Program: 15. Megakaryocyte.

Program: 15. Megakaryocyte.




Submit a comment on this gene expression program’s interpretation: CLICK

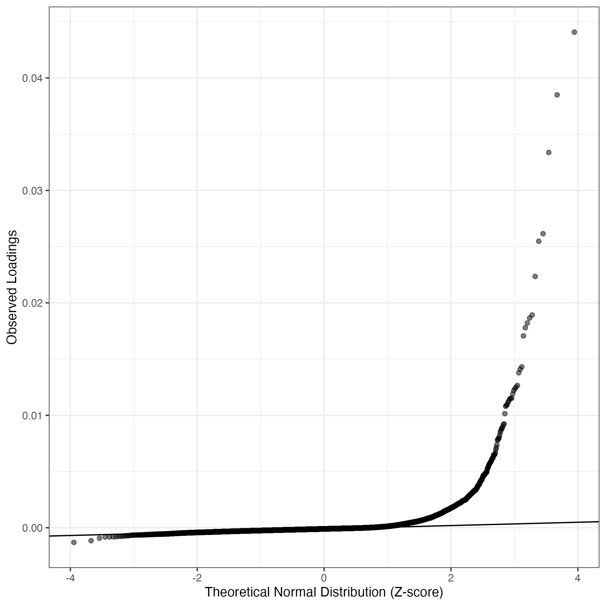
QQ-plot of gene loadings, averaged over both independent splits of the data
This plot highlights the relative contribution of each gene to the GEP

Interactive QQ Plot
## Error in apply(allData[cellsHGreaterThan50, ], 2, mean): dim(X) must have a positive length
## Error in apply(allDataTpm[cellsHGreaterThan50, ], 2, mean): dim(X) must have a positive length
## Error in eval(expr, envir, enclos): object 'meanCountsHOver50' not found
## Error in eval(expr, envir, enclos): object 'meanTpmHOver50' not found
## Error in data.frame(Gene = geneCardsLink, Loading = dftoDisplay[, 2], : object 'countHighScoringCells' not found
## Error in rownames(dftForKable) <- rn: object 'dftForKable' not found

Top genes driving this program.
Note: Decartes website is buggy, try refreshing. Also, Decartes fetal adrenal data have been collected at specific time points (89-122 days), all possible cell types of interest may not be represented, do not overinterpret.
The Mean Count column shows the mean read count in cells scoring highly (H > 50) on this gene expression program.

## Error in kable(dftForKable[1:50, ], row.names = TRUE): object 'dftForKable' not found
## Error in eval(quote(list(...)), env): object 'countHighScoringCells' not found


Dowload full table


UMAP plots showing activity of gene expression program identified in GEP 15. Megakaryocyte:

Interactive UMAP Plot


Boxlot showing activity of gene expression program identified in GEP 15. Megakaryocyte:
Interactive Boxplot


CNV Data procured from inferCNV.
Outer tracks are putative CNV regions (gains = red, losses = blue) for each patient
Inner track is expression data representing:
    The top cells expressing this GEP (purple)
    Random cells (n =50) from the reference set used in inferCNV (orange)

Interactive BioCircos Plot


Gene set Enrichments for this program, caculated from top 50 genes


mSigDB Cell Types Gene Set:

P-value OR Lower 95% CI FDR FWER Genes Found Gene Set Size
HAY_BONE_MARROW_PLATELET 2.02e-34 65.31 35.44 6.76e-32 1.35e-31
28CMTM5, TMEM40, LIPH, TUBB1, GMPR, NRGN, ENKUR, ALOX12, FRMD3, TSC22D1, ACRBP, SMIM5, ARHGAP6, PCYT1B, MFAP3L, SPOCD1, SMOX, CTTN, TRAPPC3L, TMEM140, TNFSF4, GNG11, RGS10, TRIM58, LURAP1L, FRMD4B, PDE5A, MMD
272
TRAVAGLINI_LUNG_PLATELET_MEGAKARYOCYTE_CELL 6.69e-36 51.34 27.16 4.49e-33 4.49e-33
35CMTM5, TMEM40, TUBB1, TAL1, GMPR, NRGN, GFI1B, ENKUR, ALOX12, FRMD3, ITGA2B, TSC22D1, ACRBP, SMIM5, ARHGAP6, PCYT1B, MFAP3L, SPOCD1, SMOX, CTTN, TRAPPC3L, TMEM140, TNFSF4, GNG11, RGS10, TRIM58, ITGB5, FRMD4B, SNCA, PDE5A, MMD, RBPMS2, LTBP1, FHL2, IRX3
604
ZHENG_CORD_BLOOD_C1_PUTATIVE_MEGAKARYOCYTE_PROGENITOR 2.23e-15 45.82 21.07 2.99e-13 1.50e-12
12CMTM5, TMEM40, TUBB1, NRGN, GFI1B, ITGA2B, ARHGAP6, MFAP3L, CTTN, PDE5A, RBPMS2, LTBP1
98
DESCARTES_FETAL_LUNG_MEGAKARYOCYTES 3.22e-18 36.52 18.44 7.21e-16 2.16e-15
16CMTM5, TUBB1, TAL1, GMPR, NRGN, GFI1B, ITGA2B, ACRBP, MFAP3L, SMOX, TRAPPC3L, TNFSF4, XK, TRIM58, RBPMS2, LTBP1
177
DESCARTES_FETAL_HEART_MEGAKARYOCYTES 1.15e-14 39.46 18.21 1.29e-12 7.73e-12
12LIPH, TUBB1, TAL1, NRGN, GFI1B, ALOX12, ITGA2B, ACRBP, MFAP3L, TNFSF4, XK, TRIM58
112
DESCARTES_FETAL_SPLEEN_MEGAKARYOCYTES 4.80e-10 26.35 10.98 3.58e-08 3.22e-07
9TMEM40, LIPH, ALOX12, ITGA2B, CDC14B, MFAP3L, PDE5A, RBPMS2, LTBP1
113
DESCARTES_FETAL_LIVER_MEGAKARYOCYTES 2.04e-11 23.81 10.78 1.71e-09 1.37e-08
11CMTM5, TMEM40, LIPH, TUBB1, NRGN, ALOX12, ITGA2B, ACRBP, CDC14B, PDE5A, LTBP1
159
DESCARTES_FETAL_CEREBRUM_MEGAKARYOCYTES 4.96e-16 18.88 9.98 8.32e-14 3.33e-13
19CMTM5, TMEM40, LIPH, TUBB1, GMPR, NRGN, GFI1B, ALOX12, ITGA2B, ACRBP, SMIM5, ARHGAP6, MFAP3L, TNFSF4, XK, TRIM58, PDGFC, LTBP1, FHL2
425
DESCARTES_MAIN_FETAL_MEGAKARYOCYTES 1.71e-11 20.23 9.48 1.64e-09 1.15e-08
12CMTM5, TUBB1, NRGN, GFI1B, ALOX12, ITGA2B, ACRBP, ARHGAP6, MFAP3L, CTTN, PDE5A, LTBP1
207
DESCARTES_FETAL_ADRENAL_MEGAKARYOCYTES 1.41e-08 22.24 8.80 7.90e-07 9.48e-06
8TUBB1, NRGN, ALOX12, ITGA2B, ACRBP, ARHGAP6, RBPMS2, LTBP1
115
DESCARTES_FETAL_KIDNEY_MEGAKARYOCYTES 5.83e-09 19.45 8.15 3.56e-07 3.91e-06
9CMTM5, TMEM40, TUBB1, NRGN, ALOX12, ITGA2B, PCYT1B, MFAP3L, RBPMS2
150
DESCARTES_FETAL_PLACENTA_MEGAKARYOCYTES 4.29e-09 16.45 7.22 2.88e-07 2.88e-06
10TMEM40, TUBB1, TAL1, NRGN, ITGA2B, ACRBP, ARHGAP6, CDC14B, TRIM58, SNCA
200
DESCARTES_FETAL_MUSCLE_MEGAKARYOCYTES 2.21e-08 13.71 6.04 1.14e-06 1.48e-05
10TMEM40, LIPH, TUBB1, NRGN, ALOX12, ITGA2B, MFAP3L, CTTN, TMEM140, LTBP1
238
DESCARTES_FETAL_INTESTINE_ERYTHROBLASTS 2.79e-06 13.30 4.97 1.25e-04 1.87e-03
7TUBB1, TAL1, GMPR, GFI1B, XK, TRIM58, SNCA
160
HAY_BONE_MARROW_CD34_POS_MKP 1.10e-04 18.41 4.66 4.33e-03 7.35e-02
4ITGA2B, ANXA3, RBPMS2, LTBP1
63
DESCARTES_FETAL_PANCREAS_ERYTHROBLASTS 1.41e-05 13.21 4.52 5.90e-04 9.44e-03
6TAL1, GMPR, GFI1B, XK, TRIM58, SNCA
135
HU_FETAL_RETINA_BLOOD 1.20e-06 10.05 4.25 5.74e-05 8.04e-04
9TUBB1, TAL1, GMPR, GFI1B, SMIM5, GNG11, XK, RGS10, SNCA
282
DESCARTES_FETAL_KIDNEY_ERYTHROBLASTS 4.04e-03 6.71 1.73 1.51e-01 1.00e+00
4GFI1B, SMIM5, TRIM58, SNCA
166
DESCARTES_FETAL_STOMACH_ERYTHROBLASTS 7.18e-03 8.22 1.61 2.54e-01 1.00e+00
3TUBB1, TRIM58, SNCA
100
CUI_DEVELOPING_HEART_5TH_WEEK_ATRIAL_CARDIOMYOCYTE 1.31e-02 12.39 1.41 4.20e-01 1.00e+00
2FRMD3, IRX3
44

Dowload full table

mSigDB Hallmark Gene Sets:

P-value OR Lower 95% CI FDR FWER Genes Found Gene Set Size
HALLMARK_HEME_METABOLISM 1.08e-03 7.12 2.18 5.40e-02 5.40e-02
5TAL1, SMOX, XK, TRIM58, SNCA
200
HALLMARK_INTERFERON_ALPHA_RESPONSE 5.62e-02 5.48 0.64 9.89e-01 1.00e+00
2GMPR, TMEM140
97
HALLMARK_ANDROGEN_RESPONSE 5.93e-02 5.31 0.62 9.89e-01 1.00e+00
2TSC22D1, CDC14B
100
HALLMARK_UV_RESPONSE_DN 1.10e-01 3.67 0.43 1.00e+00 1.00e+00
2LTBP1, FHL2
144
HALLMARK_KRAS_SIGNALING_UP 1.85e-01 2.63 0.31 1.00e+00 1.00e+00
2GNG11, MMD
200
HALLMARK_IL6_JAK_STAT3_SIGNALING 2.93e-01 2.97 0.07 1.00e+00 1.00e+00
1PDGFC
87
HALLMARK_SPERMATOGENESIS 4.15e-01 1.90 0.05 1.00e+00 1.00e+00
1ACRBP
135
HALLMARK_MITOTIC_SPINDLE 5.45e-01 1.29 0.03 1.00e+00 1.00e+00
1CTTN
199
HALLMARK_TNFA_SIGNALING_VIA_NFKB 5.47e-01 1.28 0.03 1.00e+00 1.00e+00
1TSC22D1
200
HALLMARK_ESTROGEN_RESPONSE_EARLY 5.47e-01 1.28 0.03 1.00e+00 1.00e+00
1FHL2
200
HALLMARK_MYOGENESIS 5.47e-01 1.28 0.03 1.00e+00 1.00e+00
1ITGB5
200
HALLMARK_EPITHELIAL_MESENCHYMAL_TRANSITION 5.47e-01 1.28 0.03 1.00e+00 1.00e+00
1ITGB5
200
HALLMARK_XENOBIOTIC_METABOLISM 5.47e-01 1.28 0.03 1.00e+00 1.00e+00
1SMOX
200
HALLMARK_P53_PATHWAY 5.47e-01 1.28 0.03 1.00e+00 1.00e+00
1TSC22D1
200
HALLMARK_HYPOXIA 1.00e+00 0.00 0.00 1.00e+00 1.00e+00
0
200
HALLMARK_CHOLESTEROL_HOMEOSTASIS 1.00e+00 0.00 0.00 1.00e+00 1.00e+00
0
74
HALLMARK_WNT_BETA_CATENIN_SIGNALING 1.00e+00 0.00 0.00 1.00e+00 1.00e+00
0
42
HALLMARK_TGF_BETA_SIGNALING 1.00e+00 0.00 0.00 1.00e+00 1.00e+00
0
54
HALLMARK_DNA_REPAIR 1.00e+00 0.00 0.00 1.00e+00 1.00e+00
0
150
HALLMARK_G2M_CHECKPOINT 1.00e+00 0.00 0.00 1.00e+00 1.00e+00
0
200

