QQ-plot of gene loadings, averaged over both independent splits of the data
This plot highlights the relative contribution of each gene to the GEP
Top genes driving this program.
Note: Decartes website is buggy, try refreshing. Also, Decartes fetal adrenal data have been collected at specific time points (89-122 days), all possible cell types of interest may not be represented, do not overinterpret.
The Mean Count column shows the mean read count in cells scoring highly (H > 50) on this gene expression program.
Gene | Loading | Gene.Name | GTEx | DepMap | Descartes | Mean.Counts | Mean.Tpm | |
---|---|---|---|---|---|---|---|---|
1 | PANX3 | 0.0113399 | pannexin 3 | GTEx | DepMap | Descartes | 0.33 | 12.00 |
2 | SGMS2 | 0.0092720 | sphingomyelin synthase 2 | GTEx | DepMap | Descartes | 0.15 | 0.26 |
3 | HAPLN1 | 0.0090154 | hyaluronan and proteoglycan link protein 1 | GTEx | DepMap | Descartes | 15.61 | 87.04 |
4 | COL10A1 | 0.0086534 | collagen type X alpha 1 chain | GTEx | DepMap | Descartes | 0.01 | 0.85 |
5 | 3110079O15RIK | 0.0086015 | NA | GTEx | DepMap | Descartes | 4.73 | NA |
6 | COL11A1 | 0.0082838 | collagen type XI alpha 1 chain | GTEx | DepMap | Descartes | 31.33 | 66.93 |
7 | COL2A1 | 0.0082794 | collagen type II alpha 1 chain | GTEx | DepMap | Descartes | 97.11 | 1401.87 |
8 | IHH | 0.0079233 | Indian hedgehog signaling molecule | GTEx | DepMap | Descartes | 0.76 | 47.21 |
9 | COL11A2 | 0.0076252 | collagen type XI alpha 2 chain | GTEx | DepMap | Descartes | 9.67 | 146.44 |
10 | ACAN | 0.0074563 | aggrecan | GTEx | DepMap | Descartes | 9.06 | 60.05 |
11 | COL9A1 | 0.0071842 | collagen type IX alpha 1 chain | GTEx | DepMap | Descartes | 21.52 | 116.50 |
12 | COL9A3 | 0.0071547 | collagen type IX alpha 3 chain | GTEx | DepMap | Descartes | 32.60 | 576.46 |
13 | MATN1 | 0.0071266 | matrilin 1 | GTEx | DepMap | Descartes | 12.51 | 430.80 |
14 | MATN3 | 0.0070535 | matrilin 3 | GTEx | DepMap | Descartes | 2.31 | 32.45 |
15 | LECT1 | 0.0069430 | NA | GTEx | DepMap | Descartes | 11.30 | NA |
16 | COMP | 0.0068182 | cartilage oligomeric matrix protein | GTEx | DepMap | Descartes | 3.59 | 193.77 |
17 | COL9A2 | 0.0065499 | collagen type IX alpha 2 chain | GTEx | DepMap | Descartes | 17.84 | 508.90 |
18 | COL27A1 | 0.0062850 | collagen type XXVII alpha 1 chain | GTEx | DepMap | Descartes | 4.52 | 13.42 |
19 | MIA | 0.0062407 | MIA SH3 domain containing | GTEx | DepMap | Descartes | 6.13 | 1927.16 |
20 | SCIN | 0.0059903 | scinderin | GTEx | DepMap | Descartes | 0.91 | 4.13 |
21 | LGALS3 | 0.0059307 | galectin 3 | GTEx | DepMap | Descartes | 1.48 | 29.44 |
22 | DHX58OS | 0.0056202 | NA | GTEx | DepMap | Descartes | 0.08 | 2.71 |
23 | PCOLCE2 | 0.0055996 | procollagen C-endopeptidase enhancer 2 | GTEx | DepMap | Descartes | 1.06 | 7.02 |
24 | CTGF | 0.0055962 | NA | GTEx | DepMap | Descartes | 1.73 | NA |
25 | MATN4 | 0.0054451 | matrilin 4 | GTEx | DepMap | Descartes | 20.04 | 573.47 |
26 | SUSD5 | 0.0052217 | sushi domain containing 5 | GTEx | DepMap | Descartes | 1.85 | 17.88 |
27 | SOX9 | 0.0051440 | SRY-box transcription factor 9 | GTEx | DepMap | Descartes | 10.42 | 669.21 |
28 | PTH1R | 0.0050172 | parathyroid hormone 1 receptor | GTEx | DepMap | Descartes | 2.79 | 47.10 |
29 | CTHRC1 | 0.0049995 | collagen triple helix repeat containing 1 | GTEx | DepMap | Descartes | 6.28 | 183.12 |
30 | PAPSS2 | 0.0049521 | 3’-phosphoadenosine 5’-phosphosulfate synthase 2 | GTEx | DepMap | Descartes | 3.28 | 20.60 |
31 | PRKG2 | 0.0047789 | protein kinase cGMP-dependent 2 | GTEx | DepMap | Descartes | 0.71 | 2.68 |
32 | TSPAN4 | 0.0046762 | tetraspanin 4 | GTEx | DepMap | Descartes | 3.49 | 84.58 |
33 | UGDH | 0.0046021 | UDP-glucose 6-dehydrogenase | GTEx | DepMap | Descartes | 3.37 | 55.49 |
34 | SERPINH1 | 0.0045568 | serpin family H member 1 | GTEx | DepMap | Descartes | 24.06 | 1022.92 |
35 | PLAGL1 | 0.0045545 | PLAG1 like zinc finger 1 | GTEx | DepMap | Descartes | 7.15 | 37.64 |
36 | NEAT1 | 0.0045202 | nuclear paraspeckle assembly transcript 1 | GTEx | DepMap | Descartes | 1.57 | 36.29 |
37 | WWP2 | 0.0045114 | WW domain containing E3 ubiquitin protein ligase 2 | GTEx | DepMap | Descartes | 5.92 | 21.51 |
38 | FBLN7 | 0.0044298 | fibulin 7 | GTEx | DepMap | Descartes | 0.89 | 11.23 |
39 | EPYC | 0.0043916 | epiphycan | GTEx | DepMap | Descartes | 4.20 | 42.73 |
40 | KLF2 | 0.0043265 | Kruppel like factor 2 | GTEx | DepMap | Descartes | 7.99 | 1175.98 |
41 | CSPG4 | 0.0041725 | chondroitin sulfate proteoglycan 4 | GTEx | DepMap | Descartes | 1.52 | 17.30 |
42 | PEG3 | 0.0041501 | paternally expressed 3 | GTEx | DepMap | Descartes | 18.27 | 249.38 |
43 | STK26 | 0.0041250 | serine/threonine kinase 26 | GTEx | DepMap | Descartes | 1.64 | 10.93 |
44 | CYTL1 | 0.0040763 | cytokine like 1 | GTEx | DepMap | Descartes | 4.60 | 451.44 |
45 | IFITM5 | 0.0040351 | interferon induced transmembrane protein 5 | GTEx | DepMap | Descartes | 0.14 | 37.19 |
46 | FOXA3 | 0.0040323 | forkhead box A3 | GTEx | DepMap | Descartes | 0.54 | 27.14 |
47 | TRPV4 | 0.0040306 | transient receptor potential cation channel subfamily V member 4 | GTEx | DepMap | Descartes | 0.64 | 7.84 |
48 | PHLDA2 | 0.0040149 | pleckstrin homology like domain family A member 2 | GTEx | DepMap | Descartes | 1.17 | 290.30 |
49 | S100B | 0.0039789 | S100 calcium binding protein B | GTEx | DepMap | Descartes | 1.46 | 74.57 |
50 | PLOD2 | 0.0039541 | procollagen-lysine,2-oxoglutarate 5-dioxygenase 2 | GTEx | DepMap | Descartes | 4.73 | 29.97 |
UMAP plots showing activity of gene expression program identified in GEP 5. Stromal I:
Gene set Enrichments for this program, caculated from top 50 genes
mSigDB Cell Types Gene Set:
P-value | OR | Lower 95% CI | FDR | FWER | Genes Found | Gene Set Size | |
---|---|---|---|---|---|---|---|
DESCARTES_FETAL_HEART_SCHWANN_CELLS | 6.88e-04 | 19.22 | 3.73 | 9.23e-02 | 4.61e-01 | 3COL2A1, MIA, S100B |
67 |
ZHONG_PFC_C2_THY1_POS_OPC | 2.20e-03 | 32.09 | 3.59 | 1.23e-01 | 1.00e+00 | 2COL9A1, S100B |
27 |
HU_FETAL_RETINA_RPE | 9.46e-05 | 9.19 | 3.18 | 3.87e-02 | 6.35e-02 | 6COL9A2, COL27A1, PCOLCE2, TSPAN4, SERPINH1, NEAT1 |
292 |
FAN_EMBRYONIC_CTX_BRAIN_ENDOTHELIAL_2 | 1.15e-04 | 8.85 | 3.06 | 3.87e-02 | 7.75e-02 | 6COL9A1, PTH1R, PAPSS2, SERPINH1, PLAGL1, CSPG4 |
303 |
CUI_DEVELOPING_HEART_LEFT_VENTRICULAR_CARDIOMYOCYTE | 4.78e-03 | 21.11 | 2.40 | 1.61e-01 | 1.00e+00 | 2HAPLN1, CTHRC1 |
40 |
HU_FETAL_RETINA_FIBROBLAST | 4.10e-04 | 6.94 | 2.40 | 7.46e-02 | 2.75e-01 | 6COL27A1, SCIN, PTH1R, SERPINH1, KLF2, CYTL1 |
385 |
AIZARANI_LIVER_C24_EPCAM_POS_BILE_DUCT_CELLS_3 | 1.28e-03 | 9.26 | 2.40 | 1.16e-01 | 8.60e-01 | 4SGMS2, LGALS3, SOX9, PHLDA2 |
185 |
TRAVAGLINI_LUNG_ALVEOLAR_EPITHELIAL_TYPE_1_CELL | 4.45e-04 | 6.83 | 2.36 | 7.46e-02 | 2.98e-01 | 6MATN3, LGALS3, PAPSS2, TSPAN4, NEAT1, KLF2 |
391 |
CUI_DEVELOPING_HEART_CARDIAC_FIBROBLASTS | 2.57e-03 | 11.94 | 2.34 | 1.23e-01 | 1.00e+00 | 3COL9A1, SOX9, PEG3 |
106 |
DESCARTES_FETAL_CEREBELLUM_OLIGODENDROCYTES | 2.92e-03 | 11.39 | 2.23 | 1.23e-01 | 1.00e+00 | 3HAPLN1, COL11A1, PRKG2 |
111 |
MANNO_MIDBRAIN_NEUROTYPES_HPROGM | 1.08e-03 | 7.09 | 2.18 | 1.16e-01 | 7.23e-01 | 5COL2A1, COL27A1, CTHRC1, CYTL1, PLOD2 |
307 |
MENON_FETAL_KIDNEY_4_PODOCYTES | 1.89e-03 | 8.30 | 2.15 | 1.23e-01 | 1.00e+00 | 4COL9A1, PTH1R, NEAT1, PLOD2 |
206 |
CUI_DEVELOPING_HEART_C5_VALVAR_CELL | 1.96e-03 | 8.22 | 2.13 | 1.23e-01 | 1.00e+00 | 4HAPLN1, SOX9, UGDH, S100B |
208 |
CUI_DEVELOPING_HEART_C3_FIBROBLAST_LIKE_CELL | 3.39e-03 | 10.79 | 2.12 | 1.34e-01 | 1.00e+00 | 3SERPINH1, PLAGL1, PEG3 |
117 |
ZHONG_PFC_MAJOR_TYPES_ASTROCYTES | 1.38e-03 | 6.69 | 2.06 | 1.16e-01 | 9.27e-01 | 5HAPLN1, LGALS3, SOX9, PLAGL1, S100B |
325 |
BUSSLINGER_GASTRIC_MATURE_PIT_CELLS | 2.56e-03 | 7.62 | 1.97 | 1.23e-01 | 1.00e+00 | 4LGALS3, NEAT1, KLF2, FOXA3 |
224 |
HAY_BONE_MARROW_CD34_POS_HSC | 4.45e-03 | 9.76 | 1.92 | 1.57e-01 | 1.00e+00 | 3PRKG2, CYTL1, PLOD2 |
129 |
DESCARTES_FETAL_ADRENAL_SCHWANN_CELLS | 4.45e-03 | 9.76 | 1.92 | 1.57e-01 | 1.00e+00 | 3MIA, MATN4, S100B |
129 |
FAN_OVARY_CL16_LYMPHATIC_ENDOTHELIAL_CELL | 2.90e-03 | 7.35 | 1.91 | 1.23e-01 | 1.00e+00 | 4LGALS3, CTHRC1, TSPAN4, NEAT1 |
232 |
DESCARTES_MAIN_FETAL_SCHWANN_CELLS | 7.67e-03 | 16.38 | 1.88 | 2.06e-01 | 1.00e+00 | 2MIA, S100B |
51 |
Dowload full table
mSigDB Hallmark Gene Sets:
P-value | OR | Lower 95% CI | FDR | FWER | Genes Found | Gene Set Size | |
---|---|---|---|---|---|---|---|
HALLMARK_EPITHELIAL_MESENCHYMAL_TRANSITION | 7.32e-07 | 16.26 | 6.09 | 3.66e-05 | 3.66e-05 | 7COL11A1, MATN3, COMP, PCOLCE2, CTHRC1, SERPINH1, PLOD2 |
200 |
HALLMARK_KRAS_SIGNALING_UP | 1.46e-02 | 6.25 | 1.23 | 3.64e-01 | 7.29e-01 | 3SOX9, PRKG2, PEG3 |
200 |
HALLMARK_IL2_STAT5_SIGNALING | 9.21e-02 | 4.08 | 0.48 | 5.16e-01 | 1.00e+00 | 2PTH1R, PLAGL1 |
199 |
HALLMARK_TNFA_SIGNALING_VIA_NFKB | 9.29e-02 | 4.06 | 0.47 | 5.16e-01 | 1.00e+00 | 2KLF2, PHLDA2 |
200 |
HALLMARK_ESTROGEN_RESPONSE_LATE | 9.29e-02 | 4.06 | 0.47 | 5.16e-01 | 1.00e+00 | 2PAPSS2, UGDH |
200 |
HALLMARK_APICAL_JUNCTION | 9.29e-02 | 4.06 | 0.47 | 5.16e-01 | 1.00e+00 | 2COL9A1, TSPAN4 |
200 |
HALLMARK_MTORC1_SIGNALING | 9.29e-02 | 4.06 | 0.47 | 5.16e-01 | 1.00e+00 | 2SERPINH1, PLOD2 |
200 |
HALLMARK_XENOBIOTIC_METABOLISM | 9.29e-02 | 4.06 | 0.47 | 5.16e-01 | 1.00e+00 | 2PAPSS2, UGDH |
200 |
HALLMARK_GLYCOLYSIS | 9.29e-02 | 4.06 | 0.47 | 5.16e-01 | 1.00e+00 | 2SOX9, PLOD2 |
200 |
HALLMARK_CHOLESTEROL_HOMEOSTASIS | 1.74e-01 | 5.39 | 0.13 | 8.71e-01 | 1.00e+00 | 1LGALS3 |
74 |
HALLMARK_COAGULATION | 3.00e-01 | 2.87 | 0.07 | 1.00e+00 | 1.00e+00 | 1COMP |
138 |
HALLMARK_UV_RESPONSE_DN | 3.10e-01 | 2.75 | 0.07 | 1.00e+00 | 1.00e+00 | 1COL11A1 |
144 |
HALLMARK_FATTY_ACID_METABOLISM | 3.35e-01 | 2.51 | 0.06 | 1.00e+00 | 1.00e+00 | 1UGDH |
158 |
HALLMARK_UV_RESPONSE_UP | 3.35e-01 | 2.51 | 0.06 | 1.00e+00 | 1.00e+00 | 1COL2A1 |
158 |
HALLMARK_APOPTOSIS | 3.40e-01 | 2.46 | 0.06 | 1.00e+00 | 1.00e+00 | 1LGALS3 |
161 |
HALLMARK_ESTROGEN_RESPONSE_EARLY | 4.03e-01 | 1.98 | 0.05 | 1.00e+00 | 1.00e+00 | 1PAPSS2 |
200 |
HALLMARK_COMPLEMENT | 4.03e-01 | 1.98 | 0.05 | 1.00e+00 | 1.00e+00 | 1LGALS3 |
200 |
HALLMARK_INFLAMMATORY_RESPONSE | 4.03e-01 | 1.98 | 0.05 | 1.00e+00 | 1.00e+00 | 1SGMS2 |
200 |
HALLMARK_KRAS_SIGNALING_DN | 4.03e-01 | 1.98 | 0.05 | 1.00e+00 | 1.00e+00 | 1COL2A1 |
200 |
HALLMARK_HYPOXIA | 1.00e+00 | 0.00 | 0.00 | 1.00e+00 | 1.00e+00 | 0 |
200 |
Dowload full table
KEGG Pathways:
P-value | OR | Lower 95% CI | FDR | FWER | Genes Found | Gene Set Size | |
---|---|---|---|---|---|---|---|
KEGG_ECM_RECEPTOR_INTERACTION | 6.45e-05 | 20.94 | 5.35 | 1.20e-02 | 1.20e-02 | 4COL11A1, COL2A1, COL11A2, COMP |
84 |
KEGG_FOCAL_ADHESION | 1.67e-03 | 8.60 | 2.23 | 1.55e-01 | 3.11e-01 | 4COL11A1, COL2A1, COL11A2, COMP |
199 |
KEGG_SULFUR_METABOLISM | 3.31e-02 | 32.74 | 0.75 | 1.00e+00 | 1.00e+00 | 1PAPSS2 |
13 |
KEGG_ASCORBATE_AND_ALDARATE_METABOLISM | 6.27e-02 | 16.38 | 0.39 | 1.00e+00 | 1.00e+00 | 1UGDH |
25 |
KEGG_MATURITY_ONSET_DIABETES_OF_THE_YOUNG | 6.27e-02 | 16.38 | 0.39 | 1.00e+00 | 1.00e+00 | 1FOXA3 |
25 |
KEGG_SELENOAMINO_ACID_METABOLISM | 6.51e-02 | 15.73 | 0.38 | 1.00e+00 | 1.00e+00 | 1PAPSS2 |
26 |
KEGG_PENTOSE_AND_GLUCURONATE_INTERCONVERSIONS | 6.99e-02 | 14.56 | 0.35 | 1.00e+00 | 1.00e+00 | 1UGDH |
28 |
KEGG_SPHINGOLIPID_METABOLISM | 9.60e-02 | 10.35 | 0.25 | 1.00e+00 | 1.00e+00 | 1SGMS2 |
39 |
KEGG_LYSINE_DEGRADATION | 1.08e-01 | 9.15 | 0.22 | 1.00e+00 | 1.00e+00 | 1PLOD2 |
44 |
KEGG_AMINO_SUGAR_AND_NUCLEOTIDE_SUGAR_METABOLISM | 1.08e-01 | 9.15 | 0.22 | 1.00e+00 | 1.00e+00 | 1UGDH |
44 |
KEGG_STARCH_AND_SUCROSE_METABOLISM | 1.26e-01 | 7.71 | 0.19 | 1.00e+00 | 1.00e+00 | 1UGDH |
52 |
KEGG_HEDGEHOG_SIGNALING_PATHWAY | 1.35e-01 | 7.15 | 0.17 | 1.00e+00 | 1.00e+00 | 1IHH |
56 |
KEGG_LONG_TERM_DEPRESSION | 1.66e-01 | 5.70 | 0.14 | 1.00e+00 | 1.00e+00 | 1PRKG2 |
70 |
KEGG_TGF_BETA_SIGNALING_PATHWAY | 1.99e-01 | 4.63 | 0.11 | 1.00e+00 | 1.00e+00 | 1COMP |
86 |
KEGG_GAP_JUNCTION | 2.08e-01 | 4.42 | 0.11 | 1.00e+00 | 1.00e+00 | 1PRKG2 |
90 |
KEGG_FC_GAMMA_R_MEDIATED_PHAGOCYTOSIS | 2.20e-01 | 4.14 | 0.10 | 1.00e+00 | 1.00e+00 | 1SCIN |
96 |
KEGG_UBIQUITIN_MEDIATED_PROTEOLYSIS | 2.94e-01 | 2.94 | 0.07 | 1.00e+00 | 1.00e+00 | 1WWP2 |
135 |
KEGG_PURINE_METABOLISM | 3.36e-01 | 2.49 | 0.06 | 1.00e+00 | 1.00e+00 | 1PAPSS2 |
159 |
KEGG_REGULATION_OF_ACTIN_CYTOSKELETON | 4.22e-01 | 1.86 | 0.05 | 1.00e+00 | 1.00e+00 | 1SCIN |
213 |
KEGG_NEUROACTIVE_LIGAND_RECEPTOR_INTERACTION | 5.03e-01 | 1.45 | 0.04 | 1.00e+00 | 1.00e+00 | 1PTH1R |
272 |
Dowload full table
CHR Positional Gene Sets:
P-value | OR | Lower 95% CI | FDR | FWER | Genes Found | Gene Set Size | |
---|---|---|---|---|---|---|---|
chr20q13 | 2.69e-01 | 2.02 | 0.24 | 1.00e+00 | 1.00e+00 | 2COL9A3, MATN4 |
400 |
chr11q13 | 2.89e-01 | 1.92 | 0.22 | 1.00e+00 | 1.00e+00 | 2SERPINH1, NEAT1 |
421 |
chr19q13 | 7.61e-01 | 1.06 | 0.21 | 1.00e+00 | 1.00e+00 | 3MIA, PEG3, FOXA3 |
1165 |
chr9q32 | 1.14e-01 | 8.55 | 0.21 | 1.00e+00 | 1.00e+00 | 1COL27A1 |
47 |
chr3q23 | 1.35e-01 | 7.15 | 0.17 | 1.00e+00 | 1.00e+00 | 1PCOLCE2 |
56 |
chr6q13 | 1.35e-01 | 7.15 | 0.17 | 1.00e+00 | 1.00e+00 | 1COL9A1 |
56 |
chr2q13 | 1.42e-01 | 6.78 | 0.17 | 1.00e+00 | 1.00e+00 | 1FBLN7 |
59 |
chr4p14 | 1.53e-01 | 6.24 | 0.15 | 1.00e+00 | 1.00e+00 | 1UGDH |
64 |
chr6q24 | 1.70e-01 | 5.54 | 0.14 | 1.00e+00 | 1.00e+00 | 1PLAGL1 |
72 |
chr2p24 | 1.74e-01 | 5.39 | 0.13 | 1.00e+00 | 1.00e+00 | 1MATN3 |
74 |
chr19p13 | 7.18e-01 | 1.04 | 0.12 | 1.00e+00 | 1.00e+00 | 2COMP, KLF2 |
773 |
chr7p21 | 1.93e-01 | 4.80 | 0.12 | 1.00e+00 | 1.00e+00 | 1SCIN |
83 |
chr4q25 | 2.01e-01 | 4.57 | 0.11 | 1.00e+00 | 1.00e+00 | 1SGMS2 |
87 |
chr14q22 | 2.08e-01 | 4.42 | 0.11 | 1.00e+00 | 1.00e+00 | 1LGALS3 |
90 |
chr17q24 | 2.16e-01 | 4.23 | 0.10 | 1.00e+00 | 1.00e+00 | 1SOX9 |
94 |
chr1p21 | 2.26e-01 | 4.01 | 0.10 | 1.00e+00 | 1.00e+00 | 1COL11A1 |
99 |
chr15q24 | 2.59e-01 | 3.42 | 0.08 | 1.00e+00 | 1.00e+00 | 1CSPG4 |
116 |
chr6q22 | 2.65e-01 | 3.33 | 0.08 | 1.00e+00 | 1.00e+00 | 1COL10A1 |
119 |
chr2q35 | 2.78e-01 | 3.15 | 0.08 | 1.00e+00 | 1.00e+00 | 1IHH |
126 |
chr12q21 | 2.81e-01 | 3.10 | 0.08 | 1.00e+00 | 1.00e+00 | 1EPYC |
128 |
Dowload full table
Transcription Factor Targets:
P-value | OR | Lower 95% CI | FDR | FWER | Genes Found | Gene Set Size | |
---|---|---|---|---|---|---|---|
CATRRAGC_UNKNOWN | 5.46e-03 | 9.05 | 1.78 | 1.00e+00 | 1.00e+00 | 3PANX3, COL11A1, COL11A2 |
139 |
GR_Q6 | 5.26e-03 | 6.19 | 1.61 | 1.00e+00 | 1.00e+00 | 4HAPLN1, MIA, PLAGL1, WWP2 |
275 |
NCX_01 | 1.04e-02 | 7.11 | 1.40 | 1.00e+00 | 1.00e+00 | 3HAPLN1, PLAGL1, PEG3 |
176 |
TATAAA_TATA_01 | 3.97e-03 | 3.24 | 1.38 | 1.00e+00 | 1.00e+00 | 9HAPLN1, COL10A1, COL11A2, SOX9, CTHRC1, PRKG2, PEG3, FOXA3, PLOD2 |
1317 |
TGGAAA_NFAT_Q4_01 | 4.59e-03 | 2.83 | 1.30 | 1.00e+00 | 1.00e+00 | 11HAPLN1, COL2A1, COL27A1, SOX9, CTHRC1, SERPINH1, WWP2, EPYC, CSPG4, STK26, PLOD2 |
1934 |
NCOA6_TARGET_GENES | 1.24e-02 | 4.79 | 1.25 | 1.00e+00 | 1.00e+00 | 4CTHRC1, NEAT1, FOXA3, PHLDA2 |
354 |
CTTTAAR_UNKNOWN | 1.04e-02 | 3.18 | 1.20 | 1.00e+00 | 1.00e+00 | 7SGMS2, COL9A1, MATN3, EPYC, CSPG4, PEG3, PHLDA2 |
994 |
NFKAPPAB65_01 | 2.36e-02 | 5.17 | 1.02 | 1.00e+00 | 1.00e+00 | 3COL11A2, ACAN, MIA |
241 |
TBP_01 | 2.54e-02 | 5.02 | 0.99 | 1.00e+00 | 1.00e+00 | 3HAPLN1, COL10A1, SOX9 |
248 |
AP3_Q6 | 2.62e-02 | 4.96 | 0.98 | 1.00e+00 | 1.00e+00 | 3SGMS2, HAPLN1, WWP2 |
251 |
STAT5B_01 | 2.73e-02 | 4.88 | 0.97 | 1.00e+00 | 1.00e+00 | 3TSPAN4, PLAGL1, FOXA3 |
255 |
TATA_01 | 2.76e-02 | 4.86 | 0.96 | 1.00e+00 | 1.00e+00 | 3COL10A1, SERPINH1, KLF2 |
256 |
CREL_01 | 2.78e-02 | 4.84 | 0.96 | 1.00e+00 | 1.00e+00 | 3COL11A2, ACAN, MIA |
257 |
STAT5A_01 | 2.84e-02 | 4.81 | 0.95 | 1.00e+00 | 1.00e+00 | 3TSPAN4, PLAGL1, FOXA3 |
259 |
AACTTT_UNKNOWN | 4.27e-02 | 2.21 | 0.94 | 1.00e+00 | 1.00e+00 | 9HAPLN1, ACAN, COL9A1, COL27A1, SOX9, SERPINH1, PLAGL1, WWP2, EPYC |
1928 |
DBP_Q6 | 3.01e-02 | 4.70 | 0.93 | 1.00e+00 | 1.00e+00 | 3HAPLN1, ACAN, MATN4 |
265 |
NFAT_Q4_01 | 3.06e-02 | 4.66 | 0.92 | 1.00e+00 | 1.00e+00 | 3SOX9, EPYC, PLOD2 |
267 |
NFKB_C | 3.09e-02 | 4.64 | 0.92 | 1.00e+00 | 1.00e+00 | 3COL11A2, ACAN, FOXA3 |
268 |
MMEF2_Q6 | 3.27e-02 | 4.54 | 0.90 | 1.00e+00 | 1.00e+00 | 3HAPLN1, COL11A2, KLF2 |
274 |
NMYC_01 | 3.45e-02 | 4.44 | 0.88 | 1.00e+00 | 1.00e+00 | 3COL2A1, PLAGL1, WWP2 |
280 |
Dowload full table
GO Biological Processes:
P-value | OR | Lower 95% CI | FDR | FWER | Genes Found | Gene Set Size | |
---|---|---|---|---|---|---|---|
GOBP_CHONDROCYTE_DEVELOPMENT_INVOLVED_IN_ENDOCHONDRAL_BONE_MORPHOGENESIS | 2.75e-09 | 412.60 | 75.03 | 1.58e-06 | 2.06e-05 | 4MATN1, COL27A1, SOX9, SERPINH1 |
8 |
GOBP_CARTILAGE_DEVELOPMENT_INVOLVED_IN_ENDOCHONDRAL_BONE_MORPHOGENESIS | 1.66e-15 | 202.11 | 72.23 | 2.07e-12 | 1.24e-11 | 8COL2A1, IHH, MATN1, COMP, COL27A1, SOX9, SERPINH1, TRPV4 |
26 |
GOBP_CHONDROCYTE_DIFFERENTIATION_INVOLVED_IN_ENDOCHONDRAL_BONE_MORPHOGENESIS | 1.85e-10 | 236.85 | 59.82 | 1.15e-07 | 1.38e-06 | 5IHH, MATN1, COL27A1, SOX9, SERPINH1 |
14 |
GOBP_CHONDROCYTE_DEVELOPMENT | 7.86e-11 | 119.04 | 37.64 | 5.88e-08 | 5.88e-07 | 6COL11A1, MATN1, COMP, COL27A1, SOX9, SERPINH1 |
28 |
GOBP_GROWTH_PLATE_CARTILAGE_DEVELOPMENT | 5.28e-08 | 152.08 | 33.97 | 2.63e-05 | 3.95e-04 | 4MATN1, COMP, COL27A1, SOX9 |
15 |
GOBP_GROWTH_PLATE_CARTILAGE_CHONDROCYTE_DIFFERENTIATION | 1.35e-06 | 203.48 | 32.05 | 4.35e-04 | 1.01e-02 | 3MATN1, COL27A1, SOX9 |
9 |
GOBP_ENDOCHONDRAL_BONE_MORPHOGENESIS | 7.53e-13 | 83.24 | 31.89 | 8.05e-10 | 5.63e-09 | 8COL2A1, IHH, MATN1, COMP, COL27A1, SOX9, SERPINH1, TRPV4 |
52 |
GOBP_CHONDROCYTE_DIFFERENTIATION | 1.51e-15 | 59.67 | 26.70 | 2.07e-12 | 1.13e-11 | 11COL11A1, COL2A1, IHH, MATN1, COMP, COL27A1, SCIN, SOX9, PTH1R, SERPINH1, CYTL1 |
102 |
GOBP_CARTILAGE_DEVELOPMENT | 3.92e-19 | 48.88 | 24.32 | 1.47e-15 | 2.93e-15 | 15COL11A1, COL2A1, IHH, COL11A2, MATN1, MATN3, COMP, COL27A1, SCIN, SOX9, PTH1R, SERPINH1, EPYC, CYTL1, TRPV4 |
184 |
GOBP_GROWTH_PLATE_CARTILAGE_CHONDROCYTE_DEVELOPMENT | 6.52e-05 | 265.22 | 21.74 | 1.52e-02 | 4.88e-01 | 2COL27A1, SOX9 |
5 |
GOBP_ANTERIOR_HEAD_DEVELOPMENT | 6.52e-05 | 265.22 | 21.74 | 1.52e-02 | 4.88e-01 | 2COL2A1, SOX9 |
5 |
GOBP_POSITIVE_REGULATION_OF_CHONDROCYTE_PROLIFERATION | 6.52e-05 | 265.22 | 21.74 | 1.52e-02 | 4.88e-01 | 2COMP, SOX9 |
5 |
GOBP_BONE_MORPHOGENESIS | 1.40e-12 | 52.15 | 21.58 | 1.31e-09 | 1.05e-08 | 9COL2A1, IHH, MATN1, COMP, COL27A1, SOX9, SERPINH1, IFITM5, TRPV4 |
90 |
GOBP_BONE_GROWTH | 5.65e-07 | 75.98 | 18.31 | 2.01e-04 | 4.23e-03 | 4MATN1, COMP, COL27A1, SOX9 |
26 |
GOBP_CONNECTIVE_TISSUE_DEVELOPMENT | 2.39e-17 | 36.38 | 18.20 | 4.48e-14 | 1.79e-13 | 15COL11A1, COL2A1, IHH, COL11A2, MATN1, MATN3, COMP, COL27A1, SCIN, SOX9, PTH1R, SERPINH1, EPYC, CYTL1, TRPV4 |
242 |
GOBP_SKELETAL_SYSTEM_DEVELOPMENT | 3.32e-21 | 30.09 | 16.18 | 2.48e-17 | 2.48e-17 | 21HAPLN1, COL10A1, COL11A1, COL2A1, IHH, COL11A2, ACAN, MATN1, MATN3, COMP, COL9A2, COL27A1, SCIN, SOX9, PTH1R, PAPSS2, SERPINH1, EPYC, CYTL1, IFITM5, TRPV4 |
485 |
GOBP_EXTERNAL_ENCAPSULATING_STRUCTURE_ORGANIZATION | 1.92e-18 | 28.67 | 15.02 | 4.78e-15 | 1.44e-14 | 18HAPLN1, COL10A1, COL11A1, COL2A1, IHH, COL11A2, ACAN, COL9A1, COL9A3, MATN1, MATN3, COMP, COL9A2, COL27A1, MIA, MATN4, SOX9, SERPINH1 |
396 |
GOBP_TENDON_DEVELOPMENT | 1.36e-04 | 159.06 | 14.87 | 2.92e-02 | 1.00e+00 | 2COL11A1, COMP |
7 |
GOBP_CHONDROCYTE_PROLIFERATION | 1.79e-05 | 72.12 | 13.13 | 4.97e-03 | 1.34e-01 | 3IHH, COMP, SOX9 |
20 |
GOBP_COLLAGEN_FIBRIL_ORGANIZATION | 2.67e-07 | 43.62 | 12.98 | 1.05e-04 | 2.00e-03 | 5COL11A1, COL2A1, COL11A2, COMP, SERPINH1 |
54 |
Dowload full table
Immunological Gene Sets:
P-value | OR | Lower 95% CI | FDR | FWER | Genes Found | Gene Set Size | |
---|---|---|---|---|---|---|---|
GSE18281_SUBCAPSULAR_CORTICAL_REGION_VS_WHOLE_MEDULLA_THYMUS_DN | 1.42e-04 | 11.22 | 3.44 | 6.38e-01 | 6.93e-01 | 5HAPLN1, MATN3, PCOLCE2, MATN4, EPYC |
196 |
GSE45365_CTRL_VS_MCMV_INFECTION_NK_CELL_DN | 1.52e-03 | 8.82 | 2.28 | 6.38e-01 | 1.00e+00 | 4COL2A1, LGALS3, CTHRC1, PLAGL1 |
194 |
GSE29618_PRE_VS_DAY7_POST_TIV_FLU_VACCINE_BCELL_UP | 1.58e-03 | 8.73 | 2.26 | 6.38e-01 | 1.00e+00 | 4HAPLN1, CSPG4, PEG3, S100B |
196 |
GSE13411_IGM_VS_SWITCHED_MEMORY_BCELL_DN | 1.64e-03 | 8.64 | 2.24 | 6.38e-01 | 1.00e+00 | 4LGALS3, PLAGL1, WWP2, KLF2 |
198 |
GSE22229_RENAL_TRANSPLANT_IMMUNOSUPP_THERAPY_VS_HEALTHY_PBMC_DN | 1.67e-03 | 8.60 | 2.23 | 6.38e-01 | 1.00e+00 | 4SGMS2, LGALS3, PAPSS2, UGDH |
199 |
GSE26351_UNSTIM_VS_BMP_PATHWAY_STIM_HEMATOPOIETIC_PROGENITORS_DN | 1.67e-03 | 8.60 | 2.23 | 6.38e-01 | 1.00e+00 | 4IHH, COL9A1, PAPSS2, IFITM5 |
199 |
GSE2770_TGFB_AND_IL4_VS_IL12_TREATED_ACT_CD4_TCELL_6H_UP | 1.70e-03 | 8.55 | 2.21 | 6.38e-01 | 1.00e+00 | 4COL9A3, UGDH, WWP2, KLF2 |
200 |
GSE4748_CTRL_VS_LPS_AND_CYANOBACTERIUM_LPSLIKE_STIM_DC_3H_UP | 1.70e-03 | 8.55 | 2.21 | 6.38e-01 | 1.00e+00 | 4PCOLCE2, SOX9, NEAT1, KLF2 |
200 |
GSE8621_LPS_STIM_VS_LPS_PRIMED_AND_LPS_STIM_MACROPHAGE_UP | 1.70e-03 | 8.55 | 2.21 | 6.38e-01 | 1.00e+00 | 4MATN1, TSPAN4, EPYC, PHLDA2 |
200 |
GSE19888_CTRL_VS_TCELL_MEMBRANES_ACT_MAST_CELL_PRETREAT_A3R_INH_UP | 1.70e-03 | 8.55 | 2.21 | 6.38e-01 | 1.00e+00 | 4PEG3, STK26, CYTL1, S100B |
200 |
GSE21670_STAT3_KO_VS_WT_CD4_TCELL_IL6_TREATED_UP | 1.70e-03 | 8.55 | 2.21 | 6.38e-01 | 1.00e+00 | 4SGMS2, PAPSS2, UGDH, STK26 |
200 |
GSE21063_CTRL_VS_ANTI_IGM_STIM_BCELL_NFATC1_KO_3H_UP | 1.70e-03 | 8.55 | 2.21 | 6.38e-01 | 1.00e+00 | 4SCIN, LGALS3, PAPSS2, TRPV4 |
200 |
GSE43957_UNTREATED_VS_NACL_TREATED_ANTI_CD3_CD28_STIM_CD4_TCELL_UP | 1.70e-03 | 8.55 | 2.21 | 6.38e-01 | 1.00e+00 | 4COL2A1, COL9A3, PAPSS2, FOXA3 |
200 |
GSE9601_UNTREATED_VS_NFKB_INHIBITOR_TREATED_HCMV_INF_MONOCYTE_UP | 8.72e-03 | 7.60 | 1.50 | 1.00e+00 | 1.00e+00 | 3COL9A1, SCIN, PAPSS2 |
165 |
GSE6269_E_COLI_VS_STAPH_AUREUS_INF_PBMC_DN | 1.04e-02 | 7.11 | 1.40 | 1.00e+00 | 1.00e+00 | 3LGALS3, PCOLCE2, TSPAN4 |
176 |
GSE43863_NAIVE_VS_LY6C_INT_CXCR5POS_CD4_EFF_TCELL_D6_LCMV_DN | 1.33e-02 | 6.48 | 1.28 | 1.00e+00 | 1.00e+00 | 3MATN4, PTH1R, CYTL1 |
193 |
GSE9509_LPS_VS_LPS_AND_IL10_STIM_IL10_KO_MACROPHAGE_20MIN_UP | 1.34e-02 | 6.44 | 1.27 | 1.00e+00 | 1.00e+00 | 3PRKG2, NEAT1, PLOD2 |
194 |
GSE18804_BRAIN_VS_COLON_TUMORAL_MACROPHAGE_DN | 1.34e-02 | 6.44 | 1.27 | 1.00e+00 | 1.00e+00 | 3LGALS3, CTHRC1, PLAGL1 |
194 |
GSE8515_CTRL_VS_IL6_4H_STIM_MAC_DN | 1.36e-02 | 6.41 | 1.27 | 1.00e+00 | 1.00e+00 | 3IHH, COL9A3, PLOD2 |
195 |
GSE9006_1MONTH_VS_4MONTH_POST_TYPE_1_DIABETES_DX_PBMC_DN | 1.36e-02 | 6.41 | 1.27 | 1.00e+00 | 1.00e+00 | 3HAPLN1, COL2A1, MATN1 |
195 |
Top Ranked Transcription Factors for this Gene Expression Program:
Gene Symbol | TF Rank | DNA Binding Domain | Motif Status | IUPAC PWM | GTEx | DepMap | Decartes |
---|---|---|---|---|---|---|---|
SOX9 | 27 | Yes | Known motif | Monomer or homomultimer | High-throughput in vitro | None | Also binds ssDNA loops. |
PLAGL1 | 35 | Yes | Known motif | Monomer or homomultimer | In vivo/Misc source | Only known motifs are from Transfac or HocoMoco - origin is uncertain | None |
WWP2 | 37 | No | Unlikely to be sequence specific TF | Not a DNA binding protein | No motif | None | None |
KLF2 | 40 | Yes | Known motif | Monomer or homomultimer | High-throughput in vitro | None | None |
PEG3 | 42 | Yes | Likely to be sequence specific TF | Monomer or homomultimer | No motif | None | SCAN C2H2 ZF Protein. |
CYTL1 | 44 | No | Unlikely to be sequence specific TF | Not a DNA binding protein | No motif | None | None |
FOXA3 | 46 | Yes | Known motif | Monomer or homomultimer | High-throughput in vitro | None | None |
SP7 | 62 | Yes | Known motif | Monomer or homomultimer | In vivo/Misc source | Only known motifs are from Transfac or HocoMoco - origin is uncertain | None |
FOXA2 | 67 | Yes | Known motif | Monomer or homomultimer | High-throughput in vitro | None | None |
VDR | 89 | Yes | Known motif | Monomer or homomultimer | High-throughput in vitro | None | None |
SOX5 | 90 | Yes | Known motif | Monomer or homomultimer | High-throughput in vitro | None | None |
RUNX3 | 106 | Yes | Known motif | Monomer or homomultimer | High-throughput in vitro | None | None |
SNAI1 | 107 | Yes | Known motif | Monomer or homomultimer | High-throughput in vitro | None | None |
RUNX2 | 117 | Yes | Known motif | Monomer or homomultimer | High-throughput in vitro | None | None |
SORBS2 | 122 | No | Unlikely to be sequence specific TF | Not a DNA binding protein | No motif | None | None |
MEF2C | 125 | Yes | Known motif | Monomer or homomultimer | High-throughput in vitro | None | None |
KLF4 | 126 | Yes | Known motif | Monomer or homomultimer | High-throughput in vitro | None | None |
MBNL2 | 136 | Yes | Likely to be sequence specific TF | Monomer or homomultimer | High-throughput in vitro | None | Has methylated and unmethylated HT-SELEX motifs, despite this family largely binding RNA exclusively (PMID: 28473536 ) |
NFATC2 | 139 | Yes | Known motif | Monomer or homomultimer | High-throughput in vitro | None | PDB:1A02 has NFAT, Fos and Jun trimeric complex with non-consensus bZIP target site |
ID1 | 151 | No | Unlikely to be sequence specific TF | Not a DNA binding protein | No motif | None | ID bHLH proteins lack the basic region and should not be able to bind DNA. The HT-SELEX motif for ID4 is likely by a co-precipitated protein or it is a contamination |
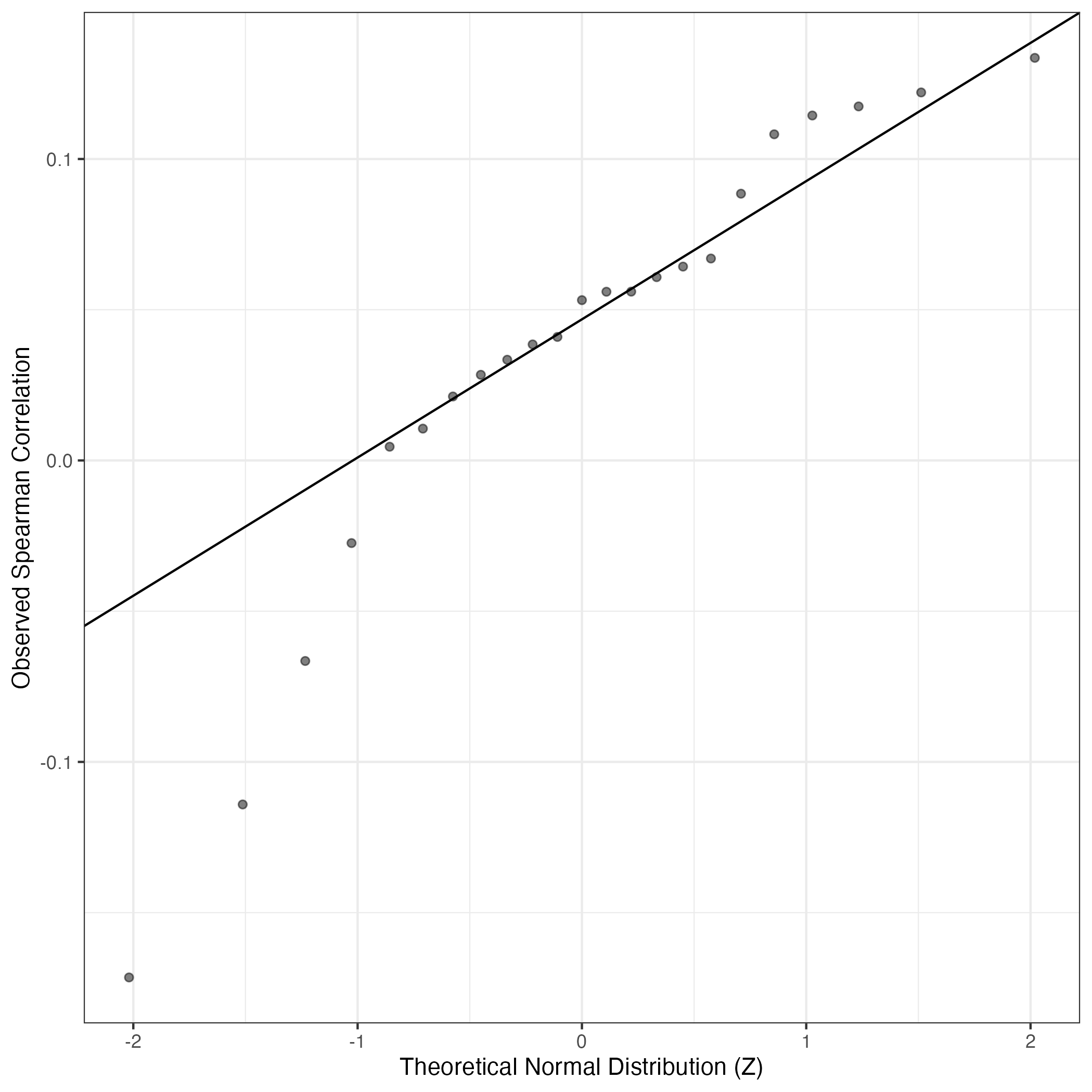
QQ Plot showing correlations with other GEPs in this dataset, calculated by Spearman correlation:
Interactive QQ-plot of gene loadings:
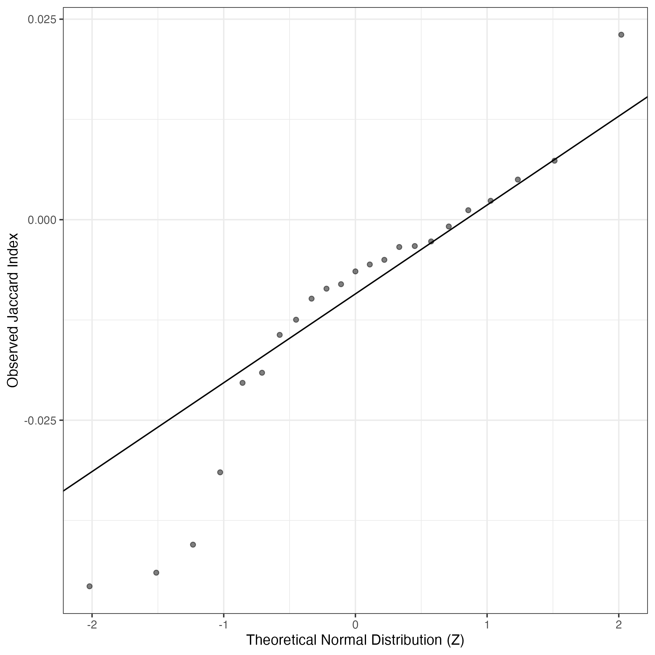
A similar QQ-plot as above, but only for instances where the H value is e.g. > 25, i.e. we are confident that the expression program is active above noise. Agreemenet between these binary vectors is tested using the Jaccard Index, with the P-values calculated by an exact test:
Interactive QQ-plot:
Singler cell type annotations for the top 50 cells on this program.
Cell ID | Singler label | Singler Delta | Activity Score | Top Singler Raw Scores |
---|---|---|---|---|
X72_CCTTGTGGTGGGATTG | Neuroepithelial_cell:ESC-derived | 0.40 | 1420.94 | Raw ScoresNeuroepithelial_cell:ESC-derived: 0.54, Neurons:ES_cell-derived_neural_precursor: 0.54, Chondrocytes:MSC-derived: 0.5, iPS_cells:CRL2097_foreskin-derived:d20_hepatic_diff: 0.48, MSC: 0.47, Neurons:adrenal_medulla_cell_line: 0.46, Embryonic_stem_cells: 0.45, iPS_cells:adipose_stem_cells: 0.44, Gametocytes:oocyte: 0.44, Astrocyte:Embryonic_stem_cell-derived: 0.43 |
X72_AAGAACACAGGACTAG | Neuroepithelial_cell:ESC-derived | 0.33 | 1290.54 | Raw ScoresNeuroepithelial_cell:ESC-derived: 0.68, Neurons:ES_cell-derived_neural_precursor: 0.68, MSC: 0.65, Chondrocytes:MSC-derived: 0.64, Gametocytes:oocyte: 0.62, iPS_cells:CRL2097_foreskin-derived:d20_hepatic_diff: 0.6, iPS_cells:PDB_2lox-17: 0.59, Erythroblast: 0.58, Embryonic_stem_cells: 0.57, Neurons:adrenal_medulla_cell_line: 0.55 |
X72_GGGTTTACAGCTAACT | Neuroepithelial_cell:ESC-derived | 0.40 | 1282.44 | Raw ScoresNeuroepithelial_cell:ESC-derived: 0.54, Neurons:ES_cell-derived_neural_precursor: 0.54, Chondrocytes:MSC-derived: 0.5, iPS_cells:CRL2097_foreskin-derived:d20_hepatic_diff: 0.48, MSC: 0.47, Neurons:adrenal_medulla_cell_line: 0.46, Embryonic_stem_cells: 0.45, iPS_cells:adipose_stem_cells: 0.44, Gametocytes:oocyte: 0.44, Astrocyte:Embryonic_stem_cell-derived: 0.43 |
X72_TATCCTAGTCTGTGCG | Neuroepithelial_cell:ESC-derived | 0.40 | 1146.49 | Raw ScoresNeuroepithelial_cell:ESC-derived: 0.54, Neurons:ES_cell-derived_neural_precursor: 0.54, Chondrocytes:MSC-derived: 0.5, iPS_cells:CRL2097_foreskin-derived:d20_hepatic_diff: 0.48, MSC: 0.47, Neurons:adrenal_medulla_cell_line: 0.46, Embryonic_stem_cells: 0.45, iPS_cells:adipose_stem_cells: 0.44, Gametocytes:oocyte: 0.44, Astrocyte:Embryonic_stem_cell-derived: 0.43 |
X72_GGAATCTAGAGTATAC | Neuroepithelial_cell:ESC-derived | 0.40 | 1028.41 | Raw ScoresNeuroepithelial_cell:ESC-derived: 0.54, Neurons:ES_cell-derived_neural_precursor: 0.54, Chondrocytes:MSC-derived: 0.5, iPS_cells:CRL2097_foreskin-derived:d20_hepatic_diff: 0.48, MSC: 0.47, Neurons:adrenal_medulla_cell_line: 0.46, Embryonic_stem_cells: 0.45, iPS_cells:adipose_stem_cells: 0.44, Gametocytes:oocyte: 0.44, Astrocyte:Embryonic_stem_cell-derived: 0.43 |
X72_GAGTGAGGTTTCGTAG | Keratinocytes:KGF | 0.48 | 1026.78 | Raw ScoresNeuroepithelial_cell:ESC-derived: 0.42, Keratinocytes:KGF: 0.42, Neurons:ES_cell-derived_neural_precursor: 0.42, Neurons:adrenal_medulla_cell_line: 0.42, iPS_cells:CRL2097_foreskin-derived:d20_hepatic_diff: 0.42, iPS_cells:adipose_stem_cells: 0.42, Chondrocytes:MSC-derived: 0.42, iPS_cells:fibroblast-derived:Direct_del._reprog: 0.41, Erythroblast: 0.4, Gametocytes:oocyte: 0.4 |
X71_GAGGGATGTGAGTTGG | Keratinocytes:KGF | 0.46 | 984.46 | Raw ScoresKeratinocytes:KGF: 0.58, iPS_cells:CRL2097_foreskin-derived:d20_hepatic_diff: 0.58, iPS_cells:adipose_stem_cells: 0.58, iPS_cells:fibroblast-derived:Direct_del._reprog: 0.57, Keratinocytes: 0.57, Keratinocytes:IFNg: 0.57, Keratinocytes:IL19: 0.57, Keratinocytes:IL1b: 0.57, Keratinocytes:IL20: 0.57, Keratinocytes:IL22: 0.57 |
X72_GAACACTTCCCGAAAT | Keratinocytes:KGF | 0.48 | 955.56 | Raw ScoresNeuroepithelial_cell:ESC-derived: 0.42, Keratinocytes:KGF: 0.42, Neurons:ES_cell-derived_neural_precursor: 0.42, Neurons:adrenal_medulla_cell_line: 0.42, iPS_cells:CRL2097_foreskin-derived:d20_hepatic_diff: 0.42, iPS_cells:adipose_stem_cells: 0.42, Chondrocytes:MSC-derived: 0.42, iPS_cells:fibroblast-derived:Direct_del._reprog: 0.41, Erythroblast: 0.4, Gametocytes:oocyte: 0.4 |
X72_GATCACACATTCACAG | Neuroepithelial_cell:ESC-derived | 0.40 | 903.56 | Raw ScoresNeuroepithelial_cell:ESC-derived: 0.54, Neurons:ES_cell-derived_neural_precursor: 0.54, Chondrocytes:MSC-derived: 0.5, iPS_cells:CRL2097_foreskin-derived:d20_hepatic_diff: 0.48, MSC: 0.47, Neurons:adrenal_medulla_cell_line: 0.46, Embryonic_stem_cells: 0.45, iPS_cells:adipose_stem_cells: 0.44, Gametocytes:oocyte: 0.44, Astrocyte:Embryonic_stem_cell-derived: 0.43 |
X71_TGACTCCCACTCTAGA | Neuroepithelial_cell:ESC-derived | 0.40 | 902.03 | Raw ScoresNeuroepithelial_cell:ESC-derived: 0.54, Neurons:ES_cell-derived_neural_precursor: 0.54, Chondrocytes:MSC-derived: 0.5, iPS_cells:CRL2097_foreskin-derived:d20_hepatic_diff: 0.48, MSC: 0.47, Neurons:adrenal_medulla_cell_line: 0.46, Embryonic_stem_cells: 0.45, iPS_cells:adipose_stem_cells: 0.44, Gametocytes:oocyte: 0.44, Astrocyte:Embryonic_stem_cell-derived: 0.43 |
X71_CTGCATCCACCATAAC | Neuroepithelial_cell:ESC-derived | