QQ-plot of gene loadings, averaged over both independent splits of the data
This plot highlights the relative contribution of each gene to the GEP
Top genes driving this program.
Note: Decartes website is buggy, try refreshing. Also, Decartes fetal adrenal data have been collected at specific time points (89-122 days), all possible cell types of interest may not be represented, do not overinterpret.
The Mean Count column shows the mean read count in cells scoring highly (H > 50) on this gene expression program.
Gene | Loading | Gene.Name | GTEx | DepMap | Descartes | Mean.Counts | Mean.Tpm | |
---|---|---|---|---|---|---|---|---|
1 | VCAN | 0.0162826 | versican | GTEx | DepMap | Descartes | 5.20 | 261.71 |
2 | S100A6 | 0.0134721 | S100 calcium binding protein A6 | GTEx | DepMap | Descartes | 20.73 | 18832.10 |
3 | PLBD1 | 0.0133356 | phospholipase B domain containing 1 | GTEx | DepMap | Descartes | 1.06 | 318.67 |
4 | TSPO | 0.0119243 | translocator protein | GTEx | DepMap | Descartes | 4.30 | 2376.08 |
5 | S100A4 | 0.0111578 | S100 calcium binding protein A4 | GTEx | DepMap | Descartes | 20.21 | 15938.29 |
6 | CDA | 0.0107693 | cytidine deaminase | GTEx | DepMap | Descartes | 1.07 | 830.46 |
7 | VIM | 0.0104874 | vimentin | GTEx | DepMap | Descartes | 11.01 | 2425.51 |
8 | GCA | 0.0104214 | grancalcin | GTEx | DepMap | Descartes | 1.15 | 199.39 |
9 | CSF3R | 0.0096438 | colony stimulating factor 3 receptor | GTEx | DepMap | Descartes | 1.77 | 186.95 |
10 | S100A11 | 0.0096038 | S100 calcium binding protein A11 | GTEx | DepMap | Descartes | 10.66 | 11755.32 |
11 | NCF2 | 0.0088884 | neutrophil cytosolic factor 2 | GTEx | DepMap | Descartes | 1.14 | 297.08 |
12 | LGALS1 | 0.0088589 | galectin 1 | GTEx | DepMap | Descartes | 8.98 | 8382.81 |
13 | SLC11A1 | 0.0084208 | solute carrier family 11 member 1 | GTEx | DepMap | Descartes | 1.75 | 189.23 |
14 | G0S2 | 0.0082852 | G0/G1 switch 2 | GTEx | DepMap | Descartes | 11.20 | 8299.66 |
15 | MCL1 | 0.0081502 | MCL1 apoptosis regulator, BCL2 family member | GTEx | DepMap | Descartes | 4.77 | 752.32 |
16 | CD14 | 0.0080638 | CD14 molecule | GTEx | DepMap | Descartes | 2.78 | 983.90 |
17 | TALDO1 | 0.0080067 | transaldolase 1 | GTEx | DepMap | Descartes | 1.66 | 803.01 |
18 | TKT | 0.0079464 | transketolase | GTEx | DepMap | Descartes | 2.69 | 222.47 |
19 | SERPINB2 | 0.0078876 | serpin family B member 2 | GTEx | DepMap | Descartes | 0.30 | 77.69 |
20 | PLAUR | 0.0077583 | plasminogen activator, urokinase receptor | GTEx | DepMap | Descartes | 10.79 | 4235.22 |
21 | STXBP2 | 0.0077380 | syntaxin binding protein 2 | GTEx | DepMap | Descartes | 2.20 | 688.04 |
22 | THBS1 | 0.0076494 | thrombospondin 1 | GTEx | DepMap | Descartes | 5.17 | 402.60 |
23 | TYROBP | 0.0076111 | transmembrane immune signaling adaptor TYROBP | GTEx | DepMap | Descartes | 15.78 | 15497.22 |
24 | HP | 0.0076085 | haptoglobin | GTEx | DepMap | Descartes | 0.12 | 28.50 |
25 | MAFB | 0.0073981 | MAF bZIP transcription factor B | GTEx | DepMap | Descartes | 3.67 | 657.80 |
26 | APLP2 | 0.0073623 | amyloid beta precursor like protein 2 | GTEx | DepMap | Descartes | 1.69 | 279.46 |
27 | MXD1 | 0.0073256 | MAX dimerization protein 1 | GTEx | DepMap | Descartes | 1.08 | 117.56 |
28 | ASGR1 | 0.0072178 | asialoglycoprotein receptor 1 | GTEx | DepMap | Descartes | 0.73 | 214.23 |
29 | OAZ1 | 0.0071037 | ornithine decarboxylase antizyme 1 | GTEx | DepMap | Descartes | 11.96 | 2514.45 |
30 | BST1 | 0.0070315 | bone marrow stromal cell antigen 1 | GTEx | DepMap | Descartes | 0.45 | 129.63 |
31 | NAMPT | 0.0067611 | nicotinamide phosphoribosyltransferase | GTEx | DepMap | Descartes | 5.51 | 816.35 |
32 | AGTRAP | 0.0067572 | angiotensin II receptor associated protein | GTEx | DepMap | Descartes | 0.70 | 382.46 |
33 | GRN | 0.0067478 | granulin precursor | GTEx | DepMap | Descartes | 2.87 | 793.27 |
34 | NUP214 | 0.0067396 | nucleoporin 214 | GTEx | DepMap | Descartes | 0.86 | 69.49 |
35 | AP1S2 | 0.0067274 | adaptor related protein complex 1 subunit sigma 2 | GTEx | DepMap | Descartes | 2.61 | 428.62 |
36 | PYCARD | 0.0067217 | PYD and CARD domain containing | GTEx | DepMap | Descartes | 2.25 | 1198.19 |
37 | QPCT | 0.0066932 | glutaminyl-peptide cyclotransferase | GTEx | DepMap | Descartes | 0.27 | 98.37 |
38 | RAB31 | 0.0066305 | RAB31, member RAS oncogene family | GTEx | DepMap | Descartes | 0.75 | 115.61 |
39 | MGST1 | 0.0066151 | microsomal glutathione S-transferase 1 | GTEx | DepMap | Descartes | 0.35 | 93.94 |
40 | MTMR11 | 0.0065187 | myotubularin related protein 11 | GTEx | DepMap | Descartes | 0.25 | 45.97 |
41 | EVI2B | 0.0064797 | ecotropic viral integration site 2B | GTEx | DepMap | Descartes | 1.57 | 495.91 |
42 | CTSS | 0.0064670 | cathepsin S | GTEx | DepMap | Descartes | 7.24 | 1120.28 |
43 | PRAM1 | 0.0062477 | PML-RARA regulated adaptor molecule 1 | GTEx | DepMap | Descartes | 0.41 | 108.36 |
44 | S100A10 | 0.0062197 | S100 calcium binding protein A10 | GTEx | DepMap | Descartes | 4.85 | 4249.27 |
45 | SOD2 | 0.0062040 | superoxide dismutase 2 | GTEx | DepMap | Descartes | 5.37 | 235.41 |
46 | TNFSF13B | 0.0061968 | TNF superfamily member 13b | GTEx | DepMap | Descartes | 1.38 | 318.43 |
47 | ACSL1 | 0.0061788 | acyl-CoA synthetase long chain family member 1 | GTEx | DepMap | Descartes | 0.77 | 123.60 |
48 | MSRB1 | 0.0061749 | methionine sulfoxide reductase B1 | GTEx | DepMap | Descartes | 0.37 | NA |
49 | PGD | 0.0060292 | phosphogluconate dehydrogenase | GTEx | DepMap | Descartes | 0.56 | 143.37 |
50 | CD302 | 0.0059604 | CD302 molecule | GTEx | DepMap | Descartes | 0.78 | 120.11 |
UMAP plots showing activity of gene expression program identified in GEP 33. Monocyte: Inflammatory:
CNV Data procured from inferCNV.
Outer tracks are putative CNV regions (gains = red, losses = blue) for each patient
Inner track is expression data representing:
The top cells expressing this GEP (purple)
Random cells (n =50) from the reference set used in inferCNV (orange)
Gene set Enrichments for this program, caculated from top 50 genes
mSigDB Cell Types Gene Set:
P-value | OR | Lower 95% CI | FDR | FWER | Genes Found | Gene Set Size | |
---|---|---|---|---|---|---|---|
HAY_BONE_MARROW_NEUTROPHIL | 3.62e-52 | 139.23 | 66.45 | 2.43e-49 | 2.43e-49 | 41VCAN, S100A6, PLBD1, TSPO, S100A4, CDA, VIM, GCA, CSF3R, NCF2, SLC11A1, MCL1, CD14, TALDO1, TKT, SERPINB2, PLAUR, STXBP2, THBS1, TYROBP, APLP2, MXD1, ASGR1, OAZ1, BST1, AGTRAP, GRN, NUP214, AP1S2, PYCARD, QPCT, RAB31, MGST1, MTMR11, PRAM1, S100A10, TNFSF13B, ACSL1, MSRB1, PGD, CD302 |
449 |
AIZARANI_LIVER_C23_KUPFFER_CELLS_3 | 6.48e-41 | 98.10 | 52.87 | 2.17e-38 | 4.35e-38 | 30VCAN, S100A6, PLBD1, TSPO, S100A4, VIM, GCA, CSF3R, S100A11, NCF2, LGALS1, SLC11A1, CD14, TALDO1, TKT, PLAUR, THBS1, TYROBP, MAFB, APLP2, OAZ1, NAMPT, GRN, AP1S2, RAB31, EVI2B, CTSS, S100A10, SOD2, TNFSF13B |
221 |
DURANTE_ADULT_OLFACTORY_NEUROEPITHELIUM_DENDRITIC_CELLS | 1.55e-30 | 94.21 | 49.16 | 2.60e-28 | 1.04e-27 | 21VCAN, S100A4, GCA, CSF3R, NCF2, SLC11A1, G0S2, CD14, TKT, PLAUR, STXBP2, TYROBP, MXD1, OAZ1, NAMPT, AP1S2, PYCARD, EVI2B, CTSS, SOD2, TNFSF13B |
117 |
TRAVAGLINI_LUNG_CLASSICAL_MONOCYTE_CELL | 3.97e-40 | 85.16 | 45.91 | 8.88e-38 | 2.66e-37 | 31VCAN, S100A6, PLBD1, TSPO, S100A4, CSF3R, NCF2, LGALS1, SLC11A1, MCL1, CD14, TKT, STXBP2, THBS1, TYROBP, MAFB, APLP2, ASGR1, AGTRAP, NUP214, AP1S2, PYCARD, RAB31, MGST1, MTMR11, EVI2B, CTSS, PRAM1, TNFSF13B, ACSL1, PGD |
270 |
FAN_EMBRYONIC_CTX_BRAIN_MYELOID | 6.38e-20 | 47.76 | 23.97 | 5.35e-18 | 4.28e-17 | 16VCAN, S100A6, S100A4, VIM, S100A11, LGALS1, TKT, PLAUR, STXBP2, MAFB, NAMPT, AP1S2, CTSS, PRAM1, S100A10, TNFSF13B |
139 |
AIZARANI_LIVER_C25_KUPFFER_CELLS_4 | 2.45e-18 | 37.21 | 18.78 | 1.26e-16 | 1.64e-15 | 16VCAN, VIM, S100A11, NCF2, SLC11A1, PLAUR, THBS1, TYROBP, MAFB, NAMPT, GRN, AP1S2, RAB31, EVI2B, CTSS, TNFSF13B |
174 |
TRAVAGLINI_LUNG_MACROPHAGE_CELL | 7.23e-19 | 34.99 | 17.95 | 4.85e-17 | 4.85e-16 | 17TSPO, VIM, S100A11, NCF2, LGALS1, SLC11A1, PLAUR, TYROBP, APLP2, GRN, RAB31, MGST1, CTSS, S100A10, SOD2, ACSL1, PGD |
201 |
RUBENSTEIN_SKELETAL_MUSCLE_MYELOID_CELLS | 6.62e-22 | 30.24 | 16.29 | 8.88e-20 | 4.44e-19 | 22VCAN, S100A6, PLBD1, TSPO, S100A4, GCA, S100A11, MCL1, CD14, TALDO1, TKT, PLAUR, STXBP2, TYROBP, OAZ1, NAMPT, NUP214, AP1S2, PYCARD, CTSS, SOD2, TNFSF13B |
347 |
AIZARANI_LIVER_C18_NK_NKT_CELLS_5 | 1.04e-12 | 32.02 | 14.40 | 4.09e-11 | 6.95e-10 | 11VCAN, VIM, S100A11, NCF2, SLC11A1, PLAUR, TYROBP, MAFB, RAB31, EVI2B, CTSS |
121 |
CUI_DEVELOPING_HEART_C8_MACROPHAGE | 5.15e-18 | 27.36 | 14.26 | 2.30e-16 | 3.45e-15 | 18S100A4, CSF3R, NCF2, MCL1, CD14, TKT, PLAUR, STXBP2, TYROBP, MAFB, NAMPT, GRN, PYCARD, RAB31, EVI2B, CTSS, PRAM1, SOD2 |
275 |
TRAVAGLINI_LUNG_NEUTROPHIL_CELL | 1.61e-18 | 23.96 | 12.76 | 8.98e-17 | 1.08e-15 | 20S100A6, CDA, GCA, CSF3R, S100A11, NCF2, SLC11A1, G0S2, MCL1, TKT, PLAUR, TYROBP, MXD1, BST1, NAMPT, CTSS, SOD2, ACSL1, MSRB1, PGD |
368 |
TRAVAGLINI_LUNG_TREM2_DENDRITIC_CELL | 5.82e-20 | 21.08 | 11.50 | 5.35e-18 | 3.90e-17 | 24S100A6, PLBD1, TSPO, VIM, S100A11, NCF2, LGALS1, SLC11A1, G0S2, CD14, TALDO1, PLAUR, TYROBP, MAFB, APLP2, GRN, PYCARD, QPCT, RAB31, MGST1, CTSS, S100A10, TNFSF13B, PGD |
572 |
AIZARANI_LIVER_C2_KUPFFER_CELLS_1 | 5.03e-13 | 23.47 | 11.26 | 2.11e-11 | 3.37e-10 | 13VIM, S100A11, NCF2, LGALS1, PLAUR, TYROBP, MAFB, GRN, AP1S2, RAB31, EVI2B, CTSS, TNFSF13B |
200 |
FAN_OVARY_CL13_MONOCYTE_MACROPHAGE | 5.04e-18 | 20.73 | 11.14 | 2.30e-16 | 3.38e-15 | 21S100A6, TSPO, S100A4, S100A11, LGALS1, G0S2, CD14, TALDO1, PLAUR, TYROBP, MAFB, OAZ1, NAMPT, GRN, AP1S2, PYCARD, EVI2B, CTSS, S100A10, SOD2, TNFSF13B |
458 |
TRAVAGLINI_LUNG_OLR1_CLASSICAL_MONOCYTE_CELL | 3.47e-20 | 19.36 | 10.63 | 3.88e-18 | 2.33e-17 | 26VCAN, S100A6, VIM, GCA, CSF3R, S100A11, NCF2, LGALS1, SLC11A1, G0S2, MCL1, CD14, PLAUR, STXBP2, THBS1, TYROBP, MAFB, APLP2, MXD1, NAMPT, QPCT, RAB31, CTSS, S100A10, SOD2, ACSL1 |
726 |
TRAVAGLINI_LUNG_EREG_DENDRITIC_CELL | 1.53e-18 | 19.17 | 10.43 | 8.98e-17 | 1.03e-15 | 23VCAN, S100A6, S100A11, NCF2, LGALS1, SLC11A1, G0S2, MCL1, CD14, PLAUR, THBS1, TYROBP, MAFB, APLP2, MXD1, ASGR1, NAMPT, QPCT, RAB31, S100A10, SOD2, TNFSF13B, ACSL1 |
