 | 1.11e-01 | 7SLPI, C3, WFDC1, CRB2, ANXA8, GAS1, GAS6 |
344 |
GOBP_SPECIFICATION_OF_ANIMAL_ORGAN_IDENTITY | 2.97e-03 | 27.19 | 3.07 | 7.85e-01 | 1.00e+00 | 2LRP2, FGF1 |
34 |
GOBP_ACTIVATION_OF_PROTEIN_KINASE_B_ACTIVITY | 3.15e-03 | 26.37 | 2.98 | 7.85e-01 | 1.00e+00 | 2FGF1, GAS6 |
35 |
GOBP_REGULATION_OF_PHAGOCYTOSIS | 1.45e-03 | 14.65 | 2.87 | 5.88e-01 | 1.00e+00 | 3C3, C2, GAS6 |
94 |
GOBP_AMYLOID_BETA_CLEARANCE | 3.70e-03 | 24.17 | 2.74 | 8.93e-01 | 1.00e+00 | 2C3, LRP2 |
38 |
GOBP_ACUTE_INFLAMMATORY_RESPONSE | 2.10e-03 | 12.82 | 2.51 | 6.80e-01 | 1.00e+00 | 3C3, NUPR1, VNN1 |
107 |
GOBP_GENITALIA_DEVELOPMENT | 4.50e-03 | 21.76 | 2.48 | 9.91e-01 | 1.00e+00 | 2WT1, LRP2 |
42 |
GOBP_REPRODUCTIVE_SYSTEM_DEVELOPMENT | 3.66e-04 | 7.09 | 2.45 | 3.20e-01 | 1.00e+00 | 6C3, WT1, CRIP1, LRP2, NUPR1, GJB5 |
408 |
GOBP_FEMALE_SEX_DIFFERENTIATION | 2.33e-03 | 12.35 | 2.42 | 6.84e-01 | 1.00e+00 | 3WT1, LRP2, NUPR1 |
111 |
GOBP_REGIONALIZATION | 9.86e-04 | 7.24 | 2.23 | 4.61e-01 | 1.00e+00 | 5C3, WT1, CRB2, LRP2, FGF1 |
326 |
GOBP_REGULATION_OF_PROTEOLYSIS | 2.46e-04 | 5.51 | 2.23 | 2.63e-01 | 1.00e+00 | 8SLPI, C3, WFDC1, CRB2, NUPR1, ANXA8, GAS1, GAS6 |
731 |
GOBP_REGULATION_OF_PEPTIDASE_ACTIVITY | 6.28e-04 | 6.38 | 2.21 | 3.40e-01 | 1.00e+00 | 6SLPI, C3, WFDC1, CRB2, ANXA8, GAS6 |
453 |
Dowload full table
Immunological Gene Sets:
P-value | OR | Lower 95% CI | FDR | FWER | Genes Found | Gene Set Size | |
---|---|---|---|---|---|---|---|
GSE37605_FOXP3_FUSION_GFP_VS_IRES_GFP_TREG_C57BL6_DN | 5.93e-05 | 13.57 | 4.15 | 2.63e-01 | 2.89e-01 | 5UPK1B, IGFBP6, GAS1, TM4SF1, GAS6 |
176 |
GSE41176_WT_VS_TAK1_KO_ANTI_IGM_STIM_BCELL_1H_DN | 1.08e-04 | 11.91 | 3.65 | 2.63e-01 | 5.25e-01 | 5LRRN4, LRP2, SMIM1, VNN1, GJB5 |
200 |
GSE15930_STIM_VS_STIM_AND_IFNAB_72H_CD8_T_CELL_UP | 1.25e-03 | 9.32 | 2.41 | 7.75e-01 | 1.00e+00 | 4IGFBP6, CALCB, FAM151A, MYRF |
199 |
GSE20715_0H_VS_6H_OZONE_TLR4_KO_LUNG_DN | 1.27e-03 | 9.27 | 2.40 | 7.75e-01 | 1.00e+00 | 4MSLN, IGFBP6, PTGIS, GAS1 |
200 |
GSE2826_WT_VS_XID_BCELL_DN | 1.27e-03 | 9.27 | 2.40 | 7.75e-01 | 1.00e+00 | 4UPK3B, IGFBP6, PTGIS, FAM151A |
200 |
GSE9650_EXHAUSTED_VS_MEMORY_CD8_TCELL_UP | 1.27e-03 | 9.27 | 2.40 | 7.75e-01 | 1.00e+00 | 4VNN1, PRR15, MYRF, TM4SF1 |
200 |
GSE5679_CTRL_VS_PPARG_LIGAND_ROSIGLITAZONE_AND_RARA_AGONIST_AM580_TREATED_DC_DN | 1.27e-03 | 9.27 | 2.40 | 7.75e-01 | 1.00e+00 | 4PTGIS, GAS1, RARRES2, GAS6 |
200 |
GSE19888_ADENOSINE_A3R_ACT_VS_TCELL_MEMBRANES_ACT_IN_MAST_CELL_UP | 1.27e-03 | 9.27 | 2.40 | 7.75e-01 | 1.00e+00 | 4PKHD1L1, CRIP1, COL6A1, RARRES2 |
200 |
GSE13762_CTRL_VS_125_VITAMIND_DAY12_DC_UP | 5.21e-03 | 9.20 | 1.81 | 1.00e+00 | 1.00e+00 | 3PKHD1L1, LRP2, VNN1 |
148 |
GSE3720_LPS_VS_PMA_STIM_VD2_GAMMADELTA_TCELL_DN | 5.92e-03 | 8.77 | 1.73 | 1.00e+00 | 1.00e+00 | 3IGFBP6, GAS1, GAS6 |
155 |
GSE7218_UNSTIM_VS_ANTIGEN_STIM_THROUGH_IGG_BCELL_DN | 7.49e-03 | 8.04 | 1.58 | 1.00e+00 | 1.00e+00 | 3SLPI, CRIP1, NUPR1 |
169 |
GSE13485_DAY1_VS_DAY7_YF17D_VACCINE_PBMC_UP | 9.43e-03 | 7.37 | 1.45 | 1.00e+00 | 1.00e+00 | 3WFDC1, NKAIN4, CHST4 |
184 |
GSE37605_FOXP3_FUSION_GFP_VS_IRES_GFP_TREG_C57BL6_UP | 9.57e-03 | 7.33 | 1.45 | 1.00e+00 | 1.00e+00 | 3WT1, C2, TM4SF1 |
185 |
GSE29615_CTRL_VS_DAY7_LAIV_FLU_VACCINE_PBMC_DN | 1.01e-02 | 7.17 | 1.42 | 1.00e+00 | 1.00e+00 | 3FAM151A, FGF1, RARRES2 |
189 |
GSE21927_SPLEEN_VS_TUMOR_MONOCYTE_C57BL6_UP | 1.04e-02 | 7.10 | 1.40 | 1.00e+00 | 1.00e+00 | 3UPK1B, FGF1, PRR15 |
191 |
GSE45365_WT_VS_IFNAR_KO_CD8A_DC_MCMV_INFECTION_DN | 1.07e-02 | 7.02 | 1.39 | 1.00e+00 | 1.00e+00 | 3MSLN, WT1, GJB5 |
193 |
GSE9509_LPS_VS_LPS_AND_IL10_STIM_IL10_KO_MACROPHAGE_20MIN_UP | 1.09e-02 | 6.98 | 1.38 | 1.00e+00 | 1.00e+00 | 3C3, SMIM1, GAS1 |
194 |
GSE45365_NK_CELL_VS_CD8A_DC_MCMV_INFECTION_UP | 1.09e-02 | 6.98 | 1.38 | 1.00e+00 | 1.00e+00 | 3CRIP1, CALCB, RSPO1 |
194 |
GSE29618_PRE_VS_DAY7_POST_TIV_FLU_VACCINE_BCELL_UP | 1.12e-02 | 6.91 | 1.36 | 1.00e+00 | 1.00e+00 | 3UPK3B, WT1, GAS6 |
196 |
GSE21033_CTRL_VS_POLYIC_STIM_DC_1H_UP | 1.12e-02 | 6.91 | 1.36 | 1.00e+00 | 1.00e+00 | 3PTGIS, GAS1, GJB5 |
196 |
Top Ranked Transcription Factors for this Gene Expression Program:
Gene Symbol | TF Rank | DNA Binding Domain | Motif Status | IUPAC PWM | GTEx | DepMap | Decartes |
---|---|---|---|---|---|---|---|
PKHD1L1 | 6 | No | Unlikely to be sequence specific TF | Not a DNA binding protein | No motif | None | Membrane receptor (PMID: 12620974) |
PTGIS | 11 | No | Unlikely to be sequence specific TF | Not a DNA binding protein | No motif | None | It is a cytochrome p450 enzyme |
WT1 | 12 | Yes | Known motif | Monomer or homomultimer | High-throughput in vitro | None | Crystal structure (PDB:2JP9) is with dsDNA GCGCAGACGCCCCCGCG, which is consistent with the PWMs |
MYRF | 38 | Yes | Known motif | Monomer or homomultimer | High-throughput in vitro | None | Mouse ortholog binds a highly similar motif. |
GAS6 | 48 | No | Unlikely to be sequence specific TF | Not a DNA binding protein | No motif | None | None |
BNC1 | 69 | Yes | Inferred motif | Monomer or homomultimer | In vivo/Misc source | None | None |
GATA5 | 75 | Yes | Known motif | Monomer or homomultimer | High-throughput in vitro | None | None |
AEBP1 | 97 | Yes | Likely to be sequence specific TF | Monomer or homomultimer | No motif | None | This is a protease, but its ability to bind DNA is supported by both gel-shift (PMID: 15654748) and ChIP (PMID: 22723309). |
GATA6 | 114 | Yes | Known motif | Monomer or homomultimer | High-throughput in vitro | None | None |
LSR | 143 | No | Unlikely to be sequence specific TF | Not a DNA binding protein | No motif | None | Cell plasma membrane resident protein that functions in cell-cell junctions (PMID: 25753034) |
BARX1 | 158 | Yes | Known motif | Monomer or homomultimer | High-throughput in vitro | Has a putative AT-hook | None |
OSR1 | 159 | Yes | Known motif | Monomer or homomultimer | High-throughput in vitro | None | None |
WNT5A | 171 | No | Unlikely to be sequence specific TF | Not a DNA binding protein | No motif | None | (PMID: 19847889) shows this protein as a part of a large EMSA shifting complex with RNA-Pol1, CHD1, and other DNA binding proteins. It does not, however, show evidence for it binding to DNA directly |
WNT2 | 188 | No | Unlikely to be sequence specific TF | Not a DNA binding protein | No motif | None | None |
IRF7 | 198 | Yes | Known motif | Monomer or homomultimer | High-throughput in vitro | None | None |
MET | 211 | No | Unlikely to be sequence specific TF | Not a DNA binding protein | No motif | None | Its a cell surface receptor and kinase - included only because Vasquerizas 2009 included it with an x. |
VGLL3 | 252 | No | Unlikely to be sequence specific TF | Not a DNA binding protein | No motif | None | (PMID: 23380592) describes this protein as a co-activator, and it doesnt seem to have a DBD (fig. 1) |
GLI1 | 257 | Yes | Known motif | Monomer or homomultimer | In vivo/Misc source | None | None |
ARHGEF5 | 258 | No | Unlikely to be sequence specific TF | Not a DNA binding protein | No motif | None | GO annotation provides no evidence of DNA-binding activity (PMID: 15601624) |
AR | 259 | Yes | Known motif | Monomer or homomultimer | High-throughput in vitro | None | None |
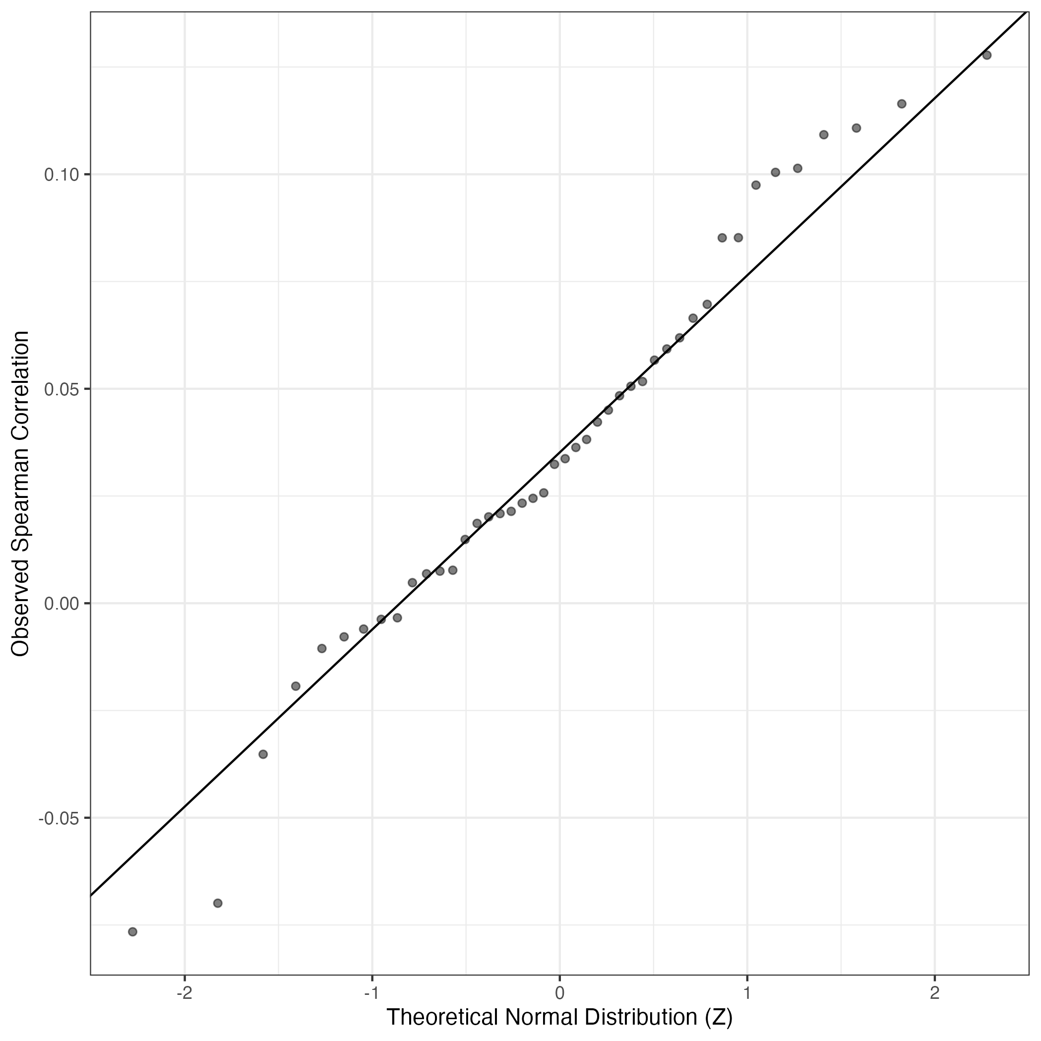
QQ Plot showing correlations with other Gene Expression Programs in this dataset, calculated by Spearman correlation:
Interactive QQ-plot of gene loadings:
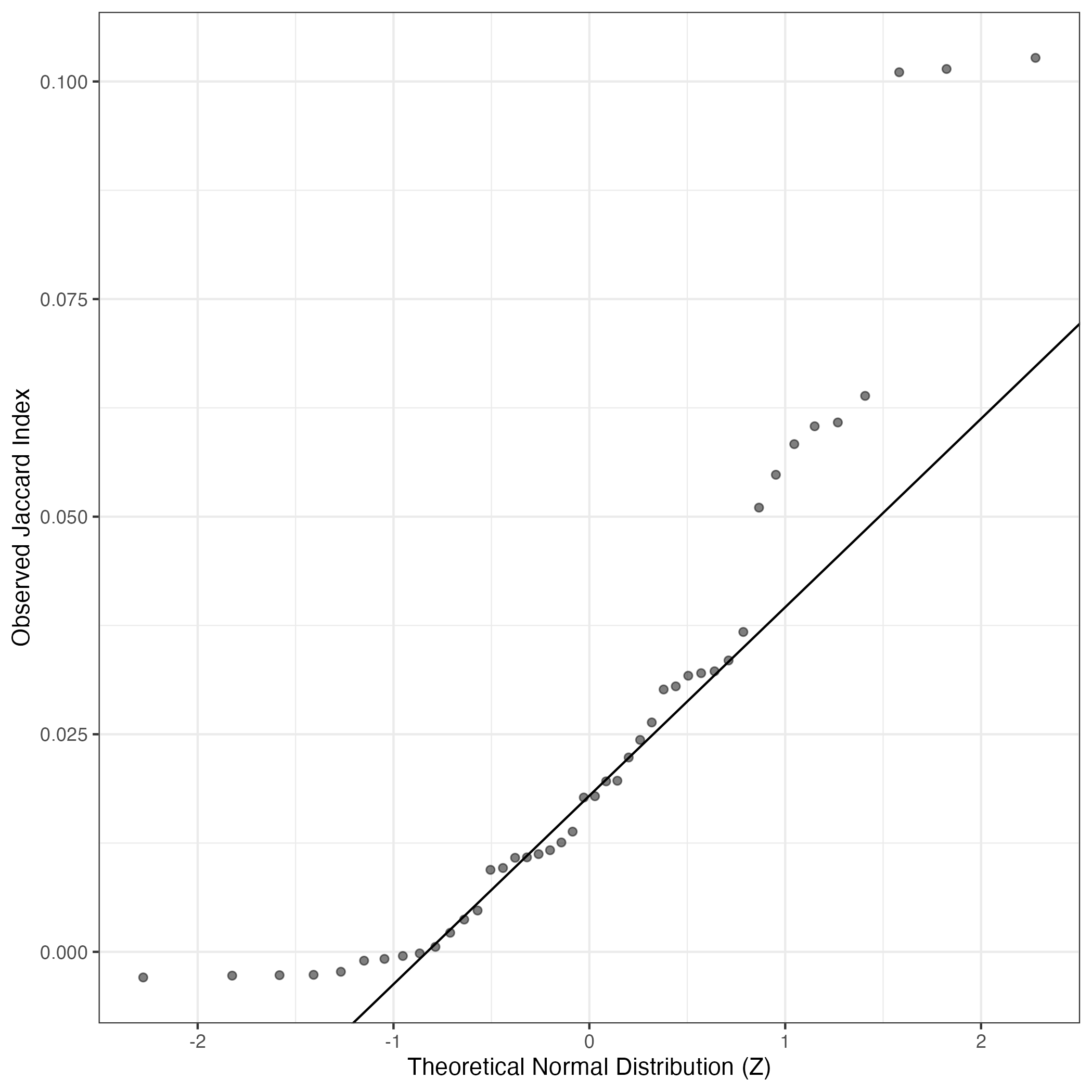
A similar QQ-plot as above, but only for instances where the H value is e.g. > 25, i.e. we are confident that the expression program is active above noise. Agreemenet between these binary vectors is tested using the Jaccard Index, with the P-values calculated by an exact test:
Interactive QQ-plot:
Singler cell type annotations for the top 50 cells on this program.
Cell ID | Singler label | Singler Delta | Activity Score | Top Singler Raw Scores |
---|---|---|---|---|
856_TCTGGCTTCGCAACAT-1 | MSC | 0.14 | 2560.58 | Raw ScoresMSC: 0.46, Fibroblasts:breast: 0.46, Fibroblasts:foreskin: 0.46, Neurons:Schwann_cell: 0.45, iPS_cells:CRL2097_foreskin: 0.45, iPS_cells:skin_fibroblast: 0.45, iPS_cells:foreskin_fibrobasts: 0.45, iPS_cells:PDB_fibroblasts: 0.45, Smooth_muscle_cells:vascular:IL-17: 0.45, Smooth_muscle_cells:vascular: 0.45 |
839_CATGGATCAATCACGT-1 | Smooth_muscle_cells:vascular | 0.13 | 2456.08 | Raw ScoresFibroblasts:breast: 0.42, Smooth_muscle_cells:vascular:IL-17: 0.42, Smooth_muscle_cells:vascular: 0.42, iPS_cells:adipose_stem_cells: 0.42, iPS_cells:CRL2097_foreskin: 0.41, iPS_cells:foreskin_fibrobasts: 0.41, Tissue_stem_cells:BM_MSC: 0.41, Chondrocytes:MSC-derived: 0.4, Fibroblasts:foreskin: 0.4, iPS_cells:skin_fibroblast: 0.4 |
