QQ-plot of gene loadings, averaged over both independent splits of the data
This plot highlights the relative contribution of each gene to the GEP
Top genes driving this program.
Note: Decartes website is buggy, try refreshing. Also, Decartes fetal adrenal data have been collected at specific time points (89-122 days), all possible cell types of interest may not be represented, do not overinterpret.
The Mean Count column shows the mean read count in cells scoring highly (H > 50) on this gene expression program.
Gene | Loading | Gene.Name | GTEx | DepMap | Descartes | Mean.Counts | Mean.Tpm | |
---|---|---|---|---|---|---|---|---|
1 | GABRP | 0.0109960 | gamma-aminobutyric acid type A receptor subunit pi | GTEx | DepMap | Descartes | 19.18 | 106.43 |
2 | S100A14 | 0.0099844 | S100 calcium binding protein A14 | GTEx | DepMap | Descartes | 8.06 | 546.58 |
3 | SLC2A3 | 0.0092712 | solute carrier family 2 member 3 | GTEx | DepMap | Descartes | 19.23 | 38.32 |
4 | KRT17 | 0.0083800 | keratin 17 | GTEx | DepMap | Descartes | 47.06 | 1552.78 |
5 | GM16136 | 0.0080209 | NA | GTEx | DepMap | Descartes | 13.01 | 1208.57 |
6 | UPK1A | 0.0078939 | uroplakin 1A | GTEx | DepMap | Descartes | 4.53 | 88.44 |
7 | TNFAIP2 | 0.0076257 | TNF alpha induced protein 2 | GTEx | DepMap | Descartes | 2.66 | 29.59 |
8 | CLDN3 | 0.0074316 | claudin 3 | GTEx | DepMap | Descartes | 6.47 | 987.38 |
9 | CLDN23 | 0.0074123 | claudin 23 | GTEx | DepMap | Descartes | 2.35 | 200.39 |
10 | SNX31 | 0.0073722 | sorting nexin 31 | GTEx | DepMap | Descartes | 1.13 | 3.35 |
11 | ANXA1 | 0.0072504 | annexin A1 | GTEx | DepMap | Descartes | 12.51 | 90.10 |
12 | PVRL4 | 0.0069965 | NA | GTEx | DepMap | Descartes | 8.67 | NA |
13 | PPL | 0.0068294 | periplakin | GTEx | DepMap | Descartes | 6.24 | 19.91 |
14 | NEBL | 0.0067297 | nebulette | GTEx | DepMap | Descartes | 10.23 | 3.93 |
15 | KRT7 | 0.0066805 | keratin 7 | GTEx | DepMap | Descartes | 8.07 | 68.02 |
16 | UPK1B | 0.0066218 | uroplakin 1B | GTEx | DepMap | Descartes | 3.56 | 24.76 |
17 | CLDN4 | 0.0065381 | claudin 4 | GTEx | DepMap | Descartes | 6.17 | 476.31 |
18 | SPINT1 | 0.0065065 | serine peptidase inhibitor, Kunitz type 1 | GTEx | DepMap | Descartes | 5.90 | 74.39 |
19 | LYPD3 | 0.0064786 | LY6/PLAUR domain containing 3 | GTEx | DepMap | Descartes | 4.05 | 137.16 |
20 | MALL | 0.0064216 | mal, T cell differentiation protein like | GTEx | DepMap | Descartes | 2.51 | 16.27 |
21 | TACSTD2 | 0.0062626 | tumor associated calcium signal transducer 2 | GTEx | DepMap | Descartes | 21.01 | 1767.67 |
22 | KRT8 | 0.0061627 | keratin 8 | GTEx | DepMap | Descartes | 6.16 | 152.34 |
23 | KRT5 | 0.0061584 | keratin 5 | GTEx | DepMap | Descartes | 69.63 | 1463.62 |
24 | KRT19 | 0.0061530 | keratin 19 | GTEx | DepMap | Descartes | 6.29 | 169.82 |
25 | RHOV | 0.0058389 | ras homolog family member V | GTEx | DepMap | Descartes | 5.18 | 396.78 |
26 | CLDN6 | 0.0057818 | claudin 6 | GTEx | DepMap | Descartes | 4.46 | 202.94 |
27 | ADTRP | 0.0057384 | androgen dependent TFPI regulating protein | GTEx | DepMap | Descartes | 1.17 | 2.11 |
28 | CCDC64B | 0.0057201 | NA | GTEx | DepMap | Descartes | 0.70 | NA |
29 | 3830417A13RIK | 0.0055641 | NA | GTEx | DepMap | Descartes | 0.83 | 23.86 |
30 | ALDH3B2 | 0.0055105 | aldehyde dehydrogenase 3 family member B2 | GTEx | DepMap | Descartes | 2.93 | 47.99 |
31 | PAQR6 | 0.0054381 | progestin and adipoQ receptor family member 6 | GTEx | DepMap | Descartes | 1.67 | 72.34 |
32 | KRT4 | 0.0053303 | keratin 4 | GTEx | DepMap | Descartes | 1.47 | 37.68 |
33 | NRARP | 0.0052435 | NOTCH regulated ankyrin repeat protein | GTEx | DepMap | Descartes | 7.39 | 398.53 |
34 | EMP1 | 0.0051320 | epithelial membrane protein 1 | GTEx | DepMap | Descartes | 12.32 | 78.22 |
35 | GRHL3 | 0.0050915 | grainyhead like transcription factor 3 | GTEx | DepMap | Descartes | 4.86 | 18.84 |
36 | KRT18 | 0.0049755 | keratin 18 | GTEx | DepMap | Descartes | 5.54 | 256.95 |
37 | SLC6A14 | 0.0049384 | solute carrier family 6 member 14 | GTEx | DepMap | Descartes | 0.45 | 3.10 |
38 | RAB25 | 0.0049319 | RAB25, member RAS oncogene family | GTEx | DepMap | Descartes | 5.25 | 117.95 |
39 | CLDN8 | 0.0049202 | claudin 8 | GTEx | DepMap | Descartes | 1.38 | 101.01 |
40 | SCEL | 0.0049105 | sciellin | GTEx | DepMap | Descartes | 1.18 | 1.84 |
41 | VTCN1 | 0.0048432 | V-set domain containing T cell activation inhibitor 1 | GTEx | DepMap | Descartes | 0.21 | 0.52 |
42 | SMAGP | 0.0047268 | small cell adhesion glycoprotein | GTEx | DepMap | Descartes | 2.58 | 22.89 |
43 | ARG1 | 0.0047058 | arginase 1 | GTEx | DepMap | Descartes | 1.44 | 19.84 |
44 | AHNAK | 0.0047020 | AHNAK nucleoprotein | GTEx | DepMap | Descartes | 26.29 | 39.54 |
45 | BSPRY | 0.0046130 | B-box and SPRY domain containing | GTEx | DepMap | Descartes | 1.71 | 15.33 |
46 | CLDN7 | 0.0046095 | claudin 7 | GTEx | DepMap | Descartes | 5.23 | 280.53 |
47 | SPINT2 | 0.0045532 | serine peptidase inhibitor, Kunitz type 2 | GTEx | DepMap | Descartes | 15.20 | 72.69 |
48 | 2310007B03RIK | 0.0045530 | NA | GTEx | DepMap | Descartes | 0.52 | NA |
49 | TAC2 | 0.0045356 | NA | GTEx | DepMap | Descartes | 1.38 | 40.34 |
50 | SFN | 0.0044773 | stratifin | GTEx | DepMap | Descartes | 30.30 | 2747.32 |
UMAP plots showing activity of gene expression program identified in GEP 23. Epithelial Cell II:
Gene set Enrichments for this program, caculated from top 50 genes
mSigDB Cell Types Gene Set:
P-value | OR | Lower 95% CI | FDR | FWER | Genes Found | Gene Set Size | |
---|---|---|---|---|---|---|---|
DURANTE_ADULT_OLFACTORY_NEUROEPITHELIUM_RESPIRATORY_HORIZONTAL_BASAL_CELLS | 8.77e-17 | 175.55 | 67.56 | 1.47e-14 | 5.89e-14 | 9ANXA1, CLDN4, LYPD3, TACSTD2, KRT8, KRT5, KRT19, KRT18, SFN |
33 |
DURANTE_ADULT_OLFACTORY_NEUROEPITHELIUM_RESPIRATORY_COLUMNAR_CELLS | 7.86e-11 | 119.04 | 37.64 | 4.39e-09 | 5.27e-08 | 6CLDN4, TACSTD2, KRT8, KRT19, KRT18, SFN |
28 |
DESCARTES_FETAL_EYE_CORNEAL_AND_CONJUNCTIVAL_EPITHELIAL_CELLS | 2.90e-29 | 68.45 | 36.75 | 1.95e-26 | 1.95e-26 | 22GABRP, CLDN3, ANXA1, KRT7, UPK1B, CLDN4, SPINT1, LYPD3, TACSTD2, KRT8, KRT5, KRT19, RHOV, KRT4, KRT18, RAB25, SCEL, VTCN1, BSPRY, CLDN7, SPINT2, SFN |
243 |
DESCARTES_FETAL_STOMACH_SQUAMOUS_EPITHELIAL_CELLS | 6.30e-12 | 62.12 | 24.13 | 4.76e-10 | 4.23e-09 | 8KRT17, UPK1A, LYPD3, TACSTD2, KRT5, RHOV, KRT4, SFN |
67 |
DESCARTES_FETAL_KIDNEY_URETERIC_BUD_CELLS | 3.54e-22 | 42.04 | 22.15 | 1.19e-19 | 2.38e-19 | 19S100A14, UPK1A, SNX31, PPL, KRT7, UPK1B, CLDN4, SPINT1, TACSTD2, KRT8, KRT5, KRT19, ALDH3B2, GRHL3, KRT18, CLDN8, VTCN1, BSPRY, CLDN7 |
300 |
AIZARANI_LIVER_C24_EPCAM_POS_BILE_DUCT_CELLS_3 | 2.01e-17 | 43.81 | 21.43 | 4.49e-15 | 1.35e-14 | 14GABRP, S100A14, TNFAIP2, CLDN3, KRT7, CLDN4, SPINT1, TACSTD2, KRT8, KRT19, KRT18, VTCN1, CLDN7, SPINT2 |
185 |
BUSSLINGER_ESOPHAGEAL_LATE_SUPRABASAL_CELLS | 5.25e-14 | 42.09 | 19.02 | 7.04e-12 | 3.52e-11 | 11S100A14, ANXA1, PPL, CLDN4, LYPD3, MALL, ALDH3B2, KRT4, RAB25, SCEL, AHNAK |
140 |
DURANTE_ADULT_OLFACTORY_NEUROEPITHELIUM_SUSTENTACULAR_CELLS | 1.32e-07 | 50.87 | 15.03 | 5.20e-06 | 8.84e-05 | 5S100A14, CLDN4, KRT8, KRT19, KRT18 |
47 |
AIZARANI_LIVER_C39_EPCAM_POS_BILE_DUCT_CELLS_4 | 1.05e-12 | 31.42 | 14.26 | 1.01e-10 | 7.06e-10 | 11S100A14, TNFAIP2, KRT7, CLDN4, TACSTD2, KRT8, KRT19, KRT18, AHNAK, CLDN7, SPINT2 |
184 |
AIZARANI_LIVER_C7_EPCAM_POS_BILE_DUCT_CELLS_2 | 2.41e-13 | 29.39 | 13.78 | 2.70e-11 | 1.62e-10 | 12GABRP, S100A14, CLDN3, KRT7, CLDN4, SPINT1, TACSTD2, KRT8, KRT19, KRT18, CLDN7, SPINT2 |
219 |
AIZARANI_LIVER_C4_EPCAM_POS_BILE_DUCT_CELLS_1 | 4.65e-11 | 26.60 | 11.68 | 2.83e-09 | 3.12e-08 | 10S100A14, CLDN3, KRT7, CLDN4, SPINT1, TACSTD2, KRT8, KRT18, CLDN7, SPINT2 |
191 |
DESCARTES_FETAL_LUNG_SQUAMOUS_EPITHELIAL_CELLS | 9.72e-11 | 24.58 | 10.81 | 5.02e-09 | 6.52e-08 | 10GABRP, KRT17, PPL, LYPD3, TACSTD2, KRT19, KRT4, GRHL3, SCEL, SFN |
206 |
DESCARTES_MAIN_FETAL_CORNEAL_AND_CONJUNCTIVAL_EPITHELIAL_CELLS | 6.38e-12 | 21.90 | 10.30 | 4.76e-10 | 4.28e-09 | 12GABRP, UPK1B, CLDN4, SPINT1, MALL, TACSTD2, RHOV, KRT4, RAB25, CLDN8, VTCN1, SPINT2 |
290 |
BUSSLINGER_GASTRIC_IMMATURE_PIT_CELLS | 8.82e-09 | 23.38 | 9.33 | 3.94e-07 | 5.92e-06 | 8S100A14, TACSTD2, KRT8, KRT19, KRT18, AHNAK, SPINT2, SFN |
165 |
DURANTE_ADULT_OLFACTORY_NEUROEPITHELIUM_RESPIRATORY_SECRETORY_CELLS | 5.65e-05 | 47.21 | 8.85 | 1.26e-03 | 3.79e-02 | 3ANXA1, KRT7, CLDN4 |
29 |
TRAVAGLINI_LUNG_ALVEOLAR_EPITHELIAL_TYPE_1_CELL | 1.10e-11 | 17.92 | 8.67 | 7.36e-10 | 7.36e-09 | 13SLC2A3, KRT7, CLDN4, SPINT1, TACSTD2, KRT8, KRT19, KRT18, SCEL, AHNAK, CLDN7, SPINT2, SFN |
391 |
DURANTE_ADULT_OLFACTORY_NEUROEPITHELIUM_OLFACTORY_MICROVILLAR_CELLS | 1.05e-05 | 34.16 | 8.60 | 2.81e-04 | 7.01e-03 | 4CLDN3, KRT7, KRT8, KRT18 |
53 |
CUI_DEVELOPING_HEART_C1_5TH_WEEK_CARDIAC_CELLS | 2.30e-06 | 27.45 | 8.28 | 7.36e-05 | 1.55e-03 | 5KRT8, KRT19, CLDN6, KRT18, SPINT2 |
83 |
DESCARTES_FETAL_SPLEEN_MESOTHELIAL_CELLS | 3.22e-08 | 19.63 | 7.85 | 1.35e-06 | 2.16e-05 | 8ANXA1, PPL, NEBL, KRT7, KRT8, KRT5, KRT19, KRT18 |
195 |