579 |
AIZARANI_LIVER_C31_KUPFFER_CELLS_5 | 8.20e-10 | 24.70 | 10.30 | 2.89e-08 | 5.50e-07 | 9VCAN, S100A11, SLC11A1, PLAUR, TYROBP, MAFB, NAMPT, EVI2B, CTSS |
120 |
TRAVAGLINI_LUNG_PROLIFERATING_MACROPHAGE_CELL | 1.16e-19 | 16.95 | 9.31 | 8.63e-18 | 7.77e-17 | 28S100A6, PLBD1, TSPO, S100A4, VIM, GCA, S100A11, NCF2, LGALS1, SLC11A1, CD14, TALDO1, TKT, PLAUR, STXBP2, TYROBP, HP, APLP2, OAZ1, BST1, GRN, NUP214, PYCARD, MGST1, MTMR11, CTSS, S100A10, PGD |
968 |
CUI_DEVELOPING_HEART_VALVAR_ENDOTHELIAL_CELL | 3.40e-09 | 20.77 | 8.70 | 1.09e-07 | 2.28e-06 | 9VCAN, S100A6, S100A4, MCL1, NAMPT, MTMR11, S100A10, SOD2, ACSL1 |
141 |
AIZARANI_LIVER_C6_KUPFFER_CELLS_2 | 5.21e-11 | 18.27 | 8.57 | 1.94e-09 | 3.50e-08 | 12S100A11, SLC11A1, CD14, TKT, TYROBP, MAFB, GRN, PYCARD, RAB31, EVI2B, CTSS, TNFSF13B |
228 |
Dowload full table
mSigDB Hallmark Gene Sets:
P-value | OR | Lower 95% CI | FDR | FWER | Genes Found | Gene Set Size | |
---|---|---|---|---|---|---|---|
HALLMARK_TNFA_SIGNALING_VIA_NFKB | 1.19e-05 | 10.54 | 3.95 | 5.94e-04 | 5.94e-04 | 7G0S2, MCL1, SERPINB2, PLAUR, MXD1, NAMPT, SOD2 |
200 |
HALLMARK_COMPLEMENT | 1.24e-04 | 8.78 | 3.02 | 3.09e-03 | 6.18e-03 | 6CDA, GCA, SERPINB2, PLAUR, CTSS, MSRB1 |
200 |
HALLMARK_EPITHELIAL_MESENCHYMAL_TRANSITION | 1.08e-03 | 7.12 | 2.18 | 1.35e-02 | 5.40e-02 | 5VCAN, VIM, LGALS1, PLAUR, THBS1 |
200 |
HALLMARK_INFLAMMATORY_RESPONSE | 1.08e-03 | 7.12 | 2.18 | 1.35e-02 | 5.40e-02 | 5CSF3R, CD14, PLAUR, MXD1, NAMPT |
200 |
HALLMARK_FATTY_ACID_METABOLISM | 3.40e-03 | 7.06 | 1.82 | 3.03e-02 | 1.70e-01 | 4LGALS1, G0S2, S100A10, ACSL1 |
158 |
HALLMARK_APOPTOSIS | 3.63e-03 | 6.92 | 1.79 | 3.03e-02 | 1.82e-01 | 4TSPO, MCL1, CD14, SOD2 |
161 |
HALLMARK_ANGIOGENESIS | 8.94e-03 | 15.30 | 1.73 | 4.47e-02 | 4.47e-01 | 2VCAN, S100A4 |
36 |
HALLMARK_PEROXISOME | 7.99e-03 | 7.90 | 1.55 | 4.44e-02 | 4.00e-01 | 3TSPO, SOD2, ACSL1 |
104 |
HALLMARK_ADIPOGENESIS | 7.71e-03 | 5.55 | 1.44 | 4.44e-02 | 3.85e-01 | 4TALDO1, TKT, APLP2, CD302 |
200 |
HALLMARK_KRAS_SIGNALING_UP | 7.71e-03 | 5.55 | 1.44 | 4.44e-02 | 3.85e-01 | 4G0S2, PLAUR, MAFB, CTSS |
200 |
HALLMARK_REACTIVE_OXYGEN_SPECIES_PATHWAY | 1.61e-02 | 11.07 | 1.27 | 7.33e-02 | 8.06e-01 | 2MGST1, SOD2 |
49 |
HALLMARK_TGF_BETA_SIGNALING | 1.94e-02 | 10.01 | 1.15 | 8.07e-02 | 9.68e-01 | 2THBS1, RAB31 |
54 |
HALLMARK_CHOLESTEROL_HOMEOSTASIS | 3.47e-02 | 7.23 | 0.84 | 1.33e-01 | 1.00e+00 | 2S100A11, PLAUR |
74 |
HALLMARK_P53_PATHWAY | 4.35e-02 | 4.05 | 0.80 | 1.55e-01 | 1.00e+00 | 3S100A4, MXD1, S100A10 |
200 |
HALLMARK_IL6_JAK_STAT3_SIGNALING | 4.64e-02 | 6.13 | 0.71 | 1.55e-01 | 1.00e+00 | 2CSF3R, CD14 |
87 |
HALLMARK_COAGULATION | 1.03e-01 | 3.83 | 0.45 | 3.21e-01 | 1.00e+00 | 2SERPINB2, THBS1 |
138 |
HALLMARK_HYPOXIA | 1.85e-01 | 2.63 | 0.31 | 4.20e-01 | 1.00e+00 | 2S100A4, PLAUR |
200 |
HALLMARK_INTERFERON_GAMMA_RESPONSE | 1.85e-01 | 2.63 | 0.31 | 4.20e-01 | 1.00e+00 | 2NAMPT, SOD2 |
200 |
HALLMARK_XENOBIOTIC_METABOLISM | 1.85e-01 | 2.63 | 0.31 | 4.20e-01 | 1.00e+00 | 2CDA, PGD |
200 |
HALLMARK_GLYCOLYSIS | 1.85e-01 | 2.63 | 0.31 | 4.20e-01 | 1.00e+00 | 2VCAN, TALDO1 |
200 |
Dowload full table
KEGG Pathways:
P-value | OR | Lower 95% CI | FDR | FWER | Genes Found | Gene Set Size | |
---|---|---|---|---|---|---|---|
KEGG_PENTOSE_PHOSPHATE_PATHWAY | 1.62e-04 | 33.18 | 6.19 | 3.01e-02 | 3.01e-02 | 3TALDO1, TKT, PGD |
27 |
KEGG_NICOTINATE_AND_NICOTINAMIDE_METABOLISM | 4.05e-03 | 23.65 | 2.62 | 3.76e-01 | 7.52e-01 | 2BST1, NAMPT |
24 |
KEGG_LYSOSOME | 1.20e-02 | 6.76 | 1.33 | 7.45e-01 | 1.00e+00 | 3SLC11A1, AP1S2, CTSS |
121 |
KEGG_GLUTATHIONE_METABOLISM | 1.67e-02 | 10.84 | 1.24 | 7.79e-01 | 1.00e+00 | 2MGST1, PGD |
50 |
KEGG_PEROXISOME | 3.81e-02 | 6.85 | 0.79 | 1.00e+00 | 1.00e+00 | 2SOD2, ACSL1 |
78 |
KEGG_HEMATOPOIETIC_CELL_LINEAGE | 4.64e-02 | 6.13 | 0.71 | 1.00e+00 | 1.00e+00 | 2CSF3R, CD14 |
87 |
KEGG_CYTOKINE_CYTOKINE_RECEPTOR_INTERACTION | 2.77e-01 | 1.98 | 0.23 | 1.00e+00 | 1.00e+00 | 2CSF3R, TNFSF13B |
265 |
KEGG_FATTY_ACID_METABOLISM | 1.54e-01 | 6.22 | 0.15 | 1.00e+00 | 1.00e+00 | 1ACSL1 |
42 |
KEGG_BLADDER_CANCER | 1.54e-01 | 6.22 | 0.15 | 1.00e+00 | 1.00e+00 | 1THBS1 |
42 |
KEGG_INTESTINAL_IMMUNE_NETWORK_FOR_IGA_PRODUCTION | 1.74e-01 | 5.43 | 0.13 | 1.00e+00 | 1.00e+00 | 1TNFSF13B |
48 |
KEGG_DRUG_METABOLISM_OTHER_ENZYMES | 1.84e-01 | 5.10 | 0.12 | 1.00e+00 | 1.00e+00 | 1CDA |
51 |
KEGG_CYTOSOLIC_DNA_SENSING_PATHWAY | 1.97e-01 | 4.72 | 0.12 | 1.00e+00 | 1.00e+00 | 1PYCARD |
55 |
KEGG_PATHOGENIC_ESCHERICHIA_COLI_INFECTION | 2.00e-01 | 4.64 | 0.11 | 1.00e+00 | 1.00e+00 | 1CD14 |
56 |
KEGG_NOD_LIKE_RECEPTOR_SIGNALING_PATHWAY | 2.19e-01 | 4.18 | 0.10 | 1.00e+00 | 1.00e+00 | 1PYCARD |
62 |
KEGG_ADIPOCYTOKINE_SIGNALING_PATHWAY | 2.34e-01 | 3.86 | 0.09 | 1.00e+00 | 1.00e+00 | 1ACSL1 |
67 |
KEGG_P53_SIGNALING_PATHWAY | 2.37e-01 | 3.81 | 0.09 | 1.00e+00 | 1.00e+00 | 1THBS1 |
68 |
KEGG_PPAR_SIGNALING_PATHWAY | 2.40e-01 | 3.75 | 0.09 | 1.00e+00 | 1.00e+00 | 1ACSL1 |
69 |
KEGG_COMPLEMENT_AND_COAGULATION_CASCADES | 2.40e-01 | 3.75 | 0.09 | 1.00e+00 | 1.00e+00 | 1PLAUR |
69 |
KEGG_METABOLISM_OF_XENOBIOTICS_BY_CYTOCHROME_P450 | 2.43e-01 | 3.70 | 0.09 | 1.00e+00 | 1.00e+00 | 1MGST1 |
70 |
KEGG_DRUG_METABOLISM_CYTOCHROME_P450 | 2.49e-01 | 3.59 | 0.09 | 1.00e+00 | 1.00e+00 | 1MGST1 |
72 |
Dowload full table
CHR Positional Gene Sets:
P-value | OR | Lower 95% CI | FDR | FWER | Genes Found | Gene Set Size | |
---|---|---|---|---|---|---|---|
chr1q21 | 7.20e-04 | 5.29 | 1.99 | 2.00e-01 | 2.00e-01 | 7S100A6, S100A4, S100A11, MCL1, MTMR11, CTSS, S100A10 |
392 |
chr2q24 | 8.71e-02 | 4.23 | 0.49 | 1.00e+00 | 1.00e+00 | 2GCA, CD302 |
125 |
chr20q12 | 9.13e-02 | 11.08 | 0.26 | 1.00e+00 | 1.00e+00 | 1MAFB |
24 |
chr1p36 | 7.38e-01 | 1.22 | 0.24 | 1.00e+00 | 1.00e+00 | 3CDA, AGTRAP, PGD |
656 |
chr19p13 | 7.66e-01 | 1.04 | 0.21 | 1.00e+00 | 1.00e+00 | 3STXBP2, OAZ1, PRAM1 |
773 |
chr22q13 | 3.33e-01 | 1.72 | 0.20 | 1.00e+00 | 1.00e+00 | 2TSPO, LGALS1 |
305 |
chr13q33 | 1.97e-01 | 4.72 | 0.12 | 1.00e+00 | 1.00e+00 | 1TNFSF13B |
55 |
chr15q14 | 2.00e-01 | 4.64 | 0.11 | 1.00e+00 | 1.00e+00 | 1THBS1 |
56 |
chr10p13 | 2.25e-01 | 4.05 | 0.10 | 1.00e+00 | 1.00e+00 | 1VIM |
64 |
chr2p22 | 3.23e-01 | 2.63 | 0.06 | 1.00e+00 | 1.00e+00 | 1QPCT |
98 |
chr4q35 | 3.41e-01 | 2.45 | 0.06 | 1.00e+00 | 1.00e+00 | 1ACSL1 |
105 |
chr12p12 | 3.46e-01 | 2.41 | 0.06 | 1.00e+00 | 1.00e+00 | 1MGST1 |
107 |
chr19q13 | 4.39e-01 | 0.45 | 0.05 | 1.00e+00 | 1.00e+00 | 2PLAUR, TYROBP |
1165 |
chr4p15 | 3.84e-01 | 2.11 | 0.05 | 1.00e+00 | 1.00e+00 | 1BST1 |
122 |
chr2q35 | 3.94e-01 | 2.04 | 0.05 | 1.00e+00 | 1.00e+00 | 1SLC11A1 |
126 |
chr5q14 | 4.03e-01 | 1.98 | 0.05 | 1.00e+00 | 1.00e+00 | 1VCAN |
130 |
chr2p13 | 4.20e-01 | 1.88 | 0.05 | 1.00e+00 | 1.00e+00 | 1MXD1 |
137 |
chr6q25 | 4.57e-01 | 1.67 | 0.04 | 1.00e+00 | 1.00e+00 | 1SOD2 |
154 |
chr1q25 | 4.70e-01 | 1.60 | 0.04 | 1.00e+00 | 1.00e+00 | 1NCF2 |
160 |
chr17q11 | 4.72e-01 | 1.59 | 0.04 | 1.00e+00 | 1.00e+00 | 1EVI2B |
161 |
Dowload full table
Transcription Factor Targets:
P-value | OR | Lower 95% CI | FDR | FWER | Genes Found | Gene Set Size | |
---|---|---|---|---|---|---|---|
MAPK3_TARGET_GENES | 2.73e-02 | 8.26 | 0.95 | 1.00e+00 | 1.00e+00 | 2NUP214, SOD2 |
65 |
PSMB5_TARGET_GENES | 3.11e-02 | 3.59 | 0.93 | 1.00e+00 | 1.00e+00 | 4S100A6, LGALS1, MCL1, THBS1 |
307 |
UBN1_TARGET_GENES | 1.27e-01 | 1.77 | 0.79 | 1.00e+00 | 1.00e+00 | 10S100A4, CDA, VIM, S100A11, PLAUR, THBS1, NAMPT, AGTRAP, CTSS, S100A10 |
1779 |
ZNF768_TARGET_GENES | 1.45e-01 | 1.78 | 0.72 | 1.00e+00 | 1.00e+00 | 8S100A4, GCA, CSF3R, NCF2, TYROBP, GRN, CTSS, PRAM1 |
1346 |
TCF7_TARGET_GENES | 2.12e-01 | 1.58 | 0.70 | 1.00e+00 | 1.00e+00 | 10GCA, CSF3R, SLC11A1, MCL1, SERPINB2, ASGR1, GRN, RAB31, SOD2, MSRB1 |
1987 |
ADNP_TARGET_GENES | 5.32e-02 | 5.66 | 0.66 | 1.00e+00 | 1.00e+00 | 2CSF3R, CTSS |
94 |
ZNF322_TARGET_GENES | 1.59e-01 | 1.83 | 0.63 | 1.00e+00 | 1.00e+00 | 6VCAN, VIM, GCA, MAFB, APLP2, GRN |
940 |
ICSBP_Q6 | 7.59e-02 | 3.19 | 0.63 | 1.00e+00 | 1.00e+00 | 3THBS1, CTSS, TNFSF13B |
253 |
PRDM4_TARGET_GENES | 9.74e-02 | 2.41 | 0.63 | 1.00e+00 | 1.00e+00 | 4VIM, S100A11, AGTRAP, MSRB1 |
456 |
CEBPGAMMA_Q6 | 8.01e-02 | 3.12 | 0.62 | 1.00e+00 | 1.00e+00 | 3PLBD1, G0S2, SERPINB2 |
259 |
IRF1_Q6 | 8.29e-02 | 3.07 | 0.61 | 1.00e+00 | 1.00e+00 | 3TYROBP, CTSS, TNFSF13B |
263 |
AP1_Q2 | 8.44e-02 | 3.05 | 0.60 | 1.00e+00 | 1.00e+00 | 3VIM, EVI2B, S100A10 |
265 |
CEBPB_02 | 8.51e-02 | 3.03 | 0.60 | 1.00e+00 | 1.00e+00 | 3VCAN, G0S2, ASGR1 |
266 |
CEBPB_01 | 8.58e-02 | 3.02 | 0.60 | 1.00e+00 | 1.00e+00 | 3ASGR1, AP1S2, TNFSF13B |
267 |
ZID_01 | 8.73e-02 | 3.00 | 0.59 | 1.00e+00 | 1.00e+00 | 3VCAN, THBS1, MTMR11 |
269 |
AP1_Q4 | 8.87e-02 | 2.98 | 0.59 | 1.00e+00 | 1.00e+00 | 3VIM, EVI2B, S100A10 |
271 |
CEBP_Q2_01 | 8.95e-02 | 2.97 | 0.59 | 1.00e+00 | 1.00e+00 | 3ASGR1, AP1S2, TNFSF13B |
272 |
ZNF224_TARGET_GENES | 2.76e-01 | 1.65 | 0.57 | 1.00e+00 | 1.00e+00 | 6MCL1, STXBP2, APLP2, MXD1, SOD2, PGD |
1037 |
RGAGGAARY_PU1_Q6 | 1.34e-01 | 2.13 | 0.55 | 1.00e+00 | 1.00e+00 | 4VIM, TYROBP, EVI2B, S100A10 |
515 |
TERF1_TARGET_GENES | 1.07e-01 | 2.73 | 0.54 | 1.00e+00 | 1.00e+00 | 3SLC11A1, EVI2B, CTSS |
295 |
Dowload full table
GO Biological Processes:
P-value | OR | Lower 95% CI | FDR | FWER | Genes Found | Gene Set Size | |
---|---|---|---|---|---|---|---|
GOBP_REGULATION_OF_ANTIGEN_PROCESSING_AND_PRESENTATION_OF_PEPTIDE_OR_POLYSACCHARIDE_ANTIGEN_VIA_MHC_CLASS_II | 1.54e-04 | 172.68 | 14.09 | 6.79e-02 | 1.00e+00 | 2THBS1, PYCARD |
5 |
GOBP_PENTOSE_METABOLIC_PROCESS | 2.61e-05 | 66.24 | 11.62 | 2.17e-02 | 1.95e-01 | 3TALDO1, TKT, PGD |
15 |
GOBP_PENTOSE_PHOSPHATE_SHUNT_NON_OXIDATIVE_BRANCH | 2.31e-04 | 129.66 | 11.45 | 8.09e-02 | 1.00e+00 | 2TALDO1, TKT |
6 |
GOBP_REGULATION_OF_LONG_CHAIN_FATTY_ACID_IMPORT_ACROSS_PLASMA_MEMBRANE | 2.31e-04 | 129.66 | 11.45 | 8.09e-02 | 1.00e+00 | 2THBS1, ACSL1 |
6 |
GOBP_RESPONSE_TO_ISOLATION_STRESS | 2.31e-04 | 129.66 | 11.45 | 8.09e-02 | 1.00e+00 | 2LGALS1, SOD2 |
6 |
