Program description and justification of annotation: 40.
Submit a comment on this gene expression program’s interpretation: CLICK
QQ-plot of gene loadings, averaged over both independent splits of the data
This plot highlights the relative contribution of each gene to the GEP
Top genes driving this program.
Note: Decartes website is buggy, try refreshing. Also, Decartes fetal adrenal data have been collected at specific time points (89-122 days), all possible cell types of interest may not be represented, do not overinterpret.
The Mean Count column shows the mean read count in cells scoring highly (H > 50) on this gene expression program.
Gene | Loading | Gene.Name | GTEx | DepMap | Descartes | Mean.Counts | Mean.Tpm | |
---|---|---|---|---|---|---|---|---|
1 | HIST1H1B | 0.0608026 | NA | GTEx | DepMap | Descartes | 49.84 | 11457.61 |
2 | HIST1H2AE | 0.0574063 | NA | GTEx | DepMap | Descartes | 33.56 | 8205.10 |
3 | HIST1H2AP | 0.0542190 | NA | GTEx | DepMap | Descartes | 27.67 | 9239.33 |
4 | HIST1H1E | 0.0539888 | NA | GTEx | DepMap | Descartes | 28.47 | 2537.43 |
5 | HIST1H1A | 0.0447942 | NA | GTEx | DepMap | Descartes | 7.17 | 1718.41 |
6 | HIST1H4D | 0.0399057 | NA | GTEx | DepMap | Descartes | 9.73 | 1537.57 |
7 | HIST2H2AC | 0.0373261 | NA | GTEx | DepMap | Descartes | 4.04 | 1289.09 |
8 | HIST1H2AF | 0.0353690 | NA | GTEx | DepMap | Descartes | 4.83 | 2150.59 |
9 | 2810417H13RIK | 0.0330534 | NA | GTEx | DepMap | Descartes | 25.20 | NA |
10 | HIST1H3E | 0.0311981 | NA | GTEx | DepMap | Descartes | 3.85 | 800.20 |
11 | HIST2H2BB.1 | 0.0308747 | NA | GTEx | DepMap | Descartes | 3.10 | NA |
12 | FBXO5 | 0.0304954 | F-box protein 5 | GTEx | DepMap | Descartes | 8.50 | 225.56 |
13 | HIST1H1D | 0.0302591 | NA | GTEx | DepMap | Descartes | 4.52 | 107.23 |
14 | DUT | 0.0279397 | deoxyuridine triphosphatase | GTEx | DepMap | Descartes | 41.86 | 551.42 |
15 | RRM2 | 0.0277688 | ribonucleotide reductase regulatory subunit M2 | GTEx | DepMap | Descartes | 11.77 | 317.48 |
16 | ESCO2 | 0.0267180 | establishment of sister chromatid cohesion N-acetyltransferase 2 | GTEx | DepMap | Descartes | 4.44 | 48.19 |
17 | RAD51AP1 | 0.0261545 | RAD51 associated protein 1 | GTEx | DepMap | Descartes | 5.43 | 53.70 |
18 | PCNA | 0.0252279 | proliferating cell nuclear antigen | GTEx | DepMap | Descartes | 7.81 | 299.20 |
19 | DEK | 0.0245634 | DEK proto-oncogene | GTEx | DepMap | Descartes | 20.79 | 151.16 |
20 | HIST1H3C | 0.0245202 | NA | GTEx | DepMap | Descartes | 2.99 | 795.99 |
21 | TOP2A | 0.0244936 | DNA topoisomerase II alpha | GTEx | DepMap | Descartes | 30.91 | 152.77 |
22 | H3F3B | 0.0240814 | NA | GTEx | DepMap | Descartes | 183.53 | 4584.77 |
23 | HIST1H2AL | 0.0240526 | NA | GTEx | DepMap | Descartes | 0.82 | 468.65 |
24 | ATAD2 | 0.0240135 | ATPase family AAA domain containing 2 | GTEx | DepMap | Descartes | 7.85 | 32.00 |
25 | NASP | 0.0233131 | nuclear autoantigenic sperm protein | GTEx | DepMap | Descartes | 25.15 | 142.78 |
26 | HIST1H2BN | 0.0233093 | NA | GTEx | DepMap | Descartes | 1.23 | 581.35 |
27 | GMNN | 0.0231889 | geminin DNA replication inhibitor | GTEx | DepMap | Descartes | 9.26 | 142.24 |
28 | TYMS | 0.0230897 | thymidylate synthetase | GTEx | DepMap | Descartes | 9.61 | 101.61 |
29 | CLSPN | 0.0229152 | claspin | GTEx | DepMap | Descartes | 4.67 | 20.48 |
30 | TIPIN | 0.0227450 | TIMELESS interacting protein | GTEx | DepMap | Descartes | 8.54 | 55.90 |
31 | LIG1 | 0.0225800 | DNA ligase 1 | GTEx | DepMap | Descartes | 6.72 | 32.26 |
32 | PRIM1 | 0.0225142 | DNA primase subunit 1 | GTEx | DepMap | Descartes | 6.56 | 69.94 |
33 | HIST1H2BM | 0.0224335 | NA | GTEx | DepMap | Descartes | 1.98 | 676.37 |
34 | SMC4 | 0.0222669 | structural maintenance of chromosomes 4 | GTEx | DepMap | Descartes | 14.18 | 75.71 |
35 | HIST1H2BJ | 0.0216087 | NA | GTEx | DepMap | Descartes | 3.80 | 1432.67 |
36 | HIST1H4H | 0.0214386 | NA | GTEx | DepMap | Descartes | 2.52 | 963.05 |
37 | HIST1H3I | 0.0213883 | NA | GTEx | DepMap | Descartes | 1.53 | 677.79 |
38 | SLBP | 0.0212459 | stem-loop binding protein | GTEx | DepMap | Descartes | 5.81 | 54.93 |
39 | PBK | 0.0211605 | PDZ binding kinase | GTEx | DepMap | Descartes | 9.18 | 127.81 |
40 | EZH2 | 0.0209958 | enhancer of zeste 2 polycomb repressive complex 2 subunit | GTEx | DepMap | Descartes | 10.15 | 24.73 |
41 | HIST2H2AA1 | 0.0209317 | NA | GTEx | DepMap | Descartes | 1.93 | 581.63 |
42 | H2AFZ | 0.0206609 | NA | GTEx | DepMap | Descartes | 191.22 | 12219.07 |
43 | ORC6 | 0.0204240 | origin recognition complex subunit 6 | GTEx | DepMap | Descartes | 7.62 | 137.72 |
44 | HMGB2 | 0.0203905 | high mobility group box 2 | GTEx | DepMap | Descartes | 101.57 | 3972.28 |
45 | HELLS | 0.0203810 | helicase, lymphoid specific | GTEx | DepMap | Descartes | 6.46 | 25.61 |
46 | SPC24 | 0.0203165 | SPC24 component of NDC80 kinetochore complex | GTEx | DepMap | Descartes | 9.15 | 295.98 |
47 | DNAJC9 | 0.0202210 | DnaJ heat shock protein family (Hsp40) member C9 | GTEx | DepMap | Descartes | 7.62 | 282.30 |
48 | USP1 | 0.0201205 | ubiquitin specific peptidase 1 | GTEx | DepMap | Descartes | 6.75 | 87.94 |
49 | AURKB | 0.0200651 | aurora kinase B | GTEx | DepMap | Descartes | 5.82 | 148.18 |
50 | RFC4 | 0.0197246 | replication factor C subunit 4 | GTEx | DepMap | Descartes | 8.61 | 95.24 |
UMAP plots showing activity of gene expression program identified in community:40. Cell cycle
CNV Data procured from inferCNV.
Outer tracks are putative CNV regions (gains = red, losses = blue) for each patient
Inner track is expression data representing:
The top cells expressing this GEP (purple)
Random cells (n =50) from the reference set used in inferCNV (orange)
Gene set Enrichments for this program, caculated from top 50 genes
mSigDB Cell Types Gene Set:
P-value | OR | Lower 95% CI | FDR | FWER | Genes Found | Gene Set Size | |
---|---|---|---|---|---|---|---|
TRAVAGLINI_LUNG_PROLIFERATING_NK_T_CELL | 6.48e-28 | 105.58 | 54.09 | 4.35e-25 | 4.35e-25 | 18DUT, RRM2, RAD51AP1, PCNA, TOP2A, ATAD2, GMNN, TYMS, CLSPN, SMC4, SLBP, EZH2, ORC6, HMGB2, HELLS, DNAJC9, AURKB, RFC4 |
129 |
ZHONG_PFC_MAJOR_TYPES_NPCS | 1.56e-19 | 63.40 | 30.84 | 2.09e-17 | 1.04e-16 | 14FBXO5, DUT, RRM2, PCNA, TOP2A, ATAD2, GMNN, CLSPN, SMC4, PBK, ORC6, HMGB2, HELLS, AURKB |
142 |
FAN_EMBRYONIC_CTX_MICROGLIA_1 | 5.45e-19 | 57.68 | 28.04 | 6.10e-17 | 3.66e-16 | 14FBXO5, RRM2, ESCO2, RAD51AP1, PCNA, DEK, TOP2A, ATAD2, CLSPN, SMC4, PBK, EZH2, HMGB2, AURKB |
155 |
HU_FETAL_RETINA_RPC | 6.47e-14 | 53.77 | 23.31 | 3.62e-12 | 4.34e-11 | 10PCNA, DEK, TOP2A, ATAD2, NASP, GMNN, TYMS, HMGB2, HELLS, AURKB |
107 |
MANNO_MIDBRAIN_NEUROTYPES_HPROGBP | 1.45e-19 | 38.04 | 19.62 | 2.09e-17 | 9.70e-17 | 17FBXO5, RRM2, ESCO2, RAD51AP1, PCNA, TOP2A, ATAD2, GMNN, TYMS, CLSPN, SMC4, PBK, HMGB2, HELLS, DNAJC9, AURKB, RFC4 |
300 |
ZHONG_PFC_C1_MICROGLIA | 1.83e-17 | 37.00 | 18.53 | 1.53e-15 | 1.23e-14 | 15DUT, RRM2, ESCO2, PCNA, DEK, TOP2A, ATAD2, NASP, GMNN, PBK, ORC6, HMGB2, HELLS, AURKB, RFC4 |
257 |
ZHONG_PFC_C1_OPC | 2.27e-16 | 36.27 | 17.82 | 1.69e-14 | 1.52e-13 | 14FBXO5, RRM2, ESCO2, RAD51AP1, PCNA, TOP2A, ATAD2, GMNN, SMC4, PBK, ORC6, HMGB2, USP1, AURKB |
238 |
BUSSLINGER_ESOPHAGEAL_EARLY_SUPRABASAL_CELLS | 7.06e-10 | 47.18 | 17.33 | 3.38e-08 | 4.74e-07 | 7DUT, RRM2, PCNA, DEK, TOP2A, SMC4, HMGB2 |
79 |
MANNO_MIDBRAIN_NEUROTYPES_HPROGFPL | 1.70e-17 | 32.02 | 16.33 | 1.53e-15 | 1.14e-14 | 16FBXO5, RRM2, ESCO2, RAD51AP1, DEK, TOP2A, ATAD2, GMNN, TYMS, CLSPN, SMC4, PBK, EZH2, HMGB2, HELLS, AURKB |
323 |
HAY_BONE_MARROW_PRO_B | 6.57e-15 | 28.01 | 13.81 | 4.01e-13 | 4.41e-12 | 14FBXO5, RAD51AP1, DEK, TOP2A, ATAD2, TYMS, CLSPN, LIG1, SMC4, EZH2, HMGB2, HELLS, USP1, AURKB |
304 |
MANNO_MIDBRAIN_NEUROTYPES_HPROGFPM | 2.18e-15 | 26.28 | 13.20 | 1.46e-13 | 1.46e-12 | 15RRM2, ESCO2, RAD51AP1, DEK, TOP2A, ATAD2, GMNN, TYMS, CLSPN, SMC4, PBK, HMGB2, HELLS, AURKB, RFC4 |
356 |
TRAVAGLINI_LUNG_PROLIFERATING_BASAL_CELL | 1.48e-20 | 22.27 | 12.18 | 3.31e-18 | 9.92e-18 | 24DUT, RRM2, ESCO2, RAD51AP1, PCNA, DEK, TOP2A, ATAD2, NASP, GMNN, TYMS, CLSPN, PRIM1, SMC4, SLBP, PBK, EZH2, ORC6, HMGB2, HELLS, DNAJC9, USP1, AURKB, RFC4 |
891 |
TRAVAGLINI_LUNG_PROLIFERATING_MACROPHAGE_CELL | 4.36e-21 | 22.18 | 12.17 | 1.46e-18 | 2.93e-18 | 25FBXO5, DUT, RRM2, ESCO2, RAD51AP1, PCNA, DEK, TOP2A, ATAD2, NASP, GMNN, TYMS, CLSPN, LIG1, PRIM1, SMC4, SLBP, PBK, EZH2, ORC6, HMGB2, DNAJC9, USP1, AURKB, RFC4 |
968 |
MENON_FETAL_KIDNEY_0_CAP_MESENCHYME_CELLS | 7.07e-08 | 33.89 | 11.49 | 3.16e-06 | 4.74e-05 | 6DEK, TOP2A, NASP, SMC4, HMGB2, USP1 |
90 |
FAN_EMBRYONIC_CTX_NSC_2 | 1.49e-10 | 23.43 | 10.31 | 7.71e-09 | 1.00e-07 | 10FBXO5, RRM2, ESCO2, TOP2A, SMC4, PBK, EZH2, ORC6, HMGB2, AURKB |
233 |
BUSSLINGER_ESOPHAGEAL_PROLIFERATING_BASAL_CELLS | 2.31e-05 | 27.52 | 6.99 | 7.76e-04 | 1.55e-02 | 4RRM2, TOP2A, SMC4, HMGB2 |
70 |
GAO_LARGE_INTESTINE_ADULT_CH_MKI67HIGH_CELLS | 5.45e-06 | 22.74 | 6.91 | 2.03e-04 | 3.65e-03 | 5ESCO2, RAD51AP1, TOP2A, PBK, AURKB |
107 |
MENON_FETAL_KIDNEY_1_EMBRYONIC_RED_BLOOD_CELLS | 1.20e-05 | 19.18 | 5.84 | 4.25e-04 | 8.08e-03 | 5DUT, PCNA, TOP2A, SMC4, HMGB2 |
126 |
BUSSLINGER_DUODENAL_DIFFERENTIATING_STEM_CELLS | 5.22e-07 | 13.40 | 5.39 | 2.19e-05 | 3.50e-04 | 8DUT, RRM2, PCNA, DEK, TOP2A, NASP, SMC4, HMGB2 |
305 |
HAY_BONE_MARROW_ERYTHROBLAST | 3.16e-06 | 5.85 | 2.85 | 1.25e-04 | 2.12e-03 | 13DUT, RRM2, ESCO2, PCNA, NASP, GMNN, PRIM1, SLBP, PBK, ORC6, SPC24, DNAJC9, RFC4 |
1269 |
Dowload full table
mSigDB Hallmark Gene Sets:
P-value | OR | Lower 95% CI | FDR | FWER | Genes Found | Gene Set Size | |
---|---|---|---|---|---|---|---|
HALLMARK_E2F_TARGETS | 3.40e-26 | 70.70 | 37.03 | 1.70e-24 | 1.70e-24 | 19DUT, RRM2, RAD51AP1, PCNA, DEK, TOP2A, ATAD2, NASP, TIPIN, LIG1, SMC4, SLBP, EZH2, ORC6, HMGB2, HELLS, SPC24, USP1, AURKB |
