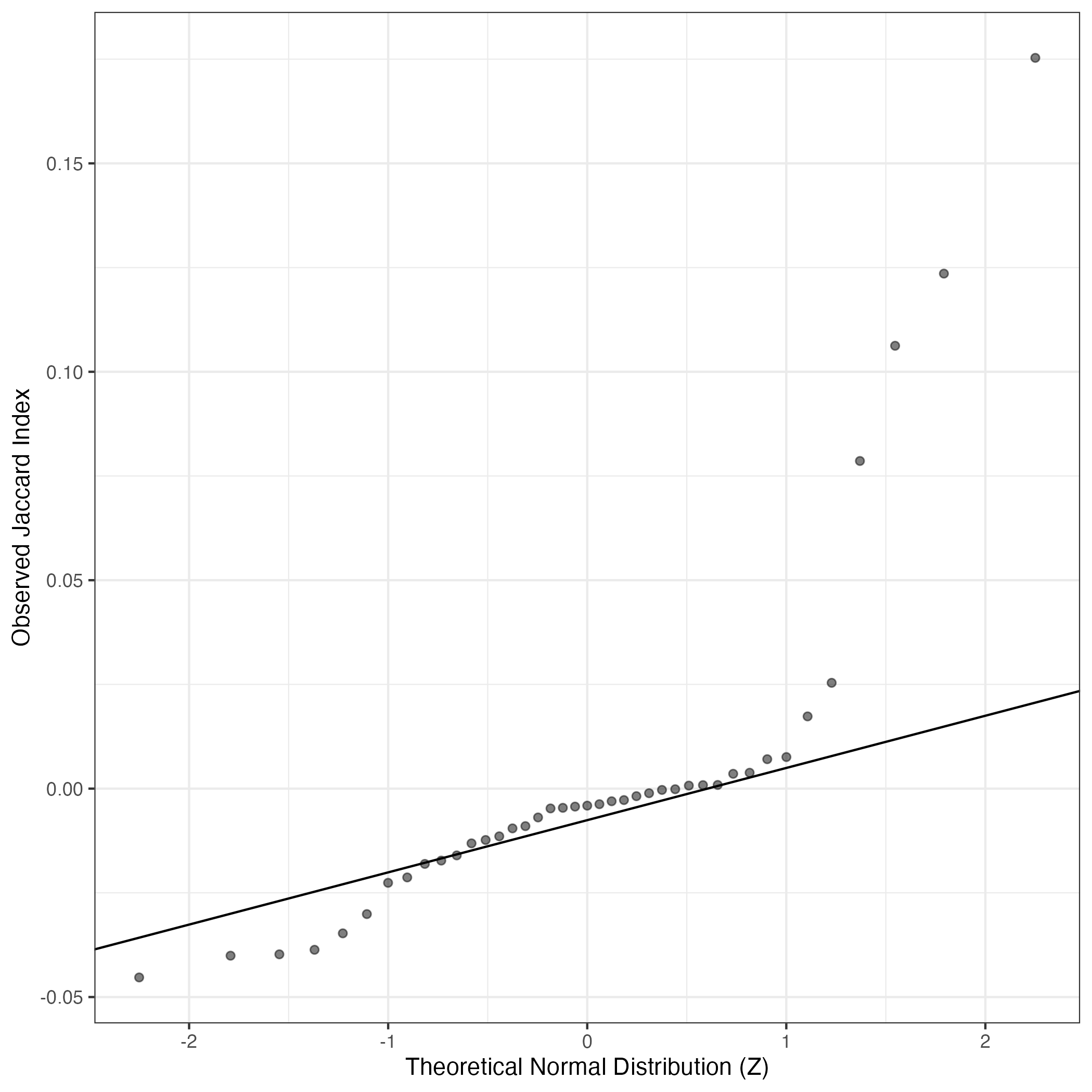
QQ-plot of gene loadings, averaged over both independent splits of the data
This plot highlights the relative contribution of each gene to the GEP
Top genes driving this program.
Note: Decartes website is buggy, try refreshing. Also, Decartes fetal adrenal data have been collected at specific time points (89-122 days), all possible cell types of interest may not be represented, do not overinterpret.
The Mean Count column shows the mean read count in cells scoring highly (H > 50) on this gene expression program.
Gene | Loading | Gene.Name | GTEx | DepMap | Descartes | Mean.Counts | Mean.Tpm | |
---|---|---|---|---|---|---|---|---|
1 | BGN | 0.0193555 | biglycan | GTEx | DepMap | Descartes | 6.58 | 772.55 |
2 | COL6A3 | 0.0180506 | collagen type VI alpha 3 chain | GTEx | DepMap | Descartes | 6.88 | 197.66 |
3 | PDGFRB | 0.0166633 | platelet derived growth factor receptor beta | GTEx | DepMap | Descartes | 5.67 | 315.28 |
4 | PCDH18 | 0.0162794 | protocadherin 18 | GTEx | DepMap | Descartes | 3.30 | 166.27 |
5 | SPON2 | 0.0146553 | spondin 2 | GTEx | DepMap | Descartes | 3.04 | 369.46 |
6 | C7 | 0.0141305 | complement C7 | GTEx | DepMap | Descartes | 12.28 | 628.79 |
7 | ITGA8 | 0.0130411 | integrin subunit alpha 8 | GTEx | DepMap | Descartes | 3.38 | 152.95 |
8 | FBLN5 | 0.0129915 | fibulin 5 | GTEx | DepMap | Descartes | 2.88 | 318.46 |
9 | LAMC3 | 0.0122284 | laminin subunit gamma 3 | GTEx | DepMap | Descartes | 1.01 | 39.58 |
10 | COL3A1 | 0.0119624 | collagen type III alpha 1 chain | GTEx | DepMap | Descartes | 47.39 | 2368.41 |
11 | WISP1 | 0.0116737 | NA | GTEx | DepMap | Descartes | 1.14 | NA |
12 | COL4A1 | 0.0116430 | collagen type IV alpha 1 chain | GTEx | DepMap | Descartes | 5.73 | 260.41 |
13 | EMILIN1 | 0.0114803 | elastin microfibril interfacer 1 | GTEx | DepMap | Descartes | 4.06 | 282.99 |
14 | CCDC102B | 0.0112250 | coiled-coil domain containing 102B | GTEx | DepMap | Descartes | 1.39 | 159.01 |
15 | S1PR3 | 0.0111324 | sphingosine-1-phosphate receptor 3 | GTEx | DepMap | Descartes | 1.35 | 44.59 |
16 | GUCY1A2 | 0.0109684 | guanylate cyclase 1 soluble subunit alpha 2 | GTEx | DepMap | Descartes | 1.40 | 27.70 |
17 | FREM1 | 0.0106288 | FRAS1 related extracellular matrix 1 | GTEx | DepMap | Descartes | 1.63 | 50.42 |
18 | CALD1 | 0.0103997 | caldesmon 1 | GTEx | DepMap | Descartes | 14.16 | 777.75 |
19 | ADH1B | 0.0101944 | alcohol dehydrogenase 1B (class I), beta polypeptide | GTEx | DepMap | Descartes | 0.72 | 37.24 |
20 | ABCC9 | 0.0099446 | ATP binding cassette subfamily C member 9 | GTEx | DepMap | Descartes | 0.99 | 36.11 |
21 | PTH1R | 0.0097314 | parathyroid hormone 1 receptor | GTEx | DepMap | Descartes | 1.58 | 239.11 |
22 | ITGA11 | 0.0094814 | integrin subunit alpha 11 | GTEx | DepMap | Descartes | 0.52 | 15.98 |
23 | TNC | 0.0093951 | tenascin C | GTEx | DepMap | Descartes | 1.91 | 60.26 |
24 | LAMA2 | 0.0092103 | laminin subunit alpha 2 | GTEx | DepMap | Descartes | 0.80 | NA |
25 | SEMA5A | 0.0090578 | semaphorin 5A | GTEx | DepMap | Descartes | 1.77 | 45.63 |
26 | CFH | 0.0089717 | complement factor H | GTEx | DepMap | Descartes | 2.36 | 95.83 |
27 | CD248 | 0.0088879 | CD248 molecule | GTEx | DepMap | Descartes | 2.03 | 238.60 |
28 | SPARC | 0.0088532 | secreted protein acidic and cysteine rich | GTEx | DepMap | Descartes | 20.12 | 1518.94 |
29 | PDGFRA | 0.0088350 | platelet derived growth factor receptor alpha | GTEx | DepMap | Descartes | 3.09 | 141.64 |
30 | CYGB | 0.0086969 | cytoglobin | GTEx | DepMap | Descartes | 1.36 | 176.46 |
31 | COL4A2 | 0.0085447 | collagen type IV alpha 2 chain | GTEx | DepMap | Descartes | 3.68 | 165.38 |
32 | ABCA6 | 0.0084444 | ATP binding cassette subfamily A member 6 | GTEx | DepMap | Descartes | 0.44 | 17.17 |
33 | EGFR | 0.0084241 | epidermal growth factor receptor | GTEx | DepMap | Descartes | 1.55 | 46.80 |
34 | CPED1 | 0.0082835 | cadherin like and PC-esterase domain containing 1 | GTEx | DepMap | Descartes | 1.13 | NA |
35 | MEST | 0.0081193 | mesoderm specific transcript | GTEx | DepMap | Descartes | 8.54 | 808.88 |
36 | KCNJ8 | 0.0080428 | potassium inwardly rectifying channel subfamily J member 8 | GTEx | DepMap | Descartes | 0.76 | 86.84 |
37 | VIM | 0.0080183 | vimentin | GTEx | DepMap | Descartes | 38.17 | 3379.96 |
38 | CHST2 | 0.0080025 | carbohydrate sulfotransferase 2 | GTEx | DepMap | Descartes | 1.25 | 86.06 |
39 | MATN2 | 0.0078861 | matrilin 2 | GTEx | DepMap | Descartes | 2.48 | 175.77 |
40 | ZEB2 | 0.0078411 | zinc finger E-box binding homeobox 2 | GTEx | DepMap | Descartes | 4.38 | 148.17 |
41 | PARM1 | 0.0077776 | prostate androgen-regulated mucin-like protein 1 | GTEx | DepMap | Descartes | 0.59 | 35.35 |
42 | SNAI2 | 0.0077596 | snail family transcriptional repressor 2 | GTEx | DepMap | Descartes | 1.29 | 123.33 |
43 | GGT5 | 0.0076534 | gamma-glutamyltransferase 5 | GTEx | DepMap | Descartes | 1.19 | 84.05 |
44 | HEYL | 0.0075808 | hes related family bHLH transcription factor with YRPW motif like | GTEx | DepMap | Descartes | 0.45 | 32.71 |
45 | SEPT11 | 0.0074007 | NA | GTEx | DepMap | Descartes | 4.75 | NA |
46 | FBLN1 | 0.0073824 | fibulin 1 | GTEx | DepMap | Descartes | 3.30 | 303.12 |
47 | NOTCH3 | 0.0072415 | notch receptor 3 | GTEx | DepMap | Descartes | 1.24 | 44.93 |
48 | PCDH9 | 0.0072203 | protocadherin 9 | GTEx | DepMap | Descartes | 4.02 | 47.10 |
49 | CARMN | 0.0072087 | cardiac mesoderm enhancer-associated non-coding RNA | GTEx | DepMap | Descartes | 0.99 | NA |
50 | FLNA | 0.0071927 | filamin A | GTEx | DepMap | Descartes | 3.94 | 127.51 |
UMAP plots showing activity of gene expression program identified in GEP 38. Stromal III:
Gene set Enrichments for this program, caculated from top 50 genes
mSigDB Cell Types Gene Set:
P-value | OR | Lower 95% CI | FDR | FWER | Genes Found | Gene Set Size | |
---|---|---|---|---|---|---|---|
FAN_EMBRYONIC_CTX_BRAIN_ENDOTHELIAL_2 | 1.28e-41 | 119.54 | 64.81 | 8.56e-39 | 8.56e-39 | 28BGN, PDGFRB, PCDH18, SPON2, LAMC3, COL3A1, COL4A1, CCDC102B, S1PR3, GUCY1A2, CALD1, ABCC9, PTH1R, ITGA11, LAMA2, SEMA5A, CFH, CD248, SPARC, COL4A2, KCNJ8, VIM, SNAI2, GGT5, HEYL, FBLN1, NOTCH3, FLNA |
303 |
DESCARTES_MAIN_FETAL_SMOOTH_MUSCLE_CELLS | 1.19e-16 | 160.60 | 63.89 | 4.69e-15 | 7.98e-14 | 9COL6A3, PDGFRB, LAMC3, CCDC102B, ABCC9, CYGB, KCNJ8, NOTCH3, CARMN |
44 |
DESCARTES_FETAL_STOMACH_STROMAL_CELLS | 4.16e-16 | 137.87 | 55.10 | 1.39e-14 | 2.79e-13 | 9COL6A3, PCDH18, C7, COL3A1, EMILIN1, ITGA11, CD248, PDGFRA, FBLN1 |
50 |
AIZARANI_LIVER_C21_STELLATE_CELLS_1 | 3.36e-26 | 82.24 | 42.63 | 3.75e-24 | 2.25e-23 | 18BGN, COL6A3, C7, ITGA8, FBLN5, LAMC3, COL3A1, COL4A1, CALD1, CFH, SPARC, PDGFRA, COL4A2, VIM, MATN2, GGT5, FBLN1, PCDH9 |
194 |
GAO_LARGE_INTESTINE_ADULT_CJ_IMMUNE_CELLS | 3.36e-37 | 74.83 | 40.87 | 1.13e-34 | 2.26e-34 | 29BGN, COL6A3, PDGFRB, PCDH18, SPON2, FBLN5, LAMC3, COL3A1, COL4A1, EMILIN1, CCDC102B, S1PR3, CALD1, ADH1B, PTH1R, ITGA11, CFH, SPARC, PDGFRA, CYGB, COL4A2, CPED1, KCNJ8, ZEB2, SNAI2, GGT5, FBLN1, NOTCH3, FLNA |
505 |
DESCARTES_FETAL_ADRENAL_STROMAL_CELLS | 3.35e-22 | 79.89 | 39.57 | 2.81e-20 | 2.25e-19 | 15COL6A3, PCDH18, C7, LAMC3, COL3A1, CCDC102B, FREM1, ADH1B, ABCC9, PTH1R, ITGA11, CD248, PDGFRA, ABCA6, CARMN |
153 |
AIZARANI_LIVER_C33_STELLATE_CELLS_2 | 1.35e-19 | 79.80 | 37.96 | 7.57e-18 | 9.09e-17 | 13BGN, C7, COL3A1, COL4A1, CALD1, PTH1R, SEMA5A, SPARC, CYGB, COL4A2, VIM, NOTCH3, FLNA |
126 |
CUI_DEVELOPING_HEART_C3_FIBROBLAST_LIKE_CELL | 4.20e-18 | 77.52 | 35.77 | 1.88e-16 | 2.82e-15 | 12COL6A3, PCDH18, SPON2, C7, FBLN5, CCDC102B, SPARC, PDGFRA, MEST, MATN2, SNAI2, FBLN1 |
117 |
DESCARTES_FETAL_INTESTINE_STROMAL_CELLS | 1.40e-10 | 102.99 | 33.66 | 3.48e-09 | 9.40e-08 | 6PDGFRB, SPON2, ADH1B, ITGA11, PDGFRA, FBLN1 |
40 |
MENON_FETAL_KIDNEY_3_STROMAL_CELLS | 4.10e-14 | 78.39 | 32.29 | 1.25e-12 | 2.75e-11 | 9COL6A3, COL3A1, COL4A1, CALD1, TNC, SPARC, COL4A2, VIM, ZEB2 |
81 |
TRAVAGLINI_LUNG_PERICYTE_CELL | 2.35e-16 | 70.44 | 31.64 | 8.74e-15 | 1.57e-13 | 11PDGFRB, PCDH18, LAMC3, COL4A1, CCDC102B, GUCY1A2, SEMA5A, COL4A2, MEST, CHST2, NOTCH3 |
114 |
DESCARTES_FETAL_LUNG_STROMAL_CELLS | 1.23e-11 | 87.20 | 31.53 | 3.18e-10 | 8.26e-09 | 7ITGA8, S1PR3, FREM1, PTH1R, LAMA2, PDGFRA, ABCA6 |
55 |
HU_FETAL_RETINA_FIBROBLAST | 1.60e-27 | 55.74 | 30.07 | 2.14e-25 | 1.07e-24 | 22BGN, COL6A3, PDGFRB, PCDH18, LAMC3, COL3A1, COL4A1, EMILIN1, S1PR3, CALD1, PTH1R, CD248, SPARC, PDGFRA, COL4A2, EGFR, CPED1, MEST, SNAI2, FBLN1, NOTCH3, FLNA |
385 |
DESCARTES_FETAL_HEART_SMOOTH_MUSCLE_CELLS | 2.95e-10 | 89.95 | 29.60 | 7.06e-09 | 1.98e-07 | 6PDGFRB, ABCC9, CYGB, KCNJ8, NOTCH3, CARMN |
45 |
DESCARTES_FETAL_LIVER_STELLATE_CELLS | 3.01e-18 | 61.90 | 29.54 | 1.44e-16 | 2.02e-15 | 13BGN, COL6A3, PDGFRB, ITGA8, S1PR3, GUCY1A2, ABCC9, PTH1R, LAMA2, SEMA5A, PDGFRA, GGT5, CARMN |
159 |
RUBENSTEIN_SKELETAL_MUSCLE_PERICYTES | 5.40e-17 | 61.57 | 28.62 | 2.27e-15 | 3.63e-14 | 12COL6A3, PDGFRB, COL3A1, COL4A1, CALD1, ABCC9, SPARC, CYGB, COL4A2, KCNJ8, NOTCH3, FLNA |
144 |
MANNO_MIDBRAIN_NEUROTYPES_HPERIC | 2.86e-33 | 50.60 | 27.62 | 6.39e-31 | 1.92e-30 | 30BGN, PDGFRB, PCDH18, SPON2, ITGA8, LAMC3, COL3A1, COL4A1, EMILIN1, S1PR3, GUCY1A2, CALD1, ABCC9, PTH1R, ITGA11, LAMA2, SEMA5A, CFH, CD248, SPARC, COL4A2, CPED1, KCNJ8, CHST2, SNAI2, GGT5, HEYL, NOTCH3, CARMN, FLNA |
795 |
MURARO_PANCREAS_MESENCHYMAL_STROMAL_CELL | 1.88e-28 | 42.63 | 23.42 | 3.15e-26 | 1.26e-25 | 26BGN, COL6A3, PDGFRB, SPON2, LAMC3, COL3A1, COL4A1, CCDC102B, S1PR3, GUCY1A2, CALD1, ITGA11, TNC, LAMA2, CD248, SPARC, PDGFRA, CYGB, COL4A2, VIM, ZEB2, SNAI2, HEYL, NOTCH3, CARMN, FLNA |
680 |
FAN_EMBRYONIC_CTX_BIG_GROUPS_BRAIN_ENDOTHELIAL | 3.14e-21 | 41.75 | 21.84 | 1.92e-19 | 2.11e-18 | 18BGN, PDGFRB, PCDH18, LAMC3, COL3A1, COL4A1, S1PR3, CALD1, LAMA2, SEMA5A, CD248, SPARC, COL4A2, KCNJ8, VIM, GGT5, NOTCH3, FLNA |
365 |
TRAVAGLINI_LUNG_VASCULAR_SMOOTH_MUSCLE_CELL | 1.96e-09 | 63.76 | 21.33 | 3.98e-08 | 1.31e-06 | 6BGN, CALD1, SEMA5A, PARM1, HEYL, NOTCH3 |
61 |
Dowload full table
mSigDB Hallmark Gene Sets:
P-value | OR | Lower 95% CI | FDR | FWER | Genes Found | Gene Set Size | |
---|---|---|---|---|---|---|---|
HALLMARK_EPITHELIAL_MESENCHYMAL_TRANSITION | 4.53e-24 | 72.45 | 37.16 | 2.26e-22 | 2.26e-22 | 17BGN, COL6A3, PDGFRB, FBLN5, COL3A1, COL4A1, CALD1, TNC, LAMA2, SPARC, COL4A2, MEST, VIM, MATN2, SNAI2, FBLN1, FLNA |
200 |
HALLMARK_MYOGENESIS | 4.09e-05 | 14.68 | 4.50 | 1.02e-03 | 2.04e-03 | 5COL6A3, COL3A1, LAMA2, SPARC, COL4A2 |
200 |
HALLMARK_UV_RESPONSE_DN | 1.72e-04 | 15.99 | 4.13 | 2.86e-03 | 8.58e-03 | 4PDGFRB, FBLN5, COL3A1, SNAI2 |
144 |
HALLMARK_NOTCH_SIGNALING | 1.75e-03 | 35.74 | 4.03 | 2.19e-02 | 8.77e-02 | 2HEYL, NOTCH3 |
32 |
HALLMARK_ANGIOGENESIS | 2.22e-03 | 31.54 | 3.57 | 2.22e-02 | 1.11e-01 | 2COL3A1, KCNJ8 |
36 |
HALLMARK_HYPOXIA | 6.73e-03 | 8.34 | 1.65 | 5.61e-02 | 3.37e-01 | 3BGN, EGFR, CHST2 |
200 |
HALLMARK_COAGULATION | 2.91e-02 | 7.89 | 0.92 | 2.08e-01 | 1.00e+00 | 2CFH, SPARC |
138 |
HALLMARK_APOPTOSIS | 3.85e-02 | 6.75 | 0.79 | 2.41e-01 | 1.00e+00 | 2BGN, PDGFRB |
161 |
HALLMARK_COMPLEMENT | 5.67e-02 | 5.42 | 0.63 | 2.58e-01 | 1.00e+00 | 2CFH, COL4A2 |
200 |
HALLMARK_GLYCOLYSIS | 5.67e-02 | 5.42 | 0.63 | 2.58e-01 | 1.00e+00 | 2EGFR, CHST2 |
200 |
HALLMARK_ALLOGRAFT_REJECTION | 5.67e-02 | 5.42 | 0.63 | 2.58e-01 | 1.00e+00 | 2EGFR, FLNA |
200 |
HALLMARK_PROTEIN_SECRETION | 1.70e-01 | 5.53 | 0.14 | 6.41e-01 | 1.00e+00 | 1EGFR |
96 |
HALLMARK_PI3K_AKT_MTOR_SIGNALING | 1.84e-01 | 5.06 | 0.12 | 6.41e-01 | 1.00e+00 | 1EGFR |
105 |
HALLMARK_BILE_ACID_METABOLISM | 1.95e-01 | 4.74 | 0.12 | 6.41e-01 | 1.00e+00 | 1ABCA6 |
112 |
HALLMARK_MITOTIC_SPINDLE | 3.19e-01 | 2.66 | 0.07 | 6.41e-01 | 1.00e+00 | 1FLNA |
199 |
HALLMARK_IL2_STAT5_SIGNALING | 3.19e-01 | 2.66 | 0.07 | 6.41e-01 | 1.00e+00 | 1PTH1R |
199 |
HALLMARK_TNFA_SIGNALING_VIA_NFKB | 3.20e-01 | 2.64 | 0.07 | 6.41e-01 | 1.00e+00 | 1TNC |
200 |
HALLMARK_ADIPOGENESIS | 3.20e-01 | 2.64 | 0.07 | 6.41e-01 | 1.00e+00 | 1COL4A1 |
200 |
HALLMARK_ESTROGEN_RESPONSE_LATE | 3.20e-01 | 2.64 | 0.07 | 6.41e-01 | 1.00e+00 | 1MEST |
200 |
HALLMARK_INTERFERON_GAMMA_RESPONSE | 3.20e-01 | 2.64 | 0.07 | 6.41e-01 | 1.00e+00 | 1CFH |
200 |
Dowload full table
KEGG Pathways:
P-value | OR | Lower 95% CI | FDR | FWER | Genes Found | Gene Set Size | |
---|---|---|---|---|---|---|---|
KEGG_ECM_RECEPTOR_INTERACTION | 5.75e-14 | 75.22 | 31.05 | 5.35e-12 | 1.07e-11 | 9COL6A3, ITGA8, LAMC3, COL3A1, COL4A1, ITGA11, TNC, LAMA2, COL4A2 |
84 |
KEGG_FOCAL_ADHESION | 5.74e-17 | 48.60 | 23.31 | 1.07e-14 | 1.07e-14 | 13COL6A3, PDGFRB, ITGA8, LAMC3, COL3A1, COL4A1, ITGA11, TNC, LAMA2, PDGFRA, COL4A2, EGFR, FLNA |
199 |
KEGG_SMALL_CELL_LUNG_CANCER | 2.12e-05 | 27.99 | 7.15 | 9.85e-04 | 3.94e-03 | 4LAMC3, COL4A1, LAMA2, COL4A2 |
84 |
KEGG_GAP_JUNCTION | 2.78e-05 | 26.04 | 6.66 | 1.03e-03 | 5.17e-03 | 4PDGFRB, GUCY1A2, PDGFRA, EGFR |
90 |
KEGG_DORSO_VENTRAL_AXIS_FORMATION | 9.86e-04 | 48.67 | 5.41 | 1.41e-02 | 1.83e-01 | 2EGFR, NOTCH3 |
24 |
KEGG_GLIOMA | 2.73e-04 | 26.51 | 5.14 | 7.24e-03 | 5.07e-02 | 3PDGFRB, PDGFRA, EGFR |
65 |
KEGG_PATHWAYS_IN_CANCER | 2.72e-06 | 13.19 | 4.97 | 1.69e-04 | 5.06e-04 | 7PDGFRB, LAMC3, COL4A1, LAMA2, PDGFRA, COL4A2, EGFR |
325 |
KEGG_MELANOMA | 3.53e-04 | 24.17 | 4.70 | 8.22e-03 | 6.57e-02 | 3PDGFRB, PDGFRA, EGFR |
71 |
KEGG_ARRHYTHMOGENIC_RIGHT_VENTRICULAR_CARDIOMYOPATHY_ARVC | 3.99e-04 | 23.15 | 4.50 | 8.25e-03 | 7.42e-02 | 3ITGA8, ITGA11, LAMA2 |
74 |
KEGG_REGULATION_OF_ACTIN_CYTOSKELETON | 5.50e-05 | 13.76 | 4.22 | 1.71e-03 | 1.02e-02 | 5PDGFRB, ITGA8, ITGA11, PDGFRA, EGFR |
213 |
KEGG_HYPERTROPHIC_CARDIOMYOPATHY_HCM | 5.58e-04 | 20.54 | 4.01 | 1.04e-02 | 1.04e-01 | 3ITGA8, ITGA11, LAMA2 |
83 |
KEGG_PROSTATE_CANCER | 6.84e-04 | 19.11 | 3.73 | 1.10e-02 | 1.27e-01 | 3PDGFRB, PDGFRA, EGFR |
89 |
KEGG_DILATED_CARDIOMYOPATHY | 7.07e-04 | 18.89 | 3.69 | 1.10e-02 | 1.31e-01 | 3ITGA8, ITGA11, LAMA2 |
90 |
KEGG_ABC_TRANSPORTERS | 3.29e-03 | 25.55 | 2.91 | 4.08e-02 | 6.12e-01 | 2ABCC9, ABCA6 |
44 |
KEGG_MAPK_SIGNALING_PATHWAY | 1.71e-03 | 8.52 | 2.21 | 2.27e-02 | 3.18e-01 | 4PDGFRB, PDGFRA, EGFR, FLNA |
267 |
KEGG_CALCIUM_SIGNALING_PATHWAY | 4.89e-03 | 9.40 | 1.85 | 5.68e-02 | 9.09e-01 | 3PDGFRB, PDGFRA, EGFR |
178 |
KEGG_COMPLEMENT_AND_COAGULATION_CASCADES | 7.90e-03 | 16.01 | 1.85 | 8.65e-02 | 1.00e+00 | 2C7, CFH |
69 |
KEGG_ADHERENS_JUNCTION | 8.81e-03 | 15.11 | 1.75 | 9.10e-02 | 1.00e+00 | 2EGFR, SNAI2 |
73 |
KEGG_TAURINE_AND_HYPOTAURINE_METABOLISM | 1.92e-02 | 58.32 | 1.31 | 1.79e-01 | 1.00e+00 | 1GGT5 |
10 |
KEGG_CYTOKINE_CYTOKINE_RECEPTOR_INTERACTION | 1.43e-02 | 6.28 | 1.24 | 1.40e-01 | 1.00e+00 | 3PDGFRB, PDGFRA, EGFR |
265 |
Dowload full table
CHR Positional Gene Sets:
P-value | OR | Lower 95% CI | FDR | FWER | Genes Found | Gene Set Size | |
---|---|---|---|---|---|---|---|
chr10p13 | 6.83e-03 | 17.30 | 1.99 | 1.00e+00 | 1.00e+00 | 2ITGA8, VIM |
64 |
chr12p12 | 1.82e-02 | 10.22 | 1.19 | 1.00e+00 | 1.00e+00 | 2ABCC9, KCNJ8 |
107 |
chrXq28 | 5.97e-02 | 5.26 | 0.62 | 1.00e+00 | 1.00e+00 | 2BGN, FLNA |
206 |
chr7q33 | 9.58e-02 | 10.31 | 0.25 | 1.00e+00 | 1.00e+00 | 1CALD1 |
52 |
chr18q22 | 1.11e-01 | 8.76 | 0.21 | 1.00e+00 | 1.00e+00 | 1CCDC102B |
61 |
chr15q23 | 1.18e-01 | 8.21 | 0.20 | 1.00e+00 | 1.00e+00 | 1ITGA11 |
65 |
chr2q22 | 1.23e-01 | 7.85 | 0.19 | 1.00e+00 | 1.00e+00 | 1ZEB2 |
68 |
chr8q11 | 1.27e-01 | 7.62 | 0.19 | 1.00e+00 | 1.00e+00 | 1SNAI2 |
70 |
chr1q31 | 1.28e-01 | 7.51 | 0.18 | 1.00e+00 | 1.00e+00 | 1CFH |
71 |
chr4q12 | 1.42e-01 | 6.74 | 0.17 | 1.00e+00 | 1.00e+00 | 1PDGFRA |
79 |
chr7p11 | 1.47e-01 | 6.49 | 0.16 | 1.00e+00 | 1.00e+00 | 1EGFR |
82 |
chr7q32 | 1.60e-01 | 5.91 | 0.14 | 1.00e+00 | 1.00e+00 | 1MEST |
90 |
chr17q24 | 1.66e-01 | 5.65 | 0.14 | 1.00e+00 | 1.00e+00 | 1ABCA6 |
94 |
chr11q22 | 1.73e-01 | 5.42 | 0.13 | 1.00e+00 | 1.00e+00 | 1GUCY1A2 |
98 |
chr2q32 | 1.89e-01 | 4.91 | 0.12 | 1.00e+00 | 1.00e+00 | 1COL3A1 |
108 |
chr5q33 | 1.90e-01 | 4.87 | 0.12 | 1.00e+00 | 1.00e+00 | 1SPARC |
109 |
chr6q22 | 2.06e-01 | 4.46 | 0.11 | 1.00e+00 | 1.00e+00 | 1LAMA2 |
119 |
chr5p13 | 2.19e-01 | 4.14 | 0.10 | 1.00e+00 | 1.00e+00 | 1C7 |
128 |
chr7q31 | 2.21e-01 | 4.11 | 0.10 | 1.00e+00 | 1.00e+00 | 1CPED1 |
129 |
chr9q33 | 2.24e-01 | 4.04 | 0.10 | 1.00e+00 | 1.00e+00 | 1TNC |
131 |
Dowload full table
Transcription Factor Targets:
P-value | OR | Lower 95% CI | FDR | FWER | Genes Found | Gene Set Size | |
---|---|---|---|---|---|---|---|
SRF_01 | 1.33e-04 | 34.22 | 6.59 | 9.08e-02 | 1.50e-01 | 3CALD1, CD248, FLNA |
51 |
AFP1_Q6 | 1.60e-04 | 10.88 | 3.34 | 9.08e-02 | 1.82e-01 | 5CALD1, ITGA11, PDGFRA, EGFR, ZEB2 |
268 |
SRF_C | 7.75e-04 | 10.61 | 2.75 | 1.93e-01 | 8.78e-01 | 4CALD1, CD248, ZEB2, FLNA |
215 |
HNF3B_01 | 8.86e-04 | 10.23 | 2.65 | 1.93e-01 | 1.00e+00 | 4ITGA8, CALD1, ZEB2, PCDH9 |
223 |
S8_01 | 1.29e-03 | 9.22 | 2.39 | 1.93e-01 | 1.00e+00 | 4CALD1, PTH1R, ITGA11, ZEB2 |
247 |
ELF1_Q6 | 1.33e-03 | 9.14 | 2.37 | 1.93e-01 | 1.00e+00 | 4COL6A3, FBLN5, VIM, PCDH9 |
249 |
STAT5B_01 | 1.45e-03 | 8.92 | 2.32 | 1.93e-01 | 1.00e+00 | 4C7, LAMA2, KCNJ8, ZEB2 |
255 |
AP1_Q6 | 1.53e-03 | 8.79 | 2.28 | 1.93e-01 | 1.00e+00 | 4PDGFRB, SPARC, VIM, PCDH9 |
259 |
COREBINDINGFACTOR_Q6 | 1.93e-03 | 8.23 | 2.14 | 1.98e-01 | 1.00e+00 | 4COL4A1, CYGB, COL4A2, VIM |
276 |
RTTTNNNYTGGM_UNKNOWN | 3.33e-03 | 10.82 | 2.13 | 3.14e-01 | 1.00e+00 | 3FBLN5, CALD1, EGFR |
155 |
RGAANNTTC_HSF1_01 | 1.75e-03 | 6.32 | 1.95 | 1.98e-01 | 1.00e+00 | 5COL6A3, C7, ITGA8, FBLN5, CHST2 |
458 |
RYTTCCTG_ETS2_B | 9.47e-04 | 4.45 | 1.80 | 1.93e-01 | 1.00e+00 | 8COL6A3, PDGFRB, CALD1, PTH1R, CD248, SPARC, PDGFRA, ZEB2 |
1112 |
WGTTNNNNNAAA_UNKNOWN | 3.91e-03 | 5.21 | 1.61 | 3.37e-01 | 1.00e+00 | 5PCDH18, CALD1, CYGB, ZEB2, PCDH9 |
554 |
AAAYRNCTG_UNKNOWN | 5.67e-03 | 6.04 | 1.57 | 3.37e-01 | 1.00e+00 | 4PCDH18, ITGA8, PTH1R, PDGFRA |
375 |
RP58_01 | 7.89e-03 | 7.87 | 1.55 | 3.37e-01 | 1.00e+00 | 3ITGA8, COL3A1, ZEB2 |
212 |
TAATTA_CHX10_01 | 4.27e-03 | 4.30 | 1.49 | 3.37e-01 | 1.00e+00 | 6PCDH18, ITGA8, CALD1, PTH1R, PDGFRA, ZEB2 |
823 |
SRF_Q5_01 | 9.26e-03 | 7.41 | 1.46 | 3.37e-01 | 1.00e+00 | 3CALD1, CD248, FLNA |
225 |
RNCTGNYNRNCTGNY_UNKNOWN | 1.23e-02 | 12.62 | 1.46 | 3.37e-01 | 1.00e+00 | 2CALD1, SPARC |
87 |
TGTYNNNNNRGCARM_UNKNOWN | 1.26e-02 | 12.48 | 1.45 | 3.37e-01 | 1.00e+00 | 2SPARC, ZEB2 |
88 |
CCAWWNAAGG_SRF_Q4 | 1.26e-02 | 12.48 | 1.45 | 3.37e-01 | 1.00e+00 | 2CALD1, FLNA |
88 |
Dowload full table
GO Biological Processes:
P-value | OR | Lower 95% CI | FDR | FWER | Genes Found | Gene Set Size | |
---|---|---|---|---|---|---|---|
GOBP_POSITIVE_REGULATION_OF_NITRIC_OXIDE_MEDIATED_SIGNAL_TRANSDUCTION | 3.66e-05 | 352.61 | 29.06 | 8.56e-03 | 2.74e-01 | 2GUCY1A2, EGFR |
5 |
GOBP_GLOMERULUS_VASCULATURE_MORPHOGENESIS | 3.66e-05 | 352.61 | 29.06 | 8.56e-03 | 2.74e-01 | 2PDGFRB, PDGFRA |
5 |
GOBP_COLLAGEN_ACTIVATED_SIGNALING_PATHWAY | 3.06e-06 | 136.50 | 23.94 | 2.08e-03 | 2.29e-02 | 3COL4A1, ITGA11, COL4A2 |
15 |
GOBP_RENAL_SYSTEM_VASCULATURE_MORPHOGENESIS | 5.49e-05 | 267.63 | 23.60 | 1.17e-02 | 4.10e-01 | 2PDGFRB, PDGFRA |
6 |
GOBP_RETINA_VASCULATURE_DEVELOPMENT_IN_CAMERA_TYPE_EYE | 5.46e-06 | 109.20 | 19.64 | 2.28e-03 | 4.08e-02 | 3PDGFRB, COL4A1, PDGFRA |
18 |
GOBP_GLOMERULUS_MORPHOGENESIS | 1.02e-04 | 177.85 | 17.16 | 1.69e-02 | 7.64e-01 | 2PDGFRB, PDGFRA |
8 |
GOBP_METANEPHRIC_GLOMERULUS_VASCULATURE_DEVELOPMENT | 1.02e-04 | 177.85 | 17.16 | 1.69e-02 | 7.64e-01 | 2PDGFRB, PDGFRA |
8 |
GOBP_REGULATION_OF_NITRIC_OXIDE_MEDIATED_SIGNAL_TRANSDUCTION | 1.31e-04 | 152.29 | 15.11 | 1.98e-02 | 9.81e-01 | 2GUCY1A2, EGFR |
9 |
GOBP_EXTERNAL_ENCAPSULATING_STRUCTURE_ORGANIZATION | 5.22e-16 | 28.96 | 14.57 | 3.91e-12 | 3.91e-12 | 15BGN, COL6A3, ITGA8, FBLN5, LAMC3, COL3A1, COL4A1, EMILIN1, ITGA11, TNC, LAMA2, SPARC, PDGFRA, COL4A2, FBLN1 |
396 |
GOBP_ELASTIC_FIBER_ASSEMBLY | 1.64e-04 | 133.66 | 13.49 | 2.36e-02 | 1.00e+00 | 2FBLN5, EMILIN1 |
10 |
GOBP_NOTCH_SIGNALING_INVOLVED_IN_HEART_DEVELOPMENT | 2.00e-04 | 118.87 | 12.19 | 2.77e-02 | 1.00e+00 | 2SNAI2, HEYL |
11 |
GOBP_COLLAGEN_ACTIVATED_TYROSINE_KINASE_RECEPTOR_SIGNALING_PATHWAY | 2.40e-04 | 106.92 | 11.12 | 3.09e-02 | 1.00e+00 | 2COL4A1, COL4A2 |
12 |
GOBP_AORTIC_VALVE_MORPHOGENESIS | 2.95e-05 | 58.63 | 11.03 | 7.61e-03 | 2.21e-01 | 3EMILIN1, SNAI2, HEYL |
31 |
GOBP_METANEPHRIC_GLOMERULUS_DEVELOPMENT | 3.80e-04 | 82.36 | 8.80 | 4.10e-02 | 1.00e+00 | 2PDGFRB, PDGFRA |
15 |
GOBP_SEMI_LUNAR_VALVE_DEVELOPMENT | 6.89e-05 | 43.20 | 8.25 | 1.36e-02 | 5.15e-01 | 3EMILIN1, SNAI2, HEYL |
41 |
GOBP_EPITHELIAL_TO_MESENCHYMAL_TRANSITION_INVOLVED_IN_ENDOCARDIAL_CUSHION_FORMATION | 4.33e-04 | 76.37 | 8.22 | 4.44e-02 | 1.00e+00 | 2SNAI2, HEYL |
16 |
GOBP_ASTROCYTE_DEVELOPMENT | 7.41e-05 | 42.10 | 8.05 | 1.39e-02 | 5.54e-01 | 3LAMC3, EGFR, VIM |
42 |
GOBP_CARDIAC_MYOFIBRIL_ASSEMBLY | 4.90e-04 | 71.39 | 7.72 | 4.96e-02 | 1.00e+00 | 2PDGFRB, PDGFRA |
17 |
GOBP_REGULATION_OF_PHOSPHOLIPASE_C_ACTIVITY | 9.74e-05 | 38.20 | 7.33 | 1.69e-02 | 7.29e-01 | 3PDGFRB, PDGFRA, EGFR |
46 |
GOBP_COMPLEMENT_ACTIVATION_ALTERNATIVE_PATHWAY | 5.51e-04 | 67.02 | 7.27 | 5.35e-02 | 1.00e+00 | 2C7, CFH |
18 |
Dowload full table
Immunological Gene Sets:
P-value | OR | Lower 95% CI | FDR | FWER | Genes Found | Gene Set Size | |
---|---|---|---|---|---|---|---|
GSE20715_WT_VS_TLR4_KO_LUNG_UP | 2.30e-06 | 18.10 | 6.23 | 1.12e-02 | 1.12e-02 | 6BGN, ITGA8, FBLN5, VIM, CHST2, SNAI2 |
200 |
GSE1460_INTRATHYMIC_T_PROGENITOR_VS_DP_THYMOCYTE_UP | 3.81e-05 | 14.91 | 4.57 | 9.27e-02 | 1.85e-01 | 5CCDC102B, ABCC9, CFH, MEST, VIM |
197 |
GSE21063_WT_VS_NFATC1_KO_16H_ANTI_IGM_STIM_BCELL_DN | 4.70e-04 | 12.17 | 3.15 | 1.60e-01 | 1.00e+00 | 4PDGFRB, SPON2, ADH1B, CHST2 |
188 |
GSE13411_NAIVE_VS_MEMORY_BCELL_UP | 5.09e-04 | 11.91 | 3.08 | 1.60e-01 | 1.00e+00 | 4BGN, COL3A1, ABCA6, SNAI2 |
192 |
GSE24574_BCL6_HIGH_TFH_VS_TCONV_CD4_TCELL_DN | 5.71e-04 | 11.54 | 2.99 | 1.60e-01 | 1.00e+00 | 4COL3A1, GUCY1A2, CALD1, PARM1 |
198 |
GSE22886_TH1_VS_TH2_12H_ACT_UP | 5.81e-04 | 11.49 | 2.97 | 1.60e-01 | 1.00e+00 | 4COL6A3, PDGFRB, MEST, ZEB2 |
199 |
GSE8678_IL7R_LOW_VS_HIGH_EFF_CD8_TCELL_UP | 5.81e-04 | 11.49 | 2.97 | 1.60e-01 | 1.00e+00 | 4PTH1R, KCNJ8, ZEB2, FLNA |
199 |
GSE22229_UNTREATED_VS_IMMUNOSUPP_THERAPY_RENAL_TRANSPLANT_PATIENT_PBMC_DN | 5.81e-04 | 11.49 | 2.97 | 1.60e-01 | 1.00e+00 | 4COL4A1, EMILIN1, COL4A2, PARM1 |
199 |
GSE45739_UNSTIM_VS_ACD3_ACD28_STIM_NRAS_KO_CD4_TCELL_DN | 5.81e-04 | 11.49 | 2.97 | 1.60e-01 | 1.00e+00 | 4SPON2, CD248, ZEB2, PCDH9 |
199 |
GSE24142_EARLY_THYMIC_PROGENITOR_VS_DN3_THYMOCYTE_FETAL_UP | 5.92e-04 | 11.43 | 2.96 | 1.60e-01 | 1.00e+00 | 4PDGFRB, VIM, ZEB2, FLNA |
200 |
GSE2405_0H_VS_24H_A_PHAGOCYTOPHILUM_STIM_NEUTROPHIL_DN | 5.92e-04 | 11.43 | 2.96 | 1.60e-01 | 1.00e+00 | 4FBLN5, CFH, SPARC, NOTCH3 |
200 |
GSE3039_CD4_TCELL_VS_ALPHABETA_CD8_TCELL_UP | 5.92e-04 | 11.43 | 2.96 | 1.60e-01 | 1.00e+00 | 4BGN, ABCC9, TNC, CFH |
200 |
GSE4748_CTRL_VS_LPS_AND_CYANOBACTERIUM_LPSLIKE_STIM_DC_3H_DN | 5.92e-04 | 11.43 | 2.96 | 1.60e-01 | 1.00e+00 | 4COL6A3, COL4A1, MEST, PARM1 |
200 |
GSE32164_RESTING_DIFFERENTIATED_VS_ALTERNATIVELY_ACT_M2_MACROPHAGE_UP | 5.92e-04 | 11.43 | 2.96 | 1.60e-01 | 1.00e+00 | 4COL4A1, LAMA2, EGFR, PARM1 |
200 |
GSE37301_GRANULOCYTE_MONOCYTE_PROGENITOR_VS_RAG2_KO_NK_CELL_DN | 5.92e-04 | 11.43 | 2.96 | 1.60e-01 | 1.00e+00 | 4COL3A1, COL4A1, COL4A2, KCNJ8 |
200 |
GSE28737_BCL6_HET_VS_BCL6_KO_FOLLICULAR_BCELL_DN | 5.92e-04 | 11.43 | 2.96 | 1.60e-01 | 1.00e+00 | 4BGN, COL6A3, TNC, SPARC |
200 |
GSE43955_1H_VS_10H_ACT_CD4_TCELL_DN | 5.92e-04 | 11.43 | 2.96 | 1.60e-01 | 1.00e+00 | 4COL6A3, TNC, SNAI2, NOTCH3 |
200 |
GSE43955_1H_VS_10H_ACT_CD4_TCELL_WITH_TGFB_IL6_DN | 5.92e-04 | 11.43 | 2.96 | 1.60e-01 | 1.00e+00 | 4BGN, ITGA8, COL4A2, CHST2 |
200 |
GSE9946_LISTERIA_INF_MATURE_VS_PROSTAGLANDINE2_TREATED_MATURE_DC_DN | 1.66e-03 | 13.93 | 2.74 | 3.49e-01 | 1.00e+00 | 3C7, CYGB, EGFR |
121 |
GSE9946_MATURE_STIMULATORY_VS_PROSTAGLANDINE2_TREATED_MATURE_DC_DN | 2.35e-03 | 12.27 | 2.41 | 3.49e-01 | 1.00e+00 | 3FBLN5, S1PR3, EGFR |
137 |
Top Ranked Transcription Factors for this Gene Expression Program:
Gene Symbol | TF Rank | DNA Binding Domain | Motif Status | IUPAC PWM | GTEx | DepMap | Decartes |
---|---|---|---|---|---|---|---|
ZEB2 | 40 | Yes | Inferred motif | Monomer or homomultimer | In vivo/Misc source | None | None |
SNAI2 | 42 | Yes | Known motif | Monomer or homomultimer | High-throughput in vitro | None | None |
HEYL | 44 | Yes | Inferred motif | Monomer or homomultimer | High-throughput in vitro | None | None |
NOTCH3 | 47 | No | Unlikely to be sequence specific TF | Not a DNA binding protein | No motif | None | Fragment of NOTCH. Is a coactivator. |
FLNA | 50 | No | Unlikely to be sequence specific TF | Not a DNA binding protein | No motif | None | Go annotation is based on (PMID: 15684392), which shows that it binds FOXC1 and PBX1 but doesnt show evidence for binding to DNA |
NR2F2 | 53 | Yes | Known motif | Monomer or homomultimer | 100 perc ID - in vitro | None | None |
NPAS1 | 60 | Yes | Inferred motif | Obligate heteromer | In vivo/Misc source | None | Likely obligate heteromer (PMID: 27782878). |
TSHZ2 | 62 | Yes | Likely to be sequence specific TF | Monomer or homomultimer | No motif | None | Also contains an atypical homodomain (Uniprot) not identified by Pfam. |
TCF21 | 63 | Yes | Known motif | Monomer or homomultimer | High-throughput in vitro | None | None |
WNT5A | 66 | No | Unlikely to be sequence specific TF | Not a DNA binding protein | No motif | None | (PMID: 19847889) shows this protein as a part of a large EMSA shifting complex with RNA-Pol1, CHD1, and other DNA binding proteins. It does not, however, show evidence for it binding to DNA directly |
CCDC3 | 77 | No | Unlikely to be sequence specific TF | Not a DNA binding protein | No motif | None | bZIP domain is truncated and lacks the DNA-contacting residues. |
PDS5B | 85 | No | Unlikely to be sequence specific TF | Not a DNA binding protein | No motif | Has a putative AT-hook | None |
FOXS1 | 97 | Yes | Inferred motif | Monomer or homomultimer | High-throughput in vitro | None | None |
VGLL3 | 104 | No | Unlikely to be sequence specific TF | Not a DNA binding protein | No motif | None | (PMID: 23380592) describes this protein as a co-activator, and it doesnt seem to have a DBD (fig. 1) |
NOTCH2 | 130 | No | Unlikely to be sequence specific TF | Not a DNA binding protein | No motif | None | Transmembrane receptor protein that operates far upstream in the signaling cascade |
FZD1 | 139 | No | Unlikely to be sequence specific TF | Not a DNA binding protein | No motif | None | None |
TRERF1 | 156 | Yes | Inferred motif | Monomer or homomultimer | In vivo/Misc source | None | Contains a SANT and multiple DNA-binding C2H2 domains. |
TGFB1I1 | 171 | No | Unlikely to be sequence specific TF | Not a DNA binding protein | No motif | None | Available evidence suggests that it acts as a co-factor |
PAWR | 174 | No | Unlikely to be sequence specific TF | Not a DNA binding protein | No motif | None | Protein that binds to several TFs such as PITX2 (PMID: 19801652) and appears to inactivate them |
PTCH1 | 184 | No | Unlikely to be sequence specific TF | Not a DNA binding protein | No motif | None | None |
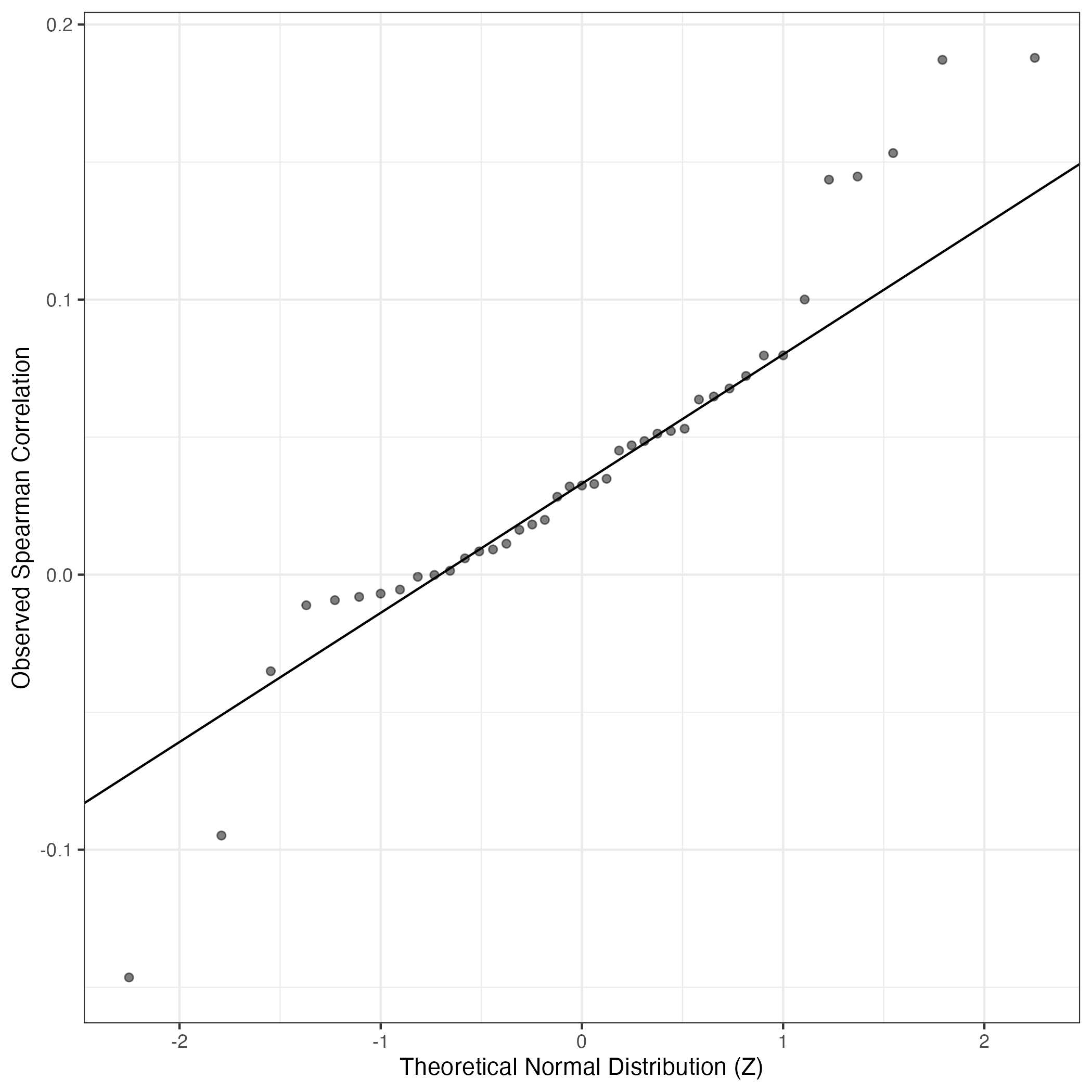
QQ Plot showing correlations with other GEPs in this dataset, calculated by Spearman correlation:
Interactive QQ-plot of gene loadings:
A similar QQ-plot as above, but only for instances where the H value is e.g. > 25, i.e. we are confident that the expression program is active above noise. Agreemenet between these binary vectors is tested using the Jaccard Index, with the P-values calculated by an exact test:
Interactive QQ-plot:
Singler cell type annotations for the top 50 cells on this program.