Dowload full table

KEGG Pathways:

P-value OR Lower 95% CI FDR FWER Genes Found Gene Set Size
KEGG_PATHOGENIC_ESCHERICHIA_COLI_INFECTION 2.07e-02 9.64 1.11 1.00e+00 1.00e+00
2TUBB1, CTTN
56
KEGG_ARRHYTHMOGENIC_RIGHT_VENTRICULAR_CARDIOMYOPATHY_ARVC 3.47e-02 7.23 0.84 1.00e+00 1.00e+00
2ITGA2B, ITGB5
74
KEGG_FOCAL_ADHESION 4.30e-02 4.07 0.80 1.00e+00 1.00e+00
3ITGA2B, ITGB5, PDGFC
199
KEGG_REGULATION_OF_ACTIN_CYTOSKELETON 5.07e-02 3.80 0.75 1.00e+00 1.00e+00
3ITGA2B, ITGB5, PDGFC
213
KEGG_HYPERTROPHIC_CARDIOMYOPATHY_HCM 4.26e-02 6.43 0.74 1.00e+00 1.00e+00
2ITGA2B, ITGB5
83
KEGG_ECM_RECEPTOR_INTERACTION 4.36e-02 6.35 0.74 1.00e+00 1.00e+00
2ITGA2B, ITGB5
84
KEGG_DILATED_CARDIOMYOPATHY 4.93e-02 5.92 0.69 1.00e+00 1.00e+00
2ITGA2B, ITGB5
90
KEGG_GAP_JUNCTION 4.93e-02 5.92 0.69 1.00e+00 1.00e+00
2TUBB1, PDGFC
90
KEGG_PURINE_METABOLISM 1.29e-01 3.32 0.39 1.00e+00 1.00e+00
2GMPR, PDE5A
159
KEGG_CYTOKINE_CYTOKINE_RECEPTOR_INTERACTION 2.77e-01 1.98 0.23 1.00e+00 1.00e+00
2TNFSF4, PDGFC
265
KEGG_ARACHIDONIC_ACID_METABOLISM 2.06e-01 4.47 0.11 1.00e+00 1.00e+00
1ALOX12
58
KEGG_MELANOMA 2.46e-01 3.64 0.09 1.00e+00 1.00e+00
1PDGFC
71
KEGG_GLYCEROPHOSPHOLIPID_METABOLISM 2.64e-01 3.36 0.08 1.00e+00 1.00e+00
1PCYT1B
77
KEGG_SMALL_CELL_LUNG_CANCER 2.84e-01 3.07 0.08 1.00e+00 1.00e+00
1ITGA2B
84
KEGG_TGF_BETA_SIGNALING_PATHWAY 2.90e-01 3.00 0.07 1.00e+00 1.00e+00
1LTBP1
86
KEGG_HEMATOPOIETIC_CELL_LINEAGE 2.93e-01 2.97 0.07 1.00e+00 1.00e+00
1ITGA2B
87
KEGG_PROSTATE_CANCER 2.98e-01 2.90 0.07 1.00e+00 1.00e+00
1PDGFC
89
KEGG_CELL_CYCLE 3.91e-01 2.06 0.05 1.00e+00 1.00e+00
1CDC14B
125
KEGG_PARKINSONS_DISEASE 4.03e-01 1.98 0.05 1.00e+00 1.00e+00
1SNCA
130
KEGG_TIGHT_JUNCTION 4.08e-01 1.95 0.05 1.00e+00 1.00e+00
1CTTN
132

Dowload full table

CHR Positional Gene Sets:

P-value OR Lower 95% CI FDR FWER Genes Found Gene Set Size
chr10p12 9.90e-02 3.92 0.46 1.00e+00 1.00e+00
2ENKUR, ARMC4
135
chr4q33 5.43e-02 19.60 0.45 1.00e+00 1.00e+00
1MFAP3L
14
chr9p23 7.30e-02 14.16 0.33 1.00e+00 1.00e+00
1LURAP1L
19
chrXp22 2.31e-01 2.25 0.26 1.00e+00 1.00e+00
2ARHGAP6, PCYT1B
233
chr17p13 3.76e-01 1.56 0.18 1.00e+00 1.00e+00
2ALOX12, INCA1
336
chr7q33 1.87e-01 5.00 0.12 1.00e+00 1.00e+00
1TMEM140
52
chr4q26 1.90e-01 4.91 0.12 1.00e+00 1.00e+00
1PDE5A
53
chr1p33 2.13e-01 4.32 0.11 1.00e+00 1.00e+00
1TAL1
60
chr4q22 2.43e-01 3.70 0.09 1.00e+00 1.00e+00
1SNCA
70
chr2q12 2.70e-01 3.27 0.08 1.00e+00 1.00e+00
1FHL2
79
chrXp21 2.78e-01 3.15 0.08 1.00e+00 1.00e+00
1XK
82
chr17q22 2.90e-01 3.00 0.07 1.00e+00 1.00e+00
1MMD
86
chr14q22 3.01e-01 2.87 0.07 1.00e+00 1.00e+00
1CDKL1
90
chr16q12 3.17e-01 2.68 0.07 1.00e+00 1.00e+00
1IRX3
96
chr2p22 3.23e-01 2.63 0.06 1.00e+00 1.00e+00
1LTBP1
98
chr4q32 3.62e-01 2.28 0.06 1.00e+00 1.00e+00
1PDGFC
113
chr3q27 3.67e-01 2.24 0.06 1.00e+00 1.00e+00
1LIPH
115
chr20p13 3.72e-01 2.20 0.05 1.00e+00 1.00e+00
1SMOX
117
chr6q22 3.77e-01 2.16 0.05 1.00e+00 1.00e+00
1TRAPPC3L
119
chr3p14 3.84e-01 2.11 0.05 1.00e+00 1.00e+00
1FRMD4B
122

Dowload full table

Transcription Factor Targets:

P-value OR Lower 95% CI FDR FWER Genes Found Gene Set Size
ZNF584_TARGET_GENES 5.68e-03 6.07 1.57 9.73e-01 1.00e+00
4TAL1, CTTN, TMEM140, LTBP1
183
MIF1_01 6.01e-03 5.97 1.55 9.73e-01 1.00e+00
4NRGN, ENKUR, TSC22D1, LURAP1L
186
CP2_02 1.69e-02 4.37 1.13 1.00e+00 1.00e+00
4FRMD3, TSC22D1, LTBP1, IRX3
253
ZNF589_TARGET_GENES 1.42e-02 2.99 1.13 1.00e+00 1.00e+00
7TAL1, GFI1B, ENKUR, TSC22D1, ACRBP, MFAP3L, FHL2
688
TCF11_01 1.80e-02 4.28 1.11 1.00e+00 1.00e+00
4PCYT1B, INCA1, LURAP1L, FHL2
258
P53_DECAMER_Q2 1.80e-02 4.28 1.11 1.00e+00 1.00e+00
4TSC22D1, SMOX, TNFSF4, LTBP1
258
AR_03 2.21e-02 9.30 1.07 1.00e+00 1.00e+00
2NRGN, SMOX
58
EFC_Q6 2.20e-02 4.01 1.04 1.00e+00 1.00e+00
4NRGN, ENKUR, TSC22D1, PCYT1B
275
MAFG_TARGET_GENES 3.29e-02 2.10 1.00 1.00e+00 1.00e+00
12TMEM40, TUBB1, TSC22D1, PCYT1B, MFAP3L, ANXA3, CTTN, ITGB5, CRYM, CDKL1, LTBP1, FHL2
1893
CTGRYYYNATT_UNKNOWN 3.47e-02 7.23 0.84 1.00e+00 1.00e+00
2SMOX, TNFSF4
74
WTTGKCTG_UNKNOWN 4.74e-02 2.70 0.83 1.00e+00 1.00e+00
5GFI1B, TSC22D1, PCYT1B, SMOX, LTBP1
519
CBFA2T2_TARGET_GENES 8.08e-02 1.86 0.83 1.00e+00 1.00e+00
10TAL1, ENKUR, ITGA2B, ACRBP, MFAP3L, SPOCD1, CTTN, ITGB5, CDKL1, FHL2
1694
GATTGGY_NFY_Q6_01 7.22e-02 2.04 0.82 1.00e+00 1.00e+00
8TAL1, NRGN, TSC22D1, CDC14B, SNCA, MMD, LTBP1, IRX3
1177
ZNF490_TARGET_GENES 4.62e-02 3.14 0.82 1.00e+00 1.00e+00
4SMOX, TMEM140, CRYM, CDKL1
350
PHB2_TARGET_GENES 4.25e-02 4.09 0.81 1.00e+00 1.00e+00
3GFI1B, ACRBP, MFAP3L
198
EGR2_01 4.25e-02 4.09 0.81 1.00e+00 1.00e+00
3NRGN, INCA1, XK
198
SRF_C 5.18e-02 3.76 0.74 1.00e+00 1.00e+00
3XK, LTBP1, FHL2
215
ZNF512B_TARGET_GENES 5.36e-02 3.71 0.73 1.00e+00 1.00e+00
3GFI1B, ARMC4, MMD
218
GGATTA_PITX2_Q2 7.41e-02 2.36 0.73 1.00e+00 1.00e+00
5PCYT1B, XK, PDGFC, LTBP1, IRX3
594
SUPT16H_TARGET_GENES 2.07e-01 1.62 0.72 1.00e+00 1.00e+00
10CMTM5, TMEM40, ENKUR, SMOX, CTTN, RGS10, ITGB5, FRMD4B, PDGFC, PDE5A
1944

Dowload full table

GO Biological Processes:

P-value OR Lower 95% CI FDR FWER Genes Found Gene Set Size
GOBP_POSITIVE_REGULATION_OF_CELL_DIVISION 4.74e-03 9.61 1.88 1.00e+00 1.00e+00
3TAL1, CDC14B, PDGFC
86
GOBP_AMINE_BIOSYNTHETIC_PROCESS 1.04e-02 14.07 1.60 1.00e+00 1.00e+00
2SMOX, SNCA
39
GOBP_SPERMINE_METABOLIC_PROCESS 1.98e-02 63.54 1.27 1.00e+00 1.00e+00
1SMOX
5
GOBP_RESPONSE_TO_IRON_II_ION 1.98e-02 63.54 1.27 1.00e+00 1.00e+00
1SNCA
5
GOBP_CGMP_CATABOLIC_PROCESS 1.98e-02 63.54 1.27 1.00e+00 1.00e+00
1PDE5A
5
GOBP_PROXIMAL_DISTAL_PATTERN_FORMATION_INVOLVED_IN_NEPHRON_DEVELOPMENT 1.98e-02 63.54 1.27 1.00e+00 1.00e+00
1IRX3
5
GOBP_EPOXIDE_METABOLIC_PROCESS 1.98e-02 63.54 1.27 1.00e+00 1.00e+00
1ALOX12
5
GOBP_REGULATION_OF_T_CELL_COSTIMULATION 1.98e-02 63.54 1.27 1.00e+00 1.00e+00
1TNFSF4
5
GOBP_CELL_MATRIX_ADHESION 1.23e-02 4.81 1.25 1.00e+00 1.00e+00
4ITGA2B, ARHGAP6, CTTN, ITGB5
230
GOBP_PLATELET_DERIVED_GROWTH_FACTOR_RECEPTOR_SIGNALING_PATHWAY 2.14e-02 9.46 1.09 1.00e+00 1.00e+00
2PDGFC, SNCA
57
GOBP_REGULATION_OF_ISOTYPE_SWITCHING_TO_IGE_ISOTYPES 2.37e-02 50.83 1.06 1.00e+00 1.00e+00
1TNFSF4
6
GOBP_MAST_CELL_DIFFERENTIATION 2.37e-02 50.83 1.06 1.00e+00 1.00e+00
1TAL1
6
GOBP_REGULATION_OF_MITOCHONDRIAL_ELECTRON_TRANSPORT_NADH_TO_UBIQUINONE 2.37e-02 50.83 1.06 1.00e+00 1.00e+00
1SNCA
6
GOBP_PLATELET_AGGREGATION 2.50e-02 8.68 1.00 1.00e+00 1.00e+00
2ALOX12, ITGA2B
62
GOBP_REGULATION_OF_CELL_DIVISION 2.95e-02 4.75 0.94 1.00e+00 1.00e+00
3TAL1, CDC14B, PDGFC
171
GOBP_NEGATIVE_REGULATION_OF_T_HELPER_1_TYPE_IMMUNE_RESPONSE 2.76e-02 42.41 0.91 1.00e+00 1.00e+00
1TNFSF4
7
GOBP_CDP_CHOLINE_PATHWAY 2.76e-02 42.41 0.91 1.00e+00 1.00e+00
1PCYT1B
7
GOBP_NEGATIVE_REGULATION_OF_REGULATORY_T_CELL_DIFFERENTIATION 2.76e-02 42.41 0.91 1.00e+00 1.00e+00
1TNFSF4
7
GOBP_POSITIVE_REGULATION_OF_T_HELPER_2_CELL_DIFFERENTIATION 2.76e-02 42.41 0.91 1.00e+00 1.00e+00
1TNFSF4
7
GOBP_MAINTENANCE_OF_PROTEIN_LOCATION_IN_EXTRACELLULAR_REGION 2.76e-02 42.41 0.91 1.00e+00 1.00e+00
1LTBP1
7

Dowload full table

Immunological Gene Sets:

P-value OR Lower 95% CI FDR FWER Genes Found Gene Set Size
GSE9006_HEALTHY_VS_TYPE_1_DIABETES_PBMC_AT_DX_UP 2.12e-10 18.85 8.57 1.03e-06 1.03e-06
11TUBB1, NRGN, ALOX12, ITGA2B, ARHGAP6, MFAP3L, CTTN, GNG11, XK, ITGB5, MMD
198
GSE9509_LPS_VS_LPS_AND_IL10_STIM_IL10_KO_MACROPHAGE_20MIN_UP 9.76e-06 10.88 4.08 1.75e-02 4.76e-02
7TAL1, GMPR, GFI1B, ITGA2B, ACRBP, CDC14B, TMEM140
194
GSE11057_PBMC_VS_MEM_CD4_TCELL_UP 1.08e-05 10.71 4.01 1.75e-02 5.25e-02
7TMEM40, TUBB1, NRGN, ITGA2B, ACRBP, GNG11, PDGFC
197
GSE37605_TREG_VS_TCONV_NOD_FOXP3_FUSION_GFP_DN 5.10e-05 10.39 3.57 6.21e-02 2.48e-01
6TUBB1, ALOX12, ITGA2B, GNG11, PDE5A, RBPMS2
170
GSE45365_WT_VS_IFNAR_KO_BCELL_MCMV_INFECTION_DN 1.08e-04 9.02 3.10 1.00e-01 5.25e-01
6CMTM5, NRGN, ITGA2B, ACRBP, SPOCD1, LTBP1
195
GSE2405_0H_VS_3H_A_PHAGOCYTOPHILUM_STIM_NEUTROPHIL_UP 1.24e-04 8.78 3.02 1.00e-01 6.03e-01
6LIPH, GMPR, TSC22D1, CACHD1, CTTN, GNG11
200
GSE5455_HEALTHY_VS_TUMOR_BEARING_MOUSE_SPLEEN_MONOCYTE_UP 1.01e-03 7.23 2.22 3.29e-01 1.00e+00
5NRGN, ANXA3, TMEM140, FRMD4B, MMD
197
GSE13485_DAY3_VS_DAY7_YF17D_VACCINE_PBMC_DN 1.03e-03 7.19 2.20 3.29e-01 1.00e+00
5GMPR, FRMD3, SPOCD1, SMOX, FHL2
198
GSE1432_1H_VS_24H_IFNG_MICROGLIA_UP 1.08e-03 7.12 2.18 3.29e-01 1.00e+00
5TAL1, ALOX12, PDGFC, SNCA, MMD
200
GSE17721_CTRL_VS_PAM3CSK4_6H_BMDC_UP 1.08e-03 7.12 2.18 3.29e-01 1.00e+00
5SMOX, TMEM140, RGS10, FRMD4B, MMD
200
GSE24142_EARLY_THYMIC_PROGENITOR_VS_DN2_THYMOCYTE_UP 1.08e-03 7.12 2.18 3.29e-01 1.00e+00
5TAL1, GFI1B, TSC22D1, ANXA3, RGS10
200
GSE24142_DN2_VS_DN3_THYMOCYTE_UP 1.08e-03 7.12 2.18 3.29e-01 1.00e+00
5TMEM40, TAL1, NRGN, ITGA2B, ARHGAP6
200
GSE2405_HEAT_KILLED_LYSATE_VS_LIVE_A_PHAGOCYTOPHILUM_STIM_NEUTROPHIL_24H_UP 1.08e-03 7.12 2.18 3.29e-01 1.00e+00
5LIPH, GMPR, TSC22D1, CACHD1, GNG11
200
GSE22601_IMMATURE_CD4_SINGLE_POSITIVE_VS_DOUBLE_POSITIVE_THYMOCYTE_DN 1.08e-03 7.12 2.18 3.29e-01 1.00e+00
5TMEM40, ANXA3, TNFSF4, RGS10, FRMD4B
200
GSE21670_STAT3_KO_VS_WT_CD4_TCELL_IL6_TREATED_DN 1.08e-03 7.12 2.18 3.29e-01 1.00e+00
5TMEM40, ALOX12, ITGA2B, TMEM140, GNG11
200
GSE40068_BCL6_POS_VS_NEG_CXCR5_POS_TFH_UP 1.08e-03 7.12 2.18 3.29e-01 1.00e+00
5TMEM140, RGS10, FRMD4B, MMD, FHL2
200
GSE360_HIGH_VS_LOW_DOSE_B_MALAYI_DC_UP 7.32e-03 5.63 1.46 8.54e-01 1.00e+00
4TSC22D1, TNFSF4, ITGB5, LTBP1
197
GSE18281_PERIMEDULLARY_CORTICAL_REGION_VS_WHOLE_MEDULLA_THYMUS_DN 7.32e-03 5.63 1.46 8.54e-01 1.00e+00
4FRMD3, ITGA2B, CTTN, FHL2
197
GSE2770_IL12_AND_TGFB_ACT_VS_ACT_CD4_TCELL_6H_DN 7.45e-03 5.60 1.45 8.54e-01 1.00e+00
4ANXA3, FRMD4B, SNCA, MMD
198
GSE13306_RA_VS_UNTREATED_TREG_UP 7.58e-03 5.57 1.44 8.54e-01 1.00e+00
4NRGN, ENKUR, CTTN, MMD
199

Dowload full table

Top Ranked Transcription Factors for this Gene Expression Program:

Gene Symbol TF Rank DNA Binding Domain Motif Status IUPAC PWM GTEx DepMap Decartes
TAL1 5 Yes Known motif Obligate heteromer In vivo/Misc source Only known motifs are from Transfac or HocoMoco - origin is uncertain No motif yielded from PBMs or HT-SELEX. Binds DNA as heterodimer with TCF3 (PDB:2YPB and PDB:2YPA).
GFI1B 8 Yes Known motif Monomer or homomultimer High-throughput in vitro None None
TSC22D1 15 Yes Likely to be sequence specific TF Monomer or homomultimer No motif None TSC22D1 appears to homo- and heterodimerize with other TFs to affect transcription (PMID: 10488076). In vitro, it has been shown to bind GC-rich DNA sequences (PMID: 9022669)
ANXA3 26 No Unlikely to be sequence specific TF Not a DNA binding protein No motif None Protein operates far upstream on the signaling cascade.
TNFSF4 32 No Unlikely to be sequence specific TF Not a DNA binding protein No motif None Extracellular signaling molecule. Included only because it regulates TFs.
FHL2 49 No Unlikely to be sequence specific TF Not a DNA binding protein No motif None LIM ZF proteins are unlikely to bind DNA. Experimental evidence does not support a role for FHL2 as a sequence-specific DNA-binding protein (PMID:10654935)
IRX3 50 Yes Known motif Monomer or homomultimer High-throughput in vitro None None
SPHK1 78 No Unlikely to be sequence specific TF Not a DNA binding protein No motif None None
INF2 82 No Unlikely to be sequence specific TF Not a DNA binding protein No motif Has a putative AT-hook None
MEIS1 88 Yes Known motif Monomer or homomultimer High-throughput in vitro None None
LBX2 99 Yes Known motif Monomer or homomultimer High-throughput in vitro None None
TGFB1I1 120 No Unlikely to be sequence specific TF Not a DNA binding protein No motif None Available evidence suggests that it acts as a co-factor
TGFB1 122 No Unlikely to be sequence specific TF Not a DNA binding protein No motif None None
NCOA4 127 No Unlikely to be sequence specific TF Not a DNA binding protein No motif None None
LYL1 134 Yes Inferred motif Obligate heteromer In vivo/Misc source None TAL1, TAL2 and LYL are very similar and have a basic region with a bulky tryptophan inserting into the cluster of the basic residues. Binds DNA as a heterodimer with TCF3 (PDB:2YPB and PDB:2YPA).
HIC1 144 Yes Known motif Monomer or homomultimer High-throughput in vitro None None
HMGA1 146 Yes Known motif Monomer or homomultimer In vivo/Misc source Only known motifs are from Transfac or HocoMoco - origin is uncertain None
LMO4 155 No Unlikely to be sequence specific TF Not a DNA binding protein No motif None None
CD36 165 No Unlikely to be sequence specific TF Not a DNA binding protein No motif None None
PBX1 177 Yes Known motif Monomer or homomultimer High-throughput in vitro None None