839_TTCACCGAGATCCAAA-1 | Smooth_muscle_cells:vascular | 0.14 | 2397.95 | Raw ScoresSmooth_muscle_cells:vascular: 0.44, Smooth_muscle_cells:vascular:IL-17: 0.44, Fibroblasts:breast: 0.44, iPS_cells:CRL2097_foreskin: 0.43, iPS_cells:adipose_stem_cells: 0.43, Fibroblasts:foreskin: 0.42, iPS_cells:foreskin_fibrobasts: 0.42, Chondrocytes:MSC-derived: 0.42, iPS_cells:skin_fibroblast: 0.41, Tissue_stem_cells:BM_MSC: 0.41 |
839_GGTCACGCAGCAGACA-1 | iPS_cells:CRL2097_foreskin | 0.11 | 2147.47 | Raw ScoresFibroblasts:foreskin: 0.38, MSC: 0.38, iPS_cells:skin_fibroblast: 0.38, Neurons:Schwann_cell: 0.37, iPS_cells:foreskin_fibrobasts: 0.37, iPS_cells:CRL2097_foreskin: 0.37, Smooth_muscle_cells:vascular: 0.37, Fibroblasts:breast: 0.37, iPS_cells:PDB_fibroblasts: 0.37, iPS_cells:fibroblasts: 0.37 |
839_ACGATGTTCGGATAAA-1 | Smooth_muscle_cells:vascular:IL-17 | 0.12 | 1849.50 | Raw ScoresSmooth_muscle_cells:vascular: 0.37, Smooth_muscle_cells:vascular:IL-17: 0.37, Fibroblasts:breast: 0.37, iPS_cells:adipose_stem_cells: 0.36, Tissue_stem_cells:BM_MSC: 0.36, Tissue_stem_cells:BM_MSC:osteogenic: 0.36, Osteoblasts: 0.35, Chondrocytes:MSC-derived: 0.35, Tissue_stem_cells:iliac_MSC: 0.35, Fibroblasts:foreskin: 0.35 |
839_CAAGGGATCCAGCAAT-1 | Fibroblasts:foreskin | 0.12 | 1516.97 | Raw ScoresSmooth_muscle_cells:vascular: 0.4, Fibroblasts:breast: 0.4, Smooth_muscle_cells:vascular:IL-17: 0.4, iPS_cells:adipose_stem_cells: 0.39, Fibroblasts:foreskin: 0.39, Smooth_muscle_cells:bronchial: 0.39, Tissue_stem_cells:BM_MSC: 0.39, iPS_cells:foreskin_fibrobasts: 0.39, iPS_cells:CRL2097_foreskin: 0.39, Smooth_muscle_cells:bronchial:vit_D: 0.39 |
839_GTACAGTGTAGCCCTG-1 | Fibroblasts:breast | 0.13 | 1449.17 | Raw ScoresFibroblasts:breast: 0.4, Smooth_muscle_cells:vascular: 0.39, Smooth_muscle_cells:bronchial: 0.39, Smooth_muscle_cells:vascular:IL-17: 0.39, iPS_cells:adipose_stem_cells: 0.39, Smooth_muscle_cells:bronchial:vit_D: 0.39, Osteoblasts: 0.38, Tissue_stem_cells:BM_MSC:BMP2: 0.38, iPS_cells:CRL2097_foreskin: 0.38, Chondrocytes:MSC-derived: 0.38 |
839_TTTCATGGTTGTGCAT-1 | Fibroblasts:breast | 0.13 | 1294.41 | Raw ScoresFibroblasts:breast: 0.47, Smooth_muscle_cells:vascular:IL-17: 0.47, Fibroblasts:foreskin: 0.47, iPS_cells:adipose_stem_cells: 0.47, Smooth_muscle_cells:vascular: 0.46, iPS_cells:CRL2097_foreskin: 0.46, iPS_cells:foreskin_fibrobasts: 0.46, iPS_cells:skin_fibroblast: 0.46, Tissue_stem_cells:BM_MSC: 0.45, iPS_cells:PDB_fibroblasts: 0.45 |
831_TTCTTGACAGTAGAGC-1 | Smooth_muscle_cells:vascular | 0.11 | 1197.50 | Raw ScoresMSC: 0.39, Fibroblasts:foreskin: 0.39, iPS_cells:skin_fibroblast: 0.39, iPS_cells:foreskin_fibrobasts: 0.38, Fibroblasts:breast: 0.38, iPS_cells:PDB_fibroblasts: 0.38, iPS_cells:fibroblasts: 0.38, Neurons:Schwann_cell: 0.38, Tissue_stem_cells:adipose-derived_MSC_AM3: 0.38, iPS_cells:CRL2097_foreskin: 0.38 |
839_TACCGGGGTGCTTCAA-1 | Macrophage:monocyte-derived:IFNa | 0.06 | 1032.41 | Raw ScoresMacrophage:monocyte-derived:IL-4/Dex/TGFb: 0.39, Macrophage:monocyte-derived:IL-4/Dex/cntrl: 0.39, Monocyte:CXCL4: 0.38, Macrophage:Alveolar: 0.38, Macrophage:monocyte-derived:IFNa: 0.38, Macrophage:monocyte-derived:IL-4/cntrl: 0.38, Macrophage:monocyte-derived:IL-4/TGFb: 0.38, DC:monocyte-derived:AEC-conditioned: 0.38, DC:monocyte-derived:immature: 0.38, Monocyte:MCSF: 0.38 |
839_TTACGCCGTATTTCCT-1 | Smooth_muscle_cells:vascular:IL-17 | 0.16 | 711.15 | Raw ScoresFibroblasts:breast: 0.51, Smooth_muscle_cells:vascular:IL-17: 0.51, Smooth_muscle_cells:vascular: 0.51, iPS_cells:adipose_stem_cells: 0.5, iPS_cells:CRL2097_foreskin: 0.5, iPS_cells:foreskin_fibrobasts: 0.5, Fibroblasts:foreskin: 0.5, iPS_cells:skin_fibroblast: 0.49, iPS_cells:fibroblasts: 0.49, Chondrocytes:MSC-derived: 0.49 |
839_GCAGGCTAGACCCGCT-1 | Smooth_muscle_cells:bronchial | 0.12 | 547.13 | Raw ScoresSmooth_muscle_cells:bronchial: 0.41, Fibroblasts:breast: 0.41, Smooth_muscle_cells:bronchial:vit_D: 0.41, iPS_cells:adipose_stem_cells: 0.41, iPS_cells:CRL2097_foreskin: 0.41, Smooth_muscle_cells:vascular:IL-17: 0.4, Smooth_muscle_cells:vascular: 0.4, iPS_cells:skin_fibroblast: 0.4, iPS_cells:foreskin_fibrobasts: 0.4, Fibroblasts:foreskin: 0.4 |
864_CACTGAATCTCATTAC-1 | Fibroblasts:breast | 0.10 | 540.31 | Raw ScoresFibroblasts:breast: 0.41, iPS_cells:adipose_stem_cells: 0.41, Smooth_muscle_cells:vascular:IL-17: 0.41, Fibroblasts:foreskin: 0.41, Smooth_muscle_cells:vascular: 0.4, MSC: 0.4, iPS_cells:skin_fibroblast: 0.4, iPS_cells:foreskin_fibrobasts: 0.4, iPS_cells:CRL2097_foreskin: 0.4, Chondrocytes:MSC-derived: 0.4 |
839_TACTTGTAGGGCGAAG-1 | Neurons:Schwann_cell | 0.14 | 390.18 | Raw ScoresNeurons:Schwann_cell: 0.43, iPS_cells:adipose_stem_cells: 0.41, Smooth_muscle_cells:vascular:IL-17: 0.41, Smooth_muscle_cells:vascular: 0.41, Fibroblasts:breast: 0.41, iPS_cells:CRL2097_foreskin: 0.41, MSC: 0.4, Fibroblasts:foreskin: 0.4, Tissue_stem_cells:BM_MSC: 0.4, iPS_cells:PDB_fibroblasts: 0.4 |
839_GTAGAAATCCGCTGTT-1 | Fibroblasts:breast | 0.14 | 376.34 | Raw ScoresFibroblasts:breast: 0.43, iPS_cells:adipose_stem_cells: 0.42, Tissue_stem_cells:iliac_MSC: 0.42, Smooth_muscle_cells:vascular: 0.41, Smooth_muscle_cells:vascular:IL-17: 0.41, Smooth_muscle_cells:bronchial: 0.41, Osteoblasts: 0.41, Smooth_muscle_cells:bronchial:vit_D: 0.41, Tissue_stem_cells:BM_MSC:BMP2: 0.41, iPS_cells:CRL2097_foreskin: 0.41 |
839_TCAGCCTAGTGCCAGA-1 | Tissue_stem_cells:BM_MSC | 0.11 | 330.44 | Raw ScoresFibroblasts:foreskin: 0.43, iPS_cells:skin_fibroblast: 0.42, MSC: 0.42, iPS_cells:PDB_fibroblasts: 0.42, iPS_cells:foreskin_fibrobasts: 0.42, iPS_cells:fibroblasts: 0.41, iPS_cells:CRL2097_foreskin: 0.41, Tissue_stem_cells:adipose-derived_MSC_AM3: 0.41, Fibroblasts:breast: 0.41, Neurons:Schwann_cell: 0.41 |
839_TTGAGTGCACTTGTCC-1 | Tissue_stem_cells:BM_MSC:TGFb3 | 0.17 | 298.19 | Raw ScoresFibroblasts:breast: 0.44, Smooth_muscle_cells:bronchial:vit_D: 0.43, Smooth_muscle_cells:bronchial: 0.43, iPS_cells:adipose_stem_cells: 0.43, Smooth_muscle_cells:vascular: 0.43, Smooth_muscle_cells:vascular:IL-17: 0.42, Osteoblasts: 0.42, Tissue_stem_cells:BM_MSC:TGFb3: 0.42, Tissue_stem_cells:BM_MSC:BMP2: 0.42, Chondrocytes:MSC-derived: 0.42 |
887_GTTACGACATAACGGG-1 | iPS_cells:adipose_stem_cells | 0.10 | 281.62 | Raw ScoresFibroblasts:breast: 0.32, iPS_cells:adipose_stem_cells: 0.31, Smooth_muscle_cells:vascular: 0.31, Smooth_muscle_cells:vascular:IL-17: 0.31, Fibroblasts:foreskin: 0.3, Tissue_stem_cells:BM_MSC: 0.3, iPS_cells:CRL2097_foreskin: 0.3, Chondrocytes:MSC-derived: 0.3, Neurons:Schwann_cell: 0.3, Osteoblasts: 0.29 |
839_TGTCCCATCAGCCTTC-1 | Fibroblasts:breast | 0.19 | 228.56 | Raw ScoresFibroblasts:breast: 0.5, iPS_cells:adipose_stem_cells: 0.5, Smooth_muscle_cells:vascular: 0.49, Smooth_muscle_cells:vascular:IL-17: 0.49, Tissue_stem_cells:BM_MSC: 0.48, iPS_cells:CRL2097_foreskin: 0.48, Chondrocytes:MSC-derived: 0.48, Fibroblasts:foreskin: 0.47, Osteoblasts: 0.47, Smooth_muscle_cells:bronchial: 0.47 |
839_AGGTCATCAAATAAGC-1 | Tissue_stem_cells:BM_MSC:BMP2 | 0.10 | 159.36 | Raw ScoresFibroblasts:breast: 0.44, iPS_cells:adipose_stem_cells: 0.44, Smooth_muscle_cells:vascular:IL-17: 0.43, Smooth_muscle_cells:vascular: 0.43, Tissue_stem_cells:BM_MSC: 0.43, Fibroblasts:foreskin: 0.43, Smooth_muscle_cells:bronchial: 0.43, iPS_cells:foreskin_fibrobasts: 0.42, Tissue_stem_cells:BM_MSC:BMP2: 0.42, Tissue_stem_cells:BM_MSC:TGFb3: 0.42 |
839_CGTGCTTCACAAAGTA-1 | MSC | 0.11 | 139.45 | Raw ScoresFibroblasts:foreskin: 0.42, MSC: 0.42, iPS_cells:skin_fibroblast: 0.41, iPS_cells:foreskin_fibrobasts: 0.41, Tissue_stem_cells:adipose-derived_MSC_AM3: 0.4, Fibroblasts:breast: 0.4, iPS_cells:PDB_fibroblasts: 0.4, iPS_cells:CRL2097_foreskin: 0.4, Tissue_stem_cells:lipoma-derived_MSC: 0.4, Smooth_muscle_cells:umbilical_vein: 0.4 |
856_GTCGCGATCCAGTGTA-1 | Fibroblasts:breast | 0.12 | 137.86 | Raw ScoresFibroblasts:breast: 0.39, iPS_cells:adipose_stem_cells: 0.39, Smooth_muscle_cells:vascular:IL-17: 0.38, Smooth_muscle_cells:vascular: 0.38, Fibroblasts:foreskin: 0.37, Tissue_stem_cells:BM_MSC:TGFb3: 0.37, Tissue_stem_cells:BM_MSC:BMP2: 0.37, Chondrocytes:MSC-derived: 0.37, iPS_cells:CRL2097_foreskin: 0.37, iPS_cells:foreskin_fibrobasts: 0.37 |
849_AATTTCCAGTCTGGAG-1 | Fibroblasts:breast | 0.22 | 135.61 | Raw ScoresFibroblasts:breast: 0.43, Smooth_muscle_cells:bronchial: 0.43, Smooth_muscle_cells:bronchial:vit_D: 0.42, Osteoblasts: 0.42, iPS_cells:adipose_stem_cells: 0.42, Smooth_muscle_cells:vascular: 0.42, Chondrocytes:MSC-derived: 0.41, Smooth_muscle_cells:vascular:IL-17: 0.41, iPS_cells:CRL2097_foreskin: 0.41, Tissue_stem_cells:BM_MSC:TGFb3: 0.41 |
855_ACATGCATCTTACCGC-1 | Smooth_muscle_cells:vascular | 0.09 | 122.65 | Raw ScoresSmooth_muscle_cells:vascular: 0.32, Smooth_muscle_cells:vascular:IL-17: 0.32, Fibroblasts:breast: 0.32, iPS_cells:adipose_stem_cells: 0.32, Tissue_stem_cells:BM_MSC:BMP2: 0.31, iPS_cells:CRL2097_foreskin: 0.31, Smooth_muscle_cells:bronchial:vit_D: 0.31, Fibroblasts:foreskin: 0.31, Smooth_muscle_cells:bronchial: 0.31, MSC: 0.3 |
849_AAGTTCGCAGGCGTTC-1 | Macrophage:Alveolar | 0.11 | 121.20 | Raw ScoresMonocyte:CD16-: 0.42, Monocyte:CD14+: 0.42, Monocyte:CD16+: 0.42, Macrophage:monocyte-derived:M-CSF: 0.42, Macrophage:monocyte-derived:M-CSF/IFNg: 0.42, Monocyte:leukotriene_D4: 0.42, Macrophage:Alveolar: 0.42, Macrophage:Alveolar:B._anthacis_spores: 0.41, Macrophage:monocyte-derived: 0.41, Monocyte: 0.41 |
839_TTGTGGAAGGGCTTCC-1 | Epithelial_cells:bladder | 0.10 | 117.63 | Raw ScoresEpithelial_cells:bronchial: 0.45, Epithelial_cells:bladder: 0.44, Hepatocytes: 0.43, iPS_cells:CRL2097_foreskin-derived:d20_hepatic_diff: 0.41, Endothelial_cells:lymphatic: 0.4, Endothelial_cells:lymphatic:TNFa_48h: 0.4, iPS_cells:iPS:minicircle-derived: 0.4, iPS_cells:CRL2097_foreskin-derived:undiff.: 0.4, Neurons:Schwann_cell: 0.4, Endothelial_cells:HUVEC:FPV-infected: 0.39 |
853_GCAACATTCTTAGCCC-1 | Neurons:adrenal_medulla_cell_line | 0.15 | 100.06 | Raw ScoresNeuroepithelial_cell:ESC-derived: 0.37, MSC: 0.37, Fibroblasts:breast: 0.37, Neurons:Schwann_cell: 0.37, Neurons:adrenal_medulla_cell_line: 0.37, iPS_cells:CRL2097_foreskin: 0.36, iPS_cells:skin_fibroblast: 0.36, Smooth_muscle_cells:vascular:IL-17: 0.36, iPS_cells:foreskin_fibrobasts: 0.36, Fibroblasts:foreskin: 0.36 |
839_GACTATGTCGGTGAAG-1 | Chondrocytes:MSC-derived | 0.17 | 82.91 | Raw ScoresFibroblasts:breast: 0.37, Smooth_muscle_cells:bronchial: 0.36, Smooth_muscle_cells:bronchial:vit_D: 0.36, iPS_cells:adipose_stem_cells: 0.36, Smooth_muscle_cells:vascular: 0.35, Osteoblasts: 0.35, Chondrocytes:MSC-derived: 0.35, Smooth_muscle_cells:vascular:IL-17: 0.35, iPS_cells:CRL2097_foreskin: 0.34, Tissue_stem_cells:BM_MSC:TGFb3: 0.34 |
853_TACAGGTGTCTGCATA-1 | Fibroblasts:breast | 0.15 | 82.16 | Raw ScoresFibroblasts:breast: 0.33, MSC: 0.33, Fibroblasts:foreskin: 0.33, iPS_cells:skin_fibroblast: 0.33, iPS_cells:adipose_stem_cells: 0.32, Smooth_muscle_cells:vascular: 0.32, Tissue_stem_cells:BM_MSC: 0.32, iPS_cells:PDB_fibroblasts: 0.32, iPS_cells:foreskin_fibrobasts: 0.32, iPS_cells:CRL2097_foreskin: 0.32 |
847_TTTCGATAGCCGAACA-1 | Keratinocytes:IL22 | 0.23 | 81.31 | Raw ScoresKeratinocytes:IL22: 0.48, Keratinocytes:IL24: 0.47, Keratinocytes:IL20: 0.47, Keratinocytes:IL19: 0.47, Keratinocytes:IL1b: 0.47, Keratinocytes:IL26: 0.46, Keratinocytes: 0.46, Keratinocytes:KGF: 0.46, Keratinocytes:IFNg: 0.45, Epithelial_cells:bladder: 0.41 |
839_ACAACCATCAACTTTC-1 | iPS_cells:adipose_stem_cells | 0.21 | 81.27 | Raw ScoresiPS_cells:adipose_stem_cells: 0.51, Fibroblasts:breast: 0.5, Smooth_muscle_cells:vascular: 0.5, Smooth_muscle_cells:vascular:IL-17: 0.5, Osteoblasts: 0.49, Tissue_stem_cells:BM_MSC:TGFb3: 0.48, Smooth_muscle_cells:bronchial: 0.48, Smooth_muscle_cells:bronchial:vit_D: 0.48, Chondrocytes:MSC-derived: 0.48, iPS_cells:CRL2097_foreskin: 0.48 |
847_GGGAAGTCACCTCTAC-1 | Keratinocytes:IL22 | 0.24 | 76.27 | Raw ScoresKeratinocytes:IL20: 0.52, Keratinocytes:IL22: 0.52, Keratinocytes:IL24: 0.52, Keratinocytes:IL19: 0.52, Keratinocytes:IL1b: 0.51, Keratinocytes:KGF: 0.51, Keratinocytes:IL26: 0.51, Keratinocytes: 0.51, Keratinocytes:IFNg: 0.5, Epithelial_cells:bladder: 0.45 |
853_GCCGTGATCATGACAC-1 | Smooth_muscle_cells:bronchial:vit_D | 0.13 | 72.50 | Raw ScoresFibroblasts:breast: 0.34, MSC: 0.33, iPS_cells:adipose_stem_cells: 0.33, Smooth_muscle_cells:vascular:IL-17: 0.33, Neurons:Schwann_cell: 0.33, iPS_cells:skin_fibroblast: 0.33, Smooth_muscle_cells:bronchial: 0.33, Chondrocytes:MSC-derived: 0.33, Smooth_muscle_cells:bronchial:vit_D: 0.33, Smooth_muscle_cells:vascular: 0.32 |
839_TTGGGATAGCCTAACT-1 | Smooth_muscle_cells:vascular:IL-17 | 0.12 | 66.49 | Raw ScoresiPS_cells:adipose_stem_cells: 0.41, Smooth_muscle_cells:vascular:IL-17: 0.41, Fibroblasts:breast: 0.41, Smooth_muscle_cells:vascular: 0.41, Tissue_stem_cells:BM_MSC: 0.41, Chondrocytes:MSC-derived: 0.4, Tissue_stem_cells:BM_MSC:BMP2: 0.4, Fibroblasts:foreskin: 0.4, Osteoblasts: 0.39, Tissue_stem_cells:BM_MSC:TGFb3: 0.39 |
831_CATGCAAGTATGGGAC-1 | Neutrophil:uropathogenic_E._coli_UTI89 | 0.11 | 65.38 | Raw ScoresNeutrophil:commensal_E._coli_MG1655: 0.28, Neutrophil:uropathogenic_E.coli_UTI89: 0.28, Monocyte:CD16-: 0.28, Neutrophil: 0.28, HSC-G-CSF: 0.28, Pre-B_cell_CD34-: 0.28, Monocyte:CD14+: 0.28, Neutrophil:inflam: 0.27, Monocyte:S._typhimurium_flagellin: 0.27, Monocyte:CD16+: 0.27 |
853_AGTAGTCCAGCTGGTC-1 | Chondrocytes:MSC-derived | 0.13 | 63.34 | Raw ScoresFibroblasts:breast: 0.41, iPS_cells:adipose_stem_cells: 0.4, Smooth_muscle_cells:vascular:IL-17: 0.39, Smooth_muscle_cells:vascular: 0.39, iPS_cells:skin_fibroblast: 0.39, MSC: 0.39, Smooth_muscle_cells:bronchial: 0.39, Neurons:Schwann_cell: 0.39, Smooth_muscle_cells:bronchial:vit_D: 0.39, iPS_cells:foreskin_fibrobasts: 0.39 |
847_ACATTTCGTAACATCC-1 | iPS_cells:adipose_stem_cells | 0.18 | 62.13 | Raw ScoresiPS_cells:adipose_stem_cells: 0.46, Smooth_muscle_cells:vascular:IL-17: 0.45, Tissue_stem_cells:BM_MSC: 0.45, Fibroblasts:breast: 0.45, Tissue_stem_cells:BM_MSC:BMP2: 0.44, Smooth_muscle_cells:vascular: 0.44, Tissue_stem_cells:BM_MSC:TGFb3: 0.44, Chondrocytes:MSC-derived: 0.44, iPS_cells:CRL2097_foreskin: 0.44, Osteoblasts: 0.44 |
853_CCACTTGGTAGGCAGT-1 | Neurons:adrenal_medulla_cell_line | 0.13 | 61.49 | Raw ScoresNeuroepithelial_cell:ESC-derived: 0.36, MSC: 0.36, Neurons:adrenal_medulla_cell_line: 0.35, Neurons:Schwann_cell: 0.35, Fibroblasts:breast: 0.35, Fibroblasts:foreskin: 0.35, Tissue_stem_cells:CD326-CD56+: 0.35, iPS_cells:skin_fibroblast: 0.35, Embryonic_stem_cells: 0.35, iPS_cells:PDB_fibroblasts: 0.34 |
831_TGGAGGAAGCTACAAA-1 | Neutrophil:commensal_E._coli_MG1655 | 0.10 | 61.17 | Raw ScoresHSC_-G-CSF: 0.28, Neutrophil:uropathogenic_E._coli_UTI89: 0.28, Pre-B_cell_CD34-: 0.28, Neutrophil: 0.28, Neutrophil:commensal_E._coli_MG1655: 0.28, Neutrophil:inflam: 0.27, Monocyte:CD16-: 0.27, Myelocyte: 0.27, Monocyte:CD14+: 0.26, Monocyte:CD16+: 0.26 |
847_GTCAAACAGATGATTG-1 | Epithelial_cells:bladder | 0.14 | 59.09 | Raw ScoresEpithelial_cells:bladder: 0.46, Epithelial_cells:bronchial: 0.44, Keratinocytes:KGF: 0.42, Keratinocytes:IL19: 0.42, Keratinocytes:IL22: 0.42, Keratinocytes:IL1b: 0.42, Keratinocytes:IL26: 0.42, Keratinocytes:IL20: 0.42, Keratinocytes:IL24: 0.42, Keratinocytes: 0.42 |
853_TTTGTTGAGACTGAGC-1 | T_cell:CD4+_effector_memory | 0.04 | 58.94 | Raw ScoresT_cell:gamma-delta: 0.28, T_cell:CD4+_central_memory: 0.28, T_cell:CD4+_effector_memory: 0.28, Pre-B_cell_CD34-: 0.27, NK_cell:IL2: 0.27, NK_cell: 0.27, NK_cell:CD56hiCD62L+: 0.27, T_cell:CD4+: 0.27, T_cell:CD8+: 0.26, GMP: 0.26 |
839_ATACTTCTCATGCCAA-1 | B_cell | 0.08 | 57.75 | Raw ScoresB_cell:Memory: 0.25, B_cell:Naive: 0.25, B_cell:immature: 0.25, B_cell: 0.25, B_cell:Germinal_center: 0.25, Pro-B_cell_CD34+: 0.24, B_cell:CXCR4-_centrocyte: 0.24, B_cell:CXCR4+_centroblast: 0.24, Pre-B_cell_CD34-: 0.23, BM: 0.23 |
839_ATCTTCAAGAGGTGCT-1 | DC:monocyte-derived:immature | 0.13 | 57.15 | Raw ScoresMacrophage:monocyte-derived:IL-4/Dex/TGFb: 0.43, DC:monocyte-derived:anti-DC-SIGN_2h: 0.42, Macrophage:monocyte-derived:IL-4/Dex/cntrl: 0.42, DC:monocyte-derived:immature: 0.42, Macrophage:monocyte-derived:IL-4/cntrl: 0.42, Macrophage:monocyte-derived:IL-4/TGFb: 0.42, DC:monocyte-derived: 0.42, Macrophage:monocyte-derived: 0.42, DC:monocyte-derived:rosiglitazone: 0.42, Macrophage:monocyte-derived:M-CSF: 0.42 |
847_GTATTGGCAGGGACTA-1 | T_cell:CD4+_effector_memory | 0.10 | 57.13 | Raw ScoresNK_cell: 0.39, NK_cell:IL2: 0.39, T_cell:CD4+_effector_memory: 0.39, T_cell:CD4+_central_memory: 0.38, T_cell:gamma-delta: 0.38, NK_cell:CD56hiCD62L+: 0.38, T_cell:CD8+_Central_memory: 0.37, T_cell:CD8+_effector_memory_RA: 0.37, T_cell:CD4+: 0.37, T_cell:CD8+: 0.37 |
853_TGCTTCGCAGACGCTC-1 | Fibroblasts:breast | 0.14 | 57.08 | Raw ScoresFibroblasts:breast: 0.34, MSC: 0.33, Neurons:Schwann_cell: 0.32, iPS_cells:adipose_stem_cells: 0.32, iPS_cells:PDB_fibroblasts: 0.32, iPS_cells:skin_fibroblast: 0.32, Fibroblasts:foreskin: 0.32, Smooth_muscle_cells:vascular:IL-17: 0.32, Smooth_muscle_cells:vascular: 0.32, iPS_cells:CRL2097_foreskin: 0.32 |
839_TCCCATGGTAGCTGTT-1 | Smooth_muscle_cells:vascular | 0.19 | 55.84 | Raw ScoresiPS_cells:adipose_stem_cells: 0.49, Smooth_muscle_cells:vascular:IL-17: 0.48, Fibroblasts:breast: 0.48, MSC: 0.48, iPS_cells:fibroblasts: 0.48, Smooth_muscle_cells:vascular: 0.48, iPS_cells:PDB_fibroblasts: 0.48, Fibroblasts:foreskin: 0.47, iPS_cells:CRL2097_foreskin: 0.47, iPS_cells:skin_fibroblast: 0.47 |
855_CAGATTGGTGGCCTCA-1 | Chondrocytes:MSC-derived | 0.16 | 55.46 | Raw ScoresFibroblasts:breast: 0.43, iPS_cells:adipose_stem_cells: 0.43, Chondrocytes:MSC-derived: 0.43, Osteoblasts: 0.43, Tissue_stem_cells:BM_MSC:BMP2: 0.42, Tissue_stem_cells:BM_MSC:TGFb3: 0.42, Smooth_muscle_cells:bronchial:vit_D: 0.42, Smooth_muscle_cells:bronchial: 0.42, Smooth_muscle_cells:vascular: 0.42, Smooth_muscle_cells:vascular:IL-17: 0.42 |
839_CTGTGGGCACTTGACA-1 | Tissue_stem_cells:adipose-derived_MSC_AM3 | 0.15 | 55.20 | Raw ScoresMSC: 0.46, Fibroblasts:foreskin: 0.46, iPS_cells:skin_fibroblast: 0.45, Tissue_stem_cells:adipose-derived_MSC_AM3: 0.45, iPS_cells:PDB_fibroblasts: 0.45, iPS_cells:CRL2097_foreskin: 0.45, iPS_cells:fibroblasts: 0.45, Fibroblasts:breast: 0.45, iPS_cells:foreskin_fibrobasts: 0.45, Neurons:Schwann_cell: 0.45 |
853_TCAGGTACAGGGTTGA-1 | Smooth_muscle_cells:vascular:IL-17 | 0.09 | 55.17 | Raw ScoresSmooth_muscle_cells:vascular:IL-17: 0.25, Tissue_stem_cells:BM_MSC: 0.25, Smooth_muscle_cells:vascular: 0.25, iPS_cells:adipose_stem_cells: 0.25, Tissue_stem_cells:BM_MSC:BMP2: 0.25, Fibroblasts:breast: 0.24, Tissue_stem_cells:BM_MSC:osteogenic: 0.24, MSC: 0.24, Tissue_stem_cells:BM_MSC:TGFb3: 0.24, iPS_cells:CRL2097_foreskin: 0.24 |
831_AAGCGAGCACTACCCT-1 | iPS_cells:adipose_stem_cells | 0.16 | 55.03 | Raw ScoresiPS_cells:adipose_stem_cells: 0.43, Fibroblasts:breast: 0.43, Smooth_muscle_cells:vascular: 0.43, Smooth_muscle_cells:vascular:IL-17: 0.43, Tissue_stem_cells:BM_MSC:TGFb3: 0.42, Osteoblasts: 0.42, iPS_cells:CRL2097_foreskin: 0.42, Tissue_stem_cells:BM_MSC:BMP2: 0.42, Tissue_stem_cells:iliac_MSC: 0.42, Chondrocytes:MSC-derived: 0.42 |
Below shows the significant enrichments of this GEP for literature curated gene lists
This data was procured from existing single cell RNA-seq maps of neuroblastoma or related relevant data.
High ranks indicate this gene is a driver of this GEP.
These curated gene list are ranked by the P-value (on this GEP) of their constituent genes.
The Mean Count column shows the mean read count in cells scoring highly (H > 50) on this gene expression program.
Genes | Weight | Rank | GTEx | DepMap | Decartes | Mean.Counts | Mean.TPM |
---|---|---|---|---|---|---|---|
UPK3B | 0.0193529 | 1 | GTEx | DepMap | Descartes | 6.42 | 206.37 |
MSLN | 0.0163958 | 4 | GTEx | DepMap | Descartes | 8.56 | 428.79 |
SLPI | 0.0109894 | 8 | GTEx | DepMap | Descartes | 69.92 | 404.72 |
KRT18 | 0.0049158 | 57 | GTEx | DepMap | Descartes | 4.02 | 228.82 |
S100A10 | 0.0035889 | 86 | GTEx | DepMap | Descartes | 31.00 | 1032.64 |
S100A4 | 0.0028817 | 109 | GTEx | DepMap | Descartes | 11.50 | 1697.55 |
KRT8 | 0.0015481 | 232 | GTEx | DepMap | Descartes | 6.38 | 226.06 |
KRT19 | 0.0015273 | 236 | GTEx | DepMap | Descartes | 4.21 | 150.03 |
S100A13 | 0.0006362 | 646 | GTEx | DepMap | Descartes | 5.65 | 157.57 |
CD74 | 0.0001374 | 2423 | GTEx | DepMap | Descartes | 7.96 | 390.19 |
H2-EB1 | 0.0000982 | 2993 | GTEx | DepMap | Descartes | 1.63 | 79.65 |
S100A3 | 0.0000912 | 3101 | GTEx | DepMap | Descartes | 0.04 | 0.49 |
H2-AB1 | 0.0000743 | 3421 | GTEx | DepMap | Descartes | 1.58 | 67.75 |
H2-AA | 0.0000592 | 3796 | GTEx | DepMap | Descartes | 0.90 | 109.26 |
CCL5 | 0.0000071 | 5842 | GTEx | DepMap | Descartes | 0.02 | 1.01 |
CD83 | -0.0000590 | 15204 | GTEx | DepMap | Descartes | 0.37 | 5.50 |
CCL19 | -0.0000627 | 15520 | GTEx | DepMap | Descartes | 0.13 | 10.47 |
EMT I melanoma (Kinker)
These marker genes were obtained in a pan cancer cell lines NMF analysis of scRNA-eq data in Kinker et al (PMID 33128048) - 10 metaprograms were recovered that manifest across cancers, this EMT program was melanoma specific.:
Wilcoxon ranksum test P-value for gene set overrepresentation: 1.12e-04
Mean rank of genes in gene set: 498
Rank on gene expression program of genes in gene set:
Genes | Weight | Rank | GTEx | DepMap | Decartes | Mean.Counts | Mean.TPM |
---|---|---|---|---|---|---|---|
CAV1 | 0.0046308 | 63 | GTEx | DepMap | Descartes | 5.08 | 37.94 |
RRAS | 0.0013224 | 291 | GTEx | DepMap | Descartes | 2.58 | 189.58 |
TPM1 | 0.0010321 | 383 | GTEx | DepMap | Descartes | 10.77 | 99.47 |
CTGF | 0.0007130 | 571 | GTEx | DepMap | Descartes | 4.58 | NA |
CYR61 | 0.0003327 | 1182 | GTEx | DepMap | Descartes | 3.00 | NA |
Myofibroblastic CAF
These marker genes were curated across cancer subtypes in multiple organ systems as reviewed in Lavie et. al. (PMID 35883004) and contain myofibroblastic specific CAF genes:
Wilcoxon ranksum test P-value for gene set overrepresentation: 1.16e-04
Mean rank of genes in gene set: 7299
Rank on gene expression program of genes in gene set:
Genes | Weight | Rank | GTEx | DepMap | Decartes | Mean.Counts | Mean.TPM |
---|---|---|---|---|---|---|---|
DCN | 0.0034921 | 88 | GTEx | DepMap | Descartes | 39.31 | 303.52 |
WNT5A | 0.0019275 | 171 | GTEx | DepMap | Descartes | 1.44 | 18.60 |
BGN | 0.0016894 | 201 | GTEx | DepMap | Descartes | 16.40 | 370.85 |
COL3A1 | 0.0014823 | 247 | GTEx | DepMap | Descartes | 120.85 | 759.93 |
COL5A2 | 0.0013876 | 271 | GTEx | DepMap | Descartes | 10.02 | 21.49 |
TPM1 | 0.0010321 | 383 | GTEx | DepMap | Descartes | 10.77 | 99.47 |
TGFBR2 | 0.0009520 | 418 | GTEx | DepMap | Descartes | 2.35 | 9.37 |
TPM2 | 0.0007700 | 526 | GTEx | DepMap | Descartes | 6.83 | 156.91 |
IGFBP7 | 0.0006982 | 584 | GTEx | DepMap | Descartes | 30.23 | 150.21 |
COL4A1 | 0.0005974 | 685 | GTEx | DepMap | Descartes | 9.56 | 25.16 |
VCAN | 0.0005583 | 734 | GTEx | DepMap | Descartes | 2.54 | 8.47 |
TMEM119 | 0.0005020 | 805 | GTEx | DepMap | Descartes | 1.44 | 53.94 |
FN1 | 0.0004437 | 909 | GTEx | DepMap | Descartes | 31.10 | 124.50 |
PGF | 0.0004060 | 979 | GTEx | DepMap | Descartes | 0.29 | 23.54 |
COL5A1 | 0.0003686 | 1082 | GTEx | DepMap | Descartes | 5.17 | 8.81 |
COL1A2 | 0.0003170 | 1245 | GTEx | DepMap | Descartes | 54.12 | 377.68 |
MMP2 | 0.0002452 | 1568 | GTEx | DepMap | Descartes | 2.15 | 27.07 |
COL14A1 | 0.0002048 | 1834 | GTEx | DepMap | Descartes | 3.69 | 6.21 |
ITGA7 | 0.0001704 | 2099 | GTEx | DepMap | Descartes | 0.17 | 3.36 |
TGFB2 | 0.0001463 | 2327 | GTEx | DepMap | Descartes | 0.94 | 2.89 |
MYH11 | 0.0001354 | 2446 | GTEx | DepMap | Descartes | 0.77 | 2.32 |
COL12A1 | 0.0001131 | 2744 | GTEx | DepMap | Descartes | 2.38 | 7.55 |
COL8A1 | 0.0001111 | 2768 | GTEx | DepMap | Descartes | 3.12 | 8.21 |
COL10A1 | 0.0000607 | 3759 | GTEx | DepMap | Descartes | 0.00 | 0.00 |
ACTG2 | 0.0000426 | 4260 | GTEx | DepMap | Descartes | 1.58 | 14.16 |
MEF2C | 0.0000310 | 4641 | GTEx | DepMap | Descartes | 0.62 | 1.19 |
MMP11 | 0.0000306 | 4659 | GTEx | DepMap | Descartes | 0.15 | 4.17 |
MYLK | 0.0000289 | 4722 | GTEx | DepMap | Descartes | 0.67 | 0.71 |
TGFBR1 | 0.0000199 | 5083 | GTEx | DepMap | Descartes | 0.81 | 3.89 |
TGFB1 | 0.0000069 | 5857 | GTEx | DepMap | Descartes | 0.83 | 12.62 |
RGS5 | 0.0000062 | 5926 | GTEx | DepMap | Descartes | 1.21 | 7.11 |
TNC | -0.0000017 | 6796 | GTEx | DepMap | Descartes | 3.27 | 8.22 |
CNN2 | -0.0000121 | 9548 | GTEx | DepMap | Descartes | 1.75 | 68.30 |
HOPX | -0.0000162 | 10359 | GTEx | DepMap | Descartes | 4.15 | 31.98 |
MYL9 | -0.0000392 | 13323 | GTEx | DepMap | Descartes | 1.17 | 41.72 |
VEGFA | -0.0000520 | 14608 | GTEx | DepMap | Descartes | 0.46 | 7.76 |
COL13A1 | -0.0000614 | 15428 | GTEx | DepMap | Descartes | 0.02 | 0.05 |
ACTA2 | -0.0000647 | 15667 | GTEx | DepMap | Descartes | 16.44 | 217.82 |
IGFBP3 | -0.0000665 | 15804 | GTEx | DepMap | Descartes | 2.04 | 77.05 |
THBS1 | -0.0000795 | 16685 | GTEx | DepMap | Descartes | 6.77 | 101.12 |
LUM | -0.0000819 | 16852 | GTEx | DepMap | Descartes | 2.77 | 128.20 |
CNN3 | -0.0000968 | 17726 | GTEx | DepMap | Descartes | 2.90 | 22.87 |
THY1 | -0.0000979 | 17779 | GTEx | DepMap | Descartes | 0.46 | 35.01 |
COL11A1 | -0.0001542 | 19648 | GTEx | DepMap | Descartes | 0.10 | 0.12 |
POSTN | -0.0002319 | 20528 | GTEx | DepMap | Descartes | 4.17 | 37.21 |
TAGLN | -0.0002369 | 20547 | GTEx | DepMap | Descartes | 14.83 | 448.55 |
COL1A1 | -0.0002632 | 20669 | GTEx | DepMap | Descartes | 46.67 | 716.25 |
THBS2 | -0.0003021 | 20784 | GTEx | DepMap | Descartes | 0.52 | 5.65 |