GOBP_NADPH_REGENERATION | 4.64e-05 | 53.00 | 9.53 | 3.47e-02 | 3.47e-01 | 3TALDO1, TKT, PGD |
18 |
GOBP_REGULATION_OF_ANTIGEN_PROCESSING_AND_PRESENTATION | 6.44e-05 | 46.77 | 8.51 | 4.38e-02 | 4.82e-01 | 3SLC11A1, THBS1, PYCARD |
20 |
GOBP_GLYCERALDEHYDE_3_PHOSPHATE_METABOLIC_PROCESS | 4.28e-04 | 86.37 | 8.33 | 1.08e-01 | 1.00e+00 | 2TALDO1, TKT |
8 |
GOBP_REGULATION_OF_LONG_CHAIN_FATTY_ACID_IMPORT_INTO_CELL | 4.28e-04 | 86.37 | 8.33 | 1.08e-01 | 1.00e+00 | 2THBS1, ACSL1 |
8 |
GOBP_POSITIVE_REGULATION_OF_ANTIGEN_PROCESSING_AND_PRESENTATION | 5.49e-04 | 74.10 | 7.33 | 1.21e-01 | 1.00e+00 | 2SLC11A1, PYCARD |
9 |
GOBP_POSITIVE_REGULATION_OF_HOMOTYPIC_CELL_CELL_ADHESION | 5.49e-04 | 74.10 | 7.33 | 1.21e-01 | 1.00e+00 | 2LGALS1, PLAUR |
9 |
GOBP_FIBRINOLYSIS | 1.28e-04 | 36.22 | 6.71 | 5.98e-02 | 9.57e-01 | 3SERPINB2, PLAUR, THBS1 |
25 |
GOBP_GLUCOSE_6_PHOSPHATE_METABOLIC_PROCESS | 1.28e-04 | 36.22 | 6.71 | 5.98e-02 | 9.57e-01 | 3TALDO1, TKT, PGD |
25 |
GOBP_LONG_CHAIN_FATTY_ACID_IMPORT_ACROSS_PLASMA_MEMBRANE | 6.85e-04 | 64.86 | 6.55 | 1.36e-01 | 1.00e+00 | 2THBS1, ACSL1 |
10 |
GOBP_MYELOID_LEUKOCYTE_MEDIATED_IMMUNITY | 8.33e-12 | 12.09 | 6.27 | 4.40e-08 | 6.23e-08 | 17CDA, GCA, S100A11, SLC11A1, CD14, PLAUR, STXBP2, TYROBP, HP, BST1, GRN, PYCARD, QPCT, RAB31, MGST1, CTSS, PRAM1 |
550 |
GOBP_REGULATION_OF_DENDRITIC_CELL_ANTIGEN_PROCESSING_AND_PRESENTATION | 8.35e-04 | 57.69 | 5.91 | 1.52e-01 | 1.00e+00 | 2SLC11A1, THBS1 |
11 |
GOBP_REGULATION_OF_NEUTROPHIL_ACTIVATION | 8.35e-04 | 57.69 | 5.91 | 1.52e-01 | 1.00e+00 | 2GRN, PRAM1 |
11 |
GOBP_MYELOID_LEUKOCYTE_ACTIVATION | 1.18e-11 | 10.98 | 5.77 | 4.40e-08 | 8.80e-08 | 18CDA, GCA, S100A11, SLC11A1, CD14, PLAUR, STXBP2, THBS1, TYROBP, HP, BST1, GRN, PYCARD, QPCT, RAB31, MGST1, CTSS, PRAM1 |
659 |
GOBP_BEHAVIORAL_RESPONSE_TO_PAIN | 9.99e-04 | 51.89 | 5.39 | 1.64e-01 | 1.00e+00 | 2TSPO, THBS1 |
12 |
GOBP_CELL_ACTIVATION_INVOLVED_IN_IMMUNE_RESPONSE | 4.94e-11 | 10.00 | 5.26 | 1.23e-07 | 3.69e-07 | 18CDA, GCA, S100A11, LGALS1, SLC11A1, CD14, PLAUR, STXBP2, TYROBP, HP, BST1, GRN, PYCARD, QPCT, RAB31, MGST1, CTSS, PRAM1 |
722 |
Dowload full table
Immunological Gene Sets:
P-value | OR | Lower 95% CI | FDR | FWER | Genes Found | Gene Set Size | |
---|---|---|---|---|---|---|---|
GSE29618_MONOCYTE_VS_PDC_UP | 3.35e-27 | 55.45 | 29.60 | 1.63e-23 | 1.63e-23 | 22PLBD1, TSPO, S100A4, S100A11, NCF2, G0S2, CD14, TKT, TYROBP, MAFB, APLP2, BST1, NAMPT, NUP214, QPCT, RAB31, MTMR11, EVI2B, CTSS, S100A10, SOD2, ACSL1 |
199 |
GSE22886_NAIVE_BCELL_VS_MONOCYTE_DN | 9.71e-24 | 46.27 | 24.41 | 1.58e-20 | 4.73e-20 | 20VCAN, PLBD1, S100A4, VIM, GCA, S100A11, NCF2, LGALS1, SLC11A1, CD14, TALDO1, TKT, STXBP2, TYROBP, MAFB, GRN, QPCT, RAB31, S100A10, PGD |
200 |
GSE22886_NAIVE_CD8_TCELL_VS_MONOCYTE_DN | 9.71e-24 | 46.27 | 24.41 | 1.58e-20 | 4.73e-20 | 20VCAN, PLBD1, GCA, CSF3R, S100A11, NCF2, SLC11A1, CD14, TYROBP, MAFB, APLP2, OAZ1, GRN, AP1S2, QPCT, RAB31, MTMR11, CTSS, ACSL1, PGD |
200 |
GSE29618_BCELL_VS_MONOCYTE_DN | 4.34e-22 | 42.31 | 22.14 | 3.53e-19 | 2.12e-18 | 19S100A6, CDA, VIM, CSF3R, S100A11, CD14, PLAUR, STXBP2, MAFB, OAZ1, BST1, AP1S2, PYCARD, QPCT, RAB31, MTMR11, CTSS, SOD2, ACSL1 |
200 |
GSE29618_MONOCYTE_VS_MDC_UP | 4.34e-22 | 42.31 | 22.14 | 3.53e-19 | 2.12e-18 | 19VCAN, S100A4, CDA, CSF3R, NCF2, SLC11A1, G0S2, CD14, TKT, TYROBP, MAFB, APLP2, BST1, NAMPT, QPCT, CTSS, SOD2, ACSL1, PGD |
200 |
GSE29618_MONOCYTE_VS_MDC_DAY7_FLU_VACCINE_UP | 4.34e-22 | 42.31 | 22.14 | 3.53e-19 | 2.12e-18 | 19VCAN, PLBD1, CDA, CSF3R, NCF2, SLC11A1, G0S2, CD14, TKT, APLP2, ASGR1, BST1, NAMPT, QPCT, CTSS, SOD2, ACSL1, MSRB1, PGD |
200 |
GSE22886_NAIVE_TCELL_VS_MONOCYTE_DN | 1.78e-20 | 38.62 | 20.01 | 1.08e-17 | 8.66e-17 | 18VCAN, PLBD1, GCA, CSF3R, S100A11, NCF2, SLC11A1, CD14, TALDO1, APLP2, OAZ1, GRN, AP1S2, QPCT, MTMR11, ACSL1, MSRB1, PGD |
200 |
GSE22886_NAIVE_BCELL_VS_NEUTROPHIL_DN | 1.78e-20 | 38.62 | 20.01 | 1.08e-17 | 8.66e-17 | 18S100A6, PLBD1, GCA, CSF3R, S100A11, NCF2, MCL1, TALDO1, TYROBP, BST1, NAMPT, NUP214, QPCT, RAB31, SOD2, ACSL1, MSRB1, CD302 |
200 |
GSE6269_FLU_VS_STAPH_AUREUS_INF_PBMC_DN | 1.26e-18 | 38.93 | 19.61 | 5.60e-16 | 6.16e-15 | 16VCAN, PLBD1, VIM, CSF3R, SLC11A1, TKT, PLAUR, APLP2, MXD1, BST1, GRN, QPCT, S100A10, SOD2, ACSL1, PGD |
167 |
GSE10325_LUPUS_BCELL_VS_LUPUS_MYELOID_DN | 6.65e-19 | 35.18 | 18.04 | 3.24e-16 | 3.24e-15 | 17VCAN, S100A6, TSPO, S100A4, CSF3R, S100A11, NCF2, SLC11A1, TALDO1, PLAUR, TYROBP, MAFB, APLP2, ASGR1, QPCT, RAB31, MSRB1 |
200 |
GSE29618_BCELL_VS_MONOCYTE_DAY7_FLU_VACCINE_DN | 6.65e-19 | 35.18 | 18.04 | 3.24e-16 | 3.24e-15 | 17VIM, CSF3R, MCL1, CD14, TALDO1, TKT, PLAUR, TYROBP, MAFB, BST1, NAMPT, GRN, QPCT, ACSL1, MSRB1, PGD, CD302 |
200 |
GSE6269_HEALTHY_VS_STAPH_PNEUMO_INF_PBMC_DN | 6.23e-17 | 34.54 | 17.16 | 2.34e-14 | 3.04e-13 | 15VCAN, PLBD1, TSPO, CDA, CSF3R, CD14, PLAUR, APLP2, BST1, GRN, QPCT, CTSS, ACSL1, PGD, CD302 |
170 |
GSE22886_NAIVE_CD4_TCELL_VS_MONOCYTE_DN | 2.27e-17 | 31.95 | 16.17 | 9.20e-15 | 1.10e-13 | 16VCAN, PLBD1, GCA, CSF3R, S100A11, NCF2, SLC11A1, CD14, TALDO1, OAZ1, GRN, AP1S2, QPCT, RAB31, CTSS, PGD |
200 |
GSE10325_LUPUS_CD4_TCELL_VS_LUPUS_MYELOID_DN | 7.03e-16 | 28.93 | 14.43 | 2.28e-13 | 3.43e-12 | 15VCAN, GCA, CSF3R, NCF2, SLC11A1, CD14, PLAUR, TYROBP, MAFB, APLP2, GRN, AP1S2, QPCT, RAB31, ACSL1 |
200 |
GSE29618_MONOCYTE_VS_PDC_DAY7_FLU_VACCINE_UP | 7.03e-16 | 28.93 | 14.43 | 2.28e-13 | 3.43e-12 | 15PLBD1, CSF3R, NCF2, G0S2, CD14, TKT, MAFB, APLP2, NAMPT, NUP214, QPCT, MTMR11, CTSS, SOD2, ACSL1 |
200 |
GSE10325_BCELL_VS_MYELOID_DN | 5.03e-13 | 23.47 | 11.26 | 1.53e-10 | 2.45e-09 | 13PLBD1, S100A4, CDA, NCF2, SLC11A1, TKT, PLAUR, MAFB, ASGR1, QPCT, MTMR11, MSRB1, CD302 |
200 |
GSE42088_2H_VS_24H_LEISHMANIA_INF_DC_UP | 1.15e-11 | 20.99 | 9.83 | 3.30e-09 | 5.60e-08 | 12PLBD1, TSPO, S100A4, CDA, CSF3R, CD14, TKT, BST1, PYCARD, EVI2B, CTSS, CD302 |
200 |
GSE34156_UNTREATED_VS_6H_TLR1_TLR2_LIGAND_TREATED_MONOCYTE_UP | 2.01e-10 | 18.95 | 8.62 | 5.43e-08 | 9.78e-07 | 11VCAN, GCA, NCF2, LGALS1, SLC11A1, CD14, TALDO1, MAFB, GRN, RAB31, MGST1 |
197 |
GSE29618_BCELL_VS_MDC_DN | 2.35e-10 | 18.65 | 8.48 | 5.46e-08 | 1.15e-06 | 11S100A6, PLBD1, S100A4, VIM, CSF3R, LGALS1, GRN, AP1S2, PYCARD, RAB31, S100A10 |
200 |
GSE29618_BCELL_VS_MDC_DAY7_FLU_VACCINE_DN | 2.35e-10 | 18.65 | 8.48 | 5.46e-08 | 1.15e-06 | 11PLBD1, S100A4, VIM, LGALS1, MCL1, TYROBP, GRN, AP1S2, RAB31, S100A10, CD302 |
200 |
Top Ranked Transcription Factors for this Gene Expression Program:
Gene Symbol | TF Rank | DNA Binding Domain | Motif Status | IUPAC PWM | GTEx | DepMap | Decartes |
---|---|---|---|---|---|---|---|
MAFB | 25 | Yes | Known motif | Monomer or homomultimer | 100 perc ID - in vitro | None | PDB:2WTY is a homodimer crystallised with TAATTGCTGACTCAGCAAAT sequence |
MXD1 | 27 | Yes | Inferred motif | Obligate heteromer | In vivo/Misc source | None | All three MXD proteins have very similar sequences and should behave accordingly, making heterodimers with at least MAX (PMID:8521822). |
PYCARD | 36 | No | Unlikely to be sequence specific TF | Not a DNA binding protein | No motif | None | None |
PRAM1 | 43 | No | Unlikely to be sequence specific TF | Not a DNA binding protein | No motif | None | None |
IRAK3 | 53 | No | Unlikely to be sequence specific TF | Not a DNA binding protein | No motif | None | None |
TLR2 | 59 | No | Unlikely to be sequence specific TF | Not a DNA binding protein | No motif | None | Upstream of NFKB and not involved in DNA-binding |
NFE2 | 78 | Yes | Known motif | Monomer or homomultimer | High-throughput in vitro | None | None |
SPI1 | 93 | Yes | Known motif | Monomer or homomultimer | High-throughput in vitro | None | None |
RXRA | 102 | Yes | Known motif | Monomer or homomultimer | High-throughput in vitro | None | None |
TLR4 | 103 | No | Unlikely to be sequence specific TF | Not a DNA binding protein | No motif | None | None |
NLRP3 | 109 | No | Unlikely to be sequence specific TF | Not a DNA binding protein | No motif | None | Operates upstream in the signaling cascade |
NLRP12 | 110 | No | Unlikely to be sequence specific TF | Not a DNA binding protein | No motif | None | None |
PLSCR1 | 117 | Yes | Likely to be sequence specific TF | Monomer or homomultimer | No motif | None | PLSCR1 has been demonstrated to bind a GTAACCATGTGGA sequence in the IP3R1 promoter (PMID:16091359), mediated by a specific portion of the protein. |
ETS2 | 118 | Yes | Known motif | Monomer or homomultimer | High-throughput in vitro | None | None |
CD36 | 120 | No | Unlikely to be sequence specific TF | Not a DNA binding protein | No motif | None | None |
POLE4 | 123 | No | Unlikely to be sequence specific TF | Low specificity DNA-binding protein | No motif | None | Histone-like subunit of DNA polymerase epsilon |
IL1RAP | 135 | No | Unlikely to be sequence specific TF | Not a DNA binding protein | No motif | None | None |
IL1B | 152 | No | Unlikely to be sequence specific TF | Not a DNA binding protein | No motif | None | None |
UBR4 | 157 | No | Unlikely to be sequence specific TF | Not a DNA binding protein | No motif | None | None |
HMGB2 | 158 | No | Unlikely to be sequence specific TF | Low specificity DNA-binding protein | No motif | None | In the alignment, it clusters with other HMG proteins that have not yielded motifs. Evidence exists showing HMGB½ are non-sequence-specific binding proteins (PMID: 11497996). HMGB2 is well-known to facilitate DNA-bending and interact with sequence-specific TFs and transcriptional co-factors. |
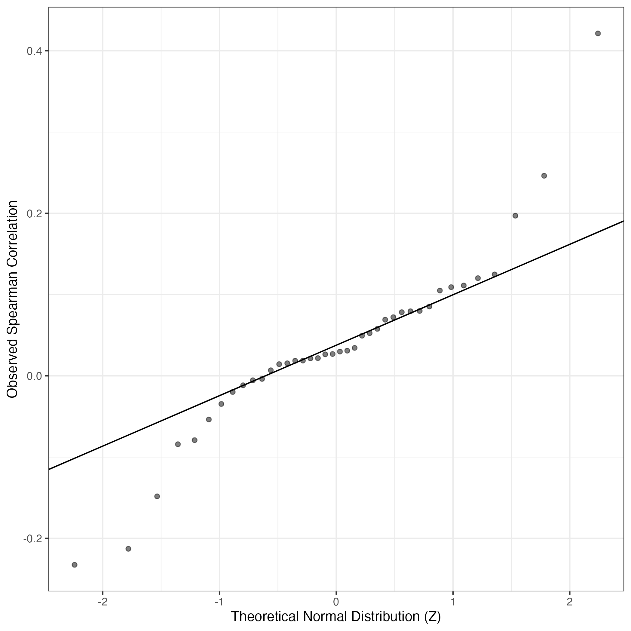
QQ Plot showing correlations with other GEPs in this dataset, calculated by Spearman correlation:
Interactive QQ-plot of gene loadings:
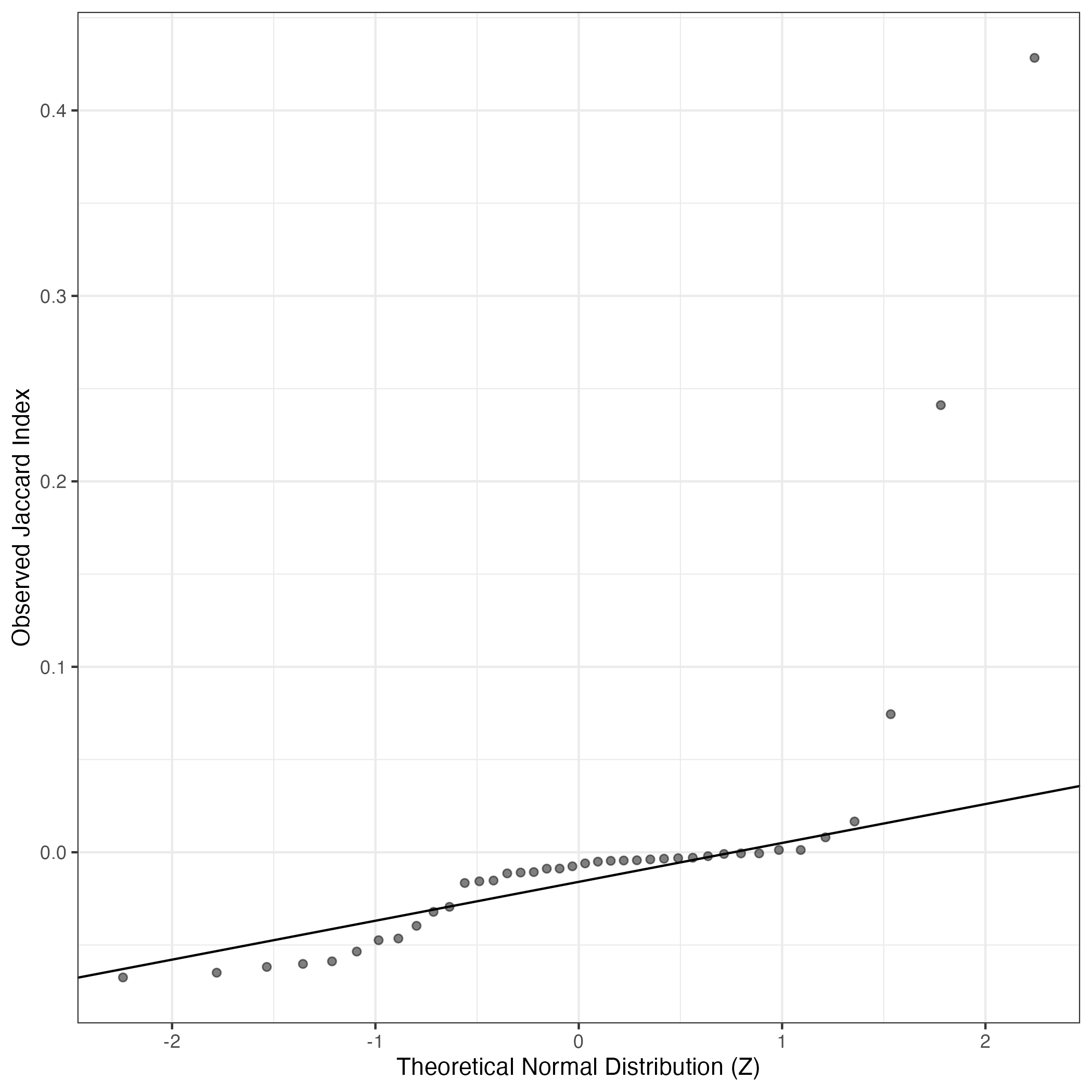
A similar QQ-plot as above, but only for instances where the H value is e.g. > 25, i.e. we are confident that the expression program is active above noise. Agreemenet between these binary vectors is tested using the Jaccard Index, with the P-values calculated by an exact test:
Interactive QQ-plot:
Singler cell type annotations for the top 50 cells on this program.
Cell ID | Singler label | Singler Delta | Activity Score | Top Singler Raw Scores |
---|---|---|---|---|
STDY7685341_CTAGAGTCATCCGTGG | Monocyte:CD14+ | 0.18 | 435.77 | Raw ScoresMonocyte:CD16-: 0.44, Monocyte:CD14+: 0.44, Pre-B_cell_CD34-: 0.43, Monocyte:CD16+: 0.43, Monocyte: 0.42, HSC_-G-CSF: 0.41, Monocyte:leukotriene_D4: 0.41, Neutrophil: 0.4, Neutrophil:commensal_E._coli_MG1655: 0.4, Monocyte:anti-FcgRIIB: 0.4 |
STDY7685342_GCGCGATCAAACTGTC | Monocyte:CD16- | 0.18 | 435.52 | Raw ScoresMonocyte:CD16-: 0.4, Monocyte:CD14+: 0.4, HSC_-G-CSF: 0.39, Pre-B_cell_CD34-: 0.38, Myelocyte: 0.38, Monocyte: 0.38, Neutrophil: 0.38, Monocyte:CD16+: 0.38, Neutrophil:commensal_E._coli_MG1655: 0.38, Neutrophil:uropathogenic_E._coli_UTI89: 0.38 |
STDY7685342_GGATTACAGTGGGCTA | Monocyte:CD14+ | 0.19 | 408.45 | Raw ScoresMonocyte:CD14+: 0.41, Monocyte:CD16-: 0.41, Pre-B_cell_CD34-: 0.4, Monocyte: 0.39, Monocyte:leukotriene_D4: 0.39, Monocyte:CD16+: 0.39, HSC_-G-CSF: 0.39, Neutrophil: 0.38, Neutrophil:commensal_E._coli_MG1655: 0.38, Monocyte:anti-FcgRIIB: 0.38 |
STDY7685342_TGCGTGGAGTGCTGCC | Monocyte:CD14+ | 0.19 | 406.40 | Raw ScoresMonocyte:CD16-: 0.43, Monocyte:CD14+: 0.42, Monocyte:CD16+: 0.41, Monocyte: 0.4, HSC_-G-CSF: 0.4, Monocyte:leukotriene_D4: 0.4, Pre-B_cell_CD34-: 0.4, Neutrophil:commensal_E._coli_MG1655: 0.39, Monocyte:anti-FcgRIIB: 0.39, Neutrophil: 0.39 |
STDY7685342_AGCTCCTGTTACTGAC | Pre-B_cell_CD34- | 0.16 | 329.59 | Raw ScoresPre-B_cell_CD34-: 0.37, HSC_-G-CSF: 0.36, Monocyte:CD16-: 0.36, Monocyte:CD14+: 0.36, Neutrophil: 0.36, Neutrophil:uropathogenic_E._coli_UTI89: 0.36, Neutrophil:commensal_E._coli_MG1655: 0.36, Monocyte:CD16+: 0.35, Monocyte:leukotriene_D4: 0.35, Monocyte: 0.35 |
STDY7685341_TGCTGCTTCCGTCATC | Monocyte:CD16- | 0.20 | 307.16 | Raw ScoresMonocyte:CD16-: 0.46, Monocyte:CD14+: 0.45, Monocyte:CD16+: 0.44, Monocyte: 0.43, Pre-B_cell_CD34-: 0.43, Monocyte:leukotriene_D4: 0.43, Neutrophil: 0.42, HSC_-G-CSF: 0.42, Monocyte:anti-FcgRIIB: 0.42, Neutrophil:commensal_E._coli_MG1655: 0.42 |
STDY7685342_GTGTGCGCAGCTTCGG | Monocyte:CD16- | 0.20 | 305.05 | Raw ScoresMonocyte:CD16-: 0.45, Monocyte:CD14+: 0.44, Monocyte:CD16+: 0.43, Monocyte: 0.42, Monocyte:leukotriene_D4: 0.42, Pre-B_cell_CD34-: 0.42, Monocyte:anti-FcgRIIB: 0.41, Monocyte:S._typhimurium_flagellin: 0.41, Macrophage:monocyte-derived:M-CSF/IFNg: 0.4, Macrophage:monocyte-derived:M-CSF: 0.4 |
STDY7685341_GAGCAGACAGGTGGAT | Monocyte:CD16- | 0.16 | 303.63 | Raw ScoresMonocyte:CD16-: 0.43, Monocyte:CD14+: 0.42, Pre-B_cell_CD34-: 0.41, Monocyte:CD16+: 0.41, Monocyte:leukotriene_D4: 0.4, Monocyte: 0.4, Monocyte:anti-FcgRIIB: 0.39, Macrophage:monocyte-derived:M-CSF/IFNg: 0.39, HSC_-G-CSF: 0.39, Neutrophil:commensal_E._coli_MG1655: 0.38 |
STDY7685341_GCGCAACCAACACGCC | Monocyte:CD16- | 0.17 | 302.97 | Raw ScoresMonocyte:CD16-: 0.41, Monocyte:CD14+: 0.4, Pre-B_cell_CD34-: 0.39, Monocyte:CD16+: 0.39, Neutrophil: 0.38, Neutrophil:commensal_E.coli_MG1655: 0.38, HSC-G-CSF: 0.38, Monocyte: 0.38, Neutrophil:uropathogenic_E._coli_UTI89: 0.38, Monocyte:leukotriene_D4: 0.38 |
STDY7685341_GTCGTAACATATGCTG | Monocyte:CD16- | 0.20 | 297.33 | Raw ScoresMonocyte:CD16-: 0.4, Monocyte:CD14+: 0.39, Monocyte: 0.38, Monocyte:CD16+: 0.37, Pre-B_cell_CD34-: 0.37, Monocyte:leukotriene_D4: 0.37, Neutrophil: 0.37, HSC_-G-CSF: 0.37, Neutrophil:commensal_E._coli_MG1655: 0.37, Neutrophil:uropathogenic_E._coli_UTI89: 0.36 |
STDY7685341_CAGCCGAAGGCGTACA | Monocyte:CD16- | 0.17 | 296.69 | Raw ScoresMonocyte:CD16-: 0.38, Monocyte:CD14+: 0.37, Pre-B_cell_CD34-: 0.36, Monocyte:CD16+: 0.36, Monocyte:leukotriene_D4: 0.35, Monocyte: 0.35, Neutrophil:commensal_E.coli_MG1655: 0.35, Neutrophil: 0.35, HSC-G-CSF: 0.34, Neutrophil:uropathogenic_E._coli_UTI89: 0.34 |
STDY7685341_TGCCAAACATCTCCCA | Monocyte:CD16- | 0.17 | 294.35 | Raw ScoresMonocyte:CD16-: 0.42, Monocyte:CD14+: 0.42, Pre-B_cell_CD34-: 0.41, Monocyte:leukotriene_D4: 0.41, Monocyte:CD16+: 0.4, Monocyte: 0.4, Monocyte:anti-FcgRIIB: 0.4, HSC_-G-CSF: 0.39, Neutrophil:commensal_E._coli_MG1655: 0.39, Neutrophil: 0.39 |
STDY7685341_CCTAGCTTCAAGATCC | Monocyte:CD16- | 0.18 | 291.64 | Raw ScoresMonocyte:CD16-: 0.43, Monocyte:CD14+: 0.42, Monocyte:CD16+: 0.41, Pre-B_cell_CD34-: 0.41, Neutrophil:commensal_E._coli_MG1655: 0.41, Monocyte: 0.4, Monocyte:leukotriene_D4: 0.4, Neutrophil:uropathogenic_E.coli_UTI89: 0.4, Neutrophil: 0.4, HSC-G-CSF: 0.4 |
STDY7685341_CATTATCAGAGTAAGG | Monocyte:CD16- | 0.15 | 286.26 | Raw ScoresMonocyte:CD16-: 0.44, Pre-B_cell_CD34-: 0.44, Monocyte:CD14+: 0.43, Monocyte:leukotriene_D4: 0.43, Monocyte:CD16+: 0.42, Monocyte: 0.42, GMP: 0.41, Myelocyte: 0.41, Pro-Myelocyte: 0.41, Macrophage:monocyte-derived:M-CSF: 0.41 |
STDY7685341_CGTGAGCCACCAGGTC | Monocyte:CD16- | 0.14 | 280.28 | Raw ScoresPre-B_cell_CD34-: 0.42, Monocyte:CD16-: 0.42, Monocyte:CD14+: 0.41, Myelocyte: 0.41, Monocyte:CD16+: 0.4, HSC_-G-CSF: 0.4, Monocyte:leukotriene_D4: 0.4, Monocyte: 0.39, BM: 0.39, GMP: 0.38 |
STDY7685342_ATTATCCCAGCAGTTT | Monocyte:CD16- | 0.19 | 278.28 | Raw ScoresMonocyte:CD16-: 0.43, Monocyte:CD14+: 0.42, Pre-B_cell_CD34-: 0.41, Monocyte:leukotriene_D4: 0.41, Monocyte:CD16+: 0.41, Monocyte: 0.41, Monocyte:anti-FcgRIIB: 0.4, HSC_-G-CSF: 0.39, Neutrophil:commensal_E._coli_MG1655: 0.39, Neutrophil: 0.39 |
STDY7685341_AATCCAGCATACCATG | Monocyte:CD14+ | 0.16 | 273.97 | Raw ScoresMonocyte:CD16-: 0.41, Monocyte:CD14+: 0.41, Pre-B_cell_CD34-: 0.4, Monocyte:CD16+: 0.39, Monocyte: 0.39, HSC_-G-CSF: 0.38, Monocyte:leukotriene_D4: 0.38, Neutrophil: 0.37, Neutrophil:commensal_E._coli_MG1655: 0.37, Monocyte:anti-FcgRIIB: 0.37 |
STDY7685341_CACAGTATCCGCTGTT | Monocyte:CD14+ | 0.15 | 270.99 | Raw ScoresMonocyte:CD16-: 0.37, Monocyte:CD14+: 0.36, Pre-B_cell_CD34-: 0.36, Monocyte:CD16+: 0.35, Monocyte: 0.35, HSC_-G-CSF: 0.35, Neutrophil: 0.34, Myelocyte: 0.34, Neutrophil:commensal_E._coli_MG1655: 0.34, Neutrophil:uropathogenic_E._coli_UTI89: 0.34 |
STDY7685341_CGTAGCGGTGTTGGGA | Monocyte:CD16- | 0.16 | 268.63 | Raw ScoresMonocyte:CD16-: 0.35, Monocyte:CD14+: 0.35, Neutrophil:commensal_E._coli_MG1655: 0.34, Monocyte:CD16+: 0.34, Pre-B_cell_CD34-: 0.34, Monocyte: 0.34, Neutrophil: 0.34, Monocyte:leukotriene_D4: 0.33, Monocyte:S.typhimurium_flagellin: 0.33, HSC-G-CSF: 0.33 |
STDY7685342_CGTGAGCTCCAAGCCG | Monocyte:CD16- | 0.20 | 266.61 | Raw ScoresMonocyte:CD16-: 0.42, Monocyte:CD14+: 0.42, Pre-B_cell_CD34-: 0.41, Monocyte:CD16+: 0.4, Monocyte:leukotriene_D4: 0.4, Monocyte: 0.4, Neutrophil: 0.39, HSC_-G-CSF: 0.39, Neutrophil:commensal_E._coli_MG1655: 0.39, Monocyte:anti-FcgRIIB: 0.39 |
STDY7685341_ACGGGCTAGCTGAAAT | Monocyte:CD14+ | 0.17 | 262.15 | Raw ScoresMonocyte:CD16-: 0.38, Monocyte:CD14+: 0.38, Monocyte:CD16+: 0.37, Neutrophil: 0.37, Pre-B_cell_CD34-: 0.37, HSC_-G-CSF: 0.37, Neutrophil:commensal_E._coli_MG1655: 0.37, Monocyte: 0.37, Neutrophil:uropathogenic_E._coli_UTI89: 0.36, Monocyte:S._typhimurium_flagellin: 0.36 |
STDY7685341_TCTTTCCTCGAATGCT | Monocyte:CD16- | 0.17 | 257.57 | Raw ScoresMonocyte:CD16-: 0.39, Monocyte:CD14+: 0.38, Monocyte:CD16+: 0.37, Pre-B_cell_CD34-: 0.36, Monocyte: 0.36, Neutrophil:commensal_E.coli_MG1655: 0.36, Monocyte:leukotriene_D4: 0.36, Neutrophil: 0.36, HSC-G-CSF: 0.36, Neutrophil:uropathogenic_E._coli_UTI89: 0.36 |
STDY7685342_CTACACCTCCTACAGA | Monocyte:CD16- | 0.19 | 254.81 | Raw ScoresMonocyte:CD16-: 0.42, Monocyte:CD14+: 0.42, Monocyte:CD16+: 0.4, Pre-B_cell_CD34-: 0.4, Neutrophil:commensal_E._coli_MG1655: 0.4, Monocyte:leukotriene_D4: 0.4, Neutrophil: 0.4, Monocyte: 0.4, Neutrophil:uropathogenic_E._coli_UTI89: 0.39, Monocyte:anti-FcgRIIB: 0.39 |
STDY7685341_GCATGATAGATATGCA | Monocyte:CD14+ | 0.15 | 250.66 | Raw ScoresMonocyte:CD16-: 0.36, Monocyte:CD14+: 0.35, HSC_-G-CSF: 0.35, Monocyte:CD16+: 0.35, Monocyte: 0.34, Neutrophil:commensal_E._coli_MG1655: 0.34, Pre-B_cell_CD34-: 0.34, Neutrophil: 0.34, Monocyte:leukotriene_D4: 0.34, Neutrophil:uropathogenic_E._coli_UTI89: 0.34 |
STDY7685341_GGTGCGTGTACTTCTT | Monocyte:CD14+ | 0.20 | 248.96 | Raw ScoresMonocyte:CD16-: 0.44, Monocyte:CD14+: 0.43, Monocyte:leukotriene_D4: 0.42, Monocyte:CD16+: 0.42, Monocyte: 0.42, Monocyte:S._typhimurium_flagellin: 0.41, Monocyte:anti-FcgRIIB: 0.41, Neutrophil:commensal_E._coli_MG1655: 0.41, Pre-B_cell_CD34-: 0.41, Macrophage:monocyte-derived:M-CSF/IFNg/Pam3Cys: 0.41 |
STDY7685342_TGACAACTCTGATACG | Neutrophil:commensal_E._coli_MG1655 | 0.17 | 247.39 | Raw ScoresMonocyte:CD16-: 0.37, Monocyte:CD14+: 0.36, Neutrophil:commensal_E._coli_MG1655: 0.36, Neutrophil: 0.36, Neutrophil:uropathogenic_E.coli_UTI89: 0.35, Pre-B_cell_CD34-: 0.35, Neutrophil:inflam: 0.35, HSC-G-CSF: 0.35, Monocyte: 0.34, Monocyte:CD16+: 0.34 |
STDY7685340_GGTGCGTCAAGTTCTG | Neutrophil:commensal_E._coli_MG1655 | 0.13 | 246.18 | Raw ScoresMonocyte:CD16-: 0.35, Monocyte:S._typhimurium_flagellin: 0.35, Neutrophil:commensal_E._coli_MG1655: 0.35, Monocyte:CD14+: 0.34, Neutrophil:uropathogenic_E._coli_UTI89: 0.34, Neutrophil: 0.34, Monocyte: 0.33, Macrophage:monocyte-derived:M-CSF/Pam3Cys: 0.33, Monocyte:anti-FcgRIIB: 0.33, Monocyte:CD16+: 0.33 |
STDY7685341_CAGAGAGGTGACGCCT | Monocyte:CD16- | 0.20 | 244.40 | Raw ScoresMonocyte:CD16-: 0.41, Monocyte:CD14+: 0.4, Pre-B_cell_CD34-: 0.39, Monocyte:CD16+: 0.39, Monocyte: 0.38, Monocyte:leukotriene_D4: 0.38, HSC_-G-CSF: 0.37, Neutrophil:commensal_E._coli_MG1655: 0.37, Neutrophil: 0.37, Monocyte:anti-FcgRIIB: 0.37 |
STDY7685342_GACTAACCAGCGAACA | Monocyte:CD16- | 0.19 | 237.16 | Raw ScoresMonocyte:CD16-: 0.42, Monocyte:CD14+: 0.41, Monocyte:CD16+: 0.4, Pre-B_cell_CD34-: 0.39, Monocyte: 0.39, Monocyte:leukotriene_D4: 0.39, HSC_-G-CSF: 0.38, Neutrophil:commensal_E._coli_MG1655: 0.38, Monocyte:anti-FcgRIIB: 0.38, Neutrophil: 0.38 |
STDY7685342_GCAATCATCGTACGGC | Monocyte:CD16- | 0.17 | 236.38 | Raw ScoresMonocyte:CD16-: 0.4, Monocyte:CD14+: 0.4, Monocyte:CD16+: 0.39, Monocyte: 0.39, Pre-B_cell_CD34-: 0.39, HSC_-G-CSF: 0.38, Neutrophil:commensal_E._coli_MG1655: 0.38, Neutrophil: 0.38, Monocyte:leukotriene_D4: 0.37, Neutrophil:uropathogenic_E._coli_UTI89: 0.37 |
STDY7685342_ACAGCTATCACTCCTG | Neutrophil:commensal_E._coli_MG1655 | 0.18 | 235.86 | Raw ScoresMonocyte:CD16-: 0.39, Neutrophil:commensal_E._coli_MG1655: 0.39, Monocyte:CD14+: 0.39, Neutrophil: 0.39, Neutrophil:uropathogenic_E.coli_UTI89: 0.38, HSC-G-CSF: 0.38, Monocyte:CD16+: 0.38, Monocyte: 0.38, Pre-B_cell_CD34-: 0.38, Monocyte:leukotriene_D4: 0.38 |
STDY7685342_GTTCTCGGTTAGGGTG | Monocyte:CD16- | 0.19 | 235.77 | Raw ScoresMonocyte:CD16-: 0.39, Monocyte:CD14+: 0.39, Monocyte: 0.38, Pre-B_cell_CD34-: 0.37, HSC_-G-CSF: 0.37, Monocyte:CD16+: 0.37, Monocyte:leukotriene_D4: 0.37, Neutrophil:commensal_E._coli_MG1655: 0.36, Neutrophil: 0.36, Neutrophil:uropathogenic_E._coli_UTI89: 0.36 |
STDY7685342_CGTCTACCATTCCTCG | Monocyte:CD16- | 0.20 | 234.21 | Raw ScoresMonocyte:CD16-: 0.45, Monocyte:CD14+: 0.44, Monocyte:CD16+: 0.43, Monocyte: 0.42, Monocyte:leukotriene_D4: 0.42, Pre-B_cell_CD34-: 0.42, HSC_-G-CSF: 0.41, Neutrophil:commensal_E._coli_MG1655: 0.41, Monocyte:anti-FcgRIIB: 0.41, Neutrophil: 0.41 |
STDY7685342_TCGTACCCAATGACCT | Monocyte:CD16- | 0.17 | 233.34 | Raw ScoresMonocyte:CD16-: 0.38, Monocyte:CD14+: 0.38, Pre-B_cell_CD34-: 0.37, Monocyte: 0.36, Monocyte:CD16+: 0.36, HSC_-G-CSF: 0.36, Neutrophil:commensal_E._coli_MG1655: 0.36, Monocyte:leukotriene_D4: 0.35, Neutrophil: 0.35, Monocyte:anti-FcgRIIB: 0.35 |
STDY7685341_CTCATTAAGATATACG | Monocyte:CD16- | 0.18 | 228.14 | Raw ScoresMonocyte:CD16-: 0.43, Monocyte:CD14+: 0.42, Pre-B_cell_CD34-: 0.41, Monocyte:CD16+: 0.41, Monocyte: 0.41, Monocyte:leukotriene_D4: 0.41, Monocyte:anti-FcgRIIB: 0.4, HSC_-G-CSF: 0.39, Neutrophil:commensal_E._coli_MG1655: 0.39, Neutrophil: 0.39 |
STDY7685341_GTCACAAAGCTCTCGG | Monocyte:CD14+ | 0.17 | 223.44 | Raw ScoresMonocyte:CD16-: 0.4, Monocyte:CD14+: 0.39, Pre-B_cell_CD34-: 0.38, Monocyte:CD16+: 0.38, Monocyte:leukotriene_D4: 0.38, Monocyte: 0.38, Monocyte:anti-FcgRIIB: 0.38, HSC_-G-CSF: 0.37, Neutrophil:commensal_E._coli_MG1655: 0.37, Macrophage:monocyte-derived:M-CSF/IFNg: 0.36 |
STDY7685340_CCTTACGTCCGTCAAA | Neutrophil:commensal_E._coli_MG1655 | 0.16 | 215.06 | Raw ScoresMonocyte:CD16-: 0.35, Neutrophil:commensal_E._coli_MG1655: 0.35, Neutrophil: 0.34, Monocyte:CD14+: 0.34, Neutrophil:uropathogenic_E._coli_UTI89: 0.34, Monocyte:S.typhimurium_flagellin: 0.34, HSC-G-CSF: 0.33, Monocyte: 0.33, Pre-B_cell_CD34-: 0.33, Monocyte:CD16+: 0.33 |
STDY7685341_GGGTCTGTCATGTCTT | Monocyte:CD16- | 0.18 | 214.64 | Raw ScoresMonocyte:CD16-: 0.42, Monocyte:CD14+: 0.42, Monocyte:CD16+: 0.41, Monocyte:leukotriene_D4: 0.4, Monocyte: 0.4, Pre-B_cell_CD34-: 0.4, Neutrophil:commensal_E.coli_MG1655: 0.39, Monocyte:anti-FcgRIIB: 0.39, Neutrophil: 0.39, HSC-G-CSF: 0.39 |
STDY7685341_TTTCCTCGTATAATGG | Monocyte:CD16- | 0.17 | 214.16 | Raw ScoresMonocyte:CD16-: 0.39, Monocyte:CD14+: 0.38, Pre-B_cell_CD34-: 0.37, Monocyte:CD16+: 0.37, Monocyte: 0.36, Monocyte:leukotriene_D4: 0.36, HSC_-G-CSF: 0.35, Monocyte:anti-FcgRIIB: 0.35, Neutrophil: 0.35, Neutrophil:commensal_E._coli_MG1655: 0.35 |
STDY7685342_GCGCGATGTGACGCCT | Monocyte:CD16- | 0.18 | 213.80 | Raw ScoresMonocyte:CD16-: 0.38, Monocyte:CD14+: 0.38, Pre-B_cell_CD34-: 0.37, Monocyte:CD16+: 0.37, Monocyte:leukotriene_D4: 0.36, Monocyte: 0.36, HSC_-G-CSF: 0.36, Neutrophil:commensal_E._coli_MG1655: 0.36, Neutrophil: 0.35, Monocyte:anti-FcgRIIB: 0.35 |
STDY7685342_GATGCTAAGTGAATTG | Monocyte:CD16- | 0.15 | 213.12 | Raw ScoresMonocyte:CD16-: 0.37, Monocyte:CD14+: 0.37, Monocyte:CD16+: 0.36, Pre-B_cell_CD34-: 0.36, Monocyte: 0.35, Monocyte:leukotriene_D4: 0.35, HSC_-G-CSF: 0.34, Monocyte:anti-FcgRIIB: 0.34, Myelocyte: 0.34, Macrophage:monocyte-derived:M-CSF/IFNg: 0.33 |
STDY8004894_ATAAGAGCAATGCCAT | Monocyte:CD16- | 0.18 | 212.45 | Raw ScoresMonocyte:CD16-: 0.41, Monocyte:CD14+: 0.41, Monocyte:leukotriene_D4: 0.4, Neutrophil:commensal_E._coli_MG1655: 0.4, Monocyte: 0.4, Monocyte:S._typhimurium_flagellin: 0.4, Monocyte:anti-FcgRIIB: 0.4, Macrophage:monocyte-derived:M-CSF/IFNg/Pam3Cys: 0.4, Monocyte:CD16+: 0.39, Pre-B_cell_CD34-: 0.39 |
STDY7685342_CTGAAACCAGCCTATA | Monocyte:CD16- | 0.17 | 210.27 | Raw ScoresMonocyte:CD16-: 0.38, Monocyte:CD14+: 0.38, Neutrophil:commensal_E._coli_MG1655: 0.37, Monocyte:leukotriene_D4: 0.37, Neutrophil: 0.37, Neutrophil:uropathogenic_E.coli_UTI89: 0.37, Monocyte: 0.37, Pre-B_cell_CD34-: 0.36, HSC-G-CSF: 0.36, Monocyte:S._typhimurium_flagellin: 0.36 |
STDY7685342_AACACGTCACTCGACG | Monocyte:CD14+ | 0.15 | 208.69 | Raw ScoresMonocyte:CD16-: 0.33, Monocyte:CD14+: 0.33, Pre-B_cell_CD34-: 0.32, Monocyte: 0.32, Monocyte:CD16+: 0.32, HSC_-G-CSF: 0.31, Neutrophil: 0.31, Neutrophil:commensal_E._coli_MG1655: 0.31, Neutrophil:uropathogenic_E._coli_UTI89: 0.31, Monocyte:leukotriene_D4: 0.31 |
STDY7685342_TGCGGGTCAACGCACC | Monocyte:CD16- | 0.15 | 206.94 | Raw ScoresMonocyte:CD16-: 0.34, Monocyte:CD14+: 0.34, Pre-B_cell_CD34-: 0.33, HSC_-G-CSF: 0.33, Monocyte: 0.33, Monocyte:CD16+: 0.32, Monocyte:leukotriene_D4: 0.32, Neutrophil: 0.32, Neutrophil:commensal_E._coli_MG1655: 0.32, Neutrophil:uropathogenic_E._coli_UTI89: 0.31 |
STDY7685341_GGGATGAGTCGACTGC | Monocyte:CD16- | 0.20 | 205.17 | Raw ScoresMonocyte:CD16-: 0.43, Monocyte:CD14+: 0.43, Monocyte:CD16+: 0.41, Monocyte: 0.41, Pre-B_cell_CD34-: 0.4, Monocyte:leukotriene_D4: 0.4, HSC_-G-CSF: 0.4, Neutrophil: 0.39, Neutrophil:commensal_E._coli_MG1655: 0.39, Monocyte:anti-FcgRIIB: 0.39 |
STDY7685341_CTACATTCATGGTTGT | Neutrophil:commensal_E._coli_MG1655 | 0.14 | 204.35 | Raw ScoresMonocyte:CD16-: 0.38, Monocyte:CD14+: 0.37, Pre-B_cell_CD34-: 0.37, Monocyte:CD16+: 0.36, Neutrophil:commensal_E.coli_MG1655: 0.36, Neutrophil: 0.36, HSC-G-CSF: 0.36, Neutrophil:uropathogenic_E._coli_UTI89: 0.36, Monocyte: 0.36, Monocyte:leukotriene_D4: 0.36 |
STDY7685342_ACCAGTAAGGCTCTTA | Neutrophil:commensal_E._coli_MG1655 | 0.17 | 204.16 | Raw ScoresMonocyte:CD16-: 0.36, Neutrophil:commensal_E._coli_MG1655: 0.36, Neutrophil:uropathogenic_E._coli_UTI89: 0.36, Neutrophil: 0.36, Monocyte:CD14+: 0.36, Neutrophil:inflam: 0.35, Monocyte:CD16+: 0.35, Monocyte: 0.34, Neutrophil:GM-CSF_IFNg: 0.34, Monocyte:S._typhimurium_flagellin: 0.34 |
STDY7685342_CATCGGGAGTATGACA | Monocyte:CD16- | 0.17 | 204.11 | Raw ScoresMonocyte:CD16-: 0.36, Monocyte:CD14+: 0.36, Neutrophil:commensal_E._coli_MG1655: 0.36, Neutrophil: 0.35, Monocyte:CD16+: 0.35, Neutrophil:uropathogenic_E.coli_UTI89: 0.35, Pre-B_cell_CD34-: 0.35, Monocyte: 0.34, HSC-G-CSF: 0.34, Monocyte:leukotriene_D4: 0.34 |
STDY7685341_TATCTCAGTCTAAAGA | Monocyte:CD16- | 0.19 | 204.06 | Raw ScoresMonocyte:CD16-: 0.41, Monocyte:CD14+: 0.41, Monocyte: 0.39, Neutrophil:commensal_E._coli_MG1655: 0.39, Monocyte:CD16+: 0.39, Monocyte:leukotriene_D4: 0.39, Neutrophil: 0.39, Pre-B_cell_CD34-: 0.39, Neutrophil:uropathogenic_E.coli_UTI89: 0.38, HSC-G-CSF: 0.38 |
Below shows the significant enrichments of this GEP for literature curated gene lists
This data was procured from existing single cell RNA-seq maps of neuroblastoma or related relevant data.
High ranks indicate this gene is a driver of this GEP.
These curated gene list are ranked by the P-value (on this GEP) of their constituent genes.
The Mean Count column shows the mean read count in cells scoring highly (H > 50) on this gene expression program.
Genes | Weight | Rank | GTEx | DepMap | Decartes | Mean.Counts | Mean.TPM |
---|---|---|---|---|---|---|---|
CD14 | 0.0080638 | 16 | GTEx | DepMap | Descartes | 2.78 | 983.90 |
CD36 | 0.0040176 | 120 | GTEx | DepMap | Descartes | 0.87 | 77.85 |
IL1B | 0.0035457 | 152 | GTEx | DepMap | Descartes | 11.98 | 4424.72 |
HIF1A | 0.0012561 | 595 | GTEx | DepMap | Descartes | 0.51 | 85.57 |
TNFRSF10B | 0.0011148 | 680 | GTEx | DepMap | Descartes | 0.11 | 17.12 |
VEGFA | 0.0005543 | 1149 | GTEx | DepMap | Descartes | 0.15 | 7.48 |
TGFB1 | 0.0004394 | 1290 | GTEx | DepMap | Descartes | 0.53 | 114.28 |
CD84 | 0.0002925 | 1533 | GTEx | DepMap | Descartes | 0.08 | 6.00 |
ARG1 | 0.0001376 | 1948 | GTEx | DepMap | Descartes | 0.00 | 4.54 |
CD274 | -0.0002798 | 5379 | GTEx | DepMap | Descartes | 0.00 | 0.58 |
NOS2 | -0.0002876 | 5477 | GTEx | DepMap | Descartes | 0.00 | 0.51 |
STAT3 | -0.0002955 | 5575 | GTEx | DepMap | Descartes | 0.62 | 77.95 |
TNF | -0.0005994 | 9082 | GTEx | DepMap | Descartes | 0.43 | 151.65 |
ARG2 | -0.0007463 | 10235 | GTEx | DepMap | Descartes | 0.00 | 0.00 |
IL10 | -0.0008611 | 10887 | GTEx | DepMap | Descartes | 0.03 | 7.31 |
PMN-MDSC
These marker genes were curated for MDSC subtypes as reviewed in Veglia et. al. (PMID 33526920):
Wilcoxon ranksum test P-value for gene set overrepresentation: 3.13e-03
Mean rank of genes in gene set: 3800.31
Rank on gene expression program of genes in gene set:
Genes | Weight | Rank | GTEx | DepMap | Decartes | Mean.Counts | Mean.TPM |
---|---|---|---|---|---|---|---|
ANXA1 | 0.0052448 | 67 | GTEx | DepMap | Descartes | 2.61 | 696.39 |
CD36 | 0.0040176 | 120 | GTEx | DepMap | Descartes | 0.87 | 77.85 |
IL1B | 0.0035457 | 152 | GTEx | DepMap | Descartes | 11.98 | 4424.72 |
PTGS2 | 0.0023588 | 279 | GTEx | DepMap | Descartes | 0.77 | 110.40 |
HIF1A | 0.0012561 | 595 | GTEx | DepMap | Descartes | 0.51 | 85.57 |
TNFRSF10B | 0.0011148 | 680 | GTEx | DepMap | Descartes | 0.11 | 17.12 |
STAT6 | 0.0010305 | 733 | GTEx | DepMap | Descartes | 0.28 | 41.58 |
TGFB1 | 0.0004394 | 1290 | GTEx | DepMap | Descartes | 0.53 | 114.28 |
CD84 | 0.0002925 | 1533 | GTEx | DepMap | Descartes | 0.08 | 6.00 |
ARG1 | 0.0001376 | 1948 | GTEx | DepMap | Descartes | 0.00 | 4.54 |
STAT3 | -0.0002955 | 5575 | GTEx | DepMap | Descartes | 0.62 | 77.95 |
SLC27A2 | -0.0002956 | 5576 | GTEx | DepMap | Descartes | 0.00 | 0.00 |
CSF1 | -0.0005632 | 8728 | GTEx | DepMap | Descartes | 0.01 | 1.06 |
ARG2 | -0.0007463 | 10235 | GTEx | DepMap | Descartes | 0.00 | 0.00 |
STAT1 | -0.0009157 | 11140 | GTEx | DepMap | Descartes | 0.24 | 35.64 |
IRF1 | -0.0013175 | 12154 | GTEx | DepMap | Descartes | 0.38 | 40.81 |
M2 Macrophage
These genes were collated from multiple sources:
Wilcoxon ranksum test P-value for gene set overrepresentation: 5.82e-03
Mean rank of genes in gene set: 2821.14
Rank on gene expression program of genes in gene set:
Genes | Weight | Rank | GTEx | DepMap | Decartes | Mean.Counts | Mean.TPM |
---|---|---|---|---|---|---|---|
CD14 | 0.0080638 | 16 | GTEx | DepMap | Descartes | 2.78 | 983.90 |
CD163 | 0.0044348 | 99 | GTEx | DepMap | Descartes | 0.62 | 70.40 |
VEGFA | 0.0005543 | 1149 | GTEx | DepMap | Descartes | 0.15 | 7.48 |
TGFB1 | 0.0004394 | 1290 | GTEx | DepMap | Descartes | 0.53 | 114.28 |
ARG1 | 0.0001376 | 1948 | GTEx | DepMap | Descartes | 0.00 | 4.54 |
IL13 | -0.0001942 | 4359 | GTEx | DepMap | Descartes | 0.00 | 0.00 |
IL10 | -0.0008611 | 10887 | GTEx | DepMap | Descartes | 0.03 | 7.31 |
Below shows ranks on this GEP for literature curated gene lists for large gene sets
These include those reported as mesenchymal/adrenergic by Van Groningen et al.