DESCARTES_FETAL_PANCREAS_DUCTAL_CELLS | 9.03e-07 | 21.53 | 7.36 | 3.37e-05 | 6.06e-04 | 6S100A14, UPK1A, UPK1B, RHOV, KRT4, VTCN1 |
128 |
Dowload full table
mSigDB Hallmark Gene Sets:
P-value | OR | Lower 95% CI | FDR | FWER | Genes Found | Gene Set Size | |
---|---|---|---|---|---|---|---|
HALLMARK_ESTROGEN_RESPONSE_EARLY | 1.56e-04 | 10.98 | 3.37 | 3.90e-03 | 7.81e-03 | 5KRT8, KRT19, KRT18, CLDN7, SFN |
200 |
HALLMARK_KRAS_SIGNALING_DN | 1.56e-04 | 10.98 | 3.37 | 3.90e-03 | 7.81e-03 | 5LYPD3, KRT5, KRT4, SLC6A14, CLDN8 |
200 |
HALLMARK_APICAL_JUNCTION | 1.70e-03 | 8.55 | 2.21 | 2.84e-02 | 8.51e-02 | 4CLDN4, CLDN6, CLDN8, CLDN7 |
200 |
HALLMARK_APOPTOSIS | 8.16e-03 | 7.79 | 1.53 | 1.02e-01 | 4.08e-01 | 3ANXA1, EMP1, KRT18 |
161 |
HALLMARK_IL2_STAT5_SIGNALING | 1.44e-02 | 6.28 | 1.24 | 1.21e-01 | 7.19e-01 | 3SLC2A3, EMP1, AHNAK |
199 |
HALLMARK_KRAS_SIGNALING_UP | 1.46e-02 | 6.25 | 1.23 | 1.21e-01 | 7.29e-01 | 3MALL, EMP1, ARG1 |
200 |
HALLMARK_ANDROGEN_RESPONSE | 2.74e-02 | 8.19 | 0.95 | 1.96e-01 | 1.00e+00 | 2KRT8, KRT19 |
100 |
HALLMARK_TNFA_SIGNALING_VIA_NFKB | 9.29e-02 | 4.06 | 0.47 | 4.22e-01 | 1.00e+00 | 2SLC2A3, TNFAIP2 |
200 |
HALLMARK_ESTROGEN_RESPONSE_LATE | 9.29e-02 | 4.06 | 0.47 | 4.22e-01 | 1.00e+00 | 2KRT19, SFN |
200 |
HALLMARK_XENOBIOTIC_METABOLISM | 9.29e-02 | 4.06 | 0.47 | 4.22e-01 | 1.00e+00 | 2ARG1, SPINT2 |
200 |
HALLMARK_P53_PATHWAY | 9.29e-02 | 4.06 | 0.47 | 4.22e-01 | 1.00e+00 | 2KRT17, SFN |
200 |
HALLMARK_APICAL_SURFACE | 1.08e-01 | 9.15 | 0.22 | 4.48e-01 | 1.00e+00 | 1LYPD3 |
44 |
HALLMARK_PROTEIN_SECRETION | 2.20e-01 | 4.14 | 0.10 | 8.45e-01 | 1.00e+00 | 1KRT18 |
96 |
HALLMARK_PI3K_AKT_MTOR_SIGNALING | 2.38e-01 | 3.78 | 0.09 | 8.48e-01 | 1.00e+00 | 1SFN |
105 |
HALLMARK_COAGULATION | 3.00e-01 | 2.87 | 0.07 | 9.99e-01 | 1.00e+00 | 1ANXA1 |
138 |
HALLMARK_HYPOXIA | 4.03e-01 | 1.98 | 0.05 | 1.00e+00 | 1.00e+00 | 1SLC2A3 |
200 |
HALLMARK_INTERFERON_GAMMA_RESPONSE | 4.03e-01 | 1.98 | 0.05 | 1.00e+00 | 1.00e+00 | 1TNFAIP2 |
200 |
HALLMARK_MTORC1_SIGNALING | 4.03e-01 | 1.98 | 0.05 | 1.00e+00 | 1.00e+00 | 1SLC2A3 |
200 |
HALLMARK_GLYCOLYSIS | 4.03e-01 | 1.98 | 0.05 | 1.00e+00 | 1.00e+00 | 1CLDN3 |
200 |
HALLMARK_CHOLESTEROL_HOMEOSTASIS | 1.00e+00 | 0.00 | 0.00 | 1.00e+00 | 1.00e+00 | 0 |
74 |
Dowload full table
KEGG Pathways:
P-value | OR | Lower 95% CI | FDR | FWER | Genes Found | Gene Set Size | |
---|---|---|---|---|---|---|---|
KEGG_LEUKOCYTE_TRANSENDOTHELIAL_MIGRATION | 5.08e-07 | 23.87 | 8.15 | 7.00e-05 | 9.44e-05 | 6CLDN3, CLDN23, CLDN4, CLDN6, CLDN8, CLDN7 |
116 |
KEGG_TIGHT_JUNCTION | 1.08e-06 | 20.86 | 7.13 | 7.00e-05 | 2.01e-04 | 6CLDN3, CLDN23, CLDN4, CLDN6, CLDN8, CLDN7 |
132 |
KEGG_CELL_ADHESION_MOLECULES_CAMS | 1.13e-06 | 20.69 | 7.08 | 7.00e-05 | 2.10e-04 | 6CLDN3, CLDN23, CLDN4, CLDN6, CLDN8, CLDN7 |
133 |
KEGG_PHENYLALANINE_METABOLISM | 4.55e-02 | 23.13 | 0.54 | 1.00e+00 | 1.00e+00 | 1ALDH3B2 |
18 |
KEGG_HISTIDINE_METABOLISM | 7.23e-02 | 14.05 | 0.34 | 1.00e+00 | 1.00e+00 | 1ALDH3B2 |
29 |
KEGG_TYROSINE_METABOLISM | 1.03e-01 | 9.59 | 0.23 | 1.00e+00 | 1.00e+00 | 1ALDH3B2 |
42 |
KEGG_ALDOSTERONE_REGULATED_SODIUM_REABSORPTION | 1.03e-01 | 9.59 | 0.23 | 1.00e+00 | 1.00e+00 | 1SFN |
42 |
KEGG_ARGININE_AND_PROLINE_METABOLISM | 1.30e-01 | 7.42 | 0.18 | 1.00e+00 | 1.00e+00 | 1ARG1 |
54 |
KEGG_PATHOGENIC_ESCHERICHIA_COLI_INFECTION | 1.35e-01 | 7.15 | 0.17 | 1.00e+00 | 1.00e+00 | 1KRT18 |
56 |
KEGG_GLYCOLYSIS_GLUCONEOGENESIS | 1.48e-01 | 6.45 | 0.16 | 1.00e+00 | 1.00e+00 | 1ALDH3B2 |
62 |
KEGG_P53_SIGNALING_PATHWAY | 1.61e-01 | 5.87 | 0.14 | 1.00e+00 | 1.00e+00 | 1SFN |
68 |
KEGG_METABOLISM_OF_XENOBIOTICS_BY_CYTOCHROME_P450 | 1.66e-01 | 5.70 | 0.14 | 1.00e+00 | 1.00e+00 | 1ALDH3B2 |
70 |
KEGG_DRUG_METABOLISM_CYTOCHROME_P450 | 1.70e-01 | 5.54 | 0.14 | 1.00e+00 | 1.00e+00 | 1ALDH3B2 |
72 |
KEGG_CELL_CYCLE | 2.76e-01 | 3.17 | 0.08 | 1.00e+00 | 1.00e+00 | 1SFN |
125 |
KEGG_NEUROACTIVE_LIGAND_RECEPTOR_INTERACTION | 5.03e-01 | 1.45 | 0.04 | 1.00e+00 | 1.00e+00 | 1GABRP |
272 |
KEGG_N_GLYCAN_BIOSYNTHESIS | 1.00e+00 | 0.00 | 0.00 | 1.00e+00 | 1.00e+00 | 0 |
46 |
KEGG_OTHER_GLYCAN_DEGRADATION | 1.00e+00 | 0.00 | 0.00 | 1.00e+00 | 1.00e+00 | 0 |
16 |
KEGG_O_GLYCAN_BIOSYNTHESIS | 1.00e+00 | 0.00 | 0.00 | 1.00e+00 | 1.00e+00 | 0 |
30 |
KEGG_GLYCOSAMINOGLYCAN_DEGRADATION | 1.00e+00 | 0.00 | 0.00 | 1.00e+00 | 1.00e+00 | 0 |
21 |
KEGG_GLYCOSAMINOGLYCAN_BIOSYNTHESIS_KERATAN_SULFATE | 1.00e+00 | 0.00 | 0.00 | 1.00e+00 | 1.00e+00 | 0 |
15 |
Dowload full table
CHR Positional Gene Sets:
P-value | OR | Lower 95% CI | FDR | FWER | Genes Found | Gene Set Size | |
---|---|---|---|---|---|---|---|
chr12q13 | 5.47e-04 | 6.56 | 2.27 | 1.52e-01 | 1.52e-01 | 6KRT7, KRT8, KRT5, KRT4, KRT18, SMAGP |
407 |
chr1q22 | 1.41e-02 | 11.81 | 1.36 | 1.00e+00 | 1.00e+00 | 2PAQR6, RAB25 |
70 |
chr15q15 | 5.22e-02 | 5.70 | 0.66 | 1.00e+00 | 1.00e+00 | 2SPINT1, RHOV |
143 |
chr7q11 | 1.36e-01 | 3.20 | 0.37 | 1.00e+00 | 1.00e+00 | 2CLDN3, CLDN4 |
253 |
chr12p13 | 2.08e-01 | 2.43 | 0.28 | 1.00e+00 | 1.00e+00 | 2SLC2A3, EMP1 |
333 |
chr16p13 | 2.76e-01 | 1.98 | 0.23 | 1.00e+00 | 1.00e+00 | 2PPL, CLDN6 |
407 |
chr19q13 | 7.61e-01 | 1.06 | 0.21 | 1.00e+00 | 1.00e+00 | 3UPK1A, LYPD3, SPINT2 |
1165 |
chr9q32 | 1.14e-01 | 8.55 | 0.21 | 1.00e+00 | 1.00e+00 | 1BSPRY |
47 |
chr17q21 | 3.22e-01 | 1.77 | 0.21 | 1.00e+00 | 1.00e+00 | 2KRT17, KRT19 |
457 |
chr1p12 | 1.19e-01 | 8.19 | 0.20 | 1.00e+00 | 1.00e+00 | 1VTCN1 |
49 |
chr6p24 | 1.37e-01 | 7.03 | 0.17 | 1.00e+00 | 1.00e+00 | 1ADTRP |
57 |
chr2q13 | 1.42e-01 | 6.78 | 0.17 | 1.00e+00 | 1.00e+00 | 1MALL |
59 |
chr13q22 | 1.46e-01 | 6.56 | 0.16 | 1.00e+00 | 1.00e+00 | 1SCEL |
61 |
chr1p36 | 6.80e-01 | 1.23 | 0.14 | 1.00e+00 | 1.00e+00 | 2GRHL3, SFN |
656 |
chrXq23 | 2.05e-01 | 4.47 | 0.11 | 1.00e+00 | 1.00e+00 | 1SLC6A14 |
89 |
chr6q23 | 2.40e-01 | 3.75 | 0.09 | 1.00e+00 | 1.00e+00 | 1ARG1 |
106 |
chr10p12 | 2.94e-01 | 2.94 | 0.07 | 1.00e+00 | 1.00e+00 | 1NEBL |
135 |
chr1p32 | 3.24e-01 | 2.61 | 0.06 | 1.00e+00 | 1.00e+00 | 1TACSTD2 |
152 |
chr8q22 | 3.26e-01 | 2.59 | 0.06 | 1.00e+00 | 1.00e+00 | 1SNX31 |
153 |
chr3q13 | 3.82e-01 | 2.12 | 0.05 | 1.00e+00 | 1.00e+00 | 1UPK1B |
187 |
Dowload full table
Transcription Factor Targets:
P-value | OR | Lower 95% CI | FDR | FWER | Genes Found | Gene Set Size | |
---|---|---|---|---|---|---|---|
AML1_01 | 6.21e-04 | 8.05 | 2.47 | 2.34e-01 | 7.03e-01 | 5SLC2A3, TACSTD2, EMP1, GRHL3, SCEL |
271 |
AML1_Q6 | 6.21e-04 | 8.05 | 2.47 | 2.34e-01 | 7.03e-01 | 5SLC2A3, TACSTD2, EMP1, GRHL3, SCEL |
271 |
HNF3_Q6 | 1.47e-03 | 8.92 | 2.31 | 4.16e-01 | 1.00e+00 | 4KRT17, NEBL, ADTRP, CLDN8 |
192 |
TGANTCA_AP1_C | 3.66e-04 | 4.27 | 1.90 | 2.34e-01 | 4.15e-01 | 10KRT17, NEBL, CLDN4, KRT8, KRT19, EMP1, SLC6A14, SCEL, VTCN1, SFN |
1139 |
CREB_02 | 4.33e-03 | 6.55 | 1.70 | 6.54e-01 | 1.00e+00 | 4LYPD3, CLDN6, RAB25, CLDN7 |
260 |
AREB6_01 | 5.19e-03 | 6.21 | 1.61 | 6.54e-01 | 1.00e+00 | 4S100A14, LYPD3, KRT8, CLDN7 |
274 |
AP1_Q2_01 | 5.19e-03 | 6.21 | 1.61 | 6.54e-01 | 1.00e+00 | 4NEBL, CLDN4, KRT8, SLC6A14 |
274 |
GCANCTGNY_MYOD_Q6 | 1.91e-03 | 3.96 | 1.60 | 4.33e-01 | 1.00e+00 | 8CLDN3, NEBL, KRT8, KRT19, GRHL3, SLC6A14, CLDN7, SPINT2 |
935 |
GATAAGR_GATA_C | 7.01e-03 | 5.68 | 1.48 | 7.94e-01 | 1.00e+00 | 4NEBL, SLC6A14, BSPRY, CLDN7 |
299 |
IGLV5_37_TARGET_GENES | 4.93e-03 | 4.17 | 1.45 | 6.54e-01 | 1.00e+00 | 6S100A14, KRT5, NRARP, GRHL3, SMAGP, AHNAK |
636 |
MYBL1_TARGET_GENES | 1.46e-02 | 6.25 | 1.23 | 1.00e+00 | 1.00e+00 | 3KRT8, KRT18, CLDN7 |
200 |
HNF3ALPHA_Q6 | 1.68e-02 | 5.92 | 1.17 | 1.00e+00 | 1.00e+00 | 3KRT17, NEBL, ADTRP |
211 |
KMT2D_TARGET_GENES | 1.36e-02 | 3.33 | 1.16 | 1.00e+00 | 1.00e+00 | 6KRT7, KRT8, KRT5, CLDN6, ALDH3B2, GRHL3 |
796 |
CREB_Q4_01 | 1.80e-02 | 5.75 | 1.14 | 1.00e+00 | 1.00e+00 | 3CLDN6, RAB25, CLDN7 |
217 |
TGACGTCA_ATF3_Q6 | 2.22e-02 | 5.30 | 1.05 | 1.00e+00 | 1.00e+00 | 3CLDN6, RAB25, CLDN7 |
235 |
AP2ALPHA_01 | 2.41e-02 | 5.13 | 1.01 | 1.00e+00 | 1.00e+00 | 3KRT4, AHNAK, CLDN7 |
243 |
TGGNNNNNNKCCAR_UNKNOWN | 2.42e-02 | 3.88 | 1.01 | 1.00e+00 | 1.00e+00 | 4GABRP, KRT17, KRT4, GRHL3 |
436 |
HFH1_01 | 2.62e-02 | 4.96 | 0.98 | 1.00e+00 | 1.00e+00 | 3TACSTD2, SLC6A14, CLDN8 |
251 |
GGGYGTGNY_UNKNOWN | 2.78e-02 | 3.15 | 0.97 | 1.00e+00 | 1.00e+00 | 5CLDN3, MALL, AHNAK, CLDN7, SFN |
686 |
P53_02 | 2.73e-02 | 4.88 | 0.97 | 1.00e+00 | 1.00e+00 | 3ANXA1, PPL, AHNAK |
255 |
Dowload full table
GO Biological Processes:
P-value | OR | Lower 95% CI | FDR | FWER | Genes Found | Gene Set Size | |
---|---|---|---|---|---|---|---|
GOBP_CALCIUM_INDEPENDENT_CELL_CELL_ADHESION_VIA_PLASMA_MEMBRANE_CELL_ADHESION_MOLECULES | 2.13e-11 | 153.18 | 47.40 | 5.51e-08 | 1.59e-07 | 6CLDN3, CLDN23, CLDN4, CLDN6, CLDN8, CLDN7 |
23 |
GOBP_CORNIFICATION | 4.44e-10 | 34.94 | 13.83 | 4.74e-07 | 3.32e-06 | 8KRT17, PPL, KRT7, KRT8, KRT5, KRT19, KRT4, KRT18 |
113 |
GOBP_CELL_DIFFERENTIATION_INVOLVED_IN_EMBRYONIC_PLACENTA_DEVELOPMENT | 2.77e-05 | 61.39 | 11.30 | 1.15e-02 | 2.07e-01 | 3KRT8, KRT19, SPINT2 |
23 |
GOBP_APICAL_JUNCTION_ASSEMBLY | 9.22e-08 | 32.42 | 10.98 | 6.90e-05 | 6.90e-04 | 6CLDN3, CLDN23, CLDN4, CLDN6, CLDN8, CLDN7 |
87 |
GOBP_REGULATION_OF_WATER_LOSS_VIA_SKIN | 4.04e-05 | 53.41 | 9.93 | 1.59e-02 | 3.03e-01 | 3CLDN4, GRHL3, SFN |
26 |
GOBP_POSITIVE_REGULATION_OF_METALLOPEPTIDASE_ACTIVITY | 3.55e-04 | 88.95 | 9.12 | 9.85e-02 | 1.00e+00 | 2CLDN3, CLDN4 |
11 |
GOBP_KERATINOCYTE_DIFFERENTIATION | 2.09e-10 | 18.68 | 8.54 | 2.60e-07 | 1.56e-06 | 11KRT17, ANXA1, PPL, KRT7, KRT8, KRT5, KRT19, KRT4, KRT18, SCEL, SFN |
302 |
GOBP_BRANCHING_INVOLVED_IN_LABYRINTHINE_LAYER_MORPHOGENESIS | 4.25e-04 | 79.97 | 8.32 | 1.03e-01 | 1.00e+00 | 2SPINT1, SPINT2 |
12 |
GOBP_KERATINIZATION | 5.01e-09 | 19.58 | 8.27 | 4.17e-06 | 3.75e-05 | 9KRT17, PPL, KRT7, KRT8, KRT5, KRT19, KRT4, KRT18, SFN |
225 |
GOBP_EPITHELIAL_CELL_MORPHOGENESIS | 6.92e-05 | 43.87 | 8.25 | 2.35e-02 | 5.18e-01 | 3CLDN3, RAB25, SPINT2 |
31 |
GOBP_SKIN_DEVELOPMENT | 2.27e-11 | 16.85 | 8.15 | 5.51e-08 | 1.70e-07 | 13KRT17, ANXA1, PPL, KRT7, CLDN4, KRT8, KRT5, KRT19, KRT4, GRHL3, KRT18, SCEL, SFN |
415 |
GOBP_NEGATIVE_REGULATION_OF_TYPE_2_IMMUNE_RESPONSE | 5.02e-04 | 72.76 | 7.65 | 1.10e-01 | 1.00e+00 | 2ANXA1, ARG1 |
13 |
GOBP_EPIDERMIS_DEVELOPMENT | 8.58e-11 | 15.05 | 7.29 | 1.28e-07 | 6.42e-07 | 13KRT17, ANXA1, PPL, KRT7, KRT8, KRT5, KRT19, KRT4, EMP1, GRHL3, KRT18, SCEL, SFN |
463 |
GOBP_EPIDERMAL_CELL_DIFFERENTIATION | 1.29e-09 | 15.58 | 7.13 | 1.21e-06 | 9.69e-06 | 11KRT17, ANXA1, PPL, KRT7, KRT8, KRT5, KRT19, KRT4, KRT18, SCEL, SFN |
360 |
GOBP_HEPATOCYTE_APOPTOTIC_PROCESS | 5.84e-04 | 66.76 | 7.07 | 1.25e-01 | 1.00e+00 | 2KRT8, KRT18 |
14 |
GOBP_CELL_CELL_JUNCTION_ASSEMBLY | 2.02e-06 | 18.64 | 6.39 | 1.08e-03 | 1.51e-02 | 6CLDN3, CLDN23, CLDN4, CLDN6, CLDN8, CLDN7 |
147 |
GOBP_HEPATOCYTE_DIFFERENTIATION | 7.68e-04 | 57.26 | 6.15 | 1.51e-01 | 1.00e+00 | 2ANXA1, KRT18 |
16 |
GOBP_EPITHELIAL_CELL_DIFFERENTIATION | 2.95e-11 | 11.96 | 6.13 | 5.51e-08 | 2.21e-07 | 16KRT17, UPK1A, CLDN3, ANXA1, PPL, KRT7, UPK1B, KRT8, KRT5, KRT19, KRT4, KRT18, RAB25, SCEL, SPINT2, SFN |
775 |
GOBP_EMBRYONIC_PLACENTA_DEVELOPMENT | 5.08e-05 | 22.32 | 5.70 | 1.90e-02 | 3.80e-01 | 4SPINT1, KRT8, KRT19, SPINT2 |
79 |
GOBP_EPITHELIUM_DEVELOPMENT | 4.63e-12 | 10.25 | 5.50 | 3.46e-08 | 3.46e-08 | 20KRT17, UPK1A, CLDN3, ANXA1, PPL, KRT7, UPK1B, SPINT1, TACSTD2, KRT8, KRT5, KRT19, KRT4, NRARP, GRHL3, KRT18, RAB25, SCEL, SPINT2, SFN |
1275 |
Dowload full table
Immunological Gene Sets:
P-value | OR | Lower 95% CI | FDR | FWER | Genes Found | Gene Set Size | |
---|---|---|---|---|---|---|---|
GSE19888_CTRL_VS_T_CELL_MEMBRANES_ACT_MAST_CELL_DN | 7.32e-07 | 16.26 | 6.09 | 3.57e-03 | 3.57e-03 | 7S100A14, PPL, SPINT1, MALL, GRHL3, SCEL, SFN |
200 |
GSE3565_CTRL_VS_LPS_INJECTED_SPLENOCYTES_UP | 6.04e-06 | 15.28 | 5.25 | 1.42e-02 | 2.94e-02 | 6SLC2A3, UPK1A, ANXA1, NEBL, EMP1, AHNAK |
178 |
GSE360_L_MAJOR_VS_B_MALAYI_LOW_DOSE_DC_UP | 1.17e-05 | 13.54 | 4.66 | 1.42e-02 | 5.69e-02 | 6SLC2A3, KRT17, CLDN4, KRT8, CLDN8, SPINT2 |
200 |
GSE27092_WT_VS_HDAC7_PHOSPHO_DEFICIENT_CD8_TCELL_UP | 1.17e-05 | 13.54 | 4.66 | 1.42e-02 | 5.69e-02 | 6PPL, TACSTD2, KRT8, KRT4, SCEL, ARG1 |
200 |
GSE3565_DUSP1_VS_WT_SPLENOCYTES_UP | 6.01e-05 | 13.55 | 4.14 | 5.86e-02 | 2.93e-01 | 5SLC2A3, ANXA1, NEBL, EMP1, AHNAK |
163 |
GSE42021_TREG_VS_TCONV_PLN_DN | 1.53e-04 | 11.04 | 3.38 | 6.92e-02 | 7.43e-01 | 5MALL, KRT19, SMAGP, AHNAK, SPINT2 |
199 |
GSE42021_TCONV_PLN_VS_CD24HI_TCONV_THYMUS_DN | 1.53e-04 | 11.04 | 3.38 | 6.92e-02 | 7.43e-01 | 5PPL, MALL, KRT19, SMAGP, SPINT2 |
199 |
GSE24634_IL4_VS_CTRL_TREATED_NAIVE_CD4_TCELL_DAY3_UP | 1.56e-04 | 10.98 | 3.37 | 6.92e-02 | 7.61e-01 | 5ANXA1, KRT5, AHNAK, SPINT2, SFN |
200 |
GSE2405_HEAT_KILLED_LYSATE_VS_LIVE_A_PHAGOCYTOPHILUM_STIM_NEUTROPHIL_24H_UP | 1.56e-04 | 10.98 | 3.37 | 6.92e-02 | 7.61e-01 | 5TNFAIP2, ANXA1, KRT7, KRT5, AHNAK |
200 |
GSE2405_0H_VS_3H_A_PHAGOCYTOPHILUM_STIM_NEUTROPHIL_UP | 1.56e-04 | 10.98 | 3.37 | 6.92e-02 | 7.61e-01 | 5SPINT1, KRT5, NRARP, BSPRY, CLDN7 |
200 |
GSE24210_IL35_TREATED_VS_RESTING_TREG_UP | 1.56e-04 | 10.98 | 3.37 | 6.92e-02 | 7.61e-01 | 5SLC2A3, KRT7, MALL, TACSTD2, KRT8 |
200 |
GSE40274_CTRL_VS_XBP1_TRANSDUCED_ACTIVATED_CD4_TCELL_UP | 9.60e-04 | 10.04 | 2.59 | 2.76e-01 | 1.00e+00 | 4SLC2A3, TNFAIP2, SCEL, AHNAK |
171 |
GSE13946_CTRL_VS_DSS_COLITIS_GD_TCELL_FROM_COLON_UP | 1.11e-03 | 9.63 | 2.49 | 2.76e-01 | 1.00e+00 | 4ANXA1, EMP1, AHNAK, BSPRY |
178 |
GSE14699_DELETIONAL_TOLERANCE_VS_ACTIVATED_CD8_TCELL_UP | 1.16e-03 | 9.52 | 2.46 | 2.76e-01 | 1.00e+00 | 4ANXA1, EMP1, AHNAK, BSPRY |
180 |
GSE3565_CTRL_VS_LPS_INJECTED_DUSP1_KO_SPLENOCYTES_UP | 1.18e-03 | 9.47 | 2.45 | 2.76e-01 | 1.00e+00 | 4SLC2A3, ANXA1, AHNAK, BSPRY |
181 |
GSE37301_MULTIPOTENT_PROGENITOR_VS_LYMPHOID_PRIMED_MPP_DN | 1.18e-03 | 9.47 | 2.45 | 2.76e-01 | 1.00e+00 | 4ANXA1, KRT18, AHNAK, BSPRY |
181 |
GSE15659_TREG_VS_TCONV_UP | 1.49e-03 | 8.87 | 2.30 | 2.76e-01 | 1.00e+00 | 4NEBL, ALDH3B2, VTCN1, ARG1 |
193 |
GSE1740_UNSTIM_VS_IFNA_STIMULATED_MCSF_IFNG_DERIVED_MACROPHAGE_UP | 1.52e-03 | 8.82 | 2.28 | 2.76e-01 | 1.00e+00 | 4SLC2A3, NEBL, CLDN4, EMP1 |
194 |
GSE29618_PRE_VS_DAY7_POST_TIV_FLU_VACCINE_BCELL_UP | 1.58e-03 | 8.73 | 2.26 | 2.76e-01 | 1.00e+00 | 4GABRP, KRT17, SLC6A14, BSPRY |
196 |
GSE15330_HSC_VS_MEGAKARYOCYTE_ERYTHROID_PROGENITOR_IKAROS_KO_DN | 1.67e-03 | 8.60 | 2.23 | 2.76e-01 | 1.00e+00 | 4CLDN23, KRT7, RHOV, SPINT2 |
199 |
Top Ranked Transcription Factors for this Gene Expression Program:
Gene Symbol | TF Rank | DNA Binding Domain | Motif Status | IUPAC PWM | GTEx | DepMap | Decartes |
---|---|---|---|---|---|---|---|
GRHL3 | 35 | Yes | Likely to be sequence specific TF | Monomer or homomultimer | No motif | None | Binds the same AACCGGTT consensus as the paralog GRHL1 based on SELEX (PMID: 21081122). |
IKZF2 | 53 | Yes | Known motif | Monomer or homomultimer | In vivo/Misc source | Only known motifs are from Transfac or HocoMoco - origin is uncertain | None |
SP6 | 64 | Yes | Inferred motif | Monomer or homomultimer | High-throughput in vitro | None | None |
JUP | 67 | No | Unlikely to be sequence specific TF | Not a DNA binding protein | No motif | None | None |
DSP | 84 | No | Unlikely to be sequence specific TF | Not a DNA binding protein | No motif | None | None |
ELF5 | 85 | Yes | Known motif | Monomer or homomultimer | High-throughput in vitro | None | None |
FOXI2 | 87 | Yes | Inferred motif | Monomer or homomultimer | High-throughput in vitro | None | None |
CARD14 | 90 | No | Unlikely to be sequence specific TF | Not a DNA binding protein | No motif | None | None |
GRHL1 | 124 | Yes | Known motif | Monomer or homomultimer | High-throughput in vitro | None | None |
MACC1 | 131 | No | Unlikely to be sequence specific TF | Not a DNA binding protein | No motif | None | None |
TRIM29 | 137 | No | Unlikely to be sequence specific TF | Not a DNA binding protein | No motif | None | Previous evidence for TF activity (PMID: 8188213) is based on sequence analysis and does not provide DNA-binding evidence. Based on EntrezGene information, its likely a transcriptional co-factor |
VGLL1 | 144 | No | Unlikely to be sequence specific TF | Not a DNA binding protein | No motif | None | Likely transcriptional cofactor (PMID: 10518497) |
MYCL | 154 | Yes | Inferred motif | Obligate heteromer | In vivo/Misc source | None | Similar to MYC and thus likely to functions as a heterodimer with MAX. |
AHR | 176 | Yes | Known motif | Monomer or homomultimer | In vivo/Misc source | Only known motifs are from Transfac or HocoMoco - origin is uncertain | None |
PPP1R13L | 214 | No | Unlikely to be sequence specific TF | Not a DNA binding protein | No motif | None | None |
ZBTB7B | 234 | Yes | Known motif | Monomer or homomultimer | High-throughput in vitro | None | None |
EDN1 | 241 | No | Unlikely to be sequence specific TF | Not a DNA binding protein | No motif | None | Protein that is processed into a secreted signaling peptide |
NOTCH1 | 242 | No | Unlikely to be sequence specific TF | Not a DNA binding protein | No motif | None | A transmembrane protein that inhibits MEF2C activation (PMID: 10082551). NOTCH1 does not bind DNA in the structure, and is not required for DNA binding, since RBPJ is bound without it in (PDB:4J2X). |
LSR | 247 | No | Unlikely to be sequence specific TF | Not a DNA binding protein | No motif | None | Cell plasma membrane resident protein that functions in cell-cell junctions (PMID: 25753034) |
PRKCH | 248 | No | Unlikely to be sequence specific TF | Not a DNA binding protein | No motif | None | Protein is a kinase that activates another kinase leading to degradation of NFKB inhibitor NFKBIA (PMID: 21820409) |
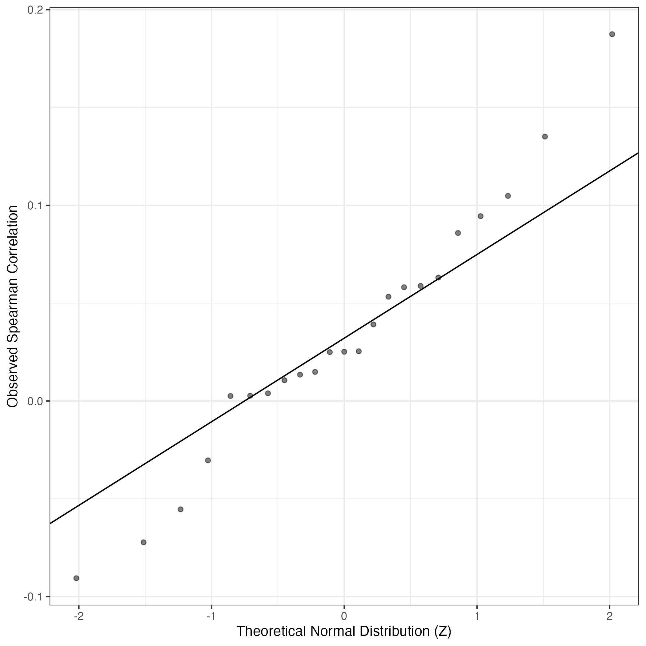
QQ Plot showing correlations with other GEPs in this dataset, calculated by Spearman correlation:
Interactive QQ-plot of gene loadings:
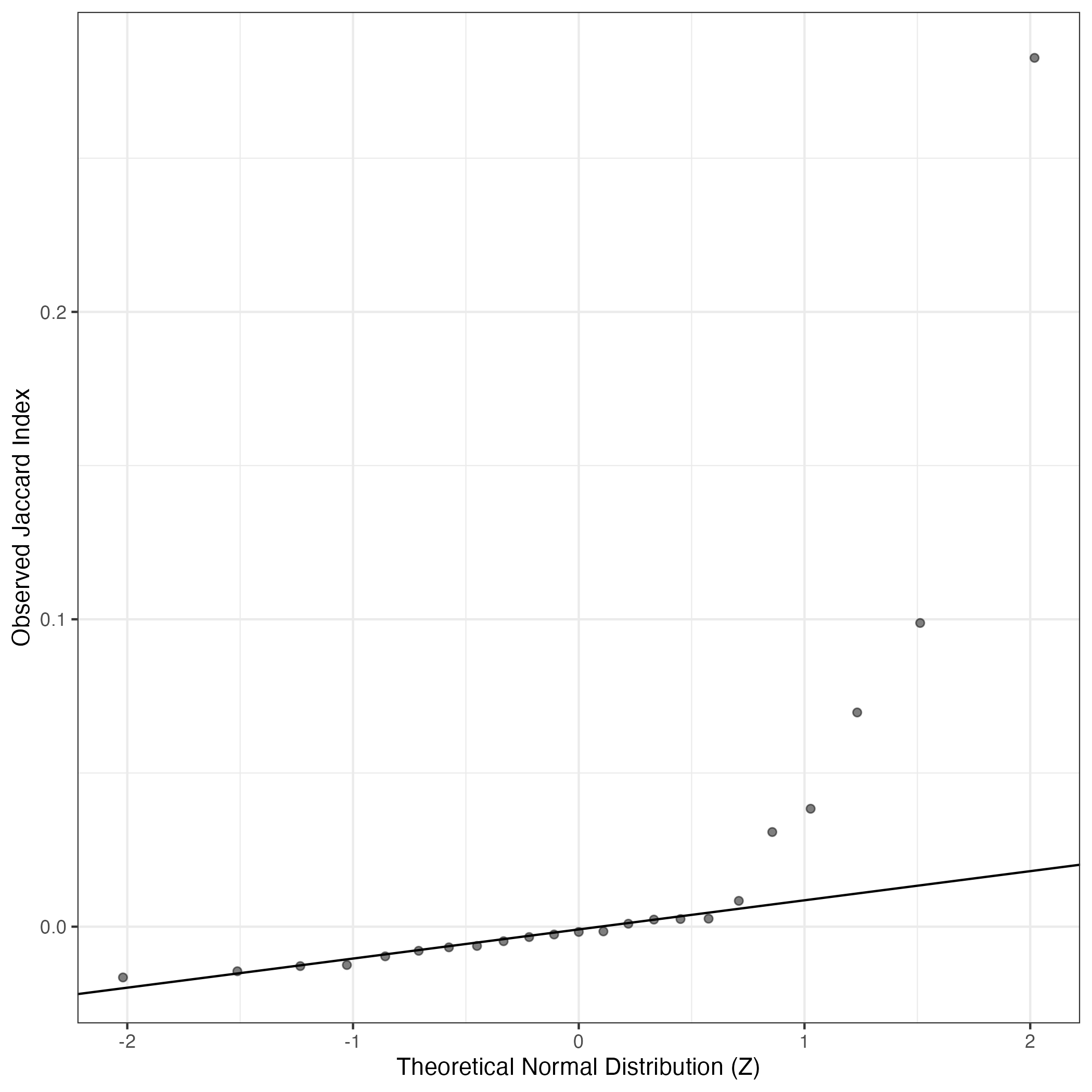
A similar QQ-plot as above, but only for instances where the H value is e.g. > 25, i.e. we are confident that the expression program is active above noise. Agreemenet between these binary vectors is tested using the Jaccard Index, with the P-values calculated by an exact test:
Interactive QQ-plot:
Singler cell type annotations for the top 50 cells on this program.
Cell ID | Singler label | Singler Delta | Activity Score | Top Singler Raw Scores |
---|---|---|---|---|
X72_TGTTCTAGTCGTCGGT | Neuroepithelial_cell:ESC-derived | 0.37 | 2451.77 | Raw ScoresNeuroepithelial_cell:ESC-derived: 0.76, Neurons:ES_cell-derived_neural_precursor: 0.76, iPS_cells:CRL2097_foreskin-derived:d20_hepatic_diff: 0.74, MSC: 0.74, Embryonic_stem_cells: 0.72, Keratinocytes: 0.68, Fibroblasts:breast: 0.68, Keratinocytes:IL26: 0.68, iPS_cells:adipose_stem_cells: 0.68, Chondrocytes:MSC-derived: 0.66 |
X72_ATGATCGGTAGGACTG | iPS_cells:adipose_stem_cells | 0.34 | 1286.19 | Raw ScoresiPS_cells:adipose_stem_cells: 0.78, Fibroblasts:breast: 0.78, MSC: 0.75, Neurons:ES_cell-derived_neural_precursor: 0.74, Chondrocytes:MSC-derived: 0.73, Neuroepithelial_cell:ESC-derived: 0.73, Tissue_stem_cells:BM_MSC:TGFb3: 0.69, Embryonic_stem_cells: 0.66, iPS_cells:CRL2097_foreskin-derived:d20_hepatic_diff: 0.65, Smooth_muscle_cells:vascular:IL-17: 0.65 |
X72_ATCATTCGTTCGAAGG | Neuroepithelial_cell:ESC-derived | 0.33 | 1155.59 | Raw ScoresNeuroepithelial_cell:ESC-derived: 0.68, Neurons:ES_cell-derived_neural_precursor: 0.68, MSC: 0.65, Chondrocytes:MSC-derived: 0.64, Gametocytes:oocyte: 0.62, iPS_cells:CRL2097_foreskin-derived:d20_hepatic_diff: 0.6, iPS_cells:PDB_2lox-17: 0.59, Erythroblast: 0.58, Embryonic_stem_cells: 0.57, Neurons:adrenal_medulla_cell_line: 0.55 |
X72_CGAAGGACATTGTACG | Neuroepithelial_cell:ESC-derived | 0.37 | 1125.12 | Raw ScoresNeuroepithelial_cell:ESC-derived: 0.76, Neurons:ES_cell-derived_neural_precursor: 0.76, iPS_cells:CRL2097_foreskin-derived:d20_hepatic_diff: 0.74, MSC: 0.74, Embryonic_stem_cells: 0.72, Keratinocytes: 0.68, Fibroblasts:breast: 0.68, Keratinocytes:IL26: 0.68, iPS_cells:adipose_stem_cells: 0.68, Chondrocytes:MSC-derived: 0.66 |
X71_ATGCGATCAAGTTTGC | Neuroepithelial_cell:ESC-derived | 0.33 | 1070.08 | Raw ScoresNeuroepithelial_cell:ESC-derived: 0.68, Neurons:ES_cell-derived_neural_precursor: 0.68, MSC: 0.65, Chondrocytes:MSC-derived: 0.64, Gametocytes:oocyte: 0.63, iPS_cells:CRL2097_foreskin-derived:d20_hepatic_diff: 0.6, iPS_cells:PDB_2lox-17: 0.59, Erythroblast: 0.59, Embryonic_stem_cells: 0.58, Neurons:adrenal_medulla_cell_line: 0.55 |
X72_ACAAGCTCAACAGTGG | Neuroepithelial_cell:ESC-derived | 0.38 | 980.47 | Raw ScoresNeuroepithelial_cell:ESC-derived: 0.75, Neurons:ES_cell-derived_neural_precursor: 0.75, iPS_cells:CRL2097_foreskin-derived:d20_hepatic_diff: 0.74, MSC: 0.72, Embryonic_stem_cells: 0.72, Fibroblasts:breast: 0.68, Keratinocytes: 0.68, Keratinocytes:IL26: 0.68, iPS_cells:adipose_stem_cells: 0.68, Astrocyte:Embryonic_stem_cell-derived: 0.67 |
X72_CAACGGCTCGTTGTTT | iPS_cells:CRL2097_foreskin-derived:d20_hepatic_diff | 0.40 | 960.80 | Raw ScoresiPS_cells:CRL2097_foreskin-derived:d20_hepatic_diff: 0.68, Neurons:ES_cell-derived_neural_precursor: 0.68, Keratinocytes:KGF: 0.65, iPS_cells:adipose_stem_cells: 0.65, iPS_cells:fibroblast-derived:Direct_del._reprog: 0.65, Fibroblasts:breast: 0.65, Keratinocytes: 0.65, Keratinocytes:IL19: 0.65, Keratinocytes:IL20: 0.65, Keratinocytes:IL22: 0.65 |
X71_TGTAGACTCGAACACT | Neuroepithelial_cell:ESC-derived | 0.33 | 891.03 | Raw ScoresNeuroepithelial_cell:ESC-derived: 0.68, Neurons:ES_cell-derived_neural_precursor: 0.68, MSC: 0.65, Chondrocytes:MSC-derived: 0.64, Gametocytes:oocyte: 0.62, iPS_cells:CRL2097_foreskin-derived:d20_hepatic_diff: 0.6, iPS_cells:PDB_2lox-17: 0.59, Erythroblast: 0.58, Embryonic_stem_cells: 0.57, Neurons:adrenal_medulla_cell_line: 0.55 |
X71_CGCATGGGTGGCAACA | Neuroepithelial_cell:ESC-derived | 0.35 | 871.28 | Raw ScoresNeuroepithelial_cell:ESC-derived: 0.58, Neurons:ES_cell-derived_neural_precursor: 0.58, Erythroblast: 0.57, Gametocytes:oocyte: 0.57, MSC: 0.57, Chondrocytes:MSC-derived: 0.54, iPS_cells:CRL2097_foreskin-derived:d20_hepatic_diff: 0.54, Keratinocytes:KGF: 0.5, Neurons:adrenal_medulla_cell_line: 0.5, iPS_cells:adipose_stem_cells: 0.5 |
X71_CGCATAAAGGTCCTGC | Neuroepithelial_cell:ESC-derived | 0.35 | 862.88 | Raw ScoresNeuroepithelial_cell:ESC-derived: 0.58, Neurons:ES_cell-derived_neural_precursor: 0.58, Erythroblast: 0.57, Gametocytes:oocyte: 0.57, MSC: 0.57, Chondrocytes:MSC-derived: 0.54, iPS_cells:CRL2097_foreskin-derived:d20_hepatic_diff: 0.54, Keratinocytes:KGF: 0.5, Neurons:adrenal_medulla_cell_line: 0.5, iPS_cells:adipose_stem_cells: 0.5 |
X71_TTCCTAAGTGTGTTTG | Neuroepithelial_cell:ESC-derived | 0.33 | 851.55 | Raw ScoresNeuroepithelial_cell:ESC-derived: 0.68, Neurons:ES_cell-derived_neural_precursor: 0.68, MSC: 0.65, Chondrocytes:MSC-derived: 0.64, Gametocytes:oocyte: 0.63, iPS_cells:CRL2097_foreskin-derived:d20_hepatic_diff: 0.6, iPS_cells:PDB_2lox-17: 0.59, Erythroblast: 0.59, Embryonic_stem_cells: 0.58, Neurons:adrenal_medulla_cell_line: 0.55 |
X71_AAGCATCTCCATGCAA | Neuroepithelial_cell:ESC-derived | 0.35 | 802.18 | Raw ScoresNeuroepithelial_cell:ESC-derived: 0.58, Neurons:ES_cell-derived_neural_precursor: 0.58, Erythroblast: 0.57, Gametocytes:oocyte: 0.57, MSC: 0.57, Chondrocytes:MSC-derived: 0.54, iPS_cells:CRL2097_foreskin-derived:d20_hepatic_diff: 0.54, Keratinocytes:KGF: 0.5, Neurons:adrenal_medulla_cell_line: 0.5, iPS_cells:adipose_stem_cells: 0.5 |
X71_GCCGTGACACCTGAAT | Neuroepithelial_cell:ESC-derived | 0.35 | 788.02 | Raw ScoresNeuroepithelial_cell:ESC-derived: 0.58, Neurons:ES_cell-derived_neural_precursor: 0.58, Erythroblast: 0.57, Gametocytes:oocyte: 0.57, MSC: 0.57, Chondrocytes:MSC-derived: 0.54, iPS_cells:CRL2097_foreskin-derived:d20_hepatic_diff: 0.54, Keratinocytes:KGF: 0.5, Neurons:adrenal_medulla_cell_line: 0.5, iPS_cells:adipose_stem_cells: 0.5 |
X71_TTGGGCGCAGTCTTCC | Neuroepithelial_cell:ESC-derived | 0.35 | 779.76 | Raw ScoresNeuroepithelial_cell:ESC-derived: 0.58, Neurons:ES_cell-derived_neural_precursor: 0.58, Erythroblast: 0.57, Gametocytes:oocyte: 0.57, MSC: 0.57, Chondrocytes:MSC-derived: 0.54, iPS_cells:CRL2097_foreskin-derived:d20_hepatic_diff: 0.54, Keratinocytes:KGF: 0.5, Neurons:adrenal_medulla_cell_line: 0.5, iPS_cells:adipose_stem_cells: 0.5 |
X72_AGGACGACACTGCATA | Neuroepithelial_cell:ESC-derived | 0.35 | 759.96 | Raw ScoresNeuroepithelial_cell:ESC-derived: 0.58, Neurons:ES_cell-derived_neural_precursor: 0.58, Erythroblast: 0.57, Gametocytes:oocyte: 0.57, MSC: 0.57, Chondrocytes:MSC-derived: 0.54, iPS_cells:CRL2097_foreskin-derived:d20_hepatic_diff: 0.54, Keratinocytes:KGF: 0.5, Neurons:adrenal_medulla_cell_line: 0.5, iPS_cells:adipose_stem_cells: 0.5 |
X71_GGGTCTGGTGTCACAT | Smooth_muscle_cells:bronchial | 0.31 | 743.04 | Raw ScoresSmooth_muscle_cells:bronchial: 0.67, Smooth_muscle_cells:bronchial:vit_D: 0.67, Erythroblast: 0.66, Chondrocytes:MSC-derived: 0.62, Gametocytes:oocyte: 0.61, Neuroepithelial_cell:ESC-derived: 0.58, Neurons:ES_cell-derived_neural_precursor: 0.58, Neutrophil:LPS: 0.58, MSC: 0.58, Epithelial_cells:bronchial: 0.58 |
X71_TAATCTCGTGGACAGT | Neurons:ES_cell-derived_neural_precursor | 0.40 | 726.86 | Raw ScoresNeurons:ES_cell-derived_neural_precursor: 0.68, iPS_cells:CRL2097_foreskin-derived:d20_hepatic_diff: 0.68, Neuroepithelial_cell:ESC-derived: 0.65, Embryonic_stem_cells: 0.65, Keratinocytes:KGF: 0.64, iPS_cells:adipose_stem_cells: 0.64, iPS_cells:fibroblast-derived:Direct_del._reprog: 0.64, Keratinocytes:IL26: 0.63, Fibroblasts:breast: 0.63, Keratinocytes: 0.63 |
X72_ACCAAACAGGTAGACC | Neuroepithelial_cell:ESC-derived | 0.35 | 722.74 | Raw ScoresNeuroepithelial_cell:ESC-derived: 0.58, Neurons:ES_cell-derived_neural_precursor: 0.58, Erythroblast: 0.57, Gametocytes:oocyte: 0.57, MSC: 0.57, Chondrocytes:MSC-derived: 0.54, iPS_cells:CRL2097_foreskin-derived:d20_hepatic_diff: 0.54, Keratinocytes:KGF: 0.5, Neurons:adrenal_medulla_cell_line: 0.5, iPS_cells:adipose_stem_cells: 0.5 |
X71_CTTCGGTAGACCATGG | MSC | 0.32 | 710.27 | Raw ScoresMSC: 0.36, Neuroepithelial_cell:ESC-derived: 0.35, Neurons:ES_cell-derived_neural_precursor: 0.35, iPS_cells:CRL2097_foreskin-derived:d20_hepatic_diff: 0.33, Chondrocytes:MSC-derived: 0.32, Erythroblast: 0.32, Gametocytes:oocyte: 0.32, iPS_cells:adipose_stem_cells: 0.31, Neutrophil:GM-CSF_IFNg: 0.31, Keratinocytes:KGF: 0.28 |
X72_CCTCTCCCAAAGGAGA | Neuroepithelial_cell:ESC-derived | 0.35 | 707.35 | Raw ScoresNeuroepithelial_cell:ESC-derived: 0.58, Neurons:ES_cell-derived_neural_precursor: 0.58, Erythroblast: 0.57, Gametocytes:oocyte: 0.57, MSC: 0.57, Chondrocytes:MSC-derived: 0.54, iPS_cells:CRL2097_foreskin-derived:d20_hepatic_diff: 0.54, Keratinocytes:KGF: 0.5, Neurons:adrenal_medulla_cell_line: 0.5, iPS_cells:adipose_stem_cells: 0.5 |
X72_ATCGTAGCACCAGGTC | Neuroepithelial_cell:ESC-derived | 0.29 | 696.99 | Raw ScoresNeuroepithelial_cell:ESC-derived: 0.8, Neurons:ES_cell-derived_neural_precursor: 0.78, MSC: 0.77, iPS_cells:CRL2097_foreskin-derived:d20_hepatic_diff: 0.76, Embryonic_stem_cells: 0.75, Smooth_muscle_cells:vascular: 0.74, Smooth_muscle_cells:vascular:IL-17: 0.73, Tissue_stem_cells:BM_MSC:TGFb3: 0.73, Chondrocytes:MSC-derived: 0.73, iPS_cells:adipose_stem_cells: 0.72 |
X71_AAGACTCAGTAGTCTC | Neurons:ES_cell-derived_neural_precursor | 0.40 | 674.45 | Raw ScoresNeurons:ES_cell-derived_neural_precursor: 0.68, iPS_cells:CRL2097_foreskin-derived:d20_hepatic_diff: 0.68, Neuroepithelial_cell:ESC-derived: 0.65, Embryonic_stem_cells: 0.65, Keratinocytes:KGF: 0.64, iPS_cells:adipose_stem_cells: 0.64, iPS_cells:fibroblast-derived:Direct_del._reprog: 0.64, Keratinocytes:IL26: 0.63, Fibroblasts:breast: 0.63, Keratinocytes: 0.63 |
X72_GTCGCGACATGTGCCG | Neuroepithelial_cell:ESC-derived | 0.33 | 671.07 | Raw ScoresNeuroepithelial_cell:ESC-derived: 0.68, Neurons:ES_cell-derived_neural_precursor: 0.68, MSC: 0.65, Chondrocytes:MSC-derived: 0.64, Gametocytes:oocyte: 0.63, iPS_cells:CRL2097_foreskin-derived:d20_hepatic_diff: 0.6, iPS_cells:PDB_2lox-17: 0.59, Erythroblast: 0.59, Embryonic_stem_cells: 0.58, Neurons:adrenal_medulla_cell_line: 0.55 |
X71_GAGAGGTTCCCTAGGG | Neuroepithelial_cell:ESC-derived | 0.33 | 663.83 | Raw ScoresNeuroepithelial_cell:ESC-derived: 0.68, Neurons:ES_cell-derived_neural_precursor: 0.68, MSC: 0.65, Chondrocytes:MSC-derived: 0.64, Gametocytes:oocyte: 0.63, iPS_cells:CRL2097_foreskin-derived:d20_hepatic_diff: 0.6, iPS_cells:PDB_2lox-17: 0.59, Erythroblast: 0.59, Embryonic_stem_cells: 0.58, Neurons:adrenal_medulla_cell_line: 0.55 |
X71_GTATTGGTCCGCAGTG | Neurons:ES_cell-derived_neural_precursor | 0.40 | 652.74 | Raw ScoresNeurons:ES_cell-derived_neural_precursor: 0.68, iPS_cells:CRL2097_foreskin-derived:d20_hepatic_diff: 0.68, Neuroepithelial_cell:ESC-derived: 0.65, Embryonic_stem_cells: 0.65, Keratinocytes:KGF: 0.64, iPS_cells:adipose_stem_cells: 0.64, iPS_cells:fibroblast-derived:Direct_del._reprog: 0.64, Keratinocytes:IL26: 0.63, Fibroblasts:breast: 0.63, Keratinocytes: 0.63 |
X71_CATGCAACATGTGGTT | Neurons:ES_cell-derived_neural_precursor | 0.40 | 650.74 | Raw ScoresNeurons:ES_cell-derived_neural_precursor: 0.68, iPS_cells:CRL2097_foreskin-derived:d20_hepatic_diff: 0.68, Neuroepithelial_cell:ESC-derived: 0.65, Embryonic_stem_cells: 0.65, Keratinocytes:KGF: 0.64, iPS_cells:adipose_stem_cells: 0.64, iPS_cells:fibroblast-derived:Direct_del._reprog: 0.64, Keratinocytes:IL26: 0.63, Fibroblasts:breast: 0.63, Keratinocytes: 0.63 |
X71_TGACAGTTCTATCGGA | Neuroepithelial_cell:ESC-derived | 0.33 | 635.69 | Raw ScoresNeuroepithelial_cell:ESC-derived: 0.68, Neurons:ES_cell-derived_neural_precursor: 0.68, MSC: 0.65, Chondrocytes:MSC-derived: 0.64, Gametocytes:oocyte: 0.63, iPS_cells:CRL2097_foreskin-derived:d20_hepatic_diff: 0.6, iPS_cells:PDB_2lox-17: 0.59, Erythroblast: 0.59, Embryonic_stem_cells: 0.58, Neurons:adrenal_medulla_cell_line: 0.55 |
X71_GGTTGTATCTTCTAAC | Neuroepithelial_cell:ESC-derived | 0.35 | 630.86 | Raw ScoresNeuroepithelial_cell:ESC-derived: 0.58, Neurons:ES_cell-derived_neural_precursor: 0.58, Erythroblast: 0.57, Gametocytes:oocyte: 0.57, MSC: 0.57, Chondrocytes:MSC-derived: 0.54, iPS_cells:CRL2097_foreskin-derived:d20_hepatic_diff: 0.54, Keratinocytes:KGF: 0.5, Neurons:adrenal_medulla_cell_line: 0.5, iPS_cells:adipose_stem_cells: 0.5 |
X71_TTTACTGCAACCCGCA | Neuroepithelial_cell:ESC-derived | 0.35 | 629.35 | Raw ScoresNeuroepithelial_cell:ESC-derived: 0.58, Neurons:ES_cell-derived_neural_precursor: 0.58, Erythroblast: 0.57, Gametocytes:oocyte: 0.57, MSC: 0.57, Chondrocytes:MSC-derived: 0.54, iPS_cells:CRL2097_foreskin-derived:d20_hepatic_diff: 0.54, Keratinocytes:KGF: 0.5, Neurons:adrenal_medulla_cell_line: 0.5, iPS_cells:adipose_stem_cells: 0.5 |
X71_CAGCACGGTTGCACGC | Neuroepithelial_cell:ESC-derived | 0.35 | 616.28 | Raw ScoresNeuroepithelial_cell:ESC-derived: 0.58, Neurons:ES_cell-derived_neural_precursor: 0.58, Erythroblast: 0.57, Gametocytes:oocyte: 0.57, MSC: 0.57, Chondrocytes:MSC-derived: 0.54, iPS_cells:CRL2097_foreskin-derived:d20_hepatic_diff: 0.54, Keratinocytes:KGF: 0.5, Neurons:adrenal_medulla_cell_line: 0.5, iPS_cells:adipose_stem_cells: 0.5 |
X71_TCTATCAAGAAGGTAG | Neurons:ES_cell-derived_neural_precursor | 0.40 | 610.19 | Raw ScoresNeurons:ES_cell-derived_neural_precursor: 0.68, iPS_cells:CRL2097_foreskin-derived:d20_hepatic_diff: 0.68, Neuroepithelial_cell:ESC-derived: 0.65, Embryonic_stem_cells: 0.65, Keratinocytes:KGF: 0.64, iPS_cells:adipose_stem_cells: 0.64, iPS_cells:fibroblast-derived:Direct_del._reprog: 0.64, Keratinocytes:IL26: 0.63, Fibroblasts:breast: 0.63, Keratinocytes: 0.63 |
X71_CCCTGATGTCCGGTGT | Smooth_muscle_cells:bronchial | 0.30 | 609.81 | Raw ScoresSmooth_muscle_cells:bronchial: 0.67, Smooth_muscle_cells:bronchial:vit_D: 0.67, Erythroblast: 0.67, Gametocytes:oocyte: 0.62, Chondrocytes:MSC-derived: 0.62, Neuroepithelial_cell:ESC-derived: 0.59, Neurons:ES_cell-derived_neural_precursor: 0.59, MSC: 0.59, Neutrophil:LPS: 0.58, Smooth_muscle_cells:vascular: 0.57 |
X71_TAAGCCATCGACGCTG | Neuroepithelial_cell:ESC-derived | 0.33 | 588.48 | Raw ScoresNeuroepithelial_cell:ESC-derived: 0.68, Neurons:ES_cell-derived_neural_precursor: 0.68, MSC: 0.65, Chondrocytes:MSC-derived: 0.64, Gametocytes:oocyte: 0.63, iPS_cells:CRL2097_foreskin-derived:d20_hepatic_diff: 0.6, iPS_cells:PDB_2lox-17: 0.59, Erythroblast: 0.59, Embryonic_stem_cells: 0.58, Neurons:adrenal_medulla_cell_line: 0.55 |
X71_AGGTTACTCGGAAGGT | Neuroepithelial_cell:ESC-derived | 0.35 | 531.94 | Raw ScoresNeuroepithelial_cell:ESC-derived: 0.58, Neurons:ES_cell-derived_neural_precursor: 0.58, Erythroblast: 0.57, Gametocytes:oocyte: 0.57, MSC: 0.57, Chondrocytes:MSC-derived: 0.54, iPS_cells:CRL2097_foreskin-derived:d20_hepatic_diff: 0.54, Keratinocytes:KGF: 0.5, Neurons:adrenal_medulla_cell_line: 0.5, iPS_cells:adipose_stem_cells: 0.5 |
X71_CATGCGGAGCCTTCTC | Neuroepithelial_cell:ESC-derived | 0.33 | 511.64 | Raw ScoresNeuroepithelial_cell:ESC-derived: 0.68, Neurons:ES_cell-derived_neural_precursor: 0.68, MSC: 0.65, Chondrocytes:MSC-derived: 0.64, Gametocytes:oocyte: 0.63, iPS_cells:CRL2097_foreskin-derived:d20_hepatic_diff: 0.6, iPS_cells:PDB_2lox-17: 0.59, Erythroblast: 0.59, Embryonic_stem_cells: 0.58, Neurons:adrenal_medulla_cell_line: 0.55 |
X71_AACGGGAAGTGCACCC | Neurons:ES_cell-derived_neural_precursor | 0.40 | 507.70 | Raw ScoresNeurons:ES_cell-derived_neural_precursor: 0.68, iPS_cells:CRL2097_foreskin-derived:d20_hepatic_diff: 0.68, Neuroepithelial_cell:ESC-derived: 0.65, Embryonic_stem_cells: 0.65, Keratinocytes:KGF: 0.64, iPS_cells:adipose_stem_cells: 0.64, iPS_cells:fibroblast-derived:Direct_del._reprog: 0.64, Keratinocytes:IL26: 0.63, Fibroblasts:breast: 0.63, Keratinocytes: 0.63 |
X71_GCTGGGTAGCATCCCG | Neuroepithelial_cell:ESC-derived | 0.35 | 491.85 | Raw ScoresNeuroepithelial_cell:ESC-derived: 0.58, Neurons:ES_cell-derived_neural_precursor: 0.58, Erythroblast: 0.57, Gametocytes:oocyte: 0.57, MSC: 0.57, Chondrocytes:MSC-derived: 0.54, iPS_cells:CRL2097_foreskin-derived:d20_hepatic_diff: 0.54, Keratinocytes:KGF: 0.5, Neurons:adrenal_medulla_cell_line: 0.5, iPS_cells:adipose_stem_cells: 0.5 |
X72_CATGGTATCAACTGGT | Neuroepithelial_cell:ESC-derived | 0.35 | 477.73 | Raw ScoresNeuroepithelial_cell:ESC-derived: 0.58, Neurons:ES_cell-derived_neural_precursor: 0.58, Erythroblast: 0.57, Gametocytes:oocyte: 0.57, MSC: 0.57, Chondrocytes:MSC-derived: 0.54, iPS_cells:CRL2097_foreskin-derived:d20_hepatic_diff: 0.54, Keratinocytes:KGF: 0.5, Neurons:adrenal_medulla_cell_line: 0.5, iPS_cells:adipose_stem_cells: 0.5 |
X71_ATGGATCGTTTGTTCT | Smooth_muscle_cells:bronchial | 0.30 | 469.52 | Raw ScoresSmooth_muscle_cells:bronchial: 0.67, Smooth_muscle_cells:bronchial:vit_D: 0.67, Erythroblast: 0.67, Gametocytes:oocyte: 0.62, Chondrocytes:MSC-derived: 0.62, Neuroepithelial_cell:ESC-derived: 0.59, Neurons:ES_cell-derived_neural_precursor: 0.59, MSC: 0.59, Neutrophil:LPS: 0.58, Smooth_muscle_cells:vascular: 0.57 |
X71_CGATGGCGTGCATTAC | Neuroepithelial_cell:ESC-derived | 0.35 | 462.36 | Raw ScoresNeuroepithelial_cell:ESC-derived: 0.58, Neurons:ES_cell-derived_neural_precursor: 0.58, Erythroblast: 0.57, Gametocytes:oocyte: 0.57, MSC: 0.57, Chondrocytes:MSC-derived: 0.54, iPS_cells:CRL2097_foreskin-derived:d20_hepatic_diff: 0.54, Keratinocytes:KGF: 0.5, Neurons:adrenal_medulla_cell_line: 0.5, iPS_cells:adipose_stem_cells: 0.5 |
X71_TCATCCGTCTCGAACA | Neuroepithelial_cell:ESC-derived | 0.35 | 461.88 | Raw ScoresNeuroepithelial_cell:ESC-derived: 0.58, Neurons:ES_cell-derived_neural_precursor: 0.58, Erythroblast: 0.57, Gametocytes:oocyte: 0.57, MSC: 0.57, Chondrocytes:MSC-derived: 0.54, iPS_cells:CRL2097_foreskin-derived:d20_hepatic_diff: 0.54, Keratinocytes:KGF: 0.5, Neurons:adrenal_medulla_cell_line: 0.5, iPS_cells:adipose_stem_cells: 0.5 |
X71_CTAGACAGTGATGTAA | Neuroepithelial_cell:ESC-derived | 0.33 | 461.79 | Raw ScoresNeuroepithelial_cell:ESC-derived: 0.68, Neurons:ES_cell-derived_neural_precursor: 0.68, MSC: 0.65, Chondrocytes:MSC-derived: 0.64, Gametocytes:oocyte: 0.63, iPS_cells:CRL2097_foreskin-derived:d20_hepatic_diff: 0.6, iPS_cells:PDB_2lox-17: 0.59, Erythroblast: 0.59, Embryonic_stem_cells: 0.58, Neurons:adrenal_medulla_cell_line: 0.55 |
X71_TTTGACTCAACCGTGC | Neuroepithelial_cell:ESC-derived | 0.38 | 447.37 | Raw ScoresNeuroepithelial_cell:ESC-derived: 0.76, Neurons:ES_cell-derived_neural_precursor: 0.76, iPS_cells:CRL2097_foreskin-derived:d20_hepatic_diff: 0.74, MSC: 0.73, Embryonic_stem_cells: 0.73, Fibroblasts:breast: 0.68, Keratinocytes: 0.68, Keratinocytes:IL26: 0.68, iPS_cells:adipose_stem_cells: 0.68, Keratinocytes:KGF: 0.67 |
X72_TCTACCGCAACCAACT | Neuroepithelial_cell:ESC-derived | 0.35 | 447.08 | Raw ScoresNeuroepithelial_cell:ESC-derived: 0.58, Neurons:ES_cell-derived_neural_precursor: 0.58, Erythroblast: 0.57, Gametocytes:oocyte: 0.57, MSC: 0.57, Chondrocytes:MSC-derived: 0.54, iPS_cells:CRL2097_foreskin-derived:d20_hepatic_diff: 0.54, Keratinocytes:KGF: 0.5, Neurons:adrenal_medulla_cell_line: 0.5, iPS_cells:adipose_stem_cells: 0.5 |
X72_TTGGGCGGTACGTTCA | Neuroepithelial_cell:ESC-derived | 0.33 | 445.83 | Raw ScoresNeuroepithelial_cell:ESC-derived: 0.68, Neurons:ES_cell-derived_neural_precursor: 0.68, MSC: 0.65, Chondrocytes:MSC-derived: 0.64, Gametocytes:oocyte: 0.63, iPS_cells:CRL2097_foreskin-derived:d20_hepatic_diff: 0.6, iPS_cells:PDB_2lox-17: 0.59, Erythroblast: 0.59, Embryonic_stem_cells: 0.58, Neurons:adrenal_medulla_cell_line: 0.55 |
X72_ACAAAGATCACGATAC | Smooth_muscle_cells:bronchial | 0.29 | 429.64 | Raw ScoresSmooth_muscle_cells:bronchial: 0.8, Smooth_muscle_cells:bronchial:vit_D: 0.8, Chondrocytes:MSC-derived: 0.78, Osteoblasts:BMP2: 0.73, MSC: 0.72, iPS_cells:adipose_stem_cells: 0.7, iPS_cells:PDB_2lox-21: 0.69, Osteoblasts: 0.69, Smooth_muscle_cells:vascular: 0.68, Tissue_stem_cells:BM_MSC:osteogenic: 0.68 |
X71_ACGGAAGCAATAGAGT | Neuroepithelial_cell:ESC-derived | 0.35 | 421.07 | Raw ScoresNeuroepithelial_cell:ESC-derived: 0.58, Neurons:ES_cell-derived_neural_precursor: 0.58, Erythroblast: 0.57, Gametocytes:oocyte: 0.57, MSC: 0.57, Chondrocytes:MSC-derived: 0.54, iPS_cells:CRL2097_foreskin-derived:d20_hepatic_diff: 0.54, Keratinocytes:KGF: 0.5, Neurons:adrenal_medulla_cell_line: 0.5, iPS_cells:adipose_stem_cells: 0.5 |
X71_GGCACGTTCGAAATCC | Neuroepithelial_cell:ESC-derived | 0.35 | 420.38 | Raw ScoresNeuroepithelial_cell:ESC-derived: 0.58, Neurons:ES_cell-derived_neural_precursor: 0.58, Erythroblast: 0.57, Gametocytes:oocyte: 0.57, MSC: 0.57, Chondrocytes:MSC-derived: 0.54, iPS_cells:CRL2097_foreskin-derived:d20_hepatic_diff: 0.54, Keratinocytes:KGF: 0.5, Neurons:adrenal_medulla_cell_line: 0.5, iPS_cells:adipose_stem_cells: 0.5 |
X71_GACTCAAGTCTGTGCG | Neuroepithelial_cell:ESC-derived | 0.37 | 411.85 | Raw ScoresNeuroepithelial_cell:ESC-derived: 0.76, Neurons:ES_cell-derived_neural_precursor: 0.76, iPS_cells:CRL2097_foreskin-derived:d20_hepatic_diff: 0.75, Embryonic_stem_cells: 0.73, MSC: 0.73, Keratinocytes: 0.69, Keratinocytes:IL26: 0.69, Fibroblasts:breast: 0.69, iPS_cells:adipose_stem_cells: 0.69, Keratinocytes:KGF: 0.67 |
X71_ATTTCACCAGAACCGA | Erythroblast | 0.23 | 400.78 | Raw ScoresErythroblast: 0.67, Neuroepithelial_cell:ESC-derived: 0.66, Smooth_muscle_cells:bronchial: 0.65, Neurons:ES_cell-derived_neural_precursor: 0.64, Gametocytes:oocyte: 0.63, MSC: 0.63, Smooth_muscle_cells:bronchial:vit_D: 0.63, Chondrocytes:MSC-derived: 0.62, DC:monocyte-derived:immature: 0.61, Neutrophil:LPS: 0.6 |
Below shows the significant enrichments of this GEP for literature curated gene lists
This data was procured from existing single cell RNA-seq maps of neuroblastoma or related relevant data.
High ranks indicate this gene is a driver of this GEP.
These curated gene list are ranked by the P-value (on this GEP) of their constituent genes.
The Mean Count column shows the mean read count in cells scoring highly (H > 50) on this gene expression program.
Genes | Weight | Rank | GTEx | DepMap | Decartes | Mean.Counts | Mean.TPM |
---|---|---|---|---|---|---|---|
CDKN1A | 0.0005561 | 875 | GTEx | DepMap | Descartes | 1.47 | 19.20 |
NEAT1 | 0.0005110 | 955 | GTEx | DepMap | Descartes | 1.27 | 8.51 |
IFN Response (Kinker)
These marker genes were obtained in a pan cancer cell lines NMF analysis of scRNA-eq data in Kinker et al (PMID 33128048) - 10 metaprograms were recovered that manifest across cancers, this program contained interferon response genes.:
Wilcoxon ranksum test P-value for gene set overrepresentation: 3.45e-02
Mean rank of genes in gene set: 5127.2
Rank on gene expression program of genes in gene set:
Genes | Weight | Rank | GTEx | DepMap | Decartes | Mean.Counts | Mean.TPM |
---|---|---|---|---|---|---|---|
IFIT1 | 0.0006643 | 709 | GTEx | DepMap | Descartes | 0.23 | 3.32 |
ISG15 | 0.0002331 | 1988 | GTEx | DepMap | Descartes | 0.05 | 6.14 |
ISG20 | 0.0001318 | 3039 | GTEx | DepMap | Descartes | 0.02 | 0.25 |
IFIT3 | 0.0000076 | 6372 | GTEx | DepMap | Descartes | 0.01 | 0.16 |
IFIT2 | -0.0000738 | 13528 | GTEx | DepMap | Descartes | 0.21 | 0.74 |
Chromaffin (Kildisiute)
Chromaffin markers obtained from Kildisiute et al, Supplmenentary Table 2, references supporting these genes are provided in Supp Table S2 of Kildisiute et al (PMID 33547074) https://www.science.org/doi/suppl/10.1126/sciadv.abd3311/suppl_file/abd3311_tables_s1_to_s12.xlsx:
Wilcoxon ranksum test P-value for gene set overrepresentation: 8.08e-02
Mean rank of genes in gene set: 1855
Rank on gene expression program of genes in gene set:
Genes | Weight | Rank | GTEx | DepMap | Decartes | Mean.Counts | Mean.TPM |
---|---|---|---|---|---|---|---|
PNMT | 0.0002522 | 1855 | GTEx | DepMap | Descartes | 0.14 | 11.34 |
Below shows ranks on this GEP for literature curated gene lists for large gene sets
These include those reported as mesenchymal/adrenergic by Van Groningen et al.
High ranks indicate this gene is a driver of this GEP (note these results are not ordered).
The Mean Count column shows the mean read count in cells scoring highly (H > 50) on this gene expression program.
VanGroningen Adrenergic Genes
Adrenergic marker genes from Supplementary Table 2 of Van Groningen et al. Nature Genetics 2017. These genes were identified by differential expression analysis of mesenchymal-like and adrenergic-like neuroblastoma cell lines.
Wilcoxon ranksum test P-value for gene set overrepresentation: 1.00e+00
Mean rank of genes in gene set: 14172.45
Median rank of genes in gene set: 16653
Rank on gene expression program of top 30 genes in gene set:
Genes | Weight | Rank | GTEx | DepMap | Descartes | Mean.Counts | Mean.TPM |
---|---|---|---|---|---|---|---|
ABLIM1 | 0.0040326 | 61 | GTEx | DepMap | Descartes | 9.73 | 4.52 |
GLRX | 0.0022912 | 163 | GTEx | DepMap | Descartes | 2.47 | 32.28 |
GLDC | 0.0016924 | 252 | GTEx | DepMap | Descartes | 1.18 | 2.30 |
FAM60A | 0.0011359 | 400 | GTEx | DepMap | Descartes | 5.18 | NA |
TIAM1 | 0.0008413 | 553 | GTEx | DepMap | Descartes | 3.08 | 0.88 |
FAM107B | 0.0007011 | 675 | GTEx | DepMap | Descartes | 1.28 | 0.64 |
GGH | 0.0005692 | 849 | GTEx | DepMap | Descartes | 1.23 | 6.97 |
BMP7 | 0.0005593 | 871 | GTEx | DepMap | Descartes | 3.45 | 5.60 |
SATB1 | 0.0005335 | 913 | GTEx | DepMap | Descartes | 4.57 | 4.60 |
PIK3R1 | 0.0004938 | 997 | GTEx | DepMap | Descartes | 3.87 | 4.70 |
BEX1 | 0.0004241 | 1142 | GTEx | DepMap | Descartes | 7.59 | 474.13 |
CACNA1B | 0.0004065 | 1191 | GTEx | DepMap | Descartes | 0.94 | 0.73 |
PTS | 0.0003602 | 1339 | GTEx | DepMap | Descartes | 2.43 | 32.57 |
GRB10 | 0.0003142 | 1508 | GTEx | DepMap | Descartes | 9.49 | 9.98 |
MXI1 | 0.0003041 | 1557 | GTEx | DepMap | Descartes | 1.58 | 2.69 |
MAGI3 | 0.0003015 | 1575 | GTEx | DepMap | Descartes | 0.82 | 0.45 |
NGRN | 0.0002562 | 1835 | GTEx | DepMap | Descartes | 1.98 | 49.12 |
TFAP2B | 0.0002510 | 1862 | GTEx | DepMap | Descartes | 11.74 | 36.29 |
CETN3 | 0.0002435 | 1910 | GTEx | DepMap | Descartes | 5.69 | 37.50 |
DAPK1 | 0.0002384 | 1954 | GTEx | DepMap | Descartes | 1.58 | 0.94 |
POLB | 0.0002362 | 1969 | GTEx | DepMap | Descartes | 2.11 | 9.22 |
DACH1 | 0.0002064 | 2204 | GTEx | DepMap | Descartes | 1.14 | 0.34 |
CDKN2C | 0.0001727 | 2553 | GTEx | DepMap | Descartes | 0.29 | 4.51 |
RNF150 | 0.0001722 | 2559 | GTEx | DepMap | Descartes | 0.67 | 0.29 |
FOXO3 | 0.0001707 | 2570 | GTEx | DepMap | Descartes | 0.61 | 0.72 |
AKAP12 | 0.0001674 | 2602 | GTEx | DepMap | Descartes | 2.93 | 3.51 |
TMTC4 | 0.0001549 | 2747 | GTEx | DepMap | Descartes | 1.24 | 2.33 |
DNAJC6 | 0.0001408 | 2917 | GTEx | DepMap | Descartes | 0.18 | 0.11 |
FZD3 | 0.0001308 | 3054 | GTEx | DepMap | Descartes | 1.28 | 2.21 |
PDK1 | 0.0001278 | 3099 | GTEx | DepMap | Descartes | 1.76 | 5.13 |
VanGroningen Mesenchymal Genes
Mesenchymal marker genes from Supplementary Table 2 of Van Groningen et al. Nature Genetics 2017. These genes were identified by differential expression analysis of mesenchymal-like and adrenergic-like neuroblastoma cell lines.
Wilcoxon ranksum test P-value for gene set overrepresentation: 1.00e+00
Mean rank of genes in gene set: 11085.66
Median rank of genes in gene set: 13665
Rank on gene expression program of top 30 genes in gene set:
Genes | Weight | Rank | GTEx | DepMap | Descartes | Mean.Counts | Mean.TPM |
---|---|---|---|---|---|---|---|
ANXA1 | 0.0072504 | 11 | GTEx | DepMap | Descartes | 12.51 | 90.10 |
EMP1 | 0.0051320 | 34 | GTEx | DepMap | Descartes | 12.32 | 78.22 |
HSPB1 | 0.0043535 | 56 | GTEx | DepMap | Descartes | 26.88 | 2174.67 |
PDLIM1 | 0.0029069 | 111 | GTEx | DepMap | Descartes | 10.00 | 23.11 |
ANXA2 | 0.0026212 | 123 | GTEx | DepMap | Descartes | 31.88 | 93.63 |
MYL12B | 0.0025186 | 135 | GTEx | DepMap | Descartes | 11.71 | 81.04 |
GJA1 | 0.0024053 | 153 | GTEx | DepMap | Descartes | 14.76 | 72.82 |
HEXB | 0.0018657 | 220 | GTEx | DepMap | Descartes | 2.67 | 17.01 |
RNH1 | 0.0017980 | 232 | GTEx | DepMap | Descartes | 7.99 | 83.30 |
WLS | 0.0016268 | 265 | GTEx | DepMap | Descartes | 11.07 | 13.10 |
ZFP36L1 | 0.0015305 | 285 | GTEx | DepMap | Descartes | 12.03 | 230.49 |
KDM5B | 0.0014147 | 307 | GTEx | DepMap | Descartes | 10.73 | 18.15 |
PON2 | 0.0013849 | 313 | GTEx | DepMap | Descartes | 2.96 | 11.89 |
HES1 | 0.0013327 | 329 | GTEx | DepMap | Descartes | 5.56 | 169.66 |
HIBADH | 0.0013288 | 331 | GTEx | DepMap | Descartes | 2.87 | 3.36 |
ERRFI1 | 0.0012943 | 344 | GTEx | DepMap | Descartes | 2.11 | 20.26 |
PLXDC2 | 0.0012858 | 347 | GTEx | DepMap | Descartes | 2.57 | 0.93 |
ELF1 | 0.0012815 | 349 | GTEx | DepMap | Descartes | 4.27 | 4.62 |
PLK2 | 0.0012748 | 351 | GTEx | DepMap | Descartes | 3.58 | 78.67 |
LAPTM4A | 0.0010254 | 458 | GTEx | DepMap | Descartes | 15.82 | 118.48 |
TNFRSF12A | 0.0010072 | 465 | GTEx | DepMap | Descartes | 0.88 | 62.76 |
SVIL | 0.0009947 | 474 | GTEx | DepMap | Descartes | 7.91 | 3.67 |
SLC35F5 | 0.0009644 | 488 | GTEx | DepMap | Descartes | 0.99 | 3.53 |
MYL12A | 0.0008945 | 524 | GTEx | DepMap | Descartes | 15.19 | 156.17 |
NR3C1 | 0.0007996 | 583 | GTEx | DepMap | Descartes | 2.84 | 3.24 |
CMTM6 | 0.0007922 | 590 | GTEx | DepMap | Descartes | 1.01 | 6.21 |
UAP1 | 0.0007793 | 604 | GTEx | DepMap | Descartes | 1.61 | 5.72 |
ID1 | 0.0007668 | 616 | GTEx | DepMap | Descartes | 8.31 | 870.66 |
SFT2D2 | 0.0007598 | 626 | GTEx | DepMap | Descartes | 1.09 | 6.33 |
FUCA2 | 0.0006331 | 744 | GTEx | DepMap | Descartes | 1.38 | 9.13 |
Descartes adrenocortical markers
Top 50 marker genes of adrenocortical cells in the Decartes fetal adrenal single cell map (https://atlas.brotmanbaty.org/bbi/human-gene-expression-during-development/cell/adrenocortical/in/adrenal)
Wilcoxon ranksum test P-value for gene set overrepresentation: 9.17e-01
Mean rank of genes in gene set: 10857.71
Median rank of genes in gene set: 12739.5
Rank on gene expression program of top 30 genes in gene set:
Genes | Weight | Rank | GTEx | DepMap | Descartes | Mean.Counts | Mean.TPM |
---|---|---|---|---|---|---|---|
GSTA4 | 0.0015693 | 278 | GTEx | DepMap | Descartes | 7.14 | 32.85 |
APOC1 | 0.0010755 | 433 | GTEx | DepMap | Descartes | 1.76 | 75.63 |
POR | 0.0006444 | 728 | GTEx | DepMap | Descartes | 1.99 | 4.21 |
CYP17A1 | 0.0006405 | 736 | GTEx | DepMap | Descartes | 0.02 | 0.30 |
BAIAP2L1 | 0.0006140 | 775 | GTEx | DepMap | Descartes | 0.49 | 0.61 |
FREM2 | 0.0004413 | 1096 | GTEx | DepMap | Descartes | 2.45 | 1.54 |
ERN1 | 0.0003024 | 1569 | GTEx | DepMap | Descartes | 0.27 | 0.31 |
SH3BP5 | 0.0002718 | 1741 | GTEx | DepMap | Descartes | 1.38 | 2.03 |
DHCR7 | 0.0002052 | 2221 | GTEx | DepMap | Descartes | 1.15 | 4.76 |
FDX1 | 0.0001607 | 2683 | GTEx | DepMap | Descartes | 1.86 | 8.69 |
FRMD5 | 0.0001205 | 3225 | GTEx | DepMap | Descartes | 0.13 | 0.07 |
NPC1 | 0.0001129 | 3358 | GTEx | DepMap | Descartes | 0.81 | 1.74 |
SCAP | 0.0000245 | 5669 | GTEx | DepMap | Descartes | 1.01 | 1.90 |
DHCR24 | -0.0000070 | 7339 | GTEx | DepMap | Descartes | 2.08 | 6.47 |
LDLR | -0.0000172 | 8474 | GTEx | DepMap | Descartes | 0.77 | 2.89 |
MSMO1 | -0.0000220 | 9059 | GTEx | DepMap | Descartes | 2.40 | 15.86 |
INHA | -0.0000235 | 9245 | GTEx | DepMap | Descartes | 0.45 | 13.43 |
FDXR | -0.0000418 | 11220 | GTEx | DepMap | Descartes | 0.40 | 5.66 |
CLU | -0.0000440 | 11401 | GTEx | DepMap | Descartes | 0.69 | 4.44 |
MC2R | -0.0000493 | 11852 | GTEx | DepMap | Descartes | 0.00 | 0.01 |
SGCZ | -0.0000599 | 12623 | GTEx | DepMap | Descartes | 0.00 | 0.00 |
STAR | -0.0000632 | 12856 | GTEx | DepMap | Descartes | 0.01 | 0.06 |
SLC16A9 | -0.0000637 | 12887 | GTEx | DepMap | Descartes | 0.00 | 0.00 |
CYP11B1 | -0.0000793 | 13843 | GTEx | DepMap | Descartes | 0.00 | 0.00 |
GRAMD1B | -0.0000807 | 13902 | GTEx | DepMap | Descartes | 0.07 | 0.03 |
CYP11A1 | -0.0000880 | 14271 | GTEx | DepMap | Descartes | 0.00 | 0.00 |
TM7SF2 | -0.0001178 | 15533 | GTEx | DepMap | Descartes | 0.21 | 3.62 |
PAPSS2 | -0.0001192 | 15580 | GTEx | DepMap | Descartes | 0.23 | 0.38 |
CYB5B | -0.0001225 | 15705 | GTEx | DepMap | Descartes | 1.90 | 4.77 |
FDPS | -0.0001358 | 16144 | GTEx | DepMap | Descartes | 5.27 | 60.49 |
Descartes chromaffin markers
Top 50 marker genes of chromaffin cells in the Decartes fetal adrenal single cell map (https://atlas.brotmanbaty.org/bbi/human-gene-expression-during-development/cell/chromaffin/in/adrenal)
Wilcoxon ranksum test P-value for gene set overrepresentation: 1.00e+00
Mean rank of genes in gene set: 14876.66
Median rank of genes in gene set: 16501
Rank on gene expression program of top 30 genes in gene set:
Genes | Weight | Rank | GTEx | DepMap | Descartes | Mean.Counts | Mean.TPM |
---|---|---|---|---|---|---|---|
BASP1 | 0.0003294 | 1452 | GTEx | DepMap | Descartes | 33.79 | 87.76 |
PLXNA4 | 0.0000933 | 3720 | GTEx | DepMap | Descartes | 0.71 | 0.23 |
SYNPO2 | 0.0000495 | 4866 | GTEx | DepMap | Descartes | 0.84 | 0.46 |
TMEM132C | -0.0000127 | 7941 | GTEx | DepMap | Descartes | 0.15 | 0.07 |
IL7 | -0.0000167 | 8424 | GTEx | DepMap | Descartes | 0.00 | 0.00 |
ANKFN1 | -0.0000174 | 8507 | GTEx | DepMap | Descartes | 0.00 | 0.00 |
SLC44A5 | -0.0000229 | 9170 | GTEx | DepMap | Descartes | 0.02 | 0.01 |
EPHA6 | -0.0000243 | 9341 | GTEx | DepMap | Descartes | 0.00 | 0.00 |
ALK | -0.0000397 | 11008 | GTEx | DepMap | Descartes | 0.00 | 0.00 |
RYR2 | -0.0000486 | 11804 | GTEx | DepMap | Descartes | 0.04 | 0.01 |
CNKSR2 | -0.0000607 | 12676 | GTEx | DepMap | Descartes | 0.50 | 0.25 |
PTCHD1 | -0.0000608 | 12682 | GTEx | DepMap | Descartes | 0.00 | 0.02 |
SLC6A2 | -0.0000731 | 13484 | GTEx | DepMap | Descartes | 0.00 | 0.01 |
RPH3A | -0.0000771 | 13717 | GTEx | DepMap | Descartes | 0.00 | 0.01 |
GREM1 | -0.0000843 | 14089 | GTEx | DepMap | Descartes | 0.02 | 0.14 |
HMX1 | -0.0000945 | 14576 | GTEx | DepMap | Descartes | 0.06 | 0.23 |
EYA4 | -0.0001060 | 15063 | GTEx | DepMap | Descartes | 0.02 | 0.00 |
HS3ST5 | -0.0001090 | 15189 | GTEx | DepMap | Descartes | 0.07 | 0.05 |
MARCH11 | -0.0001211 | 15647 | GTEx | DepMap | Descartes | 0.06 | 0.06 |
PRPH | -0.0001329 | 16061 | GTEx | DepMap | Descartes | 1.43 | 17.23 |
GAL | -0.0001339 | 16097 | GTEx | DepMap | Descartes | 0.51 | 5.74 |
KCNB2 | -0.0001471 | 16441 | GTEx | DepMap | Descartes | 0.08 | 0.01 |
NTRK1 | -0.0001519 | 16561 | GTEx | DepMap | Descartes | 0.52 | 2.23 |
RGMB | -0.0001699 | 17000 | GTEx | DepMap | Descartes | 0.83 | 2.07 |
MAB21L1 | -0.0001809 | 17238 | GTEx | DepMap | Descartes | 0.02 | 0.76 |
EYA1 | -0.0001892 | 17412 | GTEx | DepMap | Descartes | 0.22 | 0.10 |
FAT3 | -0.0001961 | 17544 | GTEx | DepMap | Descartes | 0.22 | 0.03 |
NPY | -0.0002028 | 17656 | GTEx | DepMap | Descartes | 0.22 | 4.61 |
MAB21L2 | -0.0002217 | 17990 | GTEx | DepMap | Descartes | 0.25 | 9.73 |
REEP1 | -0.0002245 | 18029 | GTEx | DepMap | Descartes | 0.17 | 0.14 |
Descartes Vascular_endothelial markers
Top 50 marker genes of Vascular_endothelial cells in the Decartes fetal adrenal single cell map (https://atlas.brotmanbaty.org/bbi/human-gene-expression-during-development/cell/vascular_endothelial/in/adrenal)
Wilcoxon ranksum test P-value for gene set overrepresentation: 6.85e-01
Mean rank of genes in gene set: 10074.81
Median rank of genes in gene set: 11753
Rank on gene expression program of top 30 genes in gene set:
Genes | Weight | Rank | GTEx | DepMap | Descartes | Mean.Counts | Mean.TPM |
---|---|---|---|---|---|---|---|
ARHGAP29 | 0.0034942 | 81 | GTEx | DepMap | Descartes | 7.37 | 14.94 |
DNASE1L3 | 0.0009133 | 513 | GTEx | DepMap | Descartes | 0.02 | 0.14 |
ID1 | 0.0007668 | 616 | GTEx | DepMap | Descartes | 8.31 | 870.66 |
PODXL | 0.0004902 | 1002 | GTEx | DepMap | Descartes | 0.79 | 2.01 |
EFNB2 | 0.0004505 | 1081 | GTEx | DepMap | Descartes | 2.83 | 6.20 |
SLCO2A1 | 0.0004060 | 1194 | GTEx | DepMap | Descartes | 0.15 | 0.18 |
IRX3 | 0.0003818 | 1261 | GTEx | DepMap | Descartes | 1.30 | 44.80 |
HYAL2 | 0.0001126 | 3364 | GTEx | DepMap | Descartes | 2.24 | 41.97 |
F8 | 0.0000049 | 6520 | GTEx | DepMap | Descartes | 0.05 | 0.02 |
CHRM3 | 0.0000011 | 6737 | GTEx | DepMap | Descartes | 0.02 | 0.00 |
NR5A2 | -0.0000016 | 6921 | GTEx | DepMap | Descartes | 0.03 | 0.01 |
CEACAM1 | -0.0000071 | 7349 | GTEx | DepMap | Descartes | 0.00 | 0.06 |
APLNR | -0.0000101 | 7648 | GTEx | DepMap | Descartes | 0.01 | 0.76 |
TIE1 | -0.0000147 | 8182 | GTEx | DepMap | Descartes | 0.01 | 0.13 |
CRHBP | -0.0000163 | 8370 | GTEx | DepMap | Descartes | 0.09 | 0.80 |
GALNT15 | -0.0000230 | 9188 | GTEx | DepMap | Descartes | 0.00 | 0.00 |
ESM1 | -0.0000297 | 9981 | GTEx | DepMap | Descartes | 0.00 | 0.00 |
SOX18 | -0.0000311 | 10138 | GTEx | DepMap | Descartes | 0.01 | 1.08 |
ROBO4 | -0.0000396 | 10999 | GTEx | DepMap | Descartes | 0.01 | 0.05 |
MMRN2 | -0.0000401 | 11052 | GTEx | DepMap | Descartes | 0.01 | 0.03 |
BTNL9 | -0.0000432 | 11335 | GTEx | DepMap | Descartes | 0.00 | 0.00 |
PTPRB | -0.0000479 | 11753 | GTEx | DepMap | Descartes | 0.01 | 0.00 |
MYRIP | -0.0000487 | 11808 | GTEx | DepMap | Descartes | 0.02 | 0.01 |
FLT4 | -0.0000515 | 12025 | GTEx | DepMap | Descartes | 0.00 | 0.01 |
CLDN5 | -0.0000598 | 12610 | GTEx | DepMap | Descartes | 0.00 | 0.05 |
TMEM88 | -0.0000623 | 12786 | GTEx | DepMap | Descartes | 0.23 | 9.52 |
CDH5 | -0.0000630 | 12840 | GTEx | DepMap | Descartes | 0.00 | 0.00 |
SHE | -0.0000659 | 13051 | GTEx | DepMap | Descartes | 0.00 | 0.00 |
NPR1 | -0.0000694 | 13253 | GTEx | DepMap | Descartes | 0.02 | 0.12 |
FCGR2B | -0.0000705 | 13313 | GTEx | DepMap | Descartes | 0.00 | 0.00 |
Descartes stromal markers
Top 50 marker genes of stromal cells in the Decartes fetal adrenal single cell map (https://atlas.brotmanbaty.org/bbi/human-gene-expression-during-development/cell/stromal/in/adrenal)
Wilcoxon ranksum test P-value for gene set overrepresentation: 1.00e+00
Mean rank of genes in gene set: 15897.74
Median rank of genes in gene set: 16872.5
Rank on gene expression program of top 30 genes in gene set:
Genes | Weight | Rank | GTEx | DepMap | Descartes | Mean.Counts | Mean.TPM |
---|---|---|---|---|---|---|---|
SULT1E1 | 0.0000048 | 6521 | GTEx | DepMap | Descartes | 0.00 | 0.00 |
C7 | -0.0000243 | 9346 | GTEx | DepMap | Descartes | 0.00 | 0.00 |
SCARA5 | -0.0000310 | 10124 | GTEx | DepMap | Descartes | 0.07 | 0.08 |
LAMC3 | -0.0000334 | 10413 | GTEx | DepMap | Descartes | 0.00 | 0.00 |
ABCA6 | -0.0000421 | 11245 | GTEx | DepMap | Descartes | 0.00 | 0.00 |
ITGA11 | -0.0000515 | 12024 | GTEx | DepMap | Descartes | 0.01 | 0.01 |
ADAMTSL3 | -0.0000592 | 12569 | GTEx | DepMap | Descartes | 0.01 | 0.00 |
FNDC1 | -0.0000623 | 12779 | GTEx | DepMap | Descartes | 0.10 | 0.09 |
ELN | -0.0000699 | 13283 | GTEx | DepMap | Descartes | 0.23 | 0.48 |
ABCC9 | -0.0000736 | 13513 | GTEx | DepMap | Descartes | 0.03 | 0.02 |
CLDN11 | -0.0000762 | 13653 | GTEx | DepMap | Descartes | 0.05 | 0.27 |
ADAMTS2 | -0.0000840 | 14072 | GTEx | DepMap | Descartes | 0.08 | 0.03 |
HHIP | -0.0000977 | 14716 | GTEx | DepMap | Descartes | 0.03 | 0.03 |
PAMR1 | -0.0001149 | 15434 | GTEx | DepMap | Descartes | 0.05 | 0.02 |
OGN | -0.0001240 | 15758 | GTEx | DepMap | Descartes | 0.32 | 1.51 |
DKK2 | -0.0001301 | 15980 | GTEx | DepMap | Descartes | 0.28 | 0.18 |
ACTA2 | -0.0001325 | 16048 | GTEx | DepMap | Descartes | 2.42 | 10.79 |
COL12A1 | -0.0001350 | 16120 | GTEx | DepMap | Descartes | 1.57 | 0.97 |
SFRP2 | -0.0001398 | 16271 | GTEx | DepMap | Descartes | 1.65 | 12.67 |
GLI2 | -0.0001462 | 16413 | GTEx | DepMap | Descartes | 0.39 | 0.13 |
CCDC80 | -0.0001484 | 16462 | GTEx | DepMap | Descartes | 0.34 | 0.96 |
LOX | -0.0001495 | 16498 | GTEx | DepMap | Descartes | 0.22 | 1.08 |
IGFBP3 | -0.0001590 | 16750 | GTEx | DepMap | Descartes | 0.88 | 9.12 |
RSPO3 | -0.0001697 | 16995 | GTEx | DepMap | Descartes | 0.81 | 0.75 |
LUM | -0.0001759 | 17140 | GTEx | DepMap | Descartes | 0.71 | 6.24 |
EDNRA | -0.0001773 | 17168 | GTEx | DepMap | Descartes | 0.14 | 0.18 |
COL6A3 | -0.0001776 | 17178 | GTEx | DepMap | Descartes | 0.64 | 0.67 |
CD248 | -0.0001954 | 17527 | GTEx | DepMap | Descartes | 0.26 | 7.21 |
LRRC17 | -0.0002014 | 17640 | GTEx | DepMap | Descartes | 0.25 | 0.47 |
GAS2 | -0.0002116 | 17832 | GTEx | DepMap | Descartes | 0.41 | 0.21 |
Descartes sympathoblasts markers
Top 50 marker genes of sympathoblasts cells in the Decartes fetal adrenal single cell map (https://atlas.brotmanbaty.org/bbi/human-gene-expression-during-development/cell/sympathoblasts/in/adrenal)
Wilcoxon ranksum test P-value for gene set overrepresentation: 1.00e+00
Mean rank of genes in gene set: 12681.98
Median rank of genes in gene set: 14410.5
Rank on gene expression program of top 30 genes in gene set:
Genes | Weight | Rank | GTEx | DepMap | Descartes | Mean.Counts | Mean.TPM |
---|---|---|---|---|---|---|---|
PENK | 0.0026476 | 120 | GTEx | DepMap | Descartes | 6.39 | 207.09 |
TIAM1 | 0.0008413 | 553 | GTEx | DepMap | Descartes | 3.08 | 0.88 |
CCSER1 | 0.0003317 | 1448 | GTEx | DepMap | Descartes | 0.26 | 0.03 |
PNMT | 0.0002522 | 1855 | GTEx | DepMap | Descartes | 0.14 | 11.34 |
HTATSF1 | 0.0000392 | 5166 | GTEx | DepMap | Descartes | 3.23 | 26.29 |
EML6 | -0.0000140 | 8103 | GTEx | DepMap | Descartes | 0.04 | 0.02 |
FGF14 | -0.0000163 | 8371 | GTEx | DepMap | Descartes | 0.01 | 0.00 |
KCTD16 | -0.0000178 | 8560 | GTEx | DepMap | Descartes | 0.00 | 0.00 |
AGBL4 | -0.0000262 | 9569 | GTEx | DepMap | Descartes | 0.00 | 0.00 |
CNTN3 | -0.0000264 | 9590 | GTEx | DepMap | Descartes | 0.07 | 0.01 |
SLC35F3 | -0.0000358 | 10636 | GTEx | DepMap | Descartes | 0.00 | 0.00 |
CDH18 | -0.0000433 | 11343 | GTEx | DepMap | Descartes | 0.01 | 0.00 |
GALNTL6 | -0.0000506 | 11964 | GTEx | DepMap | Descartes | 0.01 | 0.00 |
CDH12 | -0.0000541 | 12212 | GTEx | DepMap | Descartes | 0.01 | 0.00 |
GRM7 | -0.0000595 | 12592 | GTEx | DepMap | Descartes | 0.00 | 0.00 |
ARC | -0.0000626 | 12811 | GTEx | DepMap | Descartes | 0.05 | 0.96 |
KSR2 | -0.0000695 | 13259 | GTEx | DepMap | Descartes | 0.10 | 0.03 |
TENM1 | -0.0000746 | 13573 | GTEx | DepMap | Descartes | 0.04 | 0.00 |
MGAT4C | -0.0000838 | 14064 | GTEx | DepMap | Descartes | 0.04 | 0.01 |
GCH1 | -0.0000857 | 14163 | GTEx | DepMap | Descartes | 0.02 | 0.17 |
PACRG | -0.0000893 | 14331 | GTEx | DepMap | Descartes | 0.03 | 0.01 |
SORCS3 | -0.0000924 | 14490 | GTEx | DepMap | Descartes | 0.03 | 0.00 |
SLC24A2 | -0.0000987 | 14757 | GTEx | DepMap | Descartes | 0.01 | 0.01 |
SCG2 | -0.0000991 | 14774 | GTEx | DepMap | Descartes | 0.00 | 0.00 |
UNC80 | -0.0001012 | 14864 | GTEx | DepMap | Descartes | 0.03 | 0.01 |
SLC18A1 | -0.0001096 | 15212 | GTEx | DepMap | Descartes | 0.01 | 0.02 |
CHGB | -0.0001104 | 15238 | GTEx | DepMap | Descartes | 0.16 | 1.08 |
TBX20 | -0.0001140 | 15387 | GTEx | DepMap | Descartes | 0.00 | 0.01 |
DGKK | -0.0001161 | 15474 | GTEx | DepMap | Descartes | 0.03 | 0.00 |
GRID2 | -0.0001213 | 15657 | GTEx | DepMap | Descartes | 0.06 | 0.00 |
Descartes erythroblasts markers
Top 50 marker genes of erythroblasts cells in the Decartes fetal adrenal single cell map (https://atlas.brotmanbaty.org/bbi/human-gene-expression-during-development/cell/erythroblasts/in/adrenal)
Wilcoxon ranksum test P-value for gene set overrepresentation: 7.15e-01
Mean rank of genes in gene set: 10191.58
Median rank of genes in gene set: 10730
Rank on gene expression program of top 30 genes in gene set:
Genes | Weight | Rank | GTEx | DepMap | Descartes | Mean.Counts | Mean.TPM |
---|---|---|---|---|---|---|---|
FECH | 0.0015919 | 274 | GTEx | DepMap | Descartes | 2.77 | 11.77 |
HEMGN | 0.0005403 | 898 | GTEx | DepMap | Descartes | 0.09 | 0.91 |
EPB41 | 0.0005401 | 900 | GTEx | DepMap | Descartes | 3.02 | 2.46 |
ABCB10 | 0.0003449 | 1395 | GTEx | DepMap | Descartes | 0.80 | 3.28 |
SLC25A37 | 0.0002410 | 1932 | GTEx | DepMap | Descartes | 0.74 | 1.76 |
CPOX | 0.0001934 | 2332 | GTEx | DepMap | Descartes | 1.34 | 2.64 |
RGS6 | 0.0001141 | 3334 | GTEx | DepMap | Descartes | 0.06 | 0.01 |
TMEM56 | 0.0000974 | 3641 | GTEx | DepMap | Descartes | 0.05 | 0.05 |
CR1L | 0.0000919 | 3749 | GTEx | DepMap | Descartes | 1.36 | 4.10 |
GCLC | -0.0000011 | 6880 | GTEx | DepMap | Descartes | 0.86 | 1.71 |
SPTA1 | -0.0000149 | 8212 | GTEx | DepMap | Descartes | 0.01 | 0.02 |
RHD | -0.0000184 | 8644 | GTEx | DepMap | Descartes | 0.00 | 0.19 |
EPB42 | -0.0000210 | 8938 | GTEx | DepMap | Descartes | 0.00 | 0.00 |
MARCH3 | -0.0000219 | 9047 | GTEx | DepMap | Descartes | 0.02 | 0.01 |
TFR2 | -0.0000270 | 9659 | GTEx | DepMap | Descartes | 0.01 | 0.05 |
DENND4A | -0.0000311 | 10145 | GTEx | DepMap | Descartes | 0.10 | 0.13 |
SLC25A21 | -0.0000349 | 10545 | GTEx | DepMap | Descartes | 0.00 | 0.00 |
SLC4A1 | -0.0000362 | 10674 | GTEx | DepMap | Descartes | 0.00 | 0.00 |
RAPGEF2 | -0.0000373 | 10786 | GTEx | DepMap | Descartes | 0.51 | 0.24 |
TSPAN5 | -0.0000472 | 11686 | GTEx | DepMap | Descartes | 1.11 | 0.95 |
GYPA | -0.0000472 | 11688 | GTEx | DepMap | Descartes | 0.00 | 0.06 |
ALAS2 | -0.0000490 | 11828 | GTEx | DepMap | Descartes | 0.00 | 0.00 |
RHAG | -0.0000492 | 11839 | GTEx | DepMap | Descartes | 0.00 | 0.00 |
XPO7 | -0.0000734 | 13497 | GTEx | DepMap | Descartes | 1.62 | 1.46 |
TRAK2 | -0.0000764 | 13671 | GTEx | DepMap | Descartes | 0.34 | 0.39 |
SPTB | -0.0000923 | 14485 | GTEx | DepMap | Descartes | 0.09 | 0.05 |
SPECC1 | -0.0001050 | 15028 | GTEx | DepMap | Descartes | 0.61 | 0.25 |
SNCA | -0.0001177 | 15524 | GTEx | DepMap | Descartes | 0.09 | 0.07 |
MICAL2 | -0.0001301 | 15982 | GTEx | DepMap | Descartes | 0.06 | 0.02 |
SELENBP1 | -0.0001598 | 16768 | GTEx | DepMap | Descartes | 0.72 | 4.60 |
Descartes myeloid markers
Top 50 marker genes of myeloid cells in the Decartes fetal adrenal single cell map (https://atlas.brotmanbaty.org/bbi/human-gene-expression-during-development/cell/myeloid/in/adrenal)
Wilcoxon ranksum test P-value for gene set overrepresentation: 7.94e-01
Mean rank of genes in gene set: 10369.12
Median rank of genes in gene set: 10729.5
Rank on gene expression program of top 30 genes in gene set:
Genes | Weight | Rank | GTEx | DepMap | Descartes | Mean.Counts | Mean.TPM |
---|---|---|---|---|---|---|---|
FMN1 | 0.0009121 | 514 | GTEx | DepMap | Descartes | 0.55 | 0.18 |
CTSD | 0.0007003 | 677 | GTEx | DepMap | Descartes | 5.84 | 67.36 |
MERTK | 0.0003078 | 1541 | GTEx | DepMap | Descartes | 0.37 | 0.48 |
FGD2 | 0.0002882 | 1646 | GTEx | DepMap | Descartes | 0.54 | 3.10 |
PTPRE | 0.0001740 | 2536 | GTEx | DepMap | Descartes | 0.57 | 0.36 |
CTSC | 0.0001189 | 3250 | GTEx | DepMap | Descartes | 1.48 | 5.62 |
LGMN | 0.0001040 | 3516 | GTEx | DepMap | Descartes | 1.19 | 2.63 |
ITPR2 | 0.0000769 | 4077 | GTEx | DepMap | Descartes | 0.46 | 0.12 |
RNASE1 | 0.0000488 | 4881 | GTEx | DepMap | Descartes | 0.01 | 0.46 |
HCK | 0.0000423 | 5076 | GTEx | DepMap | Descartes | 0.06 | 0.19 |
MS4A4A | -0.0000065 | 7280 | GTEx | DepMap | Descartes | 0.00 | 0.00 |
ATP8B4 | -0.0000126 | 7933 | GTEx | DepMap | Descartes | 0.00 | 0.00 |
MS4A7 | -0.0000129 | 7956 | GTEx | DepMap | Descartes | 0.00 | 0.00 |
ADAP2 | -0.0000224 | 9114 | GTEx | DepMap | Descartes | 0.00 | 0.00 |
CYBB | -0.0000290 | 9895 | GTEx | DepMap | Descartes | 0.00 | 0.00 |
MSR1 | -0.0000290 | 9896 | GTEx | DepMap | Descartes | 0.00 | 0.00 |
IFNGR1 | -0.0000296 | 9965 | GTEx | DepMap | Descartes | 0.36 | 2.23 |
CD14 | -0.0000307 | 10091 | GTEx | DepMap | Descartes | 0.00 | 0.25 |
C1QC | -0.0000328 | 10339 | GTEx | DepMap | Descartes | 0.00 | 0.17 |
C1QA | -0.0000332 | 10391 | GTEx | DepMap | Descartes | 0.00 | 0.19 |
CTSS | -0.0000361 | 10668 | GTEx | DepMap | Descartes | 0.00 | 0.00 |
CPVL | -0.0000374 | 10791 | GTEx | DepMap | Descartes | 0.00 | 0.00 |
CSF1R | -0.0000383 | 10878 | GTEx | DepMap | Descartes | 0.00 | 0.02 |
MPEG1 | -0.0000388 | 10929 | GTEx | DepMap | Descartes | 0.00 | 0.06 |
C1QB | -0.0000414 | 11167 | GTEx | DepMap | Descartes | 0.00 | 0.00 |
SLCO2B1 | -0.0000494 | 11855 | GTEx | DepMap | Descartes | 0.00 | 0.01 |
ABCA1 | -0.0000568 | 12412 | GTEx | DepMap | Descartes | 0.36 | 0.18 |
CD74 | -0.0000676 | 13162 | GTEx | DepMap | Descartes | 0.05 | 0.39 |
WWP1 | -0.0000838 | 14062 | GTEx | DepMap | Descartes | 0.97 | 0.85 |
FGL2 | -0.0000844 | 14095 | GTEx | DepMap | Descartes | 0.04 | 0.39 |
Descartes Schwann markers
Top 50 marker genes of Schwann cells in the Decartes fetal adrenal single cell map (https://atlas.brotmanbaty.org/bbi/human-gene-expression-during-development/cell/schwann/in/adrenal)
Wilcoxon ranksum test P-value for gene set overrepresentation: 1.00e+00
Mean rank of genes in gene set: 14712.89
Median rank of genes in gene set: 16434
Rank on gene expression program of top 30 genes in gene set:
Genes | Weight | Rank | GTEx | DepMap | Descartes | Mean.Counts | Mean.TPM |
---|---|---|---|---|---|---|---|
ERBB3 | 0.0010023 | 469 | GTEx | DepMap | Descartes | 2.16 | 12.52 |
PPP2R2B | 0.0004828 | 1015 | GTEx | DepMap | Descartes | 1.58 | 0.50 |
COL18A1 | 0.0004390 | 1105 | GTEx | DepMap | Descartes | 8.03 | 7.47 |
LAMB1 | 0.0002352 | 1973 | GTEx | DepMap | Descartes | 4.71 | 6.96 |
OLFML2A | 0.0001223 | 3197 | GTEx | DepMap | Descartes | 0.19 | 0.46 |
SCN7A | -0.0000504 | 11938 | GTEx | DepMap | Descartes | 0.08 | 0.03 |
IL1RAPL2 | -0.0000505 | 11940 | GTEx | DepMap | Descartes | 0.01 | 0.00 |
STARD13 | -0.0000616 | 12743 | GTEx | DepMap | Descartes | 0.12 | 0.06 |
XKR4 | -0.0000618 | 12750 | GTEx | DepMap | Descartes | 0.04 | NA |
LRRTM4 | -0.0000633 | 12864 | GTEx | DepMap | Descartes | 0.00 | 0.00 |
MPZ | -0.0000659 | 13054 | GTEx | DepMap | Descartes | 0.24 | 1.00 |
FAM134B | -0.0000728 | 13460 | GTEx | DepMap | Descartes | 0.29 | NA |
TRPM3 | -0.0000761 | 13650 | GTEx | DepMap | Descartes | 0.01 | 0.00 |
CDH19 | -0.0000865 | 14202 | GTEx | DepMap | Descartes | 0.06 | 0.05 |
GRIK3 | -0.0000927 | 14500 | GTEx | DepMap | Descartes | 0.02 | 0.01 |
IL1RAPL1 | -0.0000969 | 14686 | GTEx | DepMap | Descartes | 0.05 | 0.00 |
LAMC1 | -0.0000974 | 14698 | GTEx | DepMap | Descartes | 1.41 | 0.97 |
SORCS1 | -0.0001126 | 15332 | GTEx | DepMap | Descartes | 0.07 | 0.01 |
MDGA2 | -0.0001134 | 15363 | GTEx | DepMap | Descartes | 0.04 | 0.01 |
ADAMTS5 | -0.0001269 | 15873 | GTEx | DepMap | Descartes | 0.27 | 0.32 |
PLP1 | -0.0001311 | 16013 | GTEx | DepMap | Descartes | 0.47 | 1.79 |
SLC35F1 | -0.0001316 | 16026 | GTEx | DepMap | Descartes | 0.12 | 0.03 |
ERBB4 | -0.0001393 | 16253 | GTEx | DepMap | Descartes | 0.04 | 0.00 |
SOX10 | -0.0001470 | 16434 | GTEx | DepMap | Descartes | 0.23 | 0.95 |
EDNRB | -0.0001474 | 16449 | GTEx | DepMap | Descartes | 1.08 | 2.14 |
PLCE1 | -0.0001475 | 16450 | GTEx | DepMap | Descartes | 0.14 | 0.05 |
PAG1 | -0.0001510 | 16538 | GTEx | DepMap | Descartes | 0.26 | 0.10 |
GFRA3 | -0.0001549 | 16652 | GTEx | DepMap | Descartes | 0.24 | 0.58 |
EGFLAM | -0.0001733 | 17080 | GTEx | DepMap | Descartes | 0.06 | 0.02 |
GAS7 | -0.0001739 | 17098 | GTEx | DepMap | Descartes | 0.20 | 0.07 |
Descartes Megakaryocytes markers
Top 50 marker genes of Megakaryocytes cells in the Decartes fetal adrenal single cell map (https://atlas.brotmanbaty.org/bbi/human-gene-expression-during-development/cell/megakaryocytes/in/adrenal)
Wilcoxon ranksum test P-value for gene set overrepresentation: 3.81e-01
Mean rank of genes in gene set: 9418.13
Median rank of genes in gene set: 8930
Rank on gene expression program of top 30 genes in gene set:
Genes | Weight | Rank | GTEx | DepMap | Descartes | Mean.Counts | Mean.TPM |
---|---|---|---|---|---|---|---|
SLC2A3 | 0.0092712 | 3 | GTEx | DepMap | Descartes | 19.23 | 38.32 |
CD9 | 0.0030546 | 104 | GTEx | DepMap | Descartes | 16.92 | 64.18 |
RAB27B | 0.0011214 | 411 | GTEx | DepMap | Descartes | 0.71 | 0.48 |
MYH9 | 0.0004912 | 1001 | GTEx | DepMap | Descartes | 5.93 | 6.26 |
STON2 | 0.0004091 | 1184 | GTEx | DepMap | Descartes | 0.61 | 0.37 |
ARHGAP6 | 0.0002448 | 1902 | GTEx | DepMap | Descartes | 0.14 | 0.04 |
HIPK2 | 0.0002100 | 2174 | GTEx | DepMap | Descartes | 2.97 | 1.75 |
PLEK | 0.0001868 | 2397 | GTEx | DepMap | Descartes | 0.07 | 0.14 |
PSTPIP2 | 0.0001826 | 2445 | GTEx | DepMap | Descartes | 0.00 | 0.00 |
TMSB4X | 0.0001478 | 2840 | GTEx | DepMap | Descartes | 108.29 | 5064.24 |
VCL | 0.0001385 | 2948 | GTEx | DepMap | Descartes | 1.66 | 1.71 |
MCTP1 | 0.0000571 | 4629 | GTEx | DepMap | Descartes | 0.04 | 0.01 |
PPBP | 0.0000517 | 4797 | GTEx | DepMap | Descartes | 0.00 | 1.27 |
TGFB1 | 0.0000498 | 4857 | GTEx | DepMap | Descartes | 0.37 | 2.38 |
FERMT3 | 0.0000396 | 5160 | GTEx | DepMap | Descartes | 0.02 | 0.08 |
GP9 | 0.0000261 | 5607 | GTEx | DepMap | Descartes | 0.02 | 0.57 |
GSN | 0.0000182 | 5929 | GTEx | DepMap | Descartes | 1.10 | 2.36 |
BIN2 | 0.0000111 | 6224 | GTEx | DepMap | Descartes | 0.01 | 0.02 |
CD84 | 0.0000020 | 6688 | GTEx | DepMap | Descartes | 0.00 | 0.00 |
ITGB3 | -0.0000075 | 7380 | GTEx | DepMap | Descartes | 0.01 | 0.01 |
P2RX1 | -0.0000098 | 7621 | GTEx | DepMap | Descartes | 0.01 | 0.02 |
PF4 | -0.0000126 | 7930 | GTEx | DepMap | Descartes | 0.06 | 2.80 |
SLC24A3 | -0.0000171 | 8470 | GTEx | DepMap | Descartes | 0.29 | 0.06 |
TRPC6 | -0.0000209 | 8930 | GTEx | DepMap | Descartes | 0.00 | 0.00 |
ITGA2B | -0.0000232 | 9203 | GTEx | DepMap | Descartes | 0.07 | 0.32 |
TPM4 | -0.0000326 | 10327 | GTEx | DepMap | Descartes | 5.71 | 22.55 |
MMRN1 | -0.0000432 | 11332 | GTEx | DepMap | Descartes | 0.00 | 0.00 |
SPN | -0.0000539 | 12196 | GTEx | DepMap | Descartes | 0.00 | 0.00 |
DOK6 | -0.0000542 | 12219 | GTEx | DepMap | Descartes | 0.01 | 0.00 |
PDE3A | -0.0000544 | 12233 | GTEx | DepMap | Descartes | 0.16 | 0.07 |
Descartes Lyphoid markers
Top 50 marker genes of Lyphoid cells in the Decartes fetal adrenal single cell map (https://atlas.brotmanbaty.org/bbi/human-gene-expression-during-development/cell/lymphoid/in/adrenal)
Wilcoxon ranksum test P-value for gene set overrepresentation: 1.00e+00
Mean rank of genes in gene set: 12510.6
Median rank of genes in gene set: 15270
Rank on gene expression program of top 30 genes in gene set:
Genes | Weight | Rank | GTEx | DepMap | Descartes | Mean.Counts | Mean.TPM |
---|---|---|---|---|---|---|---|
ABLIM1 | 0.0040326 | 61 | GTEx | DepMap | Descartes | 9.73 | 4.52 |
PRKCH | 0.0017109 | 248 | GTEx | DepMap | Descartes | 1.39 | 0.86 |
SORL1 | 0.0002912 | 1634 | GTEx | DepMap | Descartes | 0.99 | 0.80 |
FOXP1 | 0.0002372 | 1962 | GTEx | DepMap | Descartes | 8.13 | 1.47 |
TMSB10 | 0.0001993 | 2266 | GTEx | DepMap | Descartes | 71.87 | 5074.72 |
ITPKB | 0.0000920 | 3746 | GTEx | DepMap | Descartes | 0.66 | 0.77 |
B2M | 0.0000726 | 4185 | GTEx | DepMap | Descartes | 1.41 | 28.29 |
PLEKHA2 | 0.0000493 | 4871 | GTEx | DepMap | Descartes | 0.07 | 0.13 |
CCND3 | 0.0000175 | 5949 | GTEx | DepMap | Descartes | 11.16 | 12.40 |
RAP1GAP2 | 0.0000124 | 6164 | GTEx | DepMap | Descartes | 0.06 | 0.03 |
RCSD1 | 0.0000049 | 6516 | GTEx | DepMap | Descartes | 0.53 | 0.81 |
SP100 | -0.0000028 | 7001 | GTEx | DepMap | Descartes | 0.00 | 0.00 |
SCML4 | -0.0000094 | 7584 | GTEx | DepMap | Descartes | 0.01 | 0.01 |
IKZF1 | -0.0000387 | 10913 | GTEx | DepMap | Descartes | 0.00 | 0.01 |
PTPRC | -0.0000521 | 12076 | GTEx | DepMap | Descartes | 0.00 | 0.00 |
NKG7 | -0.0000558 | 12334 | GTEx | DepMap | Descartes | 0.00 | 0.00 |
MBNL1 | -0.0000651 | 12985 | GTEx | DepMap | Descartes | 2.59 | 1.45 |
ARHGAP15 | -0.0000721 | 13424 | GTEx | DepMap | Descartes | 0.01 | 0.00 |
PITPNC1 | -0.0000822 | 13989 | GTEx | DepMap | Descartes | 0.93 | 0.33 |
MCTP2 | -0.0000903 | 14391 | GTEx | DepMap | Descartes | 0.10 | 0.04 |
SKAP1 | -0.0001089 | 15187 | GTEx | DepMap | Descartes | 0.03 | 0.01 |
CD44 | -0.0001132 | 15353 | GTEx | DepMap | Descartes | 0.54 | 0.62 |
ARID5B | -0.0001161 | 15471 | GTEx | DepMap | Descartes | 1.99 | 1.08 |
LCP1 | -0.0001195 | 15594 | GTEx | DepMap | Descartes | 0.06 | 0.08 |
FYN | -0.0001295 | 15965 | GTEx | DepMap | Descartes | 1.28 | 0.65 |
FAM65B | -0.0001393 | 16252 | GTEx | DepMap | Descartes | 0.07 | NA |
PDE3B | -0.0001511 | 16540 | GTEx | DepMap | Descartes | 0.08 | 0.05 |
DOCK10 | -0.0001551 | 16656 | GTEx | DepMap | Descartes | 0.07 | 0.01 |
NCALD | -0.0001682 | 16959 | GTEx | DepMap | Descartes | 0.10 | 0.02 |
ANKRD44 | -0.0001954 | 17528 | GTEx | DepMap | Descartes | 0.51 | 0.17 |
Below shows the ranks on this GEP for immune marker gene lists curated by CellTypist (https://www.celltypist.org/encyclopedia).
High ranks indicate this gene is a driver of this GEP.
These curated gene list are ranked by P-value (on this GEP) of their constituent genes.
The Mean Count column shows the mean read count in cells scoring highly (H > 50) on this gene expression program.
Genes | Weight | Rank | GTEx | DepMap | Decartes | Mean.Counts | Mean.TPM |
---|---|---|---|---|---|---|---|
KRT17 | 0.0083800 | 4 | GTEx | DepMap | Descartes | 47.06 | 1552.78 |
KRT15 | 0.0012743 | 352 | GTEx | DepMap | Descartes | 21.60 | 487.42 |
CCL19 | -0.0000094 | 7581 | GTEx | DepMap | Descartes | 0.00 | 0.00 |
B cells: Memory B cells (model markers)
long-lived mature B lymphocytes which are formed within germinal centers following primary infection and selected for higher-affinity immunoglobulin:
Wilcoxon ranksum test P-value for gene set overrepresentation: 2.04e-02
Mean rank of genes in gene set: 4562.6
Rank on gene expression program of genes in gene set:
Genes | Weight | Rank | GTEx | DepMap | Decartes | Mean.Counts | Mean.TPM |
---|---|---|---|---|---|---|---|
HES1 | 0.0013327 | 329 | GTEx | DepMap | Descartes | 5.56 | 169.66 |
MT-ATP8 | 0.0002478 | 1878 | GTEx | DepMap | Descartes | 1.80 | 987.83 |
MT-ND3 | 0.0001618 | 2666 | GTEx | DepMap | Descartes | 40.32 | 11761.89 |
RPS17 | 0.0000523 | 4778 | GTEx | DepMap | Descartes | 43.31 | 1594.38 |
CD74 | -0.0000676 | 13162 | GTEx | DepMap | Descartes | 0.05 | 0.39 |
T cells: Type 1 helper T cells (model markers)
CD4+ helper T lymphocyte subpopulation which is capable of producing interferon-gamma and modulating cell-mediated immune responses:
Wilcoxon ranksum test P-value for gene set overrepresentation: 2.76e-02
Mean rank of genes in gene set: 4316.75
Rank on gene expression program of genes in gene set:
Genes | Weight | Rank | GTEx | DepMap | Decartes | Mean.Counts | Mean.TPM |
---|---|---|---|---|---|---|---|
ANXA1 | 0.0072504 | 11 | GTEx | DepMap | Descartes | 12.51 | 90.10 |
RPL17 | 0.0008386 | 554 | GTEx | DepMap | Descartes | 135.45 | 2743.76 |
CEBPB | 0.0002874 | 1652 | GTEx | DepMap | Descartes | 1.85 | 145.07 |
PRDM16 | -0.0001056 | 15050 | GTEx | DepMap | Descartes | 0.03 | 0.00 |