Program description and justification of annotation: 9.
Submit a comment on this gene expression program’s interpretation: CLICK
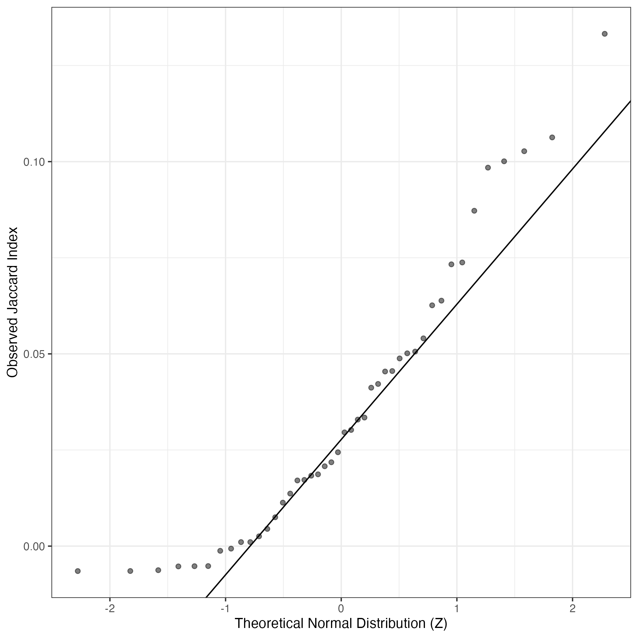
QQ-plot of gene loadings, averaged over both independent splits of the data
This plot highlights the relative contribution of each gene to the GEP
Top genes driving this program.
Note: Decartes website is buggy, try refreshing. Also, Decartes fetal adrenal data have been collected at specific time points (89-122 days), all possible cell types of interest may not be represented, do not overinterpret.
The Mean Count column shows the mean read count in cells scoring highly (H > 50) on this gene expression program.
Gene | Loading | Gene.Name | GTEx | DepMap | Descartes | Mean.Counts | Mean.Tpm | |
---|---|---|---|---|---|---|---|---|
1 | CYP1B1 | 0.0084827 | cytochrome P450 family 1 subfamily B member 1 | GTEx | DepMap | Descartes | 1.36 | 34.09 |
2 | CCDC80 | 0.0074298 | coiled-coil domain containing 80 | GTEx | DepMap | Descartes | 5.88 | 48.52 |
3 | CXCL13 | 0.0070405 | C-X-C motif chemokine ligand 13 | GTEx | DepMap | Descartes | 6.74 | 475.25 |
4 | PTGIS | 0.0069557 | prostaglandin I2 synthase | GTEx | DepMap | Descartes | 3.26 | 16.56 |
5 | MMP23 | 0.0067817 | NA | GTEx | DepMap | Descartes | 2.76 | 280.36 |
6 | CPXM1 | 0.0064168 | carboxypeptidase X, M14 family member 1 | GTEx | DepMap | Descartes | 2.21 | 118.40 |
7 | TIMP1 | 0.0060420 | TIMP metallopeptidase inhibitor 1 | GTEx | DepMap | Descartes | 22.20 | 993.60 |
8 | NNMT | 0.0059497 | nicotinamide N-methyltransferase | GTEx | DepMap | Descartes | 1.08 | 20.60 |
9 | CALCA | 0.0057462 | calcitonin related polypeptide alpha | GTEx | DepMap | Descartes | 2.15 | 127.42 |
10 | GATA6 | 0.0056510 | GATA binding protein 6 | GTEx | DepMap | Descartes | 0.85 | 7.11 |
11 | IL1R1 | 0.0053985 | interleukin 1 receptor type 1 | GTEx | DepMap | Descartes | 1.29 | 4.34 |
12 | SAA3 | 0.0053801 | NA | GTEx | DepMap | Descartes | 31.57 | 2001.11 |
13 | SLITRK4 | 0.0052731 | SLIT and NTRK like family member 4 | GTEx | DepMap | Descartes | 0.06 | 0.67 |
14 | COL3A1 | 0.0052317 | collagen type III alpha 1 chain | GTEx | DepMap | Descartes | 85.29 | 693.20 |
15 | OSR1 | 0.0051985 | odd-skipped related transcription factor 1 | GTEx | DepMap | Descartes | 0.80 | 18.31 |
16 | WT1OS | 0.0051775 | NA | GTEx | DepMap | Descartes | 0.07 | 0.35 |
17 | CPZ | 0.0051719 | carboxypeptidase Z | GTEx | DepMap | Descartes | 0.43 | 6.02 |
18 | ALDH1A2 | 0.0051214 | aldehyde dehydrogenase 1 family member A2 | GTEx | DepMap | Descartes | 1.57 | 6.82 |
19 | PDGFRA | 0.0050682 | platelet derived growth factor receptor alpha | GTEx | DepMap | Descartes | 1.59 | 14.90 |
20 | SRPX | 0.0050269 | sushi repeat containing protein X-linked | GTEx | DepMap | Descartes | 0.82 | 3.93 |
21 | FNDC1 | 0.0049873 | fibronectin type III domain containing 1 | GTEx | DepMap | Descartes | 2.07 | 6.66 |
22 | NEK5 | 0.0049810 | NIMA related kinase 5 | GTEx | DepMap | Descartes | 0.01 | 0.04 |
23 | FLNC | 0.0048768 | filamin C | GTEx | DepMap | Descartes | 0.56 | 5.38 |
24 | DCN | 0.0048173 | decorin | GTEx | DepMap | Descartes | 24.80 | 222.74 |
25 | GM4779 | 0.0047218 | NA | GTEx | DepMap | Descartes | 0.00 | 0.00 |
26 | GM12840 | 0.0047198 | NA | GTEx | DepMap | Descartes | 3.38 | 891.44 |
27 | 1500015O10RIK | 0.0046135 | NA | GTEx | DepMap | Descartes | 0.93 | NA |
28 | A530020G20RIK | 0.0046026 | NA | GTEx | DepMap | Descartes | 0.08 | 4.76 |
29 | WT1 | 0.0045737 | WT1 transcription factor | GTEx | DepMap | Descartes | 0.51 | 2.79 |
30 | C1RA | 0.0045297 | NA | GTEx | DepMap | Descartes | 1.45 | 46.78 |
31 | GDF6 | 0.0044686 | growth differentiation factor 6 | GTEx | DepMap | Descartes | 0.13 | 1.81 |
32 | MYRF | 0.0044527 | myelin regulatory factor | GTEx | DepMap | Descartes | 0.83 | 6.88 |
33 | FLRT2 | 0.0044508 | fibronectin leucine rich transmembrane protein 2 | GTEx | DepMap | Descartes | 1.72 | 4.66 |
34 | COL24A1 | 0.0044017 | collagen type XXIV alpha 1 chain | GTEx | DepMap | Descartes | 0.29 | 0.30 |
35 | AEBP1 | 0.0043906 | AE binding protein 1 | GTEx | DepMap | Descartes | 4.90 | 179.83 |
36 | COL1A2 | 0.0043435 | collagen type I alpha 2 chain | GTEx | DepMap | Descartes | 45.83 | 382.90 |
37 | C3 | 0.0043077 | complement C3 | GTEx | DepMap | Descartes | 24.12 | 325.01 |
38 | SERPING1 | 0.0041960 | serpin family G member 1 | GTEx | DepMap | Descartes | 7.72 | 297.55 |
39 | CXCL5 | 0.0041873 | C-X-C motif chemokine ligand 5 | GTEx | DepMap | Descartes | 1.06 | 113.50 |
40 | LGALS1 | 0.0041735 | galectin 1 | GTEx | DepMap | Descartes | 53.62 | 3385.16 |
41 | CFB | 0.0040393 | complement factor B | GTEx | DepMap | Descartes | 0.58 | 28.89 |
42 | SERPINH1 | 0.0039727 | serpin family H member 1 | GTEx | DepMap | Descartes | 12.54 | 467.76 |
43 | SMIM1 | 0.0038631 | small integral membrane protein 1 (Vel blood group) | GTEx | DepMap | Descartes | 1.58 | 65.81 |
44 | GJB3 | 0.0038620 | gap junction protein beta 3 | GTEx | DepMap | Descartes | 0.15 | 6.32 |
45 | SPARC | 0.0037638 | secreted protein acidic and cysteine rich | GTEx | DepMap | Descartes | 80.16 | 847.98 |
46 | ADGRD1 | 0.0037605 | adhesion G protein-coupled receptor D1 | GTEx | DepMap | Descartes | 1.32 | 3.58 |
47 | S100A1 | 0.0037238 | S100 calcium binding protein A1 | GTEx | DepMap | Descartes | 5.18 | 399.85 |
48 | C2 | 0.0037235 | complement C2 | GTEx | DepMap | Descartes | 0.72 | 6.13 |
49 | COL6A1 | 0.0036926 | collagen type VI alpha 1 chain | GTEx | DepMap | Descartes | 7.63 | 151.44 |
50 | COL6A5 | 0.0036340 | collagen type VI alpha 5 chain | GTEx | DepMap | Descartes | 0.78 | 3.04 |
UMAP plots showing activity of gene expression program identified in community:9. Cancer Associated Fibroblast: Inflammatory
CNV Data procured from inferCNV.
Outer tracks are putative CNV regions (gains = red, losses = blue) for each patient
Inner track is expression data representing:
The top cells expressing this GEP (purple)
Random cells (n =50) from the reference set used in inferCNV (orange)
Gene set Enrichments for this program, caculated from top 50 genes
mSigDB Cell Types Gene Set:
P-value | OR | Lower 95% CI | FDR | FWER | Genes Found | Gene Set Size | |
---|---|---|---|---|---|---|---|
GAO_LARGE_INTESTINE_24W_C1_DCLK1POS_PROGENITOR | 6.16e-18 | 75.78 | 34.81 | 2.07e-15 | 4.14e-15 | 12CCDC80, CPXM1, NNMT, COL3A1, CPZ, SRPX, FNDC1, DCN, COL1A2, C3, SERPING1, SPARC |
99 |
CUI_DEVELOPING_HEART_C3_FIBROBLAST_LIKE_CELL | 4.91e-17 | 62.77 | 29.03 | 1.10e-14 | 3.29e-14 | 12TIMP1, PDGFRA, SRPX, FNDC1, DCN, FLRT2, COL1A2, SERPING1, LGALS1, SERPINH1, SPARC, COL6A1 |
117 |
DESCARTES_FETAL_THYMUS_STROMAL_CELLS | 5.94e-18 | 59.13 | 28.13 | 2.07e-15 | 3.98e-15 | 13CCDC80, TIMP1, COL3A1, PDGFRA, SRPX, FNDC1, FLNC, DCN, COL1A2, C3, SERPING1, SPARC, COL6A1 |
137 |
DURANTE_ADULT_OLFACTORY_NEUROEPITHELIUM_FIBROBLASTS_STROMAL_CELLS | 2.92e-13 | 62.74 | 25.87 | 2.45e-11 | 1.96e-10 | 9CYP1B1, TIMP1, COL3A1, DCN, AEBP1, COL1A2, SERPING1, LGALS1, SPARC |
82 |
TRAVAGLINI_LUNG_LIPOFIBROBLAST_CELL | 7.39e-16 | 49.27 | 22.88 | 8.26e-14 | 4.96e-13 | 12CYP1B1, CCDC80, CPXM1, TIMP1, NNMT, GATA6, IL1R1, COL3A1, OSR1, SRPX, WT1, C3 |
146 |
CUI_DEVELOPING_HEART_SMOOTH_MUSCLE_CELL | 1.52e-09 | 67.80 | 22.38 | 5.67e-08 | 1.02e-06 | 6CCDC80, COL3A1, OSR1, CPZ, COL1A2, SPARC |
48 |
TRAVAGLINI_LUNG_VEIN_CELL | 3.86e-08 | 66.20 | 19.36 | 9.43e-07 | 2.59e-05 | 5CYP1B1, TIMP1, NNMT, IL1R1, SRPX |
40 |
CUI_DEVELOPING_HEART_C6_EPICARDIAL_CELL | 6.14e-16 | 40.36 | 19.34 | 8.23e-14 | 4.12e-13 | 13CCDC80, PTGIS, TIMP1, NNMT, IL1R1, ALDH1A2, WT1, MYRF, FLRT2, C3, SERPING1, CFB, ADGRD1 |
195 |
MENON_FETAL_KIDNEY_3_STROMAL_CELLS | 8.43e-10 | 45.87 | 16.88 | 3.33e-08 | 5.66e-07 | 7CYP1B1, COL3A1, FLRT2, COL1A2, LGALS1, SERPINH1, SPARC |
81 |
CUI_DEVELOPING_HEART_COMPACT_VENTRICULAR_CARDIOMYOCYTE | 9.88e-09 | 48.21 | 16.18 | 2.88e-07 | 6.63e-06 | 6COL3A1, DCN, COL1A2, LGALS1, SPARC, COL6A1 |
65 |
TRAVAGLINI_LUNG_ADVENTITIAL_FIBROBLAST_CELL | 1.47e-16 | 31.86 | 15.98 | 2.47e-14 | 9.89e-14 | 15CYP1B1, CCDC80, PTGIS, TIMP1, NNMT, GATA6, IL1R1, COL3A1, OSR1, PDGFRA, SRPX, DCN, COL1A2, C3, COL6A1 |
296 |
AIZARANI_LIVER_C21_STELLATE_CELLS_1 | 7.98e-13 | 32.20 | 14.64 | 5.35e-11 | 5.35e-10 | 11CCDC80, TIMP1, COL3A1, PDGFRA, SRPX, DCN, AEBP1, COL1A2, LGALS1, SPARC, COL6A1 |
194 |
DESCARTES_FETAL_STOMACH_MESOTHELIAL_CELLS | 1.59e-06 | 56.69 | 14.00 | 3.23e-05 | 1.07e-03 | 4ALDH1A2, WT1, C3, CFB |
36 |
DESCARTES_FETAL_MUSCLE_STROMAL_CELLS | 3.24e-09 | 37.35 | 13.80 | 1.03e-07 | 2.17e-06 | 7COL3A1, OSR1, PDGFRA, FNDC1, DCN, GDF6, COL1A2 |
98 |
DESCARTES_FETAL_PANCREAS_MESOTHELIAL_CELLS | 3.23e-08 | 38.99 | 13.17 | 8.33e-07 | 2.17e-05 | 6ALDH1A2, NEK5, WT1, MYRF, CFB, ADGRD1 |
79 |
DESCARTES_FETAL_LUNG_MESOTHELIAL_CELLS | 5.25e-09 | 34.68 | 12.84 | 1.60e-07 | 3.52e-06 | 7PTGIS, ALDH1A2, FNDC1, WT1, C3, CFB, ADGRD1 |
105 |
FAN_OVARY_CL6_PUTATIVE_EARLY_ATRETIC_FOLLICLE_THECAL_CELL_2 | 1.52e-13 | 25.58 | 12.34 | 1.45e-11 | 1.02e-10 | 13CCDC80, CPXM1, TIMP1, COL3A1, PDGFRA, DCN, AEBP1, COL1A2, SERPING1, LGALS1, SERPINH1, SPARC, COL6A1 |
300 |
DESCARTES_FETAL_INTESTINE_MESOTHELIAL_CELLS | 5.02e-08 | 36.04 | 12.20 | 1.16e-06 | 3.37e-05 | 6PTGIS, ALDH1A2, NEK5, WT1, MYRF, C3 |
85 |
DESCARTES_FETAL_EYE_STROMAL_CELLS | 7.07e-08 | 33.89 | 11.49 | 1.58e-06 | 4.74e-05 | 6COL3A1, FNDC1, DCN, COL1A2, SPARC, COL6A1 |
90 |
DESCARTES_FETAL_KIDNEY_STROMAL_CELLS | 1.82e-09 | 28.84 | 11.48 | 6.43e-08 | 1.22e-06 | 8COL3A1, OSR1, SRPX, FNDC1, DCN, GDF6, COL1A2, SPARC |
146 |
Dowload full table
mSigDB Hallmark Gene Sets:
P-value | OR | Lower 95% CI | FDR | FWER | Genes Found | Gene Set Size | |
---|---|---|---|---|---|---|---|
HALLMARK_COAGULATION | 3.48e-08 | 25.94 | 9.67 | 8.71e-07 | 1.74e-06 | 7TIMP1, C3, SERPING1, CFB, SPARC, S100A1, C2 |
138 |
HALLMARK_EPITHELIAL_MESENCHYMAL_TRANSITION | 2.12e-08 | 20.72 | 8.29 | 8.71e-07 | 1.06e-06 | 8TIMP1, NNMT, COL3A1, DCN, COL1A2, LGALS1, SERPINH1, SPARC |
200 |
HALLMARK_COMPLEMENT | 1.08e-04 | 11.91 | 3.65 | 1.80e-03 | 5.39e-03 | 5TIMP1, C3, SERPING1, CFB, C2 |
200 |
HALLMARK_ANGIOGENESIS | 3.33e-03 | 25.60 | 2.90 | 3.33e-02 | 1.66e-01 | 2TIMP1, COL3A1 |
36 |
HALLMARK_MYOGENESIS | 1.27e-03 | 9.27 | 2.40 | 1.59e-02 | 6.36e-02 | 4PTGIS, COL3A1, AEBP1, SPARC |
200 |
HALLMARK_ALLOGRAFT_REJECTION | 1.18e-02 | 6.77 | 1.34 | 9.82e-02 | 5.89e-01 | 3CXCL13, TIMP1, C2 |
200 |
HALLMARK_IL6_JAK_STAT3_SIGNALING | 1.82e-02 | 10.24 | 1.19 | 1.30e-01 | 9.11e-01 | 2CXCL13, IL1R1 |
87 |
HALLMARK_UV_RESPONSE_DN | 4.58e-02 | 6.13 | 0.72 | 2.70e-01 | 1.00e+00 | 2COL3A1, COL1A2 |
144 |
HALLMARK_APOPTOSIS | 5.58e-02 | 5.48 | 0.64 | 2.70e-01 | 1.00e+00 | 2TIMP1, DCN |
161 |
HALLMARK_IL2_STAT5_SIGNALING | 8.05e-02 | 4.42 | 0.52 | 2.70e-01 | 1.00e+00 | 2S100A1, COL6A1 |
199 |
HALLMARK_HYPOXIA | 8.11e-02 | 4.40 | 0.51 | 2.70e-01 | 1.00e+00 | 2SRPX, DCN |
200 |
HALLMARK_INTERFERON_GAMMA_RESPONSE | 8.11e-02 | 4.40 | 0.51 | 2.70e-01 | 1.00e+00 | 2SERPING1, CFB |
200 |
HALLMARK_INFLAMMATORY_RESPONSE | 8.11e-02 | 4.40 | 0.51 | 2.70e-01 | 1.00e+00 | 2TIMP1, IL1R1 |
200 |
HALLMARK_XENOBIOTIC_METABOLISM | 8.11e-02 | 4.40 | 0.51 | 2.70e-01 | 1.00e+00 | 2IL1R1, CFB |
200 |
HALLMARK_KRAS_SIGNALING_UP | 8.11e-02 | 4.40 | 0.51 | 2.70e-01 | 1.00e+00 | 2ALDH1A2, CFB |
200 |
HALLMARK_APICAL_SURFACE | 9.97e-02 | 9.91 | 0.24 | 3.12e-01 | 1.00e+00 | 1SRPX |
44 |
HALLMARK_FATTY_ACID_METABOLISM | 3.13e-01 | 2.72 | 0.07 | 8.23e-01 | 1.00e+00 | 1LGALS1 |
158 |
HALLMARK_ADIPOGENESIS | 3.78e-01 | 2.14 | 0.05 | 8.23e-01 | 1.00e+00 | 1C3 |
200 |
HALLMARK_ESTROGEN_RESPONSE_LATE | 3.78e-01 | 2.14 | 0.05 | 8.23e-01 | 1.00e+00 | 1GJB3 |
200 |
HALLMARK_APICAL_JUNCTION | 3.78e-01 | 2.14 | 0.05 | 8.23e-01 | 1.00e+00 | 1FLNC |
200 |
Dowload full table
KEGG Pathways:
P-value | OR | Lower 95% CI | FDR | FWER | Genes Found | Gene Set Size | |
---|---|---|---|---|---|---|---|
KEGG_COMPLEMENT_AND_COAGULATION_CASCADES | 2.19e-05 | 27.94 | 7.10 | 4.06e-03 | 4.06e-03 | 4C3, SERPING1, CFB, C2 |
69 |
KEGG_FOCAL_ADHESION | 1.05e-04 | 11.97 | 3.67 | 9.80e-03 | 1.96e-02 | 5COL3A1, PDGFRA, FLNC, COL1A2, COL6A1 |
199 |
KEGG_ECM_RECEPTOR_INTERACTION | 1.05e-03 | 16.47 | 3.21 | 6.52e-02 | 1.96e-01 | 3COL3A1, COL1A2, COL6A1 |
84 |
KEGG_CYTOKINE_CYTOKINE_RECEPTOR_INTERACTION | 3.49e-03 | 6.96 | 1.81 | 1.62e-01 | 6.49e-01 | 4CXCL13, IL1R1, PDGFRA, CXCL5 |
265 |
KEGG_TGF_BETA_SIGNALING_PATHWAY | 1.78e-02 | 10.37 | 1.20 | 6.63e-01 | 1.00e+00 | 2DCN, GDF6 |
86 |
KEGG_MAPK_SIGNALING_PATHWAY | 2.50e-02 | 5.05 | 1.00 | 7.75e-01 | 1.00e+00 | 3IL1R1, PDGFRA, FLNC |
267 |
KEGG_SYSTEMIC_LUPUS_ERYTHEMATOSUS | 4.30e-02 | 6.36 | 0.74 | 1.00e+00 | 1.00e+00 | 2C3, C2 |
139 |
KEGG_CHEMOKINE_SIGNALING_PATHWAY | 7.37e-02 | 4.66 | 0.54 | 1.00e+00 | 1.00e+00 | 2CXCL13, CXCL5 |
189 |
KEGG_NICOTINATE_AND_NICOTINAMIDE_METABOLISM | 5.57e-02 | 18.53 | 0.44 | 1.00e+00 | 1.00e+00 | 1NNMT |
24 |
KEGG_TRYPTOPHAN_METABOLISM | 9.11e-02 | 10.93 | 0.26 | 1.00e+00 | 1.00e+00 | 1CYP1B1 |
40 |
KEGG_STEROID_HORMONE_BIOSYNTHESIS | 1.23e-01 | 7.90 | 0.19 | 1.00e+00 | 1.00e+00 | 1CYP1B1 |
55 |
KEGG_ARACHIDONIC_ACID_METABOLISM | 1.29e-01 | 7.48 | 0.18 | 1.00e+00 | 1.00e+00 | 1PTGIS |
58 |
KEGG_RETINOL_METABOLISM | 1.42e-01 | 6.77 | 0.17 | 1.00e+00 | 1.00e+00 | 1ALDH1A2 |
64 |
KEGG_GLIOMA | 1.44e-01 | 6.66 | 0.16 | 1.00e+00 | 1.00e+00 | 1PDGFRA |
65 |
KEGG_METABOLISM_OF_XENOBIOTICS_BY_CYTOCHROME_P450 | 1.54e-01 | 6.18 | 0.15 | 1.00e+00 | 1.00e+00 | 1CYP1B1 |
70 |
KEGG_MELANOMA | 1.56e-01 | 6.09 | 0.15 | 1.00e+00 | 1.00e+00 | 1PDGFRA |
71 |
KEGG_LEISHMANIA_INFECTION | 1.58e-01 | 6.01 | 0.15 | 1.00e+00 | 1.00e+00 | 1C3 |
72 |
KEGG_APOPTOSIS | 1.87e-01 | 4.96 | 0.12 | 1.00e+00 | 1.00e+00 | 1IL1R1 |
87 |
KEGG_HEMATOPOIETIC_CELL_LINEAGE | 1.87e-01 | 4.96 | 0.12 | 1.00e+00 | 1.00e+00 | 1IL1R1 |
87 |
KEGG_PROSTATE_CANCER | 1.91e-01 | 4.85 | 0.12 | 1.00e+00 | 1.00e+00 | 1PDGFRA |
89 |
Dowload full table
CHR Positional Gene Sets:
P-value | OR | Lower 95% CI | FDR | FWER | Genes Found | Gene Set Size | |
---|---|---|---|---|---|---|---|
chr11q12 | 1.84e-01 | 2.63 | 0.31 | 1.00e+00 | 1.00e+00 | 2MYRF, SERPING1 |
333 |
chrXp11 | 2.15e-01 | 2.37 | 0.28 | 1.00e+00 | 1.00e+00 | 2TIMP1, SRPX |
370 |
chr6p21 | 2.98e-01 | 1.87 | 0.22 | 1.00e+00 | 1.00e+00 | 2CFB, C2 |
467 |
chr7p13 | 1.12e-01 | 8.70 | 0.21 | 1.00e+00 | 1.00e+00 | 1AEBP1 |
50 |
chr14q31 | 1.25e-01 | 7.75 | 0.19 | 1.00e+00 | 1.00e+00 | 1FLRT2 |
56 |
chr2p24 | 1.62e-01 | 5.84 | 0.14 | 1.00e+00 | 1.00e+00 | 1OSR1 |
74 |
chr4q12 | 1.72e-01 | 5.47 | 0.13 | 1.00e+00 | 1.00e+00 | 1PDGFRA |
79 |
chr18q11 | 1.74e-01 | 5.40 | 0.13 | 1.00e+00 | 1.00e+00 | 1GATA6 |
80 |
chrXq27 | 1.91e-01 | 4.85 | 0.12 | 1.00e+00 | 1.00e+00 | 1SLITRK4 |
89 |
chr7q32 | 1.93e-01 | 4.79 | 0.12 | 1.00e+00 | 1.00e+00 | 1FLNC |
90 |
chr2p22 | 2.08e-01 | 4.40 | 0.11 | 1.00e+00 | 1.00e+00 | 1CYP1B1 |
98 |
chr2q32 | 2.27e-01 | 3.99 | 0.10 | 1.00e+00 | 1.00e+00 | 1COL3A1 |
108 |
chr5q33 | 2.29e-01 | 3.95 | 0.10 | 1.00e+00 | 1.00e+00 | 1SPARC |
109 |
chr20p13 | 2.43e-01 | 3.68 | 0.09 | 1.00e+00 | 1.00e+00 | 1CPXM1 |
117 |
chr3q22 | 2.43e-01 | 3.68 | 0.09 | 1.00e+00 | 1.00e+00 | 1COL6A5 |
117 |
chr12q21 | 2.63e-01 | 3.36 | 0.08 | 1.00e+00 | 1.00e+00 | 1DCN |
128 |
chr1p22 | 2.65e-01 | 3.33 | 0.08 | 1.00e+00 | 1.00e+00 | 1COL24A1 |
129 |
chr2q11 | 2.94e-01 | 2.94 | 0.07 | 1.00e+00 | 1.00e+00 | 1IL1R1 |
146 |
chr8q22 | 3.05e-01 | 2.81 | 0.07 | 1.00e+00 | 1.00e+00 | 1GDF6 |
153 |
chr6q25 | 3.07e-01 | 2.79 | 0.07 | 1.00e+00 | 1.00e+00 | 1FNDC1 |
154 |
Dowload full table
Transcription Factor Targets:
P-value | OR | Lower 95% CI | FDR | FWER | Genes Found | Gene Set Size | |
---|---|---|---|---|---|---|---|
YRTCANNRCGC_UNKNOWN | 4.77e-04 | 21.86 | 4.24 | 4.57e-01 | 5.40e-01 | 3OSR1, CPZ, FLNC |
64 |
XPO1_TARGET_GENES | 2.17e-03 | 32.21 | 3.61 | 4.57e-01 | 1.00e+00 | 2CPXM1, CFB |
29 |
GATA_Q6 | 1.30e-03 | 9.22 | 2.39 | 4.57e-01 | 1.00e+00 | 4CXCL13, GATA6, PDGFRA, MYRF |
201 |
IK3_01 | 2.08e-03 | 8.08 | 2.09 | 4.57e-01 | 1.00e+00 | 4NNMT, FLNC, CXCL5, C2 |
229 |
GATA1_04 | 2.72e-03 | 7.48 | 1.94 | 4.57e-01 | 1.00e+00 | 4CCDC80, CXCL13, PDGFRA, MYRF |
247 |
AP1_Q6 | 3.22e-03 | 7.13 | 1.85 | 4.57e-01 | 1.00e+00 | 4FLNC, DCN, GJB3, SPARC |
259 |
GATA_C | 3.63e-03 | 6.88 | 1.79 | 4.57e-01 | 1.00e+00 | 4CXCL13, GATA6, DCN, MYRF |
268 |
GATA6_01 | 3.63e-03 | 6.88 | 1.79 | 4.57e-01 | 1.00e+00 | 4CXCL13, GATA6, PDGFRA, MYRF |
268 |
TGANTCA_AP1_C | 9.24e-04 | 4.06 | 1.73 | 4.57e-01 | 1.00e+00 | 9IL1R1, PDGFRA, FLNC, MYRF, AEBP1, CXCL5, LGALS1, GJB3, SPARC |
1139 |
TTCNRGNNNNTTC_HSF_Q6 | 5.92e-03 | 8.77 | 1.73 | 6.70e-01 | 1.00e+00 | 3GATA6, MYRF, SERPINH1 |
155 |
RGTTAMWNATT_HNF1_01 | 1.34e-02 | 12.09 | 1.40 | 7.74e-01 | 1.00e+00 | 2MYRF, SERPING1 |
74 |
MCM5_TARGET_GENES | 1.89e-02 | 60.80 | 1.33 | 7.74e-01 | 1.00e+00 | 1COL24A1 |
8 |
GGARNTKYCCA_UNKNOWN | 1.56e-02 | 11.16 | 1.29 | 7.74e-01 | 1.00e+00 | 2SRPX, COL1A2 |
80 |
SIX1_TARGET_GENES | 1.16e-02 | 4.89 | 1.27 | 7.74e-01 | 1.00e+00 | 4CPZ, ALDH1A2, WT1, COL24A1 |
376 |
NKX61_01 | 1.80e-02 | 5.75 | 1.14 | 7.74e-01 | 1.00e+00 | 3CXCL13, ALDH1A2, PDGFRA |
235 |
CEBP_Q2 | 1.86e-02 | 5.68 | 1.12 | 7.74e-01 | 1.00e+00 | 3PTGIS, ALDH1A2, PDGFRA |
238 |
TITF1_Q3 | 1.99e-02 | 5.54 | 1.09 | 7.74e-01 | 1.00e+00 | 3OSR1, PDGFRA, MYRF |
244 |
GATA1_03 | 2.03e-02 | 5.49 | 1.09 | 7.74e-01 | 1.00e+00 | 3CCDC80, GATA6, MYRF |
246 |
HNF1_01 | 2.03e-02 | 5.49 | 1.09 | 7.74e-01 | 1.00e+00 | 3GATA6, PDGFRA, MYRF |
246 |
GATA1_02 | 2.09e-02 | 5.42 | 1.07 | 7.74e-01 | 1.00e+00 | 3CXCL13, PDGFRA, MYRF |
249 |
Dowload full table
GO Biological Processes:
P-value | OR | Lower 95% CI | FDR | FWER | Genes Found | Gene Set Size | |
---|---|---|---|---|---|---|---|
GOBP_METANEPHRIC_GLOMERULUS_VASCULATURE_DEVELOPMENT | 7.10e-07 | 263.86 | 39.95 | 1.06e-03 | 5.31e-03 | 3OSR1, PDGFRA, WT1 |
8 |
GOBP_METANEPHRIC_GLOMERULUS_DEVELOPMENT | 5.69e-06 | 110.69 | 19.43 | 3.28e-03 | 4.26e-02 | 3OSR1, PDGFRA, WT1 |
15 |
GOBP_COLLAGEN_FIBRIL_ORGANIZATION | 1.80e-07 | 47.29 | 14.06 | 3.37e-04 | 1.35e-03 | 5CYP1B1, COL3A1, AEBP1, COL1A2, SERPINH1 |
54 |
GOBP_REGULATION_OF_APOPTOTIC_CELL_CLEARANCE | 1.99e-04 | 123.89 | 12.26 | 4.41e-02 | 1.00e+00 | 2C3, C2 |
9 |
GOBP_CELL_PROLIFERATION_INVOLVED_IN_METANEPHROS_DEVELOPMENT | 2.48e-04 | 108.38 | 10.95 | 5.01e-02 | 1.00e+00 | 2OSR1, WT1 |
10 |
GOBP_RENAL_SYSTEM_VASCULATURE_DEVELOPMENT | 3.19e-05 | 57.89 | 10.76 | 1.32e-02 | 2.38e-01 | 3OSR1, PDGFRA, WT1 |
26 |
GOBP_EXTERNAL_ENCAPSULATING_STRUCTURE_ORGANIZATION | 2.33e-13 | 21.27 | 10.51 | 1.74e-09 | 1.74e-09 | 14CYP1B1, CCDC80, TIMP1, COL3A1, PDGFRA, DCN, WT1, FLRT2, COL24A1, AEBP1, COL1A2, SERPINH1, SPARC, COL6A1 |
396 |
GOBP_NAD_BIOSYNTHESIS_VIA_NICOTINAMIDE_RIBOSIDE_SALVAGE_PATHWAY | 4.98e-04 | 72.33 | 7.67 | 8.28e-02 | 1.00e+00 | 2PTGIS, NNMT |
14 |
GOBP_REGULATION_OF_HUMORAL_IMMUNE_RESPONSE | 8.46e-07 | 21.74 | 7.44 | 1.06e-03 | 6.33e-03 | 6CXCL13, GATA6, C3, SERPING1, CFB, C2 |
137 |
GOBP_RETINAL_METABOLIC_PROCESS | 5.74e-04 | 66.82 | 7.13 | 8.94e-02 | 1.00e+00 | 2CYP1B1, ALDH1A2 |
15 |
GOBP_CELLULAR_RESPONSE_TO_GONADOTROPIN_STIMULUS | 5.74e-04 | 66.82 | 7.13 | 8.94e-02 | 1.00e+00 | 2GATA6, WT1 |
15 |
GOBP_METANEPHRIC_MESENCHYME_DEVELOPMENT | 5.74e-04 | 66.82 | 7.13 | 8.94e-02 | 1.00e+00 | 2OSR1, WT1 |
15 |
GOBP_METANEPHRIC_NEPHRON_DEVELOPMENT | 1.09e-04 | 37.01 | 7.05 | 3.03e-02 | 8.19e-01 | 3OSR1, PDGFRA, WT1 |
39 |
GOBP_COMPLEMENT_ACTIVATION_ALTERNATIVE_PATHWAY | 8.32e-04 | 54.34 | 5.90 | 1.11e-01 | 1.00e+00 | 2C3, CFB |
18 |
GOBP_RETINA_VASCULATURE_DEVELOPMENT_IN_CAMERA_TYPE_EYE | 8.32e-04 | 54.34 | 5.90 | 1.11e-01 | 1.00e+00 | 2CYP1B1, PDGFRA |
18 |
GOBP_URETER_DEVELOPMENT | 8.32e-04 | 54.34 | 5.90 | 1.11e-01 | 1.00e+00 | 2OSR1, ALDH1A2 |
18 |
GOBP_KIDNEY_MESENCHYME_DEVELOPMENT | 9.28e-04 | 51.08 | 5.58 | 1.17e-01 | 1.00e+00 | 2OSR1, WT1 |
19 |
GOBP_MALE_GENITALIA_DEVELOPMENT | 1.03e-03 | 48.25 | 5.29 | 1.24e-01 | 1.00e+00 | 2PDGFRA, WT1 |
20 |
GOBP_ADRENAL_GLAND_DEVELOPMENT | 1.14e-03 | 45.73 | 5.03 | 1.33e-01 | 1.00e+00 | 2PDGFRA, WT1 |
21 |
GOBP_CELL_PROLIFERATION_INVOLVED_IN_KIDNEY_DEVELOPMENT | 1.14e-03 | 45.73 | 5.03 | 1.33e-01 | 1.00e+00 | 2OSR1, WT1 |
21 |
Dowload full table
Immunological Gene Sets:
P-value | OR | Lower 95% CI | FDR | FWER | Genes Found | Gene Set Size | |
---|---|---|---|---|---|---|---|
GSE6259_CD4_TCELL_VS_CD8_TCELL_UP | 1.26e-08 | 22.24 | 8.89 | 6.15e-05 | 6.15e-05 | 8CXCL13, CPXM1, TIMP1, GATA6, ALDH1A2, FLNC, COL24A1, GJB3 |
187 |
GSE5679_CTRL_VS_PPARG_LIGAND_ROSIGLITAZONE_AND_RARA_AGONIST_AM580_TREATED_DC_DN | 7.45e-06 | 14.69 | 5.06 | 1.21e-02 | 3.63e-02 | 6PTGIS, IL1R1, PDGFRA, DCN, LGALS1, SERPINH1 |
200 |
GSE19888_ADENOSINE_A3R_ACT_VS_TCELL_MEMBRANES_ACT_IN_MAST_CELL_UP | 7.45e-06 | 14.69 | 5.06 | 1.21e-02 | 3.63e-02 | 6CPXM1, TIMP1, COL3A1, DCN, SERPING1, COL6A1 |
200 |
GSE25088_IL4_VS_IL4_AND_ROSIGLITAZONE_STIM_STAT6_KO_MACROPHAGE_DAY10_DN | 1.01e-04 | 12.09 | 3.71 | 4.78e-02 | 4.90e-01 | 5IL1R1, SERPING1, CXCL5, LGALS1, CFB |
197 |
GSE41176_UNSTIM_VS_ANTI_IGM_STIM_BCELL_24H_UP | 1.03e-04 | 12.03 | 3.69 | 4.78e-02 | 5.01e-01 | 5CXCL13, IL1R1, FLNC, MYRF, COL1A2 |
198 |
GSE1432_6H_VS_24H_IFNG_MICROGLIA_UP | 1.08e-04 | 11.91 | 3.65 | 4.78e-02 | 5.25e-01 | 5CYP1B1, IL1R1, LGALS1, SPARC, COL6A1 |
200 |
GSE2405_0H_VS_24H_A_PHAGOCYTOPHILUM_STIM_NEUTROPHIL_DN | 1.08e-04 | 11.91 | 3.65 | 4.78e-02 | 5.25e-01 | 5AEBP1, SERPING1, SPARC, C2, COL6A1 |
200 |
GSE2405_0H_VS_3H_A_PHAGOCYTOPHILUM_STIM_NEUTROPHIL_UP | 1.08e-04 | 11.91 | 3.65 | 4.78e-02 | 5.25e-01 | 5TIMP1, COL1A2, SERPING1, S100A1, C2 |
200 |
GSE7509_DC_VS_MONOCYTE_UP | 1.08e-04 | 11.91 | 3.65 | 4.78e-02 | 5.25e-01 | 5CYP1B1, PTGIS, DCN, LGALS1, S100A1 |
200 |
GSE37301_RAG2_KO_VS_RAG2_AND_ETS1_KO_NK_CELL_UP | 1.08e-04 | 11.91 | 3.65 | 4.78e-02 | 5.25e-01 | 5CCDC80, NNMT, C3, SERPING1, COL6A1 |
200 |
GSE43955_1H_VS_20H_ACT_CD4_TCELL_WITH_TGFB_IL6_DN | 1.08e-04 | 11.91 | 3.65 | 4.78e-02 | 5.25e-01 | 5NNMT, DCN, AEBP1, COL1A2, CFB |
200 |
GSE25088_ROSIGLITAZONE_VS_IL4_AND_ROSIGLITAZONE_STIM_STAT6_KO_MACROPHAGE_DAY10_DN | 1.23e-03 | 9.37 | 2.43 | 2.00e-01 | 1.00e+00 | 4ALDH1A2, C3, SERPING1, CFB |
198 |
GSE35543_IN_VIVO_NTREG_VS_IN_VITRO_ITREG_UP | 1.25e-03 | 9.32 | 2.41 | 2.00e-01 | 1.00e+00 | 4CYP1B1, SRPX, WT1, SERPING1 |
199 |
GSE41978_ID2_KO_VS_BIM_KO_KLRG1_LOW_EFFECTOR_CD8_TCELL_UP | 1.25e-03 | 9.32 | 2.41 | 2.00e-01 | 1.00e+00 | 4IL1R1, C3, SERPING1, CXCL5 |
199 |
GSE14769_20MIN_VS_360MIN_LPS_BMDM_DN | 1.27e-03 | 9.27 | 2.40 | 2.00e-01 | 1.00e+00 | 4CCDC80, TIMP1, DCN, FLRT2 |
200 |
GSE20366_CD103_POS_VS_NEG_TREG_KLRG1NEG_UP | 1.27e-03 | 9.27 | 2.40 | 2.00e-01 | 1.00e+00 | 4CCDC80, TIMP1, PDGFRA, SERPINH1 |
200 |
GSE20715_0H_VS_24H_OZONE_LUNG_DN | 1.27e-03 | 9.27 | 2.40 | 2.00e-01 | 1.00e+00 | 4TIMP1, C3, CFB, GJB3 |
200 |
GSE360_HIGH_DOSE_B_MALAYI_VS_M_TUBERCULOSIS_DC_DN | 1.27e-03 | 9.27 | 2.40 | 2.00e-01 | 1.00e+00 | 4CYP1B1, TIMP1, SERPING1, CXCL5 |
200 |
GSE2405_0H_VS_1.5H_A_PHAGOCYTOPHILUM_STIM_NEUTROPHIL_UP | 1.27e-03 | 9.27 | 2.40 | 2.00e-01 | 1.00e+00 | 4CCDC80, COL3A1, COL1A2, CFB |
200 |
GSE4142_NAIVE_VS_MEMORY_BCELL_DN | 1.27e-03 | 9.27 | 2.40 | 2.00e-01 | 1.00e+00 | 4CXCL13, NNMT, OSR1, SMIM1 |
200 |
Top Ranked Transcription Factors for this Gene Expression Program:
Gene Symbol | TF Rank | DNA Binding Domain | Motif Status | IUPAC PWM | GTEx | DepMap | Decartes |
---|---|---|---|---|---|---|---|
CYP1B1 | 1 | No | Unlikely to be sequence specific TF | Not a DNA binding protein | No motif | None | None |
PTGIS | 4 | No | Unlikely to be sequence specific TF | Not a DNA binding protein | No motif | None | It is a cytochrome p450 enzyme |
GATA6 | 10 | Yes | Known motif | Monomer or homomultimer | High-throughput in vitro | None | None |
OSR1 | 15 | Yes | Known motif | Monomer or homomultimer | High-throughput in vitro | None | None |
WT1 | 29 | Yes | Known motif | Monomer or homomultimer | High-throughput in vitro | None | Crystal structure (PDB:2JP9) is with dsDNA GCGCAGACGCCCCCGCG, which is consistent with the PWMs |
MYRF | 32 | Yes | Known motif | Monomer or homomultimer | High-throughput in vitro | None | Mouse ortholog binds a highly similar motif. |
AEBP1 | 35 | Yes | Likely to be sequence specific TF | Monomer or homomultimer | No motif | None | This is a protease, but its ability to bind DNA is supported by both gel-shift (PMID: 15654748) and ChIP (PMID: 22723309). |
BARX1 | 58 | Yes | Known motif | Monomer or homomultimer | High-throughput in vitro | Has a putative AT-hook | None |
NR1H4 | 88 | Yes | Known motif | Monomer or homomultimer | High-throughput in vitro | None | Also binds DNA as heterodimer with RXRA (PMID: 11870371) |
GATA5 | 104 | Yes | Known motif | Monomer or homomultimer | High-throughput in vitro | None | None |
CLU | 113 | No | Unlikely to be sequence specific TF | Not a DNA binding protein | No motif | None | Included only because GO says positive regulation of NF-kappaB transcription factor activity, but there is no DBD and no evidence of DNA binding. |
FZD1 | 116 | No | Unlikely to be sequence specific TF | Not a DNA binding protein | No motif | None | None |
GAS6 | 158 | No | Unlikely to be sequence specific TF | Not a DNA binding protein | No motif | None | None |
IRF7 | 164 | Yes | Known motif | Monomer or homomultimer | High-throughput in vitro | None | None |
ZBP1 | 185 | No | Unlikely to be sequence specific TF | Low specificity DNA-binding protein | No motif | None | ZBP1 is structurally-specific for Z-DNA, but does not have any sequence specificity (PDB: 1J75; PMID: 11524677) |
HOXA2 | 192 | Yes | Known motif | Monomer or homomultimer | High-throughput in vitro | None | None |
PLSCR1 | 199 | Yes | Likely to be sequence specific TF | Monomer or homomultimer | No motif | None | PLSCR1 has been demonstrated to bind a GTAACCATGTGGA sequence in the IP3R1 promoter (PMID:16091359), mediated by a specific portion of the protein. |
CREB3L1 | 201 | Yes | Known motif | Monomer or homomultimer | High-throughput in vitro | None | None |
HOXB7 | 205 | Yes | Known motif | Monomer or homomultimer | High-throughput in vitro | None | None |
HOXB2 | 237 | Yes | Known motif | Monomer or homomultimer | High-throughput in vitro | None | None |
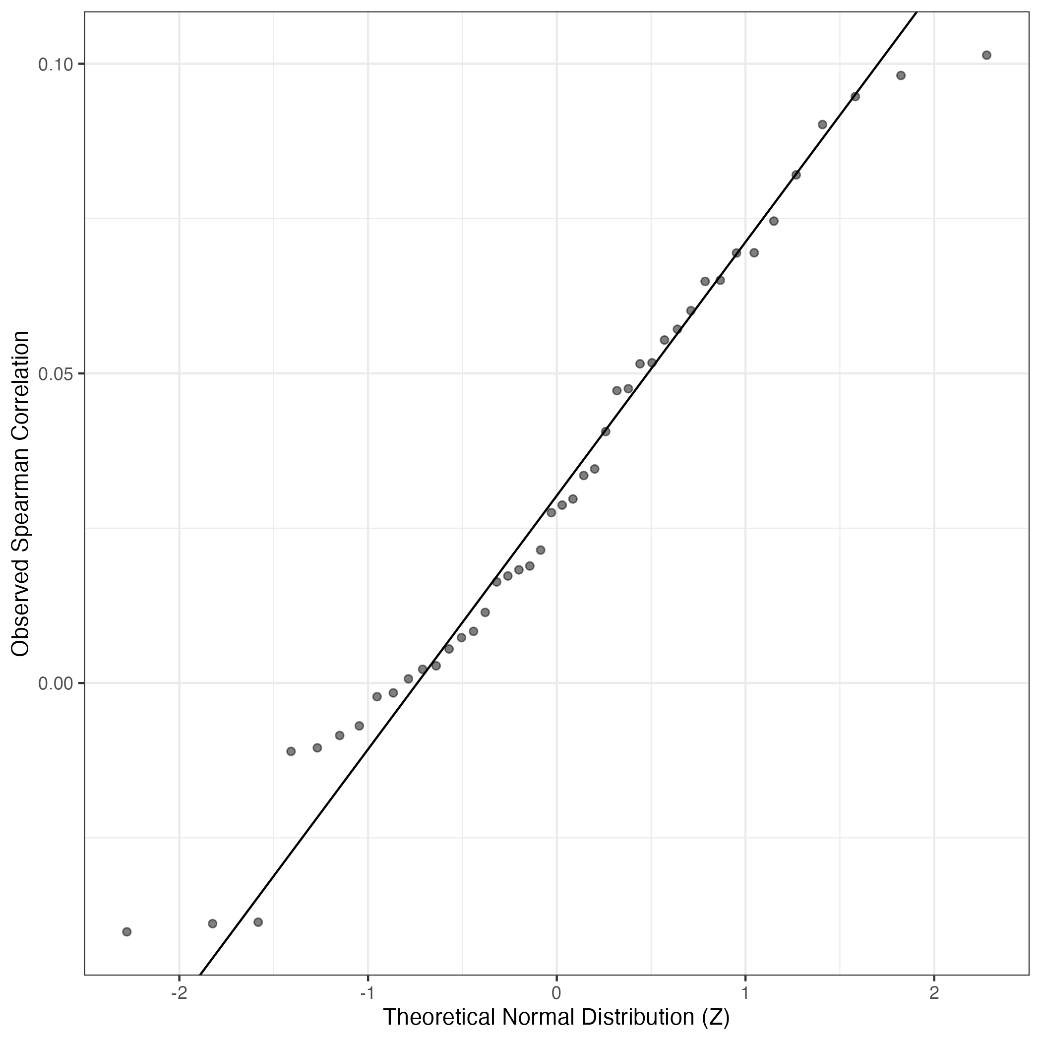
QQ Plot showing correlations with other Gene Expression Programs in this dataset, calculated by Spearman correlation:
Interactive QQ-plot of gene loadings:
A similar QQ-plot as above, but only for instances where the H value is e.g. > 25, i.e. we are confident that the expression program is active above noise. Agreemenet between these binary vectors is tested using the Jaccard Index, with the P-values calculated by an exact test:
Interactive QQ-plot:
Singler cell type annotations for the top 50 cells on this program.
Cell ID | Singler label | Singler Delta | Activity Score | Top Singler Raw Scores |
---|---|---|---|---|
839_TTACGCCGTATTTCCT-1 | Smooth_muscle_cells:vascular:IL-17 | 0.16 | 4095.85 | Raw ScoresFibroblasts:breast: 0.51, Smooth_muscle_cells:vascular:IL-17: 0.51, Smooth_muscle_cells:vascular: 0.51, iPS_cells:adipose_stem_cells: 0.5, iPS_cells:CRL2097_foreskin: 0.5, iPS_cells:foreskin_fibrobasts: 0.5, Fibroblasts:foreskin: 0.5, iPS_cells:skin_fibroblast: 0.49, iPS_cells:fibroblasts: 0.49, Chondrocytes:MSC-derived: 0.49 |
839_TTTCATGGTTGTGCAT-1 | Fibroblasts:breast | 0.13 | 2565.59 | Raw ScoresFibroblasts:breast: 0.47, Smooth_muscle_cells:vascular:IL-17: 0.47, Fibroblasts:foreskin: 0.47, iPS_cells:adipose_stem_cells: 0.47, Smooth_muscle_cells:vascular: 0.46, iPS_cells:CRL2097_foreskin: 0.46, iPS_cells:foreskin_fibrobasts: 0.46, iPS_cells:skin_fibroblast: 0.46, Tissue_stem_cells:BM_MSC: 0.45, iPS_cells:PDB_fibroblasts: 0.45 |
839_AGAGAATCACATGGTT-1 | Tissue_stem_cells:BM_MSC:BMP2 | 0.10 | 2289.40 | Raw ScoresiPS_cells:adipose_stem_cells: 0.4, Fibroblasts:breast: 0.4, Smooth_muscle_cells:bronchial: 0.39, Smooth_muscle_cells:bronchial:vit_D: 0.39, Tissue_stem_cells:BM_MSC:BMP2: 0.39, Fibroblasts:foreskin: 0.39, Tissue_stem_cells:BM_MSC: 0.39, iPS_cells:CRL2097_foreskin: 0.38, iPS_cells:skin_fibroblast: 0.38, Smooth_muscle_cells:vascular:IL-17: 0.38 |
839_AGGTCATCAAATAAGC-1 | Tissue_stem_cells:BM_MSC:BMP2 | 0.10 | 2050.65 | Raw ScoresFibroblasts:breast: 0.44, iPS_cells:adipose_stem_cells: 0.44, Smooth_muscle_cells:vascular:IL-17: 0.43, Smooth_muscle_cells:vascular: 0.43, Tissue_stem_cells:BM_MSC: 0.43, Fibroblasts:foreskin: 0.43, Smooth_muscle_cells:bronchial: 0.43, iPS_cells:foreskin_fibrobasts: 0.42, Tissue_stem_cells:BM_MSC:BMP2: 0.42, Tissue_stem_cells:BM_MSC:TGFb3: 0.42 |
839_CATTGTTTCTGTGCGG-1 | Tissue_stem_cells:BM_MSC:BMP2 | 0.11 | 1845.10 | Raw ScoresFibroblasts:breast: 0.37, Smooth_muscle_cells:vascular:IL-17: 0.37, iPS_cells:adipose_stem_cells: 0.37, Smooth_muscle_cells:vascular: 0.37, Tissue_stem_cells:BM_MSC:BMP2: 0.36, Fibroblasts:foreskin: 0.36, Chondrocytes:MSC-derived: 0.36, Tissue_stem_cells:BM_MSC:TGFb3: 0.36, Smooth_muscle_cells:bronchial: 0.36, Smooth_muscle_cells:bronchial:vit_D: 0.35 |
839_GTACAGTGTAGCCCTG-1 | Fibroblasts:breast | 0.13 | 1631.83 | Raw ScoresFibroblasts:breast: 0.4, Smooth_muscle_cells:vascular: 0.39, Smooth_muscle_cells:bronchial: 0.39, Smooth_muscle_cells:vascular:IL-17: 0.39, iPS_cells:adipose_stem_cells: 0.39, Smooth_muscle_cells:bronchial:vit_D: 0.39, Osteoblasts: 0.38, Tissue_stem_cells:BM_MSC:BMP2: 0.38, iPS_cells:CRL2097_foreskin: 0.38, Chondrocytes:MSC-derived: 0.38 |
839_GTAGAAATCCGCTGTT-1 | Fibroblasts:breast | 0.14 | 1573.66 | Raw ScoresFibroblasts:breast: 0.43, iPS_cells:adipose_stem_cells: 0.42, Tissue_stem_cells:iliac_MSC: 0.42, Smooth_muscle_cells:vascular: 0.41, Smooth_muscle_cells:vascular:IL-17: 0.41, Smooth_muscle_cells:bronchial: 0.41, Osteoblasts: 0.41, Smooth_muscle_cells:bronchial:vit_D: 0.41, Tissue_stem_cells:BM_MSC:BMP2: 0.41, iPS_cells:CRL2097_foreskin: 0.41 |
839_TGTCCCATCAGCCTTC-1 | Fibroblasts:breast | 0.19 | 1559.36 | Raw ScoresFibroblasts:breast: 0.5, iPS_cells:adipose_stem_cells: 0.5, Smooth_muscle_cells:vascular: 0.49, Smooth_muscle_cells:vascular:IL-17: 0.49, Tissue_stem_cells:BM_MSC: 0.48, iPS_cells:CRL2097_foreskin: 0.48, Chondrocytes:MSC-derived: 0.48, Fibroblasts:foreskin: 0.47, Osteoblasts: 0.47, Smooth_muscle_cells:bronchial: 0.47 |
839_CTGTGGGCACTTGACA-1 | Tissue_stem_cells:adipose-derived_MSC_AM3 | 0.15 | 1346.88 | Raw ScoresMSC: 0.46, Fibroblasts:foreskin: 0.46, iPS_cells:skin_fibroblast: 0.45, Tissue_stem_cells:adipose-derived_MSC_AM3: 0.45, iPS_cells:PDB_fibroblasts: 0.45, iPS_cells:CRL2097_foreskin: 0.45, iPS_cells:fibroblasts: 0.45, Fibroblasts:breast: 0.45, iPS_cells:foreskin_fibrobasts: 0.45, Neurons:Schwann_cell: 0.45 |
839_TTGGGATAGCCTAACT-1 | Smooth_muscle_cells:vascular:IL-17 | 0.12 | 1299.32 | Raw ScoresiPS_cells:adipose_stem_cells: 0.41, Smooth_muscle_cells:vascular:IL-17: 0.41, Fibroblasts:breast: 0.41, Smooth_muscle_cells:vascular: 0.41, Tissue_stem_cells:BM_MSC: 0.41, Chondrocytes:MSC-derived: 0.4, Tissue_stem_cells:BM_MSC:BMP2: 0.4, Fibroblasts:foreskin: 0.4, Osteoblasts: 0.39, Tissue_stem_cells:BM_MSC:TGFb3: 0.39 |
839_ATGTCTTTCGAGAAAT-1 | Fibroblasts:breast | 0.13 | 1250.72 | Raw ScoresiPS_cells:adipose_stem_cells: 0.4, Fibroblasts:breast: 0.4, Smooth_muscle_cells:vascular: 0.39, Smooth_muscle_cells:vascular:IL-17: 0.39, Osteoblasts: 0.39, Tissue_stem_cells:iliac_MSC: 0.39, Chondrocytes:MSC-derived: 0.39, iPS_cells:CRL2097_foreskin: 0.39, Smooth_muscle_cells:bronchial:vit_D: 0.39, Tissue_stem_cells:BM_MSC:BMP2: 0.39 |
839_GTCATTTCACAATCTG-1 | iPS_cells:adipose_stem_cells | 0.17 | 1153.40 | Raw ScoresiPS_cells:adipose_stem_cells: 0.47, Fibroblasts:breast: 0.47, Smooth_muscle_cells:vascular:IL-17: 0.46, Smooth_muscle_cells:vascular: 0.46, Tissue_stem_cells:BM_MSC:TGFb3: 0.45, Chondrocytes:MSC-derived: 0.45, Smooth_muscle_cells:bronchial: 0.45, Tissue_stem_cells:BM_MSC: 0.45, Tissue_stem_cells:BM_MSC:BMP2: 0.45, iPS_cells:CRL2097_foreskin: 0.45 |
839_CTACGGGCATGCGTGC-1 | Tissue_stem_cells:BM_MSC:BMP2 | 0.13 | 1099.06 | Raw ScoresiPS_cells:adipose_stem_cells: 0.42, Tissue_stem_cells:BM_MSC:BMP2: 0.41, Smooth_muscle_cells:bronchial: 0.41, Smooth_muscle_cells:vascular: 0.41, Smooth_muscle_cells:bronchial:vit_D: 0.41, Fibroblasts:breast: 0.41, Smooth_muscle_cells:vascular:IL-17: 0.41, Tissue_stem_cells:iliac_MSC: 0.41, Tissue_stem_cells:BM_MSC:TGFb3: 0.41, Osteoblasts: 0.41 |
839_TTACCATAGGTTCTAC-1 | iPS_cells:adipose_stem_cells | 0.07 | 1074.55 | Raw ScoresFibroblasts:foreskin: 0.47, Neurons:Schwann_cell: 0.46, iPS_cells:fibroblasts: 0.46, MSC: 0.45, Tissue_stem_cells:adipose-derived_MSC_AM3: 0.45, iPS_cells:adipose_stem_cells: 0.45, iPS_cells:skin_fibroblast: 0.45, Endothelial_cells:HUVEC:PR8-infected: 0.45, Tissue_stem_cells:lipoma-derived_MSC: 0.45, Fibroblasts:breast: 0.45 |
839_TGTTGGACAGCATTGT-1 | Fibroblasts:breast | 0.12 | 1004.51 | Raw ScoresFibroblasts:breast: 0.38, iPS_cells:adipose_stem_cells: 0.37, Smooth_muscle_cells:bronchial: 0.37, Osteoblasts: 0.37, Smooth_muscle_cells:vascular: 0.37, Tissue_stem_cells:BM_MSC:TGFb3: 0.37, Smooth_muscle_cells:bronchial:vit_D: 0.37, Smooth_muscle_cells:vascular:IL-17: 0.37, Tissue_stem_cells:BM_MSC:BMP2: 0.37, Tissue_stem_cells:iliac_MSC: 0.36 |
839_TGCTTGCGTAGCGCTC-1 | Fibroblasts:breast | 0.18 | 998.14 | Raw ScoresiPS_cells:adipose_stem_cells: 0.42, Fibroblasts:breast: 0.42, Osteoblasts: 0.41, Smooth_muscle_cells:bronchial: 0.41, Smooth_muscle_cells:bronchial:vit_D: 0.41, Smooth_muscle_cells:vascular: 0.4, Tissue_stem_cells:BM_MSC:TGFb3: 0.4, Smooth_muscle_cells:vascular:IL-17: 0.4, Tissue_stem_cells:BM_MSC:BMP2: 0.4, Chondrocytes:MSC-derived: 0.4 |
849_CGGGACTAGGGCTAAC-1 | iPS_cells:adipose_stem_cells | 0.13 | 930.53 | Raw ScoresiPS_cells:adipose_stem_cells: 0.39, Tissue_stem_cells:iliac_MSC: 0.39, Fibroblasts:breast: 0.39, Smooth_muscle_cells:vascular: 0.39, Smooth_muscle_cells:bronchial:vit_D: 0.39, Osteoblasts: 0.39, Smooth_muscle_cells:vascular:IL-17: 0.38, Smooth_muscle_cells:bronchial: 0.38, Tissue_stem_cells:BM_MSC:BMP2: 0.38, Chondrocytes:MSC-derived: 0.38 |
839_AGGGCTCTCAGTAGGG-1 | iPS_cells:adipose_stem_cells | 0.13 | 902.10 | Raw ScoresiPS_cells:adipose_stem_cells: 0.37, Fibroblasts:breast: 0.37, iPS_cells:CRL2097_foreskin: 0.37, Smooth_muscle_cells:bronchial: 0.37, Smooth_muscle_cells:bronchial:vit_D: 0.37, Tissue_stem_cells:BM_MSC:BMP2: 0.36, Smooth_muscle_cells:vascular: 0.36, iPS_cells:foreskin_fibrobasts: 0.36, Smooth_muscle_cells:vascular:IL-17: 0.36, Fibroblasts:foreskin: 0.36 |
839_TTAGTCTTCTCCGAGG-1 | Fibroblasts:breast | 0.18 | 794.87 | Raw ScoresiPS_cells:adipose_stem_cells: 0.46, Fibroblasts:breast: 0.45, Smooth_muscle_cells:vascular: 0.45, Smooth_muscle_cells:vascular:IL-17: 0.45, Osteoblasts: 0.45, Tissue_stem_cells:BM_MSC: 0.44, iPS_cells:CRL2097_foreskin: 0.44, Chondrocytes:MSC-derived: 0.44, Smooth_muscle_cells:bronchial: 0.44, Smooth_muscle_cells:bronchial:vit_D: 0.44 |
839_CAAGGGATCCAGCAAT-1 | Fibroblasts:foreskin | 0.12 | 638.24 | Raw ScoresSmooth_muscle_cells:vascular: 0.4, Fibroblasts:breast: 0.4, Smooth_muscle_cells:vascular:IL-17: 0.4, iPS_cells:adipose_stem_cells: 0.39, Fibroblasts:foreskin: 0.39, Smooth_muscle_cells:bronchial: 0.39, Tissue_stem_cells:BM_MSC: 0.39, iPS_cells:foreskin_fibrobasts: 0.39, iPS_cells:CRL2097_foreskin: 0.39, Smooth_muscle_cells:bronchial:vit_D: 0.39 |
839_GCAGGCTAGACCCGCT-1 | Smooth_muscle_cells:bronchial | 0.12 | 637.36 | Raw ScoresSmooth_muscle_cells:bronchial: 0.41, Fibroblasts:breast: 0.41, Smooth_muscle_cells:bronchial:vit_D: 0.41, iPS_cells:adipose_stem_cells: 0.41, iPS_cells:CRL2097_foreskin: 0.41, Smooth_muscle_cells:vascular:IL-17: 0.4, Smooth_muscle_cells:vascular: 0.4, iPS_cells:skin_fibroblast: 0.4, iPS_cells:foreskin_fibrobasts: 0.4, Fibroblasts:foreskin: 0.4 |
839_TCAGCCTAGTGCCAGA-1 | Tissue_stem_cells:BM_MSC | 0.11 | 546.68 | Raw ScoresFibroblasts:foreskin: 0.43, iPS_cells:skin_fibroblast: 0.42, MSC: 0.42, iPS_cells:PDB_fibroblasts: 0.42, iPS_cells:foreskin_fibrobasts: 0.42, iPS_cells:fibroblasts: 0.41, iPS_cells:CRL2097_foreskin: 0.41, Tissue_stem_cells:adipose-derived_MSC_AM3: 0.41, Fibroblasts:breast: 0.41, Neurons:Schwann_cell: 0.41 |
839_TACCGGGGTGCTTCAA-1 | Macrophage:monocyte-derived:IFNa | 0.06 | 542.45 | Raw ScoresMacrophage:monocyte-derived:IL-4/Dex/TGFb: 0.39, Macrophage:monocyte-derived:IL-4/Dex/cntrl: 0.39, Monocyte:CXCL4: 0.38, Macrophage:Alveolar: 0.38, Macrophage:monocyte-derived:IFNa: 0.38, Macrophage:monocyte-derived:IL-4/cntrl: 0.38, Macrophage:monocyte-derived:IL-4/TGFb: 0.38, DC:monocyte-derived:AEC-conditioned: 0.38, DC:monocyte-derived:immature: 0.38, Monocyte:MCSF: 0.38 |
839_CGATGCGTCCCTTCCC-1 | Smooth_muscle_cells:bronchial:vit_D | 0.18 | 519.13 | Raw ScoresFibroblasts:breast: 0.43, Smooth_muscle_cells:bronchial: 0.43, Smooth_muscle_cells:vascular: 0.42, Osteoblasts: 0.42, Smooth_muscle_cells:bronchial:vit_D: 0.42, iPS_cells:adipose_stem_cells: 0.42, Smooth_muscle_cells:vascular:IL-17: 0.42, Tissue_stem_cells:BM_MSC:BMP2: 0.42, Tissue_stem_cells:BM_MSC:TGFb3: 0.42, Chondrocytes:MSC-derived: 0.41 |
839_CTACTATTCTGAGAGG-1 | Tissue_stem_cells:BM_MSC:BMP2 | 0.11 | 482.20 | Raw ScoresiPS_cells:adipose_stem_cells: 0.37, iPS_cells:CRL2097_foreskin: 0.36, Fibroblasts:breast: 0.36, Fibroblasts:foreskin: 0.36, Smooth_muscle_cells:vascular:IL-17: 0.36, Smooth_muscle_cells:vascular: 0.36, iPS_cells:foreskin_fibrobasts: 0.35, iPS_cells:skin_fibroblast: 0.35, Neurons:Schwann_cell: 0.35, Tissue_stem_cells:BM_MSC:BMP2: 0.35 |
864_CACTGAATCTCATTAC-1 | Fibroblasts:breast | 0.10 | 423.83 | Raw ScoresFibroblasts:breast: 0.41, iPS_cells:adipose_stem_cells: 0.41, Smooth_muscle_cells:vascular:IL-17: 0.41, Fibroblasts:foreskin: 0.41, Smooth_muscle_cells:vascular: 0.4, MSC: 0.4, iPS_cells:skin_fibroblast: 0.4, iPS_cells:foreskin_fibrobasts: 0.4, iPS_cells:CRL2097_foreskin: 0.4, Chondrocytes:MSC-derived: 0.4 |
831_TTCTTGACAGTAGAGC-1 | Smooth_muscle_cells:vascular | 0.11 | 378.78 | Raw ScoresMSC: 0.39, Fibroblasts:foreskin: 0.39, iPS_cells:skin_fibroblast: 0.39, iPS_cells:foreskin_fibrobasts: 0.38, Fibroblasts:breast: 0.38, iPS_cells:PDB_fibroblasts: 0.38, iPS_cells:fibroblasts: 0.38, Neurons:Schwann_cell: 0.38, Tissue_stem_cells:adipose-derived_MSC_AM3: 0.38, iPS_cells:CRL2097_foreskin: 0.38 |
831_AGCTCAACACTGAGGA-1 | iPS_cells:adipose_stem_cells | 0.16 | 365.52 | Raw ScoresiPS_cells:adipose_stem_cells: 0.41, Smooth_muscle_cells:vascular: 0.41, Smooth_muscle_cells:vascular:IL-17: 0.41, Fibroblasts:breast: 0.4, Tissue_stem_cells:BM_MSC: 0.4, iPS_cells:CRL2097_foreskin: 0.4, Tissue_stem_cells:BM_MSC:BMP2: 0.4, Osteoblasts: 0.4, Tissue_stem_cells:BM_MSC:TGFb3: 0.4, Chondrocytes:MSC-derived: 0.4 |
839_CGTGCTTCACAAAGTA-1 | MSC | 0.11 | 350.40 | Raw ScoresFibroblasts:foreskin: 0.42, MSC: 0.42, iPS_cells:skin_fibroblast: 0.41, iPS_cells:foreskin_fibrobasts: 0.41, Tissue_stem_cells:adipose-derived_MSC_AM3: 0.4, Fibroblasts:breast: 0.4, iPS_cells:PDB_fibroblasts: 0.4, iPS_cells:CRL2097_foreskin: 0.4, Tissue_stem_cells:lipoma-derived_MSC: 0.4, Smooth_muscle_cells:umbilical_vein: 0.4 |
839_TACTTGTAGGGCGAAG-1 | Neurons:Schwann_cell | 0.14 | 346.23 | Raw ScoresNeurons:Schwann_cell: 0.43, iPS_cells:adipose_stem_cells: 0.41, Smooth_muscle_cells:vascular:IL-17: 0.41, Smooth_muscle_cells:vascular: 0.41, Fibroblasts:breast: 0.41, iPS_cells:CRL2097_foreskin: 0.41, MSC: 0.4, Fibroblasts:foreskin: 0.4, Tissue_stem_cells:BM_MSC: 0.4, iPS_cells:PDB_fibroblasts: 0.4 |
839_GTTGCGGAGTGGATAT-1 | Smooth_muscle_cells:bronchial:vit_D | 0.17 | 318.62 | Raw ScoresFibroblasts:breast: 0.43, Smooth_muscle_cells:bronchial:vit_D: 0.42, iPS_cells:adipose_stem_cells: 0.42, Smooth_muscle_cells:bronchial: 0.42, Osteoblasts: 0.42, Chondrocytes:MSC-derived: 0.41, Smooth_muscle_cells:vascular:IL-17: 0.41, Smooth_muscle_cells:vascular: 0.41, Tissue_stem_cells:BM_MSC:BMP2: 0.41, Tissue_stem_cells:BM_MSC:TGFb3: 0.41 |
864_ATTCGTTAGCGCCCAT-1 | Tissue_stem_cells:BM_MSC:TGFb3 | 0.10 | 298.97 | Raw ScoresiPS_cells:adipose_stem_cells: 0.36, Tissue_stem_cells:BM_MSC:BMP2: 0.35, Tissue_stem_cells:BM_MSC:TGFb3: 0.35, Fibroblasts:breast: 0.35, Smooth_muscle_cells:bronchial:vit_D: 0.35, Chondrocytes:MSC-derived: 0.35, Tissue_stem_cells:iliac_MSC: 0.35, Smooth_muscle_cells:bronchial: 0.35, MSC: 0.35, iPS_cells:CRL2097_foreskin: 0.34 |
831_ATTCCCGTCGTTGTGA-1 | iPS_cells:adipose_stem_cells | 0.16 | 286.31 | Raw ScoresSmooth_muscle_cells:vascular: 0.38, iPS_cells:adipose_stem_cells: 0.38, Osteoblasts: 0.38, Smooth_muscle_cells:bronchial: 0.37, Fibroblasts:breast: 0.37, Smooth_muscle_cells:bronchial:vit_D: 0.37, Smooth_muscle_cells:vascular:IL-17: 0.37, Tissue_stem_cells:iliac_MSC: 0.37, Tissue_stem_cells:BM_MSC:BMP2: 0.37, iPS_cells:CRL2097_foreskin: 0.37 |
856_GTCGCGATCCAGTGTA-1 | Fibroblasts:breast | 0.12 | 281.26 | Raw ScoresFibroblasts:breast: 0.39, iPS_cells:adipose_stem_cells: 0.39, Smooth_muscle_cells:vascular:IL-17: 0.38, Smooth_muscle_cells:vascular: 0.38, Fibroblasts:foreskin: 0.37, Tissue_stem_cells:BM_MSC:TGFb3: 0.37, Tissue_stem_cells:BM_MSC:BMP2: 0.37, Chondrocytes:MSC-derived: 0.37, iPS_cells:CRL2097_foreskin: 0.37, iPS_cells:foreskin_fibrobasts: 0.37 |
837_CGTCAAAAGAGAATCT-1 | iPS_cells:adipose_stem_cells | 0.14 | 259.07 | Raw ScoresSmooth_muscle_cells:vascular:IL-17: 0.44, iPS_cells:adipose_stem_cells: 0.44, Smooth_muscle_cells:vascular: 0.44, Fibroblasts:breast: 0.43, Tissue_stem_cells:BM_MSC:BMP2: 0.43, iPS_cells:CRL2097_foreskin: 0.43, MSC: 0.43, Tissue_stem_cells:BM_MSC:TGFb3: 0.43, Tissue_stem_cells:BM_MSC: 0.43, iPS_cells:foreskin_fibrobasts: 0.43 |
855_ACATGCATCTTACCGC-1 | Smooth_muscle_cells:vascular | 0.09 | 218.77 | Raw ScoresSmooth_muscle_cells:vascular: 0.32, Smooth_muscle_cells:vascular:IL-17: 0.32, Fibroblasts:breast: 0.32, iPS_cells:adipose_stem_cells: 0.32, Tissue_stem_cells:BM_MSC:BMP2: 0.31, iPS_cells:CRL2097_foreskin: 0.31, Smooth_muscle_cells:bronchial:vit_D: 0.31, Fibroblasts:foreskin: 0.31, Smooth_muscle_cells:bronchial: 0.31, MSC: 0.3 |
839_TTGTGGAAGGGCTTCC-1 | Epithelial_cells:bladder | 0.10 | 215.15 | Raw ScoresEpithelial_cells:bronchial: 0.45, Epithelial_cells:bladder: 0.44, Hepatocytes: 0.43, iPS_cells:CRL2097_foreskin-derived:d20_hepatic_diff: 0.41, Endothelial_cells:lymphatic: 0.4, Endothelial_cells:lymphatic:TNFa_48h: 0.4, iPS_cells:iPS:minicircle-derived: 0.4, iPS_cells:CRL2097_foreskin-derived:undiff.: 0.4, Neurons:Schwann_cell: 0.4, Endothelial_cells:HUVEC:FPV-infected: 0.39 |
839_GAAGCCCCACTCTAGA-1 | Chondrocytes:MSC-derived | 0.16 | 212.20 | Raw ScoresFibroblasts:breast: 0.4, Smooth_muscle_cells:bronchial:vit_D: 0.4, Smooth_muscle_cells:bronchial: 0.4, Osteoblasts: 0.39, iPS_cells:adipose_stem_cells: 0.39, Tissue_stem_cells:BM_MSC:TGFb3: 0.39, Chondrocytes:MSC-derived: 0.38, iPS_cells:CRL2097_foreskin: 0.38, Smooth_muscle_cells:vascular: 0.38, Smooth_muscle_cells:vascular:IL-17: 0.38 |
831_AGCGTATGTCATATGC-1 | Smooth_muscle_cells:vascular | 0.15 | 196.14 | Raw ScoresiPS_cells:adipose_stem_cells: 0.4, Fibroblasts:breast: 0.39, Smooth_muscle_cells:vascular: 0.39, Tissue_stem_cells:BM_MSC:TGFb3: 0.39, Osteoblasts: 0.39, Chondrocytes:MSC-derived: 0.39, Smooth_muscle_cells:vascular:IL-17: 0.38, Tissue_stem_cells:BM_MSC:BMP2: 0.38, Tissue_stem_cells:iliac_MSC: 0.38, Tissue_stem_cells:BM_MSC: 0.38 |
839_TTCACCGAGATCCAAA-1 | Smooth_muscle_cells:vascular | 0.14 | 181.75 | Raw ScoresSmooth_muscle_cells:vascular: 0.44, Smooth_muscle_cells:vascular:IL-17: 0.44, Fibroblasts:breast: 0.44, iPS_cells:CRL2097_foreskin: 0.43, iPS_cells:adipose_stem_cells: 0.43, Fibroblasts:foreskin: 0.42, iPS_cells:foreskin_fibrobasts: 0.42, Chondrocytes:MSC-derived: 0.42, iPS_cells:skin_fibroblast: 0.41, Tissue_stem_cells:BM_MSC: 0.41 |
887_GTTACGACATAACGGG-1 | iPS_cells:adipose_stem_cells | 0.10 | 173.03 | Raw ScoresFibroblasts:breast: 0.32, iPS_cells:adipose_stem_cells: 0.31, Smooth_muscle_cells:vascular: 0.31, Smooth_muscle_cells:vascular:IL-17: 0.31, Fibroblasts:foreskin: 0.3, Tissue_stem_cells:BM_MSC: 0.3, iPS_cells:CRL2097_foreskin: 0.3, Chondrocytes:MSC-derived: 0.3, Neurons:Schwann_cell: 0.3, Osteoblasts: 0.29 |
849_TGCAGTATCAGGTAAA-1 | Fibroblasts:breast | 0.14 | 168.37 | Raw ScoresFibroblasts:breast: 0.32, iPS_cells:adipose_stem_cells: 0.32, Smooth_muscle_cells:bronchial:vit_D: 0.32, Smooth_muscle_cells:bronchial: 0.32, Osteoblasts: 0.32, Tissue_stem_cells:BM_MSC:BMP2: 0.31, Tissue_stem_cells:BM_MSC:TGFb3: 0.31, Smooth_muscle_cells:vascular: 0.31, Chondrocytes:MSC-derived: 0.31, Tissue_stem_cells:iliac_MSC: 0.31 |
839_TTGCTGCTCTGCTTTA-1 | Macrophage:monocyte-derived:M-CSF | 0.05 | 155.23 | Raw ScoresDC:monocyte-derived:AEC-conditioned: 0.44, GMP: 0.44, Pro-B_cell_CD34+: 0.43, Monocyte:MCSF: 0.43, Pro-Myelocyte: 0.42, Macrophage:monocyte-derived: 0.42, CMP: 0.42, Pre-B_cell_CD34-: 0.42, Macrophage:monocyte-derived:M-CSF: 0.42, Macrophage:monocyte-derived:IL-4/Dex/cntrl: 0.42 |
837_GGTAGAGCAACACAAA-1 | Neurons:adrenal_medulla_cell_line | 0.20 | 150.70 | Raw ScoresNeurons:adrenal_medulla_cell_line: 0.5, Neuroepithelial_cell:ESC-derived: 0.5, Astrocyte:Embryonic_stem_cell-derived: 0.47, Neurons:ES_cell-derived_neural_precursor: 0.46, iPS_cells:PDB_1lox-21Puro-20: 0.46, iPS_cells:PDB_2lox-22: 0.46, Embryonic_stem_cells: 0.46, MSC: 0.46, iPS_cells:PDB_1lox-21Puro-26: 0.46, iPS_cells:PDB_1lox-17Puro-10: 0.46 |
839_ATGACCAAGTAGGTTA-1 | Neurons:Schwann_cell | 0.15 | 147.54 | Raw ScoresNeurons:Schwann_cell: 0.39, Tissue_stem_cells:BM_MSC:TGFb3: 0.34, Tissue_stem_cells:iliac_MSC: 0.34, iPS_cells:adipose_stem_cells: 0.34, Tissue_stem_cells:BM_MSC:BMP2: 0.34, Smooth_muscle_cells:vascular: 0.34, Fibroblasts:breast: 0.34, iPS_cells:CRL2097_foreskin: 0.34, Smooth_muscle_cells:vascular:IL-17: 0.34, Osteoblasts: 0.34 |
837_ATTCTACAGCTTTGTG-1 | Endothelial_cells:lymphatic:TNFa_48h | 0.16 | 132.65 | Raw ScoresEndothelial_cells:blood_vessel: 0.48, Endothelial_cells:lymphatic:KSHV: 0.47, Endothelial_cells:lymphatic:TNFa_48h: 0.47, Endothelial_cells:lymphatic: 0.47, Endothelial_cells:HUVEC:PR8-infected: 0.47, Endothelial_cells:HUVEC:FPV-infected: 0.46, Endothelial_cells:HUVEC:Serum_Amyloid_A: 0.46, Endothelial_cells:HUVEC:IL-1b: 0.46, Endothelial_cells:HUVEC:H5N1-infected: 0.46, Endothelial_cells:HUVEC:B._anthracis_LT: 0.46 |
839_CGCGTGAAGATACAGT-1 | Macrophage:monocyte-derived:IL-4/Dex/cntrl | 0.12 | 130.12 | Raw ScoresMacrophage:monocyte-derived:M-CSF: 0.42, Macrophage:monocyte-derived:IL-4/Dex/cntrl: 0.41, Macrophage:monocyte-derived:IL-4/Dex/TGFb: 0.41, DC:monocyte-derived:immature: 0.41, Monocyte:leukotriene_D4: 0.41, DC:monocyte-derived: 0.41, DC:monocyte-derived:anti-DC-SIGN_2h: 0.41, DC:monocyte-derived:AEC-conditioned: 0.41, Macrophage:monocyte-derived:M-CSF/IFNg: 0.4, Macrophage:monocyte-derived:IL-4/cntrl: 0.4 |
849_ATGCCTCTCCAATGCA-1 | Chondrocytes:MSC-derived | 0.16 | 127.33 | Raw ScoresMSC: 0.42, iPS_cells:fibroblasts: 0.42, iPS_cells:skin_fibroblast: 0.42, iPS_cells:PDB_fibroblasts: 0.42, Fibroblasts:breast: 0.41, Fibroblasts:foreskin: 0.41, iPS_cells:CRL2097_foreskin: 0.41, Tissue_stem_cells:adipose-derived_MSC_AM3: 0.41, Neurons:Schwann_cell: 0.41, Smooth_muscle_cells:vascular: 0.4 |
849_TACCTCGCAGGGTCTC-1 | Fibroblasts:breast | 0.14 | 123.27 | Raw ScoresFibroblasts:breast: 0.34, iPS_cells:adipose_stem_cells: 0.34, Smooth_muscle_cells:vascular: 0.34, Osteoblasts: 0.33, Smooth_muscle_cells:vascular:IL-17: 0.33, Tissue_stem_cells:iliac_MSC: 0.33, Chondrocytes:MSC-derived: 0.33, Smooth_muscle_cells:bronchial: 0.33, iPS_cells:CRL2097_foreskin: 0.33, Smooth_muscle_cells:bronchial:vit_D: 0.33 |
847_TCTTCCTAGGGAGAAT-1 | Tissue_stem_cells:BM_MSC:TGFb3 | 0.16 | 122.15 | Raw ScoresSmooth_muscle_cells:bronchial: 0.35, Smooth_muscle_cells:bronchial:vit_D: 0.35, Tissue_stem_cells:BM_MSC:TGFb3: 0.34, Osteoblasts: 0.34, iPS_cells:CRL2097_foreskin: 0.34, Fibroblasts:breast: 0.34, Chondrocytes:MSC-derived: 0.34, iPS_cells:adipose_stem_cells: 0.34, Tissue_stem_cells:BM_MSC:BMP2: 0.34, Tissue_stem_cells:iliac_MSC: 0.33 |
Below shows the significant enrichments of this GEP for literature curated gene lists
This data was procured from existing single cell RNA-seq maps of neuroblastoma or related relevant data.
High ranks indicate this gene is a driver of this GEP.
These curated gene list are ranked by the P-value (on this GEP) of their constituent genes.
The Mean Count column shows the mean read count in cells scoring highly (H > 50) on this gene expression program.
Genes | Weight | Rank | GTEx | DepMap | Decartes | Mean.Counts | Mean.TPM |
---|---|---|---|---|---|---|---|
COL3A1 | 0.0052317 | 14 | GTEx | DepMap | Descartes | 85.29 | 693.20 |
PDGFRA | 0.0050682 | 19 | GTEx | DepMap | Descartes | 1.59 | 14.90 |
DCN | 0.0048173 | 24 | GTEx | DepMap | Descartes | 24.80 | 222.74 |
COL1A2 | 0.0043435 | 36 | GTEx | DepMap | Descartes | 45.83 | 382.90 |
SPARC | 0.0037638 | 45 | GTEx | DepMap | Descartes | 80.16 | 847.98 |
COL1A1 | 0.0036033 | 52 | GTEx | DepMap | Descartes | 45.25 | 834.47 |
COL6A2 | 0.0033165 | 57 | GTEx | DepMap | Descartes | 4.07 | 55.52 |
BGN | 0.0021132 | 134 | GTEx | DepMap | Descartes | 14.54 | 396.66 |
MGP | 0.0014989 | 193 | GTEx | DepMap | Descartes | 26.35 | 2695.68 |
CALD1 | 0.0007759 | 386 | GTEx | DepMap | Descartes | 8.54 | 16.12 |
LUM | 0.0007059 | 432 | GTEx | DepMap | Descartes | 2.74 | 140.62 |
PRRX1 | 0.0001003 | 2309 | GTEx | DepMap | Descartes | 0.76 | 4.34 |
LEPR | -0.0000923 | 17088 | GTEx | DepMap | Descartes | 0.08 | 0.27 |
Inflammatory CAF
These marker genes were curated across cancer subtypes in multiple organ systems as reviewed in Lavie et. al. (PMID 35883004) and contain inflammatory specific CAF genes:
Wilcoxon ranksum test P-value for gene set overrepresentation: 6.29e-06
Mean rank of genes in gene set: 6250
Rank on gene expression program of genes in gene set:
Genes | Weight | Rank | GTEx | DepMap | Decartes | Mean.Counts | Mean.TPM |
---|---|---|---|---|---|---|---|
CXCL13 | 0.0070405 | 3 | GTEx | DepMap | Descartes | 6.74 | 475.25 |
IL1R1 | 0.0053985 | 11 | GTEx | DepMap | Descartes | 1.29 | 4.34 |
PDGFRA | 0.0050682 | 19 | GTEx | DepMap | Descartes | 1.59 | 14.90 |
C3 | 0.0043077 | 37 | GTEx | DepMap | Descartes | 24.12 | 325.01 |
SERPING1 | 0.0041960 | 38 | GTEx | DepMap | Descartes | 7.72 | 297.55 |
CFB | 0.0040393 | 41 | GTEx | DepMap | Descartes | 0.58 | 28.89 |
IL33 | 0.0033956 | 54 | GTEx | DepMap | Descartes | 1.64 | 13.67 |
C1S1 | 0.0032846 | 59 | GTEx | DepMap | Descartes | 3.38 | 98.74 |
CXCL12 | 0.0025828 | 95 | GTEx | DepMap | Descartes | 1.43 | 44.62 |
CCL2 | 0.0019040 | 148 | GTEx | DepMap | Descartes | 8.45 | 1160.35 |
CCL7 | 0.0017790 | 159 | GTEx | DepMap | Descartes | 3.06 | 322.14 |
CXCL1 | 0.0017635 | 160 | GTEx | DepMap | Descartes | 4.28 | 705.12 |
PDPN | 0.0012203 | 248 | GTEx | DepMap | Descartes | 1.68 | 16.54 |
IGF1 | 0.0011068 | 284 | GTEx | DepMap | Descartes | 3.29 | 12.25 |
IL6 | 0.0010960 | 286 | GTEx | DepMap | Descartes | 0.21 | 6.33 |
CXCL10 | 0.0007919 | 382 | GTEx | DepMap | Descartes | 2.62 | 259.63 |
LIF | 0.0007544 | 400 | GTEx | DepMap | Descartes | 0.21 | 3.42 |
C4B | 0.0004628 | 688 | GTEx | DepMap | Descartes | 3.21 | 93.40 |
SOD2 | 0.0004124 | 782 | GTEx | DepMap | Descartes | 4.36 | 31.20 |
SCARA3 | 0.0003852 | 844 | GTEx | DepMap | Descartes | 0.60 | 5.76 |
C1S2 | 0.0003452 | 925 | GTEx | DepMap | Descartes | 0.01 | 0.63 |
RGMA | 0.0003383 | 939 | GTEx | DepMap | Descartes | 0.29 | 2.04 |
GPX3 | 0.0002270 | 1316 | GTEx | DepMap | Descartes | 2.59 | 151.35 |
IGFBP6 | 0.0001197 | 2060 | GTEx | DepMap | Descartes | 5.74 | 342.17 |
HGF | 0.0000260 | 3999 | GTEx | DepMap | Descartes | 0.08 | 0.40 |
CCL8 | 0.0000081 | 4868 | GTEx | DepMap | Descartes | 3.95 | 451.21 |
SAA1 | -0.0000156 | 9370 | GTEx | DepMap | Descartes | 0.01 | 0.68 |
C7 | -0.0000265 | 10886 | GTEx | DepMap | Descartes | 0.13 | 0.98 |
CXCL2 | -0.0000325 | 11630 | GTEx | DepMap | Descartes | 2.06 | 388.62 |
CXCL14 | -0.0000663 | 15114 | GTEx | DepMap | Descartes | 0.33 | 13.91 |
C1QC | -0.0000879 | 16789 | GTEx | DepMap | Descartes | 10.68 | 780.20 |
C1QA | -0.0001259 | 18848 | GTEx | DepMap | Descartes | 11.02 | 925.83 |
IL10 | -0.0001289 | 18956 | GTEx | DepMap | Descartes | 0.00 | 0.00 |
PDGFRB | -0.0001892 | 20237 | GTEx | DepMap | Descartes | 1.13 | 12.29 |
CXCL9 | -0.0001916 | 20263 | GTEx | DepMap | Descartes | 0.63 | 27.98 |
PDGFD | -0.0001950 | 20298 | GTEx | DepMap | Descartes | 0.08 | 0.08 |
CFD | -0.0003304 | 20807 | GTEx | DepMap | Descartes | 0.00 | 0.00 |
SCARA5 | -0.0003628 | 20838 | GTEx | DepMap | Descartes | 0.20 | 0.95 |
LY6C1 | -0.0004183 | 20869 | GTEx | DepMap | Descartes | 1.90 | 143.99 |
Mesenchymal cells (Yuan)
Obtained from Fig. 1 of Yuan et al. https://www.biorxiv.org/content/10.1101/2020.05.15.097469v1:
Wilcoxon ranksum test P-value for gene set overrepresentation: 3.11e-04
Mean rank of genes in gene set: 129.75
Rank on gene expression program of genes in gene set:
Genes | Weight | Rank | GTEx | DepMap | Decartes | Mean.Counts | Mean.TPM |
---|---|---|---|---|---|---|---|
COL3A1 | 0.0052317 | 14 | GTEx | DepMap | Descartes | 85.29 | 693.20 |
COL1A2 | 0.0043435 | 36 | GTEx | DepMap | Descartes | 45.83 | 382.90 |
COL6A1 | 0.0036926 | 49 | GTEx | DepMap | Descartes | 7.63 | 151.44 |
VIM | 0.0007277 | 420 | GTEx | DepMap | Descartes | 33.19 | 1281.18 |
Below shows ranks on this GEP for literature curated gene lists for large gene sets
These include those reported as mesenchymal/adrenergic by Van Groningen et al.
High ranks indicate this gene is a driver of this GEP (note these results are not ordered).
The Mean Count column shows the mean read count in cells scoring highly (H > 50) on this gene expression program.
VanGroningen Adrenergic Genes
Adrenergic marker genes from Supplementary Table 2 of Van Groningen et al. Nature Genetics 2017. These genes were identified by differential expression analysis of mesenchymal-like and adrenergic-like neuroblastoma cell lines.
Wilcoxon ranksum test P-value for gene set overrepresentation: 1.00e+00
Mean rank of genes in gene set: 16108.78
Median rank of genes in gene set: 17946.5
Rank on gene expression program of top 30 genes in gene set:
Genes | Weight | Rank | GTEx | DepMap | Descartes | Mean.Counts | Mean.TPM |
---|---|---|---|---|---|---|---|
RBP1 | 0.0024680 | 107 | GTEx | DepMap | Descartes | 7.69 | 100.26 |
SLIT3 | 0.0016309 | 174 | GTEx | DepMap | Descartes | 2.11 | 1.21 |
GRB10 | 0.0008329 | 360 | GTEx | DepMap | Descartes | 1.20 | 3.23 |
CXADR | 0.0006663 | 468 | GTEx | DepMap | Descartes | 1.65 | 6.50 |
ENO2 | 0.0004788 | 665 | GTEx | DepMap | Descartes | 0.06 | 1.77 |
CDKN2C | 0.0003189 | 986 | GTEx | DepMap | Descartes | 0.65 | 33.87 |
TMEM108 | 0.0001963 | 1459 | GTEx | DepMap | Descartes | 0.38 | 0.31 |
GGCT | 0.0001804 | 1565 | GTEx | DepMap | Descartes | 0.49 | 11.79 |
DAPK1 | 0.0001717 | 1616 | GTEx | DepMap | Descartes | 0.42 | 0.79 |
MRPL48 | 0.0001690 | 1637 | GTEx | DepMap | Descartes | 1.60 | 5.99 |
RNF150 | 0.0001633 | 1676 | GTEx | DepMap | Descartes | 0.25 | 0.30 |
ACVR1B | 0.0001490 | 1773 | GTEx | DepMap | Descartes | 0.27 | 1.50 |
RBBP8 | 0.0001469 | 1796 | GTEx | DepMap | Descartes | 0.84 | 1.88 |
DUSP4 | 0.0001155 | 2107 | GTEx | DepMap | Descartes | 0.01 | 0.15 |
ABCA3 | 0.0001106 | 2176 | GTEx | DepMap | Descartes | 0.35 | 1.85 |
ENDOG | 0.0000983 | 2334 | GTEx | DepMap | Descartes | 0.60 | 53.43 |
ADCYAP1R1 | 0.0000634 | 2907 | GTEx | DepMap | Descartes | 0.25 | 1.47 |
CDKN3 | 0.0000592 | 2986 | GTEx | DepMap | Descartes | 0.25 | 5.80 |
MSH6 | 0.0000558 | 3055 | GTEx | DepMap | Descartes | 0.32 | 4.56 |
SCAMP5 | 0.0000524 | 3145 | GTEx | DepMap | Descartes | 0.39 | 4.25 |
CDC42EP3 | 0.0000509 | 3182 | GTEx | DepMap | Descartes | 0.64 | 7.40 |
NFIL3 | 0.0000476 | 3260 | GTEx | DepMap | Descartes | 0.36 | 6.52 |
CELF2 | 0.0000446 | 3339 | GTEx | DepMap | Descartes | 1.44 | 0.45 |
CCDC167 | 0.0000404 | 3455 | GTEx | DepMap | Descartes | 0.33 | 3.17 |
MAGI3 | 0.0000402 | 3458 | GTEx | DepMap | Descartes | 0.28 | 0.30 |
PHPT1 | 0.0000340 | 3690 | GTEx | DepMap | Descartes | 0.73 | 95.09 |
GGH | 0.0000338 | 3697 | GTEx | DepMap | Descartes | 1.40 | 15.45 |
ST3GAL6 | 0.0000264 | 3984 | GTEx | DepMap | Descartes | 0.30 | 1.41 |
IGSF3 | 0.0000227 | 4133 | GTEx | DepMap | Descartes | 0.68 | 2.25 |
GLRX | 0.0000170 | 4391 | GTEx | DepMap | Descartes | 1.15 | 22.12 |
VanGroningen Mesenchymal Genes
Mesenchymal marker genes from Supplementary Table 2 of Van Groningen et al. Nature Genetics 2017. These genes were identified by differential expression analysis of mesenchymal-like and adrenergic-like neuroblastoma cell lines.
Wilcoxon ranksum test P-value for gene set overrepresentation: 3.98e-49
Mean rank of genes in gene set: 6389.13
Median rank of genes in gene set: 2192.5
Rank on gene expression program of top 30 genes in gene set:
Genes | Weight | Rank | GTEx | DepMap | Descartes | Mean.Counts | Mean.TPM |
---|---|---|---|---|---|---|---|
CCDC80 | 0.0074298 | 2 | GTEx | DepMap | Descartes | 5.88 | 48.52 |
TIMP1 | 0.0060420 | 7 | GTEx | DepMap | Descartes | 22.20 | 993.60 |
COL3A1 | 0.0052317 | 14 | GTEx | DepMap | Descartes | 85.29 | 693.20 |
SRPX | 0.0050269 | 20 | GTEx | DepMap | Descartes | 0.82 | 3.93 |
FLRT2 | 0.0044508 | 33 | GTEx | DepMap | Descartes | 1.72 | 4.66 |
AEBP1 | 0.0043906 | 35 | GTEx | DepMap | Descartes | 4.90 | 179.83 |
LGALS1 | 0.0041735 | 40 | GTEx | DepMap | Descartes | 53.62 | 3385.16 |
SERPINH1 | 0.0039727 | 42 | GTEx | DepMap | Descartes | 12.54 | 467.76 |
SPARC | 0.0037638 | 45 | GTEx | DepMap | Descartes | 80.16 | 847.98 |
COL6A1 | 0.0036926 | 49 | GTEx | DepMap | Descartes | 7.63 | 151.44 |
COL1A1 | 0.0036033 | 52 | GTEx | DepMap | Descartes | 45.25 | 834.47 |
COL6A2 | 0.0033165 | 57 | GTEx | DepMap | Descartes | 4.07 | 55.52 |
STEAP1 | 0.0031143 | 67 | GTEx | DepMap | Descartes | 0.15 | 2.23 |
GPX8 | 0.0030720 | 71 | GTEx | DepMap | Descartes | 2.23 | 178.66 |
KDELR3 | 0.0028135 | 82 | GTEx | DepMap | Descartes | 0.78 | 19.05 |
IFITM3 | 0.0027951 | 84 | GTEx | DepMap | Descartes | 48.14 | 11146.99 |
GAS1 | 0.0025841 | 94 | GTEx | DepMap | Descartes | 2.73 | 245.27 |
CXCL12 | 0.0025828 | 95 | GTEx | DepMap | Descartes | 1.43 | 44.62 |
MGST1 | 0.0025532 | 98 | GTEx | DepMap | Descartes | 4.54 | 73.79 |
FN1 | 0.0025330 | 100 | GTEx | DepMap | Descartes | 26.29 | 132.69 |
EFEMP2 | 0.0023851 | 114 | GTEx | DepMap | Descartes | 1.40 | 51.21 |
FZD1 | 0.0023768 | 116 | GTEx | DepMap | Descartes | 0.64 | 46.14 |
CRTAP | 0.0023646 | 117 | GTEx | DepMap | Descartes | 1.32 | 22.49 |
SDC4 | 0.0023116 | 119 | GTEx | DepMap | Descartes | 6.31 | 86.75 |
COL5A1 | 0.0023115 | 120 | GTEx | DepMap | Descartes | 4.61 | 9.42 |
BGN | 0.0021132 | 134 | GTEx | DepMap | Descartes | 14.54 | 396.66 |
PTRF | 0.0020803 | 137 | GTEx | DepMap | Descartes | 2.75 | NA |
RHOJ | 0.0019835 | 142 | GTEx | DepMap | Descartes | 1.96 | 6.86 |
PLOD2 | 0.0018633 | 153 | GTEx | DepMap | Descartes | 2.26 | 8.99 |
COL5A2 | 0.0018389 | 154 | GTEx | DepMap | Descartes | 7.89 | 20.41 |
Descartes adrenocortical markers
Top 50 marker genes of adrenocortical cells in the Decartes fetal adrenal single cell map (https://atlas.brotmanbaty.org/bbi/human-gene-expression-during-development/cell/adrenocortical/in/adrenal)
Wilcoxon ranksum test P-value for gene set overrepresentation: 9.70e-01
Mean rank of genes in gene set: 12228.5
Median rank of genes in gene set: 13784.5
Rank on gene expression program of top 30 genes in gene set:
Genes | Weight | Rank | GTEx | DepMap | Descartes | Mean.Counts | Mean.TPM |
---|---|---|---|---|---|---|---|
CLU | 0.0023909 | 113 | GTEx | DepMap | Descartes | 9.54 | 178.54 |
STAR | 0.0005885 | 541 | GTEx | DepMap | Descartes | 0.11 | 3.48 |
SH3PXD2B | 0.0004574 | 698 | GTEx | DepMap | Descartes | 0.70 | 2.49 |
POR | 0.0002325 | 1291 | GTEx | DepMap | Descartes | 1.43 | 5.36 |
FDXR | 0.0001801 | 1570 | GTEx | DepMap | Descartes | 0.24 | 6.27 |
PAPSS2 | 0.0000543 | 3096 | GTEx | DepMap | Descartes | 0.32 | 0.83 |
BAIAP2L1 | 0.0000375 | 3567 | GTEx | DepMap | Descartes | 0.78 | 1.82 |
CYP17A1 | 0.0000301 | 3822 | GTEx | DepMap | Descartes | 0.01 | 0.19 |
FDX1 | 0.0000251 | 4030 | GTEx | DepMap | Descartes | 1.19 | 14.93 |
SLC16A9 | 0.0000117 | 4644 | GTEx | DepMap | Descartes | 0.29 | 1.90 |
SULT2A1 | -0.0000007 | 5850 | GTEx | DepMap | Descartes | 0.00 | 0.00 |
CYB5B | -0.0000038 | 6798 | GTEx | DepMap | Descartes | 0.99 | 5.50 |
CYP11B1 | -0.0000055 | 7349 | GTEx | DepMap | Descartes | 0.00 | 0.00 |
PDE10A | -0.0000113 | 8630 | GTEx | DepMap | Descartes | 0.14 | 0.07 |
FRMD5 | -0.0000194 | 9957 | GTEx | DepMap | Descartes | 0.04 | 0.05 |
SGCZ | -0.0000356 | 11969 | GTEx | DepMap | Descartes | 0.01 | 0.00 |
INHA | -0.0000382 | 12282 | GTEx | DepMap | Descartes | 0.03 | 2.78 |
SLC1A2 | -0.0000422 | 12703 | GTEx | DepMap | Descartes | 0.01 | 0.02 |
TM7SF2 | -0.0000463 | 13164 | GTEx | DepMap | Descartes | 0.05 | 1.38 |
GRAMD1B | -0.0000496 | 13494 | GTEx | DepMap | Descartes | 0.39 | 0.42 |
NPC1 | -0.0000515 | 13665 | GTEx | DepMap | Descartes | 0.80 | 5.04 |
DNER | -0.0000535 | 13904 | GTEx | DepMap | Descartes | 0.01 | 0.01 |
DHCR7 | -0.0000570 | 14255 | GTEx | DepMap | Descartes | 0.32 | 3.04 |
SCAP | -0.0000651 | 15014 | GTEx | DepMap | Descartes | 0.59 | 2.63 |
CYP11A1 | -0.0000693 | 15394 | GTEx | DepMap | Descartes | 0.01 | 0.13 |
LDLR | -0.0000758 | 15890 | GTEx | DepMap | Descartes | 0.38 | 2.81 |
ERN1 | -0.0000782 | 16105 | GTEx | DepMap | Descartes | 0.17 | 0.42 |
FREM2 | -0.0000785 | 16120 | GTEx | DepMap | Descartes | 0.03 | 0.07 |
SCARB1 | -0.0000827 | 16433 | GTEx | DepMap | Descartes | 0.31 | 1.12 |
SH3BP5 | -0.0000829 | 16447 | GTEx | DepMap | Descartes | 0.85 | 4.85 |
Descartes chromaffin markers
Top 50 marker genes of chromaffin cells in the Decartes fetal adrenal single cell map (https://atlas.brotmanbaty.org/bbi/human-gene-expression-during-development/cell/chromaffin/in/adrenal)
Wilcoxon ranksum test P-value for gene set overrepresentation: 1.00e+00
Mean rank of genes in gene set: 14916.57
Median rank of genes in gene set: 15900.5
Rank on gene expression program of top 30 genes in gene set:
Genes | Weight | Rank | GTEx | DepMap | Descartes | Mean.Counts | Mean.TPM |
---|---|---|---|---|---|---|---|
IL7 | 0.0007469 | 407 | GTEx | DepMap | Descartes | 0.08 | 0.54 |
TMEFF2 | 0.0005038 | 637 | GTEx | DepMap | Descartes | 0.46 | 0.54 |
PLXNA4 | 0.0001411 | 1846 | GTEx | DepMap | Descartes | 0.48 | 0.30 |
RGMB | 0.0000370 | 3589 | GTEx | DepMap | Descartes | 0.32 | 3.56 |
EPHA6 | -0.0000059 | 7462 | GTEx | DepMap | Descartes | 0.00 | 0.00 |
ALK | -0.0000109 | 8560 | GTEx | DepMap | Descartes | 0.01 | 0.00 |
MAB21L1 | -0.0000130 | 8942 | GTEx | DepMap | Descartes | 0.02 | 1.65 |
GAL | -0.0000157 | 9400 | GTEx | DepMap | Descartes | 0.02 | 0.83 |
NTRK1 | -0.0000161 | 9456 | GTEx | DepMap | Descartes | 0.05 | 1.66 |
ANKFN1 | -0.0000185 | 9836 | GTEx | DepMap | Descartes | 0.01 | 0.01 |
HS3ST5 | -0.0000329 | 11678 | GTEx | DepMap | Descartes | 0.02 | 0.01 |
SLC44A5 | -0.0000423 | 12713 | GTEx | DepMap | Descartes | 0.05 | 0.04 |
NPY | -0.0000458 | 13103 | GTEx | DepMap | Descartes | 0.15 | 7.00 |
RYR2 | -0.0000463 | 13166 | GTEx | DepMap | Descartes | 0.03 | 0.02 |
TMEM132C | -0.0000465 | 13183 | GTEx | DepMap | Descartes | 0.00 | 0.00 |
SLC6A2 | -0.0000479 | 13331 | GTEx | DepMap | Descartes | 0.00 | 0.00 |
FAT3 | -0.0000516 | 13675 | GTEx | DepMap | Descartes | 0.03 | 0.01 |
RPH3A | -0.0000590 | 14443 | GTEx | DepMap | Descartes | 0.00 | 0.00 |
PTCHD1 | -0.0000605 | 14577 | GTEx | DepMap | Descartes | 0.03 | 0.12 |
TUBB2A | -0.0000634 | 14853 | GTEx | DepMap | Descartes | 3.53 | 202.88 |
EYA4 | -0.0000693 | 15392 | GTEx | DepMap | Descartes | 0.10 | 0.13 |
KCNB2 | -0.0000724 | 15636 | GTEx | DepMap | Descartes | 0.01 | 0.01 |
HMX1 | -0.0000789 | 16165 | GTEx | DepMap | Descartes | 0.06 | 1.20 |
RBFOX1 | -0.0000827 | 16431 | GTEx | DepMap | Descartes | 0.26 | 0.05 |
CNTFR | -0.0000858 | 16647 | GTEx | DepMap | Descartes | 0.38 | 2.45 |
REEP1 | -0.0001051 | 17881 | GTEx | DepMap | Descartes | 0.25 | 0.70 |
MARCH11 | -0.0001097 | 18115 | GTEx | DepMap | Descartes | 0.11 | 0.18 |
PRPH | -0.0001124 | 18267 | GTEx | DepMap | Descartes | 0.19 | 15.68 |
CNKSR2 | -0.0001349 | 19180 | GTEx | DepMap | Descartes | 0.15 | 0.22 |
EYA1 | -0.0001659 | 19899 | GTEx | DepMap | Descartes | 0.38 | 0.60 |
Descartes Vascular_endothelial markers
Top 50 marker genes of Vascular_endothelial cells in the Decartes fetal adrenal single cell map (https://atlas.brotmanbaty.org/bbi/human-gene-expression-during-development/cell/vascular_endothelial/in/adrenal)
Wilcoxon ranksum test P-value for gene set overrepresentation: 9.99e-01
Mean rank of genes in gene set: 13456.65
Median rank of genes in gene set: 16667
Rank on gene expression program of top 30 genes in gene set:
Genes | Weight | Rank | GTEx | DepMap | Descartes | Mean.Counts | Mean.TPM |
---|---|---|---|---|---|---|---|
ARHGAP29 | 0.0006105 | 520 | GTEx | DepMap | Descartes | 1.80 | 8.62 |
ECSCR | 0.0002154 | 1357 | GTEx | DepMap | Descartes | 0.89 | 27.95 |
NPR1 | 0.0001007 | 2299 | GTEx | DepMap | Descartes | 0.26 | 5.44 |
TMEM88 | 0.0000928 | 2400 | GTEx | DepMap | Descartes | 0.14 | 19.11 |
HYAL2 | 0.0000761 | 2672 | GTEx | DepMap | Descartes | 0.46 | 26.98 |
SOX18 | 0.0000447 | 3336 | GTEx | DepMap | Descartes | 0.60 | 118.33 |
KANK3 | 0.0000371 | 3582 | GTEx | DepMap | Descartes | 0.20 | 4.82 |
DNASE1L3 | 0.0000102 | 4735 | GTEx | DepMap | Descartes | 0.07 | 0.26 |
NR5A2 | 0.0000036 | 5262 | GTEx | DepMap | Descartes | 0.02 | 0.03 |
CHRM3 | 0.0000019 | 5450 | GTEx | DepMap | Descartes | 0.00 | 0.00 |
F8 | -0.0000074 | 7827 | GTEx | DepMap | Descartes | 0.04 | 0.10 |
CRHBP | -0.0000135 | 9042 | GTEx | DepMap | Descartes | 0.00 | 0.00 |
RAMP2 | -0.0000158 | 9407 | GTEx | DepMap | Descartes | 1.51 | 40.81 |
PODXL | -0.0000279 | 11089 | GTEx | DepMap | Descartes | 0.36 | 1.76 |
EFNB2 | -0.0000293 | 11269 | GTEx | DepMap | Descartes | 0.44 | 2.31 |
MYRIP | -0.0000310 | 11459 | GTEx | DepMap | Descartes | 0.00 | 0.00 |
PLVAP | -0.0000397 | 12452 | GTEx | DepMap | Descartes | 1.76 | 43.55 |
BTNL9 | -0.0000494 | 13471 | GTEx | DepMap | Descartes | 0.20 | 2.06 |
SHANK3 | -0.0000570 | 14248 | GTEx | DepMap | Descartes | 0.04 | 0.26 |
EHD3 | -0.0000636 | 14873 | GTEx | DepMap | Descartes | 0.30 | 3.21 |
ROBO4 | -0.0000656 | 15058 | GTEx | DepMap | Descartes | 0.21 | 4.91 |
RASIP1 | -0.0000860 | 16667 | GTEx | DepMap | Descartes | 0.22 | 6.43 |
NOTCH4 | -0.0000919 | 17055 | GTEx | DepMap | Descartes | 0.18 | 2.20 |
SHE | -0.0001014 | 17664 | GTEx | DepMap | Descartes | 0.04 | 0.64 |
IRX3 | -0.0001039 | 17819 | GTEx | DepMap | Descartes | 0.15 | 5.57 |
PTPRB | -0.0001045 | 17854 | GTEx | DepMap | Descartes | 0.58 | 1.84 |
TIE1 | -0.0001053 | 17902 | GTEx | DepMap | Descartes | 0.21 | 3.84 |
CYP26B1 | -0.0001113 | 18205 | GTEx | DepMap | Descartes | 0.04 | 0.38 |
APLNR | -0.0001138 | 18330 | GTEx | DepMap | Descartes | 0.13 | 15.39 |
MMRN2 | -0.0001194 | 18586 | GTEx | DepMap | Descartes | 0.35 | 3.78 |
Descartes stromal markers
Top 50 marker genes of stromal cells in the Decartes fetal adrenal single cell map (https://atlas.brotmanbaty.org/bbi/human-gene-expression-during-development/cell/stromal/in/adrenal)
Wilcoxon ranksum test P-value for gene set overrepresentation: 3.22e-05
Mean rank of genes in gene set: 6916.28
Median rank of genes in gene set: 1521
Rank on gene expression program of top 30 genes in gene set:
Genes | Weight | Rank | GTEx | DepMap | Descartes | Mean.Counts | Mean.TPM |
---|---|---|---|---|---|---|---|
CCDC80 | 0.0074298 | 2 | GTEx | DepMap | Descartes | 5.88 | 48.52 |
COL3A1 | 0.0052317 | 14 | GTEx | DepMap | Descartes | 85.29 | 693.20 |
PDGFRA | 0.0050682 | 19 | GTEx | DepMap | Descartes | 1.59 | 14.90 |
FNDC1 | 0.0049873 | 21 | GTEx | DepMap | Descartes | 2.07 | 6.66 |
DCN | 0.0048173 | 24 | GTEx | DepMap | Descartes | 24.80 | 222.74 |
COL1A2 | 0.0043435 | 36 | GTEx | DepMap | Descartes | 45.83 | 382.90 |
COL1A1 | 0.0036033 | 52 | GTEx | DepMap | Descartes | 45.25 | 834.47 |
BICC1 | 0.0028610 | 79 | GTEx | DepMap | Descartes | 1.85 | 2.71 |
LOX | 0.0017531 | 162 | GTEx | DepMap | Descartes | 1.67 | 33.06 |
MGP | 0.0014989 | 193 | GTEx | DepMap | Descartes | 26.35 | 2695.68 |
ADAMTS2 | 0.0011726 | 263 | GTEx | DepMap | Descartes | 2.29 | 4.11 |
COL6A3 | 0.0011336 | 274 | GTEx | DepMap | Descartes | 2.40 | 10.86 |
PCOLCE | 0.0009924 | 315 | GTEx | DepMap | Descartes | 4.24 | 160.14 |
SFRP2 | 0.0008797 | 339 | GTEx | DepMap | Descartes | 1.65 | 80.19 |
PRICKLE1 | 0.0008526 | 354 | GTEx | DepMap | Descartes | 0.22 | 0.88 |
LUM | 0.0007059 | 432 | GTEx | DepMap | Descartes | 2.74 | 140.62 |
ISLR | 0.0007013 | 435 | GTEx | DepMap | Descartes | 1.11 | 10.10 |
CDH11 | 0.0006751 | 461 | GTEx | DepMap | Descartes | 1.10 | 1.90 |
COL27A1 | 0.0006400 | 493 | GTEx | DepMap | Descartes | 0.27 | 0.95 |
ABCA6 | 0.0005826 | 546 | GTEx | DepMap | Descartes | 0.12 | 0.58 |
CD248 | 0.0005736 | 558 | GTEx | DepMap | Descartes | 1.73 | 242.77 |
SULT1E1 | 0.0003913 | 832 | GTEx | DepMap | Descartes | 0.14 | 4.38 |
ACTA2 | 0.0002076 | 1400 | GTEx | DepMap | Descartes | 13.74 | 245.71 |
LAMC3 | 0.0001684 | 1642 | GTEx | DepMap | Descartes | 0.18 | 0.83 |
PRRX1 | 0.0001003 | 2309 | GTEx | DepMap | Descartes | 0.76 | 4.34 |
EDNRA | 0.0000379 | 3554 | GTEx | DepMap | Descartes | 0.46 | 4.04 |
GLI2 | 0.0000284 | 3905 | GTEx | DepMap | Descartes | 0.04 | 0.09 |
GAS2 | 0.0000072 | 4937 | GTEx | DepMap | Descartes | 0.05 | 0.07 |
PCDH18 | -0.0000015 | 6071 | GTEx | DepMap | Descartes | 0.15 | 2.61 |
RSPO3 | -0.0000150 | 9274 | GTEx | DepMap | Descartes | 0.03 | 0.10 |
Descartes sympathoblasts markers
Top 50 marker genes of sympathoblasts cells in the Decartes fetal adrenal single cell map (https://atlas.brotmanbaty.org/bbi/human-gene-expression-during-development/cell/sympathoblasts/in/adrenal)
Wilcoxon ranksum test P-value for gene set overrepresentation: 1.00e+00
Mean rank of genes in gene set: 14602.4
Median rank of genes in gene set: 14621
Rank on gene expression program of top 30 genes in gene set:
Genes | Weight | Rank | GTEx | DepMap | Descartes | Mean.Counts | Mean.TPM |
---|---|---|---|---|---|---|---|
SLC18A1 | 1.31e-05 | 4580 | GTEx | DepMap | Descartes | 0.01 | 0.01 |
KCTD16 | -4.80e-06 | 7144 | GTEx | DepMap | Descartes | 0.00 | 0.00 |
CDH12 | -1.26e-05 | 8853 | GTEx | DepMap | Descartes | 0.01 | 0.00 |
SORCS3 | -1.75e-05 | 9683 | GTEx | DepMap | Descartes | 0.01 | 0.01 |
CNTN3 | -2.12e-05 | 10218 | GTEx | DepMap | Descartes | 0.00 | 0.00 |
AGBL4 | -2.26e-05 | 10385 | GTEx | DepMap | Descartes | 0.01 | 0.00 |
TENM1 | -2.65e-05 | 10880 | GTEx | DepMap | Descartes | 0.01 | 0.00 |
GRM7 | -3.05e-05 | 11397 | GTEx | DepMap | Descartes | 0.00 | 0.00 |
SLC35F3 | -3.08e-05 | 11434 | GTEx | DepMap | Descartes | 0.00 | 0.00 |
PNMT | -3.09e-05 | 11444 | GTEx | DepMap | Descartes | 0.00 | 0.00 |
PACRG | -3.17e-05 | 11536 | GTEx | DepMap | Descartes | 0.04 | 0.02 |
CDH18 | -3.51e-05 | 11924 | GTEx | DepMap | Descartes | 0.01 | 0.00 |
SLC24A2 | -3.76e-05 | 12199 | GTEx | DepMap | Descartes | 0.00 | 0.00 |
MGAT4C | -4.54e-05 | 13066 | GTEx | DepMap | Descartes | 0.06 | 0.01 |
EML6 | -4.72e-05 | 13260 | GTEx | DepMap | Descartes | 0.03 | 0.02 |
ROBO1 | -4.81e-05 | 13349 | GTEx | DepMap | Descartes | 0.40 | 0.10 |
GALNTL6 | -4.90e-05 | 13435 | GTEx | DepMap | Descartes | 0.02 | 0.00 |
TBX20 | -5.31e-05 | 13849 | GTEx | DepMap | Descartes | 0.04 | 0.10 |
TMEM130 | -5.54e-05 | 14104 | GTEx | DepMap | Descartes | 0.01 | 0.14 |
GRID2 | -5.70e-05 | 14251 | GTEx | DepMap | Descartes | 0.03 | 0.00 |
DGKK | -5.98e-05 | 14511 | GTEx | DepMap | Descartes | 0.03 | 0.04 |
FGF14 | -6.21e-05 | 14731 | GTEx | DepMap | Descartes | 0.04 | 0.01 |
NTNG1 | -6.24e-05 | 14751 | GTEx | DepMap | Descartes | 0.12 | 0.14 |
SPOCK3 | -6.25e-05 | 14765 | GTEx | DepMap | Descartes | 0.07 | 0.03 |
ST18 | -6.92e-05 | 15382 | GTEx | DepMap | Descartes | 0.04 | 0.02 |
CCSER1 | -6.97e-05 | 15431 | GTEx | DepMap | Descartes | 0.05 | 0.01 |
CHGB | -7.27e-05 | 15659 | GTEx | DepMap | Descartes | 0.74 | 8.04 |
KSR2 | -7.79e-05 | 16088 | GTEx | DepMap | Descartes | 0.01 | 0.01 |
LAMA3 | -8.88e-05 | 16852 | GTEx | DepMap | Descartes | 0.18 | 0.12 |
FAM155A | -8.93e-05 | 16893 | GTEx | DepMap | Descartes | 0.08 | 0.02 |
Descartes erythroblasts markers
Top 50 marker genes of erythroblasts cells in the Decartes fetal adrenal single cell map (https://atlas.brotmanbaty.org/bbi/human-gene-expression-during-development/cell/erythroblasts/in/adrenal)
Wilcoxon ranksum test P-value for gene set overrepresentation: 6.35e-01
Mean rank of genes in gene set: 10827.51
Median rank of genes in gene set: 12515
Rank on gene expression program of top 30 genes in gene set:
Genes | Weight | Rank | GTEx | DepMap | Descartes | Mean.Counts | Mean.TPM |
---|---|---|---|---|---|---|---|
SELENBP1 | 0.0002712 | 1140 | GTEx | DepMap | Descartes | 0.32 | 10.18 |
SPECC1 | 0.0002110 | 1384 | GTEx | DepMap | Descartes | 0.32 | 0.34 |
GYPC | 0.0001581 | 1699 | GTEx | DepMap | Descartes | 0.10 | 0.90 |
SPTA1 | 0.0000772 | 2652 | GTEx | DepMap | Descartes | 0.01 | 0.02 |
CR1L | 0.0000681 | 2817 | GTEx | DepMap | Descartes | 1.11 | 9.89 |
ANK1 | 0.0000574 | 3027 | GTEx | DepMap | Descartes | 0.03 | 0.03 |
FECH | 0.0000559 | 3052 | GTEx | DepMap | Descartes | 0.35 | 2.96 |
MICAL2 | 0.0000557 | 3059 | GTEx | DepMap | Descartes | 0.38 | 0.57 |
RHD | 0.0000393 | 3497 | GTEx | DepMap | Descartes | 0.00 | 0.00 |
BLVRB | 0.0000266 | 3970 | GTEx | DepMap | Descartes | 1.93 | 32.03 |
MARCH3 | 0.0000167 | 4412 | GTEx | DepMap | Descartes | 0.03 | 0.07 |
EPB42 | -0.0000078 | 7903 | GTEx | DepMap | Descartes | 0.00 | 0.00 |
SLC4A1 | -0.0000139 | 9101 | GTEx | DepMap | Descartes | 0.00 | 0.00 |
ALAS2 | -0.0000158 | 9406 | GTEx | DepMap | Descartes | 0.09 | 1.19 |
HEMGN | -0.0000207 | 10142 | GTEx | DepMap | Descartes | 0.00 | 0.00 |
SLC25A21 | -0.0000208 | 10145 | GTEx | DepMap | Descartes | 0.00 | 0.00 |
GYPA | -0.0000209 | 10160 | GTEx | DepMap | Descartes | 0.00 | 0.00 |
CPOX | -0.0000404 | 12515 | GTEx | DepMap | Descartes | 0.45 | 2.31 |
RGS6 | -0.0000429 | 12778 | GTEx | DepMap | Descartes | 0.00 | 0.00 |
TFR2 | -0.0000434 | 12824 | GTEx | DepMap | Descartes | 0.03 | 0.57 |
TMEM56 | -0.0000454 | 13065 | GTEx | DepMap | Descartes | 0.02 | 0.13 |
TSPAN5 | -0.0000546 | 14018 | GTEx | DepMap | Descartes | 0.44 | 0.73 |
CAT | -0.0000549 | 14055 | GTEx | DepMap | Descartes | 0.72 | 5.03 |
XPO7 | -0.0000768 | 15996 | GTEx | DepMap | Descartes | 0.41 | 0.68 |
RAPGEF2 | -0.0000829 | 16444 | GTEx | DepMap | Descartes | 0.39 | 0.66 |
SPTB | -0.0000892 | 16884 | GTEx | DepMap | Descartes | 0.04 | 0.06 |
ABCB10 | -0.0000894 | 16897 | GTEx | DepMap | Descartes | 0.15 | 0.96 |
SOX6 | -0.0000927 | 17123 | GTEx | DepMap | Descartes | 0.33 | 0.18 |
SLC25A37 | -0.0000932 | 17156 | GTEx | DepMap | Descartes | 0.36 | 2.05 |
TMCC2 | -0.0000932 | 17161 | GTEx | DepMap | Descartes | 0.07 | 0.46 |
Descartes myeloid markers
Top 50 marker genes of myeloid cells in the Decartes fetal adrenal single cell map (https://atlas.brotmanbaty.org/bbi/human-gene-expression-during-development/cell/myeloid/in/adrenal)
Wilcoxon ranksum test P-value for gene set overrepresentation: 1.00e+00
Mean rank of genes in gene set: 13943.44
Median rank of genes in gene set: 17009
Rank on gene expression program of top 30 genes in gene set:
Genes | Weight | Rank | GTEx | DepMap | Descartes | Mean.Counts | Mean.TPM |
---|---|---|---|---|---|---|---|
SPP1 | 0.0006506 | 481 | GTEx | DepMap | Descartes | 22.49 | 917.01 |
AXL | 0.0003011 | 1040 | GTEx | DepMap | Descartes | 1.73 | 17.81 |
LGMN | 0.0002380 | 1267 | GTEx | DepMap | Descartes | 6.42 | 38.50 |
CST3 | 0.0001142 | 2129 | GTEx | DepMap | Descartes | 24.32 | 2103.76 |
CTSC | 0.0000546 | 3086 | GTEx | DepMap | Descartes | 4.77 | 37.62 |
CTSB | 0.0000394 | 3490 | GTEx | DepMap | Descartes | 20.07 | 216.01 |
FMN1 | 0.0000300 | 3831 | GTEx | DepMap | Descartes | 0.26 | 0.14 |
CD163L1 | 0.0000007 | 5606 | GTEx | DepMap | Descartes | 0.00 | 0.00 |
ABCA1 | -0.0000008 | 5881 | GTEx | DepMap | Descartes | 1.48 | 3.77 |
HRH1 | -0.0000055 | 7356 | GTEx | DepMap | Descartes | 0.01 | 0.04 |
CPVL | -0.0000091 | 8205 | GTEx | DepMap | Descartes | 0.00 | 0.00 |
SLC1A3 | -0.0000157 | 9389 | GTEx | DepMap | Descartes | 0.18 | 0.50 |
VSIG4 | -0.0000329 | 11685 | GTEx | DepMap | Descartes | 0.01 | 0.04 |
RNASE1 | -0.0000419 | 12682 | GTEx | DepMap | Descartes | 0.07 | 6.69 |
CD163 | -0.0000420 | 12695 | GTEx | DepMap | Descartes | 0.02 | 0.15 |
SFMBT2 | -0.0000491 | 13453 | GTEx | DepMap | Descartes | 0.02 | 0.01 |
WWP1 | -0.0000514 | 13659 | GTEx | DepMap | Descartes | 0.83 | 2.14 |
MERTK | -0.0000569 | 14228 | GTEx | DepMap | Descartes | 0.22 | 0.45 |
CSF1R | -0.0000578 | 14333 | GTEx | DepMap | Descartes | 0.82 | 7.02 |
CD74 | -0.0000644 | 14949 | GTEx | DepMap | Descartes | 12.01 | 440.67 |
MARCH1 | -0.0000855 | 16619 | GTEx | DepMap | Descartes | 0.15 | 0.05 |
C1QC | -0.0000879 | 16789 | GTEx | DepMap | Descartes | 10.68 | 780.20 |
SLCO2B1 | -0.0000912 | 17009 | GTEx | DepMap | Descartes | 0.04 | 0.41 |
TGFBI | -0.0000950 | 17266 | GTEx | DepMap | Descartes | 1.21 | 14.12 |
IFNGR1 | -0.0000970 | 17392 | GTEx | DepMap | Descartes | 1.63 | 37.31 |
CD14 | -0.0000992 | 17520 | GTEx | DepMap | Descartes | 0.77 | 136.27 |
ITPR2 | -0.0001001 | 17585 | GTEx | DepMap | Descartes | 0.46 | 0.29 |
SLC9A9 | -0.0001012 | 17644 | GTEx | DepMap | Descartes | 0.12 | 0.06 |
MS4A7 | -0.0001029 | 17763 | GTEx | DepMap | Descartes | 1.63 | 30.05 |
FGD2 | -0.0001032 | 17787 | GTEx | DepMap | Descartes | 0.10 | 1.45 |
Descartes Schwann markers
Top 50 marker genes of Schwann cells in the Decartes fetal adrenal single cell map (https://atlas.brotmanbaty.org/bbi/human-gene-expression-during-development/cell/schwann/in/adrenal)
Wilcoxon ranksum test P-value for gene set overrepresentation: 9.64e-01
Mean rank of genes in gene set: 12059.53
Median rank of genes in gene set: 15748
Rank on gene expression program of top 30 genes in gene set:
Genes | Weight | Rank | GTEx | DepMap | Descartes | Mean.Counts | Mean.TPM |
---|---|---|---|---|---|---|---|
IL1RAPL1 | 0.0031078 | 69 | GTEx | DepMap | Descartes | 0.07 | 0.02 |
COL5A2 | 0.0018389 | 154 | GTEx | DepMap | Descartes | 7.89 | 20.41 |
VCAN | 0.0013396 | 222 | GTEx | DepMap | Descartes | 1.62 | 5.93 |
VIM | 0.0007277 | 420 | GTEx | DepMap | Descartes | 33.19 | 1281.18 |
SFRP1 | 0.0005561 | 584 | GTEx | DepMap | Descartes | 2.12 | 18.47 |
TRPM3 | 0.0005416 | 600 | GTEx | DepMap | Descartes | 0.03 | 0.01 |
GAS7 | 0.0003651 | 880 | GTEx | DepMap | Descartes | 0.95 | 1.51 |
HMGA2 | 0.0003245 | 968 | GTEx | DepMap | Descartes | 0.01 | 0.01 |
PLCE1 | 0.0002767 | 1122 | GTEx | DepMap | Descartes | 0.65 | 0.78 |
LAMB1 | 0.0002023 | 1430 | GTEx | DepMap | Descartes | 1.21 | 6.54 |
ADAMTS5 | 0.0001806 | 1563 | GTEx | DepMap | Descartes | 1.81 | 17.46 |
LAMA4 | 0.0001568 | 1706 | GTEx | DepMap | Descartes | 1.15 | 2.61 |
SOX5 | 0.0001537 | 1737 | GTEx | DepMap | Descartes | 0.21 | 0.06 |
COL18A1 | 0.0000092 | 4801 | GTEx | DepMap | Descartes | 2.98 | 9.27 |
IL1RAPL2 | -0.0000039 | 6817 | GTEx | DepMap | Descartes | 0.00 | 0.00 |
ERBB4 | -0.0000077 | 7891 | GTEx | DepMap | Descartes | 0.01 | 0.00 |
LRRTM4 | -0.0000159 | 9435 | GTEx | DepMap | Descartes | 0.01 | 0.00 |
MPZ | -0.0000235 | 10511 | GTEx | DepMap | Descartes | 0.01 | 0.06 |
PAG1 | -0.0000366 | 12088 | GTEx | DepMap | Descartes | 0.13 | 0.38 |
NRXN3 | -0.0000478 | 13314 | GTEx | DepMap | Descartes | 0.01 | 0.00 |
MDGA2 | -0.0000495 | 13483 | GTEx | DepMap | Descartes | 0.02 | 0.00 |
COL25A1 | -0.0000536 | 13916 | GTEx | DepMap | Descartes | 0.01 | 0.00 |
GRIK3 | -0.0000597 | 14502 | GTEx | DepMap | Descartes | 0.02 | 0.04 |
XKR4 | -0.0000738 | 15748 | GTEx | DepMap | Descartes | 0.08 | NA |
STARD13 | -0.0000744 | 15786 | GTEx | DepMap | Descartes | 0.30 | 0.64 |
LAMC1 | -0.0000782 | 16103 | GTEx | DepMap | Descartes | 1.54 | 4.83 |
GFRA3 | -0.0000836 | 16496 | GTEx | DepMap | Descartes | 0.02 | 0.13 |
PPP2R2B | -0.0000839 | 16511 | GTEx | DepMap | Descartes | 0.29 | 0.12 |
FIGN | -0.0000863 | 16689 | GTEx | DepMap | Descartes | 0.16 | 0.40 |
SORCS1 | -0.0000939 | 17200 | GTEx | DepMap | Descartes | 0.20 | 0.20 |
Descartes Megakaryocytes markers
Top 50 marker genes of Megakaryocytes cells in the Decartes fetal adrenal single cell map (https://atlas.brotmanbaty.org/bbi/human-gene-expression-during-development/cell/megakaryocytes/in/adrenal)
Wilcoxon ranksum test P-value for gene set overrepresentation: 9.51e-01
Mean rank of genes in gene set: 11902.31
Median rank of genes in gene set: 13968
Rank on gene expression program of top 30 genes in gene set:
Genes | Weight | Rank | GTEx | DepMap | Descartes | Mean.Counts | Mean.TPM |
---|---|---|---|---|---|---|---|
VCL | 0.0004729 | 672 | GTEx | DepMap | Descartes | 1.40 | 4.21 |
THBS1 | 0.0003481 | 922 | GTEx | DepMap | Descartes | 4.32 | 75.87 |
ACTN1 | 0.0002567 | 1183 | GTEx | DepMap | Descartes | 2.24 | 6.02 |
ITGA2B | 0.0002213 | 1337 | GTEx | DepMap | Descartes | 0.13 | 2.05 |
ZYX | 0.0002194 | 1341 | GTEx | DepMap | Descartes | 1.62 | 36.86 |
TMSB4X | 0.0001516 | 1752 | GTEx | DepMap | Descartes | 174.96 | 19923.43 |
ARHGAP6 | 0.0001070 | 2215 | GTEx | DepMap | Descartes | 0.22 | 0.15 |
FLNA | 0.0001040 | 2251 | GTEx | DepMap | Descartes | 2.87 | 31.77 |
TPM4 | 0.0000914 | 2420 | GTEx | DepMap | Descartes | 4.90 | 50.85 |
SLC24A3 | 0.0000856 | 2507 | GTEx | DepMap | Descartes | 0.02 | 0.03 |
TLN1 | 0.0000640 | 2885 | GTEx | DepMap | Descartes | 2.38 | 22.89 |
PF4 | 0.0000579 | 3015 | GTEx | DepMap | Descartes | 6.91 | 1431.11 |
ITGB3 | 0.0000313 | 3788 | GTEx | DepMap | Descartes | 0.18 | 0.96 |
UBASH3B | 0.0000084 | 4853 | GTEx | DepMap | Descartes | 0.24 | 0.38 |
TUBB1 | -0.0000010 | 5922 | GTEx | DepMap | Descartes | 0.00 | 0.00 |
GP1BA | -0.0000058 | 7420 | GTEx | DepMap | Descartes | 0.00 | 0.00 |
DOK6 | -0.0000069 | 7685 | GTEx | DepMap | Descartes | 0.02 | 0.01 |
ANGPT1 | -0.0000092 | 8223 | GTEx | DepMap | Descartes | 0.04 | 0.05 |
GP9 | -0.0000126 | 8858 | GTEx | DepMap | Descartes | 0.00 | 0.00 |
PPBP | -0.0000245 | 10642 | GTEx | DepMap | Descartes | 0.00 | 0.00 |
LIMS1 | -0.0000329 | 11686 | GTEx | DepMap | Descartes | 1.65 | 4.88 |
STON2 | -0.0000349 | 11897 | GTEx | DepMap | Descartes | 0.07 | 0.09 |
SPN | -0.0000461 | 13137 | GTEx | DepMap | Descartes | 0.04 | 2.51 |
MYH9 | -0.0000476 | 13304 | GTEx | DepMap | Descartes | 3.71 | 13.57 |
P2RX1 | -0.0000542 | 13968 | GTEx | DepMap | Descartes | 0.00 | 0.00 |
PSTPIP2 | -0.0000558 | 14139 | GTEx | DepMap | Descartes | 0.01 | 0.03 |
MED12L | -0.0000596 | 14494 | GTEx | DepMap | Descartes | 0.01 | 0.02 |
SLC2A3 | -0.0000620 | 14716 | GTEx | DepMap | Descartes | 0.08 | 0.24 |
CD9 | -0.0000660 | 15094 | GTEx | DepMap | Descartes | 9.56 | 85.17 |
MCTP1 | -0.0000758 | 15893 | GTEx | DepMap | Descartes | 0.07 | 0.04 |
Descartes Lyphoid markers
Top 50 marker genes of Lyphoid cells in the Decartes fetal adrenal single cell map (https://atlas.brotmanbaty.org/bbi/human-gene-expression-during-development/cell/lymphoid/in/adrenal)
Wilcoxon ranksum test P-value for gene set overrepresentation: 1.00e+00
Mean rank of genes in gene set: 13686.55
Median rank of genes in gene set: 16704.5
Rank on gene expression program of top 30 genes in gene set:
Genes | Weight | Rank | GTEx | DepMap | Descartes | Mean.Counts | Mean.TPM |
---|---|---|---|---|---|---|---|
B2M | 0.0009884 | 316 | GTEx | DepMap | Descartes | 17.23 | 942.69 |
ARID5B | 0.0002376 | 1270 | GTEx | DepMap | Descartes | 0.85 | 1.42 |
CCND3 | 0.0002031 | 1423 | GTEx | DepMap | Descartes | 0.97 | 2.77 |
ARHGDIB | 0.0001143 | 2125 | GTEx | DepMap | Descartes | 1.99 | 30.51 |
CD44 | 0.0001095 | 2193 | GTEx | DepMap | Descartes | 2.88 | 7.22 |
PLEKHA2 | 0.0000640 | 2884 | GTEx | DepMap | Descartes | 0.24 | 1.32 |
RCSD1 | 0.0000544 | 3089 | GTEx | DepMap | Descartes | 0.18 | 0.72 |
CELF2 | 0.0000446 | 3339 | GTEx | DepMap | Descartes | 1.44 | 0.45 |
MCTP2 | 0.0000369 | 3593 | GTEx | DepMap | Descartes | 0.10 | 0.14 |
STK39 | 0.0000307 | 3801 | GTEx | DepMap | Descartes | 0.55 | 0.63 |
SP100 | 0.0000072 | 4941 | GTEx | DepMap | Descartes | 0.96 | 5.38 |
SCML4 | -0.0000145 | 9190 | GTEx | DepMap | Descartes | 0.04 | 0.24 |
SKAP1 | -0.0000252 | 10716 | GTEx | DepMap | Descartes | 0.07 | 0.14 |
SAMD3 | -0.0000297 | 11306 | GTEx | DepMap | Descartes | 0.00 | 0.00 |
MSN | -0.0000588 | 14428 | GTEx | DepMap | Descartes | 3.56 | 15.36 |
TOX | -0.0000634 | 14846 | GTEx | DepMap | Descartes | 0.08 | 0.14 |
PDE3B | -0.0000683 | 15302 | GTEx | DepMap | Descartes | 0.22 | 0.61 |
BACH2 | -0.0000708 | 15523 | GTEx | DepMap | Descartes | 0.15 | 0.16 |
NKG7 | -0.0000779 | 16089 | GTEx | DepMap | Descartes | 0.00 | 0.00 |
ANKRD44 | -0.0000799 | 16236 | GTEx | DepMap | Descartes | 0.24 | 0.29 |
BCL2 | -0.0000815 | 16346 | GTEx | DepMap | Descartes | 0.38 | 0.88 |
SORL1 | -0.0000854 | 16616 | GTEx | DepMap | Descartes | 0.20 | 0.40 |
CCL5 | -0.0000879 | 16793 | GTEx | DepMap | Descartes | 0.30 | 19.92 |
RAP1GAP2 | -0.0000888 | 16861 | GTEx | DepMap | Descartes | 0.12 | 0.13 |
PRKCH | -0.0000896 | 16910 | GTEx | DepMap | Descartes | 0.13 | 0.15 |
FAM65B | -0.0000960 | 17332 | GTEx | DepMap | Descartes | 0.02 | NA |
FOXP1 | -0.0000965 | 17365 | GTEx | DepMap | Descartes | 2.06 | 1.01 |
ITPKB | -0.0000971 | 17404 | GTEx | DepMap | Descartes | 0.36 | 1.42 |
NCALD | -0.0001099 | 18129 | GTEx | DepMap | Descartes | 0.19 | 0.16 |
ARHGAP15 | -0.0001141 | 18342 | GTEx | DepMap | Descartes | 0.13 | 0.06 |
Below shows the ranks on this GEP for immune marker gene lists curated by CellTypist (https://www.celltypist.org/encyclopedia).
High ranks indicate this gene is a driver of this GEP.
These curated gene list are ranked by P-value (on this GEP) of their constituent genes.
The Mean Count column shows the mean read count in cells scoring highly (H > 50) on this gene expression program.
Genes | Weight | Rank | GTEx | DepMap | Decartes | Mean.Counts | Mean.TPM |
---|---|---|---|---|---|---|---|
DCN | 0.0048173 | 24 | GTEx | DepMap | Descartes | 24.80 | 222.74 |
COL1A2 | 0.0043435 | 36 | GTEx | DepMap | Descartes | 45.83 | 382.90 |
COL1A1 | 0.0036033 | 52 | GTEx | DepMap | Descartes | 45.25 | 834.47 |
ETP: ETP (curated markers)
early thymic progenitors migrated to the thymus before turning into double-negative thymocytes or other cells:
Wilcoxon ranksum test P-value for gene set overrepresentation: 2.68e-03
Mean rank of genes in gene set: 754.67
Rank on gene expression program of genes in gene set:
Genes | Weight | Rank | GTEx | DepMap | Decartes | Mean.Counts | Mean.TPM |
---|---|---|---|---|---|---|---|
ACY3 | 0.0013045 | 230 | GTEx | DepMap | Descartes | 0.10 | 9.44 |
CD34 | 0.0004441 | 724 | GTEx | DepMap | Descartes | 1.60 | 23.50 |
SPINK2 | 0.0002284 | 1310 | GTEx | DepMap | Descartes | 0.04 | 1.08 |
HSC/MPP: HSC/MPP (curated markers)
hematopoietic stem cells and multipotent progenitor cells with the potential of differentiating into different blood cells:
Wilcoxon ranksum test P-value for gene set overrepresentation: 2.60e-02
Mean rank of genes in gene set: 3692
Rank on gene expression program of genes in gene set:
Genes | Weight | Rank | GTEx | DepMap | Decartes | Mean.Counts | Mean.TPM |
---|---|---|---|---|---|---|---|
CD34 | 0.0004441 | 724 | GTEx | DepMap | Descartes | 1.60 | 23.50 |
SPINK2 | 0.0002284 | 1310 | GTEx | DepMap | Descartes | 0.04 | 1.08 |
CRHBP | -0.0000135 | 9042 | GTEx | DepMap | Descartes | 0.00 | 0.00 |