QQ-plot of gene loadings, averaged over both independent splits of the data
This plot highlights the relative contribution of each gene to the GEP
Top genes driving this program.
Note: Decartes website is buggy, try refreshing. Also, Decartes fetal adrenal data have been collected at specific time points (89-122 days), all possible cell types of interest may not be represented, do not overinterpret.
The Mean Count column shows the mean read count in cells scoring highly (H > 50) on this gene expression program.
| Gene | Loading | Gene.Name | GTEx | DepMap | Descartes | Mean.Counts | Mean.Tpm | |
|---|---|---|---|---|---|---|---|---|
| 1 | PCP4 | 0.0157508 | Purkinje cell protein 4 | GTEx | DepMap | Descartes | 2.26 | NA |
| 2 | KRT19 | 0.0121644 | keratin 19 | GTEx | DepMap | Descartes | 5.65 | 961.60 |
| 3 | NPY | 0.0118555 | neuropeptide Y | GTEx | DepMap | Descartes | 35.78 | 12686.38 |
| 4 | MDK | 0.0106385 | midkine | GTEx | DepMap | Descartes | 13.40 | 2190.74 |
| 5 | ARHGAP36 | 0.0105923 | Rho GTPase activating protein 36 | GTEx | DepMap | Descartes | 1.00 | 58.17 |
| 6 | NDUFA4L2 | 0.0104729 | NDUFA4 mitochondrial complex associated like 2 | GTEx | DepMap | Descartes | 2.81 | 428.66 |
| 7 | NXPH4 | 0.0093086 | neurexophilin 4 | GTEx | DepMap | Descartes | 0.68 | 69.41 |
| 8 | RGS5 | 0.0091742 | regulator of G protein signaling 5 | GTEx | DepMap | Descartes | 14.26 | 562.31 |
| 9 | H3F3B | 0.0088714 | NA | GTEx | DepMap | Descartes | 48.08 | NA |
| 10 | PCSK1N | 0.0087172 | proprotein convertase subtilisin/kexin type 1 inhibitor | GTEx | DepMap | Descartes | 12.41 | 3113.42 |
| 11 | GATA2 | 0.0079030 | GATA binding protein 2 | GTEx | DepMap | Descartes | 2.55 | 168.46 |
| 12 | ARC | 0.0078137 | activity regulated cytoskeleton associated protein | GTEx | DepMap | Descartes | 1.81 | 123.78 |
| 13 | MLLT11 | 0.0076876 | MLLT11 transcription factor 7 cofactor | GTEx | DepMap | Descartes | 12.81 | 1329.82 |
| 14 | SOCS3 | 0.0074956 | suppressor of cytokine signaling 3 | GTEx | DepMap | Descartes | 1.09 | 75.89 |
| 15 | MARCKSL1 | 0.0071801 | MARCKS like 1 | GTEx | DepMap | Descartes | 14.84 | 2387.93 |
| 16 | GNG3 | 0.0071563 | G protein subunit gamma 3 | GTEx | DepMap | Descartes | 4.46 | 1296.65 |
| 17 | KRT10 | 0.0065666 | keratin 10 | GTEx | DepMap | Descartes | 3.58 | 394.51 |
| 18 | PRDX5 | 0.0064919 | peroxiredoxin 5 | GTEx | DepMap | Descartes | 5.45 | 1540.11 |
| 19 | TPPP3 | 0.0064892 | tubulin polymerization promoting protein family member 3 | GTEx | DepMap | Descartes | 1.18 | 153.96 |
| 20 | SYT5 | 0.0064314 | synaptotagmin 5 | GTEx | DepMap | Descartes | 0.91 | 51.97 |
| 21 | CDC42EP4 | 0.0064272 | CDC42 effector protein 4 | GTEx | DepMap | Descartes | 1.28 | 99.26 |
| 22 | RUNDC3A | 0.0063199 | RUN domain containing 3A | GTEx | DepMap | Descartes | 1.70 | 106.22 |
| 23 | VAT1 | 0.0061620 | vesicle amine transport 1 | GTEx | DepMap | Descartes | 2.57 | 233.12 |
| 24 | RAB5C | 0.0058864 | RAB5C, member RAS oncogene family | GTEx | DepMap | Descartes | 2.36 | 305.48 |
| 25 | NDUFB2 | 0.0058828 | NADH:ubiquinone oxidoreductase subunit B2 | GTEx | DepMap | Descartes | 4.57 | 616.31 |
| 26 | HNRNPA0 | 0.0058067 | heterogeneous nuclear ribonucleoprotein A0 | GTEx | DepMap | Descartes | 4.28 | 114.71 |
| 27 | CFL1 | 0.0057750 | cofilin 1 | GTEx | DepMap | Descartes | 12.64 | 1692.59 |
| 28 | GAP43 | 0.0056358 | growth associated protein 43 | GTEx | DepMap | Descartes | 8.26 | 1143.47 |
| 29 | ALDOA | 0.0056073 | aldolase, fructose-bisphosphate A | GTEx | DepMap | Descartes | 4.54 | 320.21 |
| 30 | EFNB3 | 0.0055757 | ephrin B3 | GTEx | DepMap | Descartes | 0.76 | 46.80 |
| 31 | PPP1R14C | 0.0055722 | protein phosphatase 1 regulatory inhibitor subunit 14C | GTEx | DepMap | Descartes | 0.05 | 4.64 |
| 32 | SDC2 | 0.0054685 | syndecan 2 | GTEx | DepMap | Descartes | 0.43 | 24.98 |
| 33 | ANAPC11 | 0.0054252 | anaphase promoting complex subunit 11 | GTEx | DepMap | Descartes | 5.16 | 583.79 |
| 34 | TMEM14A | 0.0053685 | transmembrane protein 14A | GTEx | DepMap | Descartes | 2.22 | 537.65 |
| 35 | C1QTNF2 | 0.0053141 | C1q and TNF related 2 | GTEx | DepMap | Descartes | 0.27 | 20.15 |
| 36 | MUC15 | 0.0052892 | mucin 15, cell surface associated | GTEx | DepMap | Descartes | 0.06 | 3.37 |
| 37 | NTN1 | 0.0052783 | netrin 1 | GTEx | DepMap | Descartes | 0.05 | 1.69 |
| 38 | UQCR11 | 0.0052667 | ubiquinol-cytochrome c reductase, complex III subunit XI | GTEx | DepMap | Descartes | 5.24 | 967.25 |
| 39 | KLK1 | 0.0051759 | kallikrein 1 | GTEx | DepMap | Descartes | 0.11 | 12.18 |
| 40 | COX8A | 0.0051095 | cytochrome c oxidase subunit 8A | GTEx | DepMap | Descartes | 8.15 | 4071.11 |
| 41 | ATAT1 | 0.0050672 | alpha tubulin acetyltransferase 1 | GTEx | DepMap | Descartes | 1.68 | 152.36 |
| 42 | PKIB | 0.0050604 | cAMP-dependent protein kinase inhibitor beta | GTEx | DepMap | Descartes | 1.86 | 244.52 |
| 43 | MLF2 | 0.0050319 | myeloid leukemia factor 2 | GTEx | DepMap | Descartes | 3.07 | 365.42 |
| 44 | RTN1 | 0.0049991 | reticulon 1 | GTEx | DepMap | Descartes | 8.04 | 599.21 |
| 45 | MIEN1 | 0.0049990 | migration and invasion enhancer 1 | GTEx | DepMap | Descartes | 1.58 | 183.48 |
| 46 | COX17 | 0.0049265 | cytochrome c oxidase copper chaperone COX17 | GTEx | DepMap | Descartes | 2.42 | 865.25 |
| 47 | PPP1R1A | 0.0049059 | protein phosphatase 1 regulatory inhibitor subunit 1A | GTEx | DepMap | Descartes | 0.53 | 43.36 |
| 48 | RHBDD2 | 0.0048889 | rhomboid domain containing 2 | GTEx | DepMap | Descartes | 1.04 | 119.32 |
| 49 | CUTA | 0.0048588 | cutA divalent cation tolerance homolog | GTEx | DepMap | Descartes | 4.31 | 695.37 |
| 50 | COX6A1 | 0.0048254 | cytochrome c oxidase subunit 6A1 | GTEx | DepMap | Descartes | 9.55 | 2906.96 |
UMAP plots showing activity of gene expression program identified in GEP 37. Neuroblastoma #7:
CNV Data procured from inferCNV.
Outer tracks are putative CNV regions (gains = red, losses = blue) for each patient
Inner track is expression data representing:
The top cells expressing this GEP (purple)
Random cells (n =50) from the reference set used in inferCNV (orange)
Gene set Enrichments for this program, caculated from top 50 genes
mSigDB Cell Types Gene Set:
| P-value | OR | Lower 95% CI | FDR | FWER | Genes Found | Gene Set Size | |
|---|---|---|---|---|---|---|---|
| DURANTE_ADULT_OLFACTORY_NEUROEPITHELIUM_MATURE_NEURONS | 3.90e-08 | 15.41 | 6.49 | 6.54e-06 | 2.62e-05 | 9PCSK1N, TPPP3, SYT5, RUNDC3A, GAP43, RTN1, MIEN1, PPP1R1A, CUTA |
187 |
| DURANTE_ADULT_OLFACTORY_NEUROEPITHELIUM_IMMATURE_NEURONS | 1.10e-06 | 15.41 | 5.74 | 1.23e-04 | 7.36e-04 | 7PCSK1N, MARCKSL1, TPPP3, SYT5, RUNDC3A, GAP43, RTN1 |
139 |
| FAN_OVARY_CL10_PUTATIVE_EARLY_ATRESIA_GRANULOSA_CELL | 8.14e-08 | 11.84 | 5.22 | 1.09e-05 | 5.46e-05 | 10MDK, MARCKSL1, PRDX5, NDUFB2, CFL1, ALDOA, ANAPC11, TMEM14A, UQCR11, COX8A |
274 |
| HU_FETAL_RETINA_RGC | 7.94e-09 | 10.22 | 4.95 | 2.66e-06 | 5.33e-06 | 13PCSK1N, MLLT11, PRDX5, TPPP3, SYT5, VAT1, GAP43, TMEM14A, ATAT1, RTN1, COX17, PPP1R1A, COX6A1 |
443 |
| MURARO_PANCREAS_ALPHA_CELL | 1.62e-09 | 9.69 | 4.89 | 1.09e-06 | 1.09e-06 | 15PCSK1N, MLLT11, SYT5, RUNDC3A, NDUFB2, SDC2, ANAPC11, TMEM14A, UQCR11, COX8A, RTN1, COX17, PPP1R1A, RHBDD2, CUTA |
568 |
| HU_FETAL_RETINA_AMACRINE | 1.17e-04 | 18.10 | 4.59 | 7.82e-03 | 7.82e-02 | 4MLLT11, MARCKSL1, CFL1, RTN1 |
64 |
| FAN_EMBRYONIC_CTX_BIG_GROUPS_CAJAL_RETZIUS | 3.11e-08 | 9.04 | 4.38 | 6.54e-06 | 2.09e-05 | 13PCP4, PCSK1N, MARCKSL1, GNG3, PRDX5, VAT1, GAP43, ALDOA, TMEM14A, UQCR11, COX8A, RHBDD2, COX6A1 |
499 |
| FAN_OVARY_CL14_MATURE_SMOOTH_MUSCLE_CELL | 2.12e-05 | 7.99 | 3.21 | 1.77e-03 | 1.42e-02 | 8NDUFA4L2, RGS5, SOCS3, TPPP3, UQCR11, COX8A, COX17, COX6A1 |
306 |
| FAN_OVARY_CL8_MATURE_CUMULUS_GRANULOSA_CELL_2 | 3.75e-06 | 6.23 | 2.95 | 3.59e-04 | 2.51e-03 | 12MDK, MARCKSL1, PRDX5, VAT1, NDUFB2, ALDOA, ANAPC11, TMEM14A, UQCR11, COX8A, COX17, COX6A1 |
646 |
| ZHONG_PFC_C5_BCL11B_CALB2_POS_INP | 3.40e-03 | 26.01 | 2.87 | 1.02e-01 | 1.00e+00 | 2RUNDC3A, GAP43 |
22 |
| MENON_FETAL_KIDNEY_7_LOOPOF_HENLE_CELLS_DISTAL | 8.96e-05 | 7.57 | 2.85 | 6.68e-03 | 6.02e-02 | 7KRT10, PRDX5, NDUFB2, ALDOA, UQCR11, COX8A, COX6A1 |
276 |
| MURARO_PANCREAS_DELTA_CELL | 4.05e-04 | 6.99 | 2.41 | 2.26e-02 | 2.71e-01 | 6PCP4, PCSK1N, KRT10, TPPP3, RUNDC3A, PKIB |
250 |
| MANNO_MIDBRAIN_NEUROTYPES_HNBML1 | 2.54e-04 | 6.34 | 2.39 | 1.55e-02 | 1.71e-01 | 7NXPH4, PCSK1N, MLLT11, GNG3, RUNDC3A, GAP43, RTN1 |
328 |
| BUSSLINGER_GASTRIC_PARIETAL_CELLS | 4.39e-04 | 6.87 | 2.37 | 2.27e-02 | 2.95e-01 | 6PRDX5, NDUFB2, UQCR11, COX8A, COX17, COX6A1 |
254 |
| BUSSLINGER_GASTRIC_D_CELLS | 5.48e-03 | 20.00 | 2.24 | 1.30e-01 | 1.00e+00 | 2PCSK1N, TPPP3 |
28 |
| DESCARTES_FETAL_STOMACH_ENS_NEURONS | 3.11e-03 | 11.23 | 2.19 | 9.94e-02 | 1.00e+00 | 3NPY, SYT5, GAP43 |
74 |
| RUBENSTEIN_SKELETAL_MUSCLE_PERICYTES | 2.44e-03 | 7.76 | 2.00 | 9.10e-02 | 1.00e+00 | 4NDUFA4L2, RGS5, ALDOA, COX8A |
144 |
| ZHONG_PFC_C3_MICROGLIA | 4.89e-04 | 4.96 | 2.00 | 2.34e-02 | 3.28e-01 | 8KRT19, NPY, PCSK1N, MARCKSL1, SYT5, CDC42EP4, GAP43, PPP1R14C |
488 |
| TRAVAGLINI_LUNG_MESOTHELIAL_CELL | 6.51e-04 | 4.29 | 1.82 | 2.91e-02 | 4.37e-01 | 9KRT19, MARCKSL1, KRT10, PRDX5, NDUFB2, GAP43, UQCR11, COX17, CUTA |
649 |
| DESCARTES_FETAL_INTESTINE_ENS_NEURONS | 3.55e-03 | 6.97 | 1.80 | 1.02e-01 | 1.00e+00 | 4NXPH4, MLLT11, GNG3, GAP43 |
160 |
Dowload full table
mSigDB Hallmark Gene Sets:
| P-value | OR | Lower 95% CI | FDR | FWER | Genes Found | Gene Set Size | |
|---|---|---|---|---|---|---|---|
| HALLMARK_OXIDATIVE_PHOSPHORYLATION | 1.08e-03 | 7.12 | 2.18 | 5.40e-02 | 5.40e-02 | 5NDUFB2, UQCR11, COX8A, COX17, COX6A1 |
200 |
| HALLMARK_ADIPOGENESIS | 7.71e-03 | 5.55 | 1.44 | 1.93e-01 | 3.85e-01 | 4ALDOA, UQCR11, COX8A, COX6A1 |
200 |
| HALLMARK_HYPOXIA | 4.35e-02 | 4.05 | 0.80 | 5.44e-01 | 1.00e+00 | 3PRDX5, ALDOA, SDC2 |
200 |
| HALLMARK_ESTROGEN_RESPONSE_LATE | 4.35e-02 | 4.05 | 0.80 | 5.44e-01 | 1.00e+00 | 3PCP4, KRT19, MDK |
200 |
| HALLMARK_MTORC1_SIGNALING | 1.85e-01 | 2.63 | 0.31 | 1.00e+00 | 1.00e+00 | 2MLLT11, ALDOA |
200 |
| HALLMARK_GLYCOLYSIS | 1.85e-01 | 2.63 | 0.31 | 1.00e+00 | 1.00e+00 | 2ALDOA, SDC2 |
200 |
| HALLMARK_KRAS_SIGNALING_UP | 1.85e-01 | 2.63 | 0.31 | 1.00e+00 | 1.00e+00 | 2PCP4, PCSK1N |
200 |
| HALLMARK_HEDGEHOG_SIGNALING | 1.34e-01 | 7.29 | 0.18 | 1.00e+00 | 1.00e+00 | 1RTN1 |
36 |
| HALLMARK_IL6_JAK_STAT3_SIGNALING | 2.93e-01 | 2.97 | 0.07 | 1.00e+00 | 1.00e+00 | 1SOCS3 |
87 |
| HALLMARK_ANDROGEN_RESPONSE | 3.28e-01 | 2.58 | 0.06 | 1.00e+00 | 1.00e+00 | 1KRT19 |
100 |
| HALLMARK_PEROXISOME | 3.39e-01 | 2.48 | 0.06 | 1.00e+00 | 1.00e+00 | 1PRDX5 |
104 |
| HALLMARK_PI3K_AKT_MTOR_SIGNALING | 3.41e-01 | 2.45 | 0.06 | 1.00e+00 | 1.00e+00 | 1CFL1 |
105 |
| HALLMARK_BILE_ACID_METABOLISM | 3.59e-01 | 2.30 | 0.06 | 1.00e+00 | 1.00e+00 | 1PRDX5 |
112 |
| HALLMARK_SPERMATOGENESIS | 4.15e-01 | 1.90 | 0.05 | 1.00e+00 | 1.00e+00 | 1PCSK1N |
135 |
| HALLMARK_UV_RESPONSE_DN | 4.35e-01 | 1.78 | 0.04 | 1.00e+00 | 1.00e+00 | 1SDC2 |
144 |
| HALLMARK_DNA_REPAIR | 4.49e-01 | 1.71 | 0.04 | 1.00e+00 | 1.00e+00 | 1COX17 |
150 |
| HALLMARK_FATTY_ACID_METABOLISM | 4.66e-01 | 1.62 | 0.04 | 1.00e+00 | 1.00e+00 | 1ALDOA |
158 |
| HALLMARK_UV_RESPONSE_UP | 4.66e-01 | 1.62 | 0.04 | 1.00e+00 | 1.00e+00 | 1ALDOA |
158 |
| HALLMARK_MITOTIC_SPINDLE | 5.45e-01 | 1.29 | 0.03 | 1.00e+00 | 1.00e+00 | 1CDC42EP4 |
199 |
| HALLMARK_TNFA_SIGNALING_VIA_NFKB | 5.47e-01 | 1.28 | 0.03 | 1.00e+00 | 1.00e+00 | 1SOCS3 |
200 |
Dowload full table
KEGG Pathways:
| P-value | OR | Lower 95% CI | FDR | FWER | Genes Found | Gene Set Size | |
|---|---|---|---|---|---|---|---|
| KEGG_OXIDATIVE_PHOSPHORYLATION | 1.24e-05 | 13.52 | 4.63 | 2.30e-03 | 2.30e-03 | 6NDUFA4L2, NDUFB2, UQCR11, COX8A, COX17, COX6A1 |
132 |
| KEGG_PARKINSONS_DISEASE | 1.54e-04 | 11.10 | 3.38 | 1.43e-02 | 2.86e-02 | 5NDUFA4L2, NDUFB2, UQCR11, COX8A, COX6A1 |
130 |
| KEGG_ALZHEIMERS_DISEASE | 4.71e-04 | 8.62 | 2.64 | 2.92e-02 | 8.75e-02 | 5NDUFA4L2, NDUFB2, UQCR11, COX8A, COX6A1 |
166 |
| KEGG_HUNTINGTONS_DISEASE | 7.11e-04 | 7.85 | 2.40 | 3.31e-02 | 1.32e-01 | 5NDUFA4L2, NDUFB2, UQCR11, COX8A, COX6A1 |
182 |
| KEGG_CARDIAC_MUSCLE_CONTRACTION | 3.74e-03 | 10.49 | 2.04 | 1.39e-01 | 6.95e-01 | 3UQCR11, COX8A, COX6A1 |
79 |
| KEGG_AXON_GUIDANCE | 1.42e-02 | 6.33 | 1.24 | 4.42e-01 | 1.00e+00 | 3CFL1, EFNB3, NTN1 |
129 |
| KEGG_ADIPOCYTOKINE_SIGNALING_PATHWAY | 2.89e-02 | 8.01 | 0.92 | 7.68e-01 | 1.00e+00 | 2NPY, SOCS3 |
67 |
| KEGG_FC_GAMMA_R_MEDIATED_PHAGOCYTOSIS | 5.52e-02 | 5.54 | 0.64 | 1.00e+00 | 1.00e+00 | 2MARCKSL1, CFL1 |
96 |
| KEGG_UBIQUITIN_MEDIATED_PROTEOLYSIS | 9.90e-02 | 3.92 | 0.46 | 1.00e+00 | 1.00e+00 | 2SOCS3, ANAPC11 |
135 |
| KEGG_PENTOSE_PHOSPHATE_PATHWAY | 1.02e-01 | 9.80 | 0.23 | 1.00e+00 | 1.00e+00 | 1ALDOA |
27 |
| KEGG_FRUCTOSE_AND_MANNOSE_METABOLISM | 1.27e-01 | 7.73 | 0.19 | 1.00e+00 | 1.00e+00 | 1ALDOA |
34 |
| KEGG_VASOPRESSIN_REGULATED_WATER_REABSORPTION | 1.61e-01 | 5.93 | 0.14 | 1.00e+00 | 1.00e+00 | 1RAB5C |
44 |
| KEGG_TYPE_II_DIABETES_MELLITUS | 1.71e-01 | 5.54 | 0.13 | 1.00e+00 | 1.00e+00 | 1SOCS3 |
47 |
| KEGG_TASTE_TRANSDUCTION | 1.87e-01 | 5.00 | 0.12 | 1.00e+00 | 1.00e+00 | 1GNG3 |
52 |
| KEGG_GLYCOLYSIS_GLUCONEOGENESIS | 2.19e-01 | 4.18 | 0.10 | 1.00e+00 | 1.00e+00 | 1ALDOA |
62 |
| KEGG_LONG_TERM_POTENTIATION | 2.43e-01 | 3.70 | 0.09 | 1.00e+00 | 1.00e+00 | 1PPP1R1A |
70 |
| KEGG_LEISHMANIA_INFECTION | 2.49e-01 | 3.59 | 0.09 | 1.00e+00 | 1.00e+00 | 1MARCKSL1 |
72 |
| KEGG_PEROXISOME | 2.67e-01 | 3.31 | 0.08 | 1.00e+00 | 1.00e+00 | 1PRDX5 |
78 |
| KEGG_ECM_RECEPTOR_INTERACTION | 2.84e-01 | 3.07 | 0.08 | 1.00e+00 | 1.00e+00 | 1SDC2 |
84 |
| KEGG_PROGESTERONE_MEDIATED_OOCYTE_MATURATION | 2.87e-01 | 3.04 | 0.07 | 1.00e+00 | 1.00e+00 | 1ANAPC11 |
85 |
Dowload full table
CHR Positional Gene Sets:
| P-value | OR | Lower 95% CI | FDR | FWER | Genes Found | Gene Set Size | |
|---|---|---|---|---|---|---|---|
| chr17q21 | 3.04e-02 | 3.07 | 0.95 | 1.00e+00 | 1.00e+00 | 5KRT19, KRT10, RUNDC3A, VAT1, RAB5C |
457 |
| chr17q25 | 1.09e-01 | 2.71 | 0.54 | 1.00e+00 | 1.00e+00 | 3SOCS3, CDC42EP4, ANAPC11 |
297 |
| chr12q13 | 2.07e-01 | 1.98 | 0.39 | 1.00e+00 | 1.00e+00 | 3NDUFA4L2, NXPH4, PPP1R1A |
407 |
| chr11q13 | 2.21e-01 | 1.91 | 0.38 | 1.00e+00 | 1.00e+00 | 3PRDX5, CFL1, COX8A |
421 |
| chr3q13 | 1.67e-01 | 2.82 | 0.33 | 1.00e+00 | 1.00e+00 | 2GAP43, COX17 |
187 |
| chr17p13 | 3.76e-01 | 1.56 | 0.18 | 1.00e+00 | 1.00e+00 | 2EFNB3, NTN1 |
336 |
| chr6p21 | 7.00e-01 | 1.12 | 0.13 | 1.00e+00 | 1.00e+00 | 2ATAT1, CUTA |
467 |
| chr11p14 | 2.00e-01 | 4.64 | 0.11 | 1.00e+00 | 1.00e+00 | 1MUC15 |
56 |
| chr7p15 | 3.17e-01 | 2.68 | 0.07 | 1.00e+00 | 1.00e+00 | 1NPY |
96 |
| chr5q33 | 3.52e-01 | 2.36 | 0.06 | 1.00e+00 | 1.00e+00 | 1C1QTNF2 |
109 |
| chr6q22 | 3.77e-01 | 2.16 | 0.05 | 1.00e+00 | 1.00e+00 | 1PKIB |
119 |
| chr19q13 | 4.39e-01 | 0.45 | 0.05 | 1.00e+00 | 1.00e+00 | 2SYT5, KLK1 |
1165 |
| chr14q23 | 3.89e-01 | 2.07 | 0.05 | 1.00e+00 | 1.00e+00 | 1RTN1 |
124 |
| chr1p35 | 4.03e-01 | 1.98 | 0.05 | 1.00e+00 | 1.00e+00 | 1MARCKSL1 |
130 |
| chr3q21 | 4.22e-01 | 1.86 | 0.05 | 1.00e+00 | 1.00e+00 | 1GATA2 |
138 |
| chr17q12 | 4.33e-01 | 1.80 | 0.04 | 1.00e+00 | 1.00e+00 | 1MIEN1 |
143 |
| chr11p11 | 4.38e-01 | 1.77 | 0.04 | 1.00e+00 | 1.00e+00 | 1MDK |
145 |
| chr8q22 | 4.55e-01 | 1.68 | 0.04 | 1.00e+00 | 1.00e+00 | 1SDC2 |
153 |
| chr6q25 | 4.57e-01 | 1.67 | 0.04 | 1.00e+00 | 1.00e+00 | 1PPP1R14C |
154 |
| chrXq26 | 4.76e-01 | 1.57 | 0.04 | 1.00e+00 | 1.00e+00 | 1ARHGAP36 |
163 |
Dowload full table
Transcription Factor Targets:
| P-value | OR | Lower 95% CI | FDR | FWER | Genes Found | Gene Set Size | |
|---|---|---|---|---|---|---|---|
| WYAAANNRNNNGCG_UNKNOWN | 2.15e-03 | 12.86 | 2.49 | 5.85e-01 | 1.00e+00 | 3NDUFA4L2, HNRNPA0, EFNB3 |
65 |
| GGGYGTGNY_UNKNOWN | 2.04e-04 | 4.63 | 2.05 | 2.31e-01 | 2.31e-01 | 10MDK, ARHGAP36, NXPH4, MLLT11, KRT10, VAT1, GAP43, ATAT1, RTN1, MIEN1 |
686 |
| P53_02 | 3.07e-03 | 5.56 | 1.71 | 5.85e-01 | 1.00e+00 | 5MDK, NXPH4, GNG3, PRDX5, HNRNPA0 |
255 |
| T3R_Q6 | 3.12e-03 | 5.53 | 1.70 | 5.85e-01 | 1.00e+00 | 5ARHGAP36, NXPH4, KRT10, TPPP3, CUTA |
256 |
| COUP_01 | 3.61e-03 | 5.34 | 1.64 | 5.85e-01 | 1.00e+00 | 5MARCKSL1, ALDOA, EFNB3, ATAT1, CUTA |
265 |
| ACAWYAAAG_UNKNOWN | 8.63e-03 | 7.67 | 1.50 | 7.15e-01 | 1.00e+00 | 3HNRNPA0, ATAT1, CUTA |
107 |
| GTGACGY_E4F1_Q6 | 3.42e-03 | 3.59 | 1.45 | 5.85e-01 | 1.00e+00 | 8NDUFA4L2, RUNDC3A, RAB5C, NDUFB2, ATAT1, PKIB, MLF2, MIEN1 |
671 |
| PPARG_01 | 1.49e-02 | 11.57 | 1.32 | 7.15e-01 | 1.00e+00 | 2ATAT1, CUTA |
47 |
| AP4_Q6 | 1.15e-02 | 4.92 | 1.27 | 7.15e-01 | 1.00e+00 | 4NDUFA4L2, GNG3, VAT1, MUC15 |
225 |
| GCANCTGNY_MYOD_Q6 | 6.79e-03 | 2.96 | 1.26 | 7.15e-01 | 1.00e+00 | 9KRT19, ARHGAP36, NDUFA4L2, PCSK1N, GATA2, MLLT11, PPP1R14C, C1QTNF2, KLK1 |
935 |
| MGGAAGTG_GABP_B | 7.51e-03 | 3.12 | 1.26 | 7.15e-01 | 1.00e+00 | 8PRDX5, RUNDC3A, RAB5C, HNRNPA0, PPP1R14C, PKIB, MLF2, COX17 |
771 |
| CAGCTG_AP4_Q5 | 9.36e-03 | 2.60 | 1.24 | 7.15e-01 | 1.00e+00 | 12KRT19, MDK, NDUFA4L2, NXPH4, MLLT11, GNG3, TPPP3, VAT1, GAP43, MUC15, KLK1, CUTA |
1530 |
| SP1_01 | 1.40e-02 | 4.63 | 1.20 | 7.15e-01 | 1.00e+00 | 4MLLT11, MARCKSL1, GAP43, ATAT1 |
239 |
| AP2ALPHA_01 | 1.48e-02 | 4.55 | 1.18 | 7.15e-01 | 1.00e+00 | 4ARHGAP36, NXPH4, MARCKSL1, RAB5C |
243 |
| ZNF707_TARGET_GENES | 1.87e-02 | 10.20 | 1.17 | 7.15e-01 | 1.00e+00 | 2NXPH4, RUNDC3A |
53 |
| FOXO1_02 | 1.60e-02 | 4.44 | 1.15 | 7.15e-01 | 1.00e+00 | 4MDK, MARCKSL1, HNRNPA0, NTN1 |
249 |
| SP1_Q2_01 | 1.62e-02 | 4.42 | 1.15 | 7.15e-01 | 1.00e+00 | 4NDUFA4L2, NXPH4, MLLT11, EFNB3 |
250 |
| AP2GAMMA_01 | 1.66e-02 | 4.38 | 1.14 | 7.15e-01 | 1.00e+00 | 4ARHGAP36, NXPH4, MARCKSL1, EFNB3 |
252 |
| E2A_Q2 | 1.69e-02 | 4.37 | 1.13 | 7.15e-01 | 1.00e+00 | 4ARHGAP36, MLLT11, TPPP3, CFL1 |
253 |
| CP2_02 | 1.69e-02 | 4.37 | 1.13 | 7.15e-01 | 1.00e+00 | 4MDK, TPPP3, RTN1, CUTA |
253 |
Dowload full table
GO Biological Processes:
| P-value | OR | Lower 95% CI | FDR | FWER | Genes Found | Gene Set Size | |
|---|---|---|---|---|---|---|---|
| GOBP_AXON_CHOICE_POINT_RECOGNITION | 3.22e-04 | 103.49 | 9.64 | 1.00e+00 | 1.00e+00 | 2GAP43, EFNB3 |
7 |
| GOBP_MITOCHONDRIAL_ELECTRON_TRANSPORT_CYTOCHROME_C_TO_OXYGEN | 3.10e-03 | 27.37 | 3.01 | 1.00e+00 | 1.00e+00 | 2COX8A, COX6A1 |
21 |
| GOBP_ATP_SYNTHESIS_COUPLED_ELECTRON_TRANSPORT | 6.41e-04 | 11.32 | 2.90 | 1.00e+00 | 1.00e+00 | 4NDUFB2, UQCR11, COX8A, COX6A1 |
100 |
| GOBP_CELL_DIFFERENTIATION_INVOLVED_IN_EMBRYONIC_PLACENTA_DEVELOPMENT | 3.72e-03 | 24.78 | 2.74 | 1.00e+00 | 1.00e+00 | 2KRT19, SOCS3 |
23 |
| GOBP_RESPIRATORY_ELECTRON_TRANSPORT_CHAIN | 1.15e-03 | 9.62 | 2.47 | 1.00e+00 | 1.00e+00 | 4NDUFB2, UQCR11, COX8A, COX6A1 |
117 |
| GOBP_ELECTRON_TRANSPORT_CHAIN | 6.44e-04 | 8.03 | 2.46 | 1.00e+00 | 1.00e+00 | 5NDUFA4L2, NDUFB2, UQCR11, COX8A, COX6A1 |
178 |
| GOBP_PLACENTA_DEVELOPMENT | 1.93e-03 | 8.30 | 2.14 | 1.00e+00 | 1.00e+00 | 4KRT19, GATA2, SOCS3, TPPP3 |
135 |
| GOBP_EMBRYONIC_PLACENTA_DEVELOPMENT | 3.74e-03 | 10.49 | 2.04 | 1.00e+00 | 1.00e+00 | 3KRT19, GATA2, SOCS3 |
79 |
| GOBP_OXIDATIVE_PHOSPHORYLATION | 2.69e-03 | 7.55 | 1.95 | 1.00e+00 | 1.00e+00 | 4NDUFB2, UQCR11, COX8A, COX6A1 |
148 |
| GOBP_REGULATION_OF_CELL_PROJECTION_ORGANIZATION | 5.19e-04 | 4.43 | 1.89 | 1.00e+00 | 1.00e+00 | 9MDK, ARC, CDC42EP4, CFL1, GAP43, EFNB3, SDC2, NTN1, MIEN1 |
628 |
| GOBP_GENERATION_OF_PRECURSOR_METABOLITES_AND_ENERGY | 7.67e-04 | 4.62 | 1.86 | 1.00e+00 | 1.00e+00 | 8NDUFA4L2, NDUFB2, ALDOA, UQCR11, COX8A, COX17, PPP1R1A, COX6A1 |
524 |
| GOBP_PROTON_TRANSMEMBRANE_TRANSPORT | 3.32e-03 | 7.10 | 1.83 | 1.00e+00 | 1.00e+00 | 4NDUFA4L2, COX8A, COX17, COX6A1 |
157 |
| GOBP_ENERGY_DERIVATION_BY_OXIDATION_OF_ORGANIC_COMPOUNDS | 4.41e-03 | 5.09 | 1.56 | 1.00e+00 | 1.00e+00 | 5NDUFB2, UQCR11, COX8A, PPP1R1A, COX6A1 |
278 |
| GOBP_CELLULAR_RESPIRATION | 6.12e-03 | 5.94 | 1.54 | 1.00e+00 | 1.00e+00 | 4NDUFB2, UQCR11, COX8A, COX6A1 |
187 |
| GOBP_NEUROPEPTIDE_SIGNALING_PATHWAY | 8.42e-03 | 7.74 | 1.52 | 1.00e+00 | 1.00e+00 | 3NPY, NXPH4, PCSK1N |
106 |
| GOBP_REGULATION_OF_CELL_MORPHOGENESIS | 6.44e-03 | 4.63 | 1.42 | 1.00e+00 | 1.00e+00 | 5MDK, ARC, CDC42EP4, CFL1, ALDOA |
305 |
| GOBP_REGULATION_OF_NEURON_PROJECTION_DEVELOPMENT | 5.79e-03 | 4.04 | 1.40 | 1.00e+00 | 1.00e+00 | 6MDK, ARC, CFL1, EFNB3, SDC2, NTN1 |
428 |
| GOBP_REGULATION_OF_ANATOMICAL_STRUCTURE_MORPHOGENESIS | 3.25e-03 | 3.14 | 1.40 | 1.00e+00 | 1.00e+00 | 10MDK, GATA2, ARC, CDC42EP4, VAT1, CFL1, ALDOA, EFNB3, SDC2, NTN1 |
1006 |
| GOBP_ATP_METABOLIC_PROCESS | 7.15e-03 | 4.51 | 1.39 | 1.00e+00 | 1.00e+00 | 5NDUFB2, ALDOA, UQCR11, COX8A, COX6A1 |
313 |
| GOBP_REGULATION_OF_DENDRITIC_SPINE_MORPHOGENESIS | 1.37e-02 | 12.10 | 1.38 | 1.00e+00 | 1.00e+00 | 2ARC, CFL1 |
45 |
Dowload full table
Immunological Gene Sets:
| P-value | OR | Lower 95% CI | FDR | FWER | Genes Found | Gene Set Size | |
|---|---|---|---|---|---|---|---|
| GSE22886_IGG_IGA_MEMORY_BCELL_VS_BM_PLASMA_CELL_DN | 9.66e-04 | 7.31 | 2.24 | 1.00e+00 | 1.00e+00 | 5MDK, NDUFA4L2, SOCS3, RUNDC3A, NTN1 |
195 |
| GSE17721_LPS_VS_PAM3CSK4_24H_BMDC_DN | 1.08e-03 | 7.12 | 2.18 | 1.00e+00 | 1.00e+00 | 5NDUFB2, ALDOA, SDC2, UQCR11, COX8A |
200 |
| GSE13485_CTRL_VS_DAY7_YF17D_VACCINE_PBMC_UP | 5.90e-03 | 6.00 | 1.55 | 1.00e+00 | 1.00e+00 | 4KRT10, VAT1, HNRNPA0, SDC2 |
185 |
| GSE20727_CTRL_VS_DNFB_ALLERGEN_TREATED_DC_DN | 6.95e-03 | 5.72 | 1.48 | 1.00e+00 | 1.00e+00 | 4PRDX5, VAT1, UQCR11, PKIB |
194 |
| GSE29618_LAIV_VS_TIV_FLU_VACCINE_DAY7_MONOCYTE_DN | 7.07e-03 | 5.69 | 1.47 | 1.00e+00 | 1.00e+00 | 4SOCS3, SDC2, NTN1, COX6A1 |
195 |
| GSE2770_TGFB_AND_IL4_ACT_VS_ACT_CD4_TCELL_2H_UP | 7.20e-03 | 5.66 | 1.47 | 1.00e+00 | 1.00e+00 | 4KRT10, PRDX5, HNRNPA0, CUTA |
196 |
| GSE22886_NAIVE_VS_IGM_MEMORY_BCELL_DN | 7.32e-03 | 5.63 | 1.46 | 1.00e+00 | 1.00e+00 | 4SOCS3, ALDOA, TMEM14A, CUTA |
197 |
| GSE39820_CTRL_VS_TGFBETA3_IL6_IL23A_CD4_TCELL_DN | 7.45e-03 | 5.60 | 1.45 | 1.00e+00 | 1.00e+00 | 4SOCS3, ALDOA, PPP1R14C, CUTA |
198 |
| GSE30083_SP1_VS_SP3_THYMOCYTE_UP | 7.58e-03 | 5.57 | 1.44 | 1.00e+00 | 1.00e+00 | 4PRDX5, NDUFB2, UQCR11, PKIB |
199 |
| GSE31082_DP_VS_CD4_SP_THYMOCYTE_UP | 7.58e-03 | 5.57 | 1.44 | 1.00e+00 | 1.00e+00 | 4UQCR11, MLF2, COX17, COX6A1 |
199 |
| GSE3982_EOSINOPHIL_VS_MAC_DN | 7.58e-03 | 5.57 | 1.44 | 1.00e+00 | 1.00e+00 | 4PCP4, VAT1, NDUFB2, ALDOA |
199 |
| GSE5589_WT_VS_IL6_KO_LPS_AND_IL6_STIM_MACROPHAGE_45MIN_UP | 7.58e-03 | 5.57 | 1.44 | 1.00e+00 | 1.00e+00 | 4PCP4, MARCKSL1, NTN1, RTN1 |
199 |
| GSE6259_FLT3L_INDUCED_33D1_POS_DC_VS_BCELL_UP | 7.58e-03 | 5.57 | 1.44 | 1.00e+00 | 1.00e+00 | 4VAT1, NDUFB2, C1QTNF2, UQCR11 |
199 |
| GSE5503_LIVER_DC_VS_PLN_DC_ACTIVATED_ALLOGENIC_TCELL_UP | 7.58e-03 | 5.57 | 1.44 | 1.00e+00 | 1.00e+00 | 4SOCS3, UQCR11, ATAT1, RHBDD2 |
199 |
| GSE15930_NAIVE_VS_48H_IN_VITRO_STIM_CD8_TCELL_DN | 7.71e-03 | 5.55 | 1.44 | 1.00e+00 | 1.00e+00 | 4MARCKSL1, ALDOA, UQCR11, COX17 |
200 |
| GSE17721_POLYIC_VS_PAM3CSK4_1H_BMDC_DN | 7.71e-03 | 5.55 | 1.44 | 1.00e+00 | 1.00e+00 | 4GATA2, MARCKSL1, RUNDC3A, ANAPC11 |
200 |
| GSE4748_CTRL_VS_CYANOBACTERIUM_LPSLIKE_STIM_DC_1H_UP | 7.71e-03 | 5.55 | 1.44 | 1.00e+00 | 1.00e+00 | 4RAB5C, CFL1, NTN1, COX8A |
200 |
| GSE14908_ATOPIC_VS_NONATOPIC_PATIENT_RESTING_CD4_TCELL_DN | 7.71e-03 | 5.55 | 1.44 | 1.00e+00 | 1.00e+00 | 4MLLT11, NDUFB2, COX8A, COX6A1 |
200 |
| GSE21360_SECONDARY_VS_TERTIARY_MEMORY_CD8_TCELL_UP | 7.71e-03 | 5.55 | 1.44 | 1.00e+00 | 1.00e+00 | 4ALDOA, COX8A, COX17, COX6A1 |
200 |
| GSE22443_NAIVE_VS_ACT_AND_IL2_TREATED_CD8_TCELL_UP | 7.71e-03 | 5.55 | 1.44 | 1.00e+00 | 1.00e+00 | 4NPY, RGS5, MLLT11, KRT10 |
200 |
Top Ranked Transcription Factors for this Gene Expression Program:
| Gene Symbol | TF Rank | DNA Binding Domain | Motif Status | IUPAC PWM | GTEx | DepMap | Decartes |
|---|---|---|---|---|---|---|---|
| GATA2 | 11 | Yes | Known motif | Monomer or homomultimer | High-throughput in vitro | None | None |
| MLLT11 | 13 | No | Unlikely to be sequence specific TF | Not a DNA binding protein | No motif | None | None |
| NTRK1 | 54 | No | Unlikely to be sequence specific TF | Not a DNA binding protein | No motif | None | Membrane bound receptor protein |
| POLR2J | 57 | No | Unlikely to be sequence specific TF | Not a DNA binding protein | No motif | None | Does not contact DNA in the structure (PDB: 5FLM) |
| SMARCE1 | 73 | No | Unlikely to be sequence specific TF | Low specificity DNA-binding protein | No motif | None | In the alignment, it clusters with other HMG proteins that have not yielded motifs. Contributes to SWI/SNF DNA-binding (PMID: 9435219). |
| DRAP1 | 75 | Yes | Likely to be sequence specific TF | Obligate heteromer | No motif | None | Based on structure (PDB: 1JFI), it forms the obligate heterodimer DR1-DRAP1 that furthermore contacts TBP. Only makes contact with the minor groove in a histone-like interaction, which is probably non-specific (PMID: 11461703) |
| EGR1 | 80 | Yes | Known motif | Monomer or homomultimer | High-throughput in vitro | None | None |
| THRA | 89 | Yes | Known motif | Monomer or homomultimer | High-throughput in vitro | None | Likely binds as a heterodimer too |
| HMGN3 | 90 | Yes | Likely to be sequence specific TF | Low specificity DNA-binding protein | No motif | None | None |
| BANF1 | 92 | No | Unlikely to be sequence specific TF | Low specificity DNA-binding protein | No motif | None | Binds DNA in the crystal structure, contacting only the backbone from the side of the minor groove (PDB: 2BZF) |
| HAND1 | 96 | Yes | Known motif | Obligate heteromer | In vivo/Misc source | Only known motifs are from Transfac or HocoMoco - origin is uncertain | Obligate heteromer (PMID: 10611232). |
| TCEA2 | 98 | No | ssDNA/RNA binding | Not a DNA binding protein | No motif | None | Likely binds RNA based on similarity to TCEA1 |
| POU2F2 | 108 | Yes | Known motif | Monomer or homomultimer | High-throughput in vitro | None | None |
| STAT3 | 116 | Yes | Known motif | Monomer or homomultimer | In vivo/Misc source | None | None |
| EBF1 | 123 | Yes | Known motif | Monomer or homomultimer | High-throughput in vitro | None | None |
| SMARCD3 | 127 | No | Unlikely to be sequence specific TF | Low specificity DNA-binding protein | No motif | None | Chromatin remodelling complex component |
| HMGN1 | 154 | No | Unlikely to be sequence specific TF | Low specificity DNA-binding protein | No motif | None | In the alignment, it clusters with other HMG proteins that have not yielded motifs. |
| BUD31 | 159 | No | Unlikely to be sequence specific TF | Not a DNA binding protein | No motif | None | Included because GO says its DNA binding on the basis of (PMID: 7841202), a 1995 paper that only suggests DNA binding on the basis of the protein sequence. In fact, it is composed entirely of a G10 domain. |
| BTG2 | 166 | No | Unlikely to be sequence specific TF | Not a DNA binding protein | No motif | None | Transcriptional co-factor (PMID: 10617598) |
| HOXC4 | 168 | Yes | Known motif | Monomer or homomultimer | High-throughput in vitro | None | None |
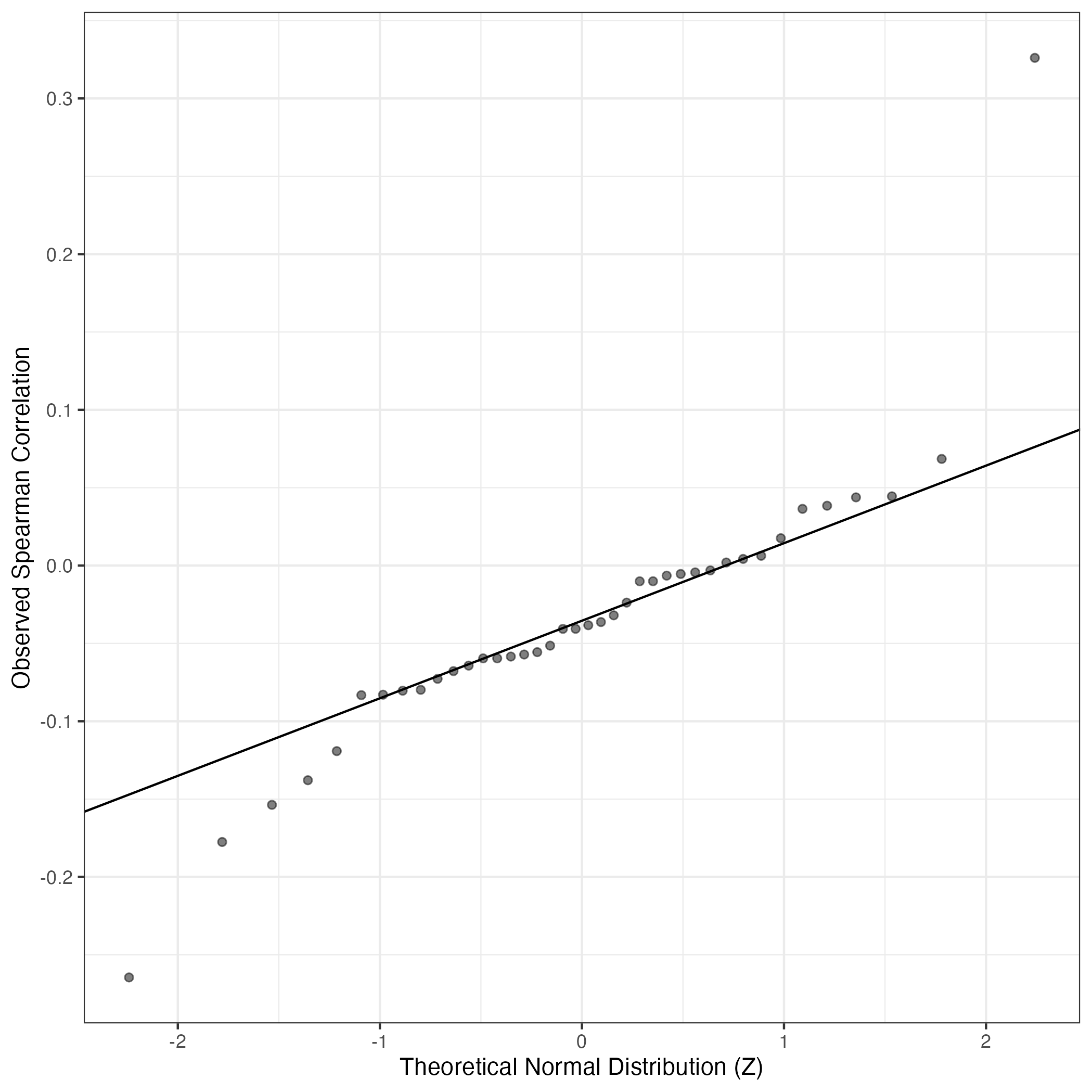
QQ Plot showing correlations with other GEPs in this dataset, calculated by Spearman correlation:
Interactive QQ-plot of gene loadings:
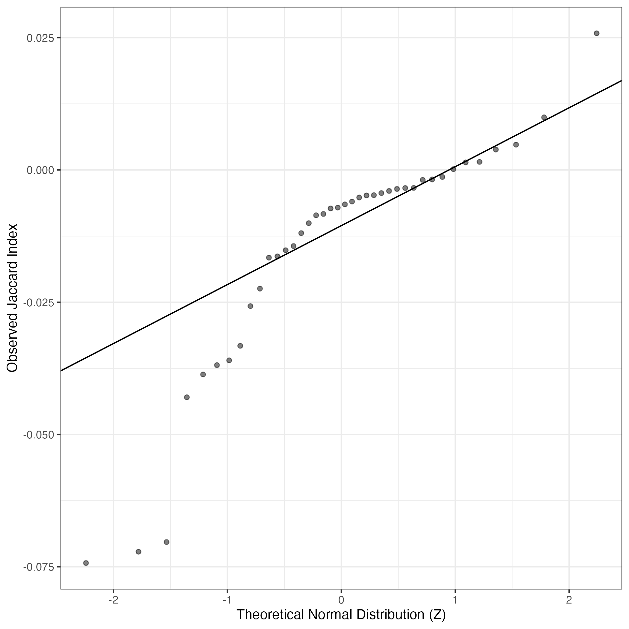
A similar QQ-plot as above, but only for instances where the H value is e.g. > 25, i.e. we are confident that the expression program is active above noise. Agreemenet between these binary vectors is tested using the Jaccard Index, with the P-values calculated by an exact test:
Interactive QQ-plot:
Singler cell type annotations for the top 50 cells on this program.
| Cell ID | Singler label | Singler Delta | Activity Score | Top Singler Raw Scores |
|---|---|---|---|---|
| T34_GCCTCTATCAGATAAG.1 | Neurons:adrenal_medulla_cell_line | 0.13 | 1153.08 | Raw ScoresNeurons:adrenal_medulla_cell_line: 0.28, Neuroepithelial_cell:ESC-derived: 0.24, Astrocyte:Embryonic_stem_cell-derived: 0.23, iPS_cells:adipose_stem_cell-derived:minicircle-derived: 0.22, iPS_cells:adipose_stem_cell-derived:lentiviral: 0.22, iPS_cells:CRL2097_foreskin-derived:undiff.: 0.21, iPS_cells:PDB_2lox-22: 0.21, iPS_cells:fibroblast-derived:Retroviral_transf: 0.21, iPS_cells:PDB_2lox-17: 0.21, iPS_cells:PDB_2lox-21: 0.21 |
| T34_AGCGGTCTCTCGGACG.1 | Neurons:adrenal_medulla_cell_line | 0.17 | 885.89 | Raw ScoresNeurons:adrenal_medulla_cell_line: 0.35, Neuroepithelial_cell:ESC-derived: 0.28, Astrocyte:Embryonic_stem_cell-derived: 0.27, iPS_cells:PDB_2lox-22: 0.25, iPS_cells:PDB_1lox-17Puro-5: 0.25, iPS_cells:PDB_1lox-21Puro-20: 0.24, Tissue_stem_cells:CD326-CD56+: 0.24, iPS_cells:CRL2097_foreskin-derived:undiff.: 0.24, iPS_cells:PDB_1lox-17Puro-10: 0.24, iPS_cells:adipose_stem_cell-derived:minicircle-derived: 0.24 |
| T34_AACGTTGTCTTTAGGG.1 | Neurons:adrenal_medulla_cell_line | 0.14 | 683.52 | Raw ScoresNeurons:adrenal_medulla_cell_line: 0.32, Neuroepithelial_cell:ESC-derived: 0.24, Astrocyte:Embryonic_stem_cell-derived: 0.24, iPS_cells:CRL2097_foreskin-derived:undiff.: 0.22, iPS_cells:PDB_1lox-17Puro-5: 0.22, iPS_cells:PDB_1lox-17Puro-10: 0.22, iPS_cells:PDB_2lox-22: 0.22, iPS_cells:PDB_1lox-21Puro-20: 0.22, Embryonic_stem_cells: 0.22, iPS_cells:PDB_1lox-21Puro-26: 0.22 |
| T34_CCTATTAGTATAGGTA.1 | Neurons:adrenal_medulla_cell_line | 0.16 | 682.84 | Raw ScoresNeurons:adrenal_medulla_cell_line: 0.31, Neuroepithelial_cell:ESC-derived: 0.24, Astrocyte:Embryonic_stem_cell-derived: 0.24, iPS_cells:CRL2097_foreskin-derived:undiff.: 0.22, iPS_cells:adipose_stem_cell-derived:minicircle-derived: 0.21, Embryonic_stem_cells: 0.21, iPS_cells:adipose_stem_cell-derived:lentiviral: 0.21, iPS_cells:PDB_2lox-22: 0.21, iPS_cells:PDB_1lox-21Puro-20: 0.21, iPS_cells:PDB_1lox-17Puro-10: 0.21 |
| T34_CGGACTGGTGCTTCTC.1 | Neurons:adrenal_medulla_cell_line | 0.18 | 553.51 | Raw ScoresNeurons:adrenal_medulla_cell_line: 0.34, Neuroepithelial_cell:ESC-derived: 0.26, Astrocyte:Embryonic_stem_cell-derived: 0.26, iPS_cells:PDB_2lox-22: 0.23, iPS_cells:CRL2097_foreskin-derived:undiff.: 0.23, iPS_cells:PDB_1lox-21Puro-20: 0.23, iPS_cells:PDB_1lox-17Puro-5: 0.23, Neurons:ES_cell-derived_neural_precursor: 0.23, iPS_cells:PDB_1lox-17Puro-10: 0.23, iPS_cells:PDB_1lox-21Puro-26: 0.23 |
| T34_CAAGATCTCTATCCTA.1 | Neurons:adrenal_medulla_cell_line | 0.19 | 453.88 | Raw ScoresNeurons:adrenal_medulla_cell_line: 0.37, Neuroepithelial_cell:ESC-derived: 0.3, Astrocyte:Embryonic_stem_cell-derived: 0.3, Neurons:ES_cell-derived_neural_precursor: 0.27, iPS_cells:PDB_2lox-22: 0.27, iPS_cells:CRL2097_foreskin-derived:undiff.: 0.27, Tissue_stem_cells:CD326-CD56+: 0.27, iPS_cells:PDB_1lox-21Puro-20: 0.27, iPS_cells:PDB_1lox-17Puro-10: 0.27, iPS_cells:PDB_1lox-17Puro-5: 0.27 |
| T34_ATCATGGCAGTCAGCC.1 | Neurons:adrenal_medulla_cell_line | 0.14 | 407.69 | Raw ScoresNeurons:adrenal_medulla_cell_line: 0.29, Neuroepithelial_cell:ESC-derived: 0.22, Astrocyte:Embryonic_stem_cell-derived: 0.22, iPS_cells:CRL2097_foreskin-derived:undiff.: 0.2, iPS_cells:PDB_2lox-22: 0.2, iPS_cells:PDB_1lox-17Puro-5: 0.2, iPS_cells:adipose_stem_cell-derived:minicircle-derived: 0.2, iPS_cells:PDB_1lox-21Puro-20: 0.2, iPS_cells:PDB_2lox-21: 0.2, Embryonic_stem_cells: 0.2 |
| T34_CGTGTAACACGAAATA.1 | Neurons:adrenal_medulla_cell_line | 0.16 | 398.16 | Raw ScoresNeurons:adrenal_medulla_cell_line: 0.35, Astrocyte:Embryonic_stem_cell-derived: 0.28, Neuroepithelial_cell:ESC-derived: 0.28, iPS_cells:PDB_2lox-22: 0.26, iPS_cells:CRL2097_foreskin-derived:undiff.: 0.26, iPS_cells:adipose_stem_cell-derived:minicircle-derived: 0.26, iPS_cells:fibroblast-derived:Retroviral_transf: 0.26, iPS_cells:PDB_2lox-17: 0.25, iPS_cells:PDB_1lox-17Puro-5: 0.25, iPS_cells:PDB_2lox-5: 0.25 |
| T34_GTCTCGTGTGTAACGG.1 | Neurons:adrenal_medulla_cell_line | 0.15 | 386.56 | Raw ScoresNeurons:adrenal_medulla_cell_line: 0.34, Astrocyte:Embryonic_stem_cell-derived: 0.28, Neuroepithelial_cell:ESC-derived: 0.28, iPS_cells:CRL2097_foreskin-derived:undiff.: 0.25, iPS_cells:PDB_1lox-17Puro-5: 0.25, iPS_cells:PDB_1lox-21Puro-20: 0.25, iPS_cells:adipose_stem_cell-derived:minicircle-derived: 0.25, Embryonic_stem_cells: 0.25, iPS_cells:PDB_2lox-22: 0.25, iPS_cells:PDB_1lox-17Puro-10: 0.25 |
| T34_TTGCGTCTCGTGGACC.1 | Neurons:adrenal_medulla_cell_line | 0.14 | 375.49 | Raw ScoresNeurons:adrenal_medulla_cell_line: 0.34, Neuroepithelial_cell:ESC-derived: 0.27, Astrocyte:Embryonic_stem_cell-derived: 0.26, iPS_cells:CRL2097_foreskin-derived:undiff.: 0.26, iPS_cells:adipose_stem_cell-derived:minicircle-derived: 0.26, Tissue_stem_cells:CD326-CD56+: 0.26, iPS_cells:adipose_stem_cell-derived:lentiviral: 0.25, iPS_cells:iPS:minicircle-derived: 0.25, iPS_cells:PDB_2lox-22: 0.25, iPS_cells:PDB_2lox-21: 0.25 |
| T34_TCCACACAGCGCTTAT.1 | Neurons:adrenal_medulla_cell_line | 0.12 | 369.75 | Raw ScoresNeurons:adrenal_medulla_cell_line: 0.3, Astrocyte:Embryonic_stem_cell-derived: 0.24, Neuroepithelial_cell:ESC-derived: 0.23, iPS_cells:CRL2097_foreskin-derived:undiff.: 0.22, iPS_cells:adipose_stem_cell-derived:minicircle-derived: 0.22, iPS_cells:PDB_1lox-17Puro-5: 0.22, iPS_cells:PDB_2lox-22: 0.22, Tissue_stem_cells:CD326-CD56+: 0.22, iPS_cells:PDB_1lox-17Puro-10: 0.22, iPS_cells:iPS:minicircle-derived: 0.22 |
| T34_GATGAGGAGAGTACAT.1 | Neurons:adrenal_medulla_cell_line | 0.14 | 364.81 | Raw ScoresNeurons:adrenal_medulla_cell_line: 0.34, Astrocyte:Embryonic_stem_cell-derived: 0.29, Neuroepithelial_cell:ESC-derived: 0.29, iPS_cells:CRL2097_foreskin-derived:undiff.: 0.27, iPS_cells:PDB_1lox-17Puro-5: 0.26, iPS_cells:PDB_2lox-17: 0.26, iPS_cells:PDB_2lox-22: 0.26, iPS_cells:PDB_2lox-5: 0.26, iPS_cells:PDB_1lox-21Puro-20: 0.26, iPS_cells:PDB_1lox-17Puro-10: 0.26 |
| T34_TAGTTGGAGGGAAACA.1 | Neurons:adrenal_medulla_cell_line | 0.15 | 352.38 | Raw ScoresNeurons:adrenal_medulla_cell_line: 0.35, Neuroepithelial_cell:ESC-derived: 0.29, Astrocyte:Embryonic_stem_cell-derived: 0.28, iPS_cells:adipose_stem_cell-derived:minicircle-derived: 0.26, iPS_cells:PDB_2lox-22: 0.26, Embryonic_stem_cells: 0.26, iPS_cells:CRL2097_foreskin-derived:undiff.: 0.26, iPS_cells:PDB_1lox-21Puro-20: 0.26, iPS_cells:PDB_1lox-17Puro-5: 0.26, iPS_cells:PDB_2lox-17: 0.26 |
| T34_TAGTGGTGTACTTGAC.1 | Neurons:adrenal_medulla_cell_line | 0.16 | 347.98 | Raw ScoresNeurons:adrenal_medulla_cell_line: 0.35, Astrocyte:Embryonic_stem_cell-derived: 0.29, Neuroepithelial_cell:ESC-derived: 0.29, iPS_cells:PDB_2lox-22: 0.26, iPS_cells:CRL2097_foreskin-derived:undiff.: 0.26, iPS_cells:PDB_1lox-17Puro-10: 0.26, iPS_cells:PDB_2lox-5: 0.26, iPS_cells:PDB_2lox-21: 0.26, iPS_cells:PDB_1lox-17Puro-5: 0.26, iPS_cells:PDB_1lox-21Puro-20: 0.26 |
| T34_GCGCGATCATACTCTT.1 | Neurons:adrenal_medulla_cell_line | 0.15 | 342.05 | Raw ScoresNeurons:adrenal_medulla_cell_line: 0.37, Neuroepithelial_cell:ESC-derived: 0.31, Astrocyte:Embryonic_stem_cell-derived: 0.3, iPS_cells:PDB_1lox-17Puro-10: 0.29, iPS_cells:PDB_1lox-17Puro-5: 0.29, iPS_cells:PDB_1lox-21Puro-20: 0.29, iPS_cells:CRL2097_foreskin-derived:undiff.: 0.28, iPS_cells:PDB_1lox-21Puro-26: 0.28, iPS_cells:adipose_stem_cell-derived:minicircle-derived: 0.28, Embryonic_stem_cells: 0.28 |
| T34_AGGTCATAGAAACGCC.1 | Neurons:adrenal_medulla_cell_line | 0.17 | 341.54 | Raw ScoresNeurons:adrenal_medulla_cell_line: 0.34, Neuroepithelial_cell:ESC-derived: 0.28, Astrocyte:Embryonic_stem_cell-derived: 0.28, iPS_cells:CRL2097_foreskin-derived:undiff.: 0.25, Embryonic_stem_cells: 0.25, iPS_cells:PDB_2lox-22: 0.25, iPS_cells:PDB_1lox-17Puro-5: 0.25, iPS_cells:PDB_1lox-17Puro-10: 0.25, iPS_cells:PDB_1lox-21Puro-20: 0.25, iPS_cells:PDB_2lox-5: 0.25 |
| T34_TATGCCCAGTACGCGA.1 | Neurons:adrenal_medulla_cell_line | 0.12 | 329.43 | Raw ScoresNeurons:adrenal_medulla_cell_line: 0.34, Astrocyte:Embryonic_stem_cell-derived: 0.3, Neuroepithelial_cell:ESC-derived: 0.29, iPS_cells:CRL2097_foreskin-derived:undiff.: 0.28, iPS_cells:adipose_stem_cell-derived:minicircle-derived: 0.28, iPS_cells:fibroblast-derived:Retroviral_transf: 0.28, iPS_cells:PDB_2lox-22: 0.28, iPS_cells:iPS:minicircle-derived: 0.27, iPS_cells:PDB_1lox-17Puro-5: 0.27, Embryonic_stem_cells: 0.27 |
| T34_TTTGCGCAGACCCACC.1 | Neurons:adrenal_medulla_cell_line | 0.16 | 324.02 | Raw ScoresNeurons:adrenal_medulla_cell_line: 0.35, Neuroepithelial_cell:ESC-derived: 0.28, Astrocyte:Embryonic_stem_cell-derived: 0.28, iPS_cells:PDB_1lox-21Puro-20: 0.27, iPS_cells:PDB_1lox-17Puro-5: 0.27, iPS_cells:PDB_1lox-17Puro-10: 0.26, iPS_cells:PDB_2lox-22: 0.26, iPS_cells:PDB_1lox-21Puro-26: 0.26, iPS_cells:CRL2097_foreskin-derived:undiff.: 0.26, iPS_cells:PDB_2lox-17: 0.26 |
| T34_GTGCATATCAGATAAG.1 | Neurons:adrenal_medulla_cell_line | 0.12 | 314.36 | Raw ScoresNeurons:adrenal_medulla_cell_line: 0.31, Neuroepithelial_cell:ESC-derived: 0.26, Astrocyte:Embryonic_stem_cell-derived: 0.26, iPS_cells:CRL2097_foreskin-derived:undiff.: 0.25, iPS_cells:PDB_2lox-22: 0.24, iPS_cells:PDB_1lox-17Puro-5: 0.24, iPS_cells:PDB_1lox-17Puro-10: 0.24, iPS_cells:PDB_1lox-21Puro-20: 0.24, iPS_cells:PDB_2lox-17: 0.24, iPS_cells:PDB_2lox-21: 0.24 |
| T34_ACCCACTGTTGCGCAC.1 | Neurons:adrenal_medulla_cell_line | 0.15 | 305.16 | Raw ScoresNeurons:adrenal_medulla_cell_line: 0.31, Neuroepithelial_cell:ESC-derived: 0.24, Astrocyte:Embryonic_stem_cell-derived: 0.24, iPS_cells:PDB_1lox-21Puro-20: 0.22, iPS_cells:PDB_1lox-17Puro-5: 0.22, iPS_cells:PDB_1lox-17Puro-10: 0.22, Tissue_stem_cells:CD326-CD56+: 0.22, iPS_cells:CRL2097_foreskin-derived:undiff.: 0.22, iPS_cells:fibroblast-derived:Retroviral_transf: 0.22, iPS_cells:PDB_1lox-21Puro-26: 0.22 |
| T34_ACTATCTGTTATCACG.1 | Neurons:adrenal_medulla_cell_line | 0.14 | 304.23 | Raw ScoresNeurons:adrenal_medulla_cell_line: 0.32, Neuroepithelial_cell:ESC-derived: 0.26, Astrocyte:Embryonic_stem_cell-derived: 0.26, iPS_cells:CRL2097_foreskin-derived:undiff.: 0.26, iPS_cells:PDB_2lox-22: 0.25, iPS_cells:PDB_1lox-17Puro-5: 0.25, iPS_cells:PDB_1lox-17Puro-10: 0.25, iPS_cells:PDB_2lox-17: 0.25, iPS_cells:PDB_2lox-21: 0.25, iPS_cells:PDB_2lox-5: 0.25 |
| T34_TAGTTGGCATCCAACA.1 | Neurons:adrenal_medulla_cell_line | 0.14 | 303.79 | Raw ScoresNeurons:adrenal_medulla_cell_line: 0.32, Neuroepithelial_cell:ESC-derived: 0.25, Astrocyte:Embryonic_stem_cell-derived: 0.25, iPS_cells:adipose_stem_cell-derived:minicircle-derived: 0.24, iPS_cells:CRL2097_foreskin-derived:undiff.: 0.24, iPS_cells:adipose_stem_cell-derived:lentiviral: 0.24, iPS_cells:iPS:minicircle-derived: 0.24, iPS_cells:PDB_2lox-22: 0.24, iPS_cells:PDB_1lox-17Puro-5: 0.24, Embryonic_stem_cells: 0.24 |
| T34_CAGAATCAGCGATAGC.1 | Neurons:adrenal_medulla_cell_line | 0.15 | 298.98 | Raw ScoresNeurons:adrenal_medulla_cell_line: 0.37, Astrocyte:Embryonic_stem_cell-derived: 0.31, Neuroepithelial_cell:ESC-derived: 0.3, iPS_cells:PDB_1lox-21Puro-20: 0.28, iPS_cells:CRL2097_foreskin-derived:undiff.: 0.27, iPS_cells:PDB_1lox-17Puro-5: 0.27, iPS_cells:PDB_1lox-17Puro-10: 0.27, iPS_cells:PDB_2lox-22: 0.27, iPS_cells:PDB_1lox-21Puro-26: 0.27, iPS_cells:fibroblast-derived:Retroviral_transf: 0.27 |
| T34_ATAACGCCACACAGAG.1 | Neurons:adrenal_medulla_cell_line | 0.14 | 295.03 | Raw ScoresNeurons:adrenal_medulla_cell_line: 0.36, Neuroepithelial_cell:ESC-derived: 0.29, Astrocyte:Embryonic_stem_cell-derived: 0.28, iPS_cells:PDB_1lox-17Puro-5: 0.27, iPS_cells:CRL2097_foreskin-derived:undiff.: 0.27, iPS_cells:PDB_1lox-17Puro-10: 0.27, iPS_cells:PDB_1lox-21Puro-20: 0.26, iPS_cells:PDB_2lox-22: 0.26, iPS_cells:PDB_1lox-21Puro-26: 0.26, iPS_cells:PDB_2lox-21: 0.26 |
| T34_GTCTTCGGTACAGTGG.1 | Neurons:adrenal_medulla_cell_line | 0.14 | 293.78 | Raw ScoresNeurons:adrenal_medulla_cell_line: 0.35, Astrocyte:Embryonic_stem_cell-derived: 0.29, Neuroepithelial_cell:ESC-derived: 0.29, iPS_cells:CRL2097_foreskin-derived:undiff.: 0.28, iPS_cells:PDB_1lox-17Puro-5: 0.28, iPS_cells:PDB_2lox-22: 0.28, iPS_cells:PDB_1lox-17Puro-10: 0.27, iPS_cells:PDB_2lox-21: 0.27, iPS_cells:PDB_1lox-21Puro-20: 0.27, iPS_cells:PDB_2lox-5: 0.27 |
| T34_TGTGTTTTCATAACCG.1 | Neurons:adrenal_medulla_cell_line | 0.15 | 292.48 | Raw ScoresNeurons:adrenal_medulla_cell_line: 0.31, Neuroepithelial_cell:ESC-derived: 0.26, Astrocyte:Embryonic_stem_cell-derived: 0.25, iPS_cells:CRL2097_foreskin-derived:undiff.: 0.23, iPS_cells:PDB_2lox-22: 0.23, iPS_cells:PDB_1lox-17Puro-5: 0.23, Embryonic_stem_cells: 0.23, iPS_cells:adipose_stem_cell-derived:minicircle-derived: 0.23, iPS_cells:PDB_1lox-21Puro-20: 0.23, iPS_cells:PDB_1lox-17Puro-10: 0.23 |
| T34_GACTAACTCTTATCTG.1 | Neurons:adrenal_medulla_cell_line | 0.15 | 290.37 | Raw ScoresNeurons:adrenal_medulla_cell_line: 0.36, Neuroepithelial_cell:ESC-derived: 0.31, Astrocyte:Embryonic_stem_cell-derived: 0.29, iPS_cells:CRL2097_foreskin-derived:undiff.: 0.28, iPS_cells:PDB_1lox-21Puro-20: 0.28, iPS_cells:PDB_2lox-22: 0.28, iPS_cells:PDB_1lox-17Puro-5: 0.28, iPS_cells:PDB_1lox-17Puro-10: 0.27, iPS_cells:PDB_1lox-21Puro-26: 0.27, Embryonic_stem_cells: 0.27 |
| T34_AGAATAGTCTTCTGGC.1 | Neurons:adrenal_medulla_cell_line | 0.14 | 286.68 | Raw ScoresNeurons:adrenal_medulla_cell_line: 0.32, Neuroepithelial_cell:ESC-derived: 0.27, Astrocyte:Embryonic_stem_cell-derived: 0.26, iPS_cells:adipose_stem_cell-derived:minicircle-derived: 0.24, iPS_cells:CRL2097_foreskin-derived:undiff.: 0.24, Embryonic_stem_cells: 0.24, iPS_cells:iPS:minicircle-derived: 0.24, Tissue_stem_cells:CD326-CD56+: 0.24, iPS_cells:PDB_2lox-22: 0.23, iPS_cells:PDB_2lox-21: 0.23 |
| T34_CGGGTCAGTTTCCACC.1 | Neurons:adrenal_medulla_cell_line | 0.14 | 277.95 | Raw ScoresNeurons:adrenal_medulla_cell_line: 0.33, Astrocyte:Embryonic_stem_cell-derived: 0.28, Neuroepithelial_cell:ESC-derived: 0.28, iPS_cells:CRL2097_foreskin-derived:undiff.: 0.25, iPS_cells:PDB_1lox-17Puro-5: 0.25, iPS_cells:PDB_1lox-21Puro-20: 0.25, iPS_cells:PDB_2lox-22: 0.25, iPS_cells:adipose_stem_cell-derived:minicircle-derived: 0.25, iPS_cells:PDB_1lox-17Puro-10: 0.25, iPS_cells:PDB_2lox-17: 0.25 |
| T34_GACACGCCATAGACTC.1 | Neurons:adrenal_medulla_cell_line | 0.17 | 276.01 | Raw ScoresNeurons:adrenal_medulla_cell_line: 0.35, Neuroepithelial_cell:ESC-derived: 0.28, Astrocyte:Embryonic_stem_cell-derived: 0.27, iPS_cells:CRL2097_foreskin-derived:undiff.: 0.27, iPS_cells:PDB_2lox-22: 0.26, iPS_cells:PDB_2lox-21: 0.26, iPS_cells:PDB_2lox-17: 0.26, iPS_cells:PDB_1lox-21Puro-20: 0.26, iPS_cells:PDB_1lox-17Puro-5: 0.26, iPS_cells:adipose_stem_cell-derived:minicircle-derived: 0.26 |
| T34_CGTGAGCAGGTGTGGT.1 | Neurons:adrenal_medulla_cell_line | 0.14 | 275.83 | Raw ScoresNeurons:adrenal_medulla_cell_line: 0.32, Neuroepithelial_cell:ESC-derived: 0.26, Astrocyte:Embryonic_stem_cell-derived: 0.26, iPS_cells:PDB_2lox-22: 0.24, iPS_cells:PDB_1lox-17Puro-10: 0.24, iPS_cells:CRL2097_foreskin-derived:undiff.: 0.24, iPS_cells:PDB_1lox-17Puro-5: 0.24, iPS_cells:PDB_2lox-17: 0.24, iPS_cells:PDB_1lox-21Puro-20: 0.24, iPS_cells:PDB_2lox-5: 0.24 |
| T34_ACTGAACTCCTAGAAC.1 | Neurons:adrenal_medulla_cell_line | 0.17 | 270.19 | Raw ScoresNeurons:adrenal_medulla_cell_line: 0.35, Astrocyte:Embryonic_stem_cell-derived: 0.28, Neuroepithelial_cell:ESC-derived: 0.28, iPS_cells:PDB_2lox-22: 0.26, iPS_cells:PDB_1lox-21Puro-20: 0.26, iPS_cells:PDB_2lox-17: 0.26, iPS_cells:PDB_2lox-21: 0.26, iPS_cells:adipose_stem_cell-derived:minicircle-derived: 0.26, iPS_cells:PDB_1lox-17Puro-5: 0.26, iPS_cells:CRL2097_foreskin-derived:undiff.: 0.26 |
| T34_CAGTCCTAGATCGGGT.1 | Neurons:adrenal_medulla_cell_line | 0.14 | 260.65 | Raw ScoresNeurons:adrenal_medulla_cell_line: 0.33, Neuroepithelial_cell:ESC-derived: 0.28, Astrocyte:Embryonic_stem_cell-derived: 0.28, iPS_cells:CRL2097_foreskin-derived:undiff.: 0.26, iPS_cells:PDB_1lox-17Puro-5: 0.26, iPS_cells:PDB_2lox-22: 0.26, iPS_cells:PDB_2lox-5: 0.25, iPS_cells:PDB_1lox-17Puro-10: 0.25, iPS_cells:PDB_1lox-21Puro-20: 0.25, iPS_cells:PDB_2lox-17: 0.25 |
| T34_TTTCCTCGTACAGCAG.1 | Neurons:adrenal_medulla_cell_line | 0.15 | 260.41 | Raw ScoresNeurons:adrenal_medulla_cell_line: 0.33, Astrocyte:Embryonic_stem_cell-derived: 0.27, Neuroepithelial_cell:ESC-derived: 0.26, iPS_cells:CRL2097_foreskin-derived:undiff.: 0.25, iPS_cells:PDB_1lox-17Puro-5: 0.25, iPS_cells:PDB_2lox-22: 0.25, iPS_cells:PDB_1lox-21Puro-20: 0.25, iPS_cells:PDB_1lox-17Puro-10: 0.25, iPS_cells:PDB_1lox-21Puro-26: 0.25, iPS_cells:PDB_2lox-17: 0.24 |
| T34_ATAGACCAGTAGGCCA.1 | Neurons:adrenal_medulla_cell_line | 0.15 | 256.86 | Raw ScoresNeurons:adrenal_medulla_cell_line: 0.33, Neuroepithelial_cell:ESC-derived: 0.27, Astrocyte:Embryonic_stem_cell-derived: 0.26, iPS_cells:CRL2097_foreskin-derived:undiff.: 0.25, iPS_cells:PDB_1lox-17Puro-5: 0.25, iPS_cells:PDB_2lox-22: 0.25, iPS_cells:PDB_2lox-21: 0.25, iPS_cells:PDB_2lox-5: 0.25, iPS_cells:PDB_1lox-17Puro-10: 0.25, iPS_cells:PDB_2lox-17: 0.25 |
| T34_CTCATTATCTGCTGCT.1 | Neurons:adrenal_medulla_cell_line | 0.14 | 256.00 | Raw ScoresNeurons:adrenal_medulla_cell_line: 0.34, Neuroepithelial_cell:ESC-derived: 0.29, Astrocyte:Embryonic_stem_cell-derived: 0.28, iPS_cells:adipose_stem_cell-derived:minicircle-derived: 0.28, iPS_cells:CRL2097_foreskin-derived:undiff.: 0.28, iPS_cells:fibroblast-derived:Retroviral_transf: 0.27, iPS_cells:PDB_2lox-22: 0.27, iPS_cells:iPS:minicircle-derived: 0.27, iPS_cells:adipose_stem_cell-derived:lentiviral: 0.27, iPS_cells:PDB_2lox-17: 0.27 |
| T34_AACACGTTCGAATCCA.1 | Neurons:adrenal_medulla_cell_line | 0.14 | 254.63 | Raw ScoresNeurons:adrenal_medulla_cell_line: 0.32, Astrocyte:Embryonic_stem_cell-derived: 0.26, Neuroepithelial_cell:ESC-derived: 0.26, iPS_cells:PDB_1lox-21Puro-20: 0.24, iPS_cells:CRL2097_foreskin-derived:undiff.: 0.24, iPS_cells:PDB_2lox-22: 0.24, iPS_cells:PDB_1lox-17Puro-5: 0.24, iPS_cells:PDB_2lox-21: 0.24, iPS_cells:PDB_1lox-21Puro-26: 0.24, iPS_cells:PDB_1lox-17Puro-10: 0.23 |
| T34_ACCTTTACAATAAGCA.1 | Neurons:adrenal_medulla_cell_line | 0.15 | 252.87 | Raw ScoresNeurons:adrenal_medulla_cell_line: 0.35, Astrocyte:Embryonic_stem_cell-derived: 0.27, Neuroepithelial_cell:ESC-derived: 0.27, iPS_cells:PDB_2lox-22: 0.25, iPS_cells:PDB_2lox-17: 0.25, iPS_cells:PDB_2lox-21: 0.25, iPS_cells:PDB_2lox-5: 0.25, iPS_cells:CRL2097_foreskin-derived:undiff.: 0.25, iPS_cells:PDB_1lox-21Puro-20: 0.25, iPS_cells:PDB_1lox-17Puro-5: 0.25 |
| T34_GCATGTACACATTAGC.1 | Neurons:adrenal_medulla_cell_line | 0.13 | 250.92 | Raw ScoresNeurons:adrenal_medulla_cell_line: 0.32, Neuroepithelial_cell:ESC-derived: 0.27, iPS_cells:iPS:minicircle-derived: 0.27, iPS_cells:adipose_stem_cell-derived:minicircle-derived: 0.27, iPS_cells:PDB_2lox-22: 0.26, iPS_cells:skin_fibroblast-derived: 0.26, Embryonic_stem_cells: 0.26, iPS_cells:PDB_2lox-17: 0.26, iPS_cells:PDB_2lox-21: 0.26, iPS_cells:CRL2097_foreskin-derived:undiff.: 0.26 |
| T34_GGGCACTTCTGCCAGG.1 | Neurons:adrenal_medulla_cell_line | 0.16 | 249.41 | Raw ScoresNeurons:adrenal_medulla_cell_line: 0.38, Neuroepithelial_cell:ESC-derived: 0.31, Astrocyte:Embryonic_stem_cell-derived: 0.31, iPS_cells:CRL2097_foreskin-derived:undiff.: 0.29, iPS_cells:PDB_1lox-17Puro-5: 0.29, iPS_cells:PDB_1lox-17Puro-10: 0.29, iPS_cells:PDB_2lox-22: 0.29, iPS_cells:PDB_1lox-21Puro-20: 0.29, iPS_cells:PDB_1lox-21Puro-26: 0.29, iPS_cells:adipose_stem_cell-derived:minicircle-derived: 0.29 |
| T34_CTCTACGCATGTAGTC.1 | Neurons:adrenal_medulla_cell_line | 0.16 | 249.11 | Raw ScoresNeurons:adrenal_medulla_cell_line: 0.34, Neuroepithelial_cell:ESC-derived: 0.27, Astrocyte:Embryonic_stem_cell-derived: 0.26, iPS_cells:PDB_1lox-17Puro-5: 0.26, iPS_cells:PDB_2lox-22: 0.26, iPS_cells:CRL2097_foreskin-derived:undiff.: 0.25, iPS_cells:PDB_1lox-21Puro-20: 0.25, iPS_cells:PDB_1lox-17Puro-10: 0.25, iPS_cells:adipose_stem_cell-derived:minicircle-derived: 0.25, iPS_cells:PDB_2lox-17: 0.25 |
| T34_ATCTACTAGAGATGAG.1 | Neurons:adrenal_medulla_cell_line | 0.14 | 248.65 | Raw ScoresNeurons:adrenal_medulla_cell_line: 0.33, Neuroepithelial_cell:ESC-derived: 0.27, iPS_cells:CRL2097_foreskin-derived:undiff.: 0.26, Astrocyte:Embryonic_stem_cell-derived: 0.25, iPS_cells:adipose_stem_cell-derived:lentiviral: 0.25, iPS_cells:iPS:minicircle-derived: 0.25, iPS_cells:PDB_1lox-17Puro-5: 0.25, iPS_cells:adipose_stem_cell-derived:minicircle-derived: 0.25, iPS_cells:PDB_2lox-22: 0.25, iPS_cells:PDB_1lox-21Puro-20: 0.25 |
| T34_CTGAAACTCCAGTATG.1 | Neurons:adrenal_medulla_cell_line | 0.15 | 247.61 | Raw ScoresNeurons:adrenal_medulla_cell_line: 0.35, Neuroepithelial_cell:ESC-derived: 0.28, Astrocyte:Embryonic_stem_cell-derived: 0.27, iPS_cells:PDB_1lox-21Puro-20: 0.26, iPS_cells:PDB_2lox-21: 0.26, iPS_cells:PDB_1lox-21Puro-26: 0.26, iPS_cells:PDB_1lox-17Puro-5: 0.26, iPS_cells:PDB_2lox-22: 0.26, iPS_cells:PDB_1lox-17Puro-10: 0.26, iPS_cells:PDB_2lox-17: 0.26 |
| T34_GTTCGGGGTTTGTTGG.1 | Neurons:adrenal_medulla_cell_line | 0.16 | 243.75 | Raw ScoresNeurons:adrenal_medulla_cell_line: 0.35, Neuroepithelial_cell:ESC-derived: 0.28, Astrocyte:Embryonic_stem_cell-derived: 0.28, iPS_cells:PDB_1lox-21Puro-20: 0.26, iPS_cells:PDB_2lox-22: 0.26, iPS_cells:PDB_1lox-17Puro-5: 0.26, iPS_cells:PDB_1lox-21Puro-26: 0.26, iPS_cells:PDB_1lox-17Puro-10: 0.26, iPS_cells:PDB_2lox-21: 0.26, iPS_cells:PDB_2lox-17: 0.26 |
| T34_ACACTGAGTCGGCTCA.1 | Neurons:adrenal_medulla_cell_line | 0.14 | 243.64 | Raw ScoresNeurons:adrenal_medulla_cell_line: 0.35, Neuroepithelial_cell:ESC-derived: 0.29, Astrocyte:Embryonic_stem_cell-derived: 0.28, iPS_cells:PDB_1lox-17Puro-5: 0.27, iPS_cells:PDB_1lox-21Puro-20: 0.27, iPS_cells:PDB_1lox-17Puro-10: 0.27, iPS_cells:PDB_1lox-21Puro-26: 0.27, iPS_cells:PDB_2lox-22: 0.27, iPS_cells:CRL2097_foreskin-derived:undiff.: 0.27, iPS_cells:PDB_2lox-21: 0.27 |
| T34_CTCGTCACAAGCGAGT.1 | Neurons:adrenal_medulla_cell_line | 0.13 | 242.99 | Raw ScoresNeurons:adrenal_medulla_cell_line: 0.32, Neuroepithelial_cell:ESC-derived: 0.25, Astrocyte:Embryonic_stem_cell-derived: 0.24, iPS_cells:adipose_stem_cell-derived:minicircle-derived: 0.24, iPS_cells:CRL2097_foreskin-derived:undiff.: 0.24, iPS_cells:PDB_1lox-17Puro-5: 0.24, Tissue_stem_cells:CD326-CD56+: 0.24, iPS_cells:adipose_stem_cell-derived:lentiviral: 0.24, Embryonic_stem_cells: 0.23, iPS_cells:fibroblast-derived:Retroviral_transf: 0.23 |
| T34_TCTTCGGGTATTACCG.1 | Neurons:adrenal_medulla_cell_line | 0.12 | 240.08 | Raw ScoresNeurons:adrenal_medulla_cell_line: 0.29, Neuroepithelial_cell:ESC-derived: 0.24, iPS_cells:CRL2097_foreskin-derived:undiff.: 0.23, Astrocyte:Embryonic_stem_cell-derived: 0.23, iPS_cells:PDB_2lox-22: 0.23, iPS_cells:PDB_2lox-17: 0.23, iPS_cells:PDB_1lox-17Puro-5: 0.23, iPS_cells:PDB_2lox-5: 0.23, iPS_cells:PDB_2lox-21: 0.23, iPS_cells:adipose_stem_cell-derived:minicircle-derived: 0.22 |
| T34_AGCATACGTCTAGAGG.1 | Neurons:adrenal_medulla_cell_line | 0.15 | 237.14 | Raw ScoresNeurons:adrenal_medulla_cell_line: 0.36, Astrocyte:Embryonic_stem_cell-derived: 0.3, Neuroepithelial_cell:ESC-derived: 0.3, iPS_cells:PDB_1lox-21Puro-20: 0.28, iPS_cells:fibroblast-derived:Retroviral_transf: 0.28, iPS_cells:CRL2097_foreskin-derived:undiff.: 0.28, iPS_cells:PDB_2lox-22: 0.28, iPS_cells:PDB_2lox-21: 0.27, iPS_cells:PDB_1lox-17Puro-5: 0.27, Embryonic_stem_cells: 0.27 |
| T34_CGGGTCAGTAATTGGA.1 | Neurons:adrenal_medulla_cell_line | 0.14 | 236.46 | Raw ScoresNeurons:adrenal_medulla_cell_line: 0.33, Neuroepithelial_cell:ESC-derived: 0.27, Astrocyte:Embryonic_stem_cell-derived: 0.27, iPS_cells:PDB_1lox-17Puro-5: 0.25, iPS_cells:CRL2097_foreskin-derived:undiff.: 0.25, iPS_cells:PDB_1lox-21Puro-20: 0.25, iPS_cells:PDB_1lox-17Puro-10: 0.25, iPS_cells:PDB_2lox-22: 0.25, iPS_cells:PDB_1lox-21Puro-26: 0.25, iPS_cells:PDB_2lox-17: 0.25 |
| T34_CAGGTGCTCACGCGGT.1 | Neurons:adrenal_medulla_cell_line | 0.13 | 234.81 | Raw ScoresNeurons:adrenal_medulla_cell_line: 0.35, Astrocyte:Embryonic_stem_cell-derived: 0.29, Neuroepithelial_cell:ESC-derived: 0.28, iPS_cells:CRL2097_foreskin-derived:undiff.: 0.27, iPS_cells:iPS:minicircle-derived: 0.27, iPS_cells:PDB_2lox-22: 0.27, iPS_cells:PDB_1lox-17Puro-5: 0.27, iPS_cells:PDB_2lox-21: 0.27, iPS_cells:PDB_2lox-17: 0.27, iPS_cells:adipose_stem_cell-derived:minicircle-derived: 0.27 |
Below shows the significant enrichments of this GEP for literature curated gene lists
This data was procured from existing single cell RNA-seq maps of neuroblastoma or related relevant data.
High ranks indicate this gene is a driver of this GEP.
These curated gene list are ranked by the P-value (on this GEP) of their constituent genes.
The Mean Count column shows the mean read count in cells scoring highly (H > 50) on this gene expression program.
| Genes | Weight | Rank | GTEx | DepMap | Decartes | Mean.Counts | Mean.TPM |
|---|---|---|---|---|---|---|---|
| RGS5 | 0.0091742 | 8 | GTEx | DepMap | Descartes | 14.26 | 562.31 |
| MLLT11 | 0.0076876 | 13 | GTEx | DepMap | Descartes | 12.81 | 1329.82 |
| RTN1 | 0.0049991 | 44 | GTEx | DepMap | Descartes | 8.04 | 599.21 |
| UCHL1 | 0.0025561 | 326 | GTEx | DepMap | Descartes | 5.54 | 724.52 |
| TH | 0.0017547 | 669 | GTEx | DepMap | Descartes | 2.54 | 303.83 |
| ELAVL4 | 0.0016688 | 724 | GTEx | DepMap | Descartes | 5.66 | 347.86 |
| DBH | 0.0013753 | 961 | GTEx | DepMap | Descartes | 3.85 | 302.11 |
| ISL1 | 0.0011459 | 1228 | GTEx | DepMap | Descartes | 2.00 | 176.64 |
| STMN2 | 0.0011142 | 1277 | GTEx | DepMap | Descartes | 30.46 | 3989.62 |
| NRG1 | 0.0003625 | 3455 | GTEx | DepMap | Descartes | 0.16 | 3.76 |
| MAP1B | 0.0001530 | 4728 | GTEx | DepMap | Descartes | 8.23 | 173.44 |
Neuroblast (Hanemaaijer)
Marker genes obtained from Supplementary Table SD of Hanemaaijer et al (PMID 33500353). The authors generated single-cell RNA-seq data (sort-seq, 2,229 cells total) from mouse adrenal glads at E13.5, E14.5, E17.5, E18.5, P1 and P5. These were marker genes that matched with a similar dataset generated by Furlan et al (PMID 28684471). This particular set of markers are for the Neuroblast subcluster, which is part of the Adrenal Medulla cluster.:
Wilcoxon ranksum test P-value for gene set overrepresentation: 2.21e-05
Mean rank of genes in gene set: 1816
Rank on gene expression program of genes in gene set:
| Genes | Weight | Rank | GTEx | DepMap | Decartes | Mean.Counts | Mean.TPM |
|---|---|---|---|---|---|---|---|
| RTN1 | 0.0049991 | 44 | GTEx | DepMap | Descartes | 8.04 | 599.21 |
| STMN1 | 0.0038361 | 120 | GTEx | DepMap | Descartes | 18.23 | 1613.79 |
| ELAVL3 | 0.0021952 | 461 | GTEx | DepMap | Descartes | 2.34 | 117.83 |
| ELAVL4 | 0.0016688 | 724 | GTEx | DepMap | Descartes | 5.66 | 347.86 |
| NEFM | 0.0012558 | 1094 | GTEx | DepMap | Descartes | 1.22 | 108.87 |
| ISL1 | 0.0011459 | 1228 | GTEx | DepMap | Descartes | 2.00 | 176.64 |
| INA | 0.0011256 | 1264 | GTEx | DepMap | Descartes | 1.49 | 115.59 |
| STMN2 | 0.0011142 | 1277 | GTEx | DepMap | Descartes | 30.46 | 3989.62 |
| NEFL | 0.0008891 | 1697 | GTEx | DepMap | Descartes | 1.08 | 92.56 |
| BASP1 | 0.0001112 | 5038 | GTEx | DepMap | Descartes | 6.59 | 845.02 |
| CCND1 | -0.0000631 | 7029 | GTEx | DepMap | Descartes | 8.61 | 492.15 |
Medulla (Hanemaaijer)
Marker genes obtained from Supplementary Table SD of Hanemaaijer et al (PMID 33500353). The authors generated single-cell RNA-seq data (sort-seq, 2,229 cells total) from mouse adrenal glads at E13.5, E14.5, E17.5, E18.5, P1 and P5. These were marker genes that matched with a similar dataset generated by Furlan et al (PMID 28684471). This particular set of markers are for genes defining the broad group labelled adrenal medulla, which included 7 subclusters (SCP, Bridge, Committed Progenitor, N Chromaffin, E Chromaffin, Neuroblast) - see UMAP on their Fig1B for cluster assignments.:
Wilcoxon ranksum test P-value for gene set overrepresentation: 5.23e-05
Mean rank of genes in gene set: 2763.62
Rank on gene expression program of genes in gene set:
| Genes | Weight | Rank | GTEx | DepMap | Decartes | Mean.Counts | Mean.TPM |
|---|---|---|---|---|---|---|---|
| PCSK1N | 0.0087172 | 10 | GTEx | DepMap | Descartes | 12.41 | 3113.42 |
| CHGA | 0.0034224 | 172 | GTEx | DepMap | Descartes | 2.96 | 310.61 |
| UCHL1 | 0.0025561 | 326 | GTEx | DepMap | Descartes | 5.54 | 724.52 |
| NNAT | 0.0024991 | 345 | GTEx | DepMap | Descartes | 3.09 | 558.13 |
| CYB561 | 0.0023369 | 401 | GTEx | DepMap | Descartes | 1.10 | 74.66 |
| HAND2 | 0.0020593 | 511 | GTEx | DepMap | Descartes | 3.77 | 313.28 |
| TH | 0.0017547 | 669 | GTEx | DepMap | Descartes | 2.54 | 303.83 |
| PHOX2A | 0.0014612 | 874 | GTEx | DepMap | Descartes | 4.29 | 574.83 |
| DBH | 0.0013753 | 961 | GTEx | DepMap | Descartes | 3.85 | 302.11 |
| GATA3 | 0.0005721 | 2577 | GTEx | DepMap | Descartes | 3.87 | 312.90 |
| DISP2 | 0.0003578 | 3483 | GTEx | DepMap | Descartes | 0.17 | 3.19 |
| MAP1B | 0.0001530 | 4728 | GTEx | DepMap | Descartes | 8.23 | 173.44 |
| DDC | 0.0000967 | 5169 | GTEx | DepMap | Descartes | 1.10 | 114.59 |
| CHGB | 0.0000700 | 5421 | GTEx | DepMap | Descartes | 3.23 | 267.70 |
| SLC18A1 | -0.0000174 | 6417 | GTEx | DepMap | Descartes | 0.17 | 11.51 |
| EML5 | -0.0008370 | 12154 | GTEx | DepMap | Descartes | 0.22 | 5.29 |
Below shows ranks on this GEP for literature curated gene lists for large gene sets
These include those reported as mesenchymal/adrenergic by Van Groningen et al.
High ranks indicate this gene is a driver of this GEP (note these results are not ordered).
The Mean Count column shows the mean read count in cells scoring highly (H > 50) on this gene expression program.
VanGroningen Adrenergic Genes
Adrenergic marker genes from Supplementary Table 2 of Van Groningen et al. Nature Genetics 2017. These genes were identified by differential expression analysis of mesenchymal-like and adrenergic-like neuroblastoma cell lines.
Wilcoxon ranksum test P-value for gene set overrepresentation: 2.16e-03
Mean rank of genes in gene set: 5690.18
Median rank of genes in gene set: 4597
Rank on gene expression program of top 30 genes in gene set:
| Genes | Weight | Rank | GTEx | DepMap | Descartes | Mean.Counts | Mean.TPM |
|---|---|---|---|---|---|---|---|
| NPY | 0.0118555 | 3 | GTEx | DepMap | Descartes | 35.78 | 12686.38 |
| RGS5 | 0.0091742 | 8 | GTEx | DepMap | Descartes | 14.26 | 562.31 |
| GATA2 | 0.0079030 | 11 | GTEx | DepMap | Descartes | 2.55 | 168.46 |
| RUNDC3A | 0.0063199 | 22 | GTEx | DepMap | Descartes | 1.70 | 106.22 |
| HNRNPA0 | 0.0058067 | 26 | GTEx | DepMap | Descartes | 4.28 | 114.71 |
| GAP43 | 0.0056358 | 28 | GTEx | DepMap | Descartes | 8.26 | 1143.47 |
| RTN1 | 0.0049991 | 44 | GTEx | DepMap | Descartes | 8.04 | 599.21 |
| RBP1 | 0.0048237 | 51 | GTEx | DepMap | Descartes | 5.99 | 859.10 |
| ATP6V0E2 | 0.0045727 | 60 | GTEx | DepMap | Descartes | 2.12 | 128.01 |
| GDI1 | 0.0044015 | 70 | GTEx | DepMap | Descartes | 2.31 | 138.18 |
| CYGB | 0.0041853 | 88 | GTEx | DepMap | Descartes | 1.07 | 128.26 |
| HAND1 | 0.0040914 | 96 | GTEx | DepMap | Descartes | 1.14 | 147.46 |
| OLFM1 | 0.0039298 | 112 | GTEx | DepMap | Descartes | 0.93 | 94.25 |
| ELAVL2 | 0.0036427 | 141 | GTEx | DepMap | Descartes | 1.64 | 120.55 |
| NSG1 | 0.0036139 | 145 | GTEx | DepMap | Descartes | 3.06 | NA |
| PHYHIPL | 0.0035634 | 149 | GTEx | DepMap | Descartes | 0.66 | 44.29 |
| CHGA | 0.0034224 | 172 | GTEx | DepMap | Descartes | 2.96 | 310.61 |
| SHD | 0.0033965 | 176 | GTEx | DepMap | Descartes | 1.42 | 187.46 |
| MMD | 0.0032687 | 191 | GTEx | DepMap | Descartes | 1.31 | 123.52 |
| PARP6 | 0.0028151 | 259 | GTEx | DepMap | Descartes | 0.82 | 56.48 |
| TUBB2A | 0.0025710 | 319 | GTEx | DepMap | Descartes | 3.41 | 436.72 |
| ASRGL1 | 0.0025573 | 325 | GTEx | DepMap | Descartes | 0.69 | 74.74 |
| ENO2 | 0.0024995 | 344 | GTEx | DepMap | Descartes | 2.14 | 183.46 |
| NNAT | 0.0024991 | 345 | GTEx | DepMap | Descartes | 3.09 | 558.13 |
| SEC11C | 0.0024636 | 354 | GTEx | DepMap | Descartes | 1.65 | 174.51 |
| PHPT1 | 0.0023941 | 382 | GTEx | DepMap | Descartes | 3.06 | 548.00 |
| MAPT | 0.0023587 | 395 | GTEx | DepMap | Descartes | 2.13 | 76.39 |
| LSM4 | 0.0023117 | 411 | GTEx | DepMap | Descartes | 2.53 | 375.13 |
| ACOT7 | 0.0022777 | 425 | GTEx | DepMap | Descartes | 1.10 | 109.88 |
| DIABLO | 0.0022765 | 427 | GTEx | DepMap | Descartes | 0.19 | 13.74 |
VanGroningen Mesenchymal Genes
Mesenchymal marker genes from Supplementary Table 2 of Van Groningen et al. Nature Genetics 2017. These genes were identified by differential expression analysis of mesenchymal-like and adrenergic-like neuroblastoma cell lines.
Wilcoxon ranksum test P-value for gene set overrepresentation: 1.00e+00
Mean rank of genes in gene set: 7893.91
Median rank of genes in gene set: 8961
Rank on gene expression program of top 30 genes in gene set:
| Genes | Weight | Rank | GTEx | DepMap | Descartes | Mean.Counts | Mean.TPM |
|---|---|---|---|---|---|---|---|
| SDC2 | 0.0054685 | 32 | GTEx | DepMap | Descartes | 0.43 | 24.98 |
| EGR1 | 0.0042797 | 80 | GTEx | DepMap | Descartes | 2.98 | 186.88 |
| STAT3 | 0.0038728 | 116 | GTEx | DepMap | Descartes | 1.27 | 56.89 |
| ATP1B1 | 0.0037238 | 132 | GTEx | DepMap | Descartes | 2.27 | 212.90 |
| NPTN | 0.0028017 | 263 | GTEx | DepMap | Descartes | 0.35 | 30.57 |
| ITM2C | 0.0024400 | 362 | GTEx | DepMap | Descartes | 1.15 | 128.97 |
| SCPEP1 | 0.0023701 | 388 | GTEx | DepMap | Descartes | 0.42 | 44.27 |
| CETN2 | 0.0023171 | 409 | GTEx | DepMap | Descartes | 0.33 | 56.59 |
| FAM3C | 0.0023006 | 415 | GTEx | DepMap | Descartes | 0.70 | 65.03 |
| DUSP14 | 0.0022345 | 448 | GTEx | DepMap | Descartes | 0.15 | 14.36 |
| ERRFI1 | 0.0021564 | 475 | GTEx | DepMap | Descartes | 0.16 | 12.05 |
| ACADVL | 0.0021316 | 482 | GTEx | DepMap | Descartes | 0.73 | 70.37 |
| DKK3 | 0.0019939 | 532 | GTEx | DepMap | Descartes | 0.32 | 7.39 |
| PLAGL1 | 0.0019654 | 545 | GTEx | DepMap | Descartes | 0.22 | 6.61 |
| KLF10 | 0.0017368 | 681 | GTEx | DepMap | Descartes | 0.35 | 22.46 |
| SSBP4 | 0.0016695 | 723 | GTEx | DepMap | Descartes | 1.08 | 157.58 |
| SHC1 | 0.0016154 | 754 | GTEx | DepMap | Descartes | 0.68 | 43.45 |
| INSIG1 | 0.0015654 | 786 | GTEx | DepMap | Descartes | 0.45 | 42.02 |
| CTNNA1 | 0.0015391 | 813 | GTEx | DepMap | Descartes | 0.49 | 27.93 |
| LASP1 | 0.0015025 | 837 | GTEx | DepMap | Descartes | 0.27 | 14.61 |
| MEST | 0.0014345 | 901 | GTEx | DepMap | Descartes | 0.85 | 84.47 |
| SDF4 | 0.0013289 | 1007 | GTEx | DepMap | Descartes | 0.46 | 29.31 |
| CRELD2 | 0.0013185 | 1027 | GTEx | DepMap | Descartes | 0.36 | 31.56 |
| POLR2L | 0.0012219 | 1127 | GTEx | DepMap | Descartes | 1.95 | 510.78 |
| MYADM | 0.0011943 | 1158 | GTEx | DepMap | Descartes | 0.73 | 58.31 |
| FAM43A | 0.0011835 | 1171 | GTEx | DepMap | Descartes | 0.15 | 9.25 |
| GNAI1 | 0.0011297 | 1257 | GTEx | DepMap | Descartes | 0.38 | 8.38 |
| SQSTM1 | 0.0010846 | 1316 | GTEx | DepMap | Descartes | 0.59 | 42.35 |
| ARMCX2 | 0.0010825 | 1317 | GTEx | DepMap | Descartes | 0.20 | 16.89 |
| ATP2B4 | 0.0010725 | 1338 | GTEx | DepMap | Descartes | 0.15 | 3.41 |
Descartes adrenocortical markers
Top 50 marker genes of adrenocortical cells in the Decartes fetal adrenal single cell map (https://atlas.brotmanbaty.org/bbi/human-gene-expression-during-development/cell/adrenocortical/in/adrenal)
Wilcoxon ranksum test P-value for gene set overrepresentation: 7.29e-02
Mean rank of genes in gene set: 5398.06
Median rank of genes in gene set: 4484.5
Rank on gene expression program of top 30 genes in gene set:
| Genes | Weight | Rank | GTEx | DepMap | Descartes | Mean.Counts | Mean.TPM |
|---|---|---|---|---|---|---|---|
| PEG3 | 0.0017409 | 676 | GTEx | DepMap | Descartes | 0.61 | NA |
| CLU | 0.0014734 | 863 | GTEx | DepMap | Descartes | 1.61 | 116.26 |
| CYB5B | 0.0013793 | 952 | GTEx | DepMap | Descartes | 0.48 | 26.41 |
| DHCR24 | 0.0013321 | 1002 | GTEx | DepMap | Descartes | 0.24 | 11.02 |
| HMGCS1 | 0.0011646 | 1202 | GTEx | DepMap | Descartes | 0.51 | 25.97 |
| GSTA4 | 0.0009172 | 1630 | GTEx | DepMap | Descartes | 0.90 | 134.70 |
| TM7SF2 | 0.0009055 | 1660 | GTEx | DepMap | Descartes | 0.41 | 45.50 |
| MSMO1 | 0.0007837 | 1956 | GTEx | DepMap | Descartes | 0.38 | 49.09 |
| FDPS | 0.0007598 | 2014 | GTEx | DepMap | Descartes | 0.87 | 96.22 |
| BAIAP2L1 | 0.0007384 | 2063 | GTEx | DepMap | Descartes | 0.02 | 1.38 |
| POR | 0.0006812 | 2219 | GTEx | DepMap | Descartes | 0.23 | 19.42 |
| DHCR7 | 0.0005526 | 2645 | GTEx | DepMap | Descartes | 0.14 | 15.09 |
| SCARB1 | 0.0005518 | 2647 | GTEx | DepMap | Descartes | 0.10 | 3.78 |
| INHA | 0.0005188 | 2784 | GTEx | DepMap | Descartes | 0.01 | 1.65 |
| JAKMIP2 | 0.0003388 | 3584 | GTEx | DepMap | Descartes | 0.29 | 7.34 |
| LDLR | 0.0003201 | 3691 | GTEx | DepMap | Descartes | 0.11 | 5.58 |
| SH3PXD2B | 0.0002664 | 3968 | GTEx | DepMap | Descartes | 0.05 | 1.31 |
| PAPSS2 | 0.0001949 | 4407 | GTEx | DepMap | Descartes | 0.02 | 0.87 |
| FRMD5 | 0.0001708 | 4562 | GTEx | DepMap | Descartes | 0.07 | 2.99 |
| FDXR | 0.0000990 | 5141 | GTEx | DepMap | Descartes | 0.11 | 10.06 |
| SCAP | 0.0000802 | 5324 | GTEx | DepMap | Descartes | 0.15 | 7.04 |
| ERN1 | 0.0000680 | 5438 | GTEx | DepMap | Descartes | 0.07 | 1.82 |
| FREM2 | -0.0000931 | 7452 | GTEx | DepMap | Descartes | 0.00 | 0.00 |
| STAR | -0.0001077 | 7652 | GTEx | DepMap | Descartes | 0.01 | 0.90 |
| DNER | -0.0001388 | 8113 | GTEx | DepMap | Descartes | 0.21 | 11.89 |
| SLC16A9 | -0.0001442 | 8206 | GTEx | DepMap | Descartes | 0.08 | 4.48 |
| GRAMD1B | -0.0001611 | 8416 | GTEx | DepMap | Descartes | 0.02 | 0.52 |
| SLC1A2 | -0.0001681 | 8491 | GTEx | DepMap | Descartes | 0.18 | 3.71 |
| HMGCR | -0.0001818 | 8655 | GTEx | DepMap | Descartes | 0.21 | 11.14 |
| IGF1R | -0.0002140 | 9044 | GTEx | DepMap | Descartes | 0.23 | 3.94 |
Descartes chromaffin markers
Top 50 marker genes of chromaffin cells in the Decartes fetal adrenal single cell map (https://atlas.brotmanbaty.org/bbi/human-gene-expression-during-development/cell/chromaffin/in/adrenal)
Wilcoxon ranksum test P-value for gene set overrepresentation: 2.89e-01
Mean rank of genes in gene set: 5960.85
Median rank of genes in gene set: 7029
Rank on gene expression program of top 30 genes in gene set:
| Genes | Weight | Rank | GTEx | DepMap | Descartes | Mean.Counts | Mean.TPM |
|---|---|---|---|---|---|---|---|
| NPY | 0.0118555 | 3 | GTEx | DepMap | Descartes | 35.78 | 12686.38 |
| MLLT11 | 0.0076876 | 13 | GTEx | DepMap | Descartes | 12.81 | 1329.82 |
| GAP43 | 0.0056358 | 28 | GTEx | DepMap | Descartes | 8.26 | 1143.47 |
| NTRK1 | 0.0047607 | 54 | GTEx | DepMap | Descartes | 1.25 | 80.81 |
| ELAVL2 | 0.0036427 | 141 | GTEx | DepMap | Descartes | 1.64 | 120.55 |
| IL7 | 0.0034750 | 167 | GTEx | DepMap | Descartes | 1.32 | 176.69 |
| HS3ST5 | 0.0031763 | 206 | GTEx | DepMap | Descartes | 0.26 | 16.18 |
| CNTFR | 0.0026600 | 292 | GTEx | DepMap | Descartes | 1.24 | 132.63 |
| TUBB2A | 0.0025710 | 319 | GTEx | DepMap | Descartes | 3.41 | 436.72 |
| TUBB2B | 0.0020283 | 523 | GTEx | DepMap | Descartes | 19.04 | 2346.90 |
| TUBA1A | 0.0019090 | 576 | GTEx | DepMap | Descartes | 27.07 | 3202.63 |
| MAB21L1 | 0.0018834 | 596 | GTEx | DepMap | Descartes | 1.24 | 114.28 |
| MAB21L2 | 0.0013784 | 955 | GTEx | DepMap | Descartes | 0.90 | 95.04 |
| ISL1 | 0.0011459 | 1228 | GTEx | DepMap | Descartes | 2.00 | 176.64 |
| STMN2 | 0.0011142 | 1277 | GTEx | DepMap | Descartes | 30.46 | 3989.62 |
| SLC6A2 | 0.0010020 | 1468 | GTEx | DepMap | Descartes | 0.36 | 24.44 |
| REEP1 | 0.0008509 | 1775 | GTEx | DepMap | Descartes | 0.49 | 31.91 |
| RYR2 | 0.0005390 | 2700 | GTEx | DepMap | Descartes | 0.09 | 1.51 |
| MAP1B | 0.0001530 | 4728 | GTEx | DepMap | Descartes | 8.23 | 173.44 |
| BASP1 | 0.0001112 | 5038 | GTEx | DepMap | Descartes | 6.59 | 845.02 |
| CCND1 | -0.0000631 | 7029 | GTEx | DepMap | Descartes | 8.61 | 492.15 |
| RGMB | -0.0000757 | 7203 | GTEx | DepMap | Descartes | 0.52 | 23.26 |
| TMEM132C | -0.0000904 | 7418 | GTEx | DepMap | Descartes | 0.24 | 8.69 |
| MARCH11 | -0.0001245 | 7892 | GTEx | DepMap | Descartes | 1.26 | NA |
| KCNB2 | -0.0001525 | 8311 | GTEx | DepMap | Descartes | 0.12 | 8.73 |
| CNKSR2 | -0.0001879 | 8727 | GTEx | DepMap | Descartes | 0.12 | 3.17 |
| ALK | -0.0002772 | 9740 | GTEx | DepMap | Descartes | 0.08 | 3.14 |
| RPH3A | -0.0003288 | 10200 | GTEx | DepMap | Descartes | 0.02 | 1.23 |
| EPHA6 | -0.0004085 | 10817 | GTEx | DepMap | Descartes | 0.01 | 1.22 |
| EYA1 | -0.0004802 | 11208 | GTEx | DepMap | Descartes | 0.10 | 4.59 |
Descartes Vascular_endothelial markers
Top 50 marker genes of Vascular_endothelial cells in the Decartes fetal adrenal single cell map (https://atlas.brotmanbaty.org/bbi/human-gene-expression-during-development/cell/vascular_endothelial/in/adrenal)
Wilcoxon ranksum test P-value for gene set overrepresentation: 9.81e-01
Mean rank of genes in gene set: 7497.21
Median rank of genes in gene set: 8115.5
Rank on gene expression program of top 30 genes in gene set:
| Genes | Weight | Rank | GTEx | DepMap | Descartes | Mean.Counts | Mean.TPM |
|---|---|---|---|---|---|---|---|
| RAMP2 | 0.0021183 | 489 | GTEx | DepMap | Descartes | 1.01 | 283.52 |
| TEK | 0.0011736 | 1186 | GTEx | DepMap | Descartes | 0.01 | 0.39 |
| HYAL2 | 0.0007349 | 2071 | GTEx | DepMap | Descartes | 0.34 | 17.63 |
| CEACAM1 | 0.0002728 | 3931 | GTEx | DepMap | Descartes | 0.02 | 1.16 |
| NOTCH4 | 0.0002396 | 4126 | GTEx | DepMap | Descartes | 0.13 | 5.03 |
| NR5A2 | 0.0001330 | 4879 | GTEx | DepMap | Descartes | 0.00 | 0.10 |
| CDH13 | 0.0001006 | 5132 | GTEx | DepMap | Descartes | 0.06 | 1.63 |
| CLDN5 | 0.0000335 | 5823 | GTEx | DepMap | Descartes | 0.10 | 11.32 |
| TIE1 | -0.0000040 | 6247 | GTEx | DepMap | Descartes | 0.01 | 0.33 |
| TMEM88 | -0.0000096 | 6317 | GTEx | DepMap | Descartes | 0.06 | 14.26 |
| EHD3 | -0.0000360 | 6648 | GTEx | DepMap | Descartes | 0.03 | 1.14 |
| RASIP1 | -0.0000727 | 7156 | GTEx | DepMap | Descartes | 0.01 | 0.72 |
| SHANK3 | -0.0000822 | 7299 | GTEx | DepMap | Descartes | 0.02 | 0.61 |
| MYRIP | -0.0000859 | 7359 | GTEx | DepMap | Descartes | 0.02 | 1.00 |
| F8 | -0.0000888 | 7397 | GTEx | DepMap | Descartes | 0.01 | 0.16 |
| KANK3 | -0.0000937 | 7463 | GTEx | DepMap | Descartes | 0.00 | 0.22 |
| BTNL9 | -0.0001077 | 7653 | GTEx | DepMap | Descartes | 0.00 | 0.03 |
| CRHBP | -0.0001255 | 7910 | GTEx | DepMap | Descartes | 0.00 | 0.50 |
| FLT4 | -0.0001343 | 8053 | GTEx | DepMap | Descartes | 0.00 | 0.07 |
| ESM1 | -0.0001428 | 8178 | GTEx | DepMap | Descartes | 0.00 | 0.11 |
| CDH5 | -0.0001459 | 8230 | GTEx | DepMap | Descartes | 0.00 | 0.08 |
| NPR1 | -0.0001472 | 8237 | GTEx | DepMap | Descartes | 0.00 | 0.03 |
| IRX3 | -0.0001589 | 8386 | GTEx | DepMap | Descartes | 0.03 | 2.42 |
| PTPRB | -0.0001722 | 8541 | GTEx | DepMap | Descartes | 0.01 | 0.08 |
| KDR | -0.0001742 | 8566 | GTEx | DepMap | Descartes | 0.00 | 0.22 |
| GALNT15 | -0.0001805 | 8634 | GTEx | DepMap | Descartes | 0.00 | NA |
| PLVAP | -0.0002000 | 8880 | GTEx | DepMap | Descartes | 0.00 | 0.24 |
| ROBO4 | -0.0002096 | 8999 | GTEx | DepMap | Descartes | 0.00 | 0.14 |
| MMRN2 | -0.0002115 | 9016 | GTEx | DepMap | Descartes | 0.00 | 0.32 |
| SHE | -0.0002279 | 9228 | GTEx | DepMap | Descartes | 0.00 | 0.01 |
Descartes stromal markers
Top 50 marker genes of stromal cells in the Decartes fetal adrenal single cell map (https://atlas.brotmanbaty.org/bbi/human-gene-expression-during-development/cell/stromal/in/adrenal)
Wilcoxon ranksum test P-value for gene set overrepresentation: 1.00e+00
Mean rank of genes in gene set: 8657.91
Median rank of genes in gene set: 9124.5
Rank on gene expression program of top 30 genes in gene set:
| Genes | Weight | Rank | GTEx | DepMap | Descartes | Mean.Counts | Mean.TPM |
|---|---|---|---|---|---|---|---|
| FREM1 | 0.0002736 | 3924 | GTEx | DepMap | Descartes | 0.02 | 0.53 |
| ELN | 0.0002088 | 4302 | GTEx | DepMap | Descartes | 0.10 | 6.30 |
| C7 | 0.0000728 | 5399 | GTEx | DepMap | Descartes | 0.01 | 0.21 |
| LRRC17 | 0.0000479 | 5643 | GTEx | DepMap | Descartes | 0.01 | 0.91 |
| SFRP2 | -0.0000204 | 6448 | GTEx | DepMap | Descartes | 0.00 | 0.00 |
| ADAMTSL3 | -0.0000351 | 6631 | GTEx | DepMap | Descartes | 0.00 | 0.04 |
| LOX | -0.0000516 | 6866 | GTEx | DepMap | Descartes | 0.01 | 0.21 |
| SCARA5 | -0.0000523 | 6876 | GTEx | DepMap | Descartes | 0.00 | 0.01 |
| CD248 | -0.0000600 | 6990 | GTEx | DepMap | Descartes | 0.01 | 0.89 |
| ABCC9 | -0.0000669 | 7082 | GTEx | DepMap | Descartes | 0.00 | 0.04 |
| IGFBP3 | -0.0000864 | 7365 | GTEx | DepMap | Descartes | 0.01 | 1.07 |
| ITGA11 | -0.0001013 | 7577 | GTEx | DepMap | Descartes | 0.00 | 0.01 |
| RSPO3 | -0.0001018 | 7588 | GTEx | DepMap | Descartes | 0.00 | NA |
| GAS2 | -0.0001205 | 7836 | GTEx | DepMap | Descartes | 0.00 | 0.17 |
| POSTN | -0.0001327 | 8030 | GTEx | DepMap | Descartes | 0.01 | 0.51 |
| PAMR1 | -0.0001406 | 8139 | GTEx | DepMap | Descartes | 0.00 | 0.18 |
| DCN | -0.0001599 | 8397 | GTEx | DepMap | Descartes | 0.05 | 0.74 |
| ISLR | -0.0001707 | 8520 | GTEx | DepMap | Descartes | 0.00 | 0.09 |
| LAMC3 | -0.0001806 | 8636 | GTEx | DepMap | Descartes | 0.00 | 0.00 |
| CDH11 | -0.0001865 | 8705 | GTEx | DepMap | Descartes | 0.03 | 1.29 |
| CCDC80 | -0.0001920 | 8766 | GTEx | DepMap | Descartes | 0.02 | 0.28 |
| COL6A3 | -0.0002195 | 9114 | GTEx | DepMap | Descartes | 0.01 | 0.08 |
| ABCA6 | -0.0002214 | 9135 | GTEx | DepMap | Descartes | 0.00 | 0.10 |
| OGN | -0.0002287 | 9231 | GTEx | DepMap | Descartes | 0.00 | 0.04 |
| PRRX1 | -0.0002351 | 9301 | GTEx | DepMap | Descartes | 0.00 | 0.06 |
| COL1A1 | -0.0002408 | 9357 | GTEx | DepMap | Descartes | 0.09 | 2.08 |
| MGP | -0.0002420 | 9370 | GTEx | DepMap | Descartes | 0.07 | 6.93 |
| ACTA2 | -0.0002430 | 9383 | GTEx | DepMap | Descartes | 0.06 | 7.64 |
| COL1A2 | -0.0002468 | 9417 | GTEx | DepMap | Descartes | 0.06 | 1.52 |
| COL27A1 | -0.0002475 | 9423 | GTEx | DepMap | Descartes | 0.00 | 0.01 |
Descartes sympathoblasts markers
Top 50 marker genes of sympathoblasts cells in the Decartes fetal adrenal single cell map (https://atlas.brotmanbaty.org/bbi/human-gene-expression-during-development/cell/sympathoblasts/in/adrenal)
Wilcoxon ranksum test P-value for gene set overrepresentation: 6.89e-01
Mean rank of genes in gene set: 6563.89
Median rank of genes in gene set: 6458.5
Rank on gene expression program of top 30 genes in gene set:
| Genes | Weight | Rank | GTEx | DepMap | Descartes | Mean.Counts | Mean.TPM |
|---|---|---|---|---|---|---|---|
| PCSK1N | 0.0087172 | 10 | GTEx | DepMap | Descartes | 12.41 | 3113.42 |
| ARC | 0.0078137 | 12 | GTEx | DepMap | Descartes | 1.81 | 123.78 |
| CHGA | 0.0034224 | 172 | GTEx | DepMap | Descartes | 2.96 | 310.61 |
| SLC24A2 | 0.0027430 | 279 | GTEx | DepMap | Descartes | 0.03 | 0.46 |
| C1QL1 | 0.0024791 | 351 | GTEx | DepMap | Descartes | 1.82 | 285.44 |
| PACRG | 0.0020318 | 521 | GTEx | DepMap | Descartes | 0.11 | 12.00 |
| GCH1 | 0.0014704 | 866 | GTEx | DepMap | Descartes | 0.46 | 35.57 |
| KSR2 | 0.0007012 | 2161 | GTEx | DepMap | Descartes | 0.13 | 1.76 |
| HTATSF1 | 0.0006639 | 2275 | GTEx | DepMap | Descartes | 0.57 | 43.68 |
| MGAT4C | 0.0005828 | 2552 | GTEx | DepMap | Descartes | 0.20 | 2.11 |
| AGBL4 | 0.0005455 | 2669 | GTEx | DepMap | Descartes | 0.06 | 2.92 |
| SLC35F3 | 0.0003322 | 3621 | GTEx | DepMap | Descartes | 0.01 | 1.04 |
| CNTN3 | 0.0002875 | 3851 | GTEx | DepMap | Descartes | 0.02 | 0.97 |
| FAM155A | 0.0002681 | 3962 | GTEx | DepMap | Descartes | 0.21 | 4.95 |
| TENM1 | 0.0001233 | 4947 | GTEx | DepMap | Descartes | 0.07 | NA |
| DGKK | 0.0000985 | 5148 | GTEx | DepMap | Descartes | 0.04 | 0.90 |
| GRM7 | 0.0000877 | 5257 | GTEx | DepMap | Descartes | 0.01 | 0.67 |
| CHGB | 0.0000700 | 5421 | GTEx | DepMap | Descartes | 3.23 | 267.70 |
| SLC18A1 | -0.0000174 | 6417 | GTEx | DepMap | Descartes | 0.17 | 11.51 |
| PENK | -0.0000255 | 6500 | GTEx | DepMap | Descartes | 0.00 | 0.10 |
| SORCS3 | -0.0000962 | 7506 | GTEx | DepMap | Descartes | 0.01 | 0.64 |
| GALNTL6 | -0.0001349 | 8063 | GTEx | DepMap | Descartes | 0.02 | 0.76 |
| CCSER1 | -0.0001350 | 8066 | GTEx | DepMap | Descartes | 0.03 | NA |
| ST18 | -0.0002041 | 8937 | GTEx | DepMap | Descartes | 0.00 | 0.02 |
| TBX20 | -0.0002201 | 9120 | GTEx | DepMap | Descartes | 0.00 | 0.46 |
| PCSK2 | -0.0003223 | 10147 | GTEx | DepMap | Descartes | 0.04 | 1.91 |
| EML6 | -0.0004248 | 10926 | GTEx | DepMap | Descartes | 0.03 | 0.57 |
| TIAM1 | -0.0004360 | 10985 | GTEx | DepMap | Descartes | 0.12 | 4.05 |
| UNC80 | -0.0004871 | 11247 | GTEx | DepMap | Descartes | 0.14 | 2.13 |
| SPOCK3 | -0.0005456 | 11508 | GTEx | DepMap | Descartes | 0.04 | 2.70 |
Descartes erythroblasts markers
Top 50 marker genes of erythroblasts cells in the Decartes fetal adrenal single cell map (https://atlas.brotmanbaty.org/bbi/human-gene-expression-during-development/cell/erythroblasts/in/adrenal)
Wilcoxon ranksum test P-value for gene set overrepresentation: 8.98e-01
Mean rank of genes in gene set: 7126.83
Median rank of genes in gene set: 7091
Rank on gene expression program of top 30 genes in gene set:
| Genes | Weight | Rank | GTEx | DepMap | Descartes | Mean.Counts | Mean.TPM |
|---|---|---|---|---|---|---|---|
| SOX6 | 0.0012176 | 1133 | GTEx | DepMap | Descartes | 0.13 | 2.62 |
| TSPAN5 | 0.0010557 | 1370 | GTEx | DepMap | Descartes | 0.50 | 27.54 |
| FECH | 0.0006412 | 2343 | GTEx | DepMap | Descartes | 0.11 | 2.86 |
| TMCC2 | 0.0002813 | 3881 | GTEx | DepMap | Descartes | 0.06 | 3.25 |
| GCLC | 0.0001399 | 4815 | GTEx | DepMap | Descartes | 0.07 | 3.98 |
| SLC4A1 | 0.0001279 | 4908 | GTEx | DepMap | Descartes | 0.01 | 0.50 |
| BLVRB | 0.0001023 | 5114 | GTEx | DepMap | Descartes | 0.17 | 21.38 |
| ALAS2 | 0.0000872 | 5259 | GTEx | DepMap | Descartes | 0.04 | 2.15 |
| CPOX | 0.0000769 | 5354 | GTEx | DepMap | Descartes | 0.05 | 3.69 |
| TFR2 | 0.0000681 | 5436 | GTEx | DepMap | Descartes | 0.07 | 5.17 |
| SPECC1 | 0.0000086 | 6113 | GTEx | DepMap | Descartes | 0.06 | 1.88 |
| RHD | 0.0000001 | 6209 | GTEx | DepMap | Descartes | 0.00 | 0.05 |
| MICAL2 | -0.0000365 | 6657 | GTEx | DepMap | Descartes | 0.01 | 0.18 |
| SLC25A21 | -0.0000621 | 7011 | GTEx | DepMap | Descartes | 0.00 | 0.00 |
| RGS6 | -0.0000678 | 7091 | GTEx | DepMap | Descartes | 0.00 | 0.00 |
| SELENBP1 | -0.0000820 | 7297 | GTEx | DepMap | Descartes | 0.01 | 0.32 |
| ABCB10 | -0.0000918 | 7432 | GTEx | DepMap | Descartes | 0.04 | 1.87 |
| SLC25A37 | -0.0001117 | 7706 | GTEx | DepMap | Descartes | 0.27 | 12.31 |
| ANK1 | -0.0001156 | 7766 | GTEx | DepMap | Descartes | 0.06 | 1.48 |
| CAT | -0.0001550 | 8343 | GTEx | DepMap | Descartes | 0.09 | 8.00 |
| TRAK2 | -0.0002557 | 9511 | GTEx | DepMap | Descartes | 0.07 | 2.29 |
| XPO7 | -0.0002717 | 9693 | GTEx | DepMap | Descartes | 0.13 | 6.22 |
| SNCA | -0.0002734 | 9703 | GTEx | DepMap | Descartes | 0.39 | 25.02 |
| MARCH3 | -0.0003258 | 10174 | GTEx | DepMap | Descartes | 0.02 | NA |
| DENND4A | -0.0003643 | 10492 | GTEx | DepMap | Descartes | 0.13 | 3.35 |
| RAPGEF2 | -0.0003864 | 10660 | GTEx | DepMap | Descartes | 0.15 | 4.45 |
| EPB41 | -0.0005083 | 11355 | GTEx | DepMap | Descartes | 0.24 | 9.10 |
| SPTB | -0.0005343 | 11464 | GTEx | DepMap | Descartes | 0.04 | 0.87 |
| GYPC | -0.0011199 | 12388 | GTEx | DepMap | Descartes | 0.14 | 13.60 |
| NA | NA | NA | NA | NA | NA | NA | NA |
Descartes myeloid markers
Top 50 marker genes of myeloid cells in the Decartes fetal adrenal single cell map (https://atlas.brotmanbaty.org/bbi/human-gene-expression-during-development/cell/myeloid/in/adrenal)
Wilcoxon ranksum test P-value for gene set overrepresentation: 1.00e+00
Mean rank of genes in gene set: 9748.39
Median rank of genes in gene set: 10329
Rank on gene expression program of top 30 genes in gene set:
| Genes | Weight | Rank | GTEx | DepMap | Descartes | Mean.Counts | Mean.TPM |
|---|---|---|---|---|---|---|---|
| CD163L1 | 0.0026013 | 311 | GTEx | DepMap | Descartes | 0.64 | 32.22 |
| ADAP2 | 0.0003036 | 3778 | GTEx | DepMap | Descartes | 0.05 | 3.05 |
| CST3 | 0.0000444 | 5693 | GTEx | DepMap | Descartes | 1.95 | 119.37 |
| CPVL | 0.0000098 | 6096 | GTEx | DepMap | Descartes | 0.02 | 1.22 |
| SLC9A9 | -0.0001643 | 8447 | GTEx | DepMap | Descartes | 0.01 | 0.32 |
| ATP8B4 | -0.0001802 | 8629 | GTEx | DepMap | Descartes | 0.00 | 0.12 |
| SFMBT2 | -0.0002329 | 9279 | GTEx | DepMap | Descartes | 0.02 | 0.55 |
| CD14 | -0.0002511 | 9462 | GTEx | DepMap | Descartes | 0.10 | 8.04 |
| WWP1 | -0.0002536 | 9492 | GTEx | DepMap | Descartes | 0.06 | 2.74 |
| SPP1 | -0.0002771 | 9738 | GTEx | DepMap | Descartes | 2.86 | 242.43 |
| ABCA1 | -0.0002862 | 9828 | GTEx | DepMap | Descartes | 0.04 | 0.50 |
| CYBB | -0.0002885 | 9848 | GTEx | DepMap | Descartes | 0.03 | 1.00 |
| RGL1 | -0.0002973 | 9929 | GTEx | DepMap | Descartes | 0.02 | 1.06 |
| MARCH1 | -0.0003208 | 10133 | GTEx | DepMap | Descartes | 0.02 | NA |
| SLC1A3 | -0.0003293 | 10208 | GTEx | DepMap | Descartes | 0.01 | 0.37 |
| MERTK | -0.0003325 | 10229 | GTEx | DepMap | Descartes | 0.00 | 0.10 |
| MSR1 | -0.0003338 | 10239 | GTEx | DepMap | Descartes | 0.02 | 0.82 |
| RBPJ | -0.0003351 | 10250 | GTEx | DepMap | Descartes | 0.67 | 25.11 |
| CD163 | -0.0003379 | 10273 | GTEx | DepMap | Descartes | 0.01 | 0.18 |
| FGL2 | -0.0003524 | 10385 | GTEx | DepMap | Descartes | 0.03 | 0.96 |
| CSF1R | -0.0003642 | 10490 | GTEx | DepMap | Descartes | 0.01 | 0.45 |
| CTSB | -0.0003649 | 10496 | GTEx | DepMap | Descartes | 0.78 | 38.06 |
| FGD2 | -0.0003658 | 10499 | GTEx | DepMap | Descartes | 0.01 | 0.16 |
| IFNGR1 | -0.0003827 | 10627 | GTEx | DepMap | Descartes | 0.12 | 9.45 |
| CTSS | -0.0003864 | 10662 | GTEx | DepMap | Descartes | 0.10 | 3.61 |
| PTPRE | -0.0003893 | 10684 | GTEx | DepMap | Descartes | 0.06 | 2.29 |
| MS4A4A | -0.0003920 | 10701 | GTEx | DepMap | Descartes | 0.02 | 2.58 |
| CTSD | -0.0004030 | 10784 | GTEx | DepMap | Descartes | 0.81 | 64.60 |
| LGMN | -0.0004040 | 10789 | GTEx | DepMap | Descartes | 0.15 | 13.88 |
| SLCO2B1 | -0.0004215 | 10910 | GTEx | DepMap | Descartes | 0.01 | 0.33 |
Descartes Schwann markers
Top 50 marker genes of Schwann cells in the Decartes fetal adrenal single cell map (https://atlas.brotmanbaty.org/bbi/human-gene-expression-during-development/cell/schwann/in/adrenal)
Wilcoxon ranksum test P-value for gene set overrepresentation: 1.00e+00
Mean rank of genes in gene set: 8763.7
Median rank of genes in gene set: 9513
Rank on gene expression program of top 30 genes in gene set:
| Genes | Weight | Rank | GTEx | DepMap | Descartes | Mean.Counts | Mean.TPM |
|---|---|---|---|---|---|---|---|
| SORCS1 | 0.0028567 | 253 | GTEx | DepMap | Descartes | 0.32 | 11.58 |
| PPP2R2B | 0.0016865 | 709 | GTEx | DepMap | Descartes | 0.79 | 22.72 |
| PAG1 | 0.0012340 | 1111 | GTEx | DepMap | Descartes | 0.47 | 11.10 |
| GFRA3 | 0.0011419 | 1239 | GTEx | DepMap | Descartes | 0.92 | 107.70 |
| PMP22 | 0.0007054 | 2150 | GTEx | DepMap | Descartes | 1.35 | 139.92 |
| LRRTM4 | 0.0004689 | 2969 | GTEx | DepMap | Descartes | 0.07 | 5.13 |
| COL18A1 | 0.0000646 | 5464 | GTEx | DepMap | Descartes | 0.08 | 2.30 |
| IL1RAPL1 | 0.0000159 | 6026 | GTEx | DepMap | Descartes | 0.01 | 0.90 |
| IL1RAPL2 | -0.0000039 | 6244 | GTEx | DepMap | Descartes | 0.00 | 0.00 |
| XKR4 | -0.0000280 | 6532 | GTEx | DepMap | Descartes | 0.04 | 0.48 |
| HMGA2 | -0.0000312 | 6575 | GTEx | DepMap | Descartes | 0.00 | 0.00 |
| MDGA2 | -0.0001430 | 8186 | GTEx | DepMap | Descartes | 0.00 | 0.07 |
| COL5A2 | -0.0001569 | 8365 | GTEx | DepMap | Descartes | 0.01 | 0.42 |
| PTPRZ1 | -0.0001769 | 8594 | GTEx | DepMap | Descartes | 0.00 | 0.00 |
| MPZ | -0.0001986 | 8858 | GTEx | DepMap | Descartes | 0.04 | 4.99 |
| GAS7 | -0.0001998 | 8878 | GTEx | DepMap | Descartes | 0.01 | 0.24 |
| ERBB4 | -0.0002037 | 8932 | GTEx | DepMap | Descartes | 0.00 | 0.00 |
| EDNRB | -0.0002055 | 8953 | GTEx | DepMap | Descartes | 0.00 | 0.13 |
| OLFML2A | -0.0002179 | 9097 | GTEx | DepMap | Descartes | 0.00 | 0.04 |
| PLCE1 | -0.0002276 | 9223 | GTEx | DepMap | Descartes | 0.03 | 0.61 |
| PLP1 | -0.0002301 | 9250 | GTEx | DepMap | Descartes | 0.01 | 0.28 |
| ERBB3 | -0.0002493 | 9442 | GTEx | DepMap | Descartes | 0.01 | 0.30 |
| ADAMTS5 | -0.0002621 | 9584 | GTEx | DepMap | Descartes | 0.00 | 0.01 |
| TRPM3 | -0.0002676 | 9648 | GTEx | DepMap | Descartes | 0.01 | 0.13 |
| LAMC1 | -0.0002995 | 9952 | GTEx | DepMap | Descartes | 0.04 | 0.95 |
| VIM | -0.0003308 | 10219 | GTEx | DepMap | Descartes | 1.60 | 101.24 |
| STARD13 | -0.0003591 | 10451 | GTEx | DepMap | Descartes | 0.01 | 0.37 |
| GRIK3 | -0.0003697 | 10533 | GTEx | DepMap | Descartes | 0.01 | 0.15 |
| COL25A1 | -0.0004086 | 10819 | GTEx | DepMap | Descartes | 0.00 | 0.12 |
| NRXN3 | -0.0004532 | 11087 | GTEx | DepMap | Descartes | 0.01 | 0.14 |
Descartes Megakaryocytes markers
Top 50 marker genes of Megakaryocytes cells in the Decartes fetal adrenal single cell map (https://atlas.brotmanbaty.org/bbi/human-gene-expression-during-development/cell/megakaryocytes/in/adrenal)
Wilcoxon ranksum test P-value for gene set overrepresentation: 9.95e-01
Mean rank of genes in gene set: 7675.67
Median rank of genes in gene set: 8093
Rank on gene expression program of top 30 genes in gene set:
| Genes | Weight | Rank | GTEx | DepMap | Descartes | Mean.Counts | Mean.TPM |
|---|---|---|---|---|---|---|---|
| ZYX | 0.0017236 | 690 | GTEx | DepMap | Descartes | 0.37 | 34.98 |
| ACTB | 0.0013665 | 970 | GTEx | DepMap | Descartes | 21.84 | 2249.02 |
| TMSB4X | 0.0012333 | 1112 | GTEx | DepMap | Descartes | 70.22 | 9909.91 |
| HIPK2 | 0.0006732 | 2244 | GTEx | DepMap | Descartes | 0.42 | 5.67 |
| ITGA2B | 0.0004743 | 2946 | GTEx | DepMap | Descartes | 0.02 | 1.55 |
| STON2 | 0.0004676 | 2972 | GTEx | DepMap | Descartes | 0.10 | 4.59 |
| PRKAR2B | 0.0004392 | 3089 | GTEx | DepMap | Descartes | 0.50 | 32.47 |
| RAB27B | 0.0003375 | 3589 | GTEx | DepMap | Descartes | 0.10 | 3.81 |
| VCL | 0.0002986 | 3799 | GTEx | DepMap | Descartes | 0.12 | 3.33 |
| UBASH3B | 0.0000835 | 5291 | GTEx | DepMap | Descartes | 0.02 | 0.56 |
| ACTN1 | 0.0000563 | 5540 | GTEx | DepMap | Descartes | 0.41 | 19.55 |
| P2RX1 | 0.0000369 | 5780 | GTEx | DepMap | Descartes | 0.00 | 0.05 |
| TRPC6 | 0.0000042 | 6162 | GTEx | DepMap | Descartes | 0.00 | 0.00 |
| TUBB1 | -0.0000292 | 6550 | GTEx | DepMap | Descartes | 0.00 | 0.17 |
| FERMT3 | -0.0000353 | 6636 | GTEx | DepMap | Descartes | 0.03 | 1.69 |
| INPP4B | -0.0000492 | 6826 | GTEx | DepMap | Descartes | 0.03 | 0.84 |
| GP1BA | -0.0000511 | 6854 | GTEx | DepMap | Descartes | 0.00 | 0.04 |
| RAP1B | -0.0000610 | 7000 | GTEx | DepMap | Descartes | 0.27 | 4.35 |
| MED12L | -0.0001028 | 7597 | GTEx | DepMap | Descartes | 0.02 | 0.45 |
| ARHGAP6 | -0.0001221 | 7853 | GTEx | DepMap | Descartes | 0.00 | 0.01 |
| STOM | -0.0001268 | 7929 | GTEx | DepMap | Descartes | 0.08 | 4.81 |
| GSN | -0.0001271 | 7937 | GTEx | DepMap | Descartes | 0.12 | 3.47 |
| ITGB3 | -0.0001373 | 8093 | GTEx | DepMap | Descartes | 0.00 | 0.00 |
| MMRN1 | -0.0001405 | 8138 | GTEx | DepMap | Descartes | 0.00 | 0.02 |
| LTBP1 | -0.0001979 | 8851 | GTEx | DepMap | Descartes | 0.00 | 0.08 |
| SLC24A3 | -0.0002096 | 9001 | GTEx | DepMap | Descartes | 0.00 | 0.25 |
| MYLK | -0.0002129 | 9033 | GTEx | DepMap | Descartes | 0.02 | 0.32 |
| FLNA | -0.0002425 | 9375 | GTEx | DepMap | Descartes | 0.13 | 2.92 |
| TLN1 | -0.0002588 | 9545 | GTEx | DepMap | Descartes | 0.13 | 2.86 |
| SPN | -0.0003104 | 10045 | GTEx | DepMap | Descartes | 0.03 | 0.88 |
Descartes Lyphoid markers
Top 50 marker genes of Lyphoid cells in the Decartes fetal adrenal single cell map (https://atlas.brotmanbaty.org/bbi/human-gene-expression-during-development/cell/lymphoid/in/adrenal)
Wilcoxon ranksum test P-value for gene set overrepresentation: 1.00e+00
Mean rank of genes in gene set: 8993.62
Median rank of genes in gene set: 10850
Rank on gene expression program of top 30 genes in gene set:
| Genes | Weight | Rank | GTEx | DepMap | Descartes | Mean.Counts | Mean.TPM |
|---|---|---|---|---|---|---|---|
| TMSB10 | 0.0040392 | 103 | GTEx | DepMap | Descartes | 69.80 | 36411.23 |
| STK39 | 0.0031834 | 205 | GTEx | DepMap | Descartes | 0.61 | 49.12 |
| RAP1GAP2 | 0.0021786 | 469 | GTEx | DepMap | Descartes | 0.37 | 11.23 |
| GNG2 | 0.0017762 | 651 | GTEx | DepMap | Descartes | 1.06 | 72.65 |
| NCALD | 0.0013581 | 975 | GTEx | DepMap | Descartes | 0.28 | 23.26 |
| CD44 | 0.0010387 | 1405 | GTEx | DepMap | Descartes | 1.71 | 62.77 |
| LCP1 | 0.0003236 | 3677 | GTEx | DepMap | Descartes | 0.14 | 5.86 |
| FYN | 0.0002897 | 3838 | GTEx | DepMap | Descartes | 1.00 | 59.75 |
| BCL2 | 0.0000653 | 5458 | GTEx | DepMap | Descartes | 0.38 | 13.45 |
| RCSD1 | -0.0000811 | 7283 | GTEx | DepMap | Descartes | 0.02 | 0.57 |
| SKAP1 | -0.0001555 | 8349 | GTEx | DepMap | Descartes | 0.03 | 3.30 |
| PLEKHA2 | -0.0001656 | 8461 | GTEx | DepMap | Descartes | 0.05 | 1.45 |
| CCL5 | -0.0002321 | 9270 | GTEx | DepMap | Descartes | 0.13 | 17.27 |
| SAMD3 | -0.0003093 | 10037 | GTEx | DepMap | Descartes | 0.01 | 0.34 |
| SP100 | -0.0003430 | 10316 | GTEx | DepMap | Descartes | 0.03 | 1.04 |
| CELF2 | -0.0003820 | 10622 | GTEx | DepMap | Descartes | 0.42 | 12.62 |
| ARHGAP15 | -0.0003844 | 10641 | GTEx | DepMap | Descartes | 0.03 | 1.25 |
| MSN | -0.0003946 | 10721 | GTEx | DepMap | Descartes | 0.16 | 9.45 |
| CCND3 | -0.0004023 | 10776 | GTEx | DepMap | Descartes | 0.19 | 17.12 |
| PTPRC | -0.0004031 | 10786 | GTEx | DepMap | Descartes | 0.08 | 2.59 |
| ITPKB | -0.0004068 | 10804 | GTEx | DepMap | Descartes | 0.01 | 0.26 |
| PRKCH | -0.0004199 | 10896 | GTEx | DepMap | Descartes | 0.02 | 0.97 |
| ARID5B | -0.0004485 | 11057 | GTEx | DepMap | Descartes | 0.06 | 1.61 |
| MCTP2 | -0.0004641 | 11137 | GTEx | DepMap | Descartes | 0.02 | 0.53 |
| ETS1 | -0.0004651 | 11144 | GTEx | DepMap | Descartes | 0.04 | 1.11 |
| FOXP1 | -0.0004844 | 11231 | GTEx | DepMap | Descartes | 1.12 | 29.25 |
| WIPF1 | -0.0004864 | 11243 | GTEx | DepMap | Descartes | 0.12 | 4.49 |
| SORL1 | -0.0004884 | 11252 | GTEx | DepMap | Descartes | 0.18 | 3.35 |
| IKZF1 | -0.0004946 | 11290 | GTEx | DepMap | Descartes | 0.02 | 0.53 |
| ABLIM1 | -0.0004977 | 11308 | GTEx | DepMap | Descartes | 0.12 | 3.44 |
Below shows the ranks on this GEP for immune marker gene lists curated by CellTypist (https://www.celltypist.org/encyclopedia).
High ranks indicate this gene is a driver of this GEP.
These curated gene list are ranked by P-value (on this GEP) of their constituent genes.
The Mean Count column shows the mean read count in cells scoring highly (H > 50) on this gene expression program.
| Genes | Weight | Rank | GTEx | DepMap | Decartes | Mean.Counts | Mean.TPM |
|---|---|---|---|---|---|---|---|
| GATA2 | 0.0079030 | 11 | GTEx | DepMap | Descartes | 2.55 | 168.46 |
| ITGA2B | 0.0004743 | 2946 | GTEx | DepMap | Descartes | 0.02 | 1.55 |
HSC/MPP: Megakaryocyte-erythroid-mast cell progenitor (curated markers)
shared progenitors in the fetal liver which originate from common myeloid progenitors and differentiate into megakaryocytes:
Wilcoxon ranksum test P-value for gene set overrepresentation: 4.19e-02
Mean rank of genes in gene set: 11
Rank on gene expression program of genes in gene set:
| Genes | Weight | Rank | GTEx | DepMap | Decartes | Mean.Counts | Mean.TPM |
|---|---|---|---|---|---|---|---|
| GATA2 | 0.007903 | 11 | GTEx | DepMap | Descartes | 2.55 | 168.46 |
B cells: Transitional B cells (model markers)
immature B cell precursors in the bone marrow which connect Pre-B cells with mature naive B cells and are subject to the process of B cell selection:
Wilcoxon ranksum test P-value for gene set overrepresentation: 4.20e-02
Mean rank of genes in gene set: 16
Rank on gene expression program of genes in gene set:
| Genes | Weight | Rank | GTEx | DepMap | Decartes | Mean.Counts | Mean.TPM |
|---|---|---|---|---|---|---|---|
| GNG3 | 0.0071563 | 16 | GTEx | DepMap | Descartes | 4.46 | 1296.65 |