COL15A1 | -0.0003677 | 20879 | GTEx | DepMap | Descartes | 1.27 | 2.87 |
Below shows ranks on this GEP for literature curated gene lists for large gene sets
These include those reported as mesenchymal/adrenergic by Van Groningen et al.
High ranks indicate this gene is a driver of this GEP (note these results are not ordered).
The Mean Count column shows the mean read count in cells scoring highly (H > 50) on this gene expression program.
VanGroningen Adrenergic Genes
Adrenergic marker genes from Supplementary Table 2 of Van Groningen et al. Nature Genetics 2017. These genes were identified by differential expression analysis of mesenchymal-like and adrenergic-like neuroblastoma cell lines.
Wilcoxon ranksum test P-value for gene set overrepresentation: 1.00e+00
Mean rank of genes in gene set: 15994.41
Median rank of genes in gene set: 18569
Rank on gene expression program of top 30 genes in gene set:
Genes | Weight | Rank | GTEx | DepMap | Descartes | Mean.Counts | Mean.TPM |
---|---|---|---|---|---|---|---|
CD200 | 0.0020536 | 163 | GTEx | DepMap | Descartes | 2.58 | 27.82 |
PRSS12 | 0.0016197 | 214 | GTEx | DepMap | Descartes | 0.23 | 1.12 |
SLIT3 | 0.0010618 | 372 | GTEx | DepMap | Descartes | 3.52 | 1.81 |
CXADR | 0.0007691 | 528 | GTEx | DepMap | Descartes | 2.81 | 10.93 |
RBP1 | 0.0006516 | 626 | GTEx | DepMap | Descartes | 9.88 | 100.49 |
SYNPO2 | 0.0005675 | 727 | GTEx | DepMap | Descartes | 0.13 | 0.17 |
GRB10 | 0.0005269 | 768 | GTEx | DepMap | Descartes | 1.94 | 4.63 |
RBBP8 | 0.0005139 | 784 | GTEx | DepMap | Descartes | 0.90 | 2.50 |
ST3GAL6 | 0.0004284 | 940 | GTEx | DepMap | Descartes | 0.42 | 2.05 |
CELF2 | 0.0003917 | 1016 | GTEx | DepMap | Descartes | 1.46 | 0.45 |
PTS | 0.0003258 | 1207 | GTEx | DepMap | Descartes | 0.77 | 23.31 |
UCP2 | 0.0003177 | 1242 | GTEx | DepMap | Descartes | 3.94 | 122.83 |
CDC42EP3 | 0.0003172 | 1244 | GTEx | DepMap | Descartes | 0.62 | 9.07 |
GGCT | 0.0002735 | 1428 | GTEx | DepMap | Descartes | 0.50 | 12.36 |
MAGI3 | 0.0002671 | 1464 | GTEx | DepMap | Descartes | 0.48 | 0.71 |
ABCA3 | 0.0002664 | 1467 | GTEx | DepMap | Descartes | 0.50 | 2.03 |
CDKN2C | 0.0002528 | 1532 | GTEx | DepMap | Descartes | 1.00 | 60.52 |
MRPL48 | 0.0002255 | 1685 | GTEx | DepMap | Descartes | 2.25 | 9.19 |
NET1 | 0.0002196 | 1723 | GTEx | DepMap | Descartes | 0.31 | 1.75 |
GGH | 0.0001969 | 1888 | GTEx | DepMap | Descartes | 1.44 | 12.86 |
INO80C | 0.0001788 | 2024 | GTEx | DepMap | Descartes | 0.38 | 6.77 |
CDKN3 | 0.0001693 | 2106 | GTEx | DepMap | Descartes | 0.42 | 12.07 |
ACVR1B | 0.0001589 | 2205 | GTEx | DepMap | Descartes | 0.23 | 1.29 |
ENO2 | 0.0001558 | 2240 | GTEx | DepMap | Descartes | 0.12 | 2.72 |
CYGB | 0.0001337 | 2460 | GTEx | DepMap | Descartes | 2.19 | 106.45 |
IRS2 | 0.0001290 | 2521 | GTEx | DepMap | Descartes | 0.25 | 2.98 |
PRC1 | 0.0001272 | 2541 | GTEx | DepMap | Descartes | 1.37 | 22.30 |
DNAJC6 | 0.0001187 | 2657 | GTEx | DepMap | Descartes | 0.08 | 0.11 |
DNAJB1 | 0.0001028 | 2913 | GTEx | DepMap | Descartes | 2.08 | 91.01 |
RAB6B | 0.0001018 | 2930 | GTEx | DepMap | Descartes | 0.77 | 2.59 |
VanGroningen Mesenchymal Genes
Mesenchymal marker genes from Supplementary Table 2 of Van Groningen et al. Nature Genetics 2017. These genes were identified by differential expression analysis of mesenchymal-like and adrenergic-like neuroblastoma cell lines.
Wilcoxon ranksum test P-value for gene set overrepresentation: 6.48e-76
Mean rank of genes in gene set: 5355.44
Median rank of genes in gene set: 2092.5
Rank on gene expression program of top 30 genes in gene set:
Genes | Weight | Rank | GTEx | DepMap | Descartes | Mean.Counts | Mean.TPM |
---|---|---|---|---|---|---|---|
IGFBP6 | 0.0117535 | 7 | GTEx | DepMap | Descartes | 20.79 | 1330.22 |
COL6A1 | 0.0056634 | 41 | GTEx | DepMap | Descartes | 13.23 | 220.10 |
GAS1 | 0.0055451 | 43 | GTEx | DepMap | Descartes | 3.98 | 358.00 |
TM4SF1 | 0.0054566 | 46 | GTEx | DepMap | Descartes | 8.38 | 180.87 |
TIMP1 | 0.0050324 | 52 | GTEx | DepMap | Descartes | 47.92 | 2277.79 |
CRABP2 | 0.0041676 | 71 | GTEx | DepMap | Descartes | 2.04 | 243.31 |
COL6A2 | 0.0036690 | 80 | GTEx | DepMap | Descartes | 6.37 | 64.96 |
PTRF | 0.0036602 | 81 | GTEx | DepMap | Descartes | 4.63 | NA |
LGALS1 | 0.0036108 | 83 | GTEx | DepMap | Descartes | 98.17 | 5479.98 |
CFH | 0.0036094 | 84 | GTEx | DepMap | Descartes | 4.58 | 13.64 |
CCDC80 | 0.0035049 | 87 | GTEx | DepMap | Descartes | 9.94 | 68.31 |
AEBP1 | 0.0031498 | 97 | GTEx | DepMap | Descartes | 7.56 | 239.54 |
GPX8 | 0.0025893 | 122 | GTEx | DepMap | Descartes | 3.33 | 204.51 |
ANXA2 | 0.0025528 | 124 | GTEx | DepMap | Descartes | 19.19 | 160.61 |
RHOJ | 0.0025513 | 125 | GTEx | DepMap | Descartes | 3.12 | 9.24 |
WLS | 0.0022238 | 145 | GTEx | DepMap | Descartes | 2.71 | 7.28 |
MGST1 | 0.0020849 | 160 | GTEx | DepMap | Descartes | 6.17 | 93.59 |
IFITM3 | 0.0019845 | 166 | GTEx | DepMap | Descartes | 52.60 | 10493.92 |
WNT5A | 0.0019275 | 171 | GTEx | DepMap | Descartes | 1.44 | 18.60 |
SPARC | 0.0018756 | 175 | GTEx | DepMap | Descartes | 100.77 | 883.31 |
ANXA1 | 0.0018472 | 179 | GTEx | DepMap | Descartes | 17.27 | 234.34 |
SEMA3C | 0.0018417 | 180 | GTEx | DepMap | Descartes | 2.23 | 4.86 |
SDC4 | 0.0018057 | 184 | GTEx | DepMap | Descartes | 8.52 | 103.46 |
FSTL1 | 0.0017752 | 189 | GTEx | DepMap | Descartes | 14.46 | 74.92 |
B2M | 0.0016973 | 200 | GTEx | DepMap | Descartes | 19.48 | 883.82 |
BGN | 0.0016894 | 201 | GTEx | DepMap | Descartes | 16.40 | 370.85 |
CLIC4 | 0.0016248 | 213 | GTEx | DepMap | Descartes | 3.40 | 15.63 |
COL3A1 | 0.0014823 | 247 | GTEx | DepMap | Descartes | 120.85 | 759.93 |
VIM | 0.0014803 | 249 | GTEx | DepMap | Descartes | 41.25 | 1479.80 |
MGP | 0.0013928 | 267 | GTEx | DepMap | Descartes | 34.65 | 2343.46 |
Descartes adrenocortical markers
Top 50 marker genes of adrenocortical cells in the Decartes fetal adrenal single cell map (https://atlas.brotmanbaty.org/bbi/human-gene-expression-during-development/cell/adrenocortical/in/adrenal)
Wilcoxon ranksum test P-value for gene set overrepresentation: 5.70e-01
Mean rank of genes in gene set: 10639.4
Median rank of genes in gene set: 11689.5
Rank on gene expression program of top 30 genes in gene set:
Genes | Weight | Rank | GTEx | DepMap | Descartes | Mean.Counts | Mean.TPM |
---|---|---|---|---|---|---|---|
STAR | 0.0011794 | 331 | GTEx | DepMap | Descartes | 0.21 | 5.56 |
BAIAP2L1 | 0.0009277 | 431 | GTEx | DepMap | Descartes | 0.87 | 3.11 |
CLU | 0.0005804 | 706 | GTEx | DepMap | Descartes | 16.81 | 272.17 |
SLC16A9 | 0.0003842 | 1043 | GTEx | DepMap | Descartes | 0.35 | 3.37 |
GSTA4 | 0.0002291 | 1666 | GTEx | DepMap | Descartes | 2.92 | 18.68 |
FDX1 | 0.0001299 | 2511 | GTEx | DepMap | Descartes | 1.29 | 15.19 |
INHA | 0.0001289 | 2522 | GTEx | DepMap | Descartes | 0.06 | 6.29 |
ERN1 | 0.0001057 | 2869 | GTEx | DepMap | Descartes | 0.17 | 0.49 |
NPC1 | 0.0001053 | 2878 | GTEx | DepMap | Descartes | 0.60 | 3.51 |
GRAMD1B | 0.0000818 | 3268 | GTEx | DepMap | Descartes | 0.38 | 0.53 |
PDE10A | 0.0000675 | 3599 | GTEx | DepMap | Descartes | 0.21 | 0.12 |
SCAP | 0.0000550 | 3890 | GTEx | DepMap | Descartes | 0.35 | 1.56 |
SH3BP5 | 0.0000548 | 3900 | GTEx | DepMap | Descartes | 0.71 | 2.88 |
IGF1R | 0.0000539 | 3931 | GTEx | DepMap | Descartes | 0.56 | 0.64 |
POR | 0.0000437 | 4227 | GTEx | DepMap | Descartes | 2.31 | 8.15 |
FDXR | 0.0000045 | 6058 | GTEx | DepMap | Descartes | 0.27 | 6.83 |
CYP11A1 | 0.0000029 | 6190 | GTEx | DepMap | Descartes | 0.02 | 0.33 |
CYP11B1 | 0.0000024 | 6257 | GTEx | DepMap | Descartes | 0.00 | 0.00 |
SULT2A1 | -0.0000031 | 7146 | GTEx | DepMap | Descartes | 0.00 | 0.00 |
CYP17A1 | -0.0000120 | 9520 | GTEx | DepMap | Descartes | 0.00 | 0.00 |
SH3PXD2B | -0.0000172 | 10518 | GTEx | DepMap | Descartes | 0.60 | 1.91 |
FREM2 | -0.0000351 | 12861 | GTEx | DepMap | Descartes | 0.00 | 0.00 |
DHCR24 | -0.0000390 | 13307 | GTEx | DepMap | Descartes | 0.52 | 3.33 |
TM7SF2 | -0.0000463 | 14116 | GTEx | DepMap | Descartes | 0.10 | 1.97 |
SGCZ | -0.0000563 | 14972 | GTEx | DepMap | Descartes | 0.00 | 0.00 |
APOC1 | -0.0000608 | 15371 | GTEx | DepMap | Descartes | 0.73 | 39.75 |
DNER | -0.0000618 | 15459 | GTEx | DepMap | Descartes | 0.00 | 0.00 |
SLC1A2 | -0.0000626 | 15518 | GTEx | DepMap | Descartes | 0.00 | 0.00 |
FRMD5 | -0.0000734 | 16296 | GTEx | DepMap | Descartes | 0.04 | 0.02 |
LDLR | -0.0000858 | 17066 | GTEx | DepMap | Descartes | 0.27 | 2.25 |
Descartes chromaffin markers
Top 50 marker genes of chromaffin cells in the Decartes fetal adrenal single cell map (https://atlas.brotmanbaty.org/bbi/human-gene-expression-during-development/cell/chromaffin/in/adrenal)
