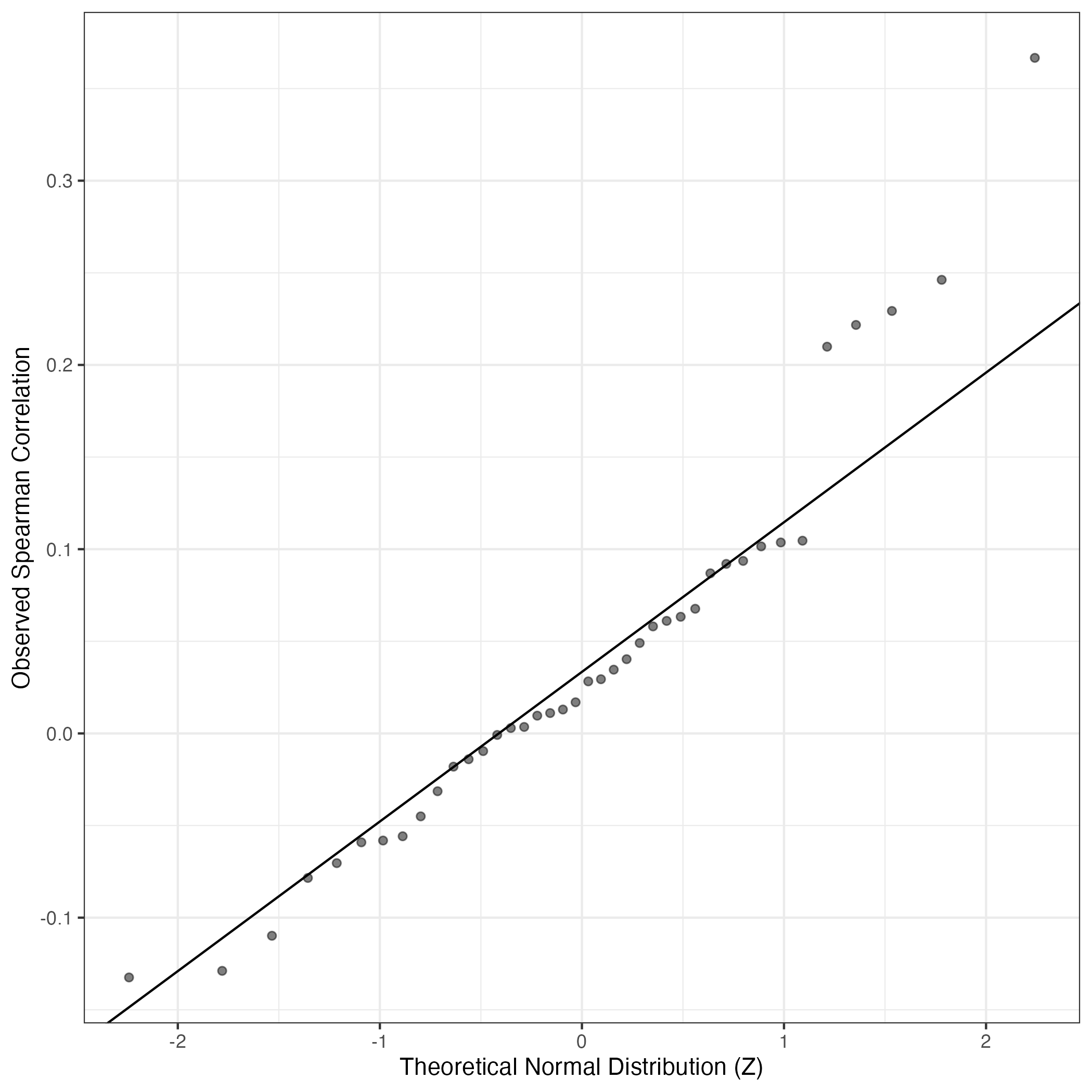
QQ-plot of gene loadings, averaged over both independent splits of the data
This plot highlights the relative contribution of each gene to the GEP
Top genes driving this program.
Note: Decartes website is buggy, try refreshing. Also, Decartes fetal adrenal data have been collected at specific time points (89-122 days), all possible cell types of interest may not be represented, do not overinterpret.
The Mean Count column shows the mean read count in cells scoring highly (H > 50) on this gene expression program.
Gene | Loading | Gene.Name | GTEx | DepMap | Descartes | Mean.Counts | Mean.Tpm | |
---|---|---|---|---|---|---|---|---|
1 | NFKBIA | 0.0111782 | NFKB inhibitor alpha | GTEx | DepMap | Descartes | 22.27 | 6584.27 |
2 | IL1B | 0.0111080 | interleukin 1 beta | GTEx | DepMap | Descartes | 22.48 | 7140.91 |
3 | IER3 | 0.0104043 | immediate early response 3 | GTEx | DepMap | Descartes | 5.57 | 1848.13 |
4 | CXCL3 | 0.0098140 | C-X-C motif chemokine ligand 3 | GTEx | DepMap | Descartes | 4.38 | 1301.88 |
5 | SOD2 | 0.0093876 | superoxide dismutase 2 | GTEx | DepMap | Descartes | 9.76 | 322.46 |
6 | NLRP3 | 0.0090696 | NLR family pyrin domain containing 3 | GTEx | DepMap | Descartes | 1.35 | 164.65 |
7 | PPP1R15A | 0.0088220 | protein phosphatase 1 regulatory subunit 15A | GTEx | DepMap | Descartes | 5.95 | 1259.54 |
8 | IL1RN | 0.0082714 | interleukin 1 receptor antagonist | GTEx | DepMap | Descartes | 1.17 | 302.66 |
9 | CXCL2 | 0.0078673 | C-X-C motif chemokine ligand 2 | GTEx | DepMap | Descartes | 9.04 | 3525.41 |
10 | TNF | 0.0077932 | tumor necrosis factor | GTEx | DepMap | Descartes | 1.39 | 421.66 |
11 | EREG | 0.0076202 | epiregulin | GTEx | DepMap | Descartes | 2.56 | 314.15 |
12 | PTGS2 | 0.0073055 | prostaglandin-endoperoxide synthase 2 | GTEx | DepMap | Descartes | 1.54 | 170.75 |
13 | PNRC1 | 0.0071988 | proline rich nuclear receptor coactivator 1 | GTEx | DepMap | Descartes | 6.22 | 1283.32 |
14 | TNFAIP3 | 0.0067274 | TNF alpha induced protein 3 | GTEx | DepMap | Descartes | 3.92 | 355.57 |
15 | PLEK | 0.0064869 | pleckstrin | GTEx | DepMap | Descartes | 2.20 | 347.14 |
16 | PLAUR | 0.0063246 | plasminogen activator, urokinase receptor | GTEx | DepMap | Descartes | 14.74 | 4770.66 |
17 | NFKBIZ | 0.0062788 | NFKB inhibitor zeta | GTEx | DepMap | Descartes | 3.40 | 436.61 |
18 | ICAM1 | 0.0061404 | intercellular adhesion molecule 1 | GTEx | DepMap | Descartes | 1.81 | 242.44 |
19 | GPR183 | 0.0057553 | G protein-coupled receptor 183 | GTEx | DepMap | Descartes | 3.46 | 656.25 |
20 | ARL5B | 0.0051573 | ADP ribosylation factor like GTPase 5B | GTEx | DepMap | Descartes | 1.03 | 68.49 |
21 | FTH1 | 0.0051243 | ferritin heavy chain 1 | GTEx | DepMap | Descartes | 172.23 | 60332.57 |
22 | IL10 | 0.0050902 | interleukin 10 | GTEx | DepMap | Descartes | 0.46 | 107.83 |
23 | PIM3 | 0.0049521 | Pim-3 proto-oncogene, serine/threonine kinase | GTEx | DepMap | Descartes | 1.80 | 367.55 |
24 | CD83 | 0.0049322 | CD83 molecule | GTEx | DepMap | Descartes | 3.01 | 531.31 |
25 | PFKFB3 | 0.0047947 | 6-phosphofructo-2-kinase/fructose-2,6-biphosphatase 3 | GTEx | DepMap | Descartes | 1.14 | 124.22 |
26 | KDM6B | 0.0047565 | lysine demethylase 6B | GTEx | DepMap | Descartes | 2.06 | 153.82 |
27 | NAMPT | 0.0045577 | nicotinamide phosphoribosyltransferase | GTEx | DepMap | Descartes | 6.82 | 812.61 |
28 | BEST1 | 0.0045468 | bestrophin 1 | GTEx | DepMap | Descartes | 2.39 | 141.31 |
29 | PHLDA1 | 0.0044688 | pleckstrin homology like domain family A member 1 | GTEx | DepMap | Descartes | 0.79 | 47.75 |
30 | THBS1 | 0.0043787 | thrombospondin 1 | GTEx | DepMap | Descartes | 5.29 | 371.17 |
31 | NINJ1 | 0.0043352 | ninjurin 1 | GTEx | DepMap | Descartes | 1.84 | 357.21 |
32 | NR4A3 | 0.0043243 | nuclear receptor subfamily 4 group A member 3 | GTEx | DepMap | Descartes | 1.54 | 121.63 |
33 | G0S2 | 0.0042498 | G0/G1 switch 2 | GTEx | DepMap | Descartes | 13.58 | 8398.79 |
34 | ZFP36 | 0.0042272 | ZFP36 ring finger protein | GTEx | DepMap | Descartes | 11.12 | 2891.78 |
35 | DUSP2 | 0.0041994 | dual specificity phosphatase 2 | GTEx | DepMap | Descartes | 7.20 | 2010.80 |
36 | MMP19 | 0.0041158 | matrix metallopeptidase 19 | GTEx | DepMap | Descartes | 0.54 | 60.20 |
37 | STX11 | 0.0040332 | syntaxin 11 | GTEx | DepMap | Descartes | 1.88 | 154.45 |
38 | KLF10 | 0.0040188 | Kruppel like factor 10 | GTEx | DepMap | Descartes | 0.98 | 134.57 |
39 | DUSP1 | 0.0039640 | dual specificity phosphatase 1 | GTEx | DepMap | Descartes | 10.15 | 2353.52 |
40 | SDC4 | 0.0038881 | syndecan 4 | GTEx | DepMap | Descartes | 0.43 | 32.01 |
41 | CDKN1A | 0.0038172 | cyclin dependent kinase inhibitor 1A | GTEx | DepMap | Descartes | 2.02 | 423.12 |
42 | TNFAIP6 | 0.0038017 | TNF alpha induced protein 6 | GTEx | DepMap | Descartes | 0.71 | 266.20 |
43 | CYB5D1 | 0.0037393 | cytochrome b5 domain containing 1 | GTEx | DepMap | Descartes | 0.40 | 57.12 |
44 | FOSB | 0.0037214 | FosB proto-oncogene, AP-1 transcription factor subunit | GTEx | DepMap | Descartes | 4.10 | 482.69 |
45 | DRAM1 | 0.0036488 | DNA damage regulated autophagy modulator 1 | GTEx | DepMap | Descartes | 0.35 | 42.74 |
46 | GK | 0.0036175 | glycerol kinase | GTEx | DepMap | Descartes | 1.06 | 131.64 |
47 | THAP2 | 0.0035885 | THAP domain containing 2 | GTEx | DepMap | Descartes | 0.48 | 39.20 |
48 | PPIF | 0.0035518 | peptidylprolyl isomerase F | GTEx | DepMap | Descartes | 1.27 | 293.18 |
49 | KYNU | 0.0035052 | kynureninase | GTEx | DepMap | Descartes | 0.87 | 26.51 |
50 | IFNGR2 | 0.0034840 | interferon gamma receptor 2 | GTEx | DepMap | Descartes | 1.56 | 293.50 |
UMAP plots showing activity of gene expression program identified in GEP 28. TNFa signalling via NFkB:
CNV Data procured from inferCNV.
Outer tracks are putative CNV regions (gains = red, losses = blue) for each patient
Inner track is expression data representing:
The top cells expressing this GEP (purple)
Random cells (n =50) from the reference set used in inferCNV (orange)
Gene set Enrichments for this program, caculated from top 50 genes
mSigDB Cell Types Gene Set:
P-value | OR | Lower 95% CI | FDR | FWER | Genes Found | Gene Set Size | |
---|---|---|---|---|---|---|---|
FAN_EMBRYONIC_CTX_MICROGLIA_2 | 1.01e-10 | 342.99 | 71.39 | 4.25e-09 | 6.81e-08 | 5IL1B, IER3, PPP1R15A, CD83, FOSB |
9 |
TRAVAGLINI_LUNG_OLR1_CLASSICAL_MONOCYTE_CELL | 4.74e-40 | 64.62 | 32.28 | 3.18e-37 | 3.18e-37 | 39NFKBIA, IL1B, IER3, CXCL3, SOD2, NLRP3, PPP1R15A, IL1RN, CXCL2, EREG, PTGS2, PNRC1, TNFAIP3, PLEK, PLAUR, ICAM1, GPR183, FTH1, IL10, PIM3, CD83, PFKFB3, KDM6B, NAMPT, THBS1, NINJ1, G0S2, MMP19, STX11, KLF10, DUSP1, CDKN1A, TNFAIP6, FOSB, DRAM1, GK, PPIF, KYNU, IFNGR2 |
726 |
DURANTE_ADULT_OLFACTORY_NEUROEPITHELIUM_DENDRITIC_CELLS | 3.69e-21 | 58.21 | 28.98 | 6.19e-19 | 2.48e-18 | 16NFKBIA, IL1B, SOD2, NLRP3, CXCL2, EREG, PTGS2, TNFAIP3, PLEK, PLAUR, NFKBIZ, FTH1, NAMPT, G0S2, STX11, DUSP1 |
117 |
TRAVAGLINI_LUNG_EREG_DENDRITIC_CELL | 3.71e-33 | 44.50 | 23.92 | 1.25e-30 | 2.49e-30 | 33IL1B, IER3, CXCL3, SOD2, NLRP3, IL1RN, CXCL2, EREG, PNRC1, TNFAIP3, PLEK, PLAUR, ICAM1, GPR183, FTH1, IL10, PIM3, CD83, PFKFB3, KDM6B, NAMPT, THBS1, NINJ1, G0S2, MMP19, DUSP1, SDC4, CDKN1A, FOSB, GK, PPIF, KYNU, IFNGR2 |
579 |
DURANTE_ADULT_OLFACTORY_NEUROEPITHELIUM_MAST_CELLS | 2.50e-13 | 48.00 | 20.51 | 1.52e-11 | 1.68e-10 | 10NFKBIA, PPP1R15A, PTGS2, TNFAIP3, PLAUR, NFKBIZ, FTH1, CD83, NR4A3, DUSP2 |
75 |
GAO_LARGE_INTESTINE_24W_C11_PANETH_LIKE_CELL | 1.62e-22 | 32.42 | 17.47 | 3.63e-20 | 1.09e-19 | 22IL1B, CXCL3, SOD2, NLRP3, IL1RN, CXCL2, TNF, PTGS2, TNFAIP3, PLEK, PLAUR, ICAM1, IL10, CD83, PFKFB3, NAMPT, NINJ1, NR4A3, DUSP2, STX11, PPIF, KYNU |
325 |
AIZARANI_LIVER_C25_KUPFFER_CELLS_4 | 8.84e-17 | 33.68 | 16.74 | 9.88e-15 | 5.93e-14 | 15IL1B, IER3, CXCL3, NLRP3, IL1RN, EREG, PLEK, PLAUR, GPR183, FTH1, CD83, KDM6B, NAMPT, THBS1, NR4A3 |
174 |
TRAVAGLINI_LUNG_VEIN_CELL | 9.97e-09 | 49.98 | 16.33 | 3.35e-07 | 6.69e-06 | 6SOD2, CXCL2, TNFAIP3, ICAM1, FTH1, NAMPT |
40 |
BUSSLINGER_ESOPHAGEAL_DENDRITIC_CELLS | 4.99e-14 | 24.29 | 11.91 | 3.35e-12 | 3.35e-11 | 14IL1B, PTGS2, PNRC1, TNFAIP3, PLEK, PLAUR, GPR183, FTH1, CD83, KDM6B, NR4A3, ZFP36, DUSP2, FOSB |
214 |
HAY_BONE_MARROW_IMMATURE_NEUTROPHIL | 3.42e-13 | 24.24 | 11.63 | 1.91e-11 | 2.29e-10 | 13NFKBIA, IL1B, IER3, NLRP3, ICAM1, PFKFB3, KDM6B, NAMPT, NINJ1, G0S2, KLF10, CDKN1A, IFNGR2 |
194 |
CUI_DEVELOPING_HEART_C8_MACROPHAGE | 3.31e-15 | 22.71 | 11.56 | 2.47e-13 | 2.22e-12 | 16NFKBIA, IER3, SOD2, NLRP3, PNRC1, PLEK, PLAUR, GPR183, CD83, NAMPT, NINJ1, ZFP36, DUSP2, DUSP1, CDKN1A, FOSB |
275 |
MANNO_MIDBRAIN_NEUROTYPES_HMGL | 7.07e-20 | 20.89 | 11.40 | 9.48e-18 | 4.74e-17 | 24NFKBIA, IL1B, SOD2, NLRP3, PPP1R15A, CXCL2, PTGS2, PNRC1, TNFAIP3, PLEK, PLAUR, NFKBIZ, ICAM1, GPR183, CD83, NINJ1, ZFP36, DUSP2, STX11, DUSP1, CDKN1A, FOSB, DRAM1, PPIF |
577 |
RUBENSTEIN_SKELETAL_MUSCLE_MYELOID_CELLS | 2.91e-16 | 21.38 | 11.18 | 2.79e-14 | 1.95e-13 | 18NFKBIA, IL1B, IER3, SOD2, PPP1R15A, PLEK, PLAUR, NFKBIZ, FTH1, CD83, NAMPT, ZFP36, DUSP2, STX11, DUSP1, CDKN1A, FOSB, IFNGR2 |
347 |
FAN_OVARY_CL13_MONOCYTE_MACROPHAGE | 1.87e-15 | 17.46 | 9.24 | 1.57e-13 | 1.26e-12 | 19NFKBIA, IER3, SOD2, CXCL2, PLEK, PLAUR, GPR183, FTH1, PIM3, CD83, NAMPT, NINJ1, G0S2, STX11, DUSP1, CDKN1A, PPIF, KYNU, IFNGR2 |
458 |
AIZARANI_LIVER_C23_KUPFFER_CELLS_3 | 3.64e-11 | 18.88 | 8.85 | 1.63e-09 | 2.44e-08 | 12NFKBIA, IL1B, SOD2, EREG, PTGS2, PLEK, PLAUR, FTH1, NAMPT, THBS1, GK, IFNGR2 |
221 |
CUI_DEVELOPING_HEART_VALVAR_ENDOTHELIAL_CELL | 3.40e-09 | 20.77 | 8.70 | 1.27e-07 | 2.28e-06 | 9SOD2, CXCL2, PTGS2, NAMPT, NR4A3, DUSP2, MMP19, CDKN1A, TNFAIP6 |
141 |
TRAVAGLINI_LUNG_MACROPHAGE_CELL | 2.48e-10 | 18.55 | 8.44 | 9.80e-09 | 1.67e-07 | 11IL1B, CXCL3, SOD2, IL1RN, CXCL2, PLAUR, FTH1, MMP19, SDC4, GK, KYNU |
201 |
TRAVAGLINI_LUNG_LIPOFIBROBLAST_CELL | 4.61e-09 | 20.03 | 8.39 | 1.63e-07 | 3.09e-06 | 9CXCL2, PNRC1, PLAUR, KDM6B, NAMPT, PHLDA1, NR4A3, MMP19, CDKN1A |
146 |
TRAVAGLINI_LUNG_BASOPHIL_MAST_2_CELL | 2.05e-12 | 13.28 | 6.89 | 1.06e-10 | 1.38e-09 | 17NFKBIA, PPP1R15A, PTGS2, TNFAIP3, PLAUR, NFKBIZ, ICAM1, FTH1, PIM3, CD83, KDM6B, NINJ1, NR4A3, ZFP36, STX11, CDKN1A, FOSB |
502 |
AIZARANI_LIVER_C18_NK_NKT_CELLS_5 | 4.33e-07 | 17.85 | 6.63 | 1.07e-05 | 2.90e-04 | 7IL1B, IER3, PLEK, PLAUR, GPR183, FTH1, CD83 |
