QQ-plot of gene loadings, averaged over both independent splits of the data
This plot highlights the relative contribution of each gene to the GEP
Top genes driving this program.
Note: Decartes website is buggy, try refreshing. Also, Decartes fetal adrenal data have been collected at specific time points (89-122 days), all possible cell types of interest may not be represented, do not overinterpret.
The Mean Count column shows the mean read count in cells scoring highly (H > 50) on this gene expression program.
Gene | Loading | Gene.Name | GTEx | DepMap | Descartes | Mean.Counts | Mean.Tpm | |
---|---|---|---|---|---|---|---|---|
1 | LST1 | 0.0104265 | leukocyte specific transcript 1 | GTEx | DepMap | Descartes | 9.88 | 2934.59 |
2 | IFI30 | 0.0094957 | IFI30 lysosomal thiol reductase | GTEx | DepMap | Descartes | 3.93 | 947.37 |
3 | AIF1 | 0.0090107 | allograft inflammatory factor 1 | GTEx | DepMap | Descartes | 14.20 | 6261.18 |
4 | SAT1 | 0.0089992 | spermidine/spermine N1-acetyltransferase 1 | GTEx | DepMap | Descartes | 27.69 | 12739.95 |
5 | COTL1 | 0.0079756 | coactosin like F-actin binding protein 1 | GTEx | DepMap | Descartes | 6.86 | 655.34 |
6 | CTSS | 0.0073277 | cathepsin S | GTEx | DepMap | Descartes | 8.11 | 1124.83 |
7 | FTH1 | 0.0071986 | ferritin heavy chain 1 | GTEx | DepMap | Descartes | 129.16 | 55767.93 |
8 | CFP | 0.0068905 | complement factor properdin | GTEx | DepMap | Descartes | 2.18 | 284.27 |
9 | C5AR1 | 0.0068157 | complement C5a receptor 1 | GTEx | DepMap | Descartes | 2.07 | 505.35 |
10 | FCER1G | 0.0067092 | Fc epsilon receptor Ig | GTEx | DepMap | Descartes | 11.76 | 10407.25 |
11 | PILRA | 0.0066386 | paired immunoglobin like type 2 receptor alpha | GTEx | DepMap | Descartes | 1.22 | 510.59 |
12 | TYROBP | 0.0066028 | transmembrane immune signaling adaptor TYROBP | GTEx | DepMap | Descartes | 18.08 | 15614.23 |
13 | IFITM2 | 0.0064387 | interferon induced transmembrane protein 2 | GTEx | DepMap | Descartes | 7.16 | 4559.53 |
14 | SPI1 | 0.0062378 | Spi-1 proto-oncogene | GTEx | DepMap | Descartes | 2.53 | 919.01 |
15 | MAFB | 0.0060567 | MAF bZIP transcription factor B | GTEx | DepMap | Descartes | 3.61 | 606.05 |
16 | S100A4 | 0.0060270 | S100 calcium binding protein A4 | GTEx | DepMap | Descartes | 16.97 | 13074.04 |
17 | IFITM3 | 0.0060167 | interferon induced transmembrane protein 3 | GTEx | DepMap | Descartes | 4.47 | 3309.53 |
18 | SLC7A7 | 0.0060000 | solute carrier family 7 member 7 | GTEx | DepMap | Descartes | 1.08 | 180.65 |
19 | S100A11 | 0.0058974 | S100 calcium binding protein A11 | GTEx | DepMap | Descartes | 11.12 | 10783.10 |
20 | NAAA | 0.0058645 | N-acylethanolamine acid amidase | GTEx | DepMap | Descartes | 1.05 | 300.08 |
21 | FAM49A | 0.0058506 | NA | GTEx | DepMap | Descartes | 1.11 | NA |
22 | NEAT1 | 0.0057992 | nuclear paraspeckle assembly transcript 1 | GTEx | DepMap | Descartes | 13.49 | 335.92 |
23 | LRRC25 | 0.0057238 | leucine rich repeat containing 25 | GTEx | DepMap | Descartes | 0.44 | 90.62 |
24 | NAMPT | 0.0057211 | nicotinamide phosphoribosyltransferase | GTEx | DepMap | Descartes | 5.76 | 762.80 |
25 | PRELID1 | 0.0057107 | PRELI domain containing 1 | GTEx | DepMap | Descartes | 3.57 | 1471.60 |
26 | IL1B | 0.0056978 | interleukin 1 beta | GTEx | DepMap | Descartes | 13.54 | 4549.95 |
27 | TIMP1 | 0.0056122 | TIMP metallopeptidase inhibitor 1 | GTEx | DepMap | Descartes | 6.98 | 3457.36 |
28 | CDC42EP2 | 0.0055943 | CDC42 effector protein 2 | GTEx | DepMap | Descartes | 0.51 | 143.24 |
29 | CD300E | 0.0055208 | CD300e molecule | GTEx | DepMap | Descartes | 1.04 | 169.55 |
30 | CST3 | 0.0054362 | cystatin C | GTEx | DepMap | Descartes | 19.97 | 2837.18 |
31 | OAZ1 | 0.0053845 | ornithine decarboxylase antizyme 1 | GTEx | DepMap | Descartes | 13.23 | 2445.60 |
32 | CSF1R | 0.0051933 | colony stimulating factor 1 receptor | GTEx | DepMap | Descartes | 0.70 | 81.59 |
33 | FGL2 | 0.0051750 | fibrinogen like 2 | GTEx | DepMap | Descartes | 1.68 | 196.06 |
34 | PLAUR | 0.0050921 | plasminogen activator, urokinase receptor | GTEx | DepMap | Descartes | 10.62 | 3647.02 |
35 | SLC11A1 | 0.0050608 | solute carrier family 11 member 1 | GTEx | DepMap | Descartes | 1.44 | 153.01 |
36 | CD68 | 0.0050331 | CD68 molecule | GTEx | DepMap | Descartes | 3.47 | 867.66 |
37 | STXBP2 | 0.0050231 | syntaxin binding protein 2 | GTEx | DepMap | Descartes | 2.05 | 597.46 |
38 | GPBAR1 | 0.0048680 | G protein-coupled bile acid receptor 1 | GTEx | DepMap | Descartes | 0.25 | 65.34 |
39 | PYCARD | 0.0046666 | PYD and CARD domain containing | GTEx | DepMap | Descartes | 2.37 | 1098.35 |
40 | BID | 0.0046558 | BH3 interacting domain death agonist | GTEx | DepMap | Descartes | 1.50 | 296.77 |
41 | TNFSF13B | 0.0045631 | TNF superfamily member 13b | GTEx | DepMap | Descartes | 1.52 | 298.11 |
42 | CEBPB | 0.0045624 | CCAAT enhancer binding protein beta | GTEx | DepMap | Descartes | 3.42 | 973.93 |
43 | PSAP | 0.0045476 | prosaposin | GTEx | DepMap | Descartes | 8.36 | 1340.55 |
44 | CPVL | 0.0044585 | carboxypeptidase vitellogenic like | GTEx | DepMap | Descartes | 1.77 | 399.96 |
45 | ARPC1B | 0.0044511 | actin related protein ⅔ complex subunit 1B | GTEx | DepMap | Descartes | 6.99 | 1932.00 |
46 | HBEGF | 0.0044138 | heparin binding EGF like growth factor | GTEx | DepMap | Descartes | 1.15 | 255.36 |
47 | NPC2 | 0.0043387 | NPC intracellular cholesterol transporter 2 | GTEx | DepMap | Descartes | 5.80 | 1913.95 |
48 | PTPRE | 0.0042739 | protein tyrosine phosphatase receptor type E | GTEx | DepMap | Descartes | 2.64 | 248.57 |
49 | SLC31A2 | 0.0042577 | solute carrier family 31 member 2 | GTEx | DepMap | Descartes | 0.69 | 193.52 |
50 | CXCL16 | 0.0042323 | C-X-C motif chemokine ligand 16 | GTEx | DepMap | Descartes | 0.91 | 198.26 |
UMAP plots showing activity of gene expression program identified in GEP 8. Monocyte:M-MDSC:
CNV Data procured from inferCNV.
Outer tracks are putative CNV regions (gains = red, losses = blue) for each patient
Inner track is expression data representing:
The top cells expressing this GEP (purple)
Random cells (n =50) from the reference set used in inferCNV (orange)
Gene set Enrichments for this program, caculated from top 50 genes
mSigDB Cell Types Gene Set:
P-value | OR | Lower 95% CI | FDR | FWER | Genes Found | Gene Set Size | |
---|---|---|---|---|---|---|---|
DURANTE_ADULT_OLFACTORY_NEUROEPITHELIUM_DENDRITIC_CELLS | 3.00e-52 | 235.69 | 124.07 | 2.01e-49 | 2.01e-49 | 31LST1, IFI30, AIF1, COTL1, CTSS, FTH1, CFP, C5AR1, FCER1G, PILRA, TYROBP, IFITM2, SPI1, S100A4, NEAT1, NAMPT, IL1B, TIMP1, CST3, OAZ1, FGL2, PLAUR, SLC11A1, CD68, STXBP2, PYCARD, TNFSF13B, CEBPB, PSAP, CPVL, PTPRE |
117 |
TRAVAGLINI_LUNG_NONCLASSICAL_MONOCYTE_CELL | 3.43e-50 | 164.72 | 86.99 | 1.15e-47 | 2.30e-47 | 33LST1, SAT1, COTL1, CTSS, FTH1, CFP, C5AR1, FCER1G, PILRA, TYROBP, SPI1, MAFB, IFITM3, SLC7A7, S100A11, NAAA, LRRC25, TIMP1, CD300E, CST3, CSF1R, FGL2, SLC11A1, STXBP2, GPBAR1, BID, TNFSF13B, CEBPB, PSAP, CPVL, NPC2, SLC31A2, CXCL16 |
180 |
AIZARANI_LIVER_C18_NK_NKT_CELLS_5 | 2.95e-36 | 118.64 | 62.83 | 3.95e-34 | 1.98e-33 | 24LST1, AIF1, SAT1, COTL1, CTSS, FTH1, C5AR1, FCER1G, TYROBP, MAFB, SLC7A7, S100A11, IL1B, CST3, CSF1R, FGL2, PLAUR, SLC11A1, CEBPB, PSAP, CPVL, HBEGF, NPC2, PTPRE |
121 |
AIZARANI_LIVER_C6_KUPFFER_CELLS_2 | 1.72e-40 | 94.47 | 51.00 | 2.88e-38 | 1.15e-37 | 30LST1, AIF1, SAT1, COTL1, CTSS, FTH1, CFP, C5AR1, FCER1G, PILRA, TYROBP, SPI1, MAFB, SLC7A7, S100A11, LRRC25, IL1B, CST3, CSF1R, FGL2, SLC11A1, PYCARD, TNFSF13B, CEBPB, PSAP, CPVL, ARPC1B, NPC2, SLC31A2, CXCL16 |
228 |
RUBENSTEIN_SKELETAL_MUSCLE_MYELOID_CELLS | 3.10e-44 | 93.47 | 49.19 | 6.94e-42 | 2.08e-41 | 35LST1, IFI30, AIF1, SAT1, COTL1, CTSS, FTH1, CFP, C5AR1, FCER1G, PILRA, TYROBP, SPI1, S100A4, S100A11, NAAA, NAMPT, PRELID1, IL1B, TIMP1, CST3, OAZ1, FGL2, PLAUR, CD68, STXBP2, PYCARD, BID, TNFSF13B, CEBPB, PSAP, CPVL, ARPC1B, NPC2, SLC31A2 |
347 |
FAN_EMBRYONIC_CTX_BRAIN_MYELOID | 1.03e-32 | 91.63 | 48.64 | 5.76e-31 | 6.92e-30 | 23LST1, IFI30, COTL1, CTSS, CFP, C5AR1, IFITM2, SPI1, MAFB, S100A4, IFITM3, S100A11, NEAT1, LRRC25, NAMPT, TIMP1, CD300E, FGL2, PLAUR, STXBP2, GPBAR1, TNFSF13B, CEBPB |
139 |
AIZARANI_LIVER_C25_KUPFFER_CELLS_4 | 3.99e-34 | 83.68 | 45.03 | 2.98e-32 | 2.68e-31 | 25LST1, AIF1, SAT1, COTL1, CTSS, FTH1, C5AR1, FCER1G, TYROBP, MAFB, S100A11, NAMPT, IL1B, CST3, CSF1R, FGL2, PLAUR, SLC11A1, TNFSF13B, PSAP, CPVL, HBEGF, NPC2, PTPRE, CXCL16 |
174 |
DURANTE_ADULT_OLFACTORY_NEUROEPITHELIUM_MACROPHAGES | 7.06e-24 | 90.19 | 44.25 | 2.79e-22 | 4.74e-21 | 16LST1, IFI30, AIF1, COTL1, CTSS, FCER1G, TYROBP, SPI1, IL1B, CST3, CSF1R, FGL2, PLAUR, CD68, NPC2, CXCL16 |
81 |
CUI_DEVELOPING_HEART_C8_MACROPHAGE | 4.11e-36 | 70.19 | 38.09 | 4.60e-34 | 2.76e-33 | 29LST1, IFI30, AIF1, COTL1, CTSS, C5AR1, FCER1G, PILRA, TYROBP, SPI1, MAFB, S100A4, NEAT1, NAMPT, CST3, CSF1R, FGL2, PLAUR, CD68, STXBP2, PYCARD, CEBPB, PSAP, CPVL, ARPC1B, HBEGF, NPC2, PTPRE, CXCL16 |
275 |
AIZARANI_LIVER_C23_KUPFFER_CELLS_3 | 2.95e-33 | 69.35 | 37.59 | 1.98e-31 | 1.98e-30 | 26LST1, AIF1, SAT1, COTL1, CTSS, FTH1, CFP, C5AR1, FCER1G, PILRA, TYROBP, MAFB, S100A4, SLC7A7, S100A11, NAMPT, IL1B, CD300E, OAZ1, FGL2, PLAUR, SLC11A1, TNFSF13B, PSAP, CPVL, PTPRE |
221 |
TRAVAGLINI_LUNG_CLASSICAL_MONOCYTE_CELL | 1.63e-34 | 65.86 | 35.73 | 1.37e-32 | 1.10e-31 | 28IFI30, SAT1, COTL1, CTSS, CFP, C5AR1, FCER1G, PILRA, TYROBP, SPI1, MAFB, S100A4, SLC7A7, NEAT1, LRRC25, CD300E, CST3, FGL2, SLC11A1, STXBP2, GPBAR1, PYCARD, TNFSF13B, CEBPB, PSAP, CPVL, NPC2, PTPRE |
270 |
AIZARANI_LIVER_C2_KUPFFER_CELLS_1 | 1.03e-30 | 65.45 | 35.28 | 5.31e-29 | 6.90e-28 | 24LST1, AIF1, SAT1, COTL1, CTSS, FTH1, C5AR1, FCER1G, TYROBP, MAFB, S100A11, LRRC25, IL1B, CST3, CSF1R, FGL2, PLAUR, TNFSF13B, PSAP, CPVL, ARPC1B, NPC2, PTPRE, CXCL16 |
200 |
HAY_BONE_MARROW_MONOCYTE | 2.31e-29 | 56.77 | 30.65 | 1.11e-27 | 1.55e-26 | 24LST1, AIF1, SAT1, COTL1, FTH1, C5AR1, FCER1G, PILRA, SPI1, IFITM3, SLC7A7, S100A11, NAAA, LRRC25, PRELID1, TIMP1, CSF1R, CD68, GPBAR1, BID, PSAP, ARPC1B, SLC31A2, CXCL16 |