Wilcoxon ranksum test P-value for gene set overrepresentation: 1.00e+00
Mean rank of genes in gene set: 15116.59
Median rank of genes in gene set: 16714
Rank on gene expression program of top 30 genes in gene set:
Genes | Weight | Rank | GTEx | DepMap | Descartes | Mean.Counts | Mean.TPM |
---|---|---|---|---|---|---|---|
IL7 | 0.0016125 | 217 | GTEx | DepMap | Descartes | 0.19 | 1.30 |
SYNPO2 | 0.0005675 | 727 | GTEx | DepMap | Descartes | 0.13 | 0.17 |
PLXNA4 | 0.0005432 | 748 | GTEx | DepMap | Descartes | 0.92 | 0.50 |
TMEFF2 | 0.0002358 | 1625 | GTEx | DepMap | Descartes | 0.60 | 0.56 |
RPH3A | 0.0001087 | 2818 | GTEx | DepMap | Descartes | 0.02 | 0.06 |
MAB21L1 | 0.0000238 | 4916 | GTEx | DepMap | Descartes | 0.00 | 0.00 |
RGMB | 0.0000081 | 5760 | GTEx | DepMap | Descartes | 0.35 | 2.61 |
EPHA6 | -0.0000202 | 11026 | GTEx | DepMap | Descartes | 0.00 | 0.00 |
ANKFN1 | -0.0000282 | 12077 | GTEx | DepMap | Descartes | 0.00 | 0.00 |
SLC6A2 | -0.0000296 | 12237 | GTEx | DepMap | Descartes | 0.00 | 0.00 |
HS3ST5 | -0.0000311 | 12397 | GTEx | DepMap | Descartes | 0.00 | 0.00 |
GREM1 | -0.0000353 | 12891 | GTEx | DepMap | Descartes | 0.00 | 0.00 |
GAL | -0.0000369 | 13088 | GTEx | DepMap | Descartes | 0.02 | 0.62 |
TMEM132C | -0.0000395 | 13353 | GTEx | DepMap | Descartes | 0.02 | 0.03 |
PTCHD1 | -0.0000492 | 14359 | GTEx | DepMap | Descartes | 0.00 | 0.00 |
NPY | -0.0000546 | 14830 | GTEx | DepMap | Descartes | 0.00 | 0.00 |
EYA4 | -0.0000551 | 14862 | GTEx | DepMap | Descartes | 0.10 | 0.12 |
RYR2 | -0.0000603 | 15334 | GTEx | DepMap | Descartes | 0.02 | 0.01 |
ALK | -0.0000613 | 15419 | GTEx | DepMap | Descartes | 0.00 | 0.00 |
FAT3 | -0.0000643 | 15634 | GTEx | DepMap | Descartes | 0.00 | 0.00 |
PRPH | -0.0000689 | 15981 | GTEx | DepMap | Descartes | 0.15 | 10.66 |
KCNB2 | -0.0000752 | 16422 | GTEx | DepMap | Descartes | 0.04 | 0.04 |
SLC44A5 | -0.0000843 | 17006 | GTEx | DepMap | Descartes | 0.00 | 0.00 |
NTRK1 | -0.0000872 | 17156 | GTEx | DepMap | Descartes | 0.02 | 0.23 |
HMX1 | -0.0000881 | 17215 | GTEx | DepMap | Descartes | 0.04 | 1.69 |
RBFOX1 | -0.0001210 | 18772 | GTEx | DepMap | Descartes | 0.12 | 0.03 |
MARCH11 | -0.0001341 | 19174 | GTEx | DepMap | Descartes | 0.08 | 0.21 |
CNKSR2 | -0.0001413 | 19348 | GTEx | DepMap | Descartes | 0.19 | 0.18 |
REEP1 | -0.0001882 | 20192 | GTEx | DepMap | Descartes | 0.21 | 0.75 |
CCND1 | -0.0001940 | 20247 | GTEx | DepMap | Descartes | 4.06 | 160.96 |
Descartes Vascular_endothelial markers
Top 50 marker genes of Vascular_endothelial cells in the Decartes fetal adrenal single cell map (https://atlas.brotmanbaty.org/bbi/human-gene-expression-during-development/cell/vascular_endothelial/in/adrenal)
Wilcoxon ranksum test P-value for gene set overrepresentation: 9.52e-01
Mean rank of genes in gene set: 12012.67
Median rank of genes in gene set: 14451
Rank on gene expression program of top 30 genes in gene set:
Genes | Weight | Rank | GTEx | DepMap | Descartes | Mean.Counts | Mean.TPM |
---|---|---|---|---|---|---|---|
ARHGAP29 | 0.0014568 | 253 | GTEx | DepMap | Descartes | 3.42 | 16.72 |
NPR1 | 0.0013878 | 270 | GTEx | DepMap | Descartes | 0.42 | 7.18 |
FLT4 | 0.0013822 | 272 | GTEx | DepMap | Descartes | 0.23 | 1.67 |
SLCO2A1 | 0.0004911 | 816 | GTEx | DepMap | Descartes | 0.40 | 0.90 |
PODXL | 0.0003935 | 1010 | GTEx | DepMap | Descartes | 0.52 | 2.48 |
KDR | 0.0003471 | 1143 | GTEx | DepMap | Descartes | 0.58 | 3.10 |
GALNT15 | 0.0003342 | 1177 | GTEx | DepMap | Descartes | 0.06 | 0.68 |
ID1 | 0.0001647 | 2152 | GTEx | DepMap | Descartes | 1.10 | 295.19 |
TMEM88 | 0.0001047 | 2889 | GTEx | DepMap | Descartes | 0.17 | 28.31 |
DNASE1L3 | 0.0000250 | 4872 | GTEx | DepMap | Descartes | 0.08 | 0.25 |
EFNB2 | 0.0000159 | 5278 | GTEx | DepMap | Descartes | 0.56 | 2.53 |
ESM1 | -0.0000042 | 7491 | GTEx | DepMap | Descartes | 0.25 | 18.28 |
NR5A2 | -0.0000078 | 8526 | GTEx | DepMap | Descartes | 0.02 | 0.03 |
CRHBP | -0.0000088 | 8791 | GTEx | DepMap | Descartes | 0.00 | 0.00 |
CYP26B1 | -0.0000174 | 10562 | GTEx | DepMap | Descartes | 0.06 | 0.92 |
CHRM3 | -0.0000225 | 11321 | GTEx | DepMap | Descartes | 0.00 | 0.00 |
KANK3 | -0.0000258 | 11749 | GTEx | DepMap | Descartes | 0.17 | 4.64 |
F8 | -0.0000405 | 13459 | GTEx | DepMap | Descartes | 0.00 | 0.00 |
MYRIP | -0.0000435 | 13796 | GTEx | DepMap | Descartes | 0.00 | 0.00 |
IRX3 | -0.0000465 | 14134 | GTEx | DepMap | Descartes | 0.13 | 2.57 |
BTNL9 | -0.0000480 | 14259 | GTEx | DepMap | Descartes | 0.02 | 0.34 |
SHE | -0.0000504 | 14451 | GTEx | DepMap | Descartes | 0.06 | 0.80 |
EHD3 | -0.0000572 | 15048 | GTEx | DepMap | Descartes | 0.06 | 0.61 |
CEACAM1 | -0.0000612 | 15406 | GTEx | DepMap | Descartes | 0.33 | 4.36 |
NOTCH4 | -0.0000658 | 15744 | GTEx | DepMap | Descartes | 0.06 | 1.11 |
TEK | -0.0000666 | 15813 | GTEx | DepMap | Descartes | 0.08 | 0.32 |
FCGR2B | -0.0000752 | 16427 | GTEx | DepMap | Descartes | 0.29 | 4.48 |
HYAL2 | -0.0000824 | 16886 | GTEx | DepMap | Descartes | 0.21 | 11.39 |
RAMP2 | -0.0000832 | 16936 | GTEx | DepMap | Descartes | 0.77 | 20.70 |
PTPRB | -0.0000851 | 17036 | GTEx | DepMap | Descartes | 0.08 | 0.26 |
Descartes stromal markers
Top 50 marker genes of stromal cells in the Decartes fetal adrenal single cell map (https://atlas.brotmanbaty.org/bbi/human-gene-expression-during-development/cell/stromal/in/adrenal)
Wilcoxon ranksum test P-value for gene set overrepresentation: 2.37e-04
Mean rank of genes in gene set: 7362.78
Median rank of genes in gene set: 2619
Rank on gene expression program of top 30 genes in gene set:
Genes | Weight | Rank | GTEx | DepMap | Descartes | Mean.Counts | Mean.TPM |
---|---|---|---|---|---|---|---|
BICC1 | 0.0045190 | 64 | GTEx | DepMap | Descartes | 3.50 | 3.98 |
CCDC80 | 0.0035049 | 87 | GTEx | DepMap | Descartes | 9.94 | 68.31 |
DCN | 0.0034921 | 88 | GTEx | DepMap | Descartes | 39.31 | 303.52 |
LOX | 0.0023655 | 140 | GTEx | DepMap | Descartes | 3.87 | 91.12 |
PCOLCE | 0.0022041 | 147 | GTEx | DepMap | Descartes | 6.25 | 229.89 |
ELN | 0.0016765 | 204 | GTEx | DepMap | Descartes | 7.48 | 50.91 |
FNDC1 | 0.0016142 | 215 | GTEx | DepMap | Descartes | 3.17 | 9.84 |
COL3A1 | 0.0014823 | 247 | GTEx | DepMap | Descartes | 120.85 | 759.93 |
MGP | 0.0013928 | 267 | GTEx | DepMap | Descartes | 34.65 | 2343.46 |
ADAMTSL3 | 0.0012530 | 309 | GTEx | DepMap | Descartes | 0.12 | 0.16 |
ADAMTS2 | 0.0010948 | 362 | GTEx | DepMap | Descartes | 2.44 | 3.70 |
CDH11 | 0.0010058 | 392 | GTEx | DepMap | Descartes | 1.63 | 2.47 |
CD248 | 0.0008370 | 482 | GTEx | DepMap | Descartes | 3.42 | 430.34 |
SFRP2 | 0.0005150 | 782 | GTEx | DepMap | Descartes | 3.67 | 183.91 |
SCARA5 | 0.0004488 | 897 | GTEx | DepMap | Descartes | 0.44 | 2.60 |
GLI2 | 0.0004398 | 913 | GTEx | DepMap | Descartes | 0.15 | 0.33 |
OGN | 0.0003274 | 1204 | GTEx | DepMap | Descartes | 2.00 | 54.23 |
PRRX1 | 0.0003219 | 1228 | GTEx | DepMap | Descartes | 0.92 | 6.16 |
COL1A2 | 0.0003170 | 1245 | GTEx | DepMap | Descartes | 54.12 | 377.68 |
PAMR1 | 0.0002713 | 1443 | GTEx | DepMap | Descartes | 0.23 | 1.14 |
PRICKLE1 | 0.0001979 | 1884 | GTEx | DepMap | Descartes | 0.21 | 0.45 |
LAMC3 | 0.0001837 | 1991 | GTEx | DepMap | Descartes | 0.23 | 1.12 |
C7 | 0.0001308 | 2494 | GTEx | DepMap | Descartes | 0.02 | 0.03 |
COL12A1 | 0.0001131 | 2744 | GTEx | DepMap | Descartes | 2.38 | 7.55 |
DKK2 | 0.0000172 | 5215 | GTEx | DepMap | Descartes | 0.25 | 1.68 |
ITGA11 | 0.0000126 | 5475 | GTEx | DepMap | Descartes | 0.00 | 0.00 |
PCDH18 | 0.0000112 | 5556 | GTEx | DepMap | Descartes | 0.13 | 2.82 |
SULT1E1 | 0.0000092 | 5689 | GTEx | DepMap | Descartes | 0.02 | 0.28 |
ABCC9 | -0.0000115 | 9431 | GTEx | DepMap | Descartes | 0.13 | 0.44 |
FREM1 | -0.0000211 | 11151 | GTEx | DepMap | Descartes | 0.00 | 0.00 |
Descartes sympathoblasts markers
Top 50 marker genes of sympathoblasts cells in the Decartes fetal adrenal single cell map (https://atlas.brotmanbaty.org/bbi/human-gene-expression-during-development/cell/sympathoblasts/in/adrenal)
Wilcoxon ranksum test P-value for gene set overrepresentation: 1.00e+00
Mean rank of genes in gene set: 14573.12
Median rank of genes in gene set: 14836.5
Rank on gene expression program of top 30 genes in gene set:
Genes | Weight | Rank | GTEx | DepMap | Descartes | Mean.Counts | Mean.TPM |
---|---|---|---|---|---|---|---|
ARC | 0.0003535 | 1127 | GTEx | DepMap | Descartes | 0.15 | 17.54 |
PACRG | 0.0000362 | 4473 | GTEx | DepMap | Descartes | 0.06 | 0.03 |
CDH18 | 0.0000185 | 5159 | GTEx | DepMap | Descartes | 0.00 | 0.00 |
PENK | 0.0000083 | 5752 | GTEx | DepMap | Descartes | 0.08 | 9.44 |
KCTD16 | -0.0000082 | 8622 | GTEx | DepMap | Descartes | 0.00 | 0.00 |
GRID2 | -0.0000139 | 9920 | GTEx | DepMap | Descartes | 0.04 | 0.01 |
LAMA3 | -0.0000178 | 10626 | GTEx | DepMap | Descartes | 0.10 | 0.11 |
GCH1 | -0.0000209 | 11124 | GTEx | DepMap | Descartes | 0.29 | 2.35 |
CNTN3 | -0.0000224 | 11311 | GTEx | DepMap | Descartes | 0.02 | 0.01 |
SLC35F3 | -0.0000282 | 12082 | GTEx | DepMap | Descartes | 0.00 | 0.00 |
CDH12 | -0.0000309 | 12370 | GTEx | DepMap | Descartes | 0.00 | 0.00 |
GRM7 | -0.0000334 | 12675 | GTEx | DepMap | Descartes | 0.00 | 0.00 |
TENM1 | -0.0000357 | 12940 | GTEx | DepMap | Descartes | 0.02 | 0.00 |
AGBL4 | -0.0000364 | 13015 | GTEx | DepMap | Descartes | 0.00 | 0.00 |
PNMT | -0.0000424 | 13674 | GTEx | DepMap | Descartes | 0.00 | 0.00 |
SORCS3 | -0.0000428 | 13719 | GTEx | DepMap | Descartes | 0.00 | 0.00 |
SLC24A2 | -0.0000436 | 13800 | GTEx | DepMap | Descartes | 0.00 | 0.00 |
TBX20 | -0.0000459 | 14065 | GTEx | DepMap | Descartes | 0.00 | 0.00 |
SPOCK3 | -0.0000484 | 14286 | GTEx | DepMap | Descartes | 0.04 | 0.02 |
SLC18A1 | -0.0000493 | 14371 | GTEx | DepMap | Descartes | 0.02 | 0.03 |
TMEM130 | -0.0000522 | 14633 | GTEx | DepMap | Descartes | 0.00 | 0.00 |
EML6 | -0.0000571 | 15040 | GTEx | DepMap | Descartes | 0.04 | 0.05 |
HTATSF1 | -0.0000714 | 16155 | GTEx | DepMap | Descartes | 0.56 | 10.92 |
TIAM1 | -0.0000735 | 16307 | GTEx | DepMap | Descartes | 0.63 | 0.32 |
FGF14 | -0.0000787 | 16640 | GTEx | DepMap | Descartes | 0.00 | 0.00 |
DGKK | -0.0000859 | 17073 | GTEx | DepMap | Descartes | 0.02 | 0.03 |
MGAT4C | -0.0000863 | 17102 | GTEx | DepMap | Descartes | 0.00 | 0.00 |
CCSER1 | -0.0000922 | 17474 | GTEx | DepMap | Descartes | 0.00 | 0.00 |
KSR2 | -0.0000946 | 17620 | GTEx | DepMap | Descartes | 0.00 | 0.00 |
ST18 | -0.0000988 | 17816 | GTEx | DepMap | Descartes | 0.02 | 0.02 |
Descartes erythroblasts markers
Top 50 marker genes of erythroblasts cells in the Decartes fetal adrenal single cell map (https://atlas.brotmanbaty.org/bbi/human-gene-expression-during-development/cell/erythroblasts/in/adrenal)
Wilcoxon ranksum test P-value for gene set overrepresentation: 1.08e-01
Mean rank of genes in gene set: 9210.94
Median rank of genes in gene set: 8366
Rank on gene expression program of top 30 genes in gene set:
Genes | Weight | Rank | GTEx | DepMap | Descartes | Mean.Counts | Mean.TPM |
---|---|---|---|---|---|---|---|
MICAL2 | 0.0008903 | 452 | GTEx | DepMap | Descartes | 0.90 | 1.44 |
FECH | 0.0002826 | 1382 | GTEx | DepMap | Descartes | 0.46 | 3.58 |
CR1L | 0.0002158 | 1750 | GTEx | DepMap | Descartes | 1.02 | 8.59 |
TSPAN5 | 0.0002086 | 1800 | GTEx | DepMap | Descartes | 0.77 | 1.23 |
GYPC | 0.0001944 | 1905 | GTEx | DepMap | Descartes | 0.10 | 0.65 |
TFR2 | 0.0001375 | 2421 | GTEx | DepMap | Descartes | 0.04 | 0.66 |
SPECC1 | 0.0001284 | 2526 | GTEx | DepMap | Descartes | 0.37 | 0.29 |
TRAK2 | 0.0001150 | 2713 | GTEx | DepMap | Descartes | 0.40 | 1.99 |
BLVRB | 0.0001066 | 2851 | GTEx | DepMap | Descartes | 1.69 | 26.79 |
CAT | 0.0000927 | 3070 | GTEx | DepMap | Descartes | 0.73 | 8.90 |
MARCH3 | 0.0000782 | 3325 | GTEx | DepMap | Descartes | 0.04 | 0.09 |
SOX6 | 0.0000764 | 3360 | GTEx | DepMap | Descartes | 0.25 | 0.09 |
ANK1 | 0.0000408 | 4326 | GTEx | DepMap | Descartes | 0.04 | 0.04 |
ALAS2 | 0.0000274 | 4767 | GTEx | DepMap | Descartes | 0.15 | 2.17 |
SPTA1 | 0.0000208 | 5050 | GTEx | DepMap | Descartes | 0.00 | 0.00 |
EPB42 | -0.0000050 | 7712 | GTEx | DepMap | Descartes | 0.00 | 0.00 |
SLC4A1 | -0.0000068 | 8285 | GTEx | DepMap | Descartes | 0.00 | 0.00 |
GYPA | -0.0000072 | 8366 | GTEx | DepMap | Descartes | 0.00 | 0.00 |
HEMGN | -0.0000086 | 8736 | GTEx | DepMap | Descartes | 0.00 | 0.00 |
RHD | -0.0000092 | 8891 | GTEx | DepMap | Descartes | 0.00 | 0.00 |
SELENBP1 | -0.0000169 | 10477 | GTEx | DepMap | Descartes | 0.38 | 10.93 |
SLC25A21 | -0.0000294 | 12204 | GTEx | DepMap | Descartes | 0.00 | 0.00 |
RGS6 | -0.0000299 | 12265 | GTEx | DepMap | Descartes | 0.00 | 0.00 |
ABCB10 | -0.0000340 | 12720 | GTEx | DepMap | Descartes | 0.21 | 1.59 |
RAPGEF2 | -0.0000357 | 12932 | GTEx | DepMap | Descartes | 0.35 | 0.51 |
DENND4A | -0.0000432 | 13770 | GTEx | DepMap | Descartes | 0.19 | 0.98 |
TMEM56 | -0.0000540 | 14773 | GTEx | DepMap | Descartes | 0.02 | 0.12 |
XPO7 | -0.0000784 | 16626 | GTEx | DepMap | Descartes | 0.40 | 0.92 |
SPTB | -0.0001059 | 18158 | GTEx | DepMap | Descartes | 0.02 | 0.08 |
TMCC2 | -0.0001092 | 18301 | GTEx | DepMap | Descartes | 0.06 | 0.95 |
Descartes myeloid markers
Top 50 marker genes of myeloid cells in the Decartes fetal adrenal single cell map (https://atlas.brotmanbaty.org/bbi/human-gene-expression-during-development/cell/myeloid/in/adrenal)
Wilcoxon ranksum test P-value for gene set overrepresentation: 6.16e-01
Mean rank of genes in gene set: 10741.62
Median rank of genes in gene set: 12540
Rank on gene expression program of top 30 genes in gene set:
Genes | Weight | Rank | GTEx | DepMap | Descartes | Mean.Counts | Mean.TPM |
---|---|---|---|---|---|---|---|
AXL | 0.0004384 | 916 | GTEx | DepMap | Descartes | 1.69 | 13.76 |
HRH1 | 0.0004369 | 918 | GTEx | DepMap | Descartes | 0.04 | 0.15 |
CST3 | 0.0004045 | 985 | GTEx | DepMap | Descartes | 21.56 | 1498.98 |
FMN1 | 0.0002341 | 1633 | GTEx | DepMap | Descartes | 0.27 | 0.19 |
CD74 | 0.0001374 | 2423 | GTEx | DepMap | Descartes | 7.96 | 390.19 |
IFNGR1 | 0.0001305 | 2500 | GTEx | DepMap | Descartes | 0.88 | 20.80 |
ABCA1 | 0.0001042 | 2897 | GTEx | DepMap | Descartes | 1.08 | 2.69 |
CD14 | 0.0000575 | 3835 | GTEx | DepMap | Descartes | 0.85 | 130.01 |
CSF1R | 0.0000454 | 4165 | GTEx | DepMap | Descartes | 0.62 | 4.26 |
TGFBI | 0.0000185 | 5150 | GTEx | DepMap | Descartes | 0.73 | 8.51 |
WWP1 | 0.0000160 | 5270 | GTEx | DepMap | Descartes | 0.69 | 1.76 |
ITPR2 | 0.0000160 | 5273 | GTEx | DepMap | Descartes | 0.33 | 0.17 |
LGMN | 0.0000092 | 5685 | GTEx | DepMap | Descartes | 4.10 | 23.20 |
CTSB | 0.0000090 | 5699 | GTEx | DepMap | Descartes | 14.96 | 169.09 |
VSIG4 | 0.0000010 | 6388 | GTEx | DepMap | Descartes | 0.71 | 4.71 |
MERTK | -0.0000022 | 6898 | GTEx | DepMap | Descartes | 0.10 | 0.20 |
CTSD | -0.0000067 | 8266 | GTEx | DepMap | Descartes | 19.23 | 444.41 |
ATP8B4 | -0.0000068 | 8288 | GTEx | DepMap | Descartes | 0.00 | 0.00 |
MS4A7 | -0.0000083 | 8650 | GTEx | DepMap | Descartes | 0.60 | 11.36 |
CPVL | -0.0000160 | 10325 | GTEx | DepMap | Descartes | 0.00 | 0.00 |
PTPRE | -0.0000254 | 11699 | GTEx | DepMap | Descartes | 0.19 | 0.35 |
CD163L1 | -0.0000308 | 12356 | GTEx | DepMap | Descartes | 0.04 | 3.22 |
MSR1 | -0.0000323 | 12540 | GTEx | DepMap | Descartes | 0.46 | 1.91 |
RBPJ | -0.0000342 | 12749 | GTEx | DepMap | Descartes | 1.13 | 1.86 |
CD163 | -0.0000343 | 12766 | GTEx | DepMap | Descartes | 0.00 | 0.00 |
MARCH1 | -0.0000402 | 13428 | GTEx | DepMap | Descartes | 0.06 | 0.04 |
HCK | -0.0000415 | 13562 | GTEx | DepMap | Descartes | 0.04 | 0.61 |
C1QC | -0.0000461 | 14080 | GTEx | DepMap | Descartes | 6.23 | 468.17 |
MS4A4A | -0.0000471 | 14178 | GTEx | DepMap | Descartes | 0.02 | 0.21 |
SFMBT2 | -0.0000478 | 14242 | GTEx | DepMap | Descartes | 0.02 | 0.01 |
Descartes Schwann markers
Top 50 marker genes of Schwann cells in the Decartes fetal adrenal single cell map (https://atlas.brotmanbaty.org/bbi/human-gene-expression-during-development/cell/schwann/in/adrenal)
Wilcoxon ranksum test P-value for gene set overrepresentation: 2.05e-01
Mean rank of genes in gene set: 9748.64
Median rank of genes in gene set: 12403
Rank on gene expression program of top 30 genes in gene set:
Genes | Weight | Rank | GTEx | DepMap | Descartes | Mean.Counts | Mean.TPM |
---|---|---|---|---|---|---|---|
IL1RAPL1 | 0.0016555 | 209 | GTEx | DepMap | Descartes | 0.12 | 0.02 |
VIM | 0.0014803 | 249 | GTEx | DepMap | Descartes | 41.25 | 1479.80 |
COL5A2 | 0.0013876 | 271 | GTEx | DepMap | Descartes | 10.02 | 21.49 |
PLCE1 | 0.0009414 | 425 | GTEx | DepMap | Descartes | 0.71 | 0.61 |
LAMA4 | 0.0006818 | 602 | GTEx | DepMap | Descartes | 1.65 | 3.69 |
ADAMTS5 | 0.0006634 | 612 | GTEx | DepMap | Descartes | 2.67 | 24.06 |
VCAN | 0.0005583 | 734 | GTEx | DepMap | Descartes | 2.54 | 8.47 |
LAMC1 | 0.0005397 | 751 | GTEx | DepMap | Descartes | 1.75 | 5.48 |
COL18A1 | 0.0003568 | 1114 | GTEx | DepMap | Descartes | 3.38 | 7.96 |
PAG1 | 0.0001145 | 2717 | GTEx | DepMap | Descartes | 0.29 | 0.88 |
GAS7 | 0.0000627 | 3714 | GTEx | DepMap | Descartes | 0.58 | 0.80 |
SOX5 | 0.0000607 | 3756 | GTEx | DepMap | Descartes | 0.17 | 0.05 |