200 |
HALLMARK_G2M_CHECKPOINT | 2.12e-08 | 20.72 | 8.29 | 5.31e-07 | 1.06e-06 | 8FBXO5, TOP2A, NASP, SMC4, PBK, EZH2, ORC6, AURKB |
200 |
HALLMARK_DNA_REPAIR | 1.43e-06 | 19.78 | 6.78 | 2.39e-05 | 7.17e-05 | 6DUT, PCNA, TYMS, LIG1, PRIM1, RFC4 |
150 |
HALLMARK_MYC_TARGETS_V1 | 7.45e-06 | 14.69 | 5.06 | 9.32e-05 | 3.73e-04 | 6DUT, PCNA, DEK, TYMS, USP1, RFC4 |
200 |
HALLMARK_MITOTIC_SPINDLE | 1.16e-02 | 6.81 | 1.34 | 1.16e-01 | 5.81e-01 | 3FBXO5, TOP2A, SMC4 |
199 |
HALLMARK_SPERMATOGENESIS | 4.08e-02 | 6.55 | 0.76 | 3.40e-01 | 1.00e+00 | 2EZH2, RFC4 |
135 |
HALLMARK_APOPTOSIS | 5.58e-02 | 5.48 | 0.64 | 3.99e-01 | 1.00e+00 | 2TOP2A, HMGB2 |
161 |
HALLMARK_PEROXISOME | 2.20e-01 | 4.14 | 0.10 | 1.00e+00 | 1.00e+00 | 1TOP2A |
104 |
HALLMARK_UV_RESPONSE_UP | 3.13e-01 | 2.72 | 0.07 | 1.00e+00 | 1.00e+00 | 1RFC4 |
158 |
HALLMARK_ESTROGEN_RESPONSE_LATE | 3.78e-01 | 2.14 | 0.05 | 1.00e+00 | 1.00e+00 | 1TOP2A |
200 |
HALLMARK_MTORC1_SIGNALING | 3.78e-01 | 2.14 | 0.05 | 1.00e+00 | 1.00e+00 | 1RRM2 |
200 |
HALLMARK_GLYCOLYSIS | 3.78e-01 | 2.14 | 0.05 | 1.00e+00 | 1.00e+00 | 1NASP |
200 |
HALLMARK_P53_PATHWAY | 3.78e-01 | 2.14 | 0.05 | 1.00e+00 | 1.00e+00 | 1PCNA |
200 |
HALLMARK_TNFA_SIGNALING_VIA_NFKB | 1.00e+00 | 0.00 | 0.00 | 1.00e+00 | 1.00e+00 | 0 |
200 |
HALLMARK_HYPOXIA | 1.00e+00 | 0.00 | 0.00 | 1.00e+00 | 1.00e+00 | 0 |
200 |
HALLMARK_CHOLESTEROL_HOMEOSTASIS | 1.00e+00 | 0.00 | 0.00 | 1.00e+00 | 1.00e+00 | 0 |
74 |
HALLMARK_WNT_BETA_CATENIN_SIGNALING | 1.00e+00 | 0.00 | 0.00 | 1.00e+00 | 1.00e+00 | 0 |
42 |
HALLMARK_TGF_BETA_SIGNALING | 1.00e+00 | 0.00 | 0.00 | 1.00e+00 | 1.00e+00 | 0 |
54 |
HALLMARK_IL6_JAK_STAT3_SIGNALING | 1.00e+00 | 0.00 | 0.00 | 1.00e+00 | 1.00e+00 | 0 |
87 |
HALLMARK_NOTCH_SIGNALING | 1.00e+00 | 0.00 | 0.00 | 1.00e+00 | 1.00e+00 | 0 |
32 |
Dowload full table
KEGG Pathways:
P-value | OR | Lower 95% CI | FDR | FWER | Genes Found | Gene Set Size | |
---|---|---|---|---|---|---|---|
KEGG_DNA_REPLICATION | 1.59e-06 | 56.69 | 14.00 | 2.95e-04 | 2.95e-04 | 4PCNA, LIG1, PRIM1, RFC4 |
36 |
KEGG_MISMATCH_REPAIR | 2.18e-05 | 66.54 | 12.25 | 2.03e-03 | 4.06e-03 | 3PCNA, LIG1, RFC4 |
23 |
KEGG_NUCLEOTIDE_EXCISION_REPAIR | 1.57e-04 | 32.50 | 6.22 | 7.31e-03 | 2.92e-02 | 3PCNA, LIG1, RFC4 |
44 |
KEGG_PYRIMIDINE_METABOLISM | 8.63e-05 | 19.33 | 4.95 | 5.35e-03 | 1.61e-02 | 4DUT, RRM2, TYMS, PRIM1 |
98 |
KEGG_BASE_EXCISION_REPAIR | 3.15e-03 | 26.37 | 2.98 | 1.17e-01 | 5.86e-01 | 2PCNA, LIG1 |
35 |
KEGG_CELL_CYCLE | 3.55e-02 | 7.08 | 0.82 | 1.00e+00 | 1.00e+00 | 2PCNA, ORC6 |
125 |
KEGG_PURINE_METABOLISM | 5.46e-02 | 5.55 | 0.65 | 1.00e+00 | 1.00e+00 | 2RRM2, PRIM1 |
159 |
KEGG_ONE_CARBON_POOL_BY_FOLATE | 3.98e-02 | 26.64 | 0.62 | 1.00e+00 | 1.00e+00 | 1TYMS |
17 |
KEGG_GLUTATHIONE_METABOLISM | 1.12e-01 | 8.70 | 0.21 | 1.00e+00 | 1.00e+00 | 1RRM2 |
50 |
KEGG_P53_SIGNALING_PATHWAY | 1.50e-01 | 6.36 | 0.16 | 1.00e+00 | 1.00e+00 | 1RRM2 |
68 |
KEGG_OOCYTE_MEIOSIS | 2.36e-01 | 3.81 | 0.09 | 1.00e+00 | 1.00e+00 | 1FBXO5 |
113 |
KEGG_N_GLYCAN_BIOSYNTHESIS | 1.00e+00 | 0.00 | 0.00 | 1.00e+00 | 1.00e+00 | 0 |
46 |
KEGG_OTHER_GLYCAN_DEGRADATION | 1.00e+00 | 0.00 | 0.00 | 1.00e+00 | 1.00e+00 | 0 |
16 |
KEGG_O_GLYCAN_BIOSYNTHESIS | 1.00e+00 | 0.00 | 0.00 | 1.00e+00 | 1.00e+00 | 0 |
30 |
KEGG_GLYCOSAMINOGLYCAN_DEGRADATION | 1.00e+00 | 0.00 | 0.00 | 1.00e+00 | 1.00e+00 | 0 |
21 |
KEGG_GLYCOSAMINOGLYCAN_BIOSYNTHESIS_KERATAN_SULFATE | 1.00e+00 | 0.00 | 0.00 | 1.00e+00 | 1.00e+00 | 0 |
15 |
KEGG_GLYCEROLIPID_METABOLISM | 1.00e+00 | 0.00 | 0.00 | 1.00e+00 | 1.00e+00 | 0 |
49 |
KEGG_GLYCOSYLPHOSPHATIDYLINOSITOL_GPI_ANCHOR_BIOSYNTHESIS | 1.00e+00 | 0.00 | 0.00 | 1.00e+00 | 1.00e+00 | 0 |
25 |
KEGG_GLYCEROPHOSPHOLIPID_METABOLISM | 1.00e+00 | 0.00 | 0.00 | 1.00e+00 | 1.00e+00 | 0 |
77 |
KEGG_ETHER_LIPID_METABOLISM | 1.00e+00 | 0.00 | 0.00 | 1.00e+00 | 1.00e+00 | 0 |
33 |
Dowload full table
CHR Positional Gene Sets:
P-value | OR | Lower 95% CI | FDR | FWER | Genes Found | Gene Set Size | |
---|---|---|---|---|---|---|---|
chr16q11 | 2.83e-02 | 38.72 | 0.88 | 1.00e+00 | 1.00e+00 | 1ORC6 |
12 |
chr8p21 | 3.71e-02 | 6.91 | 0.80 | 1.00e+00 | 1.00e+00 | 2ESCO2, PBK |
128 |
chr1p34 | 1.37e-01 | 3.19 | 0.37 | 1.00e+00 | 1.00e+00 | 2NASP, CLSPN |
275 |
chr6p22 | 1.95e-01 | 2.53 | 0.30 | 1.00e+00 | 1.00e+00 | 2DEK, GMNN |
346 |
chr20p12 | 2.20e-01 | 4.14 | 0.10 | 1.00e+00 | 1.00e+00 | 1PCNA |
104 |
chr3q27 | 2.40e-01 | 3.74 | 0.09 | 1.00e+00 | 1.00e+00 | 1RFC4 |
115 |
chr2p25 | 2.43e-01 | 3.68 | 0.09 | 1.00e+00 | 1.00e+00 | 1RRM2 |
117 |
chr15q22 | 2.56e-01 | 3.47 | 0.09 | 1.00e+00 | 1.00e+00 | 1TIPIN |
124 |
chr7q36 | 2.92e-01 | 2.96 | 0.07 | 1.00e+00 | 1.00e+00 | 1EZH2 |
145 |
chr3q25 | 3.04e-01 | 2.82 | 0.07 | 1.00e+00 | 1.00e+00 | 1SMC4 |
152 |
chr6q25 | 3.07e-01 | 2.79 | 0.07 | 1.00e+00 | 1.00e+00 | 1FBXO5 |
154 |
chr15q21 | 3.28e-01 | 2.57 | 0.06 | 1.00e+00 | 1.00e+00 | 1DUT |
167 |
chr10q23 | 3.64e-01 | 2.26 | 0.06 | 1.00e+00 | 1.00e+00 | 1HELLS |
190 |
chr18p11 | 3.80e-01 | 2.13 | 0.05 | 1.00e+00 | 1.00e+00 | 1TYMS |
201 |
chr10q22 | 3.81e-01 | 2.12 | 0.05 | 1.00e+00 | 1.00e+00 | 1DNAJC9 |
202 |
chr4p16 | 3.94e-01 | 2.03 | 0.05 | 1.00e+00 | 1.00e+00 | 1SLBP |
211 |
chr1p31 | 4.03e-01 | 1.97 | 0.05 | 1.00e+00 | 1.00e+00 | 1USP1 |
217 |
chr8q24 | 5.33e-01 | 1.33 | 0.03 | 1.00e+00 | 1.00e+00 | 1ATAD2 |
321 |
chr12p13 | 5.46e-01 | 1.28 | 0.03 | 1.00e+00 | 1.00e+00 | 1RAD51AP1 |
333 |
chr17p13 | 5.49e-01 | 1.27 | 0.03 | 1.00e+00 | 1.00e+00 | 1AURKB |
336 |
Dowload full table
Transcription Factor Targets:
P-value | OR | Lower 95% CI | FDR | FWER | Genes Found | Gene Set Size | |
---|---|---|---|---|---|---|---|
E2F1_Q3 | 1.08e-11 | 24.96 | 11.39 | 1.22e-08 | 1.22e-08 | 11FBXO5, RRM2, PCNA, ATAD2, NASP, GMNN, CLSPN, TIPIN, EZH2, DNAJC9, USP1 |
247 |
E2F1DP1RB_01 | 1.49e-10 | 23.43 | 10.31 | 4.88e-08 | 1.69e-07 | 10FBXO5, RRM2, PCNA, ATAD2, NASP, GMNN, CLSPN, LIG1, EZH2, DNAJC9 |
233 |
E2F4DP1_01 | 2.16e-10 | 22.52 | 9.92 | 4.88e-08 | 2.44e-07 | 10FBXO5, RRM2, PCNA, ATAD2, NASP, GMNN, CLSPN, LIG1, EZH2, DNAJC9 |
242 |
E2F_Q6_01 | 2.16e-10 | 22.52 | 9.92 | 4.88e-08 | 2.44e-07 | 10FBXO5, RRM2, PCNA, ATAD2, NASP, GMNN, TIPIN, LIG1, PRIM1, EZH2 |
242 |
SGCGSSAAA_E2F1DP2_01 | 6.01e-09 | 24.55 | 9.80 | 4.26e-07 | 6.81e-06 | 8FBXO5, RRM2, PCNA, ATAD2, NASP, GMNN, CLSPN, DNAJC9 |
170 |
E2F_03 | 2.84e-10 | 21.85 | 9.63 | 5.36e-08 | 3.22e-07 | 10FBXO5, ATAD2, NASP, GMNN, TIPIN, LIG1, PRIM1, SLBP, EZH2, DNAJC9 |
249 |
E2F_Q3 | 2.83e-09 | 20.94 | 8.84 | 3.10e-07 | 3.21e-06 | 9FBXO5, PCNA, ATAD2, NASP, GMNN, TIPIN, LIG1, EZH2, USP1 |
228 |
E2F_Q6 | 3.82e-09 | 20.20 | 8.53 | 3.10e-07 | 4.33e-06 | 9FBXO5, RRM2, PCNA, ATAD2, NASP, GMNN, CLSPN, EZH2, DNAJC9 |
236 |
E2F1_Q6 | 3.82e-09 | 20.20 | 8.53 | 3.10e-07 | 4.33e-06 | 9FBXO5, RRM2, PCNA, ATAD2, NASP, GMNN, CLSPN, EZH2, DNAJC9 |
236 |
E2F_02 | 4.11e-09 | 20.04 | 8.46 | 3.10e-07 | 4.65e-06 | 9FBXO5, RRM2, PCNA, ATAD2, NASP, GMNN, CLSPN, EZH2, DNAJC9 |
238 |
E2F_Q4 | 4.11e-09 | 20.04 | 8.46 | 3.10e-07 | 4.65e-06 | 9FBXO5, RRM2, PCNA, ATAD2, NASP, GMNN, CLSPN, EZH2, DNAJC9 |
238 |
E2F1DP1_01 | 4.11e-09 | 20.04 | 8.46 | 3.10e-07 | 4.65e-06 | 9FBXO5, RRM2, PCNA, ATAD2, NASP, GMNN, CLSPN, EZH2, DNAJC9 |
238 |
E2F1DP2_01 | 4.11e-09 | 20.04 | 8.46 | 3.10e-07 | 4.65e-06 | 9FBXO5, RRM2, PCNA, ATAD2, NASP, GMNN, CLSPN, EZH2, DNAJC9 |
238 |
E2F4DP2_01 | 4.11e-09 | 20.04 | 8.46 | 3.10e-07 | 4.65e-06 | 9FBXO5, RRM2, PCNA, ATAD2, NASP, GMNN, CLSPN, EZH2, DNAJC9 |
238 |
E2F_Q4_01 | 4.11e-09 | 20.04 | 8.46 | 3.10e-07 | 4.65e-06 | 9FBXO5, PCNA, ATAD2, NASP, GMNN, TIPIN, PRIM1, SLBP, EZH2 |
238 |
E2F_Q3_01 | 7.55e-08 | 17.46 | 7.00 | 5.03e-06 | 8.56e-05 | 8FBXO5, PCNA, ATAD2, NASP, GMNN, TIPIN, EZH2, USP1 |
236 |
E2F1_Q6_01 | 9.44e-08 | 16.94 | 6.79 | 5.94e-06 | 1.07e-04 | 8FBXO5, PCNA, ATAD2, NASP, GMNN, CLSPN, EZH2, DNAJC9 |
243 |
KTGGYRSGAA_UNKNOWN | 3.37e-05 | 24.89 | 6.34 | 1.82e-03 | 3.82e-02 | 4LIG1, PRIM1, EZH2, RFC4 |
77 |
HSD17B8_TARGET_GENES | 1.79e-10 | 12.60 | 6.25 | 4.88e-08 | 2.02e-07 | 14FBXO5, DUT, RRM2, ESCO2, RAD51AP1, TOP2A, ATAD2, SMC4, SLBP, PBK, HMGB2, SPC24, AURKB, RFC4 |
659 |
E2F1_Q4_01 | 1.06e-06 | 15.32 | 5.75 | 6.32e-05 | 1.20e-03 | 7FBXO5, PCNA, ATAD2, NASP, GMNN, EZH2, USP1 |
229 |
Dowload full table
GO Biological Processes:
P-value | OR | Lower 95% CI | FDR | FWER | Genes Found | Gene Set Size | |
---|---|---|---|---|---|---|---|
GOBP_CELL_CYCLE_DNA_REPLICATION | 1.56e-10 | 59.59 | 21.70 | 2.92e-07 | 1.17e-06 | 7FBXO5, PCNA, GMNN, TIPIN, LIG1, PRIM1, RFC4 |
64 |
GOBP_DEOXYRIBONUCLEOTIDE_BIOSYNTHETIC_PROCESS | 5.69e-06 | 110.69 | 19.43 | 2.66e-03 | 4.26e-02 | 3DUT, RRM2, TYMS |
15 |
GOBP_NEGATIVE_REGULATION_OF_DNA_DEPENDENT_DNA_REPLICATION | 8.48e-06 | 95.07 | 16.95 | 3.56e-03 | 6.34e-02 | 3FBXO5, GMNN, TIPIN |
17 |
GOBP_REGULATION_OF_DNA_DEPENDENT_DNA_REPLICATION | 8.87e-08 | 55.20 | 16.29 | 6.64e-05 | 6.64e-04 | 5FBXO5, PCNA, GMNN, TIPIN, RFC4 |
47 |
GOBP_PYRIMIDINE_DEOXYRIBONUCLEOSIDE_TRIPHOSPHATE_METABOLIC_PROCESS | 1.16e-04 | 173.11 | 16.13 | 2.60e-02 | 8.70e-01 | 2DUT, TYMS |
7 |
GOBP_PYRIMIDINE_DEOXYRIBONUCLEOTIDE_BIOSYNTHETIC_PROCESS | 1.16e-04 | 173.11 | 16.13 | 2.60e-02 | 8.70e-01 | 2DUT, TYMS |
7 |
GOBP_DNA_STRAND_ELONGATION_INVOLVED_IN_DNA_REPLICATION | 1.20e-05 | 83.10 | 15.03 | 4.74e-03 | 9.00e-02 | 3PCNA, LIG1, RFC4 |
19 |
GOBP_REGULATION_OF_TRANSCRIPTION_INVOLVED_IN_G1_S_TRANSITION_OF_MITOTIC_CELL_CYCLE | 1.41e-06 | 58.52 | 14.42 | 7.55e-04 | 1.06e-02 | 4FBXO5, RRM2, PCNA, TYMS |
35 |
GOBP_DEOXYRIBONUCLEOSIDE_MONOPHOSPHATE_BIOSYNTHETIC_PROCESS | 1.55e-04 | 144.44 | 13.92 | 3.22e-02 | 1.00e+00 | 2DUT, TYMS |
8 |
GOBP_POSITIVE_REGULATION_OF_NUCLEASE_ACTIVITY | 1.55e-04 | 144.44 | 13.92 | 3.22e-02 | 1.00e+00 | 2PCNA, HMGB2 |
8 |
GOBP_DNA_REPLICATION | 6.35e-14 | 27.49 | 13.25 | 4.75e-10 | 4.75e-10 | 13FBXO5, DUT, RRM2, ESCO2, PCNA, NASP, GMNN, CLSPN, TIPIN, LIG1, PRIM1, ORC6, RFC4 |
