Program description and justification of annotation: 43.
Submit a comment on this gene expression program’s interpretation: CLICK
QQ-plot of gene loadings, averaged over both independent splits of the data
This plot highlights the relative contribution of each gene to the GEP
Top genes driving this program.
Note: Decartes website is buggy, try refreshing. Also, Decartes fetal adrenal data have been collected at specific time points (89-122 days), all possible cell types of interest may not be represented, do not overinterpret.
The Mean Count column shows the mean read count in cells scoring highly (H > 50) on this gene expression program.
Gene | Loading | Gene.Name | GTEx | DepMap | Descartes | Mean.Counts | Mean.Tpm | |
---|---|---|---|---|---|---|---|---|
1 | UBE2C | 0.0351635 | ubiquitin conjugating enzyme E2 C | GTEx | DepMap | Descartes | 98.80 | 1709.90 |
2 | CENPF | 0.0315975 | centromere protein F | GTEx | DepMap | Descartes | 49.75 | 174.56 |
3 | HMMR | 0.0269959 | hyaluronan mediated motility receptor | GTEx | DepMap | Descartes | 14.83 | 74.42 |
4 | TUBB4B | 0.0269200 | tubulin beta 4B class IVb | GTEx | DepMap | Descartes | 41.48 | 2525.49 |
5 | CENPA | 0.0261337 | centromere protein A | GTEx | DepMap | Descartes | 22.54 | 441.88 |
6 | PTTG1 | 0.0253567 | PTTG1 regulator of sister chromatid separation, securin | GTEx | DepMap | Descartes | 13.40 | 341.97 |
7 | TPX2 | 0.0245193 | TPX2 microtubule nucleation factor | GTEx | DepMap | Descartes | 14.82 | 49.08 |
8 | HMGB2 | 0.0241842 | high mobility group box 2 | GTEx | DepMap | Descartes | 128.67 | 4801.04 |
9 | NUSAP1 | 0.0239175 | nucleolar and spindle associated protein 1 | GTEx | DepMap | Descartes | 15.13 | 72.98 |
10 | ASPM | 0.0231441 | assembly factor for spindle microtubules | GTEx | DepMap | Descartes | 9.61 | 41.31 |
11 | PRC1 | 0.0230466 | protein regulator of cytokinesis 1 | GTEx | DepMap | Descartes | 15.77 | 116.49 |
12 | BIRC5 | 0.0227471 | baculoviral IAP repeat containing 5 | GTEx | DepMap | Descartes | 30.15 | 711.91 |
13 | CDCA3 | 0.0224277 | cell division cycle associated 3 | GTEx | DepMap | Descartes | 11.68 | 437.49 |
14 | ARL6IP1 | 0.0223759 | ADP ribosylation factor like GTPase 6 interacting protein 1 | GTEx | DepMap | Descartes | 34.99 | 529.00 |
15 | CENPE | 0.0219616 | centromere protein E | GTEx | DepMap | Descartes | 11.29 | 29.91 |
16 | FAM64A | 0.0210679 | NA | GTEx | DepMap | Descartes | 6.82 | NA |
17 | CKS2 | 0.0209850 | CDC28 protein kinase regulatory subunit 2 | GTEx | DepMap | Descartes | 22.32 | 626.05 |
18 | CCNA2 | 0.0207204 | cyclin A2 | GTEx | DepMap | Descartes | 11.52 | 248.79 |
19 | SGOL2A | 0.0206952 | NA | GTEx | DepMap | Descartes | 7.22 | NA |
20 | CCNB1 | 0.0205768 | cyclin B1 | GTEx | DepMap | Descartes | 11.08 | 222.07 |
21 | CKAP2L | 0.0204470 | cytoskeleton associated protein 2 like | GTEx | DepMap | Descartes | 7.41 | 40.19 |
22 | AURKA | 0.0204129 | aurora kinase A | GTEx | DepMap | Descartes | 7.00 | 76.29 |
23 | CDC20 | 0.0203398 | cell division cycle 20 | GTEx | DepMap | Descartes | 9.87 | 358.31 |
24 | CCNB2 | 0.0187472 | cyclin B2 | GTEx | DepMap | Descartes | 8.72 | 98.15 |
25 | ECT2 | 0.0187432 | epithelial cell transforming 2 | GTEx | DepMap | Descartes | 5.72 | 16.25 |
26 | PLK1 | 0.0185705 | polo like kinase 1 | GTEx | DepMap | Descartes | 6.06 | 92.64 |
27 | CDK1 | 0.0185114 | cyclin dependent kinase 1 | GTEx | DepMap | Descartes | 20.16 | 175.60 |
28 | SPC25 | 0.0184961 | SPC25 component of NDC80 kinetochore complex | GTEx | DepMap | Descartes | 10.45 | 131.10 |
29 | H2AFV | 0.0183185 | NA | GTEx | DepMap | Descartes | 38.33 | 350.15 |
30 | TOP2A | 0.0182722 | DNA topoisomerase II alpha | GTEx | DepMap | Descartes | 36.10 | 184.80 |
31 | CKS1B | 0.0182598 | CDC28 protein kinase regulatory subunit 1B | GTEx | DepMap | Descartes | 25.10 | 1304.64 |
32 | PSRC1 | 0.0181008 | proline and serine rich coiled-coil 1 | GTEx | DepMap | Descartes | 6.79 | 247.71 |
33 | ARHGAP11A | 0.0178672 | Rho GTPase activating protein 11A | GTEx | DepMap | Descartes | 6.42 | 59.15 |
34 | UBE2S | 0.0178086 | ubiquitin conjugating enzyme E2 S | GTEx | DepMap | Descartes | 42.75 | 356.62 |
35 | CDC25C | 0.0174208 | cell division cycle 25C | GTEx | DepMap | Descartes | 3.42 | 29.67 |
36 | DEPDC1A | 0.0171810 | NA | GTEx | DepMap | Descartes | 2.76 | 12.88 |
37 | NEK2 | 0.0170542 | NIMA related kinase 2 | GTEx | DepMap | Descartes | 3.31 | 47.03 |
38 | H2AFZ | 0.0167198 | NA | GTEx | DepMap | Descartes | 202.05 | 12434.84 |
39 | CASC5 | 0.0166139 | NA | GTEx | DepMap | Descartes | 7.84 | NA |
40 | KIF18A | 0.0164090 | kinesin family member 18A | GTEx | DepMap | Descartes | 5.03 | 13.38 |
41 | MKI67 | 0.0163880 | marker of proliferation Ki-67 | GTEx | DepMap | Descartes | 16.53 | 96.79 |
42 | LOCKD | 0.0163482 | NA | GTEx | DepMap | Descartes | 9.99 | 58.00 |
43 | SAPCD2 | 0.0163324 | suppressor APC domain containing 2 | GTEx | DepMap | Descartes | 4.41 | 115.01 |
44 | DLGAP5 | 0.0162815 | DLG associated protein 5 | GTEx | DepMap | Descartes | 4.12 | 21.75 |
45 | GAS2L3 | 0.0161563 | growth arrest specific 2 like 3 | GTEx | DepMap | Descartes | 3.19 | 15.16 |
46 | KNSTRN | 0.0160592 | kinetochore localized astrin (SPAG5) binding protein | GTEx | DepMap | Descartes | 5.56 | 21.35 |
47 | KPNA2 | 0.0160580 | karyopherin subunit alpha 2 | GTEx | DepMap | Descartes | 5.11 | 76.32 |
48 | CKAP5 | 0.0159157 | cytoskeleton associated protein 5 | GTEx | DepMap | Descartes | 11.05 | 18.34 |
49 | CDCA8 | 0.0156614 | cell division cycle associated 8 | GTEx | DepMap | Descartes | 10.87 | 80.70 |
50 | KIF20A | 0.0154843 | kinesin family member 20A | GTEx | DepMap | Descartes | 3.43 | 63.08 |
UMAP plots showing activity of gene expression program identified in community:43. Cell cycle (G2M)
CNV Data procured from inferCNV.
Outer tracks are putative CNV regions (gains = red, losses = blue) for each patient
Inner track is expression data representing:
The top cells expressing this GEP (purple)
Random cells (n =50) from the reference set used in inferCNV (orange)
Gene set Enrichments for this program, caculated from top 50 genes
mSigDB Cell Types Gene Set:
P-value | OR | Lower 95% CI | FDR | FWER | Genes Found | Gene Set Size | |
---|---|---|---|---|---|---|---|
FAN_EMBRYONIC_CTX_NSC_2 | 9.42e-79 | 674.40 | 293.08 | 6.32e-76 | 6.32e-76 | 43UBE2C, CENPF, HMMR, TUBB4B, CENPA, PTTG1, TPX2, HMGB2, NUSAP1, ASPM, PRC1, BIRC5, CDCA3, ARL6IP1, CENPE, CKS2, CCNA2, CCNB1, CKAP2L, AURKA, CDC20, CCNB2, ECT2, PLK1, CDK1, SPC25, TOP2A, CKS1B, PSRC1, ARHGAP11A, UBE2S, CDC25C, NEK2, KIF18A, MKI67, SAPCD2, DLGAP5, GAS2L3, KNSTRN, KPNA2, CKAP5, CDCA8, KIF20A |
233 |
ZHONG_PFC_C2_UNKNOWN_NPC | 1.20e-57 | 540.72 | 284.19 | 2.01e-55 | 8.05e-55 | 28UBE2C, CENPF, TUBB4B, PTTG1, TPX2, NUSAP1, ASPM, CDCA3, ARL6IP1, CENPE, CKS2, CCNA2, CCNB1, CKAP2L, AURKA, CDC20, CCNB2, PLK1, TOP2A, PSRC1, ARHGAP11A, NEK2, MKI67, DLGAP5, KNSTRN, KPNA2, CDCA8, KIF20A |
76 |
ZHONG_PFC_C8_ORG_PROLIFERATING | 2.44e-52 | 554.78 | 278.85 | 3.27e-50 | 1.64e-49 | 25CENPF, TUBB4B, CENPA, PTTG1, TPX2, NUSAP1, ASPM, PRC1, BIRC5, CDCA3, ARL6IP1, CENPE, CKS2, CCNB1, AURKA, CDC20, CCNB2, PLK1, PSRC1, NEK2, KIF18A, GAS2L3, KNSTRN, CDCA8, KIF20A |
62 |
ZHONG_PFC_C1_OPC | 1.46e-75 | 559.20 | 254.51 | 4.91e-73 | 9.81e-73 | 42UBE2C, CENPF, HMMR, TUBB4B, CENPA, PTTG1, TPX2, HMGB2, NUSAP1, ASPM, PRC1, BIRC5, CDCA3, ARL6IP1, CENPE, CKS2, CCNA2, CCNB1, CKAP2L, AURKA, CDC20, CCNB2, ECT2, PLK1, CDK1, SPC25, TOP2A, CKS1B, PSRC1, ARHGAP11A, UBE2S, CDC25C, NEK2, KIF18A, MKI67, DLGAP5, GAS2L3, KNSTRN, KPNA2, CKAP5, CDCA8, KIF20A |
238 |
FAN_EMBRYONIC_CTX_MICROGLIA_1 | 6.76e-65 | 403.31 | 208.38 | 1.51e-62 | 4.53e-62 | 35UBE2C, CENPF, HMMR, TUBB4B, PTTG1, TPX2, HMGB2, NUSAP1, ASPM, PRC1, BIRC5, CDCA3, ARL6IP1, CENPE, CKS2, CCNA2, CCNB1, CKAP2L, AURKA, CDC20, CCNB2, PLK1, CDK1, SPC25, TOP2A, CKS1B, ARHGAP11A, CDC25C, MKI67, DLGAP5, KNSTRN, KPNA2, CKAP5, CDCA8, KIF20A |
155 |
ZHONG_PFC_C3_UNKNOWN_INP | 6.54e-31 | 385.59 | 173.09 | 3.37e-29 | 4.39e-28 | 15UBE2C, CENPF, TPX2, PRC1, BIRC5, CENPE, CCNA2, CKAP2L, CCNB2, ECT2, CDK1, SPC25, DLGAP5, KPNA2, CDCA8 |
38 |
ZHONG_PFC_MAJOR_TYPES_NPCS | 6.01e-42 | 177.66 | 95.19 | 4.48e-40 | 4.03e-39 | 25UBE2C, CENPF, TUBB4B, PTTG1, TPX2, HMGB2, NUSAP1, ASPM, PRC1, BIRC5, CDCA3, CKS2, CCNA2, CCNB1, CKAP2L, CDC20, CCNB2, CDK1, SPC25, TOP2A, CKS1B, MKI67, DLGAP5, KNSTRN, KPNA2 |
142 |
MANNO_MIDBRAIN_NEUROTYPES_HPROGBP | 1.15e-49 | 151.61 | 81.20 | 1.29e-47 | 7.74e-47 | 33UBE2C, CENPF, HMMR, PTTG1, TPX2, HMGB2, NUSAP1, ASPM, PRC1, BIRC5, CDCA3, CENPE, CKS2, CCNA2, CCNB1, CKAP2L, AURKA, CCNB2, ECT2, PLK1, CDK1, SPC25, TOP2A, CKS1B, ARHGAP11A, CDC25C, NEK2, KIF18A, MKI67, SAPCD2, DLGAP5, KNSTRN, CDCA8 |
300 |
MANNO_MIDBRAIN_NEUROTYPES_HPROGFPM | 2.98e-49 | 137.40 | 73.25 | 2.86e-47 | 2.00e-46 | 34UBE2C, CENPF, HMMR, PTTG1, TPX2, HMGB2, NUSAP1, ASPM, PRC1, BIRC5, CDCA3, CENPE, CKS2, CCNA2, CCNB1, CKAP2L, AURKA, CCNB2, ECT2, PLK1, CDK1, SPC25, TOP2A, CKS1B, ARHGAP11A, UBE2S, CDC25C, NEK2, KIF18A, MKI67, DLGAP5, KNSTRN, KPNA2, CDCA8 |
356 |
MANNO_MIDBRAIN_NEUROTYPES_HPROGFPL | 2.28e-44 | 117.06 | 63.07 | 1.91e-42 | 1.53e-41 | 31UBE2C, CENPF, HMMR, PTTG1, TPX2, HMGB2, NUSAP1, ASPM, PRC1, BIRC5, CDCA3, CENPE, CCNA2, CCNB1, CKAP2L, AURKA, CCNB2, ECT2, PLK1, CDK1, SPC25, TOP2A, CKS1B, PSRC1, CDC25C, NEK2, KIF18A, MKI67, DLGAP5, KNSTRN, CDCA8 |
323 |
GAO_LARGE_INTESTINE_24W_C2_MKI67POS_PROGENITOR | 6.12e-27 | 111.84 | 56.45 | 2.57e-25 | 4.10e-24 | 17UBE2C, CENPF, PTTG1, TPX2, NUSAP1, ASPM, PRC1, BIRC5, CCNA2, CCNB1, CDC20, CCNB2, CDK1, TOP2A, MKI67, DLGAP5, KNSTRN |
113 |
TRAVAGLINI_LUNG_PROLIFERATING_NK_T_CELL | 6.48e-28 | 105.58 | 54.09 | 2.90e-26 | 4.35e-25 | 18UBE2C, CENPF, HMMR, TUBB4B, TPX2, HMGB2, ASPM, BIRC5, CDCA3, CKS2, CCNA2, CDC20, CDK1, TOP2A, CKS1B, CDC25C, MKI67, CDCA8 |
129 |
GAO_LARGE_INTESTINE_ADULT_CH_MKI67HIGH_CELLS | 2.55e-21 | 87.21 | 42.03 | 9.52e-20 | 1.71e-18 | 14CENPF, HMMR, CENPA, TPX2, BIRC5, CDCA3, CCNA2, CKAP2L, TOP2A, ARHGAP11A, CDC25C, MKI67, CDCA8, KIF20A |
107 |
ZHONG_PFC_C1_MICROGLIA | 2.47e-31 | 75.91 | 41.02 | 1.38e-29 | 1.66e-28 | 23UBE2C, CENPF, HMMR, TPX2, HMGB2, NUSAP1, ASPM, PRC1, BIRC5, CDCA3, CKS2, CCNA2, CCNB1, CKAP2L, AURKA, CCNB2, PLK1, CDK1, SPC25, TOP2A, CKS1B, KPNA2, CDCA8 |
257 |
MANNO_MIDBRAIN_NEUROTYPES_HNPROG | 1.04e-28 | 72.77 | 38.69 | 4.97e-27 | 6.95e-26 | 21UBE2C, CENPF, TPX2, HMGB2, NUSAP1, ASPM, PRC1, BIRC5, CDCA3, CCNA2, CKAP2L, CCNB2, PLK1, CDK1, TOP2A, PSRC1, ARHGAP11A, NEK2, MKI67, DLGAP5, CDCA8 |
229 |
TRAVAGLINI_LUNG_PROLIFERATING_BASAL_CELL | 1.54e-37 | 57.04 | 30.20 | 1.03e-35 | 1.03e-34 | 35UBE2C, CENPF, HMMR, CENPA, PTTG1, TPX2, HMGB2, NUSAP1, ASPM, PRC1, BIRC5, CDCA3, ARL6IP1, CENPE, CKS2, CCNA2, CCNB1, CKAP2L, AURKA, CDC20, CCNB2, ECT2, PLK1, CDK1, SPC25, TOP2A, CKS1B, ARHGAP11A, UBE2S, NEK2, MKI67, DLGAP5, KNSTRN, KPNA2, KIF20A |
891 |
BUSSLINGER_ESOPHAGEAL_EARLY_SUPRABASAL_CELLS | 2.06e-13 | 65.42 | 26.92 | 6.01e-12 | 1.38e-10 | 9CENPF, PTTG1, HMGB2, ASPM, PRC1, CCNB1, CDK1, TOP2A, MKI67 |
79 |
BUSSLINGER_ESOPHAGEAL_PROLIFERATING_BASAL_CELLS | 4.81e-12 | 64.09 | 24.95 | 1.34e-10 | 3.23e-09 | 8CENPF, HMGB2, NUSAP1, ASPM, PRC1, ARL6IP1, TOP2A, MKI67 |
70 |
HAY_BONE_MARROW_PRO_B | 1.04e-22 | 44.93 | 23.69 | 4.11e-21 | 6.99e-20 | 19UBE2C, CENPF, CENPA, TPX2, HMGB2, NUSAP1, ASPM, BIRC5, ARL6IP1, CKAP2L, SPC25, TOP2A, CKS1B, PSRC1, UBE2S, CDC25C, MKI67, KPNA2, CDCA8 |
304 |
TRAVAGLINI_LUNG_PROLIFERATING_MACROPHAGE_CELL | 5.48e-33 | 43.43 | 23.41 | 3.34e-31 | 3.68e-30 | 33UBE2C, CENPF, HMMR, TUBB4B, CENPA, PTTG1, TPX2, HMGB2, NUSAP1, ASPM, PRC1, BIRC5, CDCA3, ARL6IP1, CENPE, CKS2, CCNA2, CCNB1, CKAP2L, AURKA, CDC20, CCNB2, PLK1, CDK1, SPC25, TOP2A, CKS1B, ARHGAP11A, UBE2S, MKI67, DLGAP5, KNSTRN, KPNA2 |
968 |
Dowload full table
mSigDB Hallmark Gene Sets:
P-value | OR | Lower 95% CI | FDR | FWER | Genes Found | Gene Set Size | |
---|---|---|---|---|---|---|---|
HALLMARK_G2M_CHECKPOINT | 6.52e-34 | 100.65 | 53.81 | 3.26e-32 | 3.26e-32 | 23UBE2C, CENPF, HMMR, CENPA, PTTG1, TPX2, NUSAP1, PRC1, BIRC5, CENPE, CKS2, CCNA2, AURKA, CDC20, CCNB2, PLK1, CDK1, TOP2A, CKS1B, UBE2S, NEK2, MKI67, KPNA2 |
200 |
HALLMARK_E2F_TARGETS | 4.56e-28 | 77.33 | 40.80 | 1.14e-26 | 2.28e-26 | 20HMMR, PTTG1, HMGB2, BIRC5, CDCA3, CENPE, CKS2, AURKA, CDC20, CCNB2, PLK1, CDK1, SPC25, TOP2A, CKS1B, UBE2S, MKI67, DLGAP5, KPNA2, CDCA8 |
200 |
HALLMARK_MITOTIC_SPINDLE | 3.97e-19 | 48.69 | 24.25 | 6.61e-18 | 1.98e-17 | 15CENPF, TPX2, NUSAP1, PRC1, BIRC5, CENPE, AURKA, CCNB2, ECT2, PLK1, CDK1, TOP2A, NEK2, DLGAP5, CKAP5 |
199 |
HALLMARK_GLYCOLYSIS | 1.08e-04 | 11.91 | 3.65 | 1.35e-03 | 5.39e-03 | 5HMMR, CENPA, AURKA, CDK1, KIF20A |
200 |
HALLMARK_SPERMATOGENESIS | 2.95e-04 | 13.87 | 3.57 | 2.95e-03 | 1.47e-02 | 4AURKA, CCNB2, CDK1, NEK2 |
135 |
HALLMARK_ESTROGEN_RESPONSE_LATE | 1.18e-02 | 6.77 | 1.34 | 8.42e-02 | 5.89e-01 | 3CDC20, TOP2A, KIF20A |
200 |
HALLMARK_MYC_TARGETS_V1 | 1.18e-02 | 6.77 | 1.34 | 8.42e-02 | 5.89e-01 | 3CCNA2, CDC20, KPNA2 |
200 |
HALLMARK_APOPTOSIS | 5.58e-02 | 5.48 | 0.64 | 3.49e-01 | 1.00e+00 | 2HMGB2, TOP2A |
161 |
HALLMARK_MTORC1_SIGNALING | 8.11e-02 | 4.40 | 0.51 | 4.51e-01 | 1.00e+00 | 2AURKA, PLK1 |
200 |
HALLMARK_MYC_TARGETS_V2 | 1.29e-01 | 7.48 | 0.18 | 6.46e-01 | 1.00e+00 | 1PLK1 |
58 |
HALLMARK_PEROXISOME | 2.20e-01 | 4.14 | 0.10 | 9.08e-01 | 1.00e+00 | 1TOP2A |
104 |
HALLMARK_PI3K_AKT_MTOR_SIGNALING | 2.21e-01 | 4.10 | 0.10 | 9.08e-01 | 1.00e+00 | 1CDK1 |
105 |
HALLMARK_UNFOLDED_PROTEIN_RESPONSE | 2.36e-01 | 3.81 | 0.09 | 9.08e-01 | 1.00e+00 | 1CKS1B |
113 |
HALLMARK_DNA_REPAIR | 3.00e-01 | 2.86 | 0.07 | 1.00e+00 | 1.00e+00 | 1ARL6IP1 |
150 |
HALLMARK_TNFA_SIGNALING_VIA_NFKB | 1.00e+00 | 0.00 | 0.00 | 1.00e+00 | 1.00e+00 | 0 |
200 |
HALLMARK_HYPOXIA | 1.00e+00 | 0.00 | 0.00 | 1.00e+00 | 1.00e+00 | 0 |
200 |
HALLMARK_CHOLESTEROL_HOMEOSTASIS | 1.00e+00 | 0.00 | 0.00 | 1.00e+00 | 1.00e+00 | 0 |
74 |
HALLMARK_WNT_BETA_CATENIN_SIGNALING | 1.00e+00 | 0.00 | 0.00 | 1.00e+00 | 1.00e+00 | 0 |
42 |
HALLMARK_TGF_BETA_SIGNALING | 1.00e+00 | 0.00 | 0.00 | 1.00e+00 | 1.00e+00 | 0 |
54 |
HALLMARK_IL6_JAK_STAT3_SIGNALING | 1.00e+00 | 0.00 | 0.00 | 1.00e+00 | 1.00e+00 | 0 |
87 |
Dowload full table
KEGG Pathways:
P-value | OR | Lower 95% CI | FDR | FWER | Genes Found | Gene Set Size | |
---|---|---|---|---|---|---|---|
KEGG_OOCYTE_MEIOSIS | 2.38e-10 | 37.89 | 14.99 | 4.42e-08 | 4.42e-08 | 8PTTG1, CCNB1, AURKA, CDC20, CCNB2, PLK1, CDK1, CDC25C |
113 |
KEGG_CELL_CYCLE | 5.32e-10 | 34.00 | 13.49 | 4.95e-08 | 9.90e-08 | 8PTTG1, CCNA2, CCNB1, CDC20, CCNB2, PLK1, CDK1, CDC25C |
125 |
KEGG_PROGESTERONE_MEDIATED_OOCYTE_MATURATION | 5.02e-08 | 36.04 | 12.20 | 3.11e-06 | 9.33e-06 | 6CCNA2, CCNB1, CCNB2, PLK1, CDK1, CDC25C |
85 |
KEGG_P53_SIGNALING_PATHWAY | 5.69e-04 | 20.51 | 3.98 | 2.65e-02 | 1.06e-01 | 3CCNB1, CCNB2, CDK1 |
68 |
KEGG_UBIQUITIN_MEDIATED_PROTEOLYSIS | 4.04e-03 | 10.10 | 1.99 | 1.50e-01 | 7.51e-01 | 3UBE2C, CDC20, UBE2S |
135 |
KEGG_GAP_JUNCTION | 1.94e-02 | 9.89 | 1.15 | 6.02e-01 | 1.00e+00 | 2TUBB4B, CDK1 |
90 |
KEGG_PATHWAYS_IN_CANCER | 1.77e-01 | 2.70 | 0.32 | 1.00e+00 | 1.00e+00 | 2BIRC5, CKS1B |
325 |
KEGG_PATHOGENIC_ESCHERICHIA_COLI_INFECTION | 1.25e-01 | 7.75 | 0.19 | 1.00e+00 | 1.00e+00 | 1TUBB4B |
56 |
KEGG_COLORECTAL_CANCER | 1.38e-01 | 6.99 | 0.17 | 1.00e+00 | 1.00e+00 | 1BIRC5 |
62 |
KEGG_ECM_RECEPTOR_INTERACTION | 1.82e-01 | 5.14 | 0.13 | 1.00e+00 | 1.00e+00 | 1HMMR |
84 |
KEGG_SMALL_CELL_LUNG_CANCER | 1.82e-01 | 5.14 | 0.13 | 1.00e+00 | 1.00e+00 | 1CKS1B |
84 |
KEGG_N_GLYCAN_BIOSYNTHESIS | 1.00e+00 | 0.00 | 0.00 | 1.00e+00 | 1.00e+00 | 0 |
46 |
KEGG_OTHER_GLYCAN_DEGRADATION | 1.00e+00 | 0.00 | 0.00 | 1.00e+00 | 1.00e+00 | 0 |
16 |
KEGG_O_GLYCAN_BIOSYNTHESIS | 1.00e+00 | 0.00 | 0.00 | 1.00e+00 | 1.00e+00 | 0 |
30 |
KEGG_GLYCOSAMINOGLYCAN_DEGRADATION | 1.00e+00 | 0.00 | 0.00 | 1.00e+00 | 1.00e+00 | 0 |
21 |
KEGG_GLYCOSAMINOGLYCAN_BIOSYNTHESIS_KERATAN_SULFATE | 1.00e+00 | 0.00 | 0.00 | 1.00e+00 | 1.00e+00 | 0 |
15 |
KEGG_GLYCEROLIPID_METABOLISM | 1.00e+00 | 0.00 | 0.00 | 1.00e+00 | 1.00e+00 | 0 |
49 |
KEGG_GLYCOSYLPHOSPHATIDYLINOSITOL_GPI_ANCHOR_BIOSYNTHESIS | 1.00e+00 | 0.00 | 0.00 | 1.00e+00 | 1.00e+00 | 0 |
25 |
KEGG_GLYCEROPHOSPHOLIPID_METABOLISM | 1.00e+00 | 0.00 | 0.00 | 1.00e+00 | 1.00e+00 | 0 |
77 |
KEGG_ETHER_LIPID_METABOLISM | 1.00e+00 | 0.00 | 0.00 | 1.00e+00 | 1.00e+00 | 0 |
33 |
Dowload full table
CHR Positional Gene Sets:
P-value | OR | Lower 95% CI | FDR | FWER | Genes Found | Gene Set Size | |
---|---|---|---|---|---|---|---|
chr15q15 | 4.52e-02 | 6.18 | 0.72 | 1.00e+00 | 1.00e+00 | 2NUSAP1, KNSTRN |
143 |
chr16p12 | 5.76e-02 | 5.38 | 0.63 | 1.00e+00 | 1.00e+00 | 2ARL6IP1, PLK1 |
164 |
chr1p34 | 1.37e-01 | 3.19 | 0.37 | 1.00e+00 | 1.00e+00 | 2CDC20, CDCA8 |
275 |
chr4q27 | 6.69e-02 | 15.22 | 0.37 | 1.00e+00 | 1.00e+00 | 1CCNA2 |
29 |
chr5q31 | 1.46e-01 | 3.06 | 0.36 | 1.00e+00 | 1.00e+00 | 2CDC25C, KIF20A |
287 |
chr9q34 | 1.66e-01 | 2.82 | 0.33 | 1.00e+00 | 1.00e+00 | 2TUBB4B, SAPCD2 |
311 |
chr5q34 | 8.67e-02 | 11.52 | 0.28 | 1.00e+00 | 1.00e+00 | 1HMMR |
38 |
chr20q13 | 2.41e-01 | 2.19 | 0.26 | 1.00e+00 | 1.00e+00 | 2UBE2C, AURKA |
400 |
chr11p14 | 1.25e-01 | 7.75 | 0.19 | 1.00e+00 | 1.00e+00 | 1KIF18A |
56 |
chr4q24 | 1.25e-01 | 7.75 | 0.19 | 1.00e+00 | 1.00e+00 | 1CENPE |
56 |
chr1q31 | 1.56e-01 | 6.09 | 0.15 | 1.00e+00 | 1.00e+00 | 1ASPM |
71 |
chr15q13 | 1.87e-01 | 4.96 | 0.12 | 1.00e+00 | 1.00e+00 | 1ARHGAP11A |
87 |
chr14q22 | 1.93e-01 | 4.79 | 0.12 | 1.00e+00 | 1.00e+00 | 1DLGAP5 |
90 |
chr1q41 | 1.97e-01 | 4.69 | 0.12 | 1.00e+00 | 1.00e+00 | 1CENPF |
92 |
chr17q24 | 2.01e-01 | 4.59 | 0.11 | 1.00e+00 | 1.00e+00 | 1KPNA2 |
94 |
chr5q33 | 2.29e-01 | 3.95 | 0.10 | 1.00e+00 | 1.00e+00 | 1PTTG1 |
109 |
chr10q21 | 2.41e-01 | 3.71 | 0.09 | 1.00e+00 | 1.00e+00 | 1CDK1 |
116 |
chr15q22 | 2.56e-01 | 3.47 | 0.09 | 1.00e+00 | 1.00e+00 | 1CCNB2 |
124 |
chr5q13 | 2.87e-01 | 3.02 | 0.07 | 1.00e+00 | 1.00e+00 | 1CCNB1 |
142 |
chr11p11 | 2.92e-01 | 2.96 | 0.07 | 1.00e+00 | 1.00e+00 | 1CKAP5 |
145 |
Dowload full table
Transcription Factor Targets:
P-value | OR | Lower 95% CI | FDR | FWER | Genes Found | Gene Set Size | |
---|---|---|---|---|---|---|---|
HSD17B8_TARGET_GENES | 4.68e-33 | 49.94 | 27.21 | 5.30e-30 | 5.30e-30 | 30UBE2C, CENPF, HMMR, CENPA, PTTG1, HMGB2, ASPM, PRC1, BIRC5, CDCA3, CENPE, CCNA2, CKAP2L, CDC20, CCNB2, ECT2, PLK1, CDK1, SPC25, TOP2A, CKS1B, ARHGAP11A, CDC25C, NEK2, MKI67, DLGAP5, KPNA2, CKAP5, CDCA8, KIF20A |
659 |
ASH1L_TARGET_GENES | 5.45e-16 | 13.58 | 7.44 | 2.06e-13 | 6.17e-13 | 24CENPF, HMMR, TUBB4B, CENPA, TPX2, ASPM, CDCA3, CENPE, CKS2, CCNB1, CKAP2L, AURKA, CCNB2, ECT2, CDK1, SPC25, TOP2A, CKS1B, CDC25C, SAPCD2, DLGAP5, KPNA2, CKAP5, CDCA8 |
1446 |
BARX2_TARGET_GENES | 1.35e-16 | 13.36 | 7.35 | 7.62e-14 | 1.52e-13 | 26UBE2C, CENPF, TUBB4B, CENPA, TPX2, HMGB2, ASPM, PRC1, CDCA3, ARL6IP1, CKS2, CCNB1, CDC20, CCNB2, ECT2, CDK1, SPC25, TOP2A, CKS1B, UBE2S, CDC25C, NEK2, DLGAP5, KPNA2, CKAP5, CDCA8 |
1723 |
BARX1_TARGET_GENES | 1.00e-12 | 11.21 | 6.01 | 2.83e-10 | 1.13e-09 | 20UBE2C, CENPF, CENPA, TPX2, HMGB2, ARL6IP1, CENPE, CKS2, CDC20, PLK1, SPC25, TOP2A, CKS1B, ARHGAP11A, NEK2, KIF18A, DLGAP5, KPNA2, CKAP5, CDCA8 |
1264 |
E2F5_TARGET_GENES | 1.12e-09 | 8.58 | 4.47 | 2.55e-07 | 1.27e-06 | 17CENPF, CENPA, TPX2, HMGB2, BIRC5, CDCA3, CCNA2, CCNB2, PLK1, SPC25, TOP2A, CDC25C, MKI67, DLGAP5, KNSTRN, CKAP5, CDCA8 |
1273 |
AEBP2_TARGET_GENES | 5.21e-09 | 8.80 | 4.45 | 9.84e-07 | 5.90e-06 | 15UBE2C, CENPF, TUBB4B, CENPA, TPX2, CDCA3, CENPE, CCNB1, CDK1, SPC25, TOP2A, CKS1B, UBE2S, CDC25C, CKAP5 |
1033 |
CC2D1A_TARGET_GENES | 7.02e-09 | 8.01 | 4.12 | 1.14e-06 | 7.96e-06 | 16CENPF, PTTG1, HMGB2, ASPM, PRC1, ARL6IP1, CENPE, CCNA2, AURKA, CDC20, ECT2, PLK1, CDK1, SPC25, UBE2S, CKAP5 |
1245 |
GATTGGY_NFY_Q6_01 | 2.74e-08 | 7.71 | 3.90 | 3.88e-06 | 3.10e-05 | 15UBE2C, CENPF, TPX2, HMGB2, CKS2, AURKA, PLK1, CDK1, SPC25, TOP2A, CKS1B, PSRC1, ARHGAP11A, CDC25C, KIF20A |
1177 |
NFY_Q6 | 3.45e-05 | 11.09 | 3.83 | 3.01e-03 | 3.91e-02 | 6CENPF, HMGB2, CKS2, CDK1, TOP2A, NEK2 |
263 |
ALPHACP1_01 | 3.45e-05 | 11.09 | 3.83 | 3.01e-03 | 3.91e-02 | 6UBE2C, ASPM, CDCA3, CKS2, NEK2, DLGAP5 |
263 |
SIPA1_TARGET_GENES | 4.06e-04 | 12.70 | 3.28 | 2.88e-02 | 4.60e-01 | 4HMMR, TPX2, CDC25C, KIF20A |
147 |
NFY_C | 3.01e-04 | 9.48 | 2.91 | 2.27e-02 | 3.41e-01 | 5UBE2C, ARL6IP1, CKS2, SPC25, KIF20A |
250 |
E2F2_TARGET_GENES | 2.77e-06 | 5.54 | 2.76 | 3.49e-04 | 3.14e-03 | 14CENPF, CENPA, TPX2, HMGB2, ARL6IP1, CENPE, CCNA2, CCNB1, CDK1, SPC25, TOP2A, KIF18A, CKAP5, KIF20A |
1481 |
CEBPZ_TARGET_GENES | 1.97e-05 | 4.88 | 2.37 | 2.23e-03 | 2.23e-02 | 13UBE2C, TUBB4B, CENPA, CDCA3, CCNA2, CKAP2L, AURKA, SPC25, TOP2A, CKS1B, CDC25C, DLGAP5, CDCA8 |
1520 |
PSMB5_TARGET_GENES | 7.57e-04 | 7.69 | 2.37 | 5.04e-02 | 8.58e-01 | 5TUBB4B, ARL6IP1, CKS2, UBE2S, CDC25C |
307 |
CHAMP1_TARGET_GENES | 1.47e-03 | 8.91 | 2.31 | 9.23e-02 | 1.00e+00 | 4CENPF, CENPE, CCNA2, CKAP5 |
208 |
PRKDC_TARGET_GENES | 1.47e-04 | 5.30 | 2.26 | 1.19e-02 | 1.66e-01 | 9UBE2C, TUBB4B, CENPA, PRC1, CDCA3, CCNB2, TOP2A, UBE2S, DLGAP5 |
875 |
ZFHX3_TARGET_GENES | 3.05e-05 | 4.41 | 2.19 | 3.01e-03 | 3.46e-02 | 14UBE2C, HMMR, CENPA, NUSAP1, CENPE, CCNB1, AURKA, CCNB2, SPC25, TOP2A, CKS1B, PSRC1, CDC25C, KIF18A |
1857 |
NFY_01 | 3.31e-03 | 7.07 | 1.84 | 1.97e-01 | 1.00e+00 | 4CKS2, PLK1, CDK1, NEK2 |
261 |
CCAWYNNGAAR_UNKNOWN | 5.21e-03 | 9.20 | 1.81 | 2.68e-01 | 1.00e+00 | 3CCNB1, SPC25, CKS1B |
148 |
Dowload full table
GO Biological Processes:
P-value | OR | Lower 95% CI | FDR | FWER | Genes Found | Gene Set Size | |
---|---|---|---|---|---|---|---|
GOBP_MITOTIC_NUCLEAR_ENVELOPE_DISASSEMBLY | 1.40e-08 | 226.09 | 48.02 | 2.27e-06 | 1.05e-04 | 4CCNB1, CCNB2, PLK1, CDK1 |
12 |
GOBP_REGULATION_OF_ATTACHMENT_OF_SPINDLE_MICROTUBULES_TO_KINETOCHORE | 2.01e-08 | 200.14 | 43.61 | 3.01e-06 | 1.51e-04 | 4CCNB1, ECT2, NEK2, KNSTRN |
13 |
GOBP_POSITIVE_REGULATION_OF_UBIQUITIN_PROTEIN_LIGASE_ACTIVITY | 2.01e-08 | 200.14 | 43.61 | 3.01e-06 | 1.51e-04 | 4UBE2C, CDC20, PLK1, UBE2S |
13 |
GOBP_MEMBRANE_DISASSEMBLY | 3.83e-08 | 164.13 | 36.86 | 5.62e-06 | 2.87e-04 | 4CCNB1, CCNB2, PLK1, CDK1 |
15 |
GOBP_CELL_DIVISION | 8.49e-38 | 65.43 | 35.42 | 6.35e-34 | 6.35e-34 | 32UBE2C, CENPF, CENPA, PTTG1, TPX2, NUSAP1, ASPM, PRC1, BIRC5, CDCA3, CENPE, CKS2, CCNA2, CCNB1, AURKA, CDC20, CCNB2, ECT2, PLK1, CDK1, SPC25, TOP2A, CKS1B, PSRC1, UBE2S, CDC25C, NEK2, SAPCD2, KNSTRN, CKAP5, CDCA8, KIF20A |
600 |
GOBP_MICROTUBULE_CYTOSKELETON_ORGANIZATION_INVOLVED_IN_MITOSIS | 2.54e-21 | 69.89 | 34.57 | 1.90e-18 | 1.90e-17 | 15CENPA, TPX2, NUSAP1, PRC1, CENPE, CCNB1, AURKA, CDC20, PLK1, SPC25, PSRC1, NEK2, SAPCD2, DLGAP5, CKAP5 |
143 |
GOBP_MITOTIC_NUCLEAR_DIVISION | 4.19e-28 | 59.86 | 32.20 | 6.28e-25 | 3.14e-24 | 22UBE2C, CENPF, PTTG1, TPX2, NUSAP1, PRC1, CENPE, CCNB1, AURKA, CDC20, CCNB2, PLK1, CDK1, PSRC1, UBE2S, CDC25C, NEK2, KIF18A, MKI67, DLGAP5, KNSTRN, CDCA8 |
296 |
GOBP_KINETOCHORE_ASSEMBLY | 6.65e-08 | 139.17 | 31.86 | 9.57e-06 | 4.98e-04 | 4CENPF, CENPA, CENPE, DLGAP5 |
17 |
GOBP_MITOTIC_SISTER_CHROMATID_SEGREGATION | 2.09e-20 | 59.94 | 29.81 | 1.31e-17 | 1.57e-16 | 15UBE2C, CENPF, PTTG1, NUSAP1, PRC1, CENPE, CCNB1, CDC20, PLK1, PSRC1, NEK2, KIF18A, DLGAP5, KNSTRN, CDCA8 |
164 |
GOBP_MITOTIC_SPINDLE_ORGANIZATION | 5.45e-17 | 62.18 | 28.75 | 2.15e-14 | 4.08e-13 | 12TPX2, PRC1, CENPE, CCNB1, AURKA, CDC20, PLK1, SPC25, PSRC1, NEK2, DLGAP5, CKAP5 |
118 |
GOBP_SISTER_CHROMATID_SEGREGATION | 7.62e-21 | 53.67 | 27.19 | 5.18e-18 | 5.70e-17 | 16UBE2C, CENPF, PTTG1, NUSAP1, PRC1, CENPE, CCNB1, CDC20, PLK1, TOP2A, PSRC1, NEK2, KIF18A, DLGAP5, KNSTRN, CDCA8 |
199 |
GOBP_SPINDLE_ORGANIZATION | 1.03e-19 | 53.53 | 26.66 | 4.79e-17 | 7.67e-16 | 15TPX2, ASPM, PRC1, CENPE, CCNB1, AURKA, CDC20, CCNB2, PLK1, SPC25, PSRC1, NEK2, DLGAP5, KNSTRN, CKAP5 |
182 |
GOBP_REGULATION_OF_CHROMOSOME_SEPARATION | 5.41e-12 | 63.08 | 24.58 | 1.30e-09 | 4.05e-08 | 8UBE2C, CENPF, PTTG1, CENPE, CCNB1, CDC20, PLK1, DLGAP5 |
71 |
GOBP_KINETOCHORE_ORGANIZATION | 2.03e-07 | 100.32 | 23.84 | 2.48e-05 | 1.52e-03 | 4CENPF, CENPA, CENPE, DLGAP5 |
22 |
GOBP_REGULATION_OF_CHROMOSOME_SEGREGATION | 6.23e-13 | 57.27 | 23.67 | 1.73e-10 | 4.66e-09 | 9UBE2C, CENPF, PTTG1, CENPE, CCNB1, CDC20, PLK1, MKI67, DLGAP5 |
89 |
GOBP_CHROMOSOME_SEGREGATION | 1.70e-23 | 43.94 | 23.38 | 1.82e-20 | 1.27e-19 | 20UBE2C, CENPF, PTTG1, NUSAP1, PRC1, BIRC5, CENPE, CCNB1, CDC20, ECT2, PLK1, SPC25, TOP2A, PSRC1, NEK2, KIF18A, MKI67, DLGAP5, KNSTRN, CDCA8 |
337 |
GOBP_REGULATION_OF_MITOTIC_NUCLEAR_DIVISION | 7.82e-14 | 52.69 | 22.84 | 2.44e-11 | 5.85e-10 | 10CENPF, NUSAP1, CCNB1, AURKA, CDC20, PLK1, CDC25C, NEK2, MKI67, DLGAP5 |
109 |
GOBP_ORGANELLE_FISSION | 1.36e-26 | 41.77 | 22.76 | 1.70e-23 | 1.02e-22 | 24UBE2C, CENPF, PTTG1, TPX2, NUSAP1, PRC1, CENPE, CKS2, CCNB1, AURKA, CDC20, CCNB2, PLK1, CDK1, TOP2A, PSRC1, UBE2S, CDC25C, NEK2, KIF18A, MKI67, DLGAP5, KNSTRN, CDCA8 |
486 |
GOBP_REGULATION_OF_UBIQUITIN_PROTEIN_LIGASE_ACTIVITY | 2.45e-07 | 95.46 | 22.71 | 2.91e-05 | 1.83e-03 | 4UBE2C, CDC20, PLK1, UBE2S |
23 |
GOBP_ATTACHMENT_OF_SPINDLE_MICROTUBULES_TO_KINETOCHORE | 1.92e-08 | 77.15 | 22.38 | 3.00e-06 | 1.44e-04 | 5CENPE, CCNB1, ECT2, NEK2, KNSTRN |
35 |
Dowload full table
Immunological Gene Sets:
P-value | OR | Lower 95% CI | FDR | FWER | Genes Found | Gene Set Size | |
---|---|---|---|---|---|---|---|
GSE15750_DAY6_VS_DAY10_TRAF6KO_EFF_CD8_TCELL_UP | 1.36e-46 | 167.89 | 90.50 | 6.63e-43 | 6.63e-43 | 29UBE2C, CENPF, HMMR, TUBB4B, CENPA, TPX2, HMGB2, ASPM, BIRC5, CDCA3, CENPE, CCNA2, CKAP2L, AURKA, CCNB2, ECT2, PLK1, CDK1, SPC25, TOP2A, CKS1B, PSRC1, ARHGAP11A, CDC25C, NEK2, MKI67, KNSTRN, CKAP5, KIF20A |
200 |
GSE15750_DAY6_VS_DAY10_EFF_CD8_TCELL_UP | 4.36e-40 | 130.43 | 70.21 | 1.06e-36 | 2.12e-36 | 26UBE2C, HMMR, CENPA, TPX2, NUSAP1, ASPM, PRC1, BIRC5, CENPE, CKS2, CKAP2L, AURKA, CDC20, CCNB2, PLK1, CDK1, SPC25, TOP2A, CKS1B, ARHGAP11A, CDC25C, NEK2, KNSTRN, KPNA2, CDCA8, KIF20A |
200 |
GSE24634_TEFF_VS_TCONV_DAY7_IN_CULTURE_UP | 6.20e-36 | 109.23 | 58.89 | 1.01e-32 | 3.02e-32 | 24UBE2C, CENPF, HMMR, CENPA, PTTG1, TPX2, HMGB2, NUSAP1, ASPM, PRC1, CENPE, CKS2, CCNA2, CCNB1, AURKA, CDC20, CCNB2, PLK1, CDK1, CDC25C, DLGAP5, CKAP5, CDCA8, KIF20A |
200 |
GSE13547_CTRL_VS_ANTI_IGM_STIM_BCELL_12H_UP | 1.30e-34 | 108.25 | 58.04 | 1.59e-31 | 6.35e-31 | 23CENPF, HMMR, TPX2, HMGB2, ASPM, PRC1, BIRC5, CDCA3, CENPE, CCNA2, AURKA, CCNB2, ECT2, PLK1, CDK1, SPC25, TOP2A, CKS1B, ARHGAP11A, CDC25C, MKI67, DLGAP5, CDCA8 |
187 |
GSE45365_HEALTHY_VS_MCMV_INFECTION_CD11B_DC_DN | 3.56e-34 | 103.05 | 55.41 | 3.47e-31 | 1.73e-30 | 23UBE2C, CENPF, HMMR, CENPA, PTTG1, TPX2, ASPM, PRC1, BIRC5, CDCA3, CENPE, CCNB1, AURKA, CDC20, CCNB2, PLK1, CDK1, UBE2S, NEK2, MKI67, DLGAP5, CDCA8, KIF20A |
195 |
GSE14415_INDUCED_VS_NATURAL_TREG_DN | 6.43e-33 | 102.92 | 54.92 | 4.47e-30 | 3.13e-29 | 22CENPF, HMMR, CENPA, TPX2, ASPM, BIRC5, CDCA3, CCNA2, CKAP2L, CCNB2, ECT2, PLK1, CDK1, TOP2A, CKS1B, ARHGAP11A, CDC25C, MKI67, DLGAP5, KPNA2, CKAP5, CDCA8 |
181 |
GOLDRATH_EFF_VS_MEMORY_CD8_TCELL_UP | 6.52e-34 | 100.65 | 53.81 | 5.30e-31 | 3.18e-30 | 23CENPA, NUSAP1, ASPM, PRC1, BIRC5, CDCA3, CKS2, CCNA2, AURKA, CDC20, CCNB2, ECT2, CDK1, TOP2A, CKS1B, CDC25C, NEK2, MKI67, DLGAP5, KPNA2, CKAP5, CDCA8, KIF20A |
200 |
GSE13547_2H_VS_12_H_ANTI_IGM_STIM_BCELL_UP | 3.05e-31 | 97.87 | 51.97 | 1.86e-28 | 1.49e-27 | 21CENPF, HMMR, PTTG1, TPX2, HMGB2, ASPM, PRC1, BIRC5, CDCA3, CENPE, CCNA2, CKAP2L, CDC20, CCNB2, CDK1, TOP2A, CKS1B, ARHGAP11A, CDC25C, MKI67, CDCA8 |
175 |
GSE14415_NATURAL_TREG_VS_TCONV_DN | 5.65e-31 | 95.22 | 50.35 | 3.06e-28 | 2.75e-27 | 21CENPF, HMMR, TPX2, HMGB2, ASPM, PRC1, BIRC5, CDCA3, CENPE, CCNA2, CKAP2L, AURKA, CCNB2, PLK1, CDK1, TOP2A, CKS1B, ARHGAP11A, CDC25C, DLGAP5, CDCA8 |
180 |
GSE13547_CTRL_VS_ANTI_IGM_STIM_BCELL_2H_UP | 6.51e-29 | 85.90 | 45.22 | 2.44e-26 | 3.17e-25 | 20CENPF, HMMR, CENPA, TPX2, ASPM, PRC1, CDCA3, CENPE, CCNA2, CCNB2, ECT2, PLK1, CDK1, SPC25, TOP2A, CKS1B, CDC25C, MKI67, KPNA2, CDCA8 |
182 |
GSE24634_TREG_VS_TCONV_POST_DAY7_IL4_CONVERSION_UP | 5.60e-30 | 84.46 | 44.84 | 2.27e-27 | 2.73e-26 | 21UBE2C, CENPF, TUBB4B, CENPA, PTTG1, TPX2, NUSAP1, PRC1, BIRC5, CENPE, CKS2, CCNA2, CCNB1, AURKA, CDC20, CCNB2, CKS1B, PSRC1, UBE2S, DLGAP5, CDCA8 |
200 |
GSE30962_PRIMARY_VS_SECONDARY_ACUTE_LCMV_INF_CD8_TCELL_UP | 5.60e-30 | 84.46 | 44.84 | 2.27e-27 | 2.73e-26 | 21CENPF, TUBB4B, CENPA, HMGB2, NUSAP1, ASPM, BIRC5, CDCA3, CENPE, CKS2, CCNA2, CKAP2L, CCNB2, SPC25, TOP2A, CKS1B, ARHGAP11A, NEK2, DLGAP5, KPNA2, KIF20A |
200 |
GSE36476_CTRL_VS_TSST_ACT_72H_MEMORY_CD4_TCELL_YOUNG_DN | 5.60e-30 | 84.46 | 44.84 | 2.27e-27 | 2.73e-26 | 21UBE2C, HMMR, CENPA, PTTG1, NUSAP1, ASPM, BIRC5, CDCA3, CENPE, CKS2, CCNB1, AURKA, CDC20, CCNB2, TOP2A, CKS1B, MKI67, DLGAP5, CKAP5, CDCA8, KIF20A |
200 |
GOLDRATH_NAIVE_VS_EFF_CD8_TCELL_DN | 4.56e-28 | 77.33 | 40.80 | 1.31e-25 | 2.22e-24 | 20CENPA, NUSAP1, ASPM, PRC1, BIRC5, CDCA3, CKS2, CCNA2, AURKA, CCNB2, ECT2, CDK1, TOP2A, CKS1B, CDC25C, NEK2, MKI67, DLGAP5, CDCA8, KIF20A |
200 |
GSE36476_CTRL_VS_TSST_ACT_40H_MEMORY_CD4_TCELL_YOUNG_DN | 4.56e-28 | 77.33 | 40.80 | 1.31e-25 | 2.22e-24 | 20UBE2C, HMMR, CENPA, TPX2, NUSAP1, ASPM, BIRC5, CDCA3, CENPE, CKS2, CCNB1, CDC20, CCNB2, TOP2A, CKS1B, CDC25C, MKI67, CKAP5, CDCA8, KIF20A |
200 |
GSE39110_DAY3_VS_DAY6_POST_IMMUNIZATION_CD8_TCELL_DN | 4.56e-28 | 77.33 | 40.80 | 1.31e-25 | 2.22e-24 | 20UBE2C, CENPF, TPX2, NUSAP1, ASPM, BIRC5, CENPE, CCNA2, AURKA, CDC20, CCNB2, PLK1, CDK1, SPC25, TOP2A, CKS1B, CDC25C, NEK2, KPNA2, KIF20A |
200 |
GSE39556_CD8A_DC_VS_NK_CELL_MOUSE_3H_POST_POLYIC_INJ_UP | 4.56e-28 | 77.33 | 40.80 | 1.31e-25 | 2.22e-24 | 20HMMR, TUBB4B, CENPA, TPX2, CENPE, CKS2, CCNA2, CCNB1, AURKA, CDC20, CCNB2, CDK1, TOP2A, CKS1B, ARHGAP11A, UBE2S, CDC25C, NEK2, DLGAP5, KPNA2 |
200 |
GSE45365_WT_VS_IFNAR_KO_CD11B_DC_MCMV_INFECTION_DN | 1.25e-26 | 74.83 | 39.10 | 3.39e-24 | 6.10e-23 | 19UBE2C, CENPF, HMMR, TPX2, ASPM, PRC1, CDCA3, CENPE, AURKA, CDC20, CCNB2, CDK1, TOP2A, UBE2S, CDC25C, MKI67, DLGAP5, CDCA8, KIF20A |
190 |
GSE25088_WT_VS_STAT6_KO_MACROPHAGE_IL4_STIM_DN | 2.80e-26 | 71.49 | 37.43 | 7.17e-24 | 1.36e-22 | 19CENPF, HMMR, PTTG1, HMGB2, NUSAP1, ASPM, PRC1, CCNB1, AURKA, CDC20, CCNB2, CDK1, TOP2A, NEK2, MKI67, DLGAP5, KPNA2, CKAP5, KIF20A |
198 |
GSE2405_S_AUREUS_VS_UNTREATED_NEUTROPHIL_DN | 3.09e-26 | 71.09 | 37.23 | 7.52e-24 | 1.50e-22 | 19CENPF, HMMR, CENPA, TPX2, NUSAP1, PRC1, BIRC5, CDCA3, CENPE, CCNA2, CKAP2L, AURKA, SPC25, TOP2A, MKI67, KNSTRN, KPNA2, CDCA8, KIF20A |
199 |
Top Ranked Transcription Factors for this Gene Expression Program:
Gene Symbol | TF Rank | DNA Binding Domain | Motif Status | IUPAC PWM | GTEx | DepMap | Decartes |
---|---|---|---|---|---|---|---|
CENPA | 5 | Yes | Likely to be sequence specific TF | Low specificity DNA-binding protein | No motif | None | Histone like protein. Binds DNA in the crystal structure (PDB: 3AN2). |
PTTG1 | 6 | No | Unlikely to be sequence specific TF | Not a DNA binding protein | No motif | None | GO annotation has no evidence for DNA-binding activity (PMID:9811450), only transcriptional activation in reporter experiments |
HMGB2 | 8 | No | Unlikely to be sequence specific TF | Low specificity DNA-binding protein | No motif | None | In the alignment, it clusters with other HMG proteins that have not yielded motifs. Evidence exists showing HMGB½ are non-sequence-specific binding proteins (PMID: 11497996). HMGB2 is well-known to facilitate DNA-bending and interact with sequence-specific TFs and transcriptional co-factors. |
TOP2A | 30 | No | Unlikely to be sequence specific TF | Low specificity DNA-binding protein | No motif | None | DNA topoisomerase. Binds DNA in the crystal structure (PDB: 4FM9). |
H1FX | 51 | No | Unlikely to be sequence specific TF | Low specificity DNA-binding protein | No motif | None | Histone component |
MIS18BP1 | 52 | No | Unlikely to be sequence specific TF | Not a DNA binding protein | No motif | None | Contains 1 SANT domain, and a SANTA domain |
NUCKS1 | 60 | No | Unlikely to be sequence specific TF | Not a DNA binding protein | No motif | None | Contains a GRP core, which is similar to an AT-hook. But, the amino acids flanking the core are quite different from an AT-hook. Could non-specifically bind to DNA, but lacks compelling evidence. |
TERF1 | 69 | Yes | Likely to be sequence specific TF | Monomer or homomultimer | No motif | None | Contains 1 Myb domain, and has structural evidence of DNA-binding (PDB: 1IV6). Subunit of Shelterin, a complex that specifically binds telomeres (PMID: 16166375). |
NHLH2 | 99 | Yes | Known motif | Monomer or homomultimer | High-throughput in vitro | None | None |
MED21 | 117 | No | Unlikely to be sequence specific TF | Not a DNA binding protein | No motif | None | Does not contact DNA in the structure of the yeast mediator complex (PDB: 5SVA) |
EZH2 | 118 | No | Unlikely to be sequence specific TF | Not a DNA binding protein | No motif | None | This is a classic polycomb protein with no evidence of sequence specific DNA binding after years of intense study. I dont see anything in (PMID :15520282) that supports DNA binding. |
HMGB3 | 129 | No | Unlikely to be sequence specific TF | Low specificity DNA-binding protein | No motif | None | Similar to HMGB½, which bind DNA with low specificity |
RAD21 | 130 | No | Unlikely to be sequence specific TF | Not a DNA binding protein | No motif | None | Motifs are suspicious; protein is a component of the cohesin complex and there is no evidence for direct binding to DNA. |
INSM2 | 135 | Yes | Likely to be sequence specific TF | Monomer or homomultimer | No motif | None | None |
HMGB1 | 140 | No | Unlikely to be sequence specific TF | Low specificity DNA-binding protein | No motif | None | In the alignment, it clusters with other HMG proteins that have not yielded motifs. Evidence exists showing HMGB½ are non-sequence-specific binding proteins (PMID: 11497996). |
FOXM1 | 145 | Yes | Known motif | Monomer or homomultimer | 100 perc ID - in vitro | None | None |
ZBED3 | 150 | Yes | Likely to be sequence specific TF | Monomer or homomultimer | No motif | None | None |
HMGN1 | 155 | No | Unlikely to be sequence specific TF | Low specificity DNA-binding protein | No motif | None | In the alignment, it clusters with other HMG proteins that have not yielded motifs. |
HLF | 159 | Yes | Known motif | Monomer or homomultimer | High-throughput in vitro | None | None |
FAM171B | 161 | No | Unlikely to be sequence specific TF | Not a DNA binding protein | No motif | Has a putative AT-hook | None |
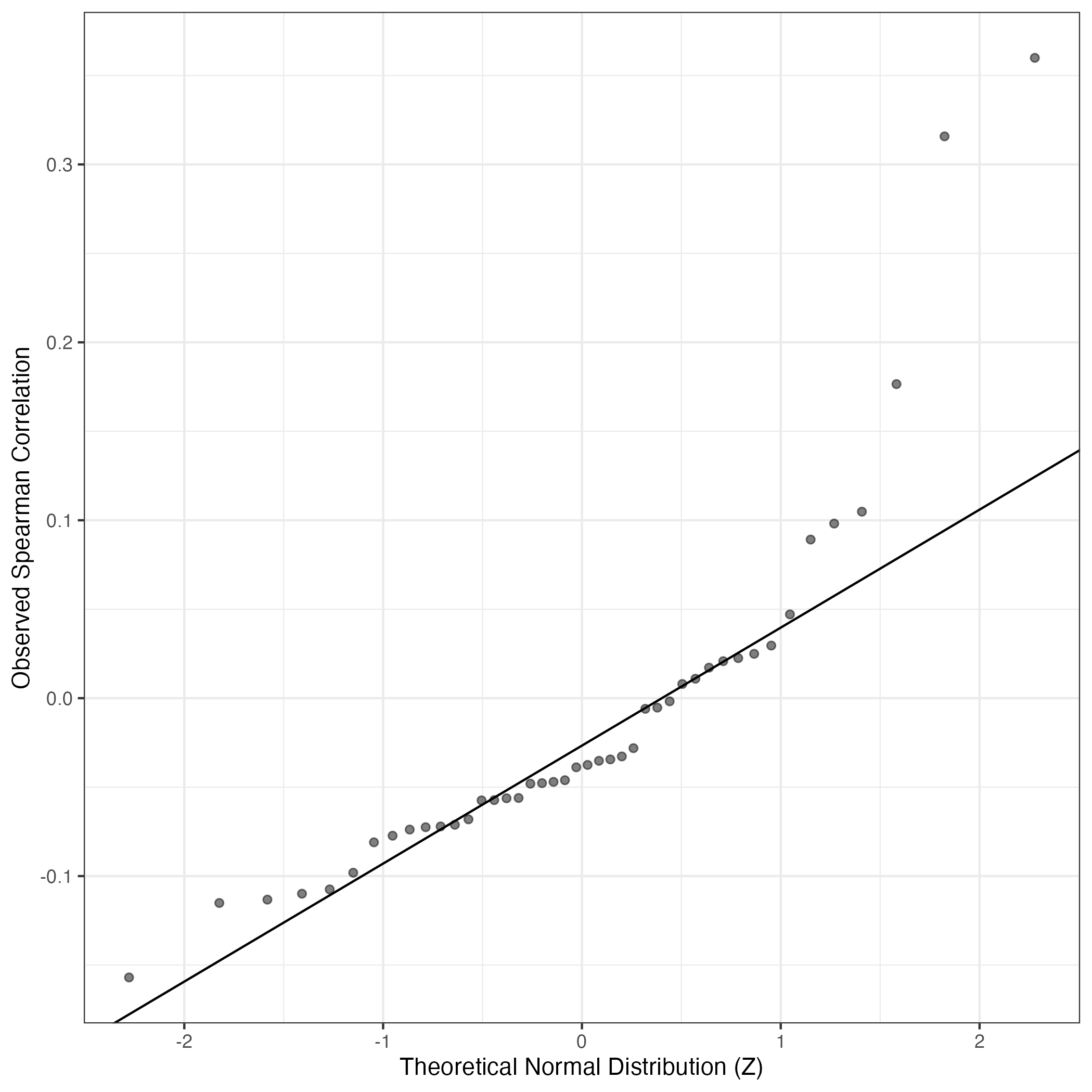
QQ Plot showing correlations with other Gene Expression Programs in this dataset, calculated by Spearman correlation:
Interactive QQ-plot of gene loadings:
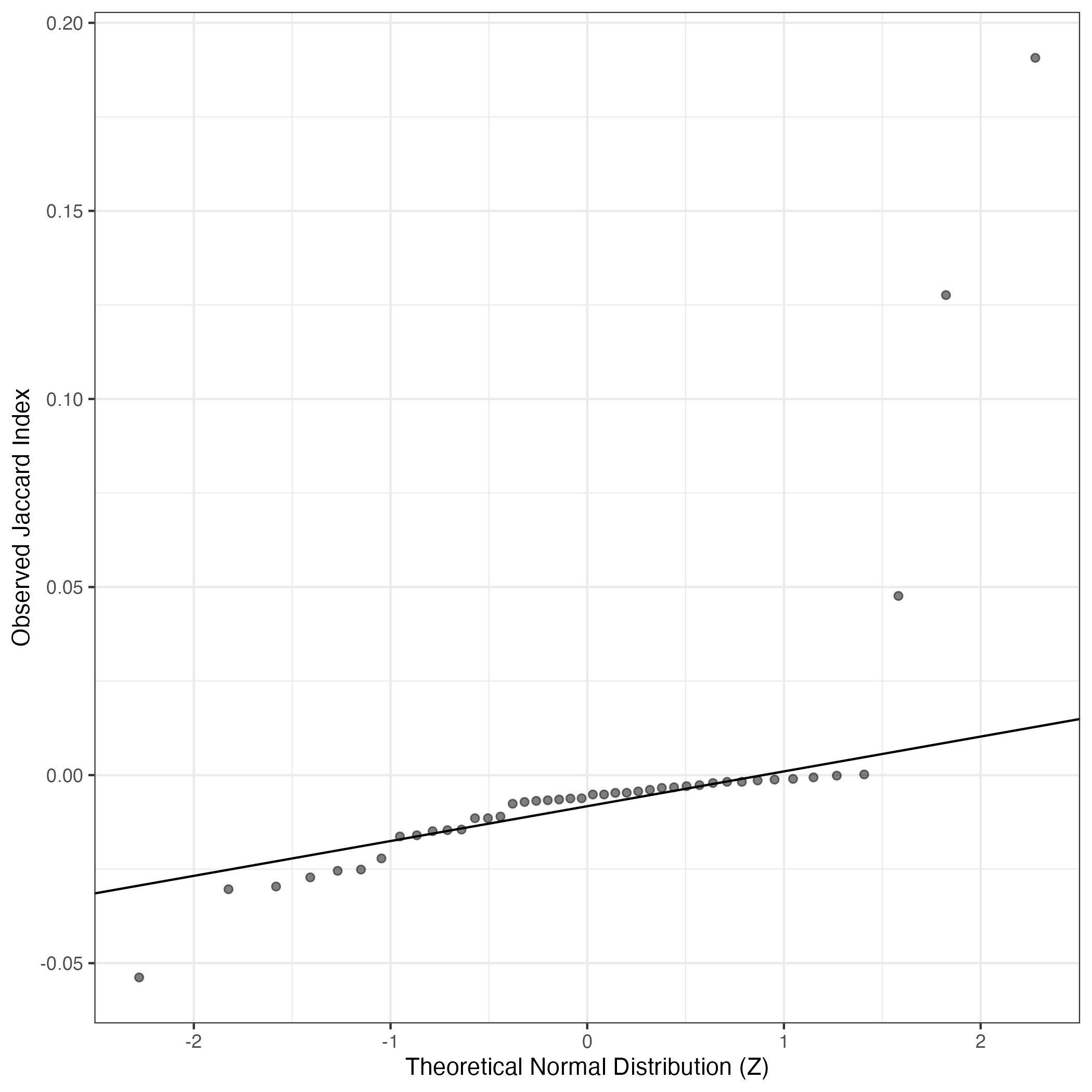
A similar QQ-plot as above, but only for instances where the H value is e.g. > 25, i.e. we are confident that the expression program is active above noise. Agreemenet between these binary vectors is tested using the Jaccard Index, with the P-values calculated by an exact test:
Interactive QQ-plot:
Singler cell type annotations for the top 50 cells on this program.
Cell ID | Singler label | Singler Delta | Activity Score | Top Singler Raw Scores |
---|---|---|---|---|
837_GAACACTAGAGACAAG-1 | Neurons:adrenal_medulla_cell_line | 0.27 | 238.77 | Raw ScoresNeurons:adrenal_medulla_cell_line: 0.59, Neuroepithelial_cell:ESC-derived: 0.54, iPS_cells:PDB_1lox-21Puro-20: 0.53, iPS_cells:PDB_1lox-21Puro-26: 0.52, iPS_cells:PDB_1lox-17Puro-10: 0.52, iPS_cells:PDB_2lox-22: 0.52, iPS_cells:PDB_1lox-17Puro-5: 0.52, iPS_cells:PDB_2lox-17: 0.51, iPS_cells:PDB_2lox-21: 0.51, Embryonic_stem_cells: 0.51 |
837_CCACGTTCAGCCATTA-1 | Neurons:adrenal_medulla_cell_line | 0.28 | 223.42 | Raw ScoresNeurons:adrenal_medulla_cell_line: 0.59, Neuroepithelial_cell:ESC-derived: 0.54, iPS_cells:PDB_1lox-21Puro-20: 0.53, iPS_cells:PDB_1lox-21Puro-26: 0.52, iPS_cells:PDB_1lox-17Puro-10: 0.52, iPS_cells:PDB_2lox-22: 0.52, iPS_cells:PDB_1lox-17Puro-5: 0.52, iPS_cells:PDB_2lox-17: 0.51, iPS_cells:PDB_2lox-21: 0.51, Embryonic_stem_cells: 0.51 |
837_CCCAACTCACTTGTCC-1 | Neurons:adrenal_medulla_cell_line | 0.28 | 222.26 | Raw ScoresNeurons:adrenal_medulla_cell_line: 0.59, Neuroepithelial_cell:ESC-derived: 0.54, iPS_cells:PDB_1lox-21Puro-20: 0.52, iPS_cells:PDB_1lox-21Puro-26: 0.52, iPS_cells:PDB_1lox-17Puro-10: 0.52, iPS_cells:PDB_1lox-17Puro-5: 0.51, iPS_cells:PDB_2lox-22: 0.51, iPS_cells:PDB_2lox-17: 0.51, iPS_cells:PDB_2lox-21: 0.51, Astrocyte:Embryonic_stem_cell-derived: 0.5 |
837_CAATACGCAGTCAGTT-1 | Neurons:adrenal_medulla_cell_line | 0.28 | 215.64 | Raw ScoresNeurons:adrenal_medulla_cell_line: 0.59, Neuroepithelial_cell:ESC-derived: 0.54, iPS_cells:PDB_1lox-21Puro-20: 0.52, iPS_cells:PDB_1lox-21Puro-26: 0.52, iPS_cells:PDB_1lox-17Puro-10: 0.52, iPS_cells:PDB_1lox-17Puro-5: 0.51, iPS_cells:PDB_2lox-22: 0.51, iPS_cells:PDB_2lox-17: 0.51, iPS_cells:PDB_2lox-21: 0.5, Embryonic_stem_cells: 0.5 |
883_TCCCACAGTTAAGACA-1 | Neurons:adrenal_medulla_cell_line | 0.26 | 214.11 | Raw ScoresNeurons:adrenal_medulla_cell_line: 0.58, Neuroepithelial_cell:ESC-derived: 0.54, iPS_cells:PDB_1lox-21Puro-20: 0.53, iPS_cells:PDB_1lox-21Puro-26: 0.52, iPS_cells:PDB_1lox-17Puro-10: 0.52, iPS_cells:PDB_1lox-17Puro-5: 0.52, iPS_cells:PDB_2lox-22: 0.52, iPS_cells:PDB_2lox-17: 0.51, iPS_cells:PDB_2lox-21: 0.51, Embryonic_stem_cells: 0.5 |
837_GTCCACTGTATTGAGA-1 | Neurons:adrenal_medulla_cell_line | 0.28 | 213.61 | Raw ScoresNeurons:adrenal_medulla_cell_line: 0.57, Neuroepithelial_cell:ESC-derived: 0.52, iPS_cells:PDB_1lox-21Puro-20: 0.5, iPS_cells:PDB_1lox-21Puro-26: 0.5, iPS_cells:PDB_1lox-17Puro-10: 0.49, iPS_cells:PDB_2lox-22: 0.49, iPS_cells:PDB_1lox-17Puro-5: 0.49, Astrocyte:Embryonic_stem_cell-derived: 0.48, iPS_cells:PDB_2lox-17: 0.48, iPS_cells:PDB_2lox-21: 0.48 |
887_AGGAGGTCATAATGCC-1 | Neurons:adrenal_medulla_cell_line | 0.26 | 212.82 | Raw ScoresNeurons:adrenal_medulla_cell_line: 0.57, Neuroepithelial_cell:ESC-derived: 0.54, iPS_cells:PDB_1lox-21Puro-20: 0.52, iPS_cells:PDB_1lox-21Puro-26: 0.51, iPS_cells:PDB_1lox-17Puro-10: 0.51, iPS_cells:PDB_1lox-17Puro-5: 0.51, Astrocyte:Embryonic_stem_cell-derived: 0.51, iPS_cells:PDB_2lox-22: 0.5, Embryonic_stem_cells: 0.5, iPS_cells:PDB_2lox-21: 0.5 |
837_GCAGCTGTCTTGCGCT-1 | Neurons:adrenal_medulla_cell_line | 0.27 | 212.11 | Raw ScoresNeurons:adrenal_medulla_cell_line: 0.57, Neuroepithelial_cell:ESC-derived: 0.51, iPS_cells:PDB_1lox-21Puro-20: 0.5, iPS_cells:PDB_1lox-21Puro-26: 0.49, iPS_cells:PDB_1lox-17Puro-10: 0.49, iPS_cells:PDB_2lox-22: 0.48, iPS_cells:PDB_1lox-17Puro-5: 0.48, iPS_cells:PDB_2lox-21: 0.48, iPS_cells:PDB_2lox-17: 0.48, Astrocyte:Embryonic_stem_cell-derived: 0.47 |
883_GGTTCTCTCCAAGAGG-1 | Neurons:adrenal_medulla_cell_line | 0.27 | 204.20 | Raw ScoresNeurons:adrenal_medulla_cell_line: 0.58, Neuroepithelial_cell:ESC-derived: 0.53, iPS_cells:PDB_1lox-21Puro-20: 0.51, iPS_cells:PDB_1lox-21Puro-26: 0.5, iPS_cells:PDB_1lox-17Puro-10: 0.5, iPS_cells:PDB_2lox-22: 0.5, iPS_cells:PDB_1lox-17Puro-5: 0.5, iPS_cells:PDB_2lox-17: 0.49, Embryonic_stem_cells: 0.49, iPS_cells:PDB_2lox-21: 0.49 |
837_AAAGGATTCGAACACT-1 | Neurons:adrenal_medulla_cell_line | 0.27 | 200.67 | Raw ScoresNeurons:adrenal_medulla_cell_line: 0.59, Neuroepithelial_cell:ESC-derived: 0.54, iPS_cells:PDB_1lox-21Puro-20: 0.53, iPS_cells:PDB_1lox-21Puro-26: 0.52, iPS_cells:PDB_1lox-17Puro-10: 0.52, iPS_cells:PDB_2lox-22: 0.52, iPS_cells:PDB_1lox-17Puro-5: 0.52, iPS_cells:PDB_2lox-21: 0.51, iPS_cells:PDB_2lox-17: 0.51, Embryonic_stem_cells: 0.51 |
837_GACGTTATCGGAATGG-1 | Neurons:adrenal_medulla_cell_line | 0.27 | 197.55 | Raw ScoresNeurons:adrenal_medulla_cell_line: 0.57, Neuroepithelial_cell:ESC-derived: 0.52, iPS_cells:PDB_1lox-21Puro-20: 0.51, iPS_cells:PDB_1lox-21Puro-26: 0.5, iPS_cells:PDB_1lox-17Puro-10: 0.5, iPS_cells:PDB_2lox-22: 0.5, iPS_cells:PDB_1lox-17Puro-5: 0.49, iPS_cells:PDB_2lox-17: 0.49, iPS_cells:PDB_2lox-21: 0.49, iPS_cells:PDB_2lox-5: 0.48 |
883_CCGATCTCATACATCG-1 | Neurons:adrenal_medulla_cell_line | 0.27 | 197.19 | Raw ScoresNeurons:adrenal_medulla_cell_line: 0.57, Neuroepithelial_cell:ESC-derived: 0.52, iPS_cells:PDB_1lox-21Puro-20: 0.51, iPS_cells:PDB_1lox-21Puro-26: 0.5, iPS_cells:PDB_1lox-17Puro-10: 0.5, iPS_cells:PDB_2lox-22: 0.5, iPS_cells:PDB_1lox-17Puro-5: 0.49, iPS_cells:PDB_2lox-17: 0.49, iPS_cells:PDB_2lox-21: 0.49, Embryonic_stem_cells: 0.49 |
837_CAATGACAGCCTCACG-1 | Neurons:adrenal_medulla_cell_line | 0.27 | 196.57 | Raw ScoresNeurons:adrenal_medulla_cell_line: 0.56, Neuroepithelial_cell:ESC-derived: 0.51, iPS_cells:PDB_1lox-21Puro-20: 0.49, iPS_cells:PDB_1lox-21Puro-26: 0.49, iPS_cells:PDB_1lox-17Puro-10: 0.49, iPS_cells:PDB_2lox-22: 0.48, iPS_cells:PDB_1lox-17Puro-5: 0.48, iPS_cells:PDB_2lox-17: 0.48, iPS_cells:PDB_2lox-21: 0.48, iPS_cells:PDB_2lox-5: 0.47 |
887_GGGAGATGTCCTCAGG-1 | Neurons:adrenal_medulla_cell_line | 0.23 | 188.00 | Raw ScoresNeurons:adrenal_medulla_cell_line: 0.52, Neuroepithelial_cell:ESC-derived: 0.49, iPS_cells:PDB_1lox-21Puro-20: 0.47, iPS_cells:PDB_1lox-21Puro-26: 0.47, iPS_cells:PDB_1lox-17Puro-10: 0.46, iPS_cells:PDB_1lox-17Puro-5: 0.46, Astrocyte:Embryonic_stem_cell-derived: 0.46, iPS_cells:PDB_2lox-22: 0.46, Neurons:ES_cell-derived_neural_precursor: 0.46, Embryonic_stem_cells: 0.46 |
839_CTGCGAGGTACAGTCT-1 | Neurons:adrenal_medulla_cell_line | 0.28 | 187.47 | Raw ScoresNeurons:adrenal_medulla_cell_line: 0.57, Neuroepithelial_cell:ESC-derived: 0.53, iPS_cells:PDB_1lox-21Puro-20: 0.5, iPS_cells:PDB_1lox-21Puro-26: 0.5, Astrocyte:Embryonic_stem_cell-derived: 0.5, iPS_cells:PDB_1lox-17Puro-10: 0.5, iPS_cells:PDB_2lox-22: 0.49, iPS_cells:PDB_1lox-17Puro-5: 0.49, Embryonic_stem_cells: 0.49, iPS_cells:PDB_2lox-21: 0.48 |
883_ATGAAAGCAGAAGTTA-1 | Neurons:adrenal_medulla_cell_line | 0.24 | 187.45 | Raw ScoresNeurons:adrenal_medulla_cell_line: 0.53, Neuroepithelial_cell:ESC-derived: 0.48, Astrocyte:Embryonic_stem_cell-derived: 0.46, iPS_cells:PDB_1lox-21Puro-20: 0.46, iPS_cells:PDB_1lox-17Puro-10: 0.45, iPS_cells:PDB_1lox-21Puro-26: 0.45, iPS_cells:PDB_1lox-17Puro-5: 0.45, Neurons:ES_cell-derived_neural_precursor: 0.44, iPS_cells:PDB_2lox-22: 0.44, Embryonic_stem_cells: 0.44 |
837_GAACTGTCAGGAACCA-1 | Neurons:adrenal_medulla_cell_line | 0.26 | 186.42 | Raw ScoresNeurons:adrenal_medulla_cell_line: 0.56, Neuroepithelial_cell:ESC-derived: 0.51, iPS_cells:PDB_1lox-21Puro-20: 0.49, iPS_cells:PDB_1lox-21Puro-26: 0.49, iPS_cells:PDB_1lox-17Puro-10: 0.49, iPS_cells:PDB_1lox-17Puro-5: 0.49, iPS_cells:PDB_2lox-22: 0.48, iPS_cells:PDB_2lox-17: 0.48, iPS_cells:PDB_2lox-21: 0.48, Embryonic_stem_cells: 0.47 |
887_CGTCAAATCATTCGTT-1 | Neurons:adrenal_medulla_cell_line | 0.27 | 183.37 | Raw ScoresNeurons:adrenal_medulla_cell_line: 0.59, Neuroepithelial_cell:ESC-derived: 0.55, iPS_cells:PDB_1lox-21Puro-20: 0.52, iPS_cells:PDB_1lox-21Puro-26: 0.52, iPS_cells:PDB_1lox-17Puro-10: 0.51, iPS_cells:PDB_1lox-17Puro-5: 0.51, Astrocyte:Embryonic_stem_cell-derived: 0.51, iPS_cells:PDB_2lox-22: 0.51, Neurons:ES_cell-derived_neural_precursor: 0.51, Embryonic_stem_cells: 0.51 |
837_AAACCCATCCGTATAG-1 | Neurons:adrenal_medulla_cell_line | 0.26 | 180.69 | Raw ScoresNeurons:adrenal_medulla_cell_line: 0.56, Neuroepithelial_cell:ESC-derived: 0.52, iPS_cells:PDB_1lox-21Puro-20: 0.5, iPS_cells:PDB_1lox-21Puro-26: 0.49, iPS_cells:PDB_1lox-17Puro-10: 0.49, iPS_cells:PDB_2lox-22: 0.49, iPS_cells:PDB_1lox-17Puro-5: 0.49, iPS_cells:PDB_2lox-17: 0.48, iPS_cells:PDB_2lox-21: 0.48, Embryonic_stem_cells: 0.48 |
887_AAGTACCTCACTGCTC-1 | Neurons:adrenal_medulla_cell_line | 0.26 | 179.38 | Raw ScoresNeurons:adrenal_medulla_cell_line: 0.56, Neuroepithelial_cell:ESC-derived: 0.51, iPS_cells:PDB_1lox-21Puro-20: 0.48, iPS_cells:PDB_1lox-21Puro-26: 0.48, iPS_cells:PDB_1lox-17Puro-10: 0.48, iPS_cells:PDB_1lox-17Puro-5: 0.48, Astrocyte:Embryonic_stem_cell-derived: 0.47, iPS_cells:PDB_2lox-22: 0.47, Neurons:ES_cell-derived_neural_precursor: 0.47, Embryonic_stem_cells: 0.46 |
883_AATCGTGGTCCTCCAT-1 | Neurons:adrenal_medulla_cell_line | 0.26 | 176.06 | Raw ScoresNeurons:adrenal_medulla_cell_line: 0.56, Neuroepithelial_cell:ESC-derived: 0.51, iPS_cells:PDB_1lox-21Puro-20: 0.49, iPS_cells:PDB_1lox-21Puro-26: 0.48, iPS_cells:PDB_1lox-17Puro-10: 0.48, iPS_cells:PDB_2lox-22: 0.48, iPS_cells:PDB_1lox-17Puro-5: 0.48, iPS_cells:PDB_2lox-21: 0.47, iPS_cells:PDB_2lox-17: 0.47, Embryonic_stem_cells: 0.47 |
839_CCCTGATAGTTGAATG-1 | Neurons:adrenal_medulla_cell_line | 0.28 | 174.04 | Raw ScoresNeurons:adrenal_medulla_cell_line: 0.58, Neuroepithelial_cell:ESC-derived: 0.54, iPS_cells:PDB_1lox-21Puro-20: 0.51, iPS_cells:PDB_1lox-17Puro-10: 0.51, iPS_cells:PDB_1lox-21Puro-26: 0.51, iPS_cells:PDB_1lox-17Puro-5: 0.5, iPS_cells:PDB_2lox-22: 0.5, Astrocyte:Embryonic_stem_cell-derived: 0.5, Embryonic_stem_cells: 0.5, iPS_cells:PDB_2lox-17: 0.49 |
883_TCATTACCAGACACCC-1 | Neurons:adrenal_medulla_cell_line | 0.27 | 170.26 | Raw ScoresNeurons:adrenal_medulla_cell_line: 0.58, Neuroepithelial_cell:ESC-derived: 0.53, iPS_cells:PDB_1lox-21Puro-20: 0.51, iPS_cells:PDB_1lox-21Puro-26: 0.5, iPS_cells:PDB_1lox-17Puro-10: 0.5, iPS_cells:PDB_2lox-22: 0.5, iPS_cells:PDB_1lox-17Puro-5: 0.5, iPS_cells:PDB_2lox-17: 0.49, iPS_cells:PDB_2lox-21: 0.49, Embryonic_stem_cells: 0.49 |
837_CATACTTTCCTAGCCT-1 | Neurons:adrenal_medulla_cell_line | 0.27 | 170.05 | Raw ScoresNeurons:adrenal_medulla_cell_line: 0.59, Neuroepithelial_cell:ESC-derived: 0.54, iPS_cells:PDB_1lox-21Puro-20: 0.53, iPS_cells:PDB_1lox-21Puro-26: 0.53, iPS_cells:PDB_1lox-17Puro-10: 0.52, iPS_cells:PDB_2lox-22: 0.52, iPS_cells:PDB_1lox-17Puro-5: 0.52, iPS_cells:PDB_2lox-17: 0.51, iPS_cells:PDB_2lox-21: 0.51, Embryonic_stem_cells: 0.51 |
883_ATAGAGACAGTTTGGT-1 | Neurons:adrenal_medulla_cell_line | 0.27 | 170.04 | Raw ScoresNeurons:adrenal_medulla_cell_line: 0.57, Neuroepithelial_cell:ESC-derived: 0.51, iPS_cells:PDB_1lox-21Puro-20: 0.5, iPS_cells:PDB_1lox-21Puro-26: 0.49, iPS_cells:PDB_1lox-17Puro-10: 0.49, iPS_cells:PDB_2lox-22: 0.49, iPS_cells:PDB_1lox-17Puro-5: 0.49, iPS_cells:PDB_2lox-17: 0.48, iPS_cells:PDB_2lox-21: 0.48, Embryonic_stem_cells: 0.48 |
837_GCCCGAATCCAACTAG-1 | Neurons:adrenal_medulla_cell_line | 0.27 | 168.87 | Raw ScoresNeurons:adrenal_medulla_cell_line: 0.58, Neuroepithelial_cell:ESC-derived: 0.53, iPS_cells:PDB_1lox-21Puro-20: 0.51, iPS_cells:PDB_1lox-21Puro-26: 0.51, iPS_cells:PDB_1lox-17Puro-10: 0.51, iPS_cells:PDB_2lox-22: 0.5, iPS_cells:PDB_1lox-17Puro-5: 0.5, Astrocyte:Embryonic_stem_cell-derived: 0.5, Embryonic_stem_cells: 0.5, iPS_cells:PDB_2lox-21: 0.5 |
837_AGATCGTGTGCCGTAC-1 | Neurons:adrenal_medulla_cell_line | 0.27 | 167.97 | Raw ScoresNeurons:adrenal_medulla_cell_line: 0.58, Neuroepithelial_cell:ESC-derived: 0.54, iPS_cells:PDB_1lox-21Puro-20: 0.52, iPS_cells:PDB_1lox-21Puro-26: 0.51, iPS_cells:PDB_1lox-17Puro-10: 0.51, iPS_cells:PDB_2lox-22: 0.51, iPS_cells:PDB_1lox-17Puro-5: 0.5, iPS_cells:PDB_2lox-17: 0.5, iPS_cells:PDB_2lox-21: 0.5, Embryonic_stem_cells: 0.5 |
837_CACCGTTTCCCAGGCA-1 | Neurons:adrenal_medulla_cell_line | 0.25 | 167.55 | Raw ScoresNeurons:adrenal_medulla_cell_line: 0.55, Neuroepithelial_cell:ESC-derived: 0.51, iPS_cells:PDB_1lox-21Puro-20: 0.49, iPS_cells:PDB_1lox-21Puro-26: 0.49, iPS_cells:PDB_1lox-17Puro-10: 0.49, iPS_cells:PDB_2lox-22: 0.49, iPS_cells:PDB_1lox-17Puro-5: 0.49, Astrocyte:Embryonic_stem_cell-derived: 0.48, Embryonic_stem_cells: 0.48, iPS_cells:PDB_2lox-21: 0.48 |
887_GGGCTCATCTGTACAG-1 | Neurons:adrenal_medulla_cell_line | 0.26 | 166.39 | Raw ScoresNeurons:adrenal_medulla_cell_line: 0.54, Neuroepithelial_cell:ESC-derived: 0.5, iPS_cells:PDB_1lox-21Puro-20: 0.47, iPS_cells:PDB_1lox-21Puro-26: 0.46, Astrocyte:Embryonic_stem_cell-derived: 0.46, iPS_cells:PDB_1lox-17Puro-5: 0.46, iPS_cells:PDB_1lox-17Puro-10: 0.46, iPS_cells:PDB_2lox-22: 0.46, Embryonic_stem_cells: 0.46, Neurons:ES_cell-derived_neural_precursor: 0.46 |
837_CTGTGAACATCGTTCC-1 | Neurons:adrenal_medulla_cell_line | 0.26 | 165.59 | Raw ScoresNeurons:adrenal_medulla_cell_line: 0.55, Neuroepithelial_cell:ESC-derived: 0.5, iPS_cells:PDB_1lox-21Puro-20: 0.48, iPS_cells:PDB_1lox-21Puro-26: 0.48, iPS_cells:PDB_1lox-17Puro-10: 0.48, iPS_cells:PDB_1lox-17Puro-5: 0.47, iPS_cells:PDB_2lox-22: 0.47, iPS_cells:PDB_2lox-21: 0.47, iPS_cells:PDB_2lox-17: 0.46, Astrocyte:Embryonic_stem_cell-derived: 0.46 |
887_CATCGCTAGTCTAGCT-1 | Neurons:adrenal_medulla_cell_line | 0.26 | 165.59 | Raw ScoresNeurons:adrenal_medulla_cell_line: 0.55, Neuroepithelial_cell:ESC-derived: 0.51, iPS_cells:PDB_1lox-21Puro-20: 0.48, iPS_cells:PDB_1lox-21Puro-26: 0.48, iPS_cells:PDB_1lox-17Puro-10: 0.48, iPS_cells:PDB_1lox-17Puro-5: 0.47, iPS_cells:PDB_2lox-22: 0.47, Astrocyte:Embryonic_stem_cell-derived: 0.47, Embryonic_stem_cells: 0.47, iPS_cells:PDB_2lox-21: 0.47 |
837_TAACTTCCATGATGCT-1 | Neurons:adrenal_medulla_cell_line | 0.28 | 165.47 | Raw ScoresNeurons:adrenal_medulla_cell_line: 0.58, Neuroepithelial_cell:ESC-derived: 0.53, iPS_cells:PDB_1lox-21Puro-20: 0.52, iPS_cells:PDB_1lox-21Puro-26: 0.52, iPS_cells:PDB_1lox-17Puro-10: 0.51, iPS_cells:PDB_1lox-17Puro-5: 0.51, iPS_cells:PDB_2lox-22: 0.51, iPS_cells:PDB_2lox-21: 0.5, iPS_cells:PDB_2lox-17: 0.5, Embryonic_stem_cells: 0.5 |
883_CCTCACACAGACCTAT-1 | Neurons:adrenal_medulla_cell_line | 0.24 | 165.20 | Raw ScoresNeurons:adrenal_medulla_cell_line: 0.54, Neuroepithelial_cell:ESC-derived: 0.49, iPS_cells:PDB_1lox-21Puro-20: 0.47, iPS_cells:PDB_1lox-21Puro-26: 0.47, iPS_cells:PDB_1lox-17Puro-10: 0.47, iPS_cells:PDB_1lox-17Puro-5: 0.47, iPS_cells:PDB_2lox-22: 0.46, iPS_cells:PDB_2lox-21: 0.46, iPS_cells:PDB_2lox-17: 0.46, Embryonic_stem_cells: 0.46 |
883_CAGGCCAGTATTCCGA-1 | Neurons:adrenal_medulla_cell_line | 0.26 | 164.99 | Raw ScoresNeurons:adrenal_medulla_cell_line: 0.55, Neuroepithelial_cell:ESC-derived: 0.51, iPS_cells:PDB_1lox-21Puro-20: 0.48, iPS_cells:PDB_1lox-21Puro-26: 0.48, iPS_cells:PDB_1lox-17Puro-10: 0.48, iPS_cells:PDB_1lox-17Puro-5: 0.48, Astrocyte:Embryonic_stem_cell-derived: 0.47, iPS_cells:PDB_2lox-22: 0.47, Embryonic_stem_cells: 0.46, iPS_cells:PDB_2lox-21: 0.46 |
887_CTGATCCTCGGTCGAC-1 | Neurons:adrenal_medulla_cell_line | 0.26 | 163.88 | Raw ScoresNeurons:adrenal_medulla_cell_line: 0.53, Neuroepithelial_cell:ESC-derived: 0.5, iPS_cells:PDB_1lox-21Puro-20: 0.47, iPS_cells:PDB_1lox-21Puro-26: 0.47, iPS_cells:PDB_1lox-17Puro-10: 0.46, Astrocyte:Embryonic_stem_cell-derived: 0.46, iPS_cells:PDB_1lox-17Puro-5: 0.46, Neurons:ES_cell-derived_neural_precursor: 0.46, iPS_cells:PDB_2lox-22: 0.46, Embryonic_stem_cells: 0.46 |
883_CCATAAGGTAACCCGC-1 | Neurons:adrenal_medulla_cell_line | 0.25 | 162.49 | Raw ScoresNeurons:adrenal_medulla_cell_line: 0.56, Neuroepithelial_cell:ESC-derived: 0.52, iPS_cells:PDB_1lox-21Puro-20: 0.49, iPS_cells:PDB_1lox-21Puro-26: 0.49, iPS_cells:PDB_1lox-17Puro-10: 0.48, iPS_cells:PDB_1lox-17Puro-5: 0.48, iPS_cells:PDB_2lox-22: 0.48, iPS_cells:PDB_2lox-17: 0.47, iPS_cells:PDB_2lox-21: 0.47, Embryonic_stem_cells: 0.47 |
837_ATGGGAGTCACTCTTA-1 | Neurons:adrenal_medulla_cell_line | 0.27 | 160.80 | Raw ScoresNeurons:adrenal_medulla_cell_line: 0.57, Neuroepithelial_cell:ESC-derived: 0.52, iPS_cells:PDB_1lox-21Puro-20: 0.5, iPS_cells:PDB_1lox-21Puro-26: 0.5, iPS_cells:PDB_1lox-17Puro-10: 0.5, iPS_cells:PDB_1lox-17Puro-5: 0.49, iPS_cells:PDB_2lox-22: 0.49, Astrocyte:Embryonic_stem_cell-derived: 0.49, Embryonic_stem_cells: 0.49, iPS_cells:PDB_2lox-21: 0.49 |
837_TTAGTCTTCCTGCCAT-1 | Neurons:adrenal_medulla_cell_line | 0.26 | 160.49 | Raw ScoresNeurons:adrenal_medulla_cell_line: 0.55, Neuroepithelial_cell:ESC-derived: 0.5, iPS_cells:PDB_1lox-21Puro-20: 0.48, iPS_cells:PDB_1lox-21Puro-26: 0.48, iPS_cells:PDB_1lox-17Puro-10: 0.48, iPS_cells:PDB_1lox-17Puro-5: 0.47, iPS_cells:PDB_2lox-22: 0.47, iPS_cells:PDB_2lox-17: 0.47, iPS_cells:PDB_2lox-21: 0.47, Embryonic_stem_cells: 0.46 |
839_CTCATTAGTAACGATA-1 | Neurons:adrenal_medulla_cell_line | 0.27 | 159.86 | Raw ScoresNeurons:adrenal_medulla_cell_line: 0.57, Neuroepithelial_cell:ESC-derived: 0.53, iPS_cells:PDB_1lox-21Puro-20: 0.5, iPS_cells:PDB_1lox-21Puro-26: 0.5, iPS_cells:PDB_1lox-17Puro-10: 0.5, iPS_cells:PDB_1lox-17Puro-5: 0.49, iPS_cells:PDB_2lox-22: 0.49, Embryonic_stem_cells: 0.49, Neurons:ES_cell-derived_neural_precursor: 0.49, iPS_cells:PDB_2lox-17: 0.49 |
883_ATTCTACCACCCTGAG-1 | Neurons:adrenal_medulla_cell_line | 0.26 | 159.32 | Raw ScoresNeurons:adrenal_medulla_cell_line: 0.53, Neuroepithelial_cell:ESC-derived: 0.48, iPS_cells:PDB_1lox-21Puro-20: 0.46, iPS_cells:PDB_1lox-21Puro-26: 0.46, iPS_cells:PDB_1lox-17Puro-10: 0.45, iPS_cells:PDB_2lox-22: 0.45, Astrocyte:Embryonic_stem_cell-derived: 0.45, iPS_cells:PDB_1lox-17Puro-5: 0.45, Embryonic_stem_cells: 0.44, iPS_cells:PDB_2lox-21: 0.44 |
837_AGCCAATTCTGTGCTC-1 | Neurons:adrenal_medulla_cell_line | 0.20 | 159.26 | Raw ScoresNeurons:adrenal_medulla_cell_line: 0.54, Neuroepithelial_cell:ESC-derived: 0.53, iPS_cells:PDB_1lox-21Puro-20: 0.51, iPS_cells:PDB_1lox-21Puro-26: 0.51, iPS_cells:PDB_1lox-17Puro-10: 0.51, iPS_cells:PDB_1lox-17Puro-5: 0.51, iPS_cells:PDB_2lox-22: 0.51, Embryonic_stem_cells: 0.5, iPS_cells:CRL2097_foreskin-derived:undiff.: 0.5, iPS_cells:PDB_2lox-17: 0.5 |
837_CTGTAGAAGTCAGAGC-1 | Neurons:adrenal_medulla_cell_line | 0.26 | 158.82 | Raw ScoresNeurons:adrenal_medulla_cell_line: 0.57, Neuroepithelial_cell:ESC-derived: 0.52, iPS_cells:PDB_1lox-21Puro-20: 0.5, iPS_cells:PDB_1lox-21Puro-26: 0.5, iPS_cells:PDB_1lox-17Puro-10: 0.5, iPS_cells:PDB_2lox-22: 0.49, iPS_cells:PDB_1lox-17Puro-5: 0.49, iPS_cells:PDB_2lox-17: 0.49, Embryonic_stem_cells: 0.48, iPS_cells:PDB_2lox-21: 0.48 |
837_TGAGTCACAACAGAGC-1 | Neurons:adrenal_medulla_cell_line | 0.27 | 158.13 | Raw ScoresNeurons:adrenal_medulla_cell_line: 0.58, Neuroepithelial_cell:ESC-derived: 0.53, iPS_cells:PDB_1lox-21Puro-20: 0.51, iPS_cells:PDB_1lox-21Puro-26: 0.5, iPS_cells:PDB_1lox-17Puro-10: 0.5, iPS_cells:PDB_1lox-17Puro-5: 0.5, iPS_cells:PDB_2lox-22: 0.49, iPS_cells:PDB_2lox-17: 0.49, iPS_cells:PDB_2lox-21: 0.49, Embryonic_stem_cells: 0.49 |
837_CCTAACCGTTAAGTCC-1 | Neurons:adrenal_medulla_cell_line | 0.27 | 157.14 | Raw ScoresNeurons:adrenal_medulla_cell_line: 0.57, Neuroepithelial_cell:ESC-derived: 0.53, iPS_cells:PDB_1lox-21Puro-20: 0.52, iPS_cells:PDB_1lox-21Puro-26: 0.51, iPS_cells:PDB_1lox-17Puro-10: 0.51, iPS_cells:PDB_1lox-17Puro-5: 0.51, iPS_cells:PDB_2lox-22: 0.51, iPS_cells:PDB_2lox-17: 0.5, iPS_cells:PDB_2lox-21: 0.5, Embryonic_stem_cells: 0.5 |
837_CACGTGGGTTGCGGAA-1 | Neurons:adrenal_medulla_cell_line | 0.26 | 156.39 | Raw ScoresNeurons:adrenal_medulla_cell_line: 0.55, Neuroepithelial_cell:ESC-derived: 0.51, iPS_cells:PDB_1lox-21Puro-20: 0.49, iPS_cells:PDB_1lox-21Puro-26: 0.48, iPS_cells:PDB_1lox-17Puro-10: 0.48, iPS_cells:PDB_1lox-17Puro-5: 0.48, iPS_cells:PDB_2lox-22: 0.48, Embryonic_stem_cells: 0.47, iPS_cells:PDB_2lox-17: 0.47, iPS_cells:PDB_2lox-21: 0.47 |
837_GGCACGTCAATACCCA-1 | Neurons:adrenal_medulla_cell_line | 0.25 | 156.10 | Raw ScoresNeurons:adrenal_medulla_cell_line: 0.54, Neuroepithelial_cell:ESC-derived: 0.5, iPS_cells:PDB_1lox-21Puro-20: 0.48, iPS_cells:PDB_1lox-21Puro-26: 0.48, iPS_cells:PDB_1lox-17Puro-10: 0.48, iPS_cells:PDB_2lox-22: 0.47, iPS_cells:PDB_1lox-17Puro-5: 0.47, iPS_cells:PDB_2lox-21: 0.47, iPS_cells:PDB_2lox-17: 0.47, Embryonic_stem_cells: 0.46 |
883_GTCCACTCAGCATGCC-1 | Neurons:adrenal_medulla_cell_line | 0.25 | 156.08 | Raw ScoresNeurons:adrenal_medulla_cell_line: 0.53, Neuroepithelial_cell:ESC-derived: 0.48, iPS_cells:PDB_1lox-21Puro-20: 0.46, iPS_cells:PDB_1lox-21Puro-26: 0.46, iPS_cells:PDB_1lox-17Puro-10: 0.46, iPS_cells:PDB_1lox-17Puro-5: 0.46, iPS_cells:PDB_2lox-22: 0.46, iPS_cells:PDB_2lox-17: 0.45, iPS_cells:PDB_2lox-21: 0.45, Embryonic_stem_cells: 0.45 |
837_AGCCAATAGCTGTTCA-1 | Neurons:adrenal_medulla_cell_line | 0.26 | 156.03 | Raw ScoresNeurons:adrenal_medulla_cell_line: 0.55, Neuroepithelial_cell:ESC-derived: 0.51, iPS_cells:PDB_1lox-21Puro-20: 0.5, iPS_cells:PDB_1lox-21Puro-26: 0.49, iPS_cells:PDB_1lox-17Puro-10: 0.49, iPS_cells:PDB_1lox-17Puro-5: 0.49, iPS_cells:PDB_2lox-22: 0.49, iPS_cells:PDB_2lox-17: 0.48, iPS_cells:PDB_2lox-21: 0.48, Embryonic_stem_cells: 0.48 |
883_CACTGGGGTCAAACGG-1 | Neurons:adrenal_medulla_cell_line | 0.27 | 155.72 | Raw ScoresNeurons:adrenal_medulla_cell_line: 0.56, Neuroepithelial_cell:ESC-derived: 0.51, iPS_cells:PDB_1lox-21Puro-20: 0.49, iPS_cells:PDB_1lox-21Puro-26: 0.48, iPS_cells:PDB_1lox-17Puro-10: 0.48, iPS_cells:PDB_2lox-22: 0.48, Astrocyte:Embryonic_stem_cell-derived: 0.48, iPS_cells:PDB_1lox-17Puro-5: 0.47, iPS_cells:PDB_2lox-17: 0.47, iPS_cells:PDB_2lox-21: 0.47 |
887_ATCATTCGTACACTCA-1 | Neurons:adrenal_medulla_cell_line | 0.25 | 155.40 | Raw ScoresNeurons:adrenal_medulla_cell_line: 0.52, Neuroepithelial_cell:ESC-derived: 0.5, iPS_cells:PDB_1lox-21Puro-20: 0.47, iPS_cells:PDB_1lox-21Puro-26: 0.46, iPS_cells:PDB_1lox-17Puro-10: 0.46, iPS_cells:PDB_1lox-17Puro-5: 0.46, Astrocyte:Embryonic_stem_cell-derived: 0.46, iPS_cells:PDB_2lox-22: 0.46, Embryonic_stem_cells: 0.45, iPS_cells:PDB_2lox-21: 0.45 |
Below shows the significant enrichments of this GEP for literature curated gene lists
This data was procured from existing single cell RNA-seq maps of neuroblastoma or related relevant data.
High ranks indicate this gene is a driver of this GEP.
These curated gene list are ranked by the P-value (on this GEP) of their constituent genes.
The Mean Count column shows the mean read count in cells scoring highly (H > 50) on this gene expression program.
Genes | Weight | Rank | GTEx | DepMap | Decartes | Mean.Counts | Mean.TPM |
---|---|---|---|---|---|---|---|
UBE2C | 0.0351635 | 1 | GTEx | DepMap | Descartes | 98.80 | 1709.90 |
CDK1 | 0.0185114 | 27 | GTEx | DepMap | Descartes | 20.16 | 175.60 |
TOP2A | 0.0182722 | 30 | GTEx | DepMap | Descartes | 36.10 | 184.80 |
MKI67 | 0.0163880 | 41 | GTEx | DepMap | Descartes | 16.53 | 96.79 |
Cell cycle (Dong)
Markers obtained in computationally inferred meta program (by NMF applied to their neuroblastoma sc-RNA-seq data) from Fig. 5(a) of Dong et al. (PMID 32946775).:
Wilcoxon ranksum test P-value for gene set overrepresentation: 4.13e-03
Mean rank of genes in gene set: 1252
Rank on gene expression program of genes in gene set:
Genes | Weight | Rank | GTEx | DepMap | Decartes | Mean.Counts | Mean.TPM |
---|---|---|---|---|---|---|---|
TOP2A | 0.0182722 | 30 | GTEx | DepMap | Descartes | 36.10 | 184.80 |
MKI67 | 0.0163880 | 41 | GTEx | DepMap | Descartes | 16.53 | 96.79 |
PCNA | 0.0002689 | 3685 | GTEx | DepMap | Descartes | 4.62 | 159.98 |
Adrenergic proliferating cluster (Olsen)
Stated on pages 6 and 7 of the main text of Olsen et al. https://www.biorxiv.org/content/10.1101/2020.05.04.077057v1 - it is argued that upon reanalysis of the adrenergic neuroblastoma cells, there is further heterogeneity, grouped into proliferating, mature and immature cell populations. These genes were found as markers for proliferating adrenergic cells:
Wilcoxon ranksum test P-value for gene set overrepresentation: 7.53e-03
Mean rank of genes in gene set: 79.5
Rank on gene expression program of genes in gene set:
Genes | Weight | Rank | GTEx | DepMap | Decartes | Mean.Counts | Mean.TPM |
---|---|---|---|---|---|---|---|
MKI67 | 0.0163880 | 41 | GTEx | DepMap | Descartes | 16.53 | 96.79 |
EZH2 | 0.0095402 | 118 | GTEx | DepMap | Descartes | 8.66 | 20.15 |
Below shows ranks on this GEP for literature curated gene lists for large gene sets
These include those reported as mesenchymal/adrenergic by Van Groningen et al.
High ranks indicate this gene is a driver of this GEP (note these results are not ordered).
The Mean Count column shows the mean read count in cells scoring highly (H > 50) on this gene expression program.
VanGroningen Adrenergic Genes
Adrenergic marker genes from Supplementary Table 2 of Van Groningen et al. Nature Genetics 2017. These genes were identified by differential expression analysis of mesenchymal-like and adrenergic-like neuroblastoma cell lines.
Wilcoxon ranksum test P-value for gene set overrepresentation: 1.00e+00
Mean rank of genes in gene set: 12116.38
Median rank of genes in gene set: 16018.5
Rank on gene expression program of top 30 genes in gene set:
Genes | Weight | Rank | GTEx | DepMap | Descartes | Mean.Counts | Mean.TPM |
---|---|---|---|---|---|---|---|
UBE2C | 0.0351635 | 1 | GTEx | DepMap | Descartes | 98.80 | 1709.90 |
TUBB4B | 0.0269200 | 4 | GTEx | DepMap | Descartes | 41.48 | 2525.49 |
NUSAP1 | 0.0239175 | 9 | GTEx | DepMap | Descartes | 15.13 | 72.98 |
PRC1 | 0.0230466 | 11 | GTEx | DepMap | Descartes | 15.77 | 116.49 |
BIRC5 | 0.0227471 | 12 | GTEx | DepMap | Descartes | 30.15 | 711.91 |
ARL6IP1 | 0.0223759 | 14 | GTEx | DepMap | Descartes | 34.99 | 529.00 |
KNSTRN | 0.0160592 | 46 | GTEx | DepMap | Descartes | 5.56 | 21.35 |
H1FX | 0.0154501 | 51 | GTEx | DepMap | Descartes | 38.69 | 4846.46 |
UBE2T | 0.0130906 | 66 | GTEx | DepMap | Descartes | 7.69 | 102.34 |
HN1 | 0.0125194 | 70 | GTEx | DepMap | Descartes | 50.70 | NA |
CDKN3 | 0.0119211 | 81 | GTEx | DepMap | Descartes | 1.69 | 23.60 |
NUF2 | 0.0118718 | 82 | GTEx | DepMap | Descartes | 4.31 | 20.86 |
LSM3 | 0.0103659 | 104 | GTEx | DepMap | Descartes | 16.47 | 359.92 |
PBK | 0.0098732 | 113 | GTEx | DepMap | Descartes | 8.17 | 105.79 |
INSM2 | 0.0087233 | 135 | GTEx | DepMap | Descartes | 4.61 | 263.17 |
FOXM1 | 0.0082116 | 145 | GTEx | DepMap | Descartes | 2.13 | 25.10 |
PLPPR5 | 0.0078435 | 158 | GTEx | DepMap | Descartes | 2.16 | 2.92 |
FAM171B | 0.0077218 | 161 | GTEx | DepMap | Descartes | 5.69 | 11.94 |
KIF15 | 0.0074796 | 170 | GTEx | DepMap | Descartes | 2.41 | 5.57 |
CENPV | 0.0074377 | 172 | GTEx | DepMap | Descartes | 12.12 | 123.67 |
TTC8 | 0.0073076 | 178 | GTEx | DepMap | Descartes | 3.12 | 7.55 |
INSM1 | 0.0073058 | 180 | GTEx | DepMap | Descartes | 4.02 | 193.31 |
MYEF2 | 0.0066238 | 202 | GTEx | DepMap | Descartes | 13.12 | 50.77 |
NEFM | 0.0065309 | 204 | GTEx | DepMap | Descartes | 66.15 | 239.76 |
NEFL | 0.0055746 | 249 | GTEx | DepMap | Descartes | 60.59 | 1740.99 |
FAM60A | 0.0055533 | 250 | GTEx | DepMap | Descartes | 8.29 | NA |
NELFCD | 0.0055390 | 252 | GTEx | DepMap | Descartes | 5.01 | 65.95 |
EYA1 | 0.0049813 | 295 | GTEx | DepMap | Descartes | 8.48 | 9.23 |
TMEM97 | 0.0049091 | 306 | GTEx | DepMap | Descartes | 4.21 | 67.36 |
TOX2 | 0.0047094 | 327 | GTEx | DepMap | Descartes | 1.17 | 1.47 |
VanGroningen Mesenchymal Genes
Mesenchymal marker genes from Supplementary Table 2 of Van Groningen et al. Nature Genetics 2017. These genes were identified by differential expression analysis of mesenchymal-like and adrenergic-like neuroblastoma cell lines.
Wilcoxon ranksum test P-value for gene set overrepresentation: 1.00e+00
Mean rank of genes in gene set: 12657.82
Median rank of genes in gene set: 14020.5
Rank on gene expression program of top 30 genes in gene set:
Genes | Weight | Rank | GTEx | DepMap | Descartes | Mean.Counts | Mean.TPM |
---|---|---|---|---|---|---|---|
HSP90B1 | 0.0072978 | 181 | GTEx | DepMap | Descartes | 22.28 | 226.71 |
PDE3A | 0.0064839 | 208 | GTEx | DepMap | Descartes | 5.69 | 3.39 |
MEST | 0.0053937 | 263 | GTEx | DepMap | Descartes | 5.00 | 30.54 |
TCF7L2 | 0.0039220 | 405 | GTEx | DepMap | Descartes | 3.05 | 2.43 |
VIM | 0.0036153 | 448 | GTEx | DepMap | Descartes | 17.23 | 301.56 |
ADAM19 | 0.0035193 | 474 | GTEx | DepMap | Descartes | 0.83 | 1.46 |
CALD1 | 0.0034385 | 490 | GTEx | DepMap | Descartes | 8.95 | 8.23 |
TXNDC12 | 0.0033652 | 506 | GTEx | DepMap | Descartes | 2.11 | 11.76 |
LMNA | 0.0033278 | 515 | GTEx | DepMap | Descartes | 5.05 | 28.28 |
PRDX4 | 0.0030016 | 597 | GTEx | DepMap | Descartes | 8.46 | 74.18 |
LIX1L | 0.0027251 | 661 | GTEx | DepMap | Descartes | 0.92 | 5.66 |
ITPR1 | 0.0024190 | 764 | GTEx | DepMap | Descartes | 1.18 | 0.53 |
SEPT10 | 0.0023163 | 813 | GTEx | DepMap | Descartes | 0.85 | 1.64 |
EXTL2 | 0.0022880 | 827 | GTEx | DepMap | Descartes | 0.84 | 6.16 |
LIFR | 0.0022196 | 858 | GTEx | DepMap | Descartes | 1.17 | 1.66 |
SLC38A2 | 0.0020544 | 940 | GTEx | DepMap | Descartes | 4.13 | 50.93 |
PTBP1 | 0.0020246 | 958 | GTEx | DepMap | Descartes | 2.71 | 39.60 |
ENAH | 0.0019773 | 982 | GTEx | DepMap | Descartes | 4.99 | 6.18 |
CALU | 0.0019130 | 1013 | GTEx | DepMap | Descartes | 2.15 | 11.37 |
MOB1A | 0.0018238 | 1079 | GTEx | DepMap | Descartes | 1.38 | 11.97 |
PRDX6 | 0.0018124 | 1083 | GTEx | DepMap | Descartes | 14.89 | 186.52 |
SSR3 | 0.0018018 | 1092 | GTEx | DepMap | Descartes | 5.38 | 63.06 |
PDIA4 | 0.0017498 | 1124 | GTEx | DepMap | Descartes | 3.37 | 29.85 |
RAP1A | 0.0015869 | 1253 | GTEx | DepMap | Descartes | 3.66 | 7.50 |
SH3BGRL | 0.0015534 | 1293 | GTEx | DepMap | Descartes | 3.37 | 5.02 |
TWSG1 | 0.0014100 | 1422 | GTEx | DepMap | Descartes | 1.08 | 5.82 |
CLIC4 | 0.0013317 | 1501 | GTEx | DepMap | Descartes | 1.30 | 3.21 |
PLAGL1 | 0.0012870 | 1546 | GTEx | DepMap | Descartes | 1.30 | 2.71 |
OGFRL1 | 0.0012799 | 1552 | GTEx | DepMap | Descartes | 1.42 | 6.96 |
SCPEP1 | 0.0012690 | 1564 | GTEx | DepMap | Descartes | 1.24 | 6.17 |
Descartes adrenocortical markers
Top 50 marker genes of adrenocortical cells in the Decartes fetal adrenal single cell map (https://atlas.brotmanbaty.org/bbi/human-gene-expression-during-development/cell/adrenocortical/in/adrenal)
Wilcoxon ranksum test P-value for gene set overrepresentation: 9.95e-01
Mean rank of genes in gene set: 12909.88
Median rank of genes in gene set: 13682
Rank on gene expression program of top 30 genes in gene set:
Genes | Weight | Rank | GTEx | DepMap | Descartes | Mean.Counts | Mean.TPM |
---|---|---|---|---|---|---|---|
HSPD1 | 0.0014954 | 1350 | GTEx | DepMap | Descartes | 27.07 | 363.55 |
LDLR | 0.0012333 | 1611 | GTEx | DepMap | Descartes | 0.46 | 2.65 |
FRMD5 | 0.0009280 | 2028 | GTEx | DepMap | Descartes | 0.46 | 0.28 |
FDPS | 0.0008429 | 2164 | GTEx | DepMap | Descartes | 10.09 | 178.17 |
HMGCR | 0.0007514 | 2320 | GTEx | DepMap | Descartes | 5.58 | 39.76 |
SULT2A1 | 0.0003784 | 3220 | GTEx | DepMap | Descartes | 0.00 | 0.00 |
HSPE1 | 0.0002625 | 3718 | GTEx | DepMap | Descartes | 26.56 | 1147.01 |
DHCR24 | 0.0001501 | 4354 | GTEx | DepMap | Descartes | 0.93 | 4.82 |
STAR | 0.0000079 | 5682 | GTEx | DepMap | Descartes | 0.01 | 0.16 |
CYP11A1 | -0.0000577 | 7121 | GTEx | DepMap | Descartes | 0.00 | 0.00 |
CYP11B1 | -0.0000668 | 7405 | GTEx | DepMap | Descartes | 0.00 | 0.01 |
CYB5B | -0.0001112 | 8790 | GTEx | DepMap | Descartes | 1.59 | 6.14 |
FREM2 | -0.0001245 | 9119 | GTEx | DepMap | Descartes | 0.00 | 0.00 |
CYP17A1 | -0.0001488 | 9750 | GTEx | DepMap | Descartes | 0.00 | 0.00 |
SLC1A2 | -0.0002475 | 11863 | GTEx | DepMap | Descartes | 0.09 | 0.11 |
JAKMIP2 | -0.0002540 | 11964 | GTEx | DepMap | Descartes | 0.65 | 0.65 |
FDXR | -0.0002558 | 11995 | GTEx | DepMap | Descartes | 0.46 | 7.80 |
SH3PXD2B | -0.0002977 | 12692 | GTEx | DepMap | Descartes | 0.26 | 0.46 |
CLU | -0.0003504 | 13449 | GTEx | DepMap | Descartes | 0.30 | 1.67 |
APOC1 | -0.0003531 | 13477 | GTEx | DepMap | Descartes | 0.09 | 3.31 |
PAPSS2 | -0.0003599 | 13563 | GTEx | DepMap | Descartes | 0.02 | 0.02 |
GSTA4 | -0.0003790 | 13801 | GTEx | DepMap | Descartes | 0.73 | 1.83 |
SLC16A9 | -0.0004831 | 14876 | GTEx | DepMap | Descartes | 0.01 | 0.01 |
BAIAP2L1 | -0.0005872 | 15797 | GTEx | DepMap | Descartes | 0.17 | 0.17 |
SCARB1 | -0.0006172 | 16014 | GTEx | DepMap | Descartes | 0.20 | 0.43 |
TM7SF2 | -0.0007516 | 16891 | GTEx | DepMap | Descartes | 0.15 | 3.93 |
SCAP | -0.0008064 | 17202 | GTEx | DepMap | Descartes | 0.55 | 1.58 |
ERN1 | -0.0008475 | 17398 | GTEx | DepMap | Descartes | 0.10 | 0.17 |
PEG3 | -0.0009568 | 17947 | GTEx | DepMap | Descartes | 3.88 | 22.16 |
FDX1 | -0.0011502 | 18649 | GTEx | DepMap | Descartes | 1.82 | 13.12 |
Descartes chromaffin markers
Top 50 marker genes of chromaffin cells in the Decartes fetal adrenal single cell map (https://atlas.brotmanbaty.org/bbi/human-gene-expression-during-development/cell/chromaffin/in/adrenal)
Wilcoxon ranksum test P-value for gene set overrepresentation: 1.00e+00
Mean rank of genes in gene set: 16177.98
Median rank of genes in gene set: 18920.5
Rank on gene expression program of top 30 genes in gene set:
Genes | Weight | Rank | GTEx | DepMap | Descartes | Mean.Counts | Mean.TPM |
---|---|---|---|---|---|---|---|
EYA1 | 0.0049813 | 295 | GTEx | DepMap | Descartes | 8.48 | 9.23 |
EYA4 | 0.0030237 | 588 | GTEx | DepMap | Descartes | 0.67 | 0.41 |
SLC44A5 | 0.0014101 | 1421 | GTEx | DepMap | Descartes | 0.56 | 0.32 |
MAP1B | 0.0010222 | 1885 | GTEx | DepMap | Descartes | 36.40 | 59.38 |
CNTFR | 0.0004980 | 2879 | GTEx | DepMap | Descartes | 2.65 | 10.22 |
ALK | 0.0000032 | 5755 | GTEx | DepMap | Descartes | 0.09 | 0.02 |
RBFOX1 | -0.0000222 | 6206 | GTEx | DepMap | Descartes | 1.78 | 0.17 |
MAB21L1 | -0.0002740 | 12321 | GTEx | DepMap | Descartes | 0.03 | 1.20 |
IL7 | -0.0002967 | 12678 | GTEx | DepMap | Descartes | 0.00 | 0.01 |
MAB21L2 | -0.0003536 | 13485 | GTEx | DepMap | Descartes | 5.10 | 264.85 |
EPHA6 | -0.0005182 | 15222 | GTEx | DepMap | Descartes | 0.00 | 0.00 |
STMN4 | -0.0006478 | 16225 | GTEx | DepMap | Descartes | 9.15 | 82.26 |
ANKFN1 | -0.0006602 | 16322 | GTEx | DepMap | Descartes | 0.03 | 0.01 |
CNKSR2 | -0.0007072 | 16630 | GTEx | DepMap | Descartes | 1.60 | 1.08 |
HS3ST5 | -0.0007646 | 16970 | GTEx | DepMap | Descartes | 0.04 | 0.01 |
TMEFF2 | -0.0007728 | 17017 | GTEx | DepMap | Descartes | 1.17 | 0.63 |
SYNPO2 | -0.0008784 | 17560 | GTEx | DepMap | Descartes | 0.02 | 0.02 |
GAL | -0.0010091 | 18157 | GTEx | DepMap | Descartes | 0.13 | 4.11 |
FAT3 | -0.0010350 | 18262 | GTEx | DepMap | Descartes | 0.12 | 0.04 |
ELAVL2 | -0.0011356 | 18610 | GTEx | DepMap | Descartes | 6.12 | 5.63 |
TMEM132C | -0.0012328 | 18887 | GTEx | DepMap | Descartes | 0.04 | 0.02 |
GREM1 | -0.0012408 | 18905 | GTEx | DepMap | Descartes | 0.04 | 0.50 |
PRPH | -0.0012522 | 18936 | GTEx | DepMap | Descartes | 0.03 | 0.88 |
RGMB | -0.0013625 | 19181 | GTEx | DepMap | Descartes | 0.44 | 2.45 |
RPH3A | -0.0014176 | 19289 | GTEx | DepMap | Descartes | 0.01 | 0.03 |
KCNB2 | -0.0014321 | 19320 | GTEx | DepMap | Descartes | 0.23 | 0.08 |
MARCH11 | -0.0014685 | 19406 | GTEx | DepMap | Descartes | 1.58 | 2.44 |
REEP1 | -0.0017085 | 19755 | GTEx | DepMap | Descartes | 2.34 | 3.41 |
RYR2 | -0.0018071 | 19892 | GTEx | DepMap | Descartes | 0.12 | 0.03 |
STMN2 | -0.0021395 | 20212 | GTEx | DepMap | Descartes | 89.99 | 252.38 |
Descartes Vascular_endothelial markers
Top 50 marker genes of Vascular_endothelial cells in the Decartes fetal adrenal single cell map (https://atlas.brotmanbaty.org/bbi/human-gene-expression-during-development/cell/vascular_endothelial/in/adrenal)
Wilcoxon ranksum test P-value for gene set overrepresentation: 7.45e-01
Mean rank of genes in gene set: 11082.26
Median rank of genes in gene set: 10069
Rank on gene expression program of top 30 genes in gene set:
Genes | Weight | Rank | GTEx | DepMap | Descartes | Mean.Counts | Mean.TPM |
---|---|---|---|---|---|---|---|
KANK3 | 0.0008109 | 2207 | GTEx | DepMap | Descartes | 0.21 | 2.59 |
HYAL2 | 0.0005690 | 2698 | GTEx | DepMap | Descartes | 0.66 | 20.17 |
IRX3 | 0.0004952 | 2884 | GTEx | DepMap | Descartes | 0.11 | 4.46 |
NPR1 | 0.0000134 | 5599 | GTEx | DepMap | Descartes | 0.07 | 0.59 |
CRHBP | -0.0000235 | 6233 | GTEx | DepMap | Descartes | 0.00 | 0.02 |
BTNL9 | -0.0000709 | 7533 | GTEx | DepMap | Descartes | 0.00 | 0.00 |
FLT4 | -0.0000814 | 7909 | GTEx | DepMap | Descartes | 0.00 | 0.00 |
ESM1 | -0.0001134 | 8849 | GTEx | DepMap | Descartes | 0.00 | 0.01 |
SHE | -0.0001137 | 8860 | GTEx | DepMap | Descartes | 0.00 | 0.00 |
TEK | -0.0001210 | 9025 | GTEx | DepMap | Descartes | 0.00 | 0.00 |
APLNR | -0.0001278 | 9209 | GTEx | DepMap | Descartes | 0.00 | 0.02 |
CLDN5 | -0.0001283 | 9218 | GTEx | DepMap | Descartes | 0.00 | 0.15 |
KDR | -0.0001421 | 9561 | GTEx | DepMap | Descartes | 0.00 | 0.00 |
MMRN2 | -0.0001429 | 9586 | GTEx | DepMap | Descartes | 0.00 | 0.00 |
PODXL | -0.0001446 | 9631 | GTEx | DepMap | Descartes | 0.21 | 0.63 |
PTPRB | -0.0001490 | 9755 | GTEx | DepMap | Descartes | 0.00 | 0.01 |
RASIP1 | -0.0001518 | 9825 | GTEx | DepMap | Descartes | 0.02 | 0.26 |
ROBO4 | -0.0001531 | 9852 | GTEx | DepMap | Descartes | 0.00 | 0.00 |
TIE1 | -0.0001550 | 9904 | GTEx | DepMap | Descartes | 0.00 | 0.01 |
GALNT15 | -0.0001552 | 9909 | GTEx | DepMap | Descartes | 0.00 | 0.00 |
NR5A2 | -0.0001568 | 9952 | GTEx | DepMap | Descartes | 0.00 | 0.00 |
DNASE1L3 | -0.0001619 | 10069 | GTEx | DepMap | Descartes | 0.00 | 0.01 |
PLVAP | -0.0001721 | 10297 | GTEx | DepMap | Descartes | 0.00 | 0.00 |
SLCO2A1 | -0.0001803 | 10471 | GTEx | DepMap | Descartes | 0.00 | 0.00 |
CHRM3 | -0.0001811 | 10483 | GTEx | DepMap | Descartes | 0.00 | 0.00 |
TMEM88 | -0.0001884 | 10642 | GTEx | DepMap | Descartes | 0.01 | 0.93 |
CDH5 | -0.0001961 | 10793 | GTEx | DepMap | Descartes | 0.00 | 0.00 |
SOX18 | -0.0002161 | 11266 | GTEx | DepMap | Descartes | 0.00 | 0.11 |
ECSCR | -0.0002246 | 11439 | GTEx | DepMap | Descartes | 0.00 | 0.05 |
CEACAM1 | -0.0002756 | 12352 | GTEx | DepMap | Descartes | 0.01 | 0.05 |
Descartes stromal markers
Top 50 marker genes of stromal cells in the Decartes fetal adrenal single cell map (https://atlas.brotmanbaty.org/bbi/human-gene-expression-during-development/cell/stromal/in/adrenal)
Wilcoxon ranksum test P-value for gene set overrepresentation: 7.88e-01
Mean rank of genes in gene set: 11186.83
Median rank of genes in gene set: 10696
Rank on gene expression program of top 30 genes in gene set:
Genes | Weight | Rank | GTEx | DepMap | Descartes | Mean.Counts | Mean.TPM |
---|---|---|---|---|---|---|---|
HHIP | 0.0072427 | 182 | GTEx | DepMap | Descartes | 0.52 | 0.88 |
GAS2 | 0.0006197 | 2593 | GTEx | DepMap | Descartes | 0.29 | 0.33 |
LRRC17 | 0.0003132 | 3475 | GTEx | DepMap | Descartes | 0.03 | 0.12 |
PCDH18 | 0.0002146 | 3974 | GTEx | DepMap | Descartes | 0.04 | 0.47 |
PRRX1 | -0.0000043 | 5855 | GTEx | DepMap | Descartes | 0.02 | 0.05 |
FREM1 | -0.0000049 | 5862 | GTEx | DepMap | Descartes | 0.00 | 0.00 |
SCARA5 | -0.0000222 | 6205 | GTEx | DepMap | Descartes | 0.03 | 0.04 |
PDGFRA | -0.0000464 | 6809 | GTEx | DepMap | Descartes | 0.00 | 0.01 |
PRICKLE1 | -0.0000841 | 7994 | GTEx | DepMap | Descartes | 0.08 | 0.12 |
SULT1E1 | -0.0000959 | 8359 | GTEx | DepMap | Descartes | 0.00 | 0.00 |
PAMR1 | -0.0001120 | 8810 | GTEx | DepMap | Descartes | 0.00 | 0.00 |
ITGA11 | -0.0001136 | 8855 | GTEx | DepMap | Descartes | 0.00 | 0.00 |
ABCC9 | -0.0001147 | 8890 | GTEx | DepMap | Descartes | 0.01 | 0.01 |
COL1A1 | -0.0001302 | 9269 | GTEx | DepMap | Descartes | 0.01 | 0.08 |
COL3A1 | -0.0001339 | 9361 | GTEx | DepMap | Descartes | 0.01 | 0.03 |
C7 | -0.0001349 | 9388 | GTEx | DepMap | Descartes | 0.00 | 0.00 |
OGN | -0.0001391 | 9480 | GTEx | DepMap | Descartes | 0.00 | 0.00 |
MGP | -0.0001392 | 9484 | GTEx | DepMap | Descartes | 0.01 | 0.36 |
ADAMTSL3 | -0.0001447 | 9632 | GTEx | DepMap | Descartes | 0.00 | 0.00 |
IGFBP3 | -0.0001534 | 9862 | GTEx | DepMap | Descartes | 0.01 | 0.08 |
ACTA2 | -0.0001626 | 10093 | GTEx | DepMap | Descartes | 0.01 | 0.12 |
LUM | -0.0001686 | 10221 | GTEx | DepMap | Descartes | 0.00 | 0.03 |
COL1A2 | -0.0001840 | 10538 | GTEx | DepMap | Descartes | 0.02 | 0.08 |
BICC1 | -0.0001988 | 10854 | GTEx | DepMap | Descartes | 0.05 | 0.04 |
ADAMTS2 | -0.0002296 | 11530 | GTEx | DepMap | Descartes | 0.00 | 0.00 |
COL6A3 | -0.0002450 | 11818 | GTEx | DepMap | Descartes | 0.07 | 0.11 |
LOX | -0.0002481 | 11871 | GTEx | DepMap | Descartes | 0.00 | 0.01 |
POSTN | -0.0002615 | 12114 | GTEx | DepMap | Descartes | 0.04 | 0.16 |
CD248 | -0.0002751 | 12341 | GTEx | DepMap | Descartes | 0.04 | 2.14 |
CCDC80 | -0.0002837 | 12476 | GTEx | DepMap | Descartes | 0.04 | 0.17 |
Descartes sympathoblasts markers
Top 50 marker genes of sympathoblasts cells in the Decartes fetal adrenal single cell map (https://atlas.brotmanbaty.org/bbi/human-gene-expression-during-development/cell/sympathoblasts/in/adrenal)
Wilcoxon ranksum test P-value for gene set overrepresentation: 1.00e+00
Mean rank of genes in gene set: 14983.36
Median rank of genes in gene set: 17573.5
Rank on gene expression program of top 30 genes in gene set:
Genes | Weight | Rank | GTEx | DepMap | Descartes | Mean.Counts | Mean.TPM |
---|---|---|---|---|---|---|---|
INSM1 | 0.0073058 | 180 | GTEx | DepMap | Descartes | 4.02 | 193.31 |
DGKK | 0.0014522 | 1390 | GTEx | DepMap | Descartes | 0.74 | 0.68 |
SCG2 | 0.0012007 | 1644 | GTEx | DepMap | Descartes | 1.73 | 53.30 |
FAM155A | 0.0011743 | 1674 | GTEx | DepMap | Descartes | 1.04 | 0.27 |
NTNG1 | 0.0010599 | 1829 | GTEx | DepMap | Descartes | 0.82 | 0.34 |
HTATSF1 | 0.0010280 | 1875 | GTEx | DepMap | Descartes | 2.61 | 27.68 |
PENK | -0.0000481 | 6861 | GTEx | DepMap | Descartes | 0.01 | 0.17 |
KCTD16 | -0.0000937 | 8282 | GTEx | DepMap | Descartes | 0.00 | 0.00 |
ST18 | -0.0001113 | 8794 | GTEx | DepMap | Descartes | 0.33 | 0.12 |
AGBL4 | -0.0002417 | 11757 | GTEx | DepMap | Descartes | 0.04 | 0.01 |
CDH12 | -0.0002939 | 12635 | GTEx | DepMap | Descartes | 0.01 | 0.00 |
ARC | -0.0003074 | 12841 | GTEx | DepMap | Descartes | 0.01 | 0.19 |
GRID2 | -0.0003087 | 12862 | GTEx | DepMap | Descartes | 0.02 | 0.00 |
SLC35F3 | -0.0004503 | 14577 | GTEx | DepMap | Descartes | 0.01 | 0.00 |
LAMA3 | -0.0004620 | 14668 | GTEx | DepMap | Descartes | 0.01 | 0.00 |
SLC24A2 | -0.0004722 | 14762 | GTEx | DepMap | Descartes | 0.01 | 0.00 |
PCSK2 | -0.0006149 | 16004 | GTEx | DepMap | Descartes | 1.14 | 0.67 |
SORCS3 | -0.0006232 | 16058 | GTEx | DepMap | Descartes | 0.01 | 0.00 |
TIAM1 | -0.0006754 | 16416 | GTEx | DepMap | Descartes | 0.48 | 0.20 |
TBX20 | -0.0008597 | 17474 | GTEx | DepMap | Descartes | 0.05 | 0.13 |
SPOCK3 | -0.0008674 | 17512 | GTEx | DepMap | Descartes | 0.31 | 0.10 |
ROBO1 | -0.0008918 | 17635 | GTEx | DepMap | Descartes | 0.19 | 0.03 |
CNTN3 | -0.0009074 | 17715 | GTEx | DepMap | Descartes | 0.02 | 0.01 |
UNC80 | -0.0011218 | 18574 | GTEx | DepMap | Descartes | 0.67 | 0.44 |
GALNTL6 | -0.0012925 | 19024 | GTEx | DepMap | Descartes | 0.31 | 0.04 |
CCSER1 | -0.0015037 | 19461 | GTEx | DepMap | Descartes | 0.39 | 0.05 |
CDH18 | -0.0015376 | 19512 | GTEx | DepMap | Descartes | 0.00 | 0.00 |
GRM7 | -0.0015616 | 19559 | GTEx | DepMap | Descartes | 0.02 | 0.00 |
EML6 | -0.0015716 | 19569 | GTEx | DepMap | Descartes | 0.17 | 0.09 |
CHGB | -0.0019468 | 20054 | GTEx | DepMap | Descartes | 11.71 | 132.38 |
Descartes erythroblasts markers
Top 50 marker genes of erythroblasts cells in the Decartes fetal adrenal single cell map (https://atlas.brotmanbaty.org/bbi/human-gene-expression-during-development/cell/erythroblasts/in/adrenal)
Wilcoxon ranksum test P-value for gene set overrepresentation: 8.83e-01
Mean rank of genes in gene set: 11690.14
Median rank of genes in gene set: 12640
Rank on gene expression program of top 30 genes in gene set:
Genes | Weight | Rank | GTEx | DepMap | Descartes | Mean.Counts | Mean.TPM |
---|---|---|---|---|---|---|---|
EPB41 | 0.0014667 | 1381 | GTEx | DepMap | Descartes | 2.51 | 2.50 |
CR1L | 0.0011647 | 1690 | GTEx | DepMap | Descartes | 1.38 | 6.22 |
TRAK2 | 0.0002631 | 3716 | GTEx | DepMap | Descartes | 0.70 | 1.48 |
TMCC2 | 0.0001173 | 4584 | GTEx | DepMap | Descartes | 0.60 | 2.48 |
RGS6 | 0.0000407 | 5243 | GTEx | DepMap | Descartes | 0.01 | 0.00 |
SLC4A1 | 0.0000234 | 5483 | GTEx | DepMap | Descartes | 0.00 | 0.00 |
GYPA | 0.0000086 | 5675 | GTEx | DepMap | Descartes | 0.00 | 0.01 |
SPTA1 | -0.0000041 | 5853 | GTEx | DepMap | Descartes | 0.00 | 0.00 |
SLC25A21 | -0.0000138 | 6047 | GTEx | DepMap | Descartes | 0.00 | 0.00 |
RHD | -0.0000278 | 6314 | GTEx | DepMap | Descartes | 0.00 | 0.01 |
GYPC | -0.0000678 | 7432 | GTEx | DepMap | Descartes | 0.03 | 0.12 |
EPB42 | -0.0000685 | 7462 | GTEx | DepMap | Descartes | 0.00 | 0.00 |
HEMGN | -0.0000835 | 7976 | GTEx | DepMap | Descartes | 0.00 | 0.00 |
MARCH3 | -0.0000887 | 8155 | GTEx | DepMap | Descartes | 0.00 | 0.00 |
CAT | -0.0001226 | 9058 | GTEx | DepMap | Descartes | 0.34 | 1.58 |
SPECC1 | -0.0001851 | 10557 | GTEx | DepMap | Descartes | 0.08 | 0.05 |
ANK1 | -0.0002799 | 12411 | GTEx | DepMap | Descartes | 0.02 | 0.01 |
ALAS2 | -0.0002945 | 12640 | GTEx | DepMap | Descartes | 0.01 | 0.05 |
XPO7 | -0.0003929 | 13960 | GTEx | DepMap | Descartes | 1.09 | 1.42 |
RAPGEF2 | -0.0004757 | 14801 | GTEx | DepMap | Descartes | 0.52 | 0.37 |
TSPAN5 | -0.0005207 | 15244 | GTEx | DepMap | Descartes | 1.04 | 0.91 |
GCLC | -0.0005414 | 15426 | GTEx | DepMap | Descartes | 0.48 | 1.66 |
DENND4A | -0.0005626 | 15628 | GTEx | DepMap | Descartes | 0.27 | 0.38 |
CPOX | -0.0005757 | 15723 | GTEx | DepMap | Descartes | 0.75 | 2.34 |
BLVRB | -0.0006621 | 16332 | GTEx | DepMap | Descartes | 0.45 | 3.50 |
SELENBP1 | -0.0007077 | 16638 | GTEx | DepMap | Descartes | 0.18 | 2.46 |
ABCB10 | -0.0007420 | 16848 | GTEx | DepMap | Descartes | 0.24 | 1.14 |
TFR2 | -0.0007439 | 16857 | GTEx | DepMap | Descartes | 0.05 | 0.48 |
TMEM56 | -0.0008244 | 17288 | GTEx | DepMap | Descartes | 0.09 | 0.17 |
FECH | -0.0008495 | 17413 | GTEx | DepMap | Descartes | 0.18 | 0.70 |
Descartes myeloid markers
Top 50 marker genes of myeloid cells in the Decartes fetal adrenal single cell map (https://atlas.brotmanbaty.org/bbi/human-gene-expression-during-development/cell/myeloid/in/adrenal)
Wilcoxon ranksum test P-value for gene set overrepresentation: 1.00e+00
Mean rank of genes in gene set: 13516.98
Median rank of genes in gene set: 14696
Rank on gene expression program of top 30 genes in gene set:
Genes | Weight | Rank | GTEx | DepMap | Descartes | Mean.Counts | Mean.TPM |
---|---|---|---|---|---|---|---|
SFMBT2 | 0.0025190 | 722 | GTEx | DepMap | Descartes | 0.23 | 0.15 |
VSIG4 | 0.0000058 | 5716 | GTEx | DepMap | Descartes | 0.01 | 0.02 |
RBPJ | -0.0000060 | 5883 | GTEx | DepMap | Descartes | 1.84 | 1.48 |
CD163L1 | -0.0000328 | 6437 | GTEx | DepMap | Descartes | 0.00 | 0.00 |
SLC1A3 | -0.0000369 | 6552 | GTEx | DepMap | Descartes | 0.10 | 0.17 |
CD163 | -0.0000609 | 7225 | GTEx | DepMap | Descartes | 0.01 | 0.04 |
RNASE1 | -0.0000756 | 7692 | GTEx | DepMap | Descartes | 0.00 | 0.54 |
SPP1 | -0.0001234 | 9089 | GTEx | DepMap | Descartes | 0.58 | 16.84 |
HRH1 | -0.0001955 | 10784 | GTEx | DepMap | Descartes | 0.00 | 0.00 |
SLCO2B1 | -0.0001959 | 10792 | GTEx | DepMap | Descartes | 0.00 | 0.00 |
ATP8B4 | -0.0002147 | 11236 | GTEx | DepMap | Descartes | 0.01 | 0.01 |
FGL2 | -0.0002249 | 11445 | GTEx | DepMap | Descartes | 0.01 | 0.16 |
FMN1 | -0.0002590 | 12060 | GTEx | DepMap | Descartes | 0.29 | 0.12 |
MS4A4A | -0.0002592 | 12063 | GTEx | DepMap | Descartes | 0.00 | 0.01 |
CD14 | -0.0002823 | 12451 | GTEx | DepMap | Descartes | 0.03 | 2.89 |
ADAP2 | -0.0003424 | 13336 | GTEx | DepMap | Descartes | 0.00 | 0.02 |
MARCH1 | -0.0003439 | 13354 | GTEx | DepMap | Descartes | 0.01 | 0.00 |
FGD2 | -0.0003518 | 13463 | GTEx | DepMap | Descartes | 0.01 | 0.06 |
MERTK | -0.0003688 | 13668 | GTEx | DepMap | Descartes | 0.01 | 0.01 |
CPVL | -0.0003992 | 14029 | GTEx | DepMap | Descartes | 0.00 | 0.00 |
HCK | -0.0004565 | 14629 | GTEx | DepMap | Descartes | 0.01 | 0.03 |
RGL1 | -0.0004629 | 14677 | GTEx | DepMap | Descartes | 0.14 | 0.08 |
CST3 | -0.0004652 | 14696 | GTEx | DepMap | Descartes | 12.25 | 449.63 |
MSR1 | -0.0004862 | 14910 | GTEx | DepMap | Descartes | 0.02 | 0.03 |
CYBB | -0.0004942 | 14998 | GTEx | DepMap | Descartes | 0.02 | 0.05 |
AXL | -0.0005026 | 15089 | GTEx | DepMap | Descartes | 0.02 | 0.05 |
CD74 | -0.0005304 | 15327 | GTEx | DepMap | Descartes | 0.33 | 3.44 |
CSF1R | -0.0005740 | 15704 | GTEx | DepMap | Descartes | 0.02 | 0.07 |
ITPR2 | -0.0005929 | 15836 | GTEx | DepMap | Descartes | 0.04 | 0.01 |
SLC9A9 | -0.0005981 | 15877 | GTEx | DepMap | Descartes | 0.04 | 0.01 |
Descartes Schwann markers
Top 50 marker genes of Schwann cells in the Decartes fetal adrenal single cell map (https://atlas.brotmanbaty.org/bbi/human-gene-expression-during-development/cell/schwann/in/adrenal)
Wilcoxon ranksum test P-value for gene set overrepresentation: 8.83e-01
Mean rank of genes in gene set: 11523.83
Median rank of genes in gene set: 12008
Rank on gene expression program of top 30 genes in gene set:
Genes | Weight | Rank | GTEx | DepMap | Descartes | Mean.Counts | Mean.TPM |
---|---|---|---|---|---|---|---|
FIGN | 0.0051790 | 282 | GTEx | DepMap | Descartes | 1.18 | 1.41 |
MARCKS | 0.0046329 | 338 | GTEx | DepMap | Descartes | 20.51 | 556.13 |
VIM | 0.0036153 | 448 | GTEx | DepMap | Descartes | 17.23 | 301.56 |
DST | 0.0028394 | 629 | GTEx | DepMap | Descartes | 10.26 | 4.13 |
SORCS1 | 0.0024388 | 756 | GTEx | DepMap | Descartes | 0.55 | 0.18 |
PPP2R2B | 0.0023794 | 786 | GTEx | DepMap | Descartes | 3.42 | 1.23 |
STARD13 | 0.0004882 | 2902 | GTEx | DepMap | Descartes | 0.22 | 0.18 |
ERBB4 | 0.0003083 | 3502 | GTEx | DepMap | Descartes | 0.03 | 0.00 |
LRRTM4 | 0.0002805 | 3633 | GTEx | DepMap | Descartes | 0.08 | 0.01 |
LAMC1 | 0.0000519 | 5124 | GTEx | DepMap | Descartes | 0.42 | 0.59 |
MPZ | 0.0000407 | 5241 | GTEx | DepMap | Descartes | 0.00 | 0.01 |
IL1RAPL1 | -0.0000912 | 8210 | GTEx | DepMap | Descartes | 0.00 | 0.00 |
PMP22 | -0.0001105 | 8770 | GTEx | DepMap | Descartes | 2.97 | 16.39 |
IL1RAPL2 | -0.0001229 | 9066 | GTEx | DepMap | Descartes | 0.00 | 0.00 |
SLC35F1 | -0.0001266 | 9180 | GTEx | DepMap | Descartes | 0.05 | 0.01 |
EGFLAM | -0.0001281 | 9213 | GTEx | DepMap | Descartes | 0.00 | 0.00 |
HMGA2 | -0.0001677 | 10197 | GTEx | DepMap | Descartes | 0.00 | 0.00 |
SOX10 | -0.0002198 | 11338 | GTEx | DepMap | Descartes | 0.00 | 0.05 |
TRPM3 | -0.0002318 | 11583 | GTEx | DepMap | Descartes | 0.00 | 0.00 |
ADAMTS5 | -0.0002480 | 11870 | GTEx | DepMap | Descartes | 0.02 | 0.06 |
COL5A2 | -0.0002521 | 11931 | GTEx | DepMap | Descartes | 0.01 | 0.01 |
LAMA4 | -0.0002536 | 11958 | GTEx | DepMap | Descartes | 0.01 | 0.01 |
PTN | -0.0002558 | 11996 | GTEx | DepMap | Descartes | 3.71 | 6.69 |
OLFML2A | -0.0002566 | 12008 | GTEx | DepMap | Descartes | 0.00 | 0.02 |
CDH19 | -0.0002576 | 12029 | GTEx | DepMap | Descartes | 0.00 | 0.00 |
SCN7A | -0.0002612 | 12102 | GTEx | DepMap | Descartes | 0.00 | 0.00 |
KCTD12 | -0.0003035 | 12781 | GTEx | DepMap | Descartes | 0.69 | 15.90 |
EDNRB | -0.0003272 | 13104 | GTEx | DepMap | Descartes | 0.01 | 0.04 |
PTPRZ1 | -0.0003914 | 13937 | GTEx | DepMap | Descartes | 0.04 | 0.01 |
GRIK3 | -0.0003952 | 13989 | GTEx | DepMap | Descartes | 0.01 | 0.00 |
Descartes Megakaryocytes markers
Top 50 marker genes of Megakaryocytes cells in the Decartes fetal adrenal single cell map (https://atlas.brotmanbaty.org/bbi/human-gene-expression-during-development/cell/megakaryocytes/in/adrenal)
Wilcoxon ranksum test P-value for gene set overrepresentation: 9.87e-01
Mean rank of genes in gene set: 12393.29
Median rank of genes in gene set: 14275
Rank on gene expression program of top 30 genes in gene set:
Genes | Weight | Rank | GTEx | DepMap | Descartes | Mean.Counts | Mean.TPM |
---|---|---|---|---|---|---|---|
PDE3A | 0.0064839 | 208 | GTEx | DepMap | Descartes | 5.69 | 3.39 |
HIPK2 | 0.0047098 | 326 | GTEx | DepMap | Descartes | 6.10 | 5.22 |
ZYX | 0.0021872 | 873 | GTEx | DepMap | Descartes | 1.94 | 26.81 |
PRKAR2B | 0.0014481 | 1392 | GTEx | DepMap | Descartes | 2.87 | 4.17 |
LIMS1 | 0.0008370 | 2175 | GTEx | DepMap | Descartes | 2.36 | 3.47 |
STON2 | 0.0007959 | 2227 | GTEx | DepMap | Descartes | 0.13 | 0.13 |
TPM4 | 0.0004497 | 2995 | GTEx | DepMap | Descartes | 3.10 | 19.84 |
PSTPIP2 | 0.0002569 | 3745 | GTEx | DepMap | Descartes | 0.07 | 0.12 |
MED12L | 0.0002257 | 3900 | GTEx | DepMap | Descartes | 0.31 | 0.15 |
UBASH3B | 0.0000340 | 5332 | GTEx | DepMap | Descartes | 0.08 | 0.07 |
MMRN1 | -0.0000268 | 6299 | GTEx | DepMap | Descartes | 0.00 | 0.00 |
TRPC6 | -0.0000734 | 7629 | GTEx | DepMap | Descartes | 0.00 | 0.00 |
CD9 | -0.0000866 | 8081 | GTEx | DepMap | Descartes | 2.37 | 9.23 |
ITGB3 | -0.0001189 | 8981 | GTEx | DepMap | Descartes | 0.00 | 0.01 |
SPN | -0.0001408 | 9521 | GTEx | DepMap | Descartes | 0.00 | 0.03 |
PPBP | -0.0002090 | 11095 | GTEx | DepMap | Descartes | 0.00 | 0.00 |
GP9 | -0.0002101 | 11123 | GTEx | DepMap | Descartes | 0.00 | 0.00 |
MCTP1 | -0.0002592 | 12064 | GTEx | DepMap | Descartes | 0.01 | 0.00 |
TUBB1 | -0.0002690 | 12240 | GTEx | DepMap | Descartes | 0.00 | 0.00 |
PF4 | -0.0002914 | 12602 | GTEx | DepMap | Descartes | 0.05 | 5.90 |
SLC24A3 | -0.0003460 | 13384 | GTEx | DepMap | Descartes | 0.01 | 0.00 |
FLI1 | -0.0003572 | 13530 | GTEx | DepMap | Descartes | 0.01 | 0.01 |
GP1BA | -0.0003763 | 13771 | GTEx | DepMap | Descartes | 0.00 | 0.00 |
STOM | -0.0003785 | 13794 | GTEx | DepMap | Descartes | 0.06 | 0.39 |
BIN2 | -0.0004215 | 14275 | GTEx | DepMap | Descartes | 0.01 | 0.04 |
ITGA2B | -0.0004991 | 15048 | GTEx | DepMap | Descartes | 0.01 | 0.06 |
PLEK | -0.0005245 | 15282 | GTEx | DepMap | Descartes | 0.04 | 0.08 |
CD84 | -0.0005276 | 15305 | GTEx | DepMap | Descartes | 0.02 | 0.05 |
FERMT3 | -0.0005358 | 15378 | GTEx | DepMap | Descartes | 0.02 | 0.14 |
FLNA | -0.0005904 | 15821 | GTEx | DepMap | Descartes | 0.87 | 5.19 |
Descartes Lyphoid markers
Top 50 marker genes of Lyphoid cells in the Decartes fetal adrenal single cell map (https://atlas.brotmanbaty.org/bbi/human-gene-expression-during-development/cell/lymphoid/in/adrenal)
Wilcoxon ranksum test P-value for gene set overrepresentation: 9.81e-01
Mean rank of genes in gene set: 12371.82
Median rank of genes in gene set: 14224.5
Rank on gene expression program of top 30 genes in gene set:
Genes | Weight | Rank | GTEx | DepMap | Descartes | Mean.Counts | Mean.TPM |
---|---|---|---|---|---|---|---|
TMSB10 | 0.0049791 | 296 | GTEx | DepMap | Descartes | 239.29 | 24996.46 |
ARID5B | 0.0026742 | 675 | GTEx | DepMap | Descartes | 1.03 | 0.83 |
NCALD | 0.0012986 | 1540 | GTEx | DepMap | Descartes | 1.40 | 0.52 |
DOCK10 | 0.0010978 | 1787 | GTEx | DepMap | Descartes | 0.72 | 0.44 |
PDE3B | 0.0010741 | 1813 | GTEx | DepMap | Descartes | 0.81 | 0.98 |
MBNL1 | 0.0007803 | 2263 | GTEx | DepMap | Descartes | 2.77 | 2.67 |
CELF2 | 0.0006914 | 2436 | GTEx | DepMap | Descartes | 1.56 | 0.22 |
BACH2 | 0.0003422 | 3359 | GTEx | DepMap | Descartes | 0.38 | 0.17 |
PITPNC1 | 0.0002398 | 3828 | GTEx | DepMap | Descartes | 1.11 | 0.64 |
FYN | -0.0000178 | 6121 | GTEx | DepMap | Descartes | 1.90 | 1.49 |
SAMD3 | -0.0000626 | 7271 | GTEx | DepMap | Descartes | 0.00 | 0.00 |
WIPF1 | -0.0000805 | 7878 | GTEx | DepMap | Descartes | 0.13 | 0.19 |
CCL5 | -0.0001172 | 8941 | GTEx | DepMap | Descartes | 0.00 | 0.11 |
NKG7 | -0.0001554 | 9918 | GTEx | DepMap | Descartes | 0.00 | 0.70 |
SKAP1 | -0.0001921 | 10720 | GTEx | DepMap | Descartes | 0.00 | 0.00 |
MCTP2 | -0.0001968 | 10803 | GTEx | DepMap | Descartes | 0.00 | 0.00 |
RCSD1 | -0.0002636 | 12155 | GTEx | DepMap | Descartes | 0.00 | 0.01 |
IKZF1 | -0.0003114 | 12892 | GTEx | DepMap | Descartes | 0.00 | 0.00 |
PLEKHA2 | -0.0003118 | 12906 | GTEx | DepMap | Descartes | 0.01 | 0.01 |
ARHGAP15 | -0.0003328 | 13187 | GTEx | DepMap | Descartes | 0.02 | 0.00 |
STK39 | -0.0003807 | 13821 | GTEx | DepMap | Descartes | 1.33 | 0.69 |
SP100 | -0.0003980 | 14021 | GTEx | DepMap | Descartes | 0.01 | 0.01 |
FAM65B | -0.0004356 | 14428 | GTEx | DepMap | Descartes | 0.25 | NA |
ITPKB | -0.0004831 | 14875 | GTEx | DepMap | Descartes | 0.01 | 0.02 |
SORL1 | -0.0004949 | 15009 | GTEx | DepMap | Descartes | 0.12 | 0.10 |
BCL2 | -0.0005330 | 15350 | GTEx | DepMap | Descartes | 0.28 | 0.22 |
PTPRC | -0.0005611 | 15615 | GTEx | DepMap | Descartes | 0.04 | 0.04 |
ABLIM1 | -0.0006081 | 15955 | GTEx | DepMap | Descartes | 0.03 | 0.01 |
PRKCH | -0.0006420 | 16190 | GTEx | DepMap | Descartes | 0.01 | 0.01 |
LCP1 | -0.0006497 | 16245 | GTEx | DepMap | Descartes | 0.04 | 0.05 |
Below shows the ranks on this GEP for immune marker gene lists curated by CellTypist (https://www.celltypist.org/encyclopedia).
High ranks indicate this gene is a driver of this GEP.
These curated gene list are ranked by P-value (on this GEP) of their constituent genes.
The Mean Count column shows the mean read count in cells scoring highly (H > 50) on this gene expression program.
Genes | Weight | Rank | GTEx | DepMap | Decartes | Mean.Counts | Mean.TPM |
---|---|---|---|---|---|---|---|
TOP2A | 0.0182722 | 30 | GTEx | DepMap | Descartes | 36.10 | 184.80 |
MKI67 | 0.0163880 | 41 | GTEx | DepMap | Descartes | 16.53 | 96.79 |
Cycling cells: Cycling NK cells (curated markers)
proliferating natural killer cells:
Wilcoxon ranksum test P-value for gene set overrepresentation: 7.32e-03
Mean rank of genes in gene set: 35.5
Rank on gene expression program of genes in gene set:
Genes | Weight | Rank | GTEx | DepMap | Decartes | Mean.Counts | Mean.TPM |
---|---|---|---|---|---|---|---|
TOP2A | 0.0182722 | 30 | GTEx | DepMap | Descartes | 36.10 | 184.80 |
MKI67 | 0.0163880 | 41 | GTEx | DepMap | Descartes | 16.53 | 96.79 |
Cycling cells: Cycling B cells (curated markers)
proliferating B lymphocytes:
Wilcoxon ranksum test P-value for gene set overrepresentation: 2.89e-02
Mean rank of genes in gene set: 3852.33
Rank on gene expression program of genes in gene set:
Genes | Weight | Rank | GTEx | DepMap | Decartes | Mean.Counts | Mean.TPM |
---|---|---|---|---|---|---|---|
TOP2A | 0.0182722 | 30 | GTEx | DepMap | Descartes | 36.10 | 184.80 |
MKI67 | 0.0163880 | 41 | GTEx | DepMap | Descartes | 16.53 | 96.79 |
CD19 | -0.0002269 | 11486 | GTEx | DepMap | Descartes | 0.00 | 0.02 |