STARD13 | 0.0000587 | 3806 | GTEx | DepMap | Descartes | 0.27 | 0.33 |
PMP22 | 0.0000577 | 3828 | GTEx | DepMap | Descartes | 1.79 | 19.86 |
TRPM3 | 0.0000444 | 4210 | GTEx | DepMap | Descartes | 0.06 | 0.01 |
FAM134B | 0.0000270 | 4781 | GTEx | DepMap | Descartes | 0.35 | NA |
HMGA2 | 0.0000157 | 5291 | GTEx | DepMap | Descartes | 0.00 | 0.00 |
KCTD12 | 0.0000138 | 5400 | GTEx | DepMap | Descartes | 0.44 | 21.81 |
OLFML2A | 0.0000126 | 5477 | GTEx | DepMap | Descartes | 0.35 | 3.36 |
IL1RAPL2 | 0.0000011 | 6382 | GTEx | DepMap | Descartes | 0.00 | 0.00 |
EGFLAM | 0.0000001 | 6491 | GTEx | DepMap | Descartes | 0.02 | 0.02 |
CDH19 | -0.0000168 | 10455 | GTEx | DepMap | Descartes | 0.02 | 0.05 |
SLC35F1 | -0.0000278 | 12015 | GTEx | DepMap | Descartes | 0.02 | 0.01 |
SCN7A | -0.0000312 | 12403 | GTEx | DepMap | Descartes | 0.44 | 1.83 |
SORCS1 | -0.0000313 | 12421 | GTEx | DepMap | Descartes | 0.04 | 0.02 |
ERBB3 | -0.0000315 | 12436 | GTEx | DepMap | Descartes | 0.17 | 1.39 |
ERBB4 | -0.0000318 | 12480 | GTEx | DepMap | Descartes | 0.02 | 0.00 |
GRIK3 | -0.0000402 | 13431 | GTEx | DepMap | Descartes | 0.00 | 0.00 |
SOX10 | -0.0000419 | 13615 | GTEx | DepMap | Descartes | 0.04 | 0.92 |
NRXN3 | -0.0000423 | 13654 | GTEx | DepMap | Descartes | 0.02 | 0.00 |
Descartes Megakaryocytes markers
Top 50 marker genes of Megakaryocytes cells in the Decartes fetal adrenal single cell map (https://atlas.brotmanbaty.org/bbi/human-gene-expression-during-development/cell/megakaryocytes/in/adrenal)
Wilcoxon ranksum test P-value for gene set overrepresentation: 7.05e-02
Mean rank of genes in gene set: 9205.08
Median rank of genes in gene set: 9317
Rank on gene expression program of top 30 genes in gene set:
Genes | Weight | Rank | GTEx | DepMap | Descartes | Mean.Counts | Mean.TPM |
---|---|---|---|---|---|---|---|
CD9 | 0.0007458 | 549 | GTEx | DepMap | Descartes | 7.25 | 68.11 |
RAB27B | 0.0005721 | 721 | GTEx | DepMap | Descartes | 0.77 | 0.79 |
TMSB4X | 0.0005717 | 722 | GTEx | DepMap | Descartes | 199.60 | 23312.90 |
ACTN1 | 0.0004606 | 874 | GTEx | DepMap | Descartes | 2.60 | 7.10 |
GSN | 0.0004435 | 911 | GTEx | DepMap | Descartes | 6.56 | 60.13 |
STOM | 0.0003904 | 1019 | GTEx | DepMap | Descartes | 0.65 | 7.36 |
FLNA | 0.0003677 | 1084 | GTEx | DepMap | Descartes | 3.38 | 37.27 |
TPM4 | 0.0003344 | 1176 | GTEx | DepMap | Descartes | 4.92 | 60.19 |
ITGB3 | 0.0002842 | 1376 | GTEx | DepMap | Descartes | 0.23 | 0.99 |
ITGA2B | 0.0002754 | 1414 | GTEx | DepMap | Descartes | 0.23 | 3.18 |
VCL | 0.0002718 | 1439 | GTEx | DepMap | Descartes | 1.48 | 3.82 |
ZYX | 0.0002438 | 1574 | GTEx | DepMap | Descartes | 1.92 | 67.95 |
LIMS1 | 0.0002418 | 1589 | GTEx | DepMap | Descartes | 1.81 | 5.08 |
MYH9 | 0.0002071 | 1819 | GTEx | DepMap | Descartes | 3.50 | 13.74 |
TLN1 | 0.0001254 | 2568 | GTEx | DepMap | Descartes | 2.29 | 18.04 |
LTBP1 | 0.0001183 | 2667 | GTEx | DepMap | Descartes | 0.52 | 0.51 |
ARHGAP6 | 0.0000332 | 4566 | GTEx | DepMap | Descartes | 0.23 | 0.18 |
MYLK | 0.0000289 | 4722 | GTEx | DepMap | Descartes | 0.67 | 0.71 |
TRPC6 | 0.0000209 | 5049 | GTEx | DepMap | Descartes | 0.08 | 0.12 |
STON2 | 0.0000159 | 5280 | GTEx | DepMap | Descartes | 0.04 | 0.14 |
GP1BA | 0.0000140 | 5396 | GTEx | DepMap | Descartes | 0.00 | 0.00 |
TGFB1 | 0.0000069 | 5857 | GTEx | DepMap | Descartes | 0.83 | 12.62 |
TUBB1 | -0.0000043 | 7534 | GTEx | DepMap | Descartes | 0.00 | 0.00 |
BIN2 | -0.0000108 | 9280 | GTEx | DepMap | Descartes | 0.08 | 1.82 |
ANGPT1 | -0.0000110 | 9317 | GTEx | DepMap | Descartes | 0.04 | 0.08 |
SLC24A3 | -0.0000181 | 10681 | GTEx | DepMap | Descartes | 0.00 | 0.00 |
SPN | -0.0000229 | 11388 | GTEx | DepMap | Descartes | 0.02 | 0.92 |
PSTPIP2 | -0.0000242 | 11552 | GTEx | DepMap | Descartes | 0.06 | 0.09 |
GP9 | -0.0000296 | 12236 | GTEx | DepMap | Descartes | 0.00 | 0.00 |
MCTP1 | -0.0000319 | 12495 | GTEx | DepMap | Descartes | 0.02 | 0.05 |
Descartes Lyphoid markers
Top 50 marker genes of Lyphoid cells in the Decartes fetal adrenal single cell map (https://atlas.brotmanbaty.org/bbi/human-gene-expression-during-development/cell/lymphoid/in/adrenal)
Wilcoxon ranksum test P-value for gene set overrepresentation: 4.88e-01
Mean rank of genes in gene set: 10447.95
Median rank of genes in gene set: 11837
Rank on gene expression program of top 30 genes in gene set:
Genes | Weight | Rank | GTEx | DepMap | Descartes | Mean.Counts | Mean.TPM |
---|---|---|---|---|---|---|---|
B2M | 0.0016973 | 200 | GTEx | DepMap | Descartes | 19.48 | 883.82 |
CD44 | 0.0004174 | 959 | GTEx | DepMap | Descartes | 2.21 | 7.17 |
CELF2 | 0.0003917 | 1016 | GTEx | DepMap | Descartes | 1.46 | 0.45 |
CCND3 | 0.0002962 | 1327 | GTEx | DepMap | Descartes | 1.06 | 3.30 |
MSN | 0.0002246 | 1687 | GTEx | DepMap | Descartes | 3.87 | 17.26 |
PDE3B | 0.0002028 | 1847 | GTEx | DepMap | Descartes | 0.33 | 0.91 |
SP100 | 0.0001945 | 1904 | GTEx | DepMap | Descartes | 0.83 | 4.36 |
ARID5B | 0.0001316 | 2479 | GTEx | DepMap | Descartes | 0.92 | 1.32 |
ARHGDIB | 0.0001279 | 2532 | GTEx | DepMap | Descartes | 1.88 | 33.37 |
RCSD1 | 0.0000870 | 3167 | GTEx | DepMap | Descartes | 0.19 | 1.02 |
WIPF1 | 0.0000642 | 3676 | GTEx | DepMap | Descartes | 0.37 | 1.76 |
MBNL1 | 0.0000334 | 4557 | GTEx | DepMap | Descartes | 2.44 | 5.17 |
SAMD3 | 0.0000231 | 4949 | GTEx | DepMap | Descartes | 0.00 | 0.00 |
CCL5 | 0.0000071 | 5842 | GTEx | DepMap | Descartes | 0.02 | 1.01 |
MCTP2 | 0.0000029 | 6184 | GTEx | DepMap | Descartes | 0.12 | 0.22 |
SORL1 | 0.0000024 | 6259 | GTEx | DepMap | Descartes | 0.23 | 0.82 |
STK39 | 0.0000004 | 6466 | GTEx | DepMap | Descartes | 0.67 | 0.58 |
NKG7 | -0.0000008 | 6616 | GTEx | DepMap | Descartes | 0.00 | 0.00 |
ITPKB | -0.0000040 | 7417 | GTEx | DepMap | Descartes | 0.40 | 1.89 |
PLEKHA2 | -0.0000045 | 7569 | GTEx | DepMap | Descartes | 0.23 | 0.88 |
ABLIM1 | -0.0000190 | 10852 | GTEx | DepMap | Descartes | 1.37 | 1.16 |
ANKRD44 | -0.0000226 | 11339 | GTEx | DepMap | Descartes | 0.31 | 0.52 |
SKAP1 | -0.0000306 | 12335 | GTEx | DepMap | Descartes | 0.02 | 0.01 |
FOXP1 | -0.0000309 | 12368 | GTEx | DepMap | Descartes | 2.02 | 1.19 |
IKZF1 | -0.0000345 | 12780 | GTEx | DepMap | Descartes | 0.15 | 1.14 |
RAP1GAP2 | -0.0000462 | 14098 | GTEx | DepMap | Descartes | 0.04 | 0.08 |
ARHGAP15 | -0.0000484 | 14293 | GTEx | DepMap | Descartes | 0.04 | 0.02 |
PTPRC | -0.0000486 | 14304 | GTEx | DepMap | Descartes | 0.29 | 1.44 |
BCL2 | -0.0000535 | 14741 | GTEx | DepMap | Descartes | 0.17 | 0.26 |
FAM65B | -0.0000553 | 14874 | GTEx | DepMap | Descartes | 0.12 | NA |
Below shows the ranks on this GEP for immune marker gene lists curated by CellTypist (https://www.celltypist.org/encyclopedia).
High ranks indicate this gene is a driver of this GEP.
These curated gene list are ranked by P-value (on this GEP) of their constituent genes.
The Mean Count column shows the mean read count in cells scoring highly (H > 50) on this gene expression program.
Genes | Weight | Rank | GTEx | DepMap | Decartes | Mean.Counts | Mean.TPM |
---|---|---|---|---|---|---|---|
CD34 | 0.0018520 | 177 | GTEx | DepMap | Descartes | 3.08 | 46.19 |
SPINK2 | 0.0007694 | 527 | GTEx | DepMap | Descartes | 0.12 | 4.59 |
ACY3 | 0.0002831 | 1381 | GTEx | DepMap | Descartes | 0.17 | 12.23 |
T cells: Type 17 helper T cells (model markers)
CD4+ helper T lymphocyte subpopulation which is capable of producing interleukin 17 (IL-17) and mediating protective immunity and autoimmunity:
Wilcoxon ranksum test P-value for gene set overrepresentation: 1.71e-02
Mean rank of genes in gene set: 3084.33
Rank on gene expression program of genes in gene set:
Genes | Weight | Rank | GTEx | DepMap | Decartes | Mean.Counts | Mean.TPM |
---|---|---|---|---|---|---|---|
S100A4 | 0.0028817 | 109 | GTEx | DepMap | Descartes | 11.50 | 1697.55 |
ANXA1 | 0.0018472 | 179 | GTEx | DepMap | Descartes | 17.27 | 234.34 |
KLRB1 | -0.0000095 | 8965 | GTEx | DepMap | Descartes | 0.00 | 0.00 |
HSC/MPP: HSC/MPP (curated markers)
hematopoietic stem cells and multipotent progenitor cells with the potential of differentiating into different blood cells:
Wilcoxon ranksum test P-value for gene set overrepresentation: 1.81e-02
Mean rank of genes in gene set: 3165
Rank on gene expression program of genes in gene set:
Genes | Weight | Rank | GTEx | DepMap | Decartes | Mean.Counts | Mean.TPM |
---|---|---|---|---|---|---|---|
CD34 | 0.0018520 | 177 | GTEx | DepMap | Descartes | 3.08 | 46.19 |
SPINK2 | 0.0007694 | 527 | GTEx | DepMap | Descartes | 0.12 | 4.59 |
CRHBP | -0.0000088 | 8791 | GTEx | DepMap | Descartes | 0.00 | 0.00 |