280 |
GOBP_DNA_TOPOLOGICAL_CHANGE | 1.99e-04 | 123.89 | 12.26 | 3.54e-02 | 1.00e+00 | 2TOP2A, HMGB2 |
9 |
GOBP_REGULATION_OF_DNA_DIRECTED_DNA_POLYMERASE_ACTIVITY | 1.99e-04 | 123.89 | 12.26 | 3.54e-02 | 1.00e+00 | 2PCNA, RFC4 |
9 |
GOBP_NUCLEOTIDE_EXCISION_REPAIR_DNA_GAP_FILLING | 2.18e-05 | 66.54 | 12.25 | 8.17e-03 | 1.63e-01 | 3PCNA, LIG1, RFC4 |
23 |
GOBP_PYRIMIDINE_DEOXYRIBONUCLEOSIDE_MONOPHOSPHATE_METABOLIC_PROCESS | 2.48e-04 | 108.38 | 10.95 | 4.24e-02 | 1.00e+00 | 2DUT, TYMS |
10 |
GOBP_DNA_STRAND_ELONGATION | 3.19e-05 | 57.89 | 10.76 | 1.08e-02 | 2.38e-01 | 3PCNA, LIG1, RFC4 |
26 |
GOBP_DNA_DEPENDENT_DNA_REPLICATION | 3.23e-09 | 26.69 | 10.64 | 4.02e-06 | 2.41e-05 | 8FBXO5, PCNA, GMNN, TIPIN, LIG1, PRIM1, ORC6, RFC4 |
157 |
GOBP_NUCLEOBASE_CONTAINING_SMALL_MOLECULE_INTERCONVERSION | 3.58e-05 | 55.49 | 10.34 | 1.12e-02 | 2.68e-01 | 3DUT, RRM2, TYMS |
27 |
GOBP_TELOMERE_MAINTENANCE_VIA_SEMI_CONSERVATIVE_REPLICATION | 3.58e-05 | 55.49 | 10.34 | 1.12e-02 | 2.68e-01 | 3PCNA, PRIM1, RFC4 |
27 |
GOBP_REGULATION_OF_DNA_REPLICATION | 1.98e-07 | 28.20 | 9.60 | 1.35e-04 | 1.48e-03 | 6FBXO5, ESCO2, PCNA, GMNN, TIPIN, RFC4 |
107 |
Dowload full table
Immunological Gene Sets:
P-value | OR | Lower 95% CI | FDR | FWER | Genes Found | Gene Set Size | |
---|---|---|---|---|---|---|---|
GSE13547_CTRL_VS_ANTI_IGM_STIM_BCELL_12H_UP | 2.78e-21 | 57.53 | 29.03 | 1.35e-17 | 1.35e-17 | 16FBXO5, DUT, RRM2, ESCO2, RAD51AP1, TOP2A, CLSPN, TIPIN, LIG1, PRIM1, PBK, ORC6, HMGB2, HELLS, SPC24, AURKB |
187 |
GSE15750_DAY6_VS_DAY10_TRAF6KO_EFF_CD8_TCELL_UP | 8.52e-16 | 39.24 | 18.83 | 2.08e-12 | 4.15e-12 | 13DUT, RRM2, ESCO2, RAD51AP1, PCNA, TOP2A, CLSPN, LIG1, PRIM1, PBK, HMGB2, SPC24, AURKB |
200 |
GSE13547_CTRL_VS_ANTI_IGM_STIM_BCELL_2H_UP | 1.05e-14 | 38.80 | 18.14 | 1.71e-11 | 5.14e-11 | 12FBXO5, RRM2, ESCO2, RAD51AP1, TOP2A, CLSPN, TIPIN, LIG1, PRIM1, EZH2, HELLS, AURKB |
182 |
GSE25088_WT_VS_STAT6_KO_MACROPHAGE_IL4_STIM_DN | 2.88e-14 | 35.46 | 16.60 | 2.64e-11 | 1.41e-10 | 12RRM2, RAD51AP1, PCNA, TOP2A, NASP, GMNN, TYMS, EZH2, HMGB2, HELLS, DNAJC9, RFC4 |
198 |
GSE15750_DAY6_VS_DAY10_EFF_CD8_TCELL_UP | 3.25e-14 | 35.09 | 16.43 | 2.64e-11 | 1.58e-10 | 12FBXO5, RRM2, ESCO2, RAD51AP1, TOP2A, GMNN, TIPIN, LIG1, PBK, HELLS, SPC24, AURKB |
200 |
GSE30962_ACUTE_VS_CHRONIC_LCMV_SECONDARY_INF_CD8_TCELL_DN | 3.25e-14 | 35.09 | 16.43 | 2.64e-11 | 1.58e-10 | 12DUT, RRM2, ESCO2, RAD51AP1, TOP2A, NASP, TYMS, CLSPN, TIPIN, PBK, EZH2, HELLS |
200 |
GSE14415_NATURAL_TREG_VS_TCONV_DN | 3.53e-13 | 34.86 | 15.82 | 2.46e-10 | 1.72e-09 | 11FBXO5, DUT, RRM2, ESCO2, TOP2A, CLSPN, LIG1, PBK, HMGB2, HELLS, SPC24 |
180 |
GSE2405_S_AUREUS_VS_UNTREATED_NEUTROPHIL_DN | 1.05e-12 | 31.34 | 14.25 | 6.01e-10 | 5.12e-09 | 11FBXO5, DUT, RRM2, PCNA, TOP2A, GMNN, TIPIN, LIG1, SLBP, PBK, EZH2 |
199 |
GSE30962_PRIMARY_VS_SECONDARY_ACUTE_LCMV_INF_CD8_TCELL_UP | 1.11e-12 | 31.18 | 14.17 | 6.01e-10 | 5.41e-09 | 11FBXO5, RRM2, ESCO2, TOP2A, GMNN, CLSPN, LIG1, EZH2, HMGB2, SPC24, AURKB |
200 |
GSE13547_2H_VS_12_H_ANTI_IGM_STIM_BCELL_DN | 1.49e-11 | 30.02 | 13.17 | 7.25e-09 | 7.25e-08 | 10FBXO5, DUT, RRM2, RAD51AP1, GMNN, PRIM1, PBK, ORC6, SPC24, AURKB |
184 |
GSE21063_WT_VS_NFATC1_KO_8H_ANTI_IGM_STIM_BCELL_UP | 3.21e-11 | 27.62 | 12.14 | 1.10e-08 | 1.56e-07 | 10FBXO5, TOP2A, TYMS, TIPIN, PRIM1, EZH2, ORC6, SPC24, AURKB, RFC4 |
199 |
GOLDRATH_EFF_VS_MEMORY_CD8_TCELL_UP | 3.37e-11 | 27.47 | 12.08 | 1.10e-08 | 1.64e-07 | 10RRM2, RAD51AP1, TOP2A, GMNN, TYMS, TIPIN, LIG1, PRIM1, EZH2, AURKB |
200 |
GSE22886_UNSTIM_VS_IL15_STIM_NKCELL_DN | 3.37e-11 | 27.47 | 12.08 | 1.10e-08 | 1.64e-07 | 10RAD51AP1, PCNA, NASP, GMNN, TIPIN, SMC4, PBK, DNAJC9, USP1, RFC4 |
200 |
GSE24634_TREG_VS_TCONV_POST_DAY7_IL4_CONVERSION_UP | 3.37e-11 | 27.47 | 12.08 | 1.10e-08 | 1.64e-07 | 10DUT, RRM2, ATAD2, GMNN, TYMS, LIG1, SLBP, EZH2, AURKB, RFC4 |
200 |
GSE36476_CTRL_VS_TSST_ACT_72H_MEMORY_CD4_TCELL_YOUNG_DN | 3.37e-11 | 27.47 | 12.08 | 1.10e-08 | 1.64e-07 | 10FBXO5, DUT, RRM2, RAD51AP1, PCNA, TOP2A, GMNN, TYMS, PBK, RFC4 |
200 |
GSE14415_INDUCED_TREG_VS_TCONV_UP | 3.41e-10 | 26.96 | 11.34 | 1.04e-07 | 1.66e-06 | 9FBXO5, DUT, RRM2, RAD51AP1, GMNN, PRIM1, PBK, SPC24, AURKB |
179 |
GSE14415_INDUCED_TREG_VS_FAILED_INDUCED_TREG_UP | 4.56e-10 | 26.04 | 10.96 | 1.31e-07 | 2.22e-06 | 9FBXO5, DUT, RRM2, GMNN, PRIM1, PBK, ORC6, SPC24, AURKB |
185 |
GSE25088_WT_VS_STAT6_KO_MACROPHAGE_DN | 8.66e-10 | 24.13 | 10.17 | 1.76e-07 | 4.22e-06 | 9RRM2, RAD51AP1, PCNA, TOP2A, GMNN, TYMS, EZH2, HELLS, RFC4 |
199 |
GSE10239_NAIVE_VS_DAY4.5_EFF_CD8_TCELL_DN | 9.05e-10 | 24.01 | 10.12 | 1.76e-07 | 4.41e-06 | 9DUT, TYMS, TIPIN, PRIM1, PBK, ORC6, HMGB2, AURKB, RFC4 |
200 |
GSE24634_TEFF_VS_TCONV_DAY5_IN_CULTURE_UP | 9.05e-10 | 24.01 | 10.12 | 1.76e-07 | 4.41e-06 | 9DUT, RRM2, GMNN, TYMS, TIPIN, SMC4, SLBP, EZH2, RFC4 |
200 |
Top Ranked Transcription Factors for this Gene Expression Program:
Gene Symbol | TF Rank | DNA Binding Domain | Motif Status | IUPAC PWM | GTEx | DepMap | Decartes |
---|---|---|---|---|---|---|---|
HIST1H1B | 1 | No | Unlikely to be sequence specific TF | Low specificity DNA-binding protein | No motif | None | Linker histone. To my knowledge there has been no demonstration of sequence specificity of linker histones, so I think this one should be called unlikely. |
HIST1H1E | 4 | No | Unlikely to be sequence specific TF | Low specificity DNA-binding protein | No motif | None | Binds DNA as heteromultimeric complex |
HIST1H1A | 5 | No | Unlikely to be sequence specific TF | Low specificity DNA-binding protein | No motif | None | Histone component |
HIST1H1D | 13 | No | Unlikely to be sequence specific TF | Low specificity DNA-binding protein | No motif | None | Linker histone that binds DNA as heteromeric complex with the other histone proteins |
PCNA | 18 | No | Unlikely to be sequence specific TF | Low specificity DNA-binding protein | No motif | None | Binds DNA in the crystal structure (PDB: 5L7C). Protein barely contacts the DNA at all |
DEK | 19 | No | Unlikely to be sequence specific TF | Low specificity DNA-binding protein | No motif | None | This protein binds to cruciform and superhelical DNA and induces positive supercoils into closed circular DNA, and is also involved in splice site selection during mRNA processing. (Entrez gene summary). So it must have some nonspecific DNA affinity. |
TOP2A | 21 | No | Unlikely to be sequence specific TF | Low specificity DNA-binding protein | No motif | None | DNA topoisomerase. Binds DNA in the crystal structure (PDB: 4FM9). |
LIG1 | 31 | No | Unlikely to be sequence specific TF | Low specificity DNA-binding protein | No motif | None | DNA ligase. Binds DNA in the crystal structure (PDB: 1X9N) |
EZH2 | 40 | No | Unlikely to be sequence specific TF | Not a DNA binding protein | No motif | None | This is a classic polycomb protein with no evidence of sequence specific DNA binding after years of intense study. I dont see anything in (PMID :15520282) that supports DNA binding. |
HMGB2 | 44 | No | Unlikely to be sequence specific TF | Low specificity DNA-binding protein | No motif | None | In the alignment, it clusters with other HMG proteins that have not yielded motifs. Evidence exists showing HMGB½ are non-sequence-specific binding proteins (PMID: 11497996). HMGB2 is well-known to facilitate DNA-bending and interact with sequence-specific TFs and transcriptional co-factors. |
RAD51 | 51 | No | Unlikely to be sequence specific TF | Low specificity DNA-binding protein | No motif | None | Functions in homologous recombination DNA-repair. Binds DNA with low specificity (PMID:10390347) |
BRCA1 | 54 | No | Unlikely to be sequence specific TF | Low specificity DNA-binding protein | In vivo/Misc source | None | BRCA1 likely binds to DNA without DNA sequence specificity (PMID: 11353843) |
DNMT1 | 56 | Yes | Known motif | Monomer or homomultimer | High-throughput in vitro | None | None |
UHRF1 | 60 | No | Unlikely to be sequence specific TF | Low specificity DNA-binding protein | No motif | None | Structural evidence (PDB:2ZO0; PDB: 2ZO1; PMID: 18772888] and (PDB: 2ZKE) (PMID: 18772891) demonstrate direct DNA-binding. However, the extent to which it is sequence specific beyond hemimethylated DNA has not been extensively explored. |
E2F8 | 63 | Yes | Known motif | Monomer or homomultimer | High-throughput in vitro | None | None |
H1F0 | 69 | No | Unlikely to be sequence specific TF | Low specificity DNA-binding protein | No motif | None | Histone. Likely a false-positive Pfam match based on the similarity of Forkhead domains to H1 domains |
RPA2 | 74 | No | ssDNA/RNA binding | Not a DNA binding protein | No motif | None | None |
MXD3 | 78 | Yes | Inferred motif | Obligate heteromer | In vivo/Misc source | None | All three MXD proteins have very similar sequences and should behave accordingly, making heterodimers with at least MAX (PMID:8521822). |
SIVA1 | 96 | No | Unlikely to be sequence specific TF | Not a DNA binding protein | No motif | None | Affects transcription through interactions with NF-kappaB (PMID: 16491128) |
HIST1H1C | 98 | No | Unlikely to be sequence specific TF | Low specificity DNA-binding protein | No motif | None | None |
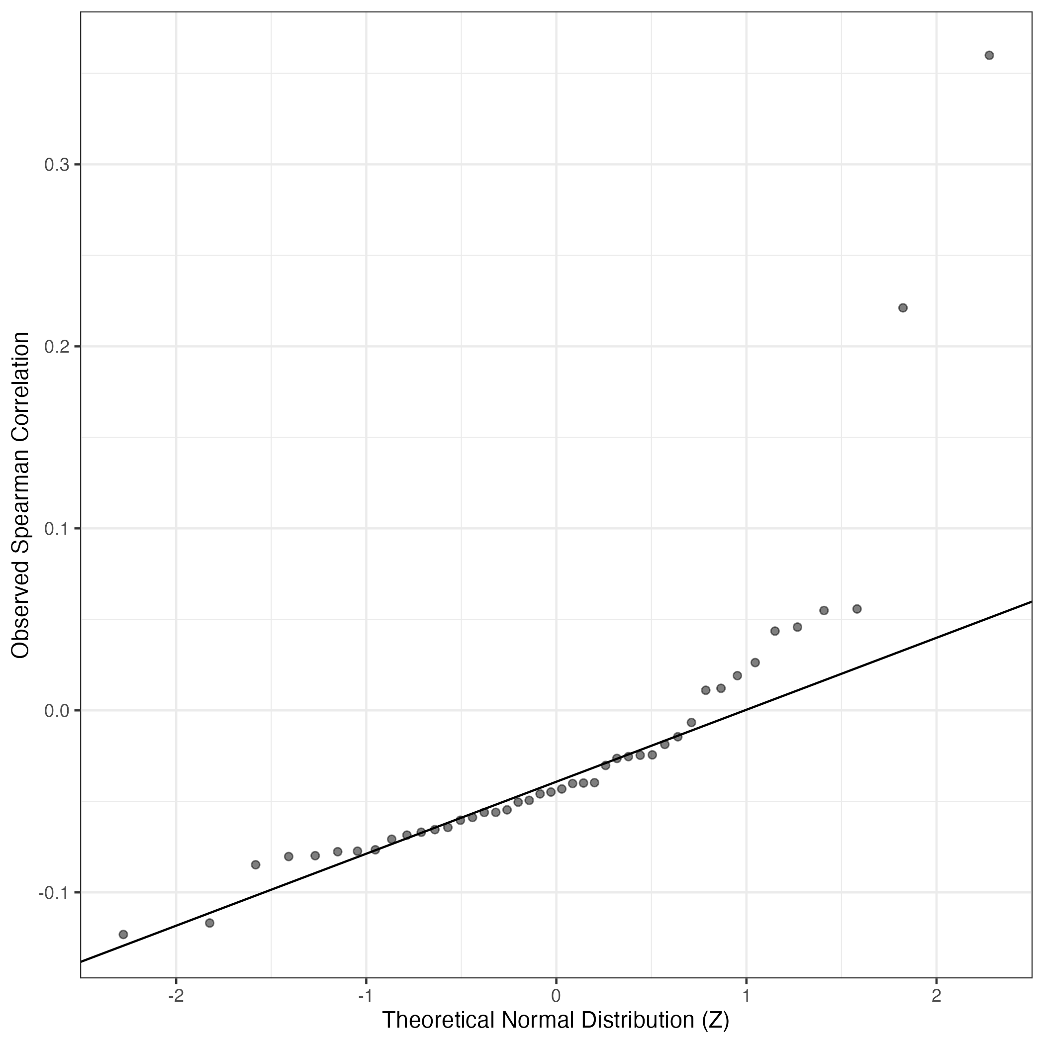
QQ Plot showing correlations with other Gene Expression Programs in this dataset, calculated by Spearman correlation:
Interactive QQ-plot of gene loadings:
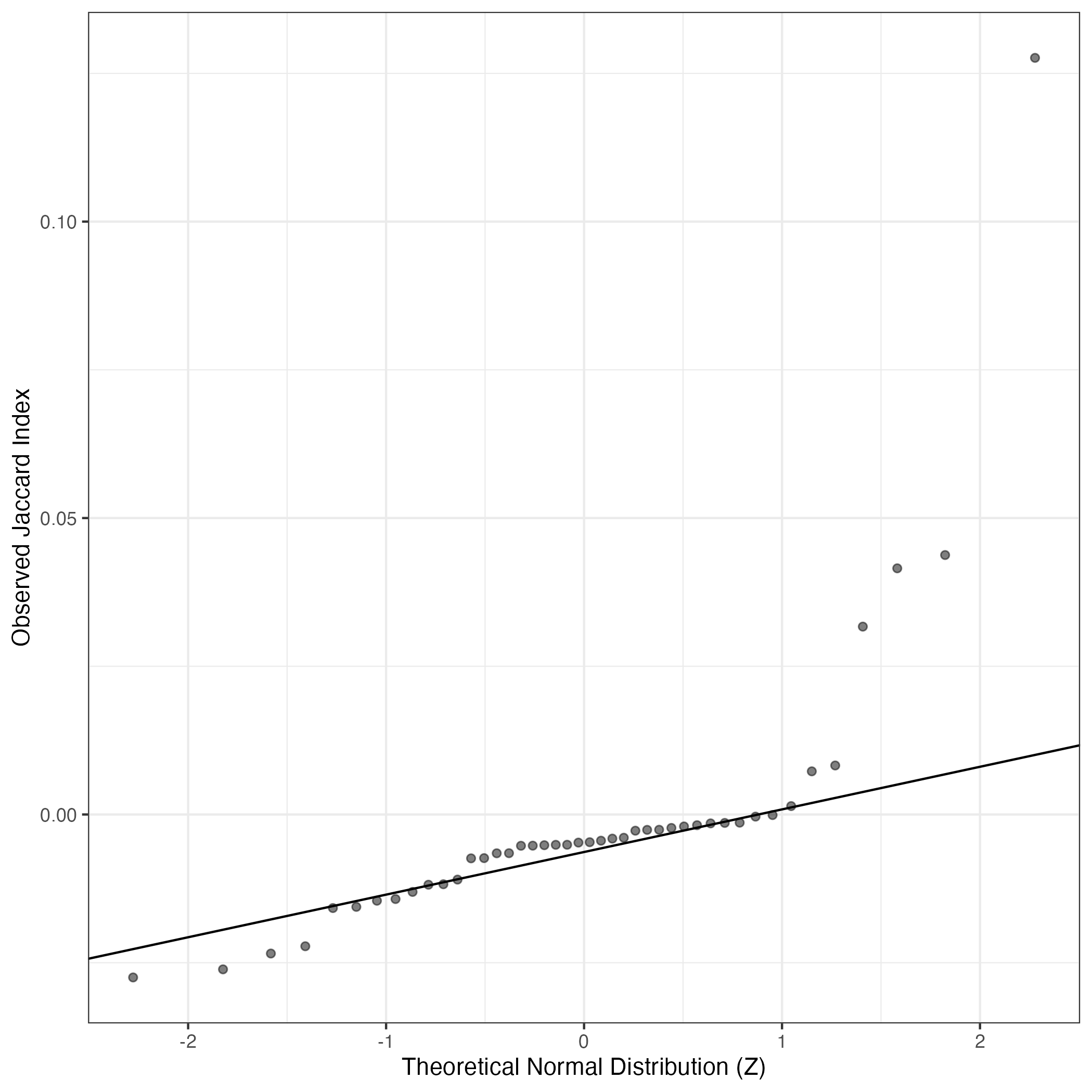
A similar QQ-plot as above, but only for instances where the H value is e.g. > 25, i.e. we are confident that the expression program is active above noise. Agreemenet between these binary vectors is tested using the Jaccard Index, with the P-values calculated by an exact test:
Interactive QQ-plot:
Singler cell type annotations for the top 50 cells on this program.