High ranks indicate this gene is a driver of this GEP (note these results are not ordered).
The Mean Count column shows the mean read count in cells scoring highly (H > 50) on this gene expression program.
VanGroningen Adrenergic Genes
Adrenergic marker genes from Supplementary Table 2 of Van Groningen et al. Nature Genetics 2017. These genes were identified by differential expression analysis of mesenchymal-like and adrenergic-like neuroblastoma cell lines.
Wilcoxon ranksum test P-value for gene set overrepresentation: 1.00e+00
Mean rank of genes in gene set: 9659.77
Median rank of genes in gene set: 10958
Rank on gene expression program of top 30 genes in gene set:
Genes | Weight | Rank | GTEx | DepMap | Descartes | Mean.Counts | Mean.TPM |
---|---|---|---|---|---|---|---|
AP1S2 | 0.0067274 | 35 | GTEx | DepMap | Descartes | 2.61 | 428.62 |
GLRX | 0.0051210 | 71 | GTEx | DepMap | Descartes | 1.17 | 211.20 |
NFIL3 | 0.0029099 | 205 | GTEx | DepMap | Descartes | 0.29 | 96.61 |
HK2 | 0.0023531 | 282 | GTEx | DepMap | Descartes | 0.09 | 9.57 |
AGTPBP1 | 0.0021021 | 339 | GTEx | DepMap | Descartes | 0.18 | 26.19 |
IRS2 | 0.0016505 | 453 | GTEx | DepMap | Descartes | 0.79 | 63.07 |
ASRGL1 | 0.0012554 | 596 | GTEx | DepMap | Descartes | 0.12 | 32.60 |
LYN | 0.0009533 | 782 | GTEx | DepMap | Descartes | 0.66 | 68.03 |
ST3GAL6 | 0.0008301 | 863 | GTEx | DepMap | Descartes | 0.14 | 25.42 |
ANP32A | 0.0006955 | 991 | GTEx | DepMap | Descartes | 0.52 | 86.04 |
CDC42EP3 | 0.0005173 | 1194 | GTEx | DepMap | Descartes | 0.24 | 28.69 |
GRB10 | 0.0001909 | 1763 | GTEx | DepMap | Descartes | 0.02 | 1.84 |
TIAM1 | 0.0001512 | 1893 | GTEx | DepMap | Descartes | 0.08 | 7.53 |
ATP6V1B2 | 0.0001037 | 2076 | GTEx | DepMap | Descartes | 0.45 | 38.82 |
MYO5A | 0.0000923 | 2121 | GTEx | DepMap | Descartes | 0.07 | 3.23 |
CELF2 | 0.0000880 | 2140 | GTEx | DepMap | Descartes | 0.86 | 66.18 |
SETD7 | -0.0000616 | 2849 | GTEx | DepMap | Descartes | 0.05 | 3.51 |
FAM107B | -0.0000904 | 3158 | GTEx | DepMap | Descartes | 0.16 | 27.70 |
NCAN | -0.0001029 | 3287 | GTEx | DepMap | Descartes | 0.00 | 0.00 |
GLDC | -0.0001092 | 3348 | GTEx | DepMap | Descartes | 0.00 | 0.00 |
ESRRG | -0.0001494 | 3800 | GTEx | DepMap | Descartes | 0.00 | 0.00 |
PDK1 | -0.0001739 | 4115 | GTEx | DepMap | Descartes | 0.03 | 1.37 |
STRA6 | -0.0001767 | 4147 | GTEx | DepMap | Descartes | 0.00 | 0.00 |
RET | -0.0001792 | 4179 | GTEx | DepMap | Descartes | 0.00 | 0.00 |
KNSTRN | -0.0002020 | 4448 | GTEx | DepMap | Descartes | 0.00 | NA |
NPTX2 | -0.0002268 | 4713 | GTEx | DepMap | Descartes | 0.00 | 0.00 |
KLF13 | -0.0002354 | 4832 | GTEx | DepMap | Descartes | 0.18 | 15.63 |
GGH | -0.0002400 | 4881 | GTEx | DepMap | Descartes | 0.02 | 8.39 |
SHC3 | -0.0002456 | 4954 | GTEx | DepMap | Descartes | 0.00 | 0.00 |
LMO3 | -0.0002474 | 4981 | GTEx | DepMap | Descartes | 0.00 | 0.00 |
VanGroningen Mesenchymal Genes
Mesenchymal marker genes from Supplementary Table 2 of Van Groningen et al. Nature Genetics 2017. These genes were identified by differential expression analysis of mesenchymal-like and adrenergic-like neuroblastoma cell lines.
Wilcoxon ranksum test P-value for gene set overrepresentation: 8.66e-02
Mean rank of genes in gene set: 6042.56
Median rank of genes in gene set: 6411
Rank on gene expression program of top 30 genes in gene set:
Genes | Weight | Rank | GTEx | DepMap | Descartes | Mean.Counts | Mean.TPM |
---|---|---|---|---|---|---|---|
VIM | 0.0104874 | 7 | GTEx | DepMap | Descartes | 11.01 | 2425.51 |
LGALS1 | 0.0088589 | 12 | GTEx | DepMap | Descartes | 8.98 | 8382.81 |
THBS1 | 0.0076494 | 22 | GTEx | DepMap | Descartes | 5.17 | 402.60 |
GRN | 0.0067478 | 33 | GTEx | DepMap | Descartes | 2.87 | 793.27 |
RAB31 | 0.0066305 | 38 | GTEx | DepMap | Descartes | 0.75 | 115.61 |
MGST1 | 0.0066151 | 39 | GTEx | DepMap | Descartes | 0.35 | 93.94 |
ANXA1 | 0.0052448 | 67 | GTEx | DepMap | Descartes | 2.61 | 696.39 |
CKAP4 | 0.0051454 | 69 | GTEx | DepMap | Descartes | 0.42 | 89.93 |
CD44 | 0.0049812 | 81 | GTEx | DepMap | Descartes | 2.67 | 297.24 |
ARPC1B | 0.0049592 | 82 | GTEx | DepMap | Descartes | 5.59 | 1846.40 |
MYADM | 0.0045303 | 95 | GTEx | DepMap | Descartes | 0.85 | 163.10 |
DUSP6 | 0.0044962 | 97 | GTEx | DepMap | Descartes | 1.39 | 227.23 |
QSOX1 | 0.0041525 | 112 | GTEx | DepMap | Descartes | 0.27 | 18.00 |
PLSCR1 | 0.0040612 | 117 | GTEx | DepMap | Descartes | 0.98 | 294.52 |
PYGL | 0.0037107 | 140 | GTEx | DepMap | Descartes | 0.24 | 55.54 |
PLXDC2 | 0.0034290 | 164 | GTEx | DepMap | Descartes | 0.34 | 15.48 |
SCPEP1 | 0.0033508 | 168 | GTEx | DepMap | Descartes | 0.53 | 168.34 |
ATP2B1 | 0.0032642 | 173 | GTEx | DepMap | Descartes | 1.14 | 100.58 |
FLNA | 0.0031058 | 187 | GTEx | DepMap | Descartes | 0.97 | 67.42 |
HNMT | 0.0030903 | 189 | GTEx | DepMap | Descartes | 0.36 | 70.09 |
HLX | 0.0028631 | 212 | GTEx | DepMap | Descartes | 0.11 | 12.14 |
FBN2 | 0.0028533 | 215 | GTEx | DepMap | Descartes | 0.07 | 3.54 |
CRTAP | 0.0026814 | 225 | GTEx | DepMap | Descartes | 0.44 | 38.39 |
ARHGEF40 | 0.0026428 | 231 | GTEx | DepMap | Descartes | 0.20 | 21.72 |
LITAF | 0.0025282 | 247 | GTEx | DepMap | Descartes | 2.29 | 535.99 |
ASPH | 0.0024014 | 270 | GTEx | DepMap | Descartes | 0.19 | 18.63 |
HEXB | 0.0021526 | 323 | GTEx | DepMap | Descartes | 0.44 | 124.15 |
TNFRSF1A | 0.0021198 | 333 | GTEx | DepMap | Descartes | 0.32 | 86.30 |
FAM120A | 0.0020848 | 346 | GTEx | DepMap | Descartes | 0.39 | 45.68 |
KCTD12 | 0.0020154 | 355 | GTEx | DepMap | Descartes | 0.25 | 22.74 |
Descartes adrenocortical markers
Top 50 marker genes of adrenocortical cells in the Decartes fetal adrenal single cell map (https://atlas.brotmanbaty.org/bbi/human-gene-expression-during-development/cell/adrenocortical/in/adrenal)
Wilcoxon ranksum test P-value for gene set overrepresentation: 9.37e-01
Mean rank of genes in gene set: 7195.81
Median rank of genes in gene set: 7838.5
Rank on gene expression program of top 30 genes in gene set:
Genes | Weight | Rank | GTEx | DepMap | Descartes | Mean.Counts | Mean.TPM |
---|---|---|---|---|---|---|---|
LDLR | 0.0020565 | 347 | GTEx | DepMap | Descartes | 0.25 | 26.18 |
SH3BP5 | 0.0011948 | 629 | GTEx | DepMap | Descartes | 0.51 | 93.08 |
POR | 0.0002201 | 1681 | GTEx | DepMap | Descartes | 0.17 | 42.95 |
GRAMD1B | -0.0000319 | 2632 | GTEx | DepMap | Descartes | 0.02 | 1.29 |
SGCZ | -0.0000989 | 3231 | GTEx | DepMap | Descartes | 0.00 | 0.00 |
STAR | -0.0001091 | 3346 | GTEx | DepMap | Descartes | 0.01 | 1.18 |
FREM2 | -0.0001119 | 3381 | GTEx | DepMap | Descartes | 0.00 | 0.00 |
DHCR7 | -0.0001573 | 3900 | GTEx | DepMap | Descartes | 0.01 | 1.37 |
BAIAP2L1 | -0.0001799 | 4190 | GTEx | DepMap | Descartes | 0.00 | 0.59 |
INHA | -0.0002005 | 4431 | GTEx | DepMap | Descartes | 0.00 | 0.00 |
FDX1 | -0.0002821 | 5412 | GTEx | DepMap | Descartes | 0.22 | 41.49 |
HMGCR | -0.0002932 | 5544 | GTEx | DepMap | Descartes | 0.05 | 7.39 |
SCARB1 | -0.0003398 | 6145 | GTEx | DepMap | Descartes | 0.03 | 3.13 |
DHCR24 | -0.0003658 | 6487 | GTEx | DepMap | Descartes | 0.01 | 0.69 |
SLC16A9 | -0.0004439 | 7425 | GTEx | DepMap | Descartes | 0.00 | 0.00 |
FRMD5 | -0.0004458 | 7443 | GTEx | DepMap | Descartes | 0.00 | 0.00 |
PDE10A | -0.0004620 | 7642 | GTEx | DepMap | Descartes | 0.00 | 0.00 |
SCAP | -0.0004752 | 7782 | GTEx | DepMap | Descartes | 0.05 | 6.46 |
APOC1 | -0.0004849 | 7895 | GTEx | DepMap | Descartes | 0.14 | 103.27 |
PAPSS2 | -0.0004911 | 7970 | GTEx | DepMap | Descartes | 0.05 | 7.04 |
NPC1 | -0.0005047 | 8125 | GTEx | DepMap | Descartes | 0.02 | 3.24 |
IGF1R | -0.0005235 | 8320 | GTEx | DepMap | Descartes | 0.03 | 1.48 |
SLC1A2 | -0.0005623 | 8718 | GTEx | DepMap | Descartes | 0.00 | 0.00 |
FDXR | -0.0005686 | 8791 | GTEx | DepMap | Descartes | 0.00 | 0.60 |
SH3PXD2B | -0.0005702 | 8799 | GTEx | DepMap | Descartes | 0.02 | 1.86 |
ERN1 | -0.0006253 | 9332 | GTEx | DepMap | Descartes | 0.06 | 4.95 |
PEG3 | -0.0006730 | 9719 | GTEx | DepMap | Descartes | 0.00 | NA |
TM7SF2 | -0.0006968 | 9894 | GTEx | DepMap | Descartes | 0.01 | 2.92 |
FDPS | -0.0007824 | 10453 | GTEx | DepMap | Descartes | 0.18 | 46.62 |
HMGCS1 | -0.0008046 | 10602 | GTEx | DepMap | Descartes | 0.05 | 4.76 |
Descartes chromaffin markers
Top 50 marker genes of chromaffin cells in the Decartes fetal adrenal single cell map (https://atlas.brotmanbaty.org/bbi/human-gene-expression-during-development/cell/chromaffin/in/adrenal)
Wilcoxon ranksum test P-value for gene set overrepresentation: 1.00e+00
Mean rank of genes in gene set: 10239.68
Median rank of genes in gene set: 10915
Rank on gene expression program of top 30 genes in gene set:
Genes | Weight | Rank | GTEx | DepMap | Descartes | Mean.Counts | Mean.TPM |
---|---|---|---|---|---|---|---|
RPH3A | 0.0002699 | 1578 | GTEx | DepMap | Descartes | 0.01 | 0.79 |
BASP1 | -0.0002972 | 5602 | GTEx | DepMap | Descartes | 0.98 | 354.12 |
FAT3 | -0.0004087 | 6999 | GTEx | DepMap | Descartes | 0.00 | 0.00 |
SYNPO2 | -0.0004272 | 7225 | GTEx | DepMap | Descartes | 0.01 | 0.37 |
ANKFN1 | -0.0004411 | 7391 | GTEx | DepMap | Descartes | 0.00 | 0.00 |
EPHA6 | -0.0004707 | 7731 | GTEx | DepMap | Descartes | 0.00 | 0.00 |
KCNB2 | -0.0004746 | 7775 | GTEx | DepMap | Descartes | 0.00 | 0.00 |
NPY | -0.0005102 | 8181 | GTEx | DepMap | Descartes | 0.00 | 0.00 |
ALK | -0.0005237 | 8322 | GTEx | DepMap | Descartes | 0.00 | 0.00 |
TMEM132C | -0.0005492 | 8580 | GTEx | DepMap | Descartes | 0.00 | 0.00 |
EYA1 | -0.0006041 | 9126 | GTEx | DepMap | Descartes | 0.00 | 0.00 |
RYR2 | -0.0006086 | 9179 | GTEx | DepMap | Descartes | 0.00 | 0.00 |
SLC44A5 | -0.0006237 | 9316 | GTEx | DepMap | Descartes | 0.00 | 0.00 |
EYA4 | -0.0006584 | 9609 | GTEx | DepMap | Descartes | 0.00 | 0.00 |
GREM1 | -0.0006800 | 9773 | GTEx | DepMap | Descartes | 0.00 | 0.00 |
SLC6A2 | -0.0006962 | 9888 | GTEx | DepMap | Descartes | 0.00 | 0.00 |
CNKSR2 | -0.0007183 | 10072 | GTEx | DepMap | Descartes | 0.00 | 0.00 |
PTCHD1 | -0.0007336 | 10162 | GTEx | DepMap | Descartes | 0.00 | 0.00 |
MAB21L2 | -0.0007348 | 10169 | GTEx | DepMap | Descartes | 0.00 | 0.00 |
HS3ST5 | -0.0007531 | 10269 | GTEx | DepMap | Descartes | 0.00 | 0.00 |
PLXNA4 | -0.0008687 | 10915 | GTEx | DepMap | Descartes | 0.00 | 0.14 |
MARCH11 | -0.0009476 | 11301 | GTEx | DepMap | Descartes | 0.00 | NA |
RBFOX1 | -0.0009666 | 11365 | GTEx | DepMap | Descartes | 0.00 | 0.00 |
MAB21L1 | -0.0010467 | 11616 | GTEx | DepMap | Descartes | 0.00 | 0.00 |
TMEFF2 | -0.0011475 | 11863 | GTEx | DepMap | Descartes | 0.00 | 0.00 |
REEP1 | -0.0011789 | 11924 | GTEx | DepMap | Descartes | 0.00 | 0.00 |
NTRK1 | -0.0011805 | 11926 | GTEx | DepMap | Descartes | 0.00 | 0.00 |
IL7 | -0.0011977 | 11960 | GTEx | DepMap | Descartes | 0.00 | 0.00 |
ELAVL2 | -0.0012524 | 12041 | GTEx | DepMap | Descartes | 0.00 | 0.39 |
RGMB | -0.0013008 | 12122 | GTEx | DepMap | Descartes | 0.00 | 0.00 |
Descartes Vascular_endothelial markers
Top 50 marker genes of Vascular_endothelial cells in the Decartes fetal adrenal single cell map (https://atlas.brotmanbaty.org/bbi/human-gene-expression-during-development/cell/vascular_endothelial/in/adrenal)
Wilcoxon ranksum test P-value for gene set overrepresentation: 8.68e-01
Mean rank of genes in gene set: 6929.34
Median rank of genes in gene set: 6943
Rank on gene expression program of top 30 genes in gene set:
Genes | Weight | Rank | GTEx | DepMap | Descartes | Mean.Counts | Mean.TPM |