227 |
MENON_FETAL_KIDNEY_10_IMMUNE_CELLS | 4.66e-18 | 62.61 | 29.22 | 1.25e-16 | 3.13e-15 | 13LST1, AIF1, SAT1, COTL1, TYROBP, S100A4, S100A11, NEAT1, CST3, OAZ1, FGL2, PSAP, ARPC1B |
83 |
AIZARANI_LIVER_C31_KUPFFER_CELLS_5 | 5.63e-21 | 56.39 | 28.19 | 1.80e-19 | 3.78e-18 | 16LST1, AIF1, SAT1, COTL1, CTSS, C5AR1, FCER1G, TYROBP, MAFB, S100A11, NAMPT, IL1B, CD300E, PLAUR, SLC11A1, PSAP |
120 |
FAN_OVARY_CL13_MONOCYTE_MACROPHAGE | 1.08e-34 | 52.20 | 28.17 | 1.03e-32 | 7.23e-32 | 32LST1, IFI30, AIF1, SAT1, COTL1, CTSS, FTH1, CFP, FCER1G, TYROBP, SPI1, MAFB, S100A4, S100A11, NEAT1, NAMPT, TIMP1, CST3, OAZ1, FGL2, PLAUR, CD68, PYCARD, BID, TNFSF13B, CEBPB, PSAP, CPVL, ARPC1B, NPC2, PTPRE, CXCL16 |
458 |
TRAVAGLINI_LUNG_EREG_DENDRITIC_CELL | 3.71e-33 | 44.50 | 23.92 | 2.27e-31 | 2.49e-30 | 33LST1, IFI30, AIF1, SAT1, COTL1, FTH1, C5AR1, FCER1G, TYROBP, SPI1, MAFB, IFITM3, S100A11, NEAT1, NAMPT, PRELID1, IL1B, TIMP1, CD300E, CST3, CSF1R, FGL2, PLAUR, SLC11A1, TNFSF13B, CEBPB, PSAP, CPVL, HBEGF, NPC2, PTPRE, SLC31A2, CXCL16 |
579 |
DURANTE_ADULT_OLFACTORY_NEUROEPITHELIUM_MONOCYTES | 1.41e-10 | 63.40 | 22.38 | 2.55e-09 | 9.44e-08 | 7LST1, IFI30, AIF1, FCER1G, TYROBP, IL1B, FGL2 |
39 |
BUSSLINGER_ESOPHAGEAL_DENDRITIC_CELLS | 1.58e-21 | 39.28 | 20.58 | 5.30e-20 | 1.06e-18 | 19LST1, IFI30, AIF1, COTL1, CTSS, FTH1, CFP, TYROBP, SPI1, S100A4, IL1B, TIMP1, CST3, CSF1R, FGL2, PLAUR, CPVL, ARPC1B, CXCL16 |
214 |
HU_FETAL_RETINA_MICROGLIA | 5.74e-24 | 32.28 | 17.53 | 2.41e-22 | 3.85e-21 | 24LST1, AIF1, SAT1, COTL1, CTSS, FCER1G, TYROBP, SPI1, S100A11, NEAT1, CST3, OAZ1, CSF1R, FGL2, PLAUR, STXBP2, PYCARD, CEBPB, PSAP, CPVL, ARPC1B, NPC2, PTPRE, CXCL16 |
382 |
Dowload full table
mSigDB Hallmark Gene Sets:
P-value | OR | Lower 95% CI | FDR | FWER | Genes Found | Gene Set Size | |
---|---|---|---|---|---|---|---|
HALLMARK_INFLAMMATORY_RESPONSE | 9.73e-07 | 12.40 | 4.96 | 4.87e-05 | 4.87e-05 | 8C5AR1, NAMPT, IL1B, TIMP1, PLAUR, HBEGF, PTPRE, SLC31A2 |
200 |
HALLMARK_TNFA_SIGNALING_VIA_NFKB | 1.19e-05 | 10.54 | 3.95 | 2.97e-04 | 5.94e-04 | 7SAT1, NAMPT, IL1B, PLAUR, CEBPB, HBEGF, PTPRE |
200 |
HALLMARK_KRAS_SIGNALING_UP | 1.24e-04 | 8.78 | 3.02 | 2.06e-03 | 6.18e-03 | 6CTSS, FCER1G, MAFB, IL1B, PLAUR, HBEGF |
200 |
HALLMARK_APOPTOSIS | 4.10e-04 | 8.90 | 2.72 | 5.12e-03 | 2.05e-02 | 5SAT1, IFITM3, IL1B, TIMP1, BID |
161 |
HALLMARK_CHOLESTEROL_HOMEOSTASIS | 3.11e-03 | 11.23 | 2.19 | 1.73e-02 | 1.56e-01 | 3S100A11, PLAUR, CXCL16 |
74 |
HALLMARK_INTERFERON_GAMMA_RESPONSE | 1.08e-03 | 7.12 | 2.18 | 6.75e-03 | 5.40e-02 | 5IFI30, IFITM2, IFITM3, NAMPT, FGL2 |
200 |
HALLMARK_COMPLEMENT | 1.08e-03 | 7.12 | 2.18 | 6.75e-03 | 5.40e-02 | 5CTSS, FCER1G, TIMP1, PLAUR, CEBPB |
200 |
HALLMARK_P53_PATHWAY | 1.08e-03 | 7.12 | 2.18 | 6.75e-03 | 5.40e-02 | 5IFI30, SAT1, S100A4, HBEGF, PTPRE |
200 |
HALLMARK_ALLOGRAFT_REJECTION | 1.08e-03 | 7.12 | 2.18 | 6.75e-03 | 5.40e-02 | 5CTSS, CFP, SPI1, IL1B, TIMP1 |
200 |
HALLMARK_ANGIOGENESIS | 8.94e-03 | 15.30 | 1.73 | 3.73e-02 | 4.47e-01 | 2S100A4, TIMP1 |
36 |
HALLMARK_INTERFERON_ALPHA_RESPONSE | 6.61e-03 | 8.48 | 1.66 | 3.30e-02 | 3.30e-01 | 3IFI30, IFITM2, IFITM3 |
97 |
HALLMARK_MTORC1_SIGNALING | 7.71e-03 | 5.55 | 1.44 | 3.50e-02 | 3.85e-01 | 4IFI30, CFP, NAMPT, FGL2 |
200 |
HALLMARK_EPITHELIAL_MESENCHYMAL_TRANSITION | 4.35e-02 | 4.05 | 0.80 | 1.67e-01 | 1.00e+00 | 3SAT1, TIMP1, PLAUR |
200 |
HALLMARK_IL2_STAT5_SIGNALING | 1.83e-01 | 2.64 | 0.31 | 5.44e-01 | 1.00e+00 | 2IFITM3, FGL2 |
199 |
HALLMARK_HYPOXIA | 1.85e-01 | 2.63 | 0.31 | 5.44e-01 | 1.00e+00 | 2S100A4, PLAUR |
200 |
HALLMARK_PANCREAS_BETA_CELLS | 1.47e-01 | 6.54 | 0.16 | 5.26e-01 | 1.00e+00 | 1MAFB |
40 |
HALLMARK_APICAL_SURFACE | 1.61e-01 | 5.93 | 0.14 | 5.36e-01 | 1.00e+00 | 1PLAUR |
44 |
HALLMARK_IL6_JAK_STAT3_SIGNALING | 2.93e-01 | 2.97 | 0.07 | 8.13e-01 | 1.00e+00 | 1IL1B |
87 |
HALLMARK_ANDROGEN_RESPONSE | 3.28e-01 | 2.58 | 0.06 | 8.63e-01 | 1.00e+00 | 1SAT1 |
100 |
HALLMARK_UNFOLDED_PROTEIN_RESPONSE | 3.62e-01 | 2.28 | 0.06 | 9.04e-01 | 1.00e+00 | 1CEBPB |
113 |
Dowload full table
KEGG Pathways:
P-value | OR | Lower 95% CI | FDR | FWER | Genes Found | Gene Set Size | |
---|---|---|---|---|---|---|---|
KEGG_LYSOSOME | 1.10e-04 | 11.97 | 3.64 | 2.04e-02 | 2.04e-02 | 5CTSS, SLC11A1, CD68, PSAP, NPC2 |
121 |
KEGG_NATURAL_KILLER_CELL_MEDIATED_CYTOTOXICITY | 1.67e-02 | 5.95 | 1.17 | 9.32e-01 | 1.00e+00 | 3FCER1G, TYROBP, BID |
137 |
KEGG_CYTOSOLIC_DNA_SENSING_PATHWAY | 2.00e-02 | 9.82 | 1.13 | 9.32e-01 | 1.00e+00 | 2IL1B, PYCARD |
55 |
KEGG_CYTOKINE_CYTOKINE_RECEPTOR_INTERACTION | 1.96e-02 | 4.16 | 1.08 | 9.32e-01 | 1.00e+00 | 4IL1B, CSF1R, TNFSF13B, CXCL16 |
265 |
KEGG_NOD_LIKE_RECEPTOR_SIGNALING_PATHWAY | 2.50e-02 | 8.68 | 1.00 | 9.32e-01 | 1.00e+00 | 2IL1B, PYCARD |
62 |
KEGG_COMPLEMENT_AND_COAGULATION_CASCADES | 3.05e-02 | 7.77 | 0.90 | 9.45e-01 | 1.00e+00 | 2C5AR1, PLAUR |
69 |
KEGG_APOPTOSIS | 4.64e-02 | 6.13 | 0.71 | 9.78e-01 | 1.00e+00 | 2IL1B, BID |
87 |
KEGG_HEMATOPOIETIC_CELL_LINEAGE | 4.64e-02 | 6.13 | 0.71 | 9.78e-01 | 1.00e+00 | 2IL1B, CSF1R |
87 |
KEGG_ANTIGEN_PROCESSING_AND_PRESENTATION | 4.73e-02 | 6.05 | 0.70 | 9.78e-01 | 1.00e+00 | 2IFI30, CTSS |
88 |
KEGG_PATHWAYS_IN_CANCER | 1.32e-01 | 2.48 | 0.49 | 1.00e+00 | 1.00e+00 | 3SPI1, CSF1R, BID |
325 |
KEGG_ALZHEIMERS_DISEASE | 1.39e-01 | 3.18 | 0.37 | 1.00e+00 | 1.00e+00 | 2IL1B, BID |
166 |
KEGG_NICOTINATE_AND_NICOTINAMIDE_METABOLISM | 9.13e-02 | 11.08 | 0.26 | 1.00e+00 | 1.00e+00 | 1NAMPT |
24 |
KEGG_ASTHMA | 1.13e-01 | 8.79 | 0.21 | 1.00e+00 | 1.00e+00 | 1FCER1G |
30 |
KEGG_PRION_DISEASES | 1.30e-01 | 7.50 | 0.18 | 1.00e+00 | 1.00e+00 | 1IL1B |
35 |
KEGG_PORPHYRIN_AND_CHLOROPHYLL_METABOLISM | 1.51e-01 | 6.37 | 0.15 | 1.00e+00 | 1.00e+00 | 1FTH1 |
41 |
KEGG_GRAFT_VERSUS_HOST_DISEASE | 1.51e-01 | 6.37 | 0.15 | 1.00e+00 | 1.00e+00 | 1IL1B |
41 |
KEGG_TYPE_I_DIABETES_MELLITUS | 1.57e-01 | 6.07 | 0.15 | 1.00e+00 | 1.00e+00 | 1IL1B |
43 |
KEGG_INTESTINAL_IMMUNE_NETWORK_FOR_IGA_PRODUCTION | 1.74e-01 | 5.43 | 0.13 | 1.00e+00 | 1.00e+00 | 1TNFSF13B |
48 |
KEGG_AMYOTROPHIC_LATERAL_SCLEROSIS_ALS | 1.90e-01 | 4.91 | 0.12 | 1.00e+00 | 1.00e+00 | 1BID |
53 |
KEGG_ARGININE_AND_PROLINE_METABOLISM | 1.94e-01 | 4.81 | 0.12 | 1.00e+00 | 1.00e+00 | 1SAT1 |
54 |
Dowload full table
CHR Positional Gene Sets:
P-value | OR | Lower 95% CI | FDR | FWER | Genes Found | Gene Set Size | |
---|---|---|---|---|---|---|---|
chr7q22 | 5.07e-02 | 3.80 | 0.75 | 1.00e+00 | 1.00e+00 | 3PILRA, NAMPT, ARPC1B |
213 |
chr2q35 | 8.82e-02 | 4.20 | 0.49 | 1.00e+00 | 1.00e+00 | 2SLC11A1, GPBAR1 |
126 |
chr1q21 | 1.93e-01 | 2.05 | 0.41 | 1.00e+00 | 1.00e+00 | 3CTSS, S100A4, S100A11 |
392 |
chr19p13 | 5.35e-01 | 1.41 | 0.37 | 1.00e+00 | 1.00e+00 | 4IFI30, LRRC25, OAZ1, STXBP2 |
773 |
chr20q12 | 9.13e-02 | 11.08 | 0.26 | 1.00e+00 | 1.00e+00 | 1MAFB |
24 |
chr17p13 | 3.76e-01 | 1.56 | 0.18 | 1.00e+00 | 1.00e+00 | 2CD68, CXCL16 |
336 |
chrXp11 | 6.55e-01 | 1.42 | 0.17 | 1.00e+00 | 1.00e+00 | 2CFP, TIMP1 |
370 |
chr11q13 | 6.78e-01 | 1.24 | 0.15 | 1.00e+00 | 1.00e+00 | 2NEAT1, CDC42EP2 |
421 |
chr19q13 | 7.98e-01 | 0.69 | 0.14 | 1.00e+00 | 1.00e+00 | 3C5AR1, TYROBP, PLAUR |
1165 |
chr9q32 | 1.71e-01 | 5.54 | 0.13 | 1.00e+00 | 1.00e+00 | 1SLC31A2 |
47 |
chr6p21 | 7.00e-01 | 1.12 | 0.13 | 1.00e+00 | 1.00e+00 | 2LST1, AIF1 |
467 |
chr13q33 | 1.97e-01 | 4.72 | 0.12 | 1.00e+00 | 1.00e+00 | 1TNFSF13B |
55 |
chr16q24 | 4.03e-01 | 1.98 | 0.05 | 1.00e+00 | 1.00e+00 | 1COTL1 |
130 |
chr11p11 | 4.38e-01 | 1.77 | 0.04 | 1.00e+00 | 1.00e+00 | 1SPI1 |
145 |
chr20p11 | 4.38e-01 | 1.77 | 0.04 | 1.00e+00 | 1.00e+00 | 1CST3 |
145 |
chr2q14 | 4.57e-01 | 1.67 | 0.04 | 1.00e+00 | 1.00e+00 | 1IL1B |
154 |
chr7p14 | 4.76e-01 | 1.57 | 0.04 | 1.00e+00 | 1.00e+00 | 1CPVL |
163 |
chr14q24 | 5.31e-01 | 1.34 | 0.03 | 1.00e+00 | 1.00e+00 | 1NPC2 |
191 |
chr10q26 | 5.47e-01 | 1.28 | 0.03 | 1.00e+00 | 1.00e+00 | 1PTPRE |
200 |
chr10q22 | 5.51e-01 | 1.27 | 0.03 | 1.00e+00 | 1.00e+00 | 1PSAP |
202 |
Dowload full table
Transcription Factor Targets:
P-value | OR | Lower 95% CI | FDR | FWER | Genes Found | Gene Set Size | |
---|---|---|---|---|---|---|---|
ELF1_Q6 | 1.60e-02 | 4.44 | 1.15 | 1.00e+00 | 1.00e+00 | 4AIF1, SAT1, FCER1G, TYROBP |
249 |
ICSBP_Q6 | 1.69e-02 | 4.37 | 1.13 | 1.00e+00 | 1.00e+00 | 4AIF1, CTSS, TNFSF13B, CXCL16 |
253 |
RYTTCCTG_ETS2_B | 1.83e-02 | 2.49 | 1.06 | 1.00e+00 | 1.00e+00 | 9CTSS, FTH1, FCER1G, TYROBP, SPI1, TIMP1, TNFSF13B, PSAP, HBEGF |
1112 |
MAPK3_TARGET_GENES | 2.73e-02 | 8.26 | 0.95 | 1.00e+00 | 1.00e+00 | 2SAT1, CD68 |
65 |
SKP2_TARGET_GENES | 3.05e-02 | 7.77 | 0.90 | 1.00e+00 | 1.00e+00 | 2STXBP2, GPBAR1 |
69 |
RBM34_TARGET_GENES | 1.03e-01 | 1.97 | 0.75 | 1.00e+00 | 1.00e+00 | 7NAAA, NAMPT, CDC42EP2, STXBP2, PYCARD, ARPC1B, HBEGF |
1038 |
SREBP1_02 | 4.73e-02 | 6.05 | 0.70 | 1.00e+00 | 1.00e+00 | 2SPI1, CEBPB |
88 |
NERF_Q2 | 7.66e-02 | 3.18 | 0.63 | 1.00e+00 | 1.00e+00 | 3LST1, FCER1G, HBEGF |
254 |
SREBP_Q3 | 7.94e-02 | 3.13 | 0.62 | 1.00e+00 | 1.00e+00 | 3SPI1, CEBPB, HBEGF |
258 |
TTANTCA_UNKNOWN | 1.69e-01 | 1.77 | 0.62 | 1.00e+00 | 1.00e+00 | 6SAT1, FCER1G, TIMP1, CD68, CEBPB, CPVL |
967 |
CHAF1B_TARGET_GENES | 1.75e-01 | 1.75 | 0.61 | 1.00e+00 | 1.00e+00 | 6SAT1, COTL1, OAZ1, PLAUR, CD68, TNFSF13B |
981 |
IRF1_Q6 | 8.29e-02 | 3.07 | 0.61 | 1.00e+00 | 1.00e+00 | 3CTSS, TYROBP, TNFSF13B |
263 |
AP1_Q4_01 | 8.36e-02 | 3.06 | 0.60 | 1.00e+00 | 1.00e+00 | 3CSF1R, CD68, HBEGF |
264 |
RACCACAR_AML_Q6 | 8.65e-02 | 3.01 | 0.60 | 1.00e+00 | 1.00e+00 | 3CFP, FCER1G, SLC31A2 |
268 |
VDR_Q6 | 9.24e-02 | 2.92 | 0.58 | 1.00e+00 | 1.00e+00 | 3SAT1, SLC7A7, CEBPB |
276 |
ZNF768_TARGET_GENES | 3.31e-01 | 1.52 | 0.58 | 1.00e+00 | 1.00e+00 | 7IFI30, CTSS, FTH1, TYROBP, S100A4, TIMP1, CPVL |
1346 |
ETS2_B | 9.62e-02 | 2.87 | 0.57 | 1.00e+00 | 1.00e+00 | 3LST1, TYROBP, SPI1 |
281 |
GTF2A2_TARGET_GENES | 1.38e-01 | 2.10 | 0.55 | 1.00e+00 | 1.00e+00 | 4SAT1, NEAT1, OAZ1, CEBPB |
522 |
BACH2_TARGET_GENES | 6.79e-01 | 1.20 | 0.48 | 1.00e+00 | 1.00e+00 | 8IFI30, SLC7A7, NEAT1, CSF1R, FGL2, CD68, CEBPB, PSAP |
1998 |
SMARCA1_TARGET_GENES | 1.00e-01 | 3.89 | 0.45 | 1.00e+00 | 1.00e+00 | 2MAFB, ARPC1B |
136 |
Dowload full table
GO Biological Processes:
P-value | OR | Lower 95% CI | FDR | FWER | Genes Found | Gene Set Size | |
---|---|---|---|---|---|---|---|
GOBP_REGULATION_OF_DENDRITIC_CELL_ANTIGEN_PROCESSING_AND_PRESENTATION | 9.58e-06 | 99.16 | 16.45 | 4.11e-03 | 7.17e-02 | 3FGL2, SLC11A1, CD68 |
11 |
GOBP_REGULATION_OF_ANTIGEN_PROCESSING_AND_PRESENTATION | 1.02e-06 | 67.68 | 15.86 | 5.89e-04 | 7.66e-03 | 4FGL2, SLC11A1, CD68, PYCARD |
20 |
GOBP_DENDRITIC_CELL_ANTIGEN_PROCESSING_AND_PRESENTATION | 2.61e-05 | 66.24 | 11.62 | 8.28e-03 | 1.95e-01 | 3FGL2, SLC11A1, CD68 |
15 |
GOBP_GLYCOLIPID_TRANSPORT | 3.22e-04 | 103.49 | 9.64 | 5.97e-02 | 1.00e+00 | 2PSAP, NPC2 |
7 |
GOBP_NEGATIVE_REGULATION_OF_ANTIGEN_PROCESSING_AND_PRESENTATION | 5.49e-04 | 74.10 | 7.33 | 7.90e-02 | 1.00e+00 | 2FGL2, CD68 |
9 |
GOBP_POSITIVE_REGULATION_OF_ANTIGEN_PROCESSING_AND_PRESENTATION | 5.49e-04 | 74.10 | 7.33 | 7.90e-02 | 1.00e+00 | 2SLC11A1, PYCARD |
9 |
GOBP_ELASTIN_METABOLIC_PROCESS | 5.49e-04 | 74.10 | 7.33 | 7.90e-02 | 1.00e+00 | 2CST3, HBEGF |
9 |
GOBP_REGULATION_OF_RELEASE_OF_CYTOCHROME_C_FROM_MITOCHONDRIA | 2.66e-05 | 27.14 | 6.78 | 8.28e-03 | 1.99e-01 | 4PRELID1, PLAUR, PYCARD, BID |
44 |
GOBP_MYELOID_LEUKOCYTE_ACTIVATION | 1.01e-12 | 11.98 | 6.36 | 3.77e-09 | 7.53e-09 | 19AIF1, COTL1, CTSS, FTH1, CFP, C5AR1, FCER1G, TYROBP, SPI1, S100A11, CST3, FGL2, PLAUR, SLC11A1, CD68, STXBP2, PYCARD, PSAP, NPC2 |
659 |
GOBP_MYELOID_LEUKOCYTE_MEDIATED_IMMUNITY | 8.33e-12 | 12.09 | 6.27 | 2.08e-08 | 6.23e-08 | 17COTL1, CTSS, FTH1, CFP, C5AR1, FCER1G, TYROBP, S100A11, CST3, FGL2, PLAUR, SLC11A1, CD68, STXBP2, PYCARD, PSAP, NPC2 |
550 |
GOBP_POSITIVE_REGULATION_OF_RELEASE_OF_CYTOCHROME_C_FROM_MITOCHONDRIA | 1.62e-04 | 33.18 | 6.19 | 3.27e-02 | 1.00e+00 | 3PLAUR, PYCARD, BID |
27 |
GOBP_RELEASE_OF_CYTOCHROME_C_FROM_MITOCHONDRIA | 6.44e-05 | 21.29 | 5.37 | 1.66e-02 | 4.82e-01 | 4PRELID1, PLAUR, PYCARD, BID |
55 |
GOBP_CELL_ACTIVATION | 2.44e-13 | 9.45 | 5.20 | 1.83e-09 | 1.83e-09 | 26LST1, AIF1, COTL1, CTSS, FTH1, CFP, C5AR1, FCER1G, TYROBP, SPI1, MAFB, S100A11, PRELID1, IL1B, TIMP1, CST3, FGL2, PLAUR, SLC11A1, CD68, STXBP2, PYCARD, TNFSF13B, CEBPB, PSAP, NPC2 |
1461 |
GOBP_POLYAMINE_BIOSYNTHETIC_PROCESS | 1.18e-03 | 47.19 | 4.96 | 1.34e-01 | 1.00e+00 | 2SAT1, OAZ1 |
13 |
GOBP_POSITIVE_REGULATION_OF_CHEMOKINE_PRODUCTION | 9.06e-05 | 19.39 | 4.91 | 2.26e-02 | 6.78e-01 | 4AIF1, IL1B, CSF1R, PYCARD |
60 |
GOBP_CELL_ACTIVATION_INVOLVED_IN_IMMUNE_RESPONSE | 4.83e-10 | 9.14 | 4.75 | 9.03e-07 | 3.61e-06 | 17COTL1, CTSS, FTH1, CFP, C5AR1, FCER1G, TYROBP, S100A11, CST3, FGL2, PLAUR, SLC11A1, CD68, STXBP2, PYCARD, PSAP, NPC2 |
722 |
GOBP_POSITIVE_REGULATION_OF_PHAGOCYTOSIS | 1.39e-04 | 17.24 | 4.38 | 3.06e-02 | 1.00e+00 | 4FCER1G, IL1B, SLC11A1, PYCARD |
67 |
GOBP_LEUKOCYTE_MEDIATED_IMMUNITY | 9.07e-10 | 8.23 | 4.33 | 1.26e-06 | 6.79e-06 | 18COTL1, CTSS, FTH1, CFP, C5AR1, FCER1G, TYROBP, S100A11, IL1B, CST3, FGL2, PLAUR, SLC11A1, CD68, STXBP2, PYCARD, PSAP, NPC2 |
873 |
GOBP_POSITIVE_REGULATION_OF_T_HELPER_1_TYPE_IMMUNE_RESPONSE | 1.58e-03 | 39.95 | 4.27 | 1.69e-01 | 1.00e+00 | 2IL1B, SLC11A1 |
15 |
GOBP_EXOCYTOSIS | 1.23e-09 | 8.06 | 4.24 | 1.32e-06 | 9.22e-06 | 18COTL1, CTSS, FTH1, CFP, C5AR1, FCER1G, TYROBP, S100A11, TIMP1, CST3, FGL2, PLAUR, SLC11A1, CD68, STXBP2, PYCARD, PSAP, NPC2 |
891 |
Dowload full table
Immunological Gene Sets:
P-value | OR | Lower 95% CI | FDR | FWER | Genes Found | Gene Set Size | |
---|---|---|---|---|---|---|---|
GSE10325_BCELL_VS_MYELOID_DN | 3.75e-27 | 55.14 | 29.44 | 6.09e-24 | 1.83e-23 | 22LST1, AIF1, SAT1, COTL1, CFP, C5AR1, PILRA, MAFB, S100A4, SLC7A7, NAAA, CSF1R, FGL2, PLAUR, SLC11A1, BID, CEBPB, PSAP, CPVL, HBEGF, PTPRE, SLC31A2 |
200 |
GSE10325_LUPUS_BCELL_VS_LUPUS_MYELOID_DN | 3.75e-27 | 55.14 | 29.44 | 6.09e-24 | 1.83e-23 | 22LST1, AIF1, SAT1, CFP, C5AR1, FCER1G, PILRA, TYROBP, MAFB, S100A4, SLC7A7, S100A11, TIMP1, CST3, CSF1R, FGL2, PLAUR, SLC11A1, CEBPB, PSAP, PTPRE, SLC31A2 |
200 |
GSE22886_NAIVE_CD8_TCELL_VS_MONOCYTE_DN | 3.75e-27 | 55.14 | 29.44 | 6.09e-24 | 1.83e-23 | 22IFI30, SAT1, CTSS, CFP, C5AR1, FCER1G, PILRA, TYROBP, MAFB, SLC7A7, S100A11, CST3, OAZ1, CSF1R, FGL2, SLC11A1, BID, PSAP, CPVL, NPC2, PTPRE, SLC31A2 |
200 |
GSE29618_MONOCYTE_VS_PDC_UP | 8.78e-24 | 46.53 | 24.55 | 1.07e-20 | 4.28e-20 | 20LST1, AIF1, CTSS, CFP, C5AR1, PILRA, TYROBP, IFITM2, SPI1, MAFB, S100A4, SLC7A7, S100A11, NEAT1, NAMPT, TIMP1, CSF1R, FGL2, HBEGF, SLC31A2 |
199 |
GSE10325_LUPUS_CD4_TCELL_VS_LUPUS_MYELOID_DN | 4.34e-22 | 42.31 | 22.14 | 4.23e-19 | 2.12e-18 | 19LST1, IFI30, AIF1, CFP, C5AR1, FCER1G, PILRA, TYROBP, MAFB, SLC7A7, CST3, CSF1R, FGL2, PLAUR, SLC11A1, BID, CEBPB, PSAP, SLC31A2 |
200 |
GSE29618_BCELL_VS_MONOCYTE_DN | 6.65e-19 | 35.18 | 18.04 | 4.63e-16 | 3.24e-15 | 17IFI30, COTL1, CTSS, C5AR1, PILRA, MAFB, SLC7A7, S100A11, TIMP1, OAZ1, PLAUR, CD68, STXBP2, PYCARD, PSAP, HBEGF, SLC31A2 |
200 |
GSE29618_MONOCYTE_VS_MDC_UP | 6.65e-19 | 35.18 | 18.04 | 4.63e-16 | 3.24e-15 | 17IFI30, AIF1, CTSS, C5AR1, FCER1G, PILRA, TYROBP, MAFB, S100A4, SLC7A7, NAMPT, SLC11A1, CD68, CEBPB, PSAP, NPC2, SLC31A2 |
200 |
GSE22886_NAIVE_CD4_TCELL_VS_MONOCYTE_DN | 2.27e-17 | 31.95 | 16.17 | 1.10e-14 | 1.10e-13 | 16IFI30, CTSS, C5AR1, FCER1G, PILRA, SPI1, SLC7A7, S100A11, OAZ1, FGL2, SLC11A1, BID, PSAP, NPC2, PTPRE, SLC31A2 |
200 |
GSE29618_MONOCYTE_VS_PDC_DAY7_FLU_VACCINE_UP | 2.27e-17 | 31.95 | 16.17 | 1.10e-14 | 1.10e-13 | 16LST1, IFI30, AIF1, SAT1, CTSS, C5AR1, PILRA, MAFB, SLC7A7, NAMPT, TIMP1, CSF1R, FGL2, CEBPB, HBEGF, SLC31A2 |
200 |
GSE29618_PDC_VS_MDC_DAY7_FLU_VACCINE_DN | 2.27e-17 | 31.95 | 16.17 | 1.10e-14 | 1.10e-13 | 16LST1, IFI30, AIF1, SAT1, COTL1, CFP, PILRA, IFITM2, S100A4, IFITM3, IL1B, TIMP1, CST3, CSF1R, FGL2, CEBPB |
200 |
GSE22886_NAIVE_BCELL_VS_MONOCYTE_DN | 7.03e-16 | 28.93 | 14.43 | 3.11e-13 | 3.43e-12 | 15IFI30, C5AR1, FCER1G, TYROBP, MAFB, S100A4, SLC7A7, S100A11, SLC11A1, STXBP2, BID, CEBPB, PSAP, PTPRE, SLC31A2 |
200 |
GSE22886_NAIVE_TCELL_VS_MONOCYTE_DN | 1.98e-14 | 26.13 | 12.79 | 6.88e-12 | 9.64e-11 | 14IFI30, PILRA, SLC7A7, S100A11, OAZ1, FGL2, SLC11A1, BID, CEBPB, PSAP, CPVL, NPC2, PTPRE, SLC31A2 |
200 |
GSE22886_NAIVE_BCELL_VS_NEUTROPHIL_DN | 1.98e-14 | 26.13 | 12.79 | 6.88e-12 | 9.64e-11 | 14LST1, AIF1, CFP, C5AR1, FCER1G, PILRA, TYROBP, IFITM2, IFITM3, S100A11, NAMPT, FGL2, BID, SLC31A2 |
200 |
GSE29618_PDC_VS_MDC_DN | 1.98e-14 | 26.13 | 12.79 | 6.88e-12 | 9.64e-11 | 14LST1, IFI30, AIF1, COTL1, CFP, PILRA, IFITM2, SPI1, S100A4, IFITM3, NAMPT, TIMP1, CST3, FGL2 |
200 |
GSE29618_BCELL_VS_MONOCYTE_DAY7_FLU_VACCINE_DN | 5.03e-13 | 23.47 | 11.26 | 1.44e-10 | 2.45e-09 | 13LST1, C5AR1, PILRA, TYROBP, MAFB, NAMPT, CST3, CSF1R, PLAUR, CD68, PSAP, HBEGF, SLC31A2 |
200 |
GSE29618_BCELL_VS_MDC_DAY7_FLU_VACCINE_DN | 5.03e-13 | 23.47 | 11.26 | 1.44e-10 | 2.45e-09 | 13LST1, AIF1, COTL1, CFP, FCER1G, TYROBP, S100A4, TIMP1, CST3, CSF1R, PSAP, CPVL, PTPRE |
200 |
GSE29618_MONOCYTE_VS_MDC_DAY7_FLU_VACCINE_UP | 5.03e-13 | 23.47 | 11.26 | 1.44e-10 | 2.45e-09 | 13AIF1, SAT1, CTSS, C5AR1, PILRA, SLC7A7, NAAA, NAMPT, SLC11A1, CD68, CEBPB, PSAP, NPC2 |
200 |
GSE29617_DAY3_VS_DAY7_TIV_FLU_VACCINE_PBMC_2008_UP | 5.95e-12 | 22.29 | 10.42 | 1.61e-09 | 2.90e-08 | 12LST1, AIF1, S100A4, NAAA, CST3, CSF1R, GPBAR1, BID, TNFSF13B, PSAP, NPC2, SLC31A2 |
189 |
GSE34156_TLR1_TLR2_LIGAND_VS_NOD2_AND_TLR1_TLR2_LIGAND_24H_TREATED_MONOCYTE_UP | 2.01e-10 | 18.95 | 8.62 | 5.15e-08 | 9.78e-07 | 11IFI30, SAT1, PILRA, TYROBP, MAFB, TIMP1, CSF1R, SLC11A1, PSAP, PTPRE, CXCL16 |
197 |
GSE24634_TEFF_VS_TCONV_DAY3_IN_CULTURE_DN | 2.35e-10 | 18.65 | 8.48 | 5.74e-08 | 1.15e-06 | 11IFI30, FCER1G, PILRA, MAFB, SLC7A7, FGL2, SLC11A1, CD68, CEBPB, CPVL, SLC31A2 |
200 |
Top Ranked Transcription Factors for this Gene Expression Program:
Gene Symbol | TF Rank | DNA Binding Domain | Motif Status | IUPAC PWM | GTEx | DepMap | Decartes |
---|---|---|---|---|---|---|---|
SPI1 | 14 | Yes | Known motif | Monomer or homomultimer | High-throughput in vitro | None | None |
MAFB | 15 | Yes | Known motif | Monomer or homomultimer | 100 perc ID - in vitro | None | PDB:2WTY is a homodimer crystallised with TAATTGCTGACTCAGCAAAT sequence |
IL1B | 26 | No | Unlikely to be sequence specific TF | Not a DNA binding protein | No motif | None | None |
PYCARD | 39 | No | Unlikely to be sequence specific TF | Not a DNA binding protein | No motif | None | None |
CEBPB | 42 | Yes | Known motif | Monomer or homomultimer | High-throughput in vitro | None | None |
TCF7L2 | 58 | Yes | Known motif | Monomer or homomultimer | 100 perc ID - in vitro | None | None |
HCK | 61 | No | Unlikely to be sequence specific TF | Not a DNA binding protein | No motif | None | Inhibits TP73-mediated transcription activation (PMID: 17535448) |
ARRB2 | 75 | No | Unlikely to be sequence specific TF | Not a DNA binding protein | No motif | None | None |
IRAK3 | 87 | No | Unlikely to be sequence specific TF | Not a DNA binding protein | No motif | None | None |
NR4A1 | 102 | Yes | Known motif | Monomer or homomultimer | High-throughput in vitro | None | None |
RXRA | 111 | Yes | Known motif | Monomer or homomultimer | High-throughput in vitro | None | None |
PLSCR1 | 113 | Yes | Likely to be sequence specific TF | Monomer or homomultimer | No motif | None | PLSCR1 has been demonstrated to bind a GTAACCATGTGGA sequence in the IP3R1 promoter (PMID:16091359), mediated by a specific portion of the protein. |
ETS2 | 123 | Yes | Known motif | Monomer or homomultimer | High-throughput in vitro | None | None |
TRIB1 | 136 | No | Unlikely to be sequence specific TF | Not a DNA binding protein | No motif | None | Associates with CEBPB and CEBPA and inhibits their activities (PMID: 17724128). This is probably achieved through control of their proteosomal degradation (PMID: 17576771) |