Cell ID | Singler label | Singler Delta | Activity Score | Top Singler Raw Scores |
---|---|---|---|---|
887_CAATCGAGTACTCGAT-1 | Neurons:adrenal_medulla_cell_line | 0.26 | 194.39 | Raw ScoresNeurons:adrenal_medulla_cell_line: 0.56, Neuroepithelial_cell:ESC-derived: 0.52, iPS_cells:PDB_1lox-21Puro-20: 0.49, iPS_cells:PDB_1lox-21Puro-26: 0.48, Astrocyte:Embryonic_stem_cell-derived: 0.48, iPS_cells:PDB_2lox-22: 0.48, iPS_cells:PDB_1lox-17Puro-10: 0.48, iPS_cells:PDB_1lox-17Puro-5: 0.48, Neurons:ES_cell-derived_neural_precursor: 0.47, iPS_cells:PDB_2lox-17: 0.47 |
887_CATTCTACAGCCCACA-1 | Neurons:adrenal_medulla_cell_line | 0.27 | 183.39 | Raw ScoresNeurons:adrenal_medulla_cell_line: 0.58, Neuroepithelial_cell:ESC-derived: 0.54, iPS_cells:PDB_1lox-21Puro-20: 0.52, iPS_cells:PDB_1lox-21Puro-26: 0.52, iPS_cells:PDB_1lox-17Puro-10: 0.51, iPS_cells:PDB_1lox-17Puro-5: 0.51, iPS_cells:PDB_2lox-22: 0.51, iPS_cells:PDB_2lox-17: 0.5, iPS_cells:PDB_2lox-21: 0.5, Embryonic_stem_cells: 0.5 |
887_CACAGATAGCTGTACT-1 | Neurons:adrenal_medulla_cell_line | 0.25 | 172.88 | Raw ScoresNeurons:adrenal_medulla_cell_line: 0.53, Neuroepithelial_cell:ESC-derived: 0.5, iPS_cells:PDB_1lox-21Puro-20: 0.48, iPS_cells:PDB_1lox-21Puro-26: 0.47, iPS_cells:PDB_1lox-17Puro-10: 0.47, iPS_cells:PDB_1lox-17Puro-5: 0.47, iPS_cells:PDB_2lox-22: 0.46, Embryonic_stem_cells: 0.46, Astrocyte:Embryonic_stem_cell-derived: 0.46, iPS_cells:PDB_2lox-17: 0.46 |
887_CTCTCAGCACTTCCTG-1 | Neurons:adrenal_medulla_cell_line | 0.26 | 165.65 | Raw ScoresNeurons:adrenal_medulla_cell_line: 0.58, Neuroepithelial_cell:ESC-derived: 0.55, iPS_cells:PDB_1lox-21Puro-20: 0.53, iPS_cells:PDB_1lox-21Puro-26: 0.53, iPS_cells:PDB_1lox-17Puro-10: 0.52, iPS_cells:PDB_1lox-17Puro-5: 0.52, iPS_cells:PDB_2lox-22: 0.52, iPS_cells:PDB_2lox-21: 0.51, iPS_cells:PDB_2lox-17: 0.51, Embryonic_stem_cells: 0.51 |
887_TGCGGGTAGGTGGGTT-1 | Neurons:adrenal_medulla_cell_line | 0.23 | 163.39 | Raw ScoresNeurons:adrenal_medulla_cell_line: 0.53, Neuroepithelial_cell:ESC-derived: 0.5, iPS_cells:PDB_1lox-21Puro-20: 0.47, iPS_cells:PDB_2lox-22: 0.47, iPS_cells:PDB_1lox-21Puro-26: 0.47, iPS_cells:PDB_1lox-17Puro-5: 0.46, iPS_cells:PDB_1lox-17Puro-10: 0.46, Astrocyte:Embryonic_stem_cell-derived: 0.46, iPS_cells:PDB_2lox-21: 0.46, Neurons:ES_cell-derived_neural_precursor: 0.46 |
887_CACAGGCAGCTTTCCC-1 | Neurons:adrenal_medulla_cell_line | 0.27 | 155.96 | Raw ScoresNeurons:adrenal_medulla_cell_line: 0.56, Neuroepithelial_cell:ESC-derived: 0.53, iPS_cells:PDB_1lox-21Puro-20: 0.51, iPS_cells:PDB_1lox-21Puro-26: 0.51, iPS_cells:PDB_1lox-17Puro-10: 0.5, iPS_cells:PDB_1lox-17Puro-5: 0.5, iPS_cells:PDB_2lox-22: 0.5, Neurons:ES_cell-derived_neural_precursor: 0.5, Embryonic_stem_cells: 0.49, iPS_cells:PDB_2lox-21: 0.49 |
887_ACATCCCCAATCGCAT-1 | Neurons:adrenal_medulla_cell_line | 0.26 | 153.04 | Raw ScoresNeurons:adrenal_medulla_cell_line: 0.56, Neuroepithelial_cell:ESC-derived: 0.51, iPS_cells:PDB_1lox-21Puro-20: 0.49, iPS_cells:PDB_1lox-21Puro-26: 0.49, iPS_cells:PDB_1lox-17Puro-10: 0.48, iPS_cells:PDB_2lox-22: 0.48, iPS_cells:PDB_1lox-17Puro-5: 0.48, iPS_cells:PDB_2lox-21: 0.48, iPS_cells:PDB_2lox-17: 0.48, Embryonic_stem_cells: 0.48 |
887_TTTCAGTCACGCCACA-1 | Neurons:adrenal_medulla_cell_line | 0.25 | 152.12 | Raw ScoresNeurons:adrenal_medulla_cell_line: 0.54, Neuroepithelial_cell:ESC-derived: 0.51, iPS_cells:PDB_1lox-21Puro-20: 0.49, iPS_cells:PDB_1lox-21Puro-26: 0.49, iPS_cells:PDB_1lox-17Puro-10: 0.49, iPS_cells:PDB_1lox-17Puro-5: 0.48, iPS_cells:PDB_2lox-22: 0.48, iPS_cells:PDB_2lox-17: 0.48, Embryonic_stem_cells: 0.48, iPS_cells:PDB_2lox-21: 0.47 |
887_GACAGCCGTTATTCTC-1 | Neurons:adrenal_medulla_cell_line | 0.25 | 139.47 | Raw ScoresNeurons:adrenal_medulla_cell_line: 0.52, Neuroepithelial_cell:ESC-derived: 0.48, iPS_cells:PDB_1lox-21Puro-20: 0.46, iPS_cells:PDB_1lox-21Puro-26: 0.46, iPS_cells:PDB_1lox-17Puro-10: 0.46, iPS_cells:PDB_1lox-17Puro-5: 0.45, iPS_cells:PDB_2lox-22: 0.45, iPS_cells:PDB_2lox-17: 0.45, iPS_cells:PDB_2lox-21: 0.45, Embryonic_stem_cells: 0.44 |
887_TTTACTGTCTCAGTCC-1 | Neurons:adrenal_medulla_cell_line | 0.25 | 138.83 | Raw ScoresNeurons:adrenal_medulla_cell_line: 0.51, Neuroepithelial_cell:ESC-derived: 0.48, iPS_cells:PDB_1lox-21Puro-20: 0.45, iPS_cells:PDB_1lox-21Puro-26: 0.45, Astrocyte:Embryonic_stem_cell-derived: 0.44, iPS_cells:PDB_1lox-17Puro-10: 0.44, Neurons:ES_cell-derived_neural_precursor: 0.44, iPS_cells:PDB_1lox-17Puro-5: 0.44, iPS_cells:PDB_2lox-22: 0.44, Embryonic_stem_cells: 0.44 |
887_ACTTCGCTCGCCGATG-1 | Neurons:adrenal_medulla_cell_line | 0.24 | 138.48 | Raw ScoresNeurons:adrenal_medulla_cell_line: 0.51, Neuroepithelial_cell:ESC-derived: 0.47, iPS_cells:PDB_1lox-21Puro-20: 0.46, iPS_cells:PDB_1lox-21Puro-26: 0.46, iPS_cells:PDB_1lox-17Puro-10: 0.45, iPS_cells:PDB_2lox-22: 0.45, iPS_cells:PDB_1lox-17Puro-5: 0.45, iPS_cells:PDB_2lox-21: 0.45, iPS_cells:PDB_2lox-17: 0.45, iPS_cells:PDB_2lox-5: 0.44 |
864_TCATTACGTTCAGGTT-1 | Neurons:adrenal_medulla_cell_line | 0.25 | 131.81 | Raw ScoresNeurons:adrenal_medulla_cell_line: 0.54, Neuroepithelial_cell:ESC-derived: 0.52, iPS_cells:PDB_1lox-21Puro-20: 0.5, iPS_cells:PDB_2lox-22: 0.5, iPS_cells:PDB_1lox-21Puro-26: 0.5, iPS_cells:PDB_1lox-17Puro-10: 0.5, iPS_cells:PDB_2lox-21: 0.49, iPS_cells:PDB_2lox-17: 0.49, iPS_cells:PDB_1lox-17Puro-5: 0.49, Embryonic_stem_cells: 0.48 |
856_CTCCACAGTAGGAAAG-1 | Neurons:adrenal_medulla_cell_line | 0.10 | 128.55 | Raw ScoresNeurons:adrenal_medulla_cell_line: 0.29, Neuroepithelial_cell:ESC-derived: 0.27, iPS_cells:PDB_2lox-21: 0.27, iPS_cells:PDB_2lox-17: 0.27, iPS_cells:CRL2097_foreskin-derived:undiff.: 0.27, iPS_cells:PDB_1lox-21Puro-20: 0.27, iPS_cells:PDB_2lox-22: 0.27, iPS_cells:PDB_1lox-21Puro-26: 0.27, iPS_cells:PDB_2lox-5: 0.27, iPS_cells:PDB_1lox-17Puro-5: 0.26 |
864_ATGACCACAGAACTAA-1 | Neurons:adrenal_medulla_cell_line | 0.27 | 125.99 | Raw ScoresNeurons:adrenal_medulla_cell_line: 0.58, Neuroepithelial_cell:ESC-derived: 0.55, iPS_cells:PDB_1lox-21Puro-20: 0.54, iPS_cells:PDB_1lox-21Puro-26: 0.53, iPS_cells:PDB_2lox-22: 0.53, iPS_cells:PDB_2lox-21: 0.53, iPS_cells:PDB_2lox-17: 0.53, iPS_cells:PDB_1lox-17Puro-10: 0.53, iPS_cells:PDB_1lox-17Puro-5: 0.52, Embryonic_stem_cells: 0.52 |
887_GACACGCTCGAAGTGG-1 | Neurons:adrenal_medulla_cell_line | 0.23 | 125.74 | Raw ScoresNeurons:adrenal_medulla_cell_line: 0.51, Neuroepithelial_cell:ESC-derived: 0.47, iPS_cells:PDB_1lox-21Puro-20: 0.45, iPS_cells:PDB_1lox-21Puro-26: 0.45, iPS_cells:PDB_1lox-17Puro-10: 0.45, iPS_cells:PDB_1lox-17Puro-5: 0.44, iPS_cells:PDB_2lox-22: 0.44, iPS_cells:PDB_2lox-21: 0.44, iPS_cells:PDB_2lox-17: 0.44, Embryonic_stem_cells: 0.44 |
887_TGACAGTCACCACTGG-1 | Neurons:adrenal_medulla_cell_line | 0.25 | 124.10 | Raw ScoresNeurons:adrenal_medulla_cell_line: 0.52, Neuroepithelial_cell:ESC-derived: 0.48, iPS_cells:PDB_1lox-21Puro-20: 0.46, iPS_cells:PDB_1lox-21Puro-26: 0.45, iPS_cells:PDB_1lox-17Puro-10: 0.45, iPS_cells:PDB_1lox-17Puro-5: 0.45, iPS_cells:PDB_2lox-22: 0.44, iPS_cells:PDB_2lox-21: 0.44, Embryonic_stem_cells: 0.44, iPS_cells:PDB_2lox-17: 0.44 |
887_AGTAGTCAGCGTTACT-1 | Neurons:adrenal_medulla_cell_line | 0.25 | 123.32 | Raw ScoresNeurons:adrenal_medulla_cell_line: 0.53, Neuroepithelial_cell:ESC-derived: 0.49, iPS_cells:PDB_1lox-21Puro-20: 0.47, iPS_cells:PDB_1lox-21Puro-26: 0.46, iPS_cells:PDB_2lox-22: 0.46, iPS_cells:PDB_1lox-17Puro-10: 0.46, iPS_cells:PDB_1lox-17Puro-5: 0.46, iPS_cells:PDB_2lox-21: 0.46, Embryonic_stem_cells: 0.45, iPS_cells:PDB_2lox-17: 0.45 |
887_AGCTACAAGCCATTTG-1 | Neurons:adrenal_medulla_cell_line | 0.24 | 122.44 | Raw ScoresNeurons:adrenal_medulla_cell_line: 0.53, Neuroepithelial_cell:ESC-derived: 0.49, iPS_cells:PDB_1lox-21Puro-20: 0.47, iPS_cells:PDB_1lox-21Puro-26: 0.47, iPS_cells:PDB_1lox-17Puro-10: 0.47, iPS_cells:PDB_2lox-22: 0.47, iPS_cells:PDB_1lox-17Puro-5: 0.47, iPS_cells:PDB_2lox-17: 0.46, iPS_cells:PDB_2lox-21: 0.46, Embryonic_stem_cells: 0.46 |
887_GCTTGGGGTATGTCTG-1 | Neurons:adrenal_medulla_cell_line | 0.25 | 122.24 | Raw ScoresNeurons:adrenal_medulla_cell_line: 0.53, Neuroepithelial_cell:ESC-derived: 0.5, iPS_cells:PDB_1lox-21Puro-20: 0.47, iPS_cells:PDB_1lox-21Puro-26: 0.47, iPS_cells:PDB_1lox-17Puro-10: 0.47, iPS_cells:PDB_1lox-17Puro-5: 0.47, iPS_cells:PDB_2lox-22: 0.47, Astrocyte:Embryonic_stem_cell-derived: 0.46, iPS_cells:PDB_2lox-21: 0.46, iPS_cells:PDB_2lox-17: 0.46 |
887_TGAGGTTAGTGCACCC-1 | Neurons:adrenal_medulla_cell_line | 0.24 | 120.76 | Raw ScoresNeurons:adrenal_medulla_cell_line: 0.5, Neuroepithelial_cell:ESC-derived: 0.46, iPS_cells:PDB_1lox-21Puro-20: 0.45, iPS_cells:PDB_1lox-21Puro-26: 0.45, iPS_cells:PDB_2lox-22: 0.44, iPS_cells:PDB_1lox-17Puro-10: 0.44, iPS_cells:PDB_1lox-17Puro-5: 0.44, iPS_cells:PDB_2lox-17: 0.44, iPS_cells:PDB_2lox-21: 0.44, Embryonic_stem_cells: 0.44 |
887_GTTGCTCTCATGAGTC-1 | Neurons:adrenal_medulla_cell_line | 0.25 | 119.86 | Raw ScoresNeurons:adrenal_medulla_cell_line: 0.52, Neuroepithelial_cell:ESC-derived: 0.49, iPS_cells:PDB_1lox-21Puro-20: 0.47, iPS_cells:PDB_1lox-21Puro-26: 0.46, iPS_cells:PDB_1lox-17Puro-10: 0.46, Neurons:ES_cell-derived_neural_precursor: 0.46, iPS_cells:PDB_2lox-22: 0.45, iPS_cells:PDB_1lox-17Puro-5: 0.45, Embryonic_stem_cells: 0.45, iPS_cells:PDB_2lox-21: 0.45 |
887_TAACTTCGTATCGTAC-1 | Neurons:adrenal_medulla_cell_line | 0.24 | 119.24 | Raw ScoresNeurons:adrenal_medulla_cell_line: 0.51, Neuroepithelial_cell:ESC-derived: 0.47, iPS_cells:PDB_1lox-21Puro-20: 0.45, iPS_cells:PDB_1lox-21Puro-26: 0.45, iPS_cells:PDB_1lox-17Puro-10: 0.44, iPS_cells:PDB_2lox-22: 0.44, iPS_cells:PDB_1lox-17Puro-5: 0.44, iPS_cells:PDB_2lox-21: 0.44, iPS_cells:PDB_2lox-17: 0.44, Astrocyte:Embryonic_stem_cell-derived: 0.44 |
887_AGTGATCCAGTCTGGC-1 | Neurons:adrenal_medulla_cell_line | 0.25 | 119.02 | Raw ScoresNeurons:adrenal_medulla_cell_line: 0.53, Neuroepithelial_cell:ESC-derived: 0.5, iPS_cells:PDB_1lox-21Puro-20: 0.47, iPS_cells:PDB_1lox-21Puro-26: 0.47, iPS_cells:PDB_1lox-17Puro-10: 0.46, iPS_cells:PDB_2lox-22: 0.46, iPS_cells:PDB_1lox-17Puro-5: 0.46, iPS_cells:PDB_2lox-17: 0.46, iPS_cells:PDB_2lox-21: 0.46, Neurons:ES_cell-derived_neural_precursor: 0.45 |
887_TCTCAGCAGCTAGATA-1 | Neurons:adrenal_medulla_cell_line | 0.24 | 117.67 | Raw ScoresNeurons:adrenal_medulla_cell_line: 0.53, Neuroepithelial_cell:ESC-derived: 0.49, iPS_cells:PDB_1lox-21Puro-20: 0.47, iPS_cells:PDB_1lox-21Puro-26: 0.47, iPS_cells:PDB_1lox-17Puro-10: 0.47, iPS_cells:PDB_2lox-22: 0.46, iPS_cells:PDB_1lox-17Puro-5: 0.46, Embryonic_stem_cells: 0.46, iPS_cells:PDB_2lox-21: 0.46, iPS_cells:PDB_2lox-17: 0.46 |
887_TTGCATTCATTAGGCT-1 | Neurons:adrenal_medulla_cell_line | 0.23 | 116.87 | Raw ScoresNeurons:adrenal_medulla_cell_line: 0.51, Neuroepithelial_cell:ESC-derived: 0.48, iPS_cells:PDB_1lox-21Puro-20: 0.46, iPS_cells:PDB_1lox-21Puro-26: 0.46, iPS_cells:PDB_1lox-17Puro-10: 0.46, iPS_cells:PDB_1lox-17Puro-5: 0.46, iPS_cells:PDB_2lox-22: 0.45, iPS_cells:PDB_2lox-21: 0.45, iPS_cells:PDB_2lox-17: 0.45, Embryonic_stem_cells: 0.44 |
887_GAGGCCTTCCAGTGCG-1 | Neurons:adrenal_medulla_cell_line | 0.26 | 116.04 | Raw ScoresNeurons:adrenal_medulla_cell_line: 0.54, Neuroepithelial_cell:ESC-derived: 0.51, iPS_cells:PDB_1lox-21Puro-20: 0.48, iPS_cells:PDB_1lox-21Puro-26: 0.48, iPS_cells:PDB_1lox-17Puro-10: 0.48, iPS_cells:PDB_1lox-17Puro-5: 0.48, iPS_cells:PDB_2lox-22: 0.47, Embryonic_stem_cells: 0.47, iPS_cells:PDB_2lox-17: 0.47, iPS_cells:PDB_2lox-21: 0.47 |
887_CGTCAAATCATTCGTT-1 | Neurons:adrenal_medulla_cell_line | 0.27 | 115.56 | Raw ScoresNeurons:adrenal_medulla_cell_line: 0.59, Neuroepithelial_cell:ESC-derived: 0.55, iPS_cells:PDB_1lox-21Puro-20: 0.52, iPS_cells:PDB_1lox-21Puro-26: 0.52, iPS_cells:PDB_1lox-17Puro-10: 0.51, iPS_cells:PDB_1lox-17Puro-5: 0.51, Astrocyte:Embryonic_stem_cell-derived: 0.51, iPS_cells:PDB_2lox-22: 0.51, Neurons:ES_cell-derived_neural_precursor: 0.51, Embryonic_stem_cells: 0.51 |
887_CCTGCATGTACAGTCT-1 | Neurons:adrenal_medulla_cell_line | 0.23 | 114.46 | Raw ScoresNeurons:adrenal_medulla_cell_line: 0.5, Neuroepithelial_cell:ESC-derived: 0.47, iPS_cells:PDB_1lox-21Puro-20: 0.45, iPS_cells:PDB_1lox-21Puro-26: 0.44, iPS_cells:PDB_1lox-17Puro-10: 0.44, Neurons:ES_cell-derived_neural_precursor: 0.44, iPS_cells:PDB_1lox-17Puro-5: 0.44, iPS_cells:PDB_2lox-22: 0.44, iPS_cells:PDB_2lox-21: 0.43, iPS_cells:PDB_2lox-17: 0.43 |
887_AGTTAGCTCTTACCAT-1 | Neurons:adrenal_medulla_cell_line | 0.22 | 114.07 | Raw ScoresNeurons:adrenal_medulla_cell_line: 0.51, Neuroepithelial_cell:ESC-derived: 0.47, iPS_cells:PDB_1lox-21Puro-20: 0.46, iPS_cells:PDB_2lox-22: 0.45, iPS_cells:PDB_1lox-21Puro-26: 0.45, iPS_cells:PDB_1lox-17Puro-10: 0.45, iPS_cells:PDB_1lox-17Puro-5: 0.45, iPS_cells:PDB_2lox-17: 0.45, iPS_cells:PDB_2lox-21: 0.45, Embryonic_stem_cells: 0.44 |
887_AGGCCACAGTGGTGGT-1 | Neurons:adrenal_medulla_cell_line | 0.24 | 113.55 | Raw ScoresNeurons:adrenal_medulla_cell_line: 0.53, Neuroepithelial_cell:ESC-derived: 0.49, iPS_cells:PDB_1lox-21Puro-20: 0.47, Astrocyte:Embryonic_stem_cell-derived: 0.47, iPS_cells:PDB_1lox-21Puro-26: 0.46, iPS_cells:PDB_2lox-22: 0.46, iPS_cells:PDB_1lox-17Puro-10: 0.46, Embryonic_stem_cells: 0.46, iPS_cells:PDB_1lox-17Puro-5: 0.46, iPS_cells:PDB_2lox-21: 0.46 |
887_GGGTGAAGTTCTCCTG-1 | Neurons:adrenal_medulla_cell_line | 0.25 | 112.65 | Raw ScoresNeurons:adrenal_medulla_cell_line: 0.53, Neuroepithelial_cell:ESC-derived: 0.48, iPS_cells:PDB_1lox-21Puro-20: 0.46, iPS_cells:PDB_1lox-21Puro-26: 0.46, iPS_cells:PDB_1lox-17Puro-10: 0.46, iPS_cells:PDB_1lox-17Puro-5: 0.45, iPS_cells:PDB_2lox-22: 0.45, iPS_cells:PDB_2lox-17: 0.45, iPS_cells:PDB_2lox-21: 0.45, iPS_cells:PDB_2lox-5: 0.44 |
864_TCCTGCACAACCTAAC-1 | Neurons:adrenal_medulla_cell_line | 0.25 | 112.26 | Raw ScoresNeurons:adrenal_medulla_cell_line: 0.54, Neuroepithelial_cell:ESC-derived: 0.5, iPS_cells:PDB_1lox-21Puro-20: 0.48, iPS_cells:PDB_1lox-21Puro-26: 0.48, iPS_cells:PDB_1lox-17Puro-10: 0.48, iPS_cells:PDB_2lox-22: 0.48, iPS_cells:PDB_1lox-17Puro-5: 0.48, iPS_cells:PDB_2lox-17: 0.47, iPS_cells:PDB_2lox-21: 0.47, Embryonic_stem_cells: 0.47 |
887_TCTTTGACAGGCCTGT-1 | Neurons:adrenal_medulla_cell_line | 0.27 | 112.00 | Raw ScoresNeurons:adrenal_medulla_cell_line: 0.56, Neuroepithelial_cell:ESC-derived: 0.52, iPS_cells:PDB_1lox-21Puro-20: 0.5, iPS_cells:PDB_1lox-21Puro-26: 0.49, iPS_cells:PDB_1lox-17Puro-10: 0.49, iPS_cells:PDB_1lox-17Puro-5: 0.49, iPS_cells:PDB_2lox-22: 0.49, Embryonic_stem_cells: 0.48, iPS_cells:PDB_2lox-21: 0.48, iPS_cells:PDB_2lox-17: 0.48 |
853_TCTCACGAGGGCCCTT-1 | Neurons:adrenal_medulla_cell_line | 0.23 | 111.94 | Raw ScoresNeurons:adrenal_medulla_cell_line: 0.51, Neuroepithelial_cell:ESC-derived: 0.49, iPS_cells:PDB_1lox-21Puro-20: 0.46, iPS_cells:PDB_1lox-21Puro-26: 0.45, iPS_cells:PDB_1lox-17Puro-10: 0.45, iPS_cells:PDB_2lox-22: 0.45, Neurons:ES_cell-derived_neural_precursor: 0.45, iPS_cells:PDB_1lox-17Puro-5: 0.45, iPS_cells:PDB_2lox-21: 0.45, iPS_cells:PDB_2lox-17: 0.45 |
887_CCGTGAGTCCCAGTGG-1 | Neurons:adrenal_medulla_cell_line | 0.24 | 109.77 | Raw ScoresNeurons:adrenal_medulla_cell_line: 0.5, Neuroepithelial_cell:ESC-derived: 0.47, iPS_cells:PDB_1lox-21Puro-20: 0.44, iPS_cells:PDB_1lox-21Puro-26: 0.43, iPS_cells:PDB_1lox-17Puro-10: 0.43, iPS_cells:PDB_2lox-22: 0.43, Astrocyte:Embryonic_stem_cell-derived: 0.43, iPS_cells:PDB_1lox-17Puro-5: 0.43, Neurons:ES_cell-derived_neural_precursor: 0.43, iPS_cells:PDB_2lox-17: 0.42 |
887_TCATGTTGTGCCTGCA-1 | Neurons:adrenal_medulla_cell_line | 0.25 | 109.53 | Raw ScoresNeurons:adrenal_medulla_cell_line: 0.53, Neuroepithelial_cell:ESC-derived: 0.49, iPS_cells:PDB_1lox-21Puro-20: 0.47, iPS_cells:PDB_1lox-21Puro-26: 0.47, iPS_cells:PDB_1lox-17Puro-10: 0.46, iPS_cells:PDB_1lox-17Puro-5: 0.46, iPS_cells:PDB_2lox-22: 0.46, iPS_cells:PDB_2lox-17: 0.46, iPS_cells:PDB_2lox-21: 0.46, Embryonic_stem_cells: 0.45 |
837_ATATCCTTCACCATGA-1 | Neurons:adrenal_medulla_cell_line | 0.19 | 108.47 | Raw ScoresNeurons:adrenal_medulla_cell_line: 0.55, iPS_cells:PDB_1lox-21Puro-20: 0.54, iPS_cells:PDB_1lox-21Puro-26: 0.53, iPS_cells:PDB_1lox-17Puro-5: 0.53, iPS_cells:PDB_1lox-17Puro-10: 0.53, iPS_cells:PDB_2lox-22: 0.52, iPS_cells:PDB_2lox-17: 0.52, Embryonic_stem_cells: 0.52, iPS_cells:PDB_2lox-21: 0.52, iPS_cells:skin_fibroblast-derived: 0.52 |
887_CCCTCTCGTACTGTTG-1 | Neurons:adrenal_medulla_cell_line | 0.23 | 108.30 | Raw ScoresNeurons:adrenal_medulla_cell_line: 0.52, Neuroepithelial_cell:ESC-derived: 0.48, iPS_cells:PDB_1lox-21Puro-20: 0.46, iPS_cells:PDB_1lox-21Puro-26: 0.45, iPS_cells:PDB_1lox-17Puro-10: 0.45, iPS_cells:PDB_2lox-22: 0.45, iPS_cells:PDB_1lox-17Puro-5: 0.45, iPS_cells:PDB_2lox-21: 0.44, iPS_cells:PDB_2lox-17: 0.44, Astrocyte:Embryonic_stem_cell-derived: 0.44 |
887_GTTAGTGGTGCTCTCT-1 | Neurons:adrenal_medulla_cell_line | 0.24 | 107.87 | Raw ScoresNeurons:adrenal_medulla_cell_line: 0.48, Neuroepithelial_cell:ESC-derived: 0.45, iPS_cells:PDB_1lox-21Puro-20: 0.43, iPS_cells:PDB_1lox-21Puro-26: 0.43, iPS_cells:PDB_1lox-17Puro-10: 0.42, iPS_cells:PDB_2lox-22: 0.42, iPS_cells:PDB_1lox-17Puro-5: 0.42, iPS_cells:PDB_2lox-21: 0.42, iPS_cells:PDB_2lox-17: 0.42, Neurons:ES_cell-derived_neural_precursor: 0.41 |
887_TCGGGCACAGTTGGTT-1 | Neurons:adrenal_medulla_cell_line | 0.23 | 107.25 | Raw ScoresNeurons:adrenal_medulla_cell_line: 0.51, Neuroepithelial_cell:ESC-derived: 0.46, iPS_cells:PDB_1lox-21Puro-20: 0.44, iPS_cells:PDB_1lox-21Puro-26: 0.44, iPS_cells:PDB_2lox-22: 0.44, iPS_cells:PDB_1lox-17Puro-10: 0.44, iPS_cells:PDB_2lox-17: 0.43, iPS_cells:PDB_1lox-17Puro-5: 0.43, iPS_cells:PDB_2lox-21: 0.43, Embryonic_stem_cells: 0.43 |
887_TCGACGGTCAAGGAGC-1 | Neurons:adrenal_medulla_cell_line | 0.24 | 107.16 | Raw ScoresNeurons:adrenal_medulla_cell_line: 0.53, Neuroepithelial_cell:ESC-derived: 0.48, iPS_cells:PDB_1lox-21Puro-20: 0.46, iPS_cells:PDB_1lox-21Puro-26: 0.46, iPS_cells:PDB_2lox-22: 0.46, iPS_cells:PDB_1lox-17Puro-10: 0.46, iPS_cells:PDB_1lox-17Puro-5: 0.45, iPS_cells:PDB_2lox-21: 0.45, iPS_cells:PDB_2lox-17: 0.45, Embryonic_stem_cells: 0.45 |
887_AACAAAGAGATGCCGA-1 | Neurons:adrenal_medulla_cell_line | 0.23 | 107.11 | Raw ScoresNeurons:adrenal_medulla_cell_line: 0.49, Neuroepithelial_cell:ESC-derived: 0.47, iPS_cells:PDB_1lox-21Puro-20: 0.45, iPS_cells:PDB_1lox-21Puro-26: 0.44, iPS_cells:PDB_1lox-17Puro-10: 0.44, iPS_cells:PDB_2lox-22: 0.44, iPS_cells:PDB_1lox-17Puro-5: 0.44, iPS_cells:PDB_2lox-21: 0.43, iPS_cells:PDB_2lox-17: 0.43, Neurons:ES_cell-derived_neural_precursor: 0.43 |
887_GCCGATGAGATCGCTT-1 | Neurons:adrenal_medulla_cell_line | 0.23 | 106.71 | Raw ScoresNeurons:adrenal_medulla_cell_line: 0.51, Neuroepithelial_cell:ESC-derived: 0.47, iPS_cells:PDB_1lox-21Puro-20: 0.45, iPS_cells:PDB_1lox-21Puro-26: 0.45, iPS_cells:PDB_1lox-17Puro-5: 0.44, iPS_cells:PDB_1lox-17Puro-10: 0.44, iPS_cells:PDB_2lox-22: 0.44, iPS_cells:PDB_2lox-17: 0.44, iPS_cells:PDB_2lox-21: 0.44, Astrocyte:Embryonic_stem_cell-derived: 0.44 |
887_ACGTAACGTTCTCGCT-1 | Neurons:adrenal_medulla_cell_line | 0.23 | 104.40 | Raw ScoresNeurons:adrenal_medulla_cell_line: 0.48, Neuroepithelial_cell:ESC-derived: 0.45, iPS_cells:PDB_1lox-21Puro-20: 0.43, iPS_cells:PDB_1lox-21Puro-26: 0.43, iPS_cells:PDB_1lox-17Puro-10: 0.43, iPS_cells:PDB_1lox-17Puro-5: 0.43, iPS_cells:PDB_2lox-22: 0.43, iPS_cells:PDB_2lox-21: 0.42, iPS_cells:PDB_2lox-17: 0.42, Astrocyte:Embryonic_stem_cell-derived: 0.42 |
887_GGGTTTAGTAGAATAC-1 | Neurons:adrenal_medulla_cell_line | 0.23 | 103.59 | Raw ScoresNeurons:adrenal_medulla_cell_line: 0.5, Neuroepithelial_cell:ESC-derived: 0.48, iPS_cells:PDB_1lox-21Puro-20: 0.45, iPS_cells:PDB_1lox-21Puro-26: 0.45, iPS_cells:PDB_2lox-22: 0.45, iPS_cells:PDB_1lox-17Puro-10: 0.45, iPS_cells:PDB_1lox-17Puro-5: 0.44, iPS_cells:PDB_2lox-17: 0.44, Neurons:ES_cell-derived_neural_precursor: 0.44, iPS_cells:PDB_2lox-21: 0.44 |
887_ATTATCCAGATAGTGT-1 | Neurons:adrenal_medulla_cell_line | 0.25 | 103.34 | Raw ScoresNeurons:adrenal_medulla_cell_line: 0.53, Neuroepithelial_cell:ESC-derived: 0.49, iPS_cells:PDB_1lox-21Puro-20: 0.47, iPS_cells:PDB_1lox-21Puro-26: 0.47, iPS_cells:PDB_1lox-17Puro-5: 0.47, iPS_cells:PDB_1lox-17Puro-10: 0.46, iPS_cells:PDB_2lox-22: 0.46, iPS_cells:PDB_2lox-17: 0.45, iPS_cells:PDB_2lox-21: 0.45, Embryonic_stem_cells: 0.45 |
887_ATTCACTAGCGATTCT-1 | Neurons:adrenal_medulla_cell_line | 0.24 | 102.76 | Raw ScoresNeurons:adrenal_medulla_cell_line: 0.52, Neuroepithelial_cell:ESC-derived: 0.49, iPS_cells:PDB_1lox-21Puro-20: 0.46, iPS_cells:PDB_1lox-21Puro-26: 0.46, iPS_cells:PDB_1lox-17Puro-10: 0.46, iPS_cells:PDB_2lox-22: 0.46, iPS_cells:PDB_1lox-17Puro-5: 0.46, iPS_cells:PDB_2lox-21: 0.45, iPS_cells:PDB_2lox-17: 0.45, Neurons:ES_cell-derived_neural_precursor: 0.45 |
887_GCCGTGACATGTTACG-1 | Neurons:adrenal_medulla_cell_line | 0.25 | 102.07 | Raw ScoresNeurons:adrenal_medulla_cell_line: 0.52, Neuroepithelial_cell:ESC-derived: 0.49, iPS_cells:PDB_1lox-21Puro-20: 0.46, iPS_cells:PDB_1lox-21Puro-26: 0.46, iPS_cells:PDB_1lox-17Puro-10: 0.46, iPS_cells:PDB_1lox-17Puro-5: 0.46, iPS_cells:PDB_2lox-22: 0.46, Neurons:ES_cell-derived_neural_precursor: 0.45, Astrocyte:Embryonic_stem_cell-derived: 0.45, iPS_cells:PDB_2lox-21: 0.45 |
887_TGCAGTACAAGGGCAT-1 | Neurons:adrenal_medulla_cell_line | 0.23 | 101.69 | Raw ScoresNeurons:adrenal_medulla_cell_line: 0.53, Neuroepithelial_cell:ESC-derived: 0.49, iPS_cells:PDB_1lox-21Puro-20: 0.48, iPS_cells:PDB_1lox-21Puro-26: 0.47, iPS_cells:PDB_1lox-17Puro-10: 0.47, iPS_cells:PDB_2lox-22: 0.47, iPS_cells:PDB_1lox-17Puro-5: 0.47, iPS_cells:PDB_2lox-21: 0.46, iPS_cells:PDB_2lox-17: 0.46, Embryonic_stem_cells: 0.46 |
887_GGGAGATCAACACAAA-1 | Neurons:adrenal_medulla_cell_line | 0.23 | 101.63 | Raw ScoresNeurons:adrenal_medulla_cell_line: 0.49, Neuroepithelial_cell:ESC-derived: 0.45, iPS_cells:PDB_1lox-21Puro-20: 0.43, iPS_cells:PDB_1lox-21Puro-26: 0.43, iPS_cells:PDB_1lox-17Puro-10: 0.43, iPS_cells:PDB_1lox-17Puro-5: 0.43, iPS_cells:PDB_2lox-22: 0.42, iPS_cells:PDB_2lox-21: 0.42, Embryonic_stem_cells: 0.42, iPS_cells:PDB_2lox-17: 0.42 |
Below shows the significant enrichments of this GEP for literature curated gene lists
This data was procured from existing single cell RNA-seq maps of neuroblastoma or related relevant data.