---|---|---|---|---|---|---|---|
F8 | 0.0000311 | 2348 | GTEx | DepMap | Descartes | 0.02 | 0.96 |
ID1 | -0.0001412 | 3721 | GTEx | DepMap | Descartes | 0.07 | 26.59 |
CYP26B1 | -0.0001645 | 3994 | GTEx | DepMap | Descartes | 0.00 | 0.00 |
ESM1 | -0.0001785 | 4173 | GTEx | DepMap | Descartes | 0.00 | 0.00 |
CALCRL | -0.0002074 | 4514 | GTEx | DepMap | Descartes | 0.02 | 1.70 |
EHD3 | -0.0002375 | 4852 | GTEx | DepMap | Descartes | 0.01 | 0.88 |
TMEM88 | -0.0002690 | 5241 | GTEx | DepMap | Descartes | 0.14 | 95.72 |
SLCO2A1 | -0.0002706 | 5266 | GTEx | DepMap | Descartes | 0.01 | 0.91 |
NR5A2 | -0.0002818 | 5407 | GTEx | DepMap | Descartes | 0.00 | 0.00 |
SHANK3 | -0.0002837 | 5427 | GTEx | DepMap | Descartes | 0.01 | 0.65 |
KDR | -0.0002925 | 5529 | GTEx | DepMap | Descartes | 0.01 | 1.17 |
CRHBP | -0.0002966 | 5593 | GTEx | DepMap | Descartes | 0.01 | 3.21 |
GALNT15 | -0.0002968 | 5595 | GTEx | DepMap | Descartes | 0.00 | NA |
MYRIP | -0.0002986 | 5620 | GTEx | DepMap | Descartes | 0.00 | 0.00 |
ARHGAP29 | -0.0003212 | 5924 | GTEx | DepMap | Descartes | 0.06 | 4.01 |
FLT4 | -0.0003781 | 6636 | GTEx | DepMap | Descartes | 0.00 | 0.27 |
IRX3 | -0.0003792 | 6651 | GTEx | DepMap | Descartes | 0.00 | 0.00 |
CDH13 | -0.0003925 | 6789 | GTEx | DepMap | Descartes | 0.00 | 0.00 |
RASIP1 | -0.0003935 | 6798 | GTEx | DepMap | Descartes | 0.01 | 1.95 |
SHE | -0.0004163 | 7088 | GTEx | DepMap | Descartes | 0.00 | 0.15 |
TEK | -0.0004267 | 7221 | GTEx | DepMap | Descartes | 0.00 | 0.00 |
CDH5 | -0.0004323 | 7285 | GTEx | DepMap | Descartes | 0.04 | 4.91 |
ROBO4 | -0.0004336 | 7305 | GTEx | DepMap | Descartes | 0.02 | 3.69 |
KANK3 | -0.0004406 | 7383 | GTEx | DepMap | Descartes | 0.01 | 1.74 |
HYAL2 | -0.0004464 | 7452 | GTEx | DepMap | Descartes | 0.03 | 3.38 |
BTNL9 | -0.0004676 | 7698 | GTEx | DepMap | Descartes | 0.02 | 2.37 |
PTPRB | -0.0005092 | 8169 | GTEx | DepMap | Descartes | 0.01 | 0.34 |
NPR1 | -0.0005273 | 8369 | GTEx | DepMap | Descartes | 0.00 | 0.00 |
PODXL | -0.0005496 | 8586 | GTEx | DepMap | Descartes | 0.00 | 0.34 |
CEACAM1 | -0.0005767 | 8868 | GTEx | DepMap | Descartes | 0.00 | 0.47 |
Descartes stromal markers
Top 50 marker genes of stromal cells in the Decartes fetal adrenal single cell map (https://atlas.brotmanbaty.org/bbi/human-gene-expression-during-development/cell/stromal/in/adrenal)
Wilcoxon ranksum test P-value for gene set overrepresentation: 9.09e-01
Mean rank of genes in gene set: 7001.41
Median rank of genes in gene set: 7211
Rank on gene expression program of top 30 genes in gene set:
Genes | Weight | Rank | GTEx | DepMap | Descartes | Mean.Counts | Mean.TPM |
---|---|---|---|---|---|---|---|
RSPO3 | -0.0000561 | 2786 | GTEx | DepMap | Descartes | 0.01 | NA |
GLI2 | -0.0001370 | 3664 | GTEx | DepMap | Descartes | 0.00 | 0.00 |
LAMC3 | -0.0001865 | 4274 | GTEx | DepMap | Descartes | 0.00 | 0.00 |
ADAMTS2 | -0.0002037 | 4471 | GTEx | DepMap | Descartes | 0.00 | 0.27 |
EDNRA | -0.0002051 | 4487 | GTEx | DepMap | Descartes | 0.00 | 0.00 |
FREM1 | -0.0002394 | 4874 | GTEx | DepMap | Descartes | 0.00 | 0.00 |
GAS2 | -0.0002495 | 5014 | GTEx | DepMap | Descartes | 0.00 | 0.00 |
ACTA2 | -0.0002560 | 5089 | GTEx | DepMap | Descartes | 0.04 | 16.28 |
ADAMTSL3 | -0.0002729 | 5287 | GTEx | DepMap | Descartes | 0.01 | 0.82 |
CD248 | -0.0002757 | 5329 | GTEx | DepMap | Descartes | 0.01 | 2.70 |
ABCC9 | -0.0002800 | 5385 | GTEx | DepMap | Descartes | 0.00 | 0.00 |
ITGA11 | -0.0003029 | 5668 | GTEx | DepMap | Descartes | 0.00 | 0.00 |
HHIP | -0.0003033 | 5672 | GTEx | DepMap | Descartes | 0.00 | 0.00 |
CLDN11 | -0.0003280 | 6016 | GTEx | DepMap | Descartes | 0.00 | 0.00 |
PAMR1 | -0.0003302 | 6041 | GTEx | DepMap | Descartes | 0.00 | 0.55 |
C7 | -0.0003522 | 6299 | GTEx | DepMap | Descartes | 0.01 | 1.26 |
ABCA6 | -0.0003602 | 6409 | GTEx | DepMap | Descartes | 0.00 | 0.23 |
SFRP2 | -0.0003642 | 6458 | GTEx | DepMap | Descartes | 0.01 | 3.55 |
PCDH18 | -0.0003715 | 6570 | GTEx | DepMap | Descartes | 0.00 | 0.00 |
PDGFRA | -0.0003795 | 6657 | GTEx | DepMap | Descartes | 0.01 | 0.75 |
DKK2 | -0.0004045 | 6951 | GTEx | DepMap | Descartes | 0.00 | 0.00 |
IGFBP3 | -0.0004221 | 7155 | GTEx | DepMap | Descartes | 0.02 | 5.37 |
BICC1 | -0.0004308 | 7267 | GTEx | DepMap | Descartes | 0.01 | 0.56 |
COL27A1 | -0.0004339 | 7309 | GTEx | DepMap | Descartes | 0.00 | 0.00 |
SCARA5 | -0.0004346 | 7319 | GTEx | DepMap | Descartes | 0.00 | 0.00 |
POSTN | -0.0004820 | 7867 | GTEx | DepMap | Descartes | 0.02 | 3.84 |
PRRX1 | -0.0004855 | 7903 | GTEx | DepMap | Descartes | 0.01 | 1.01 |
MGP | -0.0004955 | 8022 | GTEx | DepMap | Descartes | 0.07 | 28.19 |
ISLR | -0.0005003 | 8083 | GTEx | DepMap | Descartes | 0.00 | 0.50 |
LUM | -0.0005008 | 8089 | GTEx | DepMap | Descartes | 0.00 | 0.78 |
Descartes sympathoblasts markers
Top 50 marker genes of sympathoblasts cells in the Decartes fetal adrenal single cell map (https://atlas.brotmanbaty.org/bbi/human-gene-expression-during-development/cell/sympathoblasts/in/adrenal)
Wilcoxon ranksum test P-value for gene set overrepresentation: 9.82e-01
Mean rank of genes in gene set: 7507.03
Median rank of genes in gene set: 7085
Rank on gene expression program of top 30 genes in gene set:
Genes | Weight | Rank | GTEx | DepMap | Descartes | Mean.Counts | Mean.TPM |
---|---|---|---|---|---|---|---|
ST18 | 0.0006022 | 1099 | GTEx | DepMap | Descartes | 0.01 | 0.49 |
TIAM1 | 0.0001512 | 1893 | GTEx | DepMap | Descartes | 0.08 | 7.53 |
CNTN3 | -0.0001693 | 4060 | GTEx | DepMap | Descartes | 0.00 | 0.00 |
SLC35F3 | -0.0001786 | 4175 | GTEx | DepMap | Descartes | 0.00 | 0.00 |
SORCS3 | -0.0002066 | 4505 | GTEx | DepMap | Descartes | 0.00 | 0.00 |
PENK | -0.0002090 | 4533 | GTEx | DepMap | Descartes | 0.00 | 0.00 |
SLC24A2 | -0.0002101 | 4545 | GTEx | DepMap | Descartes | 0.00 | 0.00 |
AGBL4 | -0.0002671 | 5226 | GTEx | DepMap | Descartes | 0.00 | 0.00 |
TBX20 | -0.0002731 | 5289 | GTEx | DepMap | Descartes | 0.00 | 0.00 |
GCH1 | -0.0002773 | 5346 | GTEx | DepMap | Descartes | 0.11 | 21.57 |
GALNTL6 | -0.0003035 | 5676 | GTEx | DepMap | Descartes | 0.00 | 0.61 |
LAMA3 | -0.0003091 | 5747 | GTEx | DepMap | Descartes | 0.00 | 0.00 |
KSR2 | -0.0003350 | 6088 | GTEx | DepMap | Descartes | 0.00 | 0.00 |
DGKK | -0.0003360 | 6103 | GTEx | DepMap | Descartes | 0.00 | 0.25 |
EML6 | -0.0003707 | 6557 | GTEx | DepMap | Descartes | 0.00 | 0.00 |
CDH12 | -0.0003972 | 6850 | GTEx | DepMap | Descartes | 0.00 | 0.00 |
GRID2 | -0.0004088 | 7000 | GTEx | DepMap | Descartes | 0.00 | 0.00 |
GRM7 | -0.0004115 | 7026 | GTEx | DepMap | Descartes | 0.00 | 0.00 |
CCSER1 | -0.0004150 | 7071 | GTEx | DepMap | Descartes | 0.01 | NA |
PCSK2 | -0.0004172 | 7099 | GTEx | DepMap | Descartes | 0.00 | 0.00 |
TENM1 | -0.0004465 | 7459 | GTEx | DepMap | Descartes | 0.00 | NA |
CDH18 | -0.0004636 | 7654 | GTEx | DepMap | Descartes | 0.00 | 0.00 |
NTNG1 | -0.0004749 | 7778 | GTEx | DepMap | Descartes | 0.00 | 0.00 |
PACRG | -0.0004808 | 7847 | GTEx | DepMap | Descartes | 0.00 | 0.00 |
FGF14 | -0.0005891 | 8995 | GTEx | DepMap | Descartes | 0.00 | 0.00 |
ROBO1 | -0.0006186 | 9270 | GTEx | DepMap | Descartes | 0.00 | 0.00 |
SPOCK3 | -0.0006314 | 9386 | GTEx | DepMap | Descartes | 0.00 | 0.46 |
FAM155A | -0.0006828 | 9793 | GTEx | DepMap | Descartes | 0.00 | 0.00 |
MGAT4C | -0.0007392 | 10197 | GTEx | DepMap | Descartes | 0.00 | 0.00 |
HTATSF1 | -0.0007535 | 10274 | GTEx | DepMap | Descartes | 0.09 | 17.97 |
Descartes erythroblasts markers
Top 50 marker genes of erythroblasts cells in the Decartes fetal adrenal single cell map (https://atlas.brotmanbaty.org/bbi/human-gene-expression-during-development/cell/erythroblasts/in/adrenal)
Wilcoxon ranksum test P-value for gene set overrepresentation: 2.54e-01
Mean rank of genes in gene set: 5830.52
Median rank of genes in gene set: 5960
Rank on gene expression program of top 30 genes in gene set:
Genes | Weight | Rank | GTEx | DepMap | Descartes | Mean.Counts | Mean.TPM |
---|---|---|---|---|---|---|---|
BLVRB | 0.0043938 | 101 | GTEx | DepMap | Descartes | 1.13 | 464.94 |
SLC25A37 | 0.0031725 | 180 | GTEx | DepMap | Descartes | 0.71 | 98.89 |
SPECC1 | 0.0011341 | 672 | GTEx | DepMap | Descartes | 0.13 | 9.48 |
CAT | 0.0005381 | 1167 | GTEx | DepMap | Descartes | 0.34 | 86.62 |
MICAL2 | 0.0003359 | 1457 | GTEx | DepMap | Descartes | 0.06 | 5.07 |
DENND4A | 0.0002389 | 1638 | GTEx | DepMap | Descartes | 0.12 | 9.81 |
RAPGEF2 | 0.0001517 | 1889 | GTEx | DepMap | Descartes | 0.07 | 4.87 |
ABCB10 | -0.0000424 | 2698 | GTEx | DepMap | Descartes | 0.05 | 7.24 |
CPOX | -0.0000748 | 2986 | GTEx | DepMap | Descartes | 0.01 | 2.83 |
SLC25A21 | -0.0001012 | 3263 | GTEx | DepMap | Descartes | 0.00 | 0.00 |
RGS6 | -0.0001014 | 3264 | GTEx | DepMap | Descartes | 0.00 | 0.00 |
RHD | -0.0001725 | 4099 | GTEx | DepMap | Descartes | 0.00 | 0.00 |
ALAS2 | -0.0002095 | 4538 | GTEx | DepMap | Descartes | 0.00 | 1.01 |
ANK1 | -0.0003156 | 5833 | GTEx | DepMap | Descartes | 0.01 | 0.36 |
SLC4A1 | -0.0003235 | 5960 | GTEx | DepMap | Descartes | 0.00 | 0.00 |
EPB41 | -0.0003909 | 6771 | GTEx | DepMap | Descartes | 0.12 | 10.92 |
MARCH3 | -0.0004389 | 7363 | GTEx | DepMap | Descartes | 0.01 | NA |
SPTB | -0.0004473 | 7469 | GTEx | DepMap | Descartes | 0.00 | 0.00 |
TMCC2 | -0.0004909 | 7968 | GTEx | DepMap | Descartes | 0.00 | 0.00 |
GCLC | -0.0005035 | 8117 | GTEx | DepMap | Descartes | 0.01 | 0.80 |
SNCA | -0.0006162 | 9246 | GTEx | DepMap | Descartes | 0.06 | 10.49 |
TFR2 | -0.0006295 | 9371 | GTEx | DepMap | Descartes | 0.00 | 0.00 |
TRAK2 | -0.0006578 | 9604 | GTEx | DepMap | Descartes | 0.02 | 2.25 |
SOX6 | -0.0006609 | 9629 | GTEx | DepMap | Descartes | 0.00 | 0.00 |
SELENBP1 | -0.0006630 | 9643 | GTEx | DepMap | Descartes | 0.00 | 0.00 |
FECH | -0.0007595 | 10313 | GTEx | DepMap | Descartes | 0.02 | 2.32 |
TSPAN5 | -0.0008203 | 10679 | GTEx | DepMap | Descartes | 0.03 | 4.92 |
XPO7 | -0.0008314 | 10741 | GTEx | DepMap | Descartes | 0.05 | 5.86 |
GYPC | -0.0016550 | 12426 | GTEx | DepMap | Descartes | 0.25 | 76.08 |
NA | NA | NA | NA | NA | NA | NA | NA |
Descartes myeloid markers
Top 50 marker genes of myeloid cells in the Decartes fetal adrenal single cell map (https://atlas.brotmanbaty.org/bbi/human-gene-expression-during-development/cell/myeloid/in/adrenal)
Wilcoxon ranksum test P-value for gene set overrepresentation: 1.72e-02
Mean rank of genes in gene set: 5033.53
Median rank of genes in gene set: 3180
Rank on gene expression program of top 30 genes in gene set:
Genes | Weight | Rank | GTEx | DepMap | Descartes | Mean.Counts | Mean.TPM |
---|---|---|---|---|---|---|---|
CD14 | 0.0080638 | 16 | GTEx | DepMap | Descartes | 2.78 | 983.90 |
CTSS | 0.0064670 | 42 | GTEx | DepMap | Descartes | 7.24 | 1120.28 |
PTPRE | 0.0053663 | 62 | GTEx | DepMap | Descartes | 2.35 | 259.82 |
CYBB | 0.0045108 | 96 | GTEx | DepMap | Descartes | 1.00 | 134.56 |
CD163 | 0.0044348 | 99 | GTEx | DepMap | Descartes | 0.62 | 70.40 |
TGFBI | 0.0026431 | 230 | GTEx | DepMap | Descartes | 0.53 | 64.12 |
HCK | 0.0025783 | 241 | GTEx | DepMap | Descartes | 0.87 | 223.47 |
MARCH1 | 0.0017942 | 417 | GTEx | DepMap | Descartes | 0.38 | NA |
FGL2 | 0.0013011 | 575 | GTEx | DepMap | Descartes | 0.94 | 138.56 |
CPVL | 0.0012119 | 616 | GTEx | DepMap | Descartes | 1.19 | 303.80 |
MS4A4A | 0.0012044 | 621 | GTEx | DepMap | Descartes | 0.19 | 63.62 |
CTSD | 0.0011729 | 642 | GTEx | DepMap | Descartes | 1.05 | 312.09 |
HRH1 | 0.0009382 | 793 | GTEx | DepMap | Descartes | 0.06 | 8.72 |
ADAP2 | 0.0006262 | 1066 | GTEx | DepMap | Descartes | 0.11 | 24.52 |
CST3 | 0.0004254 | 1315 | GTEx | DepMap | Descartes | 9.72 | 1693.08 |
IFNGR1 | 0.0002943 | 1531 | GTEx | DepMap | Descartes | 0.63 | 147.30 |
ATP8B4 | 0.0002733 | 1574 | GTEx | DepMap | Descartes | 0.03 | 3.33 |
RBPJ | 0.0001946 | 1756 | GTEx | DepMap | Descartes | 0.46 | 43.76 |
FGD2 | -0.0000911 | 3165 | GTEx | DepMap | Descartes | 0.19 | 18.44 |
ITPR2 | -0.0000944 | 3195 | GTEx | DepMap | Descartes | 0.12 | 5.93 |
SFMBT2 | -0.0001497 | 3804 | GTEx | DepMap | Descartes | 0.08 | 4.52 |
FMN1 | -0.0002861 | 5458 | GTEx | DepMap | Descartes | 0.06 | 2.62 |
CTSB | -0.0002901 | 5499 | GTEx | DepMap | Descartes | 1.43 | 214.14 |
SLC9A9 | -0.0003020 | 5658 | GTEx | DepMap | Descartes | 0.05 | 7.73 |
WWP1 | -0.0003107 | 5772 | GTEx | DepMap | Descartes | 0.05 | 6.57 |
SPP1 | -0.0004294 | 7252 | GTEx | DepMap | Descartes | 0.11 | 22.43 |
MSR1 | -0.0007304 | 10140 | GTEx | DepMap | Descartes | 0.06 | 10.45 |
SLCO2B1 | -0.0008267 | 10716 | GTEx | DepMap | Descartes | 0.01 | 0.90 |
ABCA1 | -0.0008503 | 10835 | GTEx | DepMap | Descartes | 0.03 | 1.70 |
SLC1A3 | -0.0008554 | 10858 | GTEx | DepMap | Descartes | 0.01 | 0.97 |
Descartes Schwann markers
Top 50 marker genes of Schwann cells in the Decartes fetal adrenal single cell map (https://atlas.brotmanbaty.org/bbi/human-gene-expression-during-development/cell/schwann/in/adrenal)
Wilcoxon ranksum test P-value for gene set overrepresentation: 8.52e-01
Mean rank of genes in gene set: 6843.7
Median rank of genes in gene set: 7343
Rank on gene expression program of top 30 genes in gene set:
Genes | Weight | Rank | GTEx | DepMap | Descartes | Mean.Counts | Mean.TPM |
---|---|---|---|---|---|---|---|
VCAN | 0.0162826 | 1 | GTEx | DepMap | Descartes | 5.20 | 261.71 |
VIM | 0.0104874 | 7 | GTEx | DepMap | Descartes | 11.01 | 2425.51 |
GAS7 | 0.0024333 | 264 | GTEx | DepMap | Descartes | 0.23 | 16.53 |
KCTD12 | 0.0020154 | 355 | GTEx | DepMap | Descartes | 0.25 | 22.74 |
MPZ | 0.0003938 | 1374 | GTEx | DepMap | Descartes | 0.01 | 3.62 |
GRIK3 | 0.0001148 | 2037 | GTEx | DepMap | Descartes | 0.00 | 0.00 |
STARD13 | 0.0001086 | 2055 | GTEx | DepMap | Descartes | 0.01 | 0.86 |
NRXN3 | 0.0000920 | 2122 | GTEx | DepMap | Descartes | 0.01 | 0.38 |
ERBB3 | 0.0000137 | 2425 | GTEx | DepMap | Descartes | 0.01 | 1.35 |
IL1RAPL2 | -0.0000392 | 2675 | GTEx | DepMap | Descartes | 0.00 | 0.00 |
COL25A1 | -0.0000831 | 3091 | GTEx | DepMap | Descartes | 0.00 | 0.00 |
PTPRZ1 | -0.0001134 | 3394 | GTEx | DepMap | Descartes | 0.00 | 0.00 |
MDGA2 | -0.0001139 | 3402 | GTEx | DepMap | Descartes | 0.00 | 0.00 |
IL1RAPL1 | -0.0001355 | 3643 | GTEx | DepMap | Descartes | 0.00 | 0.00 |
HMGA2 | -0.0002018 | 4443 | GTEx | DepMap | Descartes | 0.00 | 0.39 |
EDNRB | -0.0002443 | 4934 | GTEx | DepMap | Descartes | 0.00 | 0.29 |
OLFML2A | -0.0002748 | 5308 | GTEx | DepMap | Descartes | 0.01 | 0.44 |
PLP1 | -0.0003034 | 5675 | GTEx | DepMap | Descartes | 0.00 | 0.00 |
ADAMTS5 | -0.0003186 | 5883 | GTEx | DepMap | Descartes | 0.00 | 0.20 |
SOX5 | -0.0003725 | 6584 | GTEx | DepMap | Descartes | 0.00 | 0.00 |
TRPM3 | -0.0004162 | 7086 | GTEx | DepMap | Descartes | 0.01 | 0.61 |
EGFLAM | -0.0004279 | 7235 | GTEx | DepMap | Descartes | 0.00 | 0.00 |
SORCS1 | -0.0004463 | 7451 | GTEx | DepMap | Descartes | 0.00 | 0.00 |
SLC35F1 | -0.0004549 | 7556 | GTEx | DepMap | Descartes | 0.00 | 0.00 |
XKR4 | -0.0005024 | 8105 | GTEx | DepMap | Descartes | 0.00 | 0.00 |
FIGN | -0.0005109 | 8191 | GTEx | DepMap | Descartes | 0.00 | 0.00 |
LAMC1 | -0.0005564 | 8660 | GTEx | DepMap | Descartes | 0.01 | 0.91 |
COL5A2 | -0.0006095 | 9189 | GTEx | DepMap | Descartes | 0.01 | 0.87 |
COL18A1 | -0.0006107 | 9202 | GTEx | DepMap | Descartes | 0.01 | 0.83 |
PLCE1 | -0.0006343 | 9406 | GTEx | DepMap | Descartes | 0.00 | 0.00 |
Descartes Megakaryocytes markers
Top 50 marker genes of Megakaryocytes cells in the Decartes fetal adrenal single cell map (https://atlas.brotmanbaty.org/bbi/human-gene-expression-during-development/cell/megakaryocytes/in/adrenal)
Wilcoxon ranksum test P-value for gene set overrepresentation: 9.21e-05
Mean rank of genes in gene set: 4258.93
Median rank of genes in gene set: 2403
Rank on gene expression program of top 30 genes in gene set:
Genes | Weight | Rank | GTEx | DepMap | Descartes | Mean.Counts | Mean.TPM |
---|---|---|---|---|---|---|---|
THBS1 | 0.0076494 | 22 | GTEx | DepMap | Descartes | 5.17 | 402.60 |
SLC2A3 | 0.0034601 | 161 | GTEx | DepMap | Descartes | 1.78 | 241.45 |
FLNA | 0.0031058 | 187 | GTEx | DepMap | Descartes | 0.97 | 67.42 |
TPM4 | 0.0030762 | 192 | GTEx | DepMap | Descartes | 1.19 | 146.81 |
PLEK | 0.0026924 | 224 | GTEx | DepMap | Descartes | 0.98 | 223.27 |
ZYX | 0.0021489 | 324 | GTEx | DepMap | Descartes | 0.57 | 147.38 |
VCL | 0.0019157 | 380 | GTEx | DepMap | Descartes | 0.10 | 7.82 |
ACTB | 0.0015459 | 492 | GTEx | DepMap | Descartes | 27.28 | 7087.40 |
MYH9 | 0.0015383 | 498 | GTEx | DepMap | Descartes | 0.62 | 51.12 |
FERMT3 | 0.0014458 | 526 | GTEx | DepMap | Descartes | 0.40 | 95.81 |
TLN1 | 0.0012711 | 588 | GTEx | DepMap | Descartes | 0.84 | 57.15 |
PSTPIP2 | 0.0012570 | 593 | GTEx | DepMap | Descartes | 0.15 | 29.00 |
TMSB4X | 0.0012372 | 605 | GTEx | DepMap | Descartes | 93.73 | 33198.13 |
P2RX1 | 0.0005967 | 1107 | GTEx | DepMap | Descartes | 0.08 | 20.16 |
ACTN1 | 0.0005383 | 1166 | GTEx | DepMap | Descartes | 0.19 | 25.39 |
TGFB1 | 0.0004394 | 1290 | GTEx | DepMap | Descartes | 0.53 | 114.28 |
MCTP1 | 0.0004365 | 1295 | GTEx | DepMap | Descartes | 0.11 | 12.94 |
TRPC6 | 0.0004062 | 1353 | GTEx | DepMap | Descartes | 0.00 | 0.58 |
LIMS1 | 0.0004056 | 1356 | GTEx | DepMap | Descartes | 0.67 | 89.21 |
CD84 | 0.0002925 | 1533 | GTEx | DepMap | Descartes | 0.08 | 6.00 |
HIPK2 | 0.0002900 | 1538 | GTEx | DepMap | Descartes | 0.18 | 7.28 |
FLI1 | 0.0001042 | 2073 | GTEx | DepMap | Descartes | 0.19 | 21.65 |
SLC24A3 | 0.0000180 | 2403 | GTEx | DepMap | Descartes | 0.00 | 0.58 |
GP1BA | -0.0000053 | 2504 | GTEx | DepMap | Descartes | 0.01 | 2.97 |
TUBB1 | -0.0000829 | 3086 | GTEx | DepMap | Descartes | 0.00 | 0.00 |
MMRN1 | -0.0002084 | 4526 | GTEx | DepMap | Descartes | 0.01 | 1.23 |
MED12L | -0.0002508 | 5036 | GTEx | DepMap | Descartes | 0.00 | 0.17 |
ANGPT1 | -0.0002771 | 5345 | GTEx | DepMap | Descartes | 0.00 | 0.66 |
ITGA2B | -0.0002927 | 5535 | GTEx | DepMap | Descartes | 0.00 | 0.00 |
ITGB3 | -0.0003696 | 6542 | GTEx | DepMap | Descartes | 0.00 | 0.00 |
Descartes Lyphoid markers
Top 50 marker genes of Lyphoid cells in the Decartes fetal adrenal single cell map (https://atlas.brotmanbaty.org/bbi/human-gene-expression-during-development/cell/lymphoid/in/adrenal)
Wilcoxon ranksum test P-value for gene set overrepresentation: 9.98e-01
Mean rank of genes in gene set: 7868.24
Median rank of genes in gene set: 9357
Rank on gene expression program of top 30 genes in gene set:
Genes | Weight | Rank | GTEx | DepMap | Descartes | Mean.Counts | Mean.TPM |
---|---|---|---|---|---|---|---|
CD44 | 0.0049812 | 81 | GTEx | DepMap | Descartes | 2.67 | 297.24 |
LCP1 | 0.0030839 | 191 | GTEx | DepMap | Descartes | 1.48 | 222.00 |
MSN | 0.0013361 | 563 | GTEx | DepMap | Descartes | 0.99 | 148.09 |
SORL1 | 0.0011471 | 660 | GTEx | DepMap | Descartes | 0.37 | 21.28 |
CCND3 | 0.0008594 | 845 | GTEx | DepMap | Descartes | 0.58 | 152.46 |
PTPRC | 0.0006556 | 1035 | GTEx | DepMap | Descartes | 2.03 | 233.29 |
ARHGDIB | 0.0004836 | 1236 | GTEx | DepMap | Descartes | 3.71 | 1859.19 |
DOCK10 | 0.0001802 | 1800 | GTEx | DepMap | Descartes | 0.15 | 12.35 |
MCTP2 | 0.0001308 | 1972 | GTEx | DepMap | Descartes | 0.10 | 7.41 |
CELF2 | 0.0000880 | 2140 | GTEx | DepMap | Descartes | 0.86 | 66.18 |
MBNL1 | -0.0000607 | 2833 | GTEx | DepMap | Descartes | 0.48 | 47.30 |
RAP1GAP2 | -0.0003208 | 5918 | GTEx | DepMap | Descartes | 0.04 | 4.02 |
ANKRD44 | -0.0003213 | 5926 | GTEx | DepMap | Descartes | 0.24 | 21.10 |
TMSB10 | -0.0004469 | 7463 | GTEx | DepMap | Descartes | 24.00 | 30079.91 |
STK39 | -0.0004851 | 7899 | GTEx | DepMap | Descartes | 0.02 | 4.23 |
PITPNC1 | -0.0004989 | 8062 | GTEx | DepMap | Descartes | 0.10 | 8.49 |
PDE3B | -0.0005525 | 8613 | GTEx | DepMap | Descartes | 0.12 | 11.50 |
SP100 | -0.0005665 | 8765 | GTEx | DepMap | Descartes | 0.32 | 33.47 |
IKZF1 | -0.0005923 | 9022 | GTEx | DepMap | Descartes | 0.15 | 14.08 |
ITPKB | -0.0006247 | 9323 | GTEx | DepMap | Descartes | 0.03 | 2.25 |
WIPF1 | -0.0006275 | 9350 | GTEx | DepMap | Descartes | 0.44 | 58.98 |
PLEKHA2 | -0.0006285 | 9364 | GTEx | DepMap | Descartes | 0.12 | 14.43 |
FYN | -0.0006728 | 9717 | GTEx | DepMap | Descartes | 0.33 | 55.00 |
GNG2 | -0.0007300 | 10137 | GTEx | DepMap | Descartes | 0.23 | 38.34 |
TOX | -0.0007778 | 10434 | GTEx | DepMap | Descartes | 0.01 | 0.81 |
NCALD | -0.0008259 | 10711 | GTEx | DepMap | Descartes | 0.00 | 0.66 |
ABLIM1 | -0.0008279 | 10721 | GTEx | DepMap | Descartes | 0.02 | 1.69 |
ARHGAP15 | -0.0008419 | 10800 | GTEx | DepMap | Descartes | 0.14 | 30.81 |
SAMD3 | -0.0008742 | 10946 | GTEx | DepMap | Descartes | 0.01 | 1.08 |
RCSD1 | -0.0009091 | 11109 | GTEx | DepMap | Descartes | 0.27 | 32.27 |
Below shows the ranks on this GEP for immune marker gene lists curated by CellTypist (https://www.celltypist.org/encyclopedia).
High ranks indicate this gene is a driver of this GEP.
These curated gene list are ranked by P-value (on this GEP) of their constituent genes.
The Mean Count column shows the mean read count in cells scoring highly (H > 50) on this gene expression program.
Genes | Weight | Rank | GTEx | DepMap | Decartes | Mean.Counts | Mean.TPM |
---|---|---|---|---|---|---|---|
S100A6 | 0.0134721 | 2 | GTEx | DepMap | Descartes | 20.73 | 18832.10 |
TYROBP | 0.0076111 | 23 | GTEx | DepMap | Descartes | 15.78 | 15497.22 |
SRGN | 0.0053519 | 63 | GTEx | DepMap | Descartes | 15.89 | 7910.73 |
FTH1 | 0.0039439 | 124 | GTEx | DepMap | Descartes | 95.94 | 48872.44 |
ACTB | 0.0015459 | 492 | GTEx | DepMap | Descartes | 27.28 | 7087.40 |
Monocytes: Monocytes (model markers)
myeloid mononuclear recirculating leukocytes that are capable of differentiating into macrophages and myeloid lineage dendritic cells:
Wilcoxon ranksum test P-value for gene set overrepresentation: 2.19e-03
Mean rank of genes in gene set: 315.67
Rank on gene expression program of genes in gene set:
Genes | Weight | Rank | GTEx | DepMap | Decartes | Mean.Counts | Mean.TPM |
---|---|---|---|---|---|---|---|
TYROBP | 0.0076111 | 23 | GTEx | DepMap | Descartes | 15.78 | 15497.22 |
NEAT1 | 0.0041101 | 114 | GTEx | DepMap | Descartes | 11.74 | 322.10 |
SAT1 | 0.0009107 | 810 | GTEx | DepMap | Descartes | 16.21 | 8740.32 |
ILC precursor: ILC precursor (curated markers)
innate lymphoid cell precursors which give rise to innate lymphoid cells and lack the characteristics of their mature progenies:
Wilcoxon ranksum test P-value for gene set overrepresentation: 3.62e-02
Mean rank of genes in gene set: 2518
Rank on gene expression program of genes in gene set:
Genes | Weight | Rank | GTEx | DepMap | Decartes | Mean.Counts | Mean.TPM |
---|---|---|---|---|---|---|---|
LST1 | 0.0033433 | 169 | GTEx | DepMap | Descartes | 6.45 | 2128.44 |
SCN1B | -0.0000352 | 2656 | GTEx | DepMap | Descartes | 0.01 | 1.27 |
HPN | -0.0002280 | 4729 | GTEx | DepMap | Descartes | 0.00 | 0.00 |