TLR2 | 142 | No | Unlikely to be sequence specific TF | Not a DNA binding protein | No motif | None | Upstream of NFKB and not involved in DNA-binding |
PRAM1 | 147 | No | Unlikely to be sequence specific TF | Not a DNA binding protein | No motif | None | None |
CDKN1A | 153 | No | Unlikely to be sequence specific TF | Not a DNA binding protein | No motif | None | None |
HES1 | 157 | Yes | Known motif | Monomer or homomultimer | High-throughput in vitro | None | None |
HMOX1 | 170 | No | Unlikely to be sequence specific TF | Not a DNA binding protein | No motif | None | Well characterized enzyme with no additional domains. Included only because GO lists it as a regulator of TFs. No support for DNA binding activity. |
BTG2 | 175 | No | Unlikely to be sequence specific TF | Not a DNA binding protein | No motif | None | Transcriptional co-factor (PMID: 10617598) |
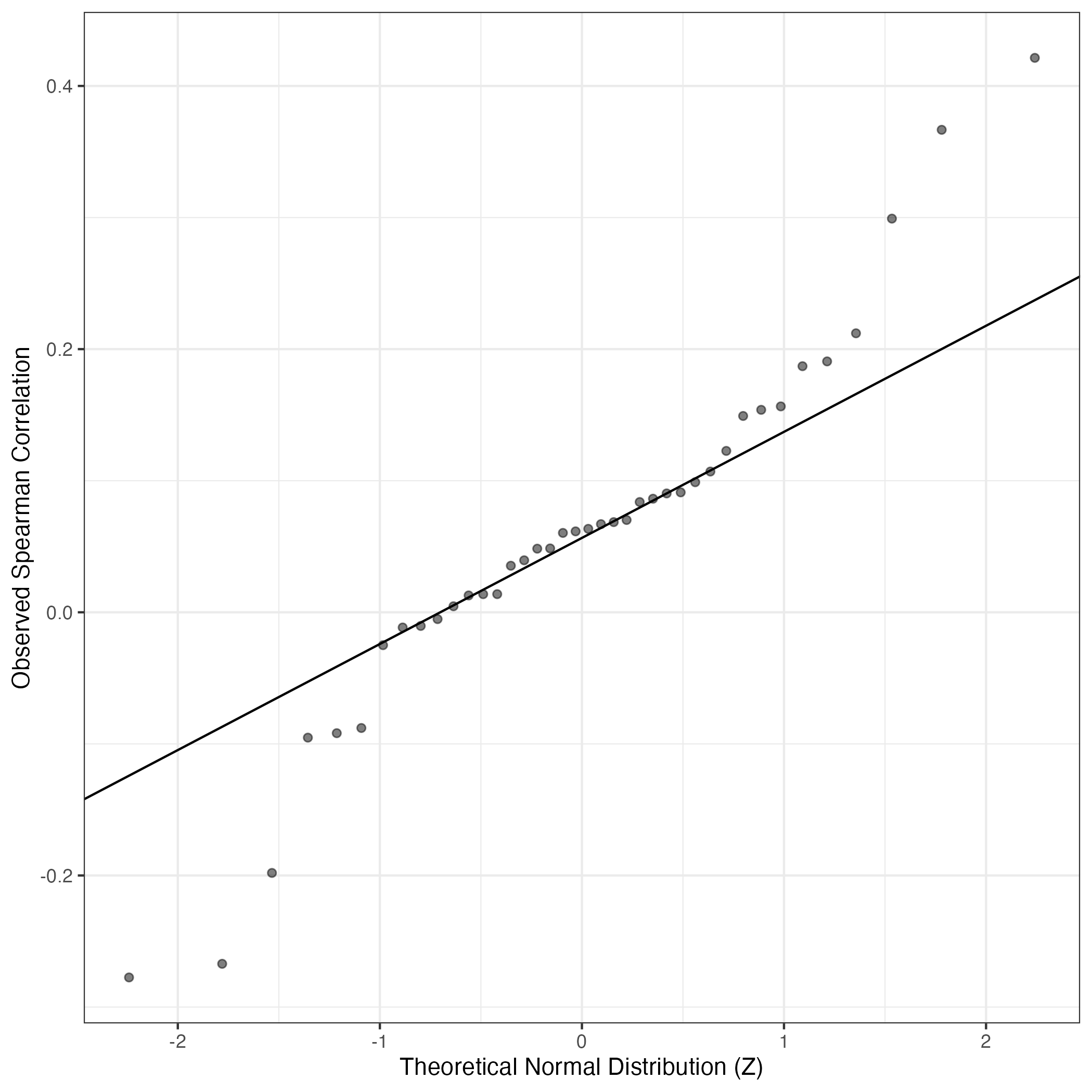
QQ Plot showing correlations with other GEPs in this dataset, calculated by Spearman correlation:
Interactive QQ-plot of gene loadings:
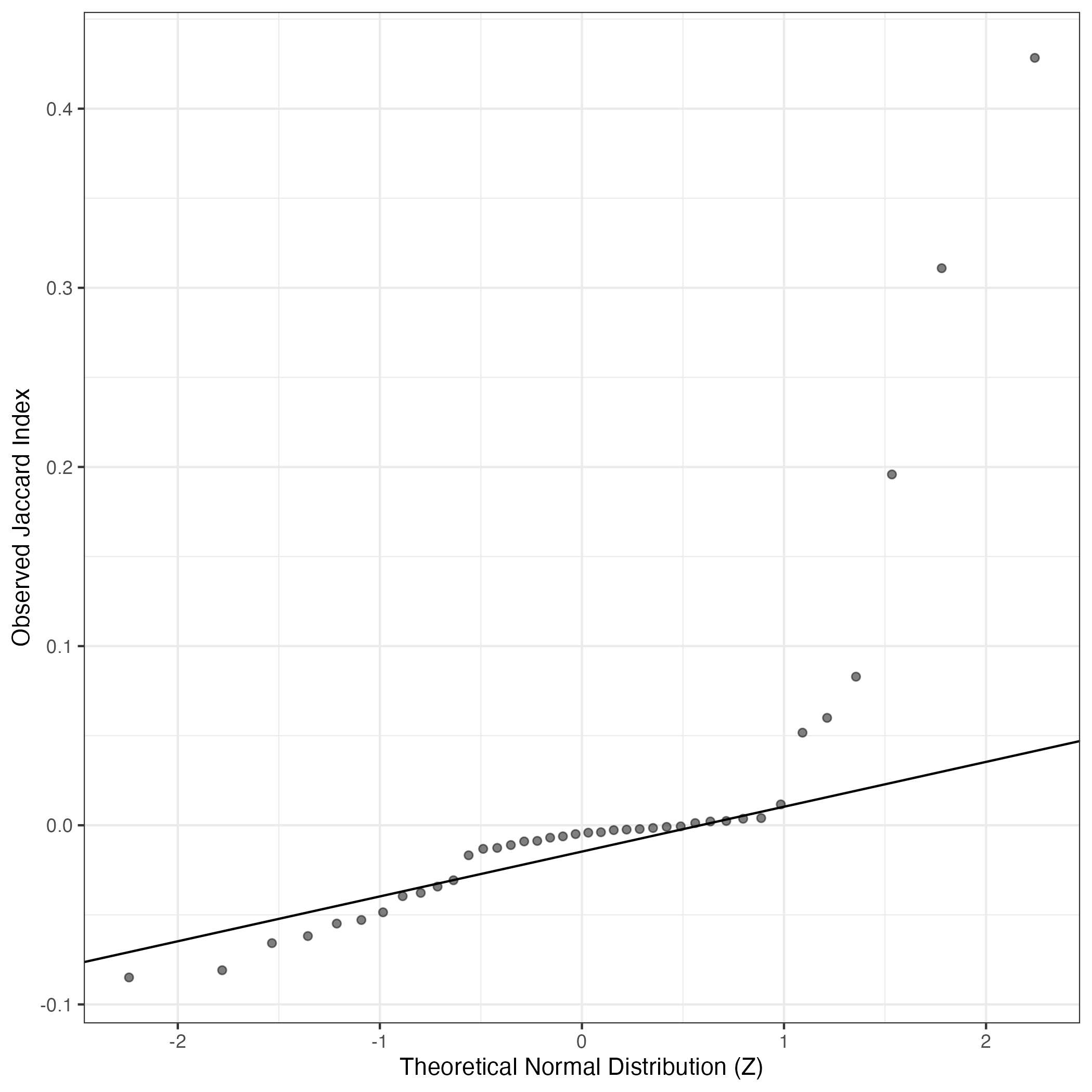
A similar QQ-plot as above, but only for instances where the H value is e.g. > 25, i.e. we are confident that the expression program is active above noise. Agreemenet between these binary vectors is tested using the Jaccard Index, with the P-values calculated by an exact test:
Interactive QQ-plot:
Singler cell type annotations for the top 50 cells on this program.
Cell ID | Singler label | Singler Delta | Activity Score | Top Singler Raw Scores |
---|---|---|---|---|
STDY7685342_GCAGTTAGTCAGCTAT | Monocyte:CD16+ | 0.21 | 627.75 | Raw ScoresMonocyte:CD16-: 0.5, Monocyte:CD14+: 0.5, Monocyte:CD16+: 0.5, Monocyte:leukotriene_D4: 0.48, Monocyte: 0.48, Monocyte:anti-FcgRIIB: 0.47, Macrophage:monocyte-derived:M-CSF/IFNg/Pam3Cys: 0.47, Macrophage:monocyte-derived:M-CSF/IFNg: 0.47, Pre-B_cell_CD34-: 0.46, Macrophage:monocyte-derived:M-CSF: 0.46 |
STDY7685341_AAGGAGCCATGGTTGT | Monocyte:CD16+ | 0.20 | 463.49 | Raw ScoresMonocyte:CD16-: 0.5, Monocyte:CD16+: 0.5, Monocyte:CD14+: 0.5, Monocyte:leukotriene_D4: 0.48, Monocyte: 0.47, Monocyte:anti-FcgRIIB: 0.47, Pre-B_cell_CD34-: 0.47, Macrophage:monocyte-derived:M-CSF/IFNg: 0.47, Neutrophil:commensal_E._coli_MG1655: 0.46, Macrophage:monocyte-derived:M-CSF/IFNg/Pam3Cys: 0.46 |
STDY7685341_TTCCCAGAGGGAACGG | Monocyte:CD16+ | 0.17 | 425.84 | Raw ScoresMonocyte:CD16+: 0.4, Monocyte:CD16-: 0.4, Monocyte:CD14+: 0.39, Monocyte:leukotriene_D4: 0.38, Pre-B_cell_CD34-: 0.38, Monocyte: 0.37, Neutrophil:commensal_E._coli_MG1655: 0.37, Neutrophil: 0.37, Monocyte:S._typhimurium_flagellin: 0.37, Monocyte:anti-FcgRIIB: 0.37 |
STDY7685340_CGGACACCATCACGTA | Monocyte:CD16+ | 0.17 | 423.65 | Raw ScoresMonocyte:CD16+: 0.42, Monocyte:CD16-: 0.41, Monocyte:CD14+: 0.41, Monocyte: 0.4, Monocyte:leukotriene_D4: 0.39, Monocyte:anti-FcgRIIB: 0.39, Pre-B_cell_CD34-: 0.39, Macrophage:monocyte-derived:M-CSF/IFNg: 0.38, Macrophage:monocyte-derived:M-CSF/IFNg/Pam3Cys: 0.38, Neutrophil: 0.38 |
STDY7685342_CTTACCGTCCCTCAGT | Monocyte:CD16+ | 0.19 | 417.02 | Raw ScoresMonocyte:CD16+: 0.43, Monocyte:CD14+: 0.42, Monocyte:CD16-: 0.42, Monocyte: 0.39, Pre-B_cell_CD34-: 0.39, Monocyte:leukotriene_D4: 0.38, Macrophage:monocyte-derived:M-CSF/IFNg: 0.38, Monocyte:anti-FcgRIIB: 0.38, HSC_-G-CSF: 0.38, Neutrophil:commensal_E._coli_MG1655: 0.38 |
STDY7685341_ACGCCGACAAGAAAGG | Monocyte:CD16+ | 0.18 | 399.18 | Raw ScoresMonocyte:CD16+: 0.45, Monocyte:CD16-: 0.44, Monocyte:CD14+: 0.44, Monocyte:leukotriene_D4: 0.42, Monocyte: 0.42, Macrophage:monocyte-derived:M-CSF/IFNg/Pam3Cys: 0.42, Monocyte:anti-FcgRIIB: 0.42, Pre-B_cell_CD34-: 0.42, Neutrophil:commensal_E._coli_MG1655: 0.42, Macrophage:monocyte-derived:M-CSF/IFNg: 0.42 |
STDY7685341_CCAGCGACATAAGACA | Monocyte:CD16+ | 0.17 | 398.28 | Raw ScoresMonocyte:CD16+: 0.45, Monocyte:CD16-: 0.44, Monocyte:CD14+: 0.44, Monocyte: 0.42, Pre-B_cell_CD34-: 0.42, Monocyte:leukotriene_D4: 0.42, Monocyte:anti-FcgRIIB: 0.42, Neutrophil:commensal_E._coli_MG1655: 0.41, Macrophage:monocyte-derived:M-CSF/IFNg/Pam3Cys: 0.41, Neutrophil: 0.4 |
STDY7685341_TCCACACTCTACTCAT | Monocyte:CD16+ | 0.17 | 388.80 | Raw ScoresMonocyte:CD16+: 0.43, Monocyte:CD16-: 0.42, Monocyte:CD14+: 0.42, Pre-B_cell_CD34-: 0.4, Monocyte: 0.4, Monocyte:leukotriene_D4: 0.4, Monocyte:anti-FcgRIIB: 0.39, Macrophage:monocyte-derived:M-CSF/IFNg: 0.39, Macrophage:monocyte-derived:M-CSF/IFNg/Pam3Cys: 0.39, HSC_-G-CSF: 0.39 |
STDY7685341_GCGGGTTGTGTTCTTT | Monocyte:CD16+ | 0.18 | 388.01 | Raw ScoresMonocyte:CD16+: 0.43, Monocyte:CD16-: 0.43, Monocyte:CD14+: 0.43, Pre-B_cell_CD34-: 0.41, Monocyte: 0.41, Monocyte:leukotriene_D4: 0.4, Macrophage:monocyte-derived:M-CSF/IFNg: 0.4, Monocyte:anti-FcgRIIB: 0.4, Macrophage:monocyte-derived:M-CSF/IFNg/Pam3Cys: 0.4, HSC_-G-CSF: 0.4 |
STDY7685341_TAGCCGGTCGCTAGCG | Monocyte:CD16+ | 0.17 | 384.52 | Raw ScoresMonocyte:CD16-: 0.41, Monocyte:CD16+: 0.41, Monocyte:CD14+: 0.41, Monocyte:leukotriene_D4: 0.39, Monocyte: 0.39, Pre-B_cell_CD34-: 0.39, Monocyte:anti-FcgRIIB: 0.39, Neutrophil:commensal_E._coli_MG1655: 0.39, Macrophage:monocyte-derived:M-CSF/IFNg/Pam3Cys: 0.38, Neutrophil: 0.38 |
STDY7685341_TAGACCACAGTCTTCC | Monocyte:CD16+ | 0.18 | 379.75 | Raw ScoresMonocyte:CD16+: 0.44, Monocyte:CD14+: 0.43, Monocyte:CD16-: 0.42, Monocyte: 0.42, Pre-B_cell_CD34-: 0.4, Monocyte:leukotriene_D4: 0.4, HSC_-G-CSF: 0.4, Macrophage:monocyte-derived:M-CSF/IFNg: 0.4, Monocyte:anti-FcgRIIB: 0.39, Macrophage:monocyte-derived:M-CSF: 0.39 |
STDY7685342_CCCAATCTCAACGCTA | Monocyte:CD16+ | 0.19 | 371.76 | Raw ScoresMonocyte:CD16+: 0.47, Monocyte:CD16-: 0.47, Monocyte:CD14+: 0.46, Monocyte:leukotriene_D4: 0.44, Monocyte: 0.44, Pre-B_cell_CD34-: 0.44, Monocyte:anti-FcgRIIB: 0.44, Macrophage:monocyte-derived:M-CSF/IFNg: 0.43, Macrophage:monocyte-derived:M-CSF/IFNg/Pam3Cys: 0.43, Macrophage:monocyte-derived:M-CSF: 0.43 |
STDY7685342_ACAGCCGCACATTCGA | Monocyte:CD16+ | 0.18 | 364.85 | Raw ScoresMonocyte:CD16+: 0.42, Monocyte:CD16-: 0.4, Monocyte:CD14+: 0.4, Monocyte: 0.38, Pre-B_cell_CD34-: 0.38, Monocyte:leukotriene_D4: 0.38, Neutrophil:commensal_E._coli_MG1655: 0.38, Monocyte:anti-FcgRIIB: 0.37, Macrophage:monocyte-derived:M-CSF/IFNg/Pam3Cys: 0.37, Neutrophil: 0.37 |
STDY7685342_GCGCGATTCAATCACG | Monocyte:CD16+ | 0.18 | 364.79 | Raw ScoresMonocyte:CD16+: 0.42, Monocyte:CD16-: 0.42, Monocyte:CD14+: 0.41, Monocyte:leukotriene_D4: 0.4, Monocyte: 0.4, Monocyte:anti-FcgRIIB: 0.4, Macrophage:monocyte-derived:M-CSF: 0.39, Macrophage:monocyte-derived:M-CSF/IFNg: 0.39, Macrophage:monocyte-derived:M-CSF/IFNg/Pam3Cys: 0.39, Monocyte:S._typhimurium_flagellin: 0.39 |
STDY7685342_GCATGTACAATCGGTT | Monocyte:CD16+ | 0.18 | 355.08 | Raw ScoresMonocyte:CD16+: 0.43, Monocyte:CD16-: 0.42, Monocyte:CD14+: 0.41, Monocyte: 0.4, Pre-B_cell_CD34-: 0.4, Monocyte:leukotriene_D4: 0.4, HSC_-G-CSF: 0.39, Monocyte:anti-FcgRIIB: 0.39, Neutrophil:commensal_E._coli_MG1655: 0.38, Neutrophil: 0.38 |
STDY7685342_CACACCTTCGGCTTGG | Monocyte:CD16+ | 0.17 | 355.01 | Raw ScoresMonocyte:CD16+: 0.42, Monocyte:CD14+: 0.42, Monocyte:CD16-: 0.42, Monocyte: 0.4, Pre-B_cell_CD34-: 0.4, Monocyte:leukotriene_D4: 0.39, Monocyte:anti-FcgRIIB: 0.39, HSC_-G-CSF: 0.38, Macrophage:monocyte-derived:M-CSF/IFNg: 0.38, Neutrophil:commensal_E._coli_MG1655: 0.38 |
STDY7685341_TGTTCCGGTCCGACGT | Monocyte:CD16- | 0.18 | 347.38 | Raw ScoresMonocyte:CD16-: 0.43, Monocyte:CD16+: 0.43, Monocyte:CD14+: 0.43, Monocyte: 0.41, Monocyte:leukotriene_D4: 0.41, Pre-B_cell_CD34-: 0.41, Monocyte:anti-FcgRIIB: 0.41, Macrophage:monocyte-derived:M-CSF/IFNg/Pam3Cys: 0.4, Macrophage:monocyte-derived:M-CSF/IFNg: 0.4, Monocyte:S._typhimurium_flagellin: 0.4 |
STDY7685341_CACCACTCAAGACGTG | Monocyte:CD16+ | 0.16 | 345.68 | Raw ScoresMonocyte:CD16+: 0.41, Monocyte:CD14+: 0.39, Monocyte:CD16-: 0.39, Pre-B_cell_CD34-: 0.38, Monocyte: 0.38, Monocyte:leukotriene_D4: 0.37, HSC_-G-CSF: 0.37, Neutrophil:commensal_E._coli_MG1655: 0.37, Neutrophil: 0.37, Neutrophil:uropathogenic_E._coli_UTI89: 0.37 |
STDY7685342_TAGTTGGGTCCGTCAG | Monocyte:CD16+ | 0.17 | 337.80 | Raw ScoresMonocyte:CD16+: 0.43, Monocyte:CD16-: 0.42, Monocyte:CD14+: 0.41, Pre-B_cell_CD34-: 0.4, Monocyte: 0.4, Monocyte:leukotriene_D4: 0.39, Monocyte:anti-FcgRIIB: 0.39, Neutrophil:commensal_E.coli_MG1655: 0.39, Macrophage:monocyte-derived:M-CSF/IFNg: 0.39, HSC-G-CSF: 0.39 |
STDY7685342_CCACCTACACATCCAA | Monocyte:CD16+ | 0.16 | 329.23 | Raw ScoresMonocyte:CD16+: 0.43, Monocyte:CD16-: 0.42, Monocyte:CD14+: 0.42, Pre-B_cell_CD34-: 0.4, Monocyte: 0.4, Monocyte:leukotriene_D4: 0.4, Neutrophil:commensal_E.coli_MG1655: 0.39, HSC-G-CSF: 0.39, Neutrophil: 0.39, Neutrophil:uropathogenic_E._coli_UTI89: 0.39 |
STDY7685341_ACATCAGCATGTTGAC | Monocyte:S._typhimurium_flagellin | 0.14 | 325.64 | Raw ScoresMonocyte:CD16+: 0.4, Monocyte:CD16-: 0.39, Monocyte:CD14+: 0.39, Monocyte:leukotriene_D4: 0.38, Monocyte: 0.38, Macrophage:monocyte-derived:M-CSF/IFNg/Pam3Cys: 0.37, Monocyte:anti-FcgRIIB: 0.37, Pre-B_cell_CD34-: 0.37, Macrophage:monocyte-derived:M-CSF/Pam3Cys: 0.37, Macrophage:monocyte-derived:M-CSF: 0.37 |
STDY7685341_TACCTATAGTGTTTGC | Monocyte:CD16+ | 0.16 | 320.94 | Raw ScoresMonocyte:CD16+: 0.43, Monocyte:CD16-: 0.42, Monocyte:CD14+: 0.42, Monocyte:leukotriene_D4: 0.41, Monocyte: 0.41, Macrophage:monocyte-derived:M-CSF/IFNg: 0.4, Pre-B_cell_CD34-: 0.4, Monocyte:anti-FcgRIIB: 0.4, Macrophage:monocyte-derived:M-CSF/IFNg/Pam3Cys: 0.4, Macrophage:monocyte-derived:M-CSF: 0.4 |
STDY7685341_ACGGAGAAGTGCCAGA | Monocyte:CD16+ | 0.17 | 317.34 | Raw ScoresMonocyte:CD16-: 0.45, Monocyte:CD16+: 0.45, Monocyte:CD14+: 0.45, Monocyte:leukotriene_D4: 0.43, Monocyte: 0.43, Monocyte:anti-FcgRIIB: 0.43, Pre-B_cell_CD34-: 0.43, Macrophage:monocyte-derived:M-CSF/IFNg/Pam3Cys: 0.43, Macrophage:monocyte-derived:M-CSF: 0.43, Monocyte:S._typhimurium_flagellin: 0.43 |
STDY7685341_ACGATACTCTGTCCGT | Monocyte:CD16+ | 0.17 | 317.25 | Raw ScoresMonocyte:CD16+: 0.42, Monocyte:CD16-: 0.42, Monocyte:CD14+: 0.41, Monocyte:leukotriene_D4: 0.4, Pre-B_cell_CD34-: 0.4, Monocyte: 0.4, Monocyte:anti-FcgRIIB: 0.39, Neutrophil:commensal_E._coli_MG1655: 0.39, Neutrophil: 0.39, Macrophage:monocyte-derived:M-CSF: 0.39 |
STDY7685342_TGGCCAGCAAGCCGCT | Monocyte:CD16+ | 0.17 | 311.91 | Raw ScoresMonocyte:CD16+: 0.41, Monocyte:CD14+: 0.41, Monocyte:CD16-: 0.4, Monocyte: 0.39, Pre-B_cell_CD34-: 0.39, Monocyte:leukotriene_D4: 0.38, HSC_-G-CSF: 0.38, Monocyte:anti-FcgRIIB: 0.38, Macrophage:monocyte-derived:M-CSF/IFNg: 0.38, Macrophage:monocyte-derived:M-CSF/IFNg/Pam3Cys: 0.38 |
STDY7685342_GTCATTTCAACTTGAC | Monocyte:CD16+ | 0.19 | 311.64 | Raw ScoresMonocyte:CD16+: 0.44, Monocyte:CD14+: 0.43, Monocyte:CD16-: 0.43, Monocyte: 0.42, Monocyte:leukotriene_D4: 0.41, Pre-B_cell_CD34-: 0.41, Macrophage:monocyte-derived:M-CSF/IFNg: 0.41, Monocyte:anti-FcgRIIB: 0.41, Macrophage:monocyte-derived:M-CSF: 0.4, HSC_-G-CSF: 0.4 |
STDY7685342_AGGGTGATCACTGGGC | Monocyte:CD16+ | 0.17 | 304.19 | Raw ScoresMonocyte:CD16+: 0.39, Monocyte:CD16-: 0.38, Monocyte:CD14+: 0.38, Monocyte:leukotriene_D4: 0.37, Monocyte: 0.37, Pre-B_cell_CD34-: 0.36, Neutrophil:commensal_E.coli_MG1655: 0.36, Neutrophil: 0.36, HSC-G-CSF: 0.36, Monocyte:anti-FcgRIIB: 0.36 |
STDY7685342_CATGGCGCAGCTGCAC | Monocyte:CD16+ | 0.16 | 300.85 | Raw ScoresMonocyte:CD16+: 0.41, Monocyte:CD16-: 0.4, Monocyte:CD14+: 0.4, Monocyte:leukotriene_D4: 0.38, Monocyte: 0.38, Pre-B_cell_CD34-: 0.38, Monocyte:anti-FcgRIIB: 0.37, Neutrophil:commensal_E._coli_MG1655: 0.37, Neutrophil: 0.37, Neutrophil:uropathogenic_E._coli_UTI89: 0.37 |
STDY7685342_CCCAATCGTGTCAATC | Monocyte:CD16+ | 0.16 | 299.81 | Raw ScoresMonocyte:CD16+: 0.39, Monocyte:CD16-: 0.39, Monocyte:CD14+: 0.39, Monocyte: 0.37, Macrophage:monocyte-derived:M-CSF/IFNg: 0.37, Macrophage:monocyte-derived:M-CSF/IFNg/Pam3Cys: 0.37, Pre-B_cell_CD34-: 0.37, Monocyte:leukotriene_D4: 0.36, Monocyte:anti-FcgRIIB: 0.36, Neutrophil:commensal_E._coli_MG1655: 0.36 |
STDY7685340_GGTATTGTCGGCGGTT | Monocyte:CD16+ | 0.17 | 297.45 | Raw ScoresMonocyte:CD16+: 0.39, Monocyte:CD16-: 0.38, Monocyte:CD14+: 0.38, Monocyte:S._typhimurium_flagellin: 0.36, Monocyte: 0.36, Monocyte:leukotriene_D4: 0.36, Macrophage:monocyte-derived:M-CSF/IFNg/Pam3Cys: 0.36, Monocyte:anti-FcgRIIB: 0.35, Pre-B_cell_CD34-: 0.35, Macrophage:monocyte-derived:M-CSF: 0.35 |
STDY7685341_CCTTCCCCATGGTCAT | Monocyte:CD16+ | 0.16 | 294.21 | Raw ScoresMonocyte:CD16-: 0.41, Monocyte:CD16+: 0.41, Monocyte:CD14+: 0.4, Pre-B_cell_CD34-: 0.39, Neutrophil:commensal_E._coli_MG1655: 0.39, Monocyte:leukotriene_D4: 0.39, Monocyte: 0.38, Neutrophil:uropathogenic_E._coli_UTI89: 0.38, Monocyte:anti-FcgRIIB: 0.38, Neutrophil: 0.38 |
STDY7685342_CGAGAAGTCGTATCAG | Monocyte:CD16+ | 0.17 | 291.49 | Raw ScoresMonocyte:CD16+: 0.42, Monocyte:CD16-: 0.41, Monocyte:CD14+: 0.41, Monocyte: 0.4, Pre-B_cell_CD34-: 0.39, Monocyte:leukotriene_D4: 0.39, Monocyte:anti-FcgRIIB: 0.38, HSC_-G-CSF: 0.38, Macrophage:monocyte-derived:M-CSF/IFNg: 0.38, Neutrophil: 0.38 |
STDY7685341_TTGTAGGGTCTGATTG | Monocyte:CD16+ | 0.18 | 290.18 | Raw ScoresMonocyte:CD16+: 0.43, Monocyte:CD14+: 0.41, Monocyte:CD16-: 0.41, Monocyte: 0.4, Pre-B_cell_CD34-: 0.39, Macrophage:monocyte-derived:M-CSF/IFNg: 0.39, Monocyte:leukotriene_D4: 0.39, Monocyte:anti-FcgRIIB: 0.39, HSC_-G-CSF: 0.38, Macrophage:monocyte-derived:M-CSF/IFNg/Pam3Cys: 0.38 |
STDY7685341_CGCTATCGTCGTGGCT | Monocyte:CD16+ | 0.15 | 289.99 | Raw ScoresMonocyte:CD16+: 0.39, Monocyte:CD16-: 0.38, Monocyte:CD14+: 0.38, Pre-B_cell_CD34-: 0.37, Neutrophil:commensal_E._coli_MG1655: 0.37, Monocyte: 0.36, Monocyte:leukotriene_D4: 0.36, Neutrophil: 0.36, Monocyte:anti-FcgRIIB: 0.36, Neutrophil:uropathogenic_E._coli_UTI89: 0.36 |
STDY7685342_ACGCCGAGTCTTCGTC | Monocyte:CD16+ | 0.15 | 289.86 | Raw ScoresMonocyte:CD16+: 0.41, Monocyte:CD16-: 0.41, Monocyte:CD14+: 0.4, Pre-B_cell_CD34-: 0.39, Monocyte:leukotriene_D4: 0.39, Monocyte: 0.39, Monocyte:anti-FcgRIIB: 0.38, Macrophage:monocyte-derived:M-CSF/IFNg/Pam3Cys: 0.38, Neutrophil:commensal_E._coli_MG1655: 0.38, Macrophage:monocyte-derived:M-CSF/IFNg: 0.38 |
STDY7787237_CGAGAAGAGCTCAACT | Monocyte:CD16+ | 0.17 | 288.84 | Raw ScoresMonocyte:CD16+: 0.39, Monocyte:CD14+: 0.37, Monocyte:CD16-: 0.37, Monocyte: 0.37, Pre-B_cell_CD34-: 0.36, Macrophage:monocyte-derived:M-CSF/IFNg: 0.35, Monocyte:leukotriene_D4: 0.35, Monocyte:anti-FcgRIIB: 0.35, HSC_-G-CSF: 0.35, Macrophage:monocyte-derived:M-CSF: 0.34 |
STDY7685342_GAACCTAGTAAAGGAG | Monocyte:CD14+ | 0.16 | 286.76 | Raw ScoresMonocyte:CD16+: 0.41, Monocyte:CD16-: 0.4, Monocyte:CD14+: 0.4, Pre-B_cell_CD34-: 0.4, Monocyte:leukotriene_D4: 0.4, Monocyte: 0.39, Monocyte:anti-FcgRIIB: 0.39, HSC_-G-CSF: 0.38, Macrophage:monocyte-derived:M-CSF/IFNg/Pam3Cys: 0.38, Neutrophil: 0.37 |
STDY7685342_TATGCCCAGATTACCC | Monocyte:CD16+ | 0.15 | 286.19 | Raw ScoresMonocyte:CD16+: 0.4, Monocyte:CD16-: 0.4, Monocyte:CD14+: 0.4, Pre-B_cell_CD34-: 0.38, Monocyte: 0.38, Monocyte:leukotriene_D4: 0.38, Monocyte:anti-FcgRIIB: 0.37, Neutrophil:commensal_E._coli_MG1655: 0.37, Neutrophil: 0.37, Macrophage:monocyte-derived:M-CSF: 0.37 |
STDY7685342_ATTACTCCAAATTGCC | Monocyte:CD16+ | 0.16 | 281.32 | Raw ScoresMonocyte:CD16+: 0.43, Monocyte:CD16-: 0.43, Monocyte:CD14+: 0.43, Monocyte:leukotriene_D4: 0.41, Pre-B_cell_CD34-: 0.41, Monocyte: 0.41, Monocyte:anti-FcgRIIB: 0.41, Macrophage:monocyte-derived:M-CSF/IFNg: 0.4, Macrophage:monocyte-derived:M-CSF: 0.4, Macrophage:monocyte-derived:M-CSF/IFNg/Pam3Cys: 0.4 |
STDY7685341_TGACAACTCTGGCGTG | Monocyte:CD14+ | 0.16 | 280.63 | Raw ScoresMonocyte:CD16-: 0.42, Monocyte:CD16+: 0.42, Monocyte:CD14+: 0.42, Monocyte:leukotriene_D4: 0.4, Pre-B_cell_CD34-: 0.4, Monocyte: 0.4, Macrophage:monocyte-derived:M-CSF/IFNg/Pam3Cys: 0.4, Monocyte:anti-FcgRIIB: 0.39, Monocyte:S._typhimurium_flagellin: 0.39, Macrophage:monocyte-derived:M-CSF/IFNg: 0.39 |
STDY7685341_GTGCGGTTCTTGCAAG | Monocyte:CD16+ | 0.16 | 278.46 | Raw ScoresMonocyte:CD16+: 0.42, Monocyte:CD16-: 0.41, Monocyte:CD14+: 0.41, Neutrophil:commensal_E._coli_MG1655: 0.39, Monocyte:leukotriene_D4: 0.39, Monocyte: 0.39, Pre-B_cell_CD34-: 0.39, Neutrophil: 0.39, Monocyte:anti-FcgRIIB: 0.39, Monocyte:S._typhimurium_flagellin: 0.39 |
STDY7685341_CGAGAAGCAGACAAGC | Monocyte:CD16+ | 0.16 | 272.48 | Raw ScoresMonocyte:CD16+: 0.39, Monocyte:CD16-: 0.39, Monocyte:CD14+: 0.39, Neutrophil:commensal_E._coli_MG1655: 0.38, Neutrophil: 0.37, Neutrophil:uropathogenic_E._coli_UTI89: 0.37, Pre-B_cell_CD34-: 0.37, Monocyte: 0.37, Monocyte:leukotriene_D4: 0.36, Monocyte:anti-FcgRIIB: 0.36 |
STDY7685342_GTGGGTCGTACTCGCG | Monocyte:CD16+ | 0.16 | 268.83 | Raw ScoresMonocyte:CD16-: 0.44, Monocyte:CD16+: 0.44, Monocyte:CD14+: 0.43, Monocyte:leukotriene_D4: 0.42, Macrophage:monocyte-derived:M-CSF/IFNg/Pam3Cys: 0.42, Monocyte: 0.42, Macrophage:monocyte-derived:M-CSF/IFNg: 0.42, Monocyte:anti-FcgRIIB: 0.42, Macrophage:monocyte-derived:M-CSF: 0.41, Pre-B_cell_CD34-: 0.41 |
STDY7685341_CTCGAAAAGGCAAAGA | Monocyte:CD16+ | 0.16 | 268.48 | Raw ScoresMonocyte:CD16+: 0.38, Monocyte:CD16-: 0.38, Monocyte:CD14+: 0.37, Monocyte: 0.36, Neutrophil:commensal_E._coli_MG1655: 0.36, Pre-B_cell_CD34-: 0.36, Monocyte:leukotriene_D4: 0.36, Neutrophil: 0.36, Macrophage:monocyte-derived:M-CSF/IFNg/Pam3Cys: 0.35, Monocyte:anti-FcgRIIB: 0.35 |
STDY7685342_TATTACCGTCCCTTGT | Monocyte:CD16- | 0.17 | 266.78 | Raw ScoresMonocyte:CD16-: 0.39, Monocyte:CD14+: 0.39, Monocyte:CD16+: 0.38, Monocyte:S._typhimurium_flagellin: 0.38, Macrophage:monocyte-derived:M-CSF/IFNg/Pam3Cys: 0.37, Monocyte:leukotriene_D4: 0.37, Monocyte: 0.37, Neutrophil:commensal_E._coli_MG1655: 0.37, Monocyte:anti-FcgRIIB: 0.37, Macrophage:monocyte-derived:M-CSF/Pam3Cys: 0.37 |
STDY7685342_ACGGGTCCAGTCCTTC | Monocyte:CD16+ | 0.15 | 264.04 | Raw ScoresMonocyte:CD16+: 0.4, Monocyte:CD14+: 0.39, Monocyte:CD16-: 0.39, Monocyte: 0.38, Pre-B_cell_CD34-: 0.37, Monocyte:leukotriene_D4: 0.37, HSC_-G-CSF: 0.37, Neutrophil: 0.37, Neutrophil:commensal_E._coli_MG1655: 0.37, Neutrophil:uropathogenic_E._coli_UTI89: 0.36 |
STDY7685341_GCACTCTGTACTCTCC | Monocyte:CD16- | 0.18 | 263.65 | Raw ScoresMonocyte:CD16-: 0.43, Monocyte:CD16+: 0.43, Monocyte:CD14+: 0.43, Macrophage:monocyte-derived:M-CSF/IFNg: 0.41, Macrophage:monocyte-derived:M-CSF/IFNg/Pam3Cys: 0.41, Monocyte:leukotriene_D4: 0.41, Monocyte: 0.41, Monocyte:anti-FcgRIIB: 0.41, Pre-B_cell_CD34-: 0.41, Macrophage:monocyte-derived:M-CSF/Pam3Cys: 0.39 |
STDY7685342_GACCAATAGTGAACGC | Monocyte:CD16+ | 0.16 | 261.13 | Raw ScoresMonocyte:CD16+: 0.39, Monocyte:CD16-: 0.37, Monocyte:CD14+: 0.37, Monocyte: 0.36, Pre-B_cell_CD34-: 0.35, Neutrophil: 0.35, Neutrophil:commensal_E._coli_MG1655: 0.35, Neutrophil:uropathogenic_E.coli_UTI89: 0.35, HSC-G-CSF: 0.34, Monocyte:leukotriene_D4: 0.34 |
STDY7685342_TGAGCCGTCGCAGGCT | Monocyte:CD16+ | 0.15 | 260.52 | Raw ScoresMonocyte:CD16+: 0.41, Monocyte:CD16-: 0.4, Monocyte:CD14+: 0.4, Monocyte: 0.39, Pre-B_cell_CD34-: 0.39, Monocyte:leukotriene_D4: 0.38, Monocyte:anti-FcgRIIB: 0.38, HSC_-G-CSF: 0.38, Macrophage:monocyte-derived:M-CSF/IFNg: 0.38, Neutrophil: 0.37 |
STDY7685342_AGCAGCCAGGACATTA | Monocyte:CD16+ | 0.17 | 260.48 | Raw ScoresMonocyte:CD16-: 0.46, Monocyte:CD14+: 0.45, Monocyte:CD16+: 0.45, Monocyte:leukotriene_D4: 0.44, Monocyte: 0.43, Pre-B_cell_CD34-: 0.43, Monocyte:anti-FcgRIIB: 0.43, Macrophage:monocyte-derived:M-CSF/IFNg: 0.42, Macrophage:monocyte-derived:M-CSF/IFNg/Pam3Cys: 0.42, Macrophage:monocyte-derived:M-CSF: 0.42 |
Below shows the significant enrichments of this GEP for literature curated gene lists
This data was procured from existing single cell RNA-seq maps of neuroblastoma or related relevant data.
High ranks indicate this gene is a driver of this GEP.
These curated gene list are ranked by the P-value (on this GEP) of their constituent genes.
