Program description and justification of annotation: 11.
Submit a comment on this gene expression program’s interpretation: CLICK
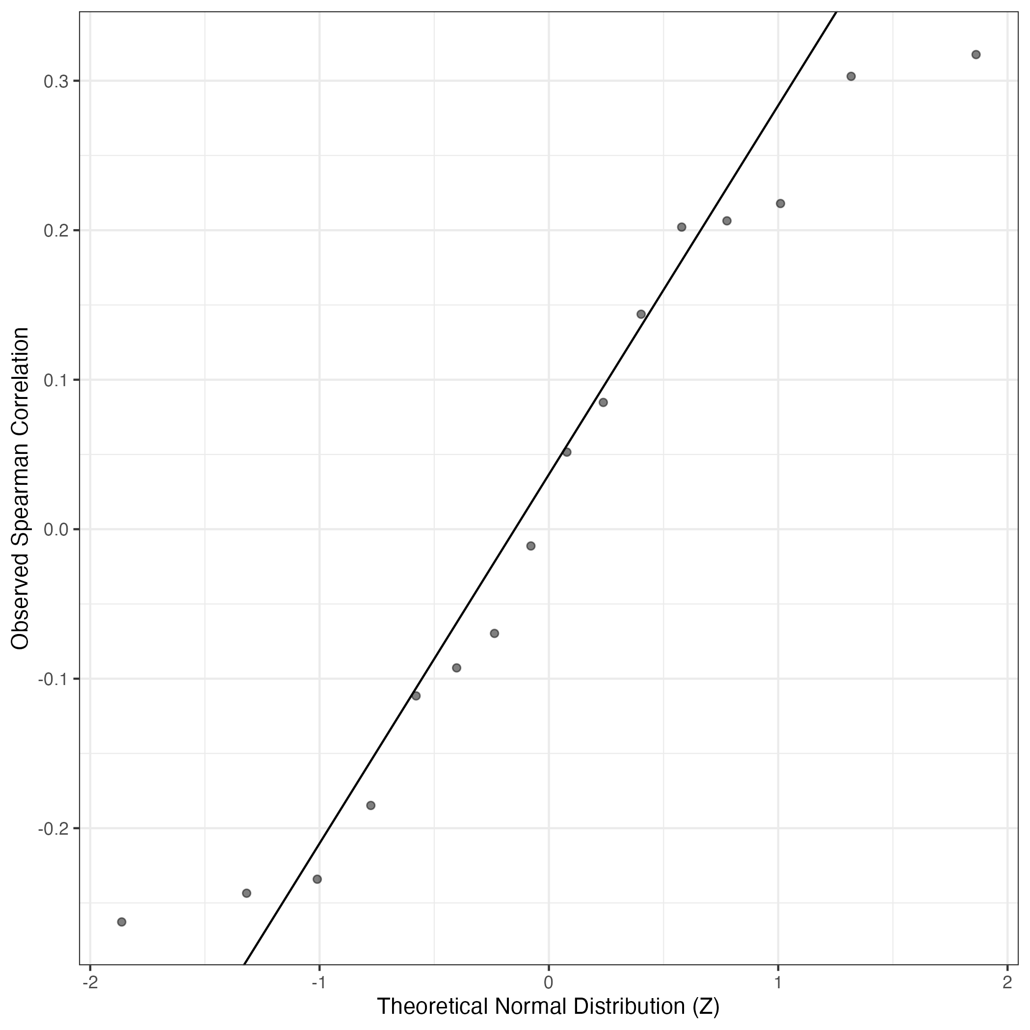
QQ-plot of gene loadings, averaged over both independent splits of the data
This plot highlights the relative contribution of each gene to the GEP
Top genes driving this program.
Note: Decartes website is buggy, try refreshing. Also, Decartes fetal adrenal data have been collected at specific time points (89-122 days), all possible cell types of interest may not be represented, do not overinterpret.
The Mean Count column shows the mean read count in cells scoring highly (H > 50) on this gene expression program.
Gene | Loading | Gene.Name | GTEx | DepMap | Descartes | Mean.Counts | Mean.Tpm | |
---|---|---|---|---|---|---|---|---|
1 | CD36 | 0.0278383 | CD36 molecule | GTEx | DepMap | Descartes | 21.19 | 169.98 |
2 | S100A13 | 0.0272199 | S100 calcium binding protein A13 | GTEx | DepMap | Descartes | 34.00 | 758.66 |
3 | RARRES2 | 0.0253968 | retinoic acid receptor responder 2 | GTEx | DepMap | Descartes | 30.42 | 792.15 |
4 | YBX3 | 0.0252027 | Y-box binding protein 3 | GTEx | DepMap | Descartes | 9.46 | NA |
5 | LPIN1 | 0.0238844 | lipin 1 | GTEx | DepMap | Descartes | 34.79 | 286.80 |
6 | NPW | 0.0231536 | neuropeptide W | GTEx | DepMap | Descartes | 24.84 | 1559.43 |
7 | NME2 | 0.0208769 | NME/NM23 nucleoside diphosphate kinase 2 | GTEx | DepMap | Descartes | 331.52 | 18232.87 |
8 | FES | 0.0202837 | FES proto-oncogene, tyrosine kinase | GTEx | DepMap | Descartes | 4.85 | 85.80 |
9 | EPHA3 | 0.0191305 | EPH receptor A3 | GTEx | DepMap | Descartes | 1.92 | 16.59 |
10 | TRIB2 | 0.0189098 | tribbles pseudokinase 2 | GTEx | DepMap | Descartes | 19.72 | 213.39 |
11 | EMP3 | 0.0187550 | epithelial membrane protein 3 | GTEx | DepMap | Descartes | 25.27 | 1586.21 |
12 | KRT8 | 0.0187059 | keratin 8 | GTEx | DepMap | Descartes | 12.56 | 215.51 |
13 | SLITRK6 | 0.0182767 | SLIT and NTRK like family member 6 | GTEx | DepMap | Descartes | 10.67 | 126.34 |
14 | EN1 | 0.0178658 | engrailed homeobox 1 | GTEx | DepMap | Descartes | 1.38 | 27.92 |
15 | ANXA1 | 0.0178427 | annexin A1 | GTEx | DepMap | Descartes | 26.67 | 592.45 |
16 | TPM2 | 0.0177042 | tropomyosin 2 | GTEx | DepMap | Descartes | 15.35 | 467.32 |
17 | LGALS3 | 0.0173899 | galectin 3 | GTEx | DepMap | Descartes | 16.54 | 450.59 |
18 | COL18A1 | 0.0168024 | collagen type XVIII alpha 1 chain | GTEx | DepMap | Descartes | 5.85 | 43.46 |
19 | S100A10 | 0.0166847 | S100 calcium binding protein A10 | GTEx | DepMap | Descartes | 70.26 | 5027.59 |
20 | NQO1 | 0.0162630 | NAD(P)H quinone dehydrogenase 1 | GTEx | DepMap | Descartes | 15.81 | 311.21 |
21 | TRIP6 | 0.0161899 | thyroid hormone receptor interactor 6 | GTEx | DepMap | Descartes | 4.02 | 113.19 |
22 | RAB34 | 0.0160664 | RAB34, member RAS oncogene family | GTEx | DepMap | Descartes | 8.29 | 226.06 |
23 | DUSP2 | 0.0158725 | dual specificity phosphatase 2 | GTEx | DepMap | Descartes | 4.15 | 120.39 |
24 | SCN9A | 0.0157829 | sodium voltage-gated channel alpha subunit 9 | GTEx | DepMap | Descartes | 12.53 | 62.73 |
25 | PAWR | 0.0156573 | pro-apoptotic WT1 regulator | GTEx | DepMap | Descartes | 8.55 | 46.29 |
26 | HSD17B1 | 0.0156024 | hydroxysteroid 17-beta dehydrogenase 1 | GTEx | DepMap | Descartes | 4.93 | 46.97 |
27 | NME1 | 0.0154603 | NME/NM23 nucleoside diphosphate kinase 1 | GTEx | DepMap | Descartes | 98.44 | 2860.34 |
28 | S100A6 | 0.0152567 | S100 calcium binding protein A6 | GTEx | DepMap | Descartes | 121.99 | 8749.79 |
29 | LUM | 0.0150340 | lumican | GTEx | DepMap | Descartes | 16.74 | 301.05 |
30 | PCSK1N | 0.0149406 | proprotein convertase subtilisin/kexin type 1 inhibitor | GTEx | DepMap | Descartes | 31.41 | 1523.54 |
31 | CDC42EP1 | 0.0143802 | CDC42 effector protein 1 | GTEx | DepMap | Descartes | 1.86 | 41.03 |
32 | TNNC1 | 0.0142529 | troponin C1, slow skeletal and cardiac type | GTEx | DepMap | Descartes | 1.58 | 107.97 |
33 | PSMB10 | 0.0142413 | proteasome 20S subunit beta 10 | GTEx | DepMap | Descartes | 8.24 | 396.36 |
34 | DAB2 | 0.0139277 | DAB adaptor protein 2 | GTEx | DepMap | Descartes | 1.05 | 10.99 |
35 | COL12A1 | 0.0137447 | collagen type XII alpha 1 chain | GTEx | DepMap | Descartes | 1.78 | 7.69 |
36 | MKX | 0.0135943 | mohawk homeobox | GTEx | DepMap | Descartes | 0.55 | 7.17 |
37 | ACTG1 | 0.0134903 | actin gamma 1 | GTEx | DepMap | Descartes | 159.06 | 3448.47 |
38 | GPR183 | 0.0134778 | G protein-coupled receptor 183 | GTEx | DepMap | Descartes | 1.80 | 54.91 |
39 | SNCG | 0.0134270 | synuclein gamma | GTEx | DepMap | Descartes | 5.15 | 305.06 |
40 | EIF1 | 0.0134169 | eukaryotic translation initiation factor 1 | GTEx | DepMap | Descartes | 104.76 | 2171.04 |
41 | PPIB | 0.0131359 | peptidylprolyl isomerase B | GTEx | DepMap | Descartes | 57.68 | 2360.28 |
42 | TSPO | 0.0129443 | translocator protein | GTEx | DepMap | Descartes | 23.47 | 1054.94 |
43 | MGST1 | 0.0129155 | microsomal glutathione S-transferase 1 | GTEx | DepMap | Descartes | 5.78 | 128.09 |
44 | ABCC3 | 0.0128738 | ATP binding cassette subfamily C member 3 | GTEx | DepMap | Descartes | 3.41 | 30.42 |
45 | CTSC | 0.0127928 | cathepsin C | GTEx | DepMap | Descartes | 14.46 | 114.00 |
46 | B2M | 0.0127799 | beta-2-microglobulin | GTEx | DepMap | Descartes | 60.51 | 1228.92 |
47 | TMEM47 | 0.0127327 | transmembrane protein 47 | GTEx | DepMap | Descartes | 0.65 | 7.99 |
48 | TRIM58 | 0.0127079 | tripartite motif containing 58 | GTEx | DepMap | Descartes | 1.66 | 15.86 |
49 | TNFRSF12A | 0.0126177 | TNF receptor superfamily member 12A | GTEx | DepMap | Descartes | 13.68 | 383.33 |
50 | DSTN | 0.0124327 | destrin, actin depolymerizing factor | GTEx | DepMap | Descartes | 35.55 | 510.24 |
UMAP plots showing activity of gene expression program identified in community:11. NB Cell Line #11 (CHP212)
CNV Data procured from inferCNV.
Outer tracks are putative CNV regions (gains = red, losses = blue) for each patient
Inner track is expression data representing:
The top cells expressing this GEP (purple)
Random cells (n =50) from the reference set used in inferCNV (orange)
Gene set Enrichments for this program, caculated from top 50 genes
mSigDB Cell Types Gene Set:
P-value | OR | Lower 95% CI | FDR | FWER | Genes Found | Gene Set Size | |
---|---|---|---|---|---|---|---|
AIZARANI_LIVER_C24_EPCAM_POS_BILE_DUCT_CELLS_3 | 2.04e-09 | 17.85 | 7.83 | 1.37e-06 | 1.37e-06 | 10KRT8, LGALS3, S100A10, NQO1, S100A6, CDC42EP1, ACTG1, TSPO, TNFRSF12A, DSTN |
185 |
RUBENSTEIN_SKELETAL_MUSCLE_FAP_CELLS | 2.68e-08 | 16.14 | 6.79 | 6.01e-06 | 1.80e-05 | 9S100A13, EMP3, ANXA1, S100A10, S100A6, LUM, DAB2, PPIB, MGST1 |
179 |
RUBENSTEIN_SKELETAL_MUSCLE_FBN1_FAP_CELLS | 1.07e-08 | 12.68 | 5.80 | 3.57e-06 | 7.15e-06 | 11S100A13, YBX3, EMP3, ANXA1, S100A10, S100A6, DAB2, COL12A1, ACTG1, EIF1, MGST1 |
289 |
HU_FETAL_RETINA_BLOOD | 1.06e-07 | 11.49 | 5.07 | 1.78e-05 | 7.11e-05 | 10CD36, YBX3, EMP3, ANXA1, S100A6, CDC42EP1, EIF1, MGST1, CTSC, B2M |
282 |
FAN_OVARY_CL12_T_LYMPHOCYTE_NK_CELL_2 | 2.90e-06 | 13.21 | 4.94 | 2.16e-04 | 1.95e-03 | 7EMP3, ANXA1, DUSP2, S100A6, GPR183, EIF1, B2M |
161 |
TRAVAGLINI_LUNG_ADVENTITIAL_FIBROBLAST_CELL | 1.65e-07 | 10.93 | 4.82 | 2.07e-05 | 1.11e-04 | 10S100A13, YBX3, ANXA1, LGALS3, S100A10, S100A6, LUM, DAB2, MGST1, TNFRSF12A |
296 |
MENON_FETAL_KIDNEY_6_COLLECTING_DUCT_CELLS | 3.32e-05 | 15.60 | 4.72 | 1.06e-03 | 2.23e-02 | 5KRT8, S100A10, S100A6, EIF1, B2M |
94 |
AIZARANI_LIVER_C7_EPCAM_POS_BILE_DUCT_CELLS_2 | 1.90e-06 | 11.28 | 4.52 | 1.60e-04 | 1.28e-03 | 8KRT8, PAWR, S100A6, CDC42EP1, ACTG1, ABCC3, TNFRSF12A, DSTN |
219 |
CUI_DEVELOPING_HEART_COMPACT_VENTRICULAR_CARDIOMYOCYTE | 1.24e-04 | 17.81 | 4.52 | 2.66e-03 | 8.31e-02 | 4LGALS3, LUM, COL12A1, TSPO |
65 |
TRAVAGLINI_LUNG_MYOFIBROBLAST_CELL | 1.24e-04 | 17.81 | 4.52 | 2.66e-03 | 8.31e-02 | 4SLITRK6, S100A10, PCSK1N, COL12A1 |
65 |
BUSSLINGER_GASTRIC_METALLOTHIONEIN_CELLS | 4.46e-05 | 14.61 | 4.43 | 1.20e-03 | 2.99e-02 | 5KRT8, LGALS3, NQO1, TSPO, ABCC3 |
100 |
ZHENG_CORD_BLOOD_C9_GRANULOCYTE_MACROPHAGE_PROGENITOR | 4.46e-05 | 14.61 | 4.43 | 1.20e-03 | 2.99e-02 | 5ANXA1, S100A10, ACTG1, B2M, DSTN |
100 |
HU_FETAL_RETINA_FIBROBLAST | 1.85e-07 | 9.43 | 4.32 | 2.07e-05 | 1.24e-04 | 11S100A13, EPHA3, EMP3, TPM2, S100A10, RAB34, LUM, CDC42EP1, DAB2, CTSC, B2M |
385 |
TRAVAGLINI_LUNG_BASAL_CELL | 7.97e-06 | 11.24 | 4.21 | 4.26e-04 | 5.35e-03 | 7YBX3, EMP3, TPM2, RAB34, ACTG1, SNCG, EIF1 |
188 |
FAN_EMBRYONIC_CTX_BIG_GROUPS_BRAIN_IMMUNE | 2.36e-05 | 12.00 | 4.11 | 8.33e-04 | 1.58e-02 | 6EMP3, ANXA1, S100A10, DUSP2, S100A6, B2M |
148 |
TRAVAGLINI_LUNG_LYMPHATIC_CELL | 1.57e-05 | 10.07 | 3.78 | 6.21e-04 | 1.06e-02 | 7RARRES2, LGALS3, S100A10, TRIP6, SCN9A, SNCG, MGST1 |
209 |
BUSSLINGER_GASTRIC_IMMATURE_PIT_CELLS | 4.32e-05 | 10.72 | 3.68 | 1.20e-03 | 2.90e-02 | 6KRT8, LGALS3, NQO1, S100A6, ACTG1, ABCC3 |
165 |
