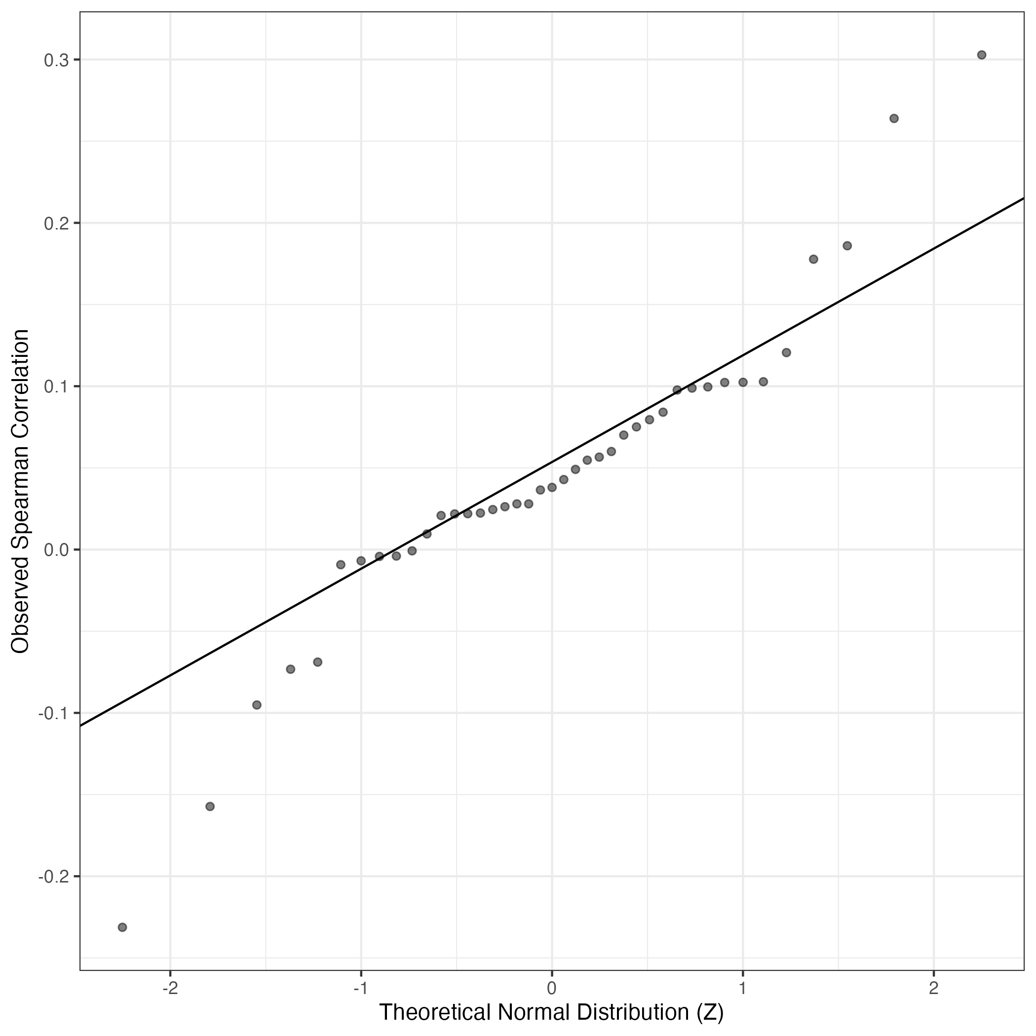
QQ-plot of gene loadings, averaged over both independent splits of the data
This plot highlights the relative contribution of each gene to the GEP
Top genes driving this program.
Note: Decartes website is buggy, try refreshing. Also, Decartes fetal adrenal data have been collected at specific time points (89-122 days), all possible cell types of interest may not be represented, do not overinterpret.
The Mean Count column shows the mean read count in cells scoring highly (H > 50) on this gene expression program.
Gene | Loading | Gene.Name | GTEx | DepMap | Descartes | Mean.Counts | Mean.Tpm | |
---|---|---|---|---|---|---|---|---|
1 | HOPX | 0.0123146 | HOP homeobox | GTEx | DepMap | Descartes | 6.25 | 221.96 |
2 | AC020571.1 | 0.0122252 | NA | GTEx | DepMap | Descartes | 3.77 | NA |
3 | RPL7A | 0.0110053 | ribosomal protein L7a | GTEx | DepMap | Descartes | 86.05 | 7598.40 |
4 | NOV | 0.0104658 | NA | GTEx | DepMap | Descartes | 12.02 | NA |
5 | MRPL33 | 0.0097565 | mitochondrial ribosomal protein L33 | GTEx | DepMap | Descartes | 10.02 | 1442.44 |
6 | CPB1 | 0.0095665 | carboxypeptidase B1 | GTEx | DepMap | Descartes | 3.01 | 89.54 |
7 | BEX3 | 0.0095310 | brain expressed X-linked 3 | GTEx | DepMap | Descartes | 26.03 | NA |
8 | RPL29 | 0.0094317 | ribosomal protein L29 | GTEx | DepMap | Descartes | 62.50 | 7005.83 |
9 | TOMM7 | 0.0093876 | translocase of outer mitochondrial membrane 7 | GTEx | DepMap | Descartes | 18.10 | 2418.97 |
10 | DLK1 | 0.0093620 | delta like non-canonical Notch ligand 1 | GTEx | DepMap | Descartes | 75.56 | 1630.44 |
11 | SNCG | 0.0093091 | synuclein gamma | GTEx | DepMap | Descartes | 20.31 | 2571.63 |
12 | CHCHD2 | 0.0091005 | coiled-coil-helix-coiled-coil-helix domain containing 2 | GTEx | DepMap | Descartes | 32.65 | 4047.88 |
13 | RPL41 | 0.0090714 | ribosomal protein L41 | GTEx | DepMap | Descartes | 141.69 | 21624.08 |
14 | RPL36 | 0.0090278 | ribosomal protein L36 | GTEx | DepMap | Descartes | 78.07 | 8805.24 |
15 | TBCA | 0.0089956 | tubulin folding cofactor A | GTEx | DepMap | Descartes | 16.52 | 710.10 |
16 | UQCR10 | 0.0088687 | ubiquinol-cytochrome c reductase, complex III subunit X | GTEx | DepMap | Descartes | 16.23 | 1818.84 |
17 | FDXR | 0.0088284 | ferredoxin reductase | GTEx | DepMap | Descartes | 16.59 | 678.10 |
18 | LY6E | 0.0087729 | lymphocyte antigen 6 family member E | GTEx | DepMap | Descartes | 14.33 | 1051.14 |
19 | PTS | 0.0087444 | 6-pyruvoyltetrahydropterin synthase | GTEx | DepMap | Descartes | 11.06 | 1036.37 |
20 | LDHB | 0.0087407 | lactate dehydrogenase B | GTEx | DepMap | Descartes | 16.93 | 1113.10 |
21 | MT3 | 0.0086903 | metallothionein 3 | GTEx | DepMap | Descartes | 19.29 | 1289.88 |
22 | ATP5F1C | 0.0084406 | ATP synthase F1 subunit gamma | GTEx | DepMap | Descartes | 11.68 | NA |
23 | RPS10 | 0.0083403 | ribosomal protein S10 | GTEx | DepMap | Descartes | 22.72 | 1651.81 |
24 | METTL9 | 0.0083045 | methyltransferase like 9 | GTEx | DepMap | Descartes | 9.07 | 177.68 |
25 | RPS23 | 0.0082084 | ribosomal protein S23 | GTEx | DepMap | Descartes | 78.19 | 2514.41 |
26 | ZG16B | 0.0081779 | zymogen granule protein 16B | GTEx | DepMap | Descartes | 2.44 | 170.52 |
27 | COMT | 0.0081473 | catechol-O-methyltransferase | GTEx | DepMap | Descartes | 7.74 | 352.66 |
28 | ATP6V1G1 | 0.0081446 | ATPase H+ transporting V1 subunit G1 | GTEx | DepMap | Descartes | 11.86 | 783.81 |
29 | RPL8 | 0.0080702 | ribosomal protein L8 | GTEx | DepMap | Descartes | 55.55 | 5547.03 |
30 | RPS3A | 0.0079024 | ribosomal protein S3A | GTEx | DepMap | Descartes | 74.22 | 5028.14 |
31 | RPL23A | 0.0078901 | ribosomal protein L23a | GTEx | DepMap | Descartes | 48.39 | 5135.36 |
32 | RAB38 | 0.0078864 | RAB38, member RAS oncogene family | GTEx | DepMap | Descartes | 3.61 | 271.28 |
33 | RPL5 | 0.0077915 | ribosomal protein L5 | GTEx | DepMap | Descartes | 50.49 | 4376.87 |
34 | TPI1 | 0.0076578 | triosephosphate isomerase 1 | GTEx | DepMap | Descartes | 19.14 | 1114.17 |
35 | RPL39 | 0.0075780 | ribosomal protein L39 | GTEx | DepMap | Descartes | 60.99 | 3296.28 |
36 | RPS4X | 0.0074652 | ribosomal protein S4 X-linked | GTEx | DepMap | Descartes | 53.14 | 2984.36 |
37 | RPS27A | 0.0074625 | ribosomal protein S27a | GTEx | DepMap | Descartes | 62.45 | 5622.17 |
38 | C1QBP | 0.0073872 | complement C1q binding protein | GTEx | DepMap | Descartes | 7.97 | 682.62 |
39 | CDKN1C | 0.0073633 | cyclin dependent kinase inhibitor 1C | GTEx | DepMap | Descartes | 24.27 | 1280.08 |
40 | G0S2 | 0.0073317 | G0/G1 switch 2 | GTEx | DepMap | Descartes | 3.59 | 395.93 |
41 | RPS26 | 0.0073258 | ribosomal protein S26 | GTEx | DepMap | Descartes | 33.76 | 2670.65 |
42 | RPS12 | 0.0073257 | ribosomal protein S12 | GTEx | DepMap | Descartes | 79.63 | 12918.10 |
43 | RPS14 | 0.0073013 | ribosomal protein S14 | GTEx | DepMap | Descartes | 65.26 | 2173.19 |
44 | RPL26 | 0.0072453 | ribosomal protein L26 | GTEx | DepMap | Descartes | 46.77 | 4812.09 |
45 | RPL15 | 0.0072427 | ribosomal protein L15 | GTEx | DepMap | Descartes | 49.91 | 1613.80 |
46 | COX7C | 0.0071651 | cytochrome c oxidase subunit 7C | GTEx | DepMap | Descartes | 23.51 | 1517.28 |
47 | SKP1 | 0.0071354 | S-phase kinase associated protein 1 | GTEx | DepMap | Descartes | 13.57 | 147.76 |
48 | RPS25 | 0.0071001 | ribosomal protein S25 | GTEx | DepMap | Descartes | 37.16 | 2646.29 |
49 | RPS18 | 0.0070871 | ribosomal protein S18 | GTEx | DepMap | Descartes | 79.02 | 7326.75 |
50 | TSPAN13 | 0.0070806 | tetraspanin 13 | GTEx | DepMap | Descartes | 4.49 | 269.90 |
UMAP plots showing activity of gene expression program identified in GEP 10. Lymphocyte:
Gene set Enrichments for this program, caculated from top 50 genes
mSigDB Cell Types Gene Set:
P-value | OR | Lower 95% CI | FDR | FWER | Genes Found | Gene Set Size | |
---|---|---|---|---|---|---|---|
RUBENSTEIN_SKELETAL_MUSCLE_T_CELLS | 5.26e-37 | 138.93 | 74.25 | 1.76e-34 | 3.53e-34 | 23RPL7A, RPL29, TOMM7, RPL41, RPL36, LDHB, RPS10, RPS23, RPL8, RPS3A, RPL23A, RPL5, RPL39, RPS4X, RPS27A, RPS26, RPS12, RPS14, RPL26, RPL15, COX7C, RPS25, RPS18 |
181 |
BUSSLINGER_GASTRIC_PPP1R1B_POSITIVE_CELLS | 4.68e-30 | 140.74 | 71.79 | 6.28e-28 | 3.14e-27 | 18RPL7A, RPL29, RPL41, RPL36, RPS10, RPS23, RPL8, RPS3A, RPL23A, RPL5, RPL39, RPS4X, RPS27A, RPS12, RPS14, RPL26, RPL15, RPS18 |
121 |
BUSSLINGER_GASTRIC_LYZ_POSITIVE_CELLS | 1.33e-28 | 140.83 | 71.02 | 1.49e-26 | 8.92e-26 | 17RPL7A, RPL29, RPL41, RPL36, RPS10, RPS23, ATP6V1G1, RPS3A, RPL23A, RPL5, RPL39, RPS4X, RPS12, RPS14, RPL26, RPL15, RPS18 |
111 |
RUBENSTEIN_SKELETAL_MUSCLE_B_CELLS | 4.18e-35 | 130.78 | 69.45 | 9.36e-33 | 2.81e-32 | 22RPL7A, RPL29, RPL41, RPL36, RPS10, RPS23, ATP6V1G1, RPL8, RPS3A, RPL23A, RPL5, RPL39, RPS4X, RPS27A, RPS26, RPS12, RPS14, RPL26, RPL15, COX7C, RPS25, RPS18 |
177 |
BUSSLINGER_DUODENAL_TRANSIT_AMPLIFYING_CELLS | 3.45e-34 | 117.47 | 62.74 | 5.79e-32 | 2.31e-31 | 22RPL7A, RPL29, CHCHD2, RPL41, RPL36, UQCR10, ATP5F1C, RPS23, RPL8, RPS3A, RPL5, TPI1, RPL39, RPS4X, RPS27A, RPS12, RPS14, RPL26, RPL15, COX7C, RPS25, RPS18 |
194 |
RUBENSTEIN_SKELETAL_MUSCLE_SATELLITE_CELLS | 2.79e-37 | 98.31 | 53.54 | 1.76e-34 | 1.87e-34 | 26RPL7A, BEX3, RPL29, TOMM7, DLK1, CHCHD2, RPL41, RPL36, LDHB, RPS10, RPS23, COMT, RPL8, RPS3A, RPL23A, RPL5, RPL39, RPS4X, RPS27A, RPS26, RPS12, RPS14, RPL26, RPL15, RPS25, RPS18 |
310 |
TRAVAGLINI_LUNG_CD4_NAIVE_T_CELL | 3.38e-23 | 94.16 | 46.46 | 1.51e-21 | 2.27e-20 | 15RPL29, RPL41, RPL36, LDHB, RPS23, RPL8, RPS3A, RPL23A, RPL5, RPL39, RPS27A, RPS12, RPS14, RPL26, RPL15 |
132 |
FAN_OVARY_CL0_XBP1_SELK_HIGH_STROMAL_CELL | 1.18e-22 | 86.02 | 42.62 | 4.93e-21 | 7.89e-20 | 15RPL41, RPL36, RPS23, RPL8, RPS3A, RPL23A, RPL5, RPL39, RPS4X, RPS27A, RPS12, RPS14, RPL26, RPL15, RPS18 |
143 |
TRAVAGLINI_LUNG_CLUB_CELL | 3.04e-18 | 79.53 | 36.80 | 8.50e-17 | 2.04e-15 | 12HOPX, RPL29, RPL36, RPS23, RPS3A, RPL23A, RPL5, RPL39, RPS12, RPS14, RPL26, RPL15 |
114 |
MANNO_MIDBRAIN_NEUROTYPES_BASAL | 3.24e-14 | 80.57 | 33.20 | 7.51e-13 | 2.18e-11 | 9RPL7A, BEX3, CHCHD2, RPL41, RPL8, RPS4X, RPS27A, RPL15, SKP1 |
79 |
MENON_FETAL_KIDNEY_1_EMBRYONIC_RED_BLOOD_CELLS | 1.05e-17 | 71.26 | 33.00 | 2.82e-16 | 7.04e-15 | 12RPL7A, RPL29, CHCHD2, ATP5F1C, RPS23, RPL23A, RPL5, RPL26, RPL15, SKP1, RPS25, RPS18 |
126 |
BUSSLINGER_DUODENAL_DIFFERENTIATING_STEM_CELLS | 4.09e-26 | 60.21 | 32.03 | 3.43e-24 | 2.74e-23 | 20RPL7A, RPL29, CHCHD2, RPL41, RPL36, RPS23, RPL8, RPS3A, RPL5, RPL39, RPS4X, RPS27A, C1QBP, RPS12, RPS14, RPL26, RPL15, COX7C, RPS25, RPS18 |
305 |
BUSSLINGER_DUODENAL_STEM_CELLS | 6.04e-26 | 58.98 | 31.37 | 4.51e-24 | 4.06e-23 | 20RPL7A, BEX3, TOMM7, CHCHD2, RPL41, RPL36, RPS23, RPL8, RPS3A, RPL5, RPL39, RPS4X, RPS27A, RPS12, RPS14, RPL26, RPL15, COX7C, RPS25, RPS18 |
311 |
LAKE_ADULT_KIDNEY_C7_PROXIMAL_TUBULE_EPITHELIAL_CELLS_S3 | 2.45e-17 | 66.06 | 30.68 | 6.33e-16 | 1.64e-14 | 12RPL7A, RPS23, RPL8, RPS3A, RPL5, RPS4X, RPS27A, RPS12, RPS14, COX7C, RPS25, RPS18 |
135 |
LAKE_ADULT_KIDNEY_C18_COLLECTING_DUCT_PRINCIPAL_CELLS_MEDULLA | 1.21e-25 | 56.76 | 30.21 | 8.14e-24 | 8.14e-23 | 20RPL7A, BEX3, CHCHD2, RPL41, LDHB, ATP5F1C, RPS23, ATP6V1G1, RPL8, RPS3A, RPL5, TPI1, RPS4X, RPS27A, RPS12, RPS14, RPL15, COX7C, RPS25, RPS18 |
322 |
LAKE_ADULT_KIDNEY_C9_THIN_ASCENDING_LIMB | 1.24e-23 | 57.89 | 30.17 | 6.38e-22 | 8.29e-21 | 18RPL7A, BEX3, LDHB, ATP5F1C, RPS23, ATP6V1G1, RPL8, RPS3A, RPL5, TPI1, RPS4X, RPS27A, RPS12, RPS14, RPL15, COX7C, RPS25, RPS18 |
268 |
LAKE_ADULT_KIDNEY_C19_COLLECTING_DUCT_INTERCALATED_CELLS_TYPE_A_MEDULLA | 1.55e-25 | 56.04 | 29.82 | 9.47e-24 | 1.04e-22 | 20RPL7A, CHCHD2, RPL41, LDHB, ATP5F1C, RPS23, ATP6V1G1, RPL8, RPS3A, RPL5, TPI1, RPS4X, RPS27A, RPS12, RPS14, RPL15, COX7C, SKP1, RPS25, RPS18 |
326 |
TRAVAGLINI_LUNG_BRONCHIAL_VESSEL_1_CELL | 1.99e-21 | 58.27 | 29.53 | 7.04e-20 | 1.34e-18 | 16RPL29, RPL41, RPL36, RPS23, RPL8, RPS3A, RPL23A, RPL5, RPL39, RPS4X, RPS27A, RPS12, RPS14, RPL26, RPL15, TSPAN13 |
224 |
RUBENSTEIN_SKELETAL_MUSCLE_PCV_ENDOTHELIAL_CELLS | 2.14e-21 | 58.01 | 29.39 | 7.19e-20 | 1.44e-18 | 16RPL7A, RPL29, SNCG, RPL36, LY6E, RPS23, RPL8, RPS3A, RPS4X, RPS27A, RPS12, RPS14, RPL26, RPL15, RPS25, RPS18 |
225 |
LAKE_ADULT_KIDNEY_C8_DECENDING_THIN_LIMB | 2.40e-23 | 55.69 | 29.04 | 1.15e-21 | 1.61e-20 | 18RPL7A, BEX3, RPL41, LDHB, RPS23, ATP6V1G1, RPL8, RPS3A, RPL5, TPI1, RPS4X, RPS27A, RPS12, RPS14, RPL15, SKP1, RPS25, RPS18 |
278 |
Dowload full table
mSigDB Hallmark Gene Sets:
P-value | OR | Lower 95% CI | FDR | FWER | Genes Found | Gene Set Size | |
---|---|---|---|---|---|---|---|
HALLMARK_OXIDATIVE_PHOSPHORYLATION | 4.09e-05 | 14.68 | 4.50 | 2.04e-03 | 2.04e-03 | 5UQCR10, LDHB, ATP5F1C, ATP6V1G1, COX7C |
