Program description and justification of annotation: 44.
Submit a comment on this gene expression program’s interpretation: CLICK
QQ-plot of gene loadings, averaged over both independent splits of the data
This plot highlights the relative contribution of each gene to the GEP
Top genes driving this program.
Note: Decartes website is buggy, try refreshing. Also, Decartes fetal adrenal data have been collected at specific time points (89-122 days), all possible cell types of interest may not be represented, do not overinterpret.
The Mean Count column shows the mean read count in cells scoring highly (H > 50) on this gene expression program.
Gene | Loading | Gene.Name | GTEx | DepMap | Descartes | Mean.Counts | Mean.Tpm | |
---|---|---|---|---|---|---|---|---|
1 | NPY | 0.0399213 | neuropeptide Y | GTEx | DepMap | Descartes | 49.92 | 1691.67 |
2 | TH | 0.0396510 | tyrosine hydroxylase | GTEx | DepMap | Descartes | 22.48 | 116.76 |
3 | C2CD4B | 0.0339343 | C2 calcium dependent domain containing 4B | GTEx | DepMap | Descartes | 6.19 | 923.74 |
4 | RGS4 | 0.0271765 | regulator of G protein signaling 4 | GTEx | DepMap | Descartes | 33.74 | 1185.34 |
5 | GHRH | 0.0258438 | growth hormone releasing hormone | GTEx | DepMap | Descartes | 3.22 | 39.70 |
6 | ADORA2A | 0.0230474 | adenosine A2a receptor | GTEx | DepMap | Descartes | 1.26 | 14.83 |
7 | PRSS1 | 0.0220568 | serine protease 1 | GTEx | DepMap | Descartes | 0.00 | 0.00 |
8 | C2CD4A | 0.0219249 | C2 calcium dependent domain containing 4A | GTEx | DepMap | Descartes | 1.09 | 127.42 |
9 | ADM | 0.0214385 | adrenomedullin | GTEx | DepMap | Descartes | 4.27 | 502.73 |
10 | VGF | 0.0198539 | VGF nerve growth factor inducible | GTEx | DepMap | Descartes | 2.38 | 103.46 |
11 | RESP18 | 0.0177475 | regulated endocrine specific protein 18 | GTEx | DepMap | Descartes | 6.31 | 254.15 |
12 | NAP1L5 | 0.0159363 | nucleosome assembly protein 1 like 5 | GTEx | DepMap | Descartes | 9.25 | 1085.98 |
13 | PTPRN | 0.0153393 | protein tyrosine phosphatase receptor type N | GTEx | DepMap | Descartes | 3.56 | 45.72 |
14 | GAL | 0.0149941 | galanin and GMAP prepropeptide | GTEx | DepMap | Descartes | 2.23 | 128.90 |
15 | SLC18A2 | 0.0148659 | solute carrier family 18 member A2 | GTEx | DepMap | Descartes | 5.62 | 33.60 |
16 | ZDBF2 | 0.0145425 | zinc finger DBF-type containing 2 | GTEx | DepMap | Descartes | 19.51 | 101.15 |
17 | ATP1B1 | 0.0144083 | ATPase Na+/K+ transporting subunit beta 1 | GTEx | DepMap | Descartes | 10.21 | 98.06 |
18 | A630095E13RIK | 0.0143646 | NA | GTEx | DepMap | Descartes | 0.03 | NA |
19 | CHGA | 0.0135249 | chromogranin A | GTEx | DepMap | Descartes | 11.66 | 272.49 |
20 | ALDOA | 0.0131820 | aldolase, fructose-bisphosphate A | GTEx | DepMap | Descartes | 33.61 | 856.46 |
21 | SNHG11 | 0.0130043 | small nucleolar RNA host gene 11 | GTEx | DepMap | Descartes | 4.03 | 83.02 |
22 | 1700086L19RIK | 0.0128399 | NA | GTEx | DepMap | Descartes | 0.75 | 13.08 |
23 | DBH | 0.0127192 | dopamine beta-hydroxylase | GTEx | DepMap | Descartes | 14.02 | 162.85 |
24 | GCH1 | 0.0123029 | GTP cyclohydrolase 1 | GTEx | DepMap | Descartes | 4.49 | 24.02 |
25 | CHGB | 0.0118153 | chromogranin B | GTEx | DepMap | Descartes | 54.27 | 774.00 |
26 | SCG2 | 0.0107927 | secretogranin II | GTEx | DepMap | Descartes | 4.09 | 162.71 |
27 | OTX1 | 0.0105729 | orthodenticle homeobox 1 | GTEx | DepMap | Descartes | 0.00 | 0.00 |
28 | SOX9 | 0.0105343 | SRY-box transcription factor 9 | GTEx | DepMap | Descartes | 1.03 | 37.54 |
29 | PRUNE2 | 0.0101450 | prune homolog 2 with BCH domain | GTEx | DepMap | Descartes | 1.77 | 1.26 |
30 | NNAT | 0.0100424 | neuronatin | GTEx | DepMap | Descartes | 101.17 | 9012.28 |
31 | PDE10A | 0.0099231 | phosphodiesterase 10A | GTEx | DepMap | Descartes | 1.35 | 0.64 |
32 | VAX2OS | 0.0096968 | NA | GTEx | DepMap | Descartes | 0.00 | 0.02 |
33 | SYN2 | 0.0095345 | synapsin II | GTEx | DepMap | Descartes | 5.88 | 7.19 |
34 | SPOCK1 | 0.0093961 | SPARC (osteonectin), cwcv and kazal like domains proteoglycan 1 | GTEx | DepMap | Descartes | 2.93 | 1.26 |
35 | MALAT1 | 0.0093800 | metastasis associated lung adenocarcinoma transcript 1 | GTEx | DepMap | Descartes | 381.58 | 12455.97 |
36 | NDUFA4L2 | 0.0093041 | NDUFA4 mitochondrial complex associated like 2 | GTEx | DepMap | Descartes | 8.27 | 828.43 |
37 | GPR139 | 0.0092330 | G protein-coupled receptor 139 | GTEx | DepMap | Descartes | 0.05 | 0.18 |
38 | PCSK1N | 0.0092259 | proprotein convertase subtilisin/kexin type 1 inhibitor | GTEx | DepMap | Descartes | 35.89 | 1596.88 |
39 | FAIM2 | 0.0092208 | Fas apoptotic inhibitory molecule 2 | GTEx | DepMap | Descartes | 1.02 | 7.42 |
40 | RIT2 | 0.0092099 | Ras like without CAAX 2 | GTEx | DepMap | Descartes | 0.52 | 0.40 |
41 | RPH3AL | 0.0092094 | rabphilin 3A like (without C2 domains) | GTEx | DepMap | Descartes | 0.91 | 1.78 |
42 | SCTR | 0.0089931 | secretin receptor | GTEx | DepMap | Descartes | 0.65 | 2.07 |
43 | SCG5 | 0.0089656 | secretogranin V | GTEx | DepMap | Descartes | 7.33 | 29.72 |
44 | GEM | 0.0087808 | GTP binding protein overexpressed in skeletal muscle | GTEx | DepMap | Descartes | 2.52 | 59.74 |
45 | DIRAS2 | 0.0087807 | DIRAS family GTPase 2 | GTEx | DepMap | Descartes | 1.02 | 7.78 |
46 | BTG2 | 0.0086539 | BTG anti-proliferation factor 2 | GTEx | DepMap | Descartes | 9.41 | 518.89 |
47 | RASD1 | 0.0085929 | ras related dexamethasone induced 1 | GTEx | DepMap | Descartes | 0.61 | 79.03 |
48 | SYT4 | 0.0085479 | synaptotagmin 4 | GTEx | DepMap | Descartes | 2.82 | 62.58 |
49 | CYB561 | 0.0084888 | cytochrome b561 | GTEx | DepMap | Descartes | 4.11 | 49.19 |
50 | DISP2 | 0.0084333 | dispatched RND transporter family member 2 | GTEx | DepMap | Descartes | 2.50 | 16.64 |
UMAP plots showing activity of gene expression program identified in community:44. Neuroblastoma: Adrenergic I
CNV Data procured from inferCNV.
Outer tracks are putative CNV regions (gains = red, losses = blue) for each patient
Inner track is expression data representing:
The top cells expressing this GEP (purple)
Random cells (n =50) from the reference set used in inferCNV (orange)
Gene set Enrichments for this program, caculated from top 50 genes
mSigDB Cell Types Gene Set:
P-value | OR | Lower 95% CI | FDR | FWER | Genes Found | Gene Set Size | |
---|---|---|---|---|---|---|---|
BUSSLINGER_GASTRIC_ANTRAL_ECS | 1.40e-08 | 226.09 | 48.02 | 1.04e-06 | 9.38e-06 | 4SCG2, PCSK1N, SCG5, RASD1 |
12 |
BUSSLINGER_DUODENAL_I_CELLS | 5.10e-08 | 151.31 | 34.17 | 3.11e-06 | 3.42e-05 | 4SCG2, PCSK1N, SCG5, RASD1 |
16 |
DESCARTES_MAIN_FETAL_SYMPATHOBLASTS | 8.66e-13 | 80.85 | 31.24 | 2.90e-10 | 5.81e-10 | 8TH, ZDBF2, CHGA, DBH, GCH1, CHGB, SCG2, CYB561 |
57 |
BUSSLINGER_GASTRIC_OXYNTIC_ENTEROCHROMAFFIN_LIKE_CELLS | 4.07e-13 | 60.28 | 24.86 | 2.73e-10 | 2.73e-10 | 9PRSS1, VGF, PTPRN, SLC18A2, CHGA, CHGB, SCG2, PCSK1N, SCG5 |
85 |
DESCARTES_FETAL_HEART_VISCERAL_NEURONS | 2.87e-11 | 50.30 | 19.75 | 3.85e-09 | 1.93e-08 | 8TH, RGS4, VGF, GAL, DBH, CHGB, SCG2, PRUNE2 |
87 |
BUSSLINGER_DUODENAL_EC_CELLS | 8.56e-07 | 67.16 | 16.43 | 4.42e-05 | 5.75e-04 | 4CHGA, CHGB, SCG2, PCSK1N |
31 |
TRAVAGLINI_LUNG_NEUROENDOCRINE_CELL | 1.72e-11 | 38.51 | 16.09 | 3.84e-09 | 1.15e-08 | 9PTPRN, CHGB, SCG2, NNAT, PCSK1N, SCG5, RASD1, SYT4, DISP2 |
128 |
BUSSLINGER_DUODENAL_K_CELLS | 1.41e-05 | 78.17 | 14.22 | 5.93e-04 | 9.48e-03 | 3CHGA, SCG2, SCG5 |
20 |
BUSSLINGER_GASTRIC_D_CELLS | 4.00e-05 | 53.28 | 9.96 | 1.34e-03 | 2.69e-02 | 3CHGB, PCSK1N, SCG5 |
28 |
GAO_LARGE_INTESTINE_ADULT_CA_ENTEROENDOCRINE_CELLS | 2.45e-09 | 17.30 | 7.64 | 2.06e-07 | 1.64e-06 | 10C2CD4B, RGS4, VGF, PTPRN, CHGB, SCG2, SPOCK1, PCSK1N, SCG5, SYT4 |
312 |
BUSSLINGER_GASTRIC_G_CELLS | 3.54e-06 | 24.97 | 7.56 | 1.58e-04 | 2.38e-03 | 5CHGB, SCG2, PCSK1N, SCG5, BTG2 |
98 |
MURARO_PANCREAS_ALPHA_CELL | 2.66e-11 | 14.67 | 7.27 | 3.85e-09 | 1.79e-08 | 14C2CD4B, RGS4, C2CD4A, VGF, PTPRN, CHGA, GCH1, CHGB, SCG2, MALAT1, PCSK1N, SCG5, BTG2, SYT4 |
568 |
MANNO_MIDBRAIN_NEUROTYPES_HSERT | 3.81e-10 | 15.07 | 7.12 | 4.26e-08 | 2.55e-07 | 12VGF, NAP1L5, SLC18A2, CHGA, GCH1, CHGB, SCG2, SYN2, SPOCK1, PCSK1N, SCG5, DIRAS2 |
450 |
MURARO_PANCREAS_PANCREATIC_POLYPEPTIDE_CELL | 1.73e-06 | 19.12 | 6.56 | 8.31e-05 | 1.16e-03 | 6SCG2, SPOCK1, MALAT1, PCSK1N, BTG2, RASD1 |
155 |
MANNO_MIDBRAIN_NEUROTYPES_HDA1 | 5.32e-10 | 12.86 | 6.24 | 5.10e-08 | 3.57e-07 | 13TH, VGF, NAP1L5, SLC18A2, ATP1B1, CHGA, SCG2, NNAT, SPOCK1, PCSK1N, FAIM2, SCG5, SYT4 |
584 |
FAN_EMBRYONIC_CTX_BIG_GROUPS_CAJAL_RETZIUS | 1.59e-08 | 12.08 | 5.55 | 1.07e-06 | 1.07e-05 | 11GHRH, NAP1L5, PTPRN, ALDOA, CHGB, SCG2, PCSK1N, FAIM2, SCG5, DIRAS2, CYB561 |
499 |
DESCARTES_FETAL_LUNG_NEUROENDOCRINE_CELLS | 5.94e-05 | 21.36 | 5.47 | 1.90e-03 | 3.98e-02 | 4RGS4, VGF, CHGA, RASD1 |
89 |
MANNO_MIDBRAIN_NEUROTYPES_HDA2 | 2.43e-07 | 10.39 | 4.61 | 1.36e-05 | 1.63e-04 | 10TH, VGF, SLC18A2, ATP1B1, NNAT, SYN2, FAIM2, SCG5, DIRAS2, SYT4 |
513 |
DESCARTES_FETAL_INTESTINE_ENS_NEURONS | 3.78e-05 | 14.98 | 4.58 | 1.33e-03 | 2.54e-02 | 5TH, GAL, DBH, SPOCK1, RIT2 |
160 |
DESCARTES_MAIN_FETAL_ACINAR_CELLS | 4.14e-04 | 22.99 | 4.45 | 9.92e-03 | 2.78e-01 | 3PRSS1, SCG5, BTG2 |
61 |
Dowload full table
mSigDB Hallmark Gene Sets:
P-value | OR | Lower 95% CI | FDR | FWER | Genes Found | Gene Set Size | |
---|---|---|---|---|---|---|---|
HALLMARK_UV_RESPONSE_UP | 5.32e-04 | 11.80 | 3.05 | 2.66e-02 | 2.66e-02 | 4GAL, ALDOA, GCH1, BTG2 |
158 |
HALLMARK_EPITHELIAL_MESENCHYMAL_TRANSITION | 1.27e-03 | 9.27 | 2.40 | 3.18e-02 | 6.36e-02 | 4RGS4, SCG2, SPOCK1, GEM |
200 |
HALLMARK_TNFA_SIGNALING_VIA_NFKB | 1.18e-02 | 6.77 | 1.34 | 1.18e-01 | 5.89e-01 | 3GCH1, GEM, BTG2 |
200 |
HALLMARK_INFLAMMATORY_RESPONSE | 1.18e-02 | 6.77 | 1.34 | 1.18e-01 | 5.89e-01 | 3ADM, GCH1, BTG2 |
200 |
HALLMARK_KRAS_SIGNALING_UP | 1.18e-02 | 6.77 | 1.34 | 1.18e-01 | 5.89e-01 | 3SOX9, PCSK1N, SCG5 |
200 |
HALLMARK_SPERMATOGENESIS | 4.08e-02 | 6.55 | 0.76 | 3.40e-01 | 1.00e+00 | 2PCSK1N, SCG5 |
135 |
HALLMARK_APOPTOSIS | 5.58e-02 | 5.48 | 0.64 | 3.43e-01 | 1.00e+00 | 2GCH1, BTG2 |
161 |
HALLMARK_HYPOXIA | 8.11e-02 | 4.40 | 0.51 | 3.43e-01 | 1.00e+00 | 2ADM, ALDOA |
200 |
HALLMARK_ESTROGEN_RESPONSE_LATE | 8.11e-02 | 4.40 | 0.51 | 3.43e-01 | 1.00e+00 | 2TH, GAL |
200 |
HALLMARK_MTORC1_SIGNALING | 8.11e-02 | 4.40 | 0.51 | 3.43e-01 | 1.00e+00 | 2ALDOA, BTG2 |
200 |
HALLMARK_GLYCOLYSIS | 8.11e-02 | 4.40 | 0.51 | 3.43e-01 | 1.00e+00 | 2ALDOA, SOX9 |
200 |
HALLMARK_HEDGEHOG_SIGNALING | 8.24e-02 | 12.18 | 0.29 | 3.43e-01 | 1.00e+00 | 1SCG2 |
36 |
HALLMARK_PANCREAS_BETA_CELLS | 9.11e-02 | 10.93 | 0.26 | 3.50e-01 | 1.00e+00 | 1CHGA |
40 |
HALLMARK_UV_RESPONSE_DN | 2.90e-01 | 2.98 | 0.07 | 8.60e-01 | 1.00e+00 | 1RGS4 |
144 |
HALLMARK_FATTY_ACID_METABOLISM | 3.13e-01 | 2.72 | 0.07 | 8.60e-01 | 1.00e+00 | 1ALDOA |
158 |
HALLMARK_ADIPOGENESIS | 3.78e-01 | 2.14 | 0.05 | 8.60e-01 | 1.00e+00 | 1ALDOA |
200 |
HALLMARK_INTERFERON_GAMMA_RESPONSE | 3.78e-01 | 2.14 | 0.05 | 8.60e-01 | 1.00e+00 | 1GCH1 |
200 |
HALLMARK_XENOBIOTIC_METABOLISM | 3.78e-01 | 2.14 | 0.05 | 8.60e-01 | 1.00e+00 | 1GCH1 |
200 |
HALLMARK_OXIDATIVE_PHOSPHORYLATION | 3.78e-01 | 2.14 | 0.05 | 8.60e-01 | 1.00e+00 | 1ATP1B1 |
200 |
HALLMARK_P53_PATHWAY | 3.78e-01 | 2.14 | 0.05 | 8.60e-01 | 1.00e+00 | 1BTG2 |
200 |
Dowload full table
KEGG Pathways:
P-value | OR | Lower 95% CI | FDR | FWER | Genes Found | Gene Set Size | |
---|---|---|---|---|---|---|---|
KEGG_TYROSINE_METABOLISM | 4.50e-03 | 21.76 | 2.48 | 4.19e-01 | 8.38e-01 | 2TH, DBH |
42 |
KEGG_PARKINSONS_DISEASE | 3.64e-03 | 10.50 | 2.06 | 4.19e-01 | 6.76e-01 | 3TH, SLC18A2, NDUFA4L2 |
130 |
KEGG_NEUROACTIVE_LIGAND_RECEPTOR_INTERACTION | 2.62e-02 | 4.96 | 0.98 | 1.00e+00 | 1.00e+00 | 3ADORA2A, PRSS1, SCTR |
272 |
KEGG_FOLATE_BIOSYNTHESIS | 2.59e-02 | 42.55 | 0.96 | 1.00e+00 | 1.00e+00 | 1GCH1 |
11 |
KEGG_PROXIMAL_TUBULE_BICARBONATE_RECLAMATION | 5.34e-02 | 19.36 | 0.46 | 1.00e+00 | 1.00e+00 | 1ATP1B1 |
23 |
KEGG_PENTOSE_PHOSPHATE_PATHWAY | 6.24e-02 | 16.39 | 0.39 | 1.00e+00 | 1.00e+00 | 1ALDOA |
27 |
KEGG_FRUCTOSE_AND_MANNOSE_METABOLISM | 7.80e-02 | 12.92 | 0.31 | 1.00e+00 | 1.00e+00 | 1ALDOA |
34 |
KEGG_ALDOSTERONE_REGULATED_SODIUM_REABSORPTION | 9.54e-02 | 10.40 | 0.25 | 1.00e+00 | 1.00e+00 | 1ATP1B1 |
42 |
KEGG_TYPE_I_DIABETES_MELLITUS | 9.75e-02 | 10.15 | 0.25 | 1.00e+00 | 1.00e+00 | 1PTPRN |
43 |
KEGG_GLYCOLYSIS_GLUCONEOGENESIS | 1.38e-01 | 6.99 | 0.17 | 1.00e+00 | 1.00e+00 | 1ALDOA |
62 |
KEGG_ADIPOCYTOKINE_SIGNALING_PATHWAY | 1.48e-01 | 6.46 | 0.16 | 1.00e+00 | 1.00e+00 | 1NPY |
67 |
KEGG_CARDIAC_MUSCLE_CONTRACTION | 1.72e-01 | 5.47 | 0.13 | 1.00e+00 | 1.00e+00 | 1ATP1B1 |
79 |
KEGG_VASCULAR_SMOOTH_MUSCLE_CONTRACTION | 2.40e-01 | 3.74 | 0.09 | 1.00e+00 | 1.00e+00 | 1ADORA2A |
115 |
KEGG_OXIDATIVE_PHOSPHORYLATION | 2.70e-01 | 3.26 | 0.08 | 1.00e+00 | 1.00e+00 | 1NDUFA4L2 |
132 |
KEGG_PURINE_METABOLISM | 3.15e-01 | 2.70 | 0.07 | 1.00e+00 | 1.00e+00 | 1PDE10A |
159 |
KEGG_ALZHEIMERS_DISEASE | 3.26e-01 | 2.58 | 0.06 | 1.00e+00 | 1.00e+00 | 1NDUFA4L2 |
166 |
KEGG_CALCIUM_SIGNALING_PATHWAY | 3.45e-01 | 2.41 | 0.06 | 1.00e+00 | 1.00e+00 | 1ADORA2A |
178 |
KEGG_HUNTINGTONS_DISEASE | 3.51e-01 | 2.36 | 0.06 | 1.00e+00 | 1.00e+00 | 1NDUFA4L2 |
182 |
KEGG_N_GLYCAN_BIOSYNTHESIS | 1.00e+00 | 0.00 | 0.00 | 1.00e+00 | 1.00e+00 | 0 |
46 |
KEGG_OTHER_GLYCAN_DEGRADATION | 1.00e+00 | 0.00 | 0.00 | 1.00e+00 | 1.00e+00 | 0 |
16 |
Dowload full table
CHR Positional Gene Sets:
P-value | OR | Lower 95% CI | FDR | FWER | Genes Found | Gene Set Size | |
---|---|---|---|---|---|---|---|
chr20q11 | 1.84e-02 | 5.70 | 1.13 | 1.00e+00 | 1.00e+00 | 3GHRH, SNHG11, NNAT |
237 |
chr18q12 | 2.19e-02 | 9.26 | 1.07 | 1.00e+00 | 1.00e+00 | 2RIT2, SYT4 |
96 |
chr15q22 | 3.50e-02 | 7.14 | 0.83 | 1.00e+00 | 1.00e+00 | 2C2CD4B, C2CD4A |
124 |
chr2q35 | 3.60e-02 | 7.02 | 0.82 | 1.00e+00 | 1.00e+00 | 2RESP18, PTPRN |
126 |
chr12q13 | 2.47e-01 | 2.15 | 0.25 | 1.00e+00 | 1.00e+00 | 2NDUFA4L2, FAIM2 |
407 |
chr2p15 | 9.75e-02 | 10.15 | 0.25 | 1.00e+00 | 1.00e+00 | 1OTX1 |
43 |
chr11q13 | 2.59e-01 | 2.08 | 0.24 | 1.00e+00 | 1.00e+00 | 2GAL, MALAT1 |
421 |
chr4q22 | 1.54e-01 | 6.18 | 0.15 | 1.00e+00 | 1.00e+00 | 1NAP1L5 |
70 |
chr6q27 | 1.64e-01 | 5.76 | 0.14 | 1.00e+00 | 1.00e+00 | 1PDE10A |
75 |
chr2q36 | 1.78e-01 | 5.27 | 0.13 | 1.00e+00 | 1.00e+00 | 1SCG2 |
82 |
chr15q13 | 1.87e-01 | 4.96 | 0.12 | 1.00e+00 | 1.00e+00 | 1SCG5 |
87 |
chr14q22 | 1.93e-01 | 4.79 | 0.12 | 1.00e+00 | 1.00e+00 | 1GCH1 |
90 |
chr17q24 | 2.01e-01 | 4.59 | 0.11 | 1.00e+00 | 1.00e+00 | 1SOX9 |
94 |
chr7p15 | 2.05e-01 | 4.49 | 0.11 | 1.00e+00 | 1.00e+00 | 1NPY |
96 |
chr20p12 | 2.20e-01 | 4.14 | 0.10 | 1.00e+00 | 1.00e+00 | 1CHGB |
104 |
chr17q23 | 2.34e-01 | 3.84 | 0.09 | 1.00e+00 | 1.00e+00 | 1CYB561 |
112 |
chr1q24 | 2.54e-01 | 3.50 | 0.09 | 1.00e+00 | 1.00e+00 | 1ATP1B1 |
123 |
chr10q25 | 2.59e-01 | 3.41 | 0.08 | 1.00e+00 | 1.00e+00 | 1SLC18A2 |
126 |
chr15q15 | 2.89e-01 | 3.00 | 0.07 | 1.00e+00 | 1.00e+00 | 1DISP2 |
143 |
chr3p25 | 2.92e-01 | 2.96 | 0.07 | 1.00e+00 | 1.00e+00 | 1SYN2 |
145 |
Dowload full table
Transcription Factor Targets:
P-value | OR | Lower 95% CI | FDR | FWER | Genes Found | Gene Set Size | |
---|---|---|---|---|---|---|---|
CAGNWMCNNNGAC_UNKNOWN | 5.68e-05 | 21.62 | 5.53 | 9.20e-03 | 6.44e-02 | 4PTPRN, CHGA, CHGB, SYT4 |
88 |
ATF_B | 5.74e-06 | 15.40 | 5.30 | 6.50e-03 | 6.50e-03 | 6TH, VGF, SLC18A2, CHGB, SCG2, GEM |
191 |
NRSF_01 | 8.30e-05 | 19.53 | 5.01 | 1.18e-02 | 9.40e-02 | 4VGF, PTPRN, CHGA, SYT4 |
97 |
TGACGTCA_ATF3_Q6 | 1.85e-05 | 12.44 | 4.29 | 7.23e-03 | 2.09e-02 | 6TH, VGF, SLC18A2, CHGB, SCG2, GEM |
235 |
ATF1_Q6 | 1.94e-05 | 12.34 | 4.25 | 7.23e-03 | 2.19e-02 | 6TH, VGF, SLC18A2, CHGB, SCG2, GEM |
237 |
CREBP1_Q2 | 3.24e-05 | 11.22 | 3.87 | 7.23e-03 | 3.67e-02 | 6TH, VGF, SLC18A2, CHGB, SCG2, GEM |
260 |
CREBP1CJUN_01 | 3.52e-05 | 11.04 | 3.81 | 7.23e-03 | 3.99e-02 | 6TH, VGF, SLC18A2, CHGB, SCG2, GEM |
264 |
CREB_01 | 3.83e-05 | 10.88 | 3.75 | 7.23e-03 | 4.34e-02 | 6TH, VGF, SLC18A2, CHGB, SCG2, GEM |
268 |
CREB_Q4_01 | 1.57e-04 | 10.95 | 3.36 | 1.98e-02 | 1.78e-01 | 5TH, SLC18A2, CHGB, SCG2, GEM |
217 |
CGTSACG_PAX3_B | 4.27e-04 | 12.53 | 3.23 | 3.72e-02 | 4.84e-01 | 4SLC18A2, CHGB, GEM, RASD1 |
149 |
AP1_Q6 | 3.53e-04 | 9.14 | 2.81 | 3.64e-02 | 4.00e-01 | 5ADORA2A, VGF, PTPRN, ATP1B1, ALDOA |
259 |
ATF_01 | 4.06e-04 | 8.86 | 2.72 | 3.72e-02 | 4.60e-01 | 5TH, SLC18A2, CHGB, SCG2, GEM |
267 |
IK1_01 | 5.19e-04 | 8.38 | 2.58 | 4.20e-02 | 5.87e-01 | 5VGF, ATP1B1, OTX1, NNAT, PDE10A |
282 |
E4F1_Q6 | 6.06e-04 | 8.09 | 2.49 | 4.58e-02 | 6.86e-01 | 5SLC18A2, CHGB, SCG2, SOX9, GEM |
292 |
TGAYRTCA_ATF3_Q6 | 2.63e-04 | 6.28 | 2.37 | 2.98e-02 | 2.98e-01 | 7TH, VGF, SLC18A2, CHGB, SCG2, FAIM2, GEM |
549 |
CREB_Q2_01 | 1.98e-03 | 8.19 | 2.12 | 1.40e-01 | 1.00e+00 | 4SLC18A2, CHGB, SCG2, GEM |
226 |
ATF3_Q6 | 2.96e-03 | 7.30 | 1.89 | 1.87e-01 | 1.00e+00 | 4SLC18A2, CHGB, SCG2, GEM |
253 |
TGACCTTG_SF1_Q6 | 2.96e-03 | 7.30 | 1.89 | 1.87e-01 | 1.00e+00 | 4ATP1B1, CHGA, ALDOA, NNAT |
253 |
SF1_Q6 | 3.26e-03 | 7.10 | 1.84 | 1.93e-01 | 1.00e+00 | 4RGS4, ATP1B1, CHGA, ALDOA |
260 |
DR4_Q2 | 3.54e-03 | 6.94 | 1.80 | 1.93e-01 | 1.00e+00 | 4ADM, ATP1B1, NNAT, PCSK1N |
266 |
Dowload full table
GO Biological Processes:
P-value | OR | Lower 95% CI | FDR | FWER | Genes Found | Gene Set Size | |
---|---|---|---|---|---|---|---|
GOBP_POSITIVE_REGULATION_OF_CIRCADIAN_SLEEP_WAKE_CYCLE_SLEEP | 8.32e-05 | 214.97 | 19.15 | 1.56e-02 | 6.22e-01 | 2GHRH, ADORA2A |
6 |
GOBP_RESPONSE_TO_AMPHETAMINE | 7.47e-07 | 69.61 | 17.01 | 5.59e-04 | 5.59e-03 | 4TH, RGS4, SLC18A2, DBH |
30 |
GOBP_NOREPINEPHRINE_BIOSYNTHETIC_PROCESS | 1.16e-04 | 173.11 | 16.13 | 1.98e-02 | 8.70e-01 | 2TH, DBH |
7 |
GOBP_CATECHOL_CONTAINING_COMPOUND_BIOSYNTHETIC_PROCESS | 1.41e-05 | 78.17 | 14.22 | 4.81e-03 | 1.06e-01 | 3TH, DBH, GCH1 |
20 |
GOBP_NEUROTRANSMITTER_LOADING_INTO_SYNAPTIC_VESICLE | 1.55e-04 | 144.44 | 13.92 | 2.41e-02 | 1.00e+00 | 2TH, SLC18A2 |
8 |
GOBP_POSITIVE_REGULATION_OF_BLOOD_CIRCULATION | 2.44e-06 | 50.35 | 12.53 | 1.31e-03 | 1.83e-02 | 4RGS4, ADM, CHGA, GCH1 |
40 |
GOBP_RESPONSE_TO_DIETARY_EXCESS | 2.18e-05 | 66.54 | 12.25 | 6.45e-03 | 1.63e-01 | 3VGF, PCSK1N, SCTR |
23 |
GOBP_RESPONSE_TO_AMINE | 2.98e-06 | 47.71 | 11.90 | 1.39e-03 | 2.23e-02 | 4TH, RGS4, SLC18A2, DBH |
42 |
GOBP_REGULATION_OF_VASCULAR_PERMEABILITY | 2.98e-06 | 47.71 | 11.90 | 1.39e-03 | 2.23e-02 | 4C2CD4B, ADORA2A, C2CD4A, ADM |
42 |
GOBP_AMINE_TRANSPORT | 9.17e-08 | 32.36 | 10.99 | 2.18e-04 | 6.86e-04 | 6TH, RGS4, ADORA2A, SLC18A2, CHGA, SYT4 |
94 |
GOBP_POSITIVE_REGULATION_OF_HEART_RATE | 3.19e-05 | 57.89 | 10.76 | 7.35e-03 | 2.38e-01 | 3RGS4, ADM, GCH1 |
26 |
GOBP_CIRCADIAN_SLEEP_WAKE_CYCLE | 3.19e-05 | 57.89 | 10.76 | 7.35e-03 | 2.38e-01 | 3TH, GHRH, ADORA2A |
26 |
GOBP_NEGATIVE_REGULATION_OF_AMINE_TRANSPORT | 3.19e-05 | 57.89 | 10.76 | 7.35e-03 | 2.38e-01 | 3RGS4, CHGA, SYT4 |
26 |
GOBP_DOPAMINE_BIOSYNTHETIC_PROCESS | 3.03e-04 | 96.56 | 9.89 | 4.11e-02 | 1.00e+00 | 2TH, GCH1 |
11 |
GOBP_NEGATIVE_REGULATION_OF_CATECHOLAMINE_SECRETION | 4.28e-04 | 78.83 | 8.29 | 5.42e-02 | 1.00e+00 | 2CHGA, SYT4 |
13 |
GOBP_NOREPINEPHRINE_METABOLIC_PROCESS | 4.28e-04 | 78.83 | 8.29 | 5.42e-02 | 1.00e+00 | 2TH, DBH |
13 |
GOBP_DOPAMINE_METABOLIC_PROCESS | 1.01e-04 | 38.06 | 7.24 | 1.85e-02 | 7.57e-01 | 3TH, DBH, GCH1 |
38 |
GOBP_AMINE_BIOSYNTHETIC_PROCESS | 1.09e-04 | 37.01 | 7.05 | 1.95e-02 | 8.19e-01 | 3TH, DBH, GCH1 |
39 |
GOBP_NEUROPEPTIDE_SIGNALING_PATHWAY | 5.20e-06 | 22.96 | 6.97 | 2.16e-03 | 3.89e-02 | 5NPY, GAL, GPR139, PCSK1N, SCG5 |
106 |
GOBP_SIGNAL_RELEASE | 6.95e-10 | 14.25 | 6.74 | 3.57e-06 | 5.20e-06 | 12GHRH, ADORA2A, ADM, VGF, PTPRN, GAL, SLC18A2, CHGA, NNAT, SYN2, SCG5, SYT4 |
475 |
Dowload full table
Immunological Gene Sets:
P-value | OR | Lower 95% CI | FDR | FWER | Genes Found | Gene Set Size | |
---|---|---|---|---|---|---|---|
GSE35543_IN_VIVO_NTREG_VS_CONVERTED_EX_ITREG_DN | 1.05e-04 | 11.97 | 3.67 | 4.13e-01 | 5.13e-01 | 5ZDBF2, SCG2, PCSK1N, SCTR, DIRAS2 |
199 |
GSE37532_VISCERAL_ADIPOSE_TISSUE_VS_LN_DERIVED_PPARG_KO_TCONV_CD4_TCELL_DN | 1.89e-03 | 13.33 | 2.61 | 5.74e-01 | 1.00e+00 | 3SNHG11, PDE10A, SPOCK1 |
103 |
GSE9988_LPS_VS_VEHICLE_TREATED_MONOCYTE_UP | 1.18e-03 | 9.46 | 2.45 | 4.13e-01 | 1.00e+00 | 4ADM, GCH1, GEM, BTG2 |
196 |
GSE22886_NEUTROPHIL_VS_MONOCYTE_UP | 1.20e-03 | 9.42 | 2.44 | 4.13e-01 | 1.00e+00 | 4RGS4, VGF, GAL, SLC18A2 |
197 |
GSE41176_UNSTIM_VS_ANTI_IGM_STIM_BCELL_24H_UP | 1.23e-03 | 9.37 | 2.43 | 4.13e-01 | 1.00e+00 | 4C2CD4B, PTPRN, DBH, SCG2 |
198 |
GSE22886_NAIVE_TCELL_VS_NEUTROPHIL_DN | 1.25e-03 | 9.32 | 2.41 | 4.13e-01 | 1.00e+00 | 4RGS4, ADM, GAL, PRUNE2 |
199 |
GSE28237_FOLLICULAR_VS_LATE_GC_BCELL_UP | 1.25e-03 | 9.32 | 2.41 | 4.13e-01 | 1.00e+00 | 4GHRH, RESP18, GCH1, PDE10A |
199 |
GSE22140_GERMFREE_VS_SPF_MOUSE_CD4_TCELL_UP | 1.25e-03 | 9.32 | 2.41 | 4.13e-01 | 1.00e+00 | 4NPY, ATP1B1, GCH1, GEM |
199 |
GSE17721_PAM3CSK4_VS_GADIQUIMOD_1H_BMDC_UP | 1.27e-03 | 9.27 | 2.40 | 4.13e-01 | 1.00e+00 | 4ADM, SCG2, PDE10A, GEM |
200 |
GSE19825_NAIVE_VS_DAY3_EFF_CD8_TCELL_UP | 1.27e-03 | 9.27 | 2.40 | 4.13e-01 | 1.00e+00 | 4NPY, PTPRN, ATP1B1, PDE10A |
200 |
GSE360_CTRL_VS_B_MALAYI_HIGH_DOSE_MAC_UP | 1.27e-03 | 9.27 | 2.40 | 4.13e-01 | 1.00e+00 | 4GAL, SLC18A2, BTG2, CYB561 |
200 |
GSE3039_NKT_CELL_VS_B2_BCELL_DN | 1.27e-03 | 9.27 | 2.40 | 4.13e-01 | 1.00e+00 | 4GAL, ALDOA, GCH1, PRUNE2 |
200 |
GSE18893_CTRL_VS_TNF_TREATED_TREG_24H_UP | 1.27e-03 | 9.27 | 2.40 | 4.13e-01 | 1.00e+00 | 4C2CD4B, ADORA2A, GCH1, SCTR |
200 |
GSE26488_CTRL_VS_PEPTIDE_INJECTION_HDAC7_DELTAP_TG_OT2_THYMOCYTE_DN | 1.27e-03 | 9.27 | 2.40 | 4.13e-01 | 1.00e+00 | 4ADM, CHGA, GEM, BTG2 |
200 |
GSE22443_NAIVE_VS_ACT_AND_IL2_TREATED_CD8_TCELL_UP | 1.27e-03 | 9.27 | 2.40 | 4.13e-01 | 1.00e+00 | 4NPY, RESP18, BTG2, CYB561 |
200 |
GSE28737_FOLLICULAR_VS_MARGINAL_ZONE_BCELL_DN | 1.27e-03 | 9.27 | 2.40 | 4.13e-01 | 1.00e+00 | 4DBH, GCH1, RIT2, SYT4 |
200 |
GSE6090_UNSTIM_VS_DC_SIGN_STIM_DC_DN | 5.02e-03 | 9.33 | 1.84 | 6.83e-01 | 1.00e+00 | 3TH, SNHG11, GPR139 |
146 |
GSE40666_STAT1_KO_VS_STAT4_KO_CD8_TCELL_WITH_IFNA_STIM_90MIN_DN | 9.29e-03 | 7.41 | 1.46 | 6.83e-01 | 1.00e+00 | 3DBH, DIRAS2, BTG2 |
183 |
GSE37605_FOXP3_FUSION_GFP_VS_IRES_GFP_TREG_C57BL6_UP | 9.57e-03 | 7.33 | 1.45 | 6.83e-01 | 1.00e+00 | 3ADM, GEM, BTG2 |
185 |
GSE2706_R848_VS_LPS_8H_STIM_DC_UP | 9.85e-03 | 7.25 | 1.43 | 6.83e-01 | 1.00e+00 | 3C2CD4B, RIT2, BTG2 |
187 |
Top Ranked Transcription Factors for this Gene Expression Program:
Gene Symbol | TF Rank | DNA Binding Domain | Motif Status | IUPAC PWM | GTEx | DepMap | Decartes |
---|---|---|---|---|---|---|---|
OTX1 | 27 | Yes | Known motif | Monomer or homomultimer | High-throughput in vitro | None | None |
SOX9 | 28 | Yes | Known motif | Monomer or homomultimer | High-throughput in vitro | None | Also binds ssDNA loops. |
BTG2 | 46 | No | Unlikely to be sequence specific TF | Not a DNA binding protein | No motif | None | Transcriptional co-factor (PMID: 10617598) |
NTRK1 | 57 | No | Unlikely to be sequence specific TF | Not a DNA binding protein | No motif | None | Membrane bound receptor protein |
VEGFA | 79 | No | Unlikely to be sequence specific TF | Not a DNA binding protein | No motif | None | Extracellular signaling molecule. Included only because it regulates CREB. |
TCF24 | 88 | Yes | Inferred motif | Monomer or homomultimer | High-throughput in vitro | None | None |
EPAS1 | 93 | Yes | Known motif | Monomer or homomultimer | In vivo/Misc source | Only known motifs are from Transfac or HocoMoco - origin is uncertain | None |
FOS | 98 | Yes | Known motif | Monomer or homomultimer | High-throughput in vitro | None | None |
PEG3 | 118 | Yes | Likely to be sequence specific TF | Monomer or homomultimer | No motif | None | SCAN C2H2 ZF Protein. |
PCBD1 | 135 | No | Unlikely to be sequence specific TF | Not a DNA binding protein | No motif | None | Coactivator for HNF1A-dependent transcription. Regulates the dimerization of homeodomain protein HNF1A and enhances its transcriptional activity (UniProt: P61457) |
ATF3 | 139 | Yes | Known motif | Monomer or homomultimer | High-throughput in vitro | None | None |
PRNP | 147 | No | Unlikely to be sequence specific TF | Not a DNA binding protein | No motif | None | None |
THRA | 206 | Yes | Known motif | Monomer or homomultimer | High-throughput in vitro | None | Likely binds as a heterodimer too |
MBNL2 | 237 | Yes | Likely to be sequence specific TF | Monomer or homomultimer | High-throughput in vitro | None | Has methylated and unmethylated HT-SELEX motifs, despite this family largely binding RNA exclusively (PMID: 28473536 ) |
TSC22D1 | 250 | Yes | Likely to be sequence specific TF | Monomer or homomultimer | No motif | None | TSC22D1 appears to homo- and heterodimerize with other TFs to affect transcription (PMID: 10488076). In vitro, it has been shown to bind GC-rich DNA sequences (PMID: 9022669) |
MAML3 | 251 | No | Unlikely to be sequence specific TF | Not a DNA binding protein | No motif | None | None |
ARID5B | 273 | Yes | Known motif | Monomer or homomultimer | 100 perc ID - in vitro | Has a putative AT-hook | None |
TSHZ2 | 308 | Yes | Likely to be sequence specific TF | Monomer or homomultimer | No motif | None | Also contains an atypical homodomain (Uniprot) not identified by Pfam. |
EPHA5 | 312 | No | Unlikely to be sequence specific TF | Not a DNA binding protein | No motif | None | None |
NFE2L1 | 325 | Yes | Known motif | Obligate heteromer | In vivo/Misc source | Only known motifs are from Transfac or HocoMoco - origin is uncertain | Tested on HT-SELEX and PBM. Neither yielded a motif. Likely an obligate heteromer (PMID: 23661758). |
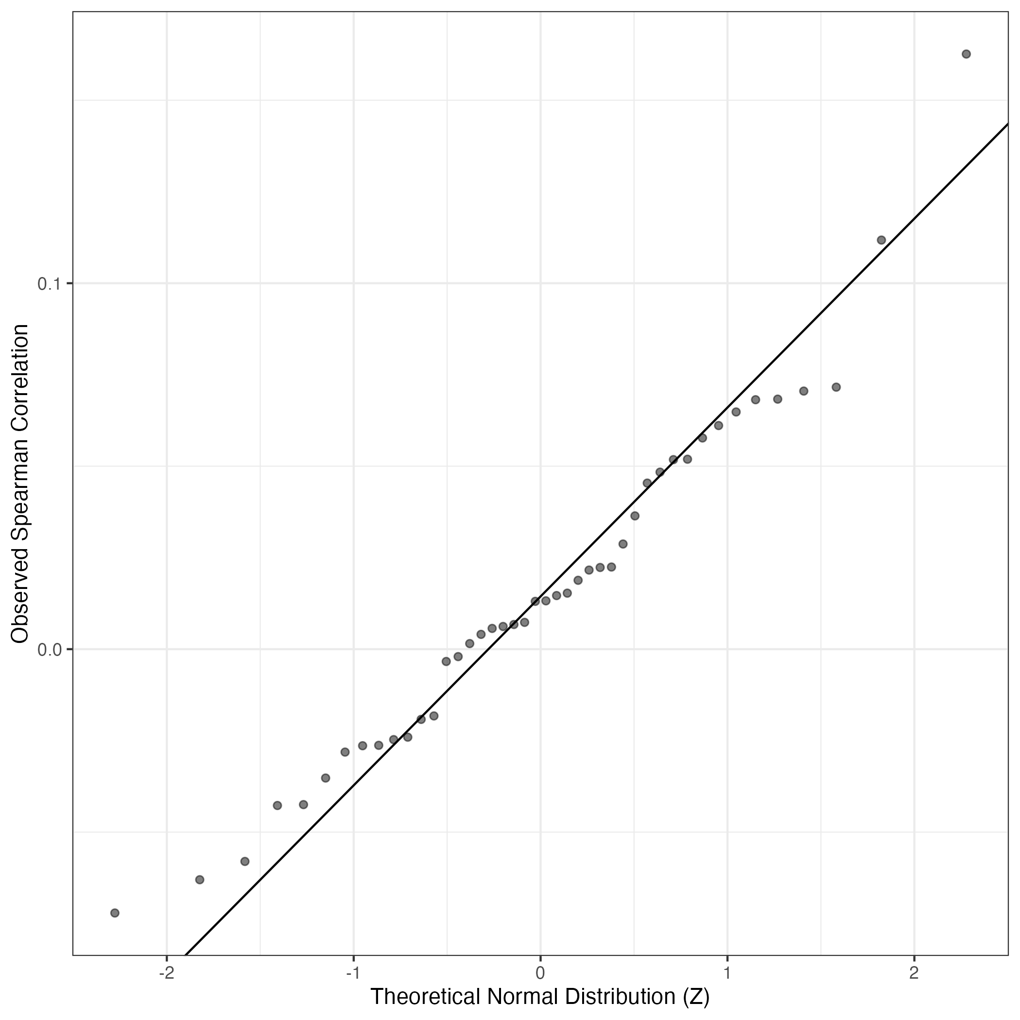
QQ Plot showing correlations with other Gene Expression Programs in this dataset, calculated by Spearman correlation:
Interactive QQ-plot of gene loadings:
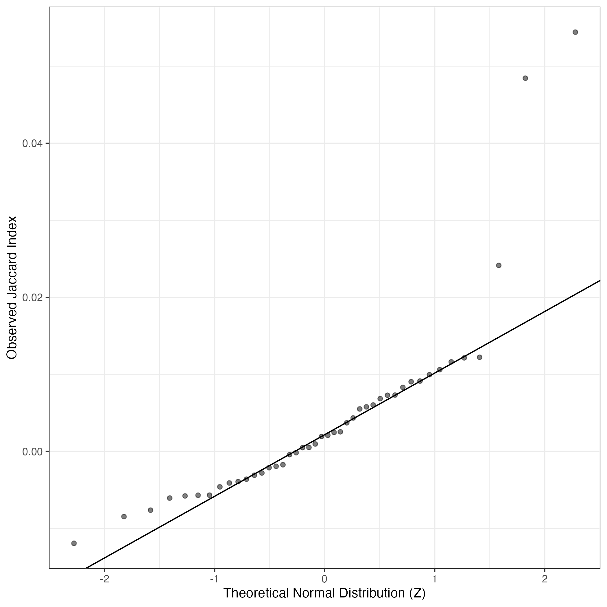
A similar QQ-plot as above, but only for instances where the H value is e.g. > 25, i.e. we are confident that the expression program is active above noise. Agreemenet between these binary vectors is tested using the Jaccard Index, with the P-values calculated by an exact test:
Interactive QQ-plot:
Singler cell type annotations for the top 50 cells on this program.
Cell ID | Singler label | Singler Delta | Activity Score | Top Singler Raw Scores |
---|---|---|---|---|
883_AGAACAACAAATAAGC-1 | Neurons:adrenal_medulla_cell_line | 0.18 | 624.66 | Raw ScoresNeurons:adrenal_medulla_cell_line: 0.46, Neuroepithelial_cell:ESC-derived: 0.4, Astrocyte:Embryonic_stem_cell-derived: 0.39, iPS_cells:PDB_1lox-21Puro-20: 0.39, iPS_cells:PDB_1lox-21Puro-26: 0.38, iPS_cells:PDB_1lox-17Puro-10: 0.38, iPS_cells:PDB_2lox-22: 0.38, iPS_cells:PDB_2lox-5: 0.38, iPS_cells:PDB_1lox-17Puro-5: 0.38, iPS_cells:PDB_2lox-21: 0.38 |
839_TCGAACACATGCACTA-1 | Neurons:adrenal_medulla_cell_line | 0.22 | 537.50 | Raw ScoresNeurons:adrenal_medulla_cell_line: 0.53, Neuroepithelial_cell:ESC-derived: 0.46, Astrocyte:Embryonic_stem_cell-derived: 0.45, iPS_cells:PDB_1lox-21Puro-20: 0.43, iPS_cells:PDB_1lox-21Puro-26: 0.43, iPS_cells:PDB_1lox-17Puro-10: 0.43, iPS_cells:PDB_2lox-22: 0.42, iPS_cells:PDB_1lox-17Puro-5: 0.42, iPS_cells:PDB_2lox-17: 0.42, iPS_cells:PDB_2lox-21: 0.42 |
847_TTTGATCCAACGCATT-1 | Neurons:adrenal_medulla_cell_line | 0.21 | 535.57 | Raw ScoresNeurons:adrenal_medulla_cell_line: 0.48, Neuroepithelial_cell:ESC-derived: 0.42, Astrocyte:Embryonic_stem_cell-derived: 0.42, iPS_cells:PDB_1lox-21Puro-20: 0.39, iPS_cells:PDB_1lox-21Puro-26: 0.39, iPS_cells:PDB_1lox-17Puro-10: 0.39, iPS_cells:PDB_1lox-17Puro-5: 0.38, iPS_cells:PDB_2lox-22: 0.38, Embryonic_stem_cells: 0.38, Neurons:ES_cell-derived_neural_precursor: 0.38 |
883_ACATCCCGTCCAGCCA-1 | Neurons:adrenal_medulla_cell_line | 0.20 | 510.44 | Raw ScoresNeurons:adrenal_medulla_cell_line: 0.47, Neuroepithelial_cell:ESC-derived: 0.38, Astrocyte:Embryonic_stem_cell-derived: 0.37, iPS_cells:PDB_1lox-21Puro-20: 0.36, iPS_cells:PDB_1lox-17Puro-5: 0.36, iPS_cells:PDB_1lox-21Puro-26: 0.36, iPS_cells:PDB_1lox-17Puro-10: 0.36, iPS_cells:PDB_2lox-22: 0.36, iPS_cells:PDB_2lox-21: 0.35, iPS_cells:PDB_2lox-17: 0.35 |
883_TGGCGTGTCAGCGCAC-1 | Neurons:adrenal_medulla_cell_line | 0.12 | 465.59 | Raw ScoresNeurons:adrenal_medulla_cell_line: 0.43, Neuroepithelial_cell:ESC-derived: 0.36, Astrocyte:Embryonic_stem_cell-derived: 0.36, iPS_cells:PDB_1lox-21Puro-20: 0.35, iPS_cells:PDB_1lox-21Puro-26: 0.35, iPS_cells:PDB_2lox-22: 0.35, iPS_cells:adipose_stem_cell-derived:lentiviral: 0.35, iPS_cells:iPS:minicircle-derived: 0.35, iPS_cells:PDB_2lox-21: 0.35, iPS_cells:PDB_1lox-17Puro-5: 0.35 |
883_GCCCAGAAGCCTAACT-1 | Neurons:adrenal_medulla_cell_line | 0.19 | 388.76 | Raw ScoresNeurons:adrenal_medulla_cell_line: 0.44, Neuroepithelial_cell:ESC-derived: 0.38, Astrocyte:Embryonic_stem_cell-derived: 0.37, iPS_cells:PDB_1lox-21Puro-20: 0.36, iPS_cells:PDB_1lox-21Puro-26: 0.36, iPS_cells:PDB_1lox-17Puro-10: 0.36, iPS_cells:PDB_1lox-17Puro-5: 0.36, iPS_cells:PDB_2lox-22: 0.36, iPS_cells:PDB_2lox-17: 0.35, iPS_cells:PDB_2lox-21: 0.35 |
883_GCACTAAAGTTACTCG-1 | Neurons:adrenal_medulla_cell_line | 0.19 | 351.51 | Raw ScoresNeurons:adrenal_medulla_cell_line: 0.47, Neuroepithelial_cell:ESC-derived: 0.4, Astrocyte:Embryonic_stem_cell-derived: 0.39, iPS_cells:PDB_1lox-21Puro-20: 0.39, iPS_cells:PDB_1lox-21Puro-26: 0.39, iPS_cells:PDB_1lox-17Puro-10: 0.38, iPS_cells:PDB_1lox-17Puro-5: 0.38, iPS_cells:PDB_2lox-22: 0.38, iPS_cells:PDB_2lox-17: 0.38, iPS_cells:PDB_2lox-21: 0.38 |
839_ATCTTCAGTCGCATCG-1 | Neurons:adrenal_medulla_cell_line | 0.21 | 348.83 | Raw ScoresNeurons:adrenal_medulla_cell_line: 0.51, Neuroepithelial_cell:ESC-derived: 0.43, Astrocyte:Embryonic_stem_cell-derived: 0.42, iPS_cells:PDB_1lox-21Puro-20: 0.41, iPS_cells:PDB_1lox-21Puro-26: 0.4, iPS_cells:PDB_1lox-17Puro-10: 0.4, iPS_cells:PDB_2lox-22: 0.4, iPS_cells:PDB_1lox-17Puro-5: 0.4, iPS_cells:PDB_2lox-17: 0.4, iPS_cells:adipose_stem_cell-derived:minicircle-derived: 0.4 |
883_TCTTTGAGTGTAGGAC-1 | Neurons:adrenal_medulla_cell_line | 0.17 | 348.35 | Raw ScoresNeurons:adrenal_medulla_cell_line: 0.45, Neuroepithelial_cell:ESC-derived: 0.39, Astrocyte:Embryonic_stem_cell-derived: 0.39, iPS_cells:PDB_1lox-17Puro-10: 0.37, iPS_cells:PDB_1lox-21Puro-20: 0.37, iPS_cells:PDB_1lox-17Puro-5: 0.37, iPS_cells:PDB_1lox-21Puro-26: 0.37, iPS_cells:PDB_2lox-22: 0.37, iPS_cells:PDB_2lox-21: 0.37, iPS_cells:PDB_2lox-17: 0.37 |
883_TGATTTCCAGAGATGC-1 | Neurons:adrenal_medulla_cell_line | 0.17 | 346.31 | Raw ScoresNeurons:adrenal_medulla_cell_line: 0.43, Neuroepithelial_cell:ESC-derived: 0.37, Astrocyte:Embryonic_stem_cell-derived: 0.37, iPS_cells:PDB_1lox-21Puro-20: 0.35, iPS_cells:PDB_1lox-21Puro-26: 0.35, iPS_cells:PDB_1lox-17Puro-10: 0.35, iPS_cells:PDB_1lox-17Puro-5: 0.35, iPS_cells:PDB_2lox-22: 0.35, iPS_cells:PDB_2lox-21: 0.34, iPS_cells:PDB_2lox-17: 0.34 |
883_AGGCTGCAGCACCAGA-1 | Neurons:adrenal_medulla_cell_line | 0.17 | 327.54 | Raw ScoresNeurons:adrenal_medulla_cell_line: 0.43, Astrocyte:Embryonic_stem_cell-derived: 0.38, Neuroepithelial_cell:ESC-derived: 0.38, iPS_cells:PDB_1lox-21Puro-20: 0.35, Embryonic_stem_cells: 0.35, iPS_cells:PDB_2lox-22: 0.35, iPS_cells:PDB_1lox-21Puro-26: 0.35, iPS_cells:PDB_2lox-21: 0.35, iPS_cells:PDB_1lox-17Puro-10: 0.35, iPS_cells:PDB_2lox-17: 0.34 |
883_TCCCACAAGTCTGTAC-1 | Neurons:adrenal_medulla_cell_line | 0.19 | 323.39 | Raw ScoresNeurons:adrenal_medulla_cell_line: 0.48, Neuroepithelial_cell:ESC-derived: 0.43, Astrocyte:Embryonic_stem_cell-derived: 0.41, iPS_cells:PDB_1lox-21Puro-20: 0.4, iPS_cells:PDB_1lox-17Puro-10: 0.4, iPS_cells:PDB_1lox-21Puro-26: 0.4, iPS_cells:PDB_1lox-17Puro-5: 0.4, iPS_cells:PDB_2lox-22: 0.4, iPS_cells:PDB_2lox-17: 0.39, iPS_cells:PDB_2lox-5: 0.39 |
883_CTTCCTTGTAGGACTG-1 | Neurons:adrenal_medulla_cell_line | 0.17 | 293.85 | Raw ScoresNeurons:adrenal_medulla_cell_line: 0.44, Neuroepithelial_cell:ESC-derived: 0.37, iPS_cells:PDB_1lox-21Puro-20: 0.36, iPS_cells:PDB_2lox-22: 0.36, Astrocyte:Embryonic_stem_cell-derived: 0.36, iPS_cells:PDB_1lox-21Puro-26: 0.36, iPS_cells:PDB_1lox-17Puro-5: 0.35, iPS_cells:PDB_2lox-17: 0.35, iPS_cells:PDB_2lox-21: 0.35, iPS_cells:PDB_1lox-17Puro-10: 0.35 |