LAKE_ADULT_KIDNEY_C9_THIN_ASCENDING_LIMB | 8.26e-06 | 9.16 | 3.68 | 4.26e-04 | 5.54e-03 | 8RARRES2, S100A10, S100A6, ACTG1, EIF1, PPIB, B2M, DSTN |
268 |
LAKE_ADULT_KIDNEY_C8_DECENDING_THIN_LIMB | 1.07e-05 | 8.82 | 3.54 | 5.14e-04 | 7.20e-03 | 8KRT8, S100A10, S100A6, ACTG1, EIF1, PPIB, B2M, DSTN |
278 |
FAN_EMBRYONIC_CTX_NSC_1 | 2.28e-03 | 32.49 | 3.53 | 2.25e-02 | 1.00e+00 | 2RARRES2, NME1 |
18 |
Dowload full table
mSigDB Hallmark Gene Sets:
P-value | OR | Lower 95% CI | FDR | FWER | Genes Found | Gene Set Size | |
---|---|---|---|---|---|---|---|
HALLMARK_EPITHELIAL_MESENCHYMAL_TRANSITION | 1.19e-05 | 10.54 | 3.95 | 5.94e-04 | 5.94e-04 | 7EMP3, TPM2, LUM, DAB2, COL12A1, PPIB, TNFRSF12A |
200 |
HALLMARK_REACTIVE_OXYGEN_SPECIES_PATHWAY | 9.53e-04 | 17.32 | 3.33 | 1.35e-02 | 4.77e-02 | 3FES, NQO1, MGST1 |
49 |
HALLMARK_APOPTOSIS | 4.10e-04 | 8.90 | 2.72 | 1.02e-02 | 2.05e-02 | 5ANXA1, LGALS3, LUM, TSPO, TNFRSF12A |
161 |
HALLMARK_CHOLESTEROL_HOMEOSTASIS | 3.11e-03 | 11.23 | 2.19 | 3.11e-02 | 1.56e-01 | 3LGALS3, ACTG1, TNFRSF12A |
74 |
HALLMARK_MYOGENESIS | 1.08e-03 | 7.12 | 2.18 | 1.35e-02 | 5.40e-02 | 5CD36, LPIN1, TPM2, NQO1, TNNC1 |
200 |
HALLMARK_COMPLEMENT | 7.71e-03 | 5.55 | 1.44 | 5.51e-02 | 3.85e-01 | 4CD36, S100A13, LGALS3, CTSC |
200 |
HALLMARK_XENOBIOTIC_METABOLISM | 7.71e-03 | 5.55 | 1.44 | 5.51e-02 | 3.85e-01 | 4CD36, NQO1, PSMB10, ABCC3 |
200 |
HALLMARK_TNFA_SIGNALING_VIA_NFKB | 4.35e-02 | 4.05 | 0.80 | 2.11e-01 | 1.00e+00 | 3DUSP2, GPR183, EIF1 |
200 |
HALLMARK_ADIPOGENESIS | 4.35e-02 | 4.05 | 0.80 | 2.11e-01 | 1.00e+00 | 3CD36, RAB34, SNCG |
200 |
HALLMARK_ALLOGRAFT_REJECTION | 4.35e-02 | 4.05 | 0.80 | 2.11e-01 | 1.00e+00 | 3NME1, PSMB10, B2M |
200 |
HALLMARK_IL6_JAK_STAT3_SIGNALING | 4.64e-02 | 6.13 | 0.71 | 2.11e-01 | 1.00e+00 | 2CD36, TNFRSF12A |
87 |
HALLMARK_ANDROGEN_RESPONSE | 5.93e-02 | 5.31 | 0.62 | 2.47e-01 | 1.00e+00 | 2KRT8, B2M |
100 |
HALLMARK_SPERMATOGENESIS | 9.90e-02 | 3.92 | 0.46 | 3.67e-01 | 1.00e+00 | 2LPIN1, PCSK1N |
135 |
HALLMARK_COAGULATION | 1.03e-01 | 3.83 | 0.45 | 3.67e-01 | 1.00e+00 | 2S100A13, ANXA1 |
138 |
HALLMARK_FATTY_ACID_METABOLISM | 1.28e-01 | 3.34 | 0.39 | 4.18e-01 | 1.00e+00 | 2CD36, S100A10 |
158 |
HALLMARK_ESTROGEN_RESPONSE_LATE | 1.85e-01 | 2.63 | 0.31 | 4.62e-01 | 1.00e+00 | 2DUSP2, TNNC1 |
200 |
HALLMARK_INTERFERON_GAMMA_RESPONSE | 1.85e-01 | 2.63 | 0.31 | 4.62e-01 | 1.00e+00 | 2PSMB10, B2M |
200 |
HALLMARK_INFLAMMATORY_RESPONSE | 1.85e-01 | 2.63 | 0.31 | 4.62e-01 | 1.00e+00 | 2EMP3, GPR183 |
200 |
HALLMARK_KRAS_SIGNALING_UP | 1.85e-01 | 2.63 | 0.31 | 4.62e-01 | 1.00e+00 | 2TRIB2, PCSK1N |
200 |
HALLMARK_ANGIOGENESIS | 1.34e-01 | 7.29 | 0.18 | 4.18e-01 | 1.00e+00 | 1LUM |
36 |
Dowload full table
KEGG Pathways:
P-value | OR | Lower 95% CI | FDR | FWER | Genes Found | Gene Set Size | |
---|---|---|---|---|---|---|---|
KEGG_HYPERTROPHIC_CARDIOMYOPATHY_HCM | 4.29e-03 | 9.97 | 1.94 | 5.00e-01 | 7.98e-01 | 3TPM2, TNNC1, ACTG1 |
83 |
KEGG_DILATED_CARDIOMYOPATHY | 5.37e-03 | 9.17 | 1.79 | 5.00e-01 | 1.00e+00 | 3TPM2, TNNC1, ACTG1 |
90 |
KEGG_CARDIAC_MUSCLE_CONTRACTION | 3.90e-02 | 6.76 | 0.78 | 1.00e+00 | 1.00e+00 | 2TPM2, TNNC1 |
79 |
KEGG_PYRIMIDINE_METABOLISM | 5.73e-02 | 5.42 | 0.63 | 1.00e+00 | 1.00e+00 | 2NME2, NME1 |
98 |
KEGG_AXON_GUIDANCE | 9.18e-02 | 4.10 | 0.48 | 1.00e+00 | 1.00e+00 | 2FES, EPHA3 |
129 |
KEGG_TIGHT_JUNCTION | 9.54e-02 | 4.01 | 0.47 | 1.00e+00 | 1.00e+00 | 2YBX3, ACTG1 |
132 |
KEGG_PURINE_METABOLISM | 1.29e-01 | 3.32 | 0.39 | 1.00e+00 | 1.00e+00 | 2NME2, NME1 |
159 |
KEGG_ABC_TRANSPORTERS | 1.61e-01 | 5.93 | 0.14 | 1.00e+00 | 1.00e+00 | 1ABCC3 |
44 |
KEGG_PROTEASOME | 1.67e-01 | 5.67 | 0.14 | 1.00e+00 | 1.00e+00 | 1PSMB10 |
46 |
KEGG_GLUTATHIONE_METABOLISM | 1.81e-01 | 5.21 | 0.13 | 1.00e+00 | 1.00e+00 | 1MGST1 |
50 |
KEGG_VIBRIO_CHOLERAE_INFECTION | 1.94e-01 | 4.81 | 0.12 | 1.00e+00 | 1.00e+00 | 1ACTG1 |
54 |
KEGG_STEROID_HORMONE_BIOSYNTHESIS | 1.97e-01 | 4.72 | 0.12 | 1.00e+00 | 1.00e+00 | 1HSD17B1 |
55 |
KEGG_PATHOGENIC_ESCHERICHIA_COLI_INFECTION | 2.00e-01 | 4.64 | 0.11 | 1.00e+00 | 1.00e+00 | 1ACTG1 |
56 |
KEGG_NOD_LIKE_RECEPTOR_SIGNALING_PATHWAY | 2.19e-01 | 4.18 | 0.10 | 1.00e+00 | 1.00e+00 | 1TRIP6 |
62 |
KEGG_ADIPOCYTOKINE_SIGNALING_PATHWAY | 2.34e-01 | 3.86 | 0.09 | 1.00e+00 | 1.00e+00 | 1CD36 |
67 |
KEGG_PPAR_SIGNALING_PATHWAY | 2.40e-01 | 3.75 | 0.09 | 1.00e+00 | 1.00e+00 | 1CD36 |
69 |
KEGG_METABOLISM_OF_XENOBIOTICS_BY_CYTOCHROME_P450 | 2.43e-01 | 3.70 | 0.09 | 1.00e+00 | 1.00e+00 | 1MGST1 |
70 |
KEGG_VIRAL_MYOCARDITIS | 2.43e-01 | 3.70 | 0.09 | 1.00e+00 | 1.00e+00 | 1ACTG1 |
70 |
KEGG_DRUG_METABOLISM_CYTOCHROME_P450 | 2.49e-01 | 3.59 | 0.09 | 1.00e+00 | 1.00e+00 | 1MGST1 |
72 |
KEGG_ADHERENS_JUNCTION | 2.52e-01 | 3.54 | 0.09 | 1.00e+00 | 1.00e+00 | 1ACTG1 |
73 |
Dowload full table
CHR Positional Gene Sets:
P-value | OR | Lower 95% CI | FDR | FWER | Genes Found | Gene Set Size | |
---|---|---|---|---|---|---|---|
chr17q21 | 3.04e-02 | 3.07 | 0.95 | 1.00e+00 | 1.00e+00 | 5NME2, HSD17B1, NME1, EIF1, ABCC3 |
457 |
chr12q21 | 9.06e-02 | 4.13 | 0.48 | 1.00e+00 | 1.00e+00 | 2PAWR, LUM |
128 |
chr1q21 | 1.93e-01 | 2.05 | 0.41 | 1.00e+00 | 1.00e+00 | 3S100A13, S100A10, S100A6 |
392 |
chr16q22 | 1.56e-01 | 2.94 | 0.34 | 1.00e+00 | 1.00e+00 | 2NQO1, PSMB10 |
179 |
chr3p11 | 9.13e-02 | 11.08 | 0.26 | 1.00e+00 | 1.00e+00 | 1EPHA3 |
24 |
chr22q13 | 3.33e-01 | 1.72 | 0.20 | 1.00e+00 | 1.00e+00 | 2CDC42EP1, TSPO |
305 |
chr16p13 | 6.71e-01 | 1.29 | 0.15 | 1.00e+00 | 1.00e+00 | 2NPW, TNFRSF12A |
407 |
chr2p24 | 2.55e-01 | 3.49 | 0.09 | 1.00e+00 | 1.00e+00 | 1TRIB2 |
74 |
chrXp21 | 2.78e-01 | 3.15 | 0.08 | 1.00e+00 | 1.00e+00 | 1TMEM47 |
82 |
chr14q22 | 3.01e-01 | 2.87 | 0.07 | 1.00e+00 | 1.00e+00 | 1LGALS3 |
90 |
chr6q14 | 3.09e-01 | 2.77 | 0.07 | 1.00e+00 | 1.00e+00 | 1COL12A1 |
93 |
chr13q32 | 3.15e-01 | 2.71 | 0.07 | 1.00e+00 | 1.00e+00 | 1GPR183 |
95 |
chr13q31 | 3.20e-01 | 2.66 | 0.07 | 1.00e+00 | 1.00e+00 | 1SLITRK6 |
97 |
chr20p12 | 3.39e-01 | 2.48 | 0.06 | 1.00e+00 | 1.00e+00 | 1DSTN |
104 |
chr12p12 | 3.46e-01 | 2.41 | 0.06 | 1.00e+00 | 1.00e+00 | 1MGST1 |
107 |
chr2p25 | 3.72e-01 | 2.20 | 0.05 | 1.00e+00 | 1.00e+00 | 1LPIN1 |
117 |
chr15q22 | 3.89e-01 | 2.07 | 0.05 | 1.00e+00 | 1.00e+00 | 1PPIB |
124 |
chr2q24 | 3.91e-01 | 2.06 | 0.05 | 1.00e+00 | 1.00e+00 | 1SCN9A |
125 |
chr5p13 | 3.99e-01 | 2.01 | 0.05 | 1.00e+00 | 1.00e+00 | 1DAB2 |
128 |
chr10p12 | 4.15e-01 | 1.90 | 0.05 | 1.00e+00 | 1.00e+00 | 1MKX |
135 |
Dowload full table
Transcription Factor Targets:
P-value | OR | Lower 95% CI | FDR | FWER | Genes Found | Gene Set Size | |
---|---|---|---|---|---|---|---|
CCAWWNAAGG_SRF_Q4 | 3.96e-04 | 12.93 | 3.31 | 1.47e-01 | 4.49e-01 | 4TPM2, DUSP2, TNNC1, TMEM47 |
88 |
ZNF292_TARGET_GENES | 4.05e-03 | 23.65 | 2.62 | 6.55e-01 | 1.00e+00 | 2FES, TNFRSF12A |
24 |
SRF_Q4 | 2.61e-04 | 7.61 | 2.62 | 1.47e-01 | 2.96e-01 | 6YBX3, TPM2, DUSP2, TNNC1, TMEM47, DSTN |
230 |
TGANTCA_AP1_C | 8.04e-06 | 4.77 | 2.41 | 9.11e-03 | 9.11e-03 | 15EMP3, KRT8, SLITRK6, EN1, TPM2, LGALS3, S100A10, RAB34, PAWR, NME1, PCSK1N, GPR183, SNCG, TNFRSF12A, DSTN |
1139 |
TAXCREB_02 | 5.10e-03 | 20.80 | 2.32 | 7.23e-01 | 1.00e+00 | 2EMP3, S100A10 |
27 |
BACH1_01 | 5.27e-04 | 6.63 | 2.29 | 1.47e-01 | 5.97e-01 | 6EMP3, KRT8, EN1, S100A10, RAB34, TNFRSF12A |
263 |
AP1_Q2_01 | 6.50e-04 | 6.36 | 2.20 | 1.47e-01 | 7.37e-01 | 6KRT8, SLITRK6, EN1, RAB34, PCSK1N, TNFRSF12A |
274 |
PR_01 | 2.76e-03 | 7.50 | 1.93 | 5.21e-01 | 1.00e+00 | 4CD36, FES, TRIB2, DSTN |
149 |
PSMB5_TARGET_GENES | 6.61e-03 | 4.60 | 1.41 | 7.65e-01 | 1.00e+00 | 5S100A13, TPM2, S100A6, ACTG1, EIF1 |
307 |
GR_01 | 8.11e-03 | 5.46 | 1.41 | 7.65e-01 | 1.00e+00 | 4CD36, FES, TNNC1, DSTN |
203 |
SRF_C | 9.84e-03 | 5.15 | 1.33 | 7.65e-01 | 1.00e+00 | 4DUSP2, TNNC1, TMEM47, DSTN |
215 |
SRF_Q5_01 | 1.15e-02 | 4.92 | 1.27 | 7.65e-01 | 1.00e+00 | 4YBX3, TPM2, TMEM47, DSTN |
225 |
ZNF318_TARGET_GENES | 1.12e-02 | 3.49 | 1.21 | 7.65e-01 | 1.00e+00 | 6YBX3, EMP3, KRT8, TRIP6, ABCC3, B2M |
495 |
PR_02 | 1.61e-02 | 6.04 | 1.19 | 9.58e-01 | 1.00e+00 | 3CD36, FES, DSTN |
135 |
SRF_Q6 | 1.58e-02 | 4.45 | 1.16 | 9.58e-01 | 1.00e+00 | 4TPM2, DUSP2, TNNC1, TMEM47 |
248 |
GGGTGGRR_PAX4_03 | 2.39e-02 | 2.41 | 1.07 | 1.00e+00 | 1.00e+00 | 10RARRES2, YBX3, FES, TRIB2, EN1, S100A10, HSD17B1, PCSK1N, TNNC1, EIF1 |
1310 |
NR2E3_TARGET_GENES | 2.37e-02 | 50.83 | 1.06 | 1.00e+00 | 1.00e+00 | 1PPIB |
6 |
AP1_01 | 2.10e-02 | 4.07 | 1.06 | 1.00e+00 | 1.00e+00 | 4EMP3, KRT8, SNCG, TNFRSF12A |
271 |
AR_01 | 2.45e-02 | 5.11 | 1.01 | 1.00e+00 | 1.00e+00 | 3CD36, FES, DSTN |
159 |
MAPK3_TARGET_GENES | 2.73e-02 | 8.26 | 0.95 | 1.00e+00 | 1.00e+00 | 2ACTG1, B2M |
65 |
Dowload full table
GO Biological Processes:
P-value | OR | Lower 95% CI | FDR | FWER | Genes Found | Gene Set Size | |
---|---|---|---|---|---|---|---|
GOBP_RESPONSE_TO_HYDROSTATIC_PRESSURE | 2.31e-04 | 129.66 | 11.45 | 1.92e-01 | 1.00e+00 | 2KRT8, COL18A1 |
6 |
GOBP_CELLULAR_RESPONSE_TO_HYDROPEROXIDE | 3.22e-04 | 103.49 | 9.64 | 2.16e-01 | 1.00e+00 | 2CD36, MGST1 |
7 |
GOBP_UTP_BIOSYNTHETIC_PROCESS | 6.85e-04 | 64.86 | 6.55 | 3.03e-01 | 1.00e+00 | 2NME2, NME1 |
10 |
GOBP_GTP_BIOSYNTHETIC_PROCESS | 8.35e-04 | 57.69 | 5.91 | 3.15e-01 | 1.00e+00 | 2NME2, NME1 |
11 |
GOBP_UTP_METABOLIC_PROCESS | 9.99e-04 | 51.89 | 5.39 | 3.15e-01 | 1.00e+00 | 2NME2, NME1 |
12 |
GOBP_BEHAVIORAL_RESPONSE_TO_PAIN | 9.99e-04 | 51.89 | 5.39 | 3.15e-01 | 1.00e+00 | 2SCN9A, TSPO |
12 |
GOBP_GUANOSINE_CONTAINING_COMPOUND_BIOSYNTHETIC_PROCESS | 1.18e-03 | 47.19 | 4.96 | 3.15e-01 | 1.00e+00 | 2NME2, NME1 |
13 |
GOBP_RESPONSE_TO_WATER | 1.37e-03 | 43.30 | 4.59 | 3.15e-01 | 1.00e+00 | 2KRT8, COL18A1 |
14 |
GOBP_PYRIMIDINE_RIBONUCLEOSIDE_TRIPHOSPHATE_BIOSYNTHETIC_PROCESS | 1.58e-03 | 39.95 | 4.27 | 3.28e-01 | 1.00e+00 | 2NME2, NME1 |
15 |
GOBP_RESPONSE_TO_TESTOSTERONE | 5.65e-04 | 20.97 | 4.00 | 2.82e-01 | 1.00e+00 | 3NQO1, NME1, TSPO |
41 |
GOBP_RESPONSE_TO_HYDROPEROXIDE | 2.03e-03 | 34.68 | 3.75 | 3.53e-01 | 1.00e+00 | 2CD36, MGST1 |
17 |
GOBP_PYRIMIDINE_RIBONUCLEOSIDE_TRIPHOSPHATE_METABOLIC_PROCESS | 2.28e-03 | 32.49 | 3.53 | 3.87e-01 | 1.00e+00 | 2NME2, NME1 |
18 |
GOBP_FOCAL_ADHESION_ASSEMBLY | 3.47e-04 | 13.41 | 3.43 | 2.16e-01 | 1.00e+00 | 4EPHA3, S100A10, TRIP6, ACTG1 |
85 |
GOBP_PYRIMIDINE_NUCLEOSIDE_TRIPHOSPHATE_BIOSYNTHETIC_PROCESS | 2.54e-03 | 30.58 | 3.34 | 4.15e-01 | 1.00e+00 | 2NME2, NME1 |
19 |
GOBP_RESPONSE_TO_DRUG | 8.24e-06 | 7.84 | 3.32 | 3.55e-02 | 6.16e-02 | 9ANXA1, COL18A1, S100A10, NQO1, NME1, TSPO, MGST1, ABCC3, B2M |
359 |
GOBP_PYRIMIDINE_RIBONUCLEOTIDE_BIOSYNTHETIC_PROCESS | 3.40e-03 | 26.01 | 2.87 | 4.24e-01 | 1.00e+00 | 2NME2, NME1 |
22 |
GOBP_PURINE_NUCLEOSIDE_BIOSYNTHETIC_PROCESS | 3.40e-03 | 26.01 | 2.87 | 4.24e-01 | 1.00e+00 | 2NME2, NME1 |
22 |
GOBP_NEGATIVE_REGULATION_OF_T_CELL_RECEPTOR_SIGNALING_PATHWAY | 3.40e-03 | 26.01 | 2.87 | 4.24e-01 | 1.00e+00 | 2LGALS3, PAWR |
22 |
GOBP_CELLULAR_RESPONSE_TO_CHEMICAL_STRESS | 5.07e-05 | 7.02 | 2.83 | 9.49e-02 | 3.79e-01 | 8CD36, YBX3, NME2, ANXA1, NQO1, PAWR, TSPO, MGST1 |
347 |
GOBP_POSITIVE_REGULATION_OF_WOUND_HEALING | 1.63e-03 | 14.24 | 2.75 | 3.30e-01 | 1.00e+00 | 3CD36, ANXA1, ACTG1 |
59 |
Dowload full table
Immunological Gene Sets:
P-value | OR | Lower 95% CI | FDR | FWER | Genes Found | Gene Set Size | |
---|---|---|---|---|---|---|---|
GSE9650_NAIVE_VS_EFF_CD8_TCELL_DN | 4.09e-09 | 16.53 | 7.26 | 1.99e-05 | 1.99e-05 | 10S100A13, YBX3, LPIN1, ANXA1, LGALS3, S100A10, S100A6, PSMB10, PPIB, TSPO |
199 |
KAECH_NAIVE_VS_DAY15_EFF_CD8_TCELL_DN | 6.91e-08 | 14.37 | 6.05 | 1.68e-04 | 3.36e-04 | 9S100A13, YBX3, LPIN1, EMP3, ANXA1, LGALS3, S100A10, S100A6, DSTN |
200 |
GSE3565_CTRL_VS_LPS_INJECTED_DUSP1_KO_SPLENOCYTES_UP | 6.24e-06 | 11.69 | 4.38 | 4.45e-03 | 3.04e-02 | 7LPIN1, EMP3, ANXA1, LGALS3, S100A10, S100A6, DSTN |
181 |
GSE3982_DC_VS_EFF_MEMORY_CD4_TCELL_UP | 1.15e-05 | 10.60 | 3.97 | 4.45e-03 | 5.60e-02 | 7CD36, FES, LGALS3, NQO1, TRIP6, ABCC3, CTSC |
199 |
GSE9650_EFFECTOR_VS_MEMORY_CD8_TCELL_UP | 1.15e-05 | 10.60 | 3.97 | 4.45e-03 | 5.60e-02 | 7S100A13, YBX3, ANXA1, LGALS3, S100A10, PPIB, TSPO |
199 |
KAECH_NAIVE_VS_DAY8_EFF_CD8_TCELL_DN | 1.19e-05 | 10.54 | 3.95 | 4.45e-03 | 5.79e-02 | 7S100A13, YBX3, ANXA1, LGALS3, S100A10, S100A6, DSTN |
200 |
GOLDRATH_NAIVE_VS_EFF_CD8_TCELL_DN | 1.19e-05 | 10.54 | 3.95 | 4.45e-03 | 5.79e-02 | 7LPIN1, EMP3, ANXA1, LGALS3, S100A10, S100A6, DSTN |
200 |
GOLDRATH_NAIVE_VS_MEMORY_CD8_TCELL_DN | 1.19e-05 | 10.54 | 3.95 | 4.45e-03 | 5.79e-02 | 7S100A13, LPIN1, ANXA1, LGALS3, S100A10, S100A6, DSTN |
200 |
GSE2405_0H_VS_1.5H_A_PHAGOCYTOPHILUM_STIM_NEUTROPHIL_UP | 1.19e-05 | 10.54 | 3.95 | 4.45e-03 | 5.79e-02 | 7RARRES2, S100A10, NQO1, S100A6, PSMB10, CTSC, DSTN |
200 |
GSE7509_DC_VS_MONOCYTE_UP | 1.19e-05 | 10.54 | 3.95 | 4.45e-03 | 5.79e-02 | 7LPIN1, ANXA1, LGALS3, RAB34, DAB2, ACTG1, MGST1 |
200 |
GSE33162_HDAC3_KO_VS_HDAC3_KO_MACROPHAGE_DN | 1.19e-05 | 10.54 | 3.95 | 4.45e-03 | 5.79e-02 | 7YBX3, LPIN1, ANXA1, LGALS3, S100A6, ACTG1, DSTN |
200 |
GSE39110_UNTREATED_VS_IL2_TREATED_CD8_TCELL_DAY6_POST_IMMUNIZATION_UP | 1.19e-05 | 10.54 | 3.95 | 4.45e-03 | 5.79e-02 | 7YBX3, LPIN1, FES, ANXA1, LGALS3, S100A6, CTSC |
200 |
GSE36078_WT_VS_IL1R_KO_LUNG_DC_AFTER_AD5_INF_UP | 1.19e-05 | 10.54 | 3.95 | 4.45e-03 | 5.79e-02 | 7YBX3, LPIN1, FES, ANXA1, LGALS3, S100A6, CTSC |
200 |
GSE3565_CTRL_VS_LPS_INJECTED_SPLENOCYTES_UP | 6.56e-05 | 9.91 | 3.41 | 2.13e-02 | 3.20e-01 | 6LPIN1, EMP3, ANXA1, LGALS3, S100A10, S100A6 |
178 |
GSE15330_LYMPHOID_MULTIPOTENT_VS_MEGAKARYOCYTE_ERYTHROID_PROGENITOR_IKAROS_KO_DN | 6.56e-05 | 9.91 | 3.41 | 2.13e-02 | 3.20e-01 | 6S100A13, YBX3, ANXA1, S100A10, S100A6, DSTN |
178 |
GSE29618_BCELL_VS_PDC_DN | 1.17e-04 | 8.88 | 3.05 | 2.74e-02 | 5.71e-01 | 6TPM2, SCN9A, DAB2, PPIB, CTSC, DSTN |
198 |
GOLDRATH_EFF_VS_MEMORY_CD8_TCELL_UP | 1.24e-04 | 8.78 | 3.02 | 2.74e-02 | 6.03e-01 | 6YBX3, EMP3, ANXA1, LGALS3, S100A10, DUSP2 |
200 |
GSE29618_PDC_VS_MDC_DAY7_FLU_VACCINE_DN | 1.24e-04 | 8.78 | 3.02 | 2.74e-02 | 6.03e-01 | 6YBX3, EMP3, ANXA1, LGALS3, S100A10, ACTG1 |
200 |
GSE9650_NAIVE_VS_MEMORY_CD8_TCELL_DN | 1.24e-04 | 8.78 | 3.02 | 2.74e-02 | 6.03e-01 | 6S100A13, YBX3, LPIN1, ANXA1, S100A10, S100A6 |
200 |
GSE5679_CTRL_VS_PPARG_LIGAND_ROSIGLITAZONE_AND_RARA_AGONIST_AM580_TREATED_DC_DN | 1.24e-04 | 8.78 | 3.02 | 2.74e-02 | 6.03e-01 | 6RARRES2, LPIN1, ANXA1, RAB34, S100A6, ABCC3 |
200 |
Top Ranked Transcription Factors for this Gene Expression Program:
Gene Symbol | TF Rank | DNA Binding Domain | Motif Status | IUPAC PWM | GTEx | DepMap | Decartes |
---|---|---|---|---|---|---|---|
CD36 | 1 | No | Unlikely to be sequence specific TF | Not a DNA binding protein | No motif | None | None |
YBX3 | 4 | Yes | Known motif | Monomer or homomultimer | 100 perc ID - in vitro | None | Identical DBD to YBX1. Might also bind RNA. |
NME2 | 7 | Yes | Likely to be sequence specific TF | Monomer or homomultimer | No motif | None | Binds to telomeres (PMID: 22135295). Binds specific sequences by gel-shift, and binding is impacted by a SNP (PMID: 23368879) |
EN1 | 14 | Yes | Known motif | Monomer or homomultimer | High-throughput in vitro | None | None |
PAWR | 25 | No | Unlikely to be sequence specific TF | Not a DNA binding protein | No motif | None | Protein that binds to several TFs such as PITX2 (PMID: 19801652) and appears to inactivate them |
MKX | 36 | Yes | Likely to be sequence specific TF | Monomer or homomultimer | No motif | None | Orthologous protein from fly is a TF that binds NWACA (PMID: 22923612). |
PPARG | 57 | Yes | Known motif | Monomer or homomultimer | 100 perc ID - in vitro | None | Also heterodimerizes. |
AHR | 67 | Yes | Known motif | Monomer or homomultimer | In vivo/Misc source | Only known motifs are from Transfac or HocoMoco - origin is uncertain | None |
PHB | 70 | No | Unlikely to be sequence specific TF | Not a DNA binding protein | No motif | None | Protein is likely a mitochondrial chaperone and thus its roles associated with transcription are likely to be very indirect (PMID: 10835343) |
FOXF1 | 75 | Yes | Known motif | Monomer or homomultimer | In vivo/Misc source | Only known motifs are from Transfac or HocoMoco - origin is uncertain | None |
TGFB1 | 79 | No | Unlikely to be sequence specific TF | Not a DNA binding protein | No motif | None | None |
TBX2 | 94 | Yes | Known motif | Monomer or homomultimer | High-throughput in vitro | None | None |
KLF2 | 110 | Yes | Known motif | Monomer or homomultimer | High-throughput in vitro | None | None |
UBB | 117 | No | Unlikely to be sequence specific TF | Not a DNA binding protein | No motif | None | None |
HOXD10 | 129 | Yes | Known motif | Monomer or homomultimer | High-throughput in vitro | None | None |
PSMC5 | 130 | No | Unlikely to be sequence specific TF | Not a DNA binding protein | No motif | None | None |
C1D | 132 | No | Unlikely to be sequence specific TF | Low specificity DNA-binding protein | No motif | None | C1D has been shown to bind RNA (PMID: 17412707) and is associated with the exosome. C1D is also associated with DNA repair and has DNA-binding activitiy (PMID: 10362552) |
JUP | 158 | No | Unlikely to be sequence specific TF | Not a DNA binding protein | No motif | None | None |
CUL1 | 164 | No | Unlikely to be sequence specific TF | Not a DNA binding protein | No motif | None | Component of the E3-ubiquitin ligase complex (PMID: 11961546) |
EID1 | 170 | No | Unlikely to be sequence specific TF | Not a DNA binding protein | No motif | None | None |
QQ Plot showing correlations with other Gene Expression Programs in this dataset, calculated by Spearman correlation:
Interactive QQ-plot of gene loadings:
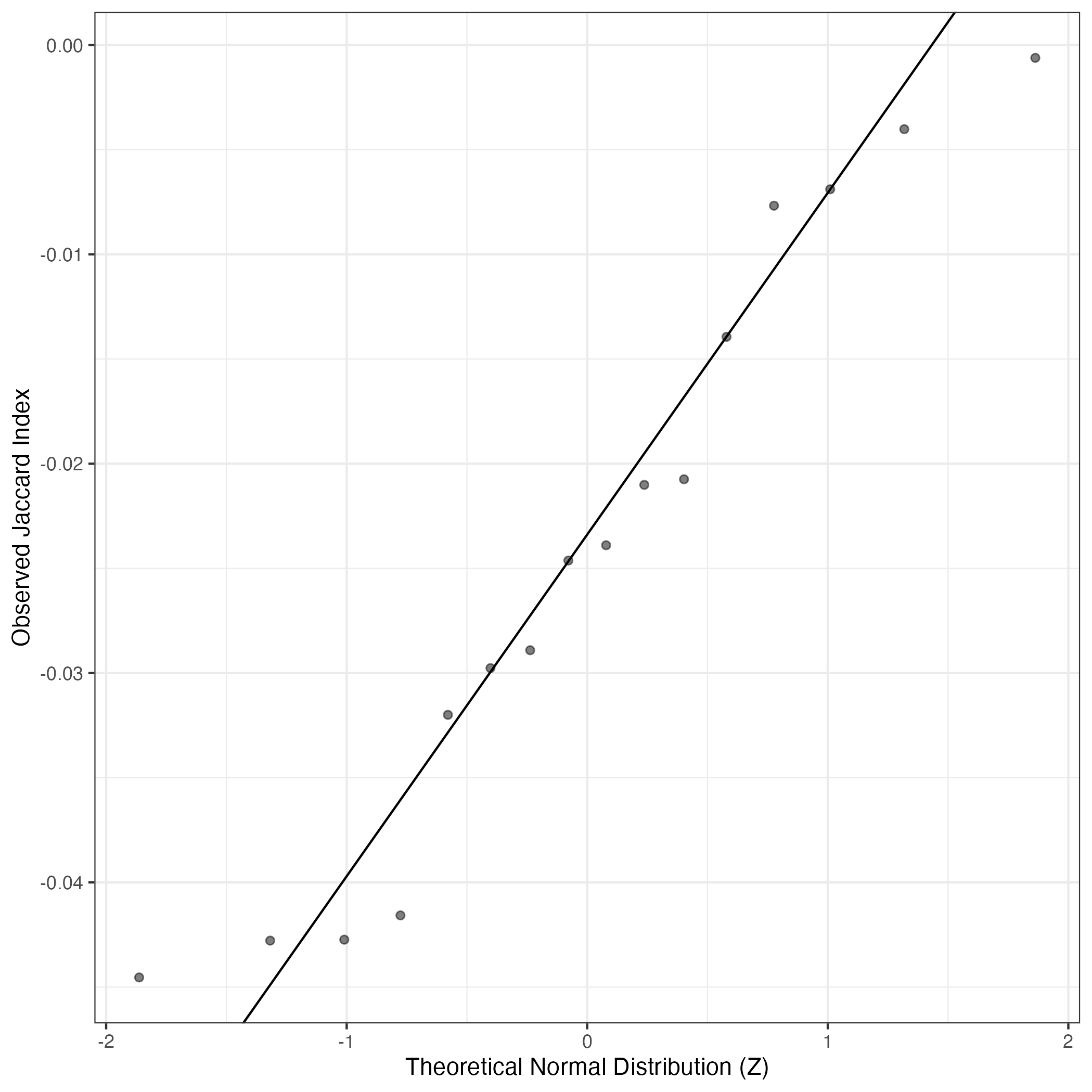
A similar QQ-plot as above, but only for instances where the H value is e.g. > 25, i.e. we are confident that the expression program is active above noise. Agreemenet between these binary vectors is tested using the Jaccard Index, with the P-values calculated by an exact test:
Interactive QQ-plot:
Singler cell type annotations for the top 50 cells on this program.