200 |
HALLMARK_P53_PATHWAY | 5.92e-04 | 11.43 | 2.96 | 1.48e-02 | 2.96e-02 | 4RPL36, FDXR, LDHB, RPS12 |
200 |
HALLMARK_FATTY_ACID_METABOLISM | 3.72e-02 | 6.88 | 0.80 | 2.51e-01 | 1.00e+00 | 2PTS, G0S2 |
158 |
HALLMARK_IL2_STAT5_SIGNALING | 5.62e-02 | 5.45 | 0.64 | 2.51e-01 | 1.00e+00 | 2HOPX, CDKN1C |
199 |
HALLMARK_HYPOXIA | 5.67e-02 | 5.42 | 0.63 | 2.51e-01 | 1.00e+00 | 2TPI1, CDKN1C |
200 |
HALLMARK_ADIPOGENESIS | 5.67e-02 | 5.42 | 0.63 | 2.51e-01 | 1.00e+00 | 2SNCG, UQCR10 |
200 |
HALLMARK_MTORC1_SIGNALING | 5.67e-02 | 5.42 | 0.63 | 2.51e-01 | 1.00e+00 | 2FDXR, TPI1 |
200 |
HALLMARK_MYC_TARGETS_V1 | 5.67e-02 | 5.42 | 0.63 | 2.51e-01 | 1.00e+00 | 2RPS10, C1QBP |
200 |
HALLMARK_XENOBIOTIC_METABOLISM | 5.67e-02 | 5.42 | 0.63 | 2.51e-01 | 1.00e+00 | 2PTS, COMT |
200 |
HALLMARK_ALLOGRAFT_REJECTION | 5.67e-02 | 5.42 | 0.63 | 2.51e-01 | 1.00e+00 | 2RPS3A, RPL39 |
200 |
HALLMARK_KRAS_SIGNALING_UP | 5.67e-02 | 5.42 | 0.63 | 2.51e-01 | 1.00e+00 | 2G0S2, TSPAN13 |
200 |
HALLMARK_NOTCH_SIGNALING | 6.01e-02 | 16.95 | 0.41 | 2.51e-01 | 1.00e+00 | 1SKP1 |
32 |
HALLMARK_TGF_BETA_SIGNALING | 9.93e-02 | 9.91 | 0.24 | 3.82e-01 | 1.00e+00 | 1CDKN1C |
54 |
HALLMARK_INTERFERON_ALPHA_RESPONSE | 1.71e-01 | 5.48 | 0.13 | 6.11e-01 | 1.00e+00 | 1LY6E |
97 |
HALLMARK_BILE_ACID_METABOLISM | 1.95e-01 | 4.74 | 0.12 | 6.14e-01 | 1.00e+00 | 1FDXR |
112 |
HALLMARK_UNFOLDED_PROTEIN_RESPONSE | 1.96e-01 | 4.69 | 0.12 | 6.14e-01 | 1.00e+00 | 1RPS14 |
113 |
HALLMARK_UV_RESPONSE_UP | 2.63e-01 | 3.35 | 0.08 | 6.41e-01 | 1.00e+00 | 1CDKN1C |
158 |
HALLMARK_APOPTOSIS | 2.67e-01 | 3.29 | 0.08 | 6.41e-01 | 1.00e+00 | 1FDXR |
161 |
HALLMARK_TNFA_SIGNALING_VIA_NFKB | 3.20e-01 | 2.64 | 0.07 | 6.41e-01 | 1.00e+00 | 1G0S2 |
200 |
HALLMARK_ESTROGEN_RESPONSE_LATE | 3.20e-01 | 2.64 | 0.07 | 6.41e-01 | 1.00e+00 | 1TSPAN13 |
200 |
Dowload full table
KEGG Pathways:
P-value | OR | Lower 95% CI | FDR | FWER | Genes Found | Gene Set Size | |
---|---|---|---|---|---|---|---|
KEGG_RIBOSOME | 4.31e-35 | 227.29 | 115.99 | 8.01e-33 | 8.01e-33 | 19RPL7A, RPL29, RPL41, RPL36, RPS10, RPS23, RPL8, RPS3A, RPL23A, RPL5, RPL39, RPS4X, RPS27A, RPS26, RPS12, RPL26, RPL15, RPS25, RPS18 |
88 |
KEGG_OXIDATIVE_PHOSPHORYLATION | 1.23e-04 | 17.49 | 4.51 | 1.14e-02 | 2.29e-02 | 4UQCR10, ATP5F1C, ATP6V1G1, COX7C |
132 |
KEGG_PARKINSONS_DISEASE | 2.03e-03 | 12.94 | 2.54 | 1.26e-01 | 3.77e-01 | 3UQCR10, ATP5F1C, COX7C |
130 |
KEGG_GLYCOLYSIS_GLUCONEOGENESIS | 6.43e-03 | 17.88 | 2.06 | 1.99e-01 | 1.00e+00 | 2LDHB, TPI1 |
62 |
KEGG_ALZHEIMERS_DISEASE | 4.03e-03 | 10.09 | 1.99 | 1.87e-01 | 7.50e-01 | 3UQCR10, ATP5F1C, COX7C |
166 |
KEGG_HUNTINGTONS_DISEASE | 5.20e-03 | 9.18 | 1.81 | 1.93e-01 | 9.67e-01 | 3UQCR10, ATP5F1C, COX7C |
182 |
KEGG_CARDIAC_MUSCLE_CONTRACTION | 1.02e-02 | 13.94 | 1.61 | 2.72e-01 | 1.00e+00 | 2UQCR10, COX7C |
79 |
KEGG_FOLATE_BIOSYNTHESIS | 2.11e-02 | 52.51 | 1.19 | 4.91e-01 | 1.00e+00 | 1PTS |
11 |
KEGG_CELL_CYCLE | 2.43e-02 | 8.72 | 1.02 | 5.02e-01 | 1.00e+00 | 2CDKN1C, SKP1 |
125 |
KEGG_PROPANOATE_METABOLISM | 6.19e-02 | 16.42 | 0.40 | 9.88e-01 | 1.00e+00 | 1LDHB |
33 |
KEGG_FRUCTOSE_AND_MANNOSE_METABOLISM | 6.38e-02 | 15.92 | 0.38 | 9.88e-01 | 1.00e+00 | 1TPI1 |
34 |
KEGG_CYSTEINE_AND_METHIONINE_METABOLISM | 6.38e-02 | 15.92 | 0.38 | 9.88e-01 | 1.00e+00 | 1LDHB |
34 |
KEGG_PYRUVATE_METABOLISM | 7.46e-02 | 13.48 | 0.33 | 1.00e+00 | 1.00e+00 | 1LDHB |
40 |
KEGG_TYROSINE_METABOLISM | 7.81e-02 | 12.81 | 0.31 | 1.00e+00 | 1.00e+00 | 1COMT |
42 |
KEGG_INOSITOL_PHOSPHATE_METABOLISM | 9.93e-02 | 9.91 | 0.24 | 1.00e+00 | 1.00e+00 | 1TPI1 |
54 |
KEGG_VIBRIO_CHOLERAE_INFECTION | 9.93e-02 | 9.91 | 0.24 | 1.00e+00 | 1.00e+00 | 1ATP6V1G1 |
54 |
KEGG_STEROID_HORMONE_BIOSYNTHESIS | 1.01e-01 | 9.73 | 0.24 | 1.00e+00 | 1.00e+00 | 1COMT |
55 |
KEGG_EPITHELIAL_CELL_SIGNALING_IN_HELICOBACTER_PYLORI_INFECTION | 1.23e-01 | 7.85 | 0.19 | 1.00e+00 | 1.00e+00 | 1ATP6V1G1 |
68 |
KEGG_TGF_BETA_SIGNALING_PATHWAY | 1.53e-01 | 6.18 | 0.15 | 1.00e+00 | 1.00e+00 | 1SKP1 |
86 |
KEGG_OOCYTE_MEIOSIS | 1.96e-01 | 4.69 | 0.12 | 1.00e+00 | 1.00e+00 | 1SKP1 |
113 |
Dowload full table
CHR Positional Gene Sets:
P-value | OR | Lower 95% CI | FDR | FWER | Genes Found | Gene Set Size | |
---|---|---|---|---|---|---|---|
chr5q14 | 2.03e-03 | 12.94 | 2.54 | 5.64e-01 | 5.64e-01 | 3TBCA, RPS23, COX7C |
130 |
chr11q23 | 5.92e-02 | 5.29 | 0.62 | 1.00e+00 | 1.00e+00 | 2PTS, RPS25 |
205 |
chr8q24 | 1.26e-01 | 3.36 | 0.39 | 1.00e+00 | 1.00e+00 | 2LY6E, RPL8 |
321 |
chr17p13 | 1.35e-01 | 3.21 | 0.38 | 1.00e+00 | 1.00e+00 | 2C1QBP, RPL26 |
336 |
chr16q13 | 7.46e-02 | 13.48 | 0.33 | 1.00e+00 | 1.00e+00 | 1MT3 |
40 |
chr12q13 | 1.82e-01 | 2.65 | 0.31 | 1.00e+00 | 1.00e+00 | 2RPL41, RPS26 |
407 |
chr10p14 | 8.70e-02 | 11.42 | 0.28 | 1.00e+00 | 1.00e+00 | 1ATP5F1C |
47 |
chr9q32 | 8.70e-02 | 11.42 | 0.28 | 1.00e+00 | 1.00e+00 | 1ATP6V1G1 |
47 |
chr6p21 | 2.23e-01 | 2.31 | 0.27 | 1.00e+00 | 1.00e+00 | 2RPS10, RPS18 |
467 |
chr4q12 | 1.42e-01 | 6.74 | 0.17 | 1.00e+00 | 1.00e+00 | 1HOPX |
79 |
chrXq24 | 1.43e-01 | 6.65 | 0.16 | 1.00e+00 | 1.00e+00 | 1RPL39 |
80 |
chr7p11 | 1.47e-01 | 6.49 | 0.16 | 1.00e+00 | 1.00e+00 | 1CHCHD2 |
82 |
chr7p21 | 1.48e-01 | 6.41 | 0.16 | 1.00e+00 | 1.00e+00 | 1TSPAN13 |
83 |
chr7p15 | 1.70e-01 | 5.53 | 0.14 | 1.00e+00 | 1.00e+00 | 1TOMM7 |
96 |
chr3p24 | 1.74e-01 | 5.36 | 0.13 | 1.00e+00 | 1.00e+00 | 1RPL15 |
99 |
chr6q23 | 1.85e-01 | 5.01 | 0.12 | 1.00e+00 | 1.00e+00 | 1RPS12 |
106 |
chr12p12 | 1.87e-01 | 4.96 | 0.12 | 1.00e+00 | 1.00e+00 | 1LDHB |
107 |
chr5q33 | 1.90e-01 | 4.87 | 0.12 | 1.00e+00 | 1.00e+00 | 1RPS14 |
109 |
chr2p16 | 1.98e-01 | 4.65 | 0.11 | 1.00e+00 | 1.00e+00 | 1RPS27A |
114 |
chr1p22 | 2.21e-01 | 4.11 | 0.10 | 1.00e+00 | 1.00e+00 | 1RPL5 |
129 |
Dowload full table
Transcription Factor Targets:
P-value | OR | Lower 95% CI | FDR | FWER | Genes Found | Gene Set Size | |
---|---|---|---|---|---|---|---|
ZZZ3_TARGET_GENES | 1.22e-07 | 30.53 | 10.43 | 2.77e-05 | 1.39e-04 | 6RPL41, RPS23, RPL8, RPS3A, RPS14, RPS18 |
121 |
GTF2A2_TARGET_GENES | 4.34e-08 | 12.58 | 5.58 | 2.46e-05 | 4.91e-05 | 10RPL29, RPL36, RPL8, RPS3A, TPI1, RPS26, RPS12, RPL15, SKP1, RPS18 |
522 |
ZNF318_TARGET_GENES | 3.47e-07 | 11.64 | 4.94 | 5.62e-05 | 3.94e-04 | 9RPL7A, RPL29, RPL41, RPS3A, RPL5, RPS26, RPS14, RPL26, RPS18 |
495 |
FOXE1_TARGET_GENES | 8.66e-08 | 10.13 | 4.66 | 2.49e-05 | 9.81e-05 | 11RPL29, RPL41, ATP6V1G1, RPL5, TPI1, RPS4X, RPS12, RPS14, RPL26, RPL15, COX7C |
728 |
KAT2A_TARGET_GENES | 1.46e-08 | 8.77 | 4.36 | 1.65e-05 | 1.65e-05 | 14RPL7A, RPL29, TOMM7, RPL41, RPL36, METTL9, COMT, RPL8, RPL5, RPL39, RPS4X, RPS26, RPS12, SKP1 |
1157 |
TAF9B_TARGET_GENES | 1.02e-06 | 10.17 | 4.32 | 1.45e-04 | 1.16e-03 | 9RPL7A, RPL29, RPL41, RPL23A, RPL5, RPL39, RPS4X, RPS14, RPL26 |
565 |
SNRNP70_TARGET_GENES | 2.44e-07 | 8.16 | 3.87 | 4.61e-05 | 2.77e-04 | 12RPL7A, RPL41, RPS10, RPS23, COMT, RPL8, RPL23A, RPL5, RPL39, RPS14, RPL26, RPL15 |
1009 |
ZFHX3_TARGET_GENES | 8.78e-08 | 6.59 | 3.39 | 2.49e-05 | 9.95e-05 | 16RPL7A, TOMM7, CHCHD2, TBCA, LDHB, RPS23, RPL8, RPL23A, RPL5, RPS4X, RPS27A, RPS12, RPS14, COX7C, RPS25, RPS18 |
1857 |
DLX6_TARGET_GENES | 1.50e-05 | 8.35 | 3.37 | 1.70e-03 | 1.70e-02 | 8RPL41, RPS23, ATP6V1G1, RPS27A, RPS12, RPS14, SKP1, RPS18 |
596 |
RUVBL1_TARGET_GENES | 4.00e-04 | 12.72 | 3.29 | 2.16e-02 | 4.53e-01 | 4RPL41, RPS12, RPS14, RPL26 |
180 |
HMGB2_TARGET_GENES | 1.10e-04 | 8.92 | 3.09 | 7.76e-03 | 1.24e-01 | 6METTL9, RPS23, RPS27A, RPS12, RPS14, SKP1 |
400 |
GTF2E2_TARGET_GENES | 1.27e-04 | 8.67 | 3.00 | 8.45e-03 | 1.44e-01 | 6RPL41, RPL36, COMT, RPS26, RPS12, SKP1 |
411 |
IRF5_TARGET_GENES | 2.19e-05 | 6.86 | 2.92 | 2.25e-03 | 2.48e-02 | 9RPL7A, ATP5F1C, RPS10, RPS23, RPL23A, RPS27A, RPS12, RPL26, SKP1 |
834 |
ADA2_TARGET_GENES | 2.44e-05 | 6.76 | 2.88 | 2.30e-03 | 2.76e-02 | 9RPL29, CHCHD2, RPS10, METTL9, RPL8, RPS3A, RPL5, RPS14, RPS18 |
846 |
GLI4_TARGET_GENES | 2.64e-05 | 6.69 | 2.85 | 2.30e-03 | 2.99e-02 | 9RPL7A, RPL29, RPL41, RPL36, METTL9, RPL5, RPS4X, RPL15, RPS18 |
855 |
NFRKB_TARGET_GENES | 3.11e-06 | 5.48 | 2.72 | 3.92e-04 | 3.53e-03 | 14RPL29, RPL41, RPL36, UQCR10, LDHB, RPS10, COMT, RPL8, RPS3A, RPL23A, RPS26, RPL26, COX7C, RPS18 |
1843 |
FOXR2_TARGET_GENES | 1.06e-03 | 9.74 | 2.53 | 4.61e-02 | 1.00e+00 | 4RPL8, RPS14, RPS25, RPS18 |
234 |
HOXC6_TARGET_GENES | 5.73e-05 | 5.43 | 2.41 | 4.33e-03 | 6.49e-02 | 10RPL7A, MRPL33, TOMM7, UQCR10, FDXR, ATP5F1C, RPL8, RPL23A, RPS27A, COX7C |
1197 |
BARX2_TARGET_GENES | 4.54e-05 | 4.76 | 2.26 | 3.67e-03 | 5.14e-02 | 12MRPL33, TOMM7, CHCHD2, RPL41, FDXR, RPS10, RPL23A, RPL5, RPS4X, RPS26, RPS25, RPS18 |
1723 |
SETD1A_TARGET_GENES | 2.28e-04 | 4.54 | 2.02 | 1.44e-02 | 2.59e-01 | 10RPL29, CHCHD2, RPL41, RPL36, RPS10, METTL9, RPS27A, RPS12, RPL26, RPS18 |
1428 |
Dowload full table
GO Biological Processes:
P-value | OR | Lower 95% CI | FDR | FWER | Genes Found | Gene Set Size | |
---|---|---|---|---|---|---|---|
GOBP_COTRANSLATIONAL_PROTEIN_TARGETING_TO_MEMBRANE | 1.34e-35 | 196.47 | 101.99 | 1.00e-31 | 1.00e-31 | 20RPL7A, RPL29, RPL41, RPL36, RPS10, RPS23, RPL8, RPS3A, RPL23A, RPL5, RPL39, RPS4X, RPS27A, RPS26, RPS12, RPS14, RPL26, RPL15, RPS25, RPS18 |
107 |
GOBP_NUCLEAR_TRANSCRIBED_MRNA_CATABOLIC_PROCESS_NONSENSE_MEDIATED_DECAY | 1.61e-34 | 171.76 | 88.89 | 4.81e-31 | 1.21e-30 | 20RPL7A, RPL29, RPL41, RPL36, RPS10, RPS23, RPL8, RPS3A, RPL23A, RPL5, RPL39, RPS4X, RPS27A, RPS26, RPS12, RPS14, RPL26, RPL15, RPS25, RPS18 |
120 |
GOBP_ESTABLISHMENT_OF_PROTEIN_LOCALIZATION_TO_ENDOPLASMIC_RETICULUM | 1.93e-34 | 169.98 | 88.39 | 4.81e-31 | 1.44e-30 | 20RPL7A, RPL29, RPL41, RPL36, RPS10, RPS23, RPL8, RPS3A, RPL23A, RPL5, RPL39, RPS4X, RPS27A, RPS26, RPS12, RPS14, RPL26, RPL15, RPS25, RPS18 |
121 |
GOBP_PROTEIN_LOCALIZATION_TO_ENDOPLASMIC_RETICULUM | 1.63e-32 | 132.67 | 69.60 | 3.05e-29 | 1.22e-28 | 20RPL7A, RPL29, RPL41, RPL36, RPS10, RPS23, RPL8, RPS3A, RPL23A, RPL5, RPL39, RPS4X, RPS27A, RPS26, RPS12, RPS14, RPL26, RPL15, RPS25, RPS18 |
149 |
GOBP_TRANSLATIONAL_INITIATION | 3.64e-30 | 99.02 | 52.27 | 5.45e-27 | 2.72e-26 | 20RPL7A, RPL29, RPL41, RPL36, RPS10, RPS23, RPL8, RPS3A, RPL23A, RPL5, RPL39, RPS4X, RPS27A, RPS26, RPS12, RPS14, RPL26, RPL15, RPS25, RPS18 |
193 |
GOBP_VIRAL_GENE_EXPRESSION | 6.18e-30 | 96.14 | 50.81 | 7.70e-27 | 4.62e-26 | 20RPL7A, RPL29, RPL41, RPL36, RPS10, RPS23, RPL8, RPS3A, RPL23A, RPL5, RPL39, RPS4X, RPS27A, RPS26, RPS12, RPS14, RPL26, RPL15, RPS25, RPS18 |
198 |
GOBP_NUCLEAR_TRANSCRIBED_MRNA_CATABOLIC_PROCESS | 1.71e-29 | 91.32 | 48.23 | 1.60e-26 | 1.28e-25 | 20RPL7A, RPL29, RPL41, RPL36, RPS10, RPS23, RPL8, RPS3A, RPL23A, RPL5, RPL39, RPS4X, RPS27A, RPS26, RPS12, RPS14, RPL26, RPL15, RPS25, RPS18 |
208 |
GOBP_PROTEIN_TARGETING_TO_MEMBRANE | 1.71e-29 | 91.32 | 48.23 | 1.60e-26 | 1.28e-25 | 20RPL7A, RPL29, RPL41, RPL36, RPS10, RPS23, RPL8, RPS3A, RPL23A, RPL5, RPL39, RPS4X, RPS27A, RPS26, RPS12, RPS14, RPL26, RPL15, RPS25, RPS18 |
208 |
GOBP_ESTABLISHMENT_OF_PROTEIN_LOCALIZATION_TO_MEMBRANE | 6.78e-25 | 51.86 | 27.60 | 5.64e-22 | 5.08e-21 | 20RPL7A, RPL29, RPL41, RPL36, RPS10, RPS23, RPL8, RPS3A, RPL23A, RPL5, RPL39, RPS4X, RPS27A, RPS26, RPS12, RPS14, RPL26, RPL15, RPS25, RPS18 |
351 |
GOBP_CYTOPLASMIC_TRANSLATION | 3.47e-13 | 60.73 | 25.20 | 8.94e-11 | 2.59e-09 | 9RPL29, RPL41, RPL36, RPS23, RPL8, RPL39, RPS26, RPL26, RPL15 |
102 |
GOBP_PROTEIN_TARGETING | 1.25e-24 | 44.73 | 24.02 | 9.36e-22 | 9.36e-21 | 21RPL7A, RPL29, TOMM7, RPL41, RPL36, RPS10, RPS23, RPL8, RPS3A, RPL23A, RPL5, RPL39, RPS4X, RPS27A, RPS26, RPS12, RPS14, RPL26, RPL15, RPS25, RPS18 |
438 |
GOBP_RNA_CATABOLIC_PROCESS | 1.79e-23 | 43.58 | 23.24 | 1.21e-20 | 1.34e-19 | 20RPL7A, RPL29, RPL41, RPL36, RPS10, RPS23, RPL8, RPS3A, RPL23A, RPL5, RPL39, RPS4X, RPS27A, RPS26, RPS12, RPS14, RPL26, RPL15, RPS25, RPS18 |
414 |
GOBP_ESTABLISHMENT_OF_PROTEIN_LOCALIZATION_TO_ORGANELLE | 3.43e-22 | 33.64 | 18.09 | 1.97e-19 | 2.57e-18 | 21RPL7A, RPL29, TOMM7, RPL41, RPL36, RPS10, RPS23, RPL8, RPS3A, RPL23A, RPL5, RPL39, RPS4X, RPS27A, RPS26, RPS12, RPS14, RPL26, RPL15, RPS25, RPS18 |
576 |
GOBP_ORGANIC_CYCLIC_COMPOUND_CATABOLIC_PROCESS | 8.27e-23 | 32.91 | 17.83 | 5.15e-20 | 6.18e-19 | 22RPL7A, RPL29, RPL41, RPL36, MT3, RPS10, RPS23, COMT, RPL8, RPS3A, RPL23A, RPL5, RPL39, RPS4X, RPS27A, RPS26, RPS12, RPS14, RPL26, RPL15, RPS25, RPS18 |
637 |
GOBP_PROTEIN_LOCALIZATION_TO_MEMBRANE | 5.06e-21 | 29.29 | 15.79 | 2.52e-18 | 3.78e-17 | 21RPL7A, RPL29, RPL41, RPL36, RPS10, RPS23, RPL8, RPS3A, RPL23A, RAB38, RPL5, RPL39, RPS4X, RPS27A, RPS26, RPS12, RPS14, RPL26, RPL15, RPS25, RPS18 |
658 |
GOBP_PEPTIDE_BIOSYNTHETIC_PROCESS | 1.95e-21 | 28.20 | 15.29 | 1.04e-18 | 1.46e-17 | 22RPL7A, MRPL33, RPL29, RPL41, RPL36, RPS10, RPS23, RPL8, RPS3A, RPL23A, RPL5, RPL39, RPS4X, RPS27A, C1QBP, RPS26, RPS12, RPS14, RPL26, RPL15, RPS25, RPS18 |
740 |
GOBP_RIBOSOME_ASSEMBLY | 1.53e-07 | 48.42 | 14.50 | 3.59e-05 | 1.15e-03 | 5RPS10, RPL23A, RPL5, C1QBP, RPS14 |
64 |
GOBP_AMIDE_BIOSYNTHETIC_PROCESS | 6.68e-20 | 23.68 | 12.85 | 2.94e-17 | 5.00e-16 | 22RPL7A, MRPL33, RPL29, RPL41, RPL36, RPS10, RPS23, RPL8, RPS3A, RPL23A, RPL5, RPL39, RPS4X, RPS27A, C1QBP, RPS26, RPS12, RPS14, RPL26, RPL15, RPS25, RPS18 |
877 |
GOBP_PEPTIDE_METABOLIC_PROCESS | 1.22e-19 | 22.98 | 12.47 | 5.08e-17 | 9.14e-16 | 22RPL7A, MRPL33, RPL29, RPL41, RPL36, RPS10, RPS23, RPL8, RPS3A, RPL23A, RPL5, RPL39, RPS4X, RPS27A, C1QBP, RPS26, RPS12, RPS14, RPL26, RPL15, RPS25, RPS18 |
903 |
GOBP_BIOLOGICAL_PROCESS_INVOLVED_IN_SYMBIOTIC_INTERACTION | 4.27e-20 | 22.54 | 12.30 | 2.00e-17 | 3.20e-16 | 23RPL7A, RPL29, RPL41, RPL36, LY6E, RPS10, RPS23, RPL8, RPS3A, RPL23A, RPL5, RPL39, RPS4X, RPS27A, C1QBP, RPS26, RPS12, RPS14, RPL26, RPL15, SKP1, RPS25, RPS18 |
997 |
Dowload full table
Immunological Gene Sets:
P-value | OR | Lower 95% CI | FDR | FWER | Genes Found | Gene Set Size | |
---|---|---|---|---|---|---|---|
GSE2405_0H_VS_9H_A_PHAGOCYTOPHILUM_STIM_NEUTROPHIL_DN | 7.60e-30 | 95.03 | 50.26 | 3.70e-26 | 3.70e-26 | 20RPL7A, CHCHD2, RPL36, TBCA, LDHB, ATP5F1C, RPS10, RPS23, ATP6V1G1, RPS3A, RPL23A, RPL5, RPL39, RPS4X, C1QBP, RPS26, RPS14, RPL26, RPS25, RPS18 |
200 |
GSE2405_0H_VS_24H_A_PHAGOCYTOPHILUM_STIM_NEUTROPHIL_UP | 4.53e-24 | 72.45 | 37.16 | 1.10e-20 | 2.21e-20 | 17RPL7A, CHCHD2, RPL41, RPL36, TBCA, RPS10, RPS23, RPS3A, RPL23A, RPL5, RPL39, RPS4X, RPS26, RPS14, RPL26, RPS25, RPS18 |
200 |
GSE41978_KLRG1_HIGH_VS_LOW_EFFECTOR_CD8_TCELL_DN | 2.88e-15 | 43.22 | 20.24 | 3.51e-12 | 1.40e-11 | 12RPL7A, CHCHD2, RPS10, RPS23, RPS3A, RPL5, RPL39, RPS4X, RPS26, RPS14, RPS25, RPS18 |
200 |
GSE41978_ID2_KO_VS_ID2_KO_AND_BIM_KO_KLRG1_LOW_EFFECTOR_CD8_TCELL_DN | 2.88e-15 | 43.22 | 20.24 | 3.51e-12 | 1.40e-11 | 12CHCHD2, RPL41, RPS10, RPS23, RPS3A, RPL23A, RPL5, RPS4X, RPS26, RPS14, RPL26, RPS18 |
200 |
GSE3720_UNSTIM_VS_LPS_STIM_VD2_GAMMADELTA_TCELL_UP | 7.56e-13 | 40.97 | 17.96 | 5.26e-10 | 3.68e-09 | 10RPL29, RPL36, LY6E, ATP5F1C, RPS10, RPL8, RPL23A, RPL5, RPL39, RPS12 |
167 |
GSE34205_HEALTHY_VS_FLU_INF_INFANT_PBMC_UP | 1.08e-13 | 38.79 | 17.66 | 9.31e-11 | 5.29e-10 | 11RPL7A, RPS10, RPS23, RPL8, RPS3A, RPL5, RPS12, RPS14, RPL15, RPS18, TSPAN13 |
198 |
GSE22886_NAIVE_BCELL_VS_NEUTROPHIL_UP | 1.15e-13 | 38.66 | 17.57 | 9.31e-11 | 5.58e-10 | 11RPL7A, RPL41, RPL8, RPL39, RPS27A, RPS14, RPL26, RPL15, RPS25, RPS18, TSPAN13 |
199 |
GSE22886_NAIVE_TCELL_VS_DC_UP | 4.31e-12 | 34.06 | 14.96 | 2.63e-09 | 2.10e-08 | 10RPL7A, RPL29, RPL36, RPS10, RPS23, RPL5, RPS14, RPL26, RPS25, RPS18 |
199 |
GSE14000_TRANSLATED_RNA_VS_MRNA_DC_DN | 1.14e-10 | 30.56 | 12.87 | 6.19e-08 | 5.57e-07 | 9RPL36, RPS10, RPL8, RPL23A, RPS12, RPS14, RPL26, RPS25, RPS18 |
194 |
GSE21670_UNTREATED_VS_TGFB_IL6_TREATED_CD4_TCELL_DN | 1.37e-10 | 29.91 | 12.60 | 6.67e-08 | 6.67e-07 | 9RPL29, PTS, RPS3A, RPL5, RPS27A, C1QBP, RPL26, COX7C, RPS25 |
198 |
GSE3720_UNSTIM_VS_PMA_STIM_VD2_GAMMADELTA_TCELL_UP | 1.52e-09 | 29.37 | 11.72 | 6.73e-07 | 7.40e-06 | 8RPL29, RPL36, RPS10, RPL23A, RPL39, C1QBP, RPS26, RPS12 |
175 |
GSE2124_CTRL_VS_LYMPHOTOXIN_BETA_TREATED_MLN_UP | 3.84e-09 | 25.93 | 10.38 | 1.56e-06 | 1.87e-05 | 8RPS10, RPS23, RPS3A, RPL5, RPS4X, RPS14, RPL26, RPS25 |
197 |
GSE42088_UNINF_VS_LEISHMANIA_INF_DC_2H_DN | 4.32e-09 | 25.53 | 10.22 | 1.62e-06 | 2.11e-05 | 8RPL7A, RPL29, RPL36, RPS10, RPL8, RPL23A, RPL26, RPS18 |
200 |
GSE3565_DUSP1_VS_WT_SPLENOCYTES_POST_LPS_INJECTION_UP | 2.80e-08 | 26.68 | 9.98 | 9.73e-06 | 1.36e-04 | 7RPL29, RPL36, ATP5F1C, RPS10, RPL8, RPL23A, RPS26 |
164 |
GSE3565_CTRL_VS_LPS_INJECTED_SPLENOCYTES_DN | 4.36e-08 | 24.93 | 9.34 | 1.38e-05 | 2.12e-04 | 7RPL29, RPL36, LY6E, RPS10, RPL8, RPS26, TSPAN13 |
175 |
GSE3720_UNSTIM_VS_PMA_STIM_VD1_GAMMADELTA_TCELL_UP | 4.53e-08 | 24.79 | 9.28 | 1.38e-05 | 2.21e-04 | 7MRPL33, BEX3, LY6E, RPL8, RPS27A, RPS12, RPS14 |
176 |
GSE17721_CPG_VS_GARDIQUIMOD_0.5H_BMDC_UP | 1.04e-07 | 21.85 | 8.18 | 2.77e-05 | 5.09e-04 | 7CPB1, RPL41, UQCR10, RPL23A, RPS14, RPL26, RPS25 |
199 |
GSE339_CD4POS_VS_CD8POS_DC_IN_CULTURE_DN | 1.08e-07 | 21.73 | 8.14 | 2.77e-05 | 5.26e-04 | 7TBCA, UQCR10, LY6E, ATP5F1C, TPI1, RPS26, RPS18 |
200 |
GSE21927_SPLEEN_C57BL6_VS_4T1_TUMOR_BALBC_MONOCYTES_UP | 1.08e-07 | 21.73 | 8.14 | 2.77e-05 | 5.26e-04 | 7RPL7A, RPL29, RPS10, RPS3A, RPL5, RPS27A, RPL15 |
200 |
GSE6269_HEALTHY_VS_FLU_INF_PBMC_UP | 1.10e-06 | 20.66 | 7.10 | 2.68e-04 | 5.36e-03 | 6TOMM7, RPS10, RPS3A, RPL5, RPS12, RPS14 |
176 |
Top Ranked Transcription Factors for this Gene Expression Program:
Gene Symbol | TF Rank | DNA Binding Domain | Motif Status | IUPAC PWM | GTEx | DepMap | Decartes |
---|---|---|---|---|---|---|---|
HOPX | 1 | No | Unlikely to be sequence specific TF | Not a DNA binding protein | No motif | None | Lacks conserved residues required for DNA binding (PMID: 24287901) |
RPL7A | 3 | No | Unlikely to be sequence specific TF | Not a DNA binding protein | No motif | None | None |
RPS27A | 37 | No | ssDNA/RNA binding | Not a DNA binding protein | No motif | None | None |
NPM1 | 69 | No | Unlikely to be sequence specific TF | Low specificity DNA-binding protein | No motif | None | No evidence for sequence-specific DNA-binding (PMID: 2223875) |
COMMD6 | 75 | No | Unlikely to be sequence specific TF | Not a DNA binding protein | No motif | None | None |
NDN | 84 | No | Unlikely to be sequence specific TF | Not a DNA binding protein | No motif | None | None |
RPL7 | 90 | No | Unlikely to be sequence specific TF | Low specificity DNA-binding protein | No motif | None | Binds DNA by filter binding (PMID: 8441630), but competition assays suggest it is non-specific. A specific dsRNA structure is thought to be the preferred substrate. RNA-binding has been demonstrated by gel-shift experiments (PMID: 10329420). |
PRDX3 | 98 | No | Unlikely to be sequence specific TF | Not a DNA binding protein | No motif | None | None |
CREM | 106 | Yes | Known motif | Monomer or homomultimer | High-throughput in vitro | None | None |
SUB1 | 109 | No | ssDNA/RNA binding | Not a DNA binding protein | No motif | None | The structure (PDB: 2C62) demonstrates binding to single stranded DNA |
SCAND1 | 114 | No | Unlikely to be sequence specific TF | Not a DNA binding protein | No motif | None | None |
PLA2G1B | 145 | No | Unlikely to be sequence specific TF | Not a DNA binding protein | No motif | None | None |
RPL36A | 156 | No | Unlikely to be sequence specific TF | Not a DNA binding protein | No motif | None | Protein is a ribosomal component |
PARK7 | 214 | No | Unlikely to be sequence specific TF | Not a DNA binding protein | No motif | None | Operates upstream in the signaling cascade |
PCBD1 | 216 | No | Unlikely to be sequence specific TF | Not a DNA binding protein | No motif | None | Coactivator for HNF1A-dependent transcription. Regulates the dimerization of homeodomain protein HNF1A and enhances its transcriptional activity (UniProt: P61457) |
LSR | 221 | No | Unlikely to be sequence specific TF | Not a DNA binding protein | No motif | None | Cell plasma membrane resident protein that functions in cell-cell junctions (PMID: 25753034) |
CITED4 | 224 | No | Unlikely to be sequence specific TF | Not a DNA binding protein | No motif | None | Transcriptional co-factor |
ENO1 | 225 | No | Unlikely to be sequence specific TF | Not a DNA binding protein | No motif | Only known motifs are from Transfac or HocoMoco - origin is uncertain | Enolase - DNA binding not shown to be direct |
MPG | 235 | No | Unlikely to be sequence specific TF | Low specificity DNA-binding protein | No motif | None | DNA error repair enzyme that excises alkylation-damaged purine bases. Binds dsDNA in the crystal structure (PDB: 1BNK) |
YEATS4 | 247 | No | Unlikely to be sequence specific TF | Not a DNA binding protein | No motif | None | Lacks a DBD and the study cited by GO annotation (PMID: 9302258) doesnt have experimental evidence for DNA-binding |
QQ Plot showing correlations with other GEPs in this dataset, calculated by Spearman correlation:
Interactive QQ-plot of gene loadings:
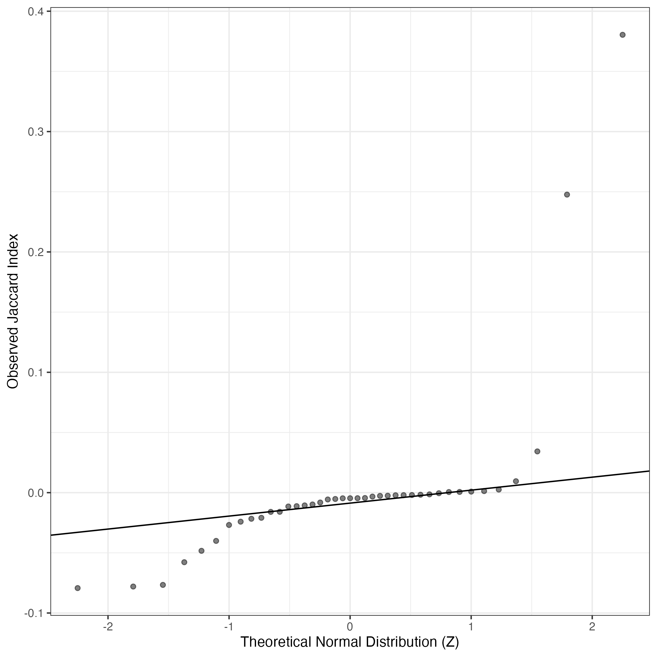
A similar QQ-plot as above, but only for instances where the H value is e.g. > 25, i.e. we are confident that the expression program is active above noise. Agreemenet between these binary vectors is tested using the Jaccard Index, with the P-values calculated by an exact test:
Interactive QQ-plot:
Singler cell type annotations for the top 50 cells on this program.
Cell ID | Singler label | Singler Delta | Activity Score | Top Singler Raw Scores |
---|---|---|---|---|
R30_w8.5_TCACTCGAGTTGGAAT-1 | iPS_cells:PDB_1lox-17Puro-10 | 0.14 | 571.86 | Raw ScoresNeuroepithelial_cell:ESC-derived: 0.5, iPS_cells:PDB_1lox-17Puro-10: 0.5, Tissue_stem_cells:CD326-CD56+: 0.5, iPS_cells:PDB_2lox-22: 0.5, iPS_cells:PDB_1lox-17Puro-5: 0.5, iPS_cells:PDB_1lox-21Puro-26: 0.5, Embryonic_stem_cells: 0.5, iPS_cells:PDB_1lox-21Puro-20: 0.5, iPS_cells:CRL2097_foreskin-derived:undiff.: 0.5, iPS_cells:skin_fibroblast-derived: 0.49 |
R30_w8.5_GGGACTCGTTACCCTC-1 | iPS_cells:CRL2097_foreskin-derived:d20_hepatic_diff | 0.12 | 497.43 | Raw ScoresNeuroepithelial_cell:ESC-derived: 0.44, iPS_cells:CRL2097_foreskin-derived:d20_hepatic_diff: 0.44, Embryonic_stem_cells: 0.42, iPS_cells:PDB_1lox-17Puro-10: 0.42, iPS_cells:PDB_1lox-21Puro-26: 0.42, iPS_cells:PDB_1lox-17Puro-5: 0.42, Neurons:Schwann_cell: 0.42, iPS_cells:PDB_1lox-21Puro-20: 0.42, iPS_cells:PDB_2lox-22: 0.42, iPS_cells:CRL2097_foreskin-derived:undiff.: 0.42 |
R30_w8.5_AACCACAAGGTGAGAA-1 | iPS_cells:CRL2097_foreskin-derived:d20_hepatic_diff | 0.13 | 443.55 | Raw ScoresNeuroepithelial_cell:ESC-derived: 0.49, iPS_cells:PDB_1lox-17Puro-10: 0.49, iPS_cells:PDB_1lox-21Puro-26: 0.49, iPS_cells:PDB_1lox-21Puro-20: 0.49, iPS_cells:PDB_1lox-17Puro-5: 0.48, iPS_cells:PDB_2lox-22: 0.48, iPS_cells:CRL2097_foreskin-derived:undiff.: 0.48, Embryonic_stem_cells: 0.48, iPS_cells:PDB_2lox-5: 0.48, iPS_cells:PDB_2lox-17: 0.48 |
R30_w8.5_TTTACGTAGAGCCGAT-1 | iPS_cells:CRL2097_foreskin-derived:d20_hepatic_diff | 0.11 | 427.95 | Raw ScoresNeuroepithelial_cell:ESC-derived: 0.4, iPS_cells:CRL2097_foreskin-derived:d20_hepatic_diff: 0.4, iPS_cells:PDB_1lox-17Puro-10: 0.39, iPS_cells:PDB_1lox-21Puro-26: 0.39, iPS_cells:PDB_2lox-22: 0.39, Tissue_stem_cells:CD326-CD56+: 0.39, Embryonic_stem_cells: 0.39, iPS_cells:PDB_1lox-21Puro-20: 0.39, iPS_cells:PDB_1lox-17Puro-5: 0.39, MSC: 0.39 |
R53a_w9.5_CATGCTCAGTAGTGCG-1 | Neurons:ES_cell-derived_neural_precursor | 0.10 | 424.51 | Raw ScoresiPS_cells:CRL2097_foreskin-derived:d20_hepatic_diff: 0.44, Neuroepithelial_cell:ESC-derived: 0.44, iPS_cells:PDB_1lox-17Puro-10: 0.43, iPS_cells:PDB_1lox-21Puro-26: 0.43, iPS_cells:PDB_1lox-17Puro-5: 0.43, iPS_cells:CRL2097_foreskin-derived:undiff.: 0.43, iPS_cells:PDB_1lox-21Puro-20: 0.43, Tissue_stem_cells:CD326-CD56+: 0.43, iPS_cells:PDB_2lox-22: 0.43, Embryonic_stem_cells: 0.43 |
R30_w8.5_TCCTGCACACAGTGTT-1 | iPS_cells:CRL2097_foreskin-derived:d20_hepatic_diff | 0.10 | 409.84 | Raw ScoresiPS_cells:CRL2097_foreskin-derived:d20_hepatic_diff: 0.42, Neuroepithelial_cell:ESC-derived: 0.41, Tissue_stem_cells:CD326-CD56+: 0.4, Embryonic_stem_cells: 0.4, iPS_cells:PDB_2lox-22: 0.4, iPS_cells:PDB_1lox-17Puro-10: 0.4, iPS_cells:CRL2097_foreskin-derived:undiff.: 0.4, iPS_cells:PDB_1lox-21Puro-26: 0.4, iPS_cells:PDB_1lox-17Puro-5: 0.4, iPS_cells:fibroblast-derived:Direct_del._reprog: 0.4 |
R30_w8.5_ATTGTTCCAAGACCTT-1 | Neuroepithelial_cell:ESC-derived | 0.11 | 396.84 | Raw ScoresNeuroepithelial_cell:ESC-derived: 0.41, iPS_cells:CRL2097_foreskin-derived:d20_hepatic_diff: 0.41, Embryonic_stem_cells: 0.4, iPS_cells:PDB_1lox-17Puro-10: 0.4, iPS_cells:PDB_1lox-17Puro-5: 0.39, iPS_cells:PDB_1lox-21Puro-26: 0.39, iPS_cells:PDB_1lox-21Puro-20: 0.39, iPS_cells:CRL2097_foreskin-derived:undiff.: 0.39, iPS_cells:PDB_2lox-22: 0.39, iPS_cells:skin_fibroblast-derived: 0.39 |
R53b_w11.5_TGTTGAGAGGAGCTGT-1 | Neurons:Schwann_cell | 0.10 | 384.91 | Raw ScoresiPS_cells:CRL2097_foreskin-derived:d20_hepatic_diff: 0.41, Neurons:Schwann_cell: 0.41, Neuroepithelial_cell:ESC-derived: 0.4, iPS_cells:PDB_1lox-17Puro-10: 0.4, iPS_cells:PDB_1lox-17Puro-5: 0.4, MSC: 0.4, iPS_cells:PDB_1lox-21Puro-26: 0.4, iPS_cells:PDB_1lox-21Puro-20: 0.4, Tissue_stem_cells:iliac_MSC: 0.4, iPS_cells:PDB_2lox-22: 0.4 |
R30_w8.5_GGTAATCGTTTCACAG-1 | iPS_cells:CRL2097_foreskin-derived:d20_hepatic_diff | 0.11 | 382.72 | Raw ScoresiPS_cells:CRL2097_foreskin-derived:d20_hepatic_diff: 0.43, Neuroepithelial_cell:ESC-derived: 0.42, Embryonic_stem_cells: 0.41, Tissue_stem_cells:CD326-CD56+: 0.41, Fibroblasts:breast: 0.4, MSC: 0.4, iPS_cells:PDB_1lox-17Puro-10: 0.4, iPS_cells:PDB_2lox-22: 0.4, Tissue_stem_cells:iliac_MSC: 0.4, Neurons:Schwann_cell: 0.4 |
R30_w8.5_TGGTAGTAGGGATGTC-1 | iPS_cells:CRL2097_foreskin-derived:undiff. | 0.10 | 380.72 | Raw ScoresiPS_cells:CRL2097_foreskin-derived:d20_hepatic_diff: 0.42, Neuroepithelial_cell:ESC-derived: 0.42, iPS_cells:CRL2097_foreskin-derived:undiff.: 0.41, iPS_cells:PDB_1lox-17Puro-10: 0.41, iPS_cells:PDB_1lox-17Puro-5: 0.41, Tissue_stem_cells:CD326-CD56+: 0.41, iPS_cells:PDB_2lox-22: 0.41, Embryonic_stem_cells: 0.41, iPS_cells:PDB_1lox-21Puro-26: 0.41, iPS_cells:PDB_1lox-21Puro-20: 0.41 |
R39_w9.5_CGAGTTAAGAGTTGCG-1 | Neurons:adrenal_medulla_cell_line | 0.15 | 378.09 | Raw ScoresNeuroepithelial_cell:ESC-derived: 0.47, Tissue_stem_cells:CD326-CD56+: 0.45, iPS_cells:CRL2097_foreskin-derived:d20_hepatic_diff: 0.45, MSC: 0.45, Neurons:adrenal_medulla_cell_line: 0.45, Embryonic_stem_cells: 0.44, iPS_cells:CRL2097_foreskin-derived:undiff.: 0.44, iPS_cells:PDB_1lox-17Puro-10: 0.44, iPS_cells:PDB_1lox-17Puro-5: 0.44, iPS_cells:PDB_2lox-22: 0.44 |
R30_w8.5_GATGATCGTTGCAAGG-1 | iPS_cells:CRL2097_foreskin-derived:d20_hepatic_diff | 0.13 | 376.21 | Raw ScoresNeuroepithelial_cell:ESC-derived: 0.49, iPS_cells:PDB_1lox-21Puro-26: 0.48, iPS_cells:PDB_1lox-21Puro-20: 0.48, iPS_cells:PDB_1lox-17Puro-10: 0.48, iPS_cells:PDB_1lox-17Puro-5: 0.48, iPS_cells:PDB_2lox-22: 0.48, Embryonic_stem_cells: 0.47, Tissue_stem_cells:CD326-CD56+: 0.47, iPS_cells:CRL2097_foreskin-derived:undiff.: 0.47, iPS_cells:PDB_2lox-21: 0.47 |
R30_w8.5_TTCTAACCAGGGTCTC-1 | Neuroepithelial_cell:ESC-derived | 0.10 | 374.20 | Raw ScoresiPS_cells:CRL2097_foreskin-derived:d20_hepatic_diff: 0.42, Neuroepithelial_cell:ESC-derived: 0.42, iPS_cells:PDB_2lox-22: 0.41, iPS_cells:PDB_1lox-17Puro-10: 0.41, iPS_cells:CRL2097_foreskin-derived:undiff.: 0.41, Embryonic_stem_cells: 0.41, iPS_cells:PDB_1lox-17Puro-5: 0.41, iPS_cells:PDB_1lox-21Puro-20: 0.41, iPS_cells:PDB_2lox-5: 0.41, iPS_cells:PDB_2lox-17: 0.41 |
R30_w8.5_GCCCGAAAGCCTATTG-1 | Neuroepithelial_cell:ESC-derived | 0.12 | 372.77 | Raw ScoresNeuroepithelial_cell:ESC-derived: 0.44, iPS_cells:CRL2097_foreskin-derived:d20_hepatic_diff: 0.44, Embryonic_stem_cells: 0.43, Tissue_stem_cells:CD326-CD56+: 0.43, Neurons:Schwann_cell: 0.42, iPS_cells:PDB_1lox-17Puro-10: 0.42, iPS_cells:PDB_2lox-22: 0.42, iPS_cells:PDB_1lox-21Puro-26: 0.42, Neurons:ES_cell-derived_neural_precursor: 0.42, Tissue_stem_cells:iliac_MSC: 0.42 |
R30_w8.5_CGCATAAGTACCAGAG-1 | iPS_cells:CRL2097_foreskin-derived:d20_hepatic_diff | 0.09 | 370.47 | Raw ScoresiPS_cells:CRL2097_foreskin-derived:d20_hepatic_diff: 0.45, Tissue_stem_cells:iliac_MSC: 0.45, MSC: 0.44, Tissue_stem_cells:CD326-CD56+: 0.44, Smooth_muscle_cells:umbilical_vein: 0.44, Neuroepithelial_cell:ESC-derived: 0.44, Endothelial_cells:HUVEC: 0.44, Fibroblasts:breast: 0.43, Endothelial_cells:HUVEC:FPV-infected: 0.43, iPS_cells:CRL2097_foreskin: 0.43 |
R30_w8.5_TCAATTCGTAGATGTA-1 | MSC | 0.11 | 370.28 | Raw ScoresiPS_cells:CRL2097_foreskin-derived:d20_hepatic_diff: 0.42, MSC: 0.41, Neuroepithelial_cell:ESC-derived: 0.41, iPS_cells:CRL2097_foreskin-derived:undiff.: 0.41, Tissue_stem_cells:CD326-CD56+: 0.41, Embryonic_stem_cells: 0.41, Smooth_muscle_cells:umbilical_vein: 0.41, Neurons:Schwann_cell: 0.4, Fibroblasts:breast: 0.4, iPS_cells:PDB_2lox-22: 0.4 |
R30_w8.5_ATCCACCAGCTATCTG-1 | iPS_cells:CRL2097_foreskin-derived:d20_hepatic_diff | 0.11 | 367.93 | Raw ScoresiPS_cells:CRL2097_foreskin-derived:d20_hepatic_diff: 0.41, Neuroepithelial_cell:ESC-derived: 0.4, Tissue_stem_cells:CD326-CD56+: 0.39, Embryonic_stem_cells: 0.39, Neurons:ES_cell-derived_neural_precursor: 0.38, Tissue_stem_cells:iliac_MSC: 0.38, iPS_cells:PDB_1lox-17Puro-10: 0.38, Smooth_muscle_cells:bronchial: 0.38, MSC: 0.38, Smooth_muscle_cells:bronchial:vit_D: 0.38 |
R30_w8.5_TCAAGCACAAATCCCA-1 | Tissue_stem_cells:CD326-CD56+ | 0.10 | 367.04 | Raw ScoresiPS_cells:CRL2097_foreskin-derived:d20_hepatic_diff: 0.43, Neuroepithelial_cell:ESC-derived: 0.42, Tissue_stem_cells:CD326-CD56+: 0.42, iPS_cells:PDB_1lox-17Puro-10: 0.41, MSC: 0.41, iPS_cells:PDB_1lox-17Puro-5: 0.41, iPS_cells:PDB_1lox-21Puro-26: 0.41, Embryonic_stem_cells: 0.41, Fibroblasts:breast: 0.41, iPS_cells:PDB_1lox-21Puro-20: 0.41 |
R30_w8.5_GCTGGGTCATCGAGCC-1 | iPS_cells:CRL2097_foreskin-derived:d20_hepatic_diff | 0.10 | 359.84 | Raw ScoresiPS_cells:CRL2097_foreskin-derived:d20_hepatic_diff: 0.4, Neuroepithelial_cell:ESC-derived: 0.4, MSC: 0.4, Neurons:Schwann_cell: 0.4, iPS_cells:PDB_1lox-21Puro-26: 0.39, iPS_cells:CRL2097_foreskin: 0.39, iPS_cells:PDB_1lox-17Puro-10: 0.39, Tissue_stem_cells:CD326-CD56+: 0.39, iPS_cells:PDB_2lox-22: 0.39, Smooth_muscle_cells:umbilical_vein: 0.39 |
R53a_w9.5_CCGAACGGTTCAACGT-1 | iPS_cells:CRL2097_foreskin | 0.08 | 358.27 | Raw ScoresNeuroepithelial_cell:ESC-derived: 0.44, iPS_cells:PDB_1lox-17Puro-10: 0.43, iPS_cells:PDB_2lox-22: 0.43, iPS_cells:CRL2097_foreskin-derived:d20_hepatic_diff: 0.43, iPS_cells:PDB_1lox-21Puro-20: 0.43, iPS_cells:PDB_1lox-17Puro-5: 0.43, iPS_cells:PDB_1lox-21Puro-26: 0.43, iPS_cells:CRL2097_foreskin-derived:undiff.: 0.43, iPS_cells:PDB_2lox-17: 0.43, iPS_cells:PDB_2lox-21: 0.43 |
R39_w9.5_ATCCACCTCCTCTAGC-1 | Neurons:adrenal_medulla_cell_line | 0.15 | 353.14 | Raw ScoresNeurons:adrenal_medulla_cell_line: 0.45, Neuroepithelial_cell:ESC-derived: 0.45, iPS_cells:CRL2097_foreskin-derived:d20_hepatic_diff: 0.43, iPS_cells:PDB_1lox-17Puro-10: 0.43, iPS_cells:PDB_1lox-17Puro-5: 0.42, Embryonic_stem_cells: 0.42, Neurons:ES_cell-derived_neural_precursor: 0.42, iPS_cells:PDB_1lox-21Puro-26: 0.42, iPS_cells:PDB_1lox-21Puro-20: 0.42, iPS_cells:CRL2097_foreskin-derived:undiff.: 0.42 |
R30_w8.5_CGGGTGTCACATTCTT-1 | iPS_cells:CRL2097_foreskin-derived:d20_hepatic_diff | 0.10 | 351.90 | Raw ScoresNeuroepithelial_cell:ESC-derived: 0.41, iPS_cells:CRL2097_foreskin-derived:d20_hepatic_diff: 0.41, Tissue_stem_cells:CD326-CD56+: 0.4, Fibroblasts:breast: 0.39, Embryonic_stem_cells: 0.39, MSC: 0.39, Neurons:Schwann_cell: 0.39, iPS_cells:PDB_2lox-22: 0.39, Astrocyte:Embryonic_stem_cell-derived: 0.39, Neurons:ES_cell-derived_neural_precursor: 0.39 |
R30_w8.5_CTGAATGAGCTAAGTA-1 | iPS_cells:CRL2097_foreskin-derived:undiff. | 0.08 | 351.59 | Raw ScoresiPS_cells:CRL2097_foreskin-derived:d20_hepatic_diff: 0.39, Neuroepithelial_cell:ESC-derived: 0.38, iPS_cells:CRL2097_foreskin-derived:undiff.: 0.38, Tissue_stem_cells:CD326-CD56+: 0.38, Embryonic_stem_cells: 0.38, iPS_cells:PDB_1lox-17Puro-10: 0.37, iPS_cells:PDB_2lox-22: 0.37, iPS_cells:iPS:minicircle-derived: 0.37, iPS_cells:PDB_1lox-17Puro-5: 0.37, iPS_cells:PDB_1lox-21Puro-26: 0.37 |
R30_w8.5_AAGACTCCAGAAATCA-1 | Neuroepithelial_cell:ESC-derived | 0.11 | 346.80 | Raw ScoresNeuroepithelial_cell:ESC-derived: 0.42, iPS_cells:CRL2097_foreskin-derived:d20_hepatic_diff: 0.42, Tissue_stem_cells:CD326-CD56+: 0.41, MSC: 0.41, Neurons:adrenal_medulla_cell_line: 0.41, Tissue_stem_cells:iliac_MSC: 0.41, Fibroblasts:breast: 0.41, iPS_cells:CRL2097_foreskin-derived:undiff.: 0.41, iPS_cells:PDB_1lox-17Puro-10: 0.4, iPS_cells:PDB_2lox-22: 0.4 |
R30_w8.5_TTCTTGATCGGTCAGC-1 | iPS_cells:CRL2097_foreskin-derived:d20_hepatic_diff | 0.10 | 337.45 | Raw ScoresiPS_cells:CRL2097_foreskin-derived:d20_hepatic_diff: 0.4, Neuroepithelial_cell:ESC-derived: 0.4, Tissue_stem_cells:CD326-CD56+: 0.4, iPS_cells:PDB_2lox-22: 0.39, iPS_cells:CRL2097_foreskin-derived:undiff.: 0.39, Embryonic_stem_cells: 0.39, iPS_cells:PDB_1lox-17Puro-10: 0.39, iPS_cells:PDB_1lox-21Puro-26: 0.39, iPS_cells:PDB_1lox-17Puro-5: 0.39, iPS_cells:PDB_2lox-17: 0.39 |