High ranks indicate this gene is a driver of this GEP.
These curated gene list are ranked by the P-value (on this GEP) of their constituent genes.
The Mean Count column shows the mean read count in cells scoring highly (H > 50) on this gene expression program.
Genes | Weight | Rank | GTEx | DepMap | Decartes | Mean.Counts | Mean.TPM |
---|---|---|---|---|---|---|---|
PCNA | 0.0252279 | 18 | GTEx | DepMap | Descartes | 7.81 | 299.20 |
TOP2A | 0.0244936 | 21 | GTEx | DepMap | Descartes | 30.91 | 152.77 |
MKI67 | 0.0191055 | 53 | GTEx | DepMap | Descartes | 15.36 | 90.78 |
Adrenergic proliferating cluster (Olsen)
Stated on pages 6 and 7 of the main text of Olsen et al. https://www.biorxiv.org/content/10.1101/2020.05.04.077057v1 - it is argued that upon reanalysis of the adrenergic neuroblastoma cells, there is further heterogeneity, grouped into proliferating, mature and immature cell populations. These genes were found as markers for proliferating adrenergic cells:
Wilcoxon ranksum test P-value for gene set overrepresentation: 7.37e-03
Mean rank of genes in gene set: 46.5
Rank on gene expression program of genes in gene set:
Genes | Weight | Rank | GTEx | DepMap | Decartes | Mean.Counts | Mean.TPM |
---|---|---|---|---|---|---|---|
EZH2 | 0.0209958 | 40 | GTEx | DepMap | Descartes | 10.15 | 24.73 |
MKI67 | 0.0191055 | 53 | GTEx | DepMap | Descartes | 15.36 | 90.78 |
Symphatoblasts (Dong)
Obtained from Fig. 3c of Dong et al. (PMID 32946775). Jansky et al (PMID) criticize this choice of markers, stating: Sympathoblasts were identified by Dong et al.28 based on the expression of CARTPT and INSM1, which we found expressed in chromaffin cells:
Wilcoxon ranksum test P-value for gene set overrepresentation: 9.47e-03
Mean rank of genes in gene set: 440.5
Rank on gene expression program of genes in gene set:
Genes | Weight | Rank | GTEx | DepMap | Decartes | Mean.Counts | Mean.TPM |
---|---|---|---|---|---|---|---|
INSM1 | 0.0109184 | 201 | GTEx | DepMap | Descartes | 3.87 | 183.84 |
CARTPT | 0.0046272 | 680 | GTEx | DepMap | Descartes | 104.05 | 7148.12 |
Below shows ranks on this GEP for literature curated gene lists for large gene sets
These include those reported as mesenchymal/adrenergic by Van Groningen et al.
High ranks indicate this gene is a driver of this GEP (note these results are not ordered).
The Mean Count column shows the mean read count in cells scoring highly (H > 50) on this gene expression program.
VanGroningen Adrenergic Genes
Adrenergic marker genes from Supplementary Table 2 of Van Groningen et al. Nature Genetics 2017. These genes were identified by differential expression analysis of mesenchymal-like and adrenergic-like neuroblastoma cell lines.
Wilcoxon ranksum test P-value for gene set overrepresentation: 1.00e+00
Mean rank of genes in gene set: 11937.12
Median rank of genes in gene set: 15734
Rank on gene expression program of top 30 genes in gene set:
Genes | Weight | Rank | GTEx | DepMap | Descartes | Mean.Counts | Mean.TPM |
---|---|---|---|---|---|---|---|
RRM2 | 0.0277688 | 15 | GTEx | DepMap | Descartes | 11.77 | 317.48 |
GMNN | 0.0231889 | 27 | GTEx | DepMap | Descartes | 9.26 | 142.24 |
PRIM1 | 0.0225142 | 32 | GTEx | DepMap | Descartes | 6.56 | 69.94 |
PBK | 0.0211605 | 39 | GTEx | DepMap | Descartes | 9.18 | 127.81 |
DNAJC9 | 0.0202210 | 47 | GTEx | DepMap | Descartes | 7.62 | 282.30 |
RFC4 | 0.0197246 | 50 | GTEx | DepMap | Descartes | 8.61 | 95.24 |
MCM6 | 0.0190097 | 55 | GTEx | DepMap | Descartes | 7.13 | 39.31 |
UBE2T | 0.0170854 | 73 | GTEx | DepMap | Descartes | 6.22 | 83.05 |
BIRC5 | 0.0160423 | 89 | GTEx | DepMap | Descartes | 21.13 | 496.28 |
MCM2 | 0.0145069 | 106 | GTEx | DepMap | Descartes | 4.23 | 43.66 |
NUSAP1 | 0.0144789 | 107 | GTEx | DepMap | Descartes | 9.16 | 46.81 |
MYBL2 | 0.0139589 | 119 | GTEx | DepMap | Descartes | 1.86 | 9.56 |
KIF15 | 0.0137690 | 127 | GTEx | DepMap | Descartes | 2.72 | 6.45 |
CDCA5 | 0.0137330 | 129 | GTEx | DepMap | Descartes | 1.43 | 34.07 |
RANBP1 | 0.0137215 | 131 | GTEx | DepMap | Descartes | 33.50 | 538.34 |
H1FX | 0.0134787 | 135 | GTEx | DepMap | Descartes | 30.90 | 4199.30 |
PRC1 | 0.0124497 | 155 | GTEx | DepMap | Descartes | 9.80 | 70.34 |
LSM3 | 0.0122694 | 160 | GTEx | DepMap | Descartes | 14.59 | 334.73 |
FOXM1 | 0.0121959 | 164 | GTEx | DepMap | Descartes | 2.06 | 26.08 |
CENPU | 0.0114403 | 185 | GTEx | DepMap | Descartes | 1.39 | 7.82 |
NUF2 | 0.0112927 | 193 | GTEx | DepMap | Descartes | 3.24 | 15.35 |
INSM1 | 0.0109184 | 201 | GTEx | DepMap | Descartes | 3.87 | 183.84 |
MCM7 | 0.0106243 | 210 | GTEx | DepMap | Descartes | 6.23 | 121.23 |
FIGNL1 | 0.0102387 | 228 | GTEx | DepMap | Descartes | 1.67 | 12.73 |
MSH6 | 0.0084804 | 303 | GTEx | DepMap | Descartes | 1.39 | 13.55 |
RBBP8 | 0.0082690 | 314 | GTEx | DepMap | Descartes | 1.69 | 2.38 |
PBX3 | 0.0081980 | 318 | GTEx | DepMap | Descartes | 4.46 | 3.68 |
FKBP4 | 0.0081278 | 323 | GTEx | DepMap | Descartes | 17.88 | 289.51 |
CCP110 | 0.0079153 | 331 | GTEx | DepMap | Descartes | 2.41 | 15.92 |
INSM2 | 0.0075681 | 355 | GTEx | DepMap | Descartes | 3.63 | 184.33 |
VanGroningen Mesenchymal Genes
Mesenchymal marker genes from Supplementary Table 2 of Van Groningen et al. Nature Genetics 2017. These genes were identified by differential expression analysis of mesenchymal-like and adrenergic-like neuroblastoma cell lines.
Wilcoxon ranksum test P-value for gene set overrepresentation: 1.00e+00
Mean rank of genes in gene set: 12583.29
Median rank of genes in gene set: 14015
Rank on gene expression program of top 30 genes in gene set:
Genes | Weight | Rank | GTEx | DepMap | Descartes | Mean.Counts | Mean.TPM |
---|---|---|---|---|---|---|---|
HIST1H2AC | 0.0130787 | 145 | GTEx | DepMap | Descartes | 0.50 | 38.47 |
PRDX4 | 0.0116430 | 175 | GTEx | DepMap | Descartes | 9.32 | 86.04 |
GPC6 | 0.0054990 | 531 | GTEx | DepMap | Descartes | 2.49 | 0.38 |
HIST1H2BK | 0.0054488 | 543 | GTEx | DepMap | Descartes | 0.42 | 159.76 |
PTBP1 | 0.0045372 | 708 | GTEx | DepMap | Descartes | 3.21 | 47.15 |
TMEM263 | 0.0043368 | 745 | GTEx | DepMap | Descartes | 1.59 | 15.35 |
TMEFF2 | 0.0039623 | 833 | GTEx | DepMap | Descartes | 0.95 | 0.50 |
CALD1 | 0.0039231 | 842 | GTEx | DepMap | Descartes | 9.98 | 10.19 |
NFIC | 0.0038773 | 855 | GTEx | DepMap | Descartes | 2.51 | 7.41 |
KDELR2 | 0.0033464 | 993 | GTEx | DepMap | Descartes | 3.46 | 29.43 |
SHROOM3 | 0.0033114 | 1006 | GTEx | DepMap | Descartes | 0.46 | 0.29 |
TXNDC12 | 0.0032857 | 1014 | GTEx | DepMap | Descartes | 1.76 | 10.00 |
ARL4A | 0.0032665 | 1020 | GTEx | DepMap | Descartes | 3.79 | 19.13 |
GORAB | 0.0031536 | 1054 | GTEx | DepMap | Descartes | 0.79 | 6.59 |
CLIC4 | 0.0030580 | 1090 | GTEx | DepMap | Descartes | 1.72 | 4.06 |
ATP2B1 | 0.0029542 | 1138 | GTEx | DepMap | Descartes | 4.07 | 5.58 |
OGFRL1 | 0.0029052 | 1159 | GTEx | DepMap | Descartes | 1.19 | 5.72 |
CALU | 0.0028951 | 1164 | GTEx | DepMap | Descartes | 2.13 | 11.56 |
PDE3A | 0.0027511 | 1227 | GTEx | DepMap | Descartes | 3.55 | 2.07 |
STK38L | 0.0025781 | 1316 | GTEx | DepMap | Descartes | 0.83 | 2.66 |
DLC1 | 0.0024570 | 1369 | GTEx | DepMap | Descartes | 1.43 | 0.62 |
RBMS1 | 0.0024317 | 1383 | GTEx | DepMap | Descartes | 2.73 | 2.09 |
DDOST | 0.0021880 | 1511 | GTEx | DepMap | Descartes | 5.46 | 106.31 |
RAP1A | 0.0021442 | 1531 | GTEx | DepMap | Descartes | 3.26 | 6.97 |
UAP1 | 0.0020552 | 1585 | GTEx | DepMap | Descartes | 0.94 | 4.77 |
SEPT10 | 0.0018324 | 1770 | GTEx | DepMap | Descartes | 0.77 | 1.51 |
ID3 | 0.0016246 | 1941 | GTEx | DepMap | Descartes | 9.64 | 862.00 |
AMMECR1 | 0.0015364 | 2004 | GTEx | DepMap | Descartes | 0.94 | 1.23 |
CBFB | 0.0014771 | 2061 | GTEx | DepMap | Descartes | 1.01 | 3.33 |
TOR1AIP1 | 0.0014550 | 2093 | GTEx | DepMap | Descartes | 1.06 | 5.04 |
Descartes adrenocortical markers
Top 50 marker genes of adrenocortical cells in the Decartes fetal adrenal single cell map (https://atlas.brotmanbaty.org/bbi/human-gene-expression-during-development/cell/adrenocortical/in/adrenal)
Wilcoxon ranksum test P-value for gene set overrepresentation: 9.99e-01
Mean rank of genes in gene set: 13485.76
Median rank of genes in gene set: 15250
Rank on gene expression program of top 30 genes in gene set:
Genes | Weight | Rank | GTEx | DepMap | Descartes | Mean.Counts | Mean.TPM |
---|---|---|---|---|---|---|---|
PEG3 | 0.0053089 | 569 | GTEx | DepMap | Descartes | 5.37 | 34.23 |
SGCZ | 0.0025104 | 1343 | GTEx | DepMap | Descartes | 0.14 | 0.02 |
FRMD5 | 0.0017755 | 1807 | GTEx | DepMap | Descartes | 0.46 | 0.26 |
SCARB1 | 0.0007423 | 3016 | GTEx | DepMap | Descartes | 0.27 | 0.58 |
SULT2A1 | 0.0003268 | 4053 | GTEx | DepMap | Descartes | 0.00 | 0.00 |
FDX1 | 0.0002547 | 4295 | GTEx | DepMap | Descartes | 1.95 | 14.22 |
FREM2 | -0.0000061 | 6046 | GTEx | DepMap | Descartes | 0.00 | 0.00 |
FDPS | -0.0000713 | 7111 | GTEx | DepMap | Descartes | 7.75 | 131.28 |
PAPSS2 | -0.0000799 | 7258 | GTEx | DepMap | Descartes | 0.00 | 0.01 |
CYP11A1 | -0.0000873 | 7395 | GTEx | DepMap | Descartes | 0.00 | 0.00 |
FDXR | -0.0000948 | 7533 | GTEx | DepMap | Descartes | 0.52 | 8.90 |
STAR | -0.0001383 | 8370 | GTEx | DepMap | Descartes | 0.02 | 0.26 |
CYP17A1 | -0.0001484 | 8559 | GTEx | DepMap | Descartes | 0.00 | 0.00 |
HSPE1 | -0.0002318 | 10004 | GTEx | DepMap | Descartes | 29.66 | 1193.00 |
CYP11B1 | -0.0003431 | 11654 | GTEx | DepMap | Descartes | 0.00 | 0.00 |
HSPD1 | -0.0004560 | 12979 | GTEx | DepMap | Descartes | 30.44 | 373.17 |
APOC1 | -0.0005283 | 13656 | GTEx | DepMap | Descartes | 0.07 | 0.59 |
CLU | -0.0006148 | 14342 | GTEx | DepMap | Descartes | 0.26 | 1.47 |
SLC16A9 | -0.0006866 | 14845 | GTEx | DepMap | Descartes | 0.01 | 0.01 |
PDE10A | -0.0007095 | 14998 | GTEx | DepMap | Descartes | 0.23 | 0.06 |
SH3PXD2B | -0.0007425 | 15182 | GTEx | DepMap | Descartes | 0.25 | 0.43 |
CYB5B | -0.0007655 | 15318 | GTEx | DepMap | Descartes | 1.60 | 5.99 |
GSTA4 | -0.0008169 | 15619 | GTEx | DepMap | Descartes | 0.48 | 0.93 |
BAIAP2L1 | -0.0008476 | 15796 | GTEx | DepMap | Descartes | 0.41 | 0.42 |
INHA | -0.0008629 | 15879 | GTEx | DepMap | Descartes | 0.05 | 2.17 |
JAKMIP2 | -0.0008981 | 16058 | GTEx | DepMap | Descartes | 0.56 | 0.57 |
TM7SF2 | -0.0011731 | 17129 | GTEx | DepMap | Descartes | 0.13 | 3.33 |
SCAP | -0.0012488 | 17413 | GTEx | DepMap | Descartes | 0.61 | 1.75 |
NPC1 | -0.0018169 | 18862 | GTEx | DepMap | Descartes | 0.37 | 1.34 |
SLC1A2 | -0.0018435 | 18912 | GTEx | DepMap | Descartes | 0.10 | 0.10 |
Descartes chromaffin markers
Top 50 marker genes of chromaffin cells in the Decartes fetal adrenal single cell map (https://atlas.brotmanbaty.org/bbi/human-gene-expression-during-development/cell/chromaffin/in/adrenal)
Wilcoxon ranksum test P-value for gene set overrepresentation: 9.67e-01
Mean rank of genes in gene set: 12151.77
Median rank of genes in gene set: 15201.5
Rank on gene expression program of top 30 genes in gene set:
Genes | Weight | Rank | GTEx | DepMap | Descartes | Mean.Counts | Mean.TPM |
---|---|---|---|---|---|---|---|
MAB21L2 | 0.0058779 | 492 | GTEx | DepMap | Descartes | 6.23 | 347.38 |
ISL1 | 0.0041927 | 770 | GTEx | DepMap | Descartes | 20.52 | 291.93 |
TMEFF2 | 0.0039623 | 833 | GTEx | DepMap | Descartes | 0.95 | 0.50 |
ELAVL2 | 0.0033881 | 983 | GTEx | DepMap | Descartes | 6.76 | 6.15 |
CNTFR | 0.0026209 | 1297 | GTEx | DepMap | Descartes | 2.69 | 10.82 |
MARCH11 | 0.0018947 | 1714 | GTEx | DepMap | Descartes | 1.48 | 2.41 |
EYA4 | 0.0018373 | 1763 | GTEx | DepMap | Descartes | 0.37 | 0.23 |
RYR2 | 0.0011936 | 2381 | GTEx | DepMap | Descartes | 0.21 | 0.06 |
CCND1 | 0.0010748 | 2511 | GTEx | DepMap | Descartes | 39.26 | 709.42 |
KCNB2 | 0.0009686 | 2649 | GTEx | DepMap | Descartes | 0.29 | 0.11 |
CNKSR2 | 0.0006122 | 3258 | GTEx | DepMap | Descartes | 1.38 | 0.88 |
EYA1 | 0.0004242 | 3756 | GTEx | DepMap | Descartes | 4.49 | 4.40 |
SLC44A5 | 0.0002267 | 4405 | GTEx | DepMap | Descartes | 0.35 | 0.18 |
ANKFN1 | -0.0000374 | 6494 | GTEx | DepMap | Descartes | 0.03 | 0.01 |
