QQ-plot of gene loadings, averaged over both independent splits of the data
This plot highlights the relative contribution of each gene to the GEP
Top genes driving this program.
Note: Decartes website is buggy, try refreshing. Also, Decartes fetal adrenal data have been collected at specific time points (89-122 days), all possible cell types of interest may not be represented, do not overinterpret.
The Mean Count column shows the mean read count in cells scoring highly (H > 50) on this gene expression program.
Gene | Loading | Gene.Name | GTEx | DepMap | Descartes | Mean.Counts | Mean.Tpm | |
---|---|---|---|---|---|---|---|---|
1 | CD68 | 0.0091385 | CD68 molecule | GTEx | DepMap | Descartes | 4.19 | 710.24 |
2 | LGMN | 0.0090176 | legumain | GTEx | DepMap | Descartes | 7.34 | 1111.40 |
3 | C1QC | 0.0090017 | complement C1q C chain | GTEx | DepMap | Descartes | 16.64 | 4860.41 |
4 | LIPA | 0.0088420 | lipase A, lysosomal acid type | GTEx | DepMap | Descartes | 3.91 | 429.13 |
5 | CTSB | 0.0086551 | cathepsin B | GTEx | DepMap | Descartes | 10.82 | 928.08 |
6 | FOLR2 | 0.0085534 | folate receptor beta | GTEx | DepMap | Descartes | 3.59 | 1048.32 |
7 | CD5L | 0.0083461 | CD5 molecule like | GTEx | DepMap | Descartes | 1.08 | 88.78 |
8 | C1QB | 0.0082121 | complement C1q B chain | GTEx | DepMap | Descartes | 20.53 | 6509.98 |
9 | C1QA | 0.0080372 | complement C1q A chain | GTEx | DepMap | Descartes | 23.19 | 7677.15 |
10 | CD163 | 0.0075616 | CD163 molecule | GTEx | DepMap | Descartes | 5.64 | 389.06 |
11 | CTSD | 0.0073825 | cathepsin D | GTEx | DepMap | Descartes | 9.60 | 1519.23 |
12 | MS4A7 | 0.0073118 | membrane spanning 4-domains A7 | GTEx | DepMap | Descartes | 5.27 | 671.87 |
13 | SLC40A1 | 0.0072951 | solute carrier family 40 member 1 | GTEx | DepMap | Descartes | 6.84 | 610.87 |
14 | RNASE1 | 0.0071986 | ribonuclease A family member 1, pancreatic | GTEx | DepMap | Descartes | 13.69 | 5731.19 |
15 | HMOX1 | 0.0071504 | heme oxygenase 1 | GTEx | DepMap | Descartes | 7.01 | 1114.11 |
16 | TIMD4 | 0.0070125 | T cell immunoglobulin and mucin domain containing 4 | GTEx | DepMap | Descartes | 0.69 | 97.57 |
17 | LILRB5 | 0.0070046 | leukocyte immunoglobulin like receptor B5 | GTEx | DepMap | Descartes | 2.18 | 152.64 |
18 | CSF1R | 0.0069941 | colony stimulating factor 1 receptor | GTEx | DepMap | Descartes | 5.36 | 505.20 |
19 | CD14 | 0.0069064 | CD14 molecule | GTEx | DepMap | Descartes | 5.61 | 1238.46 |
20 | MS4A4A | 0.0068887 | membrane spanning 4-domains A4A | GTEx | DepMap | Descartes | 2.63 | 600.88 |
21 | MARCO | 0.0068026 | macrophage receptor with collagenous structure | GTEx | DepMap | Descartes | 0.54 | 47.12 |
22 | SRGN | 0.0067328 | serglycin | GTEx | DepMap | Descartes | 10.13 | 2817.68 |
23 | TYROBP | 0.0067261 | transmembrane immune signaling adaptor TYROBP | GTEx | DepMap | Descartes | 7.07 | 4025.04 |
24 | MS4A6A | 0.0065135 | membrane spanning 4-domains A6A | GTEx | DepMap | Descartes | 5.15 | 777.45 |
25 | PSAP | 0.0064835 | prosaposin | GTEx | DepMap | Descartes | 9.26 | 1049.76 |
26 | FCER1G | 0.0064153 | Fc epsilon receptor Ig | GTEx | DepMap | Descartes | 4.00 | 2286.15 |
27 | VSIG4 | 0.0062912 | V-set and immunoglobulin domain containing 4 | GTEx | DepMap | Descartes | 2.68 | 464.38 |
28 | CST3 | 0.0061446 | cystatin C | GTEx | DepMap | Descartes | 24.65 | 2428.25 |
29 | AIF1 | 0.0060525 | allograft inflammatory factor 1 | GTEx | DepMap | Descartes | 8.72 | 2359.55 |
30 | CREG1 | 0.0058672 | cellular repressor of E1A stimulated genes 1 | GTEx | DepMap | Descartes | 3.50 | 590.20 |
31 | CTSS | 0.0057532 | cathepsin S | GTEx | DepMap | Descartes | 2.25 | 179.31 |
32 | C5AR1 | 0.0056512 | complement C5a receptor 1 | GTEx | DepMap | Descartes | 1.70 | 288.59 |
33 | GRN | 0.0053263 | granulin precursor | GTEx | DepMap | Descartes | 4.45 | 708.32 |
34 | SLCO2B1 | 0.0053038 | solute carrier organic anion transporter family member 2B1 | GTEx | DepMap | Descartes | 1.95 | 137.39 |
35 | MPEG1 | 0.0052806 | macrophage expressed 1 | GTEx | DepMap | Descartes | 1.95 | 156.29 |
36 | FCGR3A | 0.0052556 | Fc gamma receptor IIIa | GTEx | DepMap | Descartes | 2.44 | 328.60 |
37 | FTL | 0.0052377 | ferritin light chain | GTEx | DepMap | Descartes | 132.90 | 38899.22 |
38 | RNASET2 | 0.0051989 | ribonuclease T2 | GTEx | DepMap | Descartes | 3.79 | 158.94 |
39 | ITGB2 | 0.0051937 | integrin subunit beta 2 | GTEx | DepMap | Descartes | 2.13 | 151.85 |
40 | CD4 | 0.0051008 | CD4 molecule | GTEx | DepMap | Descartes | 1.06 | 104.16 |
41 | AXL | 0.0050839 | AXL receptor tyrosine kinase | GTEx | DepMap | Descartes | 1.70 | 116.39 |
42 | NPC2 | 0.0050727 | NPC intracellular cholesterol transporter 2 | GTEx | DepMap | Descartes | 4.14 | 930.34 |
43 | MCOLN1 | 0.0050116 | mucolipin TRP cation channel 1 | GTEx | DepMap | Descartes | 1.26 | 160.16 |
44 | DAB2 | 0.0048990 | DAB adaptor protein 2 | GTEx | DepMap | Descartes | 4.95 | 409.54 |
45 | CD300A | 0.0048989 | CD300a molecule | GTEx | DepMap | Descartes | 1.08 | 193.29 |
46 | SIGLEC1 | 0.0048765 | sialic acid binding Ig like lectin 1 | GTEx | DepMap | Descartes | 0.77 | 38.81 |
47 | LAPTM5 | 0.0048480 | lysosomal protein transmembrane 5 | GTEx | DepMap | Descartes | 5.03 | 828.60 |
48 | CPVL | 0.0048437 | carboxypeptidase vitellogenic like | GTEx | DepMap | Descartes | 1.60 | 216.89 |
49 | CYBB | 0.0048129 | cytochrome b-245 beta chain | GTEx | DepMap | Descartes | 3.24 | 276.67 |
50 | F13A1 | 0.0046665 | coagulation factor XIII A chain | GTEx | DepMap | Descartes | 1.73 | 183.46 |
UMAP plots showing activity of gene expression program identified in GEP 4. Myeloid:
Gene set Enrichments for this program, caculated from top 50 genes
mSigDB Cell Types Gene Set:
P-value | OR | Lower 95% CI | FDR | FWER | Genes Found | Gene Set Size | |
---|---|---|---|---|---|---|---|
AIZARANI_LIVER_C6_KUPFFER_CELLS_2 | 5.39e-86 | 1049.14 | 432.73 | 3.62e-83 | 3.62e-83 | 44LGMN, C1QC, LIPA, CTSB, FOLR2, CD5L, C1QB, C1QA, CD163, CTSD, MS4A7, SLC40A1, RNASE1, HMOX1, LILRB5, CSF1R, CD14, MS4A4A, MARCO, TYROBP, MS4A6A, PSAP, FCER1G, VSIG4, CST3, AIF1, CREG1, CTSS, C5AR1, GRN, SLCO2B1, MPEG1, FCGR3A, FTL, RNASET2, ITGB2, CD4, AXL, NPC2, DAB2, LAPTM5, CPVL, CYBB, F13A1 |
228 |
FAN_EMBRYONIC_CTX_MICROGLIA_3 | 2.94e-20 | 508.40 | 175.92 | 5.19e-19 | 1.97e-17 | 9CD68, LGMN, C1QC, CTSB, FOLR2, C1QB, CTSD, CREG1, SLCO2B1 |
20 |
DURANTE_ADULT_OLFACTORY_NEUROEPITHELIUM_MACROPHAGES | 2.86e-43 | 338.28 | 174.72 | 1.60e-41 | 1.92e-40 | 22CD68, C1QC, C1QB, C1QA, MS4A7, SLC40A1, CSF1R, CD14, SRGN, TYROBP, MS4A6A, FCER1G, CST3, AIF1, CTSS, GRN, FCGR3A, FTL, RNASET2, ITGB2, NPC2, LAPTM5 |
81 |
CUI_DEVELOPING_HEART_C8_MACROPHAGE | 1.81e-63 | 306.05 | 157.91 | 6.07e-61 | 1.21e-60 | 37CD68, LGMN, C1QC, CTSB, FOLR2, C1QB, C1QA, CD163, CTSD, MS4A7, CSF1R, CD14, MS4A4A, SRGN, TYROBP, MS4A6A, PSAP, FCER1G, VSIG4, CST3, AIF1, CREG1, CTSS, C5AR1, GRN, SLCO2B1, MPEG1, FCGR3A, RNASET2, ITGB2, CD4, NPC2, CD300A, LAPTM5, CPVL, CYBB, F13A1 |
275 |
AIZARANI_LIVER_C2_KUPFFER_CELLS_1 | 2.66e-56 | 271.31 | 144.99 | 5.95e-54 | 1.79e-53 | 32C1QC, LIPA, CTSB, C1QB, C1QA, CD163, MS4A7, CSF1R, MS4A4A, SRGN, TYROBP, MS4A6A, PSAP, FCER1G, VSIG4, CST3, AIF1, CTSS, C5AR1, GRN, SLCO2B1, MPEG1, FCGR3A, FTL, RNASET2, ITGB2, AXL, NPC2, LAPTM5, CPVL, CYBB, F13A1 |
200 |
TRAVAGLINI_LUNG_IGSF21_DENDRITIC_CELL | 3.16e-28 | 309.38 | 141.39 | 7.86e-27 | 2.12e-25 | 14LGMN, C1QC, FOLR2, C1QB, C1QA, MS4A7, RNASE1, CSF1R, MS4A4A, MS4A6A, VSIG4, SLCO2B1, DAB2, F13A1 |
46 |
DESCARTES_FETAL_LIVER_MYELOID_CELLS | 1.35e-48 | 197.08 | 106.19 | 9.03e-47 | 9.03e-46 | 29CD68, LGMN, C1QC, LIPA, CTSB, FOLR2, CD5L, C1QB, C1QA, CD163, MS4A7, HMOX1, TIMD4, LILRB5, CSF1R, MS4A4A, MARCO, TYROBP, VSIG4, CST3, CREG1, CTSS, MPEG1, FCGR3A, AXL, MCOLN1, SIGLEC1, CPVL, CYBB |
209 |
DESCARTES_FETAL_ADRENAL_MYELOID_CELLS | 9.76e-46 | 193.57 | 104.53 | 5.96e-44 | 6.55e-43 | 27CD68, LGMN, C1QC, FOLR2, CD5L, C1QB, C1QA, CD163, MS4A7, HMOX1, TIMD4, LILRB5, CSF1R, CD14, MS4A4A, MARCO, MS4A6A, VSIG4, CST3, C5AR1, SLCO2B1, MPEG1, RNASET2, CD4, SIGLEC1, CPVL, CYBB |
183 |
DESCARTES_MAIN_FETAL_MYELOID_CELLS | 3.32e-34 | 202.09 | 103.26 | 1.39e-32 | 2.23e-31 | 19LGMN, C1QC, C1QB, C1QA, CD163, MS4A7, HMOX1, TIMD4, LILRB5, CD14, MS4A4A, MARCO, SRGN, TYROBP, MS4A6A, AIF1, CTSS, MCOLN1, SIGLEC1 |
97 |
GAO_LARGE_INTESTINE_24W_C11_PANETH_LIKE_CELL | 2.06e-51 | 170.98 | 91.38 | 1.98e-49 | 1.38e-48 | 33CD68, LGMN, C1QC, LIPA, C1QB, C1QA, CD163, MS4A7, HMOX1, LILRB5, CSF1R, CD14, MS4A4A, SRGN, TYROBP, MS4A6A, FCER1G, AIF1, CREG1, C5AR1, SLCO2B1, MPEG1, FCGR3A, ITGB2, CD4, MCOLN1, DAB2, CD300A, SIGLEC1, LAPTM5, CPVL, CYBB, F13A1 |
325 |
FAN_EMBRYONIC_CTX_BIG_GROUPS_MICROGLIA | 1.21e-51 | 161.90 | 86.26 | 1.35e-49 | 8.13e-49 | 34CD68, LGMN, C1QC, LIPA, CTSB, FOLR2, C1QB, C1QA, CTSD, MS4A7, HMOX1, CSF1R, CD14, SRGN, TYROBP, PSAP, FCER1G, VSIG4, AIF1, CREG1, CTSS, GRN, SLCO2B1, MPEG1, FCGR3A, RNASET2, ITGB2, CD4, NPC2, DAB2, CD300A, LAPTM5, CPVL, CYBB |
371 |
ZHONG_PFC_MAJOR_TYPES_MICROGLIA | 1.79e-53 | 164.34 | 85.95 | 2.41e-51 | 1.20e-50 | 36CD68, LGMN, C1QC, LIPA, CTSB, FOLR2, C1QB, C1QA, CTSD, MS4A7, CSF1R, CD14, SRGN, TYROBP, PSAP, FCER1G, VSIG4, AIF1, CREG1, CTSS, C5AR1, GRN, SLCO2B1, MPEG1, FCGR3A, FTL, RNASET2, ITGB2, CD4, AXL, NPC2, DAB2, CD300A, LAPTM5, CPVL, CYBB |
438 |
HU_FETAL_RETINA_MICROGLIA | 3.36e-51 | 156.76 | 83.67 | 2.50e-49 | 2.25e-48 | 34LGMN, C1QC, LIPA, CTSB, FOLR2, C1QB, C1QA, CTSD, MS4A7, HMOX1, CSF1R, CD14, SRGN, TYROBP, PSAP, FCER1G, VSIG4, CST3, AIF1, CREG1, CTSS, GRN, SLCO2B1, MPEG1, FCGR3A, FTL, RNASET2, ITGB2, CD4, NPC2, CD300A, LAPTM5, CPVL, CYBB |
382 |
DURANTE_ADULT_OLFACTORY_NEUROEPITHELIUM_DENDRITIC_CELLS | 1.59e-32 | 160.75 | 82.90 | 5.32e-31 | 1.06e-29 | 19CD68, MS4A7, CD14, SRGN, TYROBP, MS4A6A, PSAP, FCER1G, CST3, AIF1, CTSS, C5AR1, MPEG1, FCGR3A, FTL, ITGB2, LAPTM5, CPVL, CYBB |
117 |
DESCARTES_FETAL_INTESTINE_MYELOID_CELLS | 4.54e-43 | 150.94 | 81.66 | 2.34e-41 | 3.05e-40 | 27LGMN, C1QC, FOLR2, C1QB, C1QA, CD163, MS4A7, LILRB5, CSF1R, CD14, MS4A4A, TYROBP, MS4A6A, FCER1G, VSIG4, CST3, AIF1, CTSS, C5AR1, MPEG1, FCGR3A, RNASET2, CD4, SIGLEC1, CPVL, CYBB, F13A1 |
227 |
DESCARTES_FETAL_HEART_MYELOID_CELLS | 1.72e-33 | 150.32 | 78.39 | 6.40e-32 | 1.15e-30 | 20LGMN, C1QC, C1QB, C1QA, CD163, MS4A7, TIMD4, LILRB5, CSF1R, CD14, MS4A4A, MARCO, TYROBP, MS4A6A, VSIG4, C5AR1, SLCO2B1, MPEG1, SIGLEC1, CYBB |
134 |
TRAVAGLINI_LUNG_TREM2_DENDRITIC_CELL | 1.65e-53 | 153.43 | 77.56 | 2.41e-51 | 1.11e-50 | 38CD68, LGMN, C1QC, LIPA, CTSB, C1QB, C1QA, CTSD, MS4A7, SLC40A1, RNASE1, HMOX1, LILRB5, CSF1R, CD14, MS4A4A, MARCO, TYROBP, MS4A6A, PSAP, FCER1G, VSIG4, CST3, AIF1, CREG1, CTSS, C5AR1, GRN, SLCO2B1, FTL, ITGB2, CD4, AXL, NPC2, MCOLN1, DAB2, CPVL, CYBB |
572 |
DESCARTES_FETAL_STOMACH_MYELOID_CELLS | 8.57e-25 | 160.58 | 76.35 | 1.74e-23 | 5.75e-22 | 14C1QC, C1QB, C1QA, MS4A7, CD14, TYROBP, MS4A6A, FCER1G, CST3, MPEG1, CD4, CD300A, CPVL, CYBB |
76 |
DURANTE_ADULT_OLFACTORY_NEUROEPITHELIUM_MONOCYTES | 3.59e-17 | 188.39 | 73.69 | 6.02e-16 | 2.41e-14 | 9C1QC, C1QB, C1QA, MS4A7, SRGN, TYROBP, MS4A6A, FCER1G, AIF1 |
39 |
MANNO_MIDBRAIN_NEUROTYPES_HMGL | 3.21e-51 | 135.73 | 70.10 | 2.50e-49 | 2.15e-48 | 37CD68, LGMN, C1QC, LIPA, CTSB, FOLR2, CD5L, C1QB, C1QA, CD163, CTSD, MS4A7, HMOX1, CSF1R, CD14, MS4A4A, SRGN, TYROBP, FCER1G, VSIG4, CREG1, CTSS, GRN, SLCO2B1, MPEG1, FCGR3A, FTL, RNASET2, ITGB2, CD4, AXL, NPC2, DAB2, SIGLEC1, LAPTM5, CPVL, CYBB |
577 |
Dowload full table
mSigDB Hallmark Gene Sets:
P-value | OR | Lower 95% CI | FDR | FWER | Genes Found | Gene Set Size | |
---|---|---|---|---|---|---|---|
HALLMARK_COMPLEMENT | 4.32e-09 | 25.53 | 10.22 | 2.16e-07 | 2.16e-07 | 8LGMN, C1QC, LIPA, CTSB, C1QA, CTSD, FCER1G, CTSS |
200 |
HALLMARK_INFLAMMATORY_RESPONSE | 4.09e-05 | 14.68 | 4.50 | 6.82e-04 | 2.04e-03 | 5CD14, MARCO, C5AR1, AXL, CYBB |
200 |
HALLMARK_KRAS_SIGNALING_UP | 4.09e-05 | 14.68 | 4.50 | 6.82e-04 | 2.04e-03 | 5FCER1G, CTSS, ITGB2, LAPTM5, F13A1 |
200 |
HALLMARK_ALLOGRAFT_REJECTION | 5.92e-04 | 11.43 | 2.96 | 7.40e-03 | 2.96e-02 | 4SRGN, CTSS, ITGB2, CD4 |
200 |
HALLMARK_COAGULATION | 2.40e-03 | 12.18 | 2.40 | 2.40e-02 | 1.20e-01 | 3LGMN, CTSB, C1QA |
138 |
HALLMARK_IL6_JAK_STAT3_SIGNALING | 1.23e-02 | 12.62 | 1.46 | 1.03e-01 | 6.15e-01 | 2HMOX1, CD14 |
87 |
HALLMARK_UV_RESPONSE_UP | 3.72e-02 | 6.88 | 0.80 | 2.41e-01 | 1.00e+00 | 2HMOX1, CREG1 |
158 |
HALLMARK_APOPTOSIS | 3.85e-02 | 6.75 | 0.79 | 2.41e-01 | 1.00e+00 | 2HMOX1, CD14 |
161 |
HALLMARK_MTORC1_SIGNALING | 5.67e-02 | 5.42 | 0.63 | 2.83e-01 | 1.00e+00 | 2LGMN, ITGB2 |
200 |
HALLMARK_P53_PATHWAY | 5.67e-02 | 5.42 | 0.63 | 2.83e-01 | 1.00e+00 | 2CTSD, HMOX1 |
200 |
HALLMARK_REACTIVE_OXYGEN_SPECIES_PATHWAY | 9.06e-02 | 10.95 | 0.27 | 4.12e-01 | 1.00e+00 | 1FTL |
49 |
HALLMARK_CHOLESTEROL_HOMEOSTASIS | 1.33e-01 | 7.20 | 0.18 | 5.56e-01 | 1.00e+00 | 1LGMN |
74 |
HALLMARK_UV_RESPONSE_DN | 2.43e-01 | 3.68 | 0.09 | 9.35e-01 | 1.00e+00 | 1DAB2 |
144 |
HALLMARK_HYPOXIA | 3.20e-01 | 2.64 | 0.07 | 9.42e-01 | 1.00e+00 | 1HMOX1 |
200 |
HALLMARK_EPITHELIAL_MESENCHYMAL_TRANSITION | 3.20e-01 | 2.64 | 0.07 | 9.42e-01 | 1.00e+00 | 1DAB2 |
200 |
HALLMARK_XENOBIOTIC_METABOLISM | 3.20e-01 | 2.64 | 0.07 | 9.42e-01 | 1.00e+00 | 1HMOX1 |
200 |
HALLMARK_HEME_METABOLISM | 3.20e-01 | 2.64 | 0.07 | 9.42e-01 | 1.00e+00 | 1CTSB |
200 |
HALLMARK_TNFA_SIGNALING_VIA_NFKB | 1.00e+00 | 0.00 | 0.00 | 1.00e+00 | 1.00e+00 | 0 |
200 |
HALLMARK_MITOTIC_SPINDLE | 1.00e+00 | 0.00 | 0.00 | 1.00e+00 | 1.00e+00 | 0 |
199 |
HALLMARK_WNT_BETA_CATENIN_SIGNALING | 1.00e+00 | 0.00 | 0.00 | 1.00e+00 | 1.00e+00 | 0 |
42 |
Dowload full table
KEGG Pathways:
P-value | OR | Lower 95% CI | FDR | FWER | Genes Found | Gene Set Size | |
---|---|---|---|---|---|---|---|
KEGG_LYSOSOME | 2.94e-14 | 57.92 | 25.20 | 5.47e-12 | 5.47e-12 | 10CD68, LGMN, LIPA, CTSB, CTSD, PSAP, CTSS, NPC2, MCOLN1, LAPTM5 |
121 |
KEGG_COMPLEMENT_AND_COAGULATION_CASCADES | 2.24e-07 | 44.66 | 13.40 | 2.09e-05 | 4.17e-05 | 5C1QC, C1QB, C1QA, C5AR1, F13A1 |
69 |
KEGG_PRION_DISEASES | 4.27e-05 | 51.26 | 9.72 | 1.98e-03 | 7.94e-03 | 3C1QC, C1QB, C1QA |
35 |
KEGG_ANTIGEN_PROCESSING_AND_PRESENTATION | 2.54e-05 | 26.66 | 6.81 | 1.58e-03 | 4.73e-03 | 4LGMN, CTSB, CTSS, CD4 |
88 |
KEGG_NATURAL_KILLER_CELL_MEDIATED_CYTOTOXICITY | 1.42e-04 | 16.84 | 4.34 | 4.65e-03 | 2.64e-02 | 4TYROBP, FCER1G, FCGR3A, ITGB2 |
137 |
KEGG_SYSTEMIC_LUPUS_ERYTHEMATOSUS | 1.50e-04 | 16.59 | 4.28 | 4.65e-03 | 2.79e-02 | 4C1QC, C1QB, C1QA, FCGR3A |
139 |
KEGG_HEMATOPOIETIC_CELL_LINEAGE | 6.40e-04 | 19.57 | 3.82 | 1.70e-02 | 1.19e-01 | 3CSF1R, CD14, CD4 |
87 |
KEGG_CELL_ADHESION_MOLECULES_CAMS | 2.16e-03 | 12.64 | 2.49 | 5.03e-02 | 4.03e-01 | 3ITGB2, CD4, SIGLEC1 |
133 |
KEGG_LEISHMANIA_INFECTION | 8.58e-03 | 15.33 | 1.77 | 1.77e-01 | 1.00e+00 | 2FCGR3A, ITGB2 |
72 |
KEGG_LEUKOCYTE_TRANSENDOTHELIAL_MIGRATION | 2.11e-02 | 9.41 | 1.10 | 3.93e-01 | 1.00e+00 | 2ITGB2, CYBB |
116 |
KEGG_STEROID_BIOSYNTHESIS | 3.24e-02 | 32.79 | 0.77 | 5.48e-01 | 1.00e+00 | 1LIPA |
17 |
KEGG_ENDOCYTOSIS | 4.75e-02 | 6.00 | 0.70 | 7.36e-01 | 1.00e+00 | 2CSF1R, DAB2 |
181 |
KEGG_REGULATION_OF_ACTIN_CYTOSKELETON | 6.32e-02 | 5.09 | 0.60 | 8.13e-01 | 1.00e+00 | 2CD14, ITGB2 |
213 |
KEGG_ASTHMA | 5.65e-02 | 18.12 | 0.44 | 8.08e-01 | 1.00e+00 | 1FCER1G |
30 |
KEGG_PRIMARY_IMMUNODEFICIENCY | 6.56e-02 | 15.46 | 0.37 | 8.13e-01 | 1.00e+00 | 1CD4 |
35 |
KEGG_PORPHYRIN_AND_CHLOROPHYLL_METABOLISM | 7.64e-02 | 13.13 | 0.32 | 8.88e-01 | 1.00e+00 | 1HMOX1 |
41 |
KEGG_PATHOGENIC_ESCHERICHIA_COLI_INFECTION | 1.03e-01 | 9.56 | 0.23 | 1.00e+00 | 1.00e+00 | 1CD14 |
56 |
KEGG_VIRAL_MYOCARDITIS | 1.27e-01 | 7.62 | 0.19 | 1.00e+00 | 1.00e+00 | 1ITGB2 |
70 |
KEGG_FC_EPSILON_RI_SIGNALING_PATHWAY | 1.42e-01 | 6.74 | 0.17 | 1.00e+00 | 1.00e+00 | 1FCER1G |
79 |
KEGG_FC_GAMMA_R_MEDIATED_PHAGOCYTOSIS | 1.70e-01 | 5.53 | 0.14 | 1.00e+00 | 1.00e+00 | 1FCGR3A |
96 |
Dowload full table
CHR Positional Gene Sets:
P-value | OR | Lower 95% CI | FDR | FWER | Genes Found | Gene Set Size | |
---|---|---|---|---|---|---|---|
chr11q12 | 3.75e-03 | 6.81 | 1.77 | 1.00e+00 | 1.00e+00 | 4MS4A7, MS4A4A, MS4A6A, MPEG1 |
333 |
chr1q23 | 8.40e-03 | 7.68 | 1.52 | 1.00e+00 | 1.00e+00 | 3CD5L, FCER1G, FCGR3A |
217 |
chr19q13 | 6.37e-02 | 2.47 | 0.76 | 1.00e+00 | 1.00e+00 | 5LILRB5, TYROBP, C5AR1, FTL, AXL |
1165 |
chr10q22 | 5.76e-02 | 5.37 | 0.63 | 1.00e+00 | 1.00e+00 | 2SRGN, PSAP |
202 |
chrXq12 | 4.91e-02 | 21.02 | 0.50 | 1.00e+00 | 1.00e+00 | 1VSIG4 |
26 |
chr1p36 | 1.27e-01 | 2.52 | 0.50 | 1.00e+00 | 1.00e+00 | 3C1QC, C1QB, C1QA |
656 |
chr12p13 | 1.33e-01 | 3.24 | 0.38 | 1.00e+00 | 1.00e+00 | 2CD163, CD4 |
333 |
chr11q13 | 1.91e-01 | 2.56 | 0.30 | 1.00e+00 | 1.00e+00 | 2FOLR2, SLCO2B1 |
421 |
chr6q27 | 1.35e-01 | 7.10 | 0.17 | 1.00e+00 | 1.00e+00 | 1RNASET2 |
75 |
chr6p25 | 1.47e-01 | 6.49 | 0.16 | 1.00e+00 | 1.00e+00 | 1F13A1 |
82 |
chrXp21 | 1.47e-01 | 6.49 | 0.16 | 1.00e+00 | 1.00e+00 | 1CYBB |
82 |
chr2q32 | 1.89e-01 | 4.91 | 0.12 | 1.00e+00 | 1.00e+00 | 1SLC40A1 |
108 |
chr5q33 | 1.90e-01 | 4.87 | 0.12 | 1.00e+00 | 1.00e+00 | 1TIMD4 |
109 |
chr20p13 | 2.03e-01 | 4.53 | 0.11 | 1.00e+00 | 1.00e+00 | 1SIGLEC1 |
117 |
chr1q24 | 2.12e-01 | 4.31 | 0.11 | 1.00e+00 | 1.00e+00 | 1CREG1 |
123 |
chr5p13 | 2.19e-01 | 4.14 | 0.10 | 1.00e+00 | 1.00e+00 | 1DAB2 |
128 |
chr1p35 | 2.22e-01 | 4.08 | 0.10 | 1.00e+00 | 1.00e+00 | 1LAPTM5 |
130 |
chr20p11 | 2.44e-01 | 3.65 | 0.09 | 1.00e+00 | 1.00e+00 | 1CST3 |
145 |
chr2q14 | 2.57e-01 | 3.44 | 0.08 | 1.00e+00 | 1.00e+00 | 1MARCO |
154 |
chr7p14 | 2.70e-01 | 3.25 | 0.08 | 1.00e+00 | 1.00e+00 | 1CPVL |
163 |
Dowload full table
Transcription Factor Targets:
P-value | OR | Lower 95% CI | FDR | FWER | Genes Found | Gene Set Size | |
---|---|---|---|---|---|---|---|
TCANNTGAY_SREBP1_01 | 3.24e-05 | 8.89 | 3.35 | 1.96e-02 | 3.67e-02 | 7CD5L, CTSD, HMOX1, PSAP, CTSS, GRN, MCOLN1 |
479 |
TFEB_TARGET_GENES | 3.46e-05 | 5.28 | 2.43 | 1.96e-02 | 3.92e-02 | 11CD68, CTSB, CD5L, CTSD, HMOX1, GRN, FTL, AXL, MCOLN1, DAB2, F13A1 |
1387 |
ELF1_Q6 | 1.33e-03 | 9.14 | 2.37 | 5.01e-01 | 1.00e+00 | 4C1QA, TYROBP, FCER1G, AIF1 |
249 |
ZNF354B_TARGET_GENES | 7.10e-03 | 8.18 | 1.62 | 1.00e+00 | 1.00e+00 | 3CTSD, GRN, MCOLN1 |
204 |
ZNF165_TARGET_GENES | 1.05e-02 | 13.76 | 1.59 | 1.00e+00 | 1.00e+00 | 2CST3, ITGB2 |
80 |
RYTTCCTG_ETS2_B | 4.26e-03 | 3.80 | 1.44 | 1.00e+00 | 1.00e+00 | 7MARCO, SRGN, TYROBP, PSAP, FCER1G, CTSS, CD4 |
1112 |
ZNF410_TARGET_GENES | 6.33e-03 | 4.63 | 1.43 | 1.00e+00 | 1.00e+00 | 5CTSD, SLC40A1, GRN, AXL, MCOLN1 |
623 |
IRF_Q6 | 1.15e-02 | 6.82 | 1.35 | 1.00e+00 | 1.00e+00 | 3SLC40A1, TIMD4, CYBB |
244 |
ZNF623_TARGET_GENES | 1.45e-02 | 11.54 | 1.34 | 1.00e+00 | 1.00e+00 | 2LIPA, MCOLN1 |
95 |
PRMT5_TARGET_GENES | 1.66e-02 | 10.73 | 1.25 | 1.00e+00 | 1.00e+00 | 2CD68, AXL |
102 |
NOTCH3_TARGET_GENES | 1.80e-02 | 3.11 | 1.08 | 1.00e+00 | 1.00e+00 | 6LGMN, LIPA, CD163, MS4A7, SLC40A1, GRN |
1135 |
MDM2_TARGET_GENES | 2.49e-02 | 43.73 | 1.00 | 1.00e+00 | 1.00e+00 | 1FTL |
13 |
BACH2_TARGET_GENES | 2.52e-02 | 2.47 | 1.00 | 1.00e+00 | 1.00e+00 | 8CD68, MS4A7, CSF1R, SRGN, PSAP, SLCO2B1, MPEG1, DAB2 |
1998 |
CBFA2T2_TARGET_GENES | 3.26e-02 | 2.49 | 0.94 | 1.00e+00 | 1.00e+00 | 7CTSB, CTSD, SLC40A1, GRN, AXL, MCOLN1, DAB2 |
1694 |
PR_02 | 2.80e-02 | 8.07 | 0.94 | 1.00e+00 | 1.00e+00 | 2TIMD4, SRGN |
135 |
SNAPC4_TARGET_GENES | 2.91e-02 | 7.89 | 0.92 | 1.00e+00 | 1.00e+00 | 2CTSB, CD163 |
138 |
ZNF768_TARGET_GENES | 3.63e-02 | 2.62 | 0.91 | 1.00e+00 | 1.00e+00 | 6TYROBP, CTSS, GRN, SLCO2B1, MCOLN1, CPVL |
1346 |
ZNF507_TARGET_GENES | 3.46e-02 | 3.45 | 0.90 | 1.00e+00 | 1.00e+00 | 4CTSD, HMOX1, GRN, MCOLN1 |
653 |
ZSCAN4_TARGET_GENES | 4.07e-02 | 2.82 | 0.87 | 1.00e+00 | 1.00e+00 | 5HMOX1, ITGB2, AXL, MCOLN1, CPVL |
1020 |
HES2_TARGET_GENES | 4.47e-02 | 2.48 | 0.86 | 1.00e+00 | 1.00e+00 | 6CTSB, CTSD, HMOX1, SRGN, FTL, AXL |
1420 |
Dowload full table
GO Biological Processes:
P-value | OR | Lower 95% CI | FDR | FWER | Genes Found | Gene Set Size | |
---|---|---|---|---|---|---|---|
GOBP_SYNAPSE_PRUNING | 1.11e-06 | 204.35 | 33.90 | 2.25e-04 | 8.34e-03 | 3C1QC, C1QB, C1QA |
11 |
GOBP_REGULATION_OF_NEUTROPHIL_ACTIVATION | 1.11e-06 | 204.35 | 33.90 | 2.25e-04 | 8.34e-03 | 3GRN, ITGB2, CD300A |
11 |
GOBP_MICROGLIAL_CELL_ACTIVATION | 3.87e-10 | 85.51 | 28.21 | 1.61e-07 | 2.90e-06 | 6C1QA, TYROBP, AIF1, C5AR1, GRN, ITGB2 |
47 |
GOBP_NEGATIVE_REGULATION_OF_MAST_CELL_DEGRANULATION | 5.49e-05 | 267.63 | 23.60 | 5.26e-03 | 4.10e-01 | 2HMOX1, CD300A |
6 |
GOBP_GLYCOLIPID_TRANSPORT | 7.67e-05 | 213.09 | 19.86 | 6.38e-03 | 5.74e-01 | 2PSAP, NPC2 |
7 |
GOBP_CELL_JUNCTION_DISASSEMBLY | 7.60e-06 | 96.27 | 17.52 | 1.11e-03 | 5.69e-02 | 3C1QC, C1QB, C1QA |