883_ATCCCTGAGTATGCAA-1 | Neurons:adrenal_medulla_cell_line | 0.17 | 283.41 | Raw ScoresNeurons:adrenal_medulla_cell_line: 0.46, Neuroepithelial_cell:ESC-derived: 0.39, Astrocyte:Embryonic_stem_cell-derived: 0.38, iPS_cells:PDB_1lox-21Puro-20: 0.38, iPS_cells:PDB_1lox-17Puro-10: 0.38, iPS_cells:PDB_1lox-21Puro-26: 0.38, iPS_cells:PDB_1lox-17Puro-5: 0.38, iPS_cells:PDB_2lox-22: 0.37, iPS_cells:PDB_2lox-17: 0.37, iPS_cells:PDB_2lox-21: 0.37 |
849_TGCACGGTCAAGTCGT-1 | Neurons:adrenal_medulla_cell_line | 0.16 | 274.05 | Raw ScoresNeurons:adrenal_medulla_cell_line: 0.39, Neuroepithelial_cell:ESC-derived: 0.34, Astrocyte:Embryonic_stem_cell-derived: 0.33, iPS_cells:PDB_1lox-21Puro-20: 0.32, iPS_cells:PDB_1lox-21Puro-26: 0.32, iPS_cells:PDB_1lox-17Puro-5: 0.32, iPS_cells:PDB_1lox-17Puro-10: 0.32, iPS_cells:CRL2097_foreskin-derived:undiff.: 0.32, iPS_cells:PDB_2lox-22: 0.32, iPS_cells:PDB_2lox-21: 0.32 |
883_GTGTGATCACGCGTCA-1 | Neurons:adrenal_medulla_cell_line | 0.16 | 270.97 | Raw ScoresNeurons:adrenal_medulla_cell_line: 0.46, Neuroepithelial_cell:ESC-derived: 0.4, Astrocyte:Embryonic_stem_cell-derived: 0.4, iPS_cells:PDB_1lox-21Puro-20: 0.39, iPS_cells:PDB_2lox-22: 0.39, iPS_cells:PDB_1lox-21Puro-26: 0.39, iPS_cells:PDB_1lox-17Puro-10: 0.38, iPS_cells:PDB_2lox-17: 0.38, iPS_cells:PDB_1lox-17Puro-5: 0.38, iPS_cells:PDB_2lox-21: 0.38 |
883_AGCGATTCACTTGTCC-1 | Neurons:adrenal_medulla_cell_line | 0.18 | 270.21 | Raw ScoresNeurons:adrenal_medulla_cell_line: 0.45, Neuroepithelial_cell:ESC-derived: 0.39, Astrocyte:Embryonic_stem_cell-derived: 0.38, iPS_cells:PDB_1lox-21Puro-20: 0.37, iPS_cells:PDB_1lox-21Puro-26: 0.37, iPS_cells:PDB_1lox-17Puro-10: 0.36, iPS_cells:PDB_2lox-22: 0.36, iPS_cells:PDB_1lox-17Puro-5: 0.36, iPS_cells:PDB_2lox-21: 0.36, iPS_cells:PDB_2lox-17: 0.36 |
883_GGACGTCGTAATGTGA-1 | Neurons:adrenal_medulla_cell_line | 0.18 | 260.69 | Raw ScoresNeurons:adrenal_medulla_cell_line: 0.44, Neuroepithelial_cell:ESC-derived: 0.37, Astrocyte:Embryonic_stem_cell-derived: 0.37, iPS_cells:PDB_1lox-21Puro-20: 0.36, iPS_cells:PDB_1lox-21Puro-26: 0.35, iPS_cells:PDB_2lox-22: 0.35, iPS_cells:PDB_1lox-17Puro-10: 0.35, iPS_cells:adipose_stem_cell-derived:minicircle-derived: 0.35, iPS_cells:PDB_1lox-17Puro-5: 0.35, iPS_cells:PDB_2lox-17: 0.35 |
837_GGGATGACAACTGAAA-1 | Neurons:adrenal_medulla_cell_line | 0.19 | 251.76 | Raw ScoresNeurons:adrenal_medulla_cell_line: 0.49, Neuroepithelial_cell:ESC-derived: 0.41, Astrocyte:Embryonic_stem_cell-derived: 0.41, iPS_cells:PDB_1lox-21Puro-20: 0.4, iPS_cells:PDB_1lox-21Puro-26: 0.4, iPS_cells:PDB_1lox-17Puro-10: 0.4, iPS_cells:PDB_1lox-17Puro-5: 0.4, iPS_cells:PDB_2lox-22: 0.4, iPS_cells:PDB_2lox-21: 0.4, iPS_cells:PDB_2lox-17: 0.39 |
883_ATCGGATCAACGATTC-1 | Neurons:adrenal_medulla_cell_line | 0.20 | 248.07 | Raw ScoresNeurons:adrenal_medulla_cell_line: 0.47, Neuroepithelial_cell:ESC-derived: 0.41, Astrocyte:Embryonic_stem_cell-derived: 0.4, iPS_cells:PDB_1lox-21Puro-20: 0.38, iPS_cells:PDB_2lox-22: 0.37, iPS_cells:PDB_1lox-21Puro-26: 0.37, iPS_cells:PDB_1lox-17Puro-10: 0.37, iPS_cells:PDB_2lox-21: 0.37, iPS_cells:PDB_2lox-17: 0.37, iPS_cells:PDB_1lox-17Puro-5: 0.37 |
839_AATGCCATCGACGCGT-1 | Neurons:adrenal_medulla_cell_line | 0.25 | 248.06 | Raw ScoresNeurons:adrenal_medulla_cell_line: 0.56, Neuroepithelial_cell:ESC-derived: 0.51, iPS_cells:PDB_1lox-21Puro-20: 0.49, iPS_cells:PDB_1lox-21Puro-26: 0.48, Astrocyte:Embryonic_stem_cell-derived: 0.48, iPS_cells:PDB_1lox-17Puro-10: 0.48, iPS_cells:PDB_2lox-22: 0.48, iPS_cells:PDB_1lox-17Puro-5: 0.47, iPS_cells:PDB_2lox-21: 0.47, iPS_cells:PDB_2lox-17: 0.47 |
883_GATTGGTCAGATGCGA-1 | Neurons:adrenal_medulla_cell_line | 0.20 | 245.50 | Raw ScoresNeurons:adrenal_medulla_cell_line: 0.46, Neuroepithelial_cell:ESC-derived: 0.39, Astrocyte:Embryonic_stem_cell-derived: 0.38, iPS_cells:PDB_1lox-21Puro-20: 0.37, iPS_cells:PDB_1lox-21Puro-26: 0.36, iPS_cells:PDB_1lox-17Puro-10: 0.36, iPS_cells:PDB_1lox-17Puro-5: 0.36, iPS_cells:PDB_2lox-22: 0.36, iPS_cells:PDB_2lox-21: 0.35, iPS_cells:PDB_2lox-17: 0.35 |
883_TATGTTCAGCGTCAAG-1 | Neurons:adrenal_medulla_cell_line | 0.16 | 242.65 | Raw ScoresNeurons:adrenal_medulla_cell_line: 0.42, Neuroepithelial_cell:ESC-derived: 0.37, Astrocyte:Embryonic_stem_cell-derived: 0.36, iPS_cells:PDB_1lox-21Puro-20: 0.35, iPS_cells:PDB_2lox-22: 0.34, iPS_cells:PDB_1lox-21Puro-26: 0.34, iPS_cells:PDB_1lox-17Puro-10: 0.34, iPS_cells:PDB_1lox-17Puro-5: 0.34, iPS_cells:PDB_2lox-5: 0.34, iPS_cells:PDB_2lox-17: 0.34 |
883_TCGCTCAAGACTCATC-1 | Neurons:adrenal_medulla_cell_line | 0.20 | 238.49 | Raw ScoresNeurons:adrenal_medulla_cell_line: 0.46, Neuroepithelial_cell:ESC-derived: 0.39, Astrocyte:Embryonic_stem_cell-derived: 0.38, iPS_cells:PDB_1lox-21Puro-20: 0.37, iPS_cells:PDB_1lox-21Puro-26: 0.37, iPS_cells:PDB_2lox-22: 0.37, iPS_cells:PDB_1lox-17Puro-5: 0.37, iPS_cells:PDB_1lox-17Puro-10: 0.37, iPS_cells:PDB_2lox-17: 0.36, iPS_cells:PDB_2lox-21: 0.36 |
883_TCCTCCCCAGGAATCG-1 | Neurons:adrenal_medulla_cell_line | 0.19 | 234.68 | Raw ScoresNeurons:adrenal_medulla_cell_line: 0.45, Neuroepithelial_cell:ESC-derived: 0.38, Astrocyte:Embryonic_stem_cell-derived: 0.38, iPS_cells:PDB_1lox-21Puro-20: 0.37, iPS_cells:PDB_1lox-21Puro-26: 0.37, iPS_cells:PDB_1lox-17Puro-10: 0.36, iPS_cells:PDB_2lox-22: 0.36, iPS_cells:PDB_1lox-17Puro-5: 0.36, iPS_cells:PDB_2lox-17: 0.36, iPS_cells:PDB_2lox-21: 0.36 |
883_GACGTTAAGTTTGAGA-1 | Neurons:adrenal_medulla_cell_line | 0.18 | 233.27 | Raw ScoresNeurons:adrenal_medulla_cell_line: 0.45, Neuroepithelial_cell:ESC-derived: 0.39, Astrocyte:Embryonic_stem_cell-derived: 0.38, iPS_cells:PDB_1lox-21Puro-20: 0.37, iPS_cells:PDB_1lox-21Puro-26: 0.36, iPS_cells:PDB_2lox-22: 0.36, iPS_cells:PDB_1lox-17Puro-5: 0.36, iPS_cells:PDB_1lox-17Puro-10: 0.36, iPS_cells:PDB_2lox-21: 0.36, iPS_cells:PDB_2lox-17: 0.36 |
883_GGTAACTCAGGCTACC-1 | Neurons:adrenal_medulla_cell_line | 0.17 | 230.30 | Raw ScoresNeurons:adrenal_medulla_cell_line: 0.46, Neuroepithelial_cell:ESC-derived: 0.4, Astrocyte:Embryonic_stem_cell-derived: 0.38, iPS_cells:PDB_2lox-22: 0.38, iPS_cells:PDB_1lox-21Puro-20: 0.38, iPS_cells:PDB_2lox-17: 0.38, iPS_cells:PDB_1lox-21Puro-26: 0.38, iPS_cells:PDB_1lox-17Puro-5: 0.38, iPS_cells:PDB_1lox-17Puro-10: 0.38, iPS_cells:PDB_2lox-21: 0.37 |
883_TCGTAGACATCGCTCT-1 | Neurons:adrenal_medulla_cell_line | 0.18 | 229.11 | Raw ScoresNeurons:adrenal_medulla_cell_line: 0.44, Neuroepithelial_cell:ESC-derived: 0.38, Astrocyte:Embryonic_stem_cell-derived: 0.37, iPS_cells:PDB_1lox-21Puro-20: 0.36, iPS_cells:PDB_1lox-21Puro-26: 0.36, iPS_cells:PDB_2lox-22: 0.36, iPS_cells:PDB_1lox-17Puro-10: 0.35, iPS_cells:PDB_1lox-17Puro-5: 0.35, iPS_cells:PDB_2lox-17: 0.35, iPS_cells:PDB_2lox-21: 0.35 |
883_AGGGCTCGTACCTAGT-1 | Neurons:adrenal_medulla_cell_line | 0.16 | 228.11 | Raw ScoresNeurons:adrenal_medulla_cell_line: 0.42, Neuroepithelial_cell:ESC-derived: 0.37, Astrocyte:Embryonic_stem_cell-derived: 0.36, iPS_cells:PDB_1lox-21Puro-20: 0.35, iPS_cells:PDB_1lox-21Puro-26: 0.35, iPS_cells:PDB_1lox-17Puro-10: 0.35, iPS_cells:PDB_2lox-22: 0.35, iPS_cells:PDB_1lox-17Puro-5: 0.35, iPS_cells:PDB_2lox-17: 0.35, iPS_cells:PDB_2lox-21: 0.34 |
837_GAGTTTGAGTACCCTA-1 | Neurons:adrenal_medulla_cell_line | 0.17 | 222.33 | Raw ScoresNeurons:adrenal_medulla_cell_line: 0.46, Neuroepithelial_cell:ESC-derived: 0.4, Astrocyte:Embryonic_stem_cell-derived: 0.39, iPS_cells:PDB_1lox-21Puro-20: 0.38, iPS_cells:PDB_2lox-22: 0.38, iPS_cells:PDB_1lox-21Puro-26: 0.37, iPS_cells:PDB_2lox-17: 0.37, iPS_cells:PDB_1lox-17Puro-10: 0.37, iPS_cells:PDB_1lox-17Puro-5: 0.37, iPS_cells:PDB_2lox-21: 0.37 |
883_GTCTGTCAGTATGACA-1 | Neurons:adrenal_medulla_cell_line | 0.18 | 198.77 | Raw ScoresNeurons:adrenal_medulla_cell_line: 0.46, Neuroepithelial_cell:ESC-derived: 0.41, Astrocyte:Embryonic_stem_cell-derived: 0.39, iPS_cells:PDB_1lox-21Puro-20: 0.39, iPS_cells:PDB_1lox-21Puro-26: 0.39, iPS_cells:PDB_1lox-17Puro-10: 0.39, iPS_cells:PDB_1lox-17Puro-5: 0.38, iPS_cells:PDB_2lox-22: 0.38, iPS_cells:PDB_2lox-17: 0.38, iPS_cells:PDB_2lox-21: 0.38 |
849_GAGTTTGAGCAATAGT-1 | Neurons:adrenal_medulla_cell_line | 0.13 | 197.41 | Raw ScoresNeurons:adrenal_medulla_cell_line: 0.35, Astrocyte:Embryonic_stem_cell-derived: 0.31, Neuroepithelial_cell:ESC-derived: 0.31, iPS_cells:PDB_1lox-21Puro-20: 0.29, iPS_cells:PDB_1lox-17Puro-10: 0.29, iPS_cells:PDB_1lox-21Puro-26: 0.29, iPS_cells:PDB_1lox-17Puro-5: 0.29, iPS_cells:PDB_2lox-22: 0.28, iPS_cells:PDB_2lox-5: 0.28, iPS_cells:PDB_2lox-17: 0.28 |
883_ACTTATCCAGAACTAA-1 | Neurons:adrenal_medulla_cell_line | 0.21 | 184.17 | Raw ScoresNeurons:adrenal_medulla_cell_line: 0.49, Neuroepithelial_cell:ESC-derived: 0.44, Astrocyte:Embryonic_stem_cell-derived: 0.42, iPS_cells:PDB_1lox-21Puro-20: 0.42, iPS_cells:PDB_1lox-21Puro-26: 0.41, iPS_cells:PDB_2lox-22: 0.41, iPS_cells:PDB_1lox-17Puro-10: 0.41, iPS_cells:PDB_1lox-17Puro-5: 0.41, iPS_cells:PDB_2lox-17: 0.41, iPS_cells:PDB_2lox-21: 0.4 |
837_ACCACAATCGAAGGAC-1 | Neurons:adrenal_medulla_cell_line | 0.19 | 181.03 | Raw ScoresNeurons:adrenal_medulla_cell_line: 0.46, Neuroepithelial_cell:ESC-derived: 0.39, Astrocyte:Embryonic_stem_cell-derived: 0.39, iPS_cells:PDB_1lox-21Puro-20: 0.37, iPS_cells:PDB_1lox-17Puro-10: 0.37, iPS_cells:PDB_2lox-22: 0.37, iPS_cells:PDB_1lox-21Puro-26: 0.37, iPS_cells:PDB_1lox-17Puro-5: 0.37, iPS_cells:PDB_2lox-17: 0.37, iPS_cells:PDB_2lox-21: 0.37 |
883_TAACTTCAGGAGTCTG-1 | Neurons:adrenal_medulla_cell_line | 0.20 | 179.78 | Raw ScoresNeurons:adrenal_medulla_cell_line: 0.47, Neuroepithelial_cell:ESC-derived: 0.4, Astrocyte:Embryonic_stem_cell-derived: 0.39, iPS_cells:PDB_1lox-21Puro-20: 0.38, iPS_cells:PDB_1lox-21Puro-26: 0.37, iPS_cells:PDB_1lox-17Puro-10: 0.37, iPS_cells:PDB_2lox-22: 0.37, iPS_cells:PDB_1lox-17Puro-5: 0.37, iPS_cells:adipose_stem_cell-derived:minicircle-derived: 0.37, iPS_cells:PDB_2lox-17: 0.37 |
883_TTCCTAAAGGATACCG-1 | Neurons:adrenal_medulla_cell_line | 0.19 | 179.11 | Raw ScoresNeurons:adrenal_medulla_cell_line: 0.45, Neuroepithelial_cell:ESC-derived: 0.39, Astrocyte:Embryonic_stem_cell-derived: 0.37, iPS_cells:PDB_1lox-21Puro-20: 0.37, iPS_cells:PDB_1lox-21Puro-26: 0.37, iPS_cells:PDB_1lox-17Puro-10: 0.37, iPS_cells:PDB_1lox-17Puro-5: 0.37, iPS_cells:PDB_2lox-22: 0.36, iPS_cells:PDB_2lox-21: 0.36, iPS_cells:PDB_2lox-17: 0.36 |
887_CTAAGTGCATAAGCGG-1 | Neurons:adrenal_medulla_cell_line | 0.20 | 178.10 | Raw ScoresNeurons:adrenal_medulla_cell_line: 0.46, Neuroepithelial_cell:ESC-derived: 0.4, Astrocyte:Embryonic_stem_cell-derived: 0.4, iPS_cells:PDB_1lox-21Puro-20: 0.38, iPS_cells:PDB_1lox-21Puro-26: 0.38, iPS_cells:PDB_1lox-17Puro-10: 0.38, iPS_cells:PDB_1lox-17Puro-5: 0.38, iPS_cells:PDB_2lox-22: 0.37, iPS_cells:PDB_2lox-17: 0.37, iPS_cells:PDB_2lox-21: 0.37 |
