QQ-plot of gene loadings, averaged over both independent splits of the data
This plot highlights the relative contribution of each gene to the GEP
Top genes driving this program.
Note: Decartes website is buggy, try refreshing. Also, Decartes fetal adrenal data have been collected at specific time points (89-122 days), all possible cell types of interest may not be represented, do not overinterpret.
The Mean Count column shows the mean read count in cells scoring highly (H > 50) on this gene expression program.
Gene | Loading | Gene.Name | GTEx | DepMap | Descartes | Mean.Counts | Mean.Tpm | |
---|---|---|---|---|---|---|---|---|
1 | PHOX2A | 0.0027463 | paired like homeobox 2A | GTEx | DepMap | Descartes | 3.36 | 297.23 |
2 | DBH | 0.0027151 | dopamine beta-hydroxylase | GTEx | DepMap | Descartes | 6.77 | 173.84 |
3 | TH | 0.0026358 | tyrosine hydroxylase | GTEx | DepMap | Descartes | 5.56 | 57.49 |
4 | RGS4 | 0.0024621 | regulator of G protein signaling 4 | GTEx | DepMap | Descartes | 3.89 | 229.83 |
5 | SYTL4 | 0.0024415 | synaptotagmin like 4 | GTEx | DepMap | Descartes | 2.15 | 21.52 |
6 | HAND2 | 0.0024148 | heart and neural crest derivatives expressed 2 | GTEx | DepMap | Descartes | 1.98 | 210.43 |
7 | DDC | 0.0023882 | dopa decarboxylase | GTEx | DepMap | Descartes | 1.55 | 7.41 |
8 | HAND1 | 0.0023402 | heart and neural crest derivatives expressed 1 | GTEx | DepMap | Descartes | 1.37 | 137.38 |
9 | SLC18A2 | 0.0023155 | solute carrier family 18 member A2 | GTEx | DepMap | Descartes | 0.66 | 8.03 |
10 | NEFM | 0.0022375 | neurofilament medium chain | GTEx | DepMap | Descartes | 42.00 | 251.26 |
11 | GCH1 | 0.0022364 | GTP cyclohydrolase 1 | GTEx | DepMap | Descartes | 0.69 | 8.42 |
12 | CYB561 | 0.0022323 | cytochrome b561 | GTEx | DepMap | Descartes | 1.37 | 29.82 |
13 | DGKK | 0.0022056 | diacylglycerol kinase kappa | GTEx | DepMap | Descartes | 1.78 | 5.57 |
14 | SLC18A1 | 0.0021765 | solute carrier family 18 member A1 | GTEx | DepMap | Descartes | 0.69 | 6.79 |
15 | NEFL | 0.0021639 | neurofilament light chain | GTEx | DepMap | Descartes | 33.12 | 1500.94 |
16 | NDUFA4L2 | 0.0021457 | NDUFA4 mitochondrial complex associated like 2 | GTEx | DepMap | Descartes | 3.26 | 821.30 |
17 | GAP43 | 0.0021384 | growth associated protein 43 | GTEx | DepMap | Descartes | 22.24 | 55.56 |
18 | PTPRN | 0.0021332 | protein tyrosine phosphatase receptor type N | GTEx | DepMap | Descartes | 1.04 | 21.57 |
19 | UCHL1 | 0.0020723 | ubiquitin C-terminal hydrolase L1 | GTEx | DepMap | Descartes | 26.91 | 627.66 |
20 | EPAS1 | 0.0020196 | endothelial PAS domain protein 1 | GTEx | DepMap | Descartes | 0.75 | 4.71 |
21 | ISL1 | 0.0019781 | ISL LIM homeobox 1 | GTEx | DepMap | Descartes | 7.36 | 168.95 |
22 | CHGB | 0.0019626 | chromogranin B | GTEx | DepMap | Descartes | 15.57 | 620.91 |
23 | PHOX2B | 0.0019388 | paired like homeobox 2B | GTEx | DepMap | Descartes | 2.27 | 168.56 |
24 | TLX2 | 0.0018995 | T cell leukemia homeobox 2 | GTEx | DepMap | Descartes | 1.92 | 303.00 |
25 | CHGA | 0.0018935 | chromogranin A | GTEx | DepMap | Descartes | 6.83 | 329.60 |
26 | AGTR2 | 0.0018786 | angiotensin II receptor type 2 | GTEx | DepMap | Descartes | 2.59 | 244.86 |
27 | FKBP1B | 0.0018786 | FKBP prolyl isomerase 1B | GTEx | DepMap | Descartes | 3.57 | 79.70 |
28 | CFAP61 | 0.0018658 | cilia and flagella associated protein 61 | GTEx | DepMap | Descartes | 0.63 | 1.04 |
29 | ZDBF2 | 0.0017941 | zinc finger DBF-type containing 2 | GTEx | DepMap | Descartes | 2.72 | 26.75 |
30 | PCBP3 | 0.0017762 | poly(rC) binding protein 3 | GTEx | DepMap | Descartes | 3.00 | 4.26 |
31 | EML5 | 0.0017559 | EMAP like 5 | GTEx | DepMap | Descartes | 0.90 | 3.18 |
32 | GNAS | 0.0017077 | GNAS complex locus | GTEx | DepMap | Descartes | 39.67 | 182.19 |
33 | GALNT6 | 0.0016609 | polypeptide N-acetylgalactosaminyltransferase 6 | GTEx | DepMap | Descartes | 0.28 | 3.75 |
34 | GNB3 | 0.0016025 | G protein subunit beta 3 | GTEx | DepMap | Descartes | 0.21 | 16.86 |
35 | CCND1 | 0.0015920 | cyclin D1 | GTEx | DepMap | Descartes | 9.83 | 285.92 |
36 | SYN2 | 0.0015789 | synapsin II | GTEx | DepMap | Descartes | 1.61 | 3.37 |
37 | SLC31A1 | 0.0015592 | solute carrier family 31 member 1 | GTEx | DepMap | Descartes | 1.46 | 19.28 |
38 | SCTR | 0.0015206 | secretin receptor | GTEx | DepMap | Descartes | 0.18 | 1.35 |
39 | PPP1R17 | 0.0015105 | protein phosphatase 1 regulatory subunit 17 | GTEx | DepMap | Descartes | 1.86 | 41.60 |
40 | COX4I2 | 0.0015053 | cytochrome c oxidase subunit 4I2 | GTEx | DepMap | Descartes | 0.56 | 24.84 |
41 | PPP1R1C | 0.0014946 | protein phosphatase 1 regulatory inhibitor subunit 1C | GTEx | DepMap | Descartes | 2.22 | 3.85 |
42 | RAB3B | 0.0014793 | RAB3B, member RAS oncogene family | GTEx | DepMap | Descartes | 0.81 | 3.78 |
43 | ARHGAP36 | 0.0014698 | Rho GTPase activating protein 36 | GTEx | DepMap | Descartes | 0.47 | 5.77 |
44 | SCNN1B | 0.0014672 | sodium channel epithelial 1 subunit beta | GTEx | DepMap | Descartes | 0.30 | 3.39 |
45 | NRK | 0.0014671 | Nik related kinase | GTEx | DepMap | Descartes | 2.46 | 12.34 |
46 | C2CD4B | 0.0014597 | C2 calcium dependent domain containing 4B | GTEx | DepMap | Descartes | 0.35 | 100.88 |
47 | CACNG3 | 0.0014290 | calcium voltage-gated channel auxiliary subunit gamma 3 | GTEx | DepMap | Descartes | 0.53 | 2.02 |
48 | HAP1 | 0.0014207 | huntingtin associated protein 1 | GTEx | DepMap | Descartes | 0.91 | 45.19 |
49 | PIRT | 0.0014041 | phosphoinositide interacting regulator of transient receptor potential channels | GTEx | DepMap | Descartes | 2.20 | 30.56 |
50 | SNCG | 0.0013959 | synuclein gamma | GTEx | DepMap | Descartes | 21.12 | 818.49 |
UMAP plots showing activity of gene expression program identified in GEP 17. Peripheral Nervous System IV:
Gene set Enrichments for this program, caculated from top 50 genes
mSigDB Cell Types Gene Set:
P-value | OR | Lower 95% CI | FDR | FWER | Genes Found | Gene Set Size | |
---|---|---|---|---|---|---|---|
DESCARTES_FETAL_HEART_VISCERAL_NEURONS | 3.57e-20 | 91.19 | 42.75 | 2.40e-17 | 2.40e-17 | 13PHOX2A, DBH, TH, RGS4, DDC, SLC18A1, ISL1, CHGB, PHOX2B, PCBP3, EML5, RAB3B, PIRT |
87 |
DESCARTES_MAIN_FETAL_SYMPATHOBLASTS | 1.93e-14 | 87.87 | 35.59 | 6.49e-12 | 1.30e-11 | 9DBH, TH, GCH1, CYB561, SLC18A1, CHGB, CHGA, ZDBF2, PPP1R17 |
57 |
DESCARTES_FETAL_INTESTINE_ENS_NEURONS | 2.54e-10 | 27.99 | 11.76 | 5.68e-08 | 1.70e-07 | 9PHOX2A, DBH, TH, NEFM, GAP43, UCHL1, TLX2, EML5, PIRT |
160 |
DESCARTES_FETAL_PANCREAS_ENS_NEURONS | 8.02e-09 | 23.68 | 9.45 | 1.34e-06 | 5.38e-06 | 8PHOX2A, DBH, GAP43, UCHL1, TLX2, PCBP3, EML5, PIRT |
163 |
DESCARTES_FETAL_STOMACH_ENS_NEURONS | 1.30e-06 | 31.01 | 9.33 | 8.75e-05 | 8.75e-04 | 5GAP43, UCHL1, PCBP3, EML5, SYN2 |
74 |
DESCARTES_FETAL_STOMACH_NEUROENDOCRINE_CELLS | 8.27e-06 | 36.41 | 9.14 | 3.97e-04 | 5.55e-03 | 4RGS4, SLC18A1, CHGA, HAP1 |
50 |
BUSSLINGER_DUODENAL_EC_CELLS | 6.92e-05 | 43.87 | 8.25 | 2.45e-03 | 4.65e-02 | 3DDC, CHGB, CHGA |
31 |
BUSSLINGER_GASTRIC_OXYNTIC_ENTEROCHROMAFFIN_LIKE_CELLS | 2.59e-06 | 26.76 | 8.08 | 1.58e-04 | 1.74e-03 | 5SLC18A2, PTPRN, CHGB, CHGA, RAB3B |
85 |
TRAVAGLINI_LUNG_NEUROENDOCRINE_CELL | 9.03e-07 | 21.53 | 7.36 | 7.58e-05 | 6.06e-04 | 6DDC, PTPRN, UCHL1, CHGB, PCBP3, PPP1R17 |
128 |
BUSSLINGER_GASTRIC_G_CELLS | 5.22e-06 | 23.00 | 6.97 | 2.69e-04 | 3.50e-03 | 5DDC, ISL1, CHGB, RAB3B, HAP1 |
98 |
DESCARTES_FETAL_LUNG_VISCERAL_NEURONS | 1.08e-06 | 15.31 | 5.74 | 8.03e-05 | 7.23e-04 | 7PHOX2A, NEFM, GAP43, PHOX2B, EML5, SYN2, PIRT |
212 |
DESCARTES_FETAL_ADRENAL_CHROMAFFIN_CELLS | 1.34e-05 | 18.78 | 5.71 | 5.29e-04 | 8.99e-03 | 5HAND1, GAP43, ISL1, CCND1, PIRT |
119 |
MANNO_MIDBRAIN_NEUROTYPES_HSERT | 1.26e-08 | 12.39 | 5.68 | 1.69e-06 | 8.44e-06 | 11DDC, SLC18A2, GCH1, GAP43, UCHL1, CHGB, CHGA, FKBP1B, SYN2, RAB3B, SNCG |
450 |
MANNO_MIDBRAIN_NEUROTYPES_HOMTN | 4.05e-08 | 12.71 | 5.63 | 4.53e-06 | 2.72e-05 | 10PHOX2A, DBH, NEFM, NEFL, GAP43, UCHL1, ISL1, PHOX2B, CHGA, SNCG |
389 |
DESCARTES_FETAL_LUNG_NEUROENDOCRINE_CELLS | 8.08e-05 | 19.72 | 5.04 | 2.71e-03 | 5.42e-02 | 4RGS4, DDC, SLC18A1, CHGA |
89 |
HU_FETAL_RETINA_RGC | 1.33e-07 | 11.13 | 4.93 | 1.27e-05 | 8.91e-05 | 10NEFM, NEFL, GAP43, UCHL1, ISL1, CHGB, FKBP1B, PPP1R1C, RAB3B, SNCG |
443 |
BUSSLINGER_DUODENAL_K_CELLS | 1.21e-03 | 44.53 | 4.88 | 3.00e-02 | 8.10e-01 | 2CHGA, HAP1 |
20 |
DESCARTES_FETAL_PANCREAS_ISLET_ENDOCRINE_CELLS | 6.93e-05 | 13.13 | 4.02 | 2.45e-03 | 4.65e-02 | 5RGS4, DDC, PTPRN, ISL1, CHGA |
168 |