20 |
GOBP_MYELOID_LEUKOCYTE_ACTIVATION | 1.70e-22 | 31.78 | 17.23 | 1.27e-18 | 1.27e-18 | 22CD68, CTSB, C1QA, CTSD, HMOX1, CD14, TYROBP, PSAP, FCER1G, VSIG4, CST3, AIF1, CREG1, CTSS, C5AR1, GRN, FTL, RNASET2, ITGB2, NPC2, CD300A, CYBB |
659 |
GOBP_NEGATIVE_REGULATION_OF_MYELOID_LEUKOCYTE_MEDIATED_IMMUNITY | 1.02e-04 | 177.85 | 17.16 | 7.96e-03 | 7.64e-01 | 2HMOX1, CD300A |
8 |
GOBP_NEGATIVE_REGULATION_OF_MAST_CELL_ACTIVATION_INVOLVED_IN_IMMUNE_RESPONSE | 1.02e-04 | 177.85 | 17.16 | 7.96e-03 | 7.64e-01 | 2HMOX1, CD300A |
8 |
GOBP_MACROPHAGE_ACTIVATION | 1.03e-09 | 44.12 | 16.32 | 3.68e-07 | 7.73e-06 | 7C1QA, TYROBP, VSIG4, AIF1, C5AR1, GRN, ITGB2 |
102 |
GOBP_MYELOID_LEUKOCYTE_MEDIATED_IMMUNITY | 1.44e-19 | 29.72 | 15.77 | 2.15e-16 | 1.08e-15 | 19CD68, CTSB, CTSD, HMOX1, CD14, TYROBP, PSAP, FCER1G, CST3, CREG1, CTSS, C5AR1, GRN, FTL, RNASET2, ITGB2, NPC2, CD300A, CYBB |
550 |
GOBP_ASTROCYTE_ACTIVATION | 1.52e-05 | 74.54 | 13.82 | 2.07e-03 | 1.14e-01 | 3C1QA, C5AR1, GRN |
25 |
GOBP_NEGATIVE_REGULATION_OF_LEUKOCYTE_DEGRANULATION | 1.64e-04 | 133.66 | 13.49 | 1.11e-02 | 1.00e+00 | 2HMOX1, CD300A |
10 |
GOBP_COLLAGEN_CATABOLIC_PROCESS | 2.07e-06 | 52.04 | 13.03 | 4.08e-04 | 1.55e-02 | 4CTSB, CTSD, CST3, CTSS |
47 |
GOBP_LEUKOCYTE_MEDIATED_IMMUNITY | 6.08e-20 | 23.79 | 12.92 | 1.14e-16 | 4.55e-16 | 22CD68, C1QC, CTSB, C1QB, C1QA, CTSD, HMOX1, CD14, TYROBP, PSAP, FCER1G, CST3, CREG1, CTSS, C5AR1, GRN, FTL, RNASET2, ITGB2, NPC2, CD300A, CYBB |
873 |
GOBP_IMMUNE_EFFECTOR_PROCESS | 1.47e-21 | 21.99 | 12.10 | 5.49e-18 | 1.10e-17 | 26CD68, C1QC, CTSB, CD5L, C1QB, C1QA, CTSD, HMOX1, CD14, TYROBP, PSAP, FCER1G, VSIG4, CST3, CREG1, CTSS, C5AR1, GRN, FCGR3A, FTL, RNASET2, ITGB2, NPC2, CD300A, LAPTM5, CYBB |
1296 |
GOBP_CELL_ACTIVATION_INVOLVED_IN_IMMUNE_RESPONSE | 1.99e-17 | 22.46 | 11.93 | 1.86e-14 | 1.49e-13 | 19CD68, CTSB, CTSD, HMOX1, CD14, TYROBP, PSAP, FCER1G, CST3, CREG1, CTSS, C5AR1, GRN, FTL, RNASET2, ITGB2, NPC2, CD300A, CYBB |
722 |
GOBP_REGULATION_OF_MYELOID_LEUKOCYTE_MEDIATED_IMMUNITY | 3.12e-06 | 46.57 | 11.73 | 5.56e-04 | 2.34e-02 | 4HMOX1, TYROBP, ITGB2, CD300A |
52 |
GOBP_EXOCYTOSIS | 2.09e-18 | 21.45 | 11.58 | 2.23e-15 | 1.56e-14 | 21CD68, CTSB, CTSD, HMOX1, CD14, SRGN, TYROBP, PSAP, FCER1G, CST3, CREG1, CTSS, C5AR1, GRN, FTL, RNASET2, ITGB2, NPC2, CD300A, CYBB, F13A1 |
891 |
GOBP_NEGATIVE_REGULATION_OF_MAST_CELL_ACTIVATION | 2.40e-04 | 106.92 | 11.12 | 1.51e-02 | 1.00e+00 | 2HMOX1, CD300A |
12 |
Dowload full table
Immunological Gene Sets:
P-value | OR | Lower 95% CI | FDR | FWER | Genes Found | Gene Set Size | |
---|---|---|---|---|---|---|---|
GSE22886_NAIVE_CD8_TCELL_VS_MONOCYTE_DN | 5.89e-26 | 79.53 | 41.20 | 2.87e-22 | 2.87e-22 | 18CTSB, HMOX1, CSF1R, CD14, TYROBP, MS4A6A, PSAP, FCER1G, CST3, CREG1, CTSS, C5AR1, GRN, FTL, NPC2, LAPTM5, CPVL, CYBB |
200 |
GSE24634_TREG_VS_TCONV_POST_DAY10_IL4_CONVERSION_DN | 4.53e-24 | 72.45 | 37.16 | 5.52e-21 | 2.21e-20 | 17LIPA, CTSB, C1QB, C1QA, CD163, RNASE1, HMOX1, CSF1R, CD14, MS4A4A, TYROBP, PSAP, CREG1, GRN, FTL, ITGB2, NPC2 |
200 |
GSE29618_MONOCYTE_VS_MDC_UP | 4.53e-24 | 72.45 | 37.16 | 5.52e-21 | 2.21e-20 | 17CD68, CTSB, CD163, CTSD, HMOX1, CD14, MARCO, TYROBP, PSAP, FCER1G, AIF1, CREG1, CTSS, C5AR1, FTL, NPC2, CYBB |
200 |
GSE29618_MONOCYTE_VS_MDC_DAY7_FLU_VACCINE_UP | 4.53e-24 | 72.45 | 37.16 | 5.52e-21 | 2.21e-20 | 17CD68, CTSB, FOLR2, CD163, CTSD, HMOX1, CD14, MARCO, PSAP, AIF1, CREG1, CTSS, C5AR1, FTL, NPC2, MCOLN1, CYBB |
200 |
GSE10325_LUPUS_CD4_TCELL_VS_LUPUS_MYELOID_DN | 3.18e-22 | 65.81 | 33.31 | 3.10e-19 | 1.55e-18 | 16CTSB, CTSD, HMOX1, CSF1R, CD14, MARCO, TYROBP, PSAP, FCER1G, CST3, AIF1, CREG1, C5AR1, GRN, FTL, CYBB |
200 |
GSE10325_LUPUS_BCELL_VS_LUPUS_MYELOID_DN | 2.03e-20 | 59.73 | 29.71 | 1.65e-17 | 9.87e-17 | 15CTSB, CD163, CTSD, HMOX1, CSF1R, MARCO, TYROBP, PSAP, FCER1G, CST3, AIF1, CREG1, C5AR1, FTL, MCOLN1 |
200 |
GSE24634_TREG_VS_TCONV_POST_DAY7_IL4_CONVERSION_DN | 1.02e-18 | 54.40 | 26.64 | 6.34e-16 | 4.95e-15 | 14CD68, LIPA, CTSB, C1QA, CD163, RNASE1, CD14, MARCO, TYROBP, PSAP, CREG1, CTSS, FTL, CYBB |
198 |
GSE24634_TEFF_VS_TCONV_DAY3_IN_CULTURE_DN | 1.17e-18 | 53.85 | 26.35 | 6.34e-16 | 5.71e-15 | 14CD68, LIPA, C1QA, CD163, HMOX1, CD14, MS4A4A, MARCO, FCER1G, VSIG4, MCOLN1, DAB2, CPVL, CYBB |
200 |
GSE29618_BCELL_VS_MONOCYTE_DAY7_FLU_VACCINE_DN | 1.17e-18 | 53.85 | 26.35 | 6.34e-16 | 5.71e-15 | 14CD68, CD163, CTSD, HMOX1, CSF1R, CD14, TYROBP, PSAP, CST3, CREG1, C5AR1, GRN, FTL, CD4 |
200 |
GSE24634_TREG_VS_TCONV_POST_DAY5_IL4_CONVERSION_DN | 5.37e-17 | 48.86 | 23.46 | 2.62e-14 | 2.62e-13 | 13CD68, LIPA, CTSB, CSF1R, TYROBP, MS4A6A, FCER1G, CREG1, CTSS, GRN, FTL, NPC2, CYBB |
198 |
GSE24634_IL4_VS_CTRL_TREATED_NAIVE_CD4_TCELL_DAY5_UP | 6.12e-17 | 48.34 | 23.19 | 2.71e-14 | 2.98e-13 | 13CD68, LGMN, RNASE1, CSF1R, MS4A4A, CST3, CREG1, SLCO2B1, FTL, NPC2, MCOLN1, CPVL, F13A1 |
200 |
GSE34156_TLR1_TLR2_LIGAND_VS_NOD2_AND_TLR1_TLR2_LIGAND_24H_TREATED_MONOCYTE_UP | 2.40e-15 | 43.89 | 20.56 | 8.25e-13 | 1.17e-11 | 12CD163, CTSD, HMOX1, CSF1R, CD14, TYROBP, PSAP, CREG1, GRN, MPEG1, FTL, CYBB |
197 |
GSE29618_MONOCYTE_VS_PDC_UP | 2.71e-15 | 43.44 | 20.34 | 8.25e-13 | 1.32e-11 | 12CD163, HMOX1, CSF1R, CD14, MARCO, TYROBP, AIF1, CREG1, CTSS, C5AR1, FTL, ITGB2 |
199 |
GSE22886_NAIVE_BCELL_VS_MONOCYTE_DN | 2.88e-15 | 43.22 | 20.24 | 8.25e-13 | 1.40e-11 | 12CTSB, CTSD, CD14, SRGN, TYROBP, PSAP, FCER1G, CREG1, C5AR1, GRN, FTL, CD300A |
200 |
GSE24634_TEFF_VS_TCONV_DAY7_IN_CULTURE_DN | 2.88e-15 | 43.22 | 20.24 | 8.25e-13 | 1.40e-11 | 12LIPA, CTSB, C1QB, C1QA, HMOX1, TYROBP, PSAP, AIF1, CTSS, NPC2, DAB2, CD300A |
200 |
GSE2128_CTRL_VS_MIMETOPE_NEGATIVE_SELECTION_DP_THYMOCYTE_NOD_UP | 2.88e-15 | 43.22 | 20.24 | 8.25e-13 | 1.40e-11 | 12C1QC, CTSB, C1QB, C1QA, MS4A7, CSF1R, CD14, TYROBP, MS4A6A, FCER1G, CTSS, FCGR3A |
200 |
GSE7509_DC_VS_MONOCYTE_UP | 2.88e-15 | 43.22 | 20.24 | 8.25e-13 | 1.40e-11 | 12CD68, C1QC, CTSB, FOLR2, CD5L, C1QB, C1QA, CTSD, PSAP, CST3, CREG1, DAB2 |
200 |
GSE34156_UNTREATED_VS_6H_TLR1_TLR2_LIGAND_TREATED_MONOCYTE_UP | 1.03e-13 | 39.00 | 17.75 | 2.46e-11 | 5.00e-10 | 11CD163, HMOX1, CSF1R, CD14, PSAP, CREG1, GRN, MPEG1, FTL, NPC2, CYBB |
197 |
GSE10325_BCELL_VS_MYELOID_DN | 1.21e-13 | 38.45 | 17.47 | 2.46e-11 | 5.90e-10 | 11CTSB, CD163, HMOX1, CSF1R, SRGN, MS4A6A, PSAP, AIF1, C5AR1, CD300A, CPVL |
200 |
GSE22886_NAIVE_CD4_TCELL_VS_MONOCYTE_DN | 1.21e-13 | 38.45 | 17.47 | 2.46e-11 | 5.90e-10 | 11CTSB, CD14, PSAP, FCER1G, CREG1, CTSS, C5AR1, GRN, FTL, NPC2, CYBB |
200 |
Top Ranked Transcription Factors for this Gene Expression Program:
Gene Symbol | TF Rank | DNA Binding Domain | Motif Status | IUPAC PWM | GTEx | DepMap | Decartes |
---|---|---|---|---|---|---|---|
HMOX1 | 15 | No | Unlikely to be sequence specific TF | Not a DNA binding protein | No motif | None | Well characterized enzyme with no additional domains. Included only because GO lists it as a regulator of TFs. No support for DNA binding activity. |
CREG1 | 30 | No | Unlikely to be sequence specific TF | Not a DNA binding protein | No motif | None | Regulates transcription in tethering assays (PMID: 9710587). Unlikely to be a TF, based on the lack of a canonical DBD |
ITGB2 | 39 | No | Unlikely to be sequence specific TF | Not a DNA binding protein | No motif | None | None |
SPI1 | 51 | Yes | Known motif | Monomer or homomultimer | High-throughput in vitro | None | None |
CMKLR1 | 57 | No | Unlikely to be sequence specific TF | Not a DNA binding protein | No motif | None | Protein is a G protein-coupled receptor for the chemoattractant adipokine chemerin |
SPIC | 88 | Yes | Known motif | Monomer or homomultimer | High-throughput in vitro | None | None |
MAFB | 93 | Yes | Known motif | Monomer or homomultimer | 100 perc ID - in vitro | None | PDB:2WTY is a homodimer crystallised with TAATTGCTGACTCAGCAAAT sequence |
IL10 | 103 | No | Unlikely to be sequence specific TF | Not a DNA binding protein | No motif | None | None |
CEBPB | 104 | Yes | Known motif | Monomer or homomultimer | High-throughput in vitro | None | None |
HCK | 110 | No | Unlikely to be sequence specific TF | Not a DNA binding protein | No motif | None | Inhibits TP73-mediated transcription activation (PMID: 17535448) |
HAVCR2 | 112 | No | Unlikely to be sequence specific TF | Not a DNA binding protein | No motif | None | None |
MAF | 117 | Yes | Known motif | Monomer or homomultimer | High-throughput in vitro | None | None |
ARRB2 | 134 | No | Unlikely to be sequence specific TF | Not a DNA binding protein | No motif | None | None |
LGALS9 | 136 | No | Unlikely to be sequence specific TF | Not a DNA binding protein | No motif | None | None |
PYCARD | 149 | No | Unlikely to be sequence specific TF | Not a DNA binding protein | No motif | None | None |
SYK | 150 | No | Unlikely to be sequence specific TF | Not a DNA binding protein | No motif | None | Known co-factor |
RAB7B | 164 | No | Unlikely to be sequence specific TF | Not a DNA binding protein | No motif | None | Protein activates NFKB (PMID: 20953574) |
NFAM1 | 173 | No | Unlikely to be sequence specific TF | Not a DNA binding protein | No motif | None | NFAM1 modulates B cell signaling through its immunoreceptor tyrosine-based activation motif, which regulates B cell development (PMID: 15143214) |
VAV1 | 181 | No | Unlikely to be sequence specific TF | Not a DNA binding protein | No motif | None | Paper cited by GO annotation (PMID: 2477241) only presents evidence based on sequence similarity to a ZF motif, and other evidence (PMID: 11994417) only supports a role in coactivation of NFAT and NFKB without direct DNA-binding |
PRKCB | 185 | No | Unlikely to be sequence specific TF | Not a DNA binding protein | No motif | None | None |
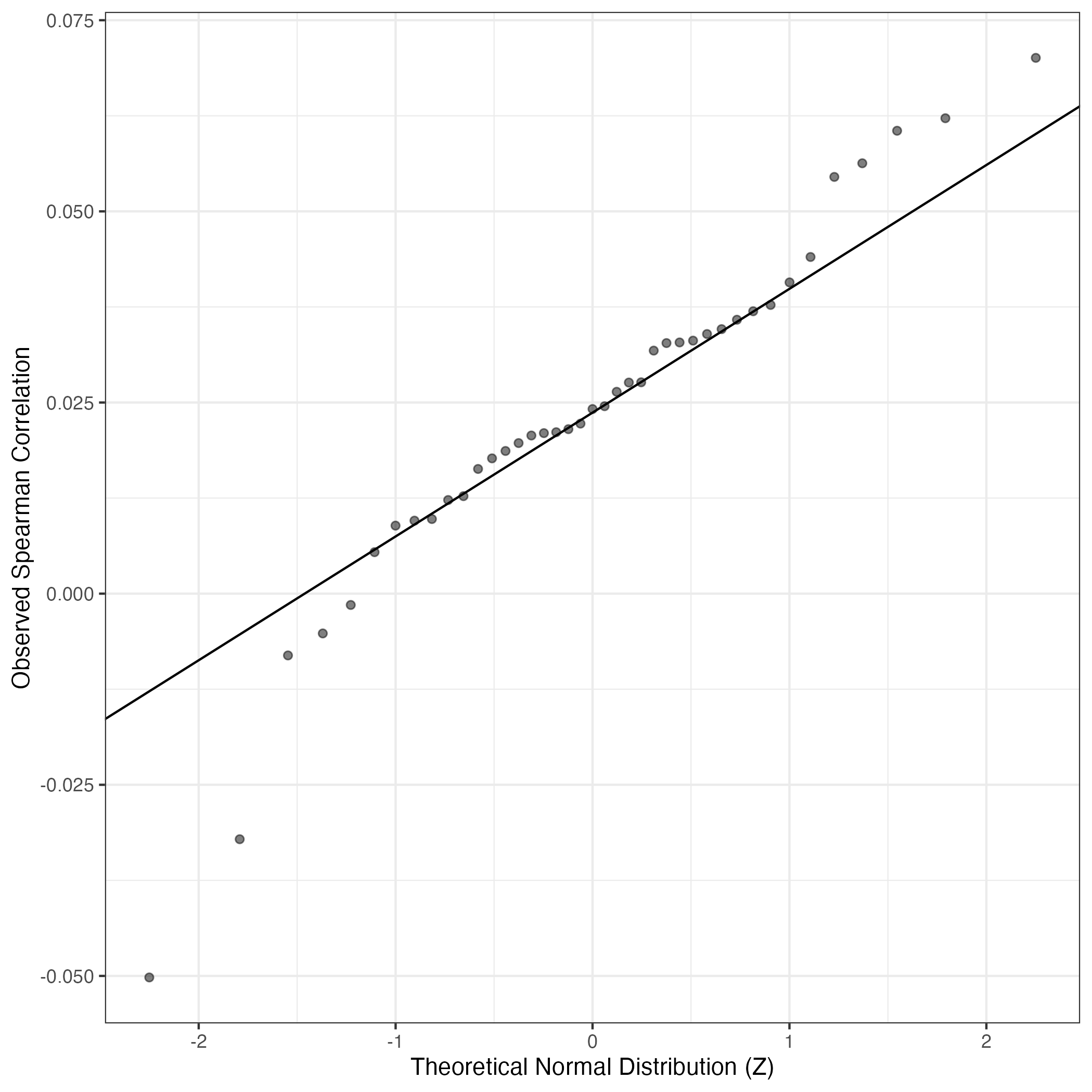
QQ Plot showing correlations with other GEPs in this dataset, calculated by Spearman correlation:
Interactive QQ-plot of gene loadings:
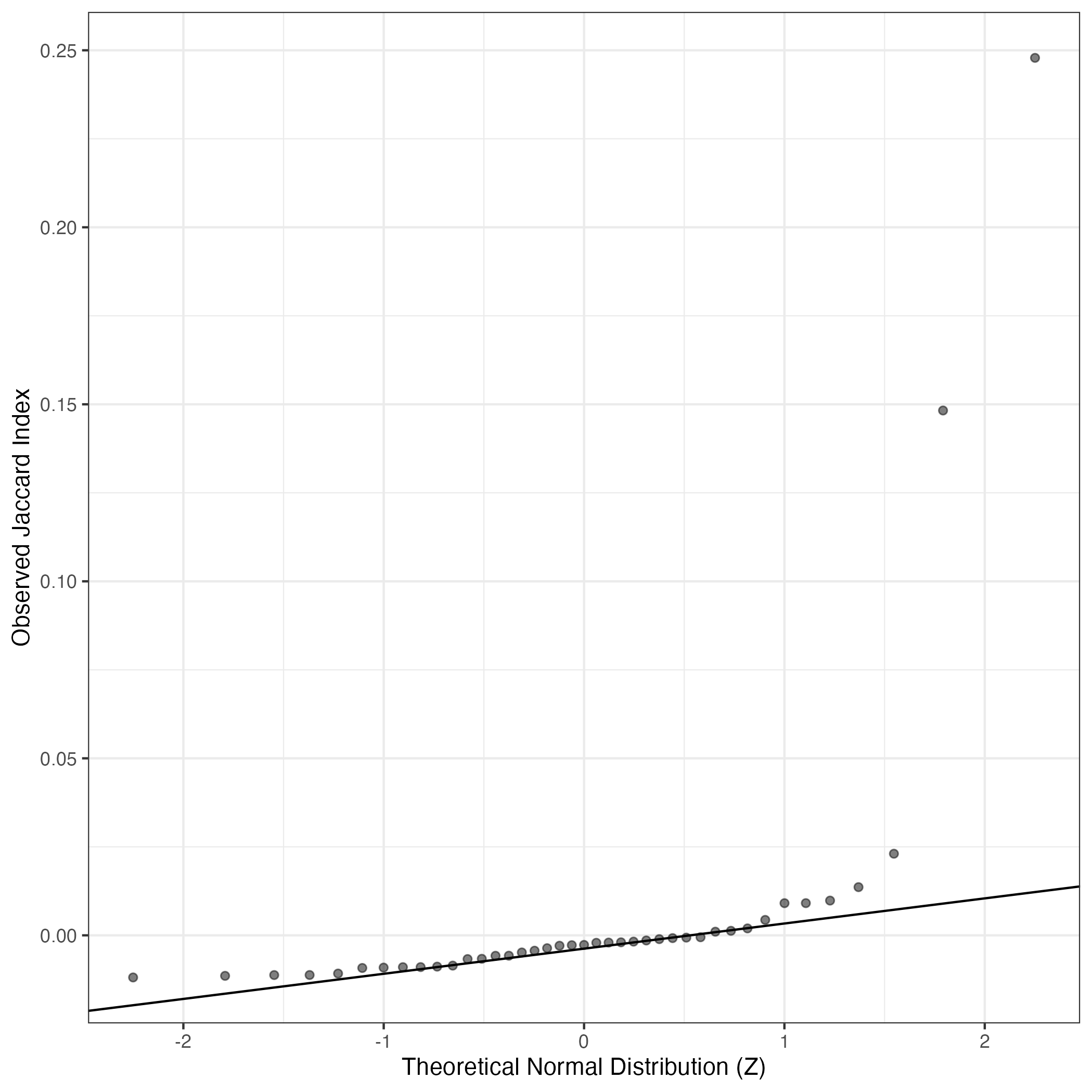
A similar QQ-plot as above, but only for instances where the H value is e.g. > 25, i.e. we are confident that the expression program is active above noise. Agreemenet between these binary vectors is tested using the Jaccard Index, with the P-values calculated by an exact test:
Interactive QQ-plot:
Singler cell type annotations for the top 50 cells on this program.