IL7 | -0.0000597 | 6900 | GTEx | DepMap | Descartes | 0.00 | 0.02 |
ALK | -0.0002090 | 9663 | GTEx | DepMap | Descartes | 0.06 | 0.01 |
EPHA6 | -0.0002183 | 9812 | GTEx | DepMap | Descartes | 0.01 | 0.00 |
HS3ST5 | -0.0002569 | 10394 | GTEx | DepMap | Descartes | 0.10 | 0.03 |
GREM1 | -0.0002761 | 10679 | GTEx | DepMap | Descartes | 0.07 | 1.00 |
PTCHD1 | -0.0004916 | 13366 | GTEx | DepMap | Descartes | 0.06 | 0.20 |
MAB21L1 | -0.0004933 | 13376 | GTEx | DepMap | Descartes | 0.04 | 1.92 |
SYNPO2 | -0.0007358 | 15138 | GTEx | DepMap | Descartes | 0.00 | 0.00 |
RPH3A | -0.0007568 | 15265 | GTEx | DepMap | Descartes | 0.01 | 0.02 |
TMEM132C | -0.0008461 | 15790 | GTEx | DepMap | Descartes | 0.04 | 0.02 |
SLC6A2 | -0.0009493 | 16297 | GTEx | DepMap | Descartes | 0.02 | 0.07 |
GAL | -0.0009823 | 16432 | GTEx | DepMap | Descartes | 0.12 | 4.39 |
BASP1 | -0.0009860 | 16444 | GTEx | DepMap | Descartes | 44.02 | 128.84 |
PRPH | -0.0009976 | 16493 | GTEx | DepMap | Descartes | 0.01 | 0.30 |
NPY | -0.0010496 | 16694 | GTEx | DepMap | Descartes | 0.45 | 11.19 |
FAT3 | -0.0013077 | 17606 | GTEx | DepMap | Descartes | 0.31 | 0.10 |
Descartes Vascular_endothelial markers
Top 50 marker genes of Vascular_endothelial cells in the Decartes fetal adrenal single cell map (https://atlas.brotmanbaty.org/bbi/human-gene-expression-during-development/cell/vascular_endothelial/in/adrenal)
Wilcoxon ranksum test P-value for gene set overrepresentation: 3.92e-01
Mean rank of genes in gene set: 10222.37
Median rank of genes in gene set: 8975
Rank on gene expression program of top 30 genes in gene set:
Genes | Weight | Rank | GTEx | DepMap | Descartes | Mean.Counts | Mean.TPM |
---|---|---|---|---|---|---|---|
ARHGAP29 | 0.0027518 | 1225 | GTEx | DepMap | Descartes | 1.25 | 3.92 |
CRHBP | 0.0009287 | 2701 | GTEx | DepMap | Descartes | 0.01 | 0.17 |
KANK3 | 0.0008185 | 2875 | GTEx | DepMap | Descartes | 0.15 | 1.93 |
CYP26B1 | 0.0001051 | 5049 | GTEx | DepMap | Descartes | 0.05 | 0.14 |
NOTCH4 | 0.0000436 | 5520 | GTEx | DepMap | Descartes | 0.08 | 0.57 |
FLT4 | -0.0000019 | 6003 | GTEx | DepMap | Descartes | 0.00 | 0.00 |
MYRIP | -0.0000416 | 6571 | GTEx | DepMap | Descartes | 0.06 | 0.04 |
TEK | -0.0000418 | 6577 | GTEx | DepMap | Descartes | 0.00 | 0.00 |
BTNL9 | -0.0000515 | 6751 | GTEx | DepMap | Descartes | 0.00 | 0.00 |
APLNR | -0.0000653 | 7003 | GTEx | DepMap | Descartes | 0.00 | 0.00 |
CLDN5 | -0.0000726 | 7141 | GTEx | DepMap | Descartes | 0.00 | 0.00 |
KDR | -0.0001125 | 7898 | GTEx | DepMap | Descartes | 0.00 | 0.00 |
MMRN2 | -0.0001144 | 7933 | GTEx | DepMap | Descartes | 0.00 | 0.00 |
SHE | -0.0001170 | 7980 | GTEx | DepMap | Descartes | 0.00 | 0.00 |
ROBO4 | -0.0001170 | 7982 | GTEx | DepMap | Descartes | 0.00 | 0.00 |
PTPRB | -0.0001252 | 8136 | GTEx | DepMap | Descartes | 0.00 | 0.01 |
ESM1 | -0.0001312 | 8252 | GTEx | DepMap | Descartes | 0.00 | 0.02 |
PLVAP | -0.0001427 | 8446 | GTEx | DepMap | Descartes | 0.00 | 0.02 |
CDH5 | -0.0001514 | 8611 | GTEx | DepMap | Descartes | 0.00 | 0.00 |
TIE1 | -0.0001556 | 8694 | GTEx | DepMap | Descartes | 0.00 | 0.00 |
SLCO2A1 | -0.0001566 | 8713 | GTEx | DepMap | Descartes | 0.01 | 0.01 |
CHRM3 | -0.0001710 | 8975 | GTEx | DepMap | Descartes | 0.00 | 0.00 |
GALNT15 | -0.0001821 | 9170 | GTEx | DepMap | Descartes | 0.00 | 0.00 |
CEACAM1 | -0.0001886 | 9289 | GTEx | DepMap | Descartes | 0.01 | 0.03 |
DNASE1L3 | -0.0002072 | 9634 | GTEx | DepMap | Descartes | 0.00 | 0.00 |
ECSCR | -0.0002276 | 9944 | GTEx | DepMap | Descartes | 0.01 | 0.11 |
EFNB2 | -0.0002350 | 10052 | GTEx | DepMap | Descartes | 0.40 | 1.61 |
SOX18 | -0.0002594 | 10436 | GTEx | DepMap | Descartes | 0.00 | 0.10 |
F8 | -0.0003299 | 11474 | GTEx | DepMap | Descartes | 0.03 | 0.02 |
NR5A2 | -0.0003561 | 11827 | GTEx | DepMap | Descartes | 0.00 | 0.00 |
Descartes stromal markers
Top 50 marker genes of stromal cells in the Decartes fetal adrenal single cell map (https://atlas.brotmanbaty.org/bbi/human-gene-expression-during-development/cell/stromal/in/adrenal)
Wilcoxon ranksum test P-value for gene set overrepresentation: 5.47e-01
Mean rank of genes in gene set: 10580.52
Median rank of genes in gene set: 10301
Rank on gene expression program of top 30 genes in gene set:
Genes | Weight | Rank | GTEx | DepMap | Descartes | Mean.Counts | Mean.TPM |
---|---|---|---|---|---|---|---|
HHIP | 0.0019623 | 1661 | GTEx | DepMap | Descartes | 0.23 | 0.35 |
BICC1 | 0.0006755 | 3130 | GTEx | DepMap | Descartes | 0.09 | 0.06 |
GAS2 | 0.0006702 | 3143 | GTEx | DepMap | Descartes | 0.27 | 0.30 |
PRICKLE1 | 0.0004454 | 3678 | GTEx | DepMap | Descartes | 0.09 | 0.13 |
PCDH18 | 0.0002686 | 4244 | GTEx | DepMap | Descartes | 0.06 | 0.71 |
ELN | 0.0002516 | 4304 | GTEx | DepMap | Descartes | 0.53 | 2.25 |
PRRX1 | 0.0001557 | 4757 | GTEx | DepMap | Descartes | 0.04 | 0.12 |
ITGA11 | 0.0000490 | 5473 | GTEx | DepMap | Descartes | 0.00 | 0.01 |
SULT1E1 | -0.0000053 | 6041 | GTEx | DepMap | Descartes | 0.00 | 0.00 |
OGN | -0.0000312 | 6390 | GTEx | DepMap | Descartes | 0.00 | 0.04 |
LUM | -0.0000708 | 7101 | GTEx | DepMap | Descartes | 0.01 | 0.20 |
IGFBP3 | -0.0000771 | 7219 | GTEx | DepMap | Descartes | 0.02 | 0.33 |
FREM1 | -0.0000917 | 7479 | GTEx | DepMap | Descartes | 0.00 | 0.00 |
CD248 | -0.0000984 | 7616 | GTEx | DepMap | Descartes | 0.06 | 4.19 |
PDGFRA | -0.0001028 | 7692 | GTEx | DepMap | Descartes | 0.00 | 0.00 |
COL3A1 | -0.0001480 | 8547 | GTEx | DepMap | Descartes | 0.01 | 0.02 |
ADAMTSL3 | -0.0001711 | 8980 | GTEx | DepMap | Descartes | 0.00 | 0.00 |
C7 | -0.0001741 | 9038 | GTEx | DepMap | Descartes | 0.00 | 0.00 |
PAMR1 | -0.0001925 | 9368 | GTEx | DepMap | Descartes | 0.00 | 0.00 |
CCDC80 | -0.0001932 | 9380 | GTEx | DepMap | Descartes | 0.09 | 0.46 |
ABCC9 | -0.0001941 | 9397 | GTEx | DepMap | Descartes | 0.01 | 0.01 |
COL1A1 | -0.0002130 | 9738 | GTEx | DepMap | Descartes | 0.01 | 0.05 |
ADAMTS2 | -0.0002515 | 10298 | GTEx | DepMap | Descartes | 0.00 | 0.00 |
COL27A1 | -0.0002520 | 10304 | GTEx | DepMap | Descartes | 0.00 | 0.00 |
COL1A2 | -0.0002545 | 10350 | GTEx | DepMap | Descartes | 0.01 | 0.03 |
LOX | -0.0002625 | 10487 | GTEx | DepMap | Descartes | 0.01 | 0.09 |
MGP | -0.0002656 | 10537 | GTEx | DepMap | Descartes | 0.01 | 0.40 |
POSTN | -0.0002728 | 10639 | GTEx | DepMap | Descartes | 0.02 | 0.09 |
ABCA6 | -0.0003129 | 11256 | GTEx | DepMap | Descartes | 0.00 | 0.00 |
ACTA2 | -0.0003710 | 12022 | GTEx | DepMap | Descartes | 0.03 | 0.21 |
Descartes sympathoblasts markers
Top 50 marker genes of sympathoblasts cells in the Decartes fetal adrenal single cell map (https://atlas.brotmanbaty.org/bbi/human-gene-expression-during-development/cell/sympathoblasts/in/adrenal)
Wilcoxon ranksum test P-value for gene set overrepresentation: 6.94e-01
Mean rank of genes in gene set: 10948.86
Median rank of genes in gene set: 11943
Rank on gene expression program of top 30 genes in gene set:
Genes | Weight | Rank | GTEx | DepMap | Descartes | Mean.Counts | Mean.TPM |
---|---|---|---|---|---|---|---|
INSM1 | 0.0109184 | 201 | GTEx | DepMap | Descartes | 3.87 | 183.84 |
NTNG1 | 0.0089337 | 279 | GTEx | DepMap | Descartes | 1.04 | 0.52 |
CCSER1 | 0.0029854 | 1123 | GTEx | DepMap | Descartes | 0.55 | 0.08 |
DGKK | 0.0028274 | 1188 | GTEx | DepMap | Descartes | 0.62 | 0.63 |
GALNTL6 | 0.0020956 | 1552 | GTEx | DepMap | Descartes | 0.42 | 0.06 |
FAM155A | 0.0012763 | 2290 | GTEx | DepMap | Descartes | 0.93 | 0.23 |
TIAM1 | 0.0008340 | 2851 | GTEx | DepMap | Descartes | 0.68 | 0.29 |
TBX20 | 0.0006922 | 3096 | GTEx | DepMap | Descartes | 0.16 | 0.50 |
GRID2 | 0.0003846 | 3891 | GTEx | DepMap | Descartes | 0.05 | 0.00 |
AGBL4 | 0.0003635 | 3949 | GTEx | DepMap | Descartes | 0.04 | 0.01 |
EML6 | 0.0003179 | 4089 | GTEx | DepMap | Descartes | 0.18 | 0.10 |
SPOCK3 | 0.0003001 | 4133 | GTEx | DepMap | Descartes | 0.33 | 0.11 |
UNC80 | 0.0001632 | 4700 | GTEx | DepMap | Descartes | 0.67 | 0.41 |
SCG2 | -0.0000368 | 6480 | GTEx | DepMap | Descartes | 1.74 | 57.71 |
KCTD16 | -0.0000754 | 7188 | GTEx | DepMap | Descartes | 0.00 | 0.00 |
PCSK2 | -0.0001122 | 7892 | GTEx | DepMap | Descartes | 1.48 | 0.94 |
PENK | -0.0001541 | 8665 | GTEx | DepMap | Descartes | 0.00 | 0.00 |
FGF14 | -0.0001581 | 8746 | GTEx | DepMap | Descartes | 0.28 | 0.07 |
HTATSF1 | -0.0001951 | 9413 | GTEx | DepMap | Descartes | 2.87 | 30.13 |
MGAT4C | -0.0002626 | 10490 | GTEx | DepMap | Descartes | 0.39 | 0.09 |
ARC | -0.0003103 | 11223 | GTEx | DepMap | Descartes | 0.01 | 0.55 |
CDH18 | -0.0004247 | 12663 | GTEx | DepMap | Descartes | 0.00 | 0.00 |
LAMA3 | -0.0004379 | 12800 | GTEx | DepMap | Descartes | 0.01 | 0.00 |
KSR2 | -0.0004516 | 12937 | GTEx | DepMap | Descartes | 0.32 | 0.14 |
CDH12 | -0.0005077 | 13490 | GTEx | DepMap | Descartes | 0.03 | 0.00 |
SLC35F3 | -0.0005758 | 14059 | GTEx | DepMap | Descartes | 0.01 | 0.01 |
SLC24A2 | -0.0006439 | 14547 | GTEx | DepMap | Descartes | 0.02 | 0.01 |
CNTN3 | -0.0006858 | 14839 | GTEx | DepMap | Descartes | 0.02 | 0.01 |
GRM7 | -0.0007907 | 15471 | GTEx | DepMap | Descartes | 0.02 | 0.00 |
TENM1 | -0.0008903 | 16030 | GTEx | DepMap | Descartes | 0.00 | 0.00 |
Descartes erythroblasts markers
Top 50 marker genes of erythroblasts cells in the Decartes fetal adrenal single cell map (https://atlas.brotmanbaty.org/bbi/human-gene-expression-during-development/cell/erythroblasts/in/adrenal)
Wilcoxon ranksum test P-value for gene set overrepresentation: 3.65e-01
Mean rank of genes in gene set: 10122.43
Median rank of genes in gene set: 8474
Rank on gene expression program of top 30 genes in gene set:
Genes | Weight | Rank | GTEx | DepMap | Descartes | Mean.Counts | Mean.TPM |
---|---|---|---|---|---|---|---|
CPOX | 0.0026170 | 1299 | GTEx | DepMap | Descartes | 1.11 | 3.50 |
EPB41 | 0.0018513 | 1748 | GTEx | DepMap | Descartes | 2.62 | 2.59 |
XPO7 | 0.0018492 | 1749 | GTEx | DepMap | Descartes | 1.54 | 1.99 |
ALAS2 | 0.0010442 | 2548 | GTEx | DepMap | Descartes | 0.00 | 0.01 |
ANK1 | 0.0006628 | 3155 | GTEx | DepMap | Descartes | 0.03 | 0.02 |
GCLC | 0.0005700 | 3357 | GTEx | DepMap | Descartes | 0.67 | 2.30 |
SLC4A1 | 0.0002843 | 4192 | GTEx | DepMap | Descartes | 0.00 | 0.00 |
RAPGEF2 | 0.0002156 | 4445 | GTEx | DepMap | Descartes | 0.48 | 0.34 |
HEMGN | 0.0002038 | 4505 | GTEx | DepMap | Descartes | 0.00 | 0.00 |
SPECC1 | 0.0001052 | 5047 | GTEx | DepMap | Descartes | 0.09 | 0.05 |
GYPA | 0.0000769 | 5251 | GTEx | DepMap | Descartes | 0.00 | 0.00 |
DENND4A | 0.0000622 | 5376 | GTEx | DepMap | Descartes | 0.30 | 0.41 |
TMEM56 | 0.0000461 | 5500 | GTEx | DepMap | Descartes | 0.14 | 0.27 |
EPB42 | 0.0000433 | 5525 | GTEx | DepMap | Descartes | 0.00 | 0.00 |
SPTA1 | -0.0000043 | 6021 | GTEx | DepMap | Descartes | 0.00 | 0.00 |
SLC25A37 | -0.0000516 | 6752 | GTEx | DepMap | Descartes | 0.59 | 1.88 |
MARCH3 | -0.0000755 | 7190 | GTEx | DepMap | Descartes | 0.00 | 0.01 |
SLC25A21 | -0.0001443 | 8474 | GTEx | DepMap | Descartes | 0.00 | 0.00 |
RHD | -0.0002131 | 9740 | GTEx | DepMap | Descartes | 0.00 | 0.01 |
RGS6 | -0.0002160 | 9781 | GTEx | DepMap | Descartes | 0.00 | 0.00 |
GYPC | -0.0004170 | 12570 | GTEx | DepMap | Descartes | 0.05 | 0.18 |
FECH | -0.0004413 | 12828 | GTEx | DepMap | Descartes | 0.25 | 1.09 |
TSPAN5 | -0.0004504 | 12924 | GTEx | DepMap | Descartes | 1.24 | 1.09 |
BLVRB | -0.0007164 | 15039 | GTEx | DepMap | Descartes | 0.28 | 2.06 |
SELENBP1 | -0.0008200 | 15634 | GTEx | DepMap | Descartes | 0.13 | 1.90 |
TFR2 | -0.0008664 | 15893 | GTEx | DepMap | Descartes | 0.04 | 0.36 |
TMCC2 | -0.0009901 | 16459 | GTEx | DepMap | Descartes | 0.40 | 1.78 |
TRAK2 | -0.0010544 | 16714 | GTEx | DepMap | Descartes | 0.57 | 1.19 |
SPTB | -0.0014139 | 17951 | GTEx | DepMap | Descartes | 0.36 | 0.41 |
ABCB10 | -0.0015459 | 18293 | GTEx | DepMap | Descartes | 0.18 | 0.81 |
Descartes myeloid markers
Top 50 marker genes of myeloid cells in the Decartes fetal adrenal single cell map (https://atlas.brotmanbaty.org/bbi/human-gene-expression-during-development/cell/myeloid/in/adrenal)
Wilcoxon ranksum test P-value for gene set overrepresentation: 9.96e-01