DESCARTES_FETAL_INTESTINE_CHROMAFFIN_CELLS | 1.96e-04 | 15.52 | 3.99 | 5.98e-03 | 1.32e-01 | 4GCH1, SLC18A1, CHGA, RAB3B |
112 |
DESCARTES_MAIN_FETAL_ISLET_ENDOCRINE_CELLS | 6.88e-04 | 19.22 | 3.73 | 1.85e-02 | 4.61e-01 | 3PTPRN, GNAS, RAB3B |
67 |
Dowload full table
mSigDB Hallmark Gene Sets:
P-value | OR | Lower 95% CI | FDR | FWER | Genes Found | Gene Set Size | |
---|---|---|---|---|---|---|---|
HALLMARK_PANCREAS_BETA_CELLS | 4.78e-03 | 21.11 | 2.40 | 2.39e-01 | 2.39e-01 | 2ISL1, CHGA |
40 |
HALLMARK_APOPTOSIS | 6.42e-02 | 5.05 | 0.59 | 6.64e-01 | 1.00e+00 | 2GCH1, CCND1 |
161 |
HALLMARK_TNFA_SIGNALING_VIA_NFKB | 9.29e-02 | 4.06 | 0.47 | 6.64e-01 | 1.00e+00 | 2GCH1, CCND1 |
200 |
HALLMARK_ESTROGEN_RESPONSE_LATE | 9.29e-02 | 4.06 | 0.47 | 6.64e-01 | 1.00e+00 | 2TH, CCND1 |
200 |
HALLMARK_INFLAMMATORY_RESPONSE | 9.29e-02 | 4.06 | 0.47 | 6.64e-01 | 1.00e+00 | 2GCH1, SLC31A1 |
200 |
HALLMARK_XENOBIOTIC_METABOLISM | 9.29e-02 | 4.06 | 0.47 | 6.64e-01 | 1.00e+00 | 2DDC, GCH1 |
200 |
HALLMARK_NOTCH_SIGNALING | 7.95e-02 | 12.68 | 0.31 | 6.64e-01 | 1.00e+00 | 1CCND1 |
32 |
HALLMARK_PROTEIN_SECRETION | 2.20e-01 | 4.14 | 0.10 | 1.00e+00 | 1.00e+00 | 1GNAS |
96 |
HALLMARK_ANDROGEN_RESPONSE | 2.28e-01 | 3.97 | 0.10 | 1.00e+00 | 1.00e+00 | 1CCND1 |
100 |
HALLMARK_UV_RESPONSE_DN | 3.10e-01 | 2.75 | 0.07 | 1.00e+00 | 1.00e+00 | 1RGS4 |
144 |
HALLMARK_UV_RESPONSE_UP | 3.35e-01 | 2.51 | 0.06 | 1.00e+00 | 1.00e+00 | 1GCH1 |
158 |
HALLMARK_G2M_CHECKPOINT | 4.03e-01 | 1.98 | 0.05 | 1.00e+00 | 1.00e+00 | 1CCND1 |
200 |
HALLMARK_ADIPOGENESIS | 4.03e-01 | 1.98 | 0.05 | 1.00e+00 | 1.00e+00 | 1SNCG |
200 |
HALLMARK_ESTROGEN_RESPONSE_EARLY | 4.03e-01 | 1.98 | 0.05 | 1.00e+00 | 1.00e+00 | 1CCND1 |
200 |
HALLMARK_MYOGENESIS | 4.03e-01 | 1.98 | 0.05 | 1.00e+00 | 1.00e+00 | 1FKBP1B |
200 |
HALLMARK_INTERFERON_GAMMA_RESPONSE | 4.03e-01 | 1.98 | 0.05 | 1.00e+00 | 1.00e+00 | 1GCH1 |
200 |
HALLMARK_EPITHELIAL_MESENCHYMAL_TRANSITION | 4.03e-01 | 1.98 | 0.05 | 1.00e+00 | 1.00e+00 | 1RGS4 |
200 |
HALLMARK_HYPOXIA | 1.00e+00 | 0.00 | 0.00 | 1.00e+00 | 1.00e+00 | 0 |
200 |
HALLMARK_CHOLESTEROL_HOMEOSTASIS | 1.00e+00 | 0.00 | 0.00 | 1.00e+00 | 1.00e+00 | 0 |
74 |
HALLMARK_MITOTIC_SPINDLE | 1.00e+00 | 0.00 | 0.00 | 1.00e+00 | 1.00e+00 | 0 |
199 |
Dowload full table
KEGG Pathways:
P-value | OR | Lower 95% CI | FDR | FWER | Genes Found | Gene Set Size | |
---|---|---|---|---|---|---|---|
KEGG_PARKINSONS_DISEASE | 9.89e-07 | 21.20 | 7.25 | 1.84e-04 | 1.84e-04 | 6TH, SLC18A2, SLC18A1, NDUFA4L2, UCHL1, COX4I2 |
130 |
KEGG_TYROSINE_METABOLISM | 1.73e-04 | 31.51 | 6.02 | 1.61e-02 | 3.22e-02 | 3DBH, TH, DDC |
42 |
KEGG_TASTE_TRANSDUCTION | 3.27e-04 | 25.10 | 4.83 | 2.03e-02 | 6.08e-02 | 3GNAS, GNB3, SCNN1B |
52 |
KEGG_AMYOTROPHIC_LATERAL_SCLEROSIS_ALS | 8.26e-03 | 15.74 | 1.81 | 3.84e-01 | 1.00e+00 | 2NEFM, NEFL |
53 |
KEGG_LONG_TERM_DEPRESSION | 1.41e-02 | 11.81 | 1.36 | 4.36e-01 | 1.00e+00 | 2GNAS, PPP1R17 |
70 |
KEGG_HUNTINGTONS_DISEASE | 1.13e-02 | 6.87 | 1.36 | 4.22e-01 | 1.00e+00 | 3NDUFA4L2, COX4I2, HAP1 |
182 |
KEGG_CARDIAC_MUSCLE_CONTRACTION | 1.77e-02 | 10.43 | 1.21 | 4.69e-01 | 1.00e+00 | 2COX4I2, CACNG3 |
79 |
KEGG_DILATED_CARDIOMYOPATHY | 2.25e-02 | 9.13 | 1.06 | 5.24e-01 | 1.00e+00 | 2GNAS, CACNG3 |
90 |
KEGG_FOLATE_BIOSYNTHESIS | 2.81e-02 | 39.28 | 0.89 | 5.80e-01 | 1.00e+00 | 1GCH1 |
11 |
KEGG_OXIDATIVE_PHOSPHORYLATION | 4.53e-02 | 6.18 | 0.72 | 7.06e-01 | 1.00e+00 | 2NDUFA4L2, COX4I2 |
132 |
KEGG_RENIN_ANGIOTENSIN_SYSTEM | 4.31e-02 | 24.57 | 0.57 | 7.06e-01 | 1.00e+00 | 1AGTR2 |
17 |
KEGG_ALZHEIMERS_DISEASE | 6.77e-02 | 4.90 | 0.57 | 8.68e-01 | 1.00e+00 | 2NDUFA4L2, COX4I2 |
166 |
KEGG_PHENYLALANINE_METABOLISM | 4.55e-02 | 23.13 | 0.54 | 7.06e-01 | 1.00e+00 | 1DDC |
18 |
KEGG_NEUROACTIVE_LIGAND_RECEPTOR_INTERACTION | 1.53e-01 | 2.98 | 0.35 | 9.25e-01 | 1.00e+00 | 2AGTR2, SCTR |
272 |
KEGG_HISTIDINE_METABOLISM | 7.23e-02 | 14.05 | 0.34 | 8.68e-01 | 1.00e+00 | 1DDC |
29 |
KEGG_THYROID_CANCER | 7.23e-02 | 14.05 | 0.34 | 8.68e-01 | 1.00e+00 | 1CCND1 |
29 |
KEGG_O_GLYCAN_BIOSYNTHESIS | 7.47e-02 | 13.56 | 0.33 | 8.68e-01 | 1.00e+00 | 1GALNT6 |
30 |
KEGG_PATHWAYS_IN_CANCER | 2.00e-01 | 2.49 | 0.29 | 9.65e-01 | 1.00e+00 | 2EPAS1, CCND1 |
325 |
KEGG_TRYPTOPHAN_METABOLISM | 9.83e-02 | 10.09 | 0.24 | 9.25e-01 | 1.00e+00 | 1DDC |
40 |
KEGG_ALDOSTERONE_REGULATED_SODIUM_REABSORPTION | 1.03e-01 | 9.59 | 0.23 | 9.25e-01 | 1.00e+00 | 1SCNN1B |
42 |
Dowload full table
CHR Positional Gene Sets:
P-value | OR | Lower 95% CI | FDR | FWER | Genes Found | Gene Set Size | |
---|---|---|---|---|---|---|---|
chr4p13 | 2.90e-03 | 27.68 | 3.11 | 6.05e-01 | 8.06e-01 | 2UCHL1, PHOX2B |
31 |
chr8p21 | 4.35e-03 | 9.84 | 1.93 | 6.05e-01 | 1.00e+00 | 3NEFM, SLC18A1, NEFL |
128 |
chr16p12 | 6.63e-02 | 4.96 | 0.58 | 1.00e+00 | 1.00e+00 | 2SCNN1B, CACNG3 |
164 |
chrXq22 | 6.98e-02 | 4.81 | 0.56 | 1.00e+00 | 1.00e+00 | 2SYTL4, NRK |
169 |
chr12q13 | 2.76e-01 | 1.98 | 0.23 | 1.00e+00 | 1.00e+00 | 2NDUFA4L2, GALNT6 |
407 |
chr11q13 | 2.89e-01 | 1.92 | 0.22 | 1.00e+00 | 1.00e+00 | 2PHOX2A, CCND1 |
421 |
chr9q32 | 1.14e-01 | 8.55 | 0.21 | 1.00e+00 | 1.00e+00 | 1SLC31A1 |
47 |
chr14q31 | 1.35e-01 | 7.15 | 0.17 | 1.00e+00 | 1.00e+00 | 1EML5 |
56 |
chr7p12 | 1.39e-01 | 6.90 | 0.17 | 1.00e+00 | 1.00e+00 | 1DDC |
58 |
chr17p12 | 1.50e-01 | 6.34 | 0.16 | 1.00e+00 | 1.00e+00 | 1PIRT |
63 |
chr2p21 | 1.87e-01 | 4.98 | 0.12 | 1.00e+00 | 1.00e+00 | 1EPAS1 |
80 |
chr5q11 | 1.97e-01 | 4.68 | 0.11 | 1.00e+00 | 1.00e+00 | 1ISL1 |
85 |
chrXq23 | 2.05e-01 | 4.47 | 0.11 | 1.00e+00 | 1.00e+00 | 1AGTR2 |
89 |
chr14q22 | 2.08e-01 | 4.42 | 0.11 | 1.00e+00 | 1.00e+00 | 1GCH1 |
90 |
chr20p12 | 2.36e-01 | 3.82 | 0.09 | 1.00e+00 | 1.00e+00 | 1CHGB |
104 |
chr5q33 | 2.45e-01 | 3.64 | 0.09 | 1.00e+00 | 1.00e+00 | 1HAND1 |
109 |
chr17q23 | 2.51e-01 | 3.54 | 0.09 | 1.00e+00 | 1.00e+00 | 1CYB561 |
112 |
chr15q22 | 2.74e-01 | 3.20 | 0.08 | 1.00e+00 | 1.00e+00 | 1C2CD4B |
124 |
chr10q25 | 2.78e-01 | 3.15 | 0.08 | 1.00e+00 | 1.00e+00 | 1SLC18A2 |
126 |
chr2q35 | 2.78e-01 | 3.15 | 0.08 | 1.00e+00 | 1.00e+00 | 1PTPRN |
126 |
Dowload full table
Transcription Factor Targets:
P-value | OR | Lower 95% CI | FDR | FWER | Genes Found | Gene Set Size | |
---|---|---|---|---|---|---|---|
CAGNWMCNNNGAC_UNKNOWN | 7.74e-05 | 19.95 | 5.10 | 2.92e-02 | 8.76e-02 | 4NEFM, PTPRN, CHGB, CHGA |
88 |
ATF1_Q6 | 3.02e-05 | 11.38 | 3.92 | 2.56e-02 | 3.42e-02 | 6TH, HAND1, SLC18A2, ISL1, CHGB, CCND1 |
237 |
WYAAANNRNNNGCG_UNKNOWN | 6.29e-04 | 19.82 | 3.85 | 6.48e-02 | 7.13e-01 | 3PHOX2A, NEFM, NDUFA4L2 |
65 |
E47_01 | 4.52e-05 | 10.56 | 3.64 | 2.56e-02 | 5.12e-02 | 6NDUFA4L2, ISL1, GNAS, GNB3, PPP1R17, ARHGAP36 |
255 |
CGTSACG_PAX3_B | 5.76e-04 | 11.56 | 2.98 | 6.48e-02 | 6.53e-01 | 4SLC18A2, CHGB, GNAS, NRK |
149 |
ATF3_Q6 | 4.56e-04 | 8.64 | 2.65 | 6.48e-02 | 5.17e-01 | 5SLC18A2, ISL1, CHGB, PHOX2B, CCND1 |
253 |
SP1_Q4_01 | 5.07e-04 | 8.43 | 2.59 | 6.48e-02 | 5.74e-01 | 5PHOX2A, NEFM, TLX2, ARHGAP36, HAP1 |
259 |
CREBP1_Q2 | 5.16e-04 | 8.40 | 2.58 | 6.48e-02 | 5.84e-01 | 5TH, SLC18A2, CHGB, GNAS, SLC31A1 |
260 |
SP1_Q6 | 5.16e-04 | 8.40 | 2.58 | 6.48e-02 | 5.84e-01 | 5PHOX2A, NEFM, TLX2, ARHGAP36, HAP1 |
260 |
NRSF_01 | 2.00e-03 | 13.08 | 2.56 | 1.51e-01 | 1.00e+00 | 3NEFM, PTPRN, CHGA |
97 |
NCX_01 | 1.07e-03 | 9.75 | 2.52 | 9.30e-02 | 1.00e+00 | 4GAP43, ISL1, PHOX2B, GNAS |
176 |
GATA_C | 5.91e-04 | 8.14 | 2.50 | 6.48e-02 | 6.69e-01 | 5PHOX2A, SLC18A1, NDUFA4L2, ISL1, GNB3 |
268 |
YYCATTCAWW_UNKNOWN | 1.47e-03 | 8.92 | 2.31 | 1.19e-01 | 1.00e+00 | 4GAP43, AGTR2, CCND1, NRK |
192 |
WGTTNNNNNAAA_UNKNOWN | 4.44e-04 | 5.74 | 2.17 | 6.48e-02 | 5.03e-01 | 7HAND2, NEFM, GCH1, NDUFA4L2, PHOX2B, AGTR2, NRK |
554 |
OCT1_02 | 2.17e-03 | 7.98 | 2.07 | 1.54e-01 | 1.00e+00 | 4GAP43, PTPRN, PHOX2B, NRK |
214 |
CHX10_01 | 2.72e-03 | 7.48 | 1.94 | 1.81e-01 | 1.00e+00 | 4NDUFA4L2, GAP43, PHOX2B, ARHGAP36 |
228 |
ISL1_TARGET_GENES | 7.52e-04 | 4.62 | 1.87 | 7.10e-02 | 8.52e-01 | 8HAND2, CYB561, DGKK, UCHL1, ISL1, CHGB, PHOX2B, PPP1R1C |
803 |
CHOP_01 | 3.22e-03 | 7.13 | 1.85 | 2.03e-01 | 1.00e+00 | 4NDUFA4L2, ISL1, PHOX2B, GNB3 |
239 |
CIZ_01 | 3.99e-03 | 6.71 | 1.74 | 2.24e-01 | 1.00e+00 | 4PHOX2B, CCND1, SYN2, CACNG3 |
254 |
HNF1_Q6 | 4.10e-03 | 6.65 | 1.73 | 2.24e-01 | 1.00e+00 | 4ISL1, PHOX2B, AGTR2, NRK |
256 |
Dowload full table
GO Biological Processes:
P-value | OR | Lower 95% CI | FDR | FWER | Genes Found | Gene Set Size | |
---|---|---|---|---|---|---|---|
GOBP_NEUROTRANSMITTER_LOADING_INTO_SYNAPTIC_VESICLE | 2.75e-09 | 412.60 | 75.03 | 2.28e-06 | 2.06e-05 | 4TH, DDC, SLC18A2, SLC18A1 |
8 |
GOBP_CATECHOL_CONTAINING_COMPOUND_BIOSYNTHETIC_PROCESS | 8.23e-12 | 186.65 | 56.15 | 3.08e-08 | 6.16e-08 | 6DBH, TH, HAND2, DDC, GCH1, AGTR2 |
20 |
GOBP_DOPAMINE_BIOSYNTHETIC_PROCESS | 1.29e-08 | 238.50 | 49.33 | 7.41e-06 | 9.63e-05 | 4TH, DDC, GCH1, AGTR2 |
11 |
GOBP_NORADRENERGIC_NEURON_DIFFERENTIATION | 5.65e-07 | 303.55 | 43.50 | 1.76e-04 | 4.23e-03 | 3PHOX2A, HAND2, PHOX2B |
7 |
GOBP_NOREPINEPHRINE_BIOSYNTHETIC_PROCESS | 5.65e-07 | 303.55 | 43.50 | 1.76e-04 | 4.23e-03 | 3DBH, TH, HAND2 |
7 |
GOBP_NOREPINEPHRINE_METABOLIC_PROCESS | 2.78e-08 | 184.41 | 40.22 | 1.38e-05 | 2.08e-04 | 4DBH, TH, HAND2, EPAS1 |
13 |
GOBP_AMINE_BIOSYNTHETIC_PROCESS | 6.64e-10 | 79.32 | 25.92 | 1.24e-06 | 4.96e-06 | 6DBH, TH, HAND2, DDC, GCH1, AGTR2 |
39 |
GOBP_CATECHOL_CONTAINING_COMPOUND_METABOLIC_PROCESS | 6.01e-11 | 69.44 | 25.08 | 1.50e-07 | 4.50e-07 | 7DBH, TH, HAND2, DDC, GCH1, EPAS1, AGTR2 |
52 |
GOBP_PHENOL_CONTAINING_COMPOUND_BIOSYNTHETIC_PROCESS | 1.23e-09 | 70.80 | 23.26 | 1.84e-06 | 9.19e-06 | 6DBH, TH, HAND2, DDC, GCH1, AGTR2 |
43 |
GOBP_AMINE_TRANSPORT | 2.09e-12 | 49.69 | 20.60 | 1.57e-08 | 1.57e-08 | 9TH, RGS4, DDC, SLC18A2, SLC18A1, CHGA, AGTR2, RAB3B, SNCG |
94 |
GOBP_DOPAMINE_METABOLIC_PROCESS | 4.40e-08 | 64.76 | 18.88 | 1.93e-05 | 3.29e-04 | 5DBH, TH, DDC, GCH1, AGTR2 |
38 |
GOBP_ENTERIC_NERVOUS_SYSTEM_DEVELOPMENT | 7.23e-06 | 102.42 | 17.93 | 1.64e-03 | 5.41e-02 | 3PHOX2A, PHOX2B, TLX2 |
15 |
GOBP_REGULATION_OF_SECONDARY_HEART_FIELD_CARDIOBLAST_PROLIFERATION | 9.77e-05 | 199.39 | 17.66 | 1.18e-02 | 7.31e-01 | 2HAND2, ISL1 |
6 |
GOBP_RESPONSE_TO_AMPHETAMINE | 1.03e-06 | 64.32 | 15.70 | 2.79e-04 | 7.68e-03 | 4DBH, TH, RGS4, SLC18A2 |
30 |
GOBP_ALKALOID_METABOLIC_PROCESS | 1.36e-04 | 159.06 | 14.87 | 1.48e-02 | 1.00e+00 | 2TH, DDC |
7 |
GOBP_INTERMEDIATE_FILAMENT_BUNDLE_ASSEMBLY | 1.36e-04 | 159.06 | 14.87 | 1.48e-02 | 1.00e+00 | 2NEFM, NEFL |
7 |
GOBP_RESPONSE_TO_MINERALOCORTICOID | 1.34e-06 | 59.75 | 14.64 | 3.46e-04 | 1.00e-02 | 4TH, NEFL, CCND1, SCNN1B |
32 |
GOBP_CARDIAC_RIGHT_VENTRICLE_MORPHOGENESIS | 1.79e-05 | 72.12 | 13.13 | 3.53e-03 | 1.34e-01 | 3HAND2, HAND1, ISL1 |
20 |
GOBP_RESPONSE_TO_CORTICOSTERONE | 1.79e-05 | 72.12 | 13.13 | 3.53e-03 | 1.34e-01 | 3TH, NEFL, CCND1 |
20 |
GOBP_CARDIOBLAST_PROLIFERATION | 1.82e-04 | 133.25 | 12.84 | 1.83e-02 | 1.00e+00 | 2HAND2, ISL1 |
8 |
Dowload full table
Immunological Gene Sets:
P-value | OR | Lower 95% CI | FDR | FWER | Genes Found | Gene Set Size | |
---|---|---|---|---|---|---|---|
GSE18893_CTRL_VS_TNF_TREATED_TREG_24H_UP | 1.56e-04 | 10.98 | 3.37 | 4.60e-01 | 7.61e-01 | 5DDC, GCH1, UCHL1, SCTR, C2CD4B |
200 |
GSE4590_PRE_BCELL_VS_VPREB_POS_LARGE_PRE_BCELL_UP | 7.00e-04 | 10.96 | 2.83 | 4.60e-01 | 1.00e+00 | 4HAND1, NEFM, PCBP3, HAP1 |
157 |
GSE13411_IGM_VS_SWITCHED_MEMORY_BCELL_UP | 1.49e-03 | 8.87 | 2.30 | 4.60e-01 | 1.00e+00 | 4UCHL1, AGTR2, CCND1, SCNN1B |
193 |
GSE3982_MAST_CELL_VS_EFF_MEMORY_CD4_TCELL_DN | 1.55e-03 | 8.78 | 2.27 | 4.60e-01 | 1.00e+00 | 4PHOX2A, GCH1, AGTR2, SNCG |
195 |
GSE360_L_MAJOR_VS_M_TUBERCULOSIS_MAC_UP | 1.58e-03 | 8.73 | 2.26 | 4.60e-01 | 1.00e+00 | 4DBH, TH, ISL1, SYN2 |
196 |
GSE360_CTRL_VS_L_MAJOR_MAC_DN | 1.61e-03 | 8.68 | 2.25 | 4.60e-01 | 1.00e+00 | 4DDC, GCH1, CHGB, CACNG3 |
197 |
GSE17721_CTRL_VS_LPS_24H_BMDC_UP | 1.67e-03 | 8.60 | 2.23 | 4.60e-01 | 1.00e+00 | 4DBH, PHOX2B, FKBP1B, EML5 |
199 |
GSE22432_MULTIPOTENT_PROGENITOR_VS_CDC_UP | 1.67e-03 | 8.60 | 2.23 | 4.60e-01 | 1.00e+00 | 4PHOX2A, GCH1, SLC18A1, CCND1 |
199 |
GSE16385_UNTREATED_VS_12H_IL4_TREATED_MACROPHAGE_UP | 1.67e-03 | 8.60 | 2.23 | 4.60e-01 | 1.00e+00 | 4NEFM, CHGA, CACNG3, HAP1 |
199 |
GSE45365_NK_CELL_VS_CD8A_DC_DN | 1.67e-03 | 8.60 | 2.23 | 4.60e-01 | 1.00e+00 | 4TH, DGKK, COX4I2, RAB3B |
199 |
GSE20366_CD103_POS_VS_NEG_TREG_KLRG1NEG_UP | 1.70e-03 | 8.55 | 2.21 | 4.60e-01 | 1.00e+00 | 4NDUFA4L2, EPAS1, NRK, C2CD4B |
200 |
GSE24142_ADULT_VS_FETAL_DN2_THYMOCYTE_UP | 1.70e-03 | 8.55 | 2.21 | 4.60e-01 | 1.00e+00 | 4SYTL4, DDC, UCHL1, PCBP3 |
200 |
GSE36392_TYPE_2_MYELOID_VS_MAC_IL25_TREATED_LUNG_UP | 1.70e-03 | 8.55 | 2.21 | 4.60e-01 | 1.00e+00 | 4SYTL4, GALNT6, PPP1R1C, CACNG3 |
200 |
GSE4748_CTRL_VS_LPS_AND_CYANOBACTERIUM_LPSLIKE_STIM_DC_3H_UP | 1.70e-03 | 8.55 | 2.21 | 4.60e-01 | 1.00e+00 | 4RGS4, GCH1, UCHL1, CCND1 |
200 |
GSE19923_WT_VS_E2A_KO_DP_THYMOCYTE_UP | 1.70e-03 | 8.55 | 2.21 | 4.60e-01 | 1.00e+00 | 4HAND1, NEFM, GAP43, RAB3B |
200 |
GSE16450_IMMATURE_VS_MATURE_NEURON_CELL_LINE_6H_IFNA_STIM_DN | 1.70e-03 | 8.55 | 2.21 | 4.60e-01 | 1.00e+00 | 4PHOX2A, SLC18A2, GALNT6, SLC31A1 |
200 |
GSE43955_TH0_VS_TGFB_IL6_TH17_ACT_CD4_TCELL_20H_DN | 1.70e-03 | 8.55 | 2.21 | 4.60e-01 | 1.00e+00 | 4HAND2, NEFM, GCH1, GAP43 |
200 |
GSE43955_1H_VS_42H_ACT_CD4_TCELL_WITH_TGFB_IL6_DN | 1.70e-03 | 8.55 | 2.21 | 4.60e-01 | 1.00e+00 | 4PHOX2A, RGS4, HAND1, PHOX2B |
200 |
GSE40274_IRF4_VS_FOXP3_AND_IRF4_TRANSDUCED_ACTIVATED_CD4_TCELL_DN | 3.47e-03 | 10.70 | 2.10 | 8.45e-01 | 1.00e+00 | 3CHGB, RAB3B, SNCG |
118 |
GSE9946_LISTERIA_INF_MATURE_VS_PROSTAGLANDINE2_TREATED_MATURE_DC_DN | 3.72e-03 | 10.42 | 2.05 | 8.45e-01 | 1.00e+00 | 3GAP43, ARHGAP36, CACNG3 |
121 |
Top Ranked Transcription Factors for this Gene Expression Program:
Gene Symbol | TF Rank | DNA Binding Domain | Motif Status | IUPAC PWM | GTEx | DepMap | Decartes |
---|---|---|---|---|---|---|---|
PHOX2A | 1 | Yes | Known motif | Monomer or homomultimer | High-throughput in vitro | None | None |
HAND2 | 6 | Yes | Known motif | Monomer or homomultimer | High-throughput in vitro | None | None |
HAND1 | 8 | Yes | Known motif | Obligate heteromer | In vivo/Misc source | Only known motifs are from Transfac or HocoMoco - origin is uncertain | Obligate heteromer (PMID: 10611232). |
EPAS1 | 20 | Yes | Known motif | Monomer or homomultimer | In vivo/Misc source | Only known motifs are from Transfac or HocoMoco - origin is uncertain | None |
ISL1 | 21 | Yes | Known motif | Monomer or homomultimer | High-throughput in vitro | None | None |
PHOX2B | 23 | Yes | Known motif | Monomer or homomultimer | High-throughput in vitro | None | None |
TLX2 | 24 | Yes | Known motif | Monomer or homomultimer | High-throughput in vitro | None | None |
PCBP3 | 30 | No | ssDNA/RNA binding | Not a DNA binding protein | No motif | None | KH domain suggests that this is an RNA-binding protein |
NRK | 45 | No | Unlikely to be sequence specific TF | Not a DNA binding protein | No motif | None | Protein is a kinase |
PCBD1 | 72 | No | Unlikely to be sequence specific TF | Not a DNA binding protein | No motif | None | Coactivator for HNF1A-dependent transcription. Regulates the dimerization of homeodomain protein HNF1A and enhances its transcriptional activity (UniProt: P61457) |
INSM2 | 86 | Yes | Likely to be sequence specific TF | Monomer or homomultimer | No motif | None | None |
KLF7 | 97 | Yes | Known motif | Monomer or homomultimer | 100 perc ID - in vitro | Motif obtained from MEME - not supported by recognition code (RCADE) and may be inaccurate or indirect | None |
NDN | 99 | No | Unlikely to be sequence specific TF | Not a DNA binding protein | No motif | None | None |
GATA3 | 107 | Yes | Known motif | Monomer or homomultimer | High-throughput in vitro | None | None |
NTRK1 | 109 | No | Unlikely to be sequence specific TF | Not a DNA binding protein | No motif | None | Membrane bound receptor protein |
HLF | 115 | Yes | Known motif | Monomer or homomultimer | High-throughput in vitro | None | None |
INSM1 | 119 | Yes | Known motif | Monomer or homomultimer | In vivo/Misc source | None | None |
PRDM12 | 124 | Yes | Known motif | Monomer or homomultimer | In vivo/Misc source | Only known motifs are from Transfac or HocoMoco - origin is uncertain | None |
HMX1 | 129 | Yes | Known motif | Monomer or homomultimer | High-throughput in vitro | None | None |
ISL2 | 139 | Yes | Known motif | Monomer or homomultimer | High-throughput in vitro | None | None |
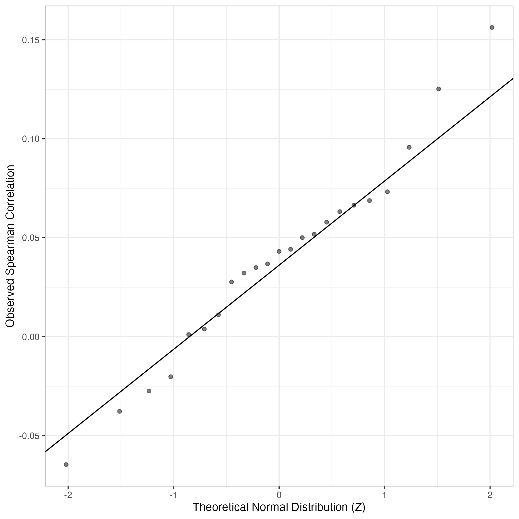
QQ Plot showing correlations with other GEPs in this dataset, calculated by Spearman correlation:
Interactive QQ-plot of gene loadings:
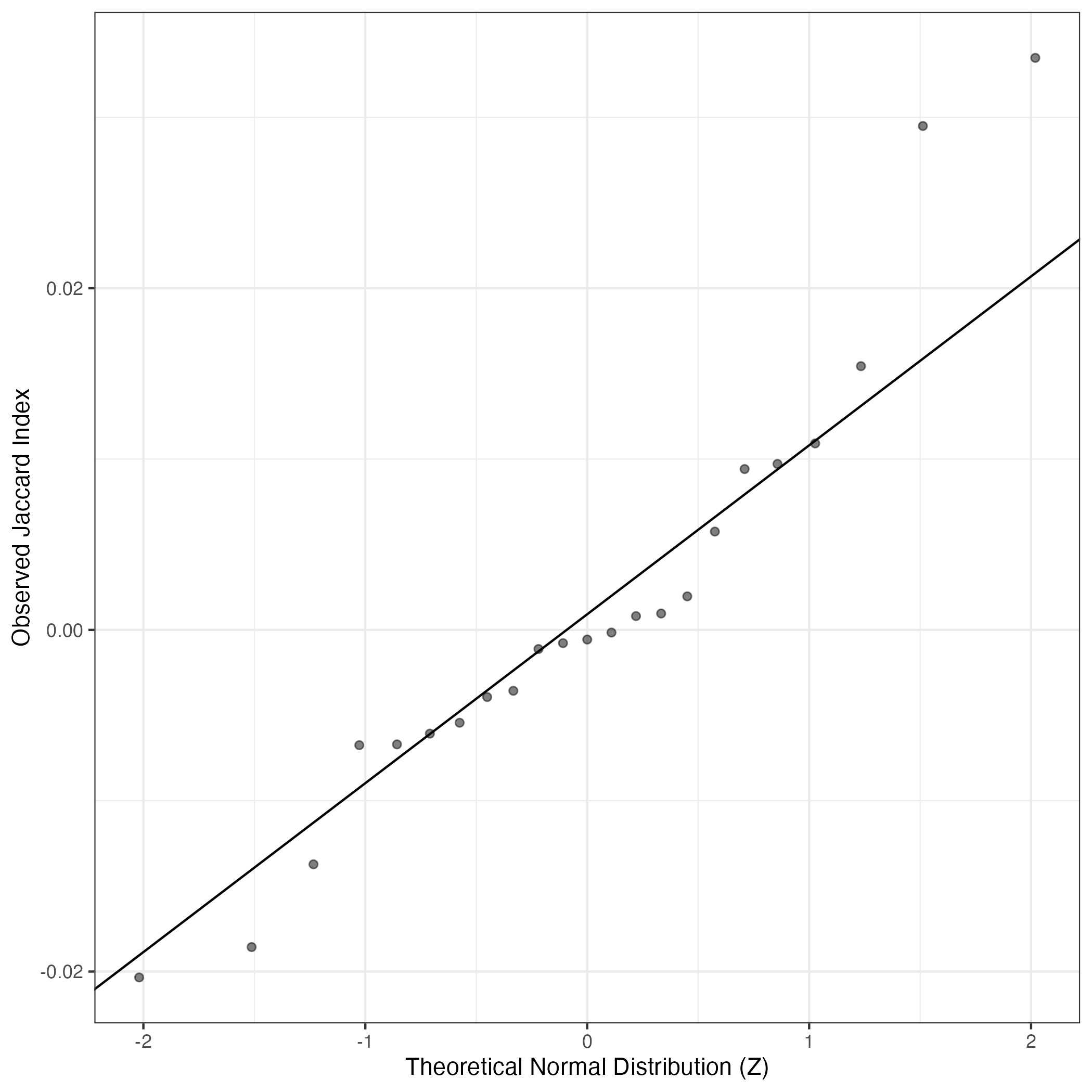
A similar QQ-plot as above, but only for instances where the H value is e.g. > 25, i.e. we are confident that the expression program is active above noise. Agreemenet between these binary vectors is tested using the Jaccard Index, with the P-values calculated by an exact test:
Interactive QQ-plot:
Singler cell type annotations for the top 50 cells on this program.
Cell ID | Singler label | Singler Delta | Activity Score | Top Singler Raw Scores |
---|---|---|---|---|
X72_CTCACTGCAACACAAA | Neuroepithelial_cell:ESC-derived | 0.29 | 2299.67 | Raw ScoresNeuroepithelial_cell:ESC-derived: 0.68, Neurons:ES_cell-derived_neural_precursor: 0.68, MSC: 0.66, Chondrocytes:MSC-derived: 0.63, Gametocytes:oocyte: 0.63, iPS_cells:PDB_2lox-17: 0.61, iPS_cells:CRL2097_foreskin-derived:d20_hepatic_diff: 0.59, Erythroblast: 0.57, iPS_cells:PDB_1lox-17Puro-10: 0.57, Embryonic_stem_cells: 0.57 |
X72_ACCTACCTCCACACAA | Neuroepithelial_cell:ESC-derived | 0.34 | 1778.28 | Raw ScoresNeuroepithelial_cell:ESC-derived: 0.76, Neurons:ES_cell-derived_neural_precursor: 0.75, MSC: 0.73, iPS_cells:CRL2097_foreskin-derived:d20_hepatic_diff: 0.73, Embryonic_stem_cells: 0.71, Fibroblasts:breast: 0.67, Keratinocytes: 0.67, Keratinocytes:IL26: 0.67, iPS_cells:adipose_stem_cells: 0.66, Chondrocytes:MSC-derived: 0.65 |
X72_GTTCCGTAGAATCGAT | Neuroepithelial_cell:ESC-derived | 0.22 | 1280.06 | Raw ScoresNeuroepithelial_cell:ESC-derived: 0.79, MSC: 0.77, Neurons:ES_cell-derived_neural_precursor: 0.76, Tissue_stem_cells:BM_MSC:TGFb3: 0.75, iPS_cells:CRL2097_foreskin-derived:d20_hepatic_diff: 0.74, iPS_cells:PDB_1lox-17Puro-10: 0.73, Smooth_muscle_cells:vascular:IL-17: 0.73, Embryonic_stem_cells: 0.73, Smooth_muscle_cells:vascular: 0.72, iPS_cells:PDB_2lox-17: 0.72 |
X71_GTGAGGAGTACAAAGT | Erythroblast | 0.31 | 1263.43 | Raw ScoresErythroblast: 0.58, Gametocytes:oocyte: 0.57, Neuroepithelial_cell:ESC-derived: 0.57, Neurons:ES_cell-derived_neural_precursor: 0.57, MSC: 0.57, Chondrocytes:MSC-derived: 0.54, iPS_cells:CRL2097_foreskin-derived:d20_hepatic_diff: 0.53, Smooth_muscle_cells:bronchial: 0.49, Smooth_muscle_cells:bronchial:vit_D: 0.49, Keratinocytes:KGF: 0.48 |
X72_TACCTGCTCGGTGTAT | Neurons:ES_cell-derived_neural_precursor | 0.33 | 994.37 | Raw ScoresGametocytes:oocyte: 0.57, Neurons:ES_cell-derived_neural_precursor: 0.57, Erythroblast: 0.57, MSC: 0.57, Neuroepithelial_cell:ESC-derived: 0.57, Chondrocytes:MSC-derived: 0.54, iPS_cells:CRL2097_foreskin-derived:d20_hepatic_diff: 0.53, Keratinocytes:KGF: 0.49, Neurons:adrenal_medulla_cell_line: 0.49, Smooth_muscle_cells:bronchial: 0.49 |
X72_GCAGCTGCAGTCTACA | Keratinocytes:IL22 | 0.22 | 932.05 | Raw ScoresKeratinocytes:IL22: 0.42, Tissue_stem_cells:BM_MSC:BMP2: 0.42, DC:monocyte-derived:A._fumigatus_germ_tubes_6h: 0.42, DC:monocyte-derived:AM580: 0.42, DC:monocyte-derived:CD40L: 0.42, DC:monocyte-derived:LPS: 0.42, DC:monocyte-derived:Schuler_treatment: 0.42, DC:monocyte-derived:mature: 0.42, Endothelial_cells:HUVEC:Serum_Amyloid_A: 0.42, Epithelial_cells:bladder: 0.42 |
X70_GGGACAACAAGTACCT | Neuroepithelial_cell:ESC-derived | 0.33 | 807.66 | Raw ScoresNeuroepithelial_cell:ESC-derived: 0.68, Neurons:ES_cell-derived_neural_precursor: 0.68, MSC: 0.65, Chondrocytes:MSC-derived: 0.64, Gametocytes:oocyte: 0.62, iPS_cells:CRL2097_foreskin-derived:d20_hepatic_diff: 0.6, iPS_cells:PDB_2lox-17: 0.59, Erythroblast: 0.58, Embryonic_stem_cells: 0.57, Neurons:adrenal_medulla_cell_line: 0.55 |
X72_CTACAGACAAACCACT | Neuroepithelial_cell:ESC-derived | 0.35 | 755.31 | Raw ScoresNeuroepithelial_cell:ESC-derived: 0.58, Neurons:ES_cell-derived_neural_precursor: 0.58, Erythroblast: 0.57, Gametocytes:oocyte: 0.57, MSC: 0.57, Chondrocytes:MSC-derived: 0.54, iPS_cells:CRL2097_foreskin-derived:d20_hepatic_diff: 0.54, Keratinocytes:KGF: 0.5, Neurons:adrenal_medulla_cell_line: 0.5, iPS_cells:adipose_stem_cells: 0.5 |
X72_GTCACGGTCAAACCTG | Neuroepithelial_cell:ESC-derived | 0.37 | 739.58 | Raw ScoresNeuroepithelial_cell:ESC-derived: 0.76, Neurons:ES_cell-derived_neural_precursor: 0.76, iPS_cells:CRL2097_foreskin-derived:d20_hepatic_diff: 0.75, Embryonic_stem_cells: 0.73, MSC: 0.73, Keratinocytes: 0.69, Keratinocytes:IL26: 0.69, Fibroblasts:breast: 0.69, iPS_cells:adipose_stem_cells: 0.69, Keratinocytes:KGF: 0.67 |
X71_AATTTCCGTTAAGTCC | Neurons:ES_cell-derived_neural_precursor | 0.33 | 700.13 | Raw ScoresGametocytes:oocyte: 0.57, Neurons:ES_cell-derived_neural_precursor: 0.57, Erythroblast: 0.57, MSC: 0.57, Neuroepithelial_cell:ESC-derived: 0.57, Chondrocytes:MSC-derived: 0.54, iPS_cells:CRL2097_foreskin-derived:d20_hepatic_diff: 0.53, Keratinocytes:KGF: 0.49, Neurons:adrenal_medulla_cell_line: 0.49, Smooth_muscle_cells:bronchial: 0.49 |
X71_CTCCCAAGTACAGTCT | Neurons:ES_cell-derived_neural_precursor | 0.33 | 676.96 | Raw ScoresGametocytes:oocyte: 0.57, Neurons:ES_cell-derived_neural_precursor: 0.57, Erythroblast: 0.57, MSC: 0.57, Neuroepithelial_cell:ESC-derived: 0.57, Chondrocytes:MSC-derived: 0.54, iPS_cells:CRL2097_foreskin-derived:d20_hepatic_diff: 0.53, Keratinocytes:KGF: 0.49, Neurons:adrenal_medulla_cell_line: 0.49, Smooth_muscle_cells:bronchial: 0.49 |
X72_CGTGATAAGCGGTATG | iPS_cells:CRL2097_foreskin-derived:d20_hepatic_diff | 0.41 | 625.07 | Raw ScoresiPS_cells:CRL2097_foreskin-derived:d20_hepatic_diff: 0.63, Neuroepithelial_cell:ESC-derived: 0.62, Neurons:ES_cell-derived_neural_precursor: 0.61, Astrocyte:Embryonic_stem_cell-derived: 0.6, Embryonic_stem_cells: 0.6, Fibroblasts:breast: 0.6, Keratinocytes: 0.6, Keratinocytes:IL26: 0.6, iPS_cells:adipose_stem_cells: 0.59, Keratinocytes:KGF: 0.57 |
X71_GGAATGGCATCCTGTC | Neurons:ES_cell-derived_neural_precursor | 0.34 | 608.73 | Raw ScoresNeurons:ES_cell-derived_neural_precursor: 0.67, iPS_cells:CRL2097_foreskin-derived:d20_hepatic_diff: 0.67, Embryonic_stem_cells: 0.64, Neuroepithelial_cell:ESC-derived: 0.64, Keratinocytes: 0.63, Keratinocytes:IL19: 0.63, Keratinocytes:IL20: 0.63, Keratinocytes:IL24: 0.63, Keratinocytes:IL26: 0.63, Keratinocytes:KGF: 0.63 |
X72_AGGTGTTAGTATGGAT | Chondrocytes:MSC-derived | 0.27 | 597.66 | Raw ScoresChondrocytes:MSC-derived: 0.62, iPS_cells:adipose_stem_cells: 0.59, Osteoblasts: 0.58, Smooth_muscle_cells:bronchial: 0.56, Smooth_muscle_cells:bronchial:vit_D: 0.56, Fibroblasts:breast: 0.56, Osteoblasts:BMP2: 0.55, MSC: 0.52, HSC_CD34+: 0.5, Tissue_stem_cells:BM_MSC:TGFb3: 0.49 |
X71_TGTCCTGAGAGCAACC | B_cell:immature | 0.08 | 592.33 | Raw ScoresB_cell:immature: 0.57, CMP: 0.57, Endothelial_cells:HUVEC: 0.57, Endothelial_cells:HUVEC:B._anthracis_LT: 0.57, Endothelial_cells:HUVEC:Borrelia_burgdorferi: 0.57, Endothelial_cells:HUVEC:VEGF: 0.57, GMP: 0.57, Neurons:Schwann_cell: 0.57, Pro-B_cell_CD34+: 0.57, iPS_cells:PDB_2lox-17: 0.57 |
X71_ATCTTCAAGTAAATGC | Erythroblast | 0.31 | 589.05 | Raw ScoresErythroblast: 0.58, Gametocytes:oocyte: 0.57, Neuroepithelial_cell:ESC-derived: 0.57, Neurons:ES_cell-derived_neural_precursor: 0.57, MSC: 0.57, Chondrocytes:MSC-derived: 0.54, iPS_cells:CRL2097_foreskin-derived:d20_hepatic_diff: 0.53, Smooth_muscle_cells:bronchial: 0.49, Smooth_muscle_cells:bronchial:vit_D: 0.49, Keratinocytes:KGF: 0.48 |
X71_TACCCGTGTATGGTTC | Monocyte | 0.00 | 582.64 | Raw ScoresMonocyte: 0.42, T_cell:CD4+: 0.42, B_cell: 0.42, B_cell:CXCR4+_centroblast: 0.42, B_cell:CXCR4-_centrocyte: 0.42, B_cell:Germinal_center: 0.42, B_cell:Memory: 0.42, B_cell:Naive: 0.42, B_cell:Plasma_cell: 0.42, B_cell:immature: 0.42 |
X71_ATGTCCCCATTCAGGT | Monocyte | 0.00 | 573.00 | Raw ScoresMonocyte: 0.42, T_cell:CD4+: 0.42, B_cell: 0.42, B_cell:CXCR4+_centroblast: 0.42, B_cell:CXCR4-_centrocyte: 0.42, B_cell:Germinal_center: 0.42, B_cell:Memory: 0.42, B_cell:Naive: 0.42, B_cell:Plasma_cell: 0.42, B_cell:immature: 0.42 |
X72_ATGGAGGTCATCTATC | Endothelial_cells:HUVEC:VEGF | 0.09 | 548.41 | Raw ScoresB_cell:CXCR4+_centroblast: 0.57, B_cell:immature: 0.57, CMP: 0.57, DC:monocyte-derived:AEC-conditioned: 0.57, Endothelial_cells:HUVEC: 0.57, Endothelial_cells:HUVEC:B._anthracis_LT: 0.57, Endothelial_cells:HUVEC:Borrelia_burgdorferi: 0.57, Endothelial_cells:HUVEC:Serum_Amyloid_A: 0.57, Endothelial_cells:HUVEC:VEGF: 0.57, Endothelial_cells:blood_vessel: 0.57 |
X71_TCATTTGGTCTCGACG | Neuroepithelial_cell:ESC-derived | 0.38 | 535.39 | Raw ScoresNeuroepithelial_cell:ESC-derived: 0.76, Neurons:ES_cell-derived_neural_precursor: 0.76, iPS_cells:CRL2097_foreskin-derived:d20_hepatic_diff: 0.74, MSC: 0.73, Embryonic_stem_cells: 0.73, Fibroblasts:breast: 0.68, Keratinocytes: 0.68, Keratinocytes:IL26: 0.68, iPS_cells:adipose_stem_cells: 0.68, Keratinocytes:KGF: 0.67 |
X71_CTATCCGAGACGCCCT | HSC_CD34+ | 0.16 | 525.99 | Raw ScoresHSC_CD34+: 0.58, Osteoblasts: 0.58, Osteoblasts:BMP2: 0.58, T_cell:CD8+: 0.58, DC:monocyte-derived:mature: 0.58, T_cell:effector: 0.57, T_cell:CCR10+CLA+1,25(OH)2_vit_D3/IL-12: 0.57, T_cell:gamma-delta: 0.57, Tissue_stem_cells:dental_pulp: 0.57, Pro-Myelocyte: 0.57 |
X72_TTCTTGAGTACGACTT | HSC_CD34+ | 0.16 | 516.11 | Raw ScoresHSC_CD34+: 0.58, Osteoblasts: 0.58, Osteoblasts:BMP2: 0.58, T_cell:CD8+: 0.58, DC:monocyte-derived:mature: 0.58, T_cell:effector: 0.57, T_cell:CCR10+CLA+1,25(OH)2_vit_D3/IL-12: 0.57, T_cell:gamma-delta: 0.57, Tissue_stem_cells:dental_pulp: 0.57, Pro-Myelocyte: 0.57 |
X71_GTTGCTCCAGACTGCC | Monocyte | 0.00 | 509.93 | Raw ScoresMonocyte: 0.42, T_cell:CD4+: 0.42, B_cell: 0.42, B_cell:CXCR4+_centroblast: 0.42, B_cell:CXCR4-_centrocyte: 0.42, B_cell:Germinal_center: 0.42, B_cell:Memory: 0.42, B_cell:Naive: 0.42, B_cell:Plasma_cell: 0.42, B_cell:immature: 0.42 |
X70_CCATAAGCACTCTAGA | Erythroblast | 0.31 | 505.89 | Raw ScoresErythroblast: 0.58, Gametocytes:oocyte: 0.57, Neuroepithelial_cell:ESC-derived: 0.57, Neurons:ES_cell-derived_neural_precursor: 0.57, MSC: 0.57, Chondrocytes:MSC-derived: 0.54, iPS_cells:CRL2097_foreskin-derived:d20_hepatic_diff: 0.53, Smooth_muscle_cells:bronchial: 0.49, Smooth_muscle_cells:bronchial:vit_D: 0.49, Keratinocytes:KGF: 0.48 |
X70_CCCGAAGCACTGCTTC | Erythroblast | 0.31 | 501.86 | Raw ScoresErythroblast: 0.58, Gametocytes:oocyte: 0.57, Neuroepithelial_cell:ESC-derived: 0.57, Neurons:ES_cell-derived_neural_precursor: 0.57, MSC: 0.57, Chondrocytes:MSC-derived: 0.54, iPS_cells:CRL2097_foreskin-derived:d20_hepatic_diff: 0.53, Smooth_muscle_cells:bronchial: 0.49, Smooth_muscle_cells:bronchial:vit_D: 0.49, Keratinocytes:KGF: 0.48 |
X71_GGAGCAATCACCACAA | Astrocyte:Embryonic_stem_cell-derived | 0.00 | 496.71 | Raw ScoresAstrocyte:Embryonic_stem_cell-derived: 0.5, BM: 0.5, B_cell: 0.5, B_cell:CXCR4+_centroblast: 0.5, B_cell:CXCR4-_centrocyte: 0.5, B_cell:Germinal_center: 0.5, B_cell:Memory: 0.5, B_cell:Naive: 0.5, B_cell:Plasma_cell: 0.5, B_cell:immature: 0.5 |
X71_TTTACTGCATGACTCA | Neurons:ES_cell-derived_neural_precursor | 0.33 | 495.24 | Raw ScoresGametocytes:oocyte: 0.57, Neurons:ES_cell-derived_neural_precursor: 0.57, Erythroblast: 0.57, MSC: 0.57, Neuroepithelial_cell:ESC-derived: 0.57, Chondrocytes:MSC-derived: 0.54, iPS_cells:CRL2097_foreskin-derived:d20_hepatic_diff: 0.53, Keratinocytes:KGF: 0.49, Neurons:adrenal_medulla_cell_line: 0.49, Smooth_muscle_cells:bronchial: 0.49 |
X71_ATCCTATTCAAACCCA | B_cell:CXCR4+_centroblast | 0.08 | 483.77 | Raw ScoresB_cell:CXCR4+_centroblast: 0.58, B_cell:immature: 0.58, CMP: 0.58, DC:monocyte-derived:AEC-conditioned: 0.58, Endothelial_cells:HUVEC: 0.58, Endothelial_cells:HUVEC:B._anthracis_LT: 0.58, Endothelial_cells:HUVEC:Borrelia_burgdorferi: 0.58, Endothelial_cells:HUVEC:Serum_Amyloid_A: 0.58, Endothelial_cells:HUVEC:VEGF: 0.58, Endothelial_cells:blood_vessel: 0.58 |
X70_AGTGCCGAGGCATGCA | Keratinocytes:KGF | 0.48 | 449.08 | Raw ScoresNeuroepithelial_cell:ESC-derived: 0.42, Keratinocytes:KGF: 0.42, Neurons:ES_cell-derived_neural_precursor: 0.42, Neurons:adrenal_medulla_cell_line: 0.42, iPS_cells:CRL2097_foreskin-derived:d20_hepatic_diff: 0.42, iPS_cells:adipose_stem_cells: 0.42, Chondrocytes:MSC-derived: 0.42, iPS_cells:fibroblast-derived:Direct_del._reprog: 0.41, Erythroblast: 0.4, Gametocytes:oocyte: 0.4 |
X71_ATCATTCGTGTTCCTC | Neuroepithelial_cell:ESC-derived | 0.40 | 448.49 | Raw ScoresNeuroepithelial_cell:ESC-derived: 0.54, Neurons:ES_cell-derived_neural_precursor: 0.54, Chondrocytes:MSC-derived: 0.5, iPS_cells:CRL2097_foreskin-derived:d20_hepatic_diff: 0.48, MSC: 0.47, Neurons:adrenal_medulla_cell_line: 0.46, Embryonic_stem_cells: 0.45, iPS_cells:adipose_stem_cells: 0.44, Gametocytes:oocyte: 0.44, Astrocyte:Embryonic_stem_cell-derived: 0.43 |
X71_CTGTCGTAGGCCATAG | Neurons:ES_cell-derived_neural_precursor | 0.33 | 446.57 | Raw ScoresNeuroepithelial_cell:ESC-derived: 0.68, Neurons:ES_cell-derived_neural_precursor: 0.68, MSC: 0.64, Chondrocytes:MSC-derived: 0.63, Gametocytes:oocyte: 0.62, iPS_cells:CRL2097_foreskin-derived:d20_hepatic_diff: 0.6, iPS_cells:PDB_2lox-17: 0.59, Erythroblast: 0.57, Embryonic_stem_cells: 0.57, iPS_cells:PDB_1lox-17Puro-10: 0.55 |
X71_ATCATTCTCGCCAGAC | Neurons:ES_cell-derived_neural_precursor | 0.25 | 445.70 | Raw ScoresNeuroepithelial_cell:ESC-derived: 0.67, Neurons:ES_cell-derived_neural_precursor: 0.67, MSC: 0.66, Gametocytes:oocyte: 0.63, iPS_cells:PDB_2lox-17: 0.62, Chondrocytes:MSC-derived: 0.62, iPS_cells:PDB_1lox-17Puro-10: 0.59, iPS_cells:CRL2097_foreskin-derived:d20_hepatic_diff: 0.58, Erythroblast: 0.56, iPS_cells:PDB_2lox-21: 0.56 |
X71_GGGCTCACAGAGAATT | Smooth_muscle_cells:bronchial | 0.25 | 442.20 | Raw ScoresSmooth_muscle_cells:bronchial: 0.72, Smooth_muscle_cells:bronchial:vit_D: 0.72, Neuroepithelial_cell:ESC-derived: 0.71, Neurons:ES_cell-derived_neural_precursor: 0.71, MSC: 0.7, Erythroblast: 0.7, Gametocytes:oocyte: 0.68, iPS_cells:PDB_2lox-17: 0.67, Chondrocytes:MSC-derived: 0.66, iPS_cells:PDB_1lox-17Puro-10: 0.64 |
X70_AGCATCAAGGTCACTT | Neuroepithelial_cell:ESC-derived | 0.33 | 436.23 | Raw ScoresNeuroepithelial_cell:ESC-derived: 0.68, Neurons:ES_cell-derived_neural_precursor: 0.68, MSC: 0.65, Chondrocytes:MSC-derived: 0.64, Gametocytes:oocyte: 0.63, iPS_cells:CRL2097_foreskin-derived:d20_hepatic_diff: 0.6, iPS_cells:PDB_2lox-17: 0.59, Erythroblast: 0.59, Embryonic_stem_cells: 0.58, Neurons:adrenal_medulla_cell_line: 0.55 |
X72_TACAGGTTCAAGCCTA | Monocyte | 0.00 | 431.79 | Raw ScoresMonocyte: 0.42, T_cell:CD4+: 0.42, B_cell: 0.42, B_cell:CXCR4+_centroblast: 0.42, B_cell:CXCR4-_centrocyte: 0.42, B_cell:Germinal_center: 0.42, B_cell:Memory: 0.42, B_cell:Naive: 0.42, B_cell:Plasma_cell: 0.42, B_cell:immature: 0.42 |
X72_ACGGGTCCACCAGCTG | Neurons:ES_cell-derived_neural_precursor | 0.27 | 426.13 | Raw ScoresNeuroepithelial_cell:ESC-derived: 0.67, Neurons:ES_cell-derived_neural_precursor: 0.67, MSC: 0.66, Gametocytes:oocyte: 0.64, Chondrocytes:MSC-derived: 0.62, iPS_cells:PDB_2lox-17: 0.62, iPS_cells:CRL2097_foreskin-derived:d20_hepatic_diff: 0.59, iPS_cells:PDB_1lox-17Puro-10: 0.58, Erythroblast: 0.58, Embryonic_stem_cells: 0.57 |
X71_GGGAGTACATACCAGT | Erythroblast | 0.31 | 416.51 | Raw ScoresErythroblast: 0.58, Gametocytes:oocyte: 0.57, Neuroepithelial_cell:ESC-derived: 0.57, Neurons:ES_cell-derived_neural_precursor: 0.57, MSC: 0.57, Chondrocytes:MSC-derived: 0.54, iPS_cells:CRL2097_foreskin-derived:d20_hepatic_diff: 0.53, Smooth_muscle_cells:bronchial: 0.49, Smooth_muscle_cells:bronchial:vit_D: 0.49, Keratinocytes:KGF: 0.48 |
X72_TAAGCCAGTCGAATGG | iPS_cells:CRL2097_foreskin-derived:d20_hepatic_diff | 0.57 | 416.41 | Raw ScoresiPS_cells:CRL2097_foreskin-derived:d20_hepatic_diff: 0.48, Gametocytes:oocyte: 0.42, Erythroblast: 0.37, Neurons:ES_cell-derived_neural_precursor: 0.33, Keratinocytes:KGF: 0.27, Neurons:adrenal_medulla_cell_line: 0.25, Keratinocytes:IL19: 0.25, Keratinocytes:IL24: 0.23, Keratinocytes:IL20: 0.21, Keratinocytes:IL22: 0.21 |
X70_CTTGATTAGATGCCGA | Erythroblast | 0.33 | 406.62 | Raw ScoresErythroblast: 0.62, Neuroepithelial_cell:ESC-derived: 0.56, Neurons:ES_cell-derived_neural_precursor: 0.56, Gametocytes:oocyte: 0.53, MSC: 0.53, Smooth_muscle_cells:bronchial: 0.52, Smooth_muscle_cells:bronchial:vit_D: 0.52, Chondrocytes:MSC-derived: 0.52, iPS_cells:CRL2097_foreskin-derived:d20_hepatic_diff: 0.51, Neurons:adrenal_medulla_cell_line: 0.49 |
X70_AAGACAAGTCCAAATC | Monocyte | 0.00 | 406.20 | Raw ScoresMonocyte: 0.42, T_cell:CD4+: 0.42, B_cell: 0.42, B_cell:CXCR4+_centroblast: 0.42, B_cell:CXCR4-_centrocyte: 0.42, B_cell:Germinal_center: 0.42, B_cell:Memory: 0.42, B_cell:Naive: 0.42, B_cell:Plasma_cell: 0.42, B_cell:immature: 0.42 |
X71_TAATCTCGTTCGAGCC | Neuroepithelial_cell:ESC-derived | 0.33 | 403.56 | Raw ScoresNeuroepithelial_cell:ESC-derived: 0.68, Neurons:ES_cell-derived_neural_precursor: 0.68, MSC: 0.65, Chondrocytes:MSC-derived: 0.64, Gametocytes:oocyte: 0.63, iPS_cells:CRL2097_foreskin-derived:d20_hepatic_diff: 0.6, iPS_cells:PDB_2lox-17: 0.59, Erythroblast: 0.59, Embryonic_stem_cells: 0.58, Neurons:adrenal_medulla_cell_line: 0.55 |
X72_CATCGTCCATGCAGCC | B_cell:CXCR4+_centroblast | 0.08 | 401.62 | Raw ScoresB_cell:CXCR4+_centroblast: 0.58, B_cell:immature: 0.58, CMP: 0.58, DC:monocyte-derived:AEC-conditioned: 0.58, Endothelial_cells:HUVEC: 0.58, Endothelial_cells:HUVEC:B._anthracis_LT: 0.58, Endothelial_cells:HUVEC:Borrelia_burgdorferi: 0.58, Endothelial_cells:HUVEC:Serum_Amyloid_A: 0.58, Endothelial_cells:HUVEC:VEGF: 0.58, Endothelial_cells:blood_vessel: 0.58 |
X71_TCACTATAGAGTCGAC | Astrocyte:Embryonic_stem_cell-derived | 0.00 | 401.06 | Raw ScoresAstrocyte:Embryonic_stem_cell-derived: 0.5, BM: 0.5, B_cell: 0.5, B_cell:CXCR4+_centroblast: 0.5, B_cell:CXCR4-_centrocyte: 0.5, B_cell:Germinal_center: 0.5, B_cell:Memory: 0.5, B_cell:Naive: 0.5, B_cell:Plasma_cell: 0.5, B_cell:immature: 0.5 |
X71_TGTGTGAGTCTACATG | Erythroblast | 0.31 | 398.71 | Raw ScoresErythroblast: 0.58, Gametocytes:oocyte: 0.57, Neuroepithelial_cell:ESC-derived: 0.57, Neurons:ES_cell-derived_neural_precursor: 0.57, MSC: 0.57, Chondrocytes:MSC-derived: 0.54, iPS_cells:CRL2097_foreskin-derived:d20_hepatic_diff: 0.53, Smooth_muscle_cells:bronchial: 0.49, Smooth_muscle_cells:bronchial:vit_D: 0.49, Keratinocytes:KGF: 0.48 |
X70_AGCATCACATTCAGCA | Neuroepithelial_cell:ESC-derived | 0.35 | 398.65 | Raw ScoresNeuroepithelial_cell:ESC-derived: 0.58, Neurons:ES_cell-derived_neural_precursor: 0.58, Erythroblast: 0.57, Gametocytes:oocyte: 0.57, MSC: 0.57, Chondrocytes:MSC-derived: 0.54, iPS_cells:CRL2097_foreskin-derived:d20_hepatic_diff: 0.54, Keratinocytes:KGF: 0.5, Neurons:adrenal_medulla_cell_line: 0.5, iPS_cells:adipose_stem_cells: 0.5 |
X70_AGACACTCACCCAATA | Neuroepithelial_cell:ESC-derived | 0.37 | 395.64 | Raw ScoresNeuroepithelial_cell:ESC-derived: 0.53, Neurons:ES_cell-derived_neural_precursor: 0.53, Chondrocytes:MSC-derived: 0.49, iPS_cells:CRL2097_foreskin-derived:d20_hepatic_diff: 0.48, MSC: 0.47, Neurons:adrenal_medulla_cell_line: 0.45, Embryonic_stem_cells: 0.44, Gametocytes:oocyte: 0.43, iPS_cells:adipose_stem_cells: 0.43, Astrocyte:Embryonic_stem_cell-derived: 0.43 |
X71_CCCGGAAGTTCTCCAC | Keratinocytes:KGF | 0.48 | 394.66 | Raw ScoresNeuroepithelial_cell:ESC-derived: 0.42, Keratinocytes:KGF: 0.42, Neurons:ES_cell-derived_neural_precursor: 0.42, Neurons:adrenal_medulla_cell_line: 0.42, iPS_cells:CRL2097_foreskin-derived:d20_hepatic_diff: 0.42, iPS_cells:adipose_stem_cells: 0.42, Chondrocytes:MSC-derived: 0.42, iPS_cells:fibroblast-derived:Direct_del._reprog: 0.41, Erythroblast: 0.4, Gametocytes:oocyte: 0.4 |
X70_TGGGAAGTCTTAGTTC | Astrocyte:Embryonic_stem_cell-derived | 0.00 | 392.46 | Raw ScoresAstrocyte:Embryonic_stem_cell-derived: 0.5, BM: 0.5, B_cell: 0.5, B_cell:CXCR4+_centroblast: 0.5, B_cell:CXCR4-_centrocyte: 0.5, B_cell:Germinal_center: 0.5, B_cell:Memory: 0.5, B_cell:Naive: 0.5, B_cell:Plasma_cell: 0.5, B_cell:immature: 0.5 |
X71_GAGGCCTGTTCTCAGA | Endothelial_cells:lymphatic | 0.10 | 384.05 | Raw ScoresEndothelial_cells:lymphatic: 0.36, B_cell:CXCR4+_centroblast: 0.36, B_cell:CXCR4-_centrocyte: 0.36, DC:monocyte-derived: 0.36, Endothelial_cells:lymphatic:KSHV: 0.36, Neurons:Schwann_cell: 0.36, B_cell:immature: 0.36, CMP: 0.36, DC:monocyte-derived:AEC-conditioned: 0.36, Endothelial_cells:HUVEC: 0.36 |
X70_CCACGTTCAACAACAA | Monocyte | 0.00 | 374.28 | Raw ScoresMonocyte: 0.42, T_cell:CD4+: 0.42, B_cell: 0.42, B_cell:CXCR4+_centroblast: 0.42, B_cell:CXCR4-_centrocyte: 0.42, B_cell:Germinal_center: 0.42, B_cell:Memory: 0.42, B_cell:Naive: 0.42, B_cell:Plasma_cell: 0.42, B_cell:immature: 0.42 |
Below shows the significant enrichments of this GEP for literature curated gene lists
This data was procured from existing single cell RNA-seq maps of neuroblastoma or related relevant data.
High ranks indicate this gene is a driver of this GEP.
These curated gene list are ranked by the P-value (on this GEP) of their constituent genes.
The Mean Count column shows the mean read count in cells scoring highly (H > 50) on this gene expression program.
Genes | Weight | Rank | GTEx | DepMap | Decartes | Mean.Counts | Mean.TPM |
---|---|---|---|---|---|---|---|
PHOX2A | 0.0027463 | 1 | GTEx | DepMap | Descartes | 3.36 | 297.23 |
DBH | 0.0027151 | 2 | GTEx | DepMap | Descartes | 6.77 | 173.84 |
TH | 0.0026358 | 3 | GTEx | DepMap | Descartes | 5.56 | 57.49 |
HAND2 | 0.0024148 | 6 | GTEx | DepMap | Descartes | 1.98 | 210.43 |
DDC | 0.0023882 | 7 | GTEx | DepMap | Descartes | 1.55 | 7.41 |
CYB561 | 0.0022323 | 12 | GTEx | DepMap | Descartes | 1.37 | 29.82 |
SLC18A1 | 0.0021765 | 14 | GTEx | DepMap | Descartes | 0.69 | 6.79 |
UCHL1 | 0.0020723 | 19 | GTEx | DepMap | Descartes | 26.91 | 627.66 |
CHGB | 0.0019626 | 22 | GTEx | DepMap | Descartes | 15.57 | 620.91 |
PHOX2B | 0.0019388 | 23 | GTEx | DepMap | Descartes | 2.27 | 168.56 |
CHGA | 0.0018935 | 25 | GTEx | DepMap | Descartes | 6.83 | 329.60 |
EML5 | 0.0017559 | 31 | GTEx | DepMap | Descartes | 0.90 | 3.18 |
GATA3 | 0.0010553 | 107 | GTEx | DepMap | Descartes | 1.48 | 14.52 |
MAP1B | 0.0010434 | 112 | GTEx | DepMap | Descartes | 41.69 | 106.52 |
DISP2 | 0.0010222 | 118 | GTEx | DepMap | Descartes | 0.52 | 5.70 |
PCSK1N | 0.0008957 | 146 | GTEx | DepMap | Descartes | 13.36 | 956.70 |
NNAT | 0.0006122 | 286 | GTEx | DepMap | Descartes | 22.42 | 3058.67 |
Committed Progenitor (Hanemaaijer)
Marker genes obtained from Supplementary Table SD of Hanemaaijer et al (PMID 33500353). The authors generated single-cell RNA-seq data (sort-seq, 2,229 cells total) from mouse adrenal glads at E13.5, E14.5, E17.5, E18.5, P1 and P5. These were marker genes that matched with a similar dataset generated by Furlan et al (PMID 28684471). This particular set of markers are for the Committed Progenitor subcluster (seems to mean progenitor of chromaffin cells), which is part of the Adrenal Medulla cluster.:
Wilcoxon ranksum test P-value for gene set overrepresentation: 6.47e-13
Mean rank of genes in gene set: 338.06
Rank on gene expression program of genes in gene set:
Genes | Weight | Rank | GTEx | DepMap | Decartes | Mean.Counts | Mean.TPM |
---|---|---|---|---|---|---|---|
RGS4 | 0.0024621 | 4 | GTEx | DepMap | Descartes | 3.89 | 229.83 |
SYTL4 | 0.0024415 | 5 | GTEx | DepMap | Descartes | 2.15 | 21.52 |
SLC18A2 | 0.0023155 | 9 | GTEx | DepMap | Descartes | 0.66 | 8.03 |
DGKK | 0.0022056 | 13 | GTEx | DepMap | Descartes | 1.78 | 5.57 |
NDUFA4L2 | 0.0021457 | 16 | GTEx | DepMap | Descartes | 3.26 | 821.30 |
AGTR2 | 0.0018786 | 26 | GTEx | DepMap | Descartes | 2.59 | 244.86 |
ZDBF2 | 0.0017941 | 29 | GTEx | DepMap | Descartes | 2.72 | 26.75 |
NRK | 0.0014671 | 45 | GTEx | DepMap | Descartes | 2.46 | 12.34 |
C2CD4B | 0.0014597 | 46 | GTEx | DepMap | Descartes | 0.35 | 100.88 |
RGS5 | 0.0012542 | 67 | GTEx | DepMap | Descartes | 0.52 | 5.94 |
ATP6V1B2 | 0.0011624 | 85 | GTEx | DepMap | Descartes | 2.21 | 28.30 |
PARM1 | 0.0010060 | 122 | GTEx | DepMap | Descartes | 1.00 | 3.62 |
SYT1 | 0.0008954 | 147 | GTEx | DepMap | Descartes | 2.18 | 1.44 |
MEG3 | 0.0006207 | 277 | GTEx | DepMap | Descartes | 46.87 | 526.74 |
FAM155A | 0.0004482 | 496 | GTEx | DepMap | Descartes | 0.34 | 0.22 |
NTRK3 | 0.0003197 | 816 | GTEx | DepMap | Descartes | 1.38 | 0.54 |
MIRG | 0.0002888 | 932 | GTEx | DepMap | Descartes | 0.42 | 7.89 |
UNC5C | 0.0000951 | 2950 | GTEx | DepMap | Descartes | 0.74 | 0.58 |
Adrenergic Fig 1D (Olsen)
Similar to above, but for selected adrenergic marker genes:
Wilcoxon ranksum test P-value for gene set overrepresentation: 3.05e-09
Mean rank of genes in gene set: 302.58
Rank on gene expression program of genes in gene set:
Genes | Weight | Rank | GTEx | DepMap | Decartes | Mean.Counts | Mean.TPM |
---|---|---|---|---|---|---|---|
DBH | 0.0027151 | 2 | GTEx | DepMap | Descartes | 6.77 | 173.84 |
TH | 0.0026358 | 3 | GTEx | DepMap | Descartes | 5.56 | 57.49 |
UCHL1 | 0.0020723 | 19 | GTEx | DepMap | Descartes | 26.91 | 627.66 |
ISL1 | 0.0019781 | 21 | GTEx | DepMap | Descartes | 7.36 | 168.95 |
RGS5 | 0.0012542 | 67 | GTEx | DepMap | Descartes | 0.52 | 5.94 |
STMN2 | 0.0012503 | 68 | GTEx | DepMap | Descartes | 48.95 | 234.87 |
ELAVL4 | 0.0011077 | 96 | GTEx | DepMap | Descartes | 7.57 | 12.14 |
MAP1B | 0.0010434 | 112 | GTEx | DepMap | Descartes | 41.69 | 106.52 |
BEX1 | 0.0005466 | 355 | GTEx | DepMap | Descartes | 3.54 | 525.83 |
NRG1 | 0.0004675 | 468 | GTEx | DepMap | Descartes | 0.73 | 0.12 |
MLLT11 | 0.0002883 | 934 | GTEx | DepMap | Descartes | 11.97 | 224.84 |
RTN1 | 0.0001973 | 1486 | GTEx | DepMap | Descartes | 33.42 | 45.34 |
Below shows ranks on this GEP for literature curated gene lists for large gene sets
These include those reported as mesenchymal/adrenergic by Van Groningen et al.
High ranks indicate this gene is a driver of this GEP (note these results are not ordered).
The Mean Count column shows the mean read count in cells scoring highly (H > 50) on this gene expression program.
VanGroningen Adrenergic Genes
Adrenergic marker genes from Supplementary Table 2 of Van Groningen et al. Nature Genetics 2017. These genes were identified by differential expression analysis of mesenchymal-like and adrenergic-like neuroblastoma cell lines.
Wilcoxon ranksum test P-value for gene set overrepresentation: 1.08e-26
Mean rank of genes in gene set: 6486.02
Median rank of genes in gene set: 3190
Rank on gene expression program of top 30 genes in gene set:
Genes | Weight | Rank | GTEx | DepMap | Descartes | Mean.Counts | Mean.TPM |
---|---|---|---|---|---|---|---|
PHOX2A | 0.0027463 | 1 | GTEx | DepMap | Descartes | 3.36 | 297.23 |
DBH | 0.0027151 | 2 | GTEx | DepMap | Descartes | 6.77 | 173.84 |
TH | 0.0026358 | 3 | GTEx | DepMap | Descartes | 5.56 | 57.49 |
DDC | 0.0023882 | 7 | GTEx | DepMap | Descartes | 1.55 | 7.41 |
HAND1 | 0.0023402 | 8 | GTEx | DepMap | Descartes | 1.37 | 137.38 |
NEFM | 0.0022375 | 10 | GTEx | DepMap | Descartes | 42.00 | 251.26 |
GCH1 | 0.0022364 | 11 | GTEx | DepMap | Descartes | 0.69 | 8.42 |
NEFL | 0.0021639 | 15 | GTEx | DepMap | Descartes | 33.12 | 1500.94 |
GAP43 | 0.0021384 | 17 | GTEx | DepMap | Descartes | 22.24 | 55.56 |
ISL1 | 0.0019781 | 21 | GTEx | DepMap | Descartes | 7.36 | 168.95 |
CHGB | 0.0019626 | 22 | GTEx | DepMap | Descartes | 15.57 | 620.91 |
PHOX2B | 0.0019388 | 23 | GTEx | DepMap | Descartes | 2.27 | 168.56 |
CHGA | 0.0018935 | 25 | GTEx | DepMap | Descartes | 6.83 | 329.60 |
FKBP1B | 0.0018786 | 27 | GTEx | DepMap | Descartes | 3.57 | 79.70 |
CCND1 | 0.0015920 | 35 | GTEx | DepMap | Descartes | 9.83 | 285.92 |
PRPH | 0.0013940 | 52 | GTEx | DepMap | Descartes | 18.85 | 884.61 |
FAM163A | 0.0013639 | 54 | GTEx | DepMap | Descartes | 0.32 | 0.96 |
RET | 0.0012710 | 64 | GTEx | DepMap | Descartes | 1.15 | 5.98 |
CADM1 | 0.0012583 | 66 | GTEx | DepMap | Descartes | 4.37 | 3.59 |
RGS5 | 0.0012542 | 67 | GTEx | DepMap | Descartes | 0.52 | 5.94 |
STMN2 | 0.0012503 | 68 | GTEx | DepMap | Descartes | 48.95 | 234.87 |
SNAP25 | 0.0012142 | 75 | GTEx | DepMap | Descartes | 1.89 | 7.21 |
DLK1 | 0.0012009 | 78 | GTEx | DepMap | Descartes | 6.16 | 243.48 |
SLC10A4 | 0.0011980 | 79 | GTEx | DepMap | Descartes | 0.66 | 42.56 |
NELFCD | 0.0011767 | 83 | GTEx | DepMap | Descartes | 1.71 | 55.33 |
RIMBP2 | 0.0011637 | 84 | GTEx | DepMap | Descartes | 0.27 | 0.43 |
ATP6V1B2 | 0.0011624 | 85 | GTEx | DepMap | Descartes | 2.21 | 28.30 |
INSM2 | 0.0011565 | 86 | GTEx | DepMap | Descartes | 0.43 | 59.96 |
EYA1 | 0.0011417 | 88 | GTEx | DepMap | Descartes | 0.78 | 1.94 |
BEX2 | 0.0011082 | 95 | GTEx | DepMap | Descartes | 9.72 | 1630.26 |
VanGroningen Mesenchymal Genes
Mesenchymal marker genes from Supplementary Table 2 of Van Groningen et al. Nature Genetics 2017. These genes were identified by differential expression analysis of mesenchymal-like and adrenergic-like neuroblastoma cell lines.
Wilcoxon ranksum test P-value for gene set overrepresentation: 1.00e+00
Mean rank of genes in gene set: 13998.44
Median rank of genes in gene set: 17310
Rank on gene expression program of top 30 genes in gene set:
Genes | Weight | Rank | GTEx | DepMap | Descartes | Mean.Counts | Mean.TPM |
---|---|---|---|---|---|---|---|
IFITM2 | 0.0010453 | 110 | GTEx | DepMap | Descartes | 5.96 | 1765.25 |
FAM102B | 0.0010294 | 116 | GTEx | DepMap | Descartes | 2.08 | 7.89 |
SHC1 | 0.0005960 | 299 | GTEx | DepMap | Descartes | 0.62 | 15.71 |
PDE3A | 0.0005474 | 352 | GTEx | DepMap | Descartes | 0.28 | 0.32 |
FAM43A | 0.0005380 | 363 | GTEx | DepMap | Descartes | 0.23 | 29.48 |
RGS10 | 0.0004841 | 439 | GTEx | DepMap | Descartes | 1.68 | 7.69 |
DLC1 | 0.0004736 | 462 | GTEx | DepMap | Descartes | 0.89 | 0.63 |
TMEFF2 | 0.0004548 | 482 | GTEx | DepMap | Descartes | 1.98 | 1.49 |
ARMCX2 | 0.0004482 | 495 | GTEx | DepMap | Descartes | 1.95 | 118.81 |
RGS3 | 0.0003783 | 631 | GTEx | DepMap | Descartes | 1.44 | 2.58 |
SEL1L3 | 0.0003713 | 657 | GTEx | DepMap | Descartes | 0.36 | 0.75 |
RBMS1 | 0.0003590 | 697 | GTEx | DepMap | Descartes | 2.64 | 2.49 |
MANF | 0.0003275 | 783 | GTEx | DepMap | Descartes | 3.31 | 15.82 |
ANXA5 | 0.0003188 | 818 | GTEx | DepMap | Descartes | 4.80 | 32.95 |
ENAH | 0.0003184 | 822 | GTEx | DepMap | Descartes | 3.79 | 8.11 |
NFIC | 0.0003173 | 826 | GTEx | DepMap | Descartes | 1.42 | 6.77 |
TMEM50A | 0.0003065 | 869 | GTEx | DepMap | Descartes | 2.63 | 39.12 |
CBFB | 0.0002873 | 941 | GTEx | DepMap | Descartes | 1.12 | 4.10 |
VIM | 0.0002773 | 992 | GTEx | DepMap | Descartes | 26.17 | 640.43 |
ATP1B1 | 0.0002681 | 1024 | GTEx | DepMap | Descartes | 2.19 | 21.90 |
NRP1 | 0.0002632 | 1043 | GTEx | DepMap | Descartes | 4.30 | 6.65 |
SIX1 | 0.0002524 | 1102 | GTEx | DepMap | Descartes | 0.72 | 11.39 |
RNH1 | 0.0002451 | 1142 | GTEx | DepMap | Descartes | 1.40 | 31.66 |
ACADVL | 0.0002320 | 1227 | GTEx | DepMap | Descartes | 0.60 | 33.23 |
PRDX6 | 0.0002269 | 1257 | GTEx | DepMap | Descartes | 3.98 | 93.94 |
ADAM19 | 0.0002235 | 1276 | GTEx | DepMap | Descartes | 0.55 | 1.15 |
APP | 0.0002227 | 1283 | GTEx | DepMap | Descartes | 4.22 | 4.79 |
PEAK1 | 0.0002195 | 1308 | GTEx | DepMap | Descartes | 0.61 | 0.70 |
ITM2B | 0.0002187 | 1319 | GTEx | DepMap | Descartes | 7.82 | 72.44 |
TMBIM4 | 0.0002143 | 1353 | GTEx | DepMap | Descartes | 1.02 | 11.61 |
Descartes adrenocortical markers
Top 50 marker genes of adrenocortical cells in the Decartes fetal adrenal single cell map (https://atlas.brotmanbaty.org/bbi/human-gene-expression-during-development/cell/adrenocortical/in/adrenal)
Wilcoxon ranksum test P-value for gene set overrepresentation: 7.16e-01
Mean rank of genes in gene set: 10156.38
Median rank of genes in gene set: 11069.5
Rank on gene expression program of top 30 genes in gene set:
Genes | Weight | Rank | GTEx | DepMap | Descartes | Mean.Counts | Mean.TPM |
---|---|---|---|---|---|---|---|
FDPS | 0.0006769 | 236 | GTEx | DepMap | Descartes | 4.53 | 133.95 |
PDE10A | 0.0006261 | 268 | GTEx | DepMap | Descartes | 0.64 | 0.39 |
GRAMD1B | 0.0003335 | 763 | GTEx | DepMap | Descartes | 0.23 | 0.26 |
TM7SF2 | 0.0002103 | 1375 | GTEx | DepMap | Descartes | 0.41 | 15.87 |
DHCR24 | 0.0001936 | 1515 | GTEx | DepMap | Descartes | 1.02 | 7.64 |
LDLR | 0.0001586 | 1875 | GTEx | DepMap | Descartes | 0.27 | 2.43 |
HMGCR | 0.0001538 | 1943 | GTEx | DepMap | Descartes | 2.35 | 29.65 |
MSMO1 | 0.0001297 | 2306 | GTEx | DepMap | Descartes | 1.56 | 26.87 |
DHCR7 | 0.0001295 | 2308 | GTEx | DepMap | Descartes | 0.72 | 7.03 |
POR | 0.0001164 | 2546 | GTEx | DepMap | Descartes | 0.95 | 4.14 |
CYB5B | 0.0001085 | 2668 | GTEx | DepMap | Descartes | 0.76 | 4.79 |
HMGCS1 | 0.0000617 | 3954 | GTEx | DepMap | Descartes | 4.74 | 67.91 |
SCAP | 0.0000555 | 4188 | GTEx | DepMap | Descartes | 0.44 | 2.02 |
SLC16A9 | 0.0000476 | 4549 | GTEx | DepMap | Descartes | 0.02 | 0.16 |
ERN1 | 0.0000254 | 5706 | GTEx | DepMap | Descartes | 0.04 | 0.12 |
CYP17A1 | 0.0000095 | 6846 | GTEx | DepMap | Descartes | 0.00 | 0.02 |
SCARB1 | -0.0000002 | 7750 | GTEx | DepMap | Descartes | 0.14 | 0.55 |
STAR | -0.0000049 | 8232 | GTEx | DepMap | Descartes | 0.01 | 0.38 |
CYP11A1 | -0.0000100 | 8899 | GTEx | DepMap | Descartes | 0.01 | 0.09 |
HSPD1 | -0.0000188 | 10368 | GTEx | DepMap | Descartes | 6.94 | 155.33 |
CYP11B1 | -0.0000224 | 10942 | GTEx | DepMap | Descartes | 0.00 | 0.00 |
INHA | -0.0000238 | 11197 | GTEx | DepMap | Descartes | 0.16 | 12.63 |
JAKMIP2 | -0.0000245 | 11339 | GTEx | DepMap | Descartes | 0.78 | 1.27 |
FDXR | -0.0000335 | 12546 | GTEx | DepMap | Descartes | 0.24 | 7.14 |
SGCZ | -0.0000384 | 13082 | GTEx | DepMap | Descartes | 0.07 | 0.01 |
FDX1 | -0.0000415 | 13377 | GTEx | DepMap | Descartes | 0.56 | 6.15 |
MC2R | -0.0000479 | 13934 | GTEx | DepMap | Descartes | 0.00 | 0.00 |
CLU | -0.0000496 | 14091 | GTEx | DepMap | Descartes | 0.23 | 2.81 |
IGF1R | -0.0000511 | 14205 | GTEx | DepMap | Descartes | 1.64 | 1.42 |
NPC1 | -0.0000618 | 14912 | GTEx | DepMap | Descartes | 0.32 | 1.58 |
Descartes chromaffin markers
Top 50 marker genes of chromaffin cells in the Decartes fetal adrenal single cell map (https://atlas.brotmanbaty.org/bbi/human-gene-expression-during-development/cell/chromaffin/in/adrenal)
Wilcoxon ranksum test P-value for gene set overrepresentation: 5.51e-10
Mean rank of genes in gene set: 4544.5
Median rank of genes in gene set: 950
Rank on gene expression program of top 30 genes in gene set:
Genes | Weight | Rank | GTEx | DepMap | Descartes | Mean.Counts | Mean.TPM |
---|---|---|---|---|---|---|---|
GAP43 | 0.0021384 | 17 | GTEx | DepMap | Descartes | 22.24 | 55.56 |
ISL1 | 0.0019781 | 21 | GTEx | DepMap | Descartes | 7.36 | 168.95 |
CCND1 | 0.0015920 | 35 | GTEx | DepMap | Descartes | 9.83 | 285.92 |
PRPH | 0.0013940 | 52 | GTEx | DepMap | Descartes | 18.85 | 884.61 |
STMN2 | 0.0012503 | 68 | GTEx | DepMap | Descartes | 48.95 | 234.87 |
SLC6A2 | 0.0011807 | 81 | GTEx | DepMap | Descartes | 0.26 | 2.46 |
EYA1 | 0.0011417 | 88 | GTEx | DepMap | Descartes | 0.78 | 1.94 |
GAL | 0.0011042 | 98 | GTEx | DepMap | Descartes | 6.81 | 354.40 |
NTRK1 | 0.0010490 | 109 | GTEx | DepMap | Descartes | 11.08 | 172.76 |
MAP1B | 0.0010434 | 112 | GTEx | DepMap | Descartes | 41.69 | 106.52 |
HMX1 | 0.0009451 | 129 | GTEx | DepMap | Descartes | 1.11 | 21.53 |
CNTFR | 0.0009226 | 138 | GTEx | DepMap | Descartes | 2.06 | 15.50 |
PLXNA4 | 0.0006254 | 270 | GTEx | DepMap | Descartes | 1.62 | 0.77 |
ELAVL2 | 0.0006068 | 289 | GTEx | DepMap | Descartes | 5.47 | 9.44 |
STMN4 | 0.0005490 | 350 | GTEx | DepMap | Descartes | 5.36 | 84.30 |
CNKSR2 | 0.0005388 | 362 | GTEx | DepMap | Descartes | 0.38 | 0.57 |
TMEFF2 | 0.0004548 | 482 | GTEx | DepMap | Descartes | 1.98 | 1.49 |
TUBA1A | 0.0004061 | 563 | GTEx | DepMap | Descartes | 141.36 | 9621.54 |
BASP1 | 0.0003926 | 588 | GTEx | DepMap | Descartes | 48.69 | 267.41 |
KCNB2 | 0.0003861 | 606 | GTEx | DepMap | Descartes | 0.62 | 0.31 |
NPY | 0.0003382 | 754 | GTEx | DepMap | Descartes | 3.88 | 231.10 |
MLLT11 | 0.0002883 | 934 | GTEx | DepMap | Descartes | 11.97 | 224.84 |
MARCH11 | 0.0002818 | 966 | GTEx | DepMap | Descartes | 0.39 | 0.82 |
RYR2 | 0.0002211 | 1297 | GTEx | DepMap | Descartes | 0.17 | 0.07 |
PTCHD1 | 0.0002163 | 1341 | GTEx | DepMap | Descartes | 0.09 | 0.57 |
TUBB2A | 0.0001786 | 1649 | GTEx | DepMap | Descartes | 14.06 | 902.31 |
ANKFN1 | 0.0001631 | 1818 | GTEx | DepMap | Descartes | 0.01 | 0.00 |
HS3ST5 | 0.0001512 | 1974 | GTEx | DepMap | Descartes | 0.17 | 0.19 |
RPH3A | 0.0001376 | 2164 | GTEx | DepMap | Descartes | 0.15 | 0.61 |
ALK | 0.0000703 | 3661 | GTEx | DepMap | Descartes | 0.01 | 0.00 |
Descartes Vascular_endothelial markers
Top 50 marker genes of Vascular_endothelial cells in the Decartes fetal adrenal single cell map (https://atlas.brotmanbaty.org/bbi/human-gene-expression-during-development/cell/vascular_endothelial/in/adrenal)
Wilcoxon ranksum test P-value for gene set overrepresentation: 1.00e+00
Mean rank of genes in gene set: 12592.19
Median rank of genes in gene set: 14260
Rank on gene expression program of top 30 genes in gene set:
Genes | Weight | Rank | GTEx | DepMap | Descartes | Mean.Counts | Mean.TPM |
---|---|---|---|---|---|---|---|
MYRIP | 0.0001576 | 1887 | GTEx | DepMap | Descartes | 0.04 | 0.06 |
CHRM3 | 0.0000838 | 3248 | GTEx | DepMap | Descartes | 0.03 | 0.01 |
EHD3 | 0.0000764 | 3448 | GTEx | DepMap | Descartes | 0.41 | 3.60 |
KANK3 | 0.0000359 | 5087 | GTEx | DepMap | Descartes | 0.13 | 2.86 |
F8 | 0.0000244 | 5774 | GTEx | DepMap | Descartes | 0.03 | 0.04 |
NR5A2 | 0.0000177 | 6220 | GTEx | DepMap | Descartes | 0.03 | 0.04 |
GALNT15 | 0.0000045 | 7316 | GTEx | DepMap | Descartes | 0.00 | 0.00 |
PTPRB | 0.0000012 | 7618 | GTEx | DepMap | Descartes | 0.02 | 0.04 |
SLCO2A1 | -0.0000078 | 8584 | GTEx | DepMap | Descartes | 0.04 | 0.06 |
ESM1 | -0.0000082 | 8645 | GTEx | DepMap | Descartes | 0.00 | 0.01 |
CLDN5 | -0.0000083 | 8659 | GTEx | DepMap | Descartes | 0.04 | 9.40 |
DNASE1L3 | -0.0000099 | 8892 | GTEx | DepMap | Descartes | 0.00 | 0.02 |
CEACAM1 | -0.0000187 | 10360 | GTEx | DepMap | Descartes | 0.00 | 0.03 |
BTNL9 | -0.0000201 | 10568 | GTEx | DepMap | Descartes | 0.00 | 0.01 |
TMEM88 | -0.0000337 | 12563 | GTEx | DepMap | Descartes | 0.05 | 6.99 |
ROBO4 | -0.0000356 | 12786 | GTEx | DepMap | Descartes | 0.00 | 0.00 |
SHANK3 | -0.0000410 | 13328 | GTEx | DepMap | Descartes | 0.03 | 0.08 |
FCGR2B | -0.0000441 | 13606 | GTEx | DepMap | Descartes | 0.00 | 0.01 |
MMRN2 | -0.0000446 | 13648 | GTEx | DepMap | Descartes | 0.01 | 0.10 |
FLT4 | -0.0000474 | 13890 | GTEx | DepMap | Descartes | 0.00 | 0.00 |
SOX18 | -0.0000491 | 14040 | GTEx | DepMap | Descartes | 0.01 | 0.96 |
EFNB2 | -0.0000520 | 14260 | GTEx | DepMap | Descartes | 0.57 | 2.95 |
NPR1 | -0.0000528 | 14321 | GTEx | DepMap | Descartes | 0.01 | 0.19 |
CRHBP | -0.0000534 | 14387 | GTEx | DepMap | Descartes | 0.08 | 1.58 |
APLNR | -0.0000541 | 14441 | GTEx | DepMap | Descartes | 0.00 | 0.06 |
TIE1 | -0.0000567 | 14598 | GTEx | DepMap | Descartes | 0.00 | 0.01 |
SHE | -0.0000570 | 14615 | GTEx | DepMap | Descartes | 0.00 | 0.02 |
RASIP1 | -0.0000576 | 14652 | GTEx | DepMap | Descartes | 0.11 | 2.27 |
CDH5 | -0.0000595 | 14769 | GTEx | DepMap | Descartes | 0.01 | 0.05 |
PLVAP | -0.0000616 | 14895 | GTEx | DepMap | Descartes | 0.02 | 0.22 |
Descartes stromal markers
Top 50 marker genes of stromal cells in the Decartes fetal adrenal single cell map (https://atlas.brotmanbaty.org/bbi/human-gene-expression-during-development/cell/stromal/in/adrenal)
Wilcoxon ranksum test P-value for gene set overrepresentation: 1.00e+00
Mean rank of genes in gene set: 16731.96
Median rank of genes in gene set: 18263.5
Rank on gene expression program of top 30 genes in gene set:
Genes | Weight | Rank | GTEx | DepMap | Descartes | Mean.Counts | Mean.TPM |
---|---|---|---|---|---|---|---|
LAMC3 | 0.0000710 | 3641 | GTEx | DepMap | Descartes | 0.01 | 0.07 |
C7 | 0.0000268 | 5607 | GTEx | DepMap | Descartes | 0.00 | 0.00 |
SULT1E1 | -0.0000151 | 9709 | GTEx | DepMap | Descartes | 0.00 | 0.00 |
CLDN11 | -0.0000176 | 10160 | GTEx | DepMap | Descartes | 0.12 | 2.90 |
ABCC9 | -0.0000321 | 12373 | GTEx | DepMap | Descartes | 0.03 | 0.05 |
ABCA6 | -0.0000430 | 13526 | GTEx | DepMap | Descartes | 0.01 | 0.02 |
FNDC1 | -0.0000483 | 13971 | GTEx | DepMap | Descartes | 0.03 | 0.05 |
ITGA11 | -0.0000534 | 14380 | GTEx | DepMap | Descartes | 0.01 | 0.02 |
ADAMTSL3 | -0.0000541 | 14437 | GTEx | DepMap | Descartes | 0.00 | 0.00 |
ELN | -0.0000718 | 15490 | GTEx | DepMap | Descartes | 0.12 | 0.60 |
HHIP | -0.0000785 | 15810 | GTEx | DepMap | Descartes | 0.04 | 0.12 |
SCARA5 | -0.0000864 | 16142 | GTEx | DepMap | Descartes | 0.01 | 0.01 |
EDNRA | -0.0000990 | 16634 | GTEx | DepMap | Descartes | 0.09 | 0.23 |
PRICKLE1 | -0.0000991 | 16637 | GTEx | DepMap | Descartes | 0.17 | 0.50 |
CD248 | -0.0001204 | 17246 | GTEx | DepMap | Descartes | 0.20 | 14.97 |
ADAMTS2 | -0.0001206 | 17252 | GTEx | DepMap | Descartes | 0.02 | 0.02 |
PAMR1 | -0.0001207 | 17254 | GTEx | DepMap | Descartes | 0.03 | 0.06 |
FREM1 | -0.0001234 | 17327 | GTEx | DepMap | Descartes | 0.06 | 0.04 |
ACTA2 | -0.0001356 | 17598 | GTEx | DepMap | Descartes | 1.12 | 7.89 |
GLI2 | -0.0001369 | 17612 | GTEx | DepMap | Descartes | 0.05 | 0.04 |
PCOLCE | -0.0001735 | 18224 | GTEx | DepMap | Descartes | 0.29 | 8.18 |
LRRC17 | -0.0001755 | 18251 | GTEx | DepMap | Descartes | 0.15 | 0.76 |
RSPO3 | -0.0001766 | 18263 | GTEx | DepMap | Descartes | 0.14 | 0.17 |
CCDC80 | -0.0001766 | 18264 | GTEx | DepMap | Descartes | 0.12 | 0.76 |
IGFBP3 | -0.0001808 | 18310 | GTEx | DepMap | Descartes | 0.27 | 4.66 |
MGP | -0.0001906 | 18409 | GTEx | DepMap | Descartes | 0.34 | 16.88 |
LOX | -0.0001907 | 18413 | GTEx | DepMap | Descartes | 0.09 | 0.87 |
LUM | -0.0002021 | 18517 | GTEx | DepMap | Descartes | 0.27 | 5.21 |
OGN | -0.0002076 | 18579 | GTEx | DepMap | Descartes | 0.22 | 2.23 |
DKK2 | -0.0002083 | 18584 | GTEx | DepMap | Descartes | 0.20 | 0.20 |
Descartes sympathoblasts markers
Top 50 marker genes of sympathoblasts cells in the Decartes fetal adrenal single cell map (https://atlas.brotmanbaty.org/bbi/human-gene-expression-during-development/cell/sympathoblasts/in/adrenal)
Wilcoxon ranksum test P-value for gene set overrepresentation: 2.37e-04
Mean rank of genes in gene set: 6659.21
Median rank of genes in gene set: 3110
Rank on gene expression program of top 30 genes in gene set:
Genes | Weight | Rank | GTEx | DepMap | Descartes | Mean.Counts | Mean.TPM |
---|---|---|---|---|---|---|---|
GCH1 | 0.0022364 | 11 | GTEx | DepMap | Descartes | 0.69 | 8.42 |
DGKK | 0.0022056 | 13 | GTEx | DepMap | Descartes | 1.78 | 5.57 |
SLC18A1 | 0.0021765 | 14 | GTEx | DepMap | Descartes | 0.69 | 6.79 |
CHGB | 0.0019626 | 22 | GTEx | DepMap | Descartes | 15.57 | 620.91 |
CHGA | 0.0018935 | 25 | GTEx | DepMap | Descartes | 6.83 | 329.60 |
C1QL1 | 0.0012186 | 73 | GTEx | DepMap | Descartes | 0.68 | 41.45 |
INSM1 | 0.0010215 | 119 | GTEx | DepMap | Descartes | 1.07 | 120.28 |
PCSK1N | 0.0008957 | 146 | GTEx | DepMap | Descartes | 13.36 | 956.70 |
UNC80 | 0.0006792 | 234 | GTEx | DepMap | Descartes | 0.24 | 0.37 |
SLC24A2 | 0.0005837 | 314 | GTEx | DepMap | Descartes | 0.09 | 0.08 |
SCG2 | 0.0005000 | 412 | GTEx | DepMap | Descartes | 0.27 | 18.05 |
TBX20 | 0.0004716 | 464 | GTEx | DepMap | Descartes | 0.19 | 1.42 |
FAM155A | 0.0004482 | 496 | GTEx | DepMap | Descartes | 0.34 | 0.22 |
KSR2 | 0.0004195 | 540 | GTEx | DepMap | Descartes | 0.29 | 0.25 |
PACRG | 0.0003602 | 690 | GTEx | DepMap | Descartes | 0.14 | 0.12 |
ST18 | 0.0003293 | 778 | GTEx | DepMap | Descartes | 0.68 | 0.70 |
ARC | 0.0002359 | 1200 | GTEx | DepMap | Descartes | 0.04 | 4.60 |
PNMT | 0.0002337 | 1220 | GTEx | DepMap | Descartes | 0.02 | 5.99 |
SPOCK3 | 0.0002205 | 1302 | GTEx | DepMap | Descartes | 0.89 | 0.50 |
AGBL4 | 0.0001232 | 2423 | GTEx | DepMap | Descartes | 0.02 | 0.00 |
PCSK2 | 0.0001042 | 2756 | GTEx | DepMap | Descartes | 0.76 | 0.67 |
EML6 | 0.0000760 | 3464 | GTEx | DepMap | Descartes | 0.03 | 0.03 |
KCTD16 | 0.0000619 | 3944 | GTEx | DepMap | Descartes | 0.01 | 0.01 |
CDH12 | 0.0000360 | 5083 | GTEx | DepMap | Descartes | 0.09 | 0.01 |
CCSER1 | 0.0000294 | 5461 | GTEx | DepMap | Descartes | 0.17 | 0.04 |
SLC35F3 | 0.0000169 | 6267 | GTEx | DepMap | Descartes | 0.01 | 0.01 |
TENM1 | -0.0000042 | 8152 | GTEx | DepMap | Descartes | 0.14 | 0.04 |
PENK | -0.0000123 | 9272 | GTEx | DepMap | Descartes | 0.40 | 22.65 |
FGF14 | -0.0000294 | 12012 | GTEx | DepMap | Descartes | 0.02 | 0.01 |
CNTN3 | -0.0000327 | 12446 | GTEx | DepMap | Descartes | 0.03 | 0.02 |
Descartes erythroblasts markers
Top 50 marker genes of erythroblasts cells in the Decartes fetal adrenal single cell map (https://atlas.brotmanbaty.org/bbi/human-gene-expression-during-development/cell/erythroblasts/in/adrenal)
Wilcoxon ranksum test P-value for gene set overrepresentation: 7.69e-01
Mean rank of genes in gene set: 10348.39
Median rank of genes in gene set: 12008.5
Rank on gene expression program of top 30 genes in gene set:
Genes | Weight | Rank | GTEx | DepMap | Descartes | Mean.Counts | Mean.TPM |
---|---|---|---|---|---|---|---|
SPTB | 0.0007578 | 198 | GTEx | DepMap | Descartes | 0.33 | 0.86 |
SNCA | 0.0004492 | 491 | GTEx | DepMap | Descartes | 1.02 | 1.54 |
TMCC2 | 0.0003980 | 579 | GTEx | DepMap | Descartes | 0.72 | 5.51 |
ABCB10 | 0.0002998 | 892 | GTEx | DepMap | Descartes | 0.31 | 3.04 |
EPB41 | 0.0002223 | 1286 | GTEx | DepMap | Descartes | 1.76 | 3.18 |
TMEM56 | 0.0001784 | 1651 | GTEx | DepMap | Descartes | 0.03 | 0.13 |
CR1L | 0.0001202 | 2479 | GTEx | DepMap | Descartes | 0.42 | 3.60 |
TRAK2 | 0.0000749 | 3508 | GTEx | DepMap | Descartes | 0.30 | 1.14 |
DENND4A | 0.0000667 | 3771 | GTEx | DepMap | Descartes | 0.10 | 0.24 |
CPOX | 0.0000630 | 3890 | GTEx | DepMap | Descartes | 0.32 | 1.50 |
RAPGEF2 | 0.0000378 | 4989 | GTEx | DepMap | Descartes | 0.35 | 0.41 |
TFR2 | 0.0000235 | 5826 | GTEx | DepMap | Descartes | 0.02 | 0.35 |
MICAL2 | 0.0000048 | 7289 | GTEx | DepMap | Descartes | 0.06 | 0.09 |
EPB42 | -0.0000197 | 10505 | GTEx | DepMap | Descartes | 0.00 | 0.00 |
RHD | -0.0000248 | 11382 | GTEx | DepMap | Descartes | 0.01 | 0.03 |
RHAG | -0.0000267 | 11635 | GTEx | DepMap | Descartes | 0.00 | 0.00 |
SLC4A1 | -0.0000283 | 11861 | GTEx | DepMap | Descartes | 0.00 | 0.00 |
SPTA1 | -0.0000290 | 11957 | GTEx | DepMap | Descartes | 0.00 | 0.00 |
GYPA | -0.0000298 | 12060 | GTEx | DepMap | Descartes | 0.00 | 0.01 |
SLC25A21 | -0.0000316 | 12288 | GTEx | DepMap | Descartes | 0.00 | 0.00 |
ALAS2 | -0.0000327 | 12445 | GTEx | DepMap | Descartes | 0.00 | 0.00 |
HEMGN | -0.0000381 | 13056 | GTEx | DepMap | Descartes | 0.00 | 0.01 |
SLC25A37 | -0.0000438 | 13579 | GTEx | DepMap | Descartes | 0.12 | 0.59 |
GCLC | -0.0000463 | 13781 | GTEx | DepMap | Descartes | 0.25 | 1.27 |
FECH | -0.0000478 | 13923 | GTEx | DepMap | Descartes | 0.30 | 2.41 |
RGS6 | -0.0000479 | 13940 | GTEx | DepMap | Descartes | 0.03 | 0.01 |
CAT | -0.0000613 | 14876 | GTEx | DepMap | Descartes | 0.80 | 6.17 |
MARCH3 | -0.0000787 | 15817 | GTEx | DepMap | Descartes | 0.02 | 0.02 |
XPO7 | -0.0000880 | 16217 | GTEx | DepMap | Descartes | 0.54 | 1.28 |
ANK1 | -0.0000975 | 16566 | GTEx | DepMap | Descartes | 0.10 | 0.09 |
Descartes myeloid markers
Top 50 marker genes of myeloid cells in the Decartes fetal adrenal single cell map (https://atlas.brotmanbaty.org/bbi/human-gene-expression-during-development/cell/myeloid/in/adrenal)
Wilcoxon ranksum test P-value for gene set overrepresentation: 9.97e-01
Mean rank of genes in gene set: 12020.69
Median rank of genes in gene set: 13509
Rank on gene expression program of top 30 genes in gene set:
Genes | Weight | Rank | GTEx | DepMap | Descartes | Mean.Counts | Mean.TPM |
---|---|---|---|---|---|---|---|
SLC9A9 | 0.0004490 | 493 | GTEx | DepMap | Descartes | 0.29 | 0.08 |
FMN1 | 0.0004130 | 558 | GTEx | DepMap | Descartes | 0.23 | 0.14 |
CPVL | 0.0001702 | 1742 | GTEx | DepMap | Descartes | 0.00 | 0.01 |
LGMN | 0.0001310 | 2279 | GTEx | DepMap | Descartes | 0.55 | 2.86 |
CTSB | 0.0000948 | 2961 | GTEx | DepMap | Descartes | 1.97 | 22.79 |
HRH1 | 0.0000620 | 3939 | GTEx | DepMap | Descartes | 0.00 | 0.00 |
CST3 | 0.0000517 | 4361 | GTEx | DepMap | Descartes | 5.98 | 383.16 |
CTSD | 0.0000050 | 7277 | GTEx | DepMap | Descartes | 1.97 | 45.75 |
SPP1 | -0.0000015 | 7873 | GTEx | DepMap | Descartes | 0.13 | 1.46 |
ITPR2 | -0.0000041 | 8142 | GTEx | DepMap | Descartes | 0.12 | 0.08 |
ATP8B4 | -0.0000062 | 8378 | GTEx | DepMap | Descartes | 0.00 | 0.00 |
RNASE1 | -0.0000138 | 9511 | GTEx | DepMap | Descartes | 0.00 | 0.10 |
ADAP2 | -0.0000203 | 10600 | GTEx | DepMap | Descartes | 0.00 | 0.00 |
SFMBT2 | -0.0000239 | 11207 | GTEx | DepMap | Descartes | 0.04 | 0.07 |
FGD2 | -0.0000295 | 12021 | GTEx | DepMap | Descartes | 0.09 | 0.62 |
CD74 | -0.0000319 | 12339 | GTEx | DepMap | Descartes | 0.01 | 0.28 |
SLCO2B1 | -0.0000334 | 12542 | GTEx | DepMap | Descartes | 0.01 | 0.03 |
FGL2 | -0.0000355 | 12775 | GTEx | DepMap | Descartes | 0.02 | 0.48 |
MSR1 | -0.0000380 | 13046 | GTEx | DepMap | Descartes | 0.00 | 0.02 |
HCK | -0.0000412 | 13340 | GTEx | DepMap | Descartes | 0.01 | 0.05 |
CD14 | -0.0000412 | 13344 | GTEx | DepMap | Descartes | 0.00 | 0.23 |
C1QA | -0.0000450 | 13674 | GTEx | DepMap | Descartes | 0.02 | 0.55 |
MPEG1 | -0.0000458 | 13744 | GTEx | DepMap | Descartes | 0.01 | 0.12 |
CSF1R | -0.0000475 | 13902 | GTEx | DepMap | Descartes | 0.02 | 0.07 |
CYBB | -0.0000478 | 13922 | GTEx | DepMap | Descartes | 0.00 | 0.01 |
MS4A4A | -0.0000483 | 13970 | GTEx | DepMap | Descartes | 0.00 | 0.00 |
MS4A7 | -0.0000528 | 14326 | GTEx | DepMap | Descartes | 0.01 | 0.04 |
IFNGR1 | -0.0000547 | 14480 | GTEx | DepMap | Descartes | 0.18 | 2.35 |
CTSS | -0.0000577 | 14666 | GTEx | DepMap | Descartes | 0.01 | 0.03 |
C1QC | -0.0000590 | 14741 | GTEx | DepMap | Descartes | 0.04 | 1.07 |
Descartes Schwann markers
Top 50 marker genes of Schwann cells in the Decartes fetal adrenal single cell map (https://atlas.brotmanbaty.org/bbi/human-gene-expression-during-development/cell/schwann/in/adrenal)
Wilcoxon ranksum test P-value for gene set overrepresentation: 1.00e+00
Mean rank of genes in gene set: 14677.21
Median rank of genes in gene set: 18367
Rank on gene expression program of top 30 genes in gene set:
Genes | Weight | Rank | GTEx | DepMap | Descartes | Mean.Counts | Mean.TPM |
---|---|---|---|---|---|---|---|
DST | 0.0006470 | 254 | GTEx | DepMap | Descartes | 5.53 | 3.29 |
GFRA3 | 0.0006326 | 262 | GTEx | DepMap | Descartes | 2.43 | 19.59 |
FAM134B | 0.0005197 | 379 | GTEx | DepMap | Descartes | 0.61 | NA |
SCN7A | 0.0004388 | 510 | GTEx | DepMap | Descartes | 0.48 | 0.60 |
VIM | 0.0002773 | 992 | GTEx | DepMap | Descartes | 26.17 | 640.43 |
PMP22 | 0.0001084 | 2669 | GTEx | DepMap | Descartes | 1.24 | 13.59 |
XKR4 | 0.0001004 | 2842 | GTEx | DepMap | Descartes | 0.17 | NA |
IL1RAPL2 | 0.0000577 | 4104 | GTEx | DepMap | Descartes | 0.01 | 0.00 |
SORCS1 | 0.0000453 | 4655 | GTEx | DepMap | Descartes | 0.19 | 0.09 |
PAG1 | 0.0000059 | 7186 | GTEx | DepMap | Descartes | 0.21 | 0.25 |
NRXN1 | -0.0000230 | 11042 | GTEx | DepMap | Descartes | 2.42 | 0.50 |
PLCE1 | -0.0000323 | 12390 | GTEx | DepMap | Descartes | 0.23 | 0.19 |
TRPM3 | -0.0000719 | 15492 | GTEx | DepMap | Descartes | 0.04 | 0.01 |
LRRTM4 | -0.0000770 | 15746 | GTEx | DepMap | Descartes | 0.06 | 0.03 |
STARD13 | -0.0000830 | 16003 | GTEx | DepMap | Descartes | 0.11 | 0.13 |
GRIK3 | -0.0000912 | 16343 | GTEx | DepMap | Descartes | 0.05 | 0.06 |
PPP2R2B | -0.0000995 | 16652 | GTEx | DepMap | Descartes | 0.75 | 0.51 |
COL25A1 | -0.0001142 | 17100 | GTEx | DepMap | Descartes | 0.15 | 0.07 |
IL1RAPL1 | -0.0001506 | 17895 | GTEx | DepMap | Descartes | 0.06 | 0.01 |
OLFML2A | -0.0001560 | 17977 | GTEx | DepMap | Descartes | 0.07 | 0.22 |
MDGA2 | -0.0001575 | 18000 | GTEx | DepMap | Descartes | 0.15 | 0.04 |
CDH19 | -0.0001587 | 18021 | GTEx | DepMap | Descartes | 0.05 | 0.10 |
SLC35F1 | -0.0001624 | 18071 | GTEx | DepMap | Descartes | 0.35 | 0.19 |
NRXN3 | -0.0001854 | 18367 | GTEx | DepMap | Descartes | 1.49 | 0.21 |
EGFLAM | -0.0001878 | 18389 | GTEx | DepMap | Descartes | 0.09 | 0.09 |
SOX5 | -0.0002059 | 18552 | GTEx | DepMap | Descartes | 0.34 | 0.10 |
ADAMTS5 | -0.0002251 | 18715 | GTEx | DepMap | Descartes | 0.25 | 0.86 |
GAS7 | -0.0002375 | 18807 | GTEx | DepMap | Descartes | 0.19 | 0.15 |
LAMC1 | -0.0002404 | 18832 | GTEx | DepMap | Descartes | 0.32 | 0.45 |
PTPRZ1 | -0.0002459 | 18853 | GTEx | DepMap | Descartes | 0.59 | 0.64 |
Descartes Megakaryocytes markers
Top 50 marker genes of Megakaryocytes cells in the Decartes fetal adrenal single cell map (https://atlas.brotmanbaty.org/bbi/human-gene-expression-during-development/cell/megakaryocytes/in/adrenal)
Wilcoxon ranksum test P-value for gene set overrepresentation: 9.66e-01
Mean rank of genes in gene set: 11145.77
Median rank of genes in gene set: 13138
Rank on gene expression program of top 30 genes in gene set:
Genes | Weight | Rank | GTEx | DepMap | Descartes | Mean.Counts | Mean.TPM |
---|---|---|---|---|---|---|---|
TMSB4X | 0.0011254 | 92 | GTEx | DepMap | Descartes | 126.55 | 13263.63 |
PDE3A | 0.0005474 | 352 | GTEx | DepMap | Descartes | 0.28 | 0.32 |
UBASH3B | 0.0004646 | 473 | GTEx | DepMap | Descartes | 1.54 | 1.97 |
MCTP1 | 0.0003824 | 620 | GTEx | DepMap | Descartes | 0.03 | 0.02 |
CD9 | 0.0002584 | 1068 | GTEx | DepMap | Descartes | 1.21 | 8.80 |
HIPK2 | 0.0001979 | 1481 | GTEx | DepMap | Descartes | 1.45 | 2.37 |
SLC2A3 | 0.0001348 | 2209 | GTEx | DepMap | Descartes | 0.53 | 1.59 |
TGFB1 | 0.0000778 | 3396 | GTEx | DepMap | Descartes | 0.11 | 1.69 |
ACTB | 0.0000706 | 3654 | GTEx | DepMap | Descartes | 107.77 | 8889.37 |
GSN | 0.0000616 | 3959 | GTEx | DepMap | Descartes | 0.76 | 3.66 |
PSTPIP2 | 0.0000303 | 5414 | GTEx | DepMap | Descartes | 0.00 | 0.01 |
PRKAR2B | 0.0000193 | 6103 | GTEx | DepMap | Descartes | 1.09 | 2.34 |
SPN | 0.0000048 | 7298 | GTEx | DepMap | Descartes | 0.00 | 0.07 |
MED12L | 0.0000029 | 7459 | GTEx | DepMap | Descartes | 0.09 | 0.07 |
RAB27B | -0.0000060 | 8357 | GTEx | DepMap | Descartes | 0.11 | 0.09 |
PLEK | -0.0000079 | 8604 | GTEx | DepMap | Descartes | 0.03 | 0.11 |
P2RX1 | -0.0000141 | 9563 | GTEx | DepMap | Descartes | 0.01 | 0.04 |
BIN2 | -0.0000164 | 9962 | GTEx | DepMap | Descartes | 0.00 | 0.02 |
TRPC6 | -0.0000175 | 10150 | GTEx | DepMap | Descartes | 0.00 | 0.00 |
LIMS1 | -0.0000192 | 10431 | GTEx | DepMap | Descartes | 0.80 | 1.67 |
RAP1B | -0.0000196 | 10483 | GTEx | DepMap | Descartes | 1.82 | 14.05 |
CD84 | -0.0000249 | 11383 | GTEx | DepMap | Descartes | 0.00 | 0.01 |
GP9 | -0.0000361 | 12837 | GTEx | DepMap | Descartes | 0.00 | 0.09 |
PPBP | -0.0000390 | 13138 | GTEx | DepMap | Descartes | 0.00 | 0.04 |
ITGA2B | -0.0000396 | 13194 | GTEx | DepMap | Descartes | 0.02 | 0.29 |
MMRN1 | -0.0000405 | 13276 | GTEx | DepMap | Descartes | 0.00 | 0.00 |
MYH9 | -0.0000412 | 13345 | GTEx | DepMap | Descartes | 0.76 | 1.86 |
FERMT3 | -0.0000421 | 13445 | GTEx | DepMap | Descartes | 0.01 | 0.06 |
DOK6 | -0.0000473 | 13884 | GTEx | DepMap | Descartes | 0.04 | 0.02 |
PF4 | -0.0000522 | 14277 | GTEx | DepMap | Descartes | 0.04 | 3.28 |
Descartes Lyphoid markers
Top 50 marker genes of Lyphoid cells in the Decartes fetal adrenal single cell map (https://atlas.brotmanbaty.org/bbi/human-gene-expression-during-development/cell/lymphoid/in/adrenal)
Wilcoxon ranksum test P-value for gene set overrepresentation: 8.89e-01
Mean rank of genes in gene set: 10716.21
Median rank of genes in gene set: 12650.5
Rank on gene expression program of top 30 genes in gene set:
Genes | Weight | Rank | GTEx | DepMap | Descartes | Mean.Counts | Mean.TPM |
---|---|---|---|---|---|---|---|
NCALD | 0.0011773 | 82 | GTEx | DepMap | Descartes | 0.98 | 0.61 |
DOCK10 | 0.0009393 | 133 | GTEx | DepMap | Descartes | 0.40 | 0.56 |
MSN | 0.0007482 | 204 | GTEx | DepMap | Descartes | 1.24 | 4.55 |
TMSB10 | 0.0004351 | 515 | GTEx | DepMap | Descartes | 54.21 | 8882.92 |
SCML4 | 0.0003914 | 593 | GTEx | DepMap | Descartes | 0.05 | 0.14 |
GNG2 | 0.0003532 | 704 | GTEx | DepMap | Descartes | 4.71 | 11.26 |
RAP1GAP2 | 0.0002435 | 1156 | GTEx | DepMap | Descartes | 0.19 | 0.23 |
STK39 | 0.0002102 | 1377 | GTEx | DepMap | Descartes | 1.01 | 0.88 |
PDE3B | 0.0001320 | 2269 | GTEx | DepMap | Descartes | 0.22 | 0.48 |
FAM65B | 0.0001048 | 2744 | GTEx | DepMap | Descartes | 0.30 | NA |
PLEKHA2 | 0.0000999 | 2857 | GTEx | DepMap | Descartes | 0.12 | 0.42 |
CD44 | 0.0000556 | 4184 | GTEx | DepMap | Descartes | 0.18 | 0.29 |
LEF1 | 0.0000398 | 4898 | GTEx | DepMap | Descartes | 0.35 | 0.78 |
BACH2 | 0.0000360 | 5081 | GTEx | DepMap | Descartes | 1.31 | 0.86 |
EVL | 0.0000312 | 5356 | GTEx | DepMap | Descartes | 6.70 | 14.08 |
ABLIM1 | 0.0000216 | 5947 | GTEx | DepMap | Descartes | 1.04 | 0.59 |
MCTP2 | 0.0000106 | 6762 | GTEx | DepMap | Descartes | 0.04 | 0.02 |
NKG7 | -0.0000081 | 8630 | GTEx | DepMap | Descartes | 0.00 | 0.31 |
PTPRC | -0.0000286 | 11900 | GTEx | DepMap | Descartes | 0.01 | 0.01 |
WIPF1 | -0.0000301 | 12095 | GTEx | DepMap | Descartes | 0.14 | 0.26 |
IKZF1 | -0.0000343 | 12646 | GTEx | DepMap | Descartes | 0.01 | 0.01 |
SP100 | -0.0000344 | 12655 | GTEx | DepMap | Descartes | 0.00 | 0.00 |
SORL1 | -0.0000481 | 13952 | GTEx | DepMap | Descartes | 0.27 | 0.44 |
PRKCH | -0.0000593 | 14761 | GTEx | DepMap | Descartes | 0.14 | 0.12 |
PITPNC1 | -0.0000716 | 15476 | GTEx | DepMap | Descartes | 0.68 | 0.63 |
LCP1 | -0.0000804 | 15884 | GTEx | DepMap | Descartes | 0.05 | 0.06 |
ARHGAP15 | -0.0000829 | 16000 | GTEx | DepMap | Descartes | 0.01 | 0.00 |
ETS1 | -0.0000871 | 16180 | GTEx | DepMap | Descartes | 0.12 | 0.24 |
B2M | -0.0001118 | 17040 | GTEx | DepMap | Descartes | 0.39 | 14.57 |
ITPKB | -0.0001133 | 17080 | GTEx | DepMap | Descartes | 0.18 | 0.39 |
Below shows the ranks on this GEP for immune marker gene lists curated by CellTypist (https://www.celltypist.org/encyclopedia).
High ranks indicate this gene is a driver of this GEP.
These curated gene list are ranked by P-value (on this GEP) of their constituent genes.
The Mean Count column shows the mean read count in cells scoring highly (H > 50) on this gene expression program.
Genes | Weight | Rank | GTEx | DepMap | Decartes | Mean.Counts | Mean.TPM |
---|---|---|---|---|---|---|---|
AREG | 0.0002782 | 988 | GTEx | DepMap | Descartes | 0.02 | 0.30 |
TLE1 | 0.0002709 | 1013 | GTEx | DepMap | Descartes | 1.15 | 3.39 |
S100A13 | 0.0001861 | 1583 | GTEx | DepMap | Descartes | 0.25 | 6.82 |
pDC precursor: pDC precursor (curated markers)
precursors of plasmacytoid dendritic cells which have intermixed lymphoid and myeloid origins and give rise to plasmacytoid dendritic cells:
Wilcoxon ranksum test P-value for gene set overrepresentation: 1.06e-02
Mean rank of genes in gene set: 2243.33
Rank on gene expression program of genes in gene set:
Genes | Weight | Rank | GTEx | DepMap | Decartes | Mean.Counts | Mean.TPM |
---|---|---|---|---|---|---|---|
IL3RA | 0.0001605 | 1848 | GTEx | DepMap | Descartes | 0.08 | 2.66 |
CCDC50 | 0.0001337 | 2230 | GTEx | DepMap | Descartes | 1.84 | 7.54 |
IRF7 | 0.0001098 | 2652 | GTEx | DepMap | Descartes | 0.01 | 0.49 |
Megakaryocyte precursor: Megakaryocyte precursor (curated markers)
megakaryocyte precursors in the bone marrow that are committed to megakaryocytes:
Wilcoxon ranksum test P-value for gene set overrepresentation: 1.44e-02
Mean rank of genes in gene set: 1035
Rank on gene expression program of genes in gene set:
Genes | Weight | Rank | GTEx | DepMap | Decartes | Mean.Counts | Mean.TPM |
---|---|---|---|---|---|---|---|
GATA2 | 0.0008307 | 170 | GTEx | DepMap | Descartes | 0.41 | 9.37 |
PRSS57 | 0.0001563 | 1900 | GTEx | DepMap | Descartes | 0.00 | 0.06 |