The Mean Count column shows the mean read count in cells scoring highly (H > 50) on this gene expression program.
Genes | Weight | Rank | GTEx | DepMap | Decartes | Mean.Counts | Mean.TPM |
---|---|---|---|---|---|---|---|
IL1B | 0.0056978 | 26 | GTEx | DepMap | Descartes | 13.54 | 4549.95 |
CD36 | 0.0016004 | 319 | GTEx | DepMap | Descartes | 0.73 | 62.88 |
TNF | 0.0014997 | 347 | GTEx | DepMap | Descartes | 0.65 | 193.94 |
TNFRSF10B | 0.0012365 | 453 | GTEx | DepMap | Descartes | 0.13 | 17.89 |
CD14 | 0.0010856 | 526 | GTEx | DepMap | Descartes | 2.46 | 756.79 |
HIF1A | 0.0008371 | 688 | GTEx | DepMap | Descartes | 0.57 | 83.29 |
NOS2 | 0.0007696 | 753 | GTEx | DepMap | Descartes | 0.00 | 0.32 |
TGFB1 | 0.0007070 | 817 | GTEx | DepMap | Descartes | 0.58 | 107.50 |
VEGFA | 0.0002053 | 1631 | GTEx | DepMap | Descartes | 0.22 | 7.99 |
STAT3 | -0.0001268 | 3995 | GTEx | DepMap | Descartes | 0.68 | 73.97 |
ARG1 | -0.0002000 | 5165 | GTEx | DepMap | Descartes | 0.00 | 0.00 |
CD274 | -0.0002449 | 5921 | GTEx | DepMap | Descartes | 0.02 | 0.94 |
ARG2 | -0.0004460 | 8855 | GTEx | DepMap | Descartes | 0.00 | 0.00 |
IL10 | -0.0005028 | 9515 | GTEx | DepMap | Descartes | 0.12 | 20.80 |
CD84 | -0.0007054 | 11036 | GTEx | DepMap | Descartes | 0.12 | 6.00 |
Bridge region mesenchymal-SCP transition (Olsen)
As above but for cells in the mesenchymal transitioning to SCP region:
Wilcoxon ranksum test P-value for gene set overrepresentation: 2.01e-03
Mean rank of genes in gene set: 257.67
Rank on gene expression program of genes in gene set:
Genes | Weight | Rank | GTEx | DepMap | Decartes | Mean.Counts | Mean.TPM |
---|---|---|---|---|---|---|---|
IFITM3 | 0.0060167 | 17 | GTEx | DepMap | Descartes | 4.47 | 3309.53 |
S100A10 | 0.0016142 | 315 | GTEx | DepMap | Descartes | 3.94 | 3224.74 |
B2M | 0.0012666 | 441 | GTEx | DepMap | Descartes | 76.04 | 15873.58 |
HSCs and immune cells (Kameneva)
Marker gene were obtained from Fig. 1D of Kameneva et al (PMID 33833454). These genes were used by the authors to annotate each cell type in their human fetal adrenal scRNA-seq data obtained 6, 8, 9, 11, 12 and 14 weeks post conception.:
Wilcoxon ranksum test P-value for gene set overrepresentation: 2.67e-03
Mean rank of genes in gene set: 449.67
Rank on gene expression program of genes in gene set:
Genes | Weight | Rank | GTEx | DepMap | Decartes | Mean.Counts | Mean.TPM |
---|---|---|---|---|---|---|---|
AIF1 | 0.0090107 | 3 | GTEx | DepMap | Descartes | 14.20 | 6261.18 |
CD163 | 0.0018732 | 253 | GTEx | DepMap | Descartes | 0.61 | 61.33 |
RGS10 | 0.0004630 | 1093 | GTEx | DepMap | Descartes | 1.22 | 588.08 |
Below shows ranks on this GEP for literature curated gene lists for large gene sets
These include those reported as mesenchymal/adrenergic by Van Groningen et al.
High ranks indicate this gene is a driver of this GEP (note these results are not ordered).
The Mean Count column shows the mean read count in cells scoring highly (H > 50) on this gene expression program.
VanGroningen Adrenergic Genes
Adrenergic marker genes from Supplementary Table 2 of Van Groningen et al. Nature Genetics 2017. These genes were identified by differential expression analysis of mesenchymal-like and adrenergic-like neuroblastoma cell lines.
Wilcoxon ranksum test P-value for gene set overrepresentation: 1.00e+00
Mean rank of genes in gene set: 9738.13
Median rank of genes in gene set: 10866
Rank on gene expression program of top 30 genes in gene set:
Genes | Weight | Rank | GTEx | DepMap | Descartes | Mean.Counts | Mean.TPM |
---|---|---|---|---|---|---|---|
AP1S2 | 0.0040642 | 57 | GTEx | DepMap | Descartes | 2.46 | 375.04 |
LYN | 0.0027180 | 128 | GTEx | DepMap | Descartes | 0.98 | 85.57 |
GLRX | 0.0013685 | 403 | GTEx | DepMap | Descartes | 1.13 | 170.67 |
CELF2 | 0.0013035 | 429 | GTEx | DepMap | Descartes | 1.09 | 72.24 |
NFIL3 | 0.0010131 | 566 | GTEx | DepMap | Descartes | 0.30 | 83.64 |
GCH1 | 0.0009201 | 615 | GTEx | DepMap | Descartes | 0.20 | 32.57 |
CDC42EP3 | 0.0008472 | 680 | GTEx | DepMap | Descartes | 0.28 | 32.06 |
DAPK1 | 0.0008267 | 695 | GTEx | DepMap | Descartes | 0.15 | 10.65 |
HK2 | 0.0005733 | 957 | GTEx | DepMap | Descartes | 0.08 | 8.30 |
ST3GAL6 | 0.0005379 | 999 | GTEx | DepMap | Descartes | 0.13 | 18.90 |
TIAM1 | 0.0004960 | 1053 | GTEx | DepMap | Descartes | 0.09 | 7.20 |
FOXO3 | 0.0003801 | 1240 | GTEx | DepMap | Descartes | 0.31 | 25.32 |
ATP6V1B2 | 0.0003708 | 1254 | GTEx | DepMap | Descartes | 0.57 | 39.31 |
SETD7 | 0.0002487 | 1508 | GTEx | DepMap | Descartes | 0.06 | 3.40 |
RET | 0.0002137 | 1599 | GTEx | DepMap | Descartes | 0.00 | 0.17 |
RBBP8 | 0.0001584 | 1764 | GTEx | DepMap | Descartes | 0.09 | 14.50 |
IRS2 | 0.0001400 | 1836 | GTEx | DepMap | Descartes | 0.70 | 49.85 |
TBC1D30 | 0.0000828 | 2042 | GTEx | DepMap | Descartes | 0.02 | 1.38 |
UCP2 | 0.0000793 | 2060 | GTEx | DepMap | Descartes | 1.70 | 368.85 |
ANP32A | 0.0000562 | 2157 | GTEx | DepMap | Descartes | 0.57 | 75.63 |
ASRGL1 | 0.0000519 | 2179 | GTEx | DepMap | Descartes | 0.11 | 26.03 |
MYO5A | -0.0000396 | 2749 | GTEx | DepMap | Descartes | 0.09 | 3.72 |
CERK | -0.0000484 | 2837 | GTEx | DepMap | Descartes | 0.14 | 15.68 |
ACVR1B | -0.0000631 | 3065 | GTEx | DepMap | Descartes | 0.08 | 8.87 |
FBXO8 | -0.0000669 | 3121 | GTEx | DepMap | Descartes | 0.03 | 5.86 |
PPP2R3C | -0.0000677 | 3132 | GTEx | DepMap | Descartes | 0.16 | 44.70 |
NCAN | -0.0001016 | 3617 | GTEx | DepMap | Descartes | 0.00 | 0.00 |
GLDC | -0.0001046 | 3666 | GTEx | DepMap | Descartes | 0.00 | 0.00 |
CHML | -0.0001377 | 4202 | GTEx | DepMap | Descartes | 0.06 | 3.72 |
SHC3 | -0.0001955 | 5093 | GTEx | DepMap | Descartes | 0.00 | 0.00 |
VanGroningen Mesenchymal Genes
Mesenchymal marker genes from Supplementary Table 2 of Van Groningen et al. Nature Genetics 2017. These genes were identified by differential expression analysis of mesenchymal-like and adrenergic-like neuroblastoma cell lines.
Wilcoxon ranksum test P-value for gene set overrepresentation: 3.84e-02
Mean rank of genes in gene set: 5973
Median rank of genes in gene set: 6475
Rank on gene expression program of top 30 genes in gene set:
Genes | Weight | Rank | GTEx | DepMap | Descartes | Mean.Counts | Mean.TPM |
---|---|---|---|---|---|---|---|
IFITM2 | 0.0064387 | 13 | GTEx | DepMap | Descartes | 7.16 | 4559.53 |
IFITM3 | 0.0060167 | 17 | GTEx | DepMap | Descartes | 4.47 | 3309.53 |
TIMP1 | 0.0056122 | 27 | GTEx | DepMap | Descartes | 6.98 | 3457.36 |
ARPC1B | 0.0044511 | 45 | GTEx | DepMap | Descartes | 6.99 | 1932.00 |
NPC2 | 0.0043387 | 47 | GTEx | DepMap | Descartes | 5.80 | 1913.95 |
THBS1 | 0.0040939 | 56 | GTEx | DepMap | Descartes | 4.65 | 339.91 |
TCF7L2 | 0.0040615 | 58 | GTEx | DepMap | Descartes | 0.23 | 27.94 |
DUSP6 | 0.0039233 | 60 | GTEx | DepMap | Descartes | 1.38 | 220.21 |
PLSCR1 | 0.0029159 | 113 | GTEx | DepMap | Descartes | 1.07 | 282.08 |
HNMT | 0.0026794 | 131 | GTEx | DepMap | Descartes | 0.44 | 68.42 |
SEC14L1 | 0.0026769 | 133 | GTEx | DepMap | Descartes | 0.84 | 83.58 |
ANXA5 | 0.0026661 | 134 | GTEx | DepMap | Descartes | 1.56 | 466.22 |
ITM2B | 0.0025484 | 144 | GTEx | DepMap | Descartes | 4.57 | 233.96 |
PPT1 | 0.0025074 | 149 | GTEx | DepMap | Descartes | 1.20 | 149.35 |
GNS | 0.0024619 | 156 | GTEx | DepMap | Descartes | 0.41 | 43.33 |
HES1 | 0.0024565 | 157 | GTEx | DepMap | Descartes | 2.18 | 675.42 |
RNH1 | 0.0022802 | 183 | GTEx | DepMap | Descartes | 1.13 | 170.97 |
CMTM6 | 0.0022794 | 184 | GTEx | DepMap | Descartes | 1.13 | 184.52 |
EGR3 | 0.0022726 | 185 | GTEx | DepMap | Descartes | 0.37 | 48.32 |
MBD2 | 0.0022139 | 191 | GTEx | DepMap | Descartes | 0.29 | 30.00 |
GRN | 0.0020576 | 213 | GTEx | DepMap | Descartes | 3.14 | 705.61 |
CD44 | 0.0019522 | 235 | GTEx | DepMap | Descartes | 2.35 | 240.27 |
CTSC | 0.0019192 | 241 | GTEx | DepMap | Descartes | 1.28 | 89.54 |
SGK1 | 0.0018511 | 256 | GTEx | DepMap | Descartes | 1.16 | 103.63 |
SH3BGRL | 0.0017970 | 269 | GTEx | DepMap | Descartes | 1.41 | 395.61 |
KCTD12 | 0.0017571 | 278 | GTEx | DepMap | Descartes | 0.37 | 28.72 |
FLNA | 0.0017493 | 279 | GTEx | DepMap | Descartes | 0.91 | 59.45 |
ZFP36L1 | 0.0016770 | 296 | GTEx | DepMap | Descartes | 1.92 | 316.68 |
PYGL | 0.0016485 | 300 | GTEx | DepMap | Descartes | 0.21 | 45.19 |
KLF4 | 0.0015889 | 322 | GTEx | DepMap | Descartes | 0.98 | 154.78 |
Descartes adrenocortical markers
Top 50 marker genes of adrenocortical cells in the Decartes fetal adrenal single cell map (https://atlas.brotmanbaty.org/bbi/human-gene-expression-during-development/cell/adrenocortical/in/adrenal)
Wilcoxon ranksum test P-value for gene set overrepresentation: 9.38e-01
Mean rank of genes in gene set: 7201.19
Median rank of genes in gene set: 7877.5
Rank on gene expression program of top 30 genes in gene set:
Genes | Weight | Rank | GTEx | DepMap | Descartes | Mean.Counts | Mean.TPM |
---|---|---|---|---|---|---|---|
PAPSS2 | 0.0015669 | 328 | GTEx | DepMap | Descartes | 0.10 | 12.45 |
SH3BP5 | 0.0006273 | 890 | GTEx | DepMap | Descartes | 0.52 | 88.20 |
POR | 0.0003988 | 1208 | GTEx | DepMap | Descartes | 0.19 | 39.21 |
LDLR | 0.0003268 | 1344 | GTEx | DepMap | Descartes | 0.18 | 17.55 |
FREM2 | 0.0000451 | 2221 | GTEx | DepMap | Descartes | 0.00 | 0.00 |
SH3PXD2B | 0.0000191 | 2370 | GTEx | DepMap | Descartes | 0.05 | 3.20 |
HMGCR | -0.0000683 | 3138 | GTEx | DepMap | Descartes | 0.06 | 5.59 |
SGCZ | -0.0000773 | 3255 | GTEx | DepMap | Descartes | 0.00 | 0.00 |
BAIAP2L1 | -0.0001191 | 3891 | GTEx | DepMap | Descartes | 0.00 | 0.37 |
FDX1 | -0.0001337 | 4124 | GTEx | DepMap | Descartes | 0.27 | 40.92 |
SCAP | -0.0001795 | 4846 | GTEx | DepMap | Descartes | 0.07 | 8.85 |
STAR | -0.0001987 | 5149 | GTEx | DepMap | Descartes | 0.00 | 0.44 |
INHA | -0.0002065 | 5283 | GTEx | DepMap | Descartes | 0.00 | 0.00 |
GRAMD1B | -0.0002263 | 5601 | GTEx | DepMap | Descartes | 0.02 | 1.57 |
ERN1 | -0.0002528 | 6061 | GTEx | DepMap | Descartes | 0.10 | 5.70 |
NPC1 | -0.0002803 | 6461 | GTEx | DepMap | Descartes | 0.05 | 4.40 |
SLC16A9 | -0.0002900 | 6607 | GTEx | DepMap | Descartes | 0.00 | 0.00 |
FRMD5 | -0.0003709 | 7821 | GTEx | DepMap | Descartes | 0.00 | 0.00 |
PDE10A | -0.0003792 | 7934 | GTEx | DepMap | Descartes | 0.00 | 0.00 |
DHCR24 | -0.0004239 | 8575 | GTEx | DepMap | Descartes | 0.01 | 0.49 |
SLC1A2 | -0.0004242 | 8580 | GTEx | DepMap | Descartes | 0.00 | 0.00 |
IGF1R | -0.0004407 | 8796 | GTEx | DepMap | Descartes | 0.03 | 1.67 |
SCARB1 | -0.0005062 | 9545 | GTEx | DepMap | Descartes | 0.05 | 3.16 |
DHCR7 | -0.0005183 | 9675 | GTEx | DepMap | Descartes | 0.01 | 2.17 |
HMGCS1 | -0.0005322 | 9802 | GTEx | DepMap | Descartes | 0.06 | 5.84 |
PEG3 | -0.0005872 | 10292 | GTEx | DepMap | Descartes | 0.00 | NA |
FDXR | -0.0005898 | 10312 | GTEx | DepMap | Descartes | 0.02 | 2.09 |
TM7SF2 | -0.0006137 | 10470 | GTEx | DepMap | Descartes | 0.02 | 3.46 |
MSMO1 | -0.0007051 | 11034 | GTEx | DepMap | Descartes | 0.02 | 4.11 |
CYB5B | -0.0008116 | 11525 | GTEx | DepMap | Descartes | 0.14 | 16.29 |
Descartes chromaffin markers
Top 50 marker genes of chromaffin cells in the Decartes fetal adrenal single cell map (https://atlas.brotmanbaty.org/bbi/human-gene-expression-during-development/cell/chromaffin/in/adrenal)
Wilcoxon ranksum test P-value for gene set overrepresentation: 1.00e+00
Mean rank of genes in gene set: 10608.27
Median rank of genes in gene set: 11473
Rank on gene expression program of top 30 genes in gene set:
Genes | Weight | Rank | GTEx | DepMap | Descartes | Mean.Counts | Mean.TPM |
---|---|---|---|---|---|---|---|
RPH3A | -0.0001159 | 3835 | GTEx | DepMap | Descartes | 0.01 | 0.98 |
FAT3 | -0.0003380 | 7308 | GTEx | DepMap | Descartes | 0.00 | 0.00 |
GREM1 | -0.0003627 | 7706 | GTEx | DepMap | Descartes | 0.00 | 0.02 |
ANKFN1 | -0.0003658 | 7748 | GTEx | DepMap | Descartes | 0.00 | 0.00 |
KCNB2 | -0.0003817 | 7985 | GTEx | DepMap | Descartes | 0.00 | 0.00 |
EPHA6 | -0.0004092 | 8363 | GTEx | DepMap | Descartes | 0.00 | 0.00 |
NPY | -0.0004308 | 8674 | GTEx | DepMap | Descartes | 0.00 | 0.00 |
RYR2 | -0.0004315 | 8686 | GTEx | DepMap | Descartes | 0.00 | 0.00 |
ALK | -0.0004505 | 8903 | GTEx | DepMap | Descartes | 0.00 | 0.00 |
TMEM132C | -0.0004644 | 9065 | GTEx | DepMap | Descartes | 0.00 | 0.00 |
EYA1 | -0.0004998 | 9488 | GTEx | DepMap | Descartes | 0.00 | 0.00 |