Cell ID | Singler label | Singler Delta | Activity Score | Top Singler Raw Scores |
---|---|---|---|---|
R48a_w14.5_TTTACCACAGGCCCTA-1 | MSC | 0.23 | 824.13 | Raw ScoresMSC: 0.53, Tissue_stem_cells:lipoma-derived_MSC: 0.5, iPS_cells:skin_fibroblast: 0.5, iPS_cells:CRL2097_foreskin: 0.5, Tissue_stem_cells:adipose-derived_MSC_AM3: 0.49, Neurons:Schwann_cell: 0.49, Smooth_muscle_cells:vascular: 0.49, iPS_cells:PDB_fibroblasts: 0.49, Tissue_stem_cells:CD326-CD56+: 0.49, iPS_cells:fibroblasts: 0.49 |
R53b_w11.5_GACGCTGCACAATGCT-1 | Smooth_muscle_cells:bronchial | 0.20 | 550.96 | Raw ScoresSmooth_muscle_cells:bronchial: 0.42, Tissue_stem_cells:BM_MSC:TGFb3: 0.42, Smooth_muscle_cells:bronchial:vit_D: 0.42, Tissue_stem_cells:BM_MSC:BMP2: 0.42, Fibroblasts:breast: 0.41, Tissue_stem_cells:iliac_MSC: 0.41, iPS_cells:CRL2097_foreskin: 0.41, Smooth_muscle_cells:vascular: 0.41, iPS_cells:adipose_stem_cells: 0.41, Osteoblasts: 0.41 |
R53b_w11.5_GTCCACTGTCGTGCCA-1 | Smooth_muscle_cells:bronchial | 0.19 | 523.43 | Raw ScoresiPS_cells:CRL2097_foreskin: 0.45, MSC: 0.45, iPS_cells:skin_fibroblast: 0.44, Fibroblasts:foreskin: 0.43, iPS_cells:foreskin_fibrobasts: 0.43, Fibroblasts:breast: 0.43, iPS_cells:PDB_fibroblasts: 0.43, Smooth_muscle_cells:bronchial: 0.43, Smooth_muscle_cells:bronchial:vit_D: 0.43, iPS_cells:adipose_stem_cells: 0.43 |
R48b_w12_CAGCGTGCAGCGTGAA-1 | Smooth_muscle_cells:vascular | 0.22 | 521.59 | Raw ScoresMSC: 0.48, Smooth_muscle_cells:vascular: 0.47, iPS_cells:CRL2097_foreskin: 0.46, Fibroblasts:foreskin: 0.46, iPS_cells:skin_fibroblast: 0.46, iPS_cells:foreskin_fibrobasts: 0.46, Tissue_stem_cells:lipoma-derived_MSC: 0.46, Fibroblasts:breast: 0.46, iPS_cells:PDB_fibroblasts: 0.45, Tissue_stem_cells:adipose-derived_MSC_AM3: 0.45 |
R48b_w12_CATGCCTAGAAGCCTG-1 | Smooth_muscle_cells:bronchial | 0.17 | 474.25 | Raw ScoresMSC: 0.46, iPS_cells:CRL2097_foreskin: 0.46, Smooth_muscle_cells:vascular: 0.44, Smooth_muscle_cells:bronchial: 0.44, Fibroblasts:foreskin: 0.44, iPS_cells:foreskin_fibrobasts: 0.44, Fibroblasts:breast: 0.44, iPS_cells:adipose_stem_cells: 0.44, Smooth_muscle_cells:bronchial:vit_D: 0.43, iPS_cells:skin_fibroblast: 0.43 |
R48c_w8.5_CTTTCGGCATGCACTA-1 | MSC | 0.21 | 471.04 | Raw ScoresMSC: 0.45, iPS_cells:CRL2097_foreskin: 0.44, Tissue_stem_cells:lipoma-derived_MSC: 0.43, iPS_cells:skin_fibroblast: 0.43, Tissue_stem_cells:adipose-derived_MSC_AM3: 0.43, iPS_cells:PDB_fibroblasts: 0.43, Fibroblasts:foreskin: 0.43, Smooth_muscle_cells:vascular: 0.43, iPS_cells:fibroblasts: 0.42, iPS_cells:foreskin_fibrobasts: 0.42 |
R53a_w9.5_TCCTGCATCTATCACT-1 | Smooth_muscle_cells:bronchial:vit_D | 0.19 | 468.34 | Raw ScoresiPS_cells:CRL2097_foreskin: 0.43, Smooth_muscle_cells:bronchial: 0.43, Fibroblasts:breast: 0.43, iPS_cells:adipose_stem_cells: 0.43, Smooth_muscle_cells:bronchial:vit_D: 0.43, MSC: 0.42, Smooth_muscle_cells:vascular: 0.42, Osteoblasts: 0.42, Tissue_stem_cells:BM_MSC:BMP2: 0.42, Tissue_stem_cells:iliac_MSC: 0.42 |
R48b_w12_ACTATTCGTAAGGAGA-1 | Tissue_stem_cells:BM_MSC:TGFb3 | 0.19 | 422.92 | Raw ScoresTissue_stem_cells:BM_MSC:TGFb3: 0.38, Smooth_muscle_cells:bronchial: 0.38, Tissue_stem_cells:iliac_MSC: 0.38, Smooth_muscle_cells:bronchial:vit_D: 0.38, Tissue_stem_cells:BM_MSC:BMP2: 0.38, iPS_cells:CRL2097_foreskin: 0.37, iPS_cells:adipose_stem_cells: 0.37, Fibroblasts:breast: 0.37, Chondrocytes:MSC-derived: 0.37, Smooth_muscle_cells:vascular: 0.37 |
R48c_w8.5_AGCTACAGTTGTAGCT-1 | MSC | 0.20 | 416.76 | Raw ScoresMSC: 0.47, Fibroblasts:foreskin: 0.45, Tissue_stem_cells:CD326-CD56+: 0.45, iPS_cells:CRL2097_foreskin: 0.45, Tissue_stem_cells:lipoma-derived_MSC: 0.44, iPS_cells:skin_fibroblast: 0.44, Tissue_stem_cells:adipose-derived_MSC_AM3: 0.44, Smooth_muscle_cells:vascular: 0.44, Neurons:Schwann_cell: 0.44, iPS_cells:foreskin_fibrobasts: 0.44 |
R53b_w11.5_ATCGCCTTCTCTATGT-1 | Smooth_muscle_cells:bronchial | 0.20 | 410.33 | Raw ScoresiPS_cells:CRL2097_foreskin: 0.43, MSC: 0.42, Smooth_muscle_cells:bronchial: 0.41, Fibroblasts:foreskin: 0.41, iPS_cells:foreskin_fibrobasts: 0.41, Smooth_muscle_cells:bronchial:vit_D: 0.41, iPS_cells:skin_fibroblast: 0.41, iPS_cells:PDB_fibroblasts: 0.4, Fibroblasts:breast: 0.4, iPS_cells:fibroblasts: 0.4 |
R48c_w8.5_TAATTCCCAAGCGAAC-1 | Fibroblasts:breast | 0.17 | 410.00 | Raw ScoresiPS_cells:CRL2097_foreskin: 0.37, Smooth_muscle_cells:bronchial: 0.37, Fibroblasts:breast: 0.37, iPS_cells:adipose_stem_cells: 0.37, Smooth_muscle_cells:bronchial:vit_D: 0.37, MSC: 0.36, Smooth_muscle_cells:vascular: 0.36, Tissue_stem_cells:BM_MSC:TGFb3: 0.36, Tissue_stem_cells:iliac_MSC: 0.36, Tissue_stem_cells:BM_MSC:BMP2: 0.36 |
R48b_w12_TTGGTTTCAACAGCCC-1 | Smooth_muscle_cells:vascular | 0.17 | 409.26 | Raw ScoresSmooth_muscle_cells:bronchial: 0.39, iPS_cells:CRL2097_foreskin: 0.39, Smooth_muscle_cells:bronchial:vit_D: 0.39, Tissue_stem_cells:BM_MSC:BMP2: 0.38, MSC: 0.38, Fibroblasts:breast: 0.38, Tissue_stem_cells:BM_MSC:TGFb3: 0.38, Tissue_stem_cells:iliac_MSC: 0.38, Smooth_muscle_cells:vascular: 0.38, iPS_cells:adipose_stem_cells: 0.38 |
R53b_w11.5_CTCAACCGTTCTGAGT-1 | Smooth_muscle_cells:vascular | 0.19 | 409.23 | Raw ScoresMSC: 0.47, iPS_cells:CRL2097_foreskin: 0.46, Fibroblasts:foreskin: 0.45, Smooth_muscle_cells:vascular: 0.45, iPS_cells:skin_fibroblast: 0.45, iPS_cells:PDB_fibroblasts: 0.45, Tissue_stem_cells:lipoma-derived_MSC: 0.45, iPS_cells:foreskin_fibrobasts: 0.45, Tissue_stem_cells:adipose-derived_MSC_AM3: 0.44, iPS_cells:fibroblasts: 0.44 |
R48b_w12_ACCAAACCACCGGTCA-1 | iPS_cells:CRL2097_foreskin-derived:d20_hepatic_diff | 0.18 | 399.44 | Raw ScoresSmooth_muscle_cells:bronchial: 0.42, Smooth_muscle_cells:bronchial:vit_D: 0.41, iPS_cells:CRL2097_foreskin: 0.41, Fibroblasts:breast: 0.41, Tissue_stem_cells:BM_MSC:BMP2: 0.41, Tissue_stem_cells:BM_MSC:TGFb3: 0.41, Tissue_stem_cells:iliac_MSC: 0.41, iPS_cells:adipose_stem_cells: 0.4, MSC: 0.4, Osteoblasts: 0.4 |
R48a_w14.5_TTCTGTATCTACCCAC-1 | Smooth_muscle_cells:bronchial | 0.20 | 398.55 | Raw ScoresSmooth_muscle_cells:bronchial: 0.42, Smooth_muscle_cells:bronchial:vit_D: 0.42, Tissue_stem_cells:BM_MSC:BMP2: 0.41, Tissue_stem_cells:BM_MSC:TGFb3: 0.41, Tissue_stem_cells:iliac_MSC: 0.41, Fibroblasts:breast: 0.41, iPS_cells:adipose_stem_cells: 0.4, Osteoblasts: 0.4, iPS_cells:CRL2097_foreskin: 0.4, Chondrocytes:MSC-derived: 0.39 |
R48a_w14.5_ATTCCATAGAGGTATT-1 | Smooth_muscle_cells:vascular | 0.17 | 397.68 | Raw ScoresFibroblasts:breast: 0.41, MSC: 0.41, iPS_cells:CRL2097_foreskin: 0.4, iPS_cells:adipose_stem_cells: 0.4, Smooth_muscle_cells:vascular: 0.4, Smooth_muscle_cells:bronchial: 0.4, Tissue_stem_cells:BM_MSC:BMP2: 0.4, Smooth_muscle_cells:bronchial:vit_D: 0.4, Tissue_stem_cells:iliac_MSC: 0.4, Tissue_stem_cells:BM_MSC:TGFb3: 0.4 |
R48b_w12_ACATCCCAGGCGATAC-1 | Tissue_stem_cells:iliac_MSC | 0.20 | 392.91 | Raw ScoresSmooth_muscle_cells:bronchial: 0.43, Smooth_muscle_cells:bronchial:vit_D: 0.43, iPS_cells:CRL2097_foreskin: 0.43, Tissue_stem_cells:iliac_MSC: 0.42, Fibroblasts:breast: 0.42, Tissue_stem_cells:BM_MSC:BMP2: 0.42, Tissue_stem_cells:BM_MSC:TGFb3: 0.42, iPS_cells:adipose_stem_cells: 0.41, Osteoblasts: 0.41, MSC: 0.41 |
R48c_w8.5_ATGACCAGTACCAATC-1 | Smooth_muscle_cells:bronchial | 0.22 | 392.19 | Raw ScoresiPS_cells:CRL2097_foreskin: 0.37, Smooth_muscle_cells:bronchial: 0.36, Smooth_muscle_cells:bronchial:vit_D: 0.35, MSC: 0.35, Fibroblasts:breast: 0.35, iPS_cells:adipose_stem_cells: 0.35, Osteoblasts: 0.34, iPS_cells:skin_fibroblast: 0.34, iPS_cells:CRL2097_foreskin-derived:d20_hepatic_diff: 0.34, Smooth_muscle_cells:vascular: 0.34 |
R48b_w12_TATCGCCGTCTTACAG-1 | Tissue_stem_cells:BM_MSC:TGFb3 | 0.16 | 389.05 | Raw ScoresTissue_stem_cells:iliac_MSC: 0.41, iPS_cells:CRL2097_foreskin: 0.4, Tissue_stem_cells:BM_MSC:TGFb3: 0.4, Smooth_muscle_cells:bronchial: 0.4, MSC: 0.4, Tissue_stem_cells:BM_MSC:BMP2: 0.4, Fibroblasts:breast: 0.4, iPS_cells:adipose_stem_cells: 0.4, Smooth_muscle_cells:bronchial:vit_D: 0.4, Osteoblasts: 0.39 |
R53b_w11.5_CATTCATGTCCAAATC-1 | Smooth_muscle_cells:bronchial | 0.18 | 386.12 | Raw ScoresSmooth_muscle_cells:bronchial: 0.4, Fibroblasts:breast: 0.39, iPS_cells:adipose_stem_cells: 0.39, iPS_cells:CRL2097_foreskin: 0.39, Smooth_muscle_cells:bronchial:vit_D: 0.39, MSC: 0.39, Smooth_muscle_cells:vascular: 0.39, Tissue_stem_cells:iliac_MSC: 0.39, Smooth_muscle_cells:vascular:IL-17: 0.38, Tissue_stem_cells:BM_MSC:BMP2: 0.38 |
R48c_w8.5_CTGTGGGTCCACGAAT-1 | iPS_cells:CRL2097_foreskin-derived:d20_hepatic_diff | 0.15 | 384.72 | Raw ScoresiPS_cells:CRL2097_foreskin: 0.37, Fibroblasts:breast: 0.37, Smooth_muscle_cells:vascular: 0.37, MSC: 0.37, Tissue_stem_cells:BM_MSC:TGFb3: 0.36, iPS_cells:adipose_stem_cells: 0.36, Tissue_stem_cells:BM_MSC:BMP2: 0.36, Smooth_muscle_cells:bronchial: 0.36, Smooth_muscle_cells:vascular:IL-17: 0.36, Osteoblasts: 0.36 |
R53b_w11.5_TATTTCGTCAGCCTCT-1 | Smooth_muscle_cells:bronchial | 0.20 | 382.19 | Raw ScoresSmooth_muscle_cells:bronchial: 0.39, Smooth_muscle_cells:bronchial:vit_D: 0.39, iPS_cells:CRL2097_foreskin: 0.38, Fibroblasts:breast: 0.38, Osteoblasts: 0.38, iPS_cells:adipose_stem_cells: 0.38, Tissue_stem_cells:BM_MSC:TGFb3: 0.38, Chondrocytes:MSC-derived: 0.37, Smooth_muscle_cells:vascular: 0.37, Tissue_stem_cells:BM_MSC:BMP2: 0.37 |
R53b_w11.5_TCGCTCATCTCAGAAC-1 | iPS_cells:CRL2097_foreskin | 0.19 | 376.42 | Raw ScoresiPS_cells:CRL2097_foreskin: 0.4, Smooth_muscle_cells:bronchial: 0.4, Fibroblasts:breast: 0.39, Smooth_muscle_cells:bronchial:vit_D: 0.39, Tissue_stem_cells:BM_MSC:BMP2: 0.39, iPS_cells:adipose_stem_cells: 0.39, Tissue_stem_cells:BM_MSC:TGFb3: 0.39, Osteoblasts: 0.39, Chondrocytes:MSC-derived: 0.39, Tissue_stem_cells:iliac_MSC: 0.39 |
R53b_w11.5_AACGAAAGTGATACCT-1 | Smooth_muscle_cells:bronchial | 0.24 | 372.70 | Raw ScoresSmooth_muscle_cells:bronchial: 0.49, iPS_cells:CRL2097_foreskin: 0.48, Smooth_muscle_cells:bronchial:vit_D: 0.48, Fibroblasts:breast: 0.48, iPS_cells:adipose_stem_cells: 0.47, Chondrocytes:MSC-derived: 0.47, Osteoblasts: 0.47, MSC: 0.47, Tissue_stem_cells:BM_MSC:TGFb3: 0.46, Smooth_muscle_cells:vascular: 0.46 |
R53a_w9.5_CTATCCGCAGTATGAA-1 | Smooth_muscle_cells:vascular | 0.16 | 372.34 | Raw ScoresSmooth_muscle_cells:bronchial: 0.42, iPS_cells:CRL2097_foreskin: 0.42, MSC: 0.41, Smooth_muscle_cells:bronchial:vit_D: 0.41, Tissue_stem_cells:iliac_MSC: 0.41, Tissue_stem_cells:BM_MSC:BMP2: 0.41, iPS_cells:adipose_stem_cells: 0.41, Fibroblasts:breast: 0.41, Smooth_muscle_cells:vascular: 0.41, Tissue_stem_cells:BM_MSC:TGFb3: 0.4 |
R53a_w9.5_GTTCGCTCATTGAAGA-1 | iPS_cells:CRL2097_foreskin-derived:d20_hepatic_diff | 0.19 | 372.05 | Raw ScoresiPS_cells:CRL2097_foreskin: 0.44, Smooth_muscle_cells:bronchial: 0.43, Fibroblasts:breast: 0.43, Smooth_muscle_cells:bronchial:vit_D: 0.43, MSC: 0.42, iPS_cells:adipose_stem_cells: 0.42, Smooth_muscle_cells:vascular: 0.42, Chondrocytes:MSC-derived: 0.42, Tissue_stem_cells:iliac_MSC: 0.42, Tissue_stem_cells:BM_MSC:BMP2: 0.42 |
R48b_w12_ATGGGTTAGTCACTGT-1 | Tissue_stem_cells:BM_MSC:BMP2 | 0.18 | 371.31 | Raw ScoresFibroblasts:breast: 0.38, Smooth_muscle_cells:bronchial: 0.38, Tissue_stem_cells:BM_MSC:BMP2: 0.38, Tissue_stem_cells:iliac_MSC: 0.38, Tissue_stem_cells:BM_MSC:TGFb3: 0.38, Smooth_muscle_cells:bronchial:vit_D: 0.38, Osteoblasts: 0.38, iPS_cells:CRL2097_foreskin: 0.38, iPS_cells:adipose_stem_cells: 0.37, Chondrocytes:MSC-derived: 0.37 |
R53b_w11.5_ATTCGTTAGCATGAAT-1 | Smooth_muscle_cells:bronchial | 0.24 | 369.77 | Raw ScoresiPS_cells:CRL2097_foreskin: 0.44, Smooth_muscle_cells:bronchial: 0.43, Fibroblasts:breast: 0.43, Smooth_muscle_cells:bronchial:vit_D: 0.43, Osteoblasts: 0.42, Chondrocytes:MSC-derived: 0.42, iPS_cells:adipose_stem_cells: 0.42, Tissue_stem_cells:BM_MSC:TGFb3: 0.41, MSC: 0.41, Tissue_stem_cells:iliac_MSC: 0.41 |
R53b_w11.5_TGGCGTGAGGAACGTC-1 | Tissue_stem_cells:BM_MSC:osteogenic | 0.16 | 368.38 | Raw ScoresTissue_stem_cells:BM_MSC:TGFb3: 0.33, Osteoblasts: 0.33, Tissue_stem_cells:iliac_MSC: 0.33, Fibroblasts:breast: 0.33, Tissue_stem_cells:BM_MSC:BMP2: 0.32, iPS_cells:CRL2097_foreskin: 0.32, Smooth_muscle_cells:vascular: 0.32, iPS_cells:adipose_stem_cells: 0.31, Smooth_muscle_cells:bronchial: 0.31, Chondrocytes:MSC-derived: 0.31 |
R53b_w11.5_GCTACCTGTCATCGGC-1 | Smooth_muscle_cells:vascular | 0.16 | 367.97 | Raw ScoresiPS_cells:adipose_stem_cells: 0.43, iPS_cells:CRL2097_foreskin: 0.42, MSC: 0.42, Fibroblasts:breast: 0.42, Tissue_stem_cells:BM_MSC:BMP2: 0.42, Tissue_stem_cells:iliac_MSC: 0.42, Smooth_muscle_cells:vascular: 0.42, Fibroblasts:foreskin: 0.42, Smooth_muscle_cells:bronchial: 0.42, Smooth_muscle_cells:vascular:IL-17: 0.42 |
R53b_w11.5_TATTCCAAGTGTTCCA-1 | Smooth_muscle_cells:vascular | 0.18 | 359.02 | Raw ScoresiPS_cells:CRL2097_foreskin: 0.41, Smooth_muscle_cells:bronchial: 0.4, Fibroblasts:breast: 0.4, Smooth_muscle_cells:bronchial:vit_D: 0.39, iPS_cells:adipose_stem_cells: 0.39, Tissue_stem_cells:iliac_MSC: 0.39, Osteoblasts: 0.39, Tissue_stem_cells:BM_MSC:BMP2: 0.39, Tissue_stem_cells:BM_MSC:TGFb3: 0.39, Chondrocytes:MSC-derived: 0.39 |
R53c_w9.5_ACATCCCAGTTCACTG-1 | Neurons:adrenal_medulla_cell_line | 0.16 | 357.90 | Raw ScoresMSC: 0.47, iPS_cells:CRL2097_foreskin: 0.46, Fibroblasts:breast: 0.46, Smooth_muscle_cells:bronchial: 0.46, Neuroepithelial_cell:ESC-derived: 0.45, Smooth_muscle_cells:vascular: 0.45, iPS_cells:CRL2097_foreskin-derived:d20_hepatic_diff: 0.45, Smooth_muscle_cells:bronchial:vit_D: 0.45, iPS_cells:adipose_stem_cells: 0.45, iPS_cells:foreskin_fibrobasts: 0.45 |
R53c_w9.5_GCTTTCGTCGTTAGTG-1 | MSC | 0.21 | 357.66 | Raw ScoresMSC: 0.48, Neuroepithelial_cell:ESC-derived: 0.46, Neurons:ES_cell-derived_neural_precursor: 0.46, Fibroblasts:foreskin: 0.46, Tissue_stem_cells:CD326-CD56+: 0.46, iPS_cells:CRL2097_foreskin: 0.45, iPS_cells:skin_fibroblast: 0.45, Tissue_stem_cells:lipoma-derived_MSC: 0.45, iPS_cells:CRL2097_foreskin-derived:d20_hepatic_diff: 0.45, Tissue_stem_cells:adipose-derived_MSC_AM3: 0.45 |