883_CAACGGCAGTAACGAT-1 | Neurons:adrenal_medulla_cell_line | 0.17 | 174.44 | Raw ScoresNeurons:adrenal_medulla_cell_line: 0.47, Neuroepithelial_cell:ESC-derived: 0.4, Astrocyte:Embryonic_stem_cell-derived: 0.39, iPS_cells:PDB_2lox-22: 0.39, iPS_cells:PDB_1lox-21Puro-20: 0.39, iPS_cells:PDB_1lox-21Puro-26: 0.39, iPS_cells:PDB_2lox-17: 0.38, iPS_cells:PDB_2lox-21: 0.38, iPS_cells:PDB_2lox-5: 0.38, iPS_cells:adipose_stem_cell-derived:minicircle-derived: 0.38 |
847_GTGCTTCTCCGCGGAT-1 | Neurons:adrenal_medulla_cell_line | 0.22 | 171.61 | Raw ScoresNeurons:adrenal_medulla_cell_line: 0.51, Astrocyte:Embryonic_stem_cell-derived: 0.45, Neuroepithelial_cell:ESC-derived: 0.45, iPS_cells:PDB_1lox-21Puro-20: 0.41, iPS_cells:PDB_1lox-21Puro-26: 0.41, iPS_cells:PDB_1lox-17Puro-10: 0.41, iPS_cells:PDB_1lox-17Puro-5: 0.41, iPS_cells:PDB_2lox-22: 0.41, iPS_cells:PDB_2lox-17: 0.4, iPS_cells:PDB_2lox-5: 0.4 |
883_TTGGTTTCATATAGCC-1 | Neurons:adrenal_medulla_cell_line | 0.19 | 167.70 | Raw ScoresNeurons:adrenal_medulla_cell_line: 0.46, Neuroepithelial_cell:ESC-derived: 0.4, Astrocyte:Embryonic_stem_cell-derived: 0.39, iPS_cells:PDB_1lox-21Puro-20: 0.37, iPS_cells:PDB_1lox-17Puro-5: 0.37, iPS_cells:PDB_1lox-17Puro-10: 0.37, iPS_cells:PDB_1lox-21Puro-26: 0.37, iPS_cells:PDB_2lox-22: 0.37, iPS_cells:PDB_2lox-21: 0.36, iPS_cells:PDB_2lox-17: 0.36 |
883_TACGGTACATTGAGCT-1 | Neurons:adrenal_medulla_cell_line | 0.18 | 165.31 | Raw ScoresNeurons:adrenal_medulla_cell_line: 0.46, Neuroepithelial_cell:ESC-derived: 0.41, Astrocyte:Embryonic_stem_cell-derived: 0.4, iPS_cells:PDB_1lox-21Puro-20: 0.39, iPS_cells:PDB_2lox-22: 0.39, iPS_cells:PDB_1lox-21Puro-26: 0.39, iPS_cells:PDB_1lox-17Puro-10: 0.39, iPS_cells:PDB_1lox-17Puro-5: 0.39, iPS_cells:PDB_2lox-17: 0.39, iPS_cells:PDB_2lox-21: 0.39 |
883_GGGTCTGCAAGCTACT-1 | Neurons:adrenal_medulla_cell_line | 0.18 | 164.88 | Raw ScoresNeurons:adrenal_medulla_cell_line: 0.45, Neuroepithelial_cell:ESC-derived: 0.38, Astrocyte:Embryonic_stem_cell-derived: 0.38, iPS_cells:PDB_1lox-21Puro-20: 0.36, iPS_cells:PDB_1lox-21Puro-26: 0.36, iPS_cells:PDB_2lox-22: 0.36, iPS_cells:PDB_1lox-17Puro-10: 0.35, iPS_cells:PDB_1lox-17Puro-5: 0.35, iPS_cells:PDB_2lox-17: 0.35, iPS_cells:PDB_2lox-21: 0.35 |
849_GTAGTACAGATTGAGT-1 | Neurons:adrenal_medulla_cell_line | 0.16 | 162.87 | Raw ScoresNeurons:adrenal_medulla_cell_line: 0.37, Neuroepithelial_cell:ESC-derived: 0.33, Astrocyte:Embryonic_stem_cell-derived: 0.32, iPS_cells:PDB_1lox-21Puro-20: 0.32, iPS_cells:PDB_2lox-22: 0.31, iPS_cells:PDB_1lox-21Puro-26: 0.31, iPS_cells:PDB_1lox-17Puro-10: 0.31, iPS_cells:PDB_2lox-21: 0.31, iPS_cells:PDB_2lox-17: 0.31, iPS_cells:PDB_2lox-5: 0.31 |
883_CCTCTAGCAATATCCG-1 | Neurons:adrenal_medulla_cell_line | 0.21 | 161.78 | Raw ScoresNeurons:adrenal_medulla_cell_line: 0.47, Neuroepithelial_cell:ESC-derived: 0.4, Astrocyte:Embryonic_stem_cell-derived: 0.39, iPS_cells:PDB_1lox-21Puro-20: 0.38, iPS_cells:PDB_1lox-21Puro-26: 0.38, iPS_cells:PDB_1lox-17Puro-10: 0.38, iPS_cells:PDB_1lox-17Puro-5: 0.37, iPS_cells:PDB_2lox-22: 0.37, iPS_cells:PDB_2lox-17: 0.37, iPS_cells:PDB_2lox-5: 0.36 |
883_TTGTTGTAGGTGCTTT-1 | Neurons:adrenal_medulla_cell_line | 0.18 | 154.94 | Raw ScoresNeurons:adrenal_medulla_cell_line: 0.44, Neuroepithelial_cell:ESC-derived: 0.37, Astrocyte:Embryonic_stem_cell-derived: 0.36, iPS_cells:PDB_1lox-21Puro-20: 0.34, iPS_cells:PDB_2lox-22: 0.34, iPS_cells:PDB_1lox-21Puro-26: 0.34, iPS_cells:PDB_1lox-17Puro-10: 0.34, iPS_cells:PDB_2lox-21: 0.34, Neurons:Schwann_cell: 0.34, iPS_cells:PDB_1lox-17Puro-5: 0.34 |
883_CAGATTGCATTGGGAG-1 | Neurons:adrenal_medulla_cell_line | 0.18 | 153.86 | Raw ScoresNeurons:adrenal_medulla_cell_line: 0.42, Neuroepithelial_cell:ESC-derived: 0.36, Astrocyte:Embryonic_stem_cell-derived: 0.36, iPS_cells:PDB_1lox-21Puro-20: 0.34, iPS_cells:PDB_1lox-21Puro-26: 0.33, iPS_cells:PDB_1lox-17Puro-5: 0.33, iPS_cells:PDB_2lox-22: 0.33, iPS_cells:PDB_1lox-17Puro-10: 0.33, iPS_cells:PDB_2lox-17: 0.33, iPS_cells:PDB_2lox-21: 0.33 |
883_TTGCGTCAGCAAGTCG-1 | Neurons:adrenal_medulla_cell_line | 0.16 | 149.46 | Raw ScoresNeurons:adrenal_medulla_cell_line: 0.42, Neuroepithelial_cell:ESC-derived: 0.37, Astrocyte:Embryonic_stem_cell-derived: 0.36, iPS_cells:PDB_2lox-22: 0.35, iPS_cells:PDB_1lox-21Puro-20: 0.35, iPS_cells:PDB_2lox-17: 0.35, iPS_cells:PDB_2lox-21: 0.34, iPS_cells:PDB_2lox-5: 0.34, iPS_cells:PDB_1lox-21Puro-26: 0.34, iPS_cells:PDB_1lox-17Puro-10: 0.34 |
883_TCCGTGTTCAGACCGC-1 | Neurons:adrenal_medulla_cell_line | 0.23 | 148.94 | Raw ScoresNeurons:adrenal_medulla_cell_line: 0.53, Neuroepithelial_cell:ESC-derived: 0.48, iPS_cells:PDB_1lox-21Puro-20: 0.46, iPS_cells:PDB_1lox-21Puro-26: 0.46, iPS_cells:PDB_1lox-17Puro-10: 0.46, iPS_cells:PDB_1lox-17Puro-5: 0.46, iPS_cells:PDB_2lox-22: 0.45, iPS_cells:PDB_2lox-17: 0.45, iPS_cells:PDB_2lox-21: 0.45, Astrocyte:Embryonic_stem_cell-derived: 0.44 |
883_CATCCGTTCGCAGAGA-1 | Neurons:adrenal_medulla_cell_line | 0.20 | 143.10 | Raw ScoresNeurons:adrenal_medulla_cell_line: 0.47, Neuroepithelial_cell:ESC-derived: 0.42, Astrocyte:Embryonic_stem_cell-derived: 0.4, iPS_cells:PDB_1lox-21Puro-20: 0.39, iPS_cells:PDB_1lox-21Puro-26: 0.39, iPS_cells:PDB_1lox-17Puro-10: 0.39, iPS_cells:PDB_2lox-22: 0.39, iPS_cells:PDB_2lox-17: 0.39, iPS_cells:PDB_2lox-21: 0.38, iPS_cells:PDB_1lox-17Puro-5: 0.38 |
883_TCCCATGTCCCATAAG-1 | Neurons:adrenal_medulla_cell_line | 0.20 | 140.71 | Raw ScoresNeurons:adrenal_medulla_cell_line: 0.47, Neuroepithelial_cell:ESC-derived: 0.4, Astrocyte:Embryonic_stem_cell-derived: 0.39, iPS_cells:PDB_1lox-21Puro-20: 0.38, iPS_cells:PDB_1lox-21Puro-26: 0.38, iPS_cells:PDB_1lox-17Puro-10: 0.38, iPS_cells:PDB_1lox-17Puro-5: 0.38, iPS_cells:PDB_2lox-22: 0.37, iPS_cells:PDB_2lox-21: 0.37, iPS_cells:PDB_2lox-17: 0.37 |
Below shows the significant enrichments of this GEP for literature curated gene lists
This data was procured from existing single cell RNA-seq maps of neuroblastoma or related relevant data.
High ranks indicate this gene is a driver of this GEP.
These curated gene list are ranked by the P-value (on this GEP) of their constituent genes.
The Mean Count column shows the mean read count in cells scoring highly (H > 50) on this gene expression program.
Genes | Weight | Rank | GTEx | DepMap | Decartes | Mean.Counts | Mean.TPM |
---|---|---|---|---|---|---|---|
NAP1L5 | 0.0159363 | 12 | GTEx | DepMap | Descartes | 9.25 | 1085.98 |
PTPRN | 0.0153393 | 13 | GTEx | DepMap | Descartes | 3.56 | 45.72 |
SYN2 | 0.0095345 | 33 | GTEx | DepMap | Descartes | 5.88 | 7.19 |
SCG5 | 0.0089656 | 43 | GTEx | DepMap | Descartes | 7.33 | 29.72 |
SNAP25 | 0.0068422 | 74 | GTEx | DepMap | Descartes | 9.59 | 29.41 |
GNAS | 0.0037104 | 275 | GTEx | DepMap | Descartes | 207.38 | 678.71 |
SLCO3A1 | 0.0032077 | 384 | GTEx | DepMap | Descartes | 1.16 | 0.95 |
CACNA2D1 | 0.0028745 | 464 | GTEx | DepMap | Descartes | 3.96 | 1.75 |
CELF4 | 0.0024817 | 597 | GTEx | DepMap | Descartes | 4.25 | 3.16 |
SCG3 | 0.0022702 | 690 | GTEx | DepMap | Descartes | 2.53 | 13.46 |
ADCYAP1R1 | 0.0020637 | 810 | GTEx | DepMap | Descartes | 1.30 | 5.16 |
PCLO | 0.0017834 | 1010 | GTEx | DepMap | Descartes | 2.47 | 1.54 |
SLC35D3 | 0.0016528 | 1147 | GTEx | DepMap | Descartes | 0.12 | 7.64 |
PPFIA2 | 0.0010382 | 2181 | GTEx | DepMap | Descartes | 1.73 | 0.73 |
C1QL1 | 0.0008079 | 2867 | GTEx | DepMap | Descartes | 2.59 | 74.00 |
CXCL14 | 0.0001800 | 7216 | GTEx | DepMap | Descartes | 0.06 | 2.68 |
LGR5 | -0.0003669 | 17951 | GTEx | DepMap | Descartes | 0.14 | 0.21 |
Committed Progenitor (Hanemaaijer)
Marker genes obtained from Supplementary Table SD of Hanemaaijer et al (PMID 33500353). The authors generated single-cell RNA-seq data (sort-seq, 2,229 cells total) from mouse adrenal glads at E13.5, E14.5, E17.5, E18.5, P1 and P5. These were marker genes that matched with a similar dataset generated by Furlan et al (PMID 28684471). This particular set of markers are for the Committed Progenitor subcluster (seems to mean progenitor of chromaffin cells), which is part of the Adrenal Medulla cluster.:
Wilcoxon ranksum test P-value for gene set overrepresentation: 8.26e-07
Mean rank of genes in gene set: 3647.61
Rank on gene expression program of genes in gene set:
Genes | Weight | Rank | GTEx | DepMap | Decartes | Mean.Counts | Mean.TPM |
---|---|---|---|---|---|---|---|
C2CD4B | 0.0339343 | 3 | GTEx | DepMap | Descartes | 6.19 | 923.74 |
RGS4 | 0.0271765 | 4 | GTEx | DepMap | Descartes | 33.74 | 1185.34 |
SLC18A2 | 0.0148659 | 15 | GTEx | DepMap | Descartes | 5.62 | 33.60 |
ZDBF2 | 0.0145425 | 16 | GTEx | DepMap | Descartes | 19.51 | 101.15 |
NDUFA4L2 | 0.0093041 | 36 | GTEx | DepMap | Descartes | 8.27 | 828.43 |
ATP6V1B2 | 0.0071609 | 66 | GTEx | DepMap | Descartes | 5.11 | 40.76 |
MEG3 | 0.0070371 | 70 | GTEx | DepMap | Descartes | 67.96 | 470.31 |
SYT1 | 0.0068446 | 72 | GTEx | DepMap | Descartes | 4.87 | 1.89 |
DGKK | 0.0042154 | 194 | GTEx | DepMap | Descartes | 1.52 | 1.64 |
RGS5 | 0.0037756 | 264 | GTEx | DepMap | Descartes | 4.61 | 28.53 |
MIRG | 0.0034526 | 322 | GTEx | DepMap | Descartes | 1.46 | 15.84 |
FAM155A | 0.0029572 | 449 | GTEx | DepMap | Descartes | 1.07 | 0.38 |
NTRK3 | 0.0016566 | 1144 | GTEx | DepMap | Descartes | 0.94 | 0.38 |
PARM1 | 0.0009090 | 2528 | GTEx | DepMap | Descartes | 0.14 | 0.32 |
UNC5C | 0.0006873 | 3386 | GTEx | DepMap | Descartes | 0.12 | 0.09 |
NRK | -0.0002254 | 16629 | GTEx | DepMap | Descartes | 0.00 | 0.00 |
SYTL4 | -0.0012519 | 20206 | GTEx | DepMap | Descartes | 8.78 | 40.97 |
AGTR2 | -0.0013048 | 20253 | GTEx | DepMap | Descartes | 5.88 | 255.90 |
E Chromaffin (Hanemaaijer)
Marker genes obtained from Supplementary Table SD of Hanemaaijer et al (PMID 33500353). The authors generated single-cell RNA-seq data (sort-seq, 2,229 cells total) from mouse adrenal glads at E13.5, E14.5, E17.5, E18.5, P1 and P5. These were marker genes that matched with a similar dataset generated by Furlan et al (PMID 28684471). This particular set of markers are for the Epinepherine Chromaffin subcluster, which is part of the Adrenal Medulla cluster.:
Wilcoxon ranksum test P-value for gene set overrepresentation: 3.65e-06
Mean rank of genes in gene set: 224.86
Rank on gene expression program of genes in gene set:
Genes | Weight | Rank | GTEx | DepMap | Decartes | Mean.Counts | Mean.TPM |
---|---|---|---|---|---|---|---|
NPY | 0.0399213 | 1 | GTEx | DepMap | Descartes | 49.92 | 1691.67 |
RESP18 | 0.0177475 | 11 | GTEx | DepMap | Descartes | 6.31 | 254.15 |
DLK1 | 0.0051150 | 131 | GTEx | DepMap | Descartes | 30.64 | 548.44 |
RAB3B | 0.0045154 | 162 | GTEx | DepMap | Descartes | 3.01 | 10.09 |
RAB3C | 0.0036956 | 278 | GTEx | DepMap | Descartes | 2.61 | 2.43 |
GATA2 | 0.0034135 | 337 | GTEx | DepMap | Descartes | 3.00 | 44.90 |
ANK3 | 0.0023392 | 654 | GTEx | DepMap | Descartes | 4.56 | 1.38 |
Below shows ranks on this GEP for literature curated gene lists for large gene sets
These include those reported as mesenchymal/adrenergic by Van Groningen et al.
High ranks indicate this gene is a driver of this GEP (note these results are not ordered).
The Mean Count column shows the mean read count in cells scoring highly (H > 50) on this gene expression program.
VanGroningen Adrenergic Genes
Adrenergic marker genes from Supplementary Table 2 of Van Groningen et al. Nature Genetics 2017. These genes were identified by differential expression analysis of mesenchymal-like and adrenergic-like neuroblastoma cell lines.
Wilcoxon ranksum test P-value for gene set overrepresentation: 2.03e-05
Mean rank of genes in gene set: 9148.32
Median rank of genes in gene set: 6065
Rank on gene expression program of top 30 genes in gene set:
Genes | Weight | Rank | GTEx | DepMap | Descartes | Mean.Counts | Mean.TPM |
---|---|---|---|---|---|---|---|
NPY | 0.0399213 | 1 | GTEx | DepMap | Descartes | 49.92 | 1691.67 |
TH | 0.0396510 | 2 | GTEx | DepMap | Descartes | 22.48 | 116.76 |
NAP1L5 | 0.0159363 | 12 | GTEx | DepMap | Descartes | 9.25 | 1085.98 |
GAL | 0.0149941 | 14 | GTEx | DepMap | Descartes | 2.23 | 128.90 |
CHGA | 0.0135249 | 19 | GTEx | DepMap | Descartes | 11.66 | 272.49 |
DBH | 0.0127192 | 23 | GTEx | DepMap | Descartes | 14.02 | 162.85 |
GCH1 | 0.0123029 | 24 | GTEx | DepMap | Descartes | 4.49 | 24.02 |
CHGB | 0.0118153 | 25 | GTEx | DepMap | Descartes | 54.27 | 774.00 |
SCG2 | 0.0107927 | 26 | GTEx | DepMap | Descartes | 4.09 | 162.71 |
NNAT | 0.0100424 | 30 | GTEx | DepMap | Descartes | 101.17 | 9012.28 |
SYT4 | 0.0085479 | 48 | GTEx | DepMap | Descartes | 2.82 | 62.58 |
DNER | 0.0080586 | 54 | GTEx | DepMap | Descartes | 0.70 | 0.45 |
ATP6V1B2 | 0.0071609 | 66 | GTEx | DepMap | Descartes | 5.11 | 40.76 |
SYT1 | 0.0068446 | 72 | GTEx | DepMap | Descartes | 4.87 | 1.89 |
SNAP25 | 0.0068422 | 74 | GTEx | DepMap | Descartes | 9.59 | 29.41 |
PEG3 | 0.0053242 | 118 | GTEx | DepMap | Descartes | 4.18 | 31.37 |
MAP2 | 0.0053132 | 120 | GTEx | DepMap | Descartes | 7.42 | 5.51 |
EEF1A2 | 0.0051488 | 129 | GTEx | DepMap | Descartes | 9.56 | 202.40 |
DLK1 | 0.0051150 | 131 | GTEx | DepMap | Descartes | 30.64 | 548.44 |
RAB6B | 0.0049287 | 141 | GTEx | DepMap | Descartes | 5.88 | 15.37 |
KIF1A | 0.0046242 | 154 | GTEx | DepMap | Descartes | 3.50 | 7.88 |
GNG4 | 0.0045079 | 164 | GTEx | DepMap | Descartes | 0.79 | 3.25 |
RTN1 | 0.0044558 | 168 | GTEx | DepMap | Descartes | 46.41 | 46.37 |
QDPR | 0.0044306 | 171 | GTEx | DepMap | Descartes | 5.23 | 63.11 |
MAPT | 0.0044065 | 176 | GTEx | DepMap | Descartes | 6.13 | 11.70 |
NSG1 | 0.0043048 | 185 | GTEx | DepMap | Descartes | 8.64 | 76.87 |
ATP6V0E2 | 0.0041917 | 199 | GTEx | DepMap | Descartes | 4.21 | 209.09 |
SV2C | 0.0040570 | 220 | GTEx | DepMap | Descartes | 1.28 | 1.39 |
RUFY3 | 0.0040052 | 227 | GTEx | DepMap | Descartes | 6.04 | 13.52 |
DPYSL3 | 0.0039317 | 236 | GTEx | DepMap | Descartes | 10.00 | 16.54 |
VanGroningen Mesenchymal Genes
Mesenchymal marker genes from Supplementary Table 2 of Van Groningen et al. Nature Genetics 2017. These genes were identified by differential expression analysis of mesenchymal-like and adrenergic-like neuroblastoma cell lines.
Wilcoxon ranksum test P-value for gene set overrepresentation: 1.41e-01
Mean rank of genes in gene set: 10175.59
Median rank of genes in gene set: 9793
Rank on gene expression program of top 30 genes in gene set:
Genes | Weight | Rank | GTEx | DepMap | Descartes | Mean.Counts | Mean.TPM |
---|---|---|---|---|---|---|---|
ATP1B1 | 0.0144083 | 17 | GTEx | DepMap | Descartes | 10.21 | 98.06 |
SOX9 | 0.0105343 | 28 | GTEx | DepMap | Descartes | 1.03 | 37.54 |
IGFBP5 | 0.0070720 | 69 | GTEx | DepMap | Descartes | 4.09 | 60.93 |
SQSTM1 | 0.0045342 | 160 | GTEx | DepMap | Descartes | 4.40 | 79.56 |
ATP2B1 | 0.0042018 | 198 | GTEx | DepMap | Descartes | 3.79 | 7.10 |
HSPA5 | 0.0041375 | 209 | GTEx | DepMap | Descartes | 11.20 | 444.00 |
NRP1 | 0.0034457 | 324 | GTEx | DepMap | Descartes | 2.88 | 3.84 |
P4HA1 | 0.0033122 | 361 | GTEx | DepMap | Descartes | 1.26 | 5.71 |
ITM2C | 0.0031702 | 394 | GTEx | DepMap | Descartes | 2.42 | 41.54 |
KDM5B | 0.0031152 | 407 | GTEx | DepMap | Descartes | 4.11 | 11.44 |
CREB3L2 | 0.0030990 | 410 | GTEx | DepMap | Descartes | 0.46 | 0.88 |
SHC1 | 0.0030939 | 414 | GTEx | DepMap | Descartes | 0.97 | 17.79 |
FAM46A | 0.0030737 | 418 | GTEx | DepMap | Descartes | 0.69 | NA |
NPTN | 0.0029563 | 450 | GTEx | DepMap | Descartes | 1.40 | 3.95 |
APP | 0.0024829 | 595 | GTEx | DepMap | Descartes | 5.97 | 6.01 |
PDIA3 | 0.0024543 | 608 | GTEx | DepMap | Descartes | 7.97 | 65.46 |
TRIL | 0.0023538 | 649 | GTEx | DepMap | Descartes | 0.65 | 26.89 |
STAT3 | 0.0023522 | 650 | GTEx | DepMap | Descartes | 1.17 | 4.21 |
TNFRSF12A | 0.0022832 | 683 | GTEx | DepMap | Descartes | 0.43 | 45.08 |
BAG3 | 0.0021755 | 749 | GTEx | DepMap | Descartes | 0.48 | 4.11 |
TCF7L2 | 0.0020218 | 841 | GTEx | DepMap | Descartes | 2.55 | 2.62 |
DNAJC10 | 0.0019938 | 861 | GTEx | DepMap | Descartes | 1.98 | 10.77 |
COPA | 0.0019508 | 883 | GTEx | DepMap | Descartes | 2.41 | 12.97 |
LRRC8C | 0.0019453 | 885 | GTEx | DepMap | Descartes | 0.77 | 1.73 |
LMNA | 0.0017905 | 998 | GTEx | DepMap | Descartes | 4.04 | 28.32 |
COL11A1 | 0.0017756 | 1017 | GTEx | DepMap | Descartes | 0.25 | 0.27 |
EXTL2 | 0.0017306 | 1064 | GTEx | DepMap | Descartes | 0.63 | 6.15 |
ITM2B | 0.0017113 | 1083 | GTEx | DepMap | Descartes | 16.30 | 153.54 |
FKBP14 | 0.0016890 | 1108 | GTEx | DepMap | Descartes | 0.21 | 2.07 |
ITGB1 | 0.0016622 | 1139 | GTEx | DepMap | Descartes | 5.82 | 24.98 |
Descartes adrenocortical markers
Top 50 marker genes of adrenocortical cells in the Decartes fetal adrenal single cell map (https://atlas.brotmanbaty.org/bbi/human-gene-expression-during-development/cell/adrenocortical/in/adrenal)
Wilcoxon ranksum test P-value for gene set overrepresentation: 7.98e-01
Mean rank of genes in gene set: 11253.43
Median rank of genes in gene set: 12521.5
Rank on gene expression program of top 30 genes in gene set:
Genes | Weight | Rank | GTEx | DepMap | Descartes | Mean.Counts | Mean.TPM |
---|---|---|---|---|---|---|---|
PDE10A | 0.0099231 | 31 | GTEx | DepMap | Descartes | 1.35 | 0.64 |
DNER | 0.0080586 | 54 | GTEx | DepMap | Descartes | 0.70 | 0.45 |
PEG3 | 0.0053242 | 118 | GTEx | DepMap | Descartes | 4.18 | 31.37 |
GRAMD1B | 0.0014666 | 1365 | GTEx | DepMap | Descartes | 0.97 | 0.87 |
MSMO1 | 0.0011747 | 1873 | GTEx | DepMap | Descartes | 2.00 | 26.03 |
SGCZ | 0.0011421 | 1948 | GTEx | DepMap | Descartes | 0.08 | 0.02 |
HMGCR | 0.0011089 | 2025 | GTEx | DepMap | Descartes | 4.62 | 40.43 |
JAKMIP2 | 0.0007270 | 3183 | GTEx | DepMap | Descartes | 0.57 | 0.67 |
INHA | 0.0005320 | 4191 | GTEx | DepMap | Descartes | 0.11 | 7.02 |
HMGCS1 | 0.0004818 | 4515 | GTEx | DepMap | Descartes | 3.20 | 34.12 |
LDLR | 0.0004548 | 4714 | GTEx | DepMap | Descartes | 0.38 | 3.02 |
FREM2 | 0.0003194 | 5779 | GTEx | DepMap | Descartes | 0.00 | 0.00 |
SLC1A2 | 0.0002885 | 6038 | GTEx | DepMap | Descartes | 0.06 | 0.07 |
FDXR | 0.0002832 | 6090 | GTEx | DepMap | Descartes | 0.32 | 6.84 |
NPC1 | 0.0002571 | 6357 | GTEx | DepMap | Descartes | 0.35 | 1.45 |
ERN1 | 0.0002111 | 6845 | GTEx | DepMap | Descartes | 0.07 | 0.17 |
DHCR7 | 0.0000043 | 10381 | GTEx | DepMap | Descartes | 0.89 | 6.67 |
CYP11A1 | 0.0000008 | 10478 | GTEx | DepMap | Descartes | 0.00 | 0.00 |
CLU | -0.0000063 | 10677 | GTEx | DepMap | Descartes | 0.73 | 9.07 |
TM7SF2 | -0.0000150 | 10960 | GTEx | DepMap | Descartes | 0.12 | 3.79 |
SLC16A9 | -0.0000568 | 12489 | GTEx | DepMap | Descartes | 0.00 | 0.01 |
APOC1 | -0.0000583 | 12554 | GTEx | DepMap | Descartes | 0.03 | 1.18 |
SCAP | -0.0000851 | 13546 | GTEx | DepMap | Descartes | 0.37 | 1.69 |
SULT2A1 | -0.0000961 | 13911 | GTEx | DepMap | Descartes | 0.00 | 0.00 |
CYP17A1 | -0.0001013 | 14083 | GTEx | DepMap | Descartes | 0.00 | 0.00 |
IGF1R | -0.0001145 | 14470 | GTEx | DepMap | Descartes | 0.51 | 0.32 |
STAR | -0.0001264 | 14777 | GTEx | DepMap | Descartes | 0.00 | 0.08 |
FRMD5 | -0.0001752 | 15833 | GTEx | DepMap | Descartes | 0.23 | 0.17 |
SH3BP5 | -0.0001927 | 16134 | GTEx | DepMap | Descartes | 0.31 | 0.67 |
SCARB1 | -0.0002991 | 17422 | GTEx | DepMap | Descartes | 0.09 | 0.29 |
Descartes chromaffin markers
Top 50 marker genes of chromaffin cells in the Decartes fetal adrenal single cell map (https://atlas.brotmanbaty.org/bbi/human-gene-expression-during-development/cell/chromaffin/in/adrenal)
Wilcoxon ranksum test P-value for gene set overrepresentation: 8.79e-06
Mean rank of genes in gene set: 6564.89
Median rank of genes in gene set: 2083.5
Rank on gene expression program of top 30 genes in gene set:
Genes | Weight | Rank | GTEx | DepMap | Descartes | Mean.Counts | Mean.TPM |
---|---|---|---|---|---|---|---|
NPY | 0.0399213 | 1 | GTEx | DepMap | Descartes | 49.92 | 1691.67 |
GAL | 0.0149941 | 14 | GTEx | DepMap | Descartes | 2.23 | 128.90 |
NTRK1 | 0.0077898 | 57 | GTEx | DepMap | Descartes | 2.55 | 29.77 |
TUBB2A | 0.0035082 | 307 | GTEx | DepMap | Descartes | 16.88 | 856.63 |
SLC6A2 | 0.0034610 | 320 | GTEx | DepMap | Descartes | 0.55 | 2.30 |
PTCHD1 | 0.0031723 | 393 | GTEx | DepMap | Descartes | 0.34 | 1.56 |
MAP1B | 0.0030575 | 423 | GTEx | DepMap | Descartes | 33.80 | 69.26 |
MARCH11 | 0.0030311 | 429 | GTEx | DepMap | Descartes | 2.29 | 4.68 |
TUBB2B | 0.0030155 | 434 | GTEx | DepMap | Descartes | 37.69 | 1993.63 |
REEP1 | 0.0028311 | 485 | GTEx | DepMap | Descartes | 2.48 | 4.64 |
PLXNA4 | 0.0026228 | 549 | GTEx | DepMap | Descartes | 1.60 | 0.66 |
MAB21L2 | 0.0022341 | 714 | GTEx | DepMap | Descartes | 4.32 | 280.13 |
PRPH | 0.0021714 | 752 | GTEx | DepMap | Descartes | 0.94 | 47.37 |
HMX1 | 0.0021631 | 753 | GTEx | DepMap | Descartes | 1.24 | 20.83 |
TMEM132C | 0.0017818 | 1013 | GTEx | DepMap | Descartes | 0.16 | 0.10 |
RYR2 | 0.0017177 | 1078 | GTEx | DepMap | Descartes | 0.28 | 0.10 |
STMN2 | 0.0015591 | 1244 | GTEx | DepMap | Descartes | 96.33 | 345.61 |
SYNPO2 | 0.0012992 | 1609 | GTEx | DepMap | Descartes | 0.10 | 0.15 |
RBFOX1 | 0.0012871 | 1639 | GTEx | DepMap | Descartes | 1.62 | 0.20 |
GREM1 | 0.0012393 | 1721 | GTEx | DepMap | Descartes | 0.19 | 2.46 |
KCNB2 | 0.0011301 | 1977 | GTEx | DepMap | Descartes | 0.29 | 0.13 |
BASP1 | 0.0011297 | 1978 | GTEx | DepMap | Descartes | 48.22 | 187.02 |
MLLT11 | 0.0010353 | 2189 | GTEx | DepMap | Descartes | 13.50 | 198.29 |
RGMB | 0.0008632 | 2678 | GTEx | DepMap | Descartes | 0.50 | 4.07 |
CNKSR2 | 0.0008609 | 2685 | GTEx | DepMap | Descartes | 1.56 | 1.42 |
ANKFN1 | 0.0007069 | 3277 | GTEx | DepMap | Descartes | 0.02 | 0.02 |
STMN4 | 0.0006948 | 3343 | GTEx | DepMap | Descartes | 8.37 | 94.70 |
RPH3A | 0.0005206 | 4250 | GTEx | DepMap | Descartes | 0.03 | 0.09 |
CNTFR | 0.0004069 | 5067 | GTEx | DepMap | Descartes | 1.83 | 9.02 |
IL7 | 0.0003217 | 5751 | GTEx | DepMap | Descartes | 0.00 | 0.00 |
Descartes Vascular_endothelial markers
Top 50 marker genes of Vascular_endothelial cells in the Decartes fetal adrenal single cell map (https://atlas.brotmanbaty.org/bbi/human-gene-expression-during-development/cell/vascular_endothelial/in/adrenal)
Wilcoxon ranksum test P-value for gene set overrepresentation: 9.22e-01
Mean rank of genes in gene set: 11784.09
Median rank of genes in gene set: 12188
Rank on gene expression program of top 30 genes in gene set:
Genes | Weight | Rank | GTEx | DepMap | Descartes | Mean.Counts | Mean.TPM |
---|---|---|---|---|---|---|---|
F8 | 0.0009046 | 2540 | GTEx | DepMap | Descartes | 0.07 | 0.08 |
ARHGAP29 | 0.0006891 | 3379 | GTEx | DepMap | Descartes | 0.12 | 0.57 |
CLDN5 | 0.0003153 | 5813 | GTEx | DepMap | Descartes | 0.06 | 24.21 |
EHD3 | 0.0002455 | 6475 | GTEx | DepMap | Descartes | 0.24 | 1.68 |
CYP26B1 | 0.0002219 | 6732 | GTEx | DepMap | Descartes | 0.03 | 0.28 |
IRX3 | 0.0001807 | 7206 | GTEx | DepMap | Descartes | 0.05 | 2.29 |
CHRM3 | 0.0001788 | 7226 | GTEx | DepMap | Descartes | 0.00 | 0.00 |
SHE | 0.0001454 | 7658 | GTEx | DepMap | Descartes | 0.01 | 0.26 |
PTPRB | 0.0001295 | 7891 | GTEx | DepMap | Descartes | 0.15 | 0.67 |
DNASE1L3 | 0.0001111 | 8166 | GTEx | DepMap | Descartes | 0.01 | 0.05 |
KANK3 | 0.0000831 | 8615 | GTEx | DepMap | Descartes | 0.10 | 1.65 |
FCGR2B | 0.0000831 | 8616 | GTEx | DepMap | Descartes | 0.00 | 0.02 |
NOTCH4 | 0.0000803 | 8667 | GTEx | DepMap | Descartes | 0.08 | 0.59 |
NR5A2 | 0.0000792 | 8681 | GTEx | DepMap | Descartes | 0.00 | 0.00 |
CDH13 | 0.0000478 | 9290 | GTEx | DepMap | Descartes | 0.08 | 0.02 |
CRHBP | 0.0000397 | 9465 | GTEx | DepMap | Descartes | 0.00 | 0.00 |
TIE1 | 0.0000274 | 9759 | GTEx | DepMap | Descartes | 0.05 | 1.41 |
CEACAM1 | 0.0000246 | 9824 | GTEx | DepMap | Descartes | 0.01 | 0.33 |
CALCRL | 0.0000205 | 9928 | GTEx | DepMap | Descartes | 0.05 | 0.27 |
SOX18 | 0.0000170 | 10029 | GTEx | DepMap | Descartes | 0.04 | 11.78 |
RASIP1 | 0.0000000 | 10499 | GTEx | DepMap | Descartes | 0.04 | 0.93 |
GALNT15 | -0.0000486 | 12188 | GTEx | DepMap | Descartes | 0.01 | 0.26 |
MMRN2 | -0.0000553 | 12439 | GTEx | DepMap | Descartes | 0.04 | 0.62 |
MYRIP | -0.0000583 | 12553 | GTEx | DepMap | Descartes | 0.04 | 0.04 |
TMEM88 | -0.0000595 | 12600 | GTEx | DepMap | Descartes | 0.03 | 3.66 |
FLT4 | -0.0000700 | 13013 | GTEx | DepMap | Descartes | 0.01 | 0.07 |
BTNL9 | -0.0000807 | 13398 | GTEx | DepMap | Descartes | 0.00 | 0.00 |
RAMP2 | -0.0000941 | 13854 | GTEx | DepMap | Descartes | 0.09 | 3.84 |
TEK | -0.0001204 | 14619 | GTEx | DepMap | Descartes | 0.01 | 0.05 |
CDH5 | -0.0001219 | 14643 | GTEx | DepMap | Descartes | 0.04 | 0.50 |
Descartes stromal markers
Top 50 marker genes of stromal cells in the Decartes fetal adrenal single cell map (https://atlas.brotmanbaty.org/bbi/human-gene-expression-during-development/cell/stromal/in/adrenal)
Wilcoxon ranksum test P-value for gene set overrepresentation: 6.99e-01
Mean rank of genes in gene set: 10940.04
Median rank of genes in gene set: 11188
Rank on gene expression program of top 30 genes in gene set:
Genes | Weight | Rank | GTEx | DepMap | Descartes | Mean.Counts | Mean.TPM |
---|---|---|---|---|---|---|---|
CLDN11 | 0.0024203 | 620 | GTEx | DepMap | Descartes | 0.57 | 7.57 |
COL27A1 | 0.0012392 | 1723 | GTEx | DepMap | Descartes | 0.08 | 0.19 |
DKK2 | 0.0010021 | 2273 | GTEx | DepMap | Descartes | 0.00 | 0.00 |
SFRP2 | 0.0010013 | 2278 | GTEx | DepMap | Descartes | 0.97 | 21.33 |
EDNRA | 0.0008782 | 2626 | GTEx | DepMap | Descartes | 0.13 | 1.51 |
PRICKLE1 | 0.0007579 | 3062 | GTEx | DepMap | Descartes | 0.13 | 0.29 |
ABCA6 | 0.0005884 | 3869 | GTEx | DepMap | Descartes | 0.03 | 0.07 |
PRRX1 | 0.0005786 | 3926 | GTEx | DepMap | Descartes | 0.08 | 0.33 |
PDGFRA | 0.0004374 | 4830 | GTEx | DepMap | Descartes | 0.16 | 3.10 |
OGN | 0.0004148 | 5013 | GTEx | DepMap | Descartes | 0.32 | 15.81 |
GLI2 | 0.0001929 | 7056 | GTEx | DepMap | Descartes | 0.01 | 0.02 |
RSPO3 | 0.0001826 | 7179 | GTEx | DepMap | Descartes | 0.02 | 0.04 |
C7 | 0.0001407 | 7725 | GTEx | DepMap | Descartes | 0.00 | 0.01 |
MGP | 0.0001237 | 7976 | GTEx | DepMap | Descartes | 0.83 | 136.91 |
DCN | 0.0001220 | 8002 | GTEx | DepMap | Descartes | 0.52 | 10.64 |
BICC1 | 0.0001203 | 8030 | GTEx | DepMap | Descartes | 0.10 | 0.22 |
ABCC9 | 0.0000834 | 8611 | GTEx | DepMap | Descartes | 0.01 | 0.03 |
IGFBP3 | 0.0000395 | 9472 | GTEx | DepMap | Descartes | 0.05 | 2.63 |
GAS2 | 0.0000317 | 9650 | GTEx | DepMap | Descartes | 0.16 | 0.23 |
LRRC17 | 0.0000170 | 10031 | GTEx | DepMap | Descartes | 0.02 | 0.46 |
ADAMTSL3 | 0.0000072 | 10294 | GTEx | DepMap | Descartes | 0.00 | 0.00 |
PCOLCE | -0.0000203 | 11120 | GTEx | DepMap | Descartes | 0.26 | 11.82 |
FNDC1 | -0.0000220 | 11175 | GTEx | DepMap | Descartes | 0.02 | 0.15 |
COL12A1 | -0.0000228 | 11201 | GTEx | DepMap | Descartes | 0.02 | 0.16 |
LOX | -0.0000328 | 11561 | GTEx | DepMap | Descartes | 0.02 | 0.81 |
POSTN | -0.0000414 | 11912 | GTEx | DepMap | Descartes | 0.44 | 11.79 |
FREM1 | -0.0000666 | 12878 | GTEx | DepMap | Descartes | 0.00 | 0.00 |
ELN | -0.0001045 | 14175 | GTEx | DepMap | Descartes | 0.11 | 0.96 |
PCDH18 | -0.0001047 | 14182 | GTEx | DepMap | Descartes | 0.00 | 0.08 |
ISLR | -0.0001062 | 14219 | GTEx | DepMap | Descartes | 0.04 | 0.59 |
Descartes sympathoblasts markers
Top 50 marker genes of sympathoblasts cells in the Decartes fetal adrenal single cell map (https://atlas.brotmanbaty.org/bbi/human-gene-expression-during-development/cell/sympathoblasts/in/adrenal)
Wilcoxon ranksum test P-value for gene set overrepresentation: 7.87e-06
Mean rank of genes in gene set: 6449.79
Median rank of genes in gene set: 2929
Rank on gene expression program of top 30 genes in gene set:
Genes | Weight | Rank | GTEx | DepMap | Descartes | Mean.Counts | Mean.TPM |
---|---|---|---|---|---|---|---|
CHGA | 0.0135249 | 19 | GTEx | DepMap | Descartes | 11.66 | 272.49 |
GCH1 | 0.0123029 | 24 | GTEx | DepMap | Descartes | 4.49 | 24.02 |
CHGB | 0.0118153 | 25 | GTEx | DepMap | Descartes | 54.27 | 774.00 |
SCG2 | 0.0107927 | 26 | GTEx | DepMap | Descartes | 4.09 | 162.71 |
PCSK1N | 0.0092259 | 38 | GTEx | DepMap | Descartes | 35.89 | 1596.88 |
TMEM130 | 0.0072205 | 64 | GTEx | DepMap | Descartes | 0.49 | 4.07 |
PENK | 0.0071590 | 67 | GTEx | DepMap | Descartes | 0.86 | 45.65 |
SLC18A1 | 0.0055188 | 111 | GTEx | DepMap | Descartes | 0.40 | 1.80 |
UNC80 | 0.0042162 | 193 | GTEx | DepMap | Descartes | 0.94 | 0.97 |
DGKK | 0.0042154 | 194 | GTEx | DepMap | Descartes | 1.52 | 1.64 |
GRM7 | 0.0032291 | 380 | GTEx | DepMap | Descartes | 0.11 | 0.04 |
FAM155A | 0.0029572 | 449 | GTEx | DepMap | Descartes | 1.07 | 0.38 |
SORCS3 | 0.0026407 | 544 | GTEx | DepMap | Descartes | 0.02 | 0.01 |
PCSK2 | 0.0025708 | 560 | GTEx | DepMap | Descartes | 1.16 | 0.99 |
TENM1 | 0.0022032 | 733 | GTEx | DepMap | Descartes | 0.05 | 0.03 |
PNMT | 0.0018124 | 984 | GTEx | DepMap | Descartes | 0.24 | 21.47 |
PACRG | 0.0017605 | 1034 | GTEx | DepMap | Descartes | 0.32 | 0.17 |
EML6 | 0.0016871 | 1110 | GTEx | DepMap | Descartes | 0.27 | 0.18 |
CDH18 | 0.0014856 | 1350 | GTEx | DepMap | Descartes | 0.03 | 0.02 |
AGBL4 | 0.0014732 | 1358 | GTEx | DepMap | Descartes | 0.04 | 0.01 |
C1QL1 | 0.0008079 | 2867 | GTEx | DepMap | Descartes | 2.59 | 74.00 |
GALNTL6 | 0.0007752 | 2991 | GTEx | DepMap | Descartes | 0.33 | 0.05 |
CCSER1 | 0.0006833 | 3405 | GTEx | DepMap | Descartes | 0.24 | 0.04 |
KSR2 | 0.0005799 | 3919 | GTEx | DepMap | Descartes | 0.39 | 0.24 |
CNTN3 | 0.0003309 | 5672 | GTEx | DepMap | Descartes | 0.06 | 0.01 |
TBX20 | 0.0003009 | 5925 | GTEx | DepMap | Descartes | 0.10 | 0.33 |
SLC24A2 | 0.0002157 | 6789 | GTEx | DepMap | Descartes | 0.00 | 0.00 |
SLC35F3 | 0.0002110 | 6848 | GTEx | DepMap | Descartes | 0.00 | 0.00 |
KCTD16 | 0.0000859 | 8569 | GTEx | DepMap | Descartes | 0.00 | 0.00 |
INSM1 | 0.0000331 | 9625 | GTEx | DepMap | Descartes | 1.39 | 83.85 |
Descartes erythroblasts markers
Top 50 marker genes of erythroblasts cells in the Decartes fetal adrenal single cell map (https://atlas.brotmanbaty.org/bbi/human-gene-expression-during-development/cell/erythroblasts/in/adrenal)
Wilcoxon ranksum test P-value for gene set overrepresentation: 1.01e-01
Mean rank of genes in gene set: 9170.66
Median rank of genes in gene set: 8141
Rank on gene expression program of top 30 genes in gene set:
Genes | Weight | Rank | GTEx | DepMap | Descartes | Mean.Counts | Mean.TPM |
---|---|---|---|---|---|---|---|
SELENBP1 | 0.0025003 | 589 | GTEx | DepMap | Descartes | 0.39 | 7.87 |
RAPGEF2 | 0.0018260 | 976 | GTEx | DepMap | Descartes | 0.65 | 0.61 |
CR1L | 0.0015227 | 1291 | GTEx | DepMap | Descartes | 1.26 | 7.90 |
SPTB | 0.0011594 | 1908 | GTEx | DepMap | Descartes | 0.55 | 0.87 |
SOX6 | 0.0010288 | 2201 | GTEx | DepMap | Descartes | 0.37 | 0.15 |
TFR2 | 0.0005540 | 4061 | GTEx | DepMap | Descartes | 0.08 | 1.18 |
TMEM56 | 0.0003506 | 5507 | GTEx | DepMap | Descartes | 0.10 | 0.22 |
RGS6 | 0.0003314 | 5666 | GTEx | DepMap | Descartes | 0.00 | 0.00 |
TRAK2 | 0.0002905 | 6022 | GTEx | DepMap | Descartes | 0.46 | 1.26 |
SPECC1 | 0.0002611 | 6312 | GTEx | DepMap | Descartes | 0.06 | 0.06 |
BLVRB | 0.0002532 | 6393 | GTEx | DepMap | Descartes | 0.50 | 5.16 |
TMCC2 | 0.0002260 | 6682 | GTEx | DepMap | Descartes | 0.38 | 1.99 |
GCLC | 0.0002095 | 6859 | GTEx | DepMap | Descartes | 0.42 | 2.06 |
CPOX | 0.0001915 | 7082 | GTEx | DepMap | Descartes | 0.49 | 2.10 |
DENND4A | 0.0001692 | 7345 | GTEx | DepMap | Descartes | 0.23 | 0.51 |
ALAS2 | 0.0001622 | 7445 | GTEx | DepMap | Descartes | 0.04 | 0.37 |
ABCB10 | 0.0001402 | 7730 | GTEx | DepMap | Descartes | 0.24 | 1.50 |
FECH | 0.0001131 | 8141 | GTEx | DepMap | Descartes | 0.17 | 0.96 |
SLC4A1 | 0.0000974 | 8379 | GTEx | DepMap | Descartes | 0.00 | 0.00 |
SLC25A21 | 0.0000950 | 8413 | GTEx | DepMap | Descartes | 0.00 | 0.00 |
HEMGN | 0.0000291 | 9711 | GTEx | DepMap | Descartes | 0.00 | 0.02 |
MICAL2 | 0.0000196 | 9956 | GTEx | DepMap | Descartes | 0.04 | 0.05 |
ANK1 | 0.0000163 | 10045 | GTEx | DepMap | Descartes | 0.01 | 0.01 |
RHD | 0.0000056 | 10350 | GTEx | DepMap | Descartes | 0.00 | 0.04 |
GYPA | -0.0000055 | 10654 | GTEx | DepMap | Descartes | 0.00 | 0.00 |
EPB42 | -0.0000267 | 11337 | GTEx | DepMap | Descartes | 0.00 | 0.00 |
SPTA1 | -0.0000315 | 11508 | GTEx | DepMap | Descartes | 0.00 | 0.00 |
GYPC | -0.0000652 | 12816 | GTEx | DepMap | Descartes | 0.01 | 0.10 |
XPO7 | -0.0001688 | 15693 | GTEx | DepMap | Descartes | 0.57 | 0.95 |
MARCH3 | -0.0002166 | 16505 | GTEx | DepMap | Descartes | 0.00 | 0.00 |
Descartes myeloid markers
Top 50 marker genes of myeloid cells in the Decartes fetal adrenal single cell map (https://atlas.brotmanbaty.org/bbi/human-gene-expression-during-development/cell/myeloid/in/adrenal)
Wilcoxon ranksum test P-value for gene set overrepresentation: 5.96e-01
Mean rank of genes in gene set: 10693.69
Median rank of genes in gene set: 10467
Rank on gene expression program of top 30 genes in gene set:
Genes | Weight | Rank | GTEx | DepMap | Descartes | Mean.Counts | Mean.TPM |
---|---|---|---|---|---|---|---|
FMN1 | 0.0058577 | 99 | GTEx | DepMap | Descartes | 1.02 | 0.52 |
CST3 | 0.0018060 | 989 | GTEx | DepMap | Descartes | 14.78 | 743.35 |
IFNGR1 | 0.0004577 | 4696 | GTEx | DepMap | Descartes | 0.52 | 12.07 |
PTPRE | 0.0004332 | 4860 | GTEx | DepMap | Descartes | 0.06 | 0.14 |
CPVL | 0.0003137 | 5823 | GTEx | DepMap | Descartes | 0.02 | 0.04 |
SFMBT2 | 0.0002427 | 6504 | GTEx | DepMap | Descartes | 0.10 | 0.08 |
RGL1 | 0.0001877 | 7121 | GTEx | DepMap | Descartes | 0.14 | 0.12 |
ABCA1 | 0.0001578 | 7505 | GTEx | DepMap | Descartes | 0.09 | 0.13 |
MS4A4A | 0.0001334 | 7828 | GTEx | DepMap | Descartes | 0.00 | 0.00 |
CD14 | 0.0001288 | 7902 | GTEx | DepMap | Descartes | 0.01 | 0.79 |
CTSD | 0.0001054 | 8257 | GTEx | DepMap | Descartes | 2.09 | 37.93 |
SLCO2B1 | 0.0000744 | 8768 | GTEx | DepMap | Descartes | 0.02 | 0.16 |
CTSB | 0.0000689 | 8881 | GTEx | DepMap | Descartes | 2.12 | 20.69 |
C1QA | 0.0000453 | 9339 | GTEx | DepMap | Descartes | 0.14 | 9.24 |
CTSS | 0.0000437 | 9380 | GTEx | DepMap | Descartes | 0.03 | 0.18 |
LGMN | 0.0000385 | 9491 | GTEx | DepMap | Descartes | 0.85 | 4.41 |
VSIG4 | 0.0000300 | 9686 | GTEx | DepMap | Descartes | 0.00 | 0.00 |
ADAP2 | 0.0000263 | 9786 | GTEx | DepMap | Descartes | 0.01 | 0.35 |
SPP1 | 0.0000204 | 9931 | GTEx | DepMap | Descartes | 1.63 | 28.16 |
MS4A7 | 0.0000153 | 10084 | GTEx | DepMap | Descartes | 0.02 | 0.25 |
CSF1R | 0.0000121 | 10174 | GTEx | DepMap | Descartes | 0.00 | 0.00 |
MARCH1 | 0.0000104 | 10212 | GTEx | DepMap | Descartes | 0.00 | 0.00 |
MERTK | 0.0000013 | 10467 | GTEx | DepMap | Descartes | 0.00 | 0.00 |
CD163L1 | -0.0000046 | 10624 | GTEx | DepMap | Descartes | 0.00 | 0.00 |
CD163 | -0.0000069 | 10697 | GTEx | DepMap | Descartes | 0.00 | 0.00 |
C1QC | -0.0000157 | 10977 | GTEx | DepMap | Descartes | 0.13 | 6.62 |
C1QB | -0.0000230 | 11207 | GTEx | DepMap | Descartes | 0.20 | 6.66 |
FGD2 | -0.0000283 | 11391 | GTEx | DepMap | Descartes | 0.01 | 0.15 |
CYBB | -0.0000337 | 11588 | GTEx | DepMap | Descartes | 0.00 | 0.00 |
MPEG1 | -0.0000528 | 12338 | GTEx | DepMap | Descartes | 0.00 | 0.20 |
Descartes Schwann markers
Top 50 marker genes of Schwann cells in the Decartes fetal adrenal single cell map (https://atlas.brotmanbaty.org/bbi/human-gene-expression-during-development/cell/schwann/in/adrenal)
Wilcoxon ranksum test P-value for gene set overrepresentation: 5.19e-01
Mean rank of genes in gene set: 10518.55
Median rank of genes in gene set: 12800
Rank on gene expression program of top 30 genes in gene set:
Genes | Weight | Rank | GTEx | DepMap | Descartes | Mean.Counts | Mean.TPM |
---|---|---|---|---|---|---|---|
PMP22 | 0.0054198 | 115 | GTEx | DepMap | Descartes | 5.52 | 38.92 |
NRXN1 | 0.0023021 | 671 | GTEx | DepMap | Descartes | 2.89 | 0.57 |
DST | 0.0018721 | 940 | GTEx | DepMap | Descartes | 7.36 | 3.67 |
IL1RAPL1 | 0.0017222 | 1071 | GTEx | DepMap | Descartes | 0.00 | 0.00 |
FAM134B | 0.0015318 | 1281 | GTEx | DepMap | Descartes | 0.83 | NA |
SORCS1 | 0.0012616 | 1674 | GTEx | DepMap | Descartes | 0.26 | 0.11 |
XKR4 | 0.0012377 | 1726 | GTEx | DepMap | Descartes | 0.46 | NA |
NRXN3 | 0.0010036 | 2267 | GTEx | DepMap | Descartes | 0.14 | 0.02 |
MDGA2 | 0.0007646 | 3039 | GTEx | DepMap | Descartes | 0.10 | 0.03 |
PTN | 0.0007217 | 3208 | GTEx | DepMap | Descartes | 1.25 | 2.37 |
GFRA3 | 0.0005483 | 4093 | GTEx | DepMap | Descartes | 1.53 | 8.19 |
GAS7 | 0.0004944 | 4432 | GTEx | DepMap | Descartes | 0.06 | 0.12 |
PLCE1 | 0.0004523 | 4729 | GTEx | DepMap | Descartes | 0.13 | 0.08 |
PAG1 | 0.0004450 | 4780 | GTEx | DepMap | Descartes | 0.19 | 0.27 |
LRRTM4 | 0.0003598 | 5416 | GTEx | DepMap | Descartes | 0.14 | 0.03 |
TRPM3 | 0.0003421 | 5579 | GTEx | DepMap | Descartes | 0.00 | 0.00 |
EGFLAM | 0.0002591 | 6335 | GTEx | DepMap | Descartes | 0.00 | 0.00 |
KCTD12 | 0.0002531 | 6395 | GTEx | DepMap | Descartes | 0.74 | 20.36 |
EDNRB | 0.0001464 | 7643 | GTEx | DepMap | Descartes | 0.04 | 0.51 |
STARD13 | 0.0001255 | 7947 | GTEx | DepMap | Descartes | 0.12 | 0.15 |
HMGA2 | 0.0000888 | 8511 | GTEx | DepMap | Descartes | 0.00 | 0.01 |
SOX5 | 0.0000840 | 8604 | GTEx | DepMap | Descartes | 0.03 | 0.01 |
LAMC1 | -0.0000223 | 11181 | GTEx | DepMap | Descartes | 0.34 | 0.97 |
COL25A1 | -0.0000650 | 12800 | GTEx | DepMap | Descartes | 0.04 | 0.02 |
CDH19 | -0.0000690 | 12971 | GTEx | DepMap | Descartes | 0.00 | 0.00 |
SOX10 | -0.0000755 | 13219 | GTEx | DepMap | Descartes | 0.00 | 0.00 |
COL5A2 | -0.0001036 | 14148 | GTEx | DepMap | Descartes | 0.18 | 1.08 |
IL1RAPL2 | -0.0001079 | 14276 | GTEx | DepMap | Descartes | 0.00 | 0.00 |
GRIK3 | -0.0001275 | 14808 | GTEx | DepMap | Descartes | 0.00 | 0.00 |
MPZ | -0.0001338 | 14955 | GTEx | DepMap | Descartes | 0.00 | 0.00 |
Descartes Megakaryocytes markers
Top 50 marker genes of Megakaryocytes cells in the Decartes fetal adrenal single cell map (https://atlas.brotmanbaty.org/bbi/human-gene-expression-during-development/cell/megakaryocytes/in/adrenal)
Wilcoxon ranksum test P-value for gene set overrepresentation: 9.25e-01
Mean rank of genes in gene set: 11714.98
Median rank of genes in gene set: 13488
Rank on gene expression program of top 30 genes in gene set:
Genes | Weight | Rank | GTEx | DepMap | Descartes | Mean.Counts | Mean.TPM |
---|---|---|---|---|---|---|---|
SLC2A3 | 0.0055366 | 109 | GTEx | DepMap | Descartes | 1.38 | 3.87 |
CD9 | 0.0019363 | 893 | GTEx | DepMap | Descartes | 4.95 | 24.40 |
PDE3A | 0.0015499 | 1248 | GTEx | DepMap | Descartes | 3.24 | 2.35 |
SLC24A3 | 0.0014312 | 1414 | GTEx | DepMap | Descartes | 0.03 | 0.01 |
TLN1 | 0.0007113 | 3253 | GTEx | DepMap | Descartes | 1.59 | 9.87 |
TGFB1 | 0.0005602 | 4033 | GTEx | DepMap | Descartes | 0.24 | 4.12 |
MYLK | 0.0005037 | 4353 | GTEx | DepMap | Descartes | 0.10 | 0.14 |
INPP4B | 0.0004981 | 4400 | GTEx | DepMap | Descartes | 0.03 | 0.01 |
ITGA2B | 0.0003442 | 5562 | GTEx | DepMap | Descartes | 0.04 | 0.57 |
MCTP1 | 0.0003305 | 5679 | GTEx | DepMap | Descartes | 0.01 | 0.00 |
UBASH3B | 0.0003095 | 5863 | GTEx | DepMap | Descartes | 0.08 | 0.09 |
MED12L | 0.0002866 | 6055 | GTEx | DepMap | Descartes | 0.24 | 0.14 |
RAB27B | 0.0002566 | 6364 | GTEx | DepMap | Descartes | 0.06 | 0.08 |
STOM | 0.0001993 | 6970 | GTEx | DepMap | Descartes | 0.07 | 0.66 |
ANGPT1 | 0.0001830 | 7169 | GTEx | DepMap | Descartes | 0.10 | 0.08 |
STON2 | 0.0001606 | 7469 | GTEx | DepMap | Descartes | 0.03 | 0.04 |
VCL | 0.0001227 | 7997 | GTEx | DepMap | Descartes | 0.28 | 0.64 |
GSN | 0.0001195 | 8049 | GTEx | DepMap | Descartes | 0.83 | 5.95 |
RAP1B | 0.0001061 | 8238 | GTEx | DepMap | Descartes | 1.59 | 9.95 |
TRPC6 | 0.0000708 | 8843 | GTEx | DepMap | Descartes | 0.00 | 0.00 |
PLEK | -0.0000081 | 10740 | GTEx | DepMap | Descartes | 0.03 | 0.07 |
LIMS1 | -0.0000131 | 10890 | GTEx | DepMap | Descartes | 1.45 | 2.66 |
ITGB3 | -0.0000144 | 10933 | GTEx | DepMap | Descartes | 0.01 | 0.17 |
SPN | -0.0000336 | 11585 | GTEx | DepMap | Descartes | 0.00 | 0.00 |
BIN2 | -0.0000834 | 13488 | GTEx | DepMap | Descartes | 0.00 | 0.00 |
PSTPIP2 | -0.0000838 | 13501 | GTEx | DepMap | Descartes | 0.06 | 0.14 |
CD84 | -0.0000910 | 13747 | GTEx | DepMap | Descartes | 0.00 | 0.01 |
PF4 | -0.0001031 | 14127 | GTEx | DepMap | Descartes | 0.01 | 3.97 |
FERMT3 | -0.0001270 | 14793 | GTEx | DepMap | Descartes | 0.03 | 0.16 |
ARHGAP6 | -0.0001524 | 15351 | GTEx | DepMap | Descartes | 0.01 | 0.01 |
Descartes Lyphoid markers
Top 50 marker genes of Lyphoid cells in the Decartes fetal adrenal single cell map (https://atlas.brotmanbaty.org/bbi/human-gene-expression-during-development/cell/lymphoid/in/adrenal)
Wilcoxon ranksum test P-value for gene set overrepresentation: 7.82e-01
Mean rank of genes in gene set: 11186.09
Median rank of genes in gene set: 13197.5
Rank on gene expression program of top 30 genes in gene set:
Genes | Weight | Rank | GTEx | DepMap | Descartes | Mean.Counts | Mean.TPM |
---|---|---|---|---|---|---|---|
NCALD | 0.0059818 | 96 | GTEx | DepMap | Descartes | 1.74 | 0.85 |
ARID5B | 0.0037230 | 273 | GTEx | DepMap | Descartes | 1.44 | 1.57 |
MSN | 0.0023828 | 637 | GTEx | DepMap | Descartes | 3.02 | 8.96 |
TOX | 0.0020074 | 849 | GTEx | DepMap | Descartes | 0.75 | 0.49 |
RAP1GAP2 | 0.0013710 | 1494 | GTEx | DepMap | Descartes | 0.33 | 0.26 |
CELF2 | 0.0009779 | 2341 | GTEx | DepMap | Descartes | 1.10 | 0.23 |
SORL1 | 0.0009086 | 2530 | GTEx | DepMap | Descartes | 0.19 | 0.38 |
FOXP1 | 0.0005996 | 3806 | GTEx | DepMap | Descartes | 1.75 | 0.59 |
PITPNC1 | 0.0005473 | 4102 | GTEx | DepMap | Descartes | 0.87 | 0.64 |
SCML4 | 0.0005456 | 4111 | GTEx | DepMap | Descartes | 0.10 | 0.19 |
DOCK10 | 0.0004597 | 4679 | GTEx | DepMap | Descartes | 0.35 | 0.33 |
ITPKB | 0.0002077 | 6880 | GTEx | DepMap | Descartes | 0.08 | 0.23 |
LEF1 | 0.0001719 | 7309 | GTEx | DepMap | Descartes | 0.35 | 0.78 |
CCND3 | 0.0001656 | 7402 | GTEx | DepMap | Descartes | 0.28 | 0.57 |
ABLIM1 | 0.0001527 | 7563 | GTEx | DepMap | Descartes | 0.22 | 0.14 |
GNG2 | 0.0001291 | 7897 | GTEx | DepMap | Descartes | 4.19 | 7.10 |
SAMD3 | 0.0000214 | 9893 | GTEx | DepMap | Descartes | 0.00 | 0.00 |
PTPRC | -0.0000236 | 11226 | GTEx | DepMap | Descartes | 0.01 | 0.01 |
WIPF1 | -0.0000419 | 11932 | GTEx | DepMap | Descartes | 0.08 | 0.19 |
B2M | -0.0000506 | 12252 | GTEx | DepMap | Descartes | 1.09 | 44.67 |
PLEKHA2 | -0.0000607 | 12644 | GTEx | DepMap | Descartes | 0.00 | 0.01 |
ARHGAP15 | -0.0000699 | 13009 | GTEx | DepMap | Descartes | 0.02 | 0.01 |
RCSD1 | -0.0000803 | 13386 | GTEx | DepMap | Descartes | 0.01 | 0.06 |
LCP1 | -0.0000925 | 13794 | GTEx | DepMap | Descartes | 0.05 | 0.05 |
CCL5 | -0.0000951 | 13888 | GTEx | DepMap | Descartes | 0.00 | 0.00 |
IKZF1 | -0.0001045 | 14176 | GTEx | DepMap | Descartes | 0.00 | 0.00 |
BACH2 | -0.0001136 | 14447 | GTEx | DepMap | Descartes | 0.21 | 0.12 |
SP100 | -0.0001145 | 14469 | GTEx | DepMap | Descartes | 0.00 | 0.06 |
STK39 | -0.0001171 | 14531 | GTEx | DepMap | Descartes | 0.93 | 0.70 |
FAM65B | -0.0001533 | 15367 | GTEx | DepMap | Descartes | 0.16 | NA |
Below shows the ranks on this GEP for immune marker gene lists curated by CellTypist (https://www.celltypist.org/encyclopedia).
High ranks indicate this gene is a driver of this GEP.
These curated gene list are ranked by P-value (on this GEP) of their constituent genes.
The Mean Count column shows the mean read count in cells scoring highly (H > 50) on this gene expression program.
Genes | Weight | Rank | GTEx | DepMap | Decartes | Mean.Counts | Mean.TPM |
---|---|---|---|---|---|---|---|
INPP5J | 0.0012553 | 1689 | GTEx | DepMap | Descartes | 0.03 | 0.36 |
PANX2 | 0.0010250 | 2218 | GTEx | DepMap | Descartes | 0.15 | 1.92 |
SOST | 0.0002068 | 6892 | GTEx | DepMap | Descartes | 0.00 | 0.00 |
Cycling cells: Cycling T cells (model markers)
proliferating T lymphocytes:
Wilcoxon ranksum test P-value for gene set overrepresentation: 2.51e-02
Mean rank of genes in gene set: 5177.8
Rank on gene expression program of genes in gene set:
Genes | Weight | Rank | GTEx | DepMap | Decartes | Mean.Counts | Mean.TPM |
---|---|---|---|---|---|---|---|
DUSP26 | 0.0036080 | 291 | GTEx | DepMap | Descartes | 4.18 | 104.08 |
CALB2 | 0.0023917 | 630 | GTEx | DepMap | Descartes | 0.10 | 0.50 |
SOST | 0.0002068 | 6892 | GTEx | DepMap | Descartes | 0.00 | 0.00 |
CD207 | 0.0001195 | 8050 | GTEx | DepMap | Descartes | 0.00 | 0.00 |
IL22RA2 | 0.0000172 | 10026 | GTEx | DepMap | Descartes | 0.00 | 0.00 |
Megakaryocyte precursor: Megakaryocyte precursor (curated markers)
megakaryocyte precursors in the bone marrow that are committed to megakaryocytes:
Wilcoxon ranksum test P-value for gene set overrepresentation: 3.97e-02
Mean rank of genes in gene set: 2972
Rank on gene expression program of genes in gene set:
Genes | Weight | Rank | GTEx | DepMap | Decartes | Mean.Counts | Mean.TPM |
---|---|---|---|---|---|---|---|
GATA2 | 0.0034135 | 337 | GTEx | DepMap | Descartes | 3.00 | 44.90 |
PRSS57 | 0.0003390 | 5607 | GTEx | DepMap | Descartes | 0.01 | 0.31 |