QQ-plot of gene loadings, averaged over both independent splits of the data
This plot highlights the relative contribution of each gene to the GEP
Top genes driving this program.
Note: Decartes website is buggy, try refreshing. Also, Decartes fetal adrenal data have been collected at specific time points (89-122 days), all possible cell types of interest may not be represented, do not overinterpret.
The Mean Count column shows the mean read count in cells scoring highly (H > 50) on this gene expression program.
Gene | Loading | Gene.Name | GTEx | DepMap | Descartes | Mean.Counts | Mean.Tpm | |
---|---|---|---|---|---|---|---|---|
1 | VTN | 0.0030911 | vitronectin | GTEx | DepMap | Descartes | 0.20 | 29.03 |
2 | RANBP3L | 0.0030606 | RAN binding protein 3 like | GTEx | DepMap | Descartes | 0.01 | 0.04 |
3 | AKAP12 | 0.0029162 | A-kinase anchoring protein 12 | GTEx | DepMap | Descartes | 3.41 | 10.73 |
4 | SLC6A13 | 0.0028681 | solute carrier family 6 member 13 | GTEx | DepMap | Descartes | 0.12 | 1.55 |
5 | COL1A2 | 0.0028180 | collagen type I alpha 2 chain | GTEx | DepMap | Descartes | 15.45 | 118.86 |
6 | SLC22A6 | 0.0027602 | solute carrier family 22 member 6 | GTEx | DepMap | Descartes | 0.01 | 0.38 |
7 | COL1A1 | 0.0026634 | collagen type I alpha 1 chain | GTEx | DepMap | Descartes | 13.21 | 247.54 |
8 | CLDN11 | 0.0026631 | claudin 11 | GTEx | DepMap | Descartes | 0.50 | 13.16 |
9 | COL3A1 | 0.0026041 | collagen type III alpha 1 chain | GTEx | DepMap | Descartes | 17.30 | 130.82 |
10 | LGALS1 | 0.0025008 | galectin 1 | GTEx | DepMap | Descartes | 19.91 | 1598.66 |
11 | IGFBP4 | 0.0024828 | insulin like growth factor binding protein 4 | GTEx | DepMap | Descartes | 6.88 | 163.43 |
12 | SLC7A11 | 0.0024475 | solute carrier family 7 member 11 | GTEx | DepMap | Descartes | 0.05 | 0.03 |
13 | FSTL1 | 0.0023451 | follistatin like 1 | GTEx | DepMap | Descartes | 5.54 | 29.46 |
14 | FBN2 | 0.0022813 | fibrillin 2 | GTEx | DepMap | Descartes | 3.77 | 5.82 |
15 | MFAP2 | 0.0021122 | microfibril associated protein 2 | GTEx | DepMap | Descartes | 7.56 | 434.72 |
16 | ASGR1 | 0.0020784 | asialoglycoprotein receptor 1 | GTEx | DepMap | Descartes | 0.01 | 0.43 |
17 | ISLR | 0.0020762 | immunoglobulin superfamily containing leucine rich repeat | GTEx | DepMap | Descartes | 1.65 | 10.38 |
18 | COL5A2 | 0.0020655 | collagen type V alpha 2 chain | GTEx | DepMap | Descartes | 3.98 | 8.85 |
19 | COL5A1 | 0.0019739 | collagen type V alpha 1 chain | GTEx | DepMap | Descartes | 2.47 | 4.70 |
20 | IGF2 | 0.0019726 | insulin like growth factor 2 | GTEx | DepMap | Descartes | 12.87 | 237.80 |
21 | FN1 | 0.0019504 | fibronectin 1 | GTEx | DepMap | Descartes | 5.06 | 23.52 |
22 | CDH11 | 0.0019397 | cadherin 11 | GTEx | DepMap | Descartes | 2.71 | 5.11 |
23 | CD248 | 0.0019281 | CD248 molecule | GTEx | DepMap | Descartes | 0.97 | 119.41 |
24 | FOXC1 | 0.0019275 | forkhead box C1 | GTEx | DepMap | Descartes | 0.76 | 44.66 |
25 | CD244 | 0.0019246 | CD244 molecule | GTEx | DepMap | Descartes | 0.00 | NA |
26 | A4GALT | 0.0018862 | alpha 1,4-galactosyltransferase (P blood group) | GTEx | DepMap | Descartes | 0.01 | 0.10 |
27 | FOXD1 | 0.0018393 | forkhead box D1 | GTEx | DepMap | Descartes | 1.71 | 117.15 |
28 | COL12A1 | 0.0018242 | collagen type XII alpha 1 chain | GTEx | DepMap | Descartes | 1.95 | 4.75 |
29 | GPC3 | 0.0018108 | glypican 3 | GTEx | DepMap | Descartes | 8.72 | 7.31 |
30 | BGN | 0.0018053 | biglycan | GTEx | DepMap | Descartes | 3.04 | 96.42 |
31 | MDK | 0.0017953 | midkine | GTEx | DepMap | Descartes | 19.86 | 2417.94 |
32 | EVA1B | 0.0017932 | eva-1 homolog B | GTEx | DepMap | Descartes | 1.89 | 309.26 |
33 | AEBP1 | 0.0017896 | AE binding protein 1 | GTEx | DepMap | Descartes | 0.66 | 24.21 |
34 | COLEC12 | 0.0017784 | collectin subfamily member 12 | GTEx | DepMap | Descartes | 1.20 | 2.13 |
35 | WISP1 | 0.0017766 | NA | GTEx | DepMap | Descartes | 0.74 | NA |
36 | CREB3L1 | 0.0017212 | cAMP responsive element binding protein 3 like 1 | GTEx | DepMap | Descartes | 0.65 | 4.30 |
37 | COL6A1 | 0.0017167 | collagen type VI alpha 1 chain | GTEx | DepMap | Descartes | 2.29 | 45.51 |
38 | IFITM1 | 0.0017146 | interferon induced transmembrane protein 1 | GTEx | DepMap | Descartes | 0.70 | 81.80 |
39 | PCOLCE | 0.0016908 | procollagen C-endopeptidase enhancer | GTEx | DepMap | Descartes | 1.73 | 66.22 |
40 | ATP1A2 | 0.0016750 | ATPase Na+/K+ transporting subunit alpha 2 | GTEx | DepMap | Descartes | 0.38 | 4.62 |
41 | NBL1 | 0.0016737 | NBL1, DAN family BMP antagonist | GTEx | DepMap | Descartes | 1.12 | 39.96 |
42 | SERPINF1 | 0.0016115 | serpin family F member 1 | GTEx | DepMap | Descartes | 1.29 | 33.52 |
43 | COL6A3 | 0.0016097 | collagen type VI alpha 3 chain | GTEx | DepMap | Descartes | 1.44 | 5.64 |
44 | ZFP36L1 | 0.0015983 | ZFP36 ring finger protein like 1 | GTEx | DepMap | Descartes | 4.36 | 205.54 |
45 | CFH | 0.0015849 | complement factor H | GTEx | DepMap | Descartes | 0.20 | 0.57 |
46 | LOX | 0.0015811 | lysyl oxidase | GTEx | DepMap | Descartes | 0.97 | 20.93 |
47 | FOXC2 | 0.0015715 | forkhead box C2 | GTEx | DepMap | Descartes | 0.61 | 76.63 |
48 | MEST | 0.0015582 | mesoderm specific transcript | GTEx | DepMap | Descartes | 18.71 | 217.47 |
49 | PDGFRA | 0.0015469 | platelet derived growth factor receptor alpha | GTEx | DepMap | Descartes | 1.70 | 12.56 |
50 | ZIC2 | 0.0015376 | Zic family member 2 | GTEx | DepMap | Descartes | 0.22 | 18.25 |
UMAP plots showing activity of gene expression program identified in GEP 2. Fibroblasts:
Gene set Enrichments for this program, caculated from top 50 genes
mSigDB Cell Types Gene Set:
P-value | OR | Lower 95% CI | FDR | FWER | Genes Found | Gene Set Size | |
---|---|---|---|---|---|---|---|
CUI_DEVELOPING_HEART_C3_FIBROBLAST_LIKE_CELL | 4.19e-28 | 108.99 | 55.79 | 9.38e-26 | 2.81e-25 | 18AKAP12, COL1A2, COL1A1, LGALS1, FSTL1, MFAP2, ISLR, COL5A2, COL5A1, COL12A1, GPC3, COL6A1, PCOLCE, SERPINF1, COL6A3, LOX, MEST, PDGFRA |
117 |
MENON_FETAL_KIDNEY_3_STROMAL_CELLS | 1.24e-22 | 111.92 | 53.12 | 1.19e-20 | 8.30e-20 | 14AKAP12, COL1A2, COL1A1, CLDN11, COL3A1, LGALS1, FSTL1, COL5A2, IGF2, FN1, CDH11, GPC3, MDK, COL6A3 |
81 |
CUI_DEVELOPING_HEART_SMOOTH_MUSCLE_CELL | 3.05e-17 | 126.37 | 52.53 | 1.28e-15 | 2.05e-14 | 10COL1A2, COL1A1, COL3A1, IGFBP4, BGN, COLEC12, PCOLCE, SERPINF1, CFH, LOX |
48 |
DESCARTES_FETAL_THYMUS_STROMAL_CELLS | 8.75e-29 | 99.93 | 51.74 | 2.94e-26 | 5.87e-26 | 19COL1A2, COL1A1, COL3A1, FSTL1, FBN2, ISLR, COL5A2, COL5A1, IGF2, CD248, COL12A1, GPC3, BGN, CREB3L1, COL6A1, PCOLCE, LOX, MEST, PDGFRA |
137 |
DURANTE_ADULT_OLFACTORY_NEUROEPITHELIUM_FIBROBLASTS_STROMAL_CELLS | 1.58e-20 | 97.87 | 45.70 | 8.82e-19 | 1.06e-17 | 13AKAP12, COL1A2, COL1A1, CLDN11, COL3A1, LGALS1, IGFBP4, CDH11, BGN, AEBP1, PCOLCE, NBL1, SERPINF1 |
82 |
DESCARTES_FETAL_EYE_STROMAL_CELLS | 5.70e-20 | 87.76 | 41.18 | 2.73e-18 | 3.82e-17 | 13COL1A2, COL1A1, COL3A1, ISLR, COL5A2, COL5A1, FN1, COL12A1, CREB3L1, COL6A1, PCOLCE, COL6A3, LOX |
90 |
DESCARTES_FETAL_HEART_STROMAL_CELLS | 2.52e-12 | 115.63 | 40.35 | 6.77e-11 | 1.69e-09 | 7COL1A2, COL1A1, ISLR, GPC3, PCOLCE, SERPINF1, PDGFRA |
34 |
CUI_DEVELOPING_HEART_COMPACT_VENTRICULAR_CARDIOMYOCYTE | 8.01e-16 | 87.47 | 37.09 | 2.99e-14 | 5.38e-13 | 10COL1A2, COL1A1, COL3A1, LGALS1, COL5A2, COL5A1, FN1, COL12A1, COL6A1, COL6A3 |
65 |
HU_FETAL_RETINA_FIBROBLAST | 6.87e-30 | 53.55 | 29.18 | 4.61e-27 | 4.61e-27 | 25COL1A2, COL1A1, COL3A1, LGALS1, IGFBP4, FSTL1, FBN2, MFAP2, COL5A2, COL5A1, IGF2, FN1, CDH11, CD248, FOXC1, BGN, MDK, EVA1B, AEBP1, PCOLCE, COL6A3, ZFP36L1, FOXC2, MEST, PDGFRA |
385 |
AIZARANI_LIVER_C21_STELLATE_CELLS_1 | 3.26e-22 | 56.03 | 28.75 | 2.73e-20 | 2.19e-19 | 17COL1A2, COL1A1, CLDN11, COL3A1, LGALS1, IGFBP4, FSTL1, COL5A1, BGN, AEBP1, COL6A1, PCOLCE, SERPINF1, COL6A3, ZFP36L1, CFH, PDGFRA |
194 |
GAO_LARGE_INTESTINE_24W_C1_DCLK1POS_PROGENITOR | 1.08e-15 | 61.70 | 27.60 | 3.80e-14 | 7.22e-13 | 11COL1A2, COL1A1, CLDN11, COL3A1, ISLR, COL5A2, COL5A1, COLEC12, PCOLCE, SERPINF1, LOX |
99 |
FAN_OVARY_CL6_PUTATIVE_EARLY_ATRETIC_FOLLICLE_THECAL_CELL_2 | 1.65e-25 | 50.09 | 26.76 | 2.77e-23 | 1.11e-22 | 21AKAP12, COL1A2, COL1A1, CLDN11, COL3A1, LGALS1, IGFBP4, FSTL1, FN1, CDH11, GPC3, BGN, MDK, AEBP1, COL6A1, NBL1, SERPINF1, COL6A3, ZFP36L1, CFH, PDGFRA |
300 |
DESCARTES_MAIN_FETAL_STROMAL_CELLS | 1.85e-07 | 104.10 | 24.46 | 3.89e-06 | 1.24e-04 | 4COL1A2, COL1A1, COL5A1, COL12A1 |
20 |
TRAVAGLINI_LUNG_ADVENTITIAL_FIBROBLAST_CELL | 1.14e-20 | 39.00 | 20.35 | 6.93e-19 | 7.63e-18 | 18AKAP12, COL1A2, COL1A1, CLDN11, COL3A1, IGFBP4, FSTL1, ISLR, CD248, COLEC12, COL6A1, IFITM1, PCOLCE, SERPINF1, COL6A3, CFH, LOX, PDGFRA |
296 |
FAN_EMBRYONIC_CTX_BRAIN_ENDOTHELIAL_2 | 1.72e-20 | 38.04 | 19.85 | 8.89e-19 | 1.16e-17 | 18AKAP12, COL1A2, COL3A1, LGALS1, FSTL1, COL5A2, FN1, CDH11, CD248, BGN, MDK, AEBP1, COLEC12, COL6A1, IFITM1, PCOLCE, ATP1A2, CFH |
303 |
FAN_EMBRYONIC_CTX_BIG_GROUPS_BRAIN_ENDOTHELIAL | 3.86e-22 | 37.25 | 19.83 | 2.88e-20 | 2.59e-19 | 20COL1A2, COL3A1, LGALS1, IGFBP4, FSTL1, MFAP2, COL5A2, FN1, CDH11, CD248, FOXC1, BGN, EVA1B, AEBP1, COLEC12, COL6A1, IFITM1, PCOLCE, ATP1A2, ZIC2 |
365 |
RUBENSTEIN_SKELETAL_MUSCLE_FAP_CELLS | 5.56e-16 | 40.73 | 19.53 | 2.19e-14 | 3.73e-13 | 13AKAP12, COL1A2, COL1A1, COL3A1, FSTL1, ISLR, FN1, COL6A1, PCOLCE, SERPINF1, COL6A3, CFH, PDGFRA |
179 |
DESCARTES_FETAL_ADRENAL_STROMAL_CELLS | 1.40e-13 | 38.28 | 17.31 | 4.08e-12 | 9.39e-11 | 11COL1A1, CLDN11, COL3A1, ISLR, CDH11, CD248, COL12A1, PCOLCE, COL6A3, LOX, PDGFRA |
153 |
MURARO_PANCREAS_MESENCHYMAL_STROMAL_CELL | 7.06e-24 | 29.44 | 16.14 | 9.47e-22 | 4.74e-21 | 25AKAP12, COL1A2, COL1A1, COL3A1, LGALS1, IGFBP4, SLC7A11, FSTL1, ISLR, COL5A2, COL5A1, FN1, CDH11, CD248, COL12A1, BGN, AEBP1, CREB3L1, COL6A1, IFITM1, SERPINF1, COL6A3, ZFP36L1, LOX, PDGFRA |
680 |
FAN_OVARY_CL2_PUTATIVE_EARLY_ATRETIC_FOLLICLE_THECAL_CELL_1 | 1.41e-10 | 40.75 | 16.06 | 3.65e-09 | 9.49e-08 | 8COL1A2, COL1A1, LGALS1, MDK, COL6A1, NBL1, SERPINF1, ZFP36L1 |
98 |
Dowload full table
mSigDB Hallmark Gene Sets:
P-value | OR | Lower 95% CI | FDR | FWER | Genes Found | Gene Set Size | |
---|---|---|---|---|---|---|---|
HALLMARK_EPITHELIAL_MESENCHYMAL_TRANSITION | 9.56e-24 | 59.47 | 30.84 | 4.78e-22 | 4.78e-22 | 18COL1A2, COL1A1, COL3A1, LGALS1, IGFBP4, FSTL1, FBN2, COL5A2, COL5A1, FN1, CDH11, COL12A1, BGN, PCOLCE, COL6A3, LOX, FOXC2, MEST |
200 |
HALLMARK_ANGIOGENESIS | 2.18e-06 | 52.24 | 12.92 | 5.45e-05 | 1.09e-04 | 4VTN, COL3A1, FSTL1, COL5A2 |
36 |
HALLMARK_HYPOXIA | 1.56e-04 | 10.98 | 3.37 | 1.95e-03 | 7.81e-03 | 5AKAP12, COL5A1, GPC3, BGN, LOX |
200 |
HALLMARK_ESTROGEN_RESPONSE_LATE | 1.56e-04 | 10.98 | 3.37 | 1.95e-03 | 7.81e-03 | 5IGFBP4, FOXC1, MDK, NBL1, MEST |
200 |
HALLMARK_UV_RESPONSE_DN | 5.07e-04 | 11.97 | 3.09 | 5.07e-03 | 2.54e-02 | 4COL1A2, COL1A1, COL3A1, COL5A2 |
144 |
HALLMARK_MYOGENESIS | 1.70e-03 | 8.55 | 2.21 | 1.42e-02 | 8.51e-02 | 4COL1A1, COL3A1, AEBP1, COL6A3 |
200 |
HALLMARK_ESTROGEN_RESPONSE_EARLY | 1.46e-02 | 6.25 | 1.23 | 8.10e-02 | 7.29e-01 | 3IGFBP4, FOXC1, NBL1 |
200 |
HALLMARK_APICAL_JUNCTION | 1.46e-02 | 6.25 | 1.23 | 8.10e-02 | 7.29e-01 | 3CLDN11, CDH11, MDK |
200 |
HALLMARK_KRAS_SIGNALING_UP | 1.46e-02 | 6.25 | 1.23 | 8.10e-02 | 7.29e-01 | 3AKAP12, IGF2, CFH |
200 |
HALLMARK_COAGULATION | 4.90e-02 | 5.91 | 0.69 | 2.45e-01 | 1.00e+00 | 2FN1, CFH |
138 |
HALLMARK_COMPLEMENT | 9.29e-02 | 4.06 | 0.47 | 3.10e-01 | 1.00e+00 | 2FN1, CFH |
200 |
HALLMARK_INFLAMMATORY_RESPONSE | 9.29e-02 | 4.06 | 0.47 | 3.10e-01 | 1.00e+00 | 2GPC3, IFITM1 |
200 |
HALLMARK_XENOBIOTIC_METABOLISM | 9.29e-02 | 4.06 | 0.47 | 3.10e-01 | 1.00e+00 | 2VTN, IGFBP4 |
200 |
HALLMARK_GLYCOLYSIS | 9.29e-02 | 4.06 | 0.47 | 3.10e-01 | 1.00e+00 | 2COL5A1, GPC3 |
200 |
HALLMARK_P53_PATHWAY | 9.29e-02 | 4.06 | 0.47 | 3.10e-01 | 1.00e+00 | 2SLC7A11, ZFP36L1 |
200 |
HALLMARK_INTERFERON_ALPHA_RESPONSE | 2.22e-01 | 4.10 | 0.10 | 6.70e-01 | 1.00e+00 | 1IFITM1 |
97 |
HALLMARK_ANDROGEN_RESPONSE | 2.28e-01 | 3.97 | 0.10 | 6.70e-01 | 1.00e+00 | 1AKAP12 |
100 |
HALLMARK_FATTY_ACID_METABOLISM | 3.35e-01 | 2.51 | 0.06 | 8.75e-01 | 1.00e+00 | 1LGALS1 |
158 |
HALLMARK_APOPTOSIS | 3.40e-01 | 2.46 | 0.06 | 8.75e-01 | 1.00e+00 | 1BGN |
161 |
HALLMARK_IL2_STAT5_SIGNALING | 4.01e-01 | 1.99 | 0.05 | 8.75e-01 | 1.00e+00 | 1COL6A1 |
199 |
Dowload full table
KEGG Pathways:
P-value | OR | Lower 95% CI | FDR | FWER | Genes Found | Gene Set Size | |
---|---|---|---|---|---|---|---|
KEGG_ECM_RECEPTOR_INTERACTION | 7.42e-13 | 56.30 | 23.24 | 1.38e-10 | 1.38e-10 | 9VTN, COL1A2, COL1A1, COL3A1, COL5A2, COL5A1, FN1, COL6A1, COL6A3 |
84 |
KEGG_FOCAL_ADHESION | 6.94e-11 | 25.49 | 11.20 | 6.45e-09 | 1.29e-08 | 10VTN, COL1A2, COL1A1, COL3A1, COL5A2, COL5A1, FN1, COL6A1, COL6A3, PDGFRA |
199 |
KEGG_PROSTATE_CANCER | 2.21e-02 | 9.23 | 1.07 | 1.00e+00 | 1.00e+00 | 2CREB3L1, PDGFRA |
89 |
KEGG_GLYCOSPHINGOLIPID_BIOSYNTHESIS_GLOBO_SERIES | 3.56e-02 | 30.23 | 0.70 | 1.00e+00 | 1.00e+00 | 1A4GALT |
14 |
KEGG_REGULATION_OF_ACTIN_CYTOSKELETON | 1.03e-01 | 3.81 | 0.45 | 1.00e+00 | 1.00e+00 | 2FN1, PDGFRA |
213 |
KEGG_PROXIMAL_TUBULE_BICARBONATE_RECLAMATION | 5.78e-02 | 17.87 | 0.42 | 1.00e+00 | 1.00e+00 | 1ATP1A2 |
23 |
KEGG_PATHWAYS_IN_CANCER | 2.00e-01 | 2.49 | 0.29 | 1.00e+00 | 1.00e+00 | 2FN1, PDGFRA |
325 |
KEGG_ALDOSTERONE_REGULATED_SODIUM_REABSORPTION | 1.03e-01 | 9.59 | 0.23 | 1.00e+00 | 1.00e+00 | 1ATP1A2 |
42 |
KEGG_VASOPRESSIN_REGULATED_WATER_REABSORPTION | 1.08e-01 | 9.15 | 0.22 | 1.00e+00 | 1.00e+00 | 1CREB3L1 |
44 |
KEGG_HEDGEHOG_SIGNALING_PATHWAY | 1.35e-01 | 7.15 | 0.17 | 1.00e+00 | 1.00e+00 | 1ZIC2 |
56 |
KEGG_GLIOMA | 1.55e-01 | 6.15 | 0.15 | 1.00e+00 | 1.00e+00 | 1PDGFRA |
65 |
KEGG_COMPLEMENT_AND_COAGULATION_CASCADES | 1.63e-01 | 5.78 | 0.14 | 1.00e+00 | 1.00e+00 | 1CFH |
69 |
KEGG_MELANOMA | 1.68e-01 | 5.62 | 0.14 | 1.00e+00 | 1.00e+00 | 1PDGFRA |
71 |
KEGG_B_CELL_RECEPTOR_SIGNALING_PATHWAY | 1.76e-01 | 5.32 | 0.13 | 1.00e+00 | 1.00e+00 | 1IFITM1 |
75 |
KEGG_CARDIAC_MUSCLE_CONTRACTION | 1.85e-01 | 5.04 | 0.12 | 1.00e+00 | 1.00e+00 | 1ATP1A2 |
79 |
KEGG_SMALL_CELL_LUNG_CANCER | 1.95e-01 | 4.74 | 0.12 | 1.00e+00 | 1.00e+00 | 1FN1 |
84 |
KEGG_GAP_JUNCTION | 2.08e-01 | 4.42 | 0.11 | 1.00e+00 | 1.00e+00 | 1PDGFRA |
90 |
KEGG_MELANOGENESIS | 2.30e-01 | 3.93 | 0.10 | 1.00e+00 | 1.00e+00 | 1CREB3L1 |
101 |
KEGG_LEUKOCYTE_TRANSENDOTHELIAL_MIGRATION | 2.59e-01 | 3.42 | 0.08 | 1.00e+00 | 1.00e+00 | 1CLDN11 |
116 |
KEGG_TIGHT_JUNCTION | 2.89e-01 | 3.00 | 0.07 | 1.00e+00 | 1.00e+00 | 1CLDN11 |
132 |
Dowload full table
CHR Positional Gene Sets:
P-value | OR | Lower 95% CI | FDR | FWER | Genes Found | Gene Set Size | |
---|---|---|---|---|---|---|---|
chr2q32 | 3.15e-02 | 7.58 | 0.88 | 1.00e+00 | 1.00e+00 | 2COL3A1, COL5A2 |
108 |
chr5q23 | 3.31e-02 | 7.37 | 0.86 | 1.00e+00 | 1.00e+00 | 2FBN2, LOX |
111 |
chr11p11 | 5.35e-02 | 5.62 | 0.66 | 1.00e+00 | 1.00e+00 | 2MDK, CREB3L1 |
145 |
chr1q23 | 1.06e-01 | 3.74 | 0.44 | 1.00e+00 | 1.00e+00 | 2CD244, ATP1A2 |
217 |
chr22q13 | 1.82e-01 | 2.65 | 0.31 | 1.00e+00 | 1.00e+00 | 2LGALS1, A4GALT |
305 |
chr17p13 | 2.10e-01 | 2.41 | 0.28 | 1.00e+00 | 1.00e+00 | 2ASGR1, SERPINF1 |
336 |
chr17q21 | 3.22e-01 | 1.77 | 0.21 | 1.00e+00 | 1.00e+00 | 2COL1A1, IGFBP4 |
457 |
chr7p13 | 1.21e-01 | 8.03 | 0.20 | 1.00e+00 | 1.00e+00 | 1AEBP1 |
50 |
chr1p36 | 6.80e-01 | 1.23 | 0.14 | 1.00e+00 | 1.00e+00 | 2MFAP2, NBL1 |
656 |
chr1q31 | 1.68e-01 | 5.62 | 0.14 | 1.00e+00 | 1.00e+00 | 1CFH |
71 |
chr16q21 | 1.74e-01 | 5.39 | 0.13 | 1.00e+00 | 1.00e+00 | 1CDH11 |
74 |
chr4q12 | 1.85e-01 | 5.04 | 0.12 | 1.00e+00 | 1.00e+00 | 1PDGFRA |
79 |
chr6p25 | 1.91e-01 | 4.86 | 0.12 | 1.00e+00 | 1.00e+00 | 1FOXC1 |
82 |
chr7q32 | 2.08e-01 | 4.42 | 0.11 | 1.00e+00 | 1.00e+00 | 1MEST |
90 |
chr6q14 | 2.14e-01 | 4.28 | 0.11 | 1.00e+00 | 1.00e+00 | 1COL12A1 |
93 |
chr13q32 | 2.18e-01 | 4.19 | 0.10 | 1.00e+00 | 1.00e+00 | 1ZIC2 |
95 |
chr15q24 | 2.59e-01 | 3.42 | 0.08 | 1.00e+00 | 1.00e+00 | 1ISLR |
116 |
chr2q35 | 2.78e-01 | 3.15 | 0.08 | 1.00e+00 | 1.00e+00 | 1FN1 |
126 |
chr5p13 | 2.81e-01 | 3.10 | 0.08 | 1.00e+00 | 1.00e+00 | 1RANBP3L |
128 |
chr16q24 | 2.85e-01 | 3.05 | 0.08 | 1.00e+00 | 1.00e+00 | 1FOXC2 |
130 |
Dowload full table
Transcription Factor Targets:
P-value | OR | Lower 95% CI | FDR | FWER | Genes Found | Gene Set Size | |
---|---|---|---|---|---|---|---|
CTTTAAR_UNKNOWN | 1.29e-04 | 4.90 | 2.18 | 1.46e-01 | 1.46e-01 | 10SLC6A13, CLDN11, CREB3L1, ATP1A2, NBL1, SERPINF1, COL6A3, ZFP36L1, PDGFRA, ZIC2 |
994 |
OCT1_02 | 2.17e-03 | 7.98 | 2.07 | 4.60e-01 | 1.00e+00 | 4GPC3, CREB3L1, LOX, ZIC2 |
214 |
PBX1_02 | 4.74e-03 | 9.54 | 1.87 | 4.60e-01 | 1.00e+00 | 3AKAP12, IGF2, ZFP36L1 |
132 |
OCT1_03 | 3.08e-03 | 7.23 | 1.87 | 4.60e-01 | 1.00e+00 | 4SLC7A11, GPC3, ZFP36L1, PDGFRA |
236 |
SRF_Q6 | 3.67e-03 | 6.87 | 1.78 | 4.60e-01 | 1.00e+00 | 4COL1A2, COL1A1, CD248, ATP1A2 |
248 |
TFIIA_Q6 | 4.10e-03 | 6.65 | 1.73 | 4.60e-01 | 1.00e+00 | 4COL1A1, CD248, GPC3, ZIC2 |
256 |
STAT_01 | 4.21e-03 | 6.60 | 1.71 | 4.60e-01 | 1.00e+00 | 4VTN, FN1, PCOLCE, ZFP36L1 |
258 |
CP2_01 | 4.33e-03 | 6.55 | 1.70 | 4.60e-01 | 1.00e+00 | 4COL1A2, COL1A1, GPC3, ZIC2 |
260 |
CEBPB_02 | 4.69e-03 | 6.40 | 1.66 | 4.60e-01 | 1.00e+00 | 4SLC7A11, ASGR1, SERPINF1, PDGFRA |
266 |
DR4_Q2 | 4.69e-03 | 6.40 | 1.66 | 4.60e-01 | 1.00e+00 | 4COL1A2, CD248, ATP1A2, ZIC2 |
266 |
EGR1_01 | 4.87e-03 | 6.33 | 1.64 | 4.60e-01 | 1.00e+00 | 4VTN, AKAP12, CREB3L1, PCOLCE |
269 |
TTGCWCAAY_CEBPB_02 | 1.15e-02 | 13.16 | 1.52 | 7.08e-01 | 1.00e+00 | 2SLC7A11, ZFP36L1 |
63 |
TGGAAA_NFAT_Q4_01 | 1.43e-03 | 3.17 | 1.51 | 4.60e-01 | 1.00e+00 | 12RANBP3L, COL1A2, LGALS1, FSTL1, FN1, COL12A1, COLEC12, ATP1A2, ZFP36L1, LOX, PDGFRA, ZIC2 |
1934 |
HTF_01 | 1.44e-02 | 11.64 | 1.34 | 7.08e-01 | 1.00e+00 | 2COL1A2, CREB3L1 |
71 |
TGANTCA_AP1_C | 5.99e-03 | 3.25 | 1.31 | 5.22e-01 | 1.00e+00 | 8COL1A1, LGALS1, COL5A2, CD244, GPC3, AEBP1, ZFP36L1, PDGFRA |
1139 |
AAANWWTGC_UNKNOWN | 1.36e-02 | 6.41 | 1.27 | 7.08e-01 | 1.00e+00 | 3FN1, GPC3, LOX |
195 |
EGR2_01 | 1.42e-02 | 6.31 | 1.25 | 7.08e-01 | 1.00e+00 | 3VTN, COLEC12, PCOLCE |
198 |
GR_01 | 1.52e-02 | 6.15 | 1.21 | 7.08e-01 | 1.00e+00 | 3SLC7A11, LOX, ZIC2 |
203 |
AAAYRNCTG_UNKNOWN | 1.49e-02 | 4.52 | 1.18 | 7.08e-01 | 1.00e+00 | 4COL1A2, COL12A1, ATP1A2, PDGFRA |
375 |
RP58_01 | 1.70e-02 | 5.89 | 1.16 | 7.08e-01 | 1.00e+00 | 3COL3A1, COLEC12, PCOLCE |
212 |
Dowload full table
GO Biological Processes:
P-value | OR | Lower 95% CI | FDR | FWER | Genes Found | Gene Set Size | |
---|---|---|---|---|---|---|---|
GOBP_COLLAGEN_FIBRIL_ORGANIZATION | 1.10e-16 | 108.95 | 45.77 | 4.11e-13 | 8.23e-13 | 10COL1A2, COL1A1, COL3A1, COL5A2, COL5A1, FOXC1, COL12A1, AEBP1, LOX, FOXC2 |
54 |
GOBP_ENDODERMAL_CELL_DIFFERENTIATION | 1.42e-09 | 69.14 | 22.69 | 9.66e-07 | 1.06e-05 | 6VTN, COL5A2, COL5A1, FN1, COL12A1, COL6A1 |
44 |
GOBP_APOPTOTIC_PROCESS_INVOLVED_IN_HEART_MORPHOGENESIS | 6.52e-05 | 265.22 | 21.74 | 8.41e-03 | 4.88e-01 | 2FOXC1, FOXC2 |
5 |
GOBP_REGULATION_OF_ENDODERMAL_CELL_DIFFERENTIATION | 6.52e-05 | 265.22 | 21.74 | 8.41e-03 | 4.88e-01 | 2COL5A2, COL5A1 |
5 |
GOBP_NEGATIVE_REGULATION_OF_APOPTOTIC_PROCESS_INVOLVED_IN_DEVELOPMENT | 6.52e-05 | 265.22 | 21.74 | 8.41e-03 | 4.88e-01 | 2FOXC1, FOXC2 |
5 |
GOBP_ENDODERM_FORMATION | 4.52e-09 | 55.84 | 18.55 | 2.12e-06 | 3.38e-05 | 6VTN, COL5A2, COL5A1, FN1, COL12A1, COL6A1 |
53 |
GOBP_ENDODERM_DEVELOPMENT | 9.30e-10 | 45.48 | 16.65 | 6.96e-07 | 6.96e-06 | 7VTN, COL5A2, COL5A1, FN1, COL12A1, COL6A1, ZFP36L1 |
76 |
GOBP_EXTERNAL_ENCAPSULATING_STRUCTURE_ORGANIZATION | 6.31e-20 | 31.35 | 16.57 | 4.72e-16 | 4.72e-16 | 19VTN, COL1A2, COL1A1, COL3A1, FBN2, MFAP2, COL5A2, COL5A1, FN1, FOXC1, COL12A1, BGN, AEBP1, CREB3L1, COL6A1, COL6A3, LOX, FOXC2, PDGFRA |
396 |
GOBP_PARAXIAL_MESODERM_FORMATION | 1.36e-04 | 159.06 | 14.87 | 1.39e-02 | 1.00e+00 | 2FOXC1, FOXC2 |
7 |
GOBP_MAINTENANCE_OF_PROTEIN_LOCATION_IN_EXTRACELLULAR_REGION | 1.36e-04 | 159.06 | 14.87 | 1.39e-02 | 1.00e+00 | 2FBN2, NBL1 |
7 |
GOBP_FORMATION_OF_PRIMARY_GERM_LAYER | 5.11e-10 | 34.29 | 13.58 | 4.78e-07 | 3.82e-06 | 8VTN, COL5A2, COL5A1, FN1, FOXC1, COL12A1, COL6A1, FOXC2 |
115 |
GOBP_BONE_TRABECULA_FORMATION | 2.33e-04 | 114.17 | 11.31 | 2.10e-02 | 1.00e+00 | 2COL1A1, FBN2 |
9 |
GOBP_OSSIFICATION | 3.53e-14 | 21.53 | 10.83 | 8.79e-11 | 2.64e-10 | 15RANBP3L, COL1A2, COL1A1, FBN2, COL5A2, IGF2, CDH11, FOXC1, GPC3, MDK, CREB3L1, COL6A1, IFITM1, LOX, FOXC2 |
399 |
GOBP_GASTRULATION | 6.83e-10 | 24.88 | 10.46 | 5.68e-07 | 5.11e-06 | 9VTN, COL5A2, COL5A1, FN1, FOXC1, COL12A1, GPC3, COL6A1, FOXC2 |
179 |
GOBP_SEQUESTERING_OF_EXTRACELLULAR_LIGAND_FROM_RECEPTOR | 2.91e-04 | 100.19 | 10.10 | 2.37e-02 | 1.00e+00 | 2FBN2, NBL1 |
10 |
GOBP_PARAXIAL_MESODERM_MORPHOGENESIS | 2.91e-04 | 100.19 | 10.10 | 2.37e-02 | 1.00e+00 | 2FOXC1, FOXC2 |
10 |
GOBP_CELLULAR_RESPONSE_TO_ACID_CHEMICAL | 9.20e-07 | 33.43 | 10.03 | 2.46e-04 | 6.88e-03 | 5COL1A2, COL1A1, COL5A2, COL6A1, PDGFRA |
69 |
GOBP_SKIN_MORPHOGENESIS | 3.55e-04 | 88.95 | 9.12 | 2.71e-02 | 1.00e+00 | 2COL1A2, COL1A1 |
11 |
GOBP_REGULATION_OF_APOPTOTIC_PROCESS_INVOLVED_IN_DEVELOPMENT | 3.55e-04 | 88.95 | 9.12 | 2.71e-02 | 1.00e+00 | 2FOXC1, FOXC2 |
11 |
GOBP_BONE_TRABECULA_MORPHOGENESIS | 4.25e-04 | 79.97 | 8.32 | 3.15e-02 | 1.00e+00 | 2COL1A1, FBN2 |
12 |
Dowload full table
Immunological Gene Sets:
P-value | OR | Lower 95% CI | FDR | FWER | Genes Found | Gene Set Size | |
---|---|---|---|---|---|---|---|
GSE4748_CTRL_VS_LPS_STIM_DC_3H_UP | 3.91e-08 | 19.12 | 7.65 | 1.90e-04 | 1.90e-04 | 8AKAP12, COL3A1, FSTL1, COL5A2, CDH11, CD248, CREB3L1, PDGFRA |
200 |
GSE3039_CD4_TCELL_VS_B2_BCELL_UP | 1.17e-05 | 13.54 | 4.66 | 1.42e-02 | 5.69e-02 | 6IGFBP4, FSTL1, FN1, CDH11, BGN, CFH |
200 |
GSE22935_WT_VS_MYD88_KO_MACROPHAGE_48H_MBOVIS_BCG_STIM_DN | 1.17e-05 | 13.54 | 4.66 | 1.42e-02 | 5.69e-02 | 6COL3A1, LGALS1, SLC7A11, FSTL1, CD244, AEBP1 |
200 |
GSE28737_BCL6_HET_VS_BCL6_KO_FOLLICULAR_BCELL_DN | 1.17e-05 | 13.54 | 4.66 | 1.42e-02 | 5.69e-02 | 6COL1A2, COL1A1, FSTL1, BGN, COL6A3, LOX |
200 |
GSE24671_CTRL_VS_BAKIMULC_INFECTED_MOUSE_SPLENOCYTES_DN | 7.33e-05 | 12.98 | 3.97 | 7.14e-02 | 3.57e-01 | 5COL1A1, FSTL1, COL5A2, GPC3, ZFP36L1 |
170 |
GSE17721_0.5H_VS_24H_CPG_BMDC_DN | 1.56e-04 | 10.98 | 3.37 | 8.45e-02 | 7.61e-01 | 5SLC6A13, IGFBP4, FSTL1, COL5A1, LOX |
200 |
GSE9650_GP33_VS_GP276_LCMV_SPECIFIC_EXHAUSTED_CD8_TCELL_UP | 1.56e-04 | 10.98 | 3.37 | 8.45e-02 | 7.61e-01 | 5CLDN11, FSTL1, IGF2, CFH, PDGFRA |
200 |
GSE8835_HEALTHY_VS_CLL_CD8_TCELL_DN | 1.56e-04 | 10.98 | 3.37 | 8.45e-02 | 7.61e-01 | 5COL1A2, COL1A1, COL3A1, COL5A1, ZFP36L1 |
200 |
GSE37301_RAG2_KO_VS_RAG2_AND_ETS1_KO_NK_CELL_UP | 1.56e-04 | 10.98 | 3.37 | 8.45e-02 | 7.61e-01 | 5COL1A1, GPC3, COL6A1, ZFP36L1, CFH |
200 |
GSE9601_UNTREATED_VS_NFKB_INHIBITOR_TREATED_HCMV_INF_MONOCYTE_UP | 8.42e-04 | 10.41 | 2.69 | 2.30e-01 | 1.00e+00 | 4LGALS1, ISLR, IGF2, COL12A1 |
165 |
GSE6259_CD4_TCELL_VS_CD8_TCELL_UP | 1.33e-03 | 9.16 | 2.37 | 2.30e-01 | 1.00e+00 | 4FSTL1, COLEC12, PCOLCE, SERPINF1 |
187 |
GSE17974_IL4_AND_ANTI_IL12_VS_UNTREATED_2H_ACT_CD4_TCELL_DN | 1.39e-03 | 9.06 | 2.34 | 2.30e-01 | 1.00e+00 | 4FSTL1, GPC3, COLEC12, COL6A3 |
189 |
GSE11057_NAIVE_VS_MEMORY_CD4_TCELL_UP | 1.55e-03 | 8.78 | 2.27 | 2.30e-01 | 1.00e+00 | 4COL5A2, CD248, AEBP1, MEST |
195 |
GSE11057_NAIVE_VS_CENT_MEMORY_CD4_TCELL_UP | 1.58e-03 | 8.73 | 2.26 | 2.30e-01 | 1.00e+00 | 4COL5A2, CD248, AEBP1, MEST |
196 |
GSE29618_PRE_VS_DAY7_POST_TIV_FLU_VACCINE_BCELL_UP | 1.58e-03 | 8.73 | 2.26 | 2.30e-01 | 1.00e+00 | 4IGFBP4, ISLR, BGN, CFH |
196 |
GSE1460_INTRATHYMIC_T_PROGENITOR_VS_NAIVE_CD4_TCELL_ADULT_BLOOD_DN | 1.61e-03 | 8.68 | 2.25 | 2.30e-01 | 1.00e+00 | 4COL6A1, IFITM1, ZFP36L1, LOX |
197 |
GSE360_DC_VS_MAC_T_GONDII_UP | 1.64e-03 | 8.64 | 2.24 | 2.30e-01 | 1.00e+00 | 4FN1, CDH11, PCOLCE, ATP1A2 |
198 |
GSE360_T_GONDII_VS_M_TUBERCULOSIS_MAC_DN | 1.64e-03 | 8.64 | 2.24 | 2.30e-01 | 1.00e+00 | 4FSTL1, CDH11, CREB3L1, IFITM1 |
198 |
GSE17186_MEMORY_VS_CD21HIGH_TRANSITIONAL_BCELL_UP | 1.64e-03 | 8.64 | 2.24 | 2.30e-01 | 1.00e+00 | 4SLC7A11, A4GALT, NBL1, ZFP36L1 |
198 |
GSE21546_UNSTIM_VS_ANTI_CD3_STIM_SAP1A_KO_DP_THYMOCYTES_UP | 1.64e-03 | 8.64 | 2.24 | 2.30e-01 | 1.00e+00 | 4FSTL1, FN1, FOXC1, IFITM1 |
198 |
Top Ranked Transcription Factors for this Gene Expression Program:
Gene Symbol | TF Rank | DNA Binding Domain | Motif Status | IUPAC PWM | GTEx | DepMap | Decartes |
---|---|---|---|---|---|---|---|
FOXC1 | 24 | Yes | Known motif | Monomer or homomultimer | High-throughput in vitro | None | None |
FOXD1 | 27 | Yes | Known motif | Monomer or homomultimer | 100 perc ID - in vitro | None | None |
AEBP1 | 33 | Yes | Likely to be sequence specific TF | Monomer or homomultimer | No motif | None | This is a protease, but its ability to bind DNA is supported by both gel-shift (PMID: 15654748) and ChIP (PMID: 22723309). |
CREB3L1 | 36 | Yes | Known motif | Monomer or homomultimer | High-throughput in vitro | None | None |
ZFP36L1 | 44 | No | ssDNA/RNA binding | Not a DNA binding protein | No motif | None | RNA-binding protein (PMID: 27102483; PMID: 17013884). |
FOXC2 | 47 | Yes | Known motif | Monomer or homomultimer | High-throughput in vitro | None | None |
ZIC2 | 50 | Yes | Known motif | Monomer or homomultimer | 100 perc ID - in vitro | None | None |
TWIST1 | 54 | Yes | Known motif | Monomer or homomultimer | In vivo/Misc source | Only known motifs are from Transfac or HocoMoco - origin is uncertain | Can form both homodimers and heterodimers with TCF3 (PMID: 16502419). |
EGR1 | 56 | Yes | Known motif | Monomer or homomultimer | High-throughput in vitro | None | None |
OSR1 | 69 | Yes | Known motif | Monomer or homomultimer | High-throughput in vitro | None | None |
CYP1B1 | 70 | No | Unlikely to be sequence specific TF | Not a DNA binding protein | No motif | None | None |
FOS | 107 | Yes | Known motif | Monomer or homomultimer | High-throughput in vitro | None | None |
HIC1 | 109 | Yes | Known motif | Monomer or homomultimer | High-throughput in vitro | None | None |
PRRX1 | 111 | Yes | Known motif | Monomer or homomultimer | High-throughput in vitro | None | None |
BTG2 | 116 | No | Unlikely to be sequence specific TF | Not a DNA binding protein | No motif | None | Transcriptional co-factor (PMID: 10617598) |
ZIC4 | 120 | Yes | Known motif | Monomer or homomultimer | High-throughput in vitro | None | None |
JUND | 144 | Yes | Known motif | Monomer or homomultimer | High-throughput in vitro | None | None |
FBN1 | 155 | No | Unlikely to be sequence specific TF | Not a DNA binding protein | No motif | None | None |
PRDM6 | 161 | Yes | Known motif | Monomer or homomultimer | In vivo/Misc source | Motif obtained from MEME - not supported by recognition code (RCADE) and may be inaccurate or indirect | None |
ID3 | 165 | No | Unlikely to be sequence specific TF | Not a DNA binding protein | No motif | None | ID bHLH proteins lack the basic region and should not be able to bind DNA. The HT-SELEX motif for ID4 is likely by a co-precipitated protein or it is a contamination |
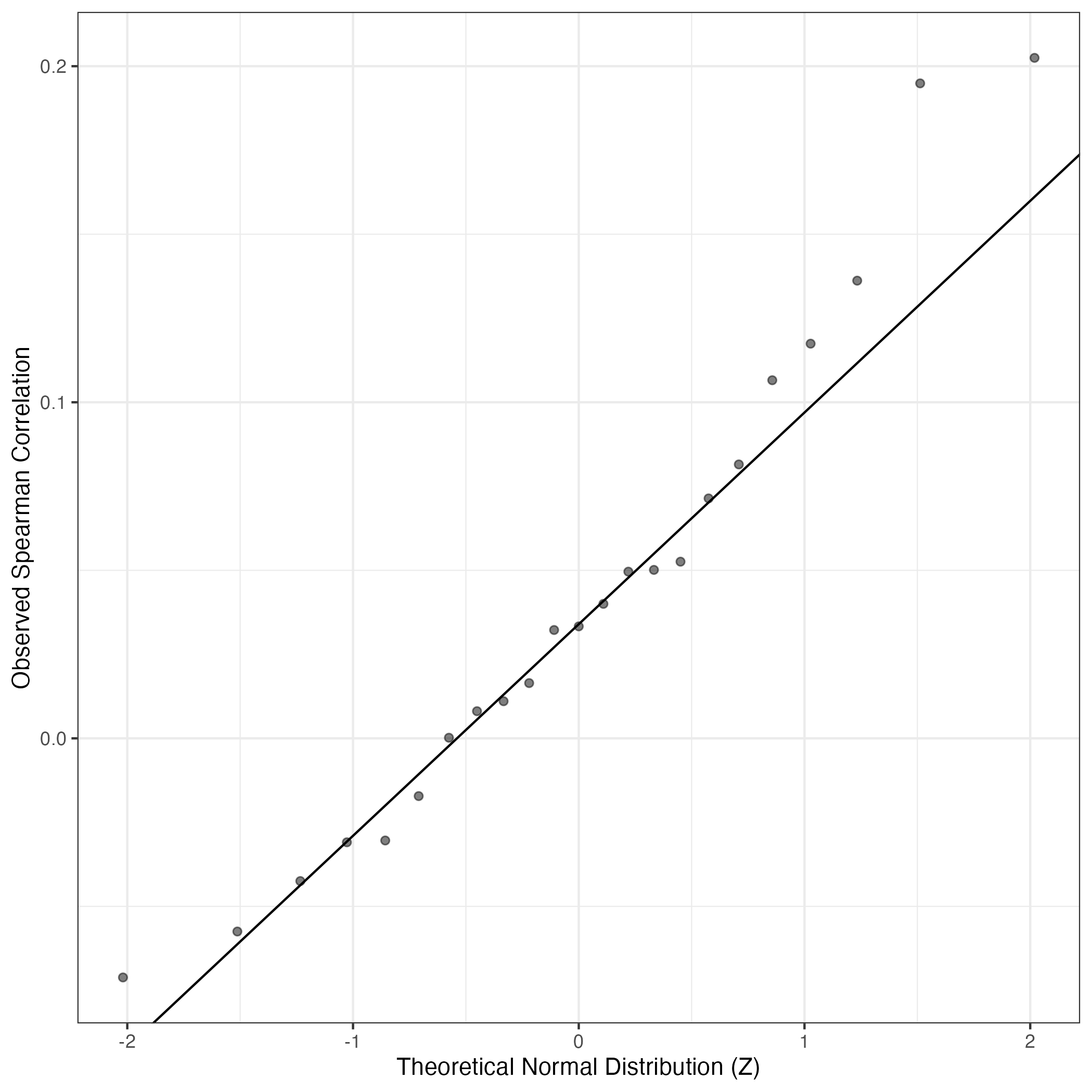
QQ Plot showing correlations with other GEPs in this dataset, calculated by Spearman correlation:
Interactive QQ-plot of gene loadings:
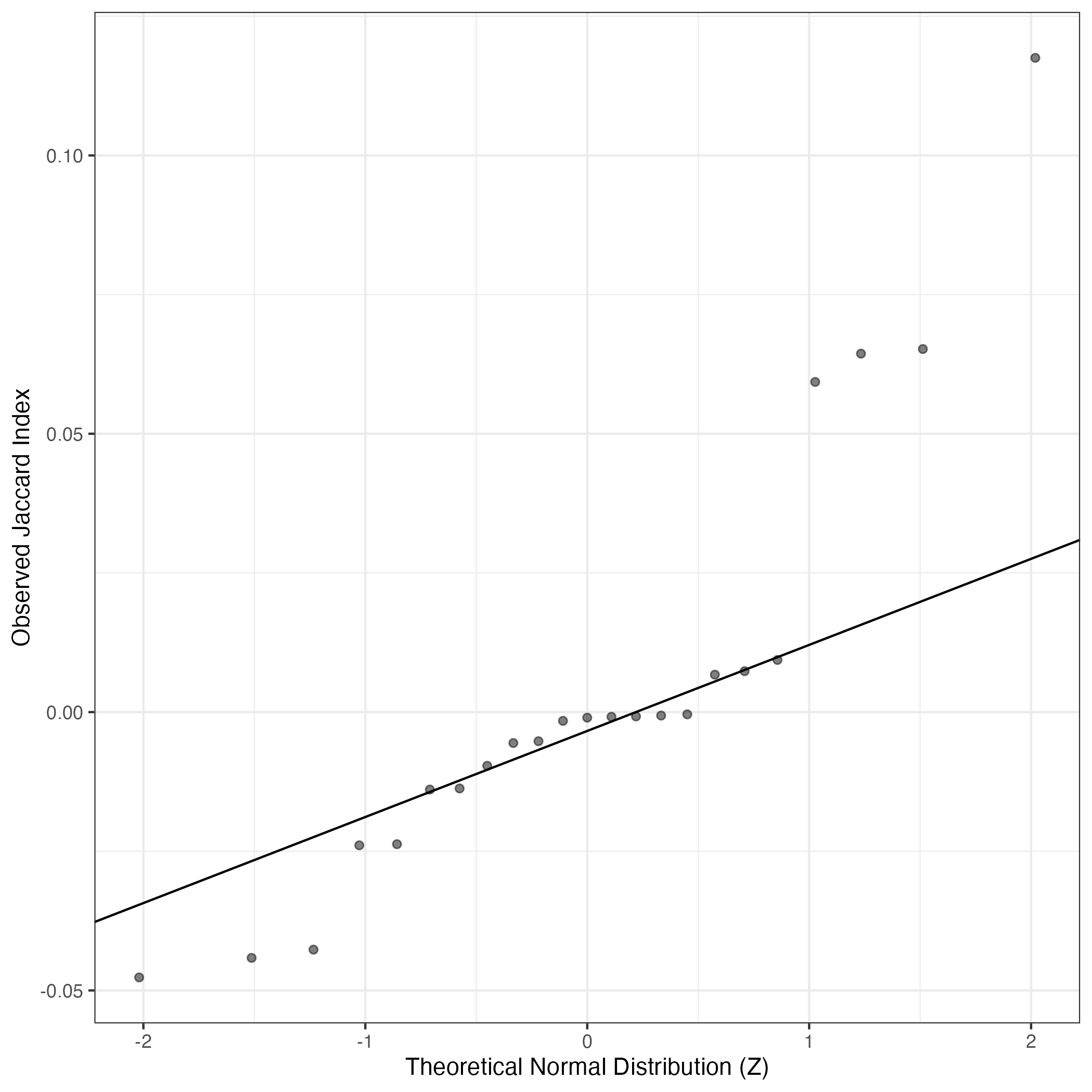
A similar QQ-plot as above, but only for instances where the H value is e.g. > 25, i.e. we are confident that the expression program is active above noise. Agreemenet between these binary vectors is tested using the Jaccard Index, with the P-values calculated by an exact test:
Interactive QQ-plot:
Singler cell type annotations for the top 50 cells on this program.
Cell ID | Singler label | Singler Delta | Activity Score | Top Singler Raw Scores |
---|---|---|---|---|
X71_AACCAACGTCACCCTT | iPS_cells:CRL2097_foreskin-derived:d20_hepatic_diff | 0.41 | 1444.91 | Raw ScoresiPS_cells:CRL2097_foreskin-derived:d20_hepatic_diff: 0.63, Neuroepithelial_cell:ESC-derived: 0.62, Neurons:ES_cell-derived_neural_precursor: 0.61, Astrocyte:Embryonic_stem_cell-derived: 0.6, Embryonic_stem_cells: 0.6, Fibroblasts:breast: 0.6, Keratinocytes: 0.6, Keratinocytes:IL26: 0.6, iPS_cells:adipose_stem_cells: 0.59, Keratinocytes:KGF: 0.57 |
X71_GCTACAACACAATGAA | Neuroepithelial_cell:ESC-derived | 0.33 | 1102.14 | Raw ScoresNeuroepithelial_cell:ESC-derived: 0.68, Neurons:ES_cell-derived_neural_precursor: 0.68, MSC: 0.65, Chondrocytes:MSC-derived: 0.64, Gametocytes:oocyte: 0.63, iPS_cells:CRL2097_foreskin-derived:d20_hepatic_diff: 0.6, iPS_cells:PDB_2lox-17: 0.59, Erythroblast: 0.59, Embryonic_stem_cells: 0.58, Neurons:adrenal_medulla_cell_line: 0.55 |
X71_TAACCAGTCCCAGGAC | Keratinocytes:KGF | 0.48 | 1031.00 | Raw ScoresNeuroepithelial_cell:ESC-derived: 0.42, Keratinocytes:KGF: 0.42, Neurons:ES_cell-derived_neural_precursor: 0.42, Neurons:adrenal_medulla_cell_line: 0.42, iPS_cells:CRL2097_foreskin-derived:d20_hepatic_diff: 0.42, iPS_cells:adipose_stem_cells: 0.42, Chondrocytes:MSC-derived: 0.42, iPS_cells:fibroblast-derived:Direct_del._reprog: 0.41, Erythroblast: 0.4, Gametocytes:oocyte: 0.4 |
X72_GGTGTCGTCCTCACCA | Neurons:ES_cell-derived_neural_precursor | 0.33 | 988.85 | Raw ScoresNeuroepithelial_cell:ESC-derived: 0.68, Neurons:ES_cell-derived_neural_precursor: 0.68, MSC: 0.64, Chondrocytes:MSC-derived: 0.63, Gametocytes:oocyte: 0.62, iPS_cells:CRL2097_foreskin-derived:d20_hepatic_diff: 0.6, iPS_cells:PDB_2lox-17: 0.59, Erythroblast: 0.57, Embryonic_stem_cells: 0.57, iPS_cells:PDB_1lox-17Puro-10: 0.55 |
X71_CAGATACGTGGCATCC | Neuroepithelial_cell:ESC-derived | 0.35 | 988.57 | Raw ScoresNeuroepithelial_cell:ESC-derived: 0.58, Neurons:ES_cell-derived_neural_precursor: 0.58, Erythroblast: 0.57, Gametocytes:oocyte: 0.57, MSC: 0.57, Chondrocytes:MSC-derived: 0.54, iPS_cells:CRL2097_foreskin-derived:d20_hepatic_diff: 0.54, Keratinocytes:KGF: 0.5, Neurons:adrenal_medulla_cell_line: 0.5, iPS_cells:adipose_stem_cells: 0.5 |
X71_TGTTACTGTCTAACGT | Neuroepithelial_cell:ESC-derived | 0.38 | 928.45 | Raw ScoresNeuroepithelial_cell:ESC-derived: 0.75, Neurons:ES_cell-derived_neural_precursor: 0.75, iPS_cells:CRL2097_foreskin-derived:d20_hepatic_diff: 0.74, MSC: 0.73, Embryonic_stem_cells: 0.72, Fibroblasts:breast: 0.68, Keratinocytes: 0.68, Keratinocytes:IL26: 0.68, iPS_cells:adipose_stem_cells: 0.68, Astrocyte:Embryonic_stem_cell-derived: 0.67 |
X72_TCTATCATCCTGTTAT | Neuroepithelial_cell:ESC-derived | 0.40 | 909.16 | Raw ScoresNeuroepithelial_cell:ESC-derived: 0.54, Neurons:ES_cell-derived_neural_precursor: 0.54, Chondrocytes:MSC-derived: 0.5, iPS_cells:CRL2097_foreskin-derived:d20_hepatic_diff: 0.48, MSC: 0.47, Neurons:adrenal_medulla_cell_line: 0.46, Embryonic_stem_cells: 0.45, iPS_cells:adipose_stem_cells: 0.44, Gametocytes:oocyte: 0.44, Astrocyte:Embryonic_stem_cell-derived: 0.43 |
X72_ACACAGTTCCTACTGC | Chondrocytes:MSC-derived | 0.31 | 902.86 | Raw ScoresChondrocytes:MSC-derived: 0.72, MSC: 0.66, iPS_cells:adipose_stem_cells: 0.66, Osteoblasts: 0.65, Smooth_muscle_cells:bronchial: 0.64, Smooth_muscle_cells:bronchial:vit_D: 0.64, Fibroblasts:breast: 0.63, Neuroepithelial_cell:ESC-derived: 0.62, Neurons:ES_cell-derived_neural_precursor: 0.62, Osteoblasts:BMP2: 0.61 |
X72_CGAGTTACACAGACGA | Neurons:ES_cell-derived_neural_precursor | 0.33 | 902.30 | Raw ScoresNeuroepithelial_cell:ESC-derived: 0.68, Neurons:ES_cell-derived_neural_precursor: 0.68, MSC: 0.64, Chondrocytes:MSC-derived: 0.63, Gametocytes:oocyte: 0.62, iPS_cells:CRL2097_foreskin-derived:d20_hepatic_diff: 0.6, iPS_cells:PDB_2lox-17: 0.59, Erythroblast: 0.57, Embryonic_stem_cells: 0.57, iPS_cells:PDB_1lox-17Puro-10: 0.55 |
X71_CGGCAGTAGGCTTTCA | Neuroepithelial_cell:ESC-derived | 0.40 | 899.22 | Raw ScoresNeuroepithelial_cell:ESC-derived: 0.54, Neurons:ES_cell-derived_neural_precursor: 0.54, Chondrocytes:MSC-derived: 0.5, iPS_cells:CRL2097_foreskin-derived:d20_hepatic_diff: 0.48, MSC: 0.47, Neurons:adrenal_medulla_cell_line: 0.46, Embryonic_stem_cells: 0.45, iPS_cells:adipose_stem_cells: 0.44, Gametocytes:oocyte: 0.44, Astrocyte:Embryonic_stem_cell-derived: 0.43 |
X71_GAAGCCCCAGCTTCGG | Neuroepithelial_cell:ESC-derived | 0.37 | 897.07 | Raw ScoresNeuroepithelial_cell:ESC-derived: 0.76, Neurons:ES_cell-derived_neural_precursor: 0.76, iPS_cells:CRL2097_foreskin-derived:d20_hepatic_diff: 0.75, Embryonic_stem_cells: 0.73, MSC: 0.73, Keratinocytes: 0.69, Keratinocytes:IL26: 0.69, Fibroblasts:breast: 0.69, iPS_cells:adipose_stem_cells: 0.69, Keratinocytes:KGF: 0.67 |
X71_AGTCTCCCACACAGCC | Neuroepithelial_cell:ESC-derived | 0.33 | 862.80 | Raw ScoresNeuroepithelial_cell:ESC-derived: 0.68, Neurons:ES_cell-derived_neural_precursor: 0.68, MSC: 0.65, Chondrocytes:MSC-derived: 0.64, Gametocytes:oocyte: 0.63, iPS_cells:CRL2097_foreskin-derived:d20_hepatic_diff: 0.6, iPS_cells:PDB_2lox-17: 0.59, Erythroblast: 0.59, Embryonic_stem_cells: 0.58, Neurons:adrenal_medulla_cell_line: 0.55 |
X71_TGGGAAGCACAAGCTT | Neurons:ES_cell-derived_neural_precursor | 0.40 | 859.66 | Raw ScoresNeurons:ES_cell-derived_neural_precursor: 0.68, iPS_cells:CRL2097_foreskin-derived:d20_hepatic_diff: 0.68, Neuroepithelial_cell:ESC-derived: 0.65, Embryonic_stem_cells: 0.65, Keratinocytes:KGF: 0.64, iPS_cells:adipose_stem_cells: 0.64, iPS_cells:fibroblast-derived:Direct_del._reprog: 0.64, Keratinocytes:IL26: 0.63, Fibroblasts:breast: 0.63, Keratinocytes: 0.63 |
X71_GTATTGGCAAATGCGG | Neuroepithelial_cell:ESC-derived | 0.33 | 845.18 | Raw ScoresNeuroepithelial_cell:ESC-derived: 0.68, Neurons:ES_cell-derived_neural_precursor: 0.68, MSC: 0.65, Chondrocytes:MSC-derived: 0.64, Gametocytes:oocyte: 0.62, iPS_cells:CRL2097_foreskin-derived:d20_hepatic_diff: 0.6, iPS_cells:PDB_2lox-17: 0.59, Erythroblast: 0.58, Embryonic_stem_cells: 0.57, Neurons:adrenal_medulla_cell_line: 0.55 |
X72_TCGTAGATCTGACGCG | Neuroepithelial_cell:ESC-derived | 0.35 | 821.21 | Raw ScoresNeuroepithelial_cell:ESC-derived: 0.58, Neurons:ES_cell-derived_neural_precursor: 0.58, Erythroblast: 0.57, Gametocytes:oocyte: 0.57, MSC: 0.57, Chondrocytes:MSC-derived: 0.54, iPS_cells:CRL2097_foreskin-derived:d20_hepatic_diff: 0.54, Keratinocytes:KGF: 0.5, Neurons:adrenal_medulla_cell_line: 0.5, iPS_cells:adipose_stem_cells: 0.5 |
X71_CGGGACTCAGAACCGA | Neuroepithelial_cell:ESC-derived | 0.38 | 797.36 | Raw ScoresNeuroepithelial_cell:ESC-derived: 0.76, Neurons:ES_cell-derived_neural_precursor: 0.75, iPS_cells:CRL2097_foreskin-derived:d20_hepatic_diff: 0.74, MSC: 0.74, Embryonic_stem_cells: 0.72, Fibroblasts:breast: 0.68, Keratinocytes: 0.68, Keratinocytes:IL26: 0.68, iPS_cells:adipose_stem_cells: 0.67, Astrocyte:Embryonic_stem_cell-derived: 0.66 |
X71_AGGAATATCGCACTCT | Neuroepithelial_cell:ESC-derived | 0.35 | 790.66 | Raw ScoresNeuroepithelial_cell:ESC-derived: 0.58, Neurons:ES_cell-derived_neural_precursor: 0.58, Erythroblast: 0.57, Gametocytes:oocyte: 0.57, MSC: 0.57, Chondrocytes:MSC-derived: 0.54, iPS_cells:CRL2097_foreskin-derived:d20_hepatic_diff: 0.54, Keratinocytes:KGF: 0.5, Neurons:adrenal_medulla_cell_line: 0.5, iPS_cells:adipose_stem_cells: 0.5 |
X72_ATGCATGAGATTGCGG | Neuroepithelial_cell:ESC-derived | 0.35 | 770.50 | Raw ScoresNeuroepithelial_cell:ESC-derived: 0.58, Neurons:ES_cell-derived_neural_precursor: 0.58, Erythroblast: 0.57, Gametocytes:oocyte: 0.57, MSC: 0.57, Chondrocytes:MSC-derived: 0.54, iPS_cells:CRL2097_foreskin-derived:d20_hepatic_diff: 0.54, Keratinocytes:KGF: 0.5, Neurons:adrenal_medulla_cell_line: 0.5, iPS_cells:adipose_stem_cells: 0.5 |
X71_CTGTCGTAGGCCATAG | Neurons:ES_cell-derived_neural_precursor | 0.33 | 735.27 | Raw ScoresNeuroepithelial_cell:ESC-derived: 0.68, Neurons:ES_cell-derived_neural_precursor: 0.68, MSC: 0.64, Chondrocytes:MSC-derived: 0.63, Gametocytes:oocyte: 0.62, iPS_cells:CRL2097_foreskin-derived:d20_hepatic_diff: 0.6, iPS_cells:PDB_2lox-17: 0.59, Erythroblast: 0.57, Embryonic_stem_cells: 0.57, iPS_cells:PDB_1lox-17Puro-10: 0.55 |
X71_ACAAAGAGTACCGTCG | Keratinocytes:KGF | 0.48 | 733.08 | Raw ScoresNeuroepithelial_cell:ESC-derived: 0.42, Keratinocytes:KGF: 0.42, Neurons:ES_cell-derived_neural_precursor: 0.42, Neurons:adrenal_medulla_cell_line: 0.42, iPS_cells:CRL2097_foreskin-derived:d20_hepatic_diff: 0.42, iPS_cells:adipose_stem_cells: 0.42, Chondrocytes:MSC-derived: 0.42, iPS_cells:fibroblast-derived:Direct_del._reprog: 0.41, Erythroblast: 0.4, Gametocytes:oocyte: 0.4 |
X71_CTGCATCCACCATAAC | Neuroepithelial_cell:ESC-derived | 0.33 | 732.13 | Raw ScoresNeuroepithelial_cell:ESC-derived: 0.68, Neurons:ES_cell-derived_neural_precursor: 0.68, MSC: 0.65, Chondrocytes:MSC-derived: 0.64, Gametocytes:oocyte: 0.62, iPS_cells:CRL2097_foreskin-derived:d20_hepatic_diff: 0.6, iPS_cells:PDB_2lox-17: 0.59, Erythroblast: 0.58, Embryonic_stem_cells: 0.57, Neurons:adrenal_medulla_cell_line: 0.55 |
X71_TCTATCAAGCACTCGC | Neuroepithelial_cell:ESC-derived | 0.33 | 729.67 | Raw ScoresNeuroepithelial_cell:ESC-derived: 0.68, Neurons:ES_cell-derived_neural_precursor: 0.68, MSC: 0.65, Chondrocytes:MSC-derived: 0.64, Gametocytes:oocyte: 0.63, iPS_cells:CRL2097_foreskin-derived:d20_hepatic_diff: 0.6, iPS_cells:PDB_2lox-17: 0.59, Erythroblast: 0.59, Embryonic_stem_cells: 0.58, Neurons:adrenal_medulla_cell_line: 0.55 |
X72_GTCTTTAGTGGCACTC | Neuroepithelial_cell:ESC-derived | 0.32 | 726.28 | Raw ScoresNeuroepithelial_cell:ESC-derived: 0.71, Neurons:ES_cell-derived_neural_precursor: 0.68, MSC: 0.67, Keratinocytes:IL26: 0.65, Keratinocytes: 0.65, iPS_cells:CRL2097_foreskin-derived:d20_hepatic_diff: 0.64, Embryonic_stem_cells: 0.64, Chondrocytes:MSC-derived: 0.63, Keratinocytes:IL20: 0.63, Keratinocytes:IFNg: 0.62 |
X72_GGCGTCAAGAGGTTTA | Keratinocytes:KGF | 0.46 | 724.54 | Raw ScoresKeratinocytes:KGF: 0.58, iPS_cells:CRL2097_foreskin-derived:d20_hepatic_diff: 0.58, iPS_cells:adipose_stem_cells: 0.58, iPS_cells:fibroblast-derived:Direct_del._reprog: 0.57, Keratinocytes: 0.57, Keratinocytes:IFNg: 0.57, Keratinocytes:IL19: 0.57, Keratinocytes:IL1b: 0.57, Keratinocytes:IL20: 0.57, Keratinocytes:IL22: 0.57 |
X71_CAACCTCTCCGTAGGC | Neuroepithelial_cell:ESC-derived | 0.40 | 722.14 | Raw ScoresNeuroepithelial_cell:ESC-derived: 0.54, Neurons:ES_cell-derived_neural_precursor: 0.54, Chondrocytes:MSC-derived: 0.5, iPS_cells:CRL2097_foreskin-derived:d20_hepatic_diff: 0.48, MSC: 0.47, Neurons:adrenal_medulla_cell_line: 0.46, Embryonic_stem_cells: 0.45, iPS_cells:adipose_stem_cells: 0.44, Gametocytes:oocyte: 0.44, Astrocyte:Embryonic_stem_cell-derived: 0.43 |
X72_ATCGTAGGTTGCCGAC | Neuroepithelial_cell:ESC-derived | 0.35 | 718.21 | Raw ScoresNeuroepithelial_cell:ESC-derived: 0.58, Neurons:ES_cell-derived_neural_precursor: 0.58, Erythroblast: 0.57, Gametocytes:oocyte: 0.57, MSC: 0.57, Chondrocytes:MSC-derived: 0.54, iPS_cells:CRL2097_foreskin-derived:d20_hepatic_diff: 0.54, Keratinocytes:KGF: 0.5, Neurons:adrenal_medulla_cell_line: 0.5, iPS_cells:adipose_stem_cells: 0.5 |
X72_AGGGAGTAGATCGGTG | iPS_cells:CRL2097_foreskin-derived:d20_hepatic_diff | 0.41 | 715.50 | Raw ScoresiPS_cells:CRL2097_foreskin-derived:d20_hepatic_diff: 0.64, Astrocyte:Embryonic_stem_cell-derived: 0.62, Fibroblasts:breast: 0.62, Keratinocytes: 0.62, Keratinocytes:IL26: 0.62, Neuroepithelial_cell:ESC-derived: 0.61, Neurons:ES_cell-derived_neural_precursor: 0.61, Embryonic_stem_cells: 0.61, iPS_cells:adipose_stem_cells: 0.61, Keratinocytes:KGF: 0.59 |
X71_TTTGTTGCAGGATGAC | Neuroepithelial_cell:ESC-derived | 0.35 | 707.56 | Raw ScoresNeuroepithelial_cell:ESC-derived: 0.58, Neurons:ES_cell-derived_neural_precursor: 0.58, Erythroblast: 0.57, Gametocytes:oocyte: 0.57, MSC: 0.57, Chondrocytes:MSC-derived: 0.54, iPS_cells:CRL2097_foreskin-derived:d20_hepatic_diff: 0.54, Keratinocytes:KGF: 0.5, Neurons:adrenal_medulla_cell_line: 0.5, iPS_cells:adipose_stem_cells: 0.5 |
X71_CGCCAGACAGGCCTGT | Neuroepithelial_cell:ESC-derived | 0.40 | 707.56 | Raw ScoresNeuroepithelial_cell:ESC-derived: 0.54, Neurons:ES_cell-derived_neural_precursor: 0.54, Chondrocytes:MSC-derived: 0.5, iPS_cells:CRL2097_foreskin-derived:d20_hepatic_diff: 0.48, MSC: 0.47, Neurons:adrenal_medulla_cell_line: 0.46, Embryonic_stem_cells: 0.45, iPS_cells:adipose_stem_cells: 0.44, Gametocytes:oocyte: 0.44, Astrocyte:Embryonic_stem_cell-derived: 0.43 |
X71_TTTAGTCAGATTAGAC | Keratinocytes:KGF | 0.48 | 661.66 | Raw ScoresNeuroepithelial_cell:ESC-derived: 0.42, Keratinocytes:KGF: 0.42, Neurons:ES_cell-derived_neural_precursor: 0.42, Neurons:adrenal_medulla_cell_line: 0.42, iPS_cells:CRL2097_foreskin-derived:d20_hepatic_diff: 0.42, iPS_cells:adipose_stem_cells: 0.42, Chondrocytes:MSC-derived: 0.42, iPS_cells:fibroblast-derived:Direct_del._reprog: 0.41, Erythroblast: 0.4, Gametocytes:oocyte: 0.4 |
X71_CATTCATGTTTGAACC | iPS_cells:adipose_stem_cells | 0.43 | 658.73 | Raw ScoresiPS_cells:adipose_stem_cells: 0.76, Fibroblasts:breast: 0.76, Chondrocytes:MSC-derived: 0.67, Tissue_stem_cells:BM_MSC:TGFb3: 0.65, Neurons:ES_cell-derived_neural_precursor: 0.64, Smooth_muscle_cells:vascular: 0.64, MSC: 0.63, Smooth_muscle_cells:vascular:IL-17: 0.62, Keratinocytes:KGF: 0.6, iPS_cells:fibroblast-derived:Direct_del._reprog: 0.6 |
X71_CACAACATCCGCTTAC | Neuroepithelial_cell:ESC-derived | 0.33 | 653.90 | Raw ScoresNeuroepithelial_cell:ESC-derived: 0.68, Neurons:ES_cell-derived_neural_precursor: 0.68, MSC: 0.65, Chondrocytes:MSC-derived: 0.64, Gametocytes:oocyte: 0.63, iPS_cells:CRL2097_foreskin-derived:d20_hepatic_diff: 0.6, iPS_cells:PDB_2lox-17: 0.59, Erythroblast: 0.59, Embryonic_stem_cells: 0.58, Neurons:adrenal_medulla_cell_line: 0.55 |
X72_CTCAACCTCAGTCCGG | Neuroepithelial_cell:ESC-derived | 0.33 | 647.10 | Raw ScoresNeuroepithelial_cell:ESC-derived: 0.68, Neurons:ES_cell-derived_neural_precursor: 0.68, MSC: 0.65, Chondrocytes:MSC-derived: 0.64, Gametocytes:oocyte: 0.63, iPS_cells:CRL2097_foreskin-derived:d20_hepatic_diff: 0.6, iPS_cells:PDB_2lox-17: 0.59, Erythroblast: 0.59, Embryonic_stem_cells: 0.58, Neurons:adrenal_medulla_cell_line: 0.55 |
X71_AAGATAGAGAACTCCT | Neuroepithelial_cell:ESC-derived | 0.40 | 638.21 | Raw ScoresNeuroepithelial_cell:ESC-derived: 0.54, Neurons:ES_cell-derived_neural_precursor: 0.54, Chondrocytes:MSC-derived: 0.5, iPS_cells:CRL2097_foreskin-derived:d20_hepatic_diff: 0.48, MSC: 0.47, Neurons:adrenal_medulla_cell_line: 0.46, Embryonic_stem_cells: 0.45, iPS_cells:adipose_stem_cells: 0.44, Gametocytes:oocyte: 0.44, Astrocyte:Embryonic_stem_cell-derived: 0.43 |
X71_CAAGAGGCAAGCCATT | Neuroepithelial_cell:ESC-derived | 0.35 | 636.64 | Raw ScoresNeuroepithelial_cell:ESC-derived: 0.58, Neurons:ES_cell-derived_neural_precursor: 0.58, Erythroblast: 0.57, Gametocytes:oocyte: 0.57, MSC: 0.57, Chondrocytes:MSC-derived: 0.54, iPS_cells:CRL2097_foreskin-derived:d20_hepatic_diff: 0.54, Keratinocytes:KGF: 0.5, Neurons:adrenal_medulla_cell_line: 0.5, iPS_cells:adipose_stem_cells: 0.5 |
X71_GACTCAAGTCTGTGCG | Neuroepithelial_cell:ESC-derived | 0.37 | 599.71 | Raw ScoresNeuroepithelial_cell:ESC-derived: 0.76, Neurons:ES_cell-derived_neural_precursor: 0.76, iPS_cells:CRL2097_foreskin-derived:d20_hepatic_diff: 0.75, Embryonic_stem_cells: 0.73, MSC: 0.73, Keratinocytes: 0.69, Keratinocytes:IL26: 0.69, Fibroblasts:breast: 0.69, iPS_cells:adipose_stem_cells: 0.69, Keratinocytes:KGF: 0.67 |
X72_AAGGAATGTTTCACAG | Keratinocytes:KGF | 0.48 | 590.53 | Raw ScoresNeuroepithelial_cell:ESC-derived: 0.42, Keratinocytes:KGF: 0.42, Neurons:ES_cell-derived_neural_precursor: 0.42, Neurons:adrenal_medulla_cell_line: 0.42, iPS_cells:CRL2097_foreskin-derived:d20_hepatic_diff: 0.42, iPS_cells:adipose_stem_cells: 0.42, Chondrocytes:MSC-derived: 0.42, iPS_cells:fibroblast-derived:Direct_del._reprog: 0.41, Erythroblast: 0.4, Gametocytes:oocyte: 0.4 |
X71_CACAGATAGGTGCTTT | Neuroepithelial_cell:ESC-derived | 0.35 | 583.00 | Raw ScoresNeuroepithelial_cell:ESC-derived: 0.58, Neurons:ES_cell-derived_neural_precursor: 0.58, Erythroblast: 0.57, Gametocytes:oocyte: 0.57, MSC: 0.57, Chondrocytes:MSC-derived: 0.54, iPS_cells:CRL2097_foreskin-derived:d20_hepatic_diff: 0.54, Keratinocytes:KGF: 0.5, Neurons:adrenal_medulla_cell_line: 0.5, iPS_cells:adipose_stem_cells: 0.5 |
X71_CTATCCGGTTCTATCT | Neurons:ES_cell-derived_neural_precursor | 0.33 | 582.71 | Raw ScoresNeuroepithelial_cell:ESC-derived: 0.68, Neurons:ES_cell-derived_neural_precursor: 0.68, MSC: 0.64, Chondrocytes:MSC-derived: 0.63, Gametocytes:oocyte: 0.62, iPS_cells:CRL2097_foreskin-derived:d20_hepatic_diff: 0.6, iPS_cells:PDB_2lox-17: 0.59, Erythroblast: 0.57, Embryonic_stem_cells: 0.57, iPS_cells:PDB_1lox-17Puro-10: 0.55 |
X71_TCATTACCATGAGAAT | Neuroepithelial_cell:ESC-derived | 0.35 | 574.15 | Raw ScoresNeuroepithelial_cell:ESC-derived: 0.58, Neurons:ES_cell-derived_neural_precursor: 0.58, Erythroblast: 0.57, Gametocytes:oocyte: 0.57, MSC: 0.57, Chondrocytes:MSC-derived: 0.54, iPS_cells:CRL2097_foreskin-derived:d20_hepatic_diff: 0.54, Keratinocytes:KGF: 0.5, Neurons:adrenal_medulla_cell_line: 0.5, iPS_cells:adipose_stem_cells: 0.5 |
X72_CGCATAAAGGATTACA | Neuroepithelial_cell:ESC-derived | 0.35 | 570.96 | Raw ScoresNeuroepithelial_cell:ESC-derived: 0.58, Neurons:ES_cell-derived_neural_precursor: 0.58, Erythroblast: 0.57, Gametocytes:oocyte: 0.57, MSC: 0.57, Chondrocytes:MSC-derived: 0.54, iPS_cells:CRL2097_foreskin-derived:d20_hepatic_diff: 0.54, Keratinocytes:KGF: 0.5, Neurons:adrenal_medulla_cell_line: 0.5, iPS_cells:adipose_stem_cells: 0.5 |
X72_ACGTACATCTGCATGA | Neuroepithelial_cell:ESC-derived | 0.35 | 567.83 | Raw ScoresNeuroepithelial_cell:ESC-derived: 0.58, Neurons:ES_cell-derived_neural_precursor: 0.58, Erythroblast: 0.57, Gametocytes:oocyte: 0.57, MSC: 0.57, Chondrocytes:MSC-derived: 0.54, iPS_cells:CRL2097_foreskin-derived:d20_hepatic_diff: 0.54, Keratinocytes:KGF: 0.5, Neurons:adrenal_medulla_cell_line: 0.5, iPS_cells:adipose_stem_cells: 0.5 |
X72_GCGGAAATCGGCATAT | Keratinocytes:KGF | 0.48 | 563.63 | Raw ScoresNeuroepithelial_cell:ESC-derived: 0.42, Keratinocytes:KGF: 0.42, Neurons:ES_cell-derived_neural_precursor: 0.42, Neurons:adrenal_medulla_cell_line: 0.42, iPS_cells:CRL2097_foreskin-derived:d20_hepatic_diff: 0.42, iPS_cells:adipose_stem_cells: 0.42, Chondrocytes:MSC-derived: 0.42, iPS_cells:fibroblast-derived:Direct_del._reprog: 0.41, Erythroblast: 0.4, Gametocytes:oocyte: 0.4 |
X70_CCTCATGCAGCTATAC | Neuroepithelial_cell:ESC-derived | 0.27 | 562.44 | Raw ScoresNeuroepithelial_cell:ESC-derived: 0.61, Neurons:ES_cell-derived_neural_precursor: 0.59, Erythroblast: 0.56, Gametocytes:oocyte: 0.56, Chondrocytes:MSC-derived: 0.56, MSC: 0.55, DC:monocyte-derived:immature: 0.54, iPS_cells:PDB_2lox-17: 0.5, Smooth_muscle_cells:bronchial: 0.48, Macrophage:monocyte-derived:IL-4/Dex/cntrl: 0.48 |
X71_TGTAACGGTTAACCTG | Neuroepithelial_cell:ESC-derived | 0.35 | 553.08 | Raw ScoresNeuroepithelial_cell:ESC-derived: 0.58, Neurons:ES_cell-derived_neural_precursor: 0.58, Erythroblast: 0.57, Gametocytes:oocyte: 0.57, MSC: 0.57, Chondrocytes:MSC-derived: 0.54, iPS_cells:CRL2097_foreskin-derived:d20_hepatic_diff: 0.54, Keratinocytes:KGF: 0.5, Neurons:adrenal_medulla_cell_line: 0.5, iPS_cells:adipose_stem_cells: 0.5 |
X71_ACAAAGAAGACGTCGA | Neuroepithelial_cell:ESC-derived | 0.33 | 551.62 | Raw ScoresNeuroepithelial_cell:ESC-derived: 0.68, Neurons:ES_cell-derived_neural_precursor: 0.68, MSC: 0.65, Chondrocytes:MSC-derived: 0.64, Gametocytes:oocyte: 0.62, iPS_cells:CRL2097_foreskin-derived:d20_hepatic_diff: 0.6, iPS_cells:PDB_2lox-17: 0.59, Erythroblast: 0.58, Embryonic_stem_cells: 0.57, Neurons:adrenal_medulla_cell_line: 0.55 |
X72_ATCGTCCCAAGCAGGT | Neuroepithelial_cell:ESC-derived | 0.33 | 542.20 | Raw ScoresNeuroepithelial_cell:ESC-derived: 0.69, Neurons:ES_cell-derived_neural_precursor: 0.66, MSC: 0.65, Keratinocytes:IL26: 0.64, Keratinocytes: 0.64, iPS_cells:CRL2097_foreskin-derived:d20_hepatic_diff: 0.62, Astrocyte:Embryonic_stem_cell-derived: 0.62, Embryonic_stem_cells: 0.61, Keratinocytes:IFNg: 0.61, Keratinocytes:IL20: 0.61 |
X71_GTGGAGAAGACATACA | Keratinocytes:KGF | 0.48 | 542.16 | Raw ScoresNeuroepithelial_cell:ESC-derived: 0.42, Keratinocytes:KGF: 0.42, Neurons:ES_cell-derived_neural_precursor: 0.42, Neurons:adrenal_medulla_cell_line: 0.42, iPS_cells:CRL2097_foreskin-derived:d20_hepatic_diff: 0.42, iPS_cells:adipose_stem_cells: 0.42, Chondrocytes:MSC-derived: 0.42, iPS_cells:fibroblast-derived:Direct_del._reprog: 0.41, Erythroblast: 0.4, Gametocytes:oocyte: 0.4 |
X71_TCCCAGTCATTGGCAT | iPS_cells:CRL2097_foreskin-derived:d20_hepatic_diff | 0.42 | 540.61 | Raw ScoresiPS_cells:CRL2097_foreskin-derived:d20_hepatic_diff: 0.81, Embryonic_stem_cells: 0.78, Neuroepithelial_cell:ESC-derived: 0.75, iPS_cells:fibroblast-derived:Direct_del._reprog: 0.73, Gametocytes:oocyte: 0.71, iPS_cells:fibroblast-derived:Retroviral_transf: 0.71, Astrocyte:Embryonic_stem_cell-derived: 0.69, Keratinocytes:IL26: 0.69, MSC: 0.68, Keratinocytes:KGF: 0.67 |
X71_TTGTTGTGTACGATCT | Neuroepithelial_cell:ESC-derived | 0.35 | 536.60 | Raw ScoresNeuroepithelial_cell:ESC-derived: 0.58, Neurons:ES_cell-derived_neural_precursor: 0.58, Erythroblast: 0.57, Gametocytes:oocyte: 0.57, MSC: 0.57, Chondrocytes:MSC-derived: 0.54, iPS_cells:CRL2097_foreskin-derived:d20_hepatic_diff: 0.54, Keratinocytes:KGF: 0.5, Neurons:adrenal_medulla_cell_line: 0.5, iPS_cells:adipose_stem_cells: 0.5 |
Below shows the significant enrichments of this GEP for literature curated gene lists
This data was procured from existing single cell RNA-seq maps of neuroblastoma or related relevant data.
High ranks indicate this gene is a driver of this GEP.
These curated gene list are ranked by the P-value (on this GEP) of their constituent genes.
The Mean Count column shows the mean read count in cells scoring highly (H > 50) on this gene expression program.
Genes | Weight | Rank | GTEx | DepMap | Decartes | Mean.Counts | Mean.TPM |
---|---|---|---|---|---|---|---|
COL1A2 | 0.0028180 | 5 | GTEx | DepMap | Descartes | 15.45 | 118.86 |
COL1A1 | 0.0026634 | 7 | GTEx | DepMap | Descartes | 13.21 | 247.54 |
COL3A1 | 0.0026041 | 9 | GTEx | DepMap | Descartes | 17.30 | 130.82 |
COL5A2 | 0.0020655 | 18 | GTEx | DepMap | Descartes | 3.98 | 8.85 |
COL5A1 | 0.0019739 | 19 | GTEx | DepMap | Descartes | 2.47 | 4.70 |
FN1 | 0.0019504 | 21 | GTEx | DepMap | Descartes | 5.06 | 23.52 |
COL12A1 | 0.0018242 | 28 | GTEx | DepMap | Descartes | 1.95 | 4.75 |
BGN | 0.0018053 | 30 | GTEx | DepMap | Descartes | 3.04 | 96.42 |
DCN | 0.0012615 | 103 | GTEx | DepMap | Descartes | 5.78 | 42.80 |
TPM1 | 0.0011918 | 118 | GTEx | DepMap | Descartes | 13.92 | 167.40 |
LUM | 0.0011886 | 119 | GTEx | DepMap | Descartes | 2.61 | 101.48 |
CNN2 | 0.0011102 | 163 | GTEx | DepMap | Descartes | 3.70 | 145.88 |
COL14A1 | 0.0010569 | 184 | GTEx | DepMap | Descartes | 1.79 | 2.61 |
IGFBP7 | 0.0010544 | 186 | GTEx | DepMap | Descartes | 0.35 | 1.81 |
TMEM119 | 0.0010380 | 192 | GTEx | DepMap | Descartes | 0.81 | 45.40 |
COL8A1 | 0.0010246 | 202 | GTEx | DepMap | Descartes | 0.53 | 1.17 |
MMP11 | 0.0009073 | 266 | GTEx | DepMap | Descartes | 0.86 | 21.69 |
TGFBR2 | 0.0008840 | 284 | GTEx | DepMap | Descartes | 0.40 | 1.29 |
VCAN | 0.0008524 | 302 | GTEx | DepMap | Descartes | 4.67 | 14.98 |
TGFB2 | 0.0008253 | 324 | GTEx | DepMap | Descartes | 2.28 | 9.30 |
CNN3 | 0.0007794 | 367 | GTEx | DepMap | Descartes | 5.97 | 49.01 |
IGFBP3 | 0.0007713 | 385 | GTEx | DepMap | Descartes | 1.49 | 50.65 |
COL4A1 | 0.0007618 | 393 | GTEx | DepMap | Descartes | 2.25 | 5.63 |
TNC | 0.0007158 | 441 | GTEx | DepMap | Descartes | 0.78 | 2.48 |
MMP2 | 0.0006829 | 482 | GTEx | DepMap | Descartes | 2.22 | 29.81 |
THBS2 | 0.0006379 | 549 | GTEx | DepMap | Descartes | 0.47 | 4.90 |
THBS1 | 0.0005745 | 654 | GTEx | DepMap | Descartes | 1.03 | 15.39 |
POSTN | 0.0005724 | 656 | GTEx | DepMap | Descartes | 4.05 | 33.58 |
COL13A1 | 0.0004122 | 1040 | GTEx | DepMap | Descartes | 0.19 | 0.45 |
WNT5A | 0.0003853 | 1127 | GTEx | DepMap | Descartes | 0.86 | 11.49 |
RGS5 | 0.0003629 | 1222 | GTEx | DepMap | Descartes | 0.18 | 1.46 |
VEGFA | 0.0003297 | 1406 | GTEx | DepMap | Descartes | 0.45 | 8.34 |
PGF | 0.0002260 | 2146 | GTEx | DepMap | Descartes | 0.30 | 9.61 |
TAGLN | 0.0001062 | 4063 | GTEx | DepMap | Descartes | 1.77 | 60.03 |
THY1 | 0.0001038 | 4125 | GTEx | DepMap | Descartes | 0.14 | 7.38 |
TGFB1 | 0.0001010 | 4181 | GTEx | DepMap | Descartes | 0.12 | 2.28 |
TGFBR1 | 0.0000415 | 6200 | GTEx | DepMap | Descartes | 0.74 | 3.33 |
COL15A1 | -0.0000057 | 8906 | GTEx | DepMap | Descartes | 0.07 | 0.21 |
MYL9 | -0.0000299 | 11039 | GTEx | DepMap | Descartes | 3.44 | 152.74 |
TPM2 | -0.0000397 | 11880 | GTEx | DepMap | Descartes | 2.14 | 53.34 |
MYLK | -0.0000487 | 12566 | GTEx | DepMap | Descartes | 0.87 | 0.88 |
COL10A1 | -0.0000643 | 13573 | GTEx | DepMap | Descartes | 0.00 | 0.06 |
ITGA7 | -0.0001570 | 16621 | GTEx | DepMap | Descartes | 0.01 | 0.07 |
HOPX | -0.0001701 | 16880 | GTEx | DepMap | Descartes | 0.17 | 1.35 |
MEF2C | -0.0002439 | 17875 | GTEx | DepMap | Descartes | 1.11 | 1.58 |
COL11A1 | -0.0002474 | 17903 | GTEx | DepMap | Descartes | 4.03 | 5.82 |
MYH11 | -0.0003178 | 18466 | GTEx | DepMap | Descartes | 0.58 | 0.87 |
ACTA2 | -0.0003302 | 18535 | GTEx | DepMap | Descartes | 5.07 | 69.17 |
ACTG2 | -0.0003318 | 18543 | GTEx | DepMap | Descartes | 1.03 | 6.18 |
Mesenchymal Fig 1D (Olsen)
Selected mesenchymal marker genes shown in Fig. 1D of Olsen et al. https://www.biorxiv.org/content/10.1101/2020.05.04.077057v1 - these are highly expressed in their mesenchymal cluster on their UMAP.:
Wilcoxon ranksum test P-value for gene set overrepresentation: 3.34e-10
Mean rank of genes in gene set: 114.08
Rank on gene expression program of genes in gene set:
Genes | Weight | Rank | GTEx | DepMap | Decartes | Mean.Counts | Mean.TPM |
---|---|---|---|---|---|---|---|
COL1A2 | 0.0028180 | 5 | GTEx | DepMap | Descartes | 15.45 | 118.86 |
COL1A1 | 0.0026634 | 7 | GTEx | DepMap | Descartes | 13.21 | 247.54 |
COL3A1 | 0.0026041 | 9 | GTEx | DepMap | Descartes | 17.30 | 130.82 |
BGN | 0.0018053 | 30 | GTEx | DepMap | Descartes | 3.04 | 96.42 |
PDGFRA | 0.0015469 | 49 | GTEx | DepMap | Descartes | 1.70 | 12.56 |
COL6A2 | 0.0015247 | 53 | GTEx | DepMap | Descartes | 1.94 | 26.01 |
DCN | 0.0012615 | 103 | GTEx | DepMap | Descartes | 5.78 | 42.80 |
SPARC | 0.0012598 | 104 | GTEx | DepMap | Descartes | 18.23 | 197.95 |
PRRX1 | 0.0012169 | 111 | GTEx | DepMap | Descartes | 2.56 | 12.60 |
LUM | 0.0011886 | 119 | GTEx | DepMap | Descartes | 2.61 | 101.48 |
LEPR | 0.0011578 | 136 | GTEx | DepMap | Descartes | 0.07 | 0.26 |
MGP | 0.0008198 | 327 | GTEx | DepMap | Descartes | 2.36 | 222.68 |
CALD1 | 0.0007232 | 430 | GTEx | DepMap | Descartes | 8.74 | 14.53 |
Stromal 2 (Hanemaaijer)
Marker genes obtained from Supplementary Table SD of Hanemaaijer et al (PMID 33500353). The authors generated single-cell RNA-seq data (sort-seq, 2,229 cells total) from mouse adrenal glads at E13.5, E14.5, E17.5, E18.5, P1 and P5. These were marker genes that matched with a similar dataset generated by Furlan et al (PMID 28684471). This particular set of markers are for Stroma subcluster:
Wilcoxon ranksum test P-value for gene set overrepresentation: 4.12e-09
Mean rank of genes in gene set: 383.83
Rank on gene expression program of genes in gene set:
Genes | Weight | Rank | GTEx | DepMap | Decartes | Mean.Counts | Mean.TPM |
---|---|---|---|---|---|---|---|
FSTL1 | 0.0023451 | 13 | GTEx | DepMap | Descartes | 5.54 | 29.46 |
FBN2 | 0.0022813 | 14 | GTEx | DepMap | Descartes | 3.77 | 5.82 |
COL5A2 | 0.0020655 | 18 | GTEx | DepMap | Descartes | 3.98 | 8.85 |
GAS1 | 0.0012057 | 115 | GTEx | DepMap | Descartes | 4.72 | 422.22 |
FBN1 | 0.0011182 | 155 | GTEx | DepMap | Descartes | 1.28 | 1.95 |
COL14A1 | 0.0010569 | 184 | GTEx | DepMap | Descartes | 1.79 | 2.61 |
GSN | 0.0007967 | 345 | GTEx | DepMap | Descartes | 1.44 | 8.69 |
PENK | 0.0006154 | 581 | GTEx | DepMap | Descartes | 1.18 | 70.04 |
POSTN | 0.0005724 | 656 | GTEx | DepMap | Descartes | 4.05 | 33.58 |
ITM2A | 0.0005465 | 703 | GTEx | DepMap | Descartes | 9.80 | 446.80 |
IGFBP5 | 0.0004695 | 871 | GTEx | DepMap | Descartes | 10.52 | 166.43 |
SFRP1 | 0.0004390 | 951 | GTEx | DepMap | Descartes | 3.23 | 26.59 |
Below shows ranks on this GEP for literature curated gene lists for large gene sets
These include those reported as mesenchymal/adrenergic by Van Groningen et al.
High ranks indicate this gene is a driver of this GEP (note these results are not ordered).
The Mean Count column shows the mean read count in cells scoring highly (H > 50) on this gene expression program.
VanGroningen Adrenergic Genes
Adrenergic marker genes from Supplementary Table 2 of Van Groningen et al. Nature Genetics 2017. These genes were identified by differential expression analysis of mesenchymal-like and adrenergic-like neuroblastoma cell lines.
Wilcoxon ranksum test P-value for gene set overrepresentation: 1.00e+00
Mean rank of genes in gene set: 15065.58
Median rank of genes in gene set: 17759.5
Rank on gene expression program of top 30 genes in gene set:
Genes | Weight | Rank | GTEx | DepMap | Descartes | Mean.Counts | Mean.TPM |
---|---|---|---|---|---|---|---|
AKAP12 | 0.0029162 | 3 | GTEx | DepMap | Descartes | 3.41 | 10.73 |
STRA6 | 0.0011704 | 131 | GTEx | DepMap | Descartes | 0.36 | 1.19 |
RBP1 | 0.0010943 | 171 | GTEx | DepMap | Descartes | 4.62 | 49.75 |
GRB10 | 0.0009626 | 235 | GTEx | DepMap | Descartes | 6.81 | 18.07 |
PEG3 | 0.0008898 | 281 | GTEx | DepMap | Descartes | 10.46 | 107.71 |
BMP7 | 0.0008521 | 304 | GTEx | DepMap | Descartes | 0.65 | 2.62 |
DLK1 | 0.0006211 | 573 | GTEx | DepMap | Descartes | 10.08 | 279.25 |
EML4 | 0.0005136 | 762 | GTEx | DepMap | Descartes | 1.68 | 3.59 |
MCM6 | 0.0005126 | 764 | GTEx | DepMap | Descartes | 1.82 | 17.28 |
SLIT3 | 0.0004970 | 799 | GTEx | DepMap | Descartes | 0.53 | 0.30 |
CDC42EP3 | 0.0004371 | 958 | GTEx | DepMap | Descartes | 0.96 | 11.87 |
RBMS3 | 0.0004100 | 1047 | GTEx | DepMap | Descartes | 1.62 | 0.29 |
TTC8 | 0.0003695 | 1188 | GTEx | DepMap | Descartes | 0.26 | 1.01 |
RGS5 | 0.0003629 | 1222 | GTEx | DepMap | Descartes | 0.18 | 1.46 |
TMTC4 | 0.0002854 | 1676 | GTEx | DepMap | Descartes | 0.51 | 2.21 |
HS6ST2 | 0.0002400 | 2014 | GTEx | DepMap | Descartes | 0.56 | 0.53 |
TENM4 | 0.0002256 | 2153 | GTEx | DepMap | Descartes | 1.26 | 0.60 |
MSH6 | 0.0002243 | 2168 | GTEx | DepMap | Descartes | 0.56 | 8.73 |
GPR27 | 0.0002191 | 2213 | GTEx | DepMap | Descartes | 0.50 | 71.63 |
MCM2 | 0.0002103 | 2293 | GTEx | DepMap | Descartes | 0.99 | 15.27 |
CETN3 | 0.0001973 | 2447 | GTEx | DepMap | Descartes | 2.17 | 35.26 |
PRIM1 | 0.0001790 | 2699 | GTEx | DepMap | Descartes | 0.87 | 15.12 |
DNAJB1 | 0.0001653 | 2883 | GTEx | DepMap | Descartes | 1.06 | 74.01 |
PIK3R1 | 0.0001590 | 2988 | GTEx | DepMap | Descartes | 1.12 | 3.56 |
SEPT6 | 0.0001448 | 3234 | GTEx | DepMap | Descartes | 1.12 | 4.31 |
NCOA7 | 0.0001399 | 3334 | GTEx | DepMap | Descartes | 0.53 | 0.91 |
ANKRD46 | 0.0001397 | 3337 | GTEx | DepMap | Descartes | 0.54 | 8.45 |
SYNPO2 | 0.0001393 | 3340 | GTEx | DepMap | Descartes | 0.26 | 0.38 |
NET1 | 0.0001386 | 3354 | GTEx | DepMap | Descartes | 1.12 | 7.67 |
IRS2 | 0.0001385 | 3361 | GTEx | DepMap | Descartes | 0.48 | 6.12 |
VanGroningen Mesenchymal Genes
Mesenchymal marker genes from Supplementary Table 2 of Van Groningen et al. Nature Genetics 2017. These genes were identified by differential expression analysis of mesenchymal-like and adrenergic-like neuroblastoma cell lines.
Wilcoxon ranksum test P-value for gene set overrepresentation: 1.08e-130
Mean rank of genes in gene set: 3440.43
Median rank of genes in gene set: 1199
Rank on gene expression program of top 30 genes in gene set:
Genes | Weight | Rank | GTEx | DepMap | Descartes | Mean.Counts | Mean.TPM |
---|---|---|---|---|---|---|---|
COL1A1 | 0.0026634 | 7 | GTEx | DepMap | Descartes | 13.21 | 247.54 |
COL3A1 | 0.0026041 | 9 | GTEx | DepMap | Descartes | 17.30 | 130.82 |
LGALS1 | 0.0025008 | 10 | GTEx | DepMap | Descartes | 19.91 | 1598.66 |
FSTL1 | 0.0023451 | 13 | GTEx | DepMap | Descartes | 5.54 | 29.46 |
FBN2 | 0.0022813 | 14 | GTEx | DepMap | Descartes | 3.77 | 5.82 |
COL5A2 | 0.0020655 | 18 | GTEx | DepMap | Descartes | 3.98 | 8.85 |
COL5A1 | 0.0019739 | 19 | GTEx | DepMap | Descartes | 2.47 | 4.70 |
FN1 | 0.0019504 | 21 | GTEx | DepMap | Descartes | 5.06 | 23.52 |
CDH11 | 0.0019397 | 22 | GTEx | DepMap | Descartes | 2.71 | 5.11 |
COL12A1 | 0.0018242 | 28 | GTEx | DepMap | Descartes | 1.95 | 4.75 |
BGN | 0.0018053 | 30 | GTEx | DepMap | Descartes | 3.04 | 96.42 |
AEBP1 | 0.0017896 | 33 | GTEx | DepMap | Descartes | 0.66 | 24.21 |
COL6A1 | 0.0017167 | 37 | GTEx | DepMap | Descartes | 2.29 | 45.51 |
COL6A3 | 0.0016097 | 43 | GTEx | DepMap | Descartes | 1.44 | 5.64 |
ZFP36L1 | 0.0015983 | 44 | GTEx | DepMap | Descartes | 4.36 | 205.54 |
CFH | 0.0015849 | 45 | GTEx | DepMap | Descartes | 0.20 | 0.57 |
MEST | 0.0015582 | 48 | GTEx | DepMap | Descartes | 18.71 | 217.47 |
COL6A2 | 0.0015247 | 53 | GTEx | DepMap | Descartes | 1.94 | 26.01 |
EGR1 | 0.0015169 | 56 | GTEx | DepMap | Descartes | 13.06 | 796.69 |
SERPINH1 | 0.0015080 | 58 | GTEx | DepMap | Descartes | 15.05 | 532.68 |
CD63 | 0.0014747 | 62 | GTEx | DepMap | Descartes | 7.82 | 210.66 |
OLFML3 | 0.0014537 | 65 | GTEx | DepMap | Descartes | 1.68 | 40.09 |
LAPTM4A | 0.0014199 | 71 | GTEx | DepMap | Descartes | 6.68 | 121.80 |
PPIC | 0.0014061 | 74 | GTEx | DepMap | Descartes | 3.07 | 68.36 |
CXCL12 | 0.0013718 | 77 | GTEx | DepMap | Descartes | 2.21 | 64.89 |
LOXL2 | 0.0013525 | 80 | GTEx | DepMap | Descartes | 1.53 | 5.69 |
RHOJ | 0.0013265 | 84 | GTEx | DepMap | Descartes | 0.58 | 1.98 |
ITM2C | 0.0013195 | 88 | GTEx | DepMap | Descartes | 1.83 | 37.29 |
RHOC | 0.0013172 | 90 | GTEx | DepMap | Descartes | 3.29 | 182.18 |
GAS2 | 0.0013156 | 91 | GTEx | DepMap | Descartes | 1.64 | 4.52 |
Descartes adrenocortical markers
Top 50 marker genes of adrenocortical cells in the Decartes fetal adrenal single cell map (https://atlas.brotmanbaty.org/bbi/human-gene-expression-during-development/cell/adrenocortical/in/adrenal)
Wilcoxon ranksum test P-value for gene set overrepresentation: 9.98e-01
Mean rank of genes in gene set: 12127.9
Median rank of genes in gene set: 14929.5
Rank on gene expression program of top 30 genes in gene set:
Genes | Weight | Rank | GTEx | DepMap | Descartes | Mean.Counts | Mean.TPM |
---|---|---|---|---|---|---|---|
PEG3 | 0.0008898 | 281 | GTEx | DepMap | Descartes | 10.46 | 107.71 |
GSTA4 | 0.0006379 | 548 | GTEx | DepMap | Descartes | 1.86 | 23.59 |
FDX1 | 0.0006079 | 595 | GTEx | DepMap | Descartes | 0.85 | 10.31 |
SLC16A9 | 0.0003413 | 1349 | GTEx | DepMap | Descartes | 0.04 | 0.35 |
BAIAP2L1 | 0.0002797 | 1713 | GTEx | DepMap | Descartes | 0.10 | 0.28 |
SH3PXD2B | 0.0002429 | 1988 | GTEx | DepMap | Descartes | 0.49 | 1.62 |
CLU | 0.0002090 | 2311 | GTEx | DepMap | Descartes | 0.34 | 7.50 |
MC2R | 0.0001441 | 3248 | GTEx | DepMap | Descartes | 0.01 | 0.08 |
NPC1 | 0.0000496 | 5849 | GTEx | DepMap | Descartes | 0.32 | 1.93 |
SH3BP5 | 0.0000214 | 7225 | GTEx | DepMap | Descartes | 0.52 | 2.07 |
POR | 0.0000211 | 7248 | GTEx | DepMap | Descartes | 0.63 | 3.00 |
CYP17A1 | 0.0000149 | 7626 | GTEx | DepMap | Descartes | 0.00 | 0.01 |
SCARB1 | 0.0000099 | 7929 | GTEx | DepMap | Descartes | 0.22 | 0.89 |
ERN1 | 0.0000035 | 8304 | GTEx | DepMap | Descartes | 0.04 | 0.11 |
IGF1R | 0.0000032 | 8323 | GTEx | DepMap | Descartes | 1.68 | 1.47 |
SCAP | -0.0000029 | 8711 | GTEx | DepMap | Descartes | 0.29 | 1.50 |
PDE10A | -0.0000327 | 11290 | GTEx | DepMap | Descartes | 0.34 | 0.20 |
SGCZ | -0.0000458 | 12365 | GTEx | DepMap | Descartes | 0.02 | 0.01 |
INHA | -0.0000704 | 13894 | GTEx | DepMap | Descartes | 0.11 | 8.51 |
STAR | -0.0000845 | 14529 | GTEx | DepMap | Descartes | 0.01 | 0.16 |
LDLR | -0.0000888 | 14714 | GTEx | DepMap | Descartes | 0.25 | 2.30 |
FDXR | -0.0001000 | 15145 | GTEx | DepMap | Descartes | 0.17 | 5.39 |
DHCR24 | -0.0001019 | 15216 | GTEx | DepMap | Descartes | 0.58 | 4.73 |
CYP11A1 | -0.0001164 | 15641 | GTEx | DepMap | Descartes | 0.00 | 0.02 |
DHCR7 | -0.0001267 | 15936 | GTEx | DepMap | Descartes | 0.37 | 3.79 |
CYB5B | -0.0001378 | 16210 | GTEx | DepMap | Descartes | 0.58 | 3.41 |
CYP11B1 | -0.0001489 | 16467 | GTEx | DepMap | Descartes | 0.00 | 0.00 |
TM7SF2 | -0.0001505 | 16496 | GTEx | DepMap | Descartes | 0.12 | 5.38 |
GRAMD1B | -0.0001776 | 17010 | GTEx | DepMap | Descartes | 0.07 | 0.06 |
MSMO1 | -0.0002189 | 17591 | GTEx | DepMap | Descartes | 0.86 | 14.93 |
Descartes chromaffin markers
Top 50 marker genes of chromaffin cells in the Decartes fetal adrenal single cell map (https://atlas.brotmanbaty.org/bbi/human-gene-expression-during-development/cell/chromaffin/in/adrenal)
Wilcoxon ranksum test P-value for gene set overrepresentation: 1.00e+00
Mean rank of genes in gene set: 14572.43
Median rank of genes in gene set: 17485
Rank on gene expression program of top 30 genes in gene set:
Genes | Weight | Rank | GTEx | DepMap | Descartes | Mean.Counts | Mean.TPM |
---|---|---|---|---|---|---|---|
TMEM132C | 0.0009600 | 237 | GTEx | DepMap | Descartes | 0.53 | 0.47 |
EYA4 | 0.0002939 | 1616 | GTEx | DepMap | Descartes | 0.11 | 0.15 |
GREM1 | 0.0002267 | 2140 | GTEx | DepMap | Descartes | 0.14 | 3.55 |
RGMB | 0.0001491 | 3156 | GTEx | DepMap | Descartes | 0.49 | 4.48 |
SYNPO2 | 0.0001393 | 3340 | GTEx | DepMap | Descartes | 0.26 | 0.38 |
ALK | 0.0000460 | 6012 | GTEx | DepMap | Descartes | 0.00 | 0.00 |
PTCHD1 | 0.0000255 | 7001 | GTEx | DepMap | Descartes | 0.04 | 0.19 |
IL7 | 0.0000188 | 7396 | GTEx | DepMap | Descartes | 0.00 | 0.02 |
SLC44A5 | 0.0000004 | 8514 | GTEx | DepMap | Descartes | 0.02 | 0.01 |
CNTFR | -0.0000193 | 10057 | GTEx | DepMap | Descartes | 0.64 | 5.60 |
CCND1 | -0.0000209 | 10209 | GTEx | DepMap | Descartes | 3.19 | 81.93 |
ANKFN1 | -0.0000383 | 11766 | GTEx | DepMap | Descartes | 0.00 | 0.00 |
EPHA6 | -0.0000424 | 12089 | GTEx | DepMap | Descartes | 0.00 | 0.00 |
EYA1 | -0.0000696 | 13860 | GTEx | DepMap | Descartes | 0.28 | 0.64 |
CNKSR2 | -0.0000954 | 14976 | GTEx | DepMap | Descartes | 0.17 | 0.21 |
KCNB2 | -0.0001143 | 15573 | GTEx | DepMap | Descartes | 0.12 | 0.08 |
FAT3 | -0.0001329 | 16087 | GTEx | DepMap | Descartes | 0.27 | 0.14 |
SLC6A2 | -0.0001489 | 16469 | GTEx | DepMap | Descartes | 0.01 | 0.06 |
RYR2 | -0.0001554 | 16589 | GTEx | DepMap | Descartes | 0.06 | 0.02 |
RPH3A | -0.0001607 | 16708 | GTEx | DepMap | Descartes | 0.01 | 0.03 |
HMX1 | -0.0001743 | 16959 | GTEx | DepMap | Descartes | 0.04 | 0.41 |
HS3ST5 | -0.0002056 | 17425 | GTEx | DepMap | Descartes | 0.03 | 0.03 |
MAB21L1 | -0.0002149 | 17545 | GTEx | DepMap | Descartes | 0.21 | 26.97 |
PRPH | -0.0002458 | 17894 | GTEx | DepMap | Descartes | 0.86 | 23.26 |
GAL | -0.0002467 | 17896 | GTEx | DepMap | Descartes | 0.25 | 6.12 |
NTRK1 | -0.0002536 | 17969 | GTEx | DepMap | Descartes | 0.41 | 3.13 |
MAB21L2 | -0.0002718 | 18128 | GTEx | DepMap | Descartes | 0.49 | 38.26 |
MARCH11 | -0.0002837 | 18225 | GTEx | DepMap | Descartes | 0.05 | 0.10 |
NPY | -0.0003192 | 18476 | GTEx | DepMap | Descartes | 0.55 | 31.33 |
TMEFF2 | -0.0003265 | 18516 | GTEx | DepMap | Descartes | 0.32 | 0.27 |
Descartes Vascular_endothelial markers
Top 50 marker genes of Vascular_endothelial cells in the Decartes fetal adrenal single cell map (https://atlas.brotmanbaty.org/bbi/human-gene-expression-during-development/cell/vascular_endothelial/in/adrenal)
Wilcoxon ranksum test P-value for gene set overrepresentation: 2.45e-01
Mean rank of genes in gene set: 9077.7
Median rank of genes in gene set: 9743
Rank on gene expression program of top 30 genes in gene set:
Genes | Weight | Rank | GTEx | DepMap | Descartes | Mean.Counts | Mean.TPM |
---|---|---|---|---|---|---|---|
ESM1 | 0.0011939 | 117 | GTEx | DepMap | Descartes | 0.00 | 0.05 |
ARHGAP29 | 0.0009842 | 223 | GTEx | DepMap | Descartes | 0.75 | 2.69 |
RAMP2 | 0.0008649 | 294 | GTEx | DepMap | Descartes | 0.78 | 20.26 |
GALNT15 | 0.0007725 | 383 | GTEx | DepMap | Descartes | 0.00 | 0.00 |
ID1 | 0.0004644 | 886 | GTEx | DepMap | Descartes | 4.60 | 1170.87 |
CDH5 | 0.0004314 | 982 | GTEx | DepMap | Descartes | 0.06 | 0.29 |
EFNB2 | 0.0003843 | 1129 | GTEx | DepMap | Descartes | 0.63 | 3.30 |
CALCRL | 0.0003106 | 1525 | GTEx | DepMap | Descartes | 0.11 | 0.36 |
HYAL2 | 0.0001757 | 2742 | GTEx | DepMap | Descartes | 0.77 | 41.47 |
ECSCR | 0.0001745 | 2760 | GTEx | DepMap | Descartes | 0.09 | 2.68 |
SLCO2A1 | 0.0001737 | 2766 | GTEx | DepMap | Descartes | 0.05 | 0.14 |
CYP26B1 | 0.0001566 | 3030 | GTEx | DepMap | Descartes | 0.23 | 3.86 |
TEK | 0.0001172 | 3787 | GTEx | DepMap | Descartes | 0.05 | 0.09 |
KANK3 | 0.0000859 | 4616 | GTEx | DepMap | Descartes | 0.10 | 2.44 |
MMRN2 | 0.0000732 | 5030 | GTEx | DepMap | Descartes | 0.02 | 0.18 |
SHE | 0.0000606 | 5451 | GTEx | DepMap | Descartes | 0.02 | 0.28 |
F8 | 0.0000574 | 5560 | GTEx | DepMap | Descartes | 0.03 | 0.05 |
SHANK3 | 0.0000506 | 5814 | GTEx | DepMap | Descartes | 0.03 | 0.11 |
NPR1 | 0.0000100 | 7927 | GTEx | DepMap | Descartes | 0.03 | 0.64 |
TMEM88 | 0.0000099 | 7930 | GTEx | DepMap | Descartes | 0.09 | 11.00 |
CEACAM1 | -0.0000132 | 9534 | GTEx | DepMap | Descartes | 0.00 | 0.13 |
DNASE1L3 | -0.0000157 | 9743 | GTEx | DepMap | Descartes | 0.00 | 0.00 |
FCGR2B | -0.0000230 | 10430 | GTEx | DepMap | Descartes | 0.00 | 0.03 |
CRHBP | -0.0000444 | 12261 | GTEx | DepMap | Descartes | 0.01 | 0.19 |
NOTCH4 | -0.0000482 | 12534 | GTEx | DepMap | Descartes | 0.04 | 0.58 |
PTPRB | -0.0000497 | 12627 | GTEx | DepMap | Descartes | 0.01 | 0.02 |
MYRIP | -0.0000521 | 12793 | GTEx | DepMap | Descartes | 0.01 | 0.01 |
CHRM3 | -0.0000630 | 13504 | GTEx | DepMap | Descartes | 0.01 | 0.01 |
CLDN5 | -0.0000649 | 13599 | GTEx | DepMap | Descartes | 0.05 | 7.92 |
BTNL9 | -0.0000656 | 13646 | GTEx | DepMap | Descartes | 0.00 | 0.01 |
Descartes stromal markers
Top 50 marker genes of stromal cells in the Decartes fetal adrenal single cell map (https://atlas.brotmanbaty.org/bbi/human-gene-expression-during-development/cell/stromal/in/adrenal)
Wilcoxon ranksum test P-value for gene set overrepresentation: 8.09e-25
Mean rank of genes in gene set: 1267.04
Median rank of genes in gene set: 205
Rank on gene expression program of top 30 genes in gene set:
Genes | Weight | Rank | GTEx | DepMap | Descartes | Mean.Counts | Mean.TPM |
---|---|---|---|---|---|---|---|
COL1A2 | 0.0028180 | 5 | GTEx | DepMap | Descartes | 15.45 | 118.86 |
COL1A1 | 0.0026634 | 7 | GTEx | DepMap | Descartes | 13.21 | 247.54 |
CLDN11 | 0.0026631 | 8 | GTEx | DepMap | Descartes | 0.50 | 13.16 |
COL3A1 | 0.0026041 | 9 | GTEx | DepMap | Descartes | 17.30 | 130.82 |
ISLR | 0.0020762 | 17 | GTEx | DepMap | Descartes | 1.65 | 10.38 |
CDH11 | 0.0019397 | 22 | GTEx | DepMap | Descartes | 2.71 | 5.11 |
CD248 | 0.0019281 | 23 | GTEx | DepMap | Descartes | 0.97 | 119.41 |
COL12A1 | 0.0018242 | 28 | GTEx | DepMap | Descartes | 1.95 | 4.75 |
PCOLCE | 0.0016908 | 39 | GTEx | DepMap | Descartes | 1.73 | 66.22 |
COL6A3 | 0.0016097 | 43 | GTEx | DepMap | Descartes | 1.44 | 5.64 |
LOX | 0.0015811 | 46 | GTEx | DepMap | Descartes | 0.97 | 20.93 |
PDGFRA | 0.0015469 | 49 | GTEx | DepMap | Descartes | 1.70 | 12.56 |
LAMC3 | 0.0014758 | 61 | GTEx | DepMap | Descartes | 0.03 | 0.29 |
OGN | 0.0014719 | 63 | GTEx | DepMap | Descartes | 1.90 | 38.49 |
BICC1 | 0.0013209 | 86 | GTEx | DepMap | Descartes | 1.41 | 1.98 |
GAS2 | 0.0013156 | 91 | GTEx | DepMap | Descartes | 1.64 | 4.52 |
DCN | 0.0012615 | 103 | GTEx | DepMap | Descartes | 5.78 | 42.80 |
PRRX1 | 0.0012169 | 111 | GTEx | DepMap | Descartes | 2.56 | 12.60 |
LUM | 0.0011886 | 119 | GTEx | DepMap | Descartes | 2.61 | 101.48 |
PCDH18 | 0.0011555 | 137 | GTEx | DepMap | Descartes | 1.26 | 27.86 |
DKK2 | 0.0011269 | 149 | GTEx | DepMap | Descartes | 0.96 | 2.65 |
CCDC80 | 0.0010721 | 178 | GTEx | DepMap | Descartes | 1.01 | 9.83 |
EDNRA | 0.0010289 | 200 | GTEx | DepMap | Descartes | 0.45 | 2.18 |
LRRC17 | 0.0010043 | 210 | GTEx | DepMap | Descartes | 0.97 | 8.43 |
ADAMTS2 | 0.0009228 | 254 | GTEx | DepMap | Descartes | 0.25 | 0.37 |
SFRP2 | 0.0008446 | 310 | GTEx | DepMap | Descartes | 4.30 | 174.63 |
MGP | 0.0008198 | 327 | GTEx | DepMap | Descartes | 2.36 | 222.68 |
IGFBP3 | 0.0007713 | 385 | GTEx | DepMap | Descartes | 1.49 | 50.65 |
ABCC9 | 0.0007256 | 428 | GTEx | DepMap | Descartes | 0.11 | 0.24 |
SCARA5 | 0.0006953 | 470 | GTEx | DepMap | Descartes | 0.10 | 0.37 |
Descartes sympathoblasts markers
Top 50 marker genes of sympathoblasts cells in the Decartes fetal adrenal single cell map (https://atlas.brotmanbaty.org/bbi/human-gene-expression-during-development/cell/sympathoblasts/in/adrenal)
Wilcoxon ranksum test P-value for gene set overrepresentation: 1.00e+00
Mean rank of genes in gene set: 13173.24
Median rank of genes in gene set: 16630
Rank on gene expression program of top 30 genes in gene set:
Genes | Weight | Rank | GTEx | DepMap | Descartes | Mean.Counts | Mean.TPM |
---|---|---|---|---|---|---|---|
PENK | 0.0006154 | 581 | GTEx | DepMap | Descartes | 1.18 | 70.04 |
NTNG1 | 0.0003927 | 1102 | GTEx | DepMap | Descartes | 0.46 | 0.43 |
CNTN3 | 0.0003192 | 1478 | GTEx | DepMap | Descartes | 0.06 | 0.04 |
ROBO1 | 0.0002345 | 2064 | GTEx | DepMap | Descartes | 0.60 | 0.23 |
GALNTL6 | 0.0001874 | 2575 | GTEx | DepMap | Descartes | 0.04 | 0.01 |
SORCS3 | 0.0001490 | 3159 | GTEx | DepMap | Descartes | 0.11 | 0.06 |
SLC35F3 | 0.0000654 | 5293 | GTEx | DepMap | Descartes | 0.02 | 0.03 |
CDH18 | 0.0000483 | 5910 | GTEx | DepMap | Descartes | 0.02 | 0.01 |
AGBL4 | 0.0000103 | 7902 | GTEx | DepMap | Descartes | 0.00 | 0.00 |
GRM7 | 0.0000100 | 7922 | GTEx | DepMap | Descartes | 0.02 | 0.01 |
KCTD16 | 0.0000096 | 7947 | GTEx | DepMap | Descartes | 0.00 | 0.00 |
ARC | 0.0000062 | 8144 | GTEx | DepMap | Descartes | 0.04 | 3.59 |
HTATSF1 | -0.0000254 | 10633 | GTEx | DepMap | Descartes | 1.69 | 34.16 |
CDH12 | -0.0000362 | 11595 | GTEx | DepMap | Descartes | 0.01 | 0.00 |
FGF14 | -0.0000535 | 12899 | GTEx | DepMap | Descartes | 0.01 | 0.00 |
SLC24A2 | -0.0000582 | 13207 | GTEx | DepMap | Descartes | 0.02 | 0.02 |
PNMT | -0.0000615 | 13410 | GTEx | DepMap | Descartes | 0.01 | 1.94 |
EML6 | -0.0000949 | 14957 | GTEx | DepMap | Descartes | 0.01 | 0.01 |
TBX20 | -0.0000985 | 15088 | GTEx | DepMap | Descartes | 0.08 | 0.26 |
TIAM1 | -0.0001457 | 16385 | GTEx | DepMap | Descartes | 0.42 | 0.26 |
TENM1 | -0.0001502 | 16487 | GTEx | DepMap | Descartes | 0.04 | 0.01 |
SCG2 | -0.0001639 | 16773 | GTEx | DepMap | Descartes | 0.03 | 1.07 |
SPOCK3 | -0.0001645 | 16787 | GTEx | DepMap | Descartes | 0.24 | 0.17 |
CCSER1 | -0.0001712 | 16897 | GTEx | DepMap | Descartes | 0.04 | 0.01 |
C1QL1 | -0.0001800 | 17053 | GTEx | DepMap | Descartes | 0.13 | 4.44 |
PACRG | -0.0001811 | 17068 | GTEx | DepMap | Descartes | 0.03 | 0.02 |
GRID2 | -0.0001976 | 17304 | GTEx | DepMap | Descartes | 0.13 | 0.02 |
MGAT4C | -0.0002055 | 17424 | GTEx | DepMap | Descartes | 0.03 | 0.02 |
LAMA3 | -0.0002298 | 17713 | GTEx | DepMap | Descartes | 0.07 | 0.04 |
CHGB | -0.0002370 | 17800 | GTEx | DepMap | Descartes | 0.24 | 4.04 |
Descartes erythroblasts markers
Top 50 marker genes of erythroblasts cells in the Decartes fetal adrenal single cell map (https://atlas.brotmanbaty.org/bbi/human-gene-expression-during-development/cell/erythroblasts/in/adrenal)
Wilcoxon ranksum test P-value for gene set overrepresentation: 4.64e-01
Mean rank of genes in gene set: 9579.97
Median rank of genes in gene set: 11465
Rank on gene expression program of top 30 genes in gene set:
Genes | Weight | Rank | GTEx | DepMap | Descartes | Mean.Counts | Mean.TPM |
---|---|---|---|---|---|---|---|
GYPC | 0.0008713 | 291 | GTEx | DepMap | Descartes | 0.37 | 3.61 |
BLVRB | 0.0004622 | 891 | GTEx | DepMap | Descartes | 0.65 | 10.84 |
SELENBP1 | 0.0003565 | 1254 | GTEx | DepMap | Descartes | 0.35 | 9.20 |
MARCH3 | 0.0002847 | 1681 | GTEx | DepMap | Descartes | 0.02 | 0.05 |
CR1L | 0.0002803 | 1708 | GTEx | DepMap | Descartes | 0.53 | 4.37 |
CAT | 0.0001712 | 2804 | GTEx | DepMap | Descartes | 0.68 | 6.42 |
SLC25A21 | 0.0001146 | 3847 | GTEx | DepMap | Descartes | 0.01 | 0.01 |
RGS6 | 0.0001054 | 4088 | GTEx | DepMap | Descartes | 0.04 | 0.02 |
TFR2 | 0.0001026 | 4151 | GTEx | DepMap | Descartes | 0.01 | 0.15 |
DENND4A | 0.0000971 | 4299 | GTEx | DepMap | Descartes | 0.09 | 0.21 |
RAPGEF2 | 0.0000743 | 5000 | GTEx | DepMap | Descartes | 0.36 | 0.47 |
FECH | 0.0000703 | 5139 | GTEx | DepMap | Descartes | 0.42 | 3.52 |
MICAL2 | 0.0000520 | 5754 | GTEx | DepMap | Descartes | 0.08 | 0.10 |
SPECC1 | 0.0000488 | 5889 | GTEx | DepMap | Descartes | 0.34 | 0.35 |
ABCB10 | 0.0000171 | 7489 | GTEx | DepMap | Descartes | 0.20 | 1.69 |
RHD | 0.0000125 | 7764 | GTEx | DepMap | Descartes | 0.01 | 0.13 |
TMEM56 | -0.0000101 | 9253 | GTEx | DepMap | Descartes | 0.02 | 0.05 |
EPB42 | -0.0000296 | 11021 | GTEx | DepMap | Descartes | 0.00 | 0.00 |
SLC25A37 | -0.0000400 | 11909 | GTEx | DepMap | Descartes | 0.16 | 0.79 |
SLC4A1 | -0.0000488 | 12571 | GTEx | DepMap | Descartes | 0.00 | 0.00 |
RHAG | -0.0000530 | 12863 | GTEx | DepMap | Descartes | 0.00 | 0.00 |
GYPA | -0.0000541 | 12948 | GTEx | DepMap | Descartes | 0.00 | 0.01 |
HEMGN | -0.0000542 | 12954 | GTEx | DepMap | Descartes | 0.00 | 0.03 |
SOX6 | -0.0000555 | 13033 | GTEx | DepMap | Descartes | 0.54 | 0.26 |
TRAK2 | -0.0000557 | 13053 | GTEx | DepMap | Descartes | 0.18 | 0.70 |
SPTA1 | -0.0000566 | 13114 | GTEx | DepMap | Descartes | 0.00 | 0.00 |
ALAS2 | -0.0000578 | 13177 | GTEx | DepMap | Descartes | 0.01 | 0.05 |
CPOX | -0.0000695 | 13851 | GTEx | DepMap | Descartes | 0.27 | 1.38 |
SNCA | -0.0000822 | 14442 | GTEx | DepMap | Descartes | 0.14 | 0.22 |
XPO7 | -0.0000872 | 14641 | GTEx | DepMap | Descartes | 0.58 | 1.46 |
Descartes myeloid markers
Top 50 marker genes of myeloid cells in the Decartes fetal adrenal single cell map (https://atlas.brotmanbaty.org/bbi/human-gene-expression-during-development/cell/myeloid/in/adrenal)
Wilcoxon ranksum test P-value for gene set overrepresentation: 2.53e-02
Mean rank of genes in gene set: 7983.36
Median rank of genes in gene set: 7775.5
Rank on gene expression program of top 30 genes in gene set:
Genes | Weight | Rank | GTEx | DepMap | Descartes | Mean.Counts | Mean.TPM |
---|---|---|---|---|---|---|---|
TGFBI | 0.0015277 | 52 | GTEx | DepMap | Descartes | 2.42 | 29.52 |
SLC1A3 | 0.0011541 | 138 | GTEx | DepMap | Descartes | 1.11 | 5.03 |
AXL | 0.0007767 | 375 | GTEx | DepMap | Descartes | 0.83 | 9.13 |
RGL1 | 0.0006275 | 567 | GTEx | DepMap | Descartes | 0.42 | 0.48 |
ABCA1 | 0.0005290 | 726 | GTEx | DepMap | Descartes | 0.25 | 0.59 |
ADAP2 | 0.0004561 | 907 | GTEx | DepMap | Descartes | 0.00 | 0.07 |
MERTK | 0.0004217 | 1019 | GTEx | DepMap | Descartes | 0.14 | 0.45 |
ITPR2 | 0.0002875 | 1658 | GTEx | DepMap | Descartes | 0.22 | 0.21 |
IFNGR1 | 0.0002832 | 1691 | GTEx | DepMap | Descartes | 0.28 | 4.22 |
HCK | 0.0002715 | 1766 | GTEx | DepMap | Descartes | 0.03 | 0.19 |
CTSB | 0.0002682 | 1786 | GTEx | DepMap | Descartes | 1.79 | 23.43 |
SLCO2B1 | 0.0002436 | 1976 | GTEx | DepMap | Descartes | 0.00 | 0.01 |
CST3 | 0.0001867 | 2582 | GTEx | DepMap | Descartes | 5.56 | 407.02 |
SFMBT2 | 0.0001380 | 3368 | GTEx | DepMap | Descartes | 0.05 | 0.08 |
RBPJ | 0.0001377 | 3375 | GTEx | DepMap | Descartes | 0.92 | 1.32 |
CTSD | 0.0001237 | 3631 | GTEx | DepMap | Descartes | 1.92 | 50.28 |
SPP1 | 0.0000563 | 5597 | GTEx | DepMap | Descartes | 0.12 | 3.83 |
ATP8B4 | 0.0000405 | 6240 | GTEx | DepMap | Descartes | 0.00 | 0.00 |
SLC9A9 | 0.0000350 | 6493 | GTEx | DepMap | Descartes | 0.05 | 0.02 |
CPVL | 0.0000225 | 7178 | GTEx | DepMap | Descartes | 0.00 | 0.00 |
WWP1 | 0.0000212 | 7242 | GTEx | DepMap | Descartes | 0.47 | 1.19 |
MSR1 | 0.0000035 | 8309 | GTEx | DepMap | Descartes | 0.00 | 0.01 |
LGMN | -0.0000171 | 9867 | GTEx | DepMap | Descartes | 0.43 | 2.30 |
RNASE1 | -0.0000290 | 10948 | GTEx | DepMap | Descartes | 0.00 | 0.00 |
MS4A7 | -0.0000292 | 10976 | GTEx | DepMap | Descartes | 0.00 | 0.00 |
MS4A4A | -0.0000325 | 11266 | GTEx | DepMap | Descartes | 0.00 | 0.00 |
HRH1 | -0.0000364 | 11615 | GTEx | DepMap | Descartes | 0.00 | 0.00 |
C1QA | -0.0000428 | 12113 | GTEx | DepMap | Descartes | 0.03 | 2.49 |
FGL2 | -0.0000435 | 12186 | GTEx | DepMap | Descartes | 0.02 | 0.82 |
CD14 | -0.0000483 | 12545 | GTEx | DepMap | Descartes | 0.01 | 0.94 |
Descartes Schwann markers
Top 50 marker genes of Schwann cells in the Decartes fetal adrenal single cell map (https://atlas.brotmanbaty.org/bbi/human-gene-expression-during-development/cell/schwann/in/adrenal)
Wilcoxon ranksum test P-value for gene set overrepresentation: 8.06e-01
Mean rank of genes in gene set: 10367.87
Median rank of genes in gene set: 13598
Rank on gene expression program of top 30 genes in gene set:
Genes | Weight | Rank | GTEx | DepMap | Descartes | Mean.Counts | Mean.TPM |
---|---|---|---|---|---|---|---|
COL5A2 | 0.0020655 | 18 | GTEx | DepMap | Descartes | 3.98 | 8.85 |
PMP22 | 0.0008984 | 274 | GTEx | DepMap | Descartes | 2.15 | 23.21 |
PTN | 0.0008765 | 288 | GTEx | DepMap | Descartes | 15.57 | 43.79 |
VCAN | 0.0008524 | 302 | GTEx | DepMap | Descartes | 4.67 | 14.98 |
EGFLAM | 0.0007771 | 374 | GTEx | DepMap | Descartes | 0.38 | 0.76 |
KCTD12 | 0.0007460 | 412 | GTEx | DepMap | Descartes | 2.16 | 117.53 |
LAMA4 | 0.0005705 | 659 | GTEx | DepMap | Descartes | 1.09 | 2.19 |
LAMB1 | 0.0004881 | 823 | GTEx | DepMap | Descartes | 1.75 | 7.11 |
MARCKS | 0.0004577 | 904 | GTEx | DepMap | Descartes | 12.76 | 593.45 |
SFRP1 | 0.0004390 | 951 | GTEx | DepMap | Descartes | 3.23 | 26.59 |
VIM | 0.0004234 | 1012 | GTEx | DepMap | Descartes | 17.66 | 475.35 |
LAMC1 | 0.0003641 | 1217 | GTEx | DepMap | Descartes | 0.60 | 1.16 |
COL25A1 | 0.0003236 | 1441 | GTEx | DepMap | Descartes | 0.46 | 0.33 |
PLCE1 | 0.0002663 | 1803 | GTEx | DepMap | Descartes | 0.38 | 0.36 |
IL1RAPL2 | 0.0001317 | 3474 | GTEx | DepMap | Descartes | 0.03 | 0.01 |
LRRTM4 | 0.0001103 | 3934 | GTEx | DepMap | Descartes | 0.04 | 0.02 |
GAS7 | 0.0000861 | 4609 | GTEx | DepMap | Descartes | 0.26 | 0.26 |
HMGA2 | 0.0000702 | 5144 | GTEx | DepMap | Descartes | 7.15 | 20.43 |
PAG1 | 0.0000618 | 5410 | GTEx | DepMap | Descartes | 0.20 | 0.33 |
OLFML2A | 0.0000522 | 5744 | GTEx | DepMap | Descartes | 0.08 | 0.42 |
COL18A1 | 0.0000477 | 5930 | GTEx | DepMap | Descartes | 1.27 | 2.33 |
ADAMTS5 | 0.0000424 | 6159 | GTEx | DepMap | Descartes | 0.44 | 2.00 |
STARD13 | -0.0000318 | 11207 | GTEx | DepMap | Descartes | 0.15 | 0.16 |
IL1RAPL1 | -0.0000649 | 13598 | GTEx | DepMap | Descartes | 0.07 | 0.01 |
TRPM3 | -0.0000713 | 13930 | GTEx | DepMap | Descartes | 0.03 | 0.01 |
SCN7A | -0.0001014 | 15202 | GTEx | DepMap | Descartes | 0.03 | 0.03 |
GRIK3 | -0.0001309 | 16038 | GTEx | DepMap | Descartes | 0.03 | 0.04 |
SOX5 | -0.0001363 | 16168 | GTEx | DepMap | Descartes | 0.59 | 0.19 |
MDGA2 | -0.0001471 | 16421 | GTEx | DepMap | Descartes | 0.08 | 0.03 |
SORCS1 | -0.0001508 | 16502 | GTEx | DepMap | Descartes | 0.13 | 0.06 |
Descartes Megakaryocytes markers
Top 50 marker genes of Megakaryocytes cells in the Decartes fetal adrenal single cell map (https://atlas.brotmanbaty.org/bbi/human-gene-expression-during-development/cell/megakaryocytes/in/adrenal)
Wilcoxon ranksum test P-value for gene set overrepresentation: 2.10e-01
Mean rank of genes in gene set: 9010.23
Median rank of genes in gene set: 10467
Rank on gene expression program of top 30 genes in gene set:
Genes | Weight | Rank | GTEx | DepMap | Descartes | Mean.Counts | Mean.TPM |
---|---|---|---|---|---|---|---|
ANGPT1 | 0.0011086 | 164 | GTEx | DepMap | Descartes | 0.31 | 0.38 |
TPM4 | 0.0010676 | 181 | GTEx | DepMap | Descartes | 3.51 | 40.66 |
LTBP1 | 0.0010184 | 203 | GTEx | DepMap | Descartes | 0.99 | 0.76 |
FLNA | 0.0008099 | 337 | GTEx | DepMap | Descartes | 3.45 | 35.45 |
GSN | 0.0007967 | 345 | GTEx | DepMap | Descartes | 1.44 | 8.69 |
ZYX | 0.0006172 | 579 | GTEx | DepMap | Descartes | 2.04 | 57.50 |
THBS1 | 0.0005745 | 654 | GTEx | DepMap | Descartes | 1.03 | 15.39 |
TLN1 | 0.0005545 | 685 | GTEx | DepMap | Descartes | 2.00 | 17.85 |
FLI1 | 0.0005471 | 702 | GTEx | DepMap | Descartes | 0.33 | 0.90 |
RAP1B | 0.0004416 | 946 | GTEx | DepMap | Descartes | 2.04 | 19.89 |
LIMS1 | 0.0004278 | 993 | GTEx | DepMap | Descartes | 1.26 | 3.08 |
ACTN1 | 0.0004277 | 994 | GTEx | DepMap | Descartes | 1.33 | 4.12 |
PDE3A | 0.0003753 | 1170 | GTEx | DepMap | Descartes | 0.26 | 0.28 |
VCL | 0.0003653 | 1208 | GTEx | DepMap | Descartes | 0.80 | 1.86 |
ARHGAP6 | 0.0003065 | 1545 | GTEx | DepMap | Descartes | 0.10 | 0.05 |
INPP4B | 0.0003051 | 1549 | GTEx | DepMap | Descartes | 0.12 | 0.05 |
TGFB1 | 0.0001010 | 4181 | GTEx | DepMap | Descartes | 0.12 | 2.28 |
STOM | 0.0000885 | 4544 | GTEx | DepMap | Descartes | 0.14 | 2.01 |
MYH9 | 0.0000581 | 5533 | GTEx | DepMap | Descartes | 1.05 | 2.87 |
TRPC6 | 0.0000142 | 7670 | GTEx | DepMap | Descartes | 0.01 | 0.01 |
PPBP | 0.0000041 | 8267 | GTEx | DepMap | Descartes | 0.01 | 1.55 |
ITGA2B | 0.0000014 | 8450 | GTEx | DepMap | Descartes | 0.04 | 0.69 |
PSTPIP2 | -0.0000156 | 9737 | GTEx | DepMap | Descartes | 0.00 | 0.01 |
P2RX1 | -0.0000233 | 10467 | GTEx | DepMap | Descartes | 0.00 | 0.04 |
GP9 | -0.0000393 | 11853 | GTEx | DepMap | Descartes | 0.01 | 0.95 |
PF4 | -0.0000485 | 12560 | GTEx | DepMap | Descartes | 0.09 | 24.49 |
MYLK | -0.0000487 | 12566 | GTEx | DepMap | Descartes | 0.87 | 0.88 |
BIN2 | -0.0000521 | 12791 | GTEx | DepMap | Descartes | 0.00 | 0.01 |
PLEK | -0.0000548 | 12993 | GTEx | DepMap | Descartes | 0.01 | 0.04 |
CD84 | -0.0000588 | 13251 | GTEx | DepMap | Descartes | 0.00 | 0.01 |
Descartes Lyphoid markers
Top 50 marker genes of Lyphoid cells in the Decartes fetal adrenal single cell map (https://atlas.brotmanbaty.org/bbi/human-gene-expression-during-development/cell/lymphoid/in/adrenal)
Wilcoxon ranksum test P-value for gene set overrepresentation: 8.04e-01
Mean rank of genes in gene set: 10401.24
Median rank of genes in gene set: 12536.5
Rank on gene expression program of top 30 genes in gene set:
Genes | Weight | Rank | GTEx | DepMap | Descartes | Mean.Counts | Mean.TPM |
---|---|---|---|---|---|---|---|
RCSD1 | 0.0008363 | 314 | GTEx | DepMap | Descartes | 0.31 | 1.48 |
B2M | 0.0007329 | 421 | GTEx | DepMap | Descartes | 0.91 | 44.49 |
CCND3 | 0.0006595 | 515 | GTEx | DepMap | Descartes | 5.63 | 17.85 |
ETS1 | 0.0005984 | 607 | GTEx | DepMap | Descartes | 0.48 | 1.19 |
FOXP1 | 0.0005672 | 668 | GTEx | DepMap | Descartes | 3.16 | 1.60 |
WIPF1 | 0.0004288 | 991 | GTEx | DepMap | Descartes | 0.28 | 0.87 |
ITPKB | 0.0002427 | 1990 | GTEx | DepMap | Descartes | 0.34 | 1.10 |
PLEKHA2 | 0.0001990 | 2425 | GTEx | DepMap | Descartes | 0.04 | 0.20 |
ARID5B | 0.0001919 | 2514 | GTEx | DepMap | Descartes | 0.84 | 1.33 |
TMSB10 | 0.0001856 | 2603 | GTEx | DepMap | Descartes | 31.89 | 6054.12 |
CD44 | 0.0001067 | 4050 | GTEx | DepMap | Descartes | 0.12 | 0.32 |
MSN | 0.0000910 | 4471 | GTEx | DepMap | Descartes | 0.67 | 2.34 |
PDE3B | 0.0000827 | 4724 | GTEx | DepMap | Descartes | 0.20 | 0.45 |
BCL2 | 0.0000779 | 4887 | GTEx | DepMap | Descartes | 0.92 | 1.76 |
DOCK10 | 0.0000658 | 5275 | GTEx | DepMap | Descartes | 0.15 | 0.17 |
PITPNC1 | 0.0000532 | 5699 | GTEx | DepMap | Descartes | 0.61 | 0.63 |
SP100 | 0.0000202 | 7307 | GTEx | DepMap | Descartes | 0.00 | 0.00 |
STK39 | 0.0000044 | 8254 | GTEx | DepMap | Descartes | 0.52 | 0.59 |
TOX | -0.0000034 | 8732 | GTEx | DepMap | Descartes | 0.51 | 0.58 |
FAM65B | -0.0000378 | 11718 | GTEx | DepMap | Descartes | 0.05 | NA |
NKG7 | -0.0000449 | 12305 | GTEx | DepMap | Descartes | 0.00 | 0.07 |
SCML4 | -0.0000518 | 12768 | GTEx | DepMap | Descartes | 0.01 | 0.03 |
MCTP2 | -0.0000561 | 13084 | GTEx | DepMap | Descartes | 0.02 | 0.02 |
PTPRC | -0.0000679 | 13773 | GTEx | DepMap | Descartes | 0.00 | 0.00 |
ARHGAP15 | -0.0000792 | 14293 | GTEx | DepMap | Descartes | 0.01 | 0.00 |
MBNL1 | -0.0000794 | 14302 | GTEx | DepMap | Descartes | 1.02 | 1.73 |
ANKRD44 | -0.0000905 | 14791 | GTEx | DepMap | Descartes | 0.37 | 0.43 |
IKZF1 | -0.0000906 | 14798 | GTEx | DepMap | Descartes | 0.00 | 0.01 |
LEF1 | -0.0001333 | 16102 | GTEx | DepMap | Descartes | 0.54 | 1.16 |
NCALD | -0.0001414 | 16288 | GTEx | DepMap | Descartes | 0.24 | 0.13 |
Below shows the ranks on this GEP for immune marker gene lists curated by CellTypist (https://www.celltypist.org/encyclopedia).
High ranks indicate this gene is a driver of this GEP.
These curated gene list are ranked by P-value (on this GEP) of their constituent genes.
The Mean Count column shows the mean read count in cells scoring highly (H > 50) on this gene expression program.
Genes | Weight | Rank | GTEx | DepMap | Decartes | Mean.Counts | Mean.TPM |
---|---|---|---|---|---|---|---|
PDGFRA | 0.0015469 | 49 | GTEx | DepMap | Descartes | 1.70 | 12.56 |
PRRX1 | 0.0012169 | 111 | GTEx | DepMap | Descartes | 2.56 | 12.60 |
ANGPTL1 | 0.0009376 | 247 | GTEx | DepMap | Descartes | 1.07 | 17.85 |
SMOC2 | 0.0008257 | 322 | GTEx | DepMap | Descartes | 1.56 | 3.71 |
OLFML1 | 0.0005075 | 771 | GTEx | DepMap | Descartes | 0.12 | 1.59 |
SFRP1 | 0.0004390 | 951 | GTEx | DepMap | Descartes | 3.23 | 26.59 |
NTRK2 | 0.0001972 | 2449 | GTEx | DepMap | Descartes | 0.62 | 0.74 |
EBF2 | 0.0000008 | 8494 | GTEx | DepMap | Descartes | 0.89 | 1.59 |
F10 | -0.0000775 | 14208 | GTEx | DepMap | Descartes | 0.00 | 0.02 |
Fibroblasts: Fibroblasts (curated markers)
the most common cells of connective tissues which synthesize the extracellular matrix and collagen to maintain tissue homeostasis:
Wilcoxon ranksum test P-value for gene set overrepresentation: 1.40e-03
Mean rank of genes in gene set: 38.33
Rank on gene expression program of genes in gene set:
Genes | Weight | Rank | GTEx | DepMap | Decartes | Mean.Counts | Mean.TPM |
---|---|---|---|---|---|---|---|
COL1A2 | 0.0028180 | 5 | GTEx | DepMap | Descartes | 15.45 | 118.86 |
COL1A1 | 0.0026634 | 7 | GTEx | DepMap | Descartes | 13.21 | 247.54 |
DCN | 0.0012615 | 103 | GTEx | DepMap | Descartes | 5.78 | 42.80 |
Macrophages: Kupffer cells (model markers)
resident macrophages in liver under non-inflammatory conditions which line the hepatic sinusoids and are involved in erythrocyte clearance:
Wilcoxon ranksum test P-value for gene set overrepresentation: 1.08e-02
Mean rank of genes in gene set: 4435.83
Rank on gene expression program of genes in gene set:
Genes | Weight | Rank | GTEx | DepMap | Decartes | Mean.Counts | Mean.TPM |
---|---|---|---|---|---|---|---|
PENK | 0.0006154 | 581 | GTEx | DepMap | Descartes | 1.18 | 70.04 |
EGR2 | 0.0002033 | 2377 | GTEx | DepMap | Descartes | 0.27 | 12.23 |
ECSCR | 0.0001745 | 2760 | GTEx | DepMap | Descartes | 0.09 | 2.68 |
ARRDC3 | 0.0000869 | 4584 | GTEx | DepMap | Descartes | 0.48 | 10.40 |
CD5L | 0.0000288 | 6798 | GTEx | DepMap | Descartes | 0.00 | 0.01 |
TCHH | -0.0000131 | 9515 | GTEx | DepMap | Descartes | 0.06 | 2.62 |