R53b_w11.5_TAGATCGTCATCTACT-1 | Tissue_stem_cells:BM_MSC:osteogenic | 0.15 | 354.10 | Raw ScoresTissue_stem_cells:iliac_MSC: 0.4, Tissue_stem_cells:BM_MSC:BMP2: 0.39, iPS_cells:CRL2097_foreskin: 0.39, Fibroblasts:breast: 0.39, Osteoblasts: 0.39, Tissue_stem_cells:BM_MSC:TGFb3: 0.38, iPS_cells:adipose_stem_cells: 0.38, Smooth_muscle_cells:bronchial: 0.38, MSC: 0.38, Smooth_muscle_cells:vascular: 0.38 |
R48c_w8.5_GCTGGGTCAGTCTGGC-1 | Smooth_muscle_cells:bronchial | 0.22 | 352.32 | Raw ScoresSmooth_muscle_cells:bronchial: 0.37, iPS_cells:CRL2097_foreskin: 0.37, Smooth_muscle_cells:bronchial:vit_D: 0.37, Fibroblasts:breast: 0.36, Tissue_stem_cells:BM_MSC:TGFb3: 0.35, Chondrocytes:MSC-derived: 0.35, MSC: 0.35, iPS_cells:adipose_stem_cells: 0.35, Osteoblasts: 0.34, Smooth_muscle_cells:vascular: 0.34 |
R48c_w8.5_CACATGAAGCCTCCAG-1 | MSC | 0.23 | 351.89 | Raw ScoresMSC: 0.45, Neuroepithelial_cell:ESC-derived: 0.44, iPS_cells:CRL2097_foreskin: 0.43, Tissue_stem_cells:CD326-CD56+: 0.43, Neurons:ES_cell-derived_neural_precursor: 0.43, iPS_cells:CRL2097_foreskin-derived:d20_hepatic_diff: 0.42, Tissue_stem_cells:lipoma-derived_MSC: 0.42, iPS_cells:skin_fibroblast: 0.41, Tissue_stem_cells:adipose-derived_MSC_AM3: 0.41, Fibroblasts:foreskin: 0.41 |
R53b_w11.5_TCGACGGCATAGCTGT-1 | Smooth_muscle_cells:vascular | 0.20 | 349.78 | Raw ScoresiPS_cells:CRL2097_foreskin: 0.39, Smooth_muscle_cells:bronchial: 0.38, Smooth_muscle_cells:bronchial:vit_D: 0.38, Chondrocytes:MSC-derived: 0.38, Fibroblasts:breast: 0.38, MSC: 0.38, Osteoblasts: 0.38, Smooth_muscle_cells:vascular: 0.38, Tissue_stem_cells:BM_MSC:TGFb3: 0.37, Tissue_stem_cells:BM_MSC:BMP2: 0.37 |
R48c_w8.5_TCACTATTCATTATCC-1 | Smooth_muscle_cells:bronchial | 0.17 | 349.55 | Raw ScoresiPS_cells:CRL2097_foreskin: 0.35, MSC: 0.34, Fibroblasts:breast: 0.34, iPS_cells:adipose_stem_cells: 0.34, Smooth_muscle_cells:bronchial: 0.34, Tissue_stem_cells:BM_MSC:TGFb3: 0.34, Smooth_muscle_cells:vascular: 0.34, Smooth_muscle_cells:bronchial:vit_D: 0.34, Smooth_muscle_cells:vascular:IL-17: 0.33, Tissue_stem_cells:BM_MSC:BMP2: 0.33 |
R53a_w9.5_AGATCCACACGTACTA-1 | Smooth_muscle_cells:bronchial | 0.21 | 347.09 | Raw ScoresSmooth_muscle_cells:bronchial: 0.4, Smooth_muscle_cells:bronchial:vit_D: 0.39, Tissue_stem_cells:iliac_MSC: 0.39, iPS_cells:CRL2097_foreskin: 0.39, Osteoblasts: 0.39, Fibroblasts:breast: 0.39, Tissue_stem_cells:BM_MSC:BMP2: 0.38, iPS_cells:adipose_stem_cells: 0.38, MSC: 0.38, Tissue_stem_cells:BM_MSC:TGFb3: 0.38 |
R53b_w11.5_CGAGTGCGTTTCTTAC-1 | iPS_cells:CRL2097_foreskin | 0.17 | 342.87 | Raw ScoresiPS_cells:CRL2097_foreskin: 0.37, Smooth_muscle_cells:bronchial: 0.36, Tissue_stem_cells:BM_MSC:TGFb3: 0.36, Smooth_muscle_cells:bronchial:vit_D: 0.36, Osteoblasts: 0.36, iPS_cells:adipose_stem_cells: 0.36, Tissue_stem_cells:BM_MSC:BMP2: 0.36, Fibroblasts:breast: 0.36, Chondrocytes:MSC-derived: 0.35, Tissue_stem_cells:iliac_MSC: 0.35 |
R48a_w14.5_GTCATGACAGCTGGTC-1 | Tissue_stem_cells:BM_MSC:BMP2 | 0.16 | 342.71 | Raw ScoresFibroblasts:breast: 0.38, Tissue_stem_cells:BM_MSC:TGFb3: 0.38, iPS_cells:adipose_stem_cells: 0.38, Tissue_stem_cells:BM_MSC:BMP2: 0.38, MSC: 0.38, Smooth_muscle_cells:bronchial: 0.38, Tissue_stem_cells:iliac_MSC: 0.37, Smooth_muscle_cells:bronchial:vit_D: 0.37, Smooth_muscle_cells:vascular: 0.37, iPS_cells:CRL2097_foreskin: 0.37 |
R53a_w9.5_CCGAACGGTTTACTGG-1 | Smooth_muscle_cells:bronchial | 0.17 | 342.49 | Raw ScoresMSC: 0.43, iPS_cells:CRL2097_foreskin: 0.42, Fibroblasts:breast: 0.42, Smooth_muscle_cells:vascular: 0.42, iPS_cells:adipose_stem_cells: 0.42, Smooth_muscle_cells:bronchial: 0.42, Smooth_muscle_cells:vascular:IL-17: 0.42, Smooth_muscle_cells:bronchial:vit_D: 0.42, Tissue_stem_cells:iliac_MSC: 0.42, iPS_cells:foreskin_fibrobasts: 0.41 |
R53b_w11.5_ACGGTTACAGTCCCGA-1 | Tissue_stem_cells:BM_MSC:BMP2 | 0.19 | 340.79 | Raw ScoresSmooth_muscle_cells:bronchial: 0.38, iPS_cells:CRL2097_foreskin: 0.37, Smooth_muscle_cells:bronchial:vit_D: 0.37, Fibroblasts:breast: 0.37, iPS_cells:adipose_stem_cells: 0.37, Tissue_stem_cells:BM_MSC:BMP2: 0.36, Osteoblasts: 0.36, Chondrocytes:MSC-derived: 0.36, Tissue_stem_cells:iliac_MSC: 0.36, Tissue_stem_cells:BM_MSC:TGFb3: 0.36 |
R48b_w12_TTTGTTGTCTACCCAC-1 | Smooth_muscle_cells:bronchial | 0.21 | 340.46 | Raw ScoresiPS_cells:CRL2097_foreskin: 0.44, Fibroblasts:breast: 0.44, Smooth_muscle_cells:bronchial: 0.43, Smooth_muscle_cells:bronchial:vit_D: 0.43, iPS_cells:adipose_stem_cells: 0.43, MSC: 0.43, Osteoblasts: 0.42, Chondrocytes:MSC-derived: 0.42, Smooth_muscle_cells:vascular: 0.42, Tissue_stem_cells:iliac_MSC: 0.42 |
R53b_w11.5_CTGTAGAAGAGCATAT-1 | Osteoblasts | 0.18 | 339.43 | Raw ScoresSmooth_muscle_cells:bronchial: 0.38, iPS_cells:CRL2097_foreskin: 0.37, Smooth_muscle_cells:bronchial:vit_D: 0.37, Tissue_stem_cells:iliac_MSC: 0.37, Fibroblasts:breast: 0.37, Osteoblasts: 0.37, Tissue_stem_cells:BM_MSC:BMP2: 0.36, Tissue_stem_cells:BM_MSC:TGFb3: 0.36, iPS_cells:adipose_stem_cells: 0.36, MSC: 0.36 |
R48c_w8.5_CAAGGGAAGCACACAG-1 | Smooth_muscle_cells:bronchial | 0.16 | 338.90 | Raw ScoresiPS_cells:adipose_stem_cells: 0.39, iPS_cells:CRL2097_foreskin: 0.39, Fibroblasts:breast: 0.39, Smooth_muscle_cells:bronchial: 0.39, MSC: 0.39, Smooth_muscle_cells:bronchial:vit_D: 0.39, Smooth_muscle_cells:vascular: 0.38, Tissue_stem_cells:iliac_MSC: 0.38, iPS_cells:skin_fibroblast: 0.38, Tissue_stem_cells:BM_MSC:BMP2: 0.38 |
R48b_w12_CACAACAAGATCCTAC-1 | Endothelial_cells:HUVEC:VEGF | 0.16 | 338.44 | Raw ScoresiPS_cells:CRL2097_foreskin: 0.4, Fibroblasts:breast: 0.4, Endothelial_cells:lymphatic:TNFa_48h: 0.4, Endothelial_cells:lymphatic: 0.4, Endothelial_cells:HUVEC: 0.4, Endothelial_cells:HUVEC:VEGF: 0.4, Tissue_stem_cells:BM_MSC:TGFb3: 0.4, Smooth_muscle_cells:bronchial: 0.39, Tissue_stem_cells:iliac_MSC: 0.39, Smooth_muscle_cells:vascular: 0.39 |
R48a_w14.5_TCATTACCATTCCTAT-1 | Smooth_muscle_cells:bronchial | 0.19 | 338.27 | Raw ScoresSmooth_muscle_cells:bronchial: 0.43, Smooth_muscle_cells:bronchial:vit_D: 0.43, Fibroblasts:breast: 0.42, iPS_cells:adipose_stem_cells: 0.42, Tissue_stem_cells:iliac_MSC: 0.42, Tissue_stem_cells:BM_MSC:TGFb3: 0.42, Tissue_stem_cells:BM_MSC:BMP2: 0.42, iPS_cells:CRL2097_foreskin: 0.42, Smooth_muscle_cells:vascular: 0.42, MSC: 0.41 |
R53c_w9.5_TCCACGTTCGCTCCTA-1 | Osteoblasts | 0.20 | 337.53 | Raw ScoresiPS_cells:CRL2097_foreskin: 0.47, Smooth_muscle_cells:bronchial: 0.46, Smooth_muscle_cells:bronchial:vit_D: 0.46, Osteoblasts: 0.45, Fibroblasts:breast: 0.45, iPS_cells:adipose_stem_cells: 0.45, MSC: 0.45, Chondrocytes:MSC-derived: 0.44, Tissue_stem_cells:iliac_MSC: 0.44, Tissue_stem_cells:BM_MSC:BMP2: 0.44 |
R53b_w11.5_CTCATTATCCCTAGGG-1 | Smooth_muscle_cells:bronchial | 0.21 | 336.47 | Raw ScoresSmooth_muscle_cells:bronchial: 0.44, iPS_cells:CRL2097_foreskin: 0.44, Smooth_muscle_cells:bronchial:vit_D: 0.43, Fibroblasts:breast: 0.43, iPS_cells:adipose_stem_cells: 0.43, Tissue_stem_cells:BM_MSC:BMP2: 0.42, Chondrocytes:MSC-derived: 0.42, MSC: 0.42, Osteoblasts: 0.42, Tissue_stem_cells:BM_MSC:TGFb3: 0.42 |
Below shows the significant enrichments of this GEP for literature curated gene lists
This data was procured from existing single cell RNA-seq maps of neuroblastoma or related relevant data.
High ranks indicate this gene is a driver of this GEP.
These curated gene list are ranked by the P-value (on this GEP) of their constituent genes.
The Mean Count column shows the mean read count in cells scoring highly (H > 50) on this gene expression program.
Genes | Weight | Rank | GTEx | DepMap | Decartes | Mean.Counts | Mean.TPM |
---|---|---|---|---|---|---|---|
BGN | 0.0193555 | 1 | GTEx | DepMap | Descartes | 6.58 | 772.55 |
COL3A1 | 0.0119624 | 10 | GTEx | DepMap | Descartes | 47.39 | 2368.41 |
COL4A1 | 0.0116430 | 12 | GTEx | DepMap | Descartes | 5.73 | 260.41 |
TNC | 0.0093951 | 23 | GTEx | DepMap | Descartes | 1.91 | 60.26 |
COL1A2 | 0.0068875 | 54 | GTEx | DepMap | Descartes | 35.42 | 1608.17 |
WNT5A | 0.0062301 | 66 | GTEx | DepMap | Descartes | 0.37 | 17.60 |
COL5A1 | 0.0059999 | 73 | GTEx | DepMap | Descartes | 3.31 | 111.21 |
COL5A2 | 0.0055424 | 83 | GTEx | DepMap | Descartes | 4.67 | 192.92 |
COL1A1 | 0.0055420 | 84 | GTEx | DepMap | Descartes | 42.95 | 1992.73 |
IGFBP7 | 0.0054465 | 88 | GTEx | DepMap | Descartes | 11.24 | 1842.07 |
MMP2 | 0.0046031 | 133 | GTEx | DepMap | Descartes | 1.32 | 104.68 |
THY1 | 0.0044902 | 141 | GTEx | DepMap | Descartes | 2.08 | 119.56 |
CNN2 | 0.0042252 | 157 | GTEx | DepMap | Descartes | 1.08 | 123.41 |
IGFBP3 | 0.0040949 | 167 | GTEx | DepMap | Descartes | 3.83 | 388.18 |
VCAN | 0.0039111 | 182 | GTEx | DepMap | Descartes | 3.71 | 96.33 |
THBS1 | 0.0038316 | 189 | GTEx | DepMap | Descartes | 1.03 | 36.70 |
MMP11 | 0.0034600 | 226 | GTEx | DepMap | Descartes | 0.33 | 22.71 |
POSTN | 0.0033966 | 237 | GTEx | DepMap | Descartes | 7.88 | 646.30 |
TPM1 | 0.0033477 | 244 | GTEx | DepMap | Descartes | 8.84 | 562.69 |
MYLK | 0.0031132 | 278 | GTEx | DepMap | Descartes | 1.01 | 29.33 |
TAGLN | 0.0028157 | 328 | GTEx | DepMap | Descartes | 3.82 | 214.72 |
FN1 | 0.0026503 | 367 | GTEx | DepMap | Descartes | 6.39 | 185.62 |
TPM2 | 0.0024314 | 426 | GTEx | DepMap | Descartes | 5.56 | 820.93 |
THBS2 | 0.0023317 | 452 | GTEx | DepMap | Descartes | 0.49 | 23.27 |
CNN3 | 0.0021335 | 520 | GTEx | DepMap | Descartes | 2.87 | 349.00 |
LUM | 0.0020357 | 562 | GTEx | DepMap | Descartes | 1.69 | 153.53 |
ACTA2 | 0.0018511 | 649 | GTEx | DepMap | Descartes | 3.69 | 641.94 |
COL14A1 | 0.0016809 | 746 | GTEx | DepMap | Descartes | 2.47 | 82.38 |
TMEM119 | 0.0016686 | 752 | GTEx | DepMap | Descartes | 0.18 | 19.43 |
PGF | 0.0016138 | 791 | GTEx | DepMap | Descartes | 0.46 | 34.96 |
DCN | 0.0015999 | 800 | GTEx | DepMap | Descartes | 8.97 | 323.04 |
MYL9 | 0.0006532 | 2506 | GTEx | DepMap | Descartes | 2.45 | 214.71 |
VEGFA | 0.0006264 | 2642 | GTEx | DepMap | Descartes | 1.10 | 24.61 |
TGFB1 | 0.0005428 | 3049 | GTEx | DepMap | Descartes | 0.50 | 45.21 |
COL12A1 | 0.0004257 | 3800 | GTEx | DepMap | Descartes | 4.39 | 102.96 |
TGFB2 | 0.0003574 | 4392 | GTEx | DepMap | Descartes | 0.18 | 9.37 |
ITGA7 | 0.0002616 | 5404 | GTEx | DepMap | Descartes | 0.09 | 7.25 |
COL13A1 | 0.0002201 | 5988 | GTEx | DepMap | Descartes | 0.05 | 3.91 |
MYH11 | 0.0001003 | 8213 | GTEx | DepMap | Descartes | 0.36 | 18.49 |
TGFBR1 | 0.0000606 | 9188 | GTEx | DepMap | Descartes | 0.30 | 12.52 |
COL10A1 | -0.0001797 | 19702 | GTEx | DepMap | Descartes | 0.00 | 0.00 |
RGS5 | -0.0001812 | 19733 | GTEx | DepMap | Descartes | 1.04 | 48.76 |
HOPX | -0.0002233 | 20665 | GTEx | DepMap | Descartes | 0.31 | 23.03 |
COL8A1 | -0.0003658 | 22636 | GTEx | DepMap | Descartes | 0.02 | 1.06 |
TGFBR2 | -0.0007336 | 24776 | GTEx | DepMap | Descartes | 0.69 | 32.41 |
MEF2C | -0.0008205 | 25002 | GTEx | DepMap | Descartes | 1.43 | 56.30 |
COL11A1 | -0.0014176 | 25681 | GTEx | DepMap | Descartes | 0.36 | 11.19 |
COL15A1 | -0.0015487 | 25722 | GTEx | DepMap | Descartes | 0.21 | 10.24 |
ACTG2 | -0.0015757 | 25734 | GTEx | DepMap | Descartes | 0.06 | 7.46 |
Mesenchymal Fig 1D (Olsen)
Selected mesenchymal marker genes shown in Fig. 1D of Olsen et al. https://www.biorxiv.org/content/10.1101/2020.05.04.077057v1 - these are highly expressed in their mesenchymal cluster on their UMAP.:
Wilcoxon ranksum test P-value for gene set overrepresentation: 1.44e-07
Mean rank of genes in gene set: 2304.77
Rank on gene expression program of genes in gene set:
Genes | Weight | Rank | GTEx | DepMap | Decartes | Mean.Counts | Mean.TPM |
---|---|---|---|---|---|---|---|
BGN | 0.0193555 | 1 | GTEx | DepMap | Descartes | 6.58 | 772.55 |
COL3A1 | 0.0119624 | 10 | GTEx | DepMap | Descartes | 47.39 | 2368.41 |
CALD1 | 0.0103997 | 18 | GTEx | DepMap | Descartes | 14.16 | 777.75 |
SPARC | 0.0088532 | 28 | GTEx | DepMap | Descartes | 20.12 | 1518.94 |
PDGFRA | 0.0088350 | 29 | GTEx | DepMap | Descartes | 3.09 | 141.64 |
COL1A2 | 0.0068875 | 54 | GTEx | DepMap | Descartes | 35.42 | 1608.17 |
COL1A1 | 0.0055420 | 84 | GTEx | DepMap | Descartes | 42.95 | 1992.73 |
COL6A2 | 0.0044998 | 140 | GTEx | DepMap | Descartes | 5.98 | 487.48 |
LUM | 0.0020357 | 562 | GTEx | DepMap | Descartes | 1.69 | 153.53 |
DCN | 0.0015999 | 800 | GTEx | DepMap | Descartes | 8.97 | 323.04 |
MGP | 0.0015746 | 821 | GTEx | DepMap | Descartes | 4.69 | 648.25 |
PRRX1 | 0.0008121 | 1931 | GTEx | DepMap | Descartes | 1.25 | 90.84 |
LEPR | -0.0011242 | 25484 | GTEx | DepMap | Descartes | 0.21 | 6.29 |
Stroma (Hanemaaijer)
Marker genes obtained from Supplementary Table SD of Hanemaaijer et al (PMID 33500353). The authors generated single-cell RNA-seq data (sort-seq, 2,229 cells total) from mouse adrenal glads at E13.5, E14.5, E17.5, E18.5, P1 and P5. These were marker genes that matched with a similar dataset generated by Furlan et al (PMID 28684471). This particular set of markers are for the broad Stroma cluster:
Wilcoxon ranksum test P-value for gene set overrepresentation: 6.41e-05
Mean rank of genes in gene set: 144.4
Rank on gene expression program of genes in gene set:
Genes | Weight | Rank | GTEx | DepMap | Decartes | Mean.Counts | Mean.TPM |
---|---|---|---|---|---|---|---|
COL3A1 | 0.0119624 | 10 | GTEx | DepMap | Descartes | 47.39 | 2368.41 |
COL5A1 | 0.0059999 | 73 | GTEx | DepMap | Descartes | 3.31 | 111.21 |
COL6A1 | 0.0059349 | 75 | GTEx | DepMap | Descartes | 3.99 | 268.80 |
GPC3 | 0.0037944 | 197 | GTEx | DepMap | Descartes | 8.97 | 977.66 |
FN1 | 0.0026503 | 367 | GTEx | DepMap | Descartes | 6.39 | 185.62 |
Below shows ranks on this GEP for literature curated gene lists for large gene sets
These include those reported as mesenchymal/adrenergic by Van Groningen et al.
High ranks indicate this gene is a driver of this GEP (note these results are not ordered).
The Mean Count column shows the mean read count in cells scoring highly (H > 50) on this gene expression program.
VanGroningen Adrenergic Genes
Adrenergic marker genes from Supplementary Table 2 of Van Groningen et al. Nature Genetics 2017. These genes were identified by differential expression analysis of mesenchymal-like and adrenergic-like neuroblastoma cell lines.
Wilcoxon ranksum test P-value for gene set overrepresentation: 1.00e+00
Mean rank of genes in gene set: 18005.89
Median rank of genes in gene set: 22309
Rank on gene expression program of top 30 genes in gene set:
Genes | Weight | Rank | GTEx | DepMap | Descartes | Mean.Counts | Mean.TPM |
---|---|---|---|---|---|---|---|
CYGB | 0.0086969 | 30 | GTEx | DepMap | Descartes | 1.36 | 176.46 |
GRIA2 | 0.0035143 | 221 | GTEx | DepMap | Descartes | 0.65 | 42.34 |
KIAA1211 | 0.0032870 | 252 | GTEx | DepMap | Descartes | 0.18 | NA |
RBP1 | 0.0032829 | 254 | GTEx | DepMap | Descartes | 8.66 | 1044.20 |
PIK3R1 | 0.0032170 | 265 | GTEx | DepMap | Descartes | 1.63 | 64.56 |
RBMS3 | 0.0030944 | 282 | GTEx | DepMap | Descartes | 1.70 | 59.07 |
SYNPO2 | 0.0029334 | 312 | GTEx | DepMap | Descartes | 0.50 | 9.58 |
DACH1 | 0.0028841 | 317 | GTEx | DepMap | Descartes | 0.86 | 49.48 |
EML4 | 0.0028260 | 326 | GTEx | DepMap | Descartes | 1.51 | 82.46 |
SYT1 | 0.0026974 | 360 | GTEx | DepMap | Descartes | 1.07 | 65.28 |
TENM4 | 0.0018780 | 636 | GTEx | DepMap | Descartes | 0.19 | NA |
AKAP12 | 0.0017375 | 714 | GTEx | DepMap | Descartes | 7.02 | 231.06 |
RTN2 | 0.0015548 | 838 | GTEx | DepMap | Descartes | 0.19 | 20.47 |
RNF144A | 0.0014554 | 928 | GTEx | DepMap | Descartes | 0.50 | 26.21 |
ZNF704 | 0.0014495 | 933 | GTEx | DepMap | Descartes | 0.93 | 18.59 |
SLIT3 | 0.0014352 | 948 | GTEx | DepMap | Descartes | 1.15 | 35.48 |
AUTS2 | 0.0014088 | 967 | GTEx | DepMap | Descartes | 0.85 | 34.62 |
RNF165 | 0.0013484 | 1025 | GTEx | DepMap | Descartes | 0.18 | 7.37 |
KIDINS220 | 0.0012202 | 1167 | GTEx | DepMap | Descartes | 1.22 | 40.43 |
PRSS12 | 0.0011451 | 1253 | GTEx | DepMap | Descartes | 0.10 | 7.41 |
DPYSL2 | 0.0010718 | 1379 | GTEx | DepMap | Descartes | 1.34 | 72.91 |
MAPT | 0.0010010 | 1511 | GTEx | DepMap | Descartes | 0.12 | 5.32 |
ZNF512 | 0.0009910 | 1532 | GTEx | DepMap | Descartes | 0.34 | 26.25 |
CCNI | 0.0009484 | 1617 | GTEx | DepMap | Descartes | 2.71 | 249.99 |
ZNF91 | 0.0008546 | 1800 | GTEx | DepMap | Descartes | 0.71 | 38.33 |
ACVR1B | 0.0008502 | 1812 | GTEx | DepMap | Descartes | 0.17 | 11.61 |
ZNF711 | 0.0007762 | 2047 | GTEx | DepMap | Descartes | 0.62 | 37.89 |
FKBP4 | 0.0007625 | 2095 | GTEx | DepMap | Descartes | 0.69 | 47.87 |
RGS17 | 0.0007471 | 2135 | GTEx | DepMap | Descartes | 0.15 | 5.52 |
PBX3 | 0.0006951 | 2337 | GTEx | DepMap | Descartes | 0.40 | 35.41 |
VanGroningen Mesenchymal Genes
Mesenchymal marker genes from Supplementary Table 2 of Van Groningen et al. Nature Genetics 2017. These genes were identified by differential expression analysis of mesenchymal-like and adrenergic-like neuroblastoma cell lines.
Wilcoxon ranksum test P-value for gene set overrepresentation: 2.02e-64
Mean rank of genes in gene set: 7191.69
Median rank of genes in gene set: 1931
Rank on gene expression program of top 30 genes in gene set:
Genes | Weight | Rank | GTEx | DepMap | Descartes | Mean.Counts | Mean.TPM |
---|---|---|---|---|---|---|---|
BGN | 0.0193555 | 1 | GTEx | DepMap | Descartes | 6.58 | 772.55 |
COL6A3 | 0.0180506 | 2 | GTEx | DepMap | Descartes | 6.88 | 197.66 |
PCDH18 | 0.0162794 | 4 | GTEx | DepMap | Descartes | 3.30 | 166.27 |
COL3A1 | 0.0119624 | 10 | GTEx | DepMap | Descartes | 47.39 | 2368.41 |
COL4A1 | 0.0116430 | 12 | GTEx | DepMap | Descartes | 5.73 | 260.41 |
EMILIN1 | 0.0114803 | 13 | GTEx | DepMap | Descartes | 4.06 | 282.99 |
S1PR3 | 0.0111324 | 15 | GTEx | DepMap | Descartes | 1.35 | 44.59 |
CALD1 | 0.0103997 | 18 | GTEx | DepMap | Descartes | 14.16 | 777.75 |
TNC | 0.0093951 | 23 | GTEx | DepMap | Descartes | 1.91 | 60.26 |
CFH | 0.0089717 | 26 | GTEx | DepMap | Descartes | 2.36 | 95.83 |
SPARC | 0.0088532 | 28 | GTEx | DepMap | Descartes | 20.12 | 1518.94 |
COL4A2 | 0.0085447 | 31 | GTEx | DepMap | Descartes | 3.68 | 165.38 |
EGFR | 0.0084241 | 33 | GTEx | DepMap | Descartes | 1.55 | 46.80 |
CPED1 | 0.0082835 | 34 | GTEx | DepMap | Descartes | 1.13 | NA |
MEST | 0.0081193 | 35 | GTEx | DepMap | Descartes | 8.54 | 808.88 |
VIM | 0.0080183 | 37 | GTEx | DepMap | Descartes | 38.17 | 3379.96 |
SNAI2 | 0.0077596 | 42 | GTEx | DepMap | Descartes | 1.29 | 123.33 |
FLNA | 0.0071927 | 50 | GTEx | DepMap | Descartes | 3.94 | 127.51 |
LGALS1 | 0.0069623 | 52 | GTEx | DepMap | Descartes | 19.33 | 6859.43 |
OLFML3 | 0.0068211 | 55 | GTEx | DepMap | Descartes | 2.57 | 328.36 |
CDH11 | 0.0067752 | 56 | GTEx | DepMap | Descartes | 4.57 | 189.29 |
NID1 | 0.0065810 | 58 | GTEx | DepMap | Descartes | 4.69 | 240.39 |
EDNRA | 0.0062693 | 64 | GTEx | DepMap | Descartes | 1.85 | 133.80 |
WNT5A | 0.0062301 | 66 | GTEx | DepMap | Descartes | 0.37 | 17.60 |
PLEKHH2 | 0.0062014 | 68 | GTEx | DepMap | Descartes | 1.18 | 50.02 |
PXDN | 0.0061363 | 69 | GTEx | DepMap | Descartes | 2.46 | 108.40 |
ITGB1 | 0.0060645 | 72 | GTEx | DepMap | Descartes | 6.98 | 489.55 |
COL5A1 | 0.0059999 | 73 | GTEx | DepMap | Descartes | 3.31 | 111.21 |
COL6A1 | 0.0059349 | 75 | GTEx | DepMap | Descartes | 3.99 | 268.80 |
CTSC | 0.0058642 | 78 | GTEx | DepMap | Descartes | 4.65 | 203.98 |
Descartes adrenocortical markers
Top 50 marker genes of adrenocortical cells in the Decartes fetal adrenal single cell map (https://atlas.brotmanbaty.org/bbi/human-gene-expression-during-development/cell/adrenocortical/in/adrenal)
Wilcoxon ranksum test P-value for gene set overrepresentation: 1.00e+00
Mean rank of genes in gene set: 21950.52
Median rank of genes in gene set: 25079.5
Rank on gene expression program of top 30 genes in gene set:
Genes | Weight | Rank | GTEx | DepMap | Descartes | Mean.Counts | Mean.TPM |
---|---|---|---|---|---|---|---|
PDE10A | 0.0015382 | 854 | GTEx | DepMap | Descartes | 0.31 | 10.42 |
CYB5B | 0.0002367 | 5759 | GTEx | DepMap | Descartes | 0.94 | 58.12 |
IGF1R | 0.0002177 | 6027 | GTEx | DepMap | Descartes | 0.59 | 14.79 |
PAPSS2 | 0.0001968 | 6353 | GTEx | DepMap | Descartes | 0.40 | 26.94 |
SH3PXD2B | 0.0000043 | 10865 | GTEx | DepMap | Descartes | 0.21 | 6.94 |
FREM2 | -0.0000012 | 11071 | GTEx | DepMap | Descartes | 0.11 | 1.89 |
SGCZ | -0.0000294 | 12507 | GTEx | DepMap | Descartes | 0.00 | 0.09 |
PEG3 | -0.0000443 | 13604 | GTEx | DepMap | Descartes | 1.59 | NA |
NPC1 | -0.0002133 | 20469 | GTEx | DepMap | Descartes | 0.09 | 5.38 |
FRMD5 | -0.0002861 | 21697 | GTEx | DepMap | Descartes | 0.00 | 0.24 |
SLC1A2 | -0.0003152 | 22069 | GTEx | DepMap | Descartes | 0.06 | 1.51 |
SLC2A14 | -0.0003410 | 22374 | GTEx | DepMap | Descartes | 0.01 | 0.76 |
DNER | -0.0003974 | 22961 | GTEx | DepMap | Descartes | 0.05 | 3.45 |
ERN1 | -0.0004855 | 23648 | GTEx | DepMap | Descartes | 0.18 | 5.75 |
LINC00473 | -0.0006112 | 24328 | GTEx | DepMap | Descartes | 0.06 | NA |
CYP17A1 | -0.0007145 | 24716 | GTEx | DepMap | Descartes | 0.45 | 33.12 |
LDLR | -0.0007272 | 24752 | GTEx | DepMap | Descartes | 0.31 | 15.77 |
SCAP | -0.0007413 | 24803 | GTEx | DepMap | Descartes | 0.26 | 16.24 |
BAIAP2L1 | -0.0007528 | 24842 | GTEx | DepMap | Descartes | 0.03 | 1.52 |
CYP21A2 | -0.0007944 | 24939 | GTEx | DepMap | Descartes | 0.16 | 13.68 |
CYP11B1 | -0.0008112 | 24976 | GTEx | DepMap | Descartes | 0.14 | 8.59 |
SULT2A1 | -0.0008484 | 25054 | GTEx | DepMap | Descartes | 0.19 | 17.63 |
GSTA4 | -0.0008554 | 25067 | GTEx | DepMap | Descartes | 0.71 | 97.12 |
SLC16A9 | -0.0008658 | 25092 | GTEx | DepMap | Descartes | 0.17 | 10.22 |
CLU | -0.0008669 | 25095 | GTEx | DepMap | Descartes | 0.24 | 18.12 |
APOC1 | -0.0008830 | 25131 | GTEx | DepMap | Descartes | 0.91 | 302.35 |
SH3BP5 | -0.0010017 | 25341 | GTEx | DepMap | Descartes | 1.21 | 94.14 |
HMGCR | -0.0010148 | 25356 | GTEx | DepMap | Descartes | 0.36 | 20.80 |
CYP11A1 | -0.0010608 | 25412 | GTEx | DepMap | Descartes | 0.37 | 37.13 |
MC2R | -0.0010701 | 25422 | GTEx | DepMap | Descartes | 0.04 | 2.88 |
Descartes chromaffin markers
Top 50 marker genes of chromaffin cells in the Decartes fetal adrenal single cell map (https://atlas.brotmanbaty.org/bbi/human-gene-expression-during-development/cell/chromaffin/in/adrenal)
Wilcoxon ranksum test P-value for gene set overrepresentation: 1.00e+00
Mean rank of genes in gene set: 18773.02
Median rank of genes in gene set: 22503
Rank on gene expression program of top 30 genes in gene set:
Genes | Weight | Rank | GTEx | DepMap | Descartes | Mean.Counts | Mean.TPM |
---|---|---|---|---|---|---|---|
SYNPO2 | 0.0029334 | 312 | GTEx | DepMap | Descartes | 0.50 | 9.58 |
CNTFR | 0.0027057 | 358 | GTEx | DepMap | Descartes | 0.62 | 80.17 |
BASP1 | 0.0010192 | 1477 | GTEx | DepMap | Descartes | 1.10 | 152.55 |
TMEFF2 | 0.0005594 | 2962 | GTEx | DepMap | Descartes | 0.06 | 4.98 |
MAP1B | 0.0004717 | 3496 | GTEx | DepMap | Descartes | 1.79 | 43.27 |
EYA4 | 0.0003912 | 4088 | GTEx | DepMap | Descartes | 0.06 | 2.63 |
RGMB | 0.0002108 | 6123 | GTEx | DepMap | Descartes | 0.17 | 11.34 |
KCNB2 | 0.0000853 | 8559 | GTEx | DepMap | Descartes | 0.02 | 2.11 |
TMEM132C | -0.0000110 | 11444 | GTEx | DepMap | Descartes | 0.05 | 2.54 |
SLC44A5 | -0.0000527 | 14187 | GTEx | DepMap | Descartes | 0.02 | 1.16 |
RYR2 | -0.0001022 | 17060 | GTEx | DepMap | Descartes | 0.04 | 0.57 |
FAT3 | -0.0001034 | 17105 | GTEx | DepMap | Descartes | 0.15 | 2.23 |
HS3ST5 | -0.0001250 | 17993 | GTEx | DepMap | Descartes | 0.01 | 0.61 |
ANKFN1 | -0.0001757 | 19589 | GTEx | DepMap | Descartes | 0.00 | 0.08 |
NTRK1 | -0.0002036 | 20276 | GTEx | DepMap | Descartes | 0.01 | 0.64 |
HMX1 | -0.0002426 | 21018 | GTEx | DepMap | Descartes | 0.00 | 0.34 |
MLLT11 | -0.0002504 | 21148 | GTEx | DepMap | Descartes | 0.47 | 42.77 |
GREM1 | -0.0002618 | 21339 | GTEx | DepMap | Descartes | 0.02 | 0.26 |
ALK | -0.0002857 | 21693 | GTEx | DepMap | Descartes | 0.00 | 0.13 |
RPH3A | -0.0003027 | 21915 | GTEx | DepMap | Descartes | 0.00 | 0.10 |
EPHA6 | -0.0003326 | 22287 | GTEx | DepMap | Descartes | 0.01 | 0.47 |
PTCHD1 | -0.0003366 | 22335 | GTEx | DepMap | Descartes | 0.01 | 0.36 |
PRPH | -0.0003687 | 22671 | GTEx | DepMap | Descartes | 0.06 | 5.32 |
MARCH11 | -0.0003747 | 22727 | GTEx | DepMap | Descartes | 0.01 | NA |
NPY | -0.0003828 | 22802 | GTEx | DepMap | Descartes | 0.06 | 15.21 |
IL7 | -0.0004197 | 23165 | GTEx | DepMap | Descartes | 0.01 | 0.77 |
SLC6A2 | -0.0004372 | 23310 | GTEx | DepMap | Descartes | 0.02 | 1.13 |
CNKSR2 | -0.0004645 | 23504 | GTEx | DepMap | Descartes | 0.01 | 0.35 |
MAB21L2 | -0.0004765 | 23580 | GTEx | DepMap | Descartes | 0.01 | 0.32 |
GAL | -0.0005101 | 23794 | GTEx | DepMap | Descartes | 0.08 | 16.78 |
Descartes Vascular_endothelial markers
Top 50 marker genes of Vascular_endothelial cells in the Decartes fetal adrenal single cell map (https://atlas.brotmanbaty.org/bbi/human-gene-expression-during-development/cell/vascular_endothelial/in/adrenal)
Wilcoxon ranksum test P-value for gene set overrepresentation: 1.00e+00
Mean rank of genes in gene set: 25227.84
Median rank of genes in gene set: 25506
Rank on gene expression program of top 30 genes in gene set:
Genes | Weight | Rank | GTEx | DepMap | Descartes | Mean.Counts | Mean.TPM |
---|---|---|---|---|---|---|---|
APLNR | -0.0002420 | 21010 | GTEx | DepMap | Descartes | 0.25 | 21.26 |
MYRIP | -0.0003914 | 22895 | GTEx | DepMap | Descartes | 0.00 | 0.13 |
GALNT15 | -0.0004902 | 23671 | GTEx | DepMap | Descartes | 0.01 | NA |
ESM1 | -0.0005475 | 23998 | GTEx | DepMap | Descartes | 0.02 | 1.89 |
NR5A2 | -0.0005597 | 24071 | GTEx | DepMap | Descartes | 0.00 | 0.15 |
CDH13 | -0.0006945 | 24649 | GTEx | DepMap | Descartes | 0.03 | 1.13 |
DNASE1L3 | -0.0007488 | 24831 | GTEx | DepMap | Descartes | 0.12 | 13.91 |
ARHGAP29 | -0.0007576 | 24853 | GTEx | DepMap | Descartes | 0.83 | 26.53 |
TEK | -0.0009175 | 25192 | GTEx | DepMap | Descartes | 0.14 | 7.64 |
EFNB2 | -0.0009218 | 25197 | GTEx | DepMap | Descartes | 0.62 | 36.65 |
ID1 | -0.0009353 | 25216 | GTEx | DepMap | Descartes | 2.79 | 488.87 |
RASIP1 | -0.0009540 | 25252 | GTEx | DepMap | Descartes | 0.22 | 15.97 |
CHRM3 | -0.0009950 | 25329 | GTEx | DepMap | Descartes | 0.06 | 2.14 |
SHE | -0.0010282 | 25371 | GTEx | DepMap | Descartes | 0.04 | 1.54 |
CYP26B1 | -0.0010332 | 25380 | GTEx | DepMap | Descartes | 0.10 | 5.65 |
FLT4 | -0.0010425 | 25388 | GTEx | DepMap | Descartes | 0.03 | 1.00 |
SLCO2A1 | -0.0010610 | 25413 | GTEx | DepMap | Descartes | 0.03 | 1.57 |
SHANK3 | -0.0010782 | 25434 | GTEx | DepMap | Descartes | 0.07 | 2.35 |
CEACAM1 | -0.0010795 | 25437 | GTEx | DepMap | Descartes | 0.03 | 2.30 |
EHD3 | -0.0011047 | 25468 | GTEx | DepMap | Descartes | 0.39 | 20.91 |
NOTCH4 | -0.0011187 | 25476 | GTEx | DepMap | Descartes | 0.09 | 3.33 |
CRHBP | -0.0011361 | 25496 | GTEx | DepMap | Descartes | 0.04 | 5.68 |
BTNL9 | -0.0011592 | 25516 | GTEx | DepMap | Descartes | 0.09 | 6.13 |
NPR1 | -0.0011704 | 25531 | GTEx | DepMap | Descartes | 0.07 | 3.52 |
FCGR2B | -0.0011717 | 25534 | GTEx | DepMap | Descartes | 0.03 | 1.64 |
TIE1 | -0.0012462 | 25588 | GTEx | DepMap | Descartes | 0.05 | 3.28 |
ROBO4 | -0.0012792 | 25610 | GTEx | DepMap | Descartes | 0.04 | 1.88 |
PODXL | -0.0012839 | 25612 | GTEx | DepMap | Descartes | 0.11 | 3.49 |
IRX3 | -0.0012874 | 25615 | GTEx | DepMap | Descartes | 0.03 | 3.22 |
PTPRB | -0.0013479 | 25650 | GTEx | DepMap | Descartes | 0.05 | 0.81 |
Descartes stromal markers
Top 50 marker genes of stromal cells in the Decartes fetal adrenal single cell map (https://atlas.brotmanbaty.org/bbi/human-gene-expression-during-development/cell/stromal/in/adrenal)
Wilcoxon ranksum test P-value for gene set overrepresentation: 1.16e-17
Mean rank of genes in gene set: 3891.65
Median rank of genes in gene set: 187
Rank on gene expression program of top 30 genes in gene set:
Genes | Weight | Rank | GTEx | DepMap | Descartes | Mean.Counts | Mean.TPM |
---|---|---|---|---|---|---|---|
COL6A3 | 0.0180506 | 2 | GTEx | DepMap | Descartes | 6.88 | 197.66 |
PCDH18 | 0.0162794 | 4 | GTEx | DepMap | Descartes | 3.30 | 166.27 |
C7 | 0.0141305 | 6 | GTEx | DepMap | Descartes | 12.28 | 628.79 |
LAMC3 | 0.0122284 | 9 | GTEx | DepMap | Descartes | 1.01 | 39.58 |
COL3A1 | 0.0119624 | 10 | GTEx | DepMap | Descartes | 47.39 | 2368.41 |
CCDC102B | 0.0112250 | 14 | GTEx | DepMap | Descartes | 1.39 | 159.01 |
FREM1 | 0.0106288 | 17 | GTEx | DepMap | Descartes | 1.63 | 50.42 |
ABCC9 | 0.0099446 | 20 | GTEx | DepMap | Descartes | 0.99 | 36.11 |
ITGA11 | 0.0094814 | 22 | GTEx | DepMap | Descartes | 0.52 | 15.98 |
CD248 | 0.0088879 | 27 | GTEx | DepMap | Descartes | 2.03 | 238.60 |
PDGFRA | 0.0088350 | 29 | GTEx | DepMap | Descartes | 3.09 | 141.64 |
ABCA6 | 0.0084444 | 32 | GTEx | DepMap | Descartes | 0.44 | 17.17 |
COL1A2 | 0.0068875 | 54 | GTEx | DepMap | Descartes | 35.42 | 1608.17 |
CDH11 | 0.0067752 | 56 | GTEx | DepMap | Descartes | 4.57 | 189.29 |
EDNRA | 0.0062693 | 64 | GTEx | DepMap | Descartes | 1.85 | 133.80 |
COL1A1 | 0.0055420 | 84 | GTEx | DepMap | Descartes | 42.95 | 1992.73 |
GAS2 | 0.0052429 | 96 | GTEx | DepMap | Descartes | 0.32 | 34.52 |
CLDN11 | 0.0051226 | 101 | GTEx | DepMap | Descartes | 2.11 | 211.47 |
PCOLCE | 0.0049610 | 110 | GTEx | DepMap | Descartes | 3.46 | 590.11 |
LRRC17 | 0.0045317 | 138 | GTEx | DepMap | Descartes | 2.61 | 331.66 |
SULT1E1 | 0.0042634 | 154 | GTEx | DepMap | Descartes | 4.56 | 693.89 |
HHIP | 0.0041479 | 162 | GTEx | DepMap | Descartes | 1.61 | 38.05 |
IGFBP3 | 0.0040949 | 167 | GTEx | DepMap | Descartes | 3.83 | 388.18 |
ADAMTS2 | 0.0038484 | 186 | GTEx | DepMap | Descartes | 0.51 | 21.26 |
FNDC1 | 0.0038412 | 187 | GTEx | DepMap | Descartes | 0.33 | 13.54 |
CCDC80 | 0.0038216 | 191 | GTEx | DepMap | Descartes | 1.48 | 31.63 |
POSTN | 0.0033966 | 237 | GTEx | DepMap | Descartes | 7.88 | 646.30 |
ADAMTSL3 | 0.0025654 | 396 | GTEx | DepMap | Descartes | 0.27 | 10.67 |
GLI2 | 0.0024745 | 413 | GTEx | DepMap | Descartes | 0.30 | 13.28 |
COL27A1 | 0.0024550 | 419 | GTEx | DepMap | Descartes | 0.52 | 20.86 |
Descartes sympathoblasts markers
Top 50 marker genes of sympathoblasts cells in the Decartes fetal adrenal single cell map (https://atlas.brotmanbaty.org/bbi/human-gene-expression-during-development/cell/sympathoblasts/in/adrenal)
Wilcoxon ranksum test P-value for gene set overrepresentation: 1.00e+00
Mean rank of genes in gene set: 20054.57
Median rank of genes in gene set: 22202.5
Rank on gene expression program of top 30 genes in gene set:
Genes | Weight | Rank | GTEx | DepMap | Descartes | Mean.Counts | Mean.TPM |
---|---|---|---|---|---|---|---|
ROBO1 | 0.0015812 | 814 | GTEx | DepMap | Descartes | 0.83 | 32.73 |
GRID2 | 0.0012446 | 1144 | GTEx | DepMap | Descartes | 0.18 | 11.21 |
NTNG1 | 0.0008341 | 1865 | GTEx | DepMap | Descartes | 0.30 | 18.90 |
MGAT4C | 0.0001282 | 7582 | GTEx | DepMap | Descartes | 0.31 | 3.64 |
CNTNAP5 | 0.0000759 | 8791 | GTEx | DepMap | Descartes | 0.01 | 0.65 |
LINC00632 | -0.0000590 | 14603 | GTEx | DepMap | Descartes | 0.10 | NA |
HTATSF1 | -0.0000946 | 16696 | GTEx | DepMap | Descartes | 0.71 | 58.81 |
FAM155A | -0.0000950 | 16714 | GTEx | DepMap | Descartes | 0.04 | 1.21 |
GALNTL6 | -0.0000979 | 16855 | GTEx | DepMap | Descartes | 0.01 | 0.33 |
SLC35F3 | -0.0001242 | 17969 | GTEx | DepMap | Descartes | 0.01 | 0.64 |
AGBL4 | -0.0001757 | 19590 | GTEx | DepMap | Descartes | 0.01 | 0.39 |
TMEM130 | -0.0002029 | 20261 | GTEx | DepMap | Descartes | 0.01 | 0.97 |
PENK | -0.0002187 | 20581 | GTEx | DepMap | Descartes | 0.11 | 19.89 |
CNTN3 | -0.0002393 | 20963 | GTEx | DepMap | Descartes | 0.02 | 1.30 |
TBX20 | -0.0002398 | 20973 | GTEx | DepMap | Descartes | 0.00 | 0.15 |
EML6 | -0.0002440 | 21044 | GTEx | DepMap | Descartes | 0.01 | 0.26 |
PACRG | -0.0002696 | 21467 | GTEx | DepMap | Descartes | 0.01 | 1.43 |
SLC24A2 | -0.0002758 | 21544 | GTEx | DepMap | Descartes | 0.01 | 0.14 |
ST18 | -0.0003036 | 21927 | GTEx | DepMap | Descartes | 0.00 | 0.09 |
KCTD16 | -0.0003058 | 21949 | GTEx | DepMap | Descartes | 0.01 | 0.18 |
KSR2 | -0.0003081 | 21994 | GTEx | DepMap | Descartes | 0.00 | 0.04 |
LAMA3 | -0.0003163 | 22081 | GTEx | DepMap | Descartes | 0.02 | 0.37 |
PNMT | -0.0003357 | 22324 | GTEx | DepMap | Descartes | 0.01 | 3.85 |
SORCS3 | -0.0003599 | 22561 | GTEx | DepMap | Descartes | 0.03 | 1.32 |
CDH18 | -0.0003646 | 22618 | GTEx | DepMap | Descartes | 0.01 | 0.25 |
TENM1 | -0.0003818 | 22783 | GTEx | DepMap | Descartes | 0.01 | NA |
PCSK2 | -0.0004019 | 23006 | GTEx | DepMap | Descartes | 0.00 | 0.16 |
DGKK | -0.0004219 | 23182 | GTEx | DepMap | Descartes | 0.00 | 0.23 |
CDH12 | -0.0004639 | 23501 | GTEx | DepMap | Descartes | 0.00 | 0.20 |
FGF14 | -0.0004979 | 23717 | GTEx | DepMap | Descartes | 0.01 | 0.15 |
Descartes erythroblasts markers
Top 50 marker genes of erythroblasts cells in the Decartes fetal adrenal single cell map (https://atlas.brotmanbaty.org/bbi/human-gene-expression-during-development/cell/erythroblasts/in/adrenal)
Wilcoxon ranksum test P-value for gene set overrepresentation: 1.00e+00
Mean rank of genes in gene set: 22882.9
Median rank of genes in gene set: 24877
Rank on gene expression program of top 30 genes in gene set:
Genes | Weight | Rank | GTEx | DepMap | Descartes | Mean.Counts | Mean.TPM |
---|---|---|---|---|---|---|---|
MICAL2 | 0.0011499 | 1247 | GTEx | DepMap | Descartes | 0.24 | 9.70 |
HECTD4 | 0.0001812 | 6602 | GTEx | DepMap | Descartes | 0.36 | NA |
RAPGEF2 | 0.0001410 | 7335 | GTEx | DepMap | Descartes | 0.33 | 12.42 |
TRAK2 | -0.0000024 | 11124 | GTEx | DepMap | Descartes | 0.27 | 11.87 |
RGS6 | -0.0000783 | 15805 | GTEx | DepMap | Descartes | 0.08 | 3.73 |
DENND4A | -0.0002144 | 20498 | GTEx | DepMap | Descartes | 0.17 | 5.96 |
XPO7 | -0.0002902 | 21755 | GTEx | DepMap | Descartes | 0.26 | 15.07 |
HBZ | -0.0003040 | 21932 | GTEx | DepMap | Descartes | 0.29 | 102.32 |
GYPE | -0.0003725 | 22703 | GTEx | DepMap | Descartes | 0.03 | 5.00 |
RHD | -0.0003753 | 22733 | GTEx | DepMap | Descartes | 0.00 | 0.67 |
SLC25A21 | -0.0003786 | 22754 | GTEx | DepMap | Descartes | 0.01 | 0.92 |
ABCB10 | -0.0004043 | 23029 | GTEx | DepMap | Descartes | 0.13 | 9.55 |
TSPAN5 | -0.0004798 | 23604 | GTEx | DepMap | Descartes | 0.22 | 15.16 |
TMCC2 | -0.0005117 | 23802 | GTEx | DepMap | Descartes | 0.05 | 3.14 |
SOX6 | -0.0005176 | 23823 | GTEx | DepMap | Descartes | 0.12 | 3.25 |
TMEM56 | -0.0005226 | 23851 | GTEx | DepMap | Descartes | 0.17 | NA |
TFR2 | -0.0005280 | 23886 | GTEx | DepMap | Descartes | 0.01 | 1.72 |
SPTB | -0.0006148 | 24339 | GTEx | DepMap | Descartes | 0.01 | 0.26 |
CAT | -0.0006375 | 24426 | GTEx | DepMap | Descartes | 0.46 | 55.01 |
SPTA1 | -0.0006924 | 24636 | GTEx | DepMap | Descartes | 0.01 | 0.36 |
ANK1 | -0.0007128 | 24709 | GTEx | DepMap | Descartes | 0.01 | 0.16 |
CR1L | -0.0007509 | 24837 | GTEx | DepMap | Descartes | 0.00 | 0.58 |
SPECC1 | -0.0007620 | 24864 | GTEx | DepMap | Descartes | 0.14 | 4.77 |
RHCE | -0.0007642 | 24874 | GTEx | DepMap | Descartes | 0.01 | 1.39 |
CPOX | -0.0007661 | 24880 | GTEx | DepMap | Descartes | 0.18 | 17.07 |
GCLC | -0.0007737 | 24896 | GTEx | DepMap | Descartes | 0.11 | 7.66 |
SELENBP1 | -0.0007752 | 24900 | GTEx | DepMap | Descartes | 0.32 | 29.58 |
SLC4A1 | -0.0008142 | 24989 | GTEx | DepMap | Descartes | 0.06 | 2.87 |
RHAG | -0.0008245 | 25009 | GTEx | DepMap | Descartes | 0.01 | 1.08 |
MARCH3 | -0.0008683 | 25100 | GTEx | DepMap | Descartes | 0.09 | NA |
Descartes myeloid markers
Top 50 marker genes of myeloid cells in the Decartes fetal adrenal single cell map (https://atlas.brotmanbaty.org/bbi/human-gene-expression-during-development/cell/myeloid/in/adrenal)
Wilcoxon ranksum test P-value for gene set overrepresentation: 1.00e+00
Mean rank of genes in gene set: 20302.06
Median rank of genes in gene set: 23305
Rank on gene expression program of top 30 genes in gene set:
Genes | Weight | Rank | GTEx | DepMap | Descartes | Mean.Counts | Mean.TPM |
---|---|---|---|---|---|---|---|
CTSC | 0.0058642 | 78 | GTEx | DepMap | Descartes | 4.65 | 203.98 |
TGFBI | 0.0026236 | 375 | GTEx | DepMap | Descartes | 0.89 | 52.68 |
IFNGR1 | 0.0012231 | 1163 | GTEx | DepMap | Descartes | 0.54 | 60.26 |
AXL | 0.0009056 | 1708 | GTEx | DepMap | Descartes | 0.52 | 30.25 |
RGL1 | 0.0007674 | 2077 | GTEx | DepMap | Descartes | 0.58 | 31.48 |
RBPJ | 0.0004318 | 3754 | GTEx | DepMap | Descartes | 1.36 | 63.36 |
SFMBT2 | 0.0001473 | 7208 | GTEx | DepMap | Descartes | 0.15 | 5.81 |
SLC9A9 | -0.0001403 | 18540 | GTEx | DepMap | Descartes | 0.22 | 18.02 |
MS4A4E | -0.0001471 | 18769 | GTEx | DepMap | Descartes | 0.00 | 0.17 |
SLCO2B1 | -0.0002319 | 20826 | GTEx | DepMap | Descartes | 0.05 | 2.04 |
SPP1 | -0.0002339 | 20861 | GTEx | DepMap | Descartes | 0.02 | 2.15 |
CD163L1 | -0.0002370 | 20920 | GTEx | DepMap | Descartes | 0.00 | 0.20 |
CTSD | -0.0002381 | 20936 | GTEx | DepMap | Descartes | 0.96 | 122.80 |
ATP8B4 | -0.0002803 | 21609 | GTEx | DepMap | Descartes | 0.01 | 0.33 |
HCK | -0.0003318 | 22276 | GTEx | DepMap | Descartes | 0.00 | 0.45 |
WWP1 | -0.0004020 | 23007 | GTEx | DepMap | Descartes | 0.22 | 12.92 |
ABCA1 | -0.0004057 | 23041 | GTEx | DepMap | Descartes | 0.37 | 10.46 |
SLC1A3 | -0.0004131 | 23105 | GTEx | DepMap | Descartes | 0.03 | 2.01 |
ADAP2 | -0.0004181 | 23151 | GTEx | DepMap | Descartes | 0.03 | 3.49 |
CD14 | -0.0004202 | 23171 | GTEx | DepMap | Descartes | 0.02 | 1.82 |
MS4A4A | -0.0004225 | 23190 | GTEx | DepMap | Descartes | 0.00 | 0.54 |
MSR1 | -0.0004252 | 23213 | GTEx | DepMap | Descartes | 0.01 | 0.32 |
MARCH1 | -0.0004259 | 23217 | GTEx | DepMap | Descartes | 0.02 | NA |
HLA-DRB1 | -0.0004272 | 23231 | GTEx | DepMap | Descartes | 1.07 | 192.27 |
CTSS | -0.0004367 | 23303 | GTEx | DepMap | Descartes | 0.02 | 1.44 |
HLA-DPA1 | -0.0004372 | 23307 | GTEx | DepMap | Descartes | 0.07 | 2.82 |
FGD2 | -0.0004380 | 23316 | GTEx | DepMap | Descartes | 0.00 | 0.20 |
MPEG1 | -0.0004446 | 23370 | GTEx | DepMap | Descartes | 0.01 | 0.33 |
FMN1 | -0.0004473 | 23383 | GTEx | DepMap | Descartes | 0.01 | 0.24 |
VSIG4 | -0.0004565 | 23456 | GTEx | DepMap | Descartes | 0.00 | 0.46 |
Descartes Schwann markers
Top 50 marker genes of Schwann cells in the Decartes fetal adrenal single cell map (https://atlas.brotmanbaty.org/bbi/human-gene-expression-during-development/cell/schwann/in/adrenal)
Wilcoxon ranksum test P-value for gene set overrepresentation: 2.81e-01
Mean rank of genes in gene set: 12289.27
Median rank of genes in gene set: 15345
Rank on gene expression program of top 30 genes in gene set:
Genes | Weight | Rank | GTEx | DepMap | Descartes | Mean.Counts | Mean.TPM |
---|---|---|---|---|---|---|---|
VIM | 0.0080183 | 37 | GTEx | DepMap | Descartes | 38.17 | 3379.96 |
PAG1 | 0.0061219 | 70 | GTEx | DepMap | Descartes | 1.17 | 33.17 |
COL5A2 | 0.0055424 | 83 | GTEx | DepMap | Descartes | 4.67 | 192.92 |
ABCA8 | 0.0054217 | 91 | GTEx | DepMap | Descartes | 0.89 | 45.05 |
LAMB1 | 0.0050207 | 108 | GTEx | DepMap | Descartes | 2.27 | 114.28 |
STARD13 | 0.0045522 | 137 | GTEx | DepMap | Descartes | 0.61 | 29.25 |
LAMC1 | 0.0039375 | 178 | GTEx | DepMap | Descartes | 1.32 | 46.18 |
LAMA4 | 0.0039316 | 181 | GTEx | DepMap | Descartes | 2.02 | 79.29 |
VCAN | 0.0039111 | 182 | GTEx | DepMap | Descartes | 3.71 | 96.33 |
COL25A1 | 0.0025264 | 404 | GTEx | DepMap | Descartes | 0.39 | 14.59 |
MARCKS | 0.0023662 | 446 | GTEx | DepMap | Descartes | 10.32 | 635.63 |
IL1RAPL1 | 0.0022887 | 464 | GTEx | DepMap | Descartes | 0.14 | 10.91 |
PTN | 0.0020952 | 531 | GTEx | DepMap | Descartes | 5.10 | 744.96 |
SCN7A | 0.0015857 | 811 | GTEx | DepMap | Descartes | 0.33 | 12.81 |
COL18A1 | 0.0014473 | 936 | GTEx | DepMap | Descartes | 0.95 | 44.14 |
NLGN4X | 0.0012528 | 1133 | GTEx | DepMap | Descartes | 0.22 | 11.26 |
FIGN | 0.0011137 | 1305 | GTEx | DepMap | Descartes | 0.32 | 9.97 |
EGFLAM | 0.0005585 | 2967 | GTEx | DepMap | Descartes | 0.22 | 12.95 |
NRXN1 | 0.0005451 | 3033 | GTEx | DepMap | Descartes | 0.49 | 17.07 |
PLCE1 | 0.0004460 | 3656 | GTEx | DepMap | Descartes | 0.30 | 7.17 |
SOX5 | 0.0003912 | 4089 | GTEx | DepMap | Descartes | 0.12 | 5.08 |
MDGA2 | 0.0003494 | 4462 | GTEx | DepMap | Descartes | 0.02 | 1.05 |
ADAMTS5 | 0.0002471 | 5614 | GTEx | DepMap | Descartes | 0.34 | 11.85 |
GAS7 | 0.0000785 | 8736 | GTEx | DepMap | Descartes | 0.16 | 5.09 |
TRPM3 | -0.0000704 | 15345 | GTEx | DepMap | Descartes | 0.06 | 1.97 |
NRXN3 | -0.0001421 | 18609 | GTEx | DepMap | Descartes | 0.02 | 0.74 |
SORCS1 | -0.0001571 | 19092 | GTEx | DepMap | Descartes | 0.04 | 1.50 |
DST | -0.0001922 | 20009 | GTEx | DepMap | Descartes | 1.18 | 15.29 |
IL1RAPL2 | -0.0002330 | 20846 | GTEx | DepMap | Descartes | 0.01 | 1.08 |
XKR4 | -0.0002671 | 21430 | GTEx | DepMap | Descartes | 0.01 | 0.15 |
Descartes Megakaryocytes markers
Top 50 marker genes of Megakaryocytes cells in the Decartes fetal adrenal single cell map (https://atlas.brotmanbaty.org/bbi/human-gene-expression-during-development/cell/megakaryocytes/in/adrenal)
Wilcoxon ranksum test P-value for gene set overrepresentation: 6.25e-01
Mean rank of genes in gene set: 13245.06
Median rank of genes in gene set: 18596
Rank on gene expression program of top 30 genes in gene set:
Genes | Weight | Rank | GTEx | DepMap | Descartes | Mean.Counts | Mean.TPM |
---|---|---|---|---|---|---|---|
FLNA | 0.0071927 | 50 | GTEx | DepMap | Descartes | 3.94 | 127.51 |
TPM4 | 0.0050739 | 103 | GTEx | DepMap | Descartes | 6.09 | 307.54 |
ANGPT1 | 0.0050599 | 106 | GTEx | DepMap | Descartes | 0.96 | 67.23 |
ACTN1 | 0.0045842 | 134 | GTEx | DepMap | Descartes | 1.31 | 72.82 |
THBS1 | 0.0038316 | 189 | GTEx | DepMap | Descartes | 1.03 | 36.70 |
VCL | 0.0035953 | 217 | GTEx | DepMap | Descartes | 1.74 | 61.99 |
MYLK | 0.0031132 | 278 | GTEx | DepMap | Descartes | 1.01 | 29.33 |
PDE3A | 0.0030760 | 287 | GTEx | DepMap | Descartes | 0.48 | 19.26 |
TMSB4X | 0.0027283 | 353 | GTEx | DepMap | Descartes | 35.79 | 4873.24 |
MYH9 | 0.0023710 | 444 | GTEx | DepMap | Descartes | 1.36 | 50.74 |
TLN1 | 0.0019054 | 626 | GTEx | DepMap | Descartes | 1.70 | 52.36 |
ACTB | 0.0018701 | 641 | GTEx | DepMap | Descartes | 29.84 | 3178.34 |
ZYX | 0.0015796 | 820 | GTEx | DepMap | Descartes | 0.65 | 80.31 |
TRPC6 | 0.0015439 | 850 | GTEx | DepMap | Descartes | 0.10 | 7.23 |
LIMS1 | 0.0008265 | 1893 | GTEx | DepMap | Descartes | 1.40 | 79.53 |
TGFB1 | 0.0005428 | 3049 | GTEx | DepMap | Descartes | 0.50 | 45.21 |
INPP4B | 0.0004128 | 3909 | GTEx | DepMap | Descartes | 0.17 | 5.77 |
SLC2A3 | 0.0003630 | 4345 | GTEx | DepMap | Descartes | 1.61 | 105.01 |
FLI1 | 0.0002170 | 6042 | GTEx | DepMap | Descartes | 0.20 | 10.56 |
DOK6 | 0.0001787 | 6652 | GTEx | DepMap | Descartes | 0.09 | 2.67 |
SLC24A3 | 0.0001539 | 7067 | GTEx | DepMap | Descartes | 0.10 | 6.80 |
UBASH3B | 0.0000509 | 9469 | GTEx | DepMap | Descartes | 0.11 | 4.52 |
ARHGAP6 | -0.0000360 | 12970 | GTEx | DepMap | Descartes | 0.11 | 5.02 |
ITGB3 | -0.0000755 | 15626 | GTEx | DepMap | Descartes | 0.01 | 0.40 |
PPBP | -0.0001417 | 18596 | GTEx | DepMap | Descartes | 0.01 | 1.94 |
PF4 | -0.0001505 | 18892 | GTEx | DepMap | Descartes | 0.01 | 4.14 |
GP1BA | -0.0001604 | 19189 | GTEx | DepMap | Descartes | 0.00 | 0.07 |
ITGA2B | -0.0001656 | 19321 | GTEx | DepMap | Descartes | 0.02 | 1.23 |
GP9 | -0.0002174 | 20559 | GTEx | DepMap | Descartes | 0.00 | 0.57 |
RAP1B | -0.0002392 | 20959 | GTEx | DepMap | Descartes | 1.64 | 30.51 |
Descartes Lyphoid markers
Top 50 marker genes of Lyphoid cells in the Decartes fetal adrenal single cell map (https://atlas.brotmanbaty.org/bbi/human-gene-expression-during-development/cell/lymphoid/in/adrenal)
Wilcoxon ranksum test P-value for gene set overrepresentation: 9.83e-01
Mean rank of genes in gene set: 15194.96
Median rank of genes in gene set: 21265.5
Rank on gene expression program of top 30 genes in gene set:
Genes | Weight | Rank | GTEx | DepMap | Descartes | Mean.Counts | Mean.TPM |
---|---|---|---|---|---|---|---|
PLEKHA2 | 0.0021681 | 501 | GTEx | DepMap | Descartes | 0.46 | 24.02 |
ARHGAP15 | 0.0020605 | 547 | GTEx | DepMap | Descartes | 0.15 | 15.36 |
NCALD | 0.0019090 | 624 | GTEx | DepMap | Descartes | 0.53 | 36.49 |
TMSB10 | 0.0018200 | 666 | GTEx | DepMap | Descartes | 30.05 | 14905.67 |
STK39 | 0.0014043 | 969 | GTEx | DepMap | Descartes | 0.33 | 30.34 |
ETS1 | 0.0009259 | 1663 | GTEx | DepMap | Descartes | 1.14 | 62.60 |
GNG2 | 0.0006766 | 2420 | GTEx | DepMap | Descartes | 0.48 | 33.99 |
EVL | 0.0006639 | 2466 | GTEx | DepMap | Descartes | 0.90 | 66.77 |
ANKRD44 | 0.0006010 | 2748 | GTEx | DepMap | Descartes | 0.34 | 13.40 |
ARID5B | 0.0005867 | 2817 | GTEx | DepMap | Descartes | 0.78 | 27.95 |
ABLIM1 | 0.0003811 | 4184 | GTEx | DepMap | Descartes | 0.66 | 22.08 |
RCSD1 | 0.0002774 | 5206 | GTEx | DepMap | Descartes | 0.15 | 7.57 |
FOXP1 | 0.0002092 | 6152 | GTEx | DepMap | Descartes | 0.64 | 20.39 |
DOCK10 | 0.0001900 | 6446 | GTEx | DepMap | Descartes | 0.09 | 3.87 |
MSN | 0.0001702 | 6782 | GTEx | DepMap | Descartes | 0.83 | 54.39 |
LEF1 | 0.0001192 | 7770 | GTEx | DepMap | Descartes | 0.18 | 11.61 |
IFI16 | 0.0001103 | 7962 | GTEx | DepMap | Descartes | 0.96 | 61.08 |
BACH2 | 0.0000644 | 9102 | GTEx | DepMap | Descartes | 0.08 | 2.34 |
BCL2 | 0.0000585 | 9271 | GTEx | DepMap | Descartes | 0.25 | 9.74 |
MBNL1 | 0.0000419 | 9734 | GTEx | DepMap | Descartes | 1.09 | 48.21 |
MCTP2 | -0.0000470 | 13784 | GTEx | DepMap | Descartes | 0.09 | 3.59 |
ITPKB | -0.0000781 | 15795 | GTEx | DepMap | Descartes | 0.13 | 6.16 |
CCL5 | -0.0002466 | 21086 | GTEx | DepMap | Descartes | 0.01 | 1.02 |
WIPF1 | -0.0002566 | 21250 | GTEx | DepMap | Descartes | 0.20 | 11.69 |
LINC00299 | -0.0002581 | 21281 | GTEx | DepMap | Descartes | 0.00 | 0.05 |
PITPNC1 | -0.0002606 | 21322 | GTEx | DepMap | Descartes | 0.22 | 9.02 |
NKG7 | -0.0002673 | 21433 | GTEx | DepMap | Descartes | 0.01 | 3.35 |
SCML4 | -0.0002757 | 21543 | GTEx | DepMap | Descartes | 0.00 | 0.14 |
RAP1GAP2 | -0.0002833 | 21661 | GTEx | DepMap | Descartes | 0.01 | 0.44 |
SP100 | -0.0003215 | 22157 | GTEx | DepMap | Descartes | 0.22 | 11.27 |
Below shows the ranks on this GEP for immune marker gene lists curated by CellTypist (https://www.celltypist.org/encyclopedia).
High ranks indicate this gene is a driver of this GEP.
These curated gene list are ranked by P-value (on this GEP) of their constituent genes.
The Mean Count column shows the mean read count in cells scoring highly (H > 50) on this gene expression program.
Genes | Weight | Rank | GTEx | DepMap | Decartes | Mean.Counts | Mean.TPM |
---|---|---|---|---|---|---|---|
COL1A2 | 0.0068875 | 54 | GTEx | DepMap | Descartes | 35.42 | 1608.17 |
COL1A1 | 0.0055420 | 84 | GTEx | DepMap | Descartes | 42.95 | 1992.73 |
DCN | 0.0015999 | 800 | GTEx | DepMap | Descartes | 8.97 | 323.04 |
Fibroblasts: Fibroblasts (model markers)
the most common cells of connective tissues which synthesize the extracellular matrix and collagen to maintain tissue homeostasis:
Wilcoxon ranksum test P-value for gene set overrepresentation: 4.75e-02
Mean rank of genes in gene set: 8973.3
Rank on gene expression program of genes in gene set:
Genes | Weight | Rank | GTEx | DepMap | Decartes | Mean.Counts | Mean.TPM |
---|---|---|---|---|---|---|---|
PDGFRA | 0.0088350 | 29 | GTEx | DepMap | Descartes | 3.09 | 141.64 |
OLFML1 | 0.0028835 | 318 | GTEx | DepMap | Descartes | 0.47 | 44.22 |
NTRK2 | 0.0010699 | 1384 | GTEx | DepMap | Descartes | 0.41 | 13.33 |
PRRX1 | 0.0008121 | 1931 | GTEx | DepMap | Descartes | 1.25 | 90.84 |
ANGPTL1 | 0.0007407 | 2169 | GTEx | DepMap | Descartes | 0.13 | 10.56 |
MXRA5 | 0.0002031 | 6235 | GTEx | DepMap | Descartes | 0.42 | 10.85 |
EBF2 | 0.0000018 | 10948 | GTEx | DepMap | Descartes | 0.17 | 9.34 |
F10 | -0.0000701 | 15335 | GTEx | DepMap | Descartes | 0.37 | 63.96 |
SFRP1 | -0.0013145 | 25636 | GTEx | DepMap | Descartes | 1.43 | 74.08 |
SMOC2 | -0.0016296 | 25748 | GTEx | DepMap | Descartes | 0.40 | 27.43 |
Epithelial cells: Epithelial cells (curated markers)
highly specialised cells which are located in the outer layer of stroma and form the cellular components of the epithelium:
Wilcoxon ranksum test P-value for gene set overrepresentation: 1.22e-01
Mean rank of genes in gene set: 7898.33
Rank on gene expression program of genes in gene set:
Genes | Weight | Rank | GTEx | DepMap | Decartes | Mean.Counts | Mean.TPM |
---|---|---|---|---|---|---|---|
KRT17 | 0.0005455 | 3027 | GTEx | DepMap | Descartes | 0.01 | 1.18 |
CCL19 | 0.0004143 | 3900 | GTEx | DepMap | Descartes | 0.37 | 112.98 |
KRT15 | -0.0000962 | 16768 | GTEx | DepMap | Descartes | 0.00 | 0.07 |