R30_w8.5_TATTGGGCATGACACT-1 | iPS_cells:CRL2097_foreskin-derived:d20_hepatic_diff | 0.11 | 337.14 | Raw ScoresNeuroepithelial_cell:ESC-derived: 0.43, iPS_cells:PDB_1lox-17Puro-10: 0.43, iPS_cells:PDB_1lox-17Puro-5: 0.42, iPS_cells:PDB_2lox-22: 0.42, iPS_cells:CRL2097_foreskin-derived:d20_hepatic_diff: 0.42, Tissue_stem_cells:CD326-CD56+: 0.42, iPS_cells:PDB_1lox-21Puro-26: 0.42, Embryonic_stem_cells: 0.42, iPS_cells:CRL2097_foreskin-derived:undiff.: 0.42, iPS_cells:PDB_1lox-21Puro-20: 0.42 |
R30_w8.5_CTCAAGACAGGACATG-1 | iPS_cells:PDB_1lox-17Puro-5 | 0.09 | 333.01 | Raw ScoresiPS_cells:CRL2097_foreskin-derived:d20_hepatic_diff: 0.41, Neuroepithelial_cell:ESC-derived: 0.41, iPS_cells:PDB_1lox-17Puro-5: 0.41, iPS_cells:PDB_1lox-17Puro-10: 0.4, iPS_cells:CRL2097_foreskin-derived:undiff.: 0.4, iPS_cells:PDB_2lox-22: 0.4, iPS_cells:PDB_1lox-21Puro-26: 0.4, Tissue_stem_cells:CD326-CD56+: 0.4, Tissue_stem_cells:iliac_MSC: 0.4, Neurons:Schwann_cell: 0.4 |
R30_w8.5_CGGAATTCATTGCTTT-1 | iPS_cells:CRL2097_foreskin-derived:d20_hepatic_diff | 0.11 | 332.00 | Raw ScoresiPS_cells:CRL2097_foreskin-derived:d20_hepatic_diff: 0.4, MSC: 0.39, Tissue_stem_cells:CD326-CD56+: 0.39, Neuroepithelial_cell:ESC-derived: 0.39, iPS_cells:CRL2097_foreskin: 0.38, Neurons:Schwann_cell: 0.38, Fibroblasts:breast: 0.38, Fibroblasts:foreskin: 0.38, Embryonic_stem_cells: 0.38, Smooth_muscle_cells:vascular: 0.38 |
R30_w8.5_GGAACCCAGGATGGCT-1 | Tissue_stem_cells:CD326-CD56+ | 0.15 | 331.89 | Raw ScoresiPS_cells:PDB_1lox-17Puro-10: 0.5, iPS_cells:PDB_1lox-21Puro-26: 0.5, iPS_cells:PDB_2lox-22: 0.5, iPS_cells:PDB_1lox-21Puro-20: 0.5, Neuroepithelial_cell:ESC-derived: 0.5, iPS_cells:PDB_1lox-17Puro-5: 0.49, Tissue_stem_cells:CD326-CD56+: 0.49, iPS_cells:PDB_2lox-17: 0.49, Embryonic_stem_cells: 0.49, iPS_cells:PDB_2lox-21: 0.49 |
R53a_w9.5_TAGACTGTCCTCGATC-1 | iPS_cells:CRL2097_foreskin-derived:d20_hepatic_diff | 0.11 | 330.90 | Raw ScoresNeuroepithelial_cell:ESC-derived: 0.41, iPS_cells:PDB_1lox-17Puro-5: 0.41, iPS_cells:PDB_1lox-17Puro-10: 0.41, iPS_cells:PDB_1lox-21Puro-26: 0.41, iPS_cells:CRL2097_foreskin-derived:d20_hepatic_diff: 0.41, iPS_cells:PDB_1lox-21Puro-20: 0.41, iPS_cells:PDB_2lox-22: 0.41, iPS_cells:CRL2097_foreskin-derived:undiff.: 0.4, Neurons:adrenal_medulla_cell_line: 0.4, Neurons:ES_cell-derived_neural_precursor: 0.4 |
R30_w8.5_ACCAAACTCGCTGACG-1 | MSC | 0.12 | 325.05 | Raw ScoresNeuroepithelial_cell:ESC-derived: 0.49, iPS_cells:PDB_1lox-17Puro-10: 0.49, iPS_cells:PDB_1lox-21Puro-26: 0.49, iPS_cells:PDB_1lox-21Puro-20: 0.48, iPS_cells:PDB_2lox-22: 0.48, iPS_cells:PDB_1lox-17Puro-5: 0.48, Tissue_stem_cells:CD326-CD56+: 0.48, iPS_cells:skin_fibroblast-derived: 0.48, iPS_cells:iPS:minicircle-derived: 0.48, iPS_cells:PDB_2lox-17: 0.48 |
R30_w8.5_TTGTTCAAGAGAGCAA-1 | Neuroepithelial_cell:ESC-derived | 0.10 | 322.79 | Raw ScoresiPS_cells:CRL2097_foreskin-derived:d20_hepatic_diff: 0.43, Neuroepithelial_cell:ESC-derived: 0.42, Tissue_stem_cells:CD326-CD56+: 0.42, Embryonic_stem_cells: 0.41, iPS_cells:CRL2097_foreskin-derived:undiff.: 0.41, iPS_cells:PDB_2lox-22: 0.41, iPS_cells:PDB_1lox-17Puro-10: 0.41, iPS_cells:PDB_1lox-17Puro-5: 0.41, iPS_cells:PDB_1lox-21Puro-26: 0.41, iPS_cells:PDB_1lox-21Puro-20: 0.41 |
R53a_w9.5_TGGGAAGAGGAAGTCC-1 | iPS_cells:CRL2097_foreskin-derived:d20_hepatic_diff | 0.11 | 321.44 | Raw ScoresNeuroepithelial_cell:ESC-derived: 0.45, iPS_cells:PDB_2lox-22: 0.44, iPS_cells:CRL2097_foreskin-derived:undiff.: 0.44, Tissue_stem_cells:CD326-CD56+: 0.44, iPS_cells:PDB_1lox-17Puro-10: 0.44, Embryonic_stem_cells: 0.44, iPS_cells:PDB_1lox-17Puro-5: 0.44, iPS_cells:CRL2097_foreskin-derived:d20_hepatic_diff: 0.43, iPS_cells:PDB_1lox-21Puro-26: 0.43, iPS_cells:PDB_1lox-21Puro-20: 0.43 |
R30_w8.5_CATACTTAGACGATAT-1 | Smooth_muscle_cells:bronchial | 0.15 | 320.86 | Raw ScoresiPS_cells:CRL2097_foreskin-derived:d20_hepatic_diff: 0.47, Fibroblasts:breast: 0.46, Smooth_muscle_cells:bronchial: 0.45, MSC: 0.45, iPS_cells:CRL2097_foreskin: 0.45, Smooth_muscle_cells:bronchial:vit_D: 0.45, Tissue_stem_cells:iliac_MSC: 0.45, iPS_cells:adipose_stem_cells: 0.45, Smooth_muscle_cells:vascular: 0.45, Neuroepithelial_cell:ESC-derived: 0.45 |
R30_w8.5_GGCACGTAGTGCAGCA-1 | iPS_cells:CRL2097_foreskin-derived:d20_hepatic_diff | 0.12 | 319.58 | Raw ScoresiPS_cells:CRL2097_foreskin-derived:d20_hepatic_diff: 0.43, Neuroepithelial_cell:ESC-derived: 0.41, Tissue_stem_cells:CD326-CD56+: 0.41, Fibroblasts:breast: 0.41, Embryonic_stem_cells: 0.41, MSC: 0.4, iPS_cells:CRL2097_foreskin-derived:undiff.: 0.4, iPS_cells:PDB_1lox-17Puro-5: 0.4, Tissue_stem_cells:iliac_MSC: 0.4, iPS_cells:PDB_1lox-17Puro-10: 0.4 |
R30_w8.5_GCATCTCAGGTACAAT-1 | MSC | 0.12 | 318.84 | Raw ScoresNeuroepithelial_cell:ESC-derived: 0.48, iPS_cells:PDB_1lox-21Puro-26: 0.47, iPS_cells:PDB_2lox-22: 0.47, iPS_cells:PDB_1lox-21Puro-20: 0.47, Tissue_stem_cells:CD326-CD56+: 0.47, iPS_cells:PDB_1lox-17Puro-10: 0.47, iPS_cells:PDB_1lox-17Puro-5: 0.47, iPS_cells:fibroblast-derived:Direct_del._reprog: 0.47, iPS_cells:CRL2097_foreskin-derived:undiff.: 0.47, iPS_cells:PDB_2lox-17: 0.47 |
R53a_w9.5_ACTGTCCAGTCGAGGT-1 | Tissue_stem_cells:CD326-CD56+ | 0.11 | 317.84 | Raw ScoresiPS_cells:CRL2097_foreskin-derived:d20_hepatic_diff: 0.44, Neuroepithelial_cell:ESC-derived: 0.43, Tissue_stem_cells:CD326-CD56+: 0.43, iPS_cells:CRL2097_foreskin-derived:undiff.: 0.43, iPS_cells:PDB_2lox-22: 0.42, Neurons:Schwann_cell: 0.42, iPS_cells:PDB_1lox-17Puro-10: 0.42, iPS_cells:PDB_1lox-17Puro-5: 0.42, Embryonic_stem_cells: 0.42, iPS_cells:PDB_1lox-21Puro-20: 0.42 |
R30_w8.5_TTACGCCCACGGCGTT-1 | Neurons:ES_cell-derived_neural_precursor | 0.08 | 317.61 | Raw ScoresNeuroepithelial_cell:ESC-derived: 0.43, iPS_cells:CRL2097_foreskin-derived:d20_hepatic_diff: 0.43, Neurons:adrenal_medulla_cell_line: 0.43, iPS_cells:PDB_1lox-17Puro-10: 0.42, Embryonic_stem_cells: 0.42, Tissue_stem_cells:CD326-CD56+: 0.42, iPS_cells:PDB_1lox-17Puro-5: 0.42, iPS_cells:PDB_1lox-21Puro-20: 0.42, iPS_cells:PDB_1lox-21Puro-26: 0.42, iPS_cells:PDB_2lox-22: 0.42 |
R30_w8.5_AGGCCACGTCCGACGT-1 | iPS_cells:CRL2097_foreskin-derived:d20_hepatic_diff | 0.10 | 317.43 | Raw ScoresiPS_cells:CRL2097_foreskin-derived:d20_hepatic_diff: 0.4, Neuroepithelial_cell:ESC-derived: 0.39, iPS_cells:PDB_2lox-22: 0.38, iPS_cells:skin_fibroblast-derived: 0.38, iPS_cells:PDB_2lox-17: 0.38, iPS_cells:PDB_2lox-5: 0.38, Embryonic_stem_cells: 0.38, iPS_cells:PDB_1lox-17Puro-10: 0.38, iPS_cells:iPS:minicircle-derived: 0.38, Tissue_stem_cells:CD326-CD56+: 0.38 |
R30_w8.5_GGGCTACCAAGCCCAC-1 | iPS_cells:CRL2097_foreskin-derived:d20_hepatic_diff | 0.11 | 314.52 | Raw ScoresNeuroepithelial_cell:ESC-derived: 0.45, iPS_cells:CRL2097_foreskin-derived:d20_hepatic_diff: 0.45, iPS_cells:PDB_1lox-17Puro-10: 0.44, Embryonic_stem_cells: 0.44, iPS_cells:CRL2097_foreskin-derived:undiff.: 0.44, iPS_cells:PDB_1lox-17Puro-5: 0.44, iPS_cells:PDB_2lox-22: 0.44, Tissue_stem_cells:CD326-CD56+: 0.44, iPS_cells:PDB_1lox-21Puro-26: 0.44, iPS_cells:iPS:minicircle-derived: 0.43 |
R53a_w9.5_AAGCATCGTTAGAGTA-1 | Endothelial_cells:HUVEC:VEGF | 0.11 | 312.01 | Raw ScoresNeuroepithelial_cell:ESC-derived: 0.45, iPS_cells:CRL2097_foreskin-derived:d20_hepatic_diff: 0.44, Tissue_stem_cells:CD326-CD56+: 0.44, iPS_cells:PDB_2lox-22: 0.44, iPS_cells:CRL2097_foreskin-derived:undiff.: 0.44, Endothelial_cells:HUVEC:VEGF: 0.44, iPS_cells:PDB_1lox-17Puro-10: 0.43, iPS_cells:PDB_1lox-17Puro-5: 0.43, iPS_cells:PDB_2lox-5: 0.43, Embryonic_stem_cells: 0.43 |
R30_w8.5_CCATCACTCACGGGCT-1 | Tissue_stem_cells:CD326-CD56+ | 0.11 | 310.48 | Raw ScoresNeuroepithelial_cell:ESC-derived: 0.43, iPS_cells:CRL2097_foreskin-derived:d20_hepatic_diff: 0.43, iPS_cells:PDB_1lox-17Puro-10: 0.42, Neurons:Schwann_cell: 0.42, Tissue_stem_cells:CD326-CD56+: 0.42, iPS_cells:PDB_1lox-21Puro-26: 0.42, iPS_cells:PDB_1lox-21Puro-20: 0.42, Embryonic_stem_cells: 0.42, iPS_cells:PDB_1lox-17Puro-5: 0.42, iPS_cells:PDB_2lox-22: 0.42 |
R30_w8.5_CCTTGTGAGCGTTAGG-1 | iPS_cells:CRL2097_foreskin-derived:d20_hepatic_diff | 0.10 | 310.16 | Raw ScoresiPS_cells:CRL2097_foreskin-derived:d20_hepatic_diff: 0.42, Neuroepithelial_cell:ESC-derived: 0.42, Tissue_stem_cells:CD326-CD56+: 0.42, iPS_cells:PDB_1lox-17Puro-10: 0.42, iPS_cells:PDB_1lox-17Puro-5: 0.41, iPS_cells:PDB_2lox-22: 0.41, iPS_cells:CRL2097_foreskin-derived:undiff.: 0.41, iPS_cells:PDB_1lox-21Puro-26: 0.41, Embryonic_stem_cells: 0.41, iPS_cells:PDB_1lox-21Puro-20: 0.41 |
R30_w8.5_AGAACCTAGTGGAAGA-1 | Neuroepithelial_cell:ESC-derived | 0.16 | 308.99 | Raw ScoresNeuroepithelial_cell:ESC-derived: 0.5, iPS_cells:PDB_1lox-17Puro-10: 0.48, iPS_cells:PDB_1lox-21Puro-26: 0.48, iPS_cells:PDB_1lox-21Puro-20: 0.48, iPS_cells:PDB_1lox-17Puro-5: 0.48, iPS_cells:PDB_2lox-22: 0.48, Embryonic_stem_cells: 0.48, iPS_cells:skin_fibroblast-derived: 0.47, iPS_cells:PDB_2lox-17: 0.47, iPS_cells:CRL2097_foreskin-derived:undiff.: 0.47 |
R53b_w11.5_GCACGGTTCTTGTTAC-1 | iPS_cells:CRL2097_foreskin-derived:d20_hepatic_diff | 0.10 | 306.61 | Raw ScoresiPS_cells:CRL2097_foreskin-derived:d20_hepatic_diff: 0.42, Neurons:Schwann_cell: 0.4, MSC: 0.4, Neuroepithelial_cell:ESC-derived: 0.4, Tissue_stem_cells:CD326-CD56+: 0.4, Smooth_muscle_cells:umbilical_vein: 0.4, Tissue_stem_cells:iliac_MSC: 0.4, iPS_cells:CRL2097_foreskin-derived:undiff.: 0.39, Endothelial_cells:HUVEC: 0.39, Smooth_muscle_cells:vascular:IL-17: 0.39 |
R30_w8.5_AACGAAACATTCTTCA-1 | MSC | 0.11 | 305.02 | Raw ScoresNeuroepithelial_cell:ESC-derived: 0.46, iPS_cells:PDB_1lox-21Puro-26: 0.45, iPS_cells:PDB_1lox-17Puro-10: 0.45, iPS_cells:PDB_1lox-21Puro-20: 0.45, iPS_cells:PDB_1lox-17Puro-5: 0.45, iPS_cells:PDB_2lox-22: 0.45, Embryonic_stem_cells: 0.45, iPS_cells:CRL2097_foreskin-derived:undiff.: 0.44, iPS_cells:fibroblast-derived:Direct_del._reprog: 0.44, iPS_cells:skin_fibroblast-derived: 0.44 |
R30_w8.5_CTGCTCACATAATGCC-1 | Neurons:adrenal_medulla_cell_line | 0.15 | 302.80 | Raw ScoresNeuroepithelial_cell:ESC-derived: 0.5, Neurons:adrenal_medulla_cell_line: 0.48, iPS_cells:CRL2097_foreskin-derived:d20_hepatic_diff: 0.48, Tissue_stem_cells:CD326-CD56+: 0.48, Embryonic_stem_cells: 0.48, iPS_cells:PDB_2lox-22: 0.47, iPS_cells:PDB_1lox-17Puro-10: 0.47, iPS_cells:CRL2097_foreskin-derived:undiff.: 0.47, iPS_cells:PDB_1lox-21Puro-26: 0.47, iPS_cells:PDB_1lox-17Puro-5: 0.47 |
R30_w8.5_CGGGTCATCGTCAACA-1 | iPS_cells:CRL2097_foreskin-derived:d20_hepatic_diff | 0.11 | 300.56 | Raw ScoresiPS_cells:CRL2097_foreskin-derived:d20_hepatic_diff: 0.45, Neuroepithelial_cell:ESC-derived: 0.44, Embryonic_stem_cells: 0.43, iPS_cells:PDB_1lox-17Puro-10: 0.43, iPS_cells:PDB_1lox-21Puro-26: 0.42, Tissue_stem_cells:CD326-CD56+: 0.42, iPS_cells:PDB_1lox-17Puro-5: 0.42, iPS_cells:PDB_2lox-22: 0.42, iPS_cells:PDB_1lox-21Puro-20: 0.42, iPS_cells:CRL2097_foreskin-derived:undiff.: 0.42 |
R30_w8.5_TGCGGGTAGCCAGTAG-1 | iPS_cells:CRL2097_foreskin-derived:d20_hepatic_diff | 0.11 | 300.30 | Raw ScoresNeuroepithelial_cell:ESC-derived: 0.4, iPS_cells:CRL2097_foreskin-derived:d20_hepatic_diff: 0.39, Tissue_stem_cells:CD326-CD56+: 0.38, Embryonic_stem_cells: 0.38, Neurons:adrenal_medulla_cell_line: 0.37, Neurons:ES_cell-derived_neural_precursor: 0.37, iPS_cells:PDB_1lox-17Puro-10: 0.37, iPS_cells:PDB_2lox-22: 0.37, MSC: 0.37, iPS_cells:PDB_1lox-17Puro-5: 0.37 |
R30_w8.5_TCCACCAAGCATCCTA-1 | iPS_cells:CRL2097_foreskin-derived:d20_hepatic_diff | 0.11 | 300.20 | Raw ScoresiPS_cells:CRL2097_foreskin-derived:d20_hepatic_diff: 0.42, Neuroepithelial_cell:ESC-derived: 0.41, iPS_cells:PDB_2lox-22: 0.4, iPS_cells:CRL2097_foreskin-derived:undiff.: 0.4, Tissue_stem_cells:CD326-CD56+: 0.4, iPS_cells:PDB_1lox-21Puro-26: 0.4, iPS_cells:PDB_1lox-17Puro-5: 0.4, iPS_cells:PDB_1lox-17Puro-10: 0.4, MSC: 0.4, iPS_cells:PDB_1lox-21Puro-20: 0.4 |
Below shows the significant enrichments of this GEP for literature curated gene lists
  This data was procured from existing single cell RNA-seq maps of neuroblastoma or related relevant data.