SLC44A5 | -0.0005019 | 9503 | GTEx | DepMap | Descartes | 0.00 | 0.00 |
EYA4 | -0.0005184 | 9677 | GTEx | DepMap | Descartes | 0.00 | 0.00 |
SYNPO2 | -0.0005538 | 10015 | GTEx | DepMap | Descartes | 0.00 | 0.08 |
CNKSR2 | -0.0005570 | 10040 | GTEx | DepMap | Descartes | 0.00 | 0.00 |
SLC6A2 | -0.0005604 | 10070 | GTEx | DepMap | Descartes | 0.00 | 0.00 |
MAB21L2 | -0.0005943 | 10346 | GTEx | DepMap | Descartes | 0.00 | 0.00 |
PTCHD1 | -0.0006032 | 10411 | GTEx | DepMap | Descartes | 0.00 | 0.04 |
HS3ST5 | -0.0006497 | 10718 | GTEx | DepMap | Descartes | 0.00 | 0.00 |
PLXNA4 | -0.0007123 | 11075 | GTEx | DepMap | Descartes | 0.00 | 0.13 |
RBFOX1 | -0.0007973 | 11473 | GTEx | DepMap | Descartes | 0.00 | 0.00 |
MARCH11 | -0.0008008 | 11485 | GTEx | DepMap | Descartes | 0.00 | NA |
MAB21L1 | -0.0008612 | 11706 | GTEx | DepMap | Descartes | 0.00 | 0.00 |
BASP1 | -0.0008811 | 11760 | GTEx | DepMap | Descartes | 0.89 | 272.28 |
TMEFF2 | -0.0009645 | 11977 | GTEx | DepMap | Descartes | 0.00 | 0.00 |
REEP1 | -0.0009675 | 11986 | GTEx | DepMap | Descartes | 0.00 | 0.00 |
NTRK1 | -0.0009824 | 12024 | GTEx | DepMap | Descartes | 0.00 | 0.06 |
IL7 | -0.0009919 | 12048 | GTEx | DepMap | Descartes | 0.00 | 0.00 |
RGMB | -0.0010660 | 12171 | GTEx | DepMap | Descartes | 0.00 | 0.00 |
ELAVL2 | -0.0010726 | 12181 | GTEx | DepMap | Descartes | 0.01 | 0.86 |
Descartes Vascular_endothelial markers
Top 50 marker genes of Vascular_endothelial cells in the Decartes fetal adrenal single cell map (https://atlas.brotmanbaty.org/bbi/human-gene-expression-during-development/cell/vascular_endothelial/in/adrenal)
Wilcoxon ranksum test P-value for gene set overrepresentation: 9.22e-01
Mean rank of genes in gene set: 7105.89
Median rank of genes in gene set: 7636
Rank on gene expression program of top 30 genes in gene set:
Genes | Weight | Rank | GTEx | DepMap | Descartes | Mean.Counts | Mean.TPM |
---|---|---|---|---|---|---|---|
EHD3 | 0.0001869 | 1682 | GTEx | DepMap | Descartes | 0.01 | 0.86 |
TMEM88 | 0.0000818 | 2047 | GTEx | DepMap | Descartes | 0.17 | 102.08 |
NR5A2 | -0.0000598 | 3013 | GTEx | DepMap | Descartes | 0.00 | 0.30 |
GALNT15 | -0.0001161 | 3845 | GTEx | DepMap | Descartes | 0.00 | NA |
CRHBP | -0.0001343 | 4136 | GTEx | DepMap | Descartes | 0.03 | 6.13 |
ESM1 | -0.0001474 | 4358 | GTEx | DepMap | Descartes | 0.00 | 0.00 |
FLT4 | -0.0001700 | 4700 | GTEx | DepMap | Descartes | 0.00 | 0.17 |
KDR | -0.0002332 | 5714 | GTEx | DepMap | Descartes | 0.01 | 0.74 |
CYP26B1 | -0.0002346 | 5738 | GTEx | DepMap | Descartes | 0.00 | 0.00 |
NOTCH4 | -0.0002409 | 5850 | GTEx | DepMap | Descartes | 0.06 | 4.25 |
F8 | -0.0002445 | 5914 | GTEx | DepMap | Descartes | 0.02 | 1.25 |
TEK | -0.0002584 | 6143 | GTEx | DepMap | Descartes | 0.00 | 0.00 |
MYRIP | -0.0002634 | 6224 | GTEx | DepMap | Descartes | 0.00 | 0.00 |
CALCRL | -0.0002642 | 6235 | GTEx | DepMap | Descartes | 0.03 | 1.78 |
SHANK3 | -0.0002829 | 6501 | GTEx | DepMap | Descartes | 0.01 | 0.60 |
CHRM3 | -0.0002943 | 6672 | GTEx | DepMap | Descartes | 0.00 | 0.14 |
CDH13 | -0.0003379 | 7307 | GTEx | DepMap | Descartes | 0.00 | 0.00 |
KANK3 | -0.0003398 | 7337 | GTEx | DepMap | Descartes | 0.00 | 0.62 |
IRX3 | -0.0003488 | 7482 | GTEx | DepMap | Descartes | 0.00 | 0.00 |
BTNL9 | -0.0003684 | 7790 | GTEx | DepMap | Descartes | 0.01 | 1.50 |
MMRN2 | -0.0003694 | 7798 | GTEx | DepMap | Descartes | 0.00 | 0.00 |
ROBO4 | -0.0003764 | 7902 | GTEx | DepMap | Descartes | 0.02 | 1.97 |
CEACAM1 | -0.0003806 | 7960 | GTEx | DepMap | Descartes | 0.01 | 1.14 |
NPR1 | -0.0003856 | 8036 | GTEx | DepMap | Descartes | 0.00 | 0.15 |
PODXL | -0.0004019 | 8262 | GTEx | DepMap | Descartes | 0.00 | 0.00 |
PTPRB | -0.0004072 | 8341 | GTEx | DepMap | Descartes | 0.00 | 0.18 |
SHE | -0.0004101 | 8376 | GTEx | DepMap | Descartes | 0.00 | 0.13 |
RASIP1 | -0.0004135 | 8416 | GTEx | DepMap | Descartes | 0.01 | 1.10 |
SLCO2A1 | -0.0004153 | 8443 | GTEx | DepMap | Descartes | 0.00 | 0.31 |
ID1 | -0.0004413 | 8809 | GTEx | DepMap | Descartes | 0.03 | 12.90 |
Descartes stromal markers
Top 50 marker genes of stromal cells in the Decartes fetal adrenal single cell map (https://atlas.brotmanbaty.org/bbi/human-gene-expression-during-development/cell/stromal/in/adrenal)
Wilcoxon ranksum test P-value for gene set overrepresentation: 9.79e-01
Mean rank of genes in gene set: 7384.86
Median rank of genes in gene set: 7470
Rank on gene expression program of top 30 genes in gene set:
Genes | Weight | Rank | GTEx | DepMap | Descartes | Mean.Counts | Mean.TPM |
---|---|---|---|---|---|---|---|
GLI2 | -0.0001422 | 4276 | GTEx | DepMap | Descartes | 0.00 | 0.00 |
ABCC9 | -0.0001535 | 4451 | GTEx | DepMap | Descartes | 0.00 | 0.00 |
COL27A1 | -0.0001619 | 4575 | GTEx | DepMap | Descartes | 0.00 | 0.00 |
DKK2 | -0.0001749 | 4772 | GTEx | DepMap | Descartes | 0.01 | 1.20 |
LAMC3 | -0.0001823 | 4884 | GTEx | DepMap | Descartes | 0.00 | 0.05 |
GAS2 | -0.0002049 | 5261 | GTEx | DepMap | Descartes | 0.00 | 0.00 |
CLDN11 | -0.0002145 | 5405 | GTEx | DepMap | Descartes | 0.00 | 0.00 |
ABCA6 | -0.0002155 | 5421 | GTEx | DepMap | Descartes | 0.02 | 0.72 |
ADAMTSL3 | -0.0002255 | 5590 | GTEx | DepMap | Descartes | 0.01 | 0.44 |
FREM1 | -0.0002314 | 5685 | GTEx | DepMap | Descartes | 0.00 | 0.00 |
SCARA5 | -0.0002411 | 5857 | GTEx | DepMap | Descartes | 0.00 | 0.00 |
ITGA11 | -0.0002483 | 5975 | GTEx | DepMap | Descartes | 0.00 | 0.00 |
EDNRA | -0.0002669 | 6278 | GTEx | DepMap | Descartes | 0.00 | 0.00 |
ACTA2 | -0.0002810 | 6475 | GTEx | DepMap | Descartes | 0.05 | 18.61 |
SFRP2 | -0.0002856 | 6538 | GTEx | DepMap | Descartes | 0.01 | 2.25 |
C7 | -0.0003022 | 6785 | GTEx | DepMap | Descartes | 0.01 | 0.74 |
PCDH18 | -0.0003032 | 6795 | GTEx | DepMap | Descartes | 0.00 | 0.00 |
LRRC17 | -0.0003091 | 6873 | GTEx | DepMap | Descartes | 0.00 | 0.36 |
PDGFRA | -0.0003237 | 7099 | GTEx | DepMap | Descartes | 0.00 | 0.30 |
HHIP | -0.0003308 | 7191 | GTEx | DepMap | Descartes | 0.00 | 0.00 |
PRRX1 | -0.0003340 | 7246 | GTEx | DepMap | Descartes | 0.00 | 0.64 |
IGFBP3 | -0.0003359 | 7274 | GTEx | DepMap | Descartes | 0.02 | 3.14 |
BICC1 | -0.0003598 | 7666 | GTEx | DepMap | Descartes | 0.00 | 0.19 |
PAMR1 | -0.0003628 | 7707 | GTEx | DepMap | Descartes | 0.00 | 0.00 |
COL12A1 | -0.0003766 | 7905 | GTEx | DepMap | Descartes | 0.01 | 0.61 |
POSTN | -0.0003833 | 8011 | GTEx | DepMap | Descartes | 0.01 | 2.40 |
ISLR | -0.0003944 | 8157 | GTEx | DepMap | Descartes | 0.00 | 0.87 |
OGN | -0.0004096 | 8370 | GTEx | DepMap | Descartes | 0.00 | 0.22 |
ADAMTS2 | -0.0004125 | 8406 | GTEx | DepMap | Descartes | 0.01 | 0.66 |
LOX | -0.0004249 | 8593 | GTEx | DepMap | Descartes | 0.00 | 0.23 |
Descartes sympathoblasts markers
Top 50 marker genes of sympathoblasts cells in the Decartes fetal adrenal single cell map (https://atlas.brotmanbaty.org/bbi/human-gene-expression-during-development/cell/sympathoblasts/in/adrenal)
Wilcoxon ranksum test P-value for gene set overrepresentation: 9.92e-01
Mean rank of genes in gene set: 7685.5
Median rank of genes in gene set: 7614.5
Rank on gene expression program of top 30 genes in gene set:
Genes | Weight | Rank | GTEx | DepMap | Descartes | Mean.Counts | Mean.TPM |
---|---|---|---|---|---|---|---|
GCH1 | 0.0009201 | 615 | GTEx | DepMap | Descartes | 0.20 | 32.57 |
TIAM1 | 0.0004960 | 1053 | GTEx | DepMap | Descartes | 0.09 | 7.20 |
CNTN3 | -0.0001021 | 3624 | GTEx | DepMap | Descartes | 0.00 | 0.00 |
GALNTL6 | -0.0001479 | 4362 | GTEx | DepMap | Descartes | 0.01 | 1.14 |
SLC24A2 | -0.0001769 | 4803 | GTEx | DepMap | Descartes | 0.00 | 0.00 |
PENK | -0.0001787 | 4834 | GTEx | DepMap | Descartes | 0.00 | 0.00 |
SORCS3 | -0.0001810 | 4864 | GTEx | DepMap | Descartes | 0.00 | 0.00 |
AGBL4 | -0.0001916 | 5019 | GTEx | DepMap | Descartes | 0.00 | 0.00 |
SLC35F3 | -0.0002167 | 5437 | GTEx | DepMap | Descartes | 0.00 | 0.00 |
TBX20 | -0.0002221 | 5531 | GTEx | DepMap | Descartes | 0.00 | 0.00 |
EML6 | -0.0002278 | 5633 | GTEx | DepMap | Descartes | 0.00 | 0.13 |
GRM7 | -0.0002307 | 5675 | GTEx | DepMap | Descartes | 0.00 | 0.31 |
LAMA3 | -0.0002613 | 6191 | GTEx | DepMap | Descartes | 0.00 | 0.00 |
DGKK | -0.0002626 | 6220 | GTEx | DepMap | Descartes | 0.00 | 0.16 |
KSR2 | -0.0002757 | 6386 | GTEx | DepMap | Descartes | 0.00 | 0.00 |
TENM1 | -0.0002816 | 6480 | GTEx | DepMap | Descartes | 0.00 | NA |
GRID2 | -0.0003259 | 7126 | GTEx | DepMap | Descartes | 0.00 | 0.00 |
CDH12 | -0.0003301 | 7181 | GTEx | DepMap | Descartes | 0.00 | 0.00 |
PCSK2 | -0.0003330 | 7225 | GTEx | DepMap | Descartes | 0.00 | 0.00 |
CDH18 | -0.0003827 | 8004 | GTEx | DepMap | Descartes | 0.00 | 0.00 |
PACRG | -0.0004070 | 8339 | GTEx | DepMap | Descartes | 0.00 | 0.00 |
NTNG1 | -0.0004090 | 8359 | GTEx | DepMap | Descartes | 0.00 | 0.00 |
HTATSF1 | -0.0004261 | 8611 | GTEx | DepMap | Descartes | 0.10 | 17.83 |
CCSER1 | -0.0004667 | 9096 | GTEx | DepMap | Descartes | 0.01 | NA |
SPOCK3 | -0.0004897 | 9377 | GTEx | DepMap | Descartes | 0.00 | 0.29 |
FGF14 | -0.0005260 | 9746 | GTEx | DepMap | Descartes | 0.00 | 0.02 |
FAM155A | -0.0005366 | 9851 | GTEx | DepMap | Descartes | 0.00 | 0.28 |
ST18 | -0.0005839 | 10258 | GTEx | DepMap | Descartes | 0.00 | 0.31 |
SLC18A1 | -0.0005864 | 10283 | GTEx | DepMap | Descartes | 0.01 | 1.95 |
MGAT4C | -0.0005984 | 10373 | GTEx | DepMap | Descartes | 0.00 | 0.00 |
Descartes erythroblasts markers
Top 50 marker genes of erythroblasts cells in the Decartes fetal adrenal single cell map (https://atlas.brotmanbaty.org/bbi/human-gene-expression-during-development/cell/erythroblasts/in/adrenal)
Wilcoxon ranksum test P-value for gene set overrepresentation: 4.51e-01
Mean rank of genes in gene set: 6192.07
Median rank of genes in gene set: 6156
Rank on gene expression program of top 30 genes in gene set:
Genes | Weight | Rank | GTEx | DepMap | Descartes | Mean.Counts | Mean.TPM |
---|---|---|---|---|---|---|---|
BLVRB | 0.0026797 | 130 | GTEx | DepMap | Descartes | 1.27 | 453.83 |
SLC25A37 | 0.0007800 | 745 | GTEx | DepMap | Descartes | 0.59 | 73.84 |
SPECC1 | 0.0006252 | 896 | GTEx | DepMap | Descartes | 0.10 | 6.43 |
CAT | 0.0004785 | 1074 | GTEx | DepMap | Descartes | 0.41 | 90.69 |
XPO7 | 0.0000319 | 2301 | GTEx | DepMap | Descartes | 0.07 | 7.79 |
GCLC | 0.0000191 | 2371 | GTEx | DepMap | Descartes | 0.08 | 6.30 |
ABCB10 | -0.0000340 | 2716 | GTEx | DepMap | Descartes | 0.04 | 5.29 |
SLC25A21 | -0.0000839 | 3350 | GTEx | DepMap | Descartes | 0.00 | 0.00 |
SLC4A1 | -0.0001001 | 3591 | GTEx | DepMap | Descartes | 0.00 | 0.34 |
RGS6 | -0.0001265 | 3991 | GTEx | DepMap | Descartes | 0.00 | 0.00 |
MICAL2 | -0.0001355 | 4165 | GTEx | DepMap | Descartes | 0.04 | 3.87 |
RHD | -0.0001489 | 4374 | GTEx | DepMap | Descartes | 0.00 | 0.00 |
ALAS2 | -0.0001947 | 5074 | GTEx | DepMap | Descartes | 0.01 | 1.67 |
TRAK2 | -0.0002243 | 5573 | GTEx | DepMap | Descartes | 0.04 | 3.11 |
SELENBP1 | -0.0002591 | 6156 | GTEx | DepMap | Descartes | 0.00 | 0.00 |
CPOX | -0.0003261 | 7129 | GTEx | DepMap | Descartes | 0.02 | 2.47 |
SPTB | -0.0003345 | 7253 | GTEx | DepMap | Descartes | 0.00 | 0.00 |
RAPGEF2 | -0.0004165 | 8461 | GTEx | DepMap | Descartes | 0.05 | 3.45 |
TMCC2 | -0.0004252 | 8597 | GTEx | DepMap | Descartes | 0.00 | 0.00 |
FECH | -0.0004656 | 9078 | GTEx | DepMap | Descartes | 0.02 | 1.64 |
SOX6 | -0.0004751 | 9193 | GTEx | DepMap | Descartes | 0.00 | 0.00 |
EPB41 | -0.0004798 | 9253 | GTEx | DepMap | Descartes | 0.12 | 10.69 |
MARCH3 | -0.0004873 | 9349 | GTEx | DepMap | Descartes | 0.01 | NA |
ANK1 | -0.0005127 | 9618 | GTEx | DepMap | Descartes | 0.01 | 0.31 |
TFR2 | -0.0005175 | 9663 | GTEx | DepMap | Descartes | 0.00 | 0.08 |
DENND4A | -0.0006183 | 10509 | GTEx | DepMap | Descartes | 0.10 | 5.40 |
SNCA | -0.0006925 | 10956 | GTEx | DepMap | Descartes | 0.06 | 10.23 |
TSPAN5 | -0.0008158 | 11550 | GTEx | DepMap | Descartes | 0.03 | 3.93 |
GYPC | -0.0013746 | 12454 | GTEx | DepMap | Descartes | 0.33 | 89.08 |
NA | NA | NA | NA | NA | NA | NA | NA |
Descartes myeloid markers
Top 50 marker genes of myeloid cells in the Decartes fetal adrenal single cell map (https://atlas.brotmanbaty.org/bbi/human-gene-expression-during-development/cell/myeloid/in/adrenal)
Wilcoxon ranksum test P-value for gene set overrepresentation: 2.90e-10
Mean rank of genes in gene set: 2639.21
Median rank of genes in gene set: 559