Cell ID | Singler label | Singler Delta | Activity Score | Top Singler Raw Scores |
---|---|---|---|---|
R48a_w14.5_CCCAACTGTACCGTCG-1 | Macrophage:monocyte-derived:IL-4/Dex/cntrl | 0.13 | 1563.81 | Raw ScoresMacrophage:monocyte-derived:IL-4/Dex/cntrl: 0.48, Macrophage:monocyte-derived:IL-4/Dex/TGFb: 0.47, Macrophage:monocyte-derived:M-CSF: 0.47, DC:monocyte-derived:AEC-conditioned: 0.47, DC:monocyte-derived:anti-DC-SIGN_2h: 0.46, Monocyte:leukotriene_D4: 0.46, DC:monocyte-derived: 0.45, Macrophage:monocyte-derived: 0.45, DC:monocyte-derived:immature: 0.45, Macrophage:monocyte-derived:M-CSF/IFNg: 0.45 |
R48a_w14.5_GGGAAGTTCAGGACGA-1 | Macrophage:monocyte-derived:IL-4/Dex/TGFb | 0.17 | 1151.54 | Raw ScoresMacrophage:monocyte-derived:IL-4/Dex/TGFb: 0.47, Macrophage:monocyte-derived:IL-4/Dex/cntrl: 0.47, Macrophage:monocyte-derived:M-CSF: 0.47, DC:monocyte-derived:anti-DC-SIGN_2h: 0.46, DC:monocyte-derived: 0.45, Monocyte:leukotriene_D4: 0.45, DC:monocyte-derived:immature: 0.44, Macrophage:monocyte-derived:M-CSF/IFNg: 0.44, DC:monocyte-derived:AEC-conditioned: 0.44, Macrophage:monocyte-derived:IL-4/TGFb: 0.44 |
R48a_w14.5_TGCGACGGTAACGCGA-1 | Macrophage:monocyte-derived:IL-4/Dex/cntrl | 0.15 | 1048.18 | Raw ScoresMacrophage:monocyte-derived:IL-4/Dex/cntrl: 0.45, Macrophage:monocyte-derived:IL-4/Dex/TGFb: 0.45, DC:monocyte-derived:anti-DC-SIGN_2h: 0.45, Macrophage:monocyte-derived:M-CSF: 0.45, DC:monocyte-derived: 0.44, Monocyte:leukotriene_D4: 0.43, DC:monocyte-derived:immature: 0.43, Monocyte: 0.43, DC:monocyte-derived:AEC-conditioned: 0.43, Macrophage:monocyte-derived:IL-4/TGFb: 0.43 |
R48a_w14.5_CTAACCCCAGCTGTTA-1 | Macrophage:monocyte-derived:M-CSF | 0.17 | 987.15 | Raw ScoresMonocyte:leukotriene_D4: 0.52, Macrophage:monocyte-derived:M-CSF: 0.52, Monocyte:CD16-: 0.51, Monocyte:CD14+: 0.51, Monocyte:CD16+: 0.51, Macrophage:monocyte-derived:M-CSF/IFNg: 0.51, Monocyte: 0.51, DC:monocyte-derived:anti-DC-SIGN_2h: 0.5, Macrophage:monocyte-derived:IL-4/Dex/cntrl: 0.5, Monocyte:anti-FcgRIIB: 0.5 |
R48a_w14.5_ACCAAACAGGAGGCAG-1 | DC:monocyte-derived:anti-DC-SIGN_2h | 0.15 | 950.00 | Raw ScoresDC:monocyte-derived:anti-DC-SIGN_2h: 0.44, Macrophage:monocyte-derived:IL-4/Dex/cntrl: 0.43, Macrophage:monocyte-derived:IL-4/Dex/TGFb: 0.43, Macrophage:monocyte-derived:M-CSF: 0.43, Monocyte:leukotriene_D4: 0.42, DC:monocyte-derived: 0.42, Monocyte: 0.41, Monocyte:CD16-: 0.41, Macrophage:monocyte-derived:M-CSF/IFNg: 0.41, DC:monocyte-derived:AEC-conditioned: 0.41 |
R48a_w14.5_TAACCAGAGGCTAACG-1 | DC:monocyte-derived:anti-DC-SIGN_2h | 0.10 | 932.75 | Raw ScoresMacrophage:monocyte-derived:IL-4/Dex/cntrl: 0.45, DC:monocyte-derived:AEC-conditioned: 0.45, Macrophage:monocyte-derived:IL-4/Dex/TGFb: 0.44, Macrophage:monocyte-derived:M-CSF: 0.44, DC:monocyte-derived:anti-DC-SIGN_2h: 0.44, Monocyte:leukotriene_D4: 0.43, Macrophage:monocyte-derived: 0.43, DC:monocyte-derived: 0.43, DC:monocyte-derived:immature: 0.43, Monocyte:MCSF: 0.43 |
R48a_w14.5_GAATAGACAGGCTACC-1 | Macrophage:monocyte-derived:M-CSF | 0.17 | 914.96 | Raw ScoresMacrophage:monocyte-derived:M-CSF: 0.43, Macrophage:monocyte-derived:IL-4/Dex/TGFb: 0.42, DC:monocyte-derived:anti-DC-SIGN_2h: 0.42, Monocyte:leukotriene_D4: 0.42, Macrophage:monocyte-derived:IL-4/Dex/cntrl: 0.42, Monocyte: 0.41, Monocyte:CD16-: 0.41, Monocyte:CD14+: 0.41, Monocyte:CD16+: 0.41, Macrophage:monocyte-derived:M-CSF/IFNg: 0.41 |
R48a_w14.5_CTGCCTAGTGAGATAT-1 | Macrophage:monocyte-derived:IL-4/Dex/TGFb | 0.10 | 894.34 | Raw ScoresDC:monocyte-derived:AEC-conditioned: 0.48, Macrophage:monocyte-derived:IL-4/Dex/cntrl: 0.48, Macrophage:monocyte-derived:IL-4/Dex/TGFb: 0.48, Macrophage:monocyte-derived:M-CSF: 0.47, DC:monocyte-derived:anti-DC-SIGN_2h: 0.47, Macrophage:monocyte-derived: 0.47, Monocyte:MCSF: 0.46, DC:monocyte-derived: 0.46, GMP: 0.46, DC:monocyte-derived:immature: 0.46 |
R53b_w11.5_CAGAGCCAGAATTGCA-1 | Macrophage:monocyte-derived:IL-4/Dex/TGFb | 0.17 | 866.29 | Raw ScoresMacrophage:monocyte-derived:M-CSF: 0.47, Macrophage:monocyte-derived:IL-4/Dex/TGFb: 0.46, Monocyte:leukotriene_D4: 0.46, Macrophage:monocyte-derived:IL-4/Dex/cntrl: 0.45, Monocyte: 0.45, DC:monocyte-derived:anti-DC-SIGN_2h: 0.45, Macrophage:monocyte-derived:M-CSF/IFNg: 0.44, Monocyte:anti-FcgRIIB: 0.44, Monocyte:CD16-: 0.44, Monocyte:CD14+: 0.44 |
R48a_w14.5_TGATCAGGTCATATGC-1 | DC:monocyte-derived:anti-DC-SIGN_2h | 0.10 | 820.32 | Raw ScoresMacrophage:monocyte-derived:M-CSF: 0.45, DC:monocyte-derived:AEC-conditioned: 0.44, Macrophage:monocyte-derived:IL-4/Dex/cntrl: 0.43, Macrophage:monocyte-derived:IL-4/Dex/TGFb: 0.43, Monocyte:leukotriene_D4: 0.43, DC:monocyte-derived:anti-DC-SIGN_2h: 0.42, Macrophage:monocyte-derived:M-CSF/IFNg: 0.42, DC:monocyte-derived: 0.42, Monocyte: 0.42, Macrophage:monocyte-derived: 0.42 |
R48a_w14.5_CCGTAGGAGTAGAATC-1 | Macrophage:monocyte-derived:IL-4/Dex/TGFb | 0.14 | 806.75 | Raw ScoresMacrophage:monocyte-derived:IL-4/Dex/TGFb: 0.46, Macrophage:monocyte-derived:IL-4/Dex/cntrl: 0.46, Macrophage:monocyte-derived:M-CSF: 0.46, Monocyte:leukotriene_D4: 0.44, DC:monocyte-derived:AEC-conditioned: 0.44, DC:monocyte-derived:anti-DC-SIGN_2h: 0.44, DC:monocyte-derived:immature: 0.44, Macrophage:monocyte-derived:M-CSF/IFNg: 0.43, DC:monocyte-derived: 0.43, Macrophage:monocyte-derived: 0.43 |
R48a_w14.5_AAAGTCCGTGAACGGT-1 | Macrophage:monocyte-derived:M-CSF | 0.16 | 797.54 | Raw ScoresMacrophage:monocyte-derived:M-CSF: 0.41, Monocyte:leukotriene_D4: 0.4, Macrophage:monocyte-derived:IL-4/Dex/cntrl: 0.4, Macrophage:monocyte-derived:IL-4/Dex/TGFb: 0.4, Macrophage:monocyte-derived:M-CSF/IFNg: 0.4, DC:monocyte-derived:anti-DC-SIGN_2h: 0.4, Monocyte: 0.4, Monocyte:anti-FcgRIIB: 0.39, Monocyte:CD16-: 0.39, Monocyte:CD14+: 0.39 |
R53b_w11.5_TTCTTGATCCATCTAT-1 | Macrophage:monocyte-derived:IL-4/Dex/TGFb | 0.11 | 785.57 | Raw ScoresDC:monocyte-derived:AEC-conditioned: 0.44, Macrophage:monocyte-derived:IL-4/Dex/TGFb: 0.43, Macrophage:monocyte-derived:IL-4/Dex/cntrl: 0.43, DC:monocyte-derived:anti-DC-SIGN_2h: 0.43, Macrophage:monocyte-derived:M-CSF: 0.43, Monocyte:leukotriene_D4: 0.43, DC:monocyte-derived:immature: 0.42, DC:monocyte-derived: 0.42, Macrophage:monocyte-derived: 0.42, Monocyte: 0.41 |
R48a_w14.5_ATAGACCGTTCTCGTC-1 | Macrophage:monocyte-derived:IL-4/Dex/cntrl | 0.16 | 783.44 | Raw ScoresMacrophage:monocyte-derived:M-CSF: 0.45, Macrophage:monocyte-derived:IL-4/Dex/cntrl: 0.44, Macrophage:monocyte-derived:IL-4/Dex/TGFb: 0.44, Monocyte:leukotriene_D4: 0.44, DC:monocyte-derived:anti-DC-SIGN_2h: 0.44, Macrophage:monocyte-derived:M-CSF/IFNg: 0.43, Monocyte: 0.43, Monocyte:anti-FcgRIIB: 0.43, Monocyte:CD16-: 0.43, Monocyte:CD14+: 0.43 |
R53a_w9.5_CCCGAAGTCCACAGCG-1 | Macrophage:monocyte-derived:IL-4/Dex/TGFb | 0.17 | 779.24 | Raw ScoresMacrophage:monocyte-derived:IL-4/Dex/TGFb: 0.46, Macrophage:monocyte-derived:M-CSF: 0.46, DC:monocyte-derived:anti-DC-SIGN_2h: 0.46, Macrophage:monocyte-derived:IL-4/Dex/cntrl: 0.46, Macrophage:monocyte-derived:M-CSF/Pam3Cys: 0.44, DC:monocyte-derived:antiCD40/VAF347: 0.44, DC:monocyte-derived: 0.44, Monocyte:leukotriene_D4: 0.44, Monocyte:CD16-: 0.44, Macrophage:monocyte-derived:M-CSF/IFNg: 0.44 |
R48a_w14.5_TGTCCACTCTGGCTGG-1 | Macrophage:monocyte-derived:M-CSF | 0.18 | 759.21 | Raw ScoresMacrophage:monocyte-derived:M-CSF: 0.49, Monocyte:leukotriene_D4: 0.48, Macrophage:monocyte-derived:IL-4/Dex/cntrl: 0.47, Macrophage:monocyte-derived:IL-4/Dex/TGFb: 0.47, Monocyte:CD16-: 0.47, Monocyte: 0.47, Macrophage:monocyte-derived:M-CSF/IFNg: 0.47, Monocyte:CD16+: 0.47, Monocyte:CD14+: 0.47, Monocyte:anti-FcgRIIB: 0.47 |
R48a_w14.5_GCTACAACAAACTAGA-1 | Macrophage:monocyte-derived:IL-4/Dex/TGFb | 0.15 | 744.15 | Raw ScoresMacrophage:monocyte-derived:M-CSF: 0.49, Macrophage:monocyte-derived:IL-4/Dex/cntrl: 0.49, Macrophage:monocyte-derived:IL-4/Dex/TGFb: 0.49, DC:monocyte-derived:AEC-conditioned: 0.49, DC:monocyte-derived:anti-DC-SIGN_2h: 0.48, Macrophage:monocyte-derived:M-CSF/IFNg: 0.48, Monocyte:leukotriene_D4: 0.48, DC:monocyte-derived: 0.47, DC:monocyte-derived:immature: 0.47, Macrophage:monocyte-derived: 0.47 |
R48a_w14.5_AGTGTTGCATGAATCC-1 | Monocyte:CD16- | 0.17 | 713.87 | Raw ScoresMacrophage:monocyte-derived:M-CSF: 0.49, Monocyte:CD16-: 0.49, Monocyte:leukotriene_D4: 0.49, Monocyte:CD14+: 0.49, Monocyte: 0.48, Monocyte:CD16+: 0.48, Macrophage:monocyte-derived:IL-4/Dex/cntrl: 0.48, Macrophage:monocyte-derived:IL-4/Dex/TGFb: 0.48, DC:monocyte-derived:anti-DC-SIGN_2h: 0.48, Macrophage:monocyte-derived:M-CSF/IFNg: 0.47 |
R48a_w14.5_AGGGTGATCGACATTG-1 | Macrophage:monocyte-derived:IL-4/Dex/cntrl | 0.15 | 705.38 | Raw ScoresMacrophage:monocyte-derived:M-CSF: 0.47, Macrophage:monocyte-derived:IL-4/Dex/cntrl: 0.47, Macrophage:monocyte-derived:IL-4/Dex/TGFb: 0.47, Monocyte:leukotriene_D4: 0.47, DC:monocyte-derived:anti-DC-SIGN_2h: 0.46, DC:monocyte-derived:AEC-conditioned: 0.46, Macrophage:monocyte-derived:M-CSF/IFNg: 0.46, DC:monocyte-derived: 0.46, Monocyte:CD14+: 0.46, Monocyte:CD16-: 0.46 |
R43_w6_CACGTGGAGTCCCAAT-1 | Macrophage:monocyte-derived:IL-4/Dex/cntrl | 0.16 | 687.28 | Raw ScoresMacrophage:monocyte-derived:M-CSF: 0.52, Macrophage:monocyte-derived:IL-4/Dex/cntrl: 0.51, Macrophage:monocyte-derived:IL-4/Dex/TGFb: 0.5, DC:monocyte-derived:anti-DC-SIGN_2h: 0.5, Monocyte:leukotriene_D4: 0.5, DC:monocyte-derived: 0.49, Macrophage:monocyte-derived:M-CSF/IFNg: 0.49, DC:monocyte-derived:immature: 0.49, DC:monocyte-derived:AEC-conditioned: 0.49, Monocyte: 0.49 |
R39_w9.5_ACATTTCTCTTGATTC-1 | Erythroblast | 0.10 | 686.26 | Raw ScoresBM: 0.46, Pro-Myelocyte: 0.46, Erythroblast: 0.46, MEP: 0.44, Macrophage:monocyte-derived:M-CSF: 0.44, Pro-B_cell_CD34+: 0.44, DC:monocyte-derived:AEC-conditioned: 0.44, Macrophage:monocyte-derived:IL-4/Dex/cntrl: 0.43, GMP: 0.43, Macrophage:monocyte-derived:IL-4/Dex/TGFb: 0.43 |
R48a_w14.5_GTGCTGGTCACGGACC-1 | Macrophage:monocyte-derived:IL-4/Dex/cntrl | 0.17 | 678.83 | Raw ScoresMacrophage:monocyte-derived:IL-4/Dex/cntrl: 0.44, Macrophage:monocyte-derived:IL-4/Dex/TGFb: 0.44, Macrophage:monocyte-derived:M-CSF: 0.43, DC:monocyte-derived:anti-DC-SIGN_2h: 0.43, Macrophage:monocyte-derived:M-CSF/IFNg: 0.42, Monocyte:leukotriene_D4: 0.42, DC:monocyte-derived:AEC-conditioned: 0.42, Monocyte:CD16-: 0.42, DC:monocyte-derived: 0.42, Monocyte: 0.41 |
R53b_w11.5_ACGTAGTAGACTTAAG-1 | Macrophage:monocyte-derived:M-CSF | 0.14 | 665.65 | Raw ScoresMacrophage:monocyte-derived:M-CSF: 0.42, Macrophage:monocyte-derived:IL-4/Dex/cntrl: 0.41, Macrophage:monocyte-derived:IL-4/Dex/TGFb: 0.4, Monocyte:leukotriene_D4: 0.4, DC:monocyte-derived:anti-DC-SIGN_2h: 0.39, Monocyte: 0.39, DC:monocyte-derived:AEC-conditioned: 0.39, Macrophage:monocyte-derived:M-CSF/IFNg: 0.39, Pre-B_cell_CD34-: 0.39, Monocyte:CD16-: 0.39 |
R30_w8.5_CACCAAATCGTTGCCT-1 | Macrophage:monocyte-derived:IL-4/Dex/cntrl | 0.10 | 663.84 | Raw ScoresDC:monocyte-derived:AEC-conditioned: 0.43, Macrophage:monocyte-derived:IL-4/Dex/cntrl: 0.43, Macrophage:monocyte-derived:IL-4/Dex/TGFb: 0.43, Macrophage:monocyte-derived:M-CSF: 0.43, DC:monocyte-derived:anti-DC-SIGN_2h: 0.42, Macrophage:monocyte-derived: 0.42, DC:monocyte-derived:immature: 0.42, Monocyte:leukotriene_D4: 0.42, DC:monocyte-derived: 0.41, Monocyte:MCSF: 0.41 |
R48b_w12_CCAATGATCCAGGACC-1 | Macrophage:monocyte-derived:M-CSF | 0.15 | 662.91 | Raw ScoresMacrophage:monocyte-derived:M-CSF: 0.44, Macrophage:monocyte-derived:IL-4/Dex/TGFb: 0.43, Monocyte:leukotriene_D4: 0.43, Macrophage:monocyte-derived:IL-4/Dex/cntrl: 0.43, DC:monocyte-derived:anti-DC-SIGN_2h: 0.42, Macrophage:monocyte-derived:M-CSF/IFNg: 0.41, Monocyte: 0.41, Monocyte:CD16-: 0.41, DC:monocyte-derived:AEC-conditioned: 0.41, Monocyte:CD16+: 0.41 |