  High ranks indicate this gene is a driver of this GEP.
  These curated gene list are ranked by the P-value (on this GEP) of their constituent genes.
  The Mean Count column shows the mean read count in cells scoring highly (H > 50) on this gene expression program.
Genes | Weight | Rank | GTEx | DepMap | Decartes | Mean.Counts | Mean.TPM |
---|---|---|---|---|---|---|---|
PSME2 | 0.0038170 | 346 | GTEx | DepMap | Descartes | 3.88 | 142.61 |
PSMA3 | 0.0024878 | 683 | GTEx | DepMap | Descartes | 2.51 | 194.35 |
PSMA4 | 0.0024034 | 709 | GTEx | DepMap | Descartes | 3.87 | 88.95 |
PSMB3 | 0.0019997 | 913 | GTEx | DepMap | Descartes | 3.59 | 465.83 |
PSMC2 | 0.0005461 | 2906 | GTEx | DepMap | Descartes | 0.99 | 32.30 |
Translation (Dong)
Markers obtained in computationally inferred meta program (by NMF applied to their neuroblastoma sc-RNA-seq data) from Fig. 5(a) of Dong et al. (PMID 32946775).:
Wilcoxon ranksum test P-value for gene set overrepresentation: 3.48e-03
Mean rank of genes in gene set: 1295.67
Rank on gene expression program of genes in gene set:
Genes | Weight | Rank | GTEx | DepMap | Decartes | Mean.Counts | Mean.TPM |
---|---|---|---|---|---|---|---|
EIF3E | 0.0049332 | 188 | GTEx | DepMap | Descartes | 9.13 | 468.24 |
EIF3L | 0.0011062 | 1736 | GTEx | DepMap | Descartes | 4.39 | 144.56 |
EIF3F | 0.0009532 | 1963 | GTEx | DepMap | Descartes | 3.77 | 52.86 |
Adrenal Premordium (Hanemaaijer)
Marker genes obtained from Supplementary Table SD of Hanemaaijer et al (PMID 33500353). The authors generated single-cell RNA-seq data (sort-seq, 2,229 cells total) from mouse adrenal glads at E13.5, E14.5, E17.5, E18.5, P1 and P5. These were marker genes that matched with a similar dataset generated by Furlan et al (PMID 28684471). This particular set of markers are for the Adrenal Premordium subcluster, which is part of the Cortex cluster.:
Wilcoxon ranksum test P-value for gene set overrepresentation: 6.64e-03
Mean rank of genes in gene set: 4655.6
Rank on gene expression program of genes in gene set:
Genes | Weight | Rank | GTEx | DepMap | Decartes | Mean.Counts | Mean.TPM |
---|---|---|---|---|---|---|---|
TPI1 | 0.0076578 | 34 | GTEx | DepMap | Descartes | 19.14 | 1114.17 |
NPM1 | 0.0066677 | 69 | GTEx | DepMap | Descartes | 23.61 | 1401.76 |
RPS2 | 0.0052178 | 161 | GTEx | DepMap | Descartes | 72.07 | 4842.78 |
MIF | 0.0042857 | 261 | GTEx | DepMap | Descartes | 8.46 | 869.88 |
TK1 | -0.0009456 | 22753 | GTEx | DepMap | Descartes | 0.36 | 19.21 |
Below shows ranks on this GEP for literature curated gene lists for large gene sets
  These include those reported as mesenchymal/adrenergic by Van Groningen et al.
  High ranks indicate this gene is a driver of this GEP (note these results are not ordered).
  The Mean Count column shows the mean read count in cells scoring highly (H > 50) on this gene expression program.
VanGroningen Adrenergic Genes
Adrenergic marker genes from Supplementary Table 2 of Van Groningen et al. Nature Genetics 2017. These genes were identified by differential expression analysis of mesenchymal-like and adrenergic-like neuroblastoma cell lines.
Wilcoxon ranksum test P-value for gene set overrepresentation: 1.00e+00
Mean rank of genes in gene set: 17273.28
Median rank of genes in gene set: 20365
Rank on gene expression program of top 30 genes in gene set:
Genes | Weight | Rank | GTEx | DepMap | Descartes | Mean.Counts | Mean.TPM |
---|---|---|---|---|---|---|---|
DLK1 | 0.0093620 | 10 | GTEx | DepMap | Descartes | 75.56 | 1630.44 |
PTS | 0.0087444 | 19 | GTEx | DepMap | Descartes | 11.06 | 1036.37 |
TSPAN13 | 0.0070806 | 50 | GTEx | DepMap | Descartes | 4.49 | 269.90 |
RBP1 | 0.0064711 | 79 | GTEx | DepMap | Descartes | 19.59 | 1027.08 |
PHPT1 | 0.0060408 | 104 | GTEx | DepMap | Descartes | 9.49 | 734.25 |
RANBP1 | 0.0046789 | 217 | GTEx | DepMap | Descartes | 6.10 | 279.40 |
BEX2 | 0.0043878 | 244 | GTEx | DepMap | Descartes | 3.28 | 319.03 |
PKIA | 0.0040627 | 289 | GTEx | DepMap | Descartes | 2.22 | 63.65 |
AHSA1 | 0.0040529 | 292 | GTEx | DepMap | Descartes | 2.76 | 209.01 |
GLRX | 0.0038839 | 325 | GTEx | DepMap | Descartes | 3.06 | 89.58 |
LSM4 | 0.0037706 | 353 | GTEx | DepMap | Descartes | 5.47 | 316.23 |
EPB41L4A-AS1 | 0.0033454 | 443 | GTEx | DepMap | Descartes | 1.88 | 58.78 |
NRCAM | 0.0025766 | 651 | GTEx | DepMap | Descartes | 4.88 | 84.15 |
STRA6 | 0.0022962 | 773 | GTEx | DepMap | Descartes | 0.79 | 31.85 |
TSPAN7 | 0.0020060 | 908 | GTEx | DepMap | Descartes | 2.51 | 135.87 |
BEX1 | 0.0020004 | 912 | GTEx | DepMap | Descartes | 4.61 | 552.06 |
CADM1 | 0.0018260 | 1024 | GTEx | DepMap | Descartes | 4.78 | 61.52 |
LSM3 | 0.0018139 | 1033 | GTEx | DepMap | Descartes | 2.79 | 81.17 |
EIF1B | 0.0018000 | 1042 | GTEx | DepMap | Descartes | 3.08 | 327.35 |
NFIL3 | 0.0014771 | 1304 | GTEx | DepMap | Descartes | 0.88 | 47.64 |
CXCR4 | 0.0014719 | 1315 | GTEx | DepMap | Descartes | 1.39 | 78.48 |
TRAP1 | 0.0013640 | 1432 | GTEx | DepMap | Descartes | 1.35 | 58.68 |
TTC8 | 0.0013481 | 1447 | GTEx | DepMap | Descartes | 0.66 | 13.44 |
OLA1 | 0.0013467 | 1449 | GTEx | DepMap | Descartes | 1.28 | 31.29 |
GDAP1L1 | 0.0011506 | 1681 | GTEx | DepMap | Descartes | 0.27 | 9.87 |
CXADR | 0.0011025 | 1741 | GTEx | DepMap | Descartes | 0.49 | 9.57 |
INO80C | 0.0009560 | 1954 | GTEx | DepMap | Descartes | 0.40 | 12.29 |
TMEM97 | 0.0009283 | 1999 | GTEx | DepMap | Descartes | 2.50 | 101.55 |
CCDC167 | 0.0009278 | 2002 | GTEx | DepMap | Descartes | 1.37 | 234.62 |
RFC4 | 0.0008602 | 2121 | GTEx | DepMap | Descartes | 0.50 | 32.17 |
VanGroningen Mesenchymal Genes
Mesenchymal marker genes from Supplementary Table 2 of Van Groningen et al. Nature Genetics 2017. These genes were identified by differential expression analysis of mesenchymal-like and adrenergic-like neuroblastoma cell lines.
Wilcoxon ranksum test P-value for gene set overrepresentation: 1.00e+00
Mean rank of genes in gene set: 18765.79
Median rank of genes in gene set: 22834
Rank on gene expression program of top 30 genes in gene set:
Genes | Weight | Rank | GTEx | DepMap | Descartes | Mean.Counts | Mean.TPM |
---|---|---|---|---|---|---|---|
TPM2 | 0.0067837 | 62 | GTEx | DepMap | Descartes | 14.43 | 916.31 |
LAPTM4A | 0.0063751 | 83 | GTEx | DepMap | Descartes | 10.08 | 768.32 |
CD63 | 0.0063405 | 85 | GTEx | DepMap | Descartes | 24.90 | 2032.20 |
OSTC | 0.0056241 | 135 | GTEx | DepMap | Descartes | 7.56 | 725.00 |
SCPEP1 | 0.0045666 | 228 | GTEx | DepMap | Descartes | 3.32 | 176.31 |
PDIA6 | 0.0039729 | 304 | GTEx | DepMap | Descartes | 10.63 | 392.16 |
APOE | 0.0039213 | 316 | GTEx | DepMap | Descartes | 58.80 | 4714.04 |
PPIB | 0.0037093 | 367 | GTEx | DepMap | Descartes | 10.64 | 895.49 |
MGST1 | 0.0036747 | 374 | GTEx | DepMap | Descartes | 6.41 | 277.48 |
DDOST | 0.0035357 | 394 | GTEx | DepMap | Descartes | 2.78 | 139.00 |
ANXA5 | 0.0034805 | 409 | GTEx | DepMap | Descartes | 5.48 | 346.78 |
GNAI1 | 0.0033296 | 447 | GTEx | DepMap | Descartes | 3.42 | 36.67 |
ACADVL | 0.0031982 | 476 | GTEx | DepMap | Descartes | 3.87 | 167.63 |
RGS3 | 0.0031765 | 479 | GTEx | DepMap | Descartes | 2.01 | 47.86 |
PRDX4 | 0.0031188 | 492 | GTEx | DepMap | Descartes | 4.64 | 472.69 |
DUSP14 | 0.0030753 | 502 | GTEx | DepMap | Descartes | 0.69 | 31.78 |
PON2 | 0.0028762 | 558 | GTEx | DepMap | Descartes | 3.80 | 204.79 |
TIMP1 | 0.0028750 | 559 | GTEx | DepMap | Descartes | 7.06 | 666.88 |
POLR2L | 0.0028654 | 562 | GTEx | DepMap | Descartes | 8.46 | 968.75 |
PLAGL1 | 0.0028634 | 564 | GTEx | DepMap | Descartes | 9.41 | 165.21 |
MYL12B | 0.0027857 | 581 | GTEx | DepMap | Descartes | 10.20 | 820.28 |
SSBP4 | 0.0027311 | 594 | GTEx | DepMap | Descartes | 3.18 | 193.59 |
ATP1B1 | 0.0026399 | 621 | GTEx | DepMap | Descartes | 3.52 | 146.88 |
KCNK2 | 0.0025817 | 648 | GTEx | DepMap | Descartes | 0.20 | 6.51 |
CD59 | 0.0023677 | 730 | GTEx | DepMap | Descartes | 3.02 | 40.48 |
ATP6V0E1 | 0.0023232 | 754 | GTEx | DepMap | Descartes | 3.90 | 279.14 |
SFT2D1 | 0.0022821 | 779 | GTEx | DepMap | Descartes | 1.39 | 55.58 |
PRDX6 | 0.0020570 | 881 | GTEx | DepMap | Descartes | 5.44 | 328.75 |
RNH1 | 0.0018961 | 971 | GTEx | DepMap | Descartes | 2.47 | 77.90 |
SYPL1 | 0.0018927 | 974 | GTEx | DepMap | Descartes | 2.97 | 143.62 |
Descartes adrenocortical markers
Top 50 marker genes of adrenocortical cells in the Decartes fetal adrenal single cell map (https://atlas.brotmanbaty.org/bbi/human-gene-expression-during-development/cell/adrenocortical/in/adrenal)
Wilcoxon ranksum test P-value for gene set overrepresentation: 7.84e-01
Mean rank of genes in gene set: 13768.3
Median rank of genes in gene set: 16642.5
Rank on gene expression program of top 30 genes in gene set:
Genes | Weight | Rank | GTEx | DepMap | Descartes | Mean.Counts | Mean.TPM |
---|---|---|---|---|---|---|---|
FDXR | 0.0088284 | 17 | GTEx | DepMap | Descartes | 16.59 | 678.10 |
HSPE1 | 0.0070021 | 56 | GTEx | DepMap | Descartes | 52.93 | 7025.44 |
GSTA4 | 0.0058999 | 117 | GTEx | DepMap | Descartes | 7.67 | 436.86 |
POR | 0.0056841 | 130 | GTEx | DepMap | Descartes | 9.15 | 357.16 |
HSPD1 | 0.0047939 | 205 | GTEx | DepMap | Descartes | 41.83 | 1759.64 |
INHA | 0.0037187 | 362 | GTEx | DepMap | Descartes | 5.61 | 406.34 |
FDX1 | 0.0034266 | 425 | GTEx | DepMap | Descartes | 45.76 | 1329.67 |
CYB5B | 0.0024903 | 682 | GTEx | DepMap | Descartes | 4.56 | 109.38 |
STAR | 0.0017620 | 1075 | GTEx | DepMap | Descartes | 50.70 | 1306.05 |
ERN1 | 0.0017153 | 1121 | GTEx | DepMap | Descartes | 1.27 | 16.99 |
MC2R | 0.0016754 | 1157 | GTEx | DepMap | Descartes | 2.72 | 72.40 |
CYP21A2 | 0.0012096 | 1591 | GTEx | DepMap | Descartes | 9.55 | 385.93 |
TM7SF2 | 0.0011832 | 1628 | GTEx | DepMap | Descartes | 3.25 | 150.38 |
BAIAP2L1 | 0.0005918 | 2769 | GTEx | DepMap | Descartes | 0.57 | 16.81 |
GRAMD1B | 0.0005380 | 2932 | GTEx | DepMap | Descartes | 2.79 | 35.66 |
CYP11A1 | 0.0003507 | 3643 | GTEx | DepMap | Descartes | 15.33 | 682.30 |
JAKMIP2 | 0.0002267 | 4369 | GTEx | DepMap | Descartes | 1.11 | 12.45 |
SULT2A1 | 0.0000161 | 6899 | GTEx | DepMap | Descartes | 7.46 | 334.07 |
SLC16A9 | -0.0001283 | 12588 | GTEx | DepMap | Descartes | 1.67 | 40.83 |
SGCZ | -0.0001570 | 13601 | GTEx | DepMap | Descartes | 0.00 | 0.01 |
DHCR7 | -0.0001754 | 14167 | GTEx | DepMap | Descartes | 1.96 | 69.55 |
APOC1 | -0.0002059 | 14984 | GTEx | DepMap | Descartes | 11.75 | 1593.65 |
SH3PXD2B | -0.0002544 | 15971 | GTEx | DepMap | Descartes | 0.48 | 6.35 |
LINC00473 | -0.0003374 | 17314 | GTEx | DepMap | Descartes | 0.90 | NA |
SCAP | -0.0004749 | 19086 | GTEx | DepMap | Descartes | 2.34 | 54.44 |
DNER | -0.0005573 | 19908 | GTEx | DepMap | Descartes | 0.17 | 4.57 |
SLC2A14 | -0.0006087 | 20368 | GTEx | DepMap | Descartes | 0.17 | 3.95 |
FRMD5 | -0.0007243 | 21297 | GTEx | DepMap | Descartes | 0.07 | 1.27 |
SLC1A2 | -0.0007291 | 21339 | GTEx | DepMap | Descartes | 0.02 | 0.10 |
CLU | -0.0007473 | 21483 | GTEx | DepMap | Descartes | 0.45 | 14.77 |
Descartes chromaffin markers
Top 50 marker genes of chromaffin cells in the Decartes fetal adrenal single cell map (https://atlas.brotmanbaty.org/bbi/human-gene-expression-during-development/cell/chromaffin/in/adrenal)
Wilcoxon ranksum test P-value for gene set overrepresentation: 1.00e+00
Mean rank of genes in gene set: 19349.86
Median rank of genes in gene set: 19419.5
Rank on gene expression program of top 30 genes in gene set:
Genes | Weight | Rank | GTEx | DepMap | Descartes | Mean.Counts | Mean.TPM |
---|---|---|---|---|---|---|---|
ANKFN1 | -0.0001168 | 12136 | GTEx | DepMap | Descartes | 0.00 | 0.03 |
REEP1 | -0.0001355 | 12860 | GTEx | DepMap | Descartes | 0.10 | 2.85 |
MARCH11 | -0.0001622 | 13792 | GTEx | DepMap | Descartes | 0.03 | NA |
HS3ST5 | -0.0001872 | 14493 | GTEx | DepMap | Descartes | 0.00 | 0.12 |
EPHA6 | -0.0002134 | 15171 | GTEx | DepMap | Descartes | 0.00 | 0.02 |
NTRK1 | -0.0002225 | 15368 | GTEx | DepMap | Descartes | 0.00 | 0.04 |
HMX1 | -0.0002460 | 15827 | GTEx | DepMap | Descartes | 0.00 | 0.13 |
GREM1 | -0.0002499 | 15887 | GTEx | DepMap | Descartes | 0.02 | 0.14 |
KCNB2 | -0.0002828 | 16459 | GTEx | DepMap | Descartes | 0.00 | 0.02 |
RPH3A | -0.0003184 | 17042 | GTEx | DepMap | Descartes | 0.00 | 0.08 |
RGMB | -0.0003508 | 17540 | GTEx | DepMap | Descartes | 0.17 | 4.10 |
ALK | -0.0003530 | 17574 | GTEx | DepMap | Descartes | 0.00 | 0.04 |
SLC44A5 | -0.0003691 | 17794 | GTEx | DepMap | Descartes | 0.01 | 0.17 |
IL7 | -0.0003913 | 18090 | GTEx | DepMap | Descartes | 0.01 | 0.67 |
EYA4 | -0.0004244 | 18502 | GTEx | DepMap | Descartes | 0.04 | 0.72 |
TMEFF2 | -0.0004293 | 18569 | GTEx | DepMap | Descartes | 0.01 | 0.32 |