Mean rank of genes in gene set: 12881.56
Median rank of genes in gene set: 13833
Rank on gene expression program of top 30 genes in gene set:
Genes | Weight | Rank | GTEx | DepMap | Descartes | Mean.Counts | Mean.TPM |
---|---|---|---|---|---|---|---|
WWP1 | 0.0002359 | 4365 | GTEx | DepMap | Descartes | 0.77 | 1.17 |
RBPJ | 0.0001787 | 4627 | GTEx | DepMap | Descartes | 2.09 | 1.69 |
SLC1A3 | 0.0001714 | 4664 | GTEx | DepMap | Descartes | 0.14 | 0.19 |
CD163L1 | 0.0000334 | 5612 | GTEx | DepMap | Descartes | 0.00 | 0.00 |
CD163 | -0.0000729 | 7147 | GTEx | DepMap | Descartes | 0.00 | 0.01 |
RNASE1 | -0.0001054 | 7747 | GTEx | DepMap | Descartes | 0.00 | 0.00 |
FGL2 | -0.0001187 | 8018 | GTEx | DepMap | Descartes | 0.00 | 0.10 |
VSIG4 | -0.0001240 | 8120 | GTEx | DepMap | Descartes | 0.00 | 0.00 |
HRH1 | -0.0001505 | 8601 | GTEx | DepMap | Descartes | 0.01 | 0.01 |
SLCO2B1 | -0.0002024 | 9546 | GTEx | DepMap | Descartes | 0.00 | 0.00 |
ATP8B4 | -0.0002776 | 10697 | GTEx | DepMap | Descartes | 0.01 | 0.00 |
SPP1 | -0.0002803 | 10744 | GTEx | DepMap | Descartes | 0.18 | 4.20 |
ADAP2 | -0.0002991 | 11043 | GTEx | DepMap | Descartes | 0.00 | 0.00 |
MS4A4A | -0.0003017 | 11087 | GTEx | DepMap | Descartes | 0.00 | 0.00 |
MARCH1 | -0.0003337 | 11526 | GTEx | DepMap | Descartes | 0.01 | 0.00 |
MSR1 | -0.0003606 | 11894 | GTEx | DepMap | Descartes | 0.00 | 0.01 |
MERTK | -0.0003702 | 12006 | GTEx | DepMap | Descartes | 0.00 | 0.00 |
CD14 | -0.0004319 | 12739 | GTEx | DepMap | Descartes | 0.01 | 0.42 |
FGD2 | -0.0004712 | 13149 | GTEx | DepMap | Descartes | 0.00 | 0.02 |
CYBB | -0.0004893 | 13335 | GTEx | DepMap | Descartes | 0.01 | 0.02 |
SLC9A9 | -0.0005355 | 13719 | GTEx | DepMap | Descartes | 0.02 | 0.00 |
AXL | -0.0005419 | 13785 | GTEx | DepMap | Descartes | 0.00 | 0.02 |
SFMBT2 | -0.0005475 | 13833 | GTEx | DepMap | Descartes | 0.13 | 0.06 |
HCK | -0.0005547 | 13888 | GTEx | DepMap | Descartes | 0.01 | 0.02 |
MPEG1 | -0.0005932 | 14185 | GTEx | DepMap | Descartes | 0.01 | 0.34 |
CPVL | -0.0005999 | 14235 | GTEx | DepMap | Descartes | 0.01 | 0.01 |
CSF1R | -0.0006189 | 14367 | GTEx | DepMap | Descartes | 0.00 | 0.01 |
MS4A7 | -0.0006367 | 14499 | GTEx | DepMap | Descartes | 0.01 | 0.15 |
CD74 | -0.0006649 | 14692 | GTEx | DepMap | Descartes | 0.02 | 0.32 |
CTSS | -0.0007691 | 15335 | GTEx | DepMap | Descartes | 0.04 | 0.15 |
Descartes Schwann markers
Top 50 marker genes of Schwann cells in the Decartes fetal adrenal single cell map (https://atlas.brotmanbaty.org/bbi/human-gene-expression-during-development/cell/schwann/in/adrenal)
Wilcoxon ranksum test P-value for gene set overrepresentation: 9.07e-01
Mean rank of genes in gene set: 11640.17
Median rank of genes in gene set: 10405
Rank on gene expression program of top 30 genes in gene set:
Genes | Weight | Rank | GTEx | DepMap | Descartes | Mean.Counts | Mean.TPM |
---|---|---|---|---|---|---|---|
NRXN1 | 0.0026312 | 1293 | GTEx | DepMap | Descartes | 5.76 | 0.94 |
FIGN | 0.0018287 | 1772 | GTEx | DepMap | Descartes | 1.00 | 1.00 |
SORCS1 | 0.0010707 | 2523 | GTEx | DepMap | Descartes | 0.27 | 0.07 |
PMP22 | 0.0009110 | 2731 | GTEx | DepMap | Descartes | 3.67 | 22.75 |
LRRTM4 | 0.0008951 | 2756 | GTEx | DepMap | Descartes | 0.07 | 0.01 |
XKR4 | 0.0004387 | 3708 | GTEx | DepMap | Descartes | 0.33 | NA |
HMGA2 | 0.0004012 | 3842 | GTEx | DepMap | Descartes | 0.00 | 0.01 |
PAG1 | 0.0002768 | 4222 | GTEx | DepMap | Descartes | 0.16 | 0.19 |
PPP2R2B | 0.0001152 | 4978 | GTEx | DepMap | Descartes | 1.85 | 0.60 |
MPZ | -0.0000800 | 7260 | GTEx | DepMap | Descartes | 0.00 | 0.02 |
SLC35F1 | -0.0000960 | 7564 | GTEx | DepMap | Descartes | 0.03 | 0.01 |
SCN7A | -0.0000995 | 7633 | GTEx | DepMap | Descartes | 0.00 | 0.00 |
EGFLAM | -0.0001456 | 8495 | GTEx | DepMap | Descartes | 0.00 | 0.00 |
IL1RAPL2 | -0.0001472 | 8527 | GTEx | DepMap | Descartes | 0.00 | 0.00 |
IL1RAPL1 | -0.0001593 | 8769 | GTEx | DepMap | Descartes | 0.00 | 0.00 |
CDH19 | -0.0001605 | 8787 | GTEx | DepMap | Descartes | 0.00 | 0.00 |
TRPM3 | -0.0001693 | 8942 | GTEx | DepMap | Descartes | 0.00 | 0.00 |
EDNRB | -0.0001961 | 9433 | GTEx | DepMap | Descartes | 0.01 | 0.04 |
SOX10 | -0.0002172 | 9798 | GTEx | DepMap | Descartes | 0.00 | 0.00 |
SOX5 | -0.0002275 | 9943 | GTEx | DepMap | Descartes | 0.06 | 0.01 |
ADAMTS5 | -0.0002282 | 9958 | GTEx | DepMap | Descartes | 0.02 | 0.04 |
LAMA4 | -0.0002337 | 10029 | GTEx | DepMap | Descartes | 0.01 | 0.01 |
OLFML2A | -0.0002345 | 10043 | GTEx | DepMap | Descartes | 0.00 | 0.00 |
COL5A2 | -0.0002574 | 10405 | GTEx | DepMap | Descartes | 0.00 | 0.00 |
PLP1 | -0.0002940 | 10969 | GTEx | DepMap | Descartes | 0.12 | 0.96 |
PTPRZ1 | -0.0003197 | 11352 | GTEx | DepMap | Descartes | 0.07 | 0.03 |
ERBB4 | -0.0004091 | 12468 | GTEx | DepMap | Descartes | 0.03 | 0.00 |
ERBB3 | -0.0005621 | 13944 | GTEx | DepMap | Descartes | 0.01 | 0.02 |
STARD13 | -0.0006054 | 14275 | GTEx | DepMap | Descartes | 0.15 | 0.13 |
KCTD12 | -0.0007247 | 15088 | GTEx | DepMap | Descartes | 0.45 | 10.06 |
Descartes Megakaryocytes markers
Top 50 marker genes of Megakaryocytes cells in the Decartes fetal adrenal single cell map (https://atlas.brotmanbaty.org/bbi/human-gene-expression-during-development/cell/megakaryocytes/in/adrenal)
Wilcoxon ranksum test P-value for gene set overrepresentation: 9.40e-01
Mean rank of genes in gene set: 11817.08
Median rank of genes in gene set: 13567
Rank on gene expression program of top 30 genes in gene set:
Genes | Weight | Rank | GTEx | DepMap | Descartes | Mean.Counts | Mean.TPM |
---|---|---|---|---|---|---|---|
TPM4 | 0.0052952 | 572 | GTEx | DepMap | Descartes | 3.54 | 23.98 |
PDE3A | 0.0027511 | 1227 | GTEx | DepMap | Descartes | 3.55 | 2.07 |
MED12L | 0.0027442 | 1231 | GTEx | DepMap | Descartes | 0.32 | 0.16 |
HIPK2 | 0.0026836 | 1256 | GTEx | DepMap | Descartes | 4.18 | 3.62 |
ZYX | 0.0023665 | 1411 | GTEx | DepMap | Descartes | 1.46 | 19.13 |
LIMS1 | 0.0015918 | 1961 | GTEx | DepMap | Descartes | 2.07 | 3.10 |
MYLK | 0.0009656 | 2653 | GTEx | DepMap | Descartes | 0.49 | 0.39 |
PRKAR2B | 0.0008712 | 2801 | GTEx | DepMap | Descartes | 2.90 | 4.11 |
DOK6 | 0.0005502 | 3403 | GTEx | DepMap | Descartes | 0.13 | 0.04 |
MMRN1 | 0.0001051 | 5048 | GTEx | DepMap | Descartes | 0.00 | 0.00 |
MYH9 | 0.0000871 | 5168 | GTEx | DepMap | Descartes | 0.76 | 1.36 |
PPBP | -0.0000280 | 6332 | GTEx | DepMap | Descartes | 0.00 | 0.00 |
GP1BA | -0.0000777 | 7226 | GTEx | DepMap | Descartes | 0.00 | 0.00 |
TRPC6 | -0.0000877 | 7402 | GTEx | DepMap | Descartes | 0.00 | 0.00 |
GP9 | -0.0001117 | 7881 | GTEx | DepMap | Descartes | 0.00 | 0.00 |
TUBB1 | -0.0001535 | 8656 | GTEx | DepMap | Descartes | 0.00 | 0.00 |
STON2 | -0.0001715 | 8986 | GTEx | DepMap | Descartes | 0.10 | 0.10 |
MCTP1 | -0.0001739 | 9035 | GTEx | DepMap | Descartes | 0.02 | 0.00 |
SPN | -0.0001967 | 9441 | GTEx | DepMap | Descartes | 0.00 | 0.00 |
ITGB3 | -0.0002009 | 9523 | GTEx | DepMap | Descartes | 0.00 | 0.00 |
PF4 | -0.0002890 | 10892 | GTEx | DepMap | Descartes | 0.01 | 0.95 |
VCL | -0.0002972 | 11018 | GTEx | DepMap | Descartes | 0.37 | 0.53 |
ITGA2B | -0.0004699 | 13127 | GTEx | DepMap | Descartes | 0.00 | 0.06 |
FLI1 | -0.0004761 | 13201 | GTEx | DepMap | Descartes | 0.00 | 0.00 |
BIN2 | -0.0005175 | 13567 | GTEx | DepMap | Descartes | 0.00 | 0.01 |
CD84 | -0.0005798 | 14093 | GTEx | DepMap | Descartes | 0.00 | 0.01 |
PLEK | -0.0005819 | 14110 | GTEx | DepMap | Descartes | 0.04 | 0.07 |
SLC24A3 | -0.0006122 | 14324 | GTEx | DepMap | Descartes | 0.01 | 0.00 |
RAB27B | -0.0006467 | 14562 | GTEx | DepMap | Descartes | 0.03 | 0.02 |
UBASH3B | -0.0006735 | 14762 | GTEx | DepMap | Descartes | 0.08 | 0.06 |
Descartes Lyphoid markers
Top 50 marker genes of Lyphoid cells in the Decartes fetal adrenal single cell map (https://atlas.brotmanbaty.org/bbi/human-gene-expression-during-development/cell/lymphoid/in/adrenal)
Wilcoxon ranksum test P-value for gene set overrepresentation: 9.74e-01
Mean rank of genes in gene set: 12241.89
Median rank of genes in gene set: 13954.5
Rank on gene expression program of top 30 genes in gene set:
Genes | Weight | Rank | GTEx | DepMap | Descartes | Mean.Counts | Mean.TPM |
---|---|---|---|---|---|---|---|
TMSB10 | 0.0029781 | 1127 | GTEx | DepMap | Descartes | 173.26 | 18659.01 |
CELF2 | 0.0025465 | 1329 | GTEx | DepMap | Descartes | 1.71 | 0.25 |
FOXP1 | 0.0016372 | 1927 | GTEx | DepMap | Descartes | 3.91 | 1.12 |
DOCK10 | 0.0015069 | 2037 | GTEx | DepMap | Descartes | 0.60 | 0.35 |
ANKRD44 | 0.0013744 | 2178 | GTEx | DepMap | Descartes | 0.55 | 0.33 |
MBNL1 | 0.0010526 | 2540 | GTEx | DepMap | Descartes | 2.92 | 2.81 |
PDE3B | 0.0009856 | 2618 | GTEx | DepMap | Descartes | 0.83 | 1.02 |
STK39 | 0.0004255 | 3751 | GTEx | DepMap | Descartes | 1.37 | 0.69 |
BCL2 | 0.0001845 | 4596 | GTEx | DepMap | Descartes | 0.30 | 0.25 |
TOX | 0.0001819 | 4609 | GTEx | DepMap | Descartes | 0.54 | 0.26 |
SAMD3 | -0.0000011 | 5993 | GTEx | DepMap | Descartes | 0.00 | 0.00 |
CCL5 | -0.0001626 | 8828 | GTEx | DepMap | Descartes | 0.01 | 0.31 |
NKG7 | -0.0003003 | 11060 | GTEx | DepMap | Descartes | 0.01 | 0.75 |
RCSD1 | -0.0003403 | 11616 | GTEx | DepMap | Descartes | 0.00 | 0.01 |
IKZF1 | -0.0003846 | 12172 | GTEx | DepMap | Descartes | 0.00 | 0.00 |
MCTP2 | -0.0004060 | 12429 | GTEx | DepMap | Descartes | 0.00 | 0.00 |
PLEKHA2 | -0.0004080 | 12456 | GTEx | DepMap | Descartes | 0.01 | 0.01 |
SKAP1 | -0.0004102 | 12486 | GTEx | DepMap | Descartes | 0.00 | 0.00 |
NCALD | -0.0004191 | 12595 | GTEx | DepMap | Descartes | 0.82 | 0.33 |
SCML4 | -0.0004567 | 12984 | GTEx | DepMap | Descartes | 0.11 | 0.20 |
RAP1GAP2 | -0.0005161 | 13558 | GTEx | DepMap | Descartes | 0.27 | 0.18 |
SP100 | -0.0005183 | 13571 | GTEx | DepMap | Descartes | 0.01 | 0.01 |
CCND3 | -0.0006139 | 14338 | GTEx | DepMap | Descartes | 0.26 | 0.41 |
BACH2 | -0.0006701 | 14732 | GTEx | DepMap | Descartes | 0.36 | 0.16 |
ARHGAP15 | -0.0006823 | 14820 | GTEx | DepMap | Descartes | 0.04 | 0.01 |
PTPRC | -0.0007308 | 15120 | GTEx | DepMap | Descartes | 0.02 | 0.01 |
LCP1 | -0.0007598 | 15279 | GTEx | DepMap | Descartes | 0.02 | 0.02 |
ITPKB | -0.0008223 | 15647 | GTEx | DepMap | Descartes | 0.01 | 0.02 |
FAM65B | -0.0008568 | 15852 | GTEx | DepMap | Descartes | 0.23 | NA |
CD44 | -0.0008745 | 15936 | GTEx | DepMap | Descartes | 0.09 | 0.07 |
Below shows the ranks on this GEP for immune marker gene lists curated by CellTypist (https://www.celltypist.org/encyclopedia).
High ranks indicate this gene is a driver of this GEP.
These curated gene list are ranked by P-value (on this GEP) of their constituent genes.
The Mean Count column shows the mean read count in cells scoring highly (H > 50) on this gene expression program.
Genes | Weight | Rank | GTEx | DepMap | Decartes | Mean.Counts | Mean.TPM |
---|---|---|---|---|---|---|---|
TOP2A | 0.0244936 | 21 | GTEx | DepMap | Descartes | 30.91 | 152.77 |
MKI67 | 0.0191055 | 53 | GTEx | DepMap | Descartes | 15.36 | 90.78 |
Cycling cells: Cycling NK cells (curated markers)
proliferating natural killer cells:
Wilcoxon ranksum test P-value for gene set overrepresentation: 7.32e-03
Mean rank of genes in gene set: 37
Rank on gene expression program of genes in gene set:
Genes | Weight | Rank | GTEx | DepMap | Decartes | Mean.Counts | Mean.TPM |
---|---|---|---|---|---|---|---|
TOP2A | 0.0244936 | 21 | GTEx | DepMap | Descartes | 30.91 | 152.77 |
MKI67 | 0.0191055 | 53 | GTEx | DepMap | Descartes | 15.36 | 90.78 |
Cycling cells: Cycling monocytes (curated markers)
proliferating monocytes:
Wilcoxon ranksum test P-value for gene set overrepresentation: 2.06e-02
Mean rank of genes in gene set: 3346.33
Rank on gene expression program of genes in gene set:
Genes | Weight | Rank | GTEx | DepMap | Decartes | Mean.Counts | Mean.TPM |
---|---|---|---|---|---|---|---|
TOP2A | 0.0244936 | 21 | GTEx | DepMap | Descartes | 30.91 | 152.77 |
MKI67 | 0.0191055 | 53 | GTEx | DepMap | Descartes | 15.36 | 90.78 |
S100A9 | -0.0002287 | 9965 | GTEx | DepMap | Descartes | 2.08 | 17.14 |