121 |
Dowload full table
mSigDB Hallmark Gene Sets:
P-value | OR | Lower 95% CI | FDR | FWER | Genes Found | Gene Set Size | |
---|---|---|---|---|---|---|---|
HALLMARK_TNFA_SIGNALING_VIA_NFKB | 9.53e-51 | 159.42 | 84.06 | 4.76e-49 | 4.76e-49 | 34NFKBIA, IL1B, IER3, CXCL3, SOD2, PPP1R15A, CXCL2, TNF, PTGS2, PNRC1, TNFAIP3, PLEK, PLAUR, ICAM1, GPR183, CD83, PFKFB3, KDM6B, NAMPT, PHLDA1, NINJ1, NR4A3, G0S2, ZFP36, DUSP2, KLF10, DUSP1, SDC4, CDKN1A, TNFAIP6, FOSB, DRAM1, KYNU, IFNGR2 |
200 |
HALLMARK_INFLAMMATORY_RESPONSE | 5.03e-13 | 23.47 | 11.26 | 1.26e-11 | 2.51e-11 | 13NFKBIA, IL1B, NLRP3, EREG, PLAUR, ICAM1, GPR183, IL10, NAMPT, BEST1, CDKN1A, TNFAIP6, IFNGR2 |
200 |
HALLMARK_HYPOXIA | 4.29e-09 | 16.45 | 7.22 | 7.15e-08 | 2.15e-07 | 10IER3, PPP1R15A, PNRC1, TNFAIP3, PLAUR, PFKFB3, ZFP36, DUSP1, SDC4, CDKN1A |
200 |
HALLMARK_TGF_BETA_SIGNALING | 5.99e-05 | 21.71 | 5.47 | 3.33e-04 | 2.99e-03 | 4PPP1R15A, THBS1, KLF10, IFNGR2 |
54 |
HALLMARK_INTERFERON_GAMMA_RESPONSE | 9.73e-07 | 12.40 | 4.96 | 1.22e-05 | 4.87e-05 | 8NFKBIA, SOD2, PTGS2, TNFAIP3, ICAM1, NAMPT, CDKN1A, TNFAIP6 |
200 |
HALLMARK_ALLOGRAFT_REJECTION | 1.19e-05 | 10.54 | 3.95 | 9.90e-05 | 5.94e-04 | 7IL1B, NLRP3, TNF, EREG, ICAM1, IL10, IFNGR2 |
200 |
HALLMARK_KRAS_SIGNALING_UP | 1.19e-05 | 10.54 | 3.95 | 9.90e-05 | 5.94e-04 | 7IL1B, PPP1R15A, EREG, PTGS2, TNFAIP3, PLAUR, G0S2 |
200 |
HALLMARK_UV_RESPONSE_UP | 3.40e-05 | 11.21 | 3.85 | 2.36e-04 | 1.70e-03 | 6NFKBIA, SOD2, CXCL2, ICAM1, FOSB, PPIF |
158 |
HALLMARK_APOPTOSIS | 3.77e-05 | 10.99 | 3.77 | 2.36e-04 | 1.89e-03 | 6IL1B, IER3, SOD2, TNF, EREG, CDKN1A |
161 |
HALLMARK_IL6_JAK_STAT3_SIGNALING | 3.79e-04 | 13.08 | 3.35 | 1.90e-03 | 1.90e-02 | 4IL1B, CXCL3, TNF, IFNGR2 |
87 |
HALLMARK_P53_PATHWAY | 1.08e-03 | 7.12 | 2.18 | 4.91e-03 | 5.40e-02 | 5IER3, PPP1R15A, NINJ1, CDKN1A, DRAM1 |
200 |
HALLMARK_IL2_STAT5_SIGNALING | 7.58e-03 | 5.57 | 1.44 | 2.75e-02 | 3.79e-01 | 4NFKBIZ, IL10, CD83, PHLDA1 |
199 |
HALLMARK_COMPLEMENT | 7.71e-03 | 5.55 | 1.44 | 2.75e-02 | 3.85e-01 | 4TNFAIP3, PLEK, PLAUR, KYNU |
200 |
HALLMARK_EPITHELIAL_MESENCHYMAL_TRANSITION | 7.71e-03 | 5.55 | 1.44 | 2.75e-02 | 3.85e-01 | 4TNFAIP3, PLAUR, THBS1, SDC4 |
200 |
HALLMARK_CHOLESTEROL_HOMEOSTASIS | 3.47e-02 | 7.23 | 0.84 | 1.16e-01 | 1.00e+00 | 2PNRC1, PLAUR |
74 |
HALLMARK_ESTROGEN_RESPONSE_LATE | 4.35e-02 | 4.05 | 0.80 | 1.28e-01 | 1.00e+00 | 3ZFP36, DUSP2, PPIF |
200 |
HALLMARK_MTORC1_SIGNALING | 4.35e-02 | 4.05 | 0.80 | 1.28e-01 | 1.00e+00 | 3PPP1R15A, NAMPT, CDKN1A |
200 |
HALLMARK_COAGULATION | 1.03e-01 | 3.83 | 0.45 | 2.85e-01 | 1.00e+00 | 2PLEK, THBS1 |
138 |
HALLMARK_ADIPOGENESIS | 1.85e-01 | 2.63 | 0.31 | 4.02e-01 | 1.00e+00 | 2PIM3, PFKFB3 |
200 |
HALLMARK_ESTROGEN_RESPONSE_EARLY | 1.85e-01 | 2.63 | 0.31 | 4.02e-01 | 1.00e+00 | 2KLF10, PPIF |
200 |
Dowload full table
KEGG Pathways:
P-value | OR | Lower 95% CI | FDR | FWER | Genes Found | Gene Set Size | |
---|---|---|---|---|---|---|---|
KEGG_NOD_LIKE_RECEPTOR_SIGNALING_PATHWAY | 1.48e-07 | 30.40 | 10.17 | 2.75e-05 | 2.75e-05 | 6NFKBIA, IL1B, NLRP3, CXCL2, TNF, TNFAIP3 |
62 |
KEGG_LEISHMANIA_INFECTION | 3.63e-07 | 25.78 | 8.69 | 3.38e-05 | 6.76e-05 | 6NFKBIA, IL1B, TNF, PTGS2, IL10, IFNGR2 |
72 |
KEGG_CYTOKINE_CYTOKINE_RECEPTOR_INTERACTION | 5.48e-04 | 6.58 | 2.27 | 3.40e-02 | 1.02e-01 | 6IL1B, CXCL3, CXCL2, TNF, IL10, IFNGR2 |
265 |
KEGG_ASTHMA | 6.27e-03 | 18.58 | 2.09 | 2.13e-01 | 1.00e+00 | 2TNF, IL10 |
30 |
KEGG_APOPTOSIS | 4.89e-03 | 9.50 | 1.85 | 2.13e-01 | 9.10e-01 | 3NFKBIA, IL1B, TNF |
87 |
KEGG_ALLOGRAFT_REJECTION | 9.43e-03 | 14.87 | 1.69 | 2.13e-01 | 1.00e+00 | 2TNF, IL10 |
37 |
KEGG_TOLL_LIKE_RECEPTOR_SIGNALING_PATHWAY | 7.58e-03 | 8.06 | 1.58 | 2.13e-01 | 1.00e+00 | 3NFKBIA, IL1B, TNF |
102 |
KEGG_GRAFT_VERSUS_HOST_DISEASE | 1.15e-02 | 13.35 | 1.52 | 2.13e-01 | 1.00e+00 | 2IL1B, TNF |
41 |
KEGG_T_CELL_RECEPTOR_SIGNALING_PATHWAY | 8.85e-03 | 7.60 | 1.49 | 2.13e-01 | 1.00e+00 | 3NFKBIA, TNF, IL10 |
108 |
KEGG_BLADDER_CANCER | 1.20e-02 | 13.01 | 1.48 | 2.13e-01 | 1.00e+00 | 2THBS1, CDKN1A |
42 |
KEGG_TYPE_I_DIABETES_MELLITUS | 1.26e-02 | 12.69 | 1.45 | 2.13e-01 | 1.00e+00 | 2IL1B, TNF |
43 |
KEGG_NATURAL_KILLER_CELL_MEDIATED_CYTOTOXICITY | 1.67e-02 | 5.95 | 1.17 | 2.59e-01 | 1.00e+00 | 3TNF, ICAM1, IFNGR2 |
137 |
KEGG_CYTOSOLIC_DNA_SENSING_PATHWAY | 2.00e-02 | 9.82 | 1.13 | 2.66e-01 | 1.00e+00 | 2NFKBIA, IL1B |
55 |
KEGG_MAPK_SIGNALING_PATHWAY | 2.00e-02 | 4.13 | 1.07 | 2.66e-01 | 1.00e+00 | 4IL1B, TNF, DUSP2, DUSP1 |
267 |
KEGG_ADIPOCYTOKINE_SIGNALING_PATHWAY | 2.89e-02 | 8.01 | 0.92 | 3.45e-01 | 1.00e+00 | 2NFKBIA, TNF |
67 |
KEGG_P53_SIGNALING_PATHWAY | 2.97e-02 | 7.89 | 0.91 | 3.45e-01 | 1.00e+00 | 2THBS1, CDKN1A |
68 |
KEGG_RIG_I_LIKE_RECEPTOR_SIGNALING_PATHWAY | 3.21e-02 | 7.55 | 0.87 | 3.49e-01 | 1.00e+00 | 2NFKBIA, TNF |
71 |
KEGG_CHRONIC_MYELOID_LEUKEMIA | 3.38e-02 | 7.33 | 0.85 | 3.49e-01 | 1.00e+00 | 2NFKBIA, CDKN1A |
73 |
KEGG_CHEMOKINE_SIGNALING_PATHWAY | 3.79e-02 | 4.29 | 0.85 | 3.59e-01 | 1.00e+00 | 3NFKBIA, CXCL3, CXCL2 |
189 |
KEGG_ECM_RECEPTOR_INTERACTION | 4.36e-02 | 6.35 | 0.74 | 3.59e-01 | 1.00e+00 | 2THBS1, SDC4 |
84 |
Dowload full table
CHR Positional Gene Sets:
P-value | OR | Lower 95% CI | FDR | FWER | Genes Found | Gene Set Size | |
---|---|---|---|---|---|---|---|
chr12q21 | 9.06e-02 | 4.13 | 0.48 | 1.00e+00 | 1.00e+00 | 2PHLDA1, THAP2 |
128 |
chr6p23 | 5.81e-02 | 18.20 | 0.42 | 1.00e+00 | 1.00e+00 | 1CD83 |
15 |
chr2q14 | 1.23e-01 | 3.43 | 0.40 | 1.00e+00 | 1.00e+00 | 2IL1B, IL1RN |
154 |
chr6p21 | 4.27e-01 | 1.72 | 0.34 | 1.00e+00 | 1.00e+00 | 3IER3, TNF, CDKN1A |
467 |
chr19q13 | 1.00e+00 | 0.94 | 0.24 | 1.00e+00 | 1.00e+00 | 4PPP1R15A, PLAUR, ZFP36, FOSB |
1165 |
chr1q32 | 2.78e-01 | 1.97 | 0.23 | 1.00e+00 | 1.00e+00 | 2IL10, G0S2 |
266 |
chr11q12 | 3.72e-01 | 1.57 | 0.18 | 1.00e+00 | 1.00e+00 | 2FTH1, BEST1 |
333 |
chr17p13 | 3.76e-01 | 1.56 | 0.18 | 1.00e+00 | 1.00e+00 | 2KDM6B, CYB5D1 |
336 |
chr3q12 | 1.67e-01 | 5.67 | 0.14 | 1.00e+00 | 1.00e+00 | 1NFKBIZ |
46 |
chr6q15 | 1.74e-01 | 5.43 | 0.13 | 1.00e+00 | 1.00e+00 | 1PNRC1 |
48 |
chr2q23 | 1.84e-01 | 5.10 | 0.12 | 1.00e+00 | 1.00e+00 | 1TNFAIP6 |
51 |
chr15q14 | 2.00e-01 | 4.64 | 0.11 | 1.00e+00 | 1.00e+00 | 1THBS1 |
56 |
chr2p14 | 2.06e-01 | 4.47 | 0.11 | 1.00e+00 | 1.00e+00 | 1PLEK |
58 |
chr14q13 | 2.09e-01 | 4.40 | 0.11 | 1.00e+00 | 1.00e+00 | 1NFKBIA |
59 |
chr2q22 | 2.37e-01 | 3.81 | 0.09 | 1.00e+00 | 1.00e+00 | 1KYNU |
68 |
chr1q31 | 2.46e-01 | 3.64 | 0.09 | 1.00e+00 | 1.00e+00 | 1PTGS2 |
71 |
chr6q24 | 2.49e-01 | 3.59 | 0.09 | 1.00e+00 | 1.00e+00 | 1STX11 |
72 |
chrXp21 | 2.78e-01 | 3.15 | 0.08 | 1.00e+00 | 1.00e+00 | 1GK |
82 |
chr10p15 | 2.90e-01 | 3.00 | 0.07 | 1.00e+00 | 1.00e+00 | 1PFKFB3 |
86 |
chr13q32 | 3.15e-01 | 2.71 | 0.07 | 1.00e+00 | 1.00e+00 | 1GPR183 |
95 |
Dowload full table
Transcription Factor Targets:
P-value | OR | Lower 95% CI | FDR | FWER | Genes Found | Gene Set Size | |
---|---|---|---|---|---|---|---|
PSMB5_TARGET_GENES | 2.17e-05 | 7.96 | 3.20 | 2.45e-02 | 2.45e-02 | 8IER3, PPP1R15A, NFKBIZ, FTH1, THBS1, ZFP36, DUSP1, SDC4 |
307 |
TAXCREB_01 | 2.16e-04 | 10.28 | 3.14 | 7.72e-02 | 2.45e-01 | 5PNRC1, NINJ1, NR4A3, DUSP1, FOSB |
140 |
NFKAPPAB_01 | 4.49e-04 | 6.85 | 2.36 | 7.72e-02 | 5.08e-01 | 6IL1RN, CXCL2, TNF, ICAM1, CD83, SDC4 |
255 |
NFKB_Q6 | 4.77e-04 | 6.76 | 2.33 | 7.72e-02 | 5.40e-01 | 6NFKBIA, IL1RN, CXCL2, PTGS2, ICAM1, CD83 |
258 |
CREBP1_Q2 | 4.96e-04 | 6.71 | 2.32 | 7.72e-02 | 5.62e-01 | 6PPP1R15A, PNRC1, NR4A3, DUSP1, FOSB, GK |
260 |
ATF_01 | 5.69e-04 | 6.53 | 2.25 | 7.72e-02 | 6.45e-01 | 6PPP1R15A, PNRC1, NINJ1, DUSP1, FOSB, GK |
267 |
CREB_Q2 | 5.92e-04 | 6.48 | 2.24 | 7.72e-02 | 6.70e-01 | 6PPP1R15A, PNRC1, NINJ1, NR4A3, DUSP1, FOSB |
269 |
CREB_Q4 | 6.26e-04 | 6.41 | 2.21 | 7.72e-02 | 7.10e-01 | 6PPP1R15A, PNRC1, NINJ1, NR4A3, DUSP1, FOSB |
272 |
CEBP_01 | 6.88e-04 | 6.29 | 2.17 | 7.72e-02 | 7.79e-01 | 6TNF, PLEK, NFKBIZ, THBS1, DUSP2, FOSB |
277 |
ZNF597_TARGET_GENES | 3.07e-04 | 4.07 | 1.87 | 7.72e-02 | 3.48e-01 | 11NFKBIA, SOD2, TNF, TNFAIP3, PLEK, NFKBIZ, ARL5B, CD83, NINJ1, DUSP2, STX11 |
877 |
GTF2A2_TARGET_GENES | 7.49e-04 | 4.63 | 1.87 | 7.72e-02 | 8.49e-01 | 8IER3, PPP1R15A, PIM3, ZFP36, DUSP1, SDC4, CDKN1A, FOSB |
522 |
CCAWWNAAGG_SRF_Q4 | 5.05e-03 | 9.38 | 1.83 | 2.62e-01 | 1.00e+00 | 3THBS1, DUSP2, FOSB |
88 |
PAX3_B | 5.54e-03 | 9.06 | 1.77 | 2.62e-01 | 1.00e+00 | 3PNRC1, NR4A3, GK |
91 |
ATF3_Q6 | 2.97e-03 | 5.60 | 1.72 | 2.15e-01 | 1.00e+00 | 5PPP1R15A, PNRC1, DUSP1, CDKN1A, FOSB |
253 |
CREB_02 | 3.33e-03 | 5.45 | 1.67 | 2.15e-01 | 1.00e+00 | 5PPP1R15A, NINJ1, NR4A3, DUSP1, FOSB |
260 |
ATF4_Q2 | 3.33e-03 | 5.45 | 1.67 | 2.15e-01 | 1.00e+00 | 5PPP1R15A, PNRC1, NR4A3, DUSP1, FOSB |
260 |
CEBPB_02 | 3.67e-03 | 5.32 | 1.64 | 2.19e-01 | 1.00e+00 | 5NFKBIA, NLRP3, NFKBIZ, G0S2, DUSP1 |
266 |
ATF_B | 6.59e-03 | 5.81 | 1.50 | 2.98e-01 | 1.00e+00 | 4PPP1R15A, PNRC1, DUSP1, FOSB |
191 |
E4F1_Q6 | 5.39e-03 | 4.84 | 1.49 | 2.62e-01 | 1.00e+00 | 5PPP1R15A, NINJ1, NR4A3, DUSP1, FOSB |
292 |
GTF2E2_TARGET_GENES | 4.79e-03 | 4.21 | 1.46 | 2.62e-01 | 1.00e+00 | 6PPP1R15A, NFKBIZ, FTH1, BEST1, PHLDA1, DUSP1 |
411 |
Dowload full table
GO Biological Processes:
P-value | OR | Lower 95% CI | FDR | FWER | Genes Found | Gene Set Size | |
---|---|---|---|---|---|---|---|
GOBP_POSITIVE_REGULATION_OF_FEVER_GENERATION | 2.06e-06 | 197.13 | 28.20 | 5.95e-04 | 1.54e-02 | 3IL1B, TNF, PTGS2 |
7 |
GOBP_REGULATION_OF_CHRONIC_INFLAMMATORY_RESPONSE | 3.28e-06 | 158.40 | 23.90 | 6.69e-04 | 2.45e-02 | 3TNF, TNFAIP3, IL10 |
8 |
GOBP_FEVER_GENERATION | 6.99e-06 | 112.93 | 18.36 | 1.07e-03 | 5.23e-02 | 3IL1B, TNF, PTGS2 |
10 |
GOBP_POSITIVE_REGULATION_OF_HEAT_GENERATION | 6.99e-06 | 112.93 | 18.36 | 1.07e-03 | 5.23e-02 | 3IL1B, TNF, PTGS2 |
10 |
GOBP_CHRONIC_INFLAMMATORY_RESPONSE | 8.22e-07 | 72.18 | 16.80 | 3.22e-04 | 6.15e-03 | 4TNF, TNFAIP3, IL10, THBS1 |
19 |
GOBP_NEURON_DEATH_IN_RESPONSE_TO_HYDROGEN_PEROXIDE | 1.54e-04 | 172.68 | 14.09 | 1.13e-02 | 1.00e+00 | 2IL10, NR4A3 |
5 |
GOBP_MONOCYTE_AGGREGATION | 1.54e-04 | 172.68 | 14.09 | 1.13e-02 | 1.00e+00 | 2IL1B, NR4A3 |
5 |
GOBP_REGULATION_OF_HEAT_GENERATION | 1.65e-05 | 79.36 | 13.63 | 2.09e-03 | 1.23e-01 | 3IL1B, TNF, PTGS2 |
13 |
GOBP_REGULATION_OF_HETEROTYPIC_CELL_CELL_ADHESION | 3.10e-06 | 49.25 | 11.88 | 6.63e-04 | 2.32e-02 | 4IL1B, IL1RN, TNF, IL10 |