TMEM132C | -0.0004306 | 18588 | GTEx | DepMap | Descartes | 0.00 | 0.07 |
FAT3 | -0.0004428 | 18771 | GTEx | DepMap | Descartes | 0.13 | 0.90 |
MLLT11 | -0.0004796 | 19138 | GTEx | DepMap | Descartes | 0.48 | 18.94 |
GAL | -0.0004848 | 19194 | GTEx | DepMap | Descartes | 0.08 | 10.46 |
PTCHD1 | -0.0004930 | 19282 | GTEx | DepMap | Descartes | 0.00 | 0.04 |
RBFOX1 | -0.0005034 | 19376 | GTEx | DepMap | Descartes | 0.04 | 0.91 |
MAB21L2 | -0.0005120 | 19463 | GTEx | DepMap | Descartes | 0.01 | 0.26 |
CNKSR2 | -0.0005303 | 19640 | GTEx | DepMap | Descartes | 0.01 | 0.08 |
RYR2 | -0.0005320 | 19652 | GTEx | DepMap | Descartes | 0.03 | 0.20 |
PRPH | -0.0005702 | 20026 | GTEx | DepMap | Descartes | 0.03 | 1.51 |
EYA1 | -0.0006084 | 20365 | GTEx | DepMap | Descartes | 0.01 | 0.12 |
STMN4 | -0.0006218 | 20490 | GTEx | DepMap | Descartes | 0.03 | 1.27 |
SLC6A2 | -0.0006403 | 20651 | GTEx | DepMap | Descartes | 0.01 | 0.15 |
NPY | -0.0006681 | 20887 | GTEx | DepMap | Descartes | 0.06 | 7.56 |
Descartes Vascular_endothelial markers
Top 50 marker genes of Vascular_endothelial cells in the Decartes fetal adrenal single cell map (https://atlas.brotmanbaty.org/bbi/human-gene-expression-during-development/cell/vascular_endothelial/in/adrenal)
Wilcoxon ranksum test P-value for gene set overrepresentation: 1.00e+00
Mean rank of genes in gene set: 24601.09
Median rank of genes in gene set: 25030.5
Rank on gene expression program of top 30 genes in gene set:
Genes | Weight | Rank | GTEx | DepMap | Descartes | Mean.Counts | Mean.TPM |
---|---|---|---|---|---|---|---|
MYRIP | -0.0006005 | 20282 | GTEx | DepMap | Descartes | 0.00 | 0.04 |
ESM1 | -0.0007391 | 21417 | GTEx | DepMap | Descartes | 0.02 | 0.85 |
CDH13 | -0.0007763 | 21701 | GTEx | DepMap | Descartes | 0.10 | 1.42 |
NR5A2 | -0.0008187 | 21998 | GTEx | DepMap | Descartes | 0.00 | 0.04 |
GALNT15 | -0.0008833 | 22406 | GTEx | DepMap | Descartes | 0.01 | NA |
DNASE1L3 | -0.0011553 | 23762 | GTEx | DepMap | Descartes | 0.06 | 3.22 |
SLCO2A1 | -0.0011566 | 23766 | GTEx | DepMap | Descartes | 0.01 | 0.31 |
CRHBP | -0.0012204 | 24017 | GTEx | DepMap | Descartes | 0.04 | 3.02 |
FCGR2B | -0.0012607 | 24153 | GTEx | DepMap | Descartes | 0.07 | 1.58 |
CHRM3 | -0.0012677 | 24176 | GTEx | DepMap | Descartes | 0.01 | 0.13 |
PODXL | -0.0012980 | 24281 | GTEx | DepMap | Descartes | 0.03 | 0.54 |
BTNL9 | -0.0013272 | 24360 | GTEx | DepMap | Descartes | 0.10 | 3.04 |
APLNR | -0.0013375 | 24382 | GTEx | DepMap | Descartes | 0.01 | 0.37 |
CEACAM1 | -0.0013698 | 24463 | GTEx | DepMap | Descartes | 0.06 | 1.84 |
HYAL2 | -0.0014064 | 24561 | GTEx | DepMap | Descartes | 0.78 | 19.81 |
NOTCH4 | -0.0014623 | 24704 | GTEx | DepMap | Descartes | 0.04 | 0.67 |
MMRN2 | -0.0015098 | 24826 | GTEx | DepMap | Descartes | 0.22 | 6.14 |
FLT4 | -0.0015170 | 24843 | GTEx | DepMap | Descartes | 0.02 | 0.40 |
CYP26B1 | -0.0015484 | 24898 | GTEx | DepMap | Descartes | 0.04 | 0.99 |
SHE | -0.0015554 | 24922 | GTEx | DepMap | Descartes | 0.01 | 0.21 |
SHANK3 | -0.0016060 | 25019 | GTEx | DepMap | Descartes | 0.03 | 0.37 |
NPR1 | -0.0016076 | 25022 | GTEx | DepMap | Descartes | 0.03 | 0.80 |
RASIP1 | -0.0016178 | 25039 | GTEx | DepMap | Descartes | 0.16 | 5.12 |
IRX3 | -0.0016273 | 25060 | GTEx | DepMap | Descartes | 0.02 | 0.66 |
TEK | -0.0016715 | 25123 | GTEx | DepMap | Descartes | 0.02 | 0.51 |
SOX18 | -0.0016796 | 25135 | GTEx | DepMap | Descartes | 0.06 | 3.30 |
PTPRB | -0.0017298 | 25203 | GTEx | DepMap | Descartes | 0.03 | 0.23 |
F8 | -0.0017353 | 25213 | GTEx | DepMap | Descartes | 0.05 | 0.51 |
TIE1 | -0.0017399 | 25216 | GTEx | DepMap | Descartes | 0.03 | 0.71 |
KANK3 | -0.0017549 | 25235 | GTEx | DepMap | Descartes | 0.05 | 1.66 |
Descartes stromal markers
Top 50 marker genes of stromal cells in the Decartes fetal adrenal single cell map (https://atlas.brotmanbaty.org/bbi/human-gene-expression-during-development/cell/stromal/in/adrenal)
Wilcoxon ranksum test P-value for gene set overrepresentation: 1.00e+00
Mean rank of genes in gene set: 21912.27
Median rank of genes in gene set: 22723
Rank on gene expression program of top 30 genes in gene set:
Genes | Weight | Rank | GTEx | DepMap | Descartes | Mean.Counts | Mean.TPM |
---|---|---|---|---|---|---|---|
ZNF385D | 0.0001039 | 5529 | GTEx | DepMap | Descartes | 0.09 | 0.89 |
C7 | -0.0001378 | 12960 | GTEx | DepMap | Descartes | 2.42 | 46.58 |
SCARA5 | -0.0003924 | 18099 | GTEx | DepMap | Descartes | 0.02 | 0.60 |
DKK2 | -0.0004177 | 18439 | GTEx | DepMap | Descartes | 0.01 | 0.21 |
GAS2 | -0.0004595 | 18921 | GTEx | DepMap | Descartes | 0.02 | 0.62 |
ABCA6 | -0.0004851 | 19202 | GTEx | DepMap | Descartes | 0.02 | 0.26 |
LUM | -0.0004854 | 19205 | GTEx | DepMap | Descartes | 0.15 | 4.60 |
MGP | -0.0005121 | 19465 | GTEx | DepMap | Descartes | 0.11 | 6.06 |
LAMC3 | -0.0005525 | 19857 | GTEx | DepMap | Descartes | 0.03 | 0.38 |
FNDC1 | -0.0005638 | 19969 | GTEx | DepMap | Descartes | 0.00 | 0.05 |
ADAMTSL3 | -0.0005903 | 20197 | GTEx | DepMap | Descartes | 0.01 | 0.07 |
ITGA11 | -0.0006209 | 20482 | GTEx | DepMap | Descartes | 0.01 | 0.13 |
ACTA2 | -0.0006833 | 21012 | GTEx | DepMap | Descartes | 0.08 | 6.74 |
SFRP2 | -0.0006947 | 21093 | GTEx | DepMap | Descartes | 0.02 | 1.08 |
CCDC102B | -0.0007057 | 21172 | GTEx | DepMap | Descartes | 0.01 | 0.21 |
BICC1 | -0.0007086 | 21190 | GTEx | DepMap | Descartes | 0.25 | 4.76 |
POSTN | -0.0007611 | 21574 | GTEx | DepMap | Descartes | 0.15 | 4.82 |
PAMR1 | -0.0007631 | 21598 | GTEx | DepMap | Descartes | 0.01 | 0.24 |
CLDN11 | -0.0008646 | 22290 | GTEx | DepMap | Descartes | 0.03 | 1.07 |
RSPO3 | -0.0008713 | 22330 | GTEx | DepMap | Descartes | 0.06 | NA |
ADAMTS2 | -0.0008754 | 22366 | GTEx | DepMap | Descartes | 0.01 | 0.11 |
GLI2 | -0.0008759 | 22371 | GTEx | DepMap | Descartes | 0.02 | 0.35 |
MXRA5 | -0.0008842 | 22409 | GTEx | DepMap | Descartes | 0.02 | 0.15 |
HHIP | -0.0009057 | 22528 | GTEx | DepMap | Descartes | 0.02 | 0.13 |
LOX | -0.0009416 | 22723 | GTEx | DepMap | Descartes | 0.03 | 0.56 |
ABCC9 | -0.0009789 | 22913 | GTEx | DepMap | Descartes | 0.00 | 0.05 |
IGFBP3 | -0.0009970 | 22985 | GTEx | DepMap | Descartes | 0.26 | 10.68 |
DCN | -0.0010163 | 23096 | GTEx | DepMap | Descartes | 0.72 | 10.52 |
OGN | -0.0010251 | 23146 | GTEx | DepMap | Descartes | 0.05 | 1.51 |
CCDC80 | -0.0010626 | 23341 | GTEx | DepMap | Descartes | 0.26 | 2.10 |
Descartes sympathoblasts markers
Top 50 marker genes of sympathoblasts cells in the Decartes fetal adrenal single cell map (https://atlas.brotmanbaty.org/bbi/human-gene-expression-during-development/cell/sympathoblasts/in/adrenal)
Wilcoxon ranksum test P-value for gene set overrepresentation: 1.00e+00
Mean rank of genes in gene set: 19544.34
Median rank of genes in gene set: 21021.5
Rank on gene expression program of top 30 genes in gene set:
Genes | Weight | Rank | GTEx | DepMap | Descartes | Mean.Counts | Mean.TPM |
---|---|---|---|---|---|---|---|
GCH1 | 0.0002635 | 4112 | GTEx | DepMap | Descartes | 0.24 | 9.02 |
CDH18 | 0.0001322 | 5204 | GTEx | DepMap | Descartes | 0.04 | 1.01 |
CDH12 | 0.0000798 | 5835 | GTEx | DepMap | Descartes | 0.09 | 2.42 |
PACRG | -0.0000329 | 8387 | GTEx | DepMap | Descartes | 0.03 | 2.43 |
CNTNAP5 | -0.0002061 | 14995 | GTEx | DepMap | Descartes | 0.01 | 0.16 |
SLC35F3 | -0.0002454 | 15815 | GTEx | DepMap | Descartes | 0.00 | 0.06 |
GALNTL6 | -0.0003076 | 16877 | GTEx | DepMap | Descartes | 0.00 | 0.10 |
TBX20 | -0.0003636 | 17723 | GTEx | DepMap | Descartes | 0.00 | 0.02 |
LAMA3 | -0.0003655 | 17753 | GTEx | DepMap | Descartes | 0.07 | 0.69 |
EML6 | -0.0003669 | 17770 | GTEx | DepMap | Descartes | 0.08 | 0.88 |
SORCS3 | -0.0003747 | 17872 | GTEx | DepMap | Descartes | 0.00 | 0.01 |
AGBL4 | -0.0004257 | 18522 | GTEx | DepMap | Descartes | 0.01 | 0.15 |
PNMT | -0.0005118 | 19462 | GTEx | DepMap | Descartes | 0.12 | 7.00 |
GRM7 | -0.0005276 | 19612 | GTEx | DepMap | Descartes | 0.01 | 0.28 |
TMEM130 | -0.0005290 | 19628 | GTEx | DepMap | Descartes | 0.00 | 0.07 |
KSR2 | -0.0005299 | 19637 | GTEx | DepMap | Descartes | 0.01 | 0.04 |
KCTD16 | -0.0005736 | 20051 | GTEx | DepMap | Descartes | 0.01 | 0.06 |
SPOCK3 | -0.0005992 | 20270 | GTEx | DepMap | Descartes | 0.01 | 0.43 |
ARC | -0.0006095 | 20377 | GTEx | DepMap | Descartes | 0.04 | 1.45 |
PENK | -0.0006415 | 20658 | GTEx | DepMap | Descartes | 0.07 | 4.42 |
CNTN3 | -0.0006589 | 20800 | GTEx | DepMap | Descartes | 0.01 | 0.11 |
LINC00632 | -0.0006789 | 20979 | GTEx | DepMap | Descartes | 0.10 | NA |
SLC24A2 | -0.0006905 | 21064 | GTEx | DepMap | Descartes | 0.01 | 0.10 |
ST18 | -0.0007054 | 21170 | GTEx | DepMap | Descartes | 0.01 | 0.08 |
FGF14 | -0.0007629 | 21595 | GTEx | DepMap | Descartes | 0.01 | 0.06 |
PCSK2 | -0.0007742 | 21688 | GTEx | DepMap | Descartes | 0.01 | 0.18 |
GRID2 | -0.0007902 | 21797 | GTEx | DepMap | Descartes | 0.01 | 0.25 |
DGKK | -0.0008038 | 21897 | GTEx | DepMap | Descartes | 0.01 | 0.13 |
PCSK1N | -0.0008088 | 21933 | GTEx | DepMap | Descartes | 0.47 | 41.40 |
C1QL1 | -0.0008297 | 22073 | GTEx | DepMap | Descartes | 0.06 | 3.07 |
Descartes erythroblasts markers
Top 50 marker genes of erythroblasts cells in the Decartes fetal adrenal single cell map (https://atlas.brotmanbaty.org/bbi/human-gene-expression-during-development/cell/erythroblasts/in/adrenal)
Wilcoxon ranksum test P-value for gene set overrepresentation: 1.00e+00
Mean rank of genes in gene set: 23933.19
Median rank of genes in gene set: 24867.5
Rank on gene expression program of top 30 genes in gene set:
Genes | Weight | Rank | GTEx | DepMap | Descartes | Mean.Counts | Mean.TPM |
---|---|---|---|---|---|---|---|
SLC25A21 | -0.0000381 | 8587 | GTEx | DepMap | Descartes | 0.06 | 1.48 |
MARCH3 | -0.0003758 | 17890 | GTEx | DepMap | Descartes | 0.44 | NA |
HBZ | -0.0004323 | 18615 | GTEx | DepMap | Descartes | 0.97 | 143.21 |
RGS6 | -0.0006462 | 20689 | GTEx | DepMap | Descartes | 0.00 | 0.07 |
RHD | -0.0006941 | 21092 | GTEx | DepMap | Descartes | 0.01 | 0.29 |
GCLC | -0.0008500 | 22214 | GTEx | DepMap | Descartes | 0.44 | 12.96 |
GYPE | -0.0008940 | 22463 | GTEx | DepMap | Descartes | 0.02 | 1.24 |
TMCC2 | -0.0009309 | 22665 | GTEx | DepMap | Descartes | 0.05 | 1.30 |
SPTB | -0.0010362 | 23206 | GTEx | DepMap | Descartes | 0.01 | 0.07 |
MICAL2 | -0.0010417 | 23238 | GTEx | DepMap | Descartes | 0.01 | 0.23 |
TFR2 | -0.0010584 | 23321 | GTEx | DepMap | Descartes | 0.04 | 1.20 |
CR1L | -0.0010803 | 23429 | GTEx | DepMap | Descartes | 0.02 | 0.86 |
RAPGEF2 | -0.0011231 | 23624 | GTEx | DepMap | Descartes | 0.60 | 8.05 |
SPECC1 | -0.0011353 | 23681 | GTEx | DepMap | Descartes | 0.80 | 9.98 |
RHCE | -0.0011836 | 23867 | GTEx | DepMap | Descartes | 0.02 | 0.71 |
SPTA1 | -0.0013350 | 24377 | GTEx | DepMap | Descartes | 0.02 | 0.24 |
ANK1 | -0.0013469 | 24407 | GTEx | DepMap | Descartes | 0.04 | 0.47 |
DENND4A | -0.0014062 | 24560 | GTEx | DepMap | Descartes | 0.10 | 1.21 |
XPO7 | -0.0014173 | 24593 | GTEx | DepMap | Descartes | 0.29 | 6.40 |
RHAG | -0.0014338 | 24647 | GTEx | DepMap | Descartes | 0.02 | 0.97 |
ABCB10 | -0.0014692 | 24731 | GTEx | DepMap | Descartes | 0.10 | 2.51 |
SOX6 | -0.0014795 | 24755 | GTEx | DepMap | Descartes | 0.19 | 2.32 |
HBG1 | -0.0015100 | 24828 | GTEx | DepMap | Descartes | 3.58 | 185.45 |
SLC4A1 | -0.0015268 | 24856 | GTEx | DepMap | Descartes | 0.09 | 1.64 |
TRAK2 | -0.0015369 | 24879 | GTEx | DepMap | Descartes | 0.27 | 4.50 |
CPOX | -0.0015512 | 24909 | GTEx | DepMap | Descartes | 0.29 | 10.82 |
TSPAN5 | -0.0016213 | 25047 | GTEx | DepMap | Descartes | 0.10 | 2.55 |
EPB42 | -0.0016366 | 25072 | GTEx | DepMap | Descartes | 0.02 | 0.53 |
TMEM56 | -0.0016441 | 25084 | GTEx | DepMap | Descartes | 0.06 | NA |
GYPB | -0.0016616 | 25111 | GTEx | DepMap | Descartes | 0.07 | 8.46 |
Descartes myeloid markers
Top 50 marker genes of myeloid cells in the Decartes fetal adrenal single cell map (https://atlas.brotmanbaty.org/bbi/human-gene-expression-during-development/cell/myeloid/in/adrenal)
Wilcoxon ranksum test P-value for gene set overrepresentation: 1.00e+00
Mean rank of genes in gene set: 19070.72
Median rank of genes in gene set: 20904
Rank on gene expression program of top 30 genes in gene set:
Genes | Weight | Rank | GTEx | DepMap | Descartes | Mean.Counts | Mean.TPM |
---|---|---|---|---|---|---|---|
CTSC | 0.0018349 | 1020 | GTEx | DepMap | Descartes | 2.90 | 51.68 |
MERTK | 0.0009536 | 1959 | GTEx | DepMap | Descartes | 0.75 | 22.70 |
SLC1A3 | 0.0006379 | 2624 | GTEx | DepMap | Descartes | 0.37 | 10.25 |
CPVL | 0.0005285 | 2962 | GTEx | DepMap | Descartes | 0.45 | 20.55 |
CTSB | 0.0005154 | 3016 | GTEx | DepMap | Descartes | 3.11 | 90.77 |