Rank on gene expression program of top 30 genes in gene set:
Genes | Weight | Rank | GTEx | DepMap | Descartes | Mean.Counts | Mean.TPM |
---|---|---|---|---|---|---|---|
CTSS | 0.0073277 | 6 | GTEx | DepMap | Descartes | 8.11 | 1124.83 |
CST3 | 0.0054362 | 30 | GTEx | DepMap | Descartes | 19.97 | 2837.18 |
CSF1R | 0.0051933 | 32 | GTEx | DepMap | Descartes | 0.70 | 81.59 |
FGL2 | 0.0051750 | 33 | GTEx | DepMap | Descartes | 1.68 | 196.06 |
CPVL | 0.0044585 | 44 | GTEx | DepMap | Descartes | 1.77 | 399.96 |
PTPRE | 0.0042739 | 48 | GTEx | DepMap | Descartes | 2.64 | 248.57 |
HCK | 0.0038899 | 61 | GTEx | DepMap | Descartes | 1.21 | 269.22 |
CYBB | 0.0037201 | 66 | GTEx | DepMap | Descartes | 1.38 | 169.66 |
TGFBI | 0.0027767 | 125 | GTEx | DepMap | Descartes | 0.72 | 73.08 |
FGD2 | 0.0026405 | 138 | GTEx | DepMap | Descartes | 0.38 | 30.06 |
ADAP2 | 0.0020766 | 209 | GTEx | DepMap | Descartes | 0.23 | 35.07 |
MARCH1 | 0.0020215 | 222 | GTEx | DepMap | Descartes | 0.50 | NA |
CTSC | 0.0019192 | 241 | GTEx | DepMap | Descartes | 1.28 | 89.54 |
CD163 | 0.0018732 | 253 | GTEx | DepMap | Descartes | 0.61 | 61.33 |
MSR1 | 0.0013855 | 398 | GTEx | DepMap | Descartes | 0.15 | 18.19 |
MERTK | 0.0013365 | 418 | GTEx | DepMap | Descartes | 0.10 | 13.32 |
SFMBT2 | 0.0011525 | 496 | GTEx | DepMap | Descartes | 0.16 | 10.57 |
IFNGR1 | 0.0011307 | 505 | GTEx | DepMap | Descartes | 0.98 | 186.06 |
CD14 | 0.0010856 | 526 | GTEx | DepMap | Descartes | 2.46 | 756.79 |
CTSB | 0.0009656 | 592 | GTEx | DepMap | Descartes | 3.23 | 330.54 |
MS4A4A | 0.0008396 | 686 | GTEx | DepMap | Descartes | 0.40 | 85.98 |
CD74 | 0.0007687 | 754 | GTEx | DepMap | Descartes | 43.20 | 5770.83 |
ITPR2 | 0.0006510 | 871 | GTEx | DepMap | Descartes | 0.23 | 9.06 |
SLC1A3 | 0.0004903 | 1058 | GTEx | DepMap | Descartes | 0.07 | 6.57 |
RBPJ | 0.0004901 | 1059 | GTEx | DepMap | Descartes | 0.63 | 49.61 |
RGL1 | 0.0004357 | 1141 | GTEx | DepMap | Descartes | 0.12 | 9.79 |
SLC9A9 | 0.0003261 | 1347 | GTEx | DepMap | Descartes | 0.08 | 11.90 |
ATP8B4 | -0.0000049 | 2512 | GTEx | DepMap | Descartes | 0.05 | 4.26 |
WWP1 | -0.0000164 | 2568 | GTEx | DepMap | Descartes | 0.10 | 10.37 |
HRH1 | -0.0002378 | 5802 | GTEx | DepMap | Descartes | 0.04 | 5.68 |
Descartes Schwann markers
Top 50 marker genes of Schwann cells in the Decartes fetal adrenal single cell map (https://atlas.brotmanbaty.org/bbi/human-gene-expression-during-development/cell/schwann/in/adrenal)
Wilcoxon ranksum test P-value for gene set overrepresentation: 9.44e-01
Mean rank of genes in gene set: 7140.93
Median rank of genes in gene set: 7584
Rank on gene expression program of top 30 genes in gene set:
Genes | Weight | Rank | GTEx | DepMap | Descartes | Mean.Counts | Mean.TPM |
---|---|---|---|---|---|---|---|
KCTD12 | 0.0017571 | 278 | GTEx | DepMap | Descartes | 0.37 | 28.72 |
VCAN | 0.0009994 | 574 | GTEx | DepMap | Descartes | 2.75 | 131.12 |
VIM | 0.0006706 | 849 | GTEx | DepMap | Descartes | 8.07 | 1554.75 |
GAS7 | 0.0005897 | 939 | GTEx | DepMap | Descartes | 0.23 | 15.54 |
PAG1 | 0.0004956 | 1054 | GTEx | DepMap | Descartes | 0.33 | 15.68 |
STARD13 | 0.0000166 | 2387 | GTEx | DepMap | Descartes | 0.02 | 1.04 |
IL1RAPL2 | -0.0000319 | 2695 | GTEx | DepMap | Descartes | 0.00 | 0.00 |
ERBB3 | -0.0000594 | 3011 | GTEx | DepMap | Descartes | 0.01 | 0.55 |
GRIK3 | -0.0000667 | 3114 | GTEx | DepMap | Descartes | 0.00 | 0.00 |
COL25A1 | -0.0000696 | 3148 | GTEx | DepMap | Descartes | 0.00 | 0.00 |
IL1RAPL1 | -0.0000837 | 3348 | GTEx | DepMap | Descartes | 0.00 | 0.00 |
MDGA2 | -0.0000976 | 3548 | GTEx | DepMap | Descartes | 0.00 | 0.00 |
NRXN3 | -0.0001240 | 3957 | GTEx | DepMap | Descartes | 0.00 | 0.24 |
PTPRZ1 | -0.0001720 | 4728 | GTEx | DepMap | Descartes | 0.00 | 0.00 |
HMGA2 | -0.0002316 | 5691 | GTEx | DepMap | Descartes | 0.00 | 0.24 |
OLFML2A | -0.0002488 | 5986 | GTEx | DepMap | Descartes | 0.00 | 0.35 |
PLP1 | -0.0002789 | 6442 | GTEx | DepMap | Descartes | 0.00 | 0.00 |
TRPM3 | -0.0002874 | 6563 | GTEx | DepMap | Descartes | 0.01 | 0.36 |
XKR4 | -0.0002887 | 6587 | GTEx | DepMap | Descartes | 0.01 | 0.18 |
SOX5 | -0.0003388 | 7322 | GTEx | DepMap | Descartes | 0.00 | 0.00 |
MPZ | -0.0003494 | 7499 | GTEx | DepMap | Descartes | 0.01 | 1.83 |
EDNRB | -0.0003536 | 7567 | GTEx | DepMap | Descartes | 0.00 | 0.18 |
FIGN | -0.0003558 | 7601 | GTEx | DepMap | Descartes | 0.00 | 0.00 |
COL18A1 | -0.0003795 | 7938 | GTEx | DepMap | Descartes | 0.02 | 1.93 |
SORCS1 | -0.0003988 | 8211 | GTEx | DepMap | Descartes | 0.00 | 0.00 |
SLC35F1 | -0.0004013 | 8249 | GTEx | DepMap | Descartes | 0.00 | 0.00 |
EGFLAM | -0.0004218 | 8538 | GTEx | DepMap | Descartes | 0.00 | 0.00 |
ADAMTS5 | -0.0004294 | 8653 | GTEx | DepMap | Descartes | 0.00 | 0.13 |
COL5A2 | -0.0004942 | 9429 | GTEx | DepMap | Descartes | 0.01 | 0.53 |
ERBB4 | -0.0005351 | 9839 | GTEx | DepMap | Descartes | 0.00 | 0.06 |
Descartes Megakaryocytes markers
Top 50 marker genes of Megakaryocytes cells in the Decartes fetal adrenal single cell map (https://atlas.brotmanbaty.org/bbi/human-gene-expression-during-development/cell/megakaryocytes/in/adrenal)
Wilcoxon ranksum test P-value for gene set overrepresentation: 7.19e-05
Mean rank of genes in gene set: 4225.76
Median rank of genes in gene set: 2806
Rank on gene expression program of top 30 genes in gene set:
Genes | Weight | Rank | GTEx | DepMap | Descartes | Mean.Counts | Mean.TPM |
---|---|---|---|---|---|---|---|
THBS1 | 0.0040939 | 56 | GTEx | DepMap | Descartes | 4.65 | 339.91 |
TMSB4X | 0.0026098 | 141 | GTEx | DepMap | Descartes | 140.38 | 39705.08 |
ACTB | 0.0024192 | 160 | GTEx | DepMap | Descartes | 37.13 | 7897.58 |
LIMS1 | 0.0021678 | 196 | GTEx | DepMap | Descartes | 1.14 | 116.09 |
PLEK | 0.0018290 | 263 | GTEx | DepMap | Descartes | 1.34 | 235.97 |
FLNA | 0.0017493 | 279 | GTEx | DepMap | Descartes | 0.91 | 59.45 |
TLN1 | 0.0014031 | 389 | GTEx | DepMap | Descartes | 1.02 | 57.17 |
MCTP1 | 0.0013842 | 399 | GTEx | DepMap | Descartes | 0.14 | 16.00 |
P2RX1 | 0.0013099 | 426 | GTEx | DepMap | Descartes | 0.11 | 24.88 |
SPN | 0.0012942 | 432 | GTEx | DepMap | Descartes | 0.35 | 26.61 |
ZYX | 0.0011603 | 494 | GTEx | DepMap | Descartes | 0.61 | 134.81 |
FERMT3 | 0.0010129 | 567 | GTEx | DepMap | Descartes | 0.51 | 99.32 |
PSTPIP2 | 0.0007928 | 735 | GTEx | DepMap | Descartes | 0.19 | 31.38 |
TGFB1 | 0.0007070 | 817 | GTEx | DepMap | Descartes | 0.58 | 107.50 |
RAP1B | 0.0006415 | 880 | GTEx | DepMap | Descartes | 0.86 | 33.03 |
TPM4 | 0.0004285 | 1151 | GTEx | DepMap | Descartes | 1.19 | 120.37 |
VCL | 0.0003212 | 1354 | GTEx | DepMap | Descartes | 0.10 | 6.78 |
MYH9 | 0.0002277 | 1564 | GTEx | DepMap | Descartes | 0.59 | 43.65 |
FLI1 | 0.0001560 | 1774 | GTEx | DepMap | Descartes | 0.23 | 21.95 |
ARHGAP6 | 0.0000331 | 2295 | GTEx | DepMap | Descartes | 0.00 | 0.19 |
SLC24A3 | 0.0000263 | 2334 | GTEx | DepMap | Descartes | 0.00 | 0.37 |
TUBB1 | -0.0000230 | 2628 | GTEx | DepMap | Descartes | 0.00 | 0.43 |
STON2 | -0.0000450 | 2806 | GTEx | DepMap | Descartes | 0.02 | 1.71 |
ANGPT1 | -0.0000556 | 2953 | GTEx | DepMap | Descartes | 0.00 | 0.70 |
MED12L | -0.0000834 | 3342 | GTEx | DepMap | Descartes | 0.00 | 0.11 |
SLC2A3 | -0.0001039 | 3654 | GTEx | DepMap | Descartes | 1.52 | 186.88 |
GP1BA | -0.0001233 | 3946 | GTEx | DepMap | Descartes | 0.01 | 1.28 |
ITGB3 | -0.0001291 | 4039 | GTEx | DepMap | Descartes | 0.00 | 0.00 |
UBASH3B | -0.0001535 | 4448 | GTEx | DepMap | Descartes | 0.10 | 6.50 |
HIPK2 | -0.0001864 | 4943 | GTEx | DepMap | Descartes | 0.20 | 6.68 |
Descartes Lyphoid markers
Top 50 marker genes of Lyphoid cells in the Decartes fetal adrenal single cell map (https://atlas.brotmanbaty.org/bbi/human-gene-expression-during-development/cell/lymphoid/in/adrenal)
Wilcoxon ranksum test P-value for gene set overrepresentation: 9.98e-01
Mean rank of genes in gene set: 7886.9
Median rank of genes in gene set: 11048.5
Rank on gene expression program of top 30 genes in gene set:
Genes | Weight | Rank | GTEx | DepMap | Descartes | Mean.Counts | Mean.TPM |
---|---|---|---|---|---|---|---|
LCP1 | 0.0023770 | 163 | GTEx | DepMap | Descartes | 1.82 | 238.61 |
PTPRC | 0.0019919 | 228 | GTEx | DepMap | Descartes | 2.70 | 270.27 |
MSN | 0.0019557 | 231 | GTEx | DepMap | Descartes | 1.23 | 159.59 |
CD44 | 0.0019522 | 235 | GTEx | DepMap | Descartes | 2.35 | 240.27 |
CELF2 | 0.0013035 | 429 | GTEx | DepMap | Descartes | 1.09 | 72.24 |
B2M | 0.0012666 | 441 | GTEx | DepMap | Descartes | 76.04 | 15873.58 |
SORL1 | 0.0007375 | 782 | GTEx | DepMap | Descartes | 0.35 | 20.16 |
ARHGDIB | 0.0006596 | 859 | GTEx | DepMap | Descartes | 4.54 | 1920.37 |
MBNL1 | 0.0002605 | 1477 | GTEx | DepMap | Descartes | 0.64 | 51.88 |
RAP1GAP2 | -0.0000330 | 2706 | GTEx | DepMap | Descartes | 0.06 | 5.58 |
TMSB10 | -0.0000496 | 2851 | GTEx | DepMap | Descartes | 31.45 | 32612.62 |
DOCK10 | -0.0001132 | 3780 | GTEx | DepMap | Descartes | 0.15 | 9.46 |
WIPF1 | -0.0001478 | 4361 | GTEx | DepMap | Descartes | 0.59 | 68.07 |
PLEKHA2 | -0.0002036 | 5237 | GTEx | DepMap | Descartes | 0.16 | 17.58 |
PDE3B | -0.0002148 | 5407 | GTEx | DepMap | Descartes | 0.13 | 11.90 |
ITPKB | -0.0002242 | 5568 | GTEx | DepMap | Descartes | 0.04 | 3.72 |
ANKRD44 | -0.0003416 | 7369 | GTEx | DepMap | Descartes | 0.29 | 22.33 |
PITPNC1 | -0.0004309 | 8675 | GTEx | DepMap | Descartes | 0.11 | 8.23 |
ARID5B | -0.0006079 | 10444 | GTEx | DepMap | Descartes | 0.17 | 11.25 |
ARHGAP15 | -0.0006093 | 10452 | GTEx | DepMap | Descartes | 0.23 | 38.02 |
STK39 | -0.0006887 | 10932 | GTEx | DepMap | Descartes | 0.02 | 4.07 |
TOX | -0.0007322 | 11165 | GTEx | DepMap | Descartes | 0.02 | 1.34 |
SP100 | -0.0007435 | 11234 | GTEx | DepMap | Descartes | 0.32 | 31.92 |
GNG2 | -0.0007742 | 11368 | GTEx | DepMap | Descartes | 0.25 | 38.49 |
NCALD | -0.0007930 | 11459 | GTEx | DepMap | Descartes | 0.00 | 0.62 |
CCND3 | -0.0008063 | 11505 | GTEx | DepMap | Descartes | 0.52 | 123.53 |
BACH2 | -0.0008116 | 11526 | GTEx | DepMap | Descartes | 0.02 | 0.80 |
IKZF1 | -0.0008121 | 11528 | GTEx | DepMap | Descartes | 0.21 | 16.24 |
SAMD3 | -0.0008758 | 11743 | GTEx | DepMap | Descartes | 0.02 | 1.58 |
BCL2 | -0.0008775 | 11748 | GTEx | DepMap | Descartes | 0.04 | 2.16 |
Below shows the ranks on this GEP for immune marker gene lists curated by CellTypist (https://www.celltypist.org/encyclopedia).
High ranks indicate this gene is a driver of this GEP.
These curated gene list are ranked by P-value (on this GEP) of their constituent genes.
The Mean Count column shows the mean read count in cells scoring highly (H > 50) on this gene expression program.
Genes | Weight | Rank | GTEx | DepMap | Decartes | Mean.Counts | Mean.TPM |
---|---|---|---|---|---|---|---|
FTH1 | 0.0071986 | 7 | GTEx | DepMap | Descartes | 129.16 | 55767.93 |
TYROBP | 0.0066028 | 12 | GTEx | DepMap | Descartes | 18.08 | 15614.23 |
S100A6 | 0.0037930 | 65 | GTEx | DepMap | Descartes | 15.31 | 13458.21 |
SRGN | 0.0036649 | 69 | GTEx | DepMap | Descartes | 16.94 | 7385.64 |
ACTB | 0.0024192 | 160 | GTEx | DepMap | Descartes | 37.13 | 7897.58 |
Monocytes: Monocytes (model markers)
myeloid mononuclear recirculating leukocytes that are capable of differentiating into macrophages and myeloid lineage dendritic cells:
Wilcoxon ranksum test P-value for gene set overrepresentation: 1.38e-03
Mean rank of genes in gene set: 12.67
Rank on gene expression program of genes in gene set:
Genes | Weight | Rank | GTEx | DepMap | Decartes | Mean.Counts | Mean.TPM |
---|---|---|---|---|---|---|---|
SAT1 | 0.0089992 | 4 | GTEx | DepMap | Descartes | 27.69 | 12739.95 |
TYROBP | 0.0066028 | 12 | GTEx | DepMap | Descartes | 18.08 | 15614.23 |
NEAT1 | 0.0057992 | 22 | GTEx | DepMap | Descartes | 13.49 | 335.92 |
Mono-mac: Mono-mac (curated markers)
mononuclear phagocytes including monocytes and macrophages that are involved in the regulation of innate and adaptive immunity:
Wilcoxon ranksum test P-value for gene set overrepresentation: 7.89e-03
Mean rank of genes in gene set: 91
Rank on gene expression program of genes in gene set:
Genes | Weight | Rank | GTEx | DepMap | Decartes | Mean.Counts | Mean.TPM |
---|---|---|---|---|---|---|---|
TYROBP | 0.0066028 | 12 | GTEx | DepMap | Descartes | 18.08 | 15614.23 |
HMOX1 | 0.0023408 | 170 | GTEx | DepMap | Descartes | 0.65 | 203.52 |