Cell ID | Singler label | Singler Delta | Activity Score | Top Singler Raw Scores |
---|---|---|---|---|
CHP212_CGAGGCTAGCTCGAAG-1 | Neurons | 0.16 | 347.17 | Raw ScoresMSC: 0.57, Neurons:adrenal_medulla_cell_line: 0.56, Neuroepithelial_cell:ESC-derived: 0.56, Tissue_stem_cells:CD326-CD56+: 0.56, iPS_cells:PDB_2lox-22: 0.54, Embryonic_stem_cells: 0.54, iPS_cells:CRL2097_foreskin-derived:undiff.: 0.54, iPS_cells:fibroblast-derived:Direct_del._reprog: 0.54, Tissue_stem_cells:lipoma-derived_MSC: 0.54, iPS_cells:PDB_2lox-17: 0.54 |
CHP212_TTCCTTCGTATCGATC-1 | Neurons | 0.18 | 331.68 | Raw ScoresNeurons:adrenal_medulla_cell_line: 0.58, Neuroepithelial_cell:ESC-derived: 0.55, MSC: 0.55, iPS_cells:PDB_2lox-22: 0.55, Tissue_stem_cells:CD326-CD56+: 0.54, iPS_cells:PDB_1lox-21Puro-20: 0.54, iPS_cells:PDB_2lox-17: 0.54, iPS_cells:PDB_2lox-21: 0.54, iPS_cells:PDB_1lox-21Puro-26: 0.54, Embryonic_stem_cells: 0.53 |
CHP212_TGGGAAGCAACCGTAT-1 | Neurons | 0.14 | 330.55 | Raw ScoresMSC: 0.55, Neurons:adrenal_medulla_cell_line: 0.54, Neuroepithelial_cell:ESC-derived: 0.54, Tissue_stem_cells:CD326-CD56+: 0.53, iPS_cells:PDB_2lox-22: 0.53, Embryonic_stem_cells: 0.52, iPS_cells:PDB_2lox-17: 0.52, iPS_cells:CRL2097_foreskin-derived:undiff.: 0.52, Tissue_stem_cells:lipoma-derived_MSC: 0.52, iPS_cells:PDB_1lox-21Puro-20: 0.52 |
CHP212_AGACACTCAGAGGTTG-1 | Neurons | 0.15 | 317.21 | Raw ScoresNeurons:adrenal_medulla_cell_line: 0.56, MSC: 0.55, Neuroepithelial_cell:ESC-derived: 0.54, Tissue_stem_cells:CD326-CD56+: 0.54, iPS_cells:PDB_2lox-22: 0.54, iPS_cells:PDB_2lox-17: 0.53, iPS_cells:PDB_1lox-21Puro-20: 0.53, iPS_cells:CRL2097_foreskin-derived:undiff.: 0.53, iPS_cells:PDB_2lox-21: 0.53, iPS_cells:iPS:minicircle-derived: 0.53 |
CHP212_CACGAATGTGTTGCCG-1 | MSC | 0.19 | 307.25 | Raw ScoresMSC: 0.57, Smooth_muscle_cells:umbilical_vein: 0.54, Neuroepithelial_cell:ESC-derived: 0.54, Smooth_muscle_cells:vascular: 0.54, Fibroblasts:foreskin: 0.54, Tissue_stem_cells:CD326-CD56+: 0.54, Tissue_stem_cells:lipoma-derived_MSC: 0.53, Neurons:Schwann_cell: 0.53, iPS_cells:foreskin_fibrobasts: 0.53, Endothelial_cells:HUVEC: 0.53 |
CHP212_CATACTTGTGCCCGTA-1 | Neurons | 0.15 | 305.67 | Raw ScoresMSC: 0.58, Tissue_stem_cells:lipoma-derived_MSC: 0.55, Smooth_muscle_cells:umbilical_vein: 0.55, Fibroblasts:foreskin: 0.54, Neuroepithelial_cell:ESC-derived: 0.54, Tissue_stem_cells:adipose-derived_MSC_AM3: 0.54, Neurons:adrenal_medulla_cell_line: 0.53, Tissue_stem_cells:CD326-CD56+: 0.53, Smooth_muscle_cells:vascular: 0.53, iPS_cells:skin_fibroblast: 0.53 |
CHP212_GACCGTGTCGGTGCAC-1 | MSC | 0.15 | 304.56 | Raw ScoresNeurons:adrenal_medulla_cell_line: 0.55, MSC: 0.55, Tissue_stem_cells:CD326-CD56+: 0.54, Neuroepithelial_cell:ESC-derived: 0.54, iPS_cells:PDB_2lox-22: 0.53, Embryonic_stem_cells: 0.53, iPS_cells:CRL2097_foreskin-derived:undiff.: 0.53, iPS_cells:iPS:minicircle-derived: 0.53, iPS_cells:PDB_2lox-17: 0.53, iPS_cells:fibroblast-derived:Direct_del._reprog: 0.53 |
CHP212_CGGTCAGCACGGCACT-1 | MSC | 0.16 | 295.52 | Raw ScoresMSC: 0.55, Tissue_stem_cells:CD326-CD56+: 0.54, Smooth_muscle_cells:umbilical_vein: 0.53, Neurons:adrenal_medulla_cell_line: 0.53, Tissue_stem_cells:lipoma-derived_MSC: 0.53, Neuroepithelial_cell:ESC-derived: 0.53, Fibroblasts:foreskin: 0.52, Tissue_stem_cells:adipose-derived_MSC_AM3: 0.52, iPS_cells:iPS:minicircle-derived: 0.52, iPS_cells:PDB_2lox-22: 0.52 |
CHP212_TCCTGCAAGACCGCCT-1 | MSC | 0.16 | 292.19 | Raw ScoresMSC: 0.53, Neurons:adrenal_medulla_cell_line: 0.53, Neuroepithelial_cell:ESC-derived: 0.52, iPS_cells:CRL2097_foreskin-derived:undiff.: 0.51, iPS_cells:PDB_2lox-22: 0.51, Tissue_stem_cells:CD326-CD56+: 0.51, iPS_cells:fibroblast-derived:Direct_del._reprog: 0.51, Tissue_stem_cells:lipoma-derived_MSC: 0.5, iPS_cells:PDB_1lox-21Puro-26: 0.5, iPS_cells:PDB_1lox-21Puro-20: 0.5 |
CHP212_GGAATCTGTCCCTGTT-1 | MSC | 0.19 | 285.54 | Raw ScoresMSC: 0.57, Fibroblasts:foreskin: 0.54, Neuroepithelial_cell:ESC-derived: 0.54, Smooth_muscle_cells:umbilical_vein: 0.53, Tissue_stem_cells:lipoma-derived_MSC: 0.53, Neurons:adrenal_medulla_cell_line: 0.53, Tissue_stem_cells:CD326-CD56+: 0.53, Tissue_stem_cells:adipose-derived_MSC_AM3: 0.53, Smooth_muscle_cells:vascular: 0.53, Neurons:Schwann_cell: 0.52 |
CHP212_ACAGAAATCGATACGT-1 | MSC | 0.15 | 283.33 | Raw ScoresMSC: 0.53, Neurons:adrenal_medulla_cell_line: 0.52, Tissue_stem_cells:CD326-CD56+: 0.51, Smooth_muscle_cells:umbilical_vein: 0.5, Tissue_stem_cells:lipoma-derived_MSC: 0.5, Neuroepithelial_cell:ESC-derived: 0.5, Tissue_stem_cells:adipose-derived_MSC_AM3: 0.49, iPS_cells:iPS:minicircle-derived: 0.49, Fibroblasts:foreskin: 0.49, Embryonic_stem_cells: 0.49 |
CHP212_ATCACGACACCAATTG-1 | Neurons | 0.15 | 275.59 | Raw ScoresNeurons:adrenal_medulla_cell_line: 0.5, MSC: 0.5, Smooth_muscle_cells:umbilical_vein: 0.48, Neuroepithelial_cell:ESC-derived: 0.48, iPS_cells:foreskin_fibrobasts: 0.48, Tissue_stem_cells:CD326-CD56+: 0.48, iPS_cells:skin_fibroblast: 0.47, iPS_cells:CRL2097_foreskin: 0.47, Fibroblasts:foreskin: 0.47, Smooth_muscle_cells:vascular: 0.47 |
CHP212_TGGATGTTCGATACAC-1 | Neurons | 0.14 | 273.81 | Raw ScoresNeurons:adrenal_medulla_cell_line: 0.54, Neuroepithelial_cell:ESC-derived: 0.54, MSC: 0.53, iPS_cells:PDB_2lox-22: 0.53, Tissue_stem_cells:CD326-CD56+: 0.53, iPS_cells:CRL2097_foreskin-derived:undiff.: 0.53, Embryonic_stem_cells: 0.53, iPS_cells:PDB_1lox-21Puro-20: 0.52, iPS_cells:PDB_2lox-17: 0.52, iPS_cells:iPS:minicircle-derived: 0.52 |
CHP212_GATCAGTGTAGAGTTA-1 | Neurons | 0.14 | 273.69 | Raw ScoresNeurons:adrenal_medulla_cell_line: 0.5, MSC: 0.49, Smooth_muscle_cells:umbilical_vein: 0.49, Tissue_stem_cells:CD326-CD56+: 0.48, Neuroepithelial_cell:ESC-derived: 0.47, Fibroblasts:foreskin: 0.47, Smooth_muscle_cells:vascular: 0.47, Tissue_stem_cells:lipoma-derived_MSC: 0.47, Neurons:Schwann_cell: 0.47, iPS_cells:PDB_2lox-22: 0.47 |
CHP212_AGGGCCTTCTGGGCGT-1 | MSC | 0.15 | 271.69 | Raw ScoresMSC: 0.53, Neurons:adrenal_medulla_cell_line: 0.51, Neuroepithelial_cell:ESC-derived: 0.51, iPS_cells:PDB_2lox-22: 0.5, Tissue_stem_cells:CD326-CD56+: 0.5, Smooth_muscle_cells:umbilical_vein: 0.5, Tissue_stem_cells:lipoma-derived_MSC: 0.5, iPS_cells:CRL2097_foreskin-derived:undiff.: 0.5, iPS_cells:PDB_2lox-17: 0.5, iPS_cells:PDB_2lox-21: 0.5 |
CHP212_CTTCTAAGTTGACTGT-1 | MSC | 0.17 | 269.11 | Raw ScoresMSC: 0.56, Neurons:adrenal_medulla_cell_line: 0.55, Neuroepithelial_cell:ESC-derived: 0.54, Smooth_muscle_cells:umbilical_vein: 0.54, Tissue_stem_cells:CD326-CD56+: 0.53, Tissue_stem_cells:lipoma-derived_MSC: 0.53, Fibroblasts:foreskin: 0.53, Endothelial_cells:HUVEC: 0.52, iPS_cells:iPS:minicircle-derived: 0.52, Tissue_stem_cells:adipose-derived_MSC_AM3: 0.52 |
CHP212_AGACCATAGAGTCCGA-1 | Neurons | 0.15 | 268.14 | Raw ScoresNeurons:adrenal_medulla_cell_line: 0.56, MSC: 0.56, Neuroepithelial_cell:ESC-derived: 0.55, Tissue_stem_cells:CD326-CD56+: 0.55, iPS_cells:PDB_2lox-22: 0.54, iPS_cells:PDB_1lox-21Puro-20: 0.53, iPS_cells:iPS:minicircle-derived: 0.53, Tissue_stem_cells:lipoma-derived_MSC: 0.53, Embryonic_stem_cells: 0.53, iPS_cells:PDB_1lox-21Puro-26: 0.53 |
CHP212_AGTGCCGTCTCAGTCC-1 | MSC | 0.17 | 267.70 | Raw ScoresMSC: 0.56, Neurons:adrenal_medulla_cell_line: 0.56, Tissue_stem_cells:CD326-CD56+: 0.55, Neuroepithelial_cell:ESC-derived: 0.54, iPS_cells:PDB_2lox-22: 0.54, iPS_cells:PDB_1lox-21Puro-20: 0.53, Embryonic_stem_cells: 0.53, iPS_cells:CRL2097_foreskin-derived:undiff.: 0.53, iPS_cells:PDB_2lox-17: 0.53, iPS_cells:PDB_1lox-21Puro-26: 0.53 |
CHP212_AGGACTTGTATACCCA-1 | MSC | 0.15 | 267.31 | Raw ScoresMSC: 0.55, Neurons:adrenal_medulla_cell_line: 0.54, Tissue_stem_cells:CD326-CD56+: 0.54, Neuroepithelial_cell:ESC-derived: 0.54, Tissue_stem_cells:lipoma-derived_MSC: 0.53, iPS_cells:PDB_2lox-22: 0.53, Embryonic_stem_cells: 0.53, iPS_cells:CRL2097_foreskin-derived:undiff.: 0.53, iPS_cells:iPS:minicircle-derived: 0.53, Tissue_stem_cells:adipose-derived_MSC_AM3: 0.53 |
CHP212_TGACTCCAGATCGCTT-1 | MSC | 0.15 | 266.59 | Raw ScoresMSC: 0.55, Neurons:adrenal_medulla_cell_line: 0.53, Tissue_stem_cells:CD326-CD56+: 0.53, Smooth_muscle_cells:umbilical_vein: 0.53, Tissue_stem_cells:lipoma-derived_MSC: 0.52, Neuroepithelial_cell:ESC-derived: 0.52, Fibroblasts:foreskin: 0.52, iPS_cells:PDB_2lox-22: 0.52, iPS_cells:CRL2097_foreskin-derived:undiff.: 0.52, iPS_cells:iPS:minicircle-derived: 0.52 |
CHP212_TTACCATGTGCCCGTA-1 | MSC | 0.20 | 264.76 | Raw ScoresMSC: 0.59, Smooth_muscle_cells:umbilical_vein: 0.56, Tissue_stem_cells:lipoma-derived_MSC: 0.56, Tissue_stem_cells:adipose-derived_MSC_AM3: 0.55, Neurons:adrenal_medulla_cell_line: 0.55, Fibroblasts:foreskin: 0.55, Neuroepithelial_cell:ESC-derived: 0.54, Tissue_stem_cells:CD326-CD56+: 0.54, Endothelial_cells:HUVEC: 0.54, Smooth_muscle_cells:vascular: 0.54 |
CHP212_GTTGAACTCGCCTTGT-1 | Neurons | 0.15 | 263.25 | Raw ScoresNeurons:adrenal_medulla_cell_line: 0.56, MSC: 0.55, Neuroepithelial_cell:ESC-derived: 0.54, Tissue_stem_cells:CD326-CD56+: 0.53, iPS_cells:PDB_2lox-22: 0.53, iPS_cells:PDB_1lox-21Puro-20: 0.52, Embryonic_stem_cells: 0.52, iPS_cells:PDB_1lox-21Puro-26: 0.52, iPS_cells:PDB_2lox-17: 0.52, Tissue_stem_cells:lipoma-derived_MSC: 0.52 |
CHP212_GAAGAATAGACTACCT-1 | Neurons | 0.15 | 261.52 | Raw ScoresMSC: 0.55, Neurons:adrenal_medulla_cell_line: 0.54, Neuroepithelial_cell:ESC-derived: 0.54, Tissue_stem_cells:CD326-CD56+: 0.52, iPS_cells:PDB_2lox-22: 0.52, iPS_cells:CRL2097_foreskin-derived:undiff.: 0.52, iPS_cells:PDB_1lox-21Puro-20: 0.52, Embryonic_stem_cells: 0.52, iPS_cells:PDB_1lox-21Puro-26: 0.52, iPS_cells:PDB_2lox-17: 0.52 |
CHP212_AGAGCAGCAACATCGT-1 | Neurons | 0.15 | 258.29 | Raw ScoresMSC: 0.55, Neurons:adrenal_medulla_cell_line: 0.55, Tissue_stem_cells:CD326-CD56+: 0.55, Neuroepithelial_cell:ESC-derived: 0.54, Tissue_stem_cells:lipoma-derived_MSC: 0.53, Smooth_muscle_cells:umbilical_vein: 0.53, Embryonic_stem_cells: 0.53, iPS_cells:PDB_2lox-22: 0.53, iPS_cells:PDB_1lox-21Puro-20: 0.52, iPS_cells:iPS:minicircle-derived: 0.52 |
CHP212_TAACGACAGTATAACG-1 | Neurons | 0.16 | 257.89 | Raw ScoresMSC: 0.56, Neurons:adrenal_medulla_cell_line: 0.56, Neuroepithelial_cell:ESC-derived: 0.55, Tissue_stem_cells:CD326-CD56+: 0.55, iPS_cells:PDB_2lox-22: 0.54, iPS_cells:PDB_1lox-21Puro-20: 0.54, Embryonic_stem_cells: 0.54, iPS_cells:CRL2097_foreskin-derived:undiff.: 0.54, iPS_cells:PDB_1lox-21Puro-26: 0.54, iPS_cells:PDB_2lox-17: 0.53 |
CHP212_GTCACGGGTTTCACTT-1 | MSC | 0.15 | 250.02 | Raw ScoresMSC: 0.55, Neurons:adrenal_medulla_cell_line: 0.55, Tissue_stem_cells:CD326-CD56+: 0.53, iPS_cells:PDB_2lox-22: 0.53, Neuroepithelial_cell:ESC-derived: 0.53, iPS_cells:PDB_2lox-17: 0.53, Tissue_stem_cells:lipoma-derived_MSC: 0.52, iPS_cells:CRL2097_foreskin-derived:undiff.: 0.52, Embryonic_stem_cells: 0.52, iPS_cells:fibroblast-derived:Direct_del._reprog: 0.52 |
CHP212_AGTGTTGTCTCTGCCA-1 | Neurons | 0.13 | 247.25 | Raw ScoresMSC: 0.46, Fibroblasts:foreskin: 0.45, Neurons:adrenal_medulla_cell_line: 0.45, Tissue_stem_cells:lipoma-derived_MSC: 0.45, Smooth_muscle_cells:umbilical_vein: 0.45, iPS_cells:CRL2097_foreskin: 0.45, Smooth_muscle_cells:vascular: 0.45, iPS_cells:foreskin_fibrobasts: 0.44, Fibroblasts:breast: 0.44, Smooth_muscle_cells:vascular:IL-17: 0.44 |
CHP212_CACTGTCGTATCAAGA-1 | Neurons | 0.16 | 245.03 | Raw ScoresNeurons:adrenal_medulla_cell_line: 0.57, MSC: 0.57, Neuroepithelial_cell:ESC-derived: 0.56, Tissue_stem_cells:CD326-CD56+: 0.55, iPS_cells:PDB_2lox-22: 0.55, iPS_cells:PDB_1lox-21Puro-20: 0.55, Embryonic_stem_cells: 0.55, iPS_cells:PDB_1lox-21Puro-26: 0.54, iPS_cells:CRL2097_foreskin-derived:undiff.: 0.54, iPS_cells:PDB_2lox-17: 0.54 |
CHP212_ACCCAAAGTTCCGCAG-1 | MSC | 0.16 | 245.00 | Raw ScoresMSC: 0.53, Smooth_muscle_cells:umbilical_vein: 0.5, Neuroepithelial_cell:ESC-derived: 0.5, Fibroblasts:foreskin: 0.49, Tissue_stem_cells:lipoma-derived_MSC: 0.49, Tissue_stem_cells:CD326-CD56+: 0.49, Neurons:Schwann_cell: 0.49, iPS_cells:iPS:minicircle-derived: 0.49, iPS_cells:foreskin_fibrobasts: 0.49, Smooth_muscle_cells:vascular: 0.49 |
CHP212_CATCCACCAGTGGTGA-1 | Neurons | 0.14 | 241.54 | Raw ScoresMSC: 0.55, Neurons:adrenal_medulla_cell_line: 0.54, Tissue_stem_cells:CD326-CD56+: 0.53, Neuroepithelial_cell:ESC-derived: 0.52, iPS_cells:iPS:minicircle-derived: 0.52, iPS_cells:PDB_2lox-22: 0.52, Embryonic_stem_cells: 0.52, iPS_cells:skin_fibroblast-derived: 0.52, iPS_cells:CRL2097_foreskin-derived:undiff.: 0.52, iPS_cells:PDB_2lox-17: 0.51 |
CHP212_TTTACGTTCCAAGCTA-1 | Neurons | 0.13 | 240.74 | Raw ScoresMSC: 0.52, Neurons:adrenal_medulla_cell_line: 0.52, Neuroepithelial_cell:ESC-derived: 0.52, Tissue_stem_cells:CD326-CD56+: 0.52, iPS_cells:PDB_2lox-22: 0.51, Embryonic_stem_cells: 0.5, iPS_cells:fibroblast-derived:Direct_del._reprog: 0.5, iPS_cells:CRL2097_foreskin-derived:undiff.: 0.5, iPS_cells:PDB_2lox-17: 0.5, iPS_cells:iPS:minicircle-derived: 0.5 |
CHP212_AGGTTACCAAAGCGTG-1 | Neurons | 0.16 | 240.42 | Raw ScoresMSC: 0.55, Neurons:adrenal_medulla_cell_line: 0.55, Neuroepithelial_cell:ESC-derived: 0.53, Tissue_stem_cells:CD326-CD56+: 0.53, Tissue_stem_cells:lipoma-derived_MSC: 0.53, Smooth_muscle_cells:umbilical_vein: 0.53, Fibroblasts:foreskin: 0.52, Tissue_stem_cells:adipose-derived_MSC_AM3: 0.52, iPS_cells:PDB_2lox-22: 0.51, Neurons:Schwann_cell: 0.51 |
CHP212_CTACAGAGTCCACAGC-1 | Neurons | 0.17 | 239.91 | Raw ScoresNeuroepithelial_cell:ESC-derived: 0.56, MSC: 0.56, Neurons:adrenal_medulla_cell_line: 0.55, iPS_cells:PDB_2lox-22: 0.54, Tissue_stem_cells:CD326-CD56+: 0.54, iPS_cells:PDB_1lox-21Puro-20: 0.54, iPS_cells:PDB_1lox-21Puro-26: 0.54, Embryonic_stem_cells: 0.53, iPS_cells:PDB_2lox-17: 0.53, iPS_cells:CRL2097_foreskin-derived:undiff.: 0.53 |
CHP212_TTGACCCCAAGAGGCT-1 | Neurons | 0.15 | 239.53 | Raw ScoresMSC: 0.56, Neurons:adrenal_medulla_cell_line: 0.56, Tissue_stem_cells:CD326-CD56+: 0.55, iPS_cells:PDB_2lox-22: 0.54, Neuroepithelial_cell:ESC-derived: 0.54, iPS_cells:PDB_2lox-17: 0.54, iPS_cells:PDB_1lox-21Puro-20: 0.54, iPS_cells:PDB_1lox-21Puro-26: 0.54, iPS_cells:PDB_2lox-21: 0.53, Embryonic_stem_cells: 0.53 |
CHP212_GTGTTCCTCGACATCA-1 | MSC | 0.13 | 238.01 | Raw ScoresTissue_stem_cells:CD326-CD56+: 0.52, Neurons:adrenal_medulla_cell_line: 0.52, MSC: 0.52, Neuroepithelial_cell:ESC-derived: 0.51, iPS_cells:PDB_2lox-22: 0.51, iPS_cells:iPS:minicircle-derived: 0.51, iPS_cells:adipose_stem_cell-derived:minicircle-derived: 0.5, iPS_cells:PDB_2lox-17: 0.5, Smooth_muscle_cells:umbilical_vein: 0.5, iPS_cells:CRL2097_foreskin-derived:undiff.: 0.5 |
CHP212_TAGGAGGGTACTCGTA-1 | MSC | 0.15 | 237.90 | Raw ScoresNeurons:adrenal_medulla_cell_line: 0.55, MSC: 0.54, Tissue_stem_cells:CD326-CD56+: 0.53, iPS_cells:PDB_2lox-22: 0.53, Neuroepithelial_cell:ESC-derived: 0.53, iPS_cells:iPS:minicircle-derived: 0.52, iPS_cells:PDB_2lox-17: 0.52, iPS_cells:CRL2097_foreskin-derived:undiff.: 0.52, iPS_cells:adipose_stem_cell-derived:minicircle-derived: 0.52, Embryonic_stem_cells: 0.52 |
CHP212_TACCCGTCATCCAATG-1 | MSC | 0.13 | 236.52 | Raw ScoresMSC: 0.49, Smooth_muscle_cells:umbilical_vein: 0.48, Tissue_stem_cells:lipoma-derived_MSC: 0.48, Smooth_muscle_cells:vascular:IL-17: 0.48, Smooth_muscle_cells:vascular: 0.48, Tissue_stem_cells:adipose-derived_MSC_AM3: 0.47, iPS_cells:CRL2097_foreskin: 0.47, iPS_cells:foreskin_fibrobasts: 0.47, iPS_cells:skin_fibroblast: 0.47, Fibroblasts:foreskin: 0.47 |
CHP212_AGGATCTTCGGTGCAC-1 | MSC | 0.19 | 235.73 | Raw ScoresMSC: 0.56, Neuroepithelial_cell:ESC-derived: 0.54, Neurons:adrenal_medulla_cell_line: 0.54, Tissue_stem_cells:CD326-CD56+: 0.54, Smooth_muscle_cells:umbilical_vein: 0.53, iPS_cells:PDB_2lox-22: 0.53, Embryonic_stem_cells: 0.53, Tissue_stem_cells:lipoma-derived_MSC: 0.53, Fibroblasts:foreskin: 0.53, iPS_cells:CRL2097_foreskin-derived:undiff.: 0.52 |
CHP212_TCCACCAAGAGAGAAC-1 | Neurons | 0.12 | 234.77 | Raw ScoresMSC: 0.51, Smooth_muscle_cells:umbilical_vein: 0.49, Tissue_stem_cells:lipoma-derived_MSC: 0.49, Tissue_stem_cells:CD326-CD56+: 0.48, Neurons:adrenal_medulla_cell_line: 0.48, Fibroblasts:foreskin: 0.48, Neurons:Schwann_cell: 0.48, iPS_cells:foreskin_fibrobasts: 0.48, Smooth_muscle_cells:vascular: 0.48, iPS_cells:skin_fibroblast: 0.48 |
CHP212_TCGGGTGAGGCAATGC-1 | Neurons | 0.14 | 234.62 | Raw ScoresNeurons:adrenal_medulla_cell_line: 0.53, MSC: 0.52, Tissue_stem_cells:CD326-CD56+: 0.52, Neuroepithelial_cell:ESC-derived: 0.52, iPS_cells:PDB_2lox-22: 0.51, iPS_cells:PDB_2lox-17: 0.5, iPS_cells:CRL2097_foreskin-derived:undiff.: 0.5, iPS_cells:iPS:minicircle-derived: 0.5, Tissue_stem_cells:lipoma-derived_MSC: 0.5, Smooth_muscle_cells:umbilical_vein: 0.5 |
CHP212_GTCACTCCAACACACT-1 | MSC | 0.19 | 233.75 | Raw ScoresMSC: 0.58, Neurons:adrenal_medulla_cell_line: 0.57, Neuroepithelial_cell:ESC-derived: 0.56, iPS_cells:PDB_2lox-22: 0.55, Tissue_stem_cells:CD326-CD56+: 0.55, iPS_cells:CRL2097_foreskin-derived:undiff.: 0.55, Tissue_stem_cells:lipoma-derived_MSC: 0.55, iPS_cells:PDB_1lox-21Puro-20: 0.55, Embryonic_stem_cells: 0.55, iPS_cells:PDB_1lox-21Puro-26: 0.55 |
CHP212_TGGAGAGTCTCGTGAA-1 | Neurons | 0.15 | 232.05 | Raw ScoresMSC: 0.55, Neurons:adrenal_medulla_cell_line: 0.54, Tissue_stem_cells:CD326-CD56+: 0.53, Neuroepithelial_cell:ESC-derived: 0.53, Smooth_muscle_cells:umbilical_vein: 0.52, Fibroblasts:foreskin: 0.52, Tissue_stem_cells:lipoma-derived_MSC: 0.52, Embryonic_stem_cells: 0.52, iPS_cells:PDB_2lox-22: 0.51, Smooth_muscle_cells:vascular: 0.51 |
CHP212_AGAGCAGAGAATCTAG-1 | Neurons | 0.14 | 231.03 | Raw ScoresMSC: 0.54, Neurons:adrenal_medulla_cell_line: 0.52, Smooth_muscle_cells:umbilical_vein: 0.51, Tissue_stem_cells:CD326-CD56+: 0.51, Neuroepithelial_cell:ESC-derived: 0.51, Tissue_stem_cells:lipoma-derived_MSC: 0.51, Fibroblasts:foreskin: 0.5, iPS_cells:skin_fibroblast: 0.5, iPS_cells:iPS:minicircle-derived: 0.5, Tissue_stem_cells:adipose-derived_MSC_AM3: 0.5 |
CHP212_GGAGAACCAGACAAAT-1 | Neurons | 0.15 | 230.49 | Raw ScoresMSC: 0.57, Neurons:adrenal_medulla_cell_line: 0.56, Tissue_stem_cells:CD326-CD56+: 0.56, Neuroepithelial_cell:ESC-derived: 0.56, iPS_cells:PDB_2lox-22: 0.55, Embryonic_stem_cells: 0.55, iPS_cells:CRL2097_foreskin-derived:undiff.: 0.54, iPS_cells:PDB_1lox-21Puro-20: 0.54, iPS_cells:PDB_2lox-17: 0.54, iPS_cells:fibroblast-derived:Direct_del._reprog: 0.54 |
CHP212_CTAACCCAGGAGGCAG-1 | Neurons | 0.16 | 230.17 | Raw ScoresNeurons:adrenal_medulla_cell_line: 0.57, Neuroepithelial_cell:ESC-derived: 0.55, MSC: 0.55, Tissue_stem_cells:CD326-CD56+: 0.55, iPS_cells:PDB_2lox-22: 0.54, iPS_cells:PDB_1lox-21Puro-20: 0.54, iPS_cells:PDB_1lox-21Puro-26: 0.54, Embryonic_stem_cells: 0.54, iPS_cells:CRL2097_foreskin-derived:undiff.: 0.53, iPS_cells:PDB_1lox-17Puro-10: 0.53 |
CHP212_ACATCGAAGTATAGAC-1 | Neurons | 0.16 | 228.48 | Raw ScoresMSC: 0.57, Neurons:adrenal_medulla_cell_line: 0.56, Neuroepithelial_cell:ESC-derived: 0.55, iPS_cells:PDB_2lox-22: 0.54, Tissue_stem_cells:CD326-CD56+: 0.54, Embryonic_stem_cells: 0.54, Tissue_stem_cells:lipoma-derived_MSC: 0.54, iPS_cells:PDB_2lox-17: 0.54, iPS_cells:CRL2097_foreskin-derived:undiff.: 0.54, iPS_cells:PDB_1lox-21Puro-20: 0.54 |
CHP212_ATGAAAGTCTTCCCAG-1 | MSC | 0.17 | 227.74 | Raw ScoresMSC: 0.55, Neurons:adrenal_medulla_cell_line: 0.54, Neuroepithelial_cell:ESC-derived: 0.54, Tissue_stem_cells:CD326-CD56+: 0.53, Smooth_muscle_cells:umbilical_vein: 0.52, iPS_cells:PDB_2lox-22: 0.52, iPS_cells:CRL2097_foreskin-derived:undiff.: 0.52, Embryonic_stem_cells: 0.52, iPS_cells:iPS:minicircle-derived: 0.52, iPS_cells:PDB_2lox-17: 0.52 |
CHP212_TCCGAAAGTCGAATGG-1 | MSC | 0.15 | 227.42 | Raw ScoresNeurons:adrenal_medulla_cell_line: 0.54, MSC: 0.54, Neuroepithelial_cell:ESC-derived: 0.52, Tissue_stem_cells:CD326-CD56+: 0.52, iPS_cells:PDB_2lox-22: 0.52, Tissue_stem_cells:lipoma-derived_MSC: 0.51, Embryonic_stem_cells: 0.51, iPS_cells:iPS:minicircle-derived: 0.51, iPS_cells:CRL2097_foreskin-derived:undiff.: 0.51, iPS_cells:fibroblast-derived:Retroviral_transf: 0.51 |
CHP212_GAGTTTGCACCGGTCA-1 | MSC | 0.15 | 225.48 | Raw ScoresMSC: 0.54, Smooth_muscle_cells:umbilical_vein: 0.52, Fibroblasts:foreskin: 0.51, Smooth_muscle_cells:vascular: 0.51, Tissue_stem_cells:lipoma-derived_MSC: 0.5, Tissue_stem_cells:adipose-derived_MSC_AM3: 0.5, Neurons:Schwann_cell: 0.5, iPS_cells:skin_fibroblast: 0.5, iPS_cells:foreskin_fibrobasts: 0.5, Endothelial_cells:HUVEC: 0.5 |
CHP212_TCATCATCATCGCCTT-1 | MSC | 0.18 | 224.01 | Raw ScoresMSC: 0.54, Fibroblasts:foreskin: 0.51, Tissue_stem_cells:lipoma-derived_MSC: 0.51, Smooth_muscle_cells:vascular: 0.51, Smooth_muscle_cells:umbilical_vein: 0.51, Tissue_stem_cells:adipose-derived_MSC_AM3: 0.51, iPS_cells:foreskin_fibrobasts: 0.5, iPS_cells:skin_fibroblast: 0.5, Tissue_stem_cells:dental_pulp: 0.5, Tissue_stem_cells:CD326-CD56+: 0.5 |
Below shows the significant enrichments of this GEP for literature curated gene lists
This data was procured from existing single cell RNA-seq maps of neuroblastoma or related relevant data.
High ranks indicate this gene is a driver of this GEP.
These curated gene list are ranked by the P-value (on this GEP) of their constituent genes.
The Mean Count column shows the mean read count in cells scoring highly (H > 50) on this gene expression program.
Genes | Weight | Rank | GTEx | DepMap | Decartes | Mean.Counts | Mean.TPM |
---|---|---|---|---|---|---|---|
S100A13 | 0.0272199 | 2 | GTEx | DepMap | Descartes | 34.00 | 758.66 |
KRT8 | 0.0187059 | 12 | GTEx | DepMap | Descartes | 12.56 | 215.51 |
S100A10 | 0.0166847 | 19 | GTEx | DepMap | Descartes | 70.26 | 5027.59 |
KRT18 | 0.0121994 | 55 | GTEx | DepMap | Descartes | 33.40 | 780.60 |
S100A4 | 0.0112568 | 65 | GTEx | DepMap | Descartes | 64.07 | 4056.08 |
S100A3 | 0.0035543 | 499 | GTEx | DepMap | Descartes | 0.88 | 56.04 |
UPK3B | 0.0021577 | 917 | GTEx | DepMap | Descartes | 0.04 | 0.75 |
KRT19 | 0.0005614 | 2530 | GTEx | DepMap | Descartes | 2.06 | 69.85 |
SLPI | 0.0000138 | 4163 | GTEx | DepMap | Descartes | 0.01 | 0.44 |
CCL5 | -0.0000738 | 4730 | GTEx | DepMap | Descartes | 0.00 | 0.05 |
CD74 | -0.0003229 | 6958 | GTEx | DepMap | Descartes | 0.00 | 0.04 |
CD83 | -0.0004039 | 7556 | GTEx | DepMap | Descartes | 0.05 | 0.97 |
Proteasomal degradation (Kinker)
These marker genes were obtained in a pan cancer cell lines NMF analysis of scRNA-eq data in Kinker et al (PMID 33128048) - 10 metaprograms were recovered that manifest across cancers, this is for proteasomal degradataion:
Wilcoxon ranksum test P-value for gene set overrepresentation: 4.02e-04
Mean rank of genes in gene set: 845.8
Rank on gene expression program of genes in gene set:
Genes | Weight | Rank | GTEx | DepMap | Decartes | Mean.Counts | Mean.TPM |
---|---|---|---|---|---|---|---|
PSMB3 | 0.0092045 | 95 | GTEx | DepMap | Descartes | 29.24 | 1810.36 |
PSMA4 | 0.0043675 | 370 | GTEx | DepMap | Descartes | 17.01 | 186.78 |
PSMA3 | 0.0021320 | 924 | GTEx | DepMap | Descartes | 10.00 | 375.56 |
PSME2 | 0.0019113 | 1029 | GTEx | DepMap | Descartes | 6.76 | 119.23 |
PSMC2 | 0.0010278 | 1811 | GTEx | DepMap | Descartes | 3.81 | 60.32 |
IFN Response (Kinker)
These marker genes were obtained in a pan cancer cell lines NMF analysis of scRNA-eq data in Kinker et al (PMID 33128048) - 10 metaprograms were recovered that manifest across cancers, this program contained interferon response genes.:
Wilcoxon ranksum test P-value for gene set overrepresentation: 1.42e-02
Mean rank of genes in gene set: 2722.6
Rank on gene expression program of genes in gene set:
Genes | Weight | Rank | GTEx | DepMap | Decartes | Mean.Counts | Mean.TPM |
---|---|---|---|---|---|---|---|
ISG15 | 0.0027308 | 693 | GTEx | DepMap | Descartes | 1.22 | 76.18 |
IFIT2 | 0.0009871 | 1857 | GTEx | DepMap | Descartes | 0.11 | 1.54 |
IFIT3 | 0.0008012 | 2096 | GTEx | DepMap | Descartes | 0.29 | 5.91 |
IFIT1 | -0.0000172 | 4308 | GTEx | DepMap | Descartes | 0.08 | 0.86 |
ISG20 | -0.0000657 | 4659 | GTEx | DepMap | Descartes | 0.10 | 0.88 |
Below shows ranks on this GEP for literature curated gene lists for large gene sets
These include those reported as mesenchymal/adrenergic by Van Groningen et al.
High ranks indicate this gene is a driver of this GEP (note these results are not ordered).
The Mean Count column shows the mean read count in cells scoring highly (H > 50) on this gene expression program.
VanGroningen Adrenergic Genes
Adrenergic marker genes from Supplementary Table 2 of Van Groningen et al. Nature Genetics 2017. These genes were identified by differential expression analysis of mesenchymal-like and adrenergic-like neuroblastoma cell lines.
Wilcoxon ranksum test P-value for gene set overrepresentation: 1.00e+00
Mean rank of genes in gene set: 9697.15
Median rank of genes in gene set: 11190
Rank on gene expression program of top 30 genes in gene set:
Genes | Weight | Rank | GTEx | DepMap | Descartes | Mean.Counts | Mean.TPM |
---|---|---|---|---|---|---|---|
HMGA1 | 0.0069274 | 176 | GTEx | DepMap | Descartes | 20.80 | 448.73 |
NGRN | 0.0047756 | 323 | GTEx | DepMap | Descartes | 11.94 | 207.58 |
GAL | 0.0036830 | 474 | GTEx | DepMap | Descartes | 62.86 | 3955.72 |
CENPV | 0.0033173 | 546 | GTEx | DepMap | Descartes | 15.07 | 400.97 |
CHML | 0.0028268 | 660 | GTEx | DepMap | Descartes | 3.88 | 25.44 |
CDC42EP3 | 0.0024592 | 790 | GTEx | DepMap | Descartes | 8.93 | 85.47 |
TUBB4B | 0.0022154 | 897 | GTEx | DepMap | Descartes | 21.54 | 473.72 |
SEC11C | 0.0021971 | 905 | GTEx | DepMap | Descartes | 5.10 | 119.81 |
LSM3 | 0.0021117 | 932 | GTEx | DepMap | Descartes | 10.54 | 145.43 |
AKAP12 | 0.0018475 | 1081 | GTEx | DepMap | Descartes | 9.74 | 55.57 |
CKB | 0.0015665 | 1285 | GTEx | DepMap | Descartes | 21.91 | 724.01 |
CXADR | 0.0014760 | 1367 | GTEx | DepMap | Descartes | 1.44 | 12.67 |
TH | 0.0014348 | 1412 | GTEx | DepMap | Descartes | 0.99 | 25.20 |
PTS | 0.0014118 | 1432 | GTEx | DepMap | Descartes | 4.03 | 176.04 |
BIRC5 | 0.0011594 | 1652 | GTEx | DepMap | Descartes | 11.38 | 190.94 |
HS6ST2 | 0.0011086 | 1702 | GTEx | DepMap | Descartes | 0.33 | 3.66 |
GPR22 | 0.0008668 | 2007 | GTEx | DepMap | Descartes | 0.52 | 8.34 |
ENDOG | 0.0006570 | 2345 | GTEx | DepMap | Descartes | 4.20 | 172.34 |
CADM1 | 0.0006418 | 2363 | GTEx | DepMap | Descartes | 3.42 | 19.74 |
CERK | 0.0006360 | 2369 | GTEx | DepMap | Descartes | 2.05 | 22.67 |
GRB10 | 0.0005779 | 2486 | GTEx | DepMap | Descartes | 0.20 | 1.77 |
INO80C | 0.0005624 | 2527 | GTEx | DepMap | Descartes | 1.26 | 18.25 |
POLB | 0.0005397 | 2567 | GTEx | DepMap | Descartes | 1.06 | 37.64 |
TUBB2A | 0.0004914 | 2676 | GTEx | DepMap | Descartes | 3.34 | 96.80 |
MAPT | 0.0004568 | 2741 | GTEx | DepMap | Descartes | 0.57 | 4.19 |
SERP2 | 0.0004379 | 2789 | GTEx | DepMap | Descartes | 0.73 | 37.47 |
ANP32A | 0.0004192 | 2823 | GTEx | DepMap | Descartes | 12.31 | 159.91 |
LEPROTL1 | 0.0003980 | 2878 | GTEx | DepMap | Descartes | 3.37 | 50.91 |
ANK2 | 0.0003483 | 3012 | GTEx | DepMap | Descartes | 2.14 | 7.01 |
SHD | 0.0002922 | 3165 | GTEx | DepMap | Descartes | 4.41 | 113.74 |
VanGroningen Mesenchymal Genes
Mesenchymal marker genes from Supplementary Table 2 of Van Groningen et al. Nature Genetics 2017. These genes were identified by differential expression analysis of mesenchymal-like and adrenergic-like neuroblastoma cell lines.
Wilcoxon ranksum test P-value for gene set overrepresentation: 1.22e-11
Mean rank of genes in gene set: 5135.57
Median rank of genes in gene set: 3673
Rank on gene expression program of top 30 genes in gene set:
Genes | Weight | Rank | GTEx | DepMap | Descartes | Mean.Counts | Mean.TPM |
---|---|---|---|---|---|---|---|
EPHA3 | 0.0191305 | 9 | GTEx | DepMap | Descartes | 1.92 | 16.59 |
ANXA1 | 0.0178427 | 15 | GTEx | DepMap | Descartes | 26.67 | 592.45 |
TPM2 | 0.0177042 | 16 | GTEx | DepMap | Descartes | 15.35 | 467.32 |
NQO1 | 0.0162630 | 20 | GTEx | DepMap | Descartes | 15.81 | 311.21 |
COL12A1 | 0.0137447 | 35 | GTEx | DepMap | Descartes | 1.78 | 7.69 |
PPIB | 0.0131359 | 41 | GTEx | DepMap | Descartes | 57.68 | 2360.28 |
MGST1 | 0.0129155 | 43 | GTEx | DepMap | Descartes | 5.78 | 128.09 |
CTSC | 0.0127928 | 45 | GTEx | DepMap | Descartes | 14.46 | 114.00 |
B2M | 0.0127799 | 46 | GTEx | DepMap | Descartes | 60.51 | 1228.92 |
TNFRSF12A | 0.0126177 | 49 | GTEx | DepMap | Descartes | 13.68 | 383.33 |
ANXA2 | 0.0122425 | 51 | GTEx | DepMap | Descartes | 67.46 | 936.44 |
COL1A1 | 0.0122014 | 54 | GTEx | DepMap | Descartes | 28.70 | 236.47 |
MEST | 0.0118425 | 56 | GTEx | DepMap | Descartes | 6.60 | 120.11 |
MYL12A | 0.0114983 | 61 | GTEx | DepMap | Descartes | 21.49 | 854.00 |
CPED1 | 0.0103557 | 76 | GTEx | DepMap | Descartes | 1.75 | NA |
LMNA | 0.0099361 | 87 | GTEx | DepMap | Descartes | 22.04 | 338.31 |
COL4A1 | 0.0092023 | 96 | GTEx | DepMap | Descartes | 4.81 | 36.71 |
PRDX6 | 0.0091553 | 98 | GTEx | DepMap | Descartes | 32.17 | 903.08 |
COL4A2 | 0.0089757 | 104 | GTEx | DepMap | Descartes | 6.27 | 47.48 |
CRABP2 | 0.0087489 | 108 | GTEx | DepMap | Descartes | 13.48 | 655.97 |
SYNJ2 | 0.0080745 | 134 | GTEx | DepMap | Descartes | 2.55 | 16.88 |
GPX8 | 0.0077504 | 148 | GTEx | DepMap | Descartes | 1.77 | 22.50 |
COL6A1 | 0.0075261 | 153 | GTEx | DepMap | Descartes | 4.61 | 52.37 |
TM4SF1 | 0.0074812 | 155 | GTEx | DepMap | Descartes | 5.16 | 79.83 |
ACADVL | 0.0074606 | 157 | GTEx | DepMap | Descartes | 6.17 | 128.17 |
NES | 0.0071231 | 166 | GTEx | DepMap | Descartes | 7.47 | 63.77 |
ENAH | 0.0068462 | 180 | GTEx | DepMap | Descartes | 21.32 | 78.91 |
GNAI1 | 0.0066695 | 189 | GTEx | DepMap | Descartes | 5.69 | 27.67 |
SEC14L1 | 0.0066110 | 192 | GTEx | DepMap | Descartes | 7.12 | 61.62 |
RGS10 | 0.0065737 | 195 | GTEx | DepMap | Descartes | 3.94 | 210.79 |
Descartes adrenocortical markers
Top 50 marker genes of adrenocortical cells in the Decartes fetal adrenal single cell map (https://atlas.brotmanbaty.org/bbi/human-gene-expression-during-development/cell/adrenocortical/in/adrenal)
Wilcoxon ranksum test P-value for gene set overrepresentation: 8.35e-01
Mean rank of genes in gene set: 6863.33
Median rank of genes in gene set: 8145.5
Rank on gene expression program of top 30 genes in gene set:
Genes | Weight | Rank | GTEx | DepMap | Descartes | Mean.Counts | Mean.TPM |
---|---|---|---|---|---|---|---|
CYB5B | 0.0030157 | 610 | GTEx | DepMap | Descartes | 4.45 | 49.65 |
FREM2 | 0.0025319 | 766 | GTEx | DepMap | Descartes | 0.04 | 0.13 |
BAIAP2L1 | 0.0020228 | 972 | GTEx | DepMap | Descartes | 0.17 | 2.11 |
SCARB1 | 0.0019422 | 1012 | GTEx | DepMap | Descartes | 1.44 | 12.15 |
FDX1 | 0.0018496 | 1077 | GTEx | DepMap | Descartes | 2.32 | 34.93 |
SH3BP5 | 0.0017905 | 1121 | GTEx | DepMap | Descartes | 1.83 | 27.39 |
SH3PXD2B | 0.0017047 | 1186 | GTEx | DepMap | Descartes | 0.76 | 4.66 |
CLU | 0.0013975 | 1448 | GTEx | DepMap | Descartes | 3.77 | 68.10 |
SCAP | 0.0006420 | 2362 | GTEx | DepMap | Descartes | 0.70 | 8.05 |
SLC16A9 | 0.0004936 | 2669 | GTEx | DepMap | Descartes | 0.37 | 4.15 |
ERN1 | 0.0004894 | 2682 | GTEx | DepMap | Descartes | 0.29 | 1.88 |
FDPS | 0.0002884 | 3175 | GTEx | DepMap | Descartes | 10.73 | 252.82 |
FDXR | 0.0001100 | 3767 | GTEx | DepMap | Descartes | 0.79 | 15.25 |
DNER | -0.0000746 | 4735 | GTEx | DepMap | Descartes | 0.03 | 0.46 |
STAR | -0.0001048 | 5049 | GTEx | DepMap | Descartes | 0.02 | 0.32 |
POR | -0.0002828 | 6676 | GTEx | DepMap | Descartes | 0.78 | 14.79 |
SGCZ | -0.0003113 | 6869 | GTEx | DepMap | Descartes | 0.00 | 0.00 |
INHA | -0.0004495 | 7885 | GTEx | DepMap | Descartes | 0.00 | 0.12 |
NPC1 | -0.0005325 | 8406 | GTEx | DepMap | Descartes | 0.11 | 1.14 |
DHCR7 | -0.0006065 | 8840 | GTEx | DepMap | Descartes | 0.57 | 10.50 |
GRAMD1B | -0.0007163 | 9418 | GTEx | DepMap | Descartes | 0.03 | 0.21 |
GSTA4 | -0.0007887 | 9743 | GTEx | DepMap | Descartes | 1.10 | 31.62 |
FRMD5 | -0.0007910 | 9750 | GTEx | DepMap | Descartes | 0.09 | 0.87 |
HMGCR | -0.0009973 | 10478 | GTEx | DepMap | Descartes | 1.71 | 18.62 |
SLC1A2 | -0.0010637 | 10657 | GTEx | DepMap | Descartes | 0.00 | 0.00 |
TM7SF2 | -0.0010714 | 10696 | GTEx | DepMap | Descartes | 0.76 | 18.10 |
PEG3 | -0.0011346 | 10860 | GTEx | DepMap | Descartes | 0.00 | NA |
APOC1 | -0.0011789 | 10961 | GTEx | DepMap | Descartes | 0.03 | 2.28 |
LDLR | -0.0012941 | 11217 | GTEx | DepMap | Descartes | 0.64 | 5.60 |
HMGCS1 | -0.0013171 | 11263 | GTEx | DepMap | Descartes | 1.41 | 13.05 |
Descartes chromaffin markers
Top 50 marker genes of chromaffin cells in the Decartes fetal adrenal single cell map (https://atlas.brotmanbaty.org/bbi/human-gene-expression-during-development/cell/chromaffin/in/adrenal)
Wilcoxon ranksum test P-value for gene set overrepresentation: 1.00e+00
Mean rank of genes in gene set: 8914.83
Median rank of genes in gene set: 10674
Rank on gene expression program of top 30 genes in gene set:
Genes | Weight | Rank | GTEx | DepMap | Descartes | Mean.Counts | Mean.TPM |
---|---|---|---|---|---|---|---|
GAL | 0.0036830 | 474 | GTEx | DepMap | Descartes | 62.86 | 3955.72 |
MLLT11 | 0.0028095 | 665 | GTEx | DepMap | Descartes | 15.72 | 308.10 |
PTCHD1 | 0.0023055 | 858 | GTEx | DepMap | Descartes | 0.19 | 0.70 |
MAB21L2 | 0.0022972 | 864 | GTEx | DepMap | Descartes | 4.32 | 84.43 |
IL7 | 0.0007578 | 2167 | GTEx | DepMap | Descartes | 0.39 | 9.43 |
TUBB2A | 0.0004914 | 2676 | GTEx | DepMap | Descartes | 3.34 | 96.80 |
CCND1 | 0.0000761 | 3898 | GTEx | DepMap | Descartes | 19.29 | 218.09 |
NPY | 0.0000216 | 4130 | GTEx | DepMap | Descartes | 17.94 | 1249.85 |
MAB21L1 | -0.0000547 | 4564 | GTEx | DepMap | Descartes | 5.68 | 97.46 |
ANKFN1 | -0.0002547 | 6458 | GTEx | DepMap | Descartes | 0.00 | 0.04 |
TMEM132C | -0.0002627 | 6510 | GTEx | DepMap | Descartes | 0.00 | 0.00 |
EYA4 | -0.0002704 | 6567 | GTEx | DepMap | Descartes | 0.32 | 2.83 |
EPHA6 | -0.0004714 | 8015 | GTEx | DepMap | Descartes | 0.01 | 0.11 |
REEP1 | -0.0006073 | 8845 | GTEx | DepMap | Descartes | 0.02 | 0.27 |
TMEFF2 | -0.0008325 | 9905 | GTEx | DepMap | Descartes | 0.01 | 0.19 |
HS3ST5 | -0.0008502 | 9969 | GTEx | DepMap | Descartes | 0.04 | 0.51 |
CNKSR2 | -0.0008546 | 9984 | GTEx | DepMap | Descartes | 0.24 | 1.41 |
PLXNA4 | -0.0008634 | 10021 | GTEx | DepMap | Descartes | 0.23 | 0.75 |
KCNB2 | -0.0008958 | 10144 | GTEx | DepMap | Descartes | 0.00 | 0.00 |
GREM1 | -0.0009291 | 10254 | GTEx | DepMap | Descartes | 0.01 | 0.02 |
SLC44A5 | -0.0010670 | 10674 | GTEx | DepMap | Descartes | 0.01 | 0.10 |
RBFOX1 | -0.0011569 | 10909 | GTEx | DepMap | Descartes | 0.00 | 0.00 |
ALK | -0.0011782 | 10960 | GTEx | DepMap | Descartes | 0.00 | 0.01 |
RPH3A | -0.0012533 | 11126 | GTEx | DepMap | Descartes | 0.00 | 0.00 |
NTRK1 | -0.0012812 | 11192 | GTEx | DepMap | Descartes | 0.00 | 0.04 |
FAT3 | -0.0014066 | 11435 | GTEx | DepMap | Descartes | 0.01 | 0.02 |
RYR2 | -0.0014118 | 11446 | GTEx | DepMap | Descartes | 0.01 | 0.02 |
EYA1 | -0.0014310 | 11475 | GTEx | DepMap | Descartes | 0.16 | 1.83 |
MAP1B | -0.0016158 | 11767 | GTEx | DepMap | Descartes | 21.92 | 90.71 |
RGMB | -0.0016797 | 11847 | GTEx | DepMap | Descartes | 0.19 | 2.04 |
Descartes Vascular_endothelial markers
Top 50 marker genes of Vascular_endothelial cells in the Decartes fetal adrenal single cell map (https://atlas.brotmanbaty.org/bbi/human-gene-expression-during-development/cell/vascular_endothelial/in/adrenal)
Wilcoxon ranksum test P-value for gene set overrepresentation: 1.83e-01
Mean rank of genes in gene set: 5743.5
Median rank of genes in gene set: 5912.5
Rank on gene expression program of top 30 genes in gene set:
Genes | Weight | Rank | GTEx | DepMap | Descartes | Mean.Counts | Mean.TPM |
---|---|---|---|---|---|---|---|
ID1 | 0.0053750 | 266 | GTEx | DepMap | Descartes | 19.93 | 805.11 |
NPR1 | 0.0042985 | 379 | GTEx | DepMap | Descartes | 0.67 | 7.81 |
HYAL2 | 0.0030565 | 596 | GTEx | DepMap | Descartes | 2.96 | 35.55 |
CDH13 | 0.0029890 | 613 | GTEx | DepMap | Descartes | 0.20 | 1.18 |
CHRM3 | 0.0014414 | 1407 | GTEx | DepMap | Descartes | 1.54 | 8.86 |
CALCRL | 0.0010477 | 1780 | GTEx | DepMap | Descartes | 0.12 | 0.97 |
IRX3 | 0.0007652 | 2148 | GTEx | DepMap | Descartes | 0.23 | 4.03 |
MMRN2 | 0.0001758 | 3513 | GTEx | DepMap | Descartes | 0.01 | 0.10 |
FLT4 | 0.0001698 | 3534 | GTEx | DepMap | Descartes | 0.03 | 0.28 |
PODXL | 0.0000076 | 4195 | GTEx | DepMap | Descartes | 0.25 | 1.99 |
BTNL9 | -0.0000434 | 4487 | GTEx | DepMap | Descartes | 0.00 | 0.05 |
SHE | -0.0000806 | 4798 | GTEx | DepMap | Descartes | 0.00 | 0.00 |
KANK3 | -0.0000965 | 4957 | GTEx | DepMap | Descartes | 0.00 | 0.01 |
TIE1 | -0.0001203 | 5216 | GTEx | DepMap | Descartes | 0.00 | 0.00 |
CYP26B1 | -0.0001438 | 5438 | GTEx | DepMap | Descartes | 0.00 | 0.00 |
CRHBP | -0.0001467 | 5464 | GTEx | DepMap | Descartes | 0.00 | 0.00 |
ROBO4 | -0.0001527 | 5537 | GTEx | DepMap | Descartes | 0.00 | 0.01 |
NR5A2 | -0.0001668 | 5675 | GTEx | DepMap | Descartes | 0.00 | 0.00 |
CDH5 | -0.0001864 | 5862 | GTEx | DepMap | Descartes | 0.00 | 0.00 |
SHANK3 | -0.0001972 | 5963 | GTEx | DepMap | Descartes | 0.05 | 0.31 |
TEK | -0.0002038 | 6034 | GTEx | DepMap | Descartes | 0.00 | 0.00 |
RASIP1 | -0.0002127 | 6116 | GTEx | DepMap | Descartes | 0.01 | 0.16 |
ESM1 | -0.0002159 | 6141 | GTEx | DepMap | Descartes | 0.00 | 0.00 |
CEACAM1 | -0.0002352 | 6297 | GTEx | DepMap | Descartes | 0.00 | 0.03 |
PLVAP | -0.0002863 | 6699 | GTEx | DepMap | Descartes | 0.00 | 0.00 |
F8 | -0.0003385 | 7066 | GTEx | DepMap | Descartes | 0.01 | 0.05 |
GALNT15 | -0.0003430 | 7097 | GTEx | DepMap | Descartes | 0.00 | NA |
SLCO2A1 | -0.0004274 | 7730 | GTEx | DepMap | Descartes | 0.00 | 0.00 |
CLDN5 | -0.0004305 | 7747 | GTEx | DepMap | Descartes | 0.00 | 0.00 |
RAMP2 | -0.0004763 | 8052 | GTEx | DepMap | Descartes | 0.91 | 49.88 |
Descartes stromal markers
Top 50 marker genes of stromal cells in the Decartes fetal adrenal single cell map (https://atlas.brotmanbaty.org/bbi/human-gene-expression-during-development/cell/stromal/in/adrenal)
Wilcoxon ranksum test P-value for gene set overrepresentation: 7.73e-01
Mean rank of genes in gene set: 6682.75
Median rank of genes in gene set: 6898
Rank on gene expression program of top 30 genes in gene set:
Genes | Weight | Rank | GTEx | DepMap | Descartes | Mean.Counts | Mean.TPM |
---|---|---|---|---|---|---|---|
LUM | 0.0150340 | 29 | GTEx | DepMap | Descartes | 16.74 | 301.05 |
COL12A1 | 0.0137447 | 35 | GTEx | DepMap | Descartes | 1.78 | 7.69 |
COL1A1 | 0.0122014 | 54 | GTEx | DepMap | Descartes | 28.70 | 236.47 |
COL3A1 | 0.0040365 | 409 | GTEx | DepMap | Descartes | 9.08 | 82.71 |
LRRC17 | 0.0020348 | 966 | GTEx | DepMap | Descartes | 3.87 | 93.46 |
RSPO3 | 0.0017374 | 1162 | GTEx | DepMap | Descartes | 0.04 | NA |
LAMC3 | 0.0006418 | 2364 | GTEx | DepMap | Descartes | 0.03 | 0.22 |
EDNRA | 0.0006203 | 2396 | GTEx | DepMap | Descartes | 0.35 | 4.24 |
PRRX1 | 0.0004077 | 2856 | GTEx | DepMap | Descartes | 1.14 | 13.89 |
COL27A1 | 0.0003462 | 3014 | GTEx | DepMap | Descartes | 0.08 | 0.50 |
ACTA2 | 0.0002612 | 3249 | GTEx | DepMap | Descartes | 0.37 | 14.67 |
IGFBP3 | 0.0002369 | 3311 | GTEx | DepMap | Descartes | 1.36 | 26.24 |
ABCA6 | 0.0002243 | 3344 | GTEx | DepMap | Descartes | 0.01 | 0.05 |
GLI2 | 0.0001670 | 3549 | GTEx | DepMap | Descartes | 0.33 | 2.27 |
ADAMTSL3 | 0.0000345 | 4058 | GTEx | DepMap | Descartes | 0.00 | 0.03 |
SFRP2 | -0.0000628 | 4636 | GTEx | DepMap | Descartes | 0.00 | 0.00 |
SCARA5 | -0.0001105 | 5105 | GTEx | DepMap | Descartes | 0.00 | 0.00 |
HHIP | -0.0001379 | 5379 | GTEx | DepMap | Descartes | 0.52 | 2.55 |
OGN | -0.0001765 | 5760 | GTEx | DepMap | Descartes | 0.00 | 0.00 |
ISLR | -0.0002361 | 6301 | GTEx | DepMap | Descartes | 0.04 | 0.77 |
POSTN | -0.0002486 | 6405 | GTEx | DepMap | Descartes | 0.03 | 0.53 |
FREM1 | -0.0003036 | 6818 | GTEx | DepMap | Descartes | 0.04 | 0.23 |
ITGA11 | -0.0003252 | 6978 | GTEx | DepMap | Descartes | 0.31 | 1.52 |
CLDN11 | -0.0003494 | 7140 | GTEx | DepMap | Descartes | 0.01 | 0.07 |
PAMR1 | -0.0003569 | 7188 | GTEx | DepMap | Descartes | 0.00 | 0.00 |
DKK2 | -0.0003967 | 7489 | GTEx | DepMap | Descartes | 0.39 | 5.74 |
GAS2 | -0.0004295 | 7739 | GTEx | DepMap | Descartes | 0.06 | 1.32 |
ADAMTS2 | -0.0004302 | 7744 | GTEx | DepMap | Descartes | 0.09 | 0.70 |
PCDH18 | -0.0004863 | 8121 | GTEx | DepMap | Descartes | 0.19 | 1.58 |
ABCC9 | -0.0005702 | 8637 | GTEx | DepMap | Descartes | 0.00 | 0.00 |
Descartes sympathoblasts markers
Top 50 marker genes of sympathoblasts cells in the Decartes fetal adrenal single cell map (https://atlas.brotmanbaty.org/bbi/human-gene-expression-during-development/cell/sympathoblasts/in/adrenal)
Wilcoxon ranksum test P-value for gene set overrepresentation: 1.00e+00
Mean rank of genes in gene set: 8362.47
Median rank of genes in gene set: 8862
Rank on gene expression program of top 30 genes in gene set:
Genes | Weight | Rank | GTEx | DepMap | Descartes | Mean.Counts | Mean.TPM |
---|---|---|---|---|---|---|---|
PCSK1N | 0.0149406 | 30 | GTEx | DepMap | Descartes | 31.41 | 1523.54 |
PENK | 0.0019761 | 999 | GTEx | DepMap | Descartes | 0.15 | 7.34 |
ARC | 0.0007552 | 2171 | GTEx | DepMap | Descartes | 0.33 | 5.48 |
LAMA3 | 0.0004064 | 2859 | GTEx | DepMap | Descartes | 0.03 | 0.11 |
CNTN3 | 0.0000543 | 3972 | GTEx | DepMap | Descartes | 0.04 | 0.36 |
KSR2 | -0.0001476 | 5479 | GTEx | DepMap | Descartes | 0.00 | 0.01 |
SLC24A2 | -0.0001985 | 5972 | GTEx | DepMap | Descartes | 0.00 | 0.00 |
CDH12 | -0.0001990 | 5981 | GTEx | DepMap | Descartes | 0.00 | 0.00 |
PACRG | -0.0002006 | 6005 | GTEx | DepMap | Descartes | 0.01 | 0.26 |
SORCS3 | -0.0002209 | 6184 | GTEx | DepMap | Descartes | 0.00 | 0.00 |
GRID2 | -0.0002279 | 6243 | GTEx | DepMap | Descartes | 0.11 | 0.96 |
SLC35F3 | -0.0002994 | 6790 | GTEx | DepMap | Descartes | 0.13 | 2.03 |
TENM1 | -0.0004906 | 8151 | GTEx | DepMap | Descartes | 0.01 | NA |
AGBL4 | -0.0005132 | 8286 | GTEx | DepMap | Descartes | 0.01 | 0.10 |
DGKK | -0.0005366 | 8434 | GTEx | DepMap | Descartes | 0.00 | 0.00 |
ST18 | -0.0005660 | 8610 | GTEx | DepMap | Descartes | 0.00 | 0.00 |
CDH18 | -0.0005753 | 8664 | GTEx | DepMap | Descartes | 0.01 | 0.06 |
TBX20 | -0.0005913 | 8757 | GTEx | DepMap | Descartes | 0.01 | 0.31 |
KCTD16 | -0.0006002 | 8809 | GTEx | DepMap | Descartes | 0.10 | 0.34 |
NTNG1 | -0.0006195 | 8915 | GTEx | DepMap | Descartes | 0.12 | 1.34 |
GALNTL6 | -0.0006451 | 9062 | GTEx | DepMap | Descartes | 0.03 | 0.29 |
CCSER1 | -0.0006570 | 9132 | GTEx | DepMap | Descartes | 0.03 | NA |
GRM7 | -0.0007343 | 9505 | GTEx | DepMap | Descartes | 0.00 | 0.02 |
PCSK2 | -0.0008473 | 9960 | GTEx | DepMap | Descartes | 0.00 | 0.00 |
SPOCK3 | -0.0009594 | 10343 | GTEx | DepMap | Descartes | 0.03 | 0.55 |
UNC80 | -0.0010070 | 10511 | GTEx | DepMap | Descartes | 0.00 | 0.01 |
HTATSF1 | -0.0010220 | 10551 | GTEx | DepMap | Descartes | 4.19 | 68.35 |
FAM155A | -0.0010407 | 10603 | GTEx | DepMap | Descartes | 0.57 | 2.93 |
GCH1 | -0.0010607 | 10652 | GTEx | DepMap | Descartes | 0.07 | 1.23 |
MGAT4C | -0.0010693 | 10685 | GTEx | DepMap | Descartes | 0.00 | 0.00 |
Descartes erythroblasts markers
Top 50 marker genes of erythroblasts cells in the Decartes fetal adrenal single cell map (https://atlas.brotmanbaty.org/bbi/human-gene-expression-during-development/cell/erythroblasts/in/adrenal)
Wilcoxon ranksum test P-value for gene set overrepresentation: 5.96e-01
Mean rank of genes in gene set: 6438.93
Median rank of genes in gene set: 6546
Rank on gene expression program of top 30 genes in gene set:
Genes | Weight | Rank | GTEx | DepMap | Descartes | Mean.Counts | Mean.TPM |
---|---|---|---|---|---|---|---|
SLC25A21 | 0.0071112 | 169 | GTEx | DepMap | Descartes | 0.09 | 1.04 |
SNCA | 0.0033683 | 532 | GTEx | DepMap | Descartes | 1.85 | 26.86 |
BLVRB | 0.0016175 | 1253 | GTEx | DepMap | Descartes | 1.84 | 64.53 |
FECH | 0.0009384 | 1914 | GTEx | DepMap | Descartes | 0.51 | 3.28 |
SLC25A37 | 0.0006513 | 2350 | GTEx | DepMap | Descartes | 2.84 | 29.94 |
GCLC | 0.0003903 | 2906 | GTEx | DepMap | Descartes | 0.80 | 10.48 |
TFR2 | 0.0000195 | 4140 | GTEx | DepMap | Descartes | 0.12 | 1.90 |
SELENBP1 | -0.0000211 | 4335 | GTEx | DepMap | Descartes | 0.13 | 2.12 |
ALAS2 | -0.0000782 | 4775 | GTEx | DepMap | Descartes | 0.00 | 0.00 |
GYPC | -0.0000900 | 4887 | GTEx | DepMap | Descartes | 0.00 | 0.00 |
RHD | -0.0000928 | 4910 | GTEx | DepMap | Descartes | 0.00 | 0.00 |
CPOX | -0.0001036 | 5028 | GTEx | DepMap | Descartes | 0.27 | 4.75 |
RGS6 | -0.0001359 | 5355 | GTEx | DepMap | Descartes | 0.00 | 0.00 |
SLC4A1 | -0.0001656 | 5668 | GTEx | DepMap | Descartes | 0.00 | 0.00 |
CAT | -0.0002673 | 6546 | GTEx | DepMap | Descartes | 0.76 | 16.02 |
RAPGEF2 | -0.0002900 | 6722 | GTEx | DepMap | Descartes | 0.68 | 3.99 |
DENND4A | -0.0002934 | 6743 | GTEx | DepMap | Descartes | 0.42 | 2.35 |
ABCB10 | -0.0003196 | 6930 | GTEx | DepMap | Descartes | 0.25 | 3.22 |
TMCC2 | -0.0004105 | 7606 | GTEx | DepMap | Descartes | 0.03 | 0.33 |
MICAL2 | -0.0004895 | 8139 | GTEx | DepMap | Descartes | 0.53 | 4.09 |
SPTB | -0.0004927 | 8166 | GTEx | DepMap | Descartes | 0.00 | 0.02 |
XPO7 | -0.0006454 | 9064 | GTEx | DepMap | Descartes | 0.72 | 7.24 |
ANK1 | -0.0007712 | 9667 | GTEx | DepMap | Descartes | 0.01 | 0.03 |
SOX6 | -0.0009054 | 10183 | GTEx | DepMap | Descartes | 0.06 | 0.35 |
TRAK2 | -0.0010073 | 10513 | GTEx | DepMap | Descartes | 0.39 | 3.06 |
SPECC1 | -0.0015275 | 11646 | GTEx | DepMap | Descartes | 0.10 | 0.61 |
MARCH3 | -0.0018346 | 11983 | GTEx | DepMap | Descartes | 0.05 | NA |
TSPAN5 | -0.0019827 | 12092 | GTEx | DepMap | Descartes | 1.03 | 12.26 |
EPB41 | -0.0034998 | 12507 | GTEx | DepMap | Descartes | 0.64 | 4.84 |
NA | NA | NA | NA | NA | NA | NA | NA |
Descartes myeloid markers
Top 50 marker genes of myeloid cells in the Decartes fetal adrenal single cell map (https://atlas.brotmanbaty.org/bbi/human-gene-expression-during-development/cell/myeloid/in/adrenal)
Wilcoxon ranksum test P-value for gene set overrepresentation: 3.53e-01
Mean rank of genes in gene set: 6053.76
Median rank of genes in gene set: 6202.5
Rank on gene expression program of top 30 genes in gene set:
Genes | Weight | Rank | GTEx | DepMap | Descartes | Mean.Counts | Mean.TPM |
---|---|---|---|---|---|---|---|
CTSC | 0.0127928 | 45 | GTEx | DepMap | Descartes | 14.46 | 114.00 |
CST3 | 0.0061121 | 216 | GTEx | DepMap | Descartes | 19.00 | 280.08 |
FMN1 | 0.0053333 | 270 | GTEx | DepMap | Descartes | 3.09 | 11.25 |
RGL1 | 0.0046456 | 334 | GTEx | DepMap | Descartes | 2.07 | 20.09 |
CTSD | 0.0019763 | 998 | GTEx | DepMap | Descartes | 3.43 | 81.55 |
AXL | 0.0018113 | 1105 | GTEx | DepMap | Descartes | 1.18 | 11.85 |
PTPRE | 0.0016044 | 1264 | GTEx | DepMap | Descartes | 1.28 | 11.08 |
SLC9A9 | 0.0006368 | 2367 | GTEx | DepMap | Descartes | 0.06 | 0.94 |
FGD2 | 0.0005387 | 2571 | GTEx | DepMap | Descartes | 0.00 | 0.02 |
ATP8B4 | 0.0003801 | 2936 | GTEx | DepMap | Descartes | 0.00 | 0.03 |
ADAP2 | 0.0002912 | 3166 | GTEx | DepMap | Descartes | 0.01 | 0.10 |
WWP1 | 0.0001209 | 3729 | GTEx | DepMap | Descartes | 0.48 | 4.68 |
CD163 | -0.0000761 | 4748 | GTEx | DepMap | Descartes | 0.00 | 0.00 |
HCK | -0.0000850 | 4840 | GTEx | DepMap | Descartes | 0.00 | 0.00 |
SLCO2B1 | -0.0001134 | 5138 | GTEx | DepMap | Descartes | 0.00 | 0.00 |
CYBB | -0.0001299 | 5305 | GTEx | DepMap | Descartes | 0.00 | 0.00 |
SPP1 | -0.0001434 | 5428 | GTEx | DepMap | Descartes | 0.06 | 1.92 |
FGL2 | -0.0001706 | 5708 | GTEx | DepMap | Descartes | 0.00 | 0.00 |
MS4A4A | -0.0002217 | 6194 | GTEx | DepMap | Descartes | 0.00 | 0.00 |
IFNGR1 | -0.0002243 | 6211 | GTEx | DepMap | Descartes | 0.61 | 12.39 |
MSR1 | -0.0002807 | 6659 | GTEx | DepMap | Descartes | 0.00 | 0.00 |
CSF1R | -0.0002911 | 6731 | GTEx | DepMap | Descartes | 0.00 | 0.00 |
CD74 | -0.0003229 | 6958 | GTEx | DepMap | Descartes | 0.00 | 0.04 |
CD14 | -0.0003242 | 6968 | GTEx | DepMap | Descartes | 0.00 | 0.09 |
LGMN | -0.0003425 | 7096 | GTEx | DepMap | Descartes | 0.54 | 12.27 |
MARCH1 | -0.0004327 | 7757 | GTEx | DepMap | Descartes | 0.02 | NA |
CTSB | -0.0006114 | 8867 | GTEx | DepMap | Descartes | 1.75 | 22.70 |
CTSS | -0.0006629 | 9161 | GTEx | DepMap | Descartes | 0.00 | 0.06 |
MERTK | -0.0008357 | 9919 | GTEx | DepMap | Descartes | 0.01 | 0.19 |
RBPJ | -0.0008807 | 10089 | GTEx | DepMap | Descartes | 2.95 | 23.78 |
Descartes Schwann markers
Top 50 marker genes of Schwann cells in the Decartes fetal adrenal single cell map (https://atlas.brotmanbaty.org/bbi/human-gene-expression-during-development/cell/schwann/in/adrenal)
Wilcoxon ranksum test P-value for gene set overrepresentation: 8.57e-01
Mean rank of genes in gene set: 6856.61
Median rank of genes in gene set: 7366.5
Rank on gene expression program of top 30 genes in gene set:
Genes | Weight | Rank | GTEx | DepMap | Descartes | Mean.Counts | Mean.TPM |
---|---|---|---|---|---|---|---|
COL18A1 | 0.0168024 | 18 | GTEx | DepMap | Descartes | 5.85 | 43.46 |
VIM | 0.0059578 | 224 | GTEx | DepMap | Descartes | 121.36 | 2291.50 |
ADAMTS5 | 0.0054151 | 254 | GTEx | DepMap | Descartes | 2.39 | 12.45 |
SLC35F1 | 0.0044569 | 356 | GTEx | DepMap | Descartes | 0.82 | 8.02 |
MDGA2 | 0.0031850 | 576 | GTEx | DepMap | Descartes | 0.12 | 1.03 |
EDNRB | 0.0027665 | 683 | GTEx | DepMap | Descartes | 0.12 | 1.29 |
PPP2R2B | 0.0024590 | 791 | GTEx | DepMap | Descartes | 2.50 | 11.50 |
IL1RAPL2 | 0.0020379 | 964 | GTEx | DepMap | Descartes | 0.00 | 0.02 |
OLFML2A | 0.0018830 | 1056 | GTEx | DepMap | Descartes | 0.10 | 0.78 |
PMP22 | 0.0016353 | 1242 | GTEx | DepMap | Descartes | 2.31 | 62.51 |
LAMC1 | 0.0006878 | 2285 | GTEx | DepMap | Descartes | 1.78 | 10.76 |
HMGA2 | 0.0004222 | 2820 | GTEx | DepMap | Descartes | 1.61 | 9.45 |
GAS7 | 0.0004201 | 2822 | GTEx | DepMap | Descartes | 0.08 | 0.54 |
SCN7A | 0.0003823 | 2930 | GTEx | DepMap | Descartes | 0.06 | 0.45 |
COL25A1 | 0.0002615 | 3246 | GTEx | DepMap | Descartes | 0.07 | 0.47 |
IL1RAPL1 | -0.0001468 | 5467 | GTEx | DepMap | Descartes | 0.07 | 1.04 |
XKR4 | -0.0001768 | 5764 | GTEx | DepMap | Descartes | 0.00 | 0.00 |
PLP1 | -0.0001991 | 5984 | GTEx | DepMap | Descartes | 0.00 | 0.00 |
ERBB3 | -0.0002018 | 6013 | GTEx | DepMap | Descartes | 0.00 | 0.00 |
MPZ | -0.0003099 | 6858 | GTEx | DepMap | Descartes | 0.01 | 0.13 |
GFRA3 | -0.0003724 | 7292 | GTEx | DepMap | Descartes | 0.00 | 0.06 |
LRRTM4 | -0.0003798 | 7355 | GTEx | DepMap | Descartes | 0.00 | 0.00 |
NRXN3 | -0.0003828 | 7378 | GTEx | DepMap | Descartes | 0.00 | 0.00 |
VCAN | -0.0003943 | 7468 | GTEx | DepMap | Descartes | 3.42 | 13.84 |
EGFLAM | -0.0005895 | 8747 | GTEx | DepMap | Descartes | 0.00 | 0.05 |
STARD13 | -0.0006513 | 9106 | GTEx | DepMap | Descartes | 0.11 | 0.88 |
SOX5 | -0.0007913 | 9756 | GTEx | DepMap | Descartes | 0.17 | 1.19 |
TRPM3 | -0.0008820 | 10096 | GTEx | DepMap | Descartes | 0.01 | 0.06 |
PAG1 | -0.0009182 | 10224 | GTEx | DepMap | Descartes | 0.12 | 0.51 |
LAMA4 | -0.0009280 | 10251 | GTEx | DepMap | Descartes | 0.01 | 0.07 |
Descartes Megakaryocytes markers
Top 50 marker genes of Megakaryocytes cells in the Decartes fetal adrenal single cell map (https://atlas.brotmanbaty.org/bbi/human-gene-expression-during-development/cell/megakaryocytes/in/adrenal)
Wilcoxon ranksum test P-value for gene set overrepresentation: 2.51e-01
Mean rank of genes in gene set: 5912.69
Median rank of genes in gene set: 5670
Rank on gene expression program of top 30 genes in gene set:
Genes | Weight | Rank | GTEx | DepMap | Descartes | Mean.Counts | Mean.TPM |
---|---|---|---|---|---|---|---|
ANGPT1 | 0.0105067 | 72 | GTEx | DepMap | Descartes | 1.68 | 19.74 |
TGFB1 | 0.0102355 | 79 | GTEx | DepMap | Descartes | 4.96 | 86.05 |
MYLK | 0.0079996 | 139 | GTEx | DepMap | Descartes | 3.54 | 16.96 |
TRPC6 | 0.0059865 | 223 | GTEx | DepMap | Descartes | 0.06 | 0.69 |
THBS1 | 0.0040584 | 406 | GTEx | DepMap | Descartes | 3.27 | 20.97 |
VCL | 0.0038951 | 436 | GTEx | DepMap | Descartes | 4.28 | 26.61 |
ZYX | 0.0035673 | 495 | GTEx | DepMap | Descartes | 4.60 | 99.59 |
MYH9 | 0.0032629 | 557 | GTEx | DepMap | Descartes | 4.51 | 29.89 |
PDE3A | 0.0032380 | 568 | GTEx | DepMap | Descartes | 0.65 | 4.32 |
CD9 | 0.0025923 | 738 | GTEx | DepMap | Descartes | 10.47 | 296.24 |
LIMS1 | 0.0020136 | 976 | GTEx | DepMap | Descartes | 5.01 | 54.38 |
FLNA | 0.0020116 | 977 | GTEx | DepMap | Descartes | 5.60 | 32.13 |
TMSB4X | 0.0020058 | 982 | GTEx | DepMap | Descartes | 70.07 | 2096.23 |
TLN1 | 0.0013096 | 1518 | GTEx | DepMap | Descartes | 5.52 | 31.07 |
RAP1B | 0.0004279 | 2810 | GTEx | DepMap | Descartes | 6.27 | 23.20 |
ACTN1 | 0.0003831 | 2928 | GTEx | DepMap | Descartes | 3.43 | 35.64 |
PSTPIP2 | 0.0002780 | 3201 | GTEx | DepMap | Descartes | 0.16 | 2.59 |
ACTB | 0.0002131 | 3379 | GTEx | DepMap | Descartes | 65.03 | 1406.80 |
TPM4 | 0.0001627 | 3565 | GTEx | DepMap | Descartes | 11.00 | 110.83 |
GP1BA | -0.0001086 | 5085 | GTEx | DepMap | Descartes | 0.00 | 0.10 |
MMRN1 | -0.0001199 | 5210 | GTEx | DepMap | Descartes | 0.00 | 0.00 |
CD84 | -0.0001544 | 5555 | GTEx | DepMap | Descartes | 0.00 | 0.00 |
TUBB1 | -0.0001663 | 5670 | GTEx | DepMap | Descartes | 0.00 | 0.00 |
ITGA2B | -0.0002211 | 6186 | GTEx | DepMap | Descartes | 0.01 | 0.07 |
P2RX1 | -0.0002713 | 6578 | GTEx | DepMap | Descartes | 0.00 | 0.00 |
PLEK | -0.0003142 | 6887 | GTEx | DepMap | Descartes | 0.00 | 0.00 |
SPN | -0.0003736 | 7310 | GTEx | DepMap | Descartes | 0.00 | 0.02 |
ITGB3 | -0.0005841 | 8716 | GTEx | DepMap | Descartes | 0.00 | 0.01 |
MCTP1 | -0.0006292 | 8980 | GTEx | DepMap | Descartes | 0.02 | 0.16 |
ARHGAP6 | -0.0007834 | 9716 | GTEx | DepMap | Descartes | 0.04 | 0.31 |
Descartes Lyphoid markers
Top 50 marker genes of Lyphoid cells in the Decartes fetal adrenal single cell map (https://atlas.brotmanbaty.org/bbi/human-gene-expression-during-development/cell/lymphoid/in/adrenal)
Wilcoxon ranksum test P-value for gene set overrepresentation: 9.95e-01
Mean rank of genes in gene set: 7724.57
Median rank of genes in gene set: 8399.5
Rank on gene expression program of top 30 genes in gene set:
Genes | Weight | Rank | GTEx | DepMap | Descartes | Mean.Counts | Mean.TPM |
---|---|---|---|---|---|---|---|
B2M | 0.0127799 | 46 | GTEx | DepMap | Descartes | 60.51 | 1228.92 |
TOX | 0.0063586 | 208 | GTEx | DepMap | Descartes | 1.93 | 22.85 |
TMSB10 | 0.0040295 | 410 | GTEx | DepMap | Descartes | 165.25 | 17302.12 |
SP100 | 0.0039787 | 418 | GTEx | DepMap | Descartes | 1.26 | 11.46 |
ARID5B | 0.0008481 | 2032 | GTEx | DepMap | Descartes | 1.55 | 10.58 |
CCND3 | 0.0004599 | 2734 | GTEx | DepMap | Descartes | 0.84 | 16.56 |
GNG2 | 0.0001005 | 3812 | GTEx | DepMap | Descartes | 1.72 | 22.60 |
ARHGAP15 | 0.0000629 | 3945 | GTEx | DepMap | Descartes | 0.00 | 0.03 |
PLEKHA2 | -0.0000444 | 4494 | GTEx | DepMap | Descartes | 0.22 | 2.03 |
CCL5 | -0.0000738 | 4730 | GTEx | DepMap | Descartes | 0.00 | 0.05 |
RCSD1 | -0.0001072 | 5074 | GTEx | DepMap | Descartes | 0.00 | 0.05 |
SKAP1 | -0.0001999 | 5992 | GTEx | DepMap | Descartes | 0.00 | 0.00 |
SAMD3 | -0.0002261 | 6225 | GTEx | DepMap | Descartes | 0.00 | 0.05 |
DOCK10 | -0.0002385 | 6320 | GTEx | DepMap | Descartes | 0.27 | 1.77 |
IKZF1 | -0.0002451 | 6377 | GTEx | DepMap | Descartes | 0.01 | 0.04 |
MCTP2 | -0.0002526 | 6436 | GTEx | DepMap | Descartes | 0.00 | 0.02 |
SORL1 | -0.0002562 | 6470 | GTEx | DepMap | Descartes | 0.19 | 0.84 |
SCML4 | -0.0002622 | 6504 | GTEx | DepMap | Descartes | 0.00 | 0.00 |
MBNL1 | -0.0003486 | 7127 | GTEx | DepMap | Descartes | 1.58 | 11.89 |
ITPKB | -0.0004532 | 7908 | GTEx | DepMap | Descartes | 0.10 | 0.79 |
EVL | -0.0004802 | 8084 | GTEx | DepMap | Descartes | 2.61 | 34.02 |
PRKCH | -0.0005839 | 8715 | GTEx | DepMap | Descartes | 0.00 | 0.00 |
FOXP1 | -0.0006004 | 8812 | GTEx | DepMap | Descartes | 1.75 | 9.47 |
LCP1 | -0.0007106 | 9399 | GTEx | DepMap | Descartes | 0.00 | 0.00 |
NCALD | -0.0007865 | 9730 | GTEx | DepMap | Descartes | 0.19 | 2.63 |
BACH2 | -0.0008512 | 9973 | GTEx | DepMap | Descartes | 0.01 | 0.05 |
ANKRD44 | -0.0008809 | 10092 | GTEx | DepMap | Descartes | 0.16 | 1.13 |
LEF1 | -0.0009984 | 10480 | GTEx | DepMap | Descartes | 0.09 | 1.25 |
STK39 | -0.0011424 | 10874 | GTEx | DepMap | Descartes | 0.56 | 8.11 |
ETS1 | -0.0012033 | 11012 | GTEx | DepMap | Descartes | 0.24 | 2.29 |
Below shows the ranks on this GEP for immune marker gene lists curated by CellTypist (https://www.celltypist.org/encyclopedia).
High ranks indicate this gene is a driver of this GEP.
These curated gene list are ranked by P-value (on this GEP) of their constituent genes.
The Mean Count column shows the mean read count in cells scoring highly (H > 50) on this gene expression program.
Genes | Weight | Rank | GTEx | DepMap | Decartes | Mean.Counts | Mean.TPM |
---|---|---|---|---|---|---|---|
ITGA1 | 0.0045547 | 347 | GTEx | DepMap | Descartes | 4.32 | 19.90 |
ITGAE | 0.0038540 | 441 | GTEx | DepMap | Descartes | 5.30 | 66.04 |
T cells: Type 17 helper T cells (model markers)
CD4+ helper T lymphocyte subpopulation which is capable of producing interleukin 17 (IL-17) and mediating protective immunity and autoimmunity:
Wilcoxon ranksum test P-value for gene set overrepresentation: 1.22e-02
Mean rank of genes in gene set: 1565.33
Rank on gene expression program of genes in gene set:
Genes | Weight | Rank | GTEx | DepMap | Decartes | Mean.Counts | Mean.TPM |
---|---|---|---|---|---|---|---|
ANXA1 | 0.0178427 | 15 | GTEx | DepMap | Descartes | 26.67 | 592.45 |
S100A4 | 0.0112568 | 65 | GTEx | DepMap | Descartes | 64.07 | 4056.08 |
KLRB1 | -0.0000604 | 4616 | GTEx | DepMap | Descartes | 0.00 | 0.00 |
DC: Transitional DC (curated markers)
immature dendritic cells which follow dendritic cell precursors and are committed to the mature dendritic cells:
Wilcoxon ranksum test P-value for gene set overrepresentation: 1.65e-02
Mean rank of genes in gene set: 815.5
Rank on gene expression program of genes in gene set:
Genes | Weight | Rank | GTEx | DepMap | Decartes | Mean.Counts | Mean.TPM |
---|---|---|---|---|---|---|---|
KLF4 | 0.0034032 | 526 | GTEx | DepMap | Descartes | 0.48 | 7.70 |
AXL | 0.0018113 | 1105 | GTEx | DepMap | Descartes | 1.18 | 11.85 |