MS4A4E | -0.0001668 | 13920 | GTEx | DepMap | Descartes | 0.00 | 0.01 |
SPP1 | -0.0002951 | 16675 | GTEx | DepMap | Descartes | 0.02 | 1.34 |
RBPJ | -0.0003133 | 16965 | GTEx | DepMap | Descartes | 2.19 | 39.90 |
CD163L1 | -0.0003637 | 17724 | GTEx | DepMap | Descartes | 0.00 | 0.08 |
HLA-DPA1 | -0.0003691 | 17795 | GTEx | DepMap | Descartes | 0.21 | 4.23 |
RGL1 | -0.0004081 | 18301 | GTEx | DepMap | Descartes | 0.72 | 16.84 |
CTSS | -0.0004763 | 19104 | GTEx | DepMap | Descartes | 0.08 | 2.29 |
AXL | -0.0004967 | 19317 | GTEx | DepMap | Descartes | 0.41 | 9.07 |
HCK | -0.0005183 | 19530 | GTEx | DepMap | Descartes | 0.00 | 0.07 |
MSR1 | -0.0005486 | 19819 | GTEx | DepMap | Descartes | 0.01 | 0.20 |
ABCA1 | -0.0005539 | 19878 | GTEx | DepMap | Descartes | 1.63 | 17.12 |
ATP8B4 | -0.0005632 | 19963 | GTEx | DepMap | Descartes | 0.00 | 0.05 |
FGD2 | -0.0005817 | 20120 | GTEx | DepMap | Descartes | 0.00 | 0.09 |
MS4A4A | -0.0006019 | 20293 | GTEx | DepMap | Descartes | 0.01 | 0.38 |
MARCH1 | -0.0006022 | 20296 | GTEx | DepMap | Descartes | 0.01 | NA |
VSIG4 | -0.0006126 | 20408 | GTEx | DepMap | Descartes | 0.01 | 0.26 |
CD14 | -0.0006507 | 20733 | GTEx | DepMap | Descartes | 0.02 | 0.93 |
MPEG1 | -0.0006575 | 20793 | GTEx | DepMap | Descartes | 0.00 | 0.12 |
FMN1 | -0.0006599 | 20808 | GTEx | DepMap | Descartes | 0.02 | 0.14 |
HRH1 | -0.0006648 | 20851 | GTEx | DepMap | Descartes | 0.00 | 0.08 |
SLCO2B1 | -0.0006763 | 20957 | GTEx | DepMap | Descartes | 0.01 | 0.09 |
ADAP2 | -0.0006930 | 21085 | GTEx | DepMap | Descartes | 0.00 | 0.11 |
CST3 | -0.0007057 | 21171 | GTEx | DepMap | Descartes | 2.03 | 60.07 |
CD74 | -0.0007121 | 21217 | GTEx | DepMap | Descartes | 0.43 | 15.01 |
C1QC | -0.0007187 | 21262 | GTEx | DepMap | Descartes | 0.02 | 1.73 |
Descartes Schwann markers
Top 50 marker genes of Schwann cells in the Decartes fetal adrenal single cell map (https://atlas.brotmanbaty.org/bbi/human-gene-expression-during-development/cell/schwann/in/adrenal)
Wilcoxon ranksum test P-value for gene set overrepresentation: 1.00e+00
Mean rank of genes in gene set: 20928.71
Median rank of genes in gene set: 22174
Rank on gene expression program of top 30 genes in gene set:
Genes | Weight | Rank | GTEx | DepMap | Descartes | Mean.Counts | Mean.TPM |
---|---|---|---|---|---|---|---|
SLC35F1 | 0.0011500 | 1683 | GTEx | DepMap | Descartes | 0.45 | 9.82 |
VCAN | 0.0001290 | 5252 | GTEx | DepMap | Descartes | 3.65 | 35.14 |
PTPRZ1 | 0.0000547 | 6204 | GTEx | DepMap | Descartes | 0.53 | 7.26 |
IL1RAPL2 | -0.0002596 | 16073 | GTEx | DepMap | Descartes | 0.00 | 0.03 |
ZNF536 | -0.0002850 | 16499 | GTEx | DepMap | Descartes | 0.23 | 5.14 |
MDGA2 | -0.0003443 | 17426 | GTEx | DepMap | Descartes | 0.01 | 0.19 |
MPZ | -0.0003936 | 18112 | GTEx | DepMap | Descartes | 0.01 | 0.87 |
GRIK3 | -0.0004398 | 18730 | GTEx | DepMap | Descartes | 0.00 | 0.02 |
GFRA3 | -0.0004587 | 18913 | GTEx | DepMap | Descartes | 0.04 | 2.16 |
LRRTM4 | -0.0004601 | 18928 | GTEx | DepMap | Descartes | 0.00 | 0.07 |
PPP2R2B | -0.0004674 | 19007 | GTEx | DepMap | Descartes | 0.00 | 0.04 |
IL1RAPL1 | -0.0004940 | 19294 | GTEx | DepMap | Descartes | 0.01 | 0.39 |
SOX10 | -0.0004973 | 19324 | GTEx | DepMap | Descartes | 0.00 | 0.13 |
CDH19 | -0.0005435 | 19775 | GTEx | DepMap | Descartes | 0.00 | 0.04 |
XKR4 | -0.0005918 | 20213 | GTEx | DepMap | Descartes | 0.01 | 0.05 |
ERBB4 | -0.0005942 | 20240 | GTEx | DepMap | Descartes | 0.00 | 0.01 |
PLP1 | -0.0006071 | 20353 | GTEx | DepMap | Descartes | 0.01 | 0.43 |
NRXN3 | -0.0006095 | 20378 | GTEx | DepMap | Descartes | 0.04 | 0.51 |
TRPM3 | -0.0006419 | 20661 | GTEx | DepMap | Descartes | 0.01 | 0.13 |
OLFML2A | -0.0006881 | 21047 | GTEx | DepMap | Descartes | 0.01 | 0.25 |
SCN7A | -0.0006982 | 21124 | GTEx | DepMap | Descartes | 0.01 | 0.10 |
SORCS1 | -0.0007116 | 21212 | GTEx | DepMap | Descartes | 0.01 | 0.07 |
EGFLAM | -0.0007464 | 21470 | GTEx | DepMap | Descartes | 0.04 | 0.70 |
PLCE1 | -0.0007812 | 21744 | GTEx | DepMap | Descartes | 0.07 | 0.62 |
ERBB3 | -0.0008450 | 22174 | GTEx | DepMap | Descartes | 0.01 | 0.13 |
SOX5 | -0.0008481 | 22198 | GTEx | DepMap | Descartes | 0.05 | 0.74 |
ADAMTS5 | -0.0008619 | 22269 | GTEx | DepMap | Descartes | 0.01 | 0.08 |
COL25A1 | -0.0008987 | 22482 | GTEx | DepMap | Descartes | 0.00 | 0.04 |
ABCA8 | -0.0009357 | 22689 | GTEx | DepMap | Descartes | 0.01 | 0.14 |
GAS7 | -0.0009627 | 22841 | GTEx | DepMap | Descartes | 0.01 | 0.08 |
Descartes Megakaryocytes markers
Top 50 marker genes of Megakaryocytes cells in the Decartes fetal adrenal single cell map (https://atlas.brotmanbaty.org/bbi/human-gene-expression-during-development/cell/megakaryocytes/in/adrenal)
Wilcoxon ranksum test P-value for gene set overrepresentation: 1.00e+00
Mean rank of genes in gene set: 20546.02
Median rank of genes in gene set: 22124
Rank on gene expression program of top 30 genes in gene set:
Genes | Weight | Rank | GTEx | DepMap | Descartes | Mean.Counts | Mean.TPM |
---|---|---|---|---|---|---|---|
RAP1B | 0.0004468 | 3231 | GTEx | DepMap | Descartes | 3.37 | 26.23 |
PRKAR2B | 0.0000542 | 6214 | GTEx | DepMap | Descartes | 2.13 | 59.88 |
INPP4B | -0.0000009 | 7296 | GTEx | DepMap | Descartes | 0.30 | 3.97 |
LIMS1 | -0.0000375 | 8556 | GTEx | DepMap | Descartes | 2.61 | 63.25 |
PF4 | -0.0001800 | 14305 | GTEx | DepMap | Descartes | 0.12 | 6.80 |
PPBP | -0.0001928 | 14633 | GTEx | DepMap | Descartes | 0.12 | 3.97 |
GP1BA | -0.0002478 | 15861 | GTEx | DepMap | Descartes | 0.01 | 0.18 |
ITGA2B | -0.0002612 | 16096 | GTEx | DepMap | Descartes | 0.02 | 0.37 |
ITGB3 | -0.0003147 | 16985 | GTEx | DepMap | Descartes | 0.00 | 0.04 |
GP9 | -0.0003779 | 17920 | GTEx | DepMap | Descartes | 0.03 | 2.13 |
P2RX1 | -0.0004088 | 18314 | GTEx | DepMap | Descartes | 0.02 | 0.67 |
SLC24A3 | -0.0004089 | 18315 | GTEx | DepMap | Descartes | 0.01 | 0.37 |
MED12L | -0.0004128 | 18379 | GTEx | DepMap | Descartes | 0.75 | 7.56 |
RAB27B | -0.0005138 | 19484 | GTEx | DepMap | Descartes | 0.16 | 2.54 |
PSTPIP2 | -0.0005159 | 19503 | GTEx | DepMap | Descartes | 0.17 | 5.74 |
MCTP1 | -0.0005488 | 19823 | GTEx | DepMap | Descartes | 0.01 | 0.10 |
PLEK | -0.0005746 | 20059 | GTEx | DepMap | Descartes | 0.03 | 0.80 |
BIN2 | -0.0006013 | 20288 | GTEx | DepMap | Descartes | 0.01 | 0.38 |
CD84 | -0.0006029 | 20302 | GTEx | DepMap | Descartes | 0.01 | 0.08 |
TRPC6 | -0.0006203 | 20478 | GTEx | DepMap | Descartes | 0.00 | 0.04 |
FERMT3 | -0.0006757 | 20952 | GTEx | DepMap | Descartes | 0.03 | 0.63 |
TUBB1 | -0.0006905 | 21065 | GTEx | DepMap | Descartes | 0.01 | 0.33 |
DOK6 | -0.0007332 | 21373 | GTEx | DepMap | Descartes | 0.00 | 0.04 |
LTBP1 | -0.0007859 | 21772 | GTEx | DepMap | Descartes | 0.57 | 9.87 |
SPN | -0.0008370 | 22124 | GTEx | DepMap | Descartes | 0.01 | 0.16 |
STON2 | -0.0008492 | 22205 | GTEx | DepMap | Descartes | 0.10 | 2.62 |
THBS1 | -0.0008712 | 22327 | GTEx | DepMap | Descartes | 0.03 | 0.24 |
ANGPT1 | -0.0009352 | 22685 | GTEx | DepMap | Descartes | 0.04 | 0.76 |
TLN1 | -0.0009653 | 22853 | GTEx | DepMap | Descartes | 2.19 | 26.66 |
ARHGAP6 | -0.0009666 | 22859 | GTEx | DepMap | Descartes | 0.02 | 0.25 |
Descartes Lyphoid markers
Top 50 marker genes of Lyphoid cells in the Decartes fetal adrenal single cell map (https://atlas.brotmanbaty.org/bbi/human-gene-expression-during-development/cell/lymphoid/in/adrenal)
Wilcoxon ranksum test P-value for gene set overrepresentation: 1.00e+00
Mean rank of genes in gene set: 20853.15
Median rank of genes in gene set: 23063.5
Rank on gene expression program of top 30 genes in gene set:
Genes | Weight | Rank | GTEx | DepMap | Descartes | Mean.Counts | Mean.TPM |
---|---|---|---|---|---|---|---|
CCND3 | 0.0037410 | 358 | GTEx | DepMap | Descartes | 3.63 | 154.58 |
LEF1 | 0.0026805 | 609 | GTEx | DepMap | Descartes | 1.12 | 36.46 |
SAMD3 | 0.0004211 | 3332 | GTEx | DepMap | Descartes | 0.15 | 4.49 |
LINC00299 | 0.0000652 | 6044 | GTEx | DepMap | Descartes | 0.02 | 0.53 |
SKAP1 | -0.0001408 | 13075 | GTEx | DepMap | Descartes | 0.08 | 5.10 |
ARID5B | -0.0001978 | 14784 | GTEx | DepMap | Descartes | 0.84 | 12.84 |
HLA-A | -0.0002471 | 15844 | GTEx | DepMap | Descartes | 3.95 | 76.95 |
NKG7 | -0.0003304 | 17210 | GTEx | DepMap | Descartes | 0.03 | 4.43 |
CCL5 | -0.0003522 | 17562 | GTEx | DepMap | Descartes | 0.01 | 0.64 |
RAP1GAP2 | -0.0004035 | 18239 | GTEx | DepMap | Descartes | 0.03 | 0.51 |
SCML4 | -0.0004762 | 19103 | GTEx | DepMap | Descartes | 0.00 | 0.03 |
ARHGAP15 | -0.0005924 | 20219 | GTEx | DepMap | Descartes | 0.01 | 0.18 |
BCL2 | -0.0006359 | 20606 | GTEx | DepMap | Descartes | 0.33 | 4.92 |
BACH2 | -0.0007063 | 21174 | GTEx | DepMap | Descartes | 0.01 | 0.14 |
HLA-C | -0.0007074 | 21181 | GTEx | DepMap | Descartes | 1.72 | 91.95 |
PITPNC1 | -0.0007593 | 21565 | GTEx | DepMap | Descartes | 0.17 | 2.85 |
TOX | -0.0007971 | 21856 | GTEx | DepMap | Descartes | 0.01 | 0.21 |
DOCK10 | -0.0008351 | 22107 | GTEx | DepMap | Descartes | 0.11 | 1.47 |
PTPRC | -0.0008354 | 22111 | GTEx | DepMap | Descartes | 0.01 | 0.14 |
MCTP2 | -0.0008898 | 22432 | GTEx | DepMap | Descartes | 0.04 | 0.58 |
LCP1 | -0.0009075 | 22540 | GTEx | DepMap | Descartes | 0.05 | 1.25 |
SP100 | -0.0009247 | 22634 | GTEx | DepMap | Descartes | 0.40 | 7.80 |
SORL1 | -0.0009703 | 22878 | GTEx | DepMap | Descartes | 0.02 | 0.18 |
PRKCH | -0.0009902 | 22968 | GTEx | DepMap | Descartes | 0.14 | 4.00 |
IKZF1 | -0.0010268 | 23159 | GTEx | DepMap | Descartes | 0.01 | 0.10 |
PDE3B | -0.0010421 | 23241 | GTEx | DepMap | Descartes | 0.01 | 0.19 |
GNG2 | -0.0010486 | 23278 | GTEx | DepMap | Descartes | 0.49 | 13.85 |
ITPKB | -0.0010745 | 23399 | GTEx | DepMap | Descartes | 0.03 | 0.50 |
PLEKHA2 | -0.0011119 | 23576 | GTEx | DepMap | Descartes | 0.20 | 4.02 |
STK39 | -0.0011266 | 23642 | GTEx | DepMap | Descartes | 0.08 | 2.45 |
Below shows the ranks on this GEP for immune marker gene lists curated by CellTypist (https://www.celltypist.org/encyclopedia).
  High ranks indicate this gene is a driver of this GEP.
  These curated gene list are ranked by P-value (on this GEP) of their constituent genes.
  The Mean Count column shows the mean read count in cells scoring highly (H > 50) on this gene expression program.
Genes | Weight | Rank | GTEx | DepMap | Decartes | Mean.Counts | Mean.TPM |
---|---|---|---|---|---|---|---|
RPL41 | 0.0090714 | 13 | GTEx | DepMap | Descartes | 141.69 | 21624.08 |
VPREB3 | 0.0025648 | 654 | GTEx | DepMap | Descartes | 0.86 | 147.38 |
CD83 | 0.0017184 | 1116 | GTEx | DepMap | Descartes | 2.26 | 93.15 |
C11orf72 | 0.0000112 | 7015 | GTEx | DepMap | Descartes | 0.00 | 0.09 |
OR2A25 | 0.0000014 | 7232 | GTEx | DepMap | Descartes | 0.00 | 0.09 |
JCHAIN | -0.0002970 | 16702 | GTEx | DepMap | Descartes | 0.00 | NA |
Cycling cells: Cycling B cells (model markers)
proliferating B lymphocytes:
Wilcoxon ranksum test P-value for gene set overrepresentation: 3.12e-02
Mean rank of genes in gene set: 7997.12
Rank on gene expression program of genes in gene set:
Genes | Weight | Rank | GTEx | DepMap | Decartes | Mean.Counts | Mean.TPM |
---|---|---|---|---|---|---|---|
RGS13 | 0.0001256 | 5286 | GTEx | DepMap | Descartes | 0 | 0.07 |
LINC01709 | 0.0001041 | 5525 | GTEx | DepMap | Descartes | 0 | NA |
CD207 | 0.0000477 | 6314 | GTEx | DepMap | Descartes | 0 | 0.00 |
C11orf72 | 0.0000112 | 7015 | GTEx | DepMap | Descartes | 0 | 0.09 |
OR2A25 | 0.0000014 | 7232 | GTEx | DepMap | Descartes | 0 | 0.09 |
KIAA0087 | -0.0000685 | 9998 | GTEx | DepMap | Descartes | 0 | 0.00 |
LCNL1 | -0.0000870 | 10815 | GTEx | DepMap | Descartes | 0 | 0.00 |
GRIN1 | -0.0001091 | 11792 | GTEx | DepMap | Descartes | 0 | 0.01 |
No detectable expression in this dataset: IGHV5-78
Megakaryocyte precursor: Megakaryocyte precursor (model markers)
megakaryocyte precursors in the bone marrow that are committed to megakaryocytes:
Wilcoxon ranksum test P-value for gene set overrepresentation: 7.70e-02
Mean rank of genes in gene set: 8891.86
Rank on gene expression program of genes in gene set:
Genes | Weight | Rank | GTEx | DepMap | Decartes | Mean.Counts | Mean.TPM |
---|---|---|---|---|---|---|---|
ADRA2A | 0.0025586 | 655 | GTEx | DepMap | Descartes | 0.43 | 12.03 |
C11orf72 | 0.0000112 | 7015 | GTEx | DepMap | Descartes | 0.00 | 0.09 |
OR2A25 | 0.0000014 | 7232 | GTEx | DepMap | Descartes | 0.00 | 0.09 |
KIAA0087 | -0.0000685 | 9998 | GTEx | DepMap | Descartes | 0.00 | 0.00 |
SLC10A5 | -0.0000951 | 11189 | GTEx | DepMap | Descartes | 0.01 | 0.40 |
PCDH9-AS1 | -0.0001000 | 11405 | GTEx | DepMap | Descartes | 0.00 | 0.31 |
FCER1A | -0.0001966 | 14749 | GTEx | DepMap | Descartes | 0.01 | 0.59 |
No detectable expression in this dataset: IGHV5-78