Program: 34. Adrenal Cortex II.

Program: 34. Adrenal Cortex II.




Submit a comment on this gene expression program’s interpretation: CLICK

QQ-plot of gene loadings, averaged over both independent splits of the data
This plot highlights the relative contribution of each gene to the GEP

Interactive QQ Plot

Top genes driving this program.
Note: Decartes website is buggy, try refreshing. Also, Decartes fetal adrenal data have been collected at specific time points (89-122 days), all possible cell types of interest may not be represented, do not overinterpret.
The Mean Count column shows the mean read count in cells scoring highly (H > 50) on this gene expression program.

Gene Loading Gene.Name GTEx DepMap Descartes Mean.Counts Mean.Tpm
1 STAR 0.0145598 steroidogenic acute regulatory protein GTEx DepMap Descartes 146.83 4026.39
2 CYP11A1 0.0136382 cytochrome P450 family 11 subfamily A member 1 GTEx DepMap Descartes 47.84 2335.66
3 SULT2A1 0.0133886 sulfotransferase family 2A member 1 GTEx DepMap Descartes 27.43 1500.20
4 FDX1 0.0126828 ferredoxin 1 GTEx DepMap Descartes 108.03 3203.22
5 CYP17A1 0.0120560 cytochrome P450 family 17 subfamily A member 1 GTEx DepMap Descartes 77.01 2877.04
6 HSPE1 0.0116353 heat shock protein family E (Hsp10) member 1 GTEx DepMap Descartes 98.73 13223.42
7 MOB4 0.0115437 MOB family member 4, phocein GTEx DepMap Descartes 11.73 318.76
8 IDI1 0.0106804 isopentenyl-diphosphate delta isomerase 1 GTEx DepMap Descartes 14.58 444.59
9 FDPS 0.0104578 farnesyl diphosphate synthase GTEx DepMap Descartes 22.70 1004.90
10 FAM166B 0.0102571 family with sequence similarity 166 member B GTEx DepMap Descartes 10.83 965.09
11 MIF 0.0099813 macrophage migration inhibitory factor GTEx DepMap Descartes 15.69 1639.04
12 HSPD1 0.0095651 heat shock protein family D (Hsp60) member 1 GTEx DepMap Descartes 69.69 2788.41
13 LINC02539 0.0095515 long intergenic non-protein coding RNA 2539 GTEx DepMap Descartes 1.81 NA
14 MYL9 0.0092315 myosin light chain 9 GTEx DepMap Descartes 16.31 585.14
15 AVPI1 0.0091546 arginine vasopressin induced 1 GTEx DepMap Descartes 2.52 208.25
16 MRAP 0.0090148 melanocortin 2 receptor accessory protein GTEx DepMap Descartes 6.25 554.97
17 GSTT2B 0.0089940 glutathione S-transferase theta 2B GTEx DepMap Descartes 4.05 417.17
18 GSTA1 0.0087589 glutathione S-transferase alpha 1 GTEx DepMap Descartes 13.81 1339.99
19 NDUFB4 0.0083117 NADH:ubiquinone oxidoreductase subunit B4 GTEx DepMap Descartes 14.70 1027.63
20 CYP21A2 0.0082081 cytochrome P450 family 21 subfamily A member 2 GTEx DepMap Descartes 27.43 1102.06
21 CYP11B1 0.0081351 cytochrome P450 family 11 subfamily B member 1 GTEx DepMap Descartes 21.83 577.87
22 MGST1 0.0079093 microsomal glutathione S-transferase 1 GTEx DepMap Descartes 11.97 517.26
23 HPGD 0.0077015 15-hydroxyprostaglandin dehydrogenase GTEx DepMap Descartes 4.53 172.55
24 GSTA4 0.0075207 glutathione S-transferase alpha 4 GTEx DepMap Descartes 11.78 648.48
25 PAPSS2 0.0074792 3’-phosphoadenosine 5’-phosphosulfate synthase 2 GTEx DepMap Descartes 6.91 174.43
26 TM7SF2 0.0073654 transmembrane 7 superfamily member 2 GTEx DepMap Descartes 7.41 322.09
27 SCARB1 0.0072440 scavenger receptor class B member 1 GTEx DepMap Descartes 20.52 336.21
28 PEBP1 0.0071892 phosphatidylethanolamine binding protein 1 GTEx DepMap Descartes 28.86 1864.07
29 MSMO1 0.0070890 methylsterol monooxygenase 1 GTEx DepMap Descartes 11.59 479.91
30 MT1A 0.0070061 metallothionein 1A GTEx DepMap Descartes 2.09 557.83
31 PRDX5 0.0069997 peroxiredoxin 5 GTEx DepMap Descartes 16.30 1782.93
32 SNCG 0.0066913 synuclein gamma GTEx DepMap Descartes 27.10 3106.59
33 CHCHD2 0.0064562 coiled-coil-helix-coiled-coil-helix domain containing 2 GTEx DepMap Descartes 42.62 4841.57
34 FDFT1 0.0063914 farnesyl-diphosphate farnesyltransferase 1 GTEx DepMap Descartes 8.08 286.25
35 AL445524.1 0.0063018 NA GTEx DepMap Descartes 1.19 NA
36 GSTA3 0.0063004 glutathione S-transferase alpha 3 GTEx DepMap Descartes 0.91 109.21
37 MT2A 0.0062281 metallothionein 2A GTEx DepMap Descartes 87.03 9568.74
38 APOE 0.0061709 apolipoprotein E GTEx DepMap Descartes 107.70 7973.81
39 ATP5MD 0.0060339 NA GTEx DepMap Descartes 17.40 NA
40 DHCR7 0.0058640 7-dehydrocholesterol reductase GTEx DepMap Descartes 5.31 180.12
41 UCHL1 0.0058625 ubiquitin C-terminal hydrolase L1 GTEx DepMap Descartes 2.96 236.68
42 PTS 0.0057142 6-pyruvoyltetrahydropterin synthase GTEx DepMap Descartes 13.59 1177.72
43 MGARP 0.0057004 mitochondria localized glutamic acid rich protein GTEx DepMap Descartes 7.32 NA
44 MVD 0.0056177 mevalonate diphosphate decarboxylase GTEx DepMap Descartes 3.63 145.59
45 PTGER1 0.0056161 prostaglandin E receptor 1 GTEx DepMap Descartes 1.37 96.66
46 BEX3 0.0054944 brain expressed X-linked 3 GTEx DepMap Descartes 29.49 NA
47 RHOD 0.0054204 ras homolog family member D GTEx DepMap Descartes 1.32 138.29
48 RPS26 0.0053303 ribosomal protein S26 GTEx DepMap Descartes 44.59 3205.60
49 DHCR24 0.0053022 24-dehydrocholesterol reductase GTEx DepMap Descartes 31.88 568.74
50 SH3BGR 0.0052629 SH3 domain binding glutamate rich protein GTEx DepMap Descartes 0.98 NA


Dowload full table


UMAP plots showing activity of gene expression program identified in GEP 34. Adrenal Cortex II:

Interactive UMAP Plot
Interactive UMAP Plot
Interactive Boxplot
Interactive Boxplot


Gene set Enrichments for this program, caculated from top 50 genes


mSigDB Cell Types Gene Set:

P-value OR Lower 95% CI FDR FWER Genes Found Gene Set Size
DESCARTES_MAIN_FETAL_ADRENOCORTICAL_CELLS 4.31e-35 227.29 115.99 2.89e-32 2.89e-32
19STAR, CYP11A1, SULT2A1, FDX1, CYP17A1, HSPE1, MOB4, HSPD1, LINC02539, MRAP, CYP21A2, CYP11B1, GSTA4, PAPSS2, SCARB1, MSMO1, SNCG, DHCR7, DHCR24
88
CUI_DEVELOPING_HEART_C1_5TH_WEEK_CARDIAC_CELLS 2.40e-10 55.12 20.28 4.03e-08 1.61e-07
7FDPS, MGST1, TM7SF2, MSMO1, FDFT1, UCHL1, MGARP
83
DESCARTES_FETAL_SPLEEN_AFP_ALB_POSITIVE_CELLS 8.65e-11 31.58 13.29 2.90e-08 5.81e-08
9GSTA1, MGST1, TM7SF2, PEBP1, MSMO1, MT2A, APOE, DHCR7, DHCR24
188
DESCARTES_FETAL_PLACENTA_AFP_ALB_POSITIVE_CELLS 1.27e-09 30.09 12.00 1.42e-07 8.50e-07
8IDI1, GSTA1, TM7SF2, PEBP1, MSMO1, MT2A, DHCR7, DHCR24
171
MENON_FETAL_KIDNEY_7_LOOPOF_HENLE_CELLS_DISTAL 2.50e-09 21.17 8.96 2.40e-07 1.68e-06
9HSPE1, NDUFB4, PAPSS2, PEBP1, PRDX5, APOE, ATP5MD, UCHL1, BEX3
276
FAN_OVARY_CL11_MURAL_GRANULOSA_CELL 5.77e-10 16.82 7.71 7.74e-08 3.87e-07
11HSPE1, FDPS, HSPD1, AVPI1, GSTA1, GSTA4, TM7SF2, MSMO1, FDFT1, MGARP, BEX3
443
FAN_OVARY_CL10_PUTATIVE_EARLY_ATRESIA_GRANULOSA_CELL 4.90e-08 18.44 7.41 3.66e-06 3.29e-05
8GSTA1, NDUFB4, GSTA4, PEBP1, PRDX5, ATP5MD, MGARP, BEX3
274
FAN_OVARY_CL8_MATURE_CUMULUS_GRANULOSA_CELL_2 1.51e-10 14.30 6.94 3.37e-08 1.01e-07
13FDPS, MIF, AVPI1, GSTA1, NDUFB4, GSTA4, TM7SF2, PRDX5, FDFT1, ATP5MD, PTS, MGARP, BEX3
646
FAN_EMBRYONIC_CTX_BIG_GROUPS_GLIAL 5.78e-06 22.34 6.81 2.42e-04 3.88e-03
5IDI1, TM7SF2, MSMO1, MT2A, DHCR7
133
AIZARANI_LIVER_C11_HEPATOCYTES_1 9.29e-08 16.92 6.80 6.23e-06 6.23e-05
8SULT2A1, GSTA1, MGST1, HPGD, PEBP1, MSMO1, MT2A, APOE
298
HU_FETAL_RETINA_RGC 9.51e-09 14.88 6.59 7.97e-07 6.38e-06
10IDI1, FDPS, GSTA4, MSMO1, PRDX5, SNCG, FDFT1, ATP5MD, UCHL1, MVD
443
RUBENSTEIN_SKELETAL_MUSCLE_SATELLITE_CELLS 1.25e-07 16.25 6.53 7.64e-06 8.40e-05
8HSPE1, MIF, HSPD1, PEBP1, CHCHD2, APOE, BEX3, RPS26
310
BUSSLINGER_GASTRIC_PARIETAL_CELLS 5.37e-07 16.97 6.38 2.57e-05 3.60e-04
7SULT2A1, GSTA1, NDUFB4, TM7SF2, PRDX5, CHCHD2, ATP5MD
254
RUBENSTEIN_SKELETAL_MUSCLE_PERICYTES 8.50e-06 20.59 6.28 3.35e-04 5.70e-03
5MYL9, PEBP1, SNCG, MT2A, ATP5MD
144
AIZARANI_LIVER_C14_HEPATOCYTES_2 4.62e-06 15.96 5.50 2.07e-04 3.10e-03
6SULT2A1, GSTA1, MGST1, PEBP1, MT2A, APOE
226
DURANTE_ADULT_OLFACTORY_NEUROEPITHELIUM_OLFACTORY_ENSHEATHING_GLIA 7.23e-05 20.16 5.19 1.94e-03 4.85e-02
4SNCG, MT2A, APOE, BEX3
115
HAY_BONE_MARROW_CD34_POS_GRAN 1.25e-03 42.87 4.79 2.23e-02 8.38e-01
2STAR, MIF
27
BUSSLINGER_DUODENAL_TRANSIT_AMPLIFYING_CELLS 3.54e-05 15.14 4.64 1.05e-03 2.38e-02
5HSPE1, HSPD1, MGST1, CHCHD2, MT2A
194
FAN_OVARY_CL15_SMALL_ANTRAL_FOLLICLE_GRANULOSA_CELL 2.95e-07 10.14 4.50 1.52e-05 1.98e-04
10HSPE1, IDI1, MIF, HSPD1, GSTA1, FDFT1, PTS, MGARP, BEX3, RPS26
645
ZHONG_PFC_C1_ASTROCYTE 1.54e-03 38.29 4.30 2.59e-02 1.00e+00
2APOE, DHCR7
30

Dowload full table

mSigDB Hallmark Gene Sets:

P-value OR Lower 95% CI FDR FWER Genes Found Gene Set Size
HALLMARK_CHOLESTEROL_HOMEOSTASIS 6.38e-09 51.55 17.39 3.19e-07 3.19e-07
6IDI1, FDPS, TM7SF2, FDFT1, DHCR7, MVD
74
HALLMARK_MTORC1_SIGNALING 2.30e-06 18.10 6.23 3.83e-05 1.15e-04
6HSPE1, IDI1, HSPD1, TM7SF2, DHCR7, DHCR24
200
HALLMARK_XENOBIOTIC_METABOLISM 2.30e-06 18.10 6.23 3.83e-05 1.15e-04
6CYP17A1, PAPSS2, GSTA3, MT2A, APOE, PTS
200
HALLMARK_PEROXISOME 4.89e-05 22.37 5.75 3.49e-04 2.45e-03
4IDI1, FDPS, PRDX5, DHCR24
104
HALLMARK_FATTY_ACID_METABOLISM 1.33e-05 18.70 5.71 1.66e-04 6.65e-04
5IDI1, MIF, HPGD, PTS, DHCR24
158
HALLMARK_ADIPOGENESIS 4.09e-05 14.68 4.50 3.41e-04 2.04e-03
5MRAP, SCARB1, SNCG, APOE, DHCR7
200
HALLMARK_ESTROGEN_RESPONSE_EARLY 4.09e-05 14.68 4.50 3.41e-04 2.04e-03
5PAPSS2, SCARB1, FDFT1, DHCR7, RHOD
200
HALLMARK_ANDROGEN_RESPONSE 9.58e-04 16.93 3.32 4.79e-03 4.79e-02
3IDI1, HPGD, DHCR24
100
HALLMARK_HYPOXIA 5.92e-04 11.43 2.96 3.29e-03 2.96e-02
4MIF, SCARB1, PRDX5, MT2A
200
HALLMARK_ESTROGEN_RESPONSE_LATE 5.92e-04 11.43 2.96 3.29e-03 2.96e-02
4PAPSS2, SCARB1, FDFT1, DHCR7
200
HALLMARK_BILE_ACID_METABOLISM 1.33e-03 15.08 2.96 6.03e-03 6.64e-02
3IDI1, PRDX5, DHCR24
112
HALLMARK_REACTIVE_OXYGEN_SPECIES_PATHWAY 4.07e-03 22.83 2.61 1.69e-02 2.03e-01
2NDUFB4, MGST1
49
HALLMARK_MYC_TARGETS_V2 5.65e-03 19.17 2.20 2.17e-02 2.82e-01
2HSPE1, HSPD1
58
HALLMARK_MYOGENESIS 5.67e-02 5.42 0.63 1.67e-01 1.00e+00
2FDPS, SH3BGR
200
HALLMARK_APICAL_JUNCTION 5.67e-02 5.42 0.63 1.67e-01 1.00e+00
2MYL9, MVD
200
HALLMARK_MYC_TARGETS_V1 5.67e-02 5.42 0.63 1.67e-01 1.00e+00
2HSPE1, HSPD1
200
HALLMARK_OXIDATIVE_PHOSPHORYLATION 5.67e-02 5.42 0.63 1.67e-01 1.00e+00
2FDX1, NDUFB4
200
HALLMARK_SPERMATOGENESIS 2.30e-01 3.92 0.10 6.38e-01 1.00e+00
1PEBP1
135
HALLMARK_G2M_CHECKPOINT 3.20e-01 2.64 0.07 6.97e-01 1.00e+00
1MT2A
200
HALLMARK_INTERFERON_GAMMA_RESPONSE 3.20e-01 2.64 0.07 6.97e-01 1.00e+00
1MT2A
200

Dowload full table

KEGG Pathways:

P-value OR Lower 95% CI FDR FWER Genes Found Gene Set Size
KEGG_STEROID_BIOSYNTHESIS 1.35e-10 237.52 62.79 2.50e-08 2.50e-08
5TM7SF2, MSMO1, FDFT1, DHCR7, DHCR24
17
KEGG_TERPENOID_BACKBONE_BIOSYNTHESIS 3.06e-06 136.50 23.94 1.82e-04 5.68e-04
3IDI1, FDPS, MVD
15
KEGG_GLUTATHIONE_METABOLISM 2.67e-06 48.59 12.22 1.82e-04 4.96e-04
4GSTA1, MGST1, GSTA4, GSTA3
50
KEGG_STEROID_HORMONE_BIOSYNTHESIS 3.92e-06 43.85 11.06 1.82e-04 7.29e-04
4CYP11A1, CYP17A1, CYP21A2, CYP11B1
55
KEGG_METABOLISM_OF_XENOBIOTICS_BY_CYTOCHROME_P450 1.03e-05 33.90 8.62 3.57e-04 1.91e-03
4GSTA1, MGST1, GSTA4, GSTA3
70
KEGG_DRUG_METABOLISM_CYTOCHROME_P450 1.15e-05 32.92 8.37 3.57e-04 2.14e-03
4GSTA1, MGST1, GSTA4, GSTA3
72
KEGG_FOLATE_BIOSYNTHESIS 2.11e-02 52.51 1.19 5.39e-01 1.00e+00
1PTS
11
KEGG_SULFUR_METABOLISM 2.49e-02 43.73 1.00 5.39e-01 1.00e+00
1PAPSS2
13
KEGG_PARKINSONS_DISEASE 2.61e-02 8.38 0.98 5.39e-01 1.00e+00
2NDUFB4, UCHL1
130
KEGG_ALZHEIMERS_DISEASE 4.07e-02 6.54 0.76 6.88e-01 1.00e+00
2NDUFB4, APOE
166
KEGG_PHENYLALANINE_METABOLISM 3.43e-02 30.89 0.73 6.38e-01 1.00e+00
1MIF
18
KEGG_SELENOAMINO_ACID_METABOLISM 4.91e-02 21.02 0.50 7.62e-01 1.00e+00
1PAPSS2
26
KEGG_TYROSINE_METABOLISM 7.81e-02 12.81 0.31 1.00e+00 1.00e+00
1MIF
42
KEGG_TYPE_I_DIABETES_MELLITUS 7.99e-02 12.51 0.30 1.00e+00 1.00e+00
1HSPD1
43
KEGG_RNA_DEGRADATION 1.08e-01 9.06 0.22 1.00e+00 1.00e+00
1HSPD1
59
KEGG_PEROXISOME 1.40e-01 6.83 0.17 1.00e+00 1.00e+00
1PRDX5
78
KEGG_RIBOSOME 1.57e-01 6.04 0.15 1.00e+00 1.00e+00
1RPS26
88
KEGG_VASCULAR_SMOOTH_MUSCLE_CONTRACTION 1.99e-01 4.61 0.11 1.00e+00 1.00e+00
1MYL9
115
KEGG_LEUKOCYTE_TRANSENDOTHELIAL_MIGRATION 2.01e-01 4.57 0.11 1.00e+00 1.00e+00
1MYL9
116
KEGG_NEUROTROPHIN_SIGNALING_PATHWAY 2.16e-01 4.21 0.10 1.00e+00 1.00e+00
1BEX3
126

Dowload full table

CHR Positional Gene Sets:

P-value OR Lower 95% CI FDR FWER Genes Found Gene Set Size
chr16q13 2.73e-03 28.23 3.21 5.82e-01 7.59e-01
2MT1A, MT2A
40
chr10q24 5.12e-03 9.24 1.82 5.82e-01 1.00e+00
3CYP17A1, AVPI1, ATP5MD
181
chr2q33 6.28e-03 8.56 1.69 5.82e-01 1.00e+00
3HSPE1, MOB4, HSPD1
195
chr11q13 8.42e-03 5.37 1.40 5.85e-01 1.00e+00
4TM7SF2, PRDX5, DHCR7, RHOD
421
chr10q23 5.18e-02 5.71 0.67 1.00e+00 1.00e+00
2PAPSS2, SNCG
190
chr4p13 5.83e-02 17.51 0.42 1.00e+00 1.00e+00
1UCHL1
31
chr21q22 1.46e-01 3.06 0.36 1.00e+00 1.00e+00
2MRAP, SH3BGR
353
chr22q11 1.67e-01 2.81 0.33 1.00e+00 1.00e+00
2MIF, GSTT2B
384
chr12q24 1.71e-01 2.77 0.32 1.00e+00 1.00e+00
2SCARB1, PEBP1
390
chr1q22 1.27e-01 7.62 0.19 1.00e+00 1.00e+00
1FDPS
70
chr7p11 1.47e-01 6.49 0.16 1.00e+00 1.00e+00
1CHCHD2
82
chr10p15 1.53e-01 6.18 0.15 1.00e+00 1.00e+00
1IDI1
86
chr8p11 1.68e-01 5.59 0.14 1.00e+00 1.00e+00
1STAR
95
chr11q22 1.73e-01 5.42 0.13 1.00e+00 1.00e+00
1FDX1
98
chr6q23 1.85e-01 5.01 0.12 1.00e+00 1.00e+00
1LINC02539
106
chr12p12 1.87e-01 4.96 0.12 1.00e+00 1.00e+00
1MGST1
107
chr4q32 1.96e-01 4.69 0.12 1.00e+00 1.00e+00
1MSMO1
113
chr15q24 2.01e-01 4.57 0.11 1.00e+00 1.00e+00
1CYP11A1
116
chr19q13 1.00e+00 0.92 0.11 1.00e+00 1.00e+00
2SULT2A1, APOE
1165
chr16q24 2.22e-01 4.08 0.10 1.00e+00 1.00e+00
1MVD
130

Dowload full table

Transcription Factor Targets:

P-value OR Lower 95% CI FDR FWER Genes Found Gene Set Size
MED16_TARGET_GENES 3.75e-03 23.84 2.72 8.27e-01 1.00e+00
2HSPE1, HSPD1
47
GATTGGY_NFY_Q6_01 1.34e-03 4.20 1.70 5.95e-01 1.00e+00
8FDPS, AVPI1, TM7SF2, FDFT1, ATP5MD, MVD, DHCR24, SH3BGR
1177
ZNF350_TARGET_GENES 1.26e-03 3.87 1.65 5.95e-01 1.00e+00
9HSPE1, IDI1, HSPD1, AVPI1, PAPSS2, PRDX5, FDFT1, MVD, SH3BGR
1470
CCGNMNNTNACG_UNKNOWN 1.02e-02 13.94 1.61 8.27e-01 1.00e+00
2HSPE1, HSPD1
79
CEBPZ_TARGET_GENES 1.57e-03 3.74 1.60 5.95e-01 1.00e+00
9HSPE1, IDI1, HSPD1, MSMO1, CHCHD2, FDFT1, ATP5MD, DHCR7, MVD
1520
HSF_Q6 7.59e-03 7.98 1.58 8.27e-01 1.00e+00
3HSPE1, HSPD1, UCHL1
209
E4BP4_01 9.04e-03 7.47 1.48 8.27e-01 1.00e+00
3HSPE1, HSPD1, UCHL1
223
TP73_TARGET_GENES 5.68e-03 4.04 1.40 8.27e-01 1.00e+00
6HSPE1, MOB4, FDPS, HSPD1, GSTA4, RPS26
875
ASH1L_TARGET_GENES 4.52e-03 3.41 1.38 8.27e-01 1.00e+00
8FDPS, MSMO1, CHCHD2, FDFT1, DHCR7, MVD, RPS26, DHCR24
1446
SS18_SSX1_FUSION_UNIPROT_Q8IZH1_UNREVIEWED_TARGET_GENES 1.40e-02 11.79 1.37 8.27e-01 1.00e+00
2HSPE1, HSPD1
93
HSF2_TARGET_GENES 1.18e-02 6.77 1.34 8.27e-01 1.00e+00
3HSPE1, HSPD1, SH3BGR
246
TGACCTTG_SF1_Q6 1.27e-02 6.58 1.30 8.27e-01 1.00e+00
3HSPE1, HSPD1, UCHL1
253
NRF2_Q4 1.33e-02 6.45 1.28 8.27e-01 1.00e+00
3MGST1, SNCG, UCHL1
258
PPARGC1A_TARGET_GENES 1.60e-02 10.95 1.27 8.53e-01 1.00e+00
2HSPE1, HSPD1
100
SUPT20H_TARGET_GENES 8.77e-03 3.29 1.25 8.27e-01 1.00e+00
7HSPE1, MOB4, FDPS, HSPD1, MSMO1, MVD, RPS26
1281
ERR1_Q2 1.46e-02 6.23 1.23 8.27e-01 1.00e+00
3HSPE1, HSPD1, UCHL1
267
ZBTB12_TARGET_GENES 9.33e-03 3.25 1.23 8.27e-01 1.00e+00
7HSPE1, HSPD1, HPGD, GSTA4, MSMO1, CHCHD2, FDFT1
1297
TCF7_TARGET_GENES 8.30e-03 2.86 1.22 8.27e-01 1.00e+00
9SULT2A1, HSPE1, MOB4, IDI1, HSPD1, CYP11B1, FDFT1, MT2A, RHOD
1987
AEBP2_TARGET_GENES 1.20e-02 3.42 1.19 8.27e-01 1.00e+00
6FDPS, MSMO1, FDFT1, ATP5MD, MVD, DHCR24
1033
ROAZ_01 2.11e-02 52.51 1.19 9.19e-01 1.00e+00
1BEX3
11

Dowload full table

GO Biological Processes:

P-value OR Lower 95% CI FDR FWER Genes Found Gene Set Size
GOBP_GLUTATHIONE_DERIVATIVE_METABOLIC_PROCESS 5.68e-10 167.25 46.31 1.93e-07 4.25e-06
5GSTT2B, GSTA1, MGST1, GSTA4, GSTA3
22
GOBP_STEROID_HORMONE_BIOSYNTHETIC_PROCESS 4.61e-14 119.34 45.51 3.45e-11 3.45e-10
8STAR, CYP11A1, FDX1, CYP17A1, CYP21A2, CYP11B1, SCARB1, DHCR7
49
GOBP_STEROL_METABOLIC_PROCESS 1.36e-23 81.25 40.95 1.02e-19 1.02e-19
16STAR, CYP11A1, SULT2A1, FDX1, IDI1, FDPS, CYP21A2, CYP11B1, TM7SF2, SCARB1, MSMO1, FDFT1, APOE, DHCR7, MVD, DHCR24
165
GOBP_GLUCOCORTICOID_METABOLIC_PROCESS 1.14e-09 143.08 40.05 3.71e-07 8.53e-06
5STAR, CYP11A1, CYP17A1, CYP21A2, CYP11B1
25
GOBP_GLUCOCORTICOID_BIOSYNTHETIC_PROCESS 3.73e-08 159.24 36.84 1.03e-05 2.79e-04
4CYP11A1, CYP17A1, CYP21A2, CYP11B1
18
GOBP_REGULATION_OF_CHOLESTEROL_BIOSYNTHETIC_PROCESS 4.52e-12 101.97 36.58 2.42e-09 3.38e-08
7IDI1, FDPS, TM7SF2, FDFT1, APOE, DHCR7, MVD
48
GOBP_STEROID_BIOSYNTHETIC_PROCESS 1.38e-22 69.60 35.20 5.15e-19 1.03e-18
16STAR, CYP11A1, FDX1, CYP17A1, IDI1, FDPS, CYP21A2, CYP11B1, TM7SF2, SCARB1, MSMO1, FDFT1, APOE, DHCR7, MVD, DHCR24
190
GOBP_STEROL_BIOSYNTHETIC_PROCESS 2.88e-14 81.68 33.65 2.69e-11 2.15e-10
9IDI1, FDPS, TM7SF2, MSMO1, FDFT1, APOE, DHCR7, MVD, DHCR24
78
GOBP_HORMONE_BIOSYNTHETIC_PROCESS 8.24e-13 80.14 31.24 5.14e-10 6.17e-09
8STAR, CYP11A1, FDX1, CYP17A1, CYP21A2, CYP11B1, SCARB1, DHCR7
69
GOBP_ISOPENTENYL_DIPHOSPHATE_BIOSYNTHETIC_PROCESS 3.66e-05 352.61 29.06 6.37e-03 2.74e-01
2IDI1, MVD
5
GOBP_FARNESYL_DIPHOSPHATE_METABOLIC_PROCESS 3.66e-05 352.61 29.06 6.37e-03 2.74e-01
2FDPS, FDFT1
5
GOBP_REGULATION_OF_CHOLESTEROL_METABOLIC_PROCESS 2.62e-11 77.42 28.15 1.15e-08 1.96e-07
7IDI1, FDPS, TM7SF2, FDFT1, APOE, DHCR7, MVD
61
GOBP_C21_STEROID_HORMONE_BIOSYNTHETIC_PROCESS 1.80e-07 101.48 24.48 4.80e-05 1.34e-03
4STAR, CYP11A1, FDX1, CYP11B1
26
GOBP_C21_STEROID_HORMONE_METABOLIC_PROCESS 1.38e-08 81.60 23.86 3.96e-06 1.03e-04
5STAR, CYP11A1, FDX1, CYP17A1, CYP11B1
40
GOBP_REGULATION_OF_STEROID_BIOSYNTHETIC_PROCESS 8.06e-12 59.05 23.22 4.02e-09 6.03e-08
8STAR, IDI1, FDPS, TM7SF2, FDFT1, APOE, DHCR7, MVD
91
GOBP_ALCOHOL_BIOSYNTHETIC_PROCESS 7.86e-15 50.10 22.65 8.40e-12 5.88e-11
11IDI1, FDPS, CYP11B1, TM7SF2, MSMO1, FDFT1, APOE, DHCR7, PTS, MVD, DHCR24
156
GOBP_REGULATION_OF_ALCOHOL_BIOSYNTHETIC_PROCESS 1.16e-10 61.58 22.57 4.58e-08 8.70e-07
7IDI1, FDPS, TM7SF2, FDFT1, APOE, DHCR7, MVD
75
GOBP_STEROID_METABOLIC_PROCESS 2.23e-20 42.52 21.97 5.56e-17 1.67e-16
17STAR, CYP11A1, SULT2A1, FDX1, CYP17A1, IDI1, FDPS, CYP21A2, CYP11B1, TM7SF2, SCARB1, MSMO1, FDFT1, APOE, DHCR7, MVD, DHCR24
329
GOBP_ALCOHOL_METABOLIC_PROCESS 6.62e-18 33.95 17.34 1.24e-14 4.95e-14
16STAR, CYP11A1, SULT2A1, FDX1, IDI1, FDPS, CYP11B1, TM7SF2, SCARB1, MSMO1, FDFT1, APOE, DHCR7, PTS, MVD, DHCR24
373
GOBP_REGULATION_OF_STEROID_METABOLIC_PROCESS 8.65e-11 43.01 17.05 3.60e-08 6.47e-07
8STAR, IDI1, FDPS, TM7SF2, FDFT1, APOE, DHCR7, MVD
122

Dowload full table

Immunological Gene Sets:

P-value OR Lower 95% CI FDR FWER Genes Found Gene Set Size
GSE15930_NAIVE_VS_72H_IN_VITRO_STIM_TRICHOSTATINA_CD8_TCELL_DN 1.04e-07 21.85 8.18 1.75e-04 5.09e-04
7IDI1, FDPS, MSMO1, FDFT1, MT2A, DHCR7, UCHL1
199
GSE15930_NAIVE_VS_72H_IN_VITRO_STIM_IL12_CD8_TCELL_DN 1.08e-07 21.73 8.14 1.75e-04 5.26e-04
7IDI1, FDPS, MSMO1, FDFT1, MT2A, DHCR7, MVD
200
GSE22886_DAY0_VS_DAY7_MONOCYTE_IN_CULTURE_DN 1.08e-07 21.73 8.14 1.75e-04 5.26e-04
7HSPE1, HSPD1, AVPI1, PEBP1, MSMO1, APOE, DHCR24
200
GSE15930_NAIVE_VS_72H_IN_VITRO_STIM_CD8_TCELL_DN 2.30e-06 18.10 6.23 1.87e-03 1.12e-02
6IDI1, FDPS, MSMO1, FDFT1, MT2A, DHCR7
200
GSE15930_NAIVE_VS_72H_IN_VITRO_STIM_IFNAB_CD8_TCELL_DN 2.30e-06 18.10 6.23 1.87e-03 1.12e-02
6IDI1, FDPS, MSMO1, FDFT1, MT2A, DHCR7
200
GSE20715_0H_VS_48H_OZONE_TLR4_KO_LUNG_DN 2.30e-06 18.10 6.23 1.87e-03 1.12e-02
6IDI1, MIF, HSPD1, MSMO1, FDFT1, MVD
200
GSE27241_WT_VS_RORGT_KO_TH17_POLARIZED_CD4_TCELL_DN 1.73e-05 17.66 5.40 1.21e-02 8.45e-02
5FDX1, FDPS, NDUFB4, MSMO1, FDFT1
167
GSE7509_UNSTIM_VS_IFNA_STIM_IMMATURE_DC_UP 2.42e-05 16.44 5.03 1.47e-02 1.18e-01
5MYL9, MRAP, MSMO1, DHCR7, DHCR24
179
GSE15930_NAIVE_VS_24H_IN_VITRO_STIM_INFAB_CD8_TCELL_DN 3.99e-05 14.75 4.52 1.81e-02 1.95e-01
5IDI1, MSMO1, FDFT1, DHCR7, DHCR24
199
GSE360_DC_VS_MAC_B_MALAYI_HIGH_DOSE_DN 4.09e-05 14.68 4.50 1.81e-02 1.99e-01
5FDPS, MIF, MSMO1, MT2A, DHCR7
200
GSE43955_10H_VS_60H_ACT_CD4_TCELL_WITH_TGFB_IL6_UP 4.09e-05 14.68 4.50 1.81e-02 1.99e-01
5IDI1, HSPD1, MSMO1, FDFT1, MVD
200
GSE40274_CTRL_VS_FOXP3_AND_EOS_TRANSDUCED_ACTIVATED_CD4_TCELL_DN 2.56e-04 14.36 3.71 5.66e-02 1.00e+00
4IDI1, HSPD1, UCHL1, DHCR24
160
GSE7509_UNSTIM_VS_FCGRIIB_STIM_MONOCYTE_UP 3.08e-04 13.66 3.53 5.66e-02 1.00e+00
4HSPD1, FDFT1, ATP5MD, DHCR7
168
GSE4590_LARGE_PRE_BCELL_VS_VPREB_POS_LARGE_PRE_BCELL_UP 3.52e-04 13.17 3.41 5.66e-02 1.00e+00
4IDI1, PAPSS2, MSMO1, DHCR24
174
GSE37301_PRO_BCELL_VS_RAG2_KO_NK_CELL_UP 4.16e-04 12.58 3.25 5.66e-02 1.00e+00
4HPGD, MT1A, MT2A, DHCR24
182
GSE6566_STRONG_VS_WEAK_DC_STIMULATED_CD4_TCELL_UP 4.99e-04 11.98 3.10 5.66e-02 1.00e+00
4STAR, DHCR7, MVD, DHCR24
191
GSE19888_ADENOSINE_A3R_ACT_VS_A3R_ACT_WITH_A3R_INH_PRETREATMENT_IN_MAST_CELL_UP 5.49e-04 11.66 3.02 5.66e-02 1.00e+00
4FDPS, NDUFB4, MSMO1, CHCHD2
196
GSE24972_WT_VS_IRF8_KO_SPLEEN_FOLLICULAR_BCELL_UP 5.60e-04 11.60 3.00 5.66e-02 1.00e+00
4FDFT1, DHCR7, UCHL1, DHCR24
197
GSE42724_MEMORY_VS_B1_BCELL_DN 5.60e-04 11.60 3.00 5.66e-02 1.00e+00
4IDI1, FDPS, MSMO1, DHCR7
197
GSE24574_BCL6_HIGH_TFH_VS_NAIVE_CD4_TCELL_UP 5.71e-04 11.54 2.99 5.66e-02 1.00e+00
4HPGD, PAPSS2, MT2A, DHCR7
198

Dowload full table

Top Ranked Transcription Factors for this Gene Expression Program:

Gene Symbol TF Rank DNA Binding Domain Motif Status IUPAC PWM GTEx DepMap Decartes
RBBP7 80 No Unlikely to be sequence specific TF Not a DNA binding protein No motif None None
HLA-DRB5 102 No Unlikely to be sequence specific TF Not a DNA binding protein No motif None None
PRDX3 107 No Unlikely to be sequence specific TF Not a DNA binding protein No motif None None
PARK7 122 No Unlikely to be sequence specific TF Not a DNA binding protein No motif None Operates upstream in the signaling cascade
PLEK2 143 No Unlikely to be sequence specific TF Not a DNA binding protein No motif None None
PCBD1 160 No Unlikely to be sequence specific TF Not a DNA binding protein No motif None Coactivator for HNF1A-dependent transcription. Regulates the dimerization of homeodomain protein HNF1A and enhances its transcriptional activity (UniProt: P61457)
POLR2L 166 No Unlikely to be sequence specific TF Not a DNA binding protein No motif None Does not contact DNA in the structure (PDB: 5FLM)
NDN 172 No Unlikely to be sequence specific TF Not a DNA binding protein No motif None None
FOXO4 186 Yes Known motif Monomer or homomultimer High-throughput in vitro None None
BOLA3 191 No Unlikely to be sequence specific TF Not a DNA binding protein No motif None E. Coli homologue of the BOLA binds DNA; however there is no evidence in the mammalian proteins
HLA-DRB1 219 No Unlikely to be sequence specific TF Not a DNA binding protein No motif None None
CAMTA1 282 Yes Likely to be sequence specific TF Monomer or homomultimer No motif None Binds CGCATTGCG based on EMSA performed in (PMID: 25049392)
CDK8 295 No Unlikely to be sequence specific TF Not a DNA binding protein No motif None Mediator component
HSBP1 298 No Unlikely to be sequence specific TF Not a DNA binding protein No motif None Protein that has been shown to bind to HSF1 leading to inhibition of its trimerization and DNA-binding( PMID: 9649501).
CIB1 305 No Unlikely to be sequence specific TF Not a DNA binding protein No motif None None
PEG3 332 Yes Likely to be sequence specific TF Monomer or homomultimer No motif None SCAN C2H2 ZF Protein.
FHL2 361 No Unlikely to be sequence specific TF Not a DNA binding protein No motif None LIM ZF proteins are unlikely to bind DNA. Experimental evidence does not support a role for FHL2 as a sequence-specific DNA-binding protein (PMID:10654935)
ENO1 383 No Unlikely to be sequence specific TF Not a DNA binding protein No motif Only known motifs are from Transfac or HocoMoco - origin is uncertain Enolase - DNA binding not shown to be direct
NR0B1 427 Yes Known motif Obligate heteromer In vivo/Misc source Only known motifs are from Transfac or HocoMoco - origin is uncertain None
ZBED1 433 Yes Known motif Monomer or homomultimer High-throughput in vitro None None



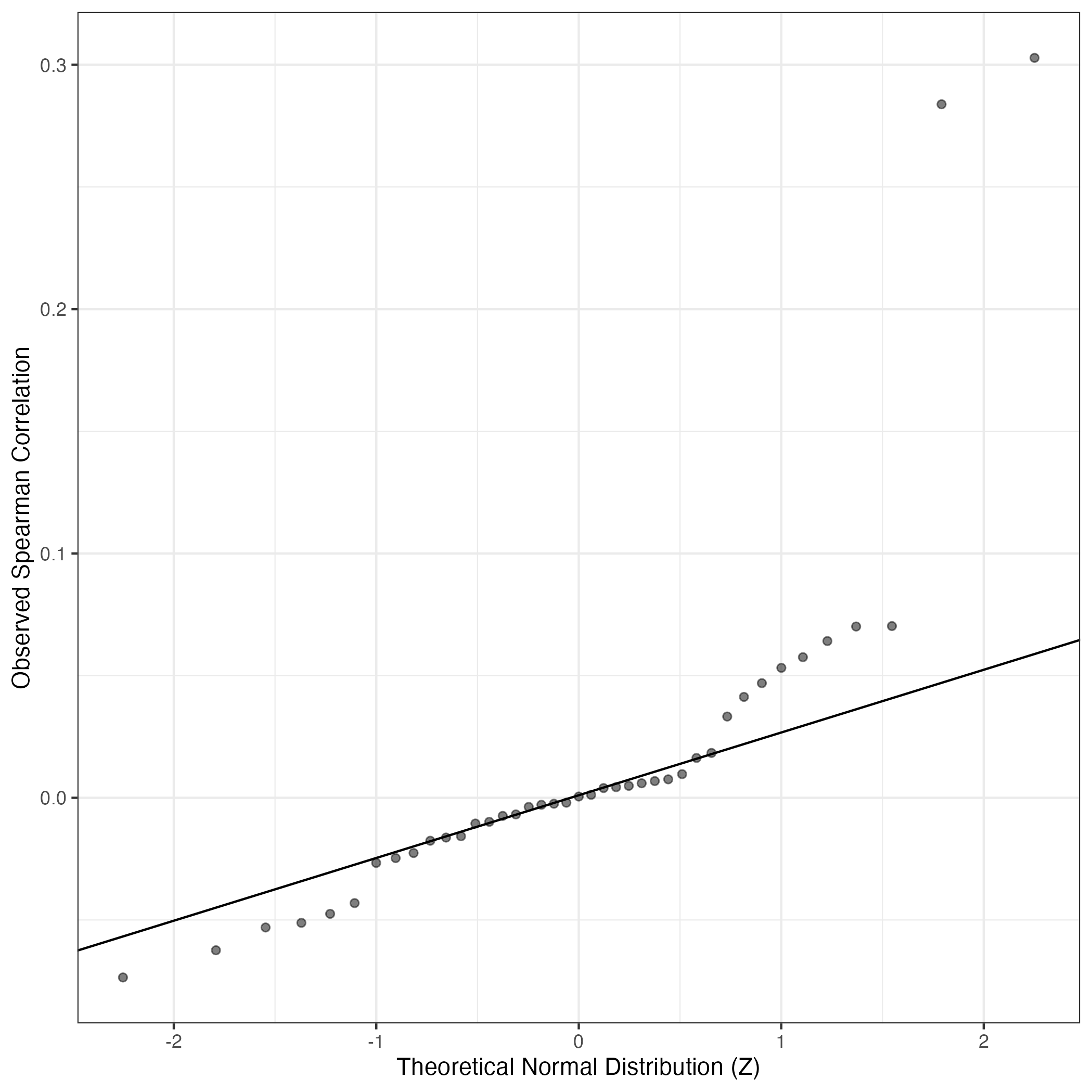
QQ Plot showing correlations with other GEPs in this dataset, calculated by Spearman correlation:

Interactive QQ-plot of gene loadings:

Interactive QQ Plot


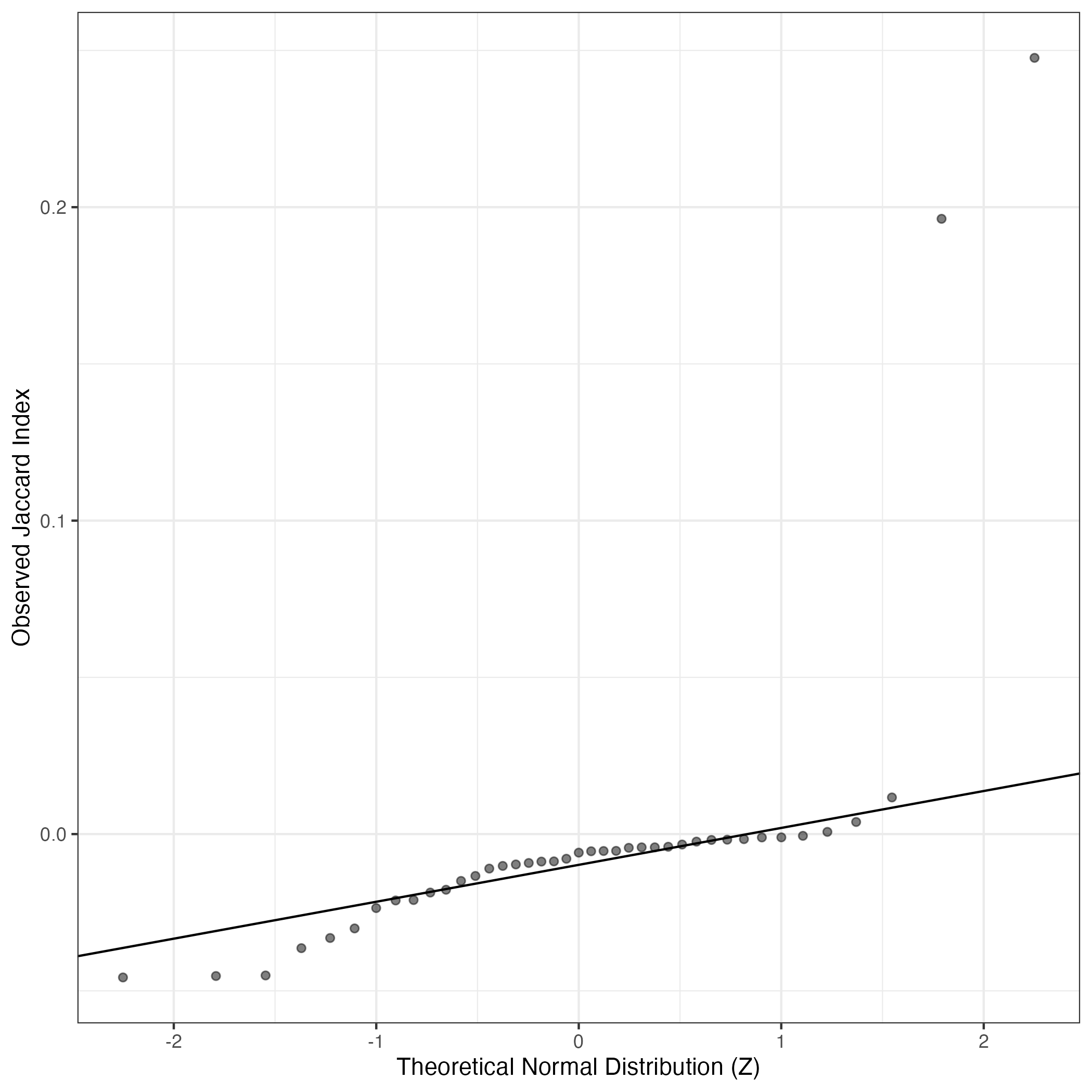
A similar QQ-plot as above, but only for instances where the H value is e.g. > 25, i.e. we are confident that the expression program is active above noise. Agreemenet between these binary vectors is tested using the Jaccard Index, with the P-values calculated by an exact test:

Interactive QQ-plot:

Interactive QQ Plot


Singler cell type annotations for the top 50 cells on this program.