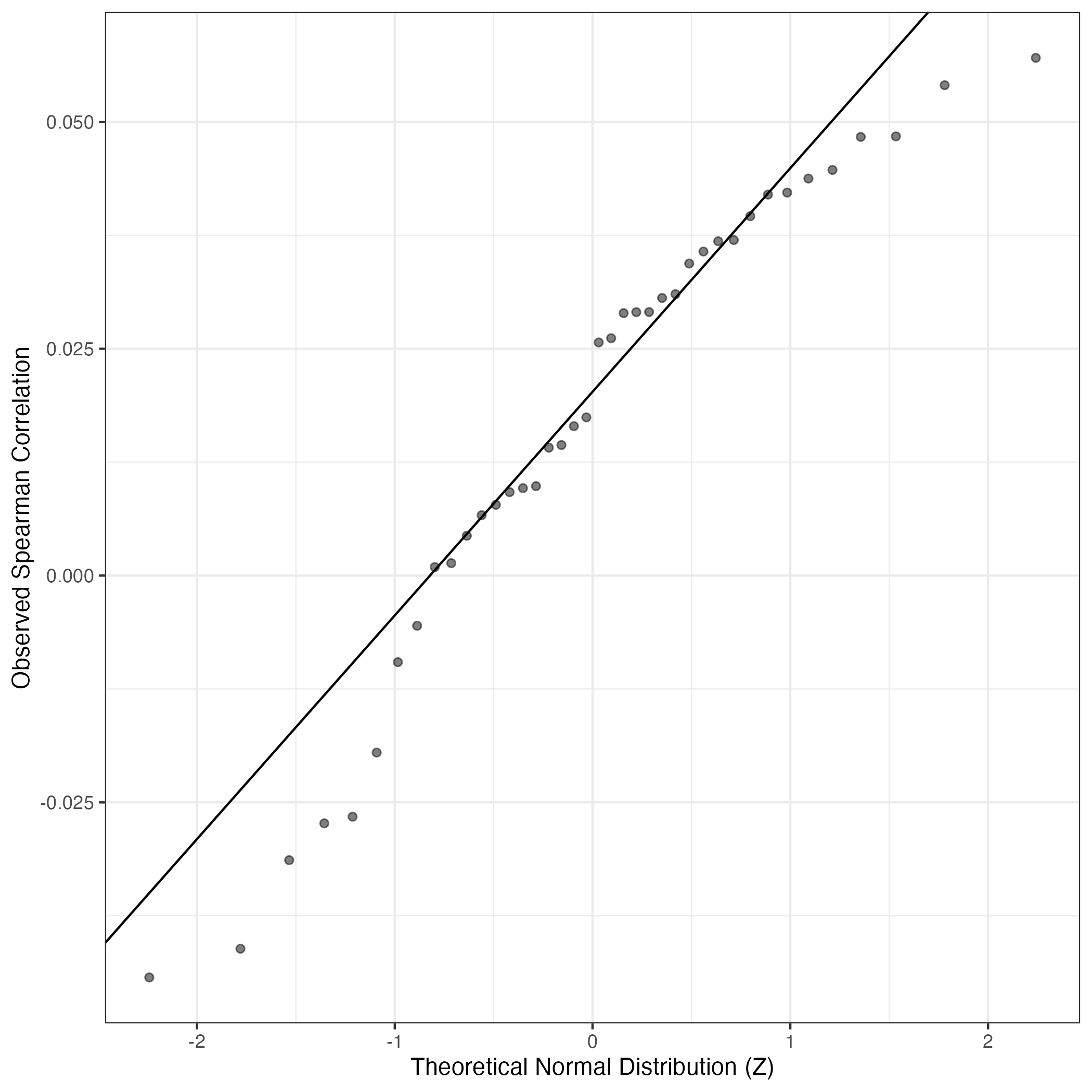
QQ Plot showing correlations with other GEPs in this dataset, calculated by Spearman correlation:

Interactive QQ-plot of gene loadings:

Interactive QQ Plot


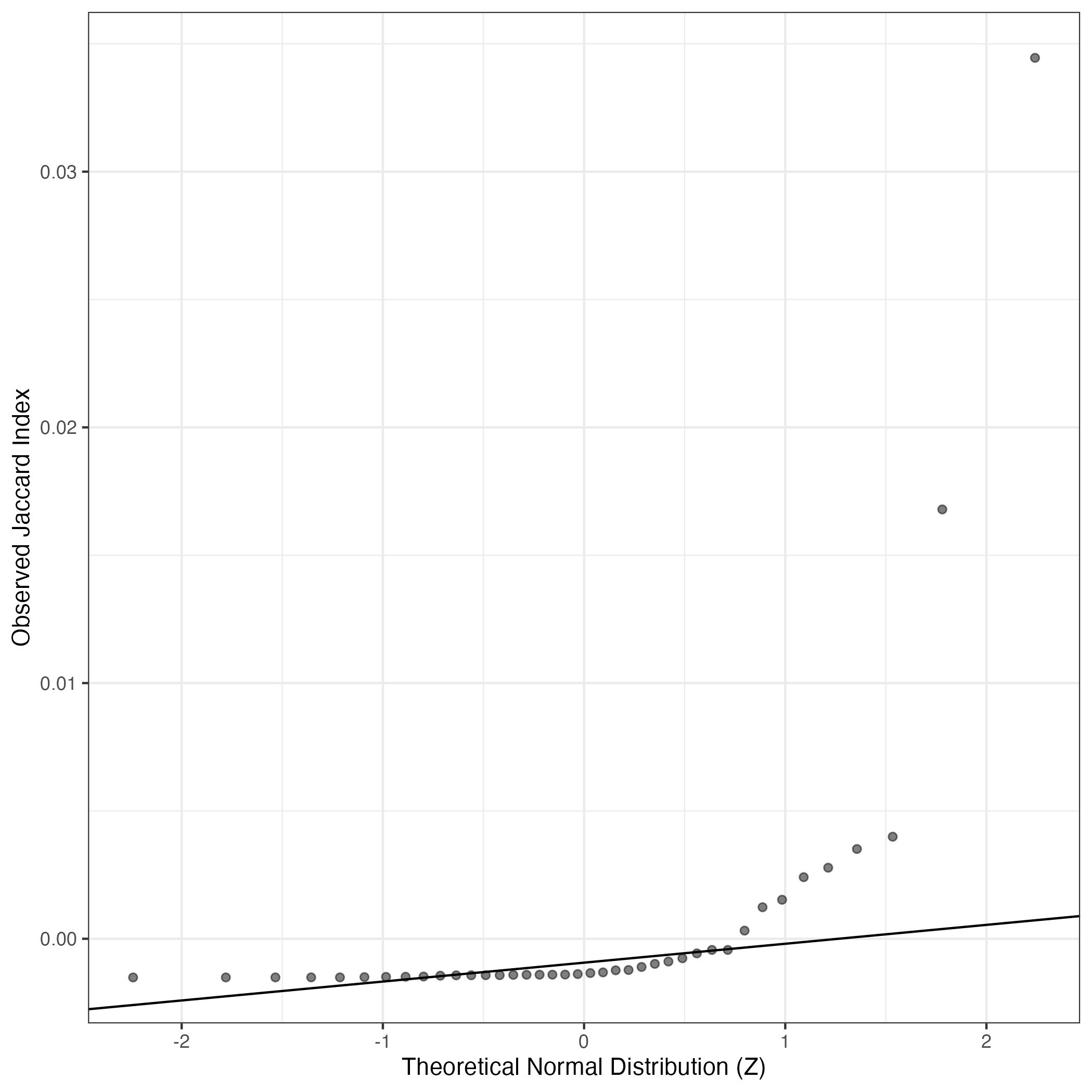
A similar QQ-plot as above, but only for instances where the H value is e.g. > 25, i.e. we are confident that the expression program is active above noise. Agreemenet between these binary vectors is tested using the Jaccard Index, with the P-values calculated by an exact test:

Interactive QQ-plot:

Interactive QQ Plot


Singler cell type annotations for the top 50 cells on this program.

## Error in 1:nrow(topCellsAnnotMat): argument of length 0
Cell ID Singler label Singler Delta Activity Score Top Singler Raw Scores
STDY7685342_GCACATATCTCATTCA Platelets 0.1 1463.49
Raw Scores



Below shows the significant enrichments of this GEP for literature curated gene lists
  This data was procured from existing single cell RNA-seq maps of neuroblastoma or related relevant data.
  High ranks indicate this gene is a driver of this GEP.
  These curated gene list are ranked by the P-value (on this GEP) of their constituent genes.
  The Mean Count column shows the mean read count in cells scoring highly (H > 50) on this gene expression program.


Immune (Hanemaaijer)
Marker genes obtained from Supplementary Table SD of Hanemaaijer et al (PMID 33500353). The authors generated single-cell RNA-seq data (sort-seq, 2,229 cells total) from mouse adrenal glads at E13.5, E14.5, E17.5, E18.5, P1 and P5. These were marker genes that matched with a similar dataset generated by Furlan et al (PMID 28684471). This particular set of markers are for the broad Immune cluster:
Wilcoxon ranksum test P-value for gene set overrepresentation: 1.31e-02
Mean rank of genes in gene set: 583.5
Rank on gene expression program of genes in gene set:
## Error in data.frame(Genes = geneCardsLinkSmallGsets, Weight = theseGenes, : object 'countHighScoringCells' not found


Below shows ranks on this GEP for literature curated gene lists for large gene sets
  These include those reported as mesenchymal/adrenergic by Van Groningen et al.
  High ranks indicate this gene is a driver of this GEP (note these results are not ordered).
  The Mean Count column shows the mean read count in cells scoring highly (H > 50) on this gene expression program.


VanGroningen Adrenergic Genes
Adrenergic marker genes from Supplementary Table 2 of Van Groningen et al. Nature Genetics 2017. These genes were identified by differential expression analysis of mesenchymal-like and adrenergic-like neuroblastoma cell lines.
Wilcoxon ranksum test P-value for gene set overrepresentation: 1.00e+00
Mean rank of genes in gene set: 8288.35
Median rank of genes in gene set: 9432
Rank on gene expression program of top 30 genes in gene set:

## Error in data.frame(Genes = geneCardsLinkSmallGsets, Weight = theseGenes, : object 'countHighScoringCells' not found



Below shows the ranks on this GEP for immune marker gene lists curated by CellTypist (https://www.celltypist.org/encyclopedia).
  High ranks indicate this gene is a driver of this GEP.
  These curated gene list are ranked by P-value (on this GEP) of their constituent genes.
  The Mean Count column shows the mean read count in cells scoring highly (H > 50) on this gene expression program.


Megakaryocytes/platelets: Megakaryocytes/platelets (curated markers)
large multinucleated cells with numerous azurophilic granules and with mature blood platelets released from the cytoplasm:
Wilcoxon ranksum test P-value for gene set overrepresentation: 7.21e-03
Mean rank of genes in gene set: 7.5
Rank on gene expression program of genes in gene set:
## Error in data.frame(Genes = geneCardsLinkSmallGsets, Weight = theseGenes, : object 'countHighScoringCells' not found