R53a_w9.5_CTCCACACATAGCTGT-1 | Macrophage:monocyte-derived:M-CSF | 0.11 | 657.41 | Raw ScoresMacrophage:monocyte-derived:M-CSF: 0.41, Macrophage:monocyte-derived:IL-4/Dex/TGFb: 0.41, Macrophage:monocyte-derived:IL-4/Dex/cntrl: 0.41, Monocyte:leukotriene_D4: 0.4, DC:monocyte-derived:anti-DC-SIGN_2h: 0.4, DC:monocyte-derived:AEC-conditioned: 0.39, Endothelial_cells:lymphatic:TNFa_48h: 0.39, Endothelial_cells:lymphatic: 0.39, Monocyte:CD16-: 0.39, Monocyte: 0.39 |
R48a_w14.5_GCGAGAATCTACCACC-1 | Monocyte:CD16+ | 0.12 | 645.40 | Raw ScoresMacrophage:monocyte-derived:M-CSF: 0.42, Monocyte:leukotriene_D4: 0.42, Macrophage:monocyte-derived:IL-4/Dex/cntrl: 0.41, DC:monocyte-derived:AEC-conditioned: 0.41, Macrophage:monocyte-derived:IL-4/Dex/TGFb: 0.41, Monocyte:CD16+: 0.41, Monocyte:CD16-: 0.41, DC:monocyte-derived:anti-DC-SIGN_2h: 0.4, Macrophage:monocyte-derived:M-CSF/IFNg: 0.4, Monocyte: 0.4 |
R48a_w14.5_CCGTTCAGTATCACCA-1 | Macrophage:monocyte-derived:IL-4/Dex/TGFb | 0.16 | 639.88 | Raw ScoresMacrophage:monocyte-derived:IL-4/Dex/TGFb: 0.45, Macrophage:monocyte-derived:IL-4/Dex/cntrl: 0.45, Macrophage:monocyte-derived:M-CSF: 0.44, DC:monocyte-derived: 0.44, DC:monocyte-derived:immature: 0.44, Macrophage:monocyte-derived: 0.44, Macrophage:monocyte-derived:IL-4/cntrl: 0.44, DC:monocyte-derived:AM580: 0.43, Macrophage:monocyte-derived:M-CSF/Pam3Cys: 0.43, Macrophage:monocyte-derived:IL-4/TGFb: 0.43 |
R48a_w14.5_CGTGTCTTCTGGCTGG-1 | Macrophage:monocyte-derived:IL-4/Dex/TGFb | 0.15 | 635.27 | Raw ScoresMacrophage:monocyte-derived:M-CSF: 0.45, Monocyte:leukotriene_D4: 0.45, Macrophage:monocyte-derived:IL-4/Dex/cntrl: 0.44, Macrophage:monocyte-derived:IL-4/Dex/TGFb: 0.44, Macrophage:monocyte-derived:M-CSF/IFNg: 0.44, Monocyte: 0.44, Monocyte:anti-FcgRIIB: 0.43, Monocyte:CD16-: 0.43, Monocyte:CD14+: 0.43, Monocyte:CD16+: 0.43 |
R48b_w12_GATTCTTGTCGGTGTC-1 | DC:monocyte-derived:anti-DC-SIGN_2h | 0.14 | 608.67 | Raw ScoresMacrophage:monocyte-derived:M-CSF: 0.42, DC:monocyte-derived:anti-DC-SIGN_2h: 0.41, Macrophage:monocyte-derived:IL-4/Dex/TGFb: 0.41, Macrophage:monocyte-derived:IL-4/Dex/cntrl: 0.41, Monocyte:leukotriene_D4: 0.41, DC:monocyte-derived:AEC-conditioned: 0.4, DC:monocyte-derived: 0.4, Macrophage:monocyte-derived:M-CSF/IFNg: 0.4, DC:monocyte-derived:immature: 0.39, Monocyte: 0.39 |
R53b_w11.5_CTAGGTAGTGTACGCC-1 | Macrophage:monocyte-derived:IL-4/Dex/TGFb | 0.14 | 602.73 | Raw ScoresMacrophage:monocyte-derived:IL-4/Dex/TGFb: 0.47, Macrophage:monocyte-derived:M-CSF: 0.47, Macrophage:monocyte-derived:IL-4/Dex/cntrl: 0.47, DC:monocyte-derived:AEC-conditioned: 0.46, DC:monocyte-derived:immature: 0.46, DC:monocyte-derived:anti-DC-SIGN_2h: 0.46, DC:monocyte-derived: 0.45, Macrophage:monocyte-derived: 0.45, Macrophage:monocyte-derived:IL-4/TGFb: 0.45, Monocyte:leukotriene_D4: 0.45 |
R53a_w9.5_CCCGGAATCTTGGTCC-1 | Macrophage:monocyte-derived:IL-4/Dex/cntrl | 0.13 | 592.04 | Raw ScoresMacrophage:monocyte-derived:M-CSF: 0.44, Macrophage:monocyte-derived:IL-4/Dex/TGFb: 0.43, Macrophage:monocyte-derived:IL-4/Dex/cntrl: 0.43, Monocyte:CD16-: 0.43, Monocyte:leukotriene_D4: 0.42, Monocyte:CD16+: 0.42, Macrophage:monocyte-derived:M-CSF/IFNg: 0.42, Monocyte: 0.42, DC:monocyte-derived:anti-DC-SIGN_2h: 0.42, Monocyte:CD14+: 0.42 |
R48a_w14.5_TCACAAGAGTGCTCGC-1 | Macrophage:monocyte-derived:IL-4/Dex/TGFb | 0.17 | 578.08 | Raw ScoresMacrophage:monocyte-derived:M-CSF: 0.44, Macrophage:monocyte-derived:IL-4/Dex/TGFb: 0.44, Macrophage:monocyte-derived:IL-4/Dex/cntrl: 0.43, Monocyte:leukotriene_D4: 0.43, Monocyte:CD16-: 0.42, DC:monocyte-derived:anti-DC-SIGN_2h: 0.42, Monocyte: 0.42, Macrophage:monocyte-derived:M-CSF/IFNg: 0.42, Monocyte:CD14+: 0.42, DC:monocyte-derived: 0.41 |
R53b_w11.5_TCTATACCAAAGCTAA-1 | Macrophage:monocyte-derived:M-CSF | 0.14 | 574.75 | Raw ScoresPre-B_cell_CD34-: 0.47, Macrophage:monocyte-derived:M-CSF: 0.46, Monocyte:CD16-: 0.46, Monocyte:leukotriene_D4: 0.46, DC:monocyte-derived:AEC-conditioned: 0.45, Macrophage:monocyte-derived:M-CSF/IFNg: 0.45, Monocyte:CD14+: 0.45, Monocyte:CD16+: 0.45, Macrophage:monocyte-derived:IL-4/Dex/cntrl: 0.45, Monocyte: 0.45 |
R53a_w9.5_GTGGTTAGTCGGCCTA-1 | Macrophage:monocyte-derived:M-CSF | 0.18 | 573.73 | Raw ScoresMacrophage:monocyte-derived:M-CSF: 0.46, DC:monocyte-derived:anti-DC-SIGN_2h: 0.46, Monocyte:leukotriene_D4: 0.45, Macrophage:monocyte-derived:IL-4/Dex/TGFb: 0.45, Macrophage:monocyte-derived:IL-4/Dex/cntrl: 0.45, Monocyte:CD16-: 0.45, Monocyte: 0.44, Macrophage:monocyte-derived:M-CSF/IFNg: 0.44, DC:monocyte-derived: 0.44, Monocyte:CD14+: 0.44 |
R48a_w14.5_TCCACGTGTTCTATCT-1 | Macrophage:monocyte-derived:IL-4/Dex/TGFb | 0.18 | 566.96 | Raw ScoresMacrophage:monocyte-derived:M-CSF: 0.49, Macrophage:monocyte-derived:IL-4/Dex/TGFb: 0.48, Macrophage:monocyte-derived:IL-4/Dex/cntrl: 0.48, Monocyte:leukotriene_D4: 0.47, Macrophage:monocyte-derived:IL-4/TGFb: 0.46, Macrophage:monocyte-derived:IL-4/cntrl: 0.46, DC:monocyte-derived:immature: 0.46, Macrophage:monocyte-derived:M-CSF/IFNg: 0.46, Monocyte: 0.46, DC:monocyte-derived:anti-DC-SIGN_2h: 0.46 |
R48b_w12_AAAGGATCAGCAGTCC-1 | Macrophage:monocyte-derived:IL-4/Dex/TGFb | 0.15 | 566.00 | Raw ScoresMacrophage:monocyte-derived:IL-4/Dex/TGFb: 0.37, Macrophage:monocyte-derived:M-CSF: 0.37, Macrophage:monocyte-derived:IL-4/Dex/cntrl: 0.37, Monocyte:leukotriene_D4: 0.36, DC:monocyte-derived:anti-DC-SIGN_2h: 0.36, Monocyte:CD16-: 0.35, Monocyte: 0.35, Macrophage:monocyte-derived:M-CSF/IFNg: 0.35, Monocyte:CD14+: 0.35, Monocyte:anti-FcgRIIB: 0.35 |
R48b_w12_TTTCCTCCAGAGGAAA-1 | DC:monocyte-derived:AEC-conditioned | 0.14 | 561.92 | Raw ScoresMacrophage:monocyte-derived:M-CSF: 0.41, Macrophage:monocyte-derived:M-CSF/IFNg: 0.4, Monocyte:leukotriene_D4: 0.39, DC:monocyte-derived:anti-DC-SIGN_2h: 0.39, Macrophage:monocyte-derived:IL-4/Dex/TGFb: 0.39, Macrophage:monocyte-derived:IL-4/Dex/cntrl: 0.39, DC:monocyte-derived:AEC-conditioned: 0.39, Monocyte: 0.38, Monocyte:anti-FcgRIIB: 0.38, Monocyte:CD16+: 0.38 |
R43_w6_AAACCCATCAATCCGA-1 | Macrophage:monocyte-derived:IL-4/Dex/cntrl | 0.10 | 552.89 | Raw ScoresMacrophage:monocyte-derived:M-CSF: 0.46, DC:monocyte-derived:AEC-conditioned: 0.45, Macrophage:monocyte-derived:IL-4/Dex/cntrl: 0.44, Macrophage:monocyte-derived:M-CSF/IFNg: 0.44, Monocyte:leukotriene_D4: 0.44, Macrophage:monocyte-derived:IL-4/Dex/TGFb: 0.44, GMP: 0.44, DC:monocyte-derived:anti-DC-SIGN_2h: 0.44, Monocyte:CD16+: 0.44, Monocyte:CD16-: 0.44 |
R53b_w11.5_AACAAGAGTCTGCAAT-1 | Macrophage:monocyte-derived:IL-4/Dex/TGFb | 0.11 | 551.67 | Raw ScoresMacrophage:monocyte-derived:M-CSF: 0.39, Macrophage:monocyte-derived:IL-4/Dex/TGFb: 0.38, Macrophage:monocyte-derived:IL-4/Dex/cntrl: 0.38, Monocyte:leukotriene_D4: 0.38, DC:monocyte-derived:anti-DC-SIGN_2h: 0.38, DC:monocyte-derived:AEC-conditioned: 0.37, Macrophage:monocyte-derived:M-CSF/IFNg: 0.37, Pre-B_cell_CD34-: 0.37, Monocyte: 0.37, Monocyte:CD16-: 0.37 |
R53b_w11.5_ATCCGTCCACAGGATG-1 | Macrophage:monocyte-derived:IL-4/Dex/TGFb | 0.15 | 544.52 | Raw ScoresMacrophage:monocyte-derived:M-CSF: 0.41, Macrophage:monocyte-derived:IL-4/Dex/TGFb: 0.41, Macrophage:monocyte-derived:IL-4/Dex/cntrl: 0.41, Monocyte:leukotriene_D4: 0.4, Macrophage:monocyte-derived:M-CSF/IFNg: 0.39, DC:monocyte-derived:anti-DC-SIGN_2h: 0.39, Monocyte: 0.39, DC:monocyte-derived:immature: 0.39, DC:monocyte-derived:AEC-conditioned: 0.39, Monocyte:CD16-: 0.39 |
R53b_w11.5_TATCTGTTCGTGCTCT-1 | Macrophage:monocyte-derived:IL-4/Dex/TGFb | 0.11 | 536.53 | Raw ScoresMacrophage:monocyte-derived:M-CSF: 0.42, Monocyte:leukotriene_D4: 0.41, Monocyte:CD16-: 0.41, Macrophage:monocyte-derived:IL-4/Dex/TGFb: 0.41, Monocyte:CD16+: 0.41, DC:monocyte-derived:AEC-conditioned: 0.41, Macrophage:monocyte-derived:IL-4/Dex/cntrl: 0.41, Macrophage:monocyte-derived:M-CSF/IFNg: 0.41, Monocyte: 0.4, DC:monocyte-derived:anti-DC-SIGN_2h: 0.4 |
R53b_w11.5_ATCGGATGTTACCCAA-1 | Macrophage:monocyte-derived:IL-4/Dex/TGFb | 0.17 | 528.42 | Raw ScoresMacrophage:monocyte-derived:M-CSF: 0.45, Macrophage:monocyte-derived:IL-4/Dex/cntrl: 0.44, Macrophage:monocyte-derived:IL-4/Dex/TGFb: 0.44, Macrophage:monocyte-derived:M-CSF/IFNg: 0.43, Monocyte:leukotriene_D4: 0.42, Monocyte: 0.42, DC:monocyte-derived:anti-DC-SIGN_2h: 0.42, Monocyte:anti-FcgRIIB: 0.42, DC:monocyte-derived:immature: 0.41, DC:monocyte-derived: 0.41 |
R48b_w12_TACACCCTCTTCGTAT-1 | Macrophage:monocyte-derived:IL-4/Dex/TGFb | 0.13 | 523.05 | Raw ScoresMacrophage:monocyte-derived:M-CSF: 0.49, Macrophage:monocyte-derived:IL-4/Dex/TGFb: 0.49, DC:monocyte-derived:AEC-conditioned: 0.49, Macrophage:monocyte-derived:IL-4/Dex/cntrl: 0.49, DC:monocyte-derived:anti-DC-SIGN_2h: 0.48, Monocyte:leukotriene_D4: 0.47, Macrophage:monocyte-derived:M-CSF/IFNg: 0.47, Macrophage:monocyte-derived: 0.47, Monocyte: 0.47, DC:monocyte-derived:immature: 0.47 |
R30_w8.5_CGAGAAGAGAACTCCT-1 | DC:monocyte-derived:anti-DC-SIGN_2h | 0.10 | 521.65 | Raw ScoresDC:monocyte-derived:AEC-conditioned: 0.41, Macrophage:monocyte-derived:M-CSF: 0.41, Macrophage:monocyte-derived:IL-4/Dex/cntrl: 0.41, DC:monocyte-derived:anti-DC-SIGN_2h: 0.4, Monocyte:leukotriene_D4: 0.4, Macrophage:monocyte-derived:IL-4/Dex/TGFb: 0.4, DC:monocyte-derived: 0.4, DC:monocyte-derived:immature: 0.4, Pre-B_cell_CD34-: 0.4, Macrophage:monocyte-derived: 0.4 |
R53b_w11.5_GACTCAATCGAGTCTA-1 | Macrophage:monocyte-derived:IL-4/Dex/TGFb | 0.14 | 521.35 | Raw ScoresMacrophage:monocyte-derived:M-CSF: 0.39, Macrophage:monocyte-derived:IL-4/Dex/TGFb: 0.39, Macrophage:monocyte-derived:IL-4/Dex/cntrl: 0.39, Macrophage:monocyte-derived:M-CSF/IFNg: 0.38, DC:monocyte-derived:anti-DC-SIGN_2h: 0.38, DC:monocyte-derived:AEC-conditioned: 0.38, Monocyte:leukotriene_D4: 0.38, DC:monocyte-derived: 0.38, DC:monocyte-derived:immature: 0.37, Monocyte: 0.37 |
R30_w8.5_CATCGCTGTTTCACTT-1 | DC:monocyte-derived:anti-DC-SIGN_2h | 0.11 | 520.16 | Raw ScoresDC:monocyte-derived:AEC-conditioned: 0.39, Macrophage:monocyte-derived:M-CSF: 0.39, Macrophage:monocyte-derived:IL-4/Dex/cntrl: 0.38, Macrophage:monocyte-derived:IL-4/Dex/TGFb: 0.38, Monocyte:leukotriene_D4: 0.38, DC:monocyte-derived:anti-DC-SIGN_2h: 0.38, Pre-B_cell_CD34-: 0.37, Macrophage:monocyte-derived:M-CSF/IFNg: 0.37, DC:monocyte-derived: 0.37, DC:monocyte-derived:immature: 0.37 |
R53b_w11.5_CTCAACCTCCTTCACG-1 | Macrophage:monocyte-derived:IL-4/Dex/TGFb | 0.13 | 519.40 | Raw ScoresMacrophage:monocyte-derived:M-CSF: 0.4, Monocyte:leukotriene_D4: 0.4, Macrophage:monocyte-derived:IL-4/Dex/TGFb: 0.4, DC:monocyte-derived:anti-DC-SIGN_2h: 0.39, Monocyte: 0.39, Monocyte:CD16-: 0.39, Macrophage:monocyte-derived:IL-4/Dex/cntrl: 0.39, Macrophage:monocyte-derived:M-CSF/IFNg: 0.39, Monocyte:CD16+: 0.39, Monocyte:CD14+: 0.39 |
R48b_w12_GAGTTACAGCACCGTC-1 | Macrophage:monocyte-derived:IL-4/Dex/TGFb | 0.17 | 515.84 | Raw ScoresMacrophage:monocyte-derived:M-CSF: 0.47, Macrophage:monocyte-derived:IL-4/Dex/cntrl: 0.45, Macrophage:monocyte-derived:IL-4/Dex/TGFb: 0.45, Monocyte:leukotriene_D4: 0.45, Macrophage:monocyte-derived:M-CSF/IFNg: 0.45, Monocyte: 0.44, DC:monocyte-derived:anti-DC-SIGN_2h: 0.44, Monocyte:CD16-: 0.44, DC:monocyte-derived:AEC-conditioned: 0.44, Monocyte:anti-FcgRIIB: 0.44 |
R30_w8.5_TACACCCAGGCGTTGA-1 | Macrophage:monocyte-derived:M-CSF | 0.15 | 514.02 | Raw ScoresMacrophage:monocyte-derived:M-CSF/IFNg: 0.44, Macrophage:monocyte-derived:M-CSF: 0.44, Monocyte:leukotriene_D4: 0.43, Monocyte:CD16-: 0.43, DC:monocyte-derived:AEC-conditioned: 0.43, Monocyte:CD14+: 0.43, Monocyte:CD16+: 0.43, Monocyte:anti-FcgRIIB: 0.43, Monocyte: 0.43, Macrophage:monocyte-derived:IL-4/Dex/cntrl: 0.42 |
Below shows the significant enrichments of this GEP for literature curated gene lists
This data was procured from existing single cell RNA-seq maps of neuroblastoma or related relevant data.
High ranks indicate this gene is a driver of this GEP.
These curated gene list are ranked by the P-value (on this GEP) of their constituent genes.
The Mean Count column shows the mean read count in cells scoring highly (H > 50) on this gene expression program.
Genes | Weight | Rank | GTEx | DepMap | Decartes | Mean.Counts | Mean.TPM |
---|---|---|---|---|---|---|---|
CD163 | 0.0075616 | 10 | GTEx | DepMap | Descartes | 5.64 | 389.06 |
CD14 | 0.0069064 | 19 | GTEx | DepMap | Descartes | 5.61 | 1238.46 |
IL10 | 0.0035510 | 103 | GTEx | DepMap | Descartes | 0.20 | 24.00 |
TGFB1 | 0.0012448 | 530 | GTEx | DepMap | Descartes | 1.24 | 153.97 |
CCL18 | 0.0012324 | 533 | GTEx | DepMap | Descartes | 0.01 | 3.36 |
VEGFA | 0.0008087 | 852 | GTEx | DepMap | Descartes | 0.87 | 27.84 |
CCL24 | 0.0007721 | 911 | GTEx | DepMap | Descartes | 0.01 | 3.33 |
CXCR2 | 0.0002644 | 2375 | GTEx | DepMap | Descartes | 0.00 | 0.58 |
IL2RA | 0.0000775 | 4814 | GTEx | DepMap | Descartes | 0.00 | 0.00 |
CCL22 | -0.0000057 | 8812 | GTEx | DepMap | Descartes | 0.01 | 0.60 |
IL4 | -0.0000123 | 10229 | GTEx | DepMap | Descartes | 0.00 | 0.00 |
IL13 | -0.0000336 | 14473 | GTEx | DepMap | Descartes | 0.00 | 0.00 |
ARG1 | -0.0001644 | 22830 | GTEx | DepMap | Descartes | 0.04 | 3.06 |
Noninflammatory Macrophages (Yuan)
Obtained from Fig. 6 of Yuan et al. https://www.biorxiv.org/content/10.1101/2020.05.15.097469v1:
Wilcoxon ranksum test P-value for gene set overrepresentation: 2.77e-04
Mean rank of genes in gene set: 41.5
Rank on gene expression program of genes in gene set:
Genes | Weight | Rank | GTEx | DepMap | Decartes | Mean.Counts | Mean.TPM |
---|---|---|---|---|---|---|---|
CD163 | 0.0075616 | 10 | GTEx | DepMap | Descartes | 5.64 | 389.06 |
MS4A7 | 0.0073118 | 12 | GTEx | DepMap | Descartes | 5.27 | 671.87 |
VSIG4 | 0.0062912 | 27 | GTEx | DepMap | Descartes | 2.68 | 464.38 |
MAF | 0.0032906 | 117 | GTEx | DepMap | Descartes | 4.71 | 284.98 |
Protein maturation (Kinker)
These marker genes were obtained in a pan cancer cell lines NMF analysis of scRNA-eq data in Kinker et al (PMID 33128048) - 10 metaprograms were recovered that manifest across cancers.:
Wilcoxon ranksum test P-value for gene set overrepresentation: 1.31e-03
Mean rank of genes in gene set: 2878.6
Rank on gene expression program of genes in gene set:
Genes | Weight | Rank | GTEx | DepMap | Decartes | Mean.Counts | Mean.TPM |
---|---|---|---|---|---|---|---|
OS9 | 0.0007278 | 971 | GTEx | DepMap | Descartes | 0.81 | 70.64 |
RPN2 | 0.0005293 | 1334 | GTEx | DepMap | Descartes | 1.25 | 171.92 |
HSPA5 | 0.0002043 | 2880 | GTEx | DepMap | Descartes | 2.98 | 268.92 |
HSPA8 | 0.0001132 | 4032 | GTEx | DepMap | Descartes | 3.25 | 433.54 |
PDIA3 | 0.0000638 | 5176 | GTEx | DepMap | Descartes | 1.45 | 123.28 |
Below shows ranks on this GEP for literature curated gene lists for large gene sets
These include those reported as mesenchymal/adrenergic by Van Groningen et al.
High ranks indicate this gene is a driver of this GEP (note these results are not ordered).
The Mean Count column shows the mean read count in cells scoring highly (H > 50) on this gene expression program.
VanGroningen Adrenergic Genes
Adrenergic marker genes from Supplementary Table 2 of Van Groningen et al. Nature Genetics 2017. These genes were identified by differential expression analysis of mesenchymal-like and adrenergic-like neuroblastoma cell lines.
Wilcoxon ranksum test P-value for gene set overrepresentation: 1.00e+00
Mean rank of genes in gene set: 18285.65
Median rank of genes in gene set: 21396
Rank on gene expression program of top 30 genes in gene set:
Genes | Weight | Rank | GTEx | DepMap | Descartes | Mean.Counts | Mean.TPM |
---|---|---|---|---|---|---|---|
CELF2 | 0.0019121 | 300 | GTEx | DepMap | Descartes | 1.25 | 58.60 |
MYO5A | 0.0018073 | 319 | GTEx | DepMap | Descartes | 0.44 | 13.56 |
UCP2 | 0.0017790 | 333 | GTEx | DepMap | Descartes | 1.94 | 274.60 |
ATP6V1B2 | 0.0016330 | 385 | GTEx | DepMap | Descartes | 1.02 | 48.70 |
LYN | 0.0014772 | 434 | GTEx | DepMap | Descartes | 0.93 | 55.41 |
FOXO3 | 0.0014352 | 451 | GTEx | DepMap | Descartes | 0.97 | 50.04 |
DNAJB1 | 0.0013057 | 500 | GTEx | DepMap | Descartes | 3.56 | 520.72 |
EVL | 0.0012832 | 512 | GTEx | DepMap | Descartes | 1.30 | 128.81 |
CXCR4 | 0.0012338 | 532 | GTEx | DepMap | Descartes | 1.21 | 238.03 |
MMD | 0.0011184 | 595 | GTEx | DepMap | Descartes | 0.38 | 47.94 |
CCSAP | 0.0007181 | 993 | GTEx | DepMap | Descartes | 0.20 | NA |
GLRX | 0.0006975 | 1032 | GTEx | DepMap | Descartes | 0.90 | 75.94 |
IRS2 | 0.0006762 | 1064 | GTEx | DepMap | Descartes | 0.51 | 26.90 |
PIK3R1 | 0.0006215 | 1149 | GTEx | DepMap | Descartes | 0.79 | 43.39 |
C4orf48 | 0.0006184 | 1155 | GTEx | DepMap | Descartes | 1.29 | 884.51 |
SCAMP5 | 0.0004478 | 1568 | GTEx | DepMap | Descartes | 0.13 | 14.45 |
DAPK1 | 0.0004368 | 1613 | GTEx | DepMap | Descartes | 0.30 | 16.28 |
HK2 | 0.0003702 | 1823 | GTEx | DepMap | Descartes | 0.14 | 6.35 |
RTN2 | 0.0003450 | 1947 | GTEx | DepMap | Descartes | 0.16 | 21.48 |
ANP32A | 0.0003258 | 2036 | GTEx | DepMap | Descartes | 0.97 | 81.42 |
CHML | 0.0003179 | 2069 | GTEx | DepMap | Descartes | 0.25 | 10.91 |
AP1S2 | 0.0003011 | 2151 | GTEx | DepMap | Descartes | 0.65 | 55.40 |
CERK | 0.0002951 | 2183 | GTEx | DepMap | Descartes | 0.26 | 20.45 |
ARL6IP1 | 0.0002907 | 2204 | GTEx | DepMap | Descartes | 1.29 | 165.02 |
GNB1 | 0.0002841 | 2254 | GTEx | DepMap | Descartes | 1.19 | 125.24 |
SETD7 | 0.0002297 | 2640 | GTEx | DepMap | Descartes | 0.13 | 7.19 |
NFIL3 | 0.0002189 | 2748 | GTEx | DepMap | Descartes | 0.28 | 42.67 |
CDKN2C | 0.0002080 | 2854 | GTEx | DepMap | Descartes | 0.11 | 9.02 |
PDK1 | 0.0001995 | 2925 | GTEx | DepMap | Descartes | 0.35 | 8.30 |
HMGA1 | 0.0001937 | 2977 | GTEx | DepMap | Descartes | 1.45 | 173.49 |
VanGroningen Mesenchymal Genes
Mesenchymal marker genes from Supplementary Table 2 of Van Groningen et al. Nature Genetics 2017. These genes were identified by differential expression analysis of mesenchymal-like and adrenergic-like neuroblastoma cell lines.
Wilcoxon ranksum test P-value for gene set overrepresentation: 1.00e+00
Mean rank of genes in gene set: 14035.4
Median rank of genes in gene set: 19336
Rank on gene expression program of top 30 genes in gene set:
Genes | Weight | Rank | GTEx | DepMap | Descartes | Mean.Counts | Mean.TPM |
---|---|---|---|---|---|---|---|
LIPA | 0.0088420 | 4 | GTEx | DepMap | Descartes | 3.91 | 429.13 |
CTSB | 0.0086551 | 5 | GTEx | DepMap | Descartes | 10.82 | 928.08 |
CREG1 | 0.0058672 | 30 | GTEx | DepMap | Descartes | 3.50 | 590.20 |
GRN | 0.0053263 | 33 | GTEx | DepMap | Descartes | 4.45 | 708.32 |
NPC2 | 0.0050727 | 42 | GTEx | DepMap | Descartes | 4.14 | 930.34 |
KCTD12 | 0.0036502 | 94 | GTEx | DepMap | Descartes | 2.84 | 166.98 |
HLA-B | 0.0031439 | 132 | GTEx | DepMap | Descartes | 6.16 | 1380.60 |
B2M | 0.0025266 | 197 | GTEx | DepMap | Descartes | 31.59 | 4600.53 |
CTSC | 0.0024329 | 215 | GTEx | DepMap | Descartes | 3.42 | 205.48 |
RAB31 | 0.0023027 | 228 | GTEx | DepMap | Descartes | 1.06 | 90.27 |
ARPC1B | 0.0022834 | 230 | GTEx | DepMap | Descartes | 2.13 | 374.51 |
OGFRL1 | 0.0021985 | 238 | GTEx | DepMap | Descartes | 1.38 | 61.27 |
CYFIP1 | 0.0020902 | 258 | GTEx | DepMap | Descartes | 1.23 | 62.42 |
ZFP36L1 | 0.0020694 | 267 | GTEx | DepMap | Descartes | 5.92 | 711.41 |
PYGL | 0.0019962 | 281 | GTEx | DepMap | Descartes | 0.72 | 89.73 |
A2M | 0.0019186 | 298 | GTEx | DepMap | Descartes | 4.31 | 357.33 |
RGL1 | 0.0017210 | 351 | GTEx | DepMap | Descartes | 0.97 | 69.30 |
HNMT | 0.0016477 | 379 | GTEx | DepMap | Descartes | 0.56 | 55.11 |
THBS1 | 0.0016339 | 384 | GTEx | DepMap | Descartes | 1.07 | 45.22 |
HLA-A | 0.0016243 | 387 | GTEx | DepMap | Descartes | 4.18 | 284.05 |
ADAM9 | 0.0016222 | 388 | GTEx | DepMap | Descartes | 0.71 | 62.81 |
ABRACL | 0.0016155 | 395 | GTEx | DepMap | Descartes | 0.68 | NA |
PPT1 | 0.0015778 | 402 | GTEx | DepMap | Descartes | 0.86 | 69.11 |
QKI | 0.0015773 | 403 | GTEx | DepMap | Descartes | 2.90 | 120.03 |
NRP1 | 0.0015609 | 410 | GTEx | DepMap | Descartes | 2.03 | 130.40 |
RGS10 | 0.0015300 | 413 | GTEx | DepMap | Descartes | 1.76 | 610.24 |
CMTM6 | 0.0014995 | 421 | GTEx | DepMap | Descartes | 1.33 | 143.75 |
LAMP1 | 0.0014813 | 431 | GTEx | DepMap | Descartes | 1.25 | 79.66 |
GNS | 0.0014580 | 441 | GTEx | DepMap | Descartes | 0.74 | 44.48 |
PLEKHA2 | 0.0014331 | 453 | GTEx | DepMap | Descartes | 0.61 | 37.70 |
Descartes adrenocortical markers
Top 50 marker genes of adrenocortical cells in the Decartes fetal adrenal single cell map (https://atlas.brotmanbaty.org/bbi/human-gene-expression-during-development/cell/adrenocortical/in/adrenal)
Wilcoxon ranksum test P-value for gene set overrepresentation: 1.00e+00
Mean rank of genes in gene set: 21982.48
Median rank of genes in gene set: 24304
Rank on gene expression program of top 30 genes in gene set:
Genes | Weight | Rank | GTEx | DepMap | Descartes | Mean.Counts | Mean.TPM |
---|---|---|---|---|---|---|---|
NPC1 | 0.0004870 | 1443 | GTEx | DepMap | Descartes | 0.29 | 22.93 |
POR | 0.0001114 | 4066 | GTEx | DepMap | Descartes | 0.70 | 78.20 |
APOC1 | 0.0000643 | 5161 | GTEx | DepMap | Descartes | 1.91 | 753.72 |
SH3PXD2B | 0.0000483 | 5639 | GTEx | DepMap | Descartes | 0.10 | 4.79 |
SGCZ | -0.0000176 | 11483 | GTEx | DepMap | Descartes | 0.00 | 0.00 |
SLC1A2 | -0.0000761 | 18982 | GTEx | DepMap | Descartes | 0.00 | 0.04 |
FRMD5 | -0.0000920 | 19968 | GTEx | DepMap | Descartes | 0.00 | 0.13 |
SCARB1 | -0.0001056 | 20679 | GTEx | DepMap | Descartes | 0.41 | 22.62 |
SLC2A14 | -0.0001062 | 20720 | GTEx | DepMap | Descartes | 0.01 | 0.29 |
DNER | -0.0001089 | 20849 | GTEx | DepMap | Descartes | 0.00 | 0.28 |
FREM2 | -0.0001241 | 21516 | GTEx | DepMap | Descartes | 0.01 | 0.10 |
SCAP | -0.0001560 | 22588 | GTEx | DepMap | Descartes | 0.17 | 15.50 |
PAPSS2 | -0.0001573 | 22629 | GTEx | DepMap | Descartes | 0.11 | 6.63 |
CLU | -0.0001630 | 22787 | GTEx | DepMap | Descartes | 0.09 | 6.47 |
ERN1 | -0.0001949 | 23525 | GTEx | DepMap | Descartes | 0.09 | 4.12 |
SH3BP5 | -0.0002022 | 23673 | GTEx | DepMap | Descartes | 0.74 | 73.01 |
BAIAP2L1 | -0.0002079 | 23761 | GTEx | DepMap | Descartes | 0.02 | 0.79 |
CYP17A1 | -0.0002153 | 23888 | GTEx | DepMap | Descartes | 0.33 | 32.09 |
GRAMD1B | -0.0002194 | 23956 | GTEx | DepMap | Descartes | 0.13 | 6.68 |
CYP11B1 | -0.0002221 | 23992 | GTEx | DepMap | Descartes | 0.14 | 12.13 |
LINC00473 | -0.0002260 | 24043 | GTEx | DepMap | Descartes | 0.01 | NA |
CYP21A2 | -0.0002356 | 24191 | GTEx | DepMap | Descartes | 0.12 | 14.63 |
HSPE1 | -0.0002399 | 24250 | GTEx | DepMap | Descartes | 3.49 | 1391.61 |
PDE10A | -0.0002487 | 24358 | GTEx | DepMap | Descartes | 0.01 | 0.20 |
SLC16A9 | -0.0002579 | 24462 | GTEx | DepMap | Descartes | 0.05 | 3.46 |
DHCR7 | -0.0002710 | 24601 | GTEx | DepMap | Descartes | 0.08 | 6.44 |
SULT2A1 | -0.0002763 | 24661 | GTEx | DepMap | Descartes | 0.13 | 17.97 |
MC2R | -0.0002887 | 24763 | GTEx | DepMap | Descartes | 0.01 | 1.13 |
HSPD1 | -0.0003075 | 24921 | GTEx | DepMap | Descartes | 3.29 | 437.50 |
JAKMIP2 | -0.0003248 | 25044 | GTEx | DepMap | Descartes | 0.01 | 0.56 |
Descartes chromaffin markers
Top 50 marker genes of chromaffin cells in the Decartes fetal adrenal single cell map (https://atlas.brotmanbaty.org/bbi/human-gene-expression-during-development/cell/chromaffin/in/adrenal)
Wilcoxon ranksum test P-value for gene set overrepresentation: 1.00e+00
Mean rank of genes in gene set: 20073.77
Median rank of genes in gene set: 20378
Rank on gene expression program of top 30 genes in gene set:
Genes | Weight | Rank | GTEx | DepMap | Descartes | Mean.Counts | Mean.TPM |
---|---|---|---|---|---|---|---|
BASP1 | 0.0002963 | 2178 | GTEx | DepMap | Descartes | 0.40 | 62.95 |
ANKFN1 | -0.0000268 | 13365 | GTEx | DepMap | Descartes | 0.00 | 0.06 |
EPHA6 | -0.0000370 | 14981 | GTEx | DepMap | Descartes | 0.00 | 0.03 |
ALK | -0.0000453 | 16128 | GTEx | DepMap | Descartes | 0.00 | 0.46 |
HS3ST5 | -0.0000492 | 16550 | GTEx | DepMap | Descartes | 0.00 | 0.06 |
KCNB2 | -0.0000536 | 17012 | GTEx | DepMap | Descartes | 0.00 | 0.00 |
HMX1 | -0.0000569 | 17326 | GTEx | DepMap | Descartes | 0.00 | 0.17 |
SLC44A5 | -0.0000623 | 17867 | GTEx | DepMap | Descartes | 0.00 | 0.00 |
RYR2 | -0.0000630 | 17935 | GTEx | DepMap | Descartes | 0.00 | 0.03 |
NTRK1 | -0.0000663 | 18206 | GTEx | DepMap | Descartes | 0.00 | 0.13 |
EYA4 | -0.0000673 | 18285 | GTEx | DepMap | Descartes | 0.00 | 0.17 |
GREM1 | -0.0000688 | 18397 | GTEx | DepMap | Descartes | 0.01 | 0.18 |
PTCHD1 | -0.0000735 | 18790 | GTEx | DepMap | Descartes | 0.00 | 0.08 |
RPH3A | -0.0000736 | 18796 | GTEx | DepMap | Descartes | 0.00 | 0.16 |
MARCH11 | -0.0000763 | 18996 | GTEx | DepMap | Descartes | 0.00 | NA |
TMEM132C | -0.0000870 | 19666 | GTEx | DepMap | Descartes | 0.00 | 0.04 |
IL7 | -0.0000880 | 19722 | GTEx | DepMap | Descartes | 0.00 | 0.26 |
TMEFF2 | -0.0000900 | 19849 | GTEx | DepMap | Descartes | 0.00 | 0.04 |
RGMB | -0.0000962 | 20173 | GTEx | DepMap | Descartes | 0.05 | 3.51 |
CNKSR2 | -0.0000968 | 20217 | GTEx | DepMap | Descartes | 0.01 | 0.28 |
PRPH | -0.0000978 | 20267 | GTEx | DepMap | Descartes | 0.02 | 5.11 |
MAB21L2 | -0.0000993 | 20353 | GTEx | DepMap | Descartes | 0.01 | 0.67 |
SLC6A2 | -0.0001003 | 20403 | GTEx | DepMap | Descartes | 0.01 | 0.80 |
NPY | -0.0001041 | 20607 | GTEx | DepMap | Descartes | 0.02 | 8.90 |
RBFOX1 | -0.0001167 | 21216 | GTEx | DepMap | Descartes | 0.01 | 0.86 |
PLXNA4 | -0.0001192 | 21325 | GTEx | DepMap | Descartes | 0.01 | 0.14 |
MAB21L1 | -0.0001262 | 21598 | GTEx | DepMap | Descartes | 0.01 | 0.75 |
EYA1 | -0.0001317 | 21803 | GTEx | DepMap | Descartes | 0.00 | 0.00 |
FAT3 | -0.0001354 | 21923 | GTEx | DepMap | Descartes | 0.00 | 0.07 |
GAL | -0.0001356 | 21931 | GTEx | DepMap | Descartes | 0.03 | 9.30 |
Descartes Vascular_endothelial markers
Top 50 marker genes of Vascular_endothelial cells in the Decartes fetal adrenal single cell map (https://atlas.brotmanbaty.org/bbi/human-gene-expression-during-development/cell/vascular_endothelial/in/adrenal)
Wilcoxon ranksum test P-value for gene set overrepresentation: 1.00e+00
Mean rank of genes in gene set: 24955.27
Median rank of genes in gene set: 25340.5
Rank on gene expression program of top 30 genes in gene set:
Genes | Weight | Rank | GTEx | DepMap | Descartes | Mean.Counts | Mean.TPM |
---|---|---|---|---|---|---|---|
SHE | -0.0000622 | 17855 | GTEx | DepMap | Descartes | 0.12 | 5.79 |
MYRIP | -0.0001268 | 21629 | GTEx | DepMap | Descartes | 0.00 | 0.35 |
NR5A2 | -0.0001794 | 23205 | GTEx | DepMap | Descartes | 0.01 | 0.25 |
GALNT15 | -0.0002367 | 24206 | GTEx | DepMap | Descartes | 0.02 | NA |
CDH13 | -0.0002442 | 24308 | GTEx | DepMap | Descartes | 0.01 | 0.59 |
ESM1 | -0.0002495 | 24369 | GTEx | DepMap | Descartes | 0.03 | 4.68 |
SLCO2A1 | -0.0002570 | 24449 | GTEx | DepMap | Descartes | 0.02 | 1.45 |
CHRM3 | -0.0002837 | 24725 | GTEx | DepMap | Descartes | 0.02 | 0.78 |
APLNR | -0.0002964 | 24835 | GTEx | DepMap | Descartes | 0.07 | 5.66 |
PODXL | -0.0002990 | 24853 | GTEx | DepMap | Descartes | 0.05 | 2.82 |
BTNL9 | -0.0003019 | 24874 | GTEx | DepMap | Descartes | 0.10 | 9.82 |
FCGR2B | -0.0003195 | 25016 | GTEx | DepMap | Descartes | 0.12 | 6.13 |
CEACAM1 | -0.0003218 | 25025 | GTEx | DepMap | Descartes | 0.09 | 9.97 |
FLT4 | -0.0003292 | 25071 | GTEx | DepMap | Descartes | 0.05 | 2.10 |
CRHBP | -0.0003378 | 25108 | GTEx | DepMap | Descartes | 0.18 | 22.17 |
NOTCH4 | -0.0003498 | 25184 | GTEx | DepMap | Descartes | 0.05 | 2.02 |
SHANK3 | -0.0003518 | 25194 | GTEx | DepMap | Descartes | 0.05 | 1.71 |
F8 | -0.0003727 | 25286 | GTEx | DepMap | Descartes | 0.11 | 3.35 |
DNASE1L3 | -0.0003755 | 25302 | GTEx | DepMap | Descartes | 0.10 | 9.73 |
IRX3 | -0.0003758 | 25306 | GTEx | DepMap | Descartes | 0.04 | 4.81 |
MMRN2 | -0.0003813 | 25322 | GTEx | DepMap | Descartes | 0.09 | 5.45 |
PTPRB | -0.0003848 | 25334 | GTEx | DepMap | Descartes | 0.08 | 1.97 |
CDH5 | -0.0003876 | 25347 | GTEx | DepMap | Descartes | 0.18 | 11.03 |
EHD3 | -0.0003909 | 25361 | GTEx | DepMap | Descartes | 0.16 | 9.84 |
NPR1 | -0.0003929 | 25369 | GTEx | DepMap | Descartes | 0.05 | 3.50 |
TIE1 | -0.0003975 | 25382 | GTEx | DepMap | Descartes | 0.05 | 2.88 |
ROBO4 | -0.0003977 | 25384 | GTEx | DepMap | Descartes | 0.04 | 2.65 |
TEK | -0.0004103 | 25435 | GTEx | DepMap | Descartes | 0.05 | 3.19 |
CYP26B1 | -0.0004105 | 25436 | GTEx | DepMap | Descartes | 0.09 | 6.08 |
SOX18 | -0.0004136 | 25446 | GTEx | DepMap | Descartes | 0.12 | 12.27 |
Descartes stromal markers
Top 50 marker genes of stromal cells in the Decartes fetal adrenal single cell map (https://atlas.brotmanbaty.org/bbi/human-gene-expression-during-development/cell/stromal/in/adrenal)
Wilcoxon ranksum test P-value for gene set overrepresentation: 1.00e+00
Mean rank of genes in gene set: 21402.65
Median rank of genes in gene set: 22292
Rank on gene expression program of top 30 genes in gene set:
Genes | Weight | Rank | GTEx | DepMap | Descartes | Mean.Counts | Mean.TPM |
---|---|---|---|---|---|---|---|
ADAMTS2 | 0.0003874 | 1762 | GTEx | DepMap | Descartes | 0.08 | 2.13 |
ABCA6 | -0.0000107 | 9842 | GTEx | DepMap | Descartes | 0.00 | 0.20 |
DKK2 | -0.0000377 | 15076 | GTEx | DepMap | Descartes | 0.01 | 0.95 |
ADAMTSL3 | -0.0000573 | 17378 | GTEx | DepMap | Descartes | 0.01 | 0.43 |
SCARA5 | -0.0000575 | 17398 | GTEx | DepMap | Descartes | 0.00 | 0.00 |
POSTN | -0.0000660 | 18174 | GTEx | DepMap | Descartes | 0.08 | 7.56 |
MXRA5 | -0.0000859 | 19599 | GTEx | DepMap | Descartes | 0.01 | 0.18 |
ITGA11 | -0.0000933 | 20030 | GTEx | DepMap | Descartes | 0.00 | 0.11 |
CLDN11 | -0.0001009 | 20430 | GTEx | DepMap | Descartes | 0.03 | 3.49 |
MGP | -0.0001096 | 20879 | GTEx | DepMap | Descartes | 0.09 | 9.68 |
GAS2 | -0.0001097 | 20884 | GTEx | DepMap | Descartes | 0.00 | 0.27 |
LAMC3 | -0.0001138 | 21079 | GTEx | DepMap | Descartes | 0.01 | 0.61 |
LOX | -0.0001157 | 21172 | GTEx | DepMap | Descartes | 0.01 | 0.40 |
PAMR1 | -0.0001190 | 21315 | GTEx | DepMap | Descartes | 0.00 | 0.11 |
LUM | -0.0001190 | 21317 | GTEx | DepMap | Descartes | 0.03 | 2.57 |
COL12A1 | -0.0001210 | 21392 | GTEx | DepMap | Descartes | 0.14 | 2.44 |
ZNF385D | -0.0001216 | 21421 | GTEx | DepMap | Descartes | 0.01 | 0.18 |
GLI2 | -0.0001216 | 21422 | GTEx | DepMap | Descartes | 0.00 | 0.32 |
ACTA2 | -0.0001237 | 21502 | GTEx | DepMap | Descartes | 0.06 | 6.84 |
FNDC1 | -0.0001279 | 21671 | GTEx | DepMap | Descartes | 0.00 | 0.07 |
CCDC102B | -0.0001367 | 21963 | GTEx | DepMap | Descartes | 0.02 | 2.47 |
PCDH18 | -0.0001398 | 22065 | GTEx | DepMap | Descartes | 0.02 | 0.73 |
ISLR | -0.0001414 | 22130 | GTEx | DepMap | Descartes | 0.03 | 3.75 |
SFRP2 | -0.0001463 | 22290 | GTEx | DepMap | Descartes | 0.01 | 0.92 |
HHIP | -0.0001464 | 22292 | GTEx | DepMap | Descartes | 0.01 | 0.27 |
OGN | -0.0001506 | 22430 | GTEx | DepMap | Descartes | 0.06 | 4.01 |
COL27A1 | -0.0001510 | 22447 | GTEx | DepMap | Descartes | 0.02 | 0.65 |
ELN | -0.0001512 | 22457 | GTEx | DepMap | Descartes | 0.03 | 2.08 |
RSPO3 | -0.0001539 | 22532 | GTEx | DepMap | Descartes | 0.09 | NA |
BICC1 | -0.0001549 | 22561 | GTEx | DepMap | Descartes | 0.05 | 3.11 |
Descartes sympathoblasts markers
Top 50 marker genes of sympathoblasts cells in the Decartes fetal adrenal single cell map (https://atlas.brotmanbaty.org/bbi/human-gene-expression-during-development/cell/sympathoblasts/in/adrenal)
Wilcoxon ranksum test P-value for gene set overrepresentation: 1.00e+00
Mean rank of genes in gene set: 20234.64
Median rank of genes in gene set: 21161
Rank on gene expression program of top 30 genes in gene set:
Genes | Weight | Rank | GTEx | DepMap | Descartes | Mean.Counts | Mean.TPM |
---|---|---|---|---|---|---|---|
SLC35F3 | -0.0000070 | 9050 | GTEx | DepMap | Descartes | 0.00 | 0.06 |
GALNTL6 | -0.0000116 | 10060 | GTEx | DepMap | Descartes | 0.00 | 0.31 |
AGBL4 | -0.0000235 | 12775 | GTEx | DepMap | Descartes | 0.00 | 0.33 |
TMEM130 | -0.0000386 | 15219 | GTEx | DepMap | Descartes | 0.00 | 0.27 |
CNTNAP5 | -0.0000398 | 15398 | GTEx | DepMap | Descartes | 0.00 | 0.00 |
SORCS3 | -0.0000426 | 15777 | GTEx | DepMap | Descartes | 0.00 | 0.00 |
EML6 | -0.0000463 | 16234 | GTEx | DepMap | Descartes | 0.00 | 0.16 |
TBX20 | -0.0000513 | 16790 | GTEx | DepMap | Descartes | 0.00 | 0.00 |
ST18 | -0.0000621 | 17846 | GTEx | DepMap | Descartes | 0.01 | 0.46 |
KSR2 | -0.0000626 | 17905 | GTEx | DepMap | Descartes | 0.00 | 0.02 |
CNTN3 | -0.0000665 | 18223 | GTEx | DepMap | Descartes | 0.00 | 0.17 |
SLC24A2 | -0.0000823 | 19372 | GTEx | DepMap | Descartes | 0.00 | 0.09 |
KCTD16 | -0.0000924 | 19983 | GTEx | DepMap | Descartes | 0.00 | 0.11 |
SPOCK3 | -0.0000937 | 20047 | GTEx | DepMap | Descartes | 0.01 | 0.74 |
GRM7 | -0.0000964 | 20190 | GTEx | DepMap | Descartes | 0.00 | 0.10 |
CDH12 | -0.0001004 | 20406 | GTEx | DepMap | Descartes | 0.00 | 0.16 |
PENK | -0.0001013 | 20464 | GTEx | DepMap | Descartes | 0.01 | 3.71 |
CDH18 | -0.0001018 | 20496 | GTEx | DepMap | Descartes | 0.00 | 0.00 |
PACRG | -0.0001044 | 20618 | GTEx | DepMap | Descartes | 0.00 | 0.10 |
LAMA3 | -0.0001045 | 20628 | GTEx | DepMap | Descartes | 0.00 | 0.00 |
DGKK | -0.0001126 | 21012 | GTEx | DepMap | Descartes | 0.00 | 0.15 |
FGF14 | -0.0001149 | 21135 | GTEx | DepMap | Descartes | 0.01 | 0.18 |
PNMT | -0.0001161 | 21187 | GTEx | DepMap | Descartes | 0.02 | 3.41 |
PCSK2 | -0.0001204 | 21370 | GTEx | DepMap | Descartes | 0.00 | 0.00 |
TENM1 | -0.0001214 | 21416 | GTEx | DepMap | Descartes | 0.00 | NA |
FAM155A | -0.0001280 | 21674 | GTEx | DepMap | Descartes | 0.00 | 0.06 |
MGAT4C | -0.0001313 | 21795 | GTEx | DepMap | Descartes | 0.01 | 0.04 |
GRID2 | -0.0001323 | 21819 | GTEx | DepMap | Descartes | 0.00 | 0.05 |
INSM1 | -0.0001424 | 22164 | GTEx | DepMap | Descartes | 0.00 | 0.00 |
ARC | -0.0001487 | 22365 | GTEx | DepMap | Descartes | 0.02 | 1.52 |
Descartes erythroblasts markers
Top 50 marker genes of erythroblasts cells in the Decartes fetal adrenal single cell map (https://atlas.brotmanbaty.org/bbi/human-gene-expression-during-development/cell/erythroblasts/in/adrenal)
Wilcoxon ranksum test P-value for gene set overrepresentation: 1.00e+00
Mean rank of genes in gene set: 21309.08
Median rank of genes in gene set: 24823.5
Rank on gene expression program of top 30 genes in gene set:
Genes | Weight | Rank | GTEx | DepMap | Descartes | Mean.Counts | Mean.TPM |
---|---|---|---|---|---|---|---|
BLVRB | 0.0006668 | 1078 | GTEx | DepMap | Descartes | 6.38 | 954.10 |
GCLC | 0.0003334 | 1997 | GTEx | DepMap | Descartes | 0.34 | 25.28 |
CAT | 0.0003074 | 2114 | GTEx | DepMap | Descartes | 0.90 | 95.80 |
MICAL2 | 0.0002374 | 2570 | GTEx | DepMap | Descartes | 0.14 | 7.50 |
DENND4A | 0.0000924 | 4442 | GTEx | DepMap | Descartes | 0.30 | 12.76 |
SPECC1 | 0.0000570 | 5367 | GTEx | DepMap | Descartes | 0.40 | 17.26 |
XPO7 | -0.0000005 | 8084 | GTEx | DepMap | Descartes | 0.34 | 20.55 |
RAPGEF2 | -0.0000619 | 17822 | GTEx | DepMap | Descartes | 0.22 | 8.71 |
HBZ | -0.0001063 | 20727 | GTEx | DepMap | Descartes | 2.67 | 358.99 |
ABCB10 | -0.0001096 | 20878 | GTEx | DepMap | Descartes | 0.23 | 11.76 |
HECTD4 | -0.0001166 | 21205 | GTEx | DepMap | Descartes | 0.20 | NA |
TMCC2 | -0.0001444 | 22238 | GTEx | DepMap | Descartes | 0.15 | 6.82 |
SLC25A21 | -0.0001508 | 22439 | GTEx | DepMap | Descartes | 0.02 | 0.42 |
RGS6 | -0.0001520 | 22480 | GTEx | DepMap | Descartes | 0.02 | 0.35 |
RHD | -0.0001836 | 23293 | GTEx | DepMap | Descartes | 0.01 | 0.47 |
TRAK2 | -0.0001871 | 23363 | GTEx | DepMap | Descartes | 0.19 | 5.50 |
ANK1 | -0.0002045 | 23708 | GTEx | DepMap | Descartes | 0.14 | 2.24 |
GYPE | -0.0002156 | 23891 | GTEx | DepMap | Descartes | 0.06 | 4.29 |
SPTB | -0.0002300 | 24109 | GTEx | DepMap | Descartes | 0.05 | 0.43 |
TFR2 | -0.0002408 | 24262 | GTEx | DepMap | Descartes | 0.05 | 2.14 |
SPTA1 | -0.0002563 | 24439 | GTEx | DepMap | Descartes | 0.20 | 2.56 |
FECH | -0.0002773 | 24674 | GTEx | DepMap | Descartes | 0.41 | 9.34 |
CR1L | -0.0002858 | 24745 | GTEx | DepMap | Descartes | 0.09 | 4.86 |
EPB41 | -0.0002940 | 24811 | GTEx | DepMap | Descartes | 0.39 | 13.32 |
TSPAN5 | -0.0002966 | 24836 | GTEx | DepMap | Descartes | 0.09 | 4.03 |
RHCE | -0.0003034 | 24883 | GTEx | DepMap | Descartes | 0.12 | 5.68 |
SLC4A1 | -0.0003063 | 24912 | GTEx | DepMap | Descartes | 0.64 | 14.23 |
SOX6 | -0.0003127 | 24959 | GTEx | DepMap | Descartes | 0.10 | 1.61 |
GYPC | -0.0003148 | 24975 | GTEx | DepMap | Descartes | 2.21 | 266.74 |
SELENBP1 | -0.0003305 | 25076 | GTEx | DepMap | Descartes | 0.41 | 17.51 |
Descartes myeloid markers
Top 50 marker genes of myeloid cells in the Decartes fetal adrenal single cell map (https://atlas.brotmanbaty.org/bbi/human-gene-expression-during-development/cell/myeloid/in/adrenal)
Wilcoxon ranksum test P-value for gene set overrepresentation: 6.75e-34
Mean rank of genes in gene set: 189.18
Median rank of genes in gene set: 82
Rank on gene expression program of top 30 genes in gene set:
Genes | Weight | Rank | GTEx | DepMap | Descartes | Mean.Counts | Mean.TPM |
---|---|---|---|---|---|---|---|
LGMN | 0.0090176 | 2 | GTEx | DepMap | Descartes | 7.34 | 1111.40 |
C1QC | 0.0090017 | 3 | GTEx | DepMap | Descartes | 16.64 | 4860.41 |
CTSB | 0.0086551 | 5 | GTEx | DepMap | Descartes | 10.82 | 928.08 |
C1QB | 0.0082121 | 8 | GTEx | DepMap | Descartes | 20.53 | 6509.98 |
C1QA | 0.0080372 | 9 | GTEx | DepMap | Descartes | 23.19 | 7677.15 |
CD163 | 0.0075616 | 10 | GTEx | DepMap | Descartes | 5.64 | 389.06 |
CTSD | 0.0073825 | 11 | GTEx | DepMap | Descartes | 9.60 | 1519.23 |
MS4A7 | 0.0073118 | 12 | GTEx | DepMap | Descartes | 5.27 | 671.87 |
RNASE1 | 0.0071986 | 14 | GTEx | DepMap | Descartes | 13.69 | 5731.19 |
CSF1R | 0.0069941 | 18 | GTEx | DepMap | Descartes | 5.36 | 505.20 |
CD14 | 0.0069064 | 19 | GTEx | DepMap | Descartes | 5.61 | 1238.46 |
MS4A4A | 0.0068887 | 20 | GTEx | DepMap | Descartes | 2.63 | 600.88 |
MS4A6A | 0.0065135 | 24 | GTEx | DepMap | Descartes | 5.15 | 777.45 |
VSIG4 | 0.0062912 | 27 | GTEx | DepMap | Descartes | 2.68 | 464.38 |
CST3 | 0.0061446 | 28 | GTEx | DepMap | Descartes | 24.65 | 2428.25 |
CTSS | 0.0057532 | 31 | GTEx | DepMap | Descartes | 2.25 | 179.31 |
SLCO2B1 | 0.0053038 | 34 | GTEx | DepMap | Descartes | 1.95 | 137.39 |
MPEG1 | 0.0052806 | 35 | GTEx | DepMap | Descartes | 1.95 | 156.29 |
AXL | 0.0050839 | 41 | GTEx | DepMap | Descartes | 1.70 | 116.39 |
CPVL | 0.0048437 | 48 | GTEx | DepMap | Descartes | 1.60 | 216.89 |
CYBB | 0.0048129 | 49 | GTEx | DepMap | Descartes | 3.24 | 276.67 |
MSR1 | 0.0044711 | 56 | GTEx | DepMap | Descartes | 1.47 | 164.93 |
ABCA1 | 0.0041525 | 63 | GTEx | DepMap | Descartes | 2.06 | 68.57 |
TGFBI | 0.0040499 | 70 | GTEx | DepMap | Descartes | 1.87 | 135.15 |
ADAP2 | 0.0039787 | 73 | GTEx | DepMap | Descartes | 1.91 | 293.64 |
CD163L1 | 0.0036636 | 91 | GTEx | DepMap | Descartes | 0.46 | 36.24 |
FGL2 | 0.0034441 | 109 | GTEx | DepMap | Descartes | 2.31 | 190.99 |
HCK | 0.0034288 | 110 | GTEx | DepMap | Descartes | 0.77 | 120.15 |
SPP1 | 0.0032120 | 126 | GTEx | DepMap | Descartes | 6.25 | 1089.29 |
MARCH1 | 0.0030847 | 140 | GTEx | DepMap | Descartes | 1.05 | NA |
Descartes Schwann markers
Top 50 marker genes of Schwann cells in the Decartes fetal adrenal single cell map (https://atlas.brotmanbaty.org/bbi/human-gene-expression-during-development/cell/schwann/in/adrenal)
Wilcoxon ranksum test P-value for gene set overrepresentation: 1.00e+00
Mean rank of genes in gene set: 18584.9
Median rank of genes in gene set: 20866
Rank on gene expression program of top 30 genes in gene set:
Genes | Weight | Rank | GTEx | DepMap | Descartes | Mean.Counts | Mean.TPM |
---|---|---|---|---|---|---|---|
KCTD12 | 0.0036502 | 94 | GTEx | DepMap | Descartes | 2.84 | 166.98 |
GAS7 | 0.0008696 | 782 | GTEx | DepMap | Descartes | 0.39 | 17.02 |
PAG1 | 0.0005820 | 1217 | GTEx | DepMap | Descartes | 0.43 | 14.81 |
MARCKS | 0.0003817 | 1774 | GTEx | DepMap | Descartes | 4.20 | 355.08 |
STARD13 | 0.0003666 | 1846 | GTEx | DepMap | Descartes | 0.18 | 12.09 |
DST | 0.0000426 | 5849 | GTEx | DepMap | Descartes | 0.73 | 10.47 |
MPZ | -0.0000012 | 8159 | GTEx | DepMap | Descartes | 0.03 | 4.90 |
LRRTM4 | -0.0000397 | 15389 | GTEx | DepMap | Descartes | 0.00 | 0.00 |
PMP22 | -0.0000464 | 16254 | GTEx | DepMap | Descartes | 0.34 | 61.12 |
IL1RAPL2 | -0.0000477 | 16381 | GTEx | DepMap | Descartes | 0.00 | 0.00 |
MDGA2 | -0.0000484 | 16451 | GTEx | DepMap | Descartes | 0.00 | 0.14 |
GRIK3 | -0.0000551 | 17160 | GTEx | DepMap | Descartes | 0.00 | 0.06 |
XKR4 | -0.0000579 | 17425 | GTEx | DepMap | Descartes | 0.00 | 0.05 |
PPP2R2B | -0.0000690 | 18421 | GTEx | DepMap | Descartes | 0.00 | 0.08 |
SOX10 | -0.0000718 | 18643 | GTEx | DepMap | Descartes | 0.00 | 0.22 |
CDH19 | -0.0000724 | 18687 | GTEx | DepMap | Descartes | 0.01 | 0.39 |
PLP1 | -0.0000727 | 18713 | GTEx | DepMap | Descartes | 0.01 | 1.23 |
NRXN3 | -0.0000738 | 18804 | GTEx | DepMap | Descartes | 0.00 | 0.12 |
TRPM3 | -0.0000791 | 19167 | GTEx | DepMap | Descartes | 0.01 | 0.33 |
OLFML2A | -0.0000808 | 19272 | GTEx | DepMap | Descartes | 0.01 | 0.40 |
SCN7A | -0.0000846 | 19510 | GTEx | DepMap | Descartes | 0.01 | 0.23 |
SORCS1 | -0.0001028 | 20542 | GTEx | DepMap | Descartes | 0.00 | 0.10 |
SOX5 | -0.0001030 | 20548 | GTEx | DepMap | Descartes | 0.03 | 2.51 |
ERBB3 | -0.0001088 | 20848 | GTEx | DepMap | Descartes | 0.02 | 0.78 |
IL1RAPL1 | -0.0001093 | 20866 | GTEx | DepMap | Descartes | 0.00 | 0.00 |
ERBB4 | -0.0001123 | 21003 | GTEx | DepMap | Descartes | 0.01 | 0.15 |
ABCA8 | -0.0001177 | 21256 | GTEx | DepMap | Descartes | 0.01 | 0.29 |
ADAMTS5 | -0.0001190 | 21314 | GTEx | DepMap | Descartes | 0.01 | 0.26 |
ZNF536 | -0.0001307 | 21768 | GTEx | DepMap | Descartes | 0.00 | 0.33 |
COL25A1 | -0.0001311 | 21787 | GTEx | DepMap | Descartes | 0.01 | 0.35 |
Descartes Megakaryocytes markers
Top 50 marker genes of Megakaryocytes cells in the Decartes fetal adrenal single cell map (https://atlas.brotmanbaty.org/bbi/human-gene-expression-during-development/cell/megakaryocytes/in/adrenal)
Wilcoxon ranksum test P-value for gene set overrepresentation: 2.93e-01
Mean rank of genes in gene set: 12328.18
Median rank of genes in gene set: 17334
Rank on gene expression program of top 30 genes in gene set:
Genes | Weight | Rank | GTEx | DepMap | Descartes | Mean.Counts | Mean.TPM |
---|---|---|---|---|---|---|---|
CD84 | 0.0031011 | 139 | GTEx | DepMap | Descartes | 0.59 | 24.75 |
ACTB | 0.0021576 | 248 | GTEx | DepMap | Descartes | 34.22 | 4553.98 |
FERMT3 | 0.0017398 | 344 | GTEx | DepMap | Descartes | 0.82 | 108.17 |
TMSB4X | 0.0016919 | 369 | GTEx | DepMap | Descartes | 32.24 | 5900.70 |
THBS1 | 0.0016339 | 384 | GTEx | DepMap | Descartes | 1.07 | 45.22 |
PLEK | 0.0013907 | 469 | GTEx | DepMap | Descartes | 1.24 | 161.55 |
TGFB1 | 0.0012448 | 530 | GTEx | DepMap | Descartes | 1.24 | 153.97 |
FLI1 | 0.0011566 | 572 | GTEx | DepMap | Descartes | 0.54 | 37.58 |
MCTP1 | 0.0010916 | 617 | GTEx | DepMap | Descartes | 0.25 | 17.13 |
BIN2 | 0.0010283 | 665 | GTEx | DepMap | Descartes | 0.38 | 47.35 |
ZYX | 0.0009892 | 688 | GTEx | DepMap | Descartes | 0.80 | 123.78 |
STON2 | 0.0008602 | 797 | GTEx | DepMap | Descartes | 0.27 | 21.38 |
UBASH3B | 0.0008541 | 801 | GTEx | DepMap | Descartes | 0.27 | 13.20 |
MYH9 | 0.0005227 | 1350 | GTEx | DepMap | Descartes | 0.95 | 40.11 |
TLN1 | 0.0005161 | 1368 | GTEx | DepMap | Descartes | 1.25 | 48.05 |
PSTPIP2 | 0.0003247 | 2042 | GTEx | DepMap | Descartes | 0.68 | 94.04 |
ACTN1 | 0.0003196 | 2064 | GTEx | DepMap | Descartes | 0.20 | 9.19 |
SLC2A3 | 0.0002561 | 2428 | GTEx | DepMap | Descartes | 1.49 | 117.23 |
INPP4B | 0.0001661 | 3271 | GTEx | DepMap | Descartes | 0.09 | 3.44 |
GSN | 0.0001445 | 3553 | GTEx | DepMap | Descartes | 1.11 | 59.57 |
P2RX1 | 0.0001298 | 3761 | GTEx | DepMap | Descartes | 0.08 | 11.40 |
ARHGAP6 | 0.0001241 | 3851 | GTEx | DepMap | Descartes | 0.10 | 6.39 |
STOM | 0.0000298 | 6317 | GTEx | DepMap | Descartes | 0.59 | 52.77 |
ITGB3 | -0.0000419 | 15678 | GTEx | DepMap | Descartes | 0.00 | 0.09 |
PPBP | -0.0000569 | 17334 | GTEx | DepMap | Descartes | 0.02 | 4.69 |
ITGA2B | -0.0000725 | 18690 | GTEx | DepMap | Descartes | 0.00 | 0.56 |
PF4 | -0.0000770 | 19036 | GTEx | DepMap | Descartes | 0.02 | 5.32 |
LIMS1 | -0.0000780 | 19102 | GTEx | DepMap | Descartes | 0.68 | 47.10 |
SLC24A3 | -0.0000870 | 19665 | GTEx | DepMap | Descartes | 0.00 | 0.21 |
HIPK2 | -0.0000871 | 19669 | GTEx | DepMap | Descartes | 0.38 | 8.23 |
Descartes Lyphoid markers
Top 50 marker genes of Lyphoid cells in the Decartes fetal adrenal single cell map (https://atlas.brotmanbaty.org/bbi/human-gene-expression-during-development/cell/lymphoid/in/adrenal)
Wilcoxon ranksum test P-value for gene set overrepresentation: 3.32e-04
Mean rank of genes in gene set: 9248.54
Median rank of genes in gene set: 3902
Rank on gene expression program of top 30 genes in gene set:
Genes | Weight | Rank | GTEx | DepMap | Descartes | Mean.Counts | Mean.TPM |
---|---|---|---|---|---|---|---|
LCP1 | 0.0040786 | 69 | GTEx | DepMap | Descartes | 1.96 | 154.43 |
HLA-B | 0.0031439 | 132 | GTEx | DepMap | Descartes | 6.16 | 1380.60 |
B2M | 0.0025266 | 197 | GTEx | DepMap | Descartes | 31.59 | 4600.53 |
PTPRC | 0.0025027 | 200 | GTEx | DepMap | Descartes | 2.21 | 146.10 |
ARHGDIB | 0.0023827 | 221 | GTEx | DepMap | Descartes | 2.48 | 639.09 |
CELF2 | 0.0019121 | 300 | GTEx | DepMap | Descartes | 1.25 | 58.60 |
RCSD1 | 0.0017781 | 334 | GTEx | DepMap | Descartes | 0.73 | 47.46 |
HLA-A | 0.0016243 | 387 | GTEx | DepMap | Descartes | 4.18 | 284.05 |
WIPF1 | 0.0016069 | 397 | GTEx | DepMap | Descartes | 0.85 | 71.10 |
PLEKHA2 | 0.0014331 | 453 | GTEx | DepMap | Descartes | 0.61 | 37.70 |
HLA-C | 0.0012987 | 505 | GTEx | DepMap | Descartes | 2.95 | 580.72 |
EVL | 0.0012832 | 512 | GTEx | DepMap | Descartes | 1.30 | 128.81 |
IFI16 | 0.0011928 | 556 | GTEx | DepMap | Descartes | 2.11 | 188.79 |
DOCK10 | 0.0010982 | 612 | GTEx | DepMap | Descartes | 0.37 | 17.25 |
MSN | 0.0010803 | 624 | GTEx | DepMap | Descartes | 1.46 | 112.61 |
TMSB10 | 0.0008942 | 754 | GTEx | DepMap | Descartes | 21.95 | 13865.77 |
PDE3B | 0.0008537 | 803 | GTEx | DepMap | Descartes | 0.36 | 25.32 |
IKZF1 | 0.0007254 | 979 | GTEx | DepMap | Descartes | 0.98 | 60.38 |
GNG2 | 0.0007221 | 984 | GTEx | DepMap | Descartes | 0.61 | 53.93 |
MBNL1 | 0.0003566 | 1897 | GTEx | DepMap | Descartes | 1.55 | 88.28 |
ANKRD44 | 0.0003402 | 1963 | GTEx | DepMap | Descartes | 0.45 | 25.28 |
SP100 | 0.0003019 | 2142 | GTEx | DepMap | Descartes | 0.62 | 44.22 |
CD44 | 0.0001521 | 3448 | GTEx | DepMap | Descartes | 0.38 | 17.45 |
ITPKB | 0.0001217 | 3888 | GTEx | DepMap | Descartes | 0.12 | 6.86 |
SORL1 | 0.0001198 | 3916 | GTEx | DepMap | Descartes | 0.26 | 9.81 |
ARHGAP15 | 0.0001075 | 4131 | GTEx | DepMap | Descartes | 0.12 | 13.46 |
RAP1GAP2 | 0.0000731 | 4936 | GTEx | DepMap | Descartes | 0.05 | 2.38 |
FOXP1 | 0.0000611 | 5245 | GTEx | DepMap | Descartes | 0.45 | 18.52 |
BCL2 | 0.0000242 | 6566 | GTEx | DepMap | Descartes | 0.16 | 8.83 |
ARID5B | 0.0000209 | 6732 | GTEx | DepMap | Descartes | 0.28 | 14.80 |
Below shows the ranks on this GEP for immune marker gene lists curated by CellTypist (https://www.celltypist.org/encyclopedia).
High ranks indicate this gene is a driver of this GEP.
These curated gene list are ranked by P-value (on this GEP) of their constituent genes.
The Mean Count column shows the mean read count in cells scoring highly (H > 50) on this gene expression program.
Genes | Weight | Rank | GTEx | DepMap | Decartes | Mean.Counts | Mean.TPM |
---|---|---|---|---|---|---|---|
CD5L | 0.0083461 | 7 | GTEx | DepMap | Descartes | 1.08 | 88.78 |
C1QB | 0.0082121 | 8 | GTEx | DepMap | Descartes | 20.53 | 6509.98 |
C1QA | 0.0080372 | 9 | GTEx | DepMap | Descartes | 23.19 | 7677.15 |
RNASE1 | 0.0071986 | 14 | GTEx | DepMap | Descartes | 13.69 | 5731.19 |
FTL | 0.0052377 | 37 | GTEx | DepMap | Descartes | 132.90 | 38899.22 |
SELENOP | 0.0031854 | 129 | GTEx | DepMap | Descartes | 5.16 | NA |
FTH1 | 0.0029808 | 148 | GTEx | DepMap | Descartes | 38.16 | 8403.70 |
APOE | 0.0006179 | 1158 | GTEx | DepMap | Descartes | 6.93 | 1764.51 |
APOC1 | 0.0000643 | 5161 | GTEx | DepMap | Descartes | 1.91 | 753.72 |
GNLY | -0.0000615 | 17781 | GTEx | DepMap | Descartes | 0.00 | 0.48 |
Mono-mac: Mono-mac (curated markers)
mononuclear phagocytes including monocytes and macrophages that are involved in the regulation of innate and adaptive immunity:
Wilcoxon ranksum test P-value for gene set overrepresentation: 1.36e-03
Mean rank of genes in gene set: 13.67
Rank on gene expression program of genes in gene set:
Genes | Weight | Rank | GTEx | DepMap | Decartes | Mean.Counts | Mean.TPM |
---|---|---|---|---|---|---|---|
C1QC | 0.0090017 | 3 | GTEx | DepMap | Descartes | 16.64 | 4860.41 |
HMOX1 | 0.0071504 | 15 | GTEx | DepMap | Descartes | 7.01 | 1114.11 |
TYROBP | 0.0067261 | 23 | GTEx | DepMap | Descartes | 7.07 | 4025.04 |
Macrophages: Macrophages (curated markers)
specialised mononuclear phagocytic cells which recognise:
Wilcoxon ranksum test P-value for gene set overrepresentation: 1.40e-03
Mean rank of genes in gene set: 49.33
Rank on gene expression program of genes in gene set:
Genes | Weight | Rank | GTEx | DepMap | Decartes | Mean.Counts | Mean.TPM |
---|---|---|---|---|---|---|---|
CD68 | 0.0091385 | 1 | GTEx | DepMap | Descartes | 4.19 | 710.24 |
C1QA | 0.0080372 | 9 | GTEx | DepMap | Descartes | 23.19 | 7677.15 |
TREM2 | 0.0031091 | 138 | GTEx | DepMap | Descartes | 0.31 | 107.91 |