Cell ID Singler label Singler Delta Activity Score Top Singler Raw Scores
R53b_w11.5_ATCCGTCAGCGCACAA-1 Tissue_stem_cells:iliac_MSC 0.08 978.32
Raw ScoresTissue_stem_cells:iliac_MSC: 0.42, Smooth_muscle_cells:umbilical_vein: 0.4, Neurons:Schwann_cell: 0.4, Hepatocytes: 0.4, Neurons:adrenal_medulla_cell_line: 0.4, Endothelial_cells:HUVEC:FPV-infected: 0.4, Endothelial_cells:HUVEC: 0.4, iPS_cells:CRL2097_foreskin-derived:d20_hepatic_diff: 0.4, Endothelial_cells:HUVEC:B._anthracis_LT: 0.4, Smooth_muscle_cells:vascular:IL-17: 0.4
R53b_w11.5_TATTCCAAGGTCACCC-1 iPS_cells:CRL2097_foreskin-derived:d20_hepatic_diff 0.07 708.69
Raw ScoresTissue_stem_cells:iliac_MSC: 0.4, iPS_cells:CRL2097_foreskin-derived:d20_hepatic_diff: 0.4, Neurons:Schwann_cell: 0.39, iPS_cells:iPS:minicircle-derived: 0.38, Tissue_stem_cells:CD326-CD56+: 0.38, Endothelial_cells:HUVEC:FPV-infected: 0.38, Tissue_stem_cells:dental_pulp: 0.38, Smooth_muscle_cells:umbilical_vein: 0.38, iPS_cells:fibroblast-derived:Direct_del._reprog: 0.38, iPS_cells:CRL2097_foreskin-derived:undiff.: 0.38
R53b_w11.5_GTAATGCGTCTATGAC-1 Endothelial_cells:HUVEC 0.06 696.76
Raw ScoresEndothelial_cells:HUVEC:FPV-infected: 0.39, Endothelial_cells:HUVEC: 0.38, Endothelial_cells:HUVEC:B._anthracis_LT: 0.38, Tissue_stem_cells:iliac_MSC: 0.38, Neurons:Schwann_cell: 0.38, iPS_cells:CRL2097_foreskin-derived:d20_hepatic_diff: 0.38, Endothelial_cells:HUVEC:H5N1-infected: 0.37, Endothelial_cells:HUVEC:PR8-infected: 0.37, Smooth_muscle_cells:umbilical_vein: 0.37, Endothelial_cells:lymphatic: 0.37
R53b_w11.5_CAGCACGAGTTAGTAG-1 iPS_cells:CRL2097_foreskin-derived:d20_hepatic_diff 0.08 685.04
Raw ScoresiPS_cells:CRL2097_foreskin-derived:d20_hepatic_diff: 0.41, Tissue_stem_cells:iliac_MSC: 0.41, Fibroblasts:breast: 0.4, Tissue_stem_cells:dental_pulp: 0.4, Neurons:Schwann_cell: 0.4, iPS_cells:adipose_stem_cells: 0.4, Smooth_muscle_cells:umbilical_vein: 0.4, Smooth_muscle_cells:vascular:IL-17: 0.4, Smooth_muscle_cells:vascular: 0.4, MSC: 0.4
R53b_w11.5_TTCCGGTTCACTGATG-1 Endothelial_cells:HUVEC 0.06 666.99
Raw ScoresEndothelial_cells:HUVEC:FPV-infected: 0.4, iPS_cells:CRL2097_foreskin-derived:d20_hepatic_diff: 0.4, Endothelial_cells:HUVEC: 0.4, Tissue_stem_cells:iliac_MSC: 0.39, Endothelial_cells:HUVEC:B._anthracis_LT: 0.39, Smooth_muscle_cells:umbilical_vein: 0.39, Neurons:Schwann_cell: 0.39, iPS_cells:iPS:minicircle-derived: 0.39, Neurons:adrenal_medulla_cell_line: 0.39, Tissue_stem_cells:CD326-CD56+: 0.39
R48a_w14.5_TAGGGTTCACCTCGTT-1 iPS_cells:CRL2097_foreskin-derived:d20_hepatic_diff 0.07 665.58
Raw ScoresTissue_stem_cells:iliac_MSC: 0.4, iPS_cells:CRL2097_foreskin-derived:d20_hepatic_diff: 0.39, Endothelial_cells:HUVEC:FPV-infected: 0.39, Smooth_muscle_cells:umbilical_vein: 0.39, Neurons:Schwann_cell: 0.39, Fibroblasts:breast: 0.39, Neuroepithelial_cell:ESC-derived: 0.38, MSC: 0.38, Endothelial_cells:HUVEC: 0.38, Tissue_stem_cells:dental_pulp: 0.38
R53b_w11.5_TGGTGATCAATTTCTC-1 Endothelial_cells:HUVEC 0.06 585.92
Raw ScoresTissue_stem_cells:iliac_MSC: 0.4, Endothelial_cells:HUVEC:FPV-infected: 0.4, Endothelial_cells:HUVEC: 0.4, iPS_cells:CRL2097_foreskin-derived:d20_hepatic_diff: 0.39, Neurons:Schwann_cell: 0.39, Endothelial_cells:HUVEC:B._anthracis_LT: 0.39, iPS_cells:iPS:minicircle-derived: 0.39, Smooth_muscle_cells:umbilical_vein: 0.39, Smooth_muscle_cells:vascular:IL-17: 0.39, iPS_cells:CRL2097_foreskin-derived:undiff.: 0.39
R53b_w11.5_CCACACTCACCAGTAT-1 iPS_cells:CRL2097_foreskin-derived:d20_hepatic_diff 0.09 575.39
Raw ScoresiPS_cells:CRL2097_foreskin-derived:d20_hepatic_diff: 0.41, Tissue_stem_cells:iliac_MSC: 0.4, Smooth_muscle_cells:umbilical_vein: 0.4, Endothelial_cells:HUVEC:FPV-infected: 0.39, iPS_cells:fibroblast-derived:Direct_del._reprog: 0.39, Neurons:Schwann_cell: 0.39, iPS_cells:foreskin_fibrobasts: 0.39, Fibroblasts:breast: 0.39, MSC: 0.39, Tissue_stem_cells:dental_pulp: 0.39
R53b_w11.5_CGTTCTGGTCATTCCC-1 iPS_cells:CRL2097_foreskin-derived:d20_hepatic_diff 0.04 565.81
Raw ScoresiPS_cells:CRL2097_foreskin-derived:d20_hepatic_diff: 0.38, Endothelial_cells:HUVEC:FPV-infected: 0.38, Endothelial_cells:HUVEC:B._anthracis_LT: 0.38, Tissue_stem_cells:iliac_MSC: 0.38, Endothelial_cells:HUVEC: 0.37, Neurons:Schwann_cell: 0.37, Smooth_muscle_cells:vascular:IL-17: 0.37, Endothelial_cells:HUVEC:H5N1-infected: 0.37, iPS_cells:iPS:minicircle-derived: 0.37, Smooth_muscle_cells:umbilical_vein: 0.37
R53b_w11.5_TGAATGCGTGCCGGTT-1 iPS_cells:CRL2097_foreskin-derived:d20_hepatic_diff 0.07 505.81
Raw ScoresTissue_stem_cells:iliac_MSC: 0.41, iPS_cells:CRL2097_foreskin-derived:d20_hepatic_diff: 0.41, Endothelial_cells:HUVEC:FPV-infected: 0.4, Neurons:Schwann_cell: 0.4, Endothelial_cells:HUVEC: 0.4, iPS_cells:iPS:minicircle-derived: 0.4, iPS_cells:CRL2097_foreskin-derived:undiff.: 0.4, Endothelial_cells:lymphatic: 0.4, Endothelial_cells:HUVEC:VEGF: 0.4, Endothelial_cells:lymphatic:TNFa_48h: 0.4
R53b_w11.5_CAACGATTCGAGAATA-1 iPS_cells:CRL2097_foreskin-derived:d20_hepatic_diff 0.06 498.79
Raw ScoresTissue_stem_cells:iliac_MSC: 0.37, Endothelial_cells:HUVEC:FPV-infected: 0.37, iPS_cells:CRL2097_foreskin-derived:d20_hepatic_diff: 0.36, Endothelial_cells:HUVEC: 0.36, Neurons:Schwann_cell: 0.36, Endothelial_cells:HUVEC:B._anthracis_LT: 0.35, Fibroblasts:breast: 0.35, Endothelial_cells:HUVEC:VEGF: 0.35, iPS_cells:iPS:minicircle-derived: 0.35, Smooth_muscle_cells:umbilical_vein: 0.35
R48a_w14.5_AGCGATTGTTCAGTAC-1 iPS_cells:CRL2097_foreskin-derived:d20_hepatic_diff 0.06 494.73
Raw ScoresTissue_stem_cells:iliac_MSC: 0.38, Neurons:Schwann_cell: 0.38, iPS_cells:CRL2097_foreskin-derived:d20_hepatic_diff: 0.38, Smooth_muscle_cells:umbilical_vein: 0.38, Endothelial_cells:HUVEC:FPV-infected: 0.37, Endothelial_cells:HUVEC: 0.37, iPS_cells:iPS:minicircle-derived: 0.37, Hepatocytes: 0.37, Neuroepithelial_cell:ESC-derived: 0.37, Fibroblasts:breast: 0.37
R53b_w11.5_TATATCCGTACATTGC-1 iPS_cells:CRL2097_foreskin-derived:d20_hepatic_diff 0.07 474.43
Raw ScoresiPS_cells:CRL2097_foreskin-derived:d20_hepatic_diff: 0.36, Tissue_stem_cells:iliac_MSC: 0.36, Neurons:Schwann_cell: 0.35, Smooth_muscle_cells:umbilical_vein: 0.35, Endothelial_cells:HUVEC:FPV-infected: 0.34, Endothelial_cells:HUVEC: 0.34, Fibroblasts:breast: 0.34, iPS_cells:foreskin_fibrobasts: 0.34, MSC: 0.34, Endothelial_cells:HUVEC:B._anthracis_LT: 0.34
R53b_w11.5_GACTCTCAGCCATTTG-1 iPS_cells:CRL2097_foreskin-derived:d20_hepatic_diff 0.06 471.20
Raw ScoresTissue_stem_cells:iliac_MSC: 0.38, iPS_cells:CRL2097_foreskin-derived:d20_hepatic_diff: 0.38, Neurons:Schwann_cell: 0.37, Smooth_muscle_cells:vascular:IL-17: 0.37, Endothelial_cells:HUVEC: 0.36, Endothelial_cells:HUVEC:FPV-infected: 0.36, Smooth_muscle_cells:vascular: 0.36, Fibroblasts:breast: 0.36, Endothelial_cells:HUVEC:B._anthracis_LT: 0.36, Tissue_stem_cells:dental_pulp: 0.36
R48a_w14.5_TTTGATCTCCAATCCC-1 iPS_cells:CRL2097_foreskin-derived:d20_hepatic_diff 0.09 455.37
Raw ScoresTissue_stem_cells:iliac_MSC: 0.47, iPS_cells:CRL2097_foreskin-derived:d20_hepatic_diff: 0.47, Neuroepithelial_cell:ESC-derived: 0.46, Neurons:Schwann_cell: 0.45, iPS_cells:PDB_1lox-17Puro-10: 0.45, Tissue_stem_cells:dental_pulp: 0.45, Fibroblasts:breast: 0.45, Astrocyte:Embryonic_stem_cell-derived: 0.45, iPS_cells:PDB_1lox-17Puro-5: 0.45, iPS_cells:PDB_1lox-21Puro-26: 0.45
R48a_w14.5_TGCACGGTCTCCGTGT-1 iPS_cells:CRL2097_foreskin-derived:d20_hepatic_diff 0.07 448.31
Raw ScoresiPS_cells:CRL2097_foreskin-derived:d20_hepatic_diff: 0.38, Tissue_stem_cells:iliac_MSC: 0.38, Endothelial_cells:HUVEC:FPV-infected: 0.38, iPS_cells:iPS:minicircle-derived: 0.37, iPS_cells:CRL2097_foreskin-derived:undiff.: 0.37, Tissue_stem_cells:CD326-CD56+: 0.37, iPS_cells:fibroblast-derived:Retroviral_transf: 0.37, iPS_cells:skin_fibroblast-derived: 0.37, iPS_cells:fibroblast-derived:Direct_del._reprog: 0.37, iPS_cells:PDB_2lox-22: 0.37
R53b_w11.5_TCGGATATCTGACAGT-1 iPS_cells:CRL2097_foreskin-derived:d20_hepatic_diff 0.07 437.17
Raw ScoresiPS_cells:CRL2097_foreskin-derived:d20_hepatic_diff: 0.38, Endothelial_cells:HUVEC:FPV-infected: 0.37, Smooth_muscle_cells:umbilical_vein: 0.37, Endothelial_cells:HUVEC: 0.37, iPS_cells:iPS:minicircle-derived: 0.37, Tissue_stem_cells:CD326-CD56+: 0.37, MSC: 0.36, iPS_cells:CRL2097_foreskin-derived:undiff.: 0.36, Endothelial_cells:HUVEC:PR8-infected: 0.36, Tissue_stem_cells:iliac_MSC: 0.36
R53b_w11.5_ACGTACATCTCAACCC-1 iPS_cells:CRL2097_foreskin-derived:d20_hepatic_diff 0.07 434.34
Raw ScoresiPS_cells:CRL2097_foreskin-derived:d20_hepatic_diff: 0.38, Tissue_stem_cells:iliac_MSC: 0.37, iPS_cells:iPS:minicircle-derived: 0.37, iPS_cells:PDB_2lox-22: 0.37, iPS_cells:skin_fibroblast-derived: 0.36, iPS_cells:PDB_1lox-21Puro-20: 0.36, iPS_cells:CRL2097_foreskin-derived:undiff.: 0.36, Neuroepithelial_cell:ESC-derived: 0.36, iPS_cells:PDB_1lox-17Puro-10: 0.36, Embryonic_stem_cells: 0.36
R53b_w11.5_CTTCTAATCGTGCACG-1 iPS_cells:CRL2097_foreskin-derived:d20_hepatic_diff 0.07 427.64
Raw ScoresiPS_cells:CRL2097_foreskin-derived:d20_hepatic_diff: 0.37, Tissue_stem_cells:iliac_MSC: 0.37, Endothelial_cells:HUVEC:FPV-infected: 0.37, Endothelial_cells:HUVEC: 0.37, iPS_cells:iPS:minicircle-derived: 0.37, Endothelial_cells:HUVEC:B._anthracis_LT: 0.36, iPS_cells:skin_fibroblast-derived: 0.36, iPS_cells:PDB_2lox-22: 0.36, Neuroepithelial_cell:ESC-derived: 0.36, iPS_cells:CRL2097_foreskin-derived:undiff.: 0.36
R53b_w11.5_TTGAGTGAGCTAGCCC-1 Tissue_stem_cells:iliac_MSC 0.07 426.99
Raw ScoresTissue_stem_cells:iliac_MSC: 0.36, iPS_cells:CRL2097_foreskin-derived:d20_hepatic_diff: 0.35, Neurons:Schwann_cell: 0.35, iPS_cells:iPS:minicircle-derived: 0.34, Smooth_muscle_cells:umbilical_vein: 0.34, iPS_cells:adipose_stem_cells: 0.34, Endothelial_cells:HUVEC:FPV-infected: 0.34, Fibroblasts:breast: 0.34, Tissue_stem_cells:dental_pulp: 0.34, Endothelial_cells:HUVEC: 0.34
R53b_w11.5_GACGTTAGTTCATCTT-1 iPS_cells:CRL2097_foreskin-derived:d20_hepatic_diff 0.07 420.92
Raw ScoresiPS_cells:CRL2097_foreskin-derived:d20_hepatic_diff: 0.37, Tissue_stem_cells:iliac_MSC: 0.36, iPS_cells:CRL2097_foreskin-derived:undiff.: 0.35, iPS_cells:iPS:minicircle-derived: 0.35, Neurons:Schwann_cell: 0.35, iPS_cells:adipose_stem_cell-derived:lentiviral: 0.35, iPS_cells:PDB_2lox-22: 0.35, iPS_cells:PDB_2lox-17: 0.35, iPS_cells:PDB_1lox-17Puro-10: 0.35, iPS_cells:PDB_1lox-21Puro-26: 0.35
R48a_w14.5_GAGAAATTCCTTGGAA-1 iPS_cells:CRL2097_foreskin-derived:d20_hepatic_diff 0.10 418.44
Raw ScoresTissue_stem_cells:iliac_MSC: 0.47, iPS_cells:CRL2097_foreskin-derived:d20_hepatic_diff: 0.46, MSC: 0.46, Neurons:Schwann_cell: 0.46, Smooth_muscle_cells:umbilical_vein: 0.45, Neuroepithelial_cell:ESC-derived: 0.45, Fibroblasts:breast: 0.45, Smooth_muscle_cells:vascular:IL-17: 0.45, iPS_cells:foreskin_fibrobasts: 0.45, Tissue_stem_cells:lipoma-derived_MSC: 0.45
R48a_w14.5_GGCTGTGGTACGAGTG-1 Tissue_stem_cells:iliac_MSC 0.07 413.97
Raw ScoresTissue_stem_cells:iliac_MSC: 0.38, Smooth_muscle_cells:umbilical_vein: 0.37, iPS_cells:CRL2097_foreskin-derived:d20_hepatic_diff: 0.37, iPS_cells:iPS:minicircle-derived: 0.37, iPS_cells:adipose_stem_cell-derived:minicircle-derived: 0.37, Tissue_stem_cells:dental_pulp: 0.37, Endothelial_cells:HUVEC:FPV-infected: 0.37, Fibroblasts:breast: 0.36, iPS_cells:skin_fibroblast-derived: 0.36, Tissue_stem_cells:lipoma-derived_MSC: 0.36
R53b_w11.5_CATTGTTGTTCCACAA-1 iPS_cells:CRL2097_foreskin-derived:undiff. 0.06 411.52
Raw ScoresiPS_cells:CRL2097_foreskin-derived:undiff.: 0.41, iPS_cells:CRL2097_foreskin-derived:d20_hepatic_diff: 0.41, iPS_cells:iPS:minicircle-derived: 0.41, Endothelial_cells:HUVEC:FPV-infected: 0.4, Endothelial_cells:HUVEC: 0.4, Tissue_stem_cells:CD326-CD56+: 0.4, iPS_cells:PDB_2lox-22: 0.4, iPS_cells:fibroblast-derived:Retroviral_transf: 0.4, iPS_cells:PDB_2lox-17: 0.4, Tissue_stem_cells:iliac_MSC: 0.4
R48a_w14.5_CACAGGCGTTGGGACA-1 Tissue_stem_cells:iliac_MSC 0.06 395.52
Raw ScoresTissue_stem_cells:iliac_MSC: 0.38, Endothelial_cells:HUVEC:FPV-infected: 0.37, Neurons:Schwann_cell: 0.37, Smooth_muscle_cells:umbilical_vein: 0.37, Endothelial_cells:HUVEC: 0.36, iPS_cells:CRL2097_foreskin-derived:d20_hepatic_diff: 0.36, Endothelial_cells:HUVEC:B._anthracis_LT: 0.36, iPS_cells:adipose_stem_cell-derived:minicircle-derived: 0.36, Fibroblasts:breast: 0.36, Tissue_stem_cells:dental_pulp: 0.36
R48a_w14.5_ATACCGAGTGTAGGAC-1 Tissue_stem_cells:iliac_MSC 0.06 388.40
Raw ScoresEndothelial_cells:HUVEC:FPV-infected: 0.38, Tissue_stem_cells:iliac_MSC: 0.37, Smooth_muscle_cells:umbilical_vein: 0.37, iPS_cells:CRL2097_foreskin-derived:d20_hepatic_diff: 0.37, iPS_cells:iPS:minicircle-derived: 0.37, iPS_cells:adipose_stem_cell-derived:minicircle-derived: 0.37, Endothelial_cells:HUVEC: 0.37, iPS_cells:fibroblast-derived:Retroviral_transf: 0.37, Tissue_stem_cells:CD326-CD56+: 0.37, Tissue_stem_cells:dental_pulp: 0.37
R53b_w11.5_TCTACATGTTGTAAAG-1 iPS_cells:CRL2097_foreskin-derived:undiff. 0.06 384.45
Raw ScoresTissue_stem_cells:iliac_MSC: 0.36, iPS_cells:CRL2097_foreskin-derived:d20_hepatic_diff: 0.35, Neurons:Schwann_cell: 0.35, iPS_cells:iPS:minicircle-derived: 0.35, iPS_cells:CRL2097_foreskin-derived:undiff.: 0.35, Endothelial_cells:HUVEC:FPV-infected: 0.35, Neuroepithelial_cell:ESC-derived: 0.35, Endothelial_cells:HUVEC: 0.34, iPS_cells:fibroblast-derived:Retroviral_transf: 0.34, Neurons:adrenal_medulla_cell_line: 0.34
R48a_w14.5_CCAAGCGAGGGACACT-1 Tissue_stem_cells:iliac_MSC 0.07 384.34
Raw ScoresTissue_stem_cells:iliac_MSC: 0.36, Endothelial_cells:HUVEC:FPV-infected: 0.35, iPS_cells:CRL2097_foreskin-derived:d20_hepatic_diff: 0.35, Endothelial_cells:HUVEC: 0.35, Smooth_muscle_cells:umbilical_vein: 0.35, Tissue_stem_cells:dental_pulp: 0.35, Endothelial_cells:HUVEC:B._anthracis_LT: 0.35, Neurons:Schwann_cell: 0.34, MSC: 0.34, Neurons:adrenal_medulla_cell_line: 0.34
R48a_w14.5_TGATGCAAGCTGAGTG-1 iPS_cells:CRL2097_foreskin-derived:d20_hepatic_diff 0.06 378.99
Raw ScoresiPS_cells:CRL2097_foreskin-derived:d20_hepatic_diff: 0.37, iPS_cells:iPS:minicircle-derived: 0.37, iPS_cells:CRL2097_foreskin-derived:undiff.: 0.36, Tissue_stem_cells:CD326-CD56+: 0.36, iPS_cells:skin_fibroblast-derived: 0.36, iPS_cells:adipose_stem_cell-derived:lentiviral: 0.36, iPS_cells:adipose_stem_cell-derived:minicircle-derived: 0.36, Endothelial_cells:HUVEC:FPV-infected: 0.36, Neuroepithelial_cell:ESC-derived: 0.36, iPS_cells:fibroblast-derived:Direct_del._reprog: 0.36
R53b_w11.5_TTACCGCTCACCTACC-1 iPS_cells:CRL2097_foreskin-derived:d20_hepatic_diff 0.07 375.46
Raw ScoresiPS_cells:CRL2097_foreskin-derived:d20_hepatic_diff: 0.38, Tissue_stem_cells:iliac_MSC: 0.37, Neurons:Schwann_cell: 0.37, Endothelial_cells:HUVEC:FPV-infected: 0.37, Fibroblasts:foreskin: 0.37, Fibroblasts:breast: 0.37, iPS_cells:foreskin_fibrobasts: 0.36, MSC: 0.36, Endothelial_cells:HUVEC: 0.36, Neurons:adrenal_medulla_cell_line: 0.36
R48a_w14.5_AGAGAGCAGCACTCCG-1 Tissue_stem_cells:iliac_MSC 0.06 372.77
Raw ScoresTissue_stem_cells:iliac_MSC: 0.36, Tissue_stem_cells:CD326-CD56+: 0.36, iPS_cells:CRL2097_foreskin-derived:d20_hepatic_diff: 0.36, iPS_cells:adipose_stem_cell-derived:minicircle-derived: 0.36, iPS_cells:iPS:minicircle-derived: 0.35, Neuroepithelial_cell:ESC-derived: 0.35, iPS_cells:skin_fibroblast-derived: 0.35, Endothelial_cells:HUVEC:FPV-infected: 0.35, iPS_cells:adipose_stem_cell-derived:lentiviral: 0.35, Embryonic_stem_cells: 0.35
R48a_w14.5_TTCACGCGTCTACTGA-1 iPS_cells:CRL2097_foreskin-derived:d20_hepatic_diff 0.06 372.26
Raw ScoresTissue_stem_cells:iliac_MSC: 0.36, iPS_cells:CRL2097_foreskin-derived:d20_hepatic_diff: 0.36, Endothelial_cells:HUVEC:FPV-infected: 0.36, Tissue_stem_cells:CD326-CD56+: 0.35, Neuroepithelial_cell:ESC-derived: 0.35, Smooth_muscle_cells:umbilical_vein: 0.35, Endothelial_cells:HUVEC: 0.35, Neurons:Schwann_cell: 0.35, iPS_cells:iPS:minicircle-derived: 0.35, Fibroblasts:breast: 0.34
R53b_w11.5_GTAATGCCATCGCTCT-1 iPS_cells:CRL2097_foreskin-derived:d20_hepatic_diff 0.05 370.17
Raw ScoresTissue_stem_cells:iliac_MSC: 0.36, iPS_cells:CRL2097_foreskin-derived:d20_hepatic_diff: 0.35, Endothelial_cells:HUVEC:FPV-infected: 0.35, Endothelial_cells:HUVEC: 0.35, Endothelial_cells:HUVEC:B._anthracis_LT: 0.35, Tissue_stem_cells:CD326-CD56+: 0.34, Neurons:Schwann_cell: 0.34, Smooth_muscle_cells:umbilical_vein: 0.34, Endothelial_cells:HUVEC:H5N1-infected: 0.34, iPS_cells:fibroblast-derived:Retroviral_transf: 0.34
R53b_w11.5_CATGGTAAGAGCACTG-1 Tissue_stem_cells:iliac_MSC 0.08 369.02
Raw ScoresTissue_stem_cells:iliac_MSC: 0.43, iPS_cells:CRL2097_foreskin-derived:d20_hepatic_diff: 0.42, Neurons:Schwann_cell: 0.41, iPS_cells:iPS:minicircle-derived: 0.41, Tissue_stem_cells:dental_pulp: 0.41, Smooth_muscle_cells:umbilical_vein: 0.41, iPS_cells:PDB_2lox-22: 0.41, Endothelial_cells:HUVEC:FPV-infected: 0.41, iPS_cells:adipose_stem_cells: 0.41, iPS_cells:PDB_1lox-17Puro-10: 0.41
R30_w8.5_GTTGCGGGTGAACGGT-1 iPS_cells:CRL2097_foreskin-derived:d20_hepatic_diff 0.10 368.59
Raw ScoresiPS_cells:CRL2097_foreskin-derived:d20_hepatic_diff: 0.43, Neuroepithelial_cell:ESC-derived: 0.43, iPS_cells:PDB_1lox-17Puro-10: 0.42, iPS_cells:skin_fibroblast-derived: 0.42, Tissue_stem_cells:iliac_MSC: 0.42, iPS_cells:iPS:minicircle-derived: 0.42, Embryonic_stem_cells: 0.42, iPS_cells:PDB_2lox-22: 0.42, iPS_cells:PDB_1lox-17Puro-5: 0.42, Smooth_muscle_cells:umbilical_vein: 0.42
R48a_w14.5_GTAAGTCGTTCTTGCC-1 iPS_cells:CRL2097_foreskin-derived:d20_hepatic_diff 0.10 367.71
Raw ScoresTissue_stem_cells:iliac_MSC: 0.48, iPS_cells:CRL2097_foreskin-derived:d20_hepatic_diff: 0.47, MSC: 0.47, Fibroblasts:breast: 0.46, Tissue_stem_cells:dental_pulp: 0.46, Smooth_muscle_cells:vascular:IL-17: 0.46, Neurons:Schwann_cell: 0.46, iPS_cells:CRL2097_foreskin: 0.46, Smooth_muscle_cells:vascular: 0.46, Smooth_muscle_cells:bronchial: 0.46
R53b_w11.5_TTGCCTGAGCCTTCTC-1 iPS_cells:CRL2097_foreskin-derived:d20_hepatic_diff 0.07 365.72
Raw ScoresiPS_cells:CRL2097_foreskin-derived:d20_hepatic_diff: 0.37, Tissue_stem_cells:iliac_MSC: 0.37, Endothelial_cells:HUVEC:FPV-infected: 0.36, Neurons:Schwann_cell: 0.36, Endothelial_cells:HUVEC: 0.36, Endothelial_cells:HUVEC:B._anthracis_LT: 0.35, Endothelial_cells:lymphatic: 0.35, Tissue_stem_cells:dental_pulp: 0.35, Endothelial_cells:lymphatic:TNFa_48h: 0.35, Tissue_stem_cells:CD326-CD56+: 0.35
R53b_w11.5_AAGTTCGAGGACGGAG-1 Tissue_stem_cells:iliac_MSC 0.06 360.56
Raw ScoresTissue_stem_cells:iliac_MSC: 0.37, Neurons:Schwann_cell: 0.36, iPS_cells:CRL2097_foreskin-derived:d20_hepatic_diff: 0.36, Endothelial_cells:HUVEC: 0.36, Endothelial_cells:HUVEC:FPV-infected: 0.36, Endothelial_cells:HUVEC:B._anthracis_LT: 0.35, iPS_cells:foreskin_fibrobasts: 0.35, Tissue_stem_cells:dental_pulp: 0.35, Smooth_muscle_cells:vascular:IL-17: 0.35, Fibroblasts:breast: 0.35
R53b_w11.5_AGAAATGAGCTGACTT-1 Tissue_stem_cells:iliac_MSC 0.08 358.61
Raw ScoresTissue_stem_cells:iliac_MSC: 0.41, iPS_cells:CRL2097_foreskin-derived:d20_hepatic_diff: 0.4, Neurons:Schwann_cell: 0.4, Fibroblasts:breast: 0.39, iPS_cells:iPS:minicircle-derived: 0.39, Smooth_muscle_cells:vascular:IL-17: 0.39, Tissue_stem_cells:BM_MSC:BMP2: 0.39, iPS_cells:CRL2097_foreskin-derived:undiff.: 0.39, iPS_cells:foreskin_fibrobasts: 0.39, Tissue_stem_cells:dental_pulp: 0.39
R48b_w12_GCCAGTGCAAGTGGGT-1 iPS_cells:CRL2097_foreskin-derived:d20_hepatic_diff 0.05 353.92
Raw ScoresiPS_cells:CRL2097_foreskin-derived:d20_hepatic_diff: 0.34, iPS_cells:adipose_stem_cell-derived:minicircle-derived: 0.34, iPS_cells:iPS:minicircle-derived: 0.34, Tissue_stem_cells:CD326-CD56+: 0.34, Endothelial_cells:HUVEC:FPV-infected: 0.34, iPS_cells:fibroblast-derived:Direct_del._reprog: 0.34, iPS_cells:adipose_stem_cell-derived:lentiviral: 0.34, Neuroepithelial_cell:ESC-derived: 0.34, iPS_cells:fibroblast-derived:Retroviral_transf: 0.34, iPS_cells:CRL2097_foreskin-derived:undiff.: 0.34
R30_w8.5_GTTGTCCGTGTGATGG-1 iPS_cells:CRL2097_foreskin-derived:d20_hepatic_diff 0.10 351.64
Raw ScoresiPS_cells:CRL2097_foreskin-derived:d20_hepatic_diff: 0.44, Tissue_stem_cells:iliac_MSC: 0.43, Neuroepithelial_cell:ESC-derived: 0.43, Smooth_muscle_cells:umbilical_vein: 0.42, MSC: 0.42, iPS_cells:iPS:minicircle-derived: 0.42, Fibroblasts:breast: 0.42, Tissue_stem_cells:CD326-CD56+: 0.42, iPS_cells:skin_fibroblast-derived: 0.42, iPS_cells:PDB_1lox-17Puro-10: 0.42
R53b_w11.5_GTCCCATAGCCACCGT-1 Endothelial_cells:HUVEC:B._anthracis_LT 0.05 339.54
Raw ScoresTissue_stem_cells:iliac_MSC: 0.36, iPS_cells:CRL2097_foreskin-derived:d20_hepatic_diff: 0.36, Endothelial_cells:HUVEC:FPV-infected: 0.36, Neurons:Schwann_cell: 0.35, Neuroepithelial_cell:ESC-derived: 0.35, Endothelial_cells:HUVEC: 0.35, iPS_cells:iPS:minicircle-derived: 0.35, Endothelial_cells:HUVEC:B._anthracis_LT: 0.35, iPS_cells:CRL2097_foreskin-derived:undiff.: 0.35, Fibroblasts:breast: 0.35
R48a_w14.5_TCCTCTTTCCTACTGC-1 Astrocyte:Embryonic_stem_cell-derived 0.06 339.16
Raw ScoresTissue_stem_cells:iliac_MSC: 0.38, Neuroepithelial_cell:ESC-derived: 0.38, Astrocyte:Embryonic_stem_cell-derived: 0.38, Smooth_muscle_cells:umbilical_vein: 0.38, iPS_cells:CRL2097_foreskin-derived:d20_hepatic_diff: 0.38, Endothelial_cells:HUVEC:FPV-infected: 0.37, Neurons:adrenal_medulla_cell_line: 0.37, Endothelial_cells:HUVEC: 0.37, iPS_cells:iPS:minicircle-derived: 0.37, Embryonic_stem_cells: 0.37
R48a_w14.5_GTAGCTACAGCGACCT-1 Endothelial_cells:HUVEC 0.12 331.96
Raw ScoresiPS_cells:PDB_1lox-17Puro-10: 0.5, Neuroepithelial_cell:ESC-derived: 0.5, iPS_cells:PDB_1lox-17Puro-5: 0.5, iPS_cells:PDB_1lox-21Puro-20: 0.5, iPS_cells:PDB_1lox-21Puro-26: 0.5, iPS_cells:skin_fibroblast-derived: 0.5, iPS_cells:PDB_2lox-22: 0.49, iPS_cells:iPS:minicircle-derived: 0.49, Embryonic_stem_cells: 0.49, iPS_cells:CRL2097_foreskin-derived:undiff.: 0.49
R53b_w11.5_TCACGGGCAGAGTTCT-1 iPS_cells:CRL2097_foreskin-derived:d20_hepatic_diff 0.09 329.94
Raw ScoresiPS_cells:CRL2097_foreskin-derived:d20_hepatic_diff: 0.42, Tissue_stem_cells:iliac_MSC: 0.41, Tissue_stem_cells:dental_pulp: 0.41, Smooth_muscle_cells:umbilical_vein: 0.41, Endothelial_cells:HUVEC:FPV-infected: 0.4, Neuroepithelial_cell:ESC-derived: 0.4, Neurons:Schwann_cell: 0.4, Endothelial_cells:HUVEC: 0.4, Tissue_stem_cells:CD326-CD56+: 0.4, iPS_cells:iPS:minicircle-derived: 0.4
R48a_w14.5_TCAGCCTTCTAGCAAC-1 iPS_cells:CRL2097_foreskin-derived:d20_hepatic_diff 0.05 326.88
Raw ScoresTissue_stem_cells:iliac_MSC: 0.37, Hepatocytes: 0.37, Endothelial_cells:HUVEC:FPV-infected: 0.37, iPS_cells:CRL2097_foreskin-derived:d20_hepatic_diff: 0.37, Neurons:adrenal_medulla_cell_line: 0.37, iPS_cells:adipose_stem_cell-derived:minicircle-derived: 0.37, iPS_cells:iPS:minicircle-derived: 0.37, Neuroepithelial_cell:ESC-derived: 0.37, Endothelial_cells:HUVEC: 0.37, Neurons:Schwann_cell: 0.36
R48a_w14.5_AATGGAAAGGGATCAC-1 iPS_cells:CRL2097_foreskin-derived:d20_hepatic_diff 0.06 316.93
Raw ScoresiPS_cells:iPS:minicircle-derived: 0.37, iPS_cells:adipose_stem_cell-derived:minicircle-derived: 0.37, iPS_cells:CRL2097_foreskin-derived:d20_hepatic_diff: 0.37, Tissue_stem_cells:iliac_MSC: 0.37, Smooth_muscle_cells:umbilical_vein: 0.37, iPS_cells:skin_fibroblast-derived: 0.37, Neuroepithelial_cell:ESC-derived: 0.37, iPS_cells:adipose_stem_cell-derived:lentiviral: 0.37, Neurons:Schwann_cell: 0.36, iPS_cells:PDB_2lox-22: 0.36
R53b_w11.5_CGAGAAGAGTCACTGT-1 Endothelial_cells:lymphatic 0.05 312.06
Raw ScoresEndothelial_cells:HUVEC:FPV-infected: 0.36, iPS_cells:CRL2097_foreskin-derived:d20_hepatic_diff: 0.36, Endothelial_cells:HUVEC: 0.36, Neurons:Schwann_cell: 0.36, Tissue_stem_cells:CD326-CD56+: 0.36, Endothelial_cells:HUVEC:B._anthracis_LT: 0.35, iPS_cells:adipose_stem_cell-derived:lentiviral: 0.35, iPS_cells:CRL2097_foreskin-derived:undiff.: 0.35, iPS_cells:iPS:minicircle-derived: 0.35, Endothelial_cells:HUVEC:H5N1-infected: 0.35
R53b_w11.5_CAGTTAGGTGGTAATA-1 iPS_cells:CRL2097_foreskin-derived:d20_hepatic_diff 0.05 309.56
Raw ScoresTissue_stem_cells:iliac_MSC: 0.34, iPS_cells:CRL2097_foreskin-derived:d20_hepatic_diff: 0.33, Tissue_stem_cells:CD326-CD56+: 0.33, iPS_cells:fibroblast-derived:Direct_del._reprog: 0.33, Endothelial_cells:HUVEC:FPV-infected: 0.33, iPS_cells:fibroblast-derived:Retroviral_transf: 0.33, Neurons:Schwann_cell: 0.33, Endothelial_cells:HUVEC:B._anthracis_LT: 0.32, Neuroepithelial_cell:ESC-derived: 0.32, iPS_cells:iPS:minicircle-derived: 0.32
R48a_w14.5_TCTCAGCCAGAGGGTT-1 iPS_cells:CRL2097_foreskin-derived:d20_hepatic_diff 0.08 305.06
Raw ScoresiPS_cells:adipose_stem_cell-derived:minicircle-derived: 0.41, iPS_cells:PDB_2lox-22: 0.41, iPS_cells:iPS:minicircle-derived: 0.41, iPS_cells:CRL2097_foreskin-derived:undiff.: 0.41, iPS_cells:fibroblast-derived:Retroviral_transf: 0.41, Neuroepithelial_cell:ESC-derived: 0.41, iPS_cells:CRL2097_foreskin-derived:d20_hepatic_diff: 0.41, iPS_cells:PDB_1lox-17Puro-10: 0.4, iPS_cells:skin_fibroblast-derived: 0.4, Embryonic_stem_cells: 0.4



Below shows the significant enrichments of this GEP for literature curated gene lists
  This data was procured from existing single cell RNA-seq maps of neuroblastoma or related relevant data.
  High ranks indicate this gene is a driver of this GEP.
  These curated gene list are ranked by the P-value (on this GEP) of their constituent genes.
  The Mean Count column shows the mean read count in cells scoring highly (H > 50) on this gene expression program.


Adrenal gland cortex (Kameneva)
Marker gene were obtained from Fig. 1D of Kameneva et al (PMID 33833454). These genes were used by the authors to annotate each cell type in their human fetal adrenal scRNA-seq data obtained 6, 8, 9, 11, 12 and 14 weeks post conception. :
Wilcoxon ranksum test P-value for gene set overrepresentation: 6.81e-05
Mean rank of genes in gene set: 194.6
Rank on gene expression program of genes in gene set:
Genes Weight Rank GTEx DepMap Decartes Mean.Counts Mean.TPM
STAR 0.0145598 1 GTEx DepMap Descartes 146.83 4026.39
CYP11A1 0.0136382 2 GTEx DepMap Descartes 47.84 2335.66
CYP17A1 0.0120560 5 GTEx DepMap Descartes 77.01 2877.04
CYP21A2 0.0082081 20 GTEx DepMap Descartes 27.43 1102.06
NR5A1 0.0009781 945 GTEx DepMap Descartes 4.70 150.45


Proteasomal degradation (Kinker)
These marker genes were obtained in a pan cancer cell lines NMF analysis of scRNA-eq data in Kinker et al (PMID 33128048) - 10 metaprograms were recovered that manifest across cancers, this is for proteasomal degradataion:
Wilcoxon ranksum test P-value for gene set overrepresentation: 1.50e-04
Mean rank of genes in gene set: 858
Rank on gene expression program of genes in gene set:

Genes Weight Rank GTEx DepMap Decartes Mean.Counts Mean.TPM
PSMA3 0.0014716 585 GTEx DepMap Descartes 2.82 202.12
PSMC2 0.0013570 641 GTEx DepMap Descartes 1.35 40.51
PSMB3 0.0011042 819 GTEx DepMap Descartes 4.06 478.39
PSMA4 0.0010323 885 GTEx DepMap Descartes 4.06 83.44
PSME2 0.0006751 1360 GTEx DepMap Descartes 3.74 118.08


Adrenal cortical (Jansky)
Mentioned in the main text (Jansky et al, Nature Genetics (2021)), page 1, that CYP11A1+ Adrenal cortical cells were identified in their fetal adrenal glands, this is also highlighted in the UMAP plot on their Fig 1B. Additional genes also shown in their Extended data Figure 2D.:
Wilcoxon ranksum test P-value for gene set overrepresentation: 1.72e-03
Mean rank of genes in gene set: 322.67
Rank on gene expression program of genes in gene set:

Genes Weight Rank GTEx DepMap Decartes Mean.Counts Mean.TPM
CYP11A1 0.0136382 2 GTEx DepMap Descartes 47.84 2335.66
CYP11B1 0.0081351 21 GTEx DepMap Descartes 21.83 577.87
NR5A1 0.0009781 945 GTEx DepMap Descartes 4.70 150.45





Below shows ranks on this GEP for literature curated gene lists for large gene sets
  These include those reported as mesenchymal/adrenergic by Van Groningen et al.
  High ranks indicate this gene is a driver of this GEP (note these results are not ordered).
  The Mean Count column shows the mean read count in cells scoring highly (H > 50) on this gene expression program.


VanGroningen Adrenergic Genes
Adrenergic marker genes from Supplementary Table 2 of Van Groningen et al. Nature Genetics 2017. These genes were identified by differential expression analysis of mesenchymal-like and adrenergic-like neuroblastoma cell lines.
Wilcoxon ranksum test P-value for gene set overrepresentation: 1.00e+00
Mean rank of genes in gene set: 17341.45
Median rank of genes in gene set: 20122
Rank on gene expression program of top 30 genes in gene set:

Genes Weight Rank GTEx DepMap Descartes Mean.Counts Mean.TPM
PTS 0.0057142 42 GTEx DepMap Descartes 13.59 1177.72
TMEM97 0.0044830 71 GTEx DepMap Descartes 4.15 155.92
PHPT1 0.0033511 139 GTEx DepMap Descartes 10.94 765.62
EEF1A2 0.0029222 175 GTEx DepMap Descartes 2.56 65.57
DLK1 0.0028795 181 GTEx DepMap Descartes 94.37 1723.59
RBP1 0.0024370 254 GTEx DepMap Descartes 21.86 1025.78
GLRX 0.0022598 284 GTEx DepMap Descartes 4.09 110.94
PEG3 0.0020567 332 GTEx DepMap Descartes 9.57 NA
LSM4 0.0017978 428 GTEx DepMap Descartes 6.02 315.12
DNER 0.0016797 484 GTEx DepMap Descartes 0.55 14.79
FKBP1B 0.0013149 666 GTEx DepMap Descartes 0.43 27.83
BEX2 0.0011829 761 GTEx DepMap Descartes 3.13 267.41
ABCB1 0.0011420 788 GTEx DepMap Descartes 0.28 5.17
BEX1 0.0011163 807 GTEx DepMap Descartes 5.82 647.81
SEC11C 0.0008508 1082 GTEx DepMap Descartes 1.65 70.36
QDPR 0.0008193 1128 GTEx DepMap Descartes 1.14 73.12
LSM3 0.0008017 1157 GTEx DepMap Descartes 2.90 78.97
NANOS1 0.0007561 1231 GTEx DepMap Descartes 0.10 2.92
PPP2R3C 0.0007165 1287 GTEx DepMap Descartes 1.07 52.53
CCDC167 0.0006677 1368 GTEx DepMap Descartes 1.46 234.19
LEPROTL1 0.0006161 1468 GTEx DepMap Descartes 1.51 42.82
DTD1 0.0006101 1481 GTEx DepMap Descartes 0.92 20.38
CYFIP2 0.0005891 1526 GTEx DepMap Descartes 0.92 14.01
AHSA1 0.0005789 1543 GTEx DepMap Descartes 2.73 181.35
TRAP1 0.0005327 1634 GTEx DepMap Descartes 1.51 57.28
GMNN 0.0005241 1656 GTEx DepMap Descartes 1.08 77.89
C3orf14 0.0004730 1783 GTEx DepMap Descartes 0.14 4.31
GNG4 0.0004440 1864 GTEx DepMap Descartes 0.36 6.55
ANP32A 0.0004355 1886 GTEx DepMap Descartes 2.15 53.65
OLA1 0.0004240 1921 GTEx DepMap Descartes 1.22 26.69


VanGroningen Mesenchymal Genes
Mesenchymal marker genes from Supplementary Table 2 of Van Groningen et al. Nature Genetics 2017. These genes were identified by differential expression analysis of mesenchymal-like and adrenergic-like neuroblastoma cell lines.
Wilcoxon ranksum test P-value for gene set overrepresentation: 1.00e+00
Mean rank of genes in gene set: 19509.27
Median rank of genes in gene set: 22679
Rank on gene expression program of top 30 genes in gene set:

Genes Weight Rank GTEx DepMap Descartes Mean.Counts Mean.TPM
MGST1 0.0079093 22 GTEx DepMap Descartes 11.97 517.26
PAPSS2 0.0074792 25 GTEx DepMap Descartes 6.91 174.43
APOE 0.0061709 38 GTEx DepMap Descartes 107.70 7973.81
TPM2 0.0033572 138 GTEx DepMap Descartes 18.01 1033.14
POLR2L 0.0030179 166 GTEx DepMap Descartes 11.04 1167.77
MYL12B 0.0029832 169 GTEx DepMap Descartes 13.33 991.34
COL4A2 0.0026347 222 GTEx DepMap Descartes 2.64 44.10
SQSTM1 0.0025535 231 GTEx DepMap Descartes 4.12 145.79
CETN2 0.0018744 400 GTEx DepMap Descartes 1.99 131.69
CD63 0.0017900 431 GTEx DepMap Descartes 28.41 1933.61
PRDX4 0.0017337 455 GTEx DepMap Descartes 5.94 527.40
DUSP14 0.0016919 474 GTEx DepMap Descartes 0.80 33.56
HIBADH 0.0016770 486 GTEx DepMap Descartes 1.35 67.32
FAM114A1 0.0013485 648 GTEx DepMap Descartes 1.38 32.40
SPARC 0.0011137 810 GTEx DepMap Descartes 19.76 500.27
PRDX6 0.0010157 901 GTEx DepMap Descartes 5.88 322.19
ATP6V0E1 0.0009628 972 GTEx DepMap Descartes 4.64 290.43
TNFRSF12A 0.0009434 991 GTEx DepMap Descartes 0.42 22.08
ARMCX2 0.0009317 1004 GTEx DepMap Descartes 0.81 26.16
GNS 0.0008804 1052 GTEx DepMap Descartes 1.41 25.02
PON2 0.0008735 1059 GTEx DepMap Descartes 4.52 207.39
INSIG1 0.0008291 1112 GTEx DepMap Descartes 1.25 40.19
ARL1 0.0007225 1278 GTEx DepMap Descartes 2.38 66.40
TSC22D3 0.0007143 1290 GTEx DepMap Descartes 4.11 169.89
SCPEP1 0.0007021 1310 GTEx DepMap Descartes 3.39 152.14
ACADVL 0.0006846 1342 GTEx DepMap Descartes 4.12 155.35
SDCBP 0.0006553 1390 GTEx DepMap Descartes 5.63 146.22
OSTC 0.0006154 1470 GTEx DepMap Descartes 7.00 571.92
ENAH 0.0006113 1478 GTEx DepMap Descartes 1.84 13.54
CAPN2 0.0005928 1522 GTEx DepMap Descartes 1.14 26.03


Descartes adrenocortical markers
Top 50 marker genes of adrenocortical cells in the Decartes fetal adrenal single cell map (https://atlas.brotmanbaty.org/bbi/human-gene-expression-during-development/cell/adrenocortical/in/adrenal)
Wilcoxon ranksum test P-value for gene set overrepresentation: 2.18e-27
Mean rank of genes in gene set: 1075.24
Median rank of genes in gene set: 108
Rank on gene expression program of top 30 genes in gene set:

Genes Weight Rank GTEx DepMap Descartes Mean.Counts Mean.TPM
STAR 0.0145598 1 GTEx DepMap Descartes 146.83 4026.39
CYP11A1 0.0136382 2 GTEx DepMap Descartes 47.84 2335.66
SULT2A1 0.0133886 3 GTEx DepMap Descartes 27.43 1500.20
FDX1 0.0126828 4 GTEx DepMap Descartes 108.03 3203.22
CYP17A1 0.0120560 5 GTEx DepMap Descartes 77.01 2877.04
HSPE1 0.0116353 6 GTEx DepMap Descartes 98.73 13223.42
FDPS 0.0104578 9 GTEx DepMap Descartes 22.70 1004.90
HSPD1 0.0095651 12 GTEx DepMap Descartes 69.69 2788.41
CYP21A2 0.0082081 20 GTEx DepMap Descartes 27.43 1102.06
CYP11B1 0.0081351 21 GTEx DepMap Descartes 21.83 577.87
GSTA4 0.0075207 24 GTEx DepMap Descartes 11.78 648.48
PAPSS2 0.0074792 25 GTEx DepMap Descartes 6.91 174.43
TM7SF2 0.0073654 26 GTEx DepMap Descartes 7.41 322.09
SCARB1 0.0072440 27 GTEx DepMap Descartes 20.52 336.21
MSMO1 0.0070890 29 GTEx DepMap Descartes 11.59 479.91
DHCR7 0.0058640 40 GTEx DepMap Descartes 5.31 180.12
DHCR24 0.0053022 49 GTEx DepMap Descartes 31.88 568.74
INHA 0.0051109 53 GTEx DepMap Descartes 10.27 667.16
APOC1 0.0049554 58 GTEx DepMap Descartes 31.01 4341.61
GRAMD1B 0.0048164 59 GTEx DepMap Descartes 5.83 71.06
SH3BP5 0.0047287 61 GTEx DepMap Descartes 12.06 345.22
LINC00473 0.0046548 65 GTEx DepMap Descartes 2.31 NA
MC2R 0.0037848 103 GTEx DepMap Descartes 4.91 122.77
POR 0.0036267 113 GTEx DepMap Descartes 13.75 475.91
FDXR 0.0035958 115 GTEx DepMap Descartes 19.65 704.20
LDLR 0.0035900 116 GTEx DepMap Descartes 6.00 103.90
CYB5B 0.0033819 134 GTEx DepMap Descartes 6.61 146.94
HMGCS1 0.0032759 144 GTEx DepMap Descartes 7.37 137.43
SCAP 0.0030725 157 GTEx DepMap Descartes 4.68 102.79
JAKMIP2 0.0030678 158 GTEx DepMap Descartes 1.92 19.52


Descartes chromaffin markers
Top 50 marker genes of chromaffin cells in the Decartes fetal adrenal single cell map (https://atlas.brotmanbaty.org/bbi/human-gene-expression-during-development/cell/chromaffin/in/adrenal)
Wilcoxon ranksum test P-value for gene set overrepresentation: 1.00e+00
Mean rank of genes in gene set: 18813.45
Median rank of genes in gene set: 19445.5
Rank on gene expression program of top 30 genes in gene set:

Genes Weight Rank GTEx DepMap Descartes Mean.Counts Mean.TPM
MLLT11 0.0003876 2050 GTEx DepMap Descartes 0.71 28.39
ANKFN1 -0.0000800 13251 GTEx DepMap Descartes 0.00 0.00
EPHA6 -0.0000954 14220 GTEx DepMap Descartes 0.00 0.05
HS3ST5 -0.0000981 14378 GTEx DepMap Descartes 0.00 0.10
SLC44A5 -0.0001035 14675 GTEx DepMap Descartes 0.01 0.11
MARCH11 -0.0001081 14930 GTEx DepMap Descartes 0.04 NA
ALK -0.0001099 15009 GTEx DepMap Descartes 0.00 0.04
KCNB2 -0.0001142 15212 GTEx DepMap Descartes 0.00 0.00
NTRK1 -0.0001278 15816 GTEx DepMap Descartes 0.00 0.10
HMX1 -0.0001329 16053 GTEx DepMap Descartes 0.00 0.00
EYA4 -0.0001335 16075 GTEx DepMap Descartes 0.04 0.73
RPH3A -0.0001425 16455 GTEx DepMap Descartes 0.01 0.17
GREM1 -0.0001568 16995 GTEx DepMap Descartes 0.01 0.10
TUBB2A -0.0001604 17155 GTEx DepMap Descartes 0.77 40.94
RYR2 -0.0001630 17248 GTEx DepMap Descartes 0.02 0.10
TMEFF2 -0.0001786 17740 GTEx DepMap Descartes 0.01 0.21
TMEM132C -0.0001794 17764 GTEx DepMap Descartes 0.00 0.06
PTCHD1 -0.0001796 17768 GTEx DepMap Descartes 0.00 0.02
MAB21L2 -0.0002061 18530 GTEx DepMap Descartes 0.01 0.35
EYA1 -0.0002123 18706 GTEx DepMap Descartes 0.01 0.16
IL7 -0.0002182 18857 GTEx DepMap Descartes 0.01 0.34
CNKSR2 -0.0002233 18996 GTEx DepMap Descartes 0.01 0.10
PRPH -0.0002594 19895 GTEx DepMap Descartes 0.04 2.02
GAL -0.0002640 19997 GTEx DepMap Descartes 0.04 4.96
SLC6A2 -0.0002725 20177 GTEx DepMap Descartes 0.01 0.32
MAB21L1 -0.0002810 20357 GTEx DepMap Descartes 0.01 0.40
PLXNA4 -0.0002847 20441 GTEx DepMap Descartes 0.01 0.08
RBFOX1 -0.0002910 20575 GTEx DepMap Descartes 0.02 0.31
STMN4 -0.0002937 20632 GTEx DepMap Descartes 0.04 1.49
NPY -0.0003003 20759 GTEx DepMap Descartes 0.04 5.25


Descartes Vascular_endothelial markers
Top 50 marker genes of Vascular_endothelial cells in the Decartes fetal adrenal single cell map (https://atlas.brotmanbaty.org/bbi/human-gene-expression-during-development/cell/vascular_endothelial/in/adrenal)
Wilcoxon ranksum test P-value for gene set overrepresentation: 1.00e+00
Mean rank of genes in gene set: 24623.32
Median rank of genes in gene set: 24958.5
Rank on gene expression program of top 30 genes in gene set:

Genes Weight Rank GTEx DepMap Descartes Mean.Counts Mean.TPM
MYRIP -0.0002769 20283 GTEx DepMap Descartes 0.00 0.05
NR5A2 -0.0003210 21188 GTEx DepMap Descartes 0.00 0.03
GALNT15 -0.0003504 21744 GTEx DepMap Descartes 0.01 NA
ESM1 -0.0004013 22534 GTEx DepMap Descartes 0.02 0.71
CHRM3 -0.0004852 23520 GTEx DepMap Descartes 0.02 0.18
APLNR -0.0005082 23774 GTEx DepMap Descartes 0.01 0.34
PODXL -0.0005129 23821 GTEx DepMap Descartes 0.04 0.86
CDH13 -0.0005164 23852 GTEx DepMap Descartes 0.03 0.33
SLCO2A1 -0.0005508 24119 GTEx DepMap Descartes 0.02 0.48
DNASE1L3 -0.0005538 24148 GTEx DepMap Descartes 0.10 4.81
SHE -0.0005929 24406 GTEx DepMap Descartes 0.02 0.31
BTNL9 -0.0006018 24463 GTEx DepMap Descartes 0.13 3.60
FLT4 -0.0006341 24639 GTEx DepMap Descartes 0.03 0.40
CEACAM1 -0.0006576 24761 GTEx DepMap Descartes 0.09 2.29
NOTCH4 -0.0006577 24763 GTEx DepMap Descartes 0.06 0.77
FCGR2B -0.0006645 24794 GTEx DepMap Descartes 0.21 4.56
SHANK3 -0.0006766 24863 GTEx DepMap Descartes 0.04 0.46
CYP26B1 -0.0006777 24868 GTEx DepMap Descartes 0.07 1.46
CRHBP -0.0006860 24899 GTEx DepMap Descartes 0.08 3.92
TIE1 -0.0006910 24918 GTEx DepMap Descartes 0.05 1.18
IRX3 -0.0007005 24952 GTEx DepMap Descartes 0.03 0.90
NPR1 -0.0007012 24956 GTEx DepMap Descartes 0.04 0.86
ROBO4 -0.0007018 24961 GTEx DepMap Descartes 0.03 0.73
TEK -0.0007034 24965 GTEx DepMap Descartes 0.04 0.94
PTPRB -0.0007216 25034 GTEx DepMap Descartes 0.05 0.37
RASIP1 -0.0007357 25074 GTEx DepMap Descartes 0.17 5.45
KANK3 -0.0007643 25157 GTEx DepMap Descartes 0.07 2.23
F8 -0.0007749 25175 GTEx DepMap Descartes 0.09 0.94
CLDN5 -0.0007934 25217 GTEx DepMap Descartes 0.09 3.02
EHD3 -0.0008058 25259 GTEx DepMap Descartes 0.15 2.96


Descartes stromal markers
Top 50 marker genes of stromal cells in the Decartes fetal adrenal single cell map (https://atlas.brotmanbaty.org/bbi/human-gene-expression-during-development/cell/stromal/in/adrenal)
Wilcoxon ranksum test P-value for gene set overrepresentation: 1.00e+00
Mean rank of genes in gene set: 21061.84
Median rank of genes in gene set: 21658
Rank on gene expression program of top 30 genes in gene set:

Genes Weight Rank GTEx DepMap Descartes Mean.Counts Mean.TPM
LUM -0.0000217 7288 GTEx DepMap Descartes 0.32 10.13
SCARA5 -0.0000440 10017 GTEx DepMap Descartes 0.04 0.99
ABCA6 -0.0001382 16275 GTEx DepMap Descartes 0.04 0.38
DKK2 -0.0001887 18039 GTEx DepMap Descartes 0.00 0.17
GAS2 -0.0001905 18096 GTEx DepMap Descartes 0.02 0.65
ADAMTSL3 -0.0002112 18679 GTEx DepMap Descartes 0.01 0.11
SFRP2 -0.0002311 19197 GTEx DepMap Descartes 0.00 0.18
FNDC1 -0.0002351 19302 GTEx DepMap Descartes 0.00 0.06
ITGA11 -0.0002465 19584 GTEx DepMap Descartes 0.01 0.07
PAMR1 -0.0002480 19620 GTEx DepMap Descartes 0.01 0.12
ACTA2 -0.0002532 19743 GTEx DepMap Descartes 0.08 6.02
ZNF385D -0.0002533 19746 GTEx DepMap Descartes 0.05 0.39
MGP -0.0002709 20151 GTEx DepMap Descartes 0.07 4.62
CCDC102B -0.0002826 20398 GTEx DepMap Descartes 0.00 0.21
GLI2 -0.0002828 20402 GTEx DepMap Descartes 0.01 0.11
MXRA5 -0.0002858 20463 GTEx DepMap Descartes 0.03 0.26
ABCC9 -0.0003021 20803 GTEx DepMap Descartes 0.01 0.10
HHIP -0.0003075 20920 GTEx DepMap Descartes 0.01 0.11
LAMC3 -0.0003084 20943 GTEx DepMap Descartes 0.01 0.12
POSTN -0.0003187 21138 GTEx DepMap Descartes 0.11 3.66
LOX -0.0003269 21303 GTEx DepMap Descartes 0.02 0.32
ADAMTS2 -0.0003317 21389 GTEx DepMap Descartes 0.01 0.07
PRRX1 -0.0003445 21639 GTEx DepMap Descartes 0.01 0.33
CLDN11 -0.0003447 21645 GTEx DepMap Descartes 0.03 1.00
PRICKLE1 -0.0003453 21658 GTEx DepMap Descartes 0.02 0.27
RSPO3 -0.0003552 21826 GTEx DepMap Descartes 0.03 NA
ELN -0.0003705 22066 GTEx DepMap Descartes 0.02 0.47
COL12A1 -0.0003800 22203 GTEx DepMap Descartes 0.08 0.70
BICC1 -0.0003897 22375 GTEx DepMap Descartes 0.19 3.15
DCN -0.0003914 22396 GTEx DepMap Descartes 0.68 8.63


Descartes sympathoblasts markers
Top 50 marker genes of sympathoblasts cells in the Decartes fetal adrenal single cell map (https://atlas.brotmanbaty.org/bbi/human-gene-expression-during-development/cell/sympathoblasts/in/adrenal)
Wilcoxon ranksum test P-value for gene set overrepresentation: 1.00e+00
Mean rank of genes in gene set: 19044.52
Median rank of genes in gene set: 19251.5
Rank on gene expression program of top 30 genes in gene set:

Genes Weight Rank GTEx DepMap Descartes Mean.Counts Mean.TPM
EML6 0.0000195 4778 GTEx DepMap Descartes 0.11 1.09
TBX20 -0.0001075 14899 GTEx DepMap Descartes 0.00 0.00
SLC35F3 -0.0001291 15874 GTEx DepMap Descartes 0.00 0.01
GALNTL6 -0.0001302 15940 GTEx DepMap Descartes 0.00 0.06
PENK -0.0001355 16169 GTEx DepMap Descartes 0.04 2.08
SORCS3 -0.0001377 16259 GTEx DepMap Descartes 0.00 0.03
LAMA3 -0.0001427 16463 GTEx DepMap Descartes 0.07 0.62
CNTNAP5 -0.0001441 16539 GTEx DepMap Descartes 0.00 0.07
PACRG -0.0001568 16998 GTEx DepMap Descartes 0.02 1.45
AGBL4 -0.0001620 17215 GTEx DepMap Descartes 0.00 0.08
ST18 -0.0001631 17251 GTEx DepMap Descartes 0.00 0.04
ARC -0.0001769 17696 GTEx DepMap Descartes 0.02 0.52
KSR2 -0.0001772 17699 GTEx DepMap Descartes 0.01 0.03
TMEM130 -0.0001850 17925 GTEx DepMap Descartes 0.00 0.10
PNMT -0.0001865 17972 GTEx DepMap Descartes 0.03 2.04
KCTD16 -0.0001906 18099 GTEx DepMap Descartes 0.00 0.01
CNTN3 -0.0001971 18292 GTEx DepMap Descartes 0.00 0.01
GRM7 -0.0002014 18414 GTEx DepMap Descartes 0.00 0.07
SLC24A2 -0.0002098 18635 GTEx DepMap Descartes 0.00 0.03
SPOCK3 -0.0002213 18937 GTEx DepMap Descartes 0.02 0.43
PCSK2 -0.0002230 18984 GTEx DepMap Descartes 0.00 0.06
DGKK -0.0002330 19246 GTEx DepMap Descartes 0.01 0.12
GRID2 -0.0002335 19257 GTEx DepMap Descartes 0.01 0.09
FGF14 -0.0002418 19470 GTEx DepMap Descartes 0.01 0.03
INSM1 -0.0002478 19611 GTEx DepMap Descartes 0.01 0.21
FAM155A -0.0002491 19651 GTEx DepMap Descartes 0.00 0.05
MGAT4C -0.0002637 19989 GTEx DepMap Descartes 0.01 0.03
NTNG1 -0.0002863 20472 GTEx DepMap Descartes 0.01 0.19
CDH18 -0.0002891 20541 GTEx DepMap Descartes 0.02 0.35
CDH12 -0.0002904 20560 GTEx DepMap Descartes 0.06 1.08


Descartes erythroblasts markers
Top 50 marker genes of erythroblasts cells in the Decartes fetal adrenal single cell map (https://atlas.brotmanbaty.org/bbi/human-gene-expression-during-development/cell/erythroblasts/in/adrenal)
Wilcoxon ranksum test P-value for gene set overrepresentation: 1.00e+00
Mean rank of genes in gene set: 22487.04
Median rank of genes in gene set: 24036
Rank on gene expression program of top 30 genes in gene set:

Genes Weight Rank GTEx DepMap Descartes Mean.Counts Mean.TPM
SPECC1 0.0003984 2014 GTEx DepMap Descartes 1.10 12.61
MARCH3 0.0000646 4020 GTEx DepMap Descartes 0.54 NA
SLC25A21 -0.0000670 12266 GTEx DepMap Descartes 0.04 0.87
HBZ -0.0002312 19198 GTEx DepMap Descartes 0.33 27.41
TFR2 -0.0002480 19616 GTEx DepMap Descartes 0.07 2.45
RHD -0.0002506 19686 GTEx DepMap Descartes 0.01 0.26
GCLC -0.0002639 19994 GTEx DepMap Descartes 0.37 9.73
TSPAN5 -0.0002669 20061 GTEx DepMap Descartes 0.18 3.73
RGS6 -0.0002679 20080 GTEx DepMap Descartes 0.01 0.05
TRAK2 -0.0002822 20387 GTEx DepMap Descartes 0.39 5.80
TMCC2 -0.0003125 21015 GTEx DepMap Descartes 0.06 1.31
DENND4A -0.0003522 21772 GTEx DepMap Descartes 0.19 2.15
MICAL2 -0.0003621 21944 GTEx DepMap Descartes 0.01 0.19
SPTB -0.0003795 22189 GTEx DepMap Descartes 0.01 0.08
GYPE -0.0003945 22446 GTEx DepMap Descartes 0.03 1.34
CR1L -0.0004390 23016 GTEx DepMap Descartes 0.01 0.60
ANK1 -0.0004491 23142 GTEx DepMap Descartes 0.04 0.43
TMEM56 -0.0004680 23343 GTEx DepMap Descartes 0.11 NA
SPTA1 -0.0004720 23384 GTEx DepMap Descartes 0.05 0.38
RHCE -0.0004722 23389 GTEx DepMap Descartes 0.03 1.09
XPO7 -0.0004804 23475 GTEx DepMap Descartes 0.28 5.50
ABCB10 -0.0005100 23791 GTEx DepMap Descartes 0.12 2.57
SLC4A1 -0.0005354 24011 GTEx DepMap Descartes 0.13 1.70
HECTD4 -0.0005359 24014 GTEx DepMap Descartes 0.26 NA
RHAG -0.0005420 24058 GTEx DepMap Descartes 0.04 1.30
CAT -0.0006142 24528 GTEx DepMap Descartes 0.67 26.07
SOX6 -0.0006170 24548 GTEx DepMap Descartes 0.14 1.40
CPOX -0.0006385 24666 GTEx DepMap Descartes 0.32 10.62
HBM -0.0006429 24692 GTEx DepMap Descartes 0.88 103.61
EPB42 -0.0006511 24733 GTEx DepMap Descartes 0.04 0.96


Descartes myeloid markers
Top 50 marker genes of myeloid cells in the Decartes fetal adrenal single cell map (https://atlas.brotmanbaty.org/bbi/human-gene-expression-during-development/cell/myeloid/in/adrenal)
Wilcoxon ranksum test P-value for gene set overrepresentation: 1.00e+00
Mean rank of genes in gene set: 20475.16
Median rank of genes in gene set: 20688.5
Rank on gene expression program of top 30 genes in gene set:

Genes Weight Rank GTEx DepMap Descartes Mean.Counts Mean.TPM
HLA-DRB1 0.0026754 219 GTEx DepMap Descartes 2.41 220.51
AXL -0.0000720 12681 GTEx DepMap Descartes 0.60 12.17
MS4A4E -0.0000733 12777 GTEx DepMap Descartes 0.00 0.02
SPP1 -0.0001305 15945 GTEx DepMap Descartes 0.04 2.08
CD163L1 -0.0001494 16726 GTEx DepMap Descartes 0.00 0.02
CTSD -0.0001656 17336 GTEx DepMap Descartes 1.94 81.75
MS4A4A -0.0002011 18409 GTEx DepMap Descartes 0.01 0.65
CPVL -0.0002068 18550 GTEx DepMap Descartes 0.38 13.91
VSIG4 -0.0002130 18723 GTEx DepMap Descartes 0.01 0.49
ATP8B4 -0.0002146 18772 GTEx DepMap Descartes 0.01 0.11
MSR1 -0.0002193 18888 GTEx DepMap Descartes 0.01 0.15
HCK -0.0002218 18950 GTEx DepMap Descartes 0.00 0.12
FGD2 -0.0002274 19097 GTEx DepMap Descartes 0.01 0.14
HRH1 -0.0002411 19451 GTEx DepMap Descartes 0.01 0.11
CD14 -0.0002538 19751 GTEx DepMap Descartes 0.03 1.41
MS4A7 -0.0002546 19771 GTEx DepMap Descartes 0.03 1.09
SLCO2B1 -0.0002611 19939 GTEx DepMap Descartes 0.01 0.13
ADAP2 -0.0002633 19980 GTEx DepMap Descartes 0.01 0.24
C1QB -0.0002651 20023 GTEx DepMap Descartes 0.09 7.52
FMN1 -0.0002665 20052 GTEx DepMap Descartes 0.01 0.07
C1QC -0.0002728 20182 GTEx DepMap Descartes 0.05 4.08
MARCH1 -0.0002737 20201 GTEx DepMap Descartes 0.01 NA
SLC1A3 -0.0002759 20257 GTEx DepMap Descartes 0.26 5.42
CD163 -0.0002777 20294 GTEx DepMap Descartes 0.03 0.58
C1QA -0.0002967 20686 GTEx DepMap Descartes 0.09 8.20
MPEG1 -0.0002968 20691 GTEx DepMap Descartes 0.01 0.10
CTSS -0.0003069 20908 GTEx DepMap Descartes 0.07 1.45
CSF1R -0.0003097 20963 GTEx DepMap Descartes 0.02 0.48
WWP1 -0.0003119 21005 GTEx DepMap Descartes 0.56 10.95
HLA-DPA1 -0.0003144 21047 GTEx DepMap Descartes 0.17 2.90


Descartes Schwann markers
Top 50 marker genes of Schwann cells in the Decartes fetal adrenal single cell map (https://atlas.brotmanbaty.org/bbi/human-gene-expression-during-development/cell/schwann/in/adrenal)
Wilcoxon ranksum test P-value for gene set overrepresentation: 1.00e+00
Mean rank of genes in gene set: 20148.33
Median rank of genes in gene set: 20133
Rank on gene expression program of top 30 genes in gene set:

Genes Weight Rank GTEx DepMap Descartes Mean.Counts Mean.TPM
STARD13 0.0003386 2232 GTEx DepMap Descartes 0.43 7.05
MDGA2 -0.0000315 8540 GTEx DepMap Descartes 0.01 0.13
IL1RAPL2 -0.0000821 13377 GTEx DepMap Descartes 0.00 0.04
MPZ -0.0000922 14010 GTEx DepMap Descartes 0.02 0.79
GRIK3 -0.0001210 15547 GTEx DepMap Descartes 0.00 0.00
LRRTM4 -0.0001269 15779 GTEx DepMap Descartes 0.00 0.03
PPP2R2B -0.0001414 16415 GTEx DepMap Descartes 0.00 0.06
SOX10 -0.0001453 16580 GTEx DepMap Descartes 0.00 0.12
CDH19 -0.0001517 16801 GTEx DepMap Descartes 0.00 0.05
XKR4 -0.0001629 17245 GTEx DepMap Descartes 0.01 0.07
SFRP1 -0.0001862 17965 GTEx DepMap Descartes 0.64 13.37
SORCS1 -0.0001889 18045 GTEx DepMap Descartes 0.00 0.06
ERBB4 -0.0001930 18170 GTEx DepMap Descartes 0.00 0.02
EGFLAM -0.0001948 18214 GTEx DepMap Descartes 0.05 0.89
TRPM3 -0.0002003 18376 GTEx DepMap Descartes 0.01 0.08
PLP1 -0.0002008 18399 GTEx DepMap Descartes 0.01 0.31
IL1RAPL1 -0.0002013 18411 GTEx DepMap Descartes 0.01 0.18
FIGN -0.0002040 18489 GTEx DepMap Descartes 0.20 2.12
ZNF536 -0.0002060 18527 GTEx DepMap Descartes 0.24 4.71
OLFML2A -0.0002168 18831 GTEx DepMap Descartes 0.01 0.13
GFRA3 -0.0002484 19633 GTEx DepMap Descartes 0.05 1.75
ADAMTS5 -0.0002629 19966 GTEx DepMap Descartes 0.00 0.03
ERBB3 -0.0002662 20047 GTEx DepMap Descartes 0.01 0.15
SCN7A -0.0002678 20078 GTEx DepMap Descartes 0.01 0.07
SOX5 -0.0002700 20133 GTEx DepMap Descartes 0.05 0.69
NRXN3 -0.0002781 20304 GTEx DepMap Descartes 0.01 0.08
GAS7 -0.0002945 20644 GTEx DepMap Descartes 0.01 0.15
COL25A1 -0.0002947 20648 GTEx DepMap Descartes 0.00 0.05
PLCE1 -0.0003082 20937 GTEx DepMap Descartes 0.07 0.46
ABCA8 -0.0003290 21337 GTEx DepMap Descartes 0.01 0.18


Descartes Megakaryocytes markers
Top 50 marker genes of Megakaryocytes cells in the Decartes fetal adrenal single cell map (https://atlas.brotmanbaty.org/bbi/human-gene-expression-during-development/cell/megakaryocytes/in/adrenal)
Wilcoxon ranksum test P-value for gene set overrepresentation: 1.00e+00
Mean rank of genes in gene set: 20626.39
Median rank of genes in gene set: 21785
Rank on gene expression program of top 30 genes in gene set:

Genes Weight Rank GTEx DepMap Descartes Mean.Counts Mean.TPM
PRKAR2B 0.0016117 512 GTEx DepMap Descartes 3.04 78.23
PPBP -0.0000767 13033 GTEx DepMap Descartes 0.26 14.65
GP1BA -0.0000820 13369 GTEx DepMap Descartes 0.03 0.86
PF4 -0.0000893 13834 GTEx DepMap Descartes 0.30 28.34
ITGA2B -0.0000922 14008 GTEx DepMap Descartes 0.04 1.03
PSTPIP2 -0.0000963 14274 GTEx DepMap Descartes 0.19 6.08
ITGB3 -0.0001027 14621 GTEx DepMap Descartes 0.01 0.08
TLN1 -0.0001075 14900 GTEx DepMap Descartes 2.49 26.50
P2RX1 -0.0001093 14978 GTEx DepMap Descartes 0.02 0.58
GP9 -0.0001230 15622 GTEx DepMap Descartes 0.03 2.27
SLC24A3 -0.0001754 17655 GTEx DepMap Descartes 0.01 0.28
TUBB1 -0.0001833 17870 GTEx DepMap Descartes 0.03 0.70
TRPC6 -0.0001919 18131 GTEx DepMap Descartes 0.00 0.06
MCTP1 -0.0002070 18558 GTEx DepMap Descartes 0.01 0.12
CD84 -0.0002284 19117 GTEx DepMap Descartes 0.01 0.11
BIN2 -0.0002288 19129 GTEx DepMap Descartes 0.01 0.22
PLEK -0.0002378 19379 GTEx DepMap Descartes 0.10 2.73
ANGPT1 -0.0002598 19906 GTEx DepMap Descartes 0.08 1.52
DOK6 -0.0002656 20030 GTEx DepMap Descartes 0.00 0.02
FERMT3 -0.0002890 20536 GTEx DepMap Descartes 0.04 1.19
SPN -0.0003229 21224 GTEx DepMap Descartes 0.01 0.14
ARHGAP6 -0.0003381 21500 GTEx DepMap Descartes 0.01 0.14
PDE3A -0.0003404 21546 GTEx DepMap Descartes 0.02 0.21
STON2 -0.0003468 21687 GTEx DepMap Descartes 0.07 1.65
RAB27B -0.0003528 21785 GTEx DepMap Descartes 0.08 1.02
UBASH3B -0.0003753 22129 GTEx DepMap Descartes 0.01 0.20
THBS1 -0.0003821 22239 GTEx DepMap Descartes 0.08 0.76
LIMS1 -0.0003855 22307 GTEx DepMap Descartes 2.51 53.80
MED12L -0.0003903 22381 GTEx DepMap Descartes 0.72 6.42
MMRN1 -0.0004665 23327 GTEx DepMap Descartes 0.04 0.63


Descartes Lyphoid markers
Top 50 marker genes of Lyphoid cells in the Decartes fetal adrenal single cell map (https://atlas.brotmanbaty.org/bbi/human-gene-expression-during-development/cell/lymphoid/in/adrenal)
Wilcoxon ranksum test P-value for gene set overrepresentation: 1.00e+00
Mean rank of genes in gene set: 20943.52
Median rank of genes in gene set: 22361
Rank on gene expression program of top 30 genes in gene set:

Genes Weight Rank GTEx DepMap Descartes Mean.Counts Mean.TPM
CCND3 0.0009868 935 GTEx DepMap Descartes 4.14 156.67
SKAP1 0.0007187 1284 GTEx DepMap Descartes 0.13 8.32
LINC00299 0.0001071 3549 GTEx DepMap Descartes 0.01 0.38
RAP1GAP2 -0.0001032 14647 GTEx DepMap Descartes 0.05 0.79
CCL5 -0.0001073 14889 GTEx DepMap Descartes 0.02 1.26
NKG7 -0.0001417 16426 GTEx DepMap Descartes 0.01 1.45
SCML4 -0.0001677 17398 GTEx DepMap Descartes 0.00 0.01
BACH2 -0.0001755 17657 GTEx DepMap Descartes 0.03 0.25
SP100 -0.0002110 18666 GTEx DepMap Descartes 0.45 8.18
SAMD3 -0.0002249 19035 GTEx DepMap Descartes 0.12 2.99
DOCK10 -0.0002315 19207 GTEx DepMap Descartes 0.11 1.47
ARHGAP15 -0.0002365 19337 GTEx DepMap Descartes 0.01 0.22
LCP1 -0.0002540 19756 GTEx DepMap Descartes 0.09 2.12
PLEKHA2 -0.0002646 20010 GTEx DepMap Descartes 0.28 4.88
TOX -0.0002859 20466 GTEx DepMap Descartes 0.00 0.11
ABLIM1 -0.0002957 20667 GTEx DepMap Descartes 0.07 1.06
STK39 -0.0003090 20954 GTEx DepMap Descartes 0.08 2.57
TMSB10 -0.0003454 21662 GTEx DepMap Descartes 15.43 3237.21
PTPRC -0.0003603 21913 GTEx DepMap Descartes 0.02 0.31
MCTP2 -0.0003628 21952 GTEx DepMap Descartes 0.04 0.44
GNG2 -0.0003633 21956 GTEx DepMap Descartes 0.54 13.39
SORL1 -0.0003694 22048 GTEx DepMap Descartes 0.02 0.17
IKZF1 -0.0003781 22165 GTEx DepMap Descartes 0.01 0.16
HLA-C -0.0003829 22255 GTEx DepMap Descartes 2.00 90.54
NCALD -0.0003957 22467 GTEx DepMap Descartes 0.06 1.57
PDE3B -0.0003978 22488 GTEx DepMap Descartes 0.01 0.20
ITPKB -0.0004307 22925 GTEx DepMap Descartes 0.03 0.42
RCSD1 -0.0004545 23192 GTEx DepMap Descartes 0.01 0.18
PITPNC1 -0.0004563 23219 GTEx DepMap Descartes 0.14 1.96
CD44 -0.0004677 23339 GTEx DepMap Descartes 0.02 0.37



Below shows the ranks on this GEP for immune marker gene lists curated by CellTypist (https://www.celltypist.org/encyclopedia).
  High ranks indicate this gene is a driver of this GEP.
  These curated gene list are ranked by P-value (on this GEP) of their constituent genes.
  The Mean Count column shows the mean read count in cells scoring highly (H > 50) on this gene expression program.


B cells: Follicular B cells (model markers)
resting mature B lymphocytes found in the primary and secondary lymphoid follicles and participating in T cell-dependent immune responses:
Wilcoxon ranksum test P-value for gene set overrepresentation: 8.26e-03
Mean rank of genes in gene set: 5615.17
Rank on gene expression program of genes in gene set:
Genes Weight Rank GTEx DepMap Decartes Mean.Counts Mean.TPM
CD83 0.0023875 262 GTEx DepMap Descartes 3.75 138.29
RPL41 0.0012145 734 GTEx DepMap Descartes 137.13 18048.11
VPREB3 0.0003732 2112 GTEx DepMap Descartes 1.00 148.41
OR2A25 -0.0000086 5912 GTEx DepMap Descartes 0.00 0.20
C11orf72 -0.0000444 10071 GTEx DepMap Descartes 0.00 0.04
JCHAIN -0.0001021 14600 GTEx DepMap Descartes 0.00 NA


Cycling cells: Cycling B cells (model markers)
proliferating B lymphocytes:
Wilcoxon ranksum test P-value for gene set overrepresentation: 2.22e-02
Mean rank of genes in gene set: 7612.88
Rank on gene expression program of genes in gene set:

Genes Weight Rank GTEx DepMap Decartes Mean.Counts Mean.TPM
LINC01709 0.0004033 1994 GTEx DepMap Descartes 0 NA
RGS13 0.0000081 5084 GTEx DepMap Descartes 0 0.05
OR2A25 -0.0000086 5912 GTEx DepMap Descartes 0 0.20
KIAA0087 -0.0000197 7071 GTEx DepMap Descartes 0 0.00
CD207 -0.0000211 7214 GTEx DepMap Descartes 0 0.00
LCNL1 -0.0000377 9275 GTEx DepMap Descartes 0 0.00
C11orf72 -0.0000444 10071 GTEx DepMap Descartes 0 0.04
GRIN1 -0.0000964 14282 GTEx DepMap Descartes 0 0.00


No detectable expression in this dataset: IGHV5-78

T cells: Tem/Temra cytotoxic T cells (model markers)
terminally differentiated CD8+ cytotoxic T lymphocytes with effector memory phenotypes that re-express CD45RA :
Wilcoxon ranksum test P-value for gene set overrepresentation: 3.06e-02
Mean rank of genes in gene set: 6667.6
Rank on gene expression program of genes in gene set:

Genes Weight Rank GTEx DepMap Decartes Mean.Counts Mean.TPM
MT-ND3 0.0018140 419 GTEx DepMap Descartes 271.54 67899.82
PZP 0.0000569 4132 GTEx DepMap Descartes 0.00 0.10
OR2A25 -0.0000086 5912 GTEx DepMap Descartes 0.00 0.20
IL7R -0.0000457 10217 GTEx DepMap Descartes 0.01 0.25
GZMH -0.0000717 12658 GTEx DepMap Descartes 0.00 0.00