26 |
GOBP_NUCLEOTIDE_BINDING_OLIGOMERIZATION_DOMAIN_CONTAINING_1_SIGNALING_PATHWAY | 2.31e-04 | 129.66 | 11.45 | 1.55e-02 | 1.00e+00 | 2NFKBIA, TNFAIP3 |
6 |
GOBP_OVULATION | 3.20e-05 | 61.17 | 10.83 | 3.30e-03 | 2.40e-01 | 3EREG, MMP19, TNFAIP6 |
16 |
GOBP_HEAT_GENERATION | 3.20e-05 | 61.17 | 10.83 | 3.30e-03 | 2.40e-01 | 3IL1B, TNF, PTGS2 |
16 |
GOBP_POSITIVE_REGULATION_OF_HETEROTYPIC_CELL_CELL_ADHESION | 3.20e-05 | 61.17 | 10.83 | 3.30e-03 | 2.40e-01 | 3IL1B, TNF, IL10 |
16 |
GOBP_POSITIVE_REGULATION_OF_PROSTAGLANDIN_BIOSYNTHETIC_PROCESS | 3.22e-04 | 103.49 | 9.64 | 1.96e-02 | 1.00e+00 | 2IL1B, PTGS2 |
7 |
GOBP_REGULATION_OF_CALCIDIOL_1_MONOOXYGENASE_ACTIVITY | 3.22e-04 | 103.49 | 9.64 | 1.96e-02 | 1.00e+00 | 2IL1B, TNF |
7 |
GOBP_CYTOPLASMIC_SEQUESTERING_OF_NF_KAPPAB | 4.28e-04 | 86.37 | 8.33 | 2.41e-02 | 1.00e+00 | 2NFKBIA, IL10 |
8 |
GOBP_POSITIVE_REGULATION_OF_REACTIVE_OXYGEN_SPECIES_BIOSYNTHETIC_PROCESS | 2.40e-06 | 27.75 | 8.25 | 5.95e-04 | 1.79e-02 | 5IL1B, SOD2, TNF, PTGS2, ICAM1 |
55 |
GOBP_POSITIVE_REGULATION_OF_REACTIVE_OXYGEN_SPECIES_METABOLIC_PROCESS | 1.26e-07 | 21.64 | 8.00 | 9.46e-05 | 9.46e-04 | 7IL1B, SOD2, TNF, PTGS2, ICAM1, THBS1, CDKN1A |
101 |
GOBP_POSITIVE_REGULATION_OF_NITRIC_OXIDE_METABOLIC_PROCESS | 1.64e-05 | 31.00 | 7.69 | 2.09e-03 | 1.22e-01 | 4IL1B, TNF, PTGS2, ICAM1 |
39 |
GOBP_REGULATION_OF_NITRIC_OXIDE_METABOLIC_PROCESS | 4.02e-06 | 24.75 | 7.40 | 7.60e-04 | 3.01e-02 | 5IL1B, TNF, PTGS2, ICAM1, IL10 |
61 |
Dowload full table
Immunological Gene Sets:
P-value | OR | Lower 95% CI | FDR | FWER | Genes Found | Gene Set Size | |
---|---|---|---|---|---|---|---|
GSE9988_ANTI_TREM1_VS_ANTI_TREM1_AND_LPS_MONOCYTE_DN | 1.35e-40 | 103.96 | 55.86 | 2.57e-37 | 6.59e-37 | 29NFKBIA, IL1B, IER3, CXCL3, SOD2, NLRP3, PPP1R15A, CXCL2, TNF, PTGS2, TNFAIP3, PLEK, PLAUR, NFKBIZ, ICAM1, ARL5B, IL10, PIM3, CD83, PFKFB3, NINJ1, G0S2, ZFP36, DUSP2, SDC4, TNFAIP6, CYB5D1, DRAM1, IFNGR2 |
195 |
GSE9988_LOW_LPS_VS_CTRL_TREATED_MONOCYTE_UP | 1.58e-40 | 103.36 | 55.61 | 2.57e-37 | 7.71e-37 | 29NFKBIA, IL1B, IER3, CXCL3, SOD2, NLRP3, PPP1R15A, CXCL2, TNF, EREG, PTGS2, TNFAIP3, PLEK, PLAUR, NFKBIZ, ICAM1, ARL5B, IL10, PIM3, CD83, PFKFB3, NR4A3, G0S2, DUSP2, DUSP1, SDC4, TNFAIP6, CYB5D1, GK |
196 |
GSE9988_LOW_LPS_VS_VEHICLE_TREATED_MONOCYTE_UP | 1.58e-40 | 103.36 | 55.61 | 2.57e-37 | 7.71e-37 | 29NFKBIA, IL1B, IER3, CXCL3, SOD2, NLRP3, PPP1R15A, CXCL2, TNF, EREG, PTGS2, TNFAIP3, PLEK, PLAUR, NFKBIZ, ICAM1, ARL5B, IL10, PIM3, CD83, KDM6B, G0S2, DUSP2, DUSP1, SDC4, TNFAIP6, CYB5D1, DRAM1, GK |
196 |
GSE9988_LPS_VS_CTRL_TREATED_MONOCYTE_UP | 1.41e-36 | 86.73 | 46.85 | 1.71e-33 | 6.85e-33 | 27NFKBIA, IL1B, IER3, CXCL3, SOD2, NLRP3, PPP1R15A, CXCL2, TNF, PTGS2, TNFAIP3, PLEK, PLAUR, NFKBIZ, ICAM1, ARL5B, IL10, PIM3, CD83, PFKFB3, G0S2, DUSP2, DUSP1, CDKN1A, TNFAIP6, CYB5D1, DRAM1 |
196 |
GSE9988_LPS_VS_VEHICLE_TREATED_MONOCYTE_UP | 1.17e-34 | 79.57 | 42.98 | 1.14e-31 | 5.68e-31 | 26NFKBIA, IL1B, IER3, CXCL3, SOD2, NLRP3, PPP1R15A, CXCL2, TNF, PTGS2, TNFAIP3, PLEK, PLAUR, NFKBIZ, ICAM1, ARL5B, IL10, PIM3, CD83, KDM6B, G0S2, DUSP2, DUSP1, TNFAIP6, CYB5D1, DRAM1 |
196 |
GSE9988_ANTI_TREM1_VS_LOW_LPS_MONOCYTE_DN | 1.16e-32 | 72.28 | 38.90 | 9.40e-30 | 5.64e-29 | 25NFKBIA, IL1B, IER3, CXCL3, SOD2, NLRP3, CXCL2, TNF, PTGS2, PNRC1, TNFAIP3, NFKBIZ, ICAM1, ARL5B, IL10, PIM3, CD83, PFKFB3, G0S2, DUSP2, STX11, SDC4, TNFAIP6, DRAM1, IFNGR2 |
198 |
GSE9988_ANTI_TREM1_VS_LPS_MONOCYTE_DN | 8.02e-31 | 66.17 | 35.68 | 5.58e-28 | 3.91e-27 | 24NFKBIA, IL1B, IER3, SOD2, NLRP3, CXCL2, TNF, PTGS2, PNRC1, TNFAIP3, NFKBIZ, ICAM1, IL10, PIM3, CD83, PFKFB3, NAMPT, G0S2, DUSP2, STX11, SDC4, TNFAIP6, DRAM1, IFNGR2 |
198 |
GSE2706_UNSTIM_VS_2H_R848_DC_DN | 9.29e-26 | 52.58 | 27.91 | 5.66e-23 | 4.53e-22 | 21NFKBIA, IL1B, CXCL3, PPP1R15A, CXCL2, PTGS2, TNFAIP3, PLEK, PLAUR, NFKBIZ, ICAM1, ARL5B, PIM3, KDM6B, NINJ1, NR4A3, STX11, SDC4, TNFAIP6, CYB5D1, DRAM1 |
193 |
GSE46606_UNSTIM_VS_CD40L_IL2_IL5_1DAY_STIMULATED_IRF4HIGH_SORTED_BCELL_DN | 1.99e-25 | 50.47 | 26.84 | 1.08e-22 | 9.70e-22 | 21NFKBIA, IL1B, IER3, CXCL3, PPP1R15A, TNF, PTGS2, TNFAIP3, PLEK, NFKBIZ, ICAM1, PIM3, KDM6B, PHLDA1, NINJ1, NR4A3, ZFP36, DUSP2, DUSP1, CDKN1A, PPIF |
200 |
GSE2706_UNSTIM_VS_2H_LPS_DC_DN | 5.24e-24 | 47.90 | 25.23 | 2.55e-21 | 2.55e-20 | 20NFKBIA, CXCL3, SOD2, CXCL2, TNFAIP3, PLAUR, NFKBIZ, ICAM1, GPR183, ARL5B, IL10, PIM3, KDM6B, NAMPT, NINJ1, NR4A3, DUSP2, STX11, CDKN1A, TNFAIP6 |
194 |
GSE2706_UNSTIM_VS_2H_LPS_AND_R848_DC_DN | 1.79e-22 | 44.52 | 23.28 | 7.95e-20 | 8.74e-19 | 19NFKBIA, CXCL3, PPP1R15A, CXCL2, PTGS2, TNFAIP3, PLAUR, NFKBIZ, ICAM1, GPR183, ARL5B, PIM3, NAMPT, NR4A3, DUSP2, STX11, DUSP1, CDKN1A, DRAM1 |
191 |
GSE21360_SECONDARY_VS_QUATERNARY_MEMORY_CD8_TCELL_UP | 3.21e-21 | 42.85 | 22.16 | 1.20e-18 | 1.57e-17 | 18NFKBIA, IL1B, CXCL3, SOD2, IL1RN, CXCL2, TNF, PTGS2, TNFAIP3, PLEK, NFKBIZ, FTH1, IL10, PFKFB3, ZFP36, DUSP2, STX11, DUSP1 |
182 |
GSE32986_CURDLAN_HIGHDOSE_VS_GMCSF_AND_CURDLAN_HIGHDOSE_STIM_DC_DN | 4.34e-22 | 42.31 | 22.14 | 1.76e-19 | 2.12e-18 | 19NFKBIA, IL1B, CXCL3, SOD2, NLRP3, PPP1R15A, TNF, PTGS2, TNFAIP3, NFKBIZ, ICAM1, CD83, KDM6B, NR4A3, ZFP36, DUSP2, STX11, DUSP1, SDC4 |
200 |
GSE14769_UNSTIM_VS_40MIN_LPS_BMDM_DN | 1.78e-20 | 38.62 | 20.01 | 5.41e-18 | 8.66e-17 | 18NFKBIA, IER3, CXCL3, PPP1R15A, CXCL2, TNF, PTGS2, PNRC1, TNFAIP3, NFKBIZ, ARL5B, IL10, KDM6B, PHLDA1, ZFP36, DUSP2, DUSP1, SDC4 |
200 |
GSE42021_TREG_PLN_VS_CD24HI_TREG_THYMUS_UP | 1.78e-20 | 38.62 | 20.01 | 5.41e-18 | 8.66e-17 | 18NFKBIA, IL1B, IER3, CXCL3, PPP1R15A, IL1RN, CXCL2, TNF, PTGS2, PLAUR, NFKBIZ, ICAM1, IL10, CD83, PHLDA1, DUSP2, DUSP1, CDKN1A |
200 |
GSE27434_WT_VS_DNMT1_KO_TREG_DN | 1.78e-20 | 38.62 | 20.01 | 5.41e-18 | 8.66e-17 | 18NFKBIA, IL1B, CXCL3, PPP1R15A, IL1RN, CXCL2, TNF, PTGS2, PLAUR, NFKBIZ, ICAM1, IL10, CD83, PHLDA1, ZFP36, DUSP2, DUSP1, CDKN1A |
200 |
GSE9988_ANTI_TREM1_AND_LPS_VS_VEHICLE_TREATED_MONOCYTES_UP | 4.32e-19 | 36.16 | 18.54 | 1.24e-16 | 2.11e-15 | 17IL1B, IER3, CXCL3, NLRP3, CXCL2, TNF, PTGS2, PLEK, PLAUR, NFKBIZ, ARL5B, IL10, PIM3, DUSP2, MMP19, DUSP1, CYB5D1 |
195 |
GSE25123_CTRL_VS_ROSIGLITAZONE_STIM_PPARG_KO_MACROPHAGE_UP | 5.14e-19 | 35.76 | 18.34 | 1.39e-16 | 2.51e-15 | 17IL1B, CXCL3, NLRP3, IL1RN, CXCL2, EREG, TNFAIP3, PLAUR, GPR183, PFKFB3, KDM6B, NAMPT, PHLDA1, DUSP2, MMP19, GK, PPIF |
197 |
GSE41176_UNSTIM_VS_ANTI_IGM_STIM_BCELL_3H_UP | 6.10e-19 | 35.37 | 18.14 | 1.47e-16 | 2.97e-15 | 17IL1B, IER3, CXCL3, SOD2, CXCL2, TNF, EREG, PTGS2, TNFAIP3, PLAUR, IL10, PFKFB3, NAMPT, NINJ1, G0S2, DUSP2, TNFAIP6 |
199 |
GSE22886_DAY0_VS_DAY1_MONOCYTE_IN_CULTURE_DN | 6.65e-19 | 35.18 | 18.04 | 1.47e-16 | 3.24e-15 | 17IL1B, IER3, CXCL3, SOD2, IL1RN, CXCL2, PTGS2, FTH1, PFKFB3, NAMPT, NINJ1, MMP19, SDC4, CDKN1A, TNFAIP6, PPIF, KYNU |
200 |
Top Ranked Transcription Factors for this Gene Expression Program:
Gene Symbol | TF Rank | DNA Binding Domain | Motif Status | IUPAC PWM | GTEx | DepMap | Decartes |
---|---|---|---|---|---|---|---|
NFKBIA | 1 | No | Unlikely to be sequence specific TF | Not a DNA binding protein | No motif | None | This is I kappa B alpha, which interacts with NFkappaB. No DBD, and evidence indicates that it is not a TF. |
IL1B | 2 | No | Unlikely to be sequence specific TF | Not a DNA binding protein | No motif | None | None |
NLRP3 | 6 | No | Unlikely to be sequence specific TF | Not a DNA binding protein | No motif | None | Operates upstream in the signaling cascade |
TNF | 10 | No | Unlikely to be sequence specific TF | Not a DNA binding protein | No motif | None | The protein is a secreted cytokine and operates far upstream in the signaling cascade |
TNFAIP3 | 14 | No | Unlikely to be sequence specific TF | Not a DNA binding protein | No motif | None | Inhibits NFKB-activation. No evidence for direct binding to DNA |
PLEK | 15 | No | Unlikely to be sequence specific TF | Not a DNA binding protein | No motif | None | The DEP-domain is a winged helix-turn-helix protein domain, and thus it is related to ETS, RFX, and FOX domains. However, there is no evidence for DNA-binding activity and it has been shown to operate in G-protein signalling upstream of TFs |
NFKBIZ | 17 | No | Unlikely to be sequence specific TF | Not a DNA binding protein | No motif | None | None |
ICAM1 | 18 | No | Unlikely to be sequence specific TF | Not a DNA binding protein | No motif | None | None |
IL10 | 22 | No | Unlikely to be sequence specific TF | Not a DNA binding protein | No motif | None | None |
NR4A3 | 32 | Yes | Known motif | Monomer or homomultimer | In vivo/Misc source | Only known motifs are from Transfac or HocoMoco - origin is uncertain | None |
ZFP36 | 34 | No | ssDNA/RNA binding | Not a DNA binding protein | No motif | None | RNA binding protein (PMID: 10330172). |
KLF10 | 38 | Yes | Known motif | Monomer or homomultimer | High-throughput in vitro | None | None |
CDKN1A | 41 | No | Unlikely to be sequence specific TF | Not a DNA binding protein | No motif | None | None |
FOSB | 44 | Yes | Known motif | Monomer or homomultimer | High-throughput in vitro | None | None |
THAP2 | 47 | Yes | Likely to be sequence specific TF | Monomer or homomultimer | No motif | None | None |
HES1 | 60 | Yes | Known motif | Monomer or homomultimer | High-throughput in vitro | None | None |
IRAK2 | 66 | No | Unlikely to be sequence specific TF | Not a DNA binding protein | No motif | None | None |
BTG2 | 71 | No | Unlikely to be sequence specific TF | Not a DNA binding protein | No motif | None | Transcriptional co-factor (PMID: 10617598) |
NFKB1 | 72 | Yes | Known motif | Monomer or homomultimer | High-throughput in vitro | None | None |
KLF6 | 74 | Yes | Known motif | Monomer or homomultimer | High-throughput in vitro | None | None |
QQ Plot showing correlations with other GEPs in this dataset, calculated by Spearman correlation:
Interactive QQ-plot of gene loadings:
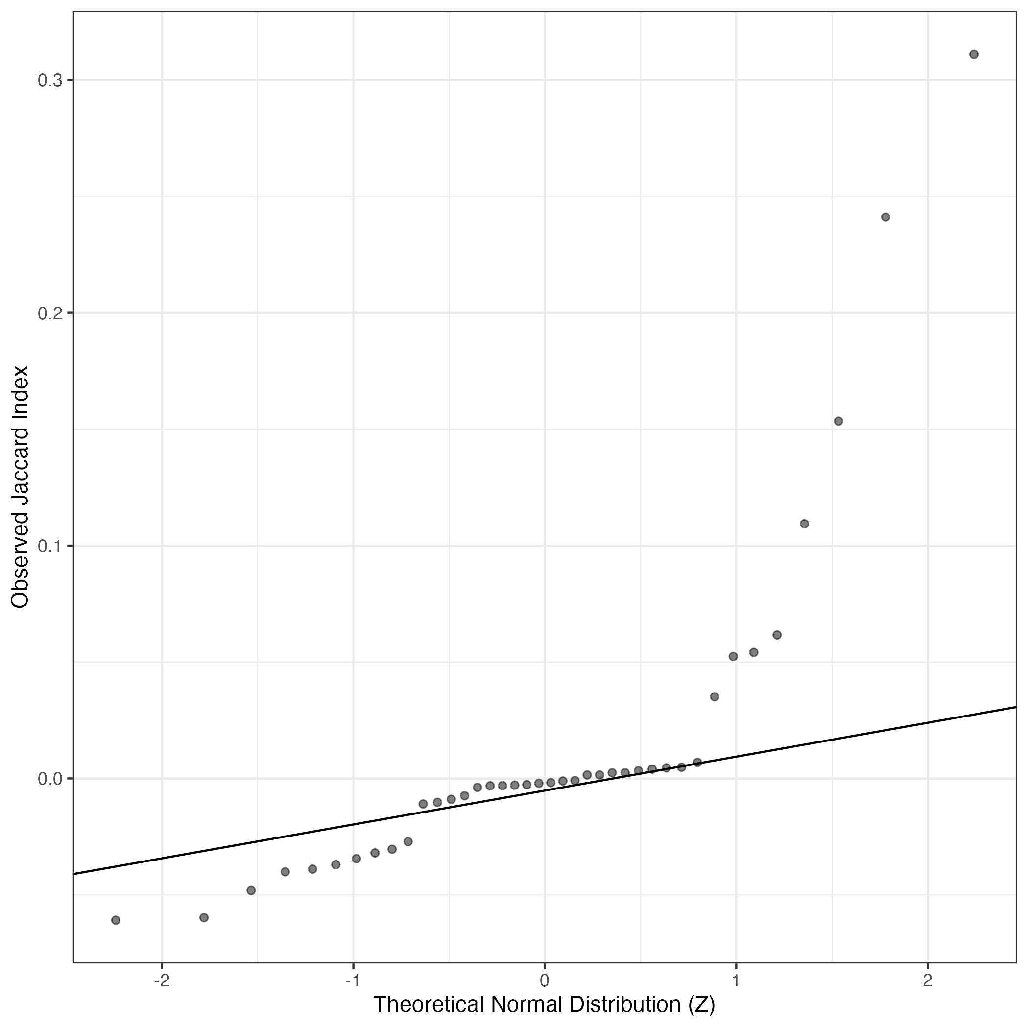
A similar QQ-plot as above, but only for instances where the H value is e.g. > 25, i.e. we are confident that the expression program is active above noise. Agreemenet between these binary vectors is tested using the Jaccard Index, with the P-values calculated by an exact test:
Interactive QQ-plot:
Singler cell type annotations for the top 50 cells on this program.
Cell ID | Singler label | Singler Delta | Activity Score | Top Singler Raw Scores |
---|---|---|---|---|
STDY8004894_ACGAGGAAGATCTGAA | Macrophage:monocyte-derived:M-CSF/Pam3Cys | 0.19 | 592.56 | Raw ScoresMacrophage:monocyte-derived:M-CSF/IFNg/Pam3Cys: 0.48, Macrophage:monocyte-derived:M-CSF: 0.48, Macrophage:monocyte-derived:M-CSF/Pam3Cys: 0.47, Monocyte:leukotriene_D4: 0.47, DC:monocyte-derived:Galectin-1: 0.47, DC:monocyte-derived:antiCD40/VAF347: 0.47, DC:monocyte-derived:LPS: 0.47, Monocyte: 0.47, DC:monocyte-derived: 0.47, Monocyte:anti-FcgRIIB: 0.47 |
STDY8004894_ATAAGAGCAATGCCAT | Monocyte:CD16- | 0.18 | 482.17 | Raw ScoresMonocyte:CD16-: 0.41, Monocyte:CD14+: 0.41, Monocyte:leukotriene_D4: 0.4, Neutrophil:commensal_E._coli_MG1655: 0.4, Monocyte: 0.4, Monocyte:S._typhimurium_flagellin: 0.4, Monocyte:anti-FcgRIIB: 0.4, Macrophage:monocyte-derived:M-CSF/IFNg/Pam3Cys: 0.4, Monocyte:CD16+: 0.39, Pre-B_cell_CD34-: 0.39 |
STDY8004894_GCGCCAATCGGAGGTA | DC:monocyte-derived:antiCD40/VAF347 | 0.19 | 472.50 | Raw ScoresDC:monocyte-derived:antiCD40/VAF347: 0.52, Macrophage:monocyte-derived:M-CSF: 0.52, Macrophage:monocyte-derived:M-CSF/IFNg/Pam3Cys: 0.52, DC:monocyte-derived:Galectin-1: 0.52, DC:monocyte-derived: 0.51, DC:monocyte-derived:LPS: 0.51, Monocyte:leukotriene_D4: 0.51, Macrophage:monocyte-derived:M-CSF/IFNg: 0.51, Macrophage:monocyte-derived:M-CSF/Pam3Cys: 0.51, DC:monocyte-derived:anti-DC-SIGN_2h: 0.51 |
STDY8004894_GACGTTACATGAACCT | DC:monocyte-derived:antiCD40/VAF347 | 0.18 | 422.61 | Raw ScoresMacrophage:monocyte-derived:M-CSF/Pam3Cys: 0.48, Macrophage:monocyte-derived:M-CSF/IFNg/Pam3Cys: 0.48, DC:monocyte-derived:antiCD40/VAF347: 0.48, Macrophage:monocyte-derived:M-CSF: 0.47, DC:monocyte-derived:Galectin-1: 0.47, Monocyte:leukotriene_D4: 0.47, Monocyte:anti-FcgRIIB: 0.47, DC:monocyte-derived:A._fumigatus_germ_tubes_6h: 0.47, DC:monocyte-derived:LPS: 0.47, DC:monocyte-derived: 0.47 |
STDY8004894_TGCTACCCAGGAATCG | Macrophage:monocyte-derived:M-CSF/IFNg/Pam3Cys | 0.19 | 418.50 | Raw ScoresMacrophage:monocyte-derived:M-CSF/IFNg/Pam3Cys: 0.51, Macrophage:monocyte-derived:M-CSF: 0.51, Macrophage:monocyte-derived:M-CSF/IFNg: 0.5, Macrophage:monocyte-derived:M-CSF/Pam3Cys: 0.5, Monocyte:leukotriene_D4: 0.5, DC:monocyte-derived:Galectin-1: 0.5, DC:monocyte-derived:LPS: 0.5, Monocyte: 0.5, Monocyte:anti-FcgRIIB: 0.5, DC:monocyte-derived:anti-DC-SIGN_2h: 0.49 |
STDY8004894_TTAGTTCTCAGAAATG | Monocyte:CD14+ | 0.17 | 376.94 | Raw ScoresMonocyte:CD16-: 0.46, Monocyte:CD14+: 0.45, Monocyte:leukotriene_D4: 0.45, Monocyte:CD16+: 0.45, Monocyte: 0.45, Monocyte:anti-FcgRIIB: 0.44, Macrophage:monocyte-derived:M-CSF/IFNg/Pam3Cys: 0.44, Macrophage:monocyte-derived:M-CSF: 0.44, Monocyte:S._typhimurium_flagellin: 0.44, Macrophage:monocyte-derived:M-CSF/Pam3Cys: 0.44 |
STDY7685341_TTCTCCTAGCGTGAAC | Monocyte:S._typhimurium_flagellin | 0.15 | 345.87 | Raw ScoresMonocyte:CD16+: 0.41, Monocyte:CD16-: 0.41, Monocyte:S._typhimurium_flagellin: 0.4, Macrophage:monocyte-derived:M-CSF/IFNg/Pam3Cys: 0.4, Monocyte:leukotriene_D4: 0.4, Monocyte:CD14+: 0.4, Monocyte: 0.4, Macrophage:monocyte-derived:M-CSF/Pam3Cys: 0.4, Monocyte:anti-FcgRIIB: 0.39, Pre-B_cell_CD34-: 0.39 |
STDY8004894_GCATGCGCACTGAAGG | Macrophage:monocyte-derived:M-CSF/IFNg/Pam3Cys | 0.19 | 331.66 | Raw ScoresMonocyte:leukotriene_D4: 0.48, Macrophage:monocyte-derived:M-CSF/IFNg/Pam3Cys: 0.48, Macrophage:monocyte-derived:M-CSF: 0.48, Monocyte: 0.48, Monocyte:anti-FcgRIIB: 0.47, Macrophage:monocyte-derived: 0.47, Macrophage:monocyte-derived:M-CSF/IFNg: 0.47, Macrophage:monocyte-derived:S._aureus: 0.47, Macrophage:monocyte-derived:M-CSF/Pam3Cys: 0.47, DC:monocyte-derived:Galectin-1: 0.47 |
STDY8004894_CTCGTACGTCGATTGT | Macrophage:monocyte-derived:M-CSF/Pam3Cys | 0.17 | 327.10 | Raw ScoresMacrophage:monocyte-derived:M-CSF/Pam3Cys: 0.45, Macrophage:monocyte-derived:M-CSF/IFNg/Pam3Cys: 0.45, Monocyte:leukotriene_D4: 0.45, Monocyte:CD16-: 0.45, Monocyte:anti-FcgRIIB: 0.44, Monocyte: 0.44, Monocyte:S._typhimurium_flagellin: 0.44, Monocyte:CD14+: 0.44, Macrophage:monocyte-derived:M-CSF: 0.44, Macrophage:monocyte-derived:M-CSF/IFNg: 0.44 |
STDY7685341_GCATGCGGTCACTTCC | DC:monocyte-derived:anti-DC-SIGN_2h | 0.14 | 300.13 | Raw ScoresDC:monocyte-derived:anti-DC-SIGN_2h: 0.34, Macrophage:monocyte-derived:M-CSF/IFNg/Pam3Cys: 0.34, DC:monocyte-derived:A._fumigatus_germ_tubes_6h: 0.34, Monocyte:S._typhimurium_flagellin: 0.33, Monocyte:CD16+: 0.33, Monocyte:CD16-: 0.33, Macrophage:monocyte-derived:M-CSF/Pam3Cys: 0.33, Monocyte:leukotriene_D4: 0.33, Monocyte: 0.33, Monocyte:CD14+: 0.33 |
STDY7685342_AACACGTGTGGCGAAT | Monocyte:S._typhimurium_flagellin | 0.14 | 295.83 | Raw ScoresMonocyte:leukotriene_D4: 0.41, Monocyte:CD16-: 0.41, Macrophage:monocyte-derived:M-CSF/IFNg/Pam3Cys: 0.41, Macrophage:monocyte-derived:M-CSF/Pam3Cys: 0.4, DC:monocyte-derived:anti-DC-SIGN_2h: 0.4, Monocyte:CD16+: 0.4, Macrophage:monocyte-derived:M-CSF: 0.4, Monocyte: 0.4, Monocyte:CD14+: 0.4, Monocyte:anti-FcgRIIB: 0.4 |
STDY8004894_AGTGAGGAGGTGATAT | Monocyte:CD16- | 0.19 | 281.29 | Raw ScoresMonocyte:CD16-: 0.47, Monocyte:CD14+: 0.47, Monocyte:leukotriene_D4: 0.46, Monocyte: 0.46, Monocyte:anti-FcgRIIB: 0.45, Macrophage:monocyte-derived:M-CSF/IFNg/Pam3Cys: 0.45, Monocyte:CD16+: 0.45, Monocyte:S._typhimurium_flagellin: 0.45, Macrophage:monocyte-derived:M-CSF/Pam3Cys: 0.45, Pre-B_cell_CD34-: 0.45 |
STDY7685341_TTCTCCTCACCAGATT | Monocyte:CD16- | 0.18 | 264.21 | Raw ScoresMonocyte:CD16-: 0.43, Monocyte:CD14+: 0.43, Monocyte:CD16+: 0.43, Macrophage:monocyte-derived:M-CSF/IFNg/Pam3Cys: 0.43, Monocyte:leukotriene_D4: 0.42, Monocyte: 0.42, Macrophage:monocyte-derived:M-CSF/IFNg: 0.42, Monocyte:anti-FcgRIIB: 0.41, Macrophage:monocyte-derived:M-CSF/Pam3Cys: 0.41, Macrophage:monocyte-derived:M-CSF: 0.41 |
STDY7685342_AGTGTCACAATGAATG | Monocyte:S._typhimurium_flagellin | 0.15 | 253.36 | Raw ScoresMonocyte:CD16-: 0.39, Monocyte:CD14+: 0.38, Monocyte:CD16+: 0.37, Monocyte:leukotriene_D4: 0.37, Monocyte: 0.37, Neutrophil:commensal_E._coli_MG1655: 0.37, Monocyte:S._typhimurium_flagellin: 0.37, Pre-B_cell_CD34-: 0.37, Monocyte:anti-FcgRIIB: 0.36, Macrophage:monocyte-derived:M-CSF/IFNg/Pam3Cys: 0.36 |
STDY8004894_GAGCAGATCCGTAGTA | Monocyte:CD16- | 0.16 | 240.71 | Raw ScoresMonocyte:CD16-: 0.39, Monocyte:S._typhimurium_flagellin: 0.38, Monocyte:CD14+: 0.38, Monocyte:CD16+: 0.38, Monocyte:leukotriene_D4: 0.37, Monocyte:anti-FcgRIIB: 0.37, Macrophage:monocyte-derived:M-CSF/IFNg/Pam3Cys: 0.37, Monocyte: 0.37, Neutrophil:commensal_E._coli_MG1655: 0.37, Macrophage:monocyte-derived:M-CSF/Pam3Cys: 0.37 |
STDY8004894_GAAGCAGTCTGGGCCA | DC:monocyte-derived:anti-DC-SIGN_2h | 0.18 | 238.33 | Raw ScoresMacrophage:monocyte-derived:M-CSF: 0.45, DC:monocyte-derived:anti-DC-SIGN_2h: 0.44, Monocyte:leukotriene_D4: 0.44, Monocyte: 0.43, DC:monocyte-derived: 0.43, Macrophage:monocyte-derived:M-CSF/IFNg: 0.43, Macrophage:monocyte-derived:M-CSF/IFNg/Pam3Cys: 0.43, DC:monocyte-derived:Galectin-1: 0.43, DC:monocyte-derived:A._fumigatus_germ_tubes_6h: 0.43, DC:monocyte-derived:LPS: 0.43 |
STDY8004894_GCATACAAGATGGGTC | Monocyte:CD16- | 0.17 | 217.63 | Raw ScoresMonocyte:CD16-: 0.42, Monocyte:CD14+: 0.41, Monocyte:CD16+: 0.41, Monocyte:leukotriene_D4: 0.41, Monocyte:S._typhimurium_flagellin: 0.4, Monocyte: 0.4, Neutrophil:commensal_E._coli_MG1655: 0.4, Macrophage:monocyte-derived:M-CSF/IFNg/Pam3Cys: 0.4, Pre-B_cell_CD34-: 0.4, Neutrophil: 0.4 |
STDY8004894_CGAGCACCATGTCGAT | DC:monocyte-derived:antiCD40/VAF347 | 0.19 | 214.78 | Raw ScoresMacrophage:monocyte-derived:M-CSF: 0.54, DC:monocyte-derived:anti-DC-SIGN_2h: 0.54, DC:monocyte-derived:antiCD40/VAF347: 0.54, Macrophage:monocyte-derived:IL-4/Dex/TGFb: 0.53, DC:monocyte-derived: 0.53, Macrophage:monocyte-derived:IL-4/Dex/cntrl: 0.53, Macrophage:monocyte-derived: 0.53, DC:monocyte-derived:A._fumigatus_germ_tubes_6h: 0.53, DC:monocyte-derived:Galectin-1: 0.53, Macrophage:monocyte-derived:M-CSF/Pam3Cys: 0.53 |
STDY8004894_GGCGTGTGTCTCCATC | Monocyte | 0.16 | 210.47 | Raw ScoresMonocyte:leukotriene_D4: 0.46, Monocyte: 0.46, Macrophage:monocyte-derived:M-CSF: 0.46, Macrophage:monocyte-derived:M-CSF/IFNg/Pam3Cys: 0.46, Monocyte:anti-FcgRIIB: 0.46, Monocyte:CD16-: 0.46, Macrophage:monocyte-derived:M-CSF/Pam3Cys: 0.45, Macrophage:monocyte-derived:M-CSF/IFNg: 0.45, DC:monocyte-derived:anti-DC-SIGN_2h: 0.45, Monocyte:CD14+: 0.45 |
STDY7685342_TACCTTACATCGGTTA | Monocyte:CD14+ | 0.17 | 210.09 | Raw ScoresMacrophage:monocyte-derived:M-CSF/IFNg/Pam3Cys: 0.44, Macrophage:monocyte-derived:M-CSF/IFNg: 0.43, Monocyte:CD16-: 0.43, Monocyte:leukotriene_D4: 0.43, Macrophage:monocyte-derived:M-CSF/Pam3Cys: 0.43, Monocyte:CD14+: 0.43, Monocyte:CD16+: 0.43, Monocyte: 0.43, Monocyte:anti-FcgRIIB: 0.42, Macrophage:monocyte-derived:M-CSF: 0.42 |
STDY7685341_CGAGAAGAGTGTACTC | Monocyte:CD16+ | 0.17 | 208.62 | Raw ScoresMonocyte:CD16-: 0.43, Monocyte:CD16+: 0.43, Monocyte:CD14+: 0.42, Monocyte:leukotriene_D4: 0.42, Macrophage:monocyte-derived:M-CSF: 0.42, Monocyte: 0.42, DC:monocyte-derived:anti-DC-SIGN_2h: 0.42, Macrophage:monocyte-derived:M-CSF/IFNg/Pam3Cys: 0.42, Macrophage:monocyte-derived:M-CSF/IFNg: 0.41, Monocyte:anti-FcgRIIB: 0.41 |
STDY7685341_AAAGTAGCACGGCCAT | Monocyte:CD16- | 0.15 | 205.23 | Raw ScoresMonocyte:CD16-: 0.4, Monocyte:CD14+: 0.39, Monocyte:CD16+: 0.39, Monocyte:leukotriene_D4: 0.38, Monocyte: 0.38, Pre-B_cell_CD34-: 0.38, Monocyte:anti-FcgRIIB: 0.38, Neutrophil:commensal_E._coli_MG1655: 0.38, Macrophage:monocyte-derived:M-CSF/IFNg/Pam3Cys: 0.37, Neutrophil: 0.37 |
STDY7685342_TTTGCGCAGTGTCCCG | Monocyte:S._typhimurium_flagellin | 0.17 | 201.87 | Raw ScoresMonocyte:CD16+: 0.43, Monocyte:CD16-: 0.43, Macrophage:monocyte-derived:M-CSF/IFNg/Pam3Cys: 0.42, Monocyte:CD14+: 0.42, Monocyte:S._typhimurium_flagellin: 0.42, Macrophage:monocyte-derived:M-CSF/Pam3Cys: 0.41, Monocyte:leukotriene_D4: 0.41, Monocyte: 0.41, Macrophage:monocyte-derived:M-CSF/IFNg: 0.4, Monocyte:anti-FcgRIIB: 0.4 |
STDY7685341_GGACAAGAGCTGGAAC | Monocyte:CD16- | 0.19 | 197.50 | Raw ScoresMacrophage:monocyte-derived:M-CSF/IFNg/Pam3Cys: 0.45, Monocyte:CD16-: 0.45, Monocyte:CD16+: 0.45, Macrophage:monocyte-derived:M-CSF/IFNg: 0.45, Monocyte:leukotriene_D4: 0.44, Monocyte:CD14+: 0.44, Monocyte:anti-FcgRIIB: 0.44, Monocyte: 0.44, Macrophage:monocyte-derived:M-CSF/Pam3Cys: 0.44, Macrophage:monocyte-derived:M-CSF: 0.43 |
STDY8004894_CTCGGGATCACCTTAT | DC:monocyte-derived:antiCD40/VAF347 | 0.17 | 191.09 | Raw ScoresMonocyte:leukotriene_D4: 0.44, Macrophage:monocyte-derived:M-CSF: 0.44, Macrophage:monocyte-derived: 0.44, Macrophage:monocyte-derived:M-CSF/IFNg/Pam3Cys: 0.44, Macrophage:monocyte-derived:M-CSF/Pam3Cys: 0.43, Monocyte:anti-FcgRIIB: 0.43, DC:monocyte-derived:antiCD40/VAF347: 0.43, DC:monocyte-derived:AEC-conditioned: 0.43, DC:monocyte-derived: 0.43, DC:monocyte-derived:A._fumigatus_germ_tubes_6h: 0.43 |
STDY8004894_ACTGAGTTCAATCACG | Monocyte:CD16- | 0.15 | 182.57 | Raw ScoresMonocyte:CD16-: 0.44, Monocyte:CD16+: 0.44, Monocyte:CD14+: 0.44, Monocyte:leukotriene_D4: 0.44, Macrophage:monocyte-derived:M-CSF/IFNg/Pam3Cys: 0.43, Monocyte: 0.43, Monocyte:anti-FcgRIIB: 0.43, Monocyte:S._typhimurium_flagellin: 0.43, Macrophage:monocyte-derived:M-CSF/IFNg: 0.43, Macrophage:monocyte-derived:M-CSF/Pam3Cys: 0.43 |
STDY7685342_AAACGGGCAAGACGTG | Monocyte:CD14+ | 0.17 | 181.34 | Raw ScoresMonocyte:CD16-: 0.5, Monocyte:leukotriene_D4: 0.49, Monocyte:CD14+: 0.49, Monocyte:CD16+: 0.49, Monocyte: 0.49, Monocyte:anti-FcgRIIB: 0.48, Macrophage:monocyte-derived:M-CSF/IFNg/Pam3Cys: 0.47, DC:monocyte-derived:anti-DC-SIGN_2h: 0.47, Macrophage:monocyte-derived:M-CSF: 0.47, Macrophage:monocyte-derived:M-CSF/Pam3Cys: 0.47 |
STDY7685341_TACTTACAGCACACAG | Monocyte:CD16+ | 0.17 | 177.27 | Raw ScoresMonocyte:CD16+: 0.41, Monocyte:CD16-: 0.4, Monocyte:CD14+: 0.4, Monocyte:leukotriene_D4: 0.39, Monocyte: 0.39, Macrophage:monocyte-derived:M-CSF/IFNg/Pam3Cys: 0.39, Monocyte:S._typhimurium_flagellin: 0.39, Neutrophil:commensal_E._coli_MG1655: 0.38, Monocyte:anti-FcgRIIB: 0.38, Pre-B_cell_CD34-: 0.38 |
STDY7685341_ACGCAGCGTCATACTG | Monocyte:CD16- | 0.19 | 170.24 | Raw ScoresMonocyte:CD16-: 0.39, Monocyte:CD14+: 0.38, Neutrophil:commensal_E._coli_MG1655: 0.37, Monocyte:CD16+: 0.37, Monocyte: 0.37, Monocyte:leukotriene_D4: 0.37, Neutrophil:uropathogenic_E._coli_UTI89: 0.36, Pre-B_cell_CD34-: 0.36, Neutrophil: 0.36, Macrophage:monocyte-derived:M-CSF/IFNg/Pam3Cys: 0.36 |
STDY7685341_GGTGCGTGTACTTCTT | Monocyte:CD14+ | 0.20 | 167.75 | Raw ScoresMonocyte:CD16-: 0.44, Monocyte:CD14+: 0.43, Monocyte:leukotriene_D4: 0.42, Monocyte:CD16+: 0.42, Monocyte: 0.42, Monocyte:S._typhimurium_flagellin: 0.41, Monocyte:anti-FcgRIIB: 0.41, Neutrophil:commensal_E._coli_MG1655: 0.41, Pre-B_cell_CD34-: 0.41, Macrophage:monocyte-derived:M-CSF/IFNg/Pam3Cys: 0.41 |
STDY7685340_TGGGCGTAGAAACGCC | Macrophage:monocyte-derived:M-CSF | 0.10 | 167.37 | Raw ScoresDC:monocyte-derived:anti-DC-SIGN_2h: 0.33, Macrophage:monocyte-derived:M-CSF: 0.32, DC:monocyte-derived:A._fumigatus_germ_tubes_6h: 0.32, Macrophage:monocyte-derived:M-CSF/Pam3Cys: 0.32, DC:monocyte-derived:AEC-conditioned: 0.32, DC:monocyte-derived:antiCD40/VAF347: 0.32, Monocyte:leukotriene_D4: 0.31, Macrophage:monocyte-derived:IL-4/Dex/cntrl: 0.31, Macrophage:monocyte-derived: 0.31, DC:monocyte-derived: 0.31 |
STDY7685341_AGATTGCAGCGAAGGG | Monocyte:S._typhimurium_flagellin | 0.18 | 163.13 | Raw ScoresMonocyte:CD16-: 0.37, Monocyte:S._typhimurium_flagellin: 0.37, Monocyte:CD14+: 0.37, Neutrophil:commensal_E._coli_MG1655: 0.36, Neutrophil: 0.36, Monocyte:CD16+: 0.36, Neutrophil:uropathogenic_E._coli_UTI89: 0.35, Macrophage:monocyte-derived:M-CSF/IFNg/Pam3Cys: 0.35, Pre-B_cell_CD34-: 0.35, Monocyte: 0.35 |
STDY7685342_GCTGGGTTCCTGCTTG | Monocyte:CD16+ | 0.15 | 160.25 | Raw ScoresMonocyte:CD16-: 0.4, Monocyte:CD16+: 0.39, Monocyte:CD14+: 0.39, Monocyte:leukotriene_D4: 0.38, Monocyte: 0.38, Macrophage:monocyte-derived:M-CSF/IFNg/Pam3Cys: 0.38, Pre-B_cell_CD34-: 0.38, Monocyte:anti-FcgRIIB: 0.38, Macrophage:monocyte-derived:M-CSF/Pam3Cys: 0.37, Monocyte:S._typhimurium_flagellin: 0.37 |
STDY8004894_CAACTAGCACCACCAG | Neutrophil:commensal_E._coli_MG1655 | 0.15 | 156.87 | Raw ScoresMonocyte:CD16+: 0.33, Neutrophil:commensal_E._coli_MG1655: 0.33, Macrophage:monocyte-derived:M-CSF/IFNg/Pam3Cys: 0.33, Monocyte:S._typhimurium_flagellin: 0.33, Macrophage:monocyte-derived:M-CSF/Pam3Cys: 0.32, Monocyte:CD16-: 0.32, Monocyte:CD14+: 0.32, Neutrophil: 0.32, Monocyte: 0.32, Monocyte:anti-FcgRIIB: 0.32 |
STDY7685342_ATCTACTGTTATCGGT | Monocyte:CD16+ | 0.17 | 154.92 | Raw ScoresMonocyte:CD16-: 0.46, Monocyte:CD16+: 0.45, Monocyte:CD14+: 0.45, Macrophage:monocyte-derived:M-CSF/IFNg/Pam3Cys: 0.45, Macrophage:monocyte-derived:M-CSF/IFNg: 0.45, Monocyte:leukotriene_D4: 0.45, Monocyte: 0.44, Monocyte:anti-FcgRIIB: 0.44, Macrophage:monocyte-derived:M-CSF: 0.43, Macrophage:monocyte-derived:M-CSF/Pam3Cys: 0.43 |
STDY7685341_TGTTCCGTCGACAGCC | Monocyte:CD16- | 0.17 | 154.54 | Raw ScoresMonocyte:CD16-: 0.44, Monocyte:CD14+: 0.43, Monocyte:CD16+: 0.42, Monocyte:leukotriene_D4: 0.41, Monocyte: 0.41, Monocyte:anti-FcgRIIB: 0.41, Pre-B_cell_CD34-: 0.41, Macrophage:monocyte-derived:M-CSF/IFNg/Pam3Cys: 0.4, Macrophage:monocyte-derived:M-CSF: 0.4, Macrophage:monocyte-derived:M-CSF/IFNg: 0.4 |
STDY7685341_GTCTTCGTCTCCGGTT | NK_cell | 0.14 | 150.99 | Raw ScoresNK_cell: 0.28, NK_cell:CD56hiCD62L+: 0.27, NK_cell:IL2: 0.26, T_cell:CD8+_Central_memory: 0.25, T_cell:CD8+_effector_memory_RA: 0.24, T_cell:CD8+: 0.24, Pre-B_cell_CD34-: 0.24, T_cell:CD8+_naive: 0.24, T_cell:gamma-delta: 0.24, T_cell:CD4+_effector_memory: 0.23 |
STDY7685341_CTTAACTAGACAGAGA | Macrophage:monocyte-derived:M-CSF/IFNg/Pam3Cys | 0.17 | 148.48 | Raw ScoresMacrophage:monocyte-derived:M-CSF/IFNg/Pam3Cys: 0.41, Macrophage:monocyte-derived:M-CSF/IFNg: 0.4, Monocyte:CD16-: 0.39, Monocyte:leukotriene_D4: 0.39, Monocyte:CD16+: 0.39, Monocyte:anti-FcgRIIB: 0.39, Monocyte: 0.39, Macrophage:monocyte-derived:M-CSF/Pam3Cys: 0.38, DC:monocyte-derived:anti-DC-SIGN_2h: 0.38, Monocyte:CD14+: 0.38 |
STDY7685341_AGTGGGAGTCGCTTCT | Neutrophil:commensal_E._coli_MG1655 | 0.18 | 147.98 | Raw ScoresMonocyte:CD16-: 0.39, Monocyte:CD14+: 0.39, Neutrophil:commensal_E._coli_MG1655: 0.38, Neutrophil: 0.37, Neutrophil:uropathogenic_E._coli_UTI89: 0.37, Monocyte:leukotriene_D4: 0.37, Monocyte: 0.37, Monocyte:S._typhimurium_flagellin: 0.37, Monocyte:CD16+: 0.37, Pre-B_cell_CD34-: 0.37 |
STDY7685342_GTCTTCGAGCTCAACT | Monocyte:S._typhimurium_flagellin | 0.15 | 147.44 | Raw ScoresMonocyte:CD16-: 0.35, Monocyte:CD14+: 0.35, Monocyte:S._typhimurium_flagellin: 0.35, Monocyte:CD16+: 0.34, Macrophage:monocyte-derived:M-CSF/IFNg/Pam3Cys: 0.34, Monocyte:leukotriene_D4: 0.34, Monocyte: 0.34, Monocyte:anti-FcgRIIB: 0.34, Macrophage:monocyte-derived:M-CSF/Pam3Cys: 0.34, Neutrophil:commensal_E._coli_MG1655: 0.33 |
STDY7685340_ACGAGGAGTGTGACGA | Neutrophil:commensal_E._coli_MG1655 | 0.17 | 146.45 | Raw ScoresMonocyte:S._typhimurium_flagellin: 0.38, Monocyte:CD16-: 0.38, Neutrophil:commensal_E._coli_MG1655: 0.37, Monocyte:CD14+: 0.37, Macrophage:monocyte-derived:M-CSF/IFNg/Pam3Cys: 0.37, Macrophage:monocyte-derived:M-CSF/Pam3Cys: 0.37, Monocyte: 0.36, Neutrophil: 0.36, Monocyte:leukotriene_D4: 0.36, Monocyte:anti-FcgRIIB: 0.36 |
STDY7685341_CGGAGTCCAGGCAGTA | Monocyte:CD16- | 0.18 | 146.32 | Raw ScoresMonocyte:CD16-: 0.42, Monocyte:CD14+: 0.41, Neutrophil:commensal_E._coli_MG1655: 0.4, Monocyte: 0.4, Monocyte:leukotriene_D4: 0.4, Monocyte:CD16+: 0.4, Monocyte:S._typhimurium_flagellin: 0.4, Monocyte:anti-FcgRIIB: 0.4, Macrophage:monocyte-derived:M-CSF/IFNg/Pam3Cys: 0.4, Neutrophil: 0.4 |
STDY7685342_TAAGCGTGTTCGCTAA | Monocyte:CD16- | 0.17 | 145.43 | Raw ScoresMonocyte:CD16-: 0.4, Monocyte:CD16+: 0.4, Monocyte:CD14+: 0.4, Monocyte:leukotriene_D4: 0.39, Pre-B_cell_CD34-: 0.38, Neutrophil:commensal_E._coli_MG1655: 0.38, Monocyte: 0.38, Monocyte:anti-FcgRIIB: 0.38, Neutrophil: 0.37, Macrophage:monocyte-derived:M-CSF/IFNg/Pam3Cys: 0.37 |
STDY7685342_TACAGTGAGAATCTCC | Neutrophil:commensal_E._coli_MG1655 | 0.15 | 145.05 | Raw ScoresMonocyte:CD16-: 0.41, Monocyte:CD14+: 0.4, Monocyte:CD16+: 0.4, Monocyte:leukotriene_D4: 0.39, Monocyte: 0.39, Neutrophil:commensal_E._coli_MG1655: 0.39, Pre-B_cell_CD34-: 0.39, Monocyte:S._typhimurium_flagellin: 0.39, Monocyte:anti-FcgRIIB: 0.39, Macrophage:monocyte-derived:M-CSF/IFNg/Pam3Cys: 0.39 |
STDY8004894_TACTTACAGCCTTGAT | Monocyte:S._typhimurium_flagellin | 0.15 | 142.70 | Raw ScoresMonocyte:S._typhimurium_flagellin: 0.34, Macrophage:monocyte-derived:M-CSF/IFNg/Pam3Cys: 0.34, Monocyte:CD16+: 0.33, Macrophage:monocyte-derived:M-CSF/Pam3Cys: 0.33, Monocyte:CD16-: 0.33, Monocyte: 0.32, Monocyte:anti-FcgRIIB: 0.32, Monocyte:leukotriene_D4: 0.32, Neutrophil:commensal_E._coli_MG1655: 0.32, Monocyte:CD14+: 0.32 |
STDY7685341_CGTTAGACACTAGTAC | Monocyte:CD14+ | 0.16 | 142.12 | Raw ScoresMonocyte:CD16-: 0.37, Monocyte:CD14+: 0.37, Monocyte:CD16+: 0.36, Monocyte:leukotriene_D4: 0.36, Monocyte: 0.36, Monocyte:anti-FcgRIIB: 0.35, Pre-B_cell_CD34-: 0.35, Monocyte:S._typhimurium_flagellin: 0.35, Neutrophil:commensal_E._coli_MG1655: 0.35, Neutrophil: 0.34 |
STDY7685342_TTGGCAAGTCTCCCTA | Monocyte | 0.15 | 139.29 | Raw ScoresMonocyte:CD16-: 0.43, Monocyte:CD14+: 0.42, Monocyte:CD16+: 0.41, Monocyte:leukotriene_D4: 0.41, Monocyte: 0.41, Monocyte:anti-FcgRIIB: 0.41, Pre-B_cell_CD34-: 0.4, Macrophage:monocyte-derived:M-CSF/IFNg/Pam3Cys: 0.4, Macrophage:monocyte-derived:M-CSF/IFNg: 0.4, Macrophage:monocyte-derived:M-CSF: 0.4 |
STDY7685341_TCGCGTTCATCCCATC | Monocyte:CD16- | 0.16 | 138.06 | Raw ScoresMonocyte:CD16-: 0.4, Pre-B_cell_CD34-: 0.39, Monocyte:CD14+: 0.39, Monocyte:leukotriene_D4: 0.39, Monocyte:CD16+: 0.38, Monocyte: 0.38, Monocyte:anti-FcgRIIB: 0.38, Monocyte:S._typhimurium_flagellin: 0.37, Neutrophil:commensal_E._coli_MG1655: 0.37, Macrophage:monocyte-derived:M-CSF/IFNg/Pam3Cys: 0.37 |
STDY7685341_TTCTTAGAGCGTTCCG | Monocyte:CD16- | 0.18 | 137.31 | Raw ScoresMonocyte:CD16-: 0.41, Monocyte:CD14+: 0.4, Monocyte:CD16+: 0.39, Neutrophil:commensal_E._coli_MG1655: 0.39, Macrophage:monocyte-derived:M-CSF/IFNg/Pam3Cys: 0.39, Monocyte: 0.39, Monocyte:leukotriene_D4: 0.38, Monocyte:anti-FcgRIIB: 0.38, Pre-B_cell_CD34-: 0.38, Macrophage:monocyte-derived:M-CSF/IFNg: 0.38 |
STDY7685341_TCTGGAAAGGAGCGTT | Monocyte:CD16+ | 0.16 | 136.94 | Raw ScoresMonocyte:CD16-: 0.43, Monocyte:CD14+: 0.42, Monocyte:leukotriene_D4: 0.42, Monocyte:CD16+: 0.42, Macrophage:monocyte-derived:M-CSF: 0.42, Macrophage:monocyte-derived:M-CSF/IFNg/Pam3Cys: 0.42, Monocyte: 0.42, Macrophage:monocyte-derived:M-CSF/Pam3Cys: 0.42, Monocyte:anti-FcgRIIB: 0.42, DC:monocyte-derived:anti-DC-SIGN_2h: 0.42 |
Below shows the significant enrichments of this GEP for literature curated gene lists
This data was procured from existing single cell RNA-seq maps of neuroblastoma or related relevant data.
High ranks indicate this gene is a driver of this GEP.
These curated gene list are ranked by the P-value (on this GEP) of their constituent genes.
The Mean Count column shows the mean read count in cells scoring highly (H > 50) on this gene expression program.
Genes | Weight | Rank | GTEx | DepMap | Decartes | Mean.Counts | Mean.TPM |
---|---|---|---|---|---|---|---|
IL1B | 0.0111080 | 2 | GTEx | DepMap | Descartes | 22.48 | 7140.91 |
TNF | 0.0077932 | 10 | GTEx | DepMap | Descartes | 1.39 | 421.66 |
IL10 | 0.0050902 | 22 | GTEx | DepMap | Descartes | 0.46 | 107.83 |
CD14 | 0.0034837 | 51 | GTEx | DepMap | Descartes | 3.19 | 859.03 |
VEGFA | 0.0024528 | 100 | GTEx | DepMap | Descartes | 0.37 | 11.36 |
CD36 | 0.0012495 | 264 | GTEx | DepMap | Descartes | 0.81 | 60.36 |
HIF1A | 0.0011415 | 294 | GTEx | DepMap | Descartes | 0.71 | 84.55 |
TNFRSF10B | 0.0005335 | 671 | GTEx | DepMap | Descartes | 0.11 | 12.02 |
CD84 | 0.0002860 | 1173 | GTEx | DepMap | Descartes | 0.35 | 11.12 |
TGFB1 | 0.0002506 | 1291 | GTEx | DepMap | Descartes | 0.61 | 99.76 |
CD274 | 0.0001465 | 1772 | GTEx | DepMap | Descartes | 0.05 | 1.64 |
ARG2 | 0.0001391 | 1806 | GTEx | DepMap | Descartes | 0.00 | 1.29 |
ARG1 | -0.0001001 | 4994 | GTEx | DepMap | Descartes | 0.00 | 0.00 |
STAT3 | -0.0001642 | 6423 | GTEx | DepMap | Descartes | 0.75 | 77.83 |
NOS2 | -0.0002299 | 7842 | GTEx | DepMap | Descartes | 0.00 | 0.00 |
M1 Macrophage
These genes were collated from multiple sources:
Wilcoxon ranksum test P-value for gene set overrepresentation: 5.78e-06
Mean rank of genes in gene set: 1486.64
Rank on gene expression program of genes in gene set:
Genes | Weight | Rank | GTEx | DepMap | Decartes | Mean.Counts | Mean.TPM |
---|---|---|---|---|---|---|---|
IL1B | 0.0111080 | 2 | GTEx | DepMap | Descartes | 22.48 | 7140.91 |
TNF | 0.0077932 | 10 | GTEx | DepMap | Descartes | 1.39 | 421.66 |
CD14 | 0.0034837 | 51 | GTEx | DepMap | Descartes | 3.19 | 859.03 |
ITGAX | 0.0021658 | 126 | GTEx | DepMap | Descartes | 0.88 | 83.22 |
IL18 | 0.0021158 | 128 | GTEx | DepMap | Descartes | 0.53 | 59.28 |
CXCL16 | 0.0021085 | 129 | GTEx | DepMap | Descartes | 1.20 | 201.65 |
CD80 | 0.0011798 | 285 | GTEx | DepMap | Descartes | 0.06 | 7.44 |
TLR4 | 0.0010256 | 335 | GTEx | DepMap | Descartes | 0.24 | 9.44 |
CCL2 | 0.0003667 | 962 | GTEx | DepMap | Descartes | 0.69 | 271.68 |
IL33 | -0.0000534 | 3974 | GTEx | DepMap | Descartes | 0.02 | 4.58 |
CCL5 | -0.0003797 | 10351 | GTEx | DepMap | Descartes | 0.64 | 240.72 |
PMN-MDSC
These marker genes were curated for MDSC subtypes as reviewed in Veglia et. al. (PMID 33526920):
Wilcoxon ranksum test P-value for gene set overrepresentation: 1.83e-05
Mean rank of genes in gene set: 2538.44
Rank on gene expression program of genes in gene set:
Genes | Weight | Rank | GTEx | DepMap | Decartes | Mean.Counts | Mean.TPM |
---|---|---|---|---|---|---|---|
IL1B | 0.0111080 | 2 | GTEx | DepMap | Descartes | 22.48 | 7140.91 |
PTGS2 | 0.0073055 | 12 | GTEx | DepMap | Descartes | 1.54 | 170.75 |
CD36 | 0.0012495 | 264 | GTEx | DepMap | Descartes | 0.81 | 60.36 |
HIF1A | 0.0011415 | 294 | GTEx | DepMap | Descartes | 0.71 | 84.55 |
TNFRSF10B | 0.0005335 | 671 | GTEx | DepMap | Descartes | 0.11 | 12.02 |
CD84 | 0.0002860 | 1173 | GTEx | DepMap | Descartes | 0.35 | 11.12 |
TGFB1 | 0.0002506 | 1291 | GTEx | DepMap | Descartes | 0.61 | 99.76 |
ANXA1 | 0.0002160 | 1427 | GTEx | DepMap | Descartes | 1.98 | 457.39 |
ARG2 | 0.0001391 | 1806 | GTEx | DepMap | Descartes | 0.00 | 1.29 |
STAT1 | 0.0000806 | 2178 | GTEx | DepMap | Descartes | 0.69 | 53.05 |
CSF1 | 0.0000207 | 2722 | GTEx | DepMap | Descartes | 0.06 | 4.39 |
STAT6 | -0.0000001 | 3010 | GTEx | DepMap | Descartes | 0.26 | 33.53 |
ARG1 | -0.0001001 | 4994 | GTEx | DepMap | Descartes | 0.00 | 0.00 |
STAT3 | -0.0001642 | 6423 | GTEx | DepMap | Descartes | 0.75 | 77.83 |
IRF1 | -0.0001671 | 6484 | GTEx | DepMap | Descartes | 0.78 | 70.56 |
SLC27A2 | -0.0002309 | 7864 | GTEx | DepMap | Descartes | 0.00 | 1.03 |
Below shows ranks on this GEP for literature curated gene lists for large gene sets
These include those reported as mesenchymal/adrenergic by Van Groningen et al.
High ranks indicate this gene is a driver of this GEP (note these results are not ordered).
The Mean Count column shows the mean read count in cells scoring highly (H > 50) on this gene expression program.
VanGroningen Adrenergic Genes
Adrenergic marker genes from Supplementary Table 2 of Van Groningen et al. Nature Genetics 2017. These genes were identified by differential expression analysis of mesenchymal-like and adrenergic-like neuroblastoma cell lines.
Wilcoxon ranksum test P-value for gene set overrepresentation: 1.00e+00
Mean rank of genes in gene set: 8216.44
Median rank of genes in gene set: 9318
Rank on gene expression program of top 30 genes in gene set:
Genes | Weight | Rank | GTEx | DepMap | Descartes | Mean.Counts | Mean.TPM |
---|---|---|---|---|---|---|---|
DAPK1 | 0.0021198 | 127 | GTEx | DepMap | Descartes | 0.26 | 13.56 |
NFIL3 | 0.0012528 | 261 | GTEx | DepMap | Descartes | 0.33 | 84.31 |
CDC42EP3 | 0.0011274 | 303 | GTEx | DepMap | Descartes | 0.40 | 42.49 |
DUSP4 | 0.0010086 | 341 | GTEx | DepMap | Descartes | 0.22 | 17.08 |
ST3GAL6 | 0.0007980 | 435 | GTEx | DepMap | Descartes | 0.14 | 17.79 |
ATP6V1B2 | 0.0007555 | 464 | GTEx | DepMap | Descartes | 0.80 | 39.87 |
GCH1 | 0.0006415 | 566 | GTEx | DepMap | Descartes | 0.26 | 38.15 |
FAM107B | 0.0005527 | 647 | GTEx | DepMap | Descartes | 0.35 | 37.09 |
RBBP8 | 0.0005444 | 658 | GTEx | DepMap | Descartes | 0.13 | 19.33 |
MYO5A | 0.0005407 | 662 | GTEx | DepMap | Descartes | 0.16 | 5.20 |
LYN | 0.0005316 | 673 | GTEx | DepMap | Descartes | 0.94 | 79.29 |
RALGDS | 0.0004881 | 741 | GTEx | DepMap | Descartes | 0.31 | 22.03 |
TUBB4B | 0.0004646 | 763 | GTEx | DepMap | Descartes | 0.48 | 106.07 |
RTN1 | 0.0004528 | 784 | GTEx | DepMap | Descartes | 2.95 | 521.99 |
AP1S2 | 0.0004495 | 788 | GTEx | DepMap | Descartes | 2.31 | 314.83 |
CHML | 0.0004343 | 817 | GTEx | DepMap | Descartes | 0.09 | 4.94 |
KLF7 | 0.0003492 | 1000 | GTEx | DepMap | Descartes | 0.22 | 14.09 |
RNF150 | 0.0002855 | 1175 | GTEx | DepMap | Descartes | 0.02 | 0.53 |
MAPK8 | 0.0001541 | 1728 | GTEx | DepMap | Descartes | 0.08 | 5.83 |
HK2 | 0.0001340 | 1844 | GTEx | DepMap | Descartes | 0.10 | 6.59 |
NANOS1 | 0.0001312 | 1853 | GTEx | DepMap | Descartes | 0.00 | 0.22 |
FOXO3 | 0.0001254 | 1887 | GTEx | DepMap | Descartes | 0.34 | 23.26 |
CAMSAP1 | 0.0001243 | 1893 | GTEx | DepMap | Descartes | 0.05 | 4.32 |
CDCA5 | 0.0000932 | 2089 | GTEx | DepMap | Descartes | 0.03 | 5.84 |
ENDOG | 0.0000790 | 2198 | GTEx | DepMap | Descartes | 0.06 | 21.79 |
DACH1 | 0.0000484 | 2464 | GTEx | DepMap | Descartes | 0.01 | 2.43 |
CSE1L | 0.0000363 | 2557 | GTEx | DepMap | Descartes | 0.07 | 9.13 |
PHPT1 | 0.0000339 | 2578 | GTEx | DepMap | Descartes | 0.87 | 257.94 |
GLDC | 0.0000312 | 2610 | GTEx | DepMap | Descartes | 0.00 | 0.00 |
HMGA1 | 0.0000226 | 2698 | GTEx | DepMap | Descartes | 0.55 | 104.73 |
VanGroningen Mesenchymal Genes
Mesenchymal marker genes from Supplementary Table 2 of Van Groningen et al. Nature Genetics 2017. These genes were identified by differential expression analysis of mesenchymal-like and adrenergic-like neuroblastoma cell lines.
Wilcoxon ranksum test P-value for gene set overrepresentation: 7.08e-06
Mean rank of genes in gene set: 5534.11
Median rank of genes in gene set: 5826
Rank on gene expression program of top 30 genes in gene set:
Genes | Weight | Rank | GTEx | DepMap | Descartes | Mean.Counts | Mean.TPM |
---|---|---|---|---|---|---|---|
THBS1 | 0.0043787 | 30 | GTEx | DepMap | Descartes | 5.29 | 371.17 |
KLF10 | 0.0040188 | 38 | GTEx | DepMap | Descartes | 0.98 | 134.57 |
SDC4 | 0.0038881 | 40 | GTEx | DepMap | Descartes | 0.43 | 32.01 |
HES1 | 0.0032339 | 60 | GTEx | DepMap | Descartes | 3.12 | 802.22 |
KLF6 | 0.0028421 | 74 | GTEx | DepMap | Descartes | 4.15 | 404.46 |
LITAF | 0.0026609 | 85 | GTEx | DepMap | Descartes | 3.86 | 626.60 |
CTSB | 0.0026364 | 86 | GTEx | DepMap | Descartes | 6.37 | 468.45 |
SGK1 | 0.0024564 | 99 | GTEx | DepMap | Descartes | 1.42 | 113.57 |
SDCBP | 0.0022753 | 113 | GTEx | DepMap | Descartes | 2.88 | 327.67 |
TIMP1 | 0.0022410 | 117 | GTEx | DepMap | Descartes | 7.35 | 3589.24 |
ANXA5 | 0.0021721 | 125 | GTEx | DepMap | Descartes | 1.98 | 496.08 |
PLSCR1 | 0.0021015 | 130 | GTEx | DepMap | Descartes | 1.37 | 292.75 |
GRN | 0.0020685 | 134 | GTEx | DepMap | Descartes | 4.41 | 760.13 |
SQSTM1 | 0.0020341 | 138 | GTEx | DepMap | Descartes | 1.51 | 199.14 |
NPC2 | 0.0020299 | 140 | GTEx | DepMap | Descartes | 7.66 | 1938.62 |
RGL1 | 0.0019152 | 151 | GTEx | DepMap | Descartes | 0.22 | 12.42 |
LMNA | 0.0018329 | 159 | GTEx | DepMap | Descartes | 1.26 | 154.96 |
EGR3 | 0.0017482 | 166 | GTEx | DepMap | Descartes | 0.44 | 48.65 |
PPT1 | 0.0017449 | 167 | GTEx | DepMap | Descartes | 1.46 | 147.03 |
CD44 | 0.0017160 | 175 | GTEx | DepMap | Descartes | 2.74 | 260.56 |
SKIL | 0.0016582 | 182 | GTEx | DepMap | Descartes | 0.80 | 53.36 |
ZFP36L1 | 0.0014960 | 203 | GTEx | DepMap | Descartes | 2.39 | 346.18 |
IL13RA1 | 0.0014794 | 207 | GTEx | DepMap | Descartes | 0.38 | 39.86 |
INSIG1 | 0.0014336 | 218 | GTEx | DepMap | Descartes | 0.63 | 75.79 |
RIN2 | 0.0013840 | 230 | GTEx | DepMap | Descartes | 0.19 | 16.05 |
EGR1 | 0.0013311 | 238 | GTEx | DepMap | Descartes | 2.58 | 382.96 |
DSE | 0.0012823 | 251 | GTEx | DepMap | Descartes | 0.24 | 9.62 |
DUSP6 | 0.0012584 | 256 | GTEx | DepMap | Descartes | 1.27 | 194.97 |
KLF4 | 0.0012088 | 273 | GTEx | DepMap | Descartes | 1.07 | 141.45 |
ATP2B1 | 0.0011190 | 305 | GTEx | DepMap | Descartes | 1.19 | 91.98 |
Descartes adrenocortical markers
Top 50 marker genes of adrenocortical cells in the Decartes fetal adrenal single cell map (https://atlas.brotmanbaty.org/bbi/human-gene-expression-during-development/cell/adrenocortical/in/adrenal)
Wilcoxon ranksum test P-value for gene set overrepresentation: 2.87e-02
Mean rank of genes in gene set: 5129.19
Median rank of genes in gene set: 4371.5
Rank on gene expression program of top 30 genes in gene set:
Genes | Weight | Rank | GTEx | DepMap | Descartes | Mean.Counts | Mean.TPM |
---|---|---|---|---|---|---|---|
SH3PXD2B | 0.0011224 | 304 | GTEx | DepMap | Descartes | 0.09 | 3.93 |
APOC1 | 0.0006761 | 538 | GTEx | DepMap | Descartes | 11.56 | 3809.70 |
LDLR | 0.0006321 | 575 | GTEx | DepMap | Descartes | 0.25 | 24.54 |
ERN1 | 0.0005417 | 659 | GTEx | DepMap | Descartes | 0.16 | 9.48 |
PAPSS2 | 0.0004627 | 767 | GTEx | DepMap | Descartes | 0.11 | 12.13 |
SCARB1 | 0.0002947 | 1146 | GTEx | DepMap | Descartes | 0.13 | 7.22 |
POR | 0.0002443 | 1307 | GTEx | DepMap | Descartes | 0.22 | 40.63 |
HMGCS1 | 0.0001169 | 1945 | GTEx | DepMap | Descartes | 0.11 | 9.04 |
HMGCR | 0.0000957 | 2072 | GTEx | DepMap | Descartes | 0.08 | 10.03 |
FDX1 | 0.0000257 | 2662 | GTEx | DepMap | Descartes | 0.40 | 43.07 |
STAR | 0.0000250 | 2672 | GTEx | DepMap | Descartes | 0.03 | 4.25 |
SCAP | 0.0000056 | 2933 | GTEx | DepMap | Descartes | 0.09 | 8.24 |
BAIAP2L1 | 0.0000047 | 2942 | GTEx | DepMap | Descartes | 0.00 | 0.00 |
SH3BP5 | -0.0000325 | 3559 | GTEx | DepMap | Descartes | 0.52 | 76.80 |
SGCZ | -0.0000338 | 3585 | GTEx | DepMap | Descartes | 0.00 | 0.00 |
PDE10A | -0.0000355 | 3620 | GTEx | DepMap | Descartes | 0.00 | 0.05 |
GRAMD1B | -0.0000392 | 3696 | GTEx | DepMap | Descartes | 0.02 | 1.08 |
INHA | -0.0000674 | 4284 | GTEx | DepMap | Descartes | 0.00 | 0.00 |
NPC1 | -0.0000745 | 4459 | GTEx | DepMap | Descartes | 0.09 | 5.77 |
FRMD5 | -0.0000888 | 4772 | GTEx | DepMap | Descartes | 0.00 | 0.59 |
FREM2 | -0.0001034 | 5053 | GTEx | DepMap | Descartes | 0.00 | 0.00 |
PEG3 | -0.0001304 | 5669 | GTEx | DepMap | Descartes | 0.01 | NA |
TM7SF2 | -0.0001377 | 5818 | GTEx | DepMap | Descartes | 0.04 | 9.41 |
FDXR | -0.0001679 | 6504 | GTEx | DepMap | Descartes | 0.01 | 2.98 |
SLC1A2 | -0.0001882 | 6969 | GTEx | DepMap | Descartes | 0.00 | 0.00 |
SLC16A9 | -0.0001954 | 7112 | GTEx | DepMap | Descartes | 0.00 | 0.27 |
DHCR24 | -0.0002216 | 7670 | GTEx | DepMap | Descartes | 0.00 | 0.00 |
CYB5B | -0.0003114 | 9363 | GTEx | DepMap | Descartes | 0.14 | 14.19 |
JAKMIP2 | -0.0003204 | 9506 | GTEx | DepMap | Descartes | 0.00 | 0.00 |
DHCR7 | -0.0003262 | 9599 | GTEx | DepMap | Descartes | 0.02 | 3.39 |
Descartes chromaffin markers
Top 50 marker genes of chromaffin cells in the Decartes fetal adrenal single cell map (https://atlas.brotmanbaty.org/bbi/human-gene-expression-during-development/cell/chromaffin/in/adrenal)
Wilcoxon ranksum test P-value for gene set overrepresentation: 1.00e+00
Mean rank of genes in gene set: 8940.73
Median rank of genes in gene set: 8989
Rank on gene expression program of top 30 genes in gene set:
Genes | Weight | Rank | GTEx | DepMap | Descartes | Mean.Counts | Mean.TPM |
---|---|---|---|---|---|---|---|
RPH3A | -0.0001041 | 5062 | GTEx | DepMap | Descartes | 0.00 | 1.11 |
EPHA6 | -0.0001055 | 5088 | GTEx | DepMap | Descartes | 0.00 | 0.00 |
SYNPO2 | -0.0001250 | 5533 | GTEx | DepMap | Descartes | 0.00 | 0.18 |
TMEM132C | -0.0001266 | 5579 | GTEx | DepMap | Descartes | 0.00 | 0.00 |
KCNB2 | -0.0001543 | 6203 | GTEx | DepMap | Descartes | 0.00 | 0.00 |
ANKFN1 | -0.0001662 | 6467 | GTEx | DepMap | Descartes | 0.00 | 0.00 |
FAT3 | -0.0001686 | 6525 | GTEx | DepMap | Descartes | 0.00 | 0.03 |
ALK | -0.0001916 | 7035 | GTEx | DepMap | Descartes | 0.00 | 0.00 |
NPY | -0.0002020 | 7251 | GTEx | DepMap | Descartes | 0.02 | 10.86 |
BASP1 | -0.0002031 | 7269 | GTEx | DepMap | Descartes | 1.00 | 238.41 |
HS3ST5 | -0.0002122 | 7465 | GTEx | DepMap | Descartes | 0.00 | 0.00 |
GREM1 | -0.0002168 | 7573 | GTEx | DepMap | Descartes | 0.00 | 0.00 |
SLC44A5 | -0.0002231 | 7698 | GTEx | DepMap | Descartes | 0.00 | 0.00 |
EYA4 | -0.0002237 | 7712 | GTEx | DepMap | Descartes | 0.00 | 0.00 |
MAB21L2 | -0.0002265 | 7762 | GTEx | DepMap | Descartes | 0.00 | 0.54 |
EYA1 | -0.0002267 | 7769 | GTEx | DepMap | Descartes | 0.00 | 0.00 |
PTCHD1 | -0.0002294 | 7823 | GTEx | DepMap | Descartes | 0.00 | 0.09 |
RYR2 | -0.0002298 | 7837 | GTEx | DepMap | Descartes | 0.00 | 0.02 |
CNKSR2 | -0.0002340 | 7919 | GTEx | DepMap | Descartes | 0.00 | 0.00 |
PLXNA4 | -0.0002812 | 8828 | GTEx | DepMap | Descartes | 0.01 | 0.16 |
SLC6A2 | -0.0002896 | 8989 | GTEx | DepMap | Descartes | 0.00 | 0.19 |
REEP1 | -0.0003073 | 9287 | GTEx | DepMap | Descartes | 0.01 | 2.14 |
MAB21L1 | -0.0003081 | 9303 | GTEx | DepMap | Descartes | 0.00 | 0.00 |
ELAVL2 | -0.0003165 | 9434 | GTEx | DepMap | Descartes | 0.03 | 5.55 |
RGMB | -0.0003643 | 10151 | GTEx | DepMap | Descartes | 0.01 | 1.17 |
TMEFF2 | -0.0003663 | 10186 | GTEx | DepMap | Descartes | 0.01 | 2.01 |
RBFOX1 | -0.0003884 | 10454 | GTEx | DepMap | Descartes | 0.00 | 0.00 |
NTRK1 | -0.0003984 | 10548 | GTEx | DepMap | Descartes | 0.02 | 2.56 |
IL7 | -0.0004001 | 10571 | GTEx | DepMap | Descartes | 0.02 | 2.88 |
CNTFR | -0.0004194 | 10765 | GTEx | DepMap | Descartes | 0.02 | 1.80 |
Descartes Vascular_endothelial markers
Top 50 marker genes of Vascular_endothelial cells in the Decartes fetal adrenal single cell map (https://atlas.brotmanbaty.org/bbi/human-gene-expression-during-development/cell/vascular_endothelial/in/adrenal)
Wilcoxon ranksum test P-value for gene set overrepresentation: 9.76e-01
Mean rank of genes in gene set: 7437.79
Median rank of genes in gene set: 7397.5
Rank on gene expression program of top 30 genes in gene set:
Genes | Weight | Rank | GTEx | DepMap | Descartes | Mean.Counts | Mean.TPM |
---|---|---|---|---|---|---|---|
NPR1 | 0.0000022 | 2985 | GTEx | DepMap | Descartes | 0.00 | 0.32 |
TMEM88 | -0.0000385 | 3683 | GTEx | DepMap | Descartes | 0.16 | 85.49 |
ESM1 | -0.0000557 | 4030 | GTEx | DepMap | Descartes | 0.00 | 0.00 |
CYP26B1 | -0.0000629 | 4192 | GTEx | DepMap | Descartes | 0.00 | 0.00 |
HYAL2 | -0.0001010 | 5011 | GTEx | DepMap | Descartes | 0.10 | 7.65 |
CEACAM1 | -0.0001111 | 5226 | GTEx | DepMap | Descartes | 0.00 | 0.19 |
SLCO2A1 | -0.0001128 | 5267 | GTEx | DepMap | Descartes | 0.00 | 0.59 |
ID1 | -0.0001305 | 5673 | GTEx | DepMap | Descartes | 0.04 | 16.39 |
MYRIP | -0.0001317 | 5693 | GTEx | DepMap | Descartes | 0.00 | 0.00 |
CDH5 | -0.0001325 | 5707 | GTEx | DepMap | Descartes | 0.04 | 4.96 |
PLVAP | -0.0001518 | 6137 | GTEx | DepMap | Descartes | 0.08 | 13.59 |
SHANK3 | -0.0001541 | 6195 | GTEx | DepMap | Descartes | 0.00 | 0.00 |
SHE | -0.0001557 | 6234 | GTEx | DepMap | Descartes | 0.01 | 0.33 |
TEK | -0.0001635 | 6405 | GTEx | DepMap | Descartes | 0.00 | 0.00 |
NR5A2 | -0.0001640 | 6418 | GTEx | DepMap | Descartes | 0.00 | 0.00 |
BTNL9 | -0.0001848 | 6896 | GTEx | DepMap | Descartes | 0.01 | 1.65 |
CHRM3 | -0.0001956 | 7119 | GTEx | DepMap | Descartes | 0.00 | 0.31 |
RASIP1 | -0.0002016 | 7239 | GTEx | DepMap | Descartes | 0.00 | 0.92 |
IRX3 | -0.0002053 | 7322 | GTEx | DepMap | Descartes | 0.00 | 0.00 |
KDR | -0.0002126 | 7473 | GTEx | DepMap | Descartes | 0.00 | 0.28 |
KANK3 | -0.0002193 | 7625 | GTEx | DepMap | Descartes | 0.01 | 1.65 |
CDH13 | -0.0002214 | 7668 | GTEx | DepMap | Descartes | 0.00 | 0.00 |
MMRN2 | -0.0002247 | 7729 | GTEx | DepMap | Descartes | 0.00 | 0.00 |
FLT4 | -0.0002257 | 7751 | GTEx | DepMap | Descartes | 0.00 | 0.00 |
PODXL | -0.0002431 | 8089 | GTEx | DepMap | Descartes | 0.00 | 0.48 |
GALNT15 | -0.0002540 | 8299 | GTEx | DepMap | Descartes | 0.00 | NA |
PTPRB | -0.0002764 | 8721 | GTEx | DepMap | Descartes | 0.00 | 0.24 |
CLDN5 | -0.0002793 | 8787 | GTEx | DepMap | Descartes | 0.08 | 15.25 |
CALCRL | -0.0003363 | 9759 | GTEx | DepMap | Descartes | 0.02 | 1.46 |
EHD3 | -0.0003479 | 9915 | GTEx | DepMap | Descartes | 0.00 | 0.34 |
Descartes stromal markers
Top 50 marker genes of stromal cells in the Decartes fetal adrenal single cell map (https://atlas.brotmanbaty.org/bbi/human-gene-expression-during-development/cell/stromal/in/adrenal)
Wilcoxon ranksum test P-value for gene set overrepresentation: 1.33e-01
Mean rank of genes in gene set: 5668.09
Median rank of genes in gene set: 6417.5
Rank on gene expression program of top 30 genes in gene set:
Genes | Weight | Rank | GTEx | DepMap | Descartes | Mean.Counts | Mean.TPM |
---|---|---|---|---|---|---|---|
LAMC3 | 0.0004049 | 877 | GTEx | DepMap | Descartes | 0.00 | 0.12 |
COL6A3 | 0.0003425 | 1022 | GTEx | DepMap | Descartes | 0.09 | 3.19 |
DKK2 | 0.0002882 | 1166 | GTEx | DepMap | Descartes | 0.01 | 1.59 |
FREM1 | 0.0001085 | 1993 | GTEx | DepMap | Descartes | 0.00 | 0.19 |
ADAMTSL3 | 0.0000932 | 2090 | GTEx | DepMap | Descartes | 0.02 | 1.50 |
RSPO3 | 0.0000790 | 2199 | GTEx | DepMap | Descartes | 0.02 | NA |
PDGFRA | 0.0000462 | 2480 | GTEx | DepMap | Descartes | 0.03 | 2.20 |
SCARA5 | 0.0000086 | 2898 | GTEx | DepMap | Descartes | 0.01 | 0.99 |
ISLR | -0.0000033 | 3064 | GTEx | DepMap | Descartes | 0.03 | 4.78 |
COL27A1 | -0.0000063 | 3096 | GTEx | DepMap | Descartes | 0.00 | 0.00 |
IGFBP3 | -0.0000237 | 3391 | GTEx | DepMap | Descartes | 0.15 | 21.69 |
C7 | -0.0000268 | 3446 | GTEx | DepMap | Descartes | 0.02 | 1.87 |
EDNRA | -0.0000302 | 3507 | GTEx | DepMap | Descartes | 0.00 | 0.00 |
ABCC9 | -0.0000525 | 3945 | GTEx | DepMap | Descartes | 0.00 | 0.29 |
GAS2 | -0.0000552 | 4018 | GTEx | DepMap | Descartes | 0.00 | 0.00 |
CLDN11 | -0.0000979 | 4949 | GTEx | DepMap | Descartes | 0.00 | 0.00 |
ACTA2 | -0.0001167 | 5349 | GTEx | DepMap | Descartes | 0.07 | 22.06 |
PRICKLE1 | -0.0001282 | 5628 | GTEx | DepMap | Descartes | 0.01 | 0.50 |
DCN | -0.0001318 | 5694 | GTEx | DepMap | Descartes | 0.38 | 22.58 |
CD248 | -0.0001395 | 5857 | GTEx | DepMap | Descartes | 0.03 | 5.48 |
LUM | -0.0001512 | 6126 | GTEx | DepMap | Descartes | 0.06 | 9.58 |
LRRC17 | -0.0001580 | 6286 | GTEx | DepMap | Descartes | 0.01 | 1.73 |
GLI2 | -0.0001698 | 6549 | GTEx | DepMap | Descartes | 0.00 | 0.00 |
MGP | -0.0001708 | 6575 | GTEx | DepMap | Descartes | 0.31 | 87.34 |
CDH11 | -0.0001711 | 6587 | GTEx | DepMap | Descartes | 0.00 | 0.28 |
ITGA11 | -0.0001757 | 6686 | GTEx | DepMap | Descartes | 0.00 | 0.19 |
ABCA6 | -0.0001779 | 6745 | GTEx | DepMap | Descartes | 0.01 | 0.38 |
COL3A1 | -0.0001785 | 6757 | GTEx | DepMap | Descartes | 0.90 | 71.94 |
POSTN | -0.0001860 | 6919 | GTEx | DepMap | Descartes | 0.18 | 20.68 |
HHIP | -0.0001868 | 6936 | GTEx | DepMap | Descartes | 0.00 | 0.00 |
Descartes sympathoblasts markers
Top 50 marker genes of sympathoblasts cells in the Decartes fetal adrenal single cell map (https://atlas.brotmanbaty.org/bbi/human-gene-expression-during-development/cell/sympathoblasts/in/adrenal)
Wilcoxon ranksum test P-value for gene set overrepresentation: 5.75e-01
Mean rank of genes in gene set: 6385.84
Median rank of genes in gene set: 6475
Rank on gene expression program of top 30 genes in gene set:
Genes | Weight | Rank | GTEx | DepMap | Descartes | Mean.Counts | Mean.TPM |
---|---|---|---|---|---|---|---|
ST18 | 0.0007549 | 467 | GTEx | DepMap | Descartes | 0.01 | 0.52 |
GCH1 | 0.0006415 | 566 | GTEx | DepMap | Descartes | 0.26 | 38.15 |
GRM7 | 0.0001372 | 1820 | GTEx | DepMap | Descartes | 0.00 | 0.69 |
GALNTL6 | 0.0000555 | 2405 | GTEx | DepMap | Descartes | 0.00 | 0.86 |
FGF14 | 0.0000236 | 2689 | GTEx | DepMap | Descartes | 0.00 | 0.00 |
MGAT4C | -0.0000446 | 3802 | GTEx | DepMap | Descartes | 0.00 | 0.03 |
GRID2 | -0.0000739 | 4446 | GTEx | DepMap | Descartes | 0.00 | 0.00 |
CCSER1 | -0.0000745 | 4462 | GTEx | DepMap | Descartes | 0.01 | NA |
SLC24A2 | -0.0000759 | 4496 | GTEx | DepMap | Descartes | 0.00 | 0.00 |
CNTN3 | -0.0000945 | 4890 | GTEx | DepMap | Descartes | 0.00 | 0.00 |
TBX20 | -0.0000948 | 4893 | GTEx | DepMap | Descartes | 0.00 | 0.00 |
SORCS3 | -0.0000949 | 4896 | GTEx | DepMap | Descartes | 0.00 | 0.00 |
KSR2 | -0.0001047 | 5074 | GTEx | DepMap | Descartes | 0.00 | 0.00 |
PENK | -0.0001205 | 5445 | GTEx | DepMap | Descartes | 0.00 | 0.00 |
ARC | -0.0001345 | 5751 | GTEx | DepMap | Descartes | 0.01 | 2.78 |
SLC35F3 | -0.0001486 | 6085 | GTEx | DepMap | Descartes | 0.00 | 0.00 |
CDH12 | -0.0001549 | 6215 | GTEx | DepMap | Descartes | 0.00 | 0.00 |
TENM1 | -0.0001566 | 6250 | GTEx | DepMap | Descartes | 0.01 | NA |
PCSK2 | -0.0001613 | 6352 | GTEx | DepMap | Descartes | 0.00 | 0.00 |
DGKK | -0.0001716 | 6598 | GTEx | DepMap | Descartes | 0.00 | 0.00 |
CDH18 | -0.0001799 | 6790 | GTEx | DepMap | Descartes | 0.00 | 0.00 |
EML6 | -0.0001846 | 6890 | GTEx | DepMap | Descartes | 0.00 | 0.00 |
LAMA3 | -0.0001871 | 6948 | GTEx | DepMap | Descartes | 0.00 | 0.00 |
KCTD16 | -0.0001906 | 7010 | GTEx | DepMap | Descartes | 0.00 | 0.40 |
AGBL4 | -0.0001907 | 7013 | GTEx | DepMap | Descartes | 0.00 | 0.00 |
PACRG | -0.0002036 | 7281 | GTEx | DepMap | Descartes | 0.00 | 0.00 |
SPOCK3 | -0.0002286 | 7806 | GTEx | DepMap | Descartes | 0.00 | 0.64 |
NTNG1 | -0.0002306 | 7858 | GTEx | DepMap | Descartes | 0.00 | 0.00 |
C1QL1 | -0.0002381 | 8000 | GTEx | DepMap | Descartes | 0.01 | 2.72 |
ROBO1 | -0.0002481 | 8188 | GTEx | DepMap | Descartes | 0.01 | 0.52 |
Descartes erythroblasts markers
Top 50 marker genes of erythroblasts cells in the Decartes fetal adrenal single cell map (https://atlas.brotmanbaty.org/bbi/human-gene-expression-during-development/cell/erythroblasts/in/adrenal)
Wilcoxon ranksum test P-value for gene set overrepresentation: 4.60e-01
Mean rank of genes in gene set: 6207.97
Median rank of genes in gene set: 5909
Rank on gene expression program of top 30 genes in gene set:
Genes | Weight | Rank | GTEx | DepMap | Descartes | Mean.Counts | Mean.TPM |
---|---|---|---|---|---|---|---|
SLC25A37 | 0.0012401 | 268 | GTEx | DepMap | Descartes | 0.67 | 80.52 |
RAPGEF2 | 0.0008259 | 420 | GTEx | DepMap | Descartes | 0.11 | 5.80 |
SNCA | 0.0005339 | 670 | GTEx | DepMap | Descartes | 0.08 | 11.97 |
TMCC2 | 0.0001998 | 1505 | GTEx | DepMap | Descartes | 0.01 | 2.48 |
DENND4A | 0.0001672 | 1656 | GTEx | DepMap | Descartes | 0.14 | 7.30 |
BLVRB | 0.0000852 | 2140 | GTEx | DepMap | Descartes | 1.43 | 395.96 |
CPOX | 0.0000063 | 2926 | GTEx | DepMap | Descartes | 0.02 | 2.61 |
ALAS2 | -0.0000034 | 3065 | GTEx | DepMap | Descartes | 0.01 | 2.03 |
RHD | -0.0000548 | 4010 | GTEx | DepMap | Descartes | 0.00 | 0.00 |
FECH | -0.0000775 | 4532 | GTEx | DepMap | Descartes | 0.06 | 2.77 |
GCLC | -0.0000790 | 4565 | GTEx | DepMap | Descartes | 0.11 | 6.93 |
SELENBP1 | -0.0000794 | 4579 | GTEx | DepMap | Descartes | 0.00 | 0.69 |
SLC4A1 | -0.0000824 | 4628 | GTEx | DepMap | Descartes | 0.00 | 0.00 |
RGS6 | -0.0001098 | 5189 | GTEx | DepMap | Descartes | 0.00 | 0.00 |
SOX6 | -0.0001415 | 5909 | GTEx | DepMap | Descartes | 0.00 | 0.00 |
MARCH3 | -0.0001425 | 5931 | GTEx | DepMap | Descartes | 0.00 | NA |
MICAL2 | -0.0001475 | 6055 | GTEx | DepMap | Descartes | 0.03 | 2.40 |
SPTB | -0.0001581 | 6287 | GTEx | DepMap | Descartes | 0.00 | 0.00 |
ABCB10 | -0.0001978 | 7156 | GTEx | DepMap | Descartes | 0.03 | 4.82 |
TFR2 | -0.0002242 | 7721 | GTEx | DepMap | Descartes | 0.00 | 0.00 |
ANK1 | -0.0003552 | 10016 | GTEx | DepMap | Descartes | 0.00 | 0.00 |
EPB41 | -0.0003656 | 10171 | GTEx | DepMap | Descartes | 0.13 | 10.61 |
XPO7 | -0.0003731 | 10267 | GTEx | DepMap | Descartes | 0.04 | 4.16 |
TSPAN5 | -0.0004178 | 10749 | GTEx | DepMap | Descartes | 0.05 | 6.01 |
TRAK2 | -0.0004805 | 11327 | GTEx | DepMap | Descartes | 0.02 | 1.13 |
CAT | -0.0005070 | 11508 | GTEx | DepMap | Descartes | 0.39 | 74.29 |
SPECC1 | -0.0006561 | 12108 | GTEx | DepMap | Descartes | 0.09 | 4.65 |
SLC25A21 | -0.0007543 | 12303 | GTEx | DepMap | Descartes | 0.00 | 0.00 |
GYPC | -0.0008081 | 12370 | GTEx | DepMap | Descartes | 0.47 | 123.81 |
NA | NA | NA | NA | NA | NA | NA | NA |
Descartes myeloid markers
Top 50 marker genes of myeloid cells in the Decartes fetal adrenal single cell map (https://atlas.brotmanbaty.org/bbi/human-gene-expression-during-development/cell/myeloid/in/adrenal)
Wilcoxon ranksum test P-value for gene set overrepresentation: 3.13e-16
Mean rank of genes in gene set: 1531.18
Median rank of genes in gene set: 513
Rank on gene expression program of top 30 genes in gene set:
Genes | Weight | Rank | GTEx | DepMap | Descartes | Mean.Counts | Mean.TPM |
---|---|---|---|---|---|---|---|
CD14 | 0.0034837 | 51 | GTEx | DepMap | Descartes | 3.19 | 859.03 |
CTSB | 0.0026364 | 86 | GTEx | DepMap | Descartes | 6.37 | 468.45 |
CD163 | 0.0025175 | 92 | GTEx | DepMap | Descartes | 0.74 | 59.22 |
CSF1R | 0.0023471 | 107 | GTEx | DepMap | Descartes | 0.81 | 85.76 |
ABCA1 | 0.0023037 | 111 | GTEx | DepMap | Descartes | 0.32 | 8.90 |
LGMN | 0.0022408 | 118 | GTEx | DepMap | Descartes | 1.37 | 177.52 |
RGL1 | 0.0019152 | 151 | GTEx | DepMap | Descartes | 0.22 | 12.42 |
FGL2 | 0.0015006 | 201 | GTEx | DepMap | Descartes | 1.72 | 173.32 |
CYBB | 0.0014757 | 208 | GTEx | DepMap | Descartes | 1.52 | 156.17 |
MSR1 | 0.0013466 | 234 | GTEx | DepMap | Descartes | 0.29 | 27.48 |
HRH1 | 0.0012076 | 275 | GTEx | DepMap | Descartes | 0.05 | 11.03 |
CPVL | 0.0011334 | 298 | GTEx | DepMap | Descartes | 1.69 | 336.95 |
SLCO2B1 | 0.0010773 | 317 | GTEx | DepMap | Descartes | 0.25 | 10.55 |
SLC1A3 | 0.0010546 | 325 | GTEx | DepMap | Descartes | 0.18 | 10.92 |
HCK | 0.0010055 | 342 | GTEx | DepMap | Descartes | 1.19 | 237.81 |
MERTK | 0.0009806 | 355 | GTEx | DepMap | Descartes | 0.14 | 12.84 |
IFNGR1 | 0.0008028 | 433 | GTEx | DepMap | Descartes | 1.17 | 179.81 |
CD74 | 0.0007504 | 470 | GTEx | DepMap | Descartes | 51.85 | 5794.80 |
SPP1 | 0.0007124 | 500 | GTEx | DepMap | Descartes | 13.86 | 1423.69 |
RBPJ | 0.0006894 | 526 | GTEx | DepMap | Descartes | 0.71 | 48.41 |
MS4A4A | 0.0006881 | 527 | GTEx | DepMap | Descartes | 0.61 | 117.84 |
CTSC | 0.0006472 | 561 | GTEx | DepMap | Descartes | 1.94 | 101.58 |
CST3 | 0.0006372 | 570 | GTEx | DepMap | Descartes | 18.64 | 2342.61 |
CTSS | 0.0004797 | 748 | GTEx | DepMap | Descartes | 7.95 | 898.36 |
CTSD | 0.0004767 | 756 | GTEx | DepMap | Descartes | 4.69 | 583.70 |
PTPRE | 0.0004482 | 790 | GTEx | DepMap | Descartes | 2.23 | 192.60 |
MARCH1 | 0.0002927 | 1154 | GTEx | DepMap | Descartes | 0.48 | NA |
SFMBT2 | 0.0002261 | 1380 | GTEx | DepMap | Descartes | 0.18 | 9.24 |
AXL | 0.0001535 | 1732 | GTEx | DepMap | Descartes | 0.28 | 16.48 |
WWP1 | 0.0000149 | 2820 | GTEx | DepMap | Descartes | 0.11 | 9.33 |
Descartes Schwann markers
Top 50 marker genes of Schwann cells in the Decartes fetal adrenal single cell map (https://atlas.brotmanbaty.org/bbi/human-gene-expression-during-development/cell/schwann/in/adrenal)
Wilcoxon ranksum test P-value for gene set overrepresentation: 3.26e-01
Mean rank of genes in gene set: 6029.18
Median rank of genes in gene set: 6749
Rank on gene expression program of top 30 genes in gene set:
Genes | Weight | Rank | GTEx | DepMap | Descartes | Mean.Counts | Mean.TPM |
---|---|---|---|---|---|---|---|
MARCKS | 0.0011050 | 309 | GTEx | DepMap | Descartes | 1.63 | 157.89 |
STARD13 | 0.0010589 | 324 | GTEx | DepMap | Descartes | 0.03 | 1.98 |
HMGA2 | 0.0009887 | 351 | GTEx | DepMap | Descartes | 0.01 | 1.22 |
KCTD12 | 0.0007263 | 488 | GTEx | DepMap | Descartes | 0.37 | 23.59 |
MPZ | 0.0003618 | 972 | GTEx | DepMap | Descartes | 0.03 | 5.07 |
ADAMTS5 | 0.0002553 | 1268 | GTEx | DepMap | Descartes | 0.14 | 5.78 |
VIM | 0.0001552 | 1722 | GTEx | DepMap | Descartes | 8.97 | 1506.52 |
XKR4 | 0.0000146 | 2824 | GTEx | DepMap | Descartes | 0.01 | 0.12 |
GAS7 | 0.0000045 | 2947 | GTEx | DepMap | Descartes | 0.26 | 14.50 |
TRPM3 | -0.0000266 | 3440 | GTEx | DepMap | Descartes | 0.01 | 0.53 |
COL25A1 | -0.0000324 | 3553 | GTEx | DepMap | Descartes | 0.00 | 0.00 |
ERBB3 | -0.0000378 | 3672 | GTEx | DepMap | Descartes | 0.00 | 0.00 |
PLP1 | -0.0000413 | 3737 | GTEx | DepMap | Descartes | 0.00 | 0.63 |
PLCE1 | -0.0000418 | 3750 | GTEx | DepMap | Descartes | 0.01 | 0.81 |
PTPRZ1 | -0.0000423 | 3760 | GTEx | DepMap | Descartes | 0.00 | 0.00 |
MDGA2 | -0.0000489 | 3871 | GTEx | DepMap | Descartes | 0.00 | 0.00 |
PPP2R2B | -0.0000495 | 3885 | GTEx | DepMap | Descartes | 0.02 | 1.75 |
EGFLAM | -0.0000686 | 4317 | GTEx | DepMap | Descartes | 0.00 | 0.00 |
GRIK3 | -0.0001142 | 5288 | GTEx | DepMap | Descartes | 0.00 | 0.00 |
NRXN3 | -0.0001609 | 6347 | GTEx | DepMap | Descartes | 0.00 | 0.23 |
SORCS1 | -0.0001764 | 6708 | GTEx | DepMap | Descartes | 0.00 | 0.00 |
COL18A1 | -0.0001766 | 6713 | GTEx | DepMap | Descartes | 0.04 | 2.96 |
LAMC1 | -0.0001798 | 6785 | GTEx | DepMap | Descartes | 0.03 | 1.91 |
IL1RAPL2 | -0.0001874 | 6956 | GTEx | DepMap | Descartes | 0.00 | 0.00 |
PAG1 | -0.0001907 | 7014 | GTEx | DepMap | Descartes | 0.28 | 12.53 |
SOX5 | -0.0002047 | 7310 | GTEx | DepMap | Descartes | 0.00 | 0.00 |
IL1RAPL1 | -0.0002073 | 7363 | GTEx | DepMap | Descartes | 0.00 | 0.00 |
FIGN | -0.0002162 | 7562 | GTEx | DepMap | Descartes | 0.00 | 0.00 |
SLC35F1 | -0.0002193 | 7624 | GTEx | DepMap | Descartes | 0.00 | 0.00 |
SCN7A | -0.0002313 | 7871 | GTEx | DepMap | Descartes | 0.00 | 0.00 |
Descartes Megakaryocytes markers
Top 50 marker genes of Megakaryocytes cells in the Decartes fetal adrenal single cell map (https://atlas.brotmanbaty.org/bbi/human-gene-expression-during-development/cell/megakaryocytes/in/adrenal)
Wilcoxon ranksum test P-value for gene set overrepresentation: 2.08e-02
Mean rank of genes in gene set: 5176.38
Median rank of genes in gene set: 4732
Rank on gene expression program of top 30 genes in gene set:
Genes | Weight | Rank | GTEx | DepMap | Descartes | Mean.Counts | Mean.TPM |
---|---|---|---|---|---|---|---|
PLEK | 0.0064869 | 15 | GTEx | DepMap | Descartes | 2.20 | 347.14 |
THBS1 | 0.0043787 | 30 | GTEx | DepMap | Descartes | 5.29 | 371.17 |
LIMS1 | 0.0020482 | 136 | GTEx | DepMap | Descartes | 1.57 | 131.92 |
PSTPIP2 | 0.0014411 | 217 | GTEx | DepMap | Descartes | 0.26 | 36.73 |
TPM4 | 0.0010371 | 330 | GTEx | DepMap | Descartes | 1.40 | 134.76 |
MCTP1 | 0.0010218 | 336 | GTEx | DepMap | Descartes | 0.18 | 17.41 |
UBASH3B | 0.0009188 | 381 | GTEx | DepMap | Descartes | 0.18 | 10.18 |
CD9 | 0.0006758 | 539 | GTEx | DepMap | Descartes | 0.74 | 119.02 |
ANGPT1 | 0.0004481 | 791 | GTEx | DepMap | Descartes | 0.00 | 0.93 |
CD84 | 0.0002860 | 1173 | GTEx | DepMap | Descartes | 0.35 | 11.12 |
TRPC6 | 0.0002512 | 1284 | GTEx | DepMap | Descartes | 0.00 | 0.82 |
TGFB1 | 0.0002506 | 1291 | GTEx | DepMap | Descartes | 0.61 | 99.76 |
GSN | 0.0001576 | 1709 | GTEx | DepMap | Descartes | 0.85 | 42.88 |
ITGB3 | 0.0000468 | 2475 | GTEx | DepMap | Descartes | 0.00 | 0.00 |
ZYX | 0.0000443 | 2495 | GTEx | DepMap | Descartes | 0.73 | 125.27 |
GP1BA | 0.0000266 | 2653 | GTEx | DepMap | Descartes | 0.03 | 5.31 |
STOM | 0.0000076 | 2908 | GTEx | DepMap | Descartes | 0.22 | 26.67 |
RAP1B | 0.0000065 | 2921 | GTEx | DepMap | Descartes | 0.96 | 29.39 |
ACTB | 0.0000022 | 2984 | GTEx | DepMap | Descartes | 40.14 | 7523.22 |
ITGA2B | -0.0000279 | 3471 | GTEx | DepMap | Descartes | 0.00 | 0.00 |
TUBB1 | -0.0000699 | 4357 | GTEx | DepMap | Descartes | 0.01 | 0.95 |
TMSB4X | -0.0000705 | 4374 | GTEx | DepMap | Descartes | 152.76 | 36755.53 |
TLN1 | -0.0000867 | 4732 | GTEx | DepMap | Descartes | 1.02 | 52.58 |
ACTN1 | -0.0001097 | 5183 | GTEx | DepMap | Descartes | 0.30 | 25.47 |
MED12L | -0.0001109 | 5217 | GTEx | DepMap | Descartes | 0.00 | 0.25 |
RAB27B | -0.0001573 | 6263 | GTEx | DepMap | Descartes | 0.00 | 0.00 |
MYLK | -0.0001751 | 6671 | GTEx | DepMap | Descartes | 0.02 | 0.53 |
INPP4B | -0.0001801 | 6792 | GTEx | DepMap | Descartes | 0.02 | 1.59 |
MMRN1 | -0.0001870 | 6944 | GTEx | DepMap | Descartes | 0.01 | 1.73 |
SLC2A3 | -0.0002139 | 7499 | GTEx | DepMap | Descartes | 1.43 | 157.98 |
Descartes Lyphoid markers
Top 50 marker genes of Lyphoid cells in the Decartes fetal adrenal single cell map (https://atlas.brotmanbaty.org/bbi/human-gene-expression-during-development/cell/lymphoid/in/adrenal)
Wilcoxon ranksum test P-value for gene set overrepresentation: 1.00e+00
Mean rank of genes in gene set: 9322.38
Median rank of genes in gene set: 10378.5
Rank on gene expression program of top 30 genes in gene set:
Genes | Weight | Rank | GTEx | DepMap | Descartes | Mean.Counts | Mean.TPM |
---|---|---|---|---|---|---|---|
CD44 | 0.0017160 | 175 | GTEx | DepMap | Descartes | 2.74 | 260.56 |
DOCK10 | 0.0002354 | 1345 | GTEx | DepMap | Descartes | 0.19 | 9.80 |
SORL1 | 0.0001502 | 1750 | GTEx | DepMap | Descartes | 0.32 | 15.21 |
LCP1 | -0.0000019 | 3039 | GTEx | DepMap | Descartes | 1.86 | 207.51 |
RAP1GAP2 | -0.0000917 | 4839 | GTEx | DepMap | Descartes | 0.04 | 5.98 |
BCL2 | -0.0001260 | 5560 | GTEx | DepMap | Descartes | 0.06 | 2.87 |
WIPF1 | -0.0001354 | 5764 | GTEx | DepMap | Descartes | 0.65 | 65.60 |
CELF2 | -0.0001494 | 6099 | GTEx | DepMap | Descartes | 1.13 | 74.92 |
LEF1 | -0.0001631 | 6398 | GTEx | DepMap | Descartes | 0.06 | 6.06 |
MBNL1 | -0.0001862 | 6921 | GTEx | DepMap | Descartes | 0.73 | 48.53 |
B2M | -0.0002032 | 7275 | GTEx | DepMap | Descartes | 88.78 | 15477.85 |
PDE3B | -0.0002651 | 8528 | GTEx | DepMap | Descartes | 0.11 | 8.45 |
SAMD3 | -0.0002696 | 8609 | GTEx | DepMap | Descartes | 0.05 | 9.00 |
BACH2 | -0.0002824 | 8854 | GTEx | DepMap | Descartes | 0.04 | 1.34 |
ARHGAP15 | -0.0003203 | 9505 | GTEx | DepMap | Descartes | 0.23 | 33.35 |
STK39 | -0.0003400 | 9810 | GTEx | DepMap | Descartes | 0.02 | 3.91 |
PRKCH | -0.0003559 | 10025 | GTEx | DepMap | Descartes | 0.11 | 19.17 |
ANKRD44 | -0.0003619 | 10114 | GTEx | DepMap | Descartes | 0.26 | 20.09 |
SCML4 | -0.0003717 | 10249 | GTEx | DepMap | Descartes | 0.02 | 1.56 |
NCALD | -0.0003744 | 10284 | GTEx | DepMap | Descartes | 0.01 | 2.20 |
CCL5 | -0.0003797 | 10351 | GTEx | DepMap | Descartes | 0.64 | 240.72 |
IKZF1 | -0.0003838 | 10406 | GTEx | DepMap | Descartes | 0.25 | 16.21 |
PITPNC1 | -0.0004071 | 10647 | GTEx | DepMap | Descartes | 0.13 | 9.25 |
TOX | -0.0004108 | 10682 | GTEx | DepMap | Descartes | 0.02 | 2.40 |
ABLIM1 | -0.0004189 | 10757 | GTEx | DepMap | Descartes | 0.03 | 1.87 |
MSN | -0.0004516 | 11078 | GTEx | DepMap | Descartes | 1.16 | 140.80 |
MCTP2 | -0.0004891 | 11388 | GTEx | DepMap | Descartes | 0.05 | 3.17 |
RCSD1 | -0.0004935 | 11415 | GTEx | DepMap | Descartes | 0.32 | 26.63 |
PLEKHA2 | -0.0004952 | 11434 | GTEx | DepMap | Descartes | 0.18 | 13.12 |
SKAP1 | -0.0005194 | 11584 | GTEx | DepMap | Descartes | 0.03 | 11.05 |
Below shows the ranks on this GEP for immune marker gene lists curated by CellTypist (https://www.celltypist.org/encyclopedia).
High ranks indicate this gene is a driver of this GEP.
These curated gene list are ranked by P-value (on this GEP) of their constituent genes.
The Mean Count column shows the mean read count in cells scoring highly (H > 50) on this gene expression program.
Genes | Weight | Rank | GTEx | DepMap | Decartes | Mean.Counts | Mean.TPM |
---|---|---|---|---|---|---|---|
SAT1 | 0.0026763 | 84 | GTEx | DepMap | Descartes | 30.71 | 11868.46 |
NEAT1 | 0.0014970 | 202 | GTEx | DepMap | Descartes | 13.66 | 316.66 |
TYROBP | 0.0009692 | 359 | GTEx | DepMap | Descartes | 17.81 | 13191.88 |
T cells: T(agonist) (curated markers)
unconventional T cell subpopulation in the thymus which expresses MIR155HG and shares some signatures with differentiating regulatory T cells:
Wilcoxon ranksum test P-value for gene set overrepresentation: 2.93e-03
Mean rank of genes in gene set: 512.67
Rank on gene expression program of genes in gene set:
Genes | Weight | Rank | GTEx | DepMap | Decartes | Mean.Counts | Mean.TPM |
---|---|---|---|---|---|---|---|
MIR155HG | 0.0025599 | 89 | GTEx | DepMap | Descartes | 0.17 | 42.39 |
BIRC3 | 0.0018646 | 155 | GTEx | DepMap | Descartes | 1.71 | 101.89 |
SMS | 0.0002482 | 1294 | GTEx | DepMap | Descartes | 0.83 | 175.78 |
T cells: Memory CD4+ cytotoxic T cells (curated markers)
CD4+ memory T cells which have cytotoxic activities by secreting granzymes and perforin and by killing target cells on the basis of MHC class II:
Wilcoxon ranksum test P-value for gene set overrepresentation: 8.03e-03
Mean rank of genes in gene set: 108.5
Rank on gene expression program of genes in gene set:
Genes | Weight | Rank | GTEx | DepMap | Decartes | Mean.Counts | Mean.TPM |
---|---|---|---|---|---|---|---|
IL10 | 0.0050902 | 22 | GTEx | DepMap | Descartes | 0.46 | 107.83 |
CD4 | 0.0015534 | 195 | GTEx | DepMap | Descartes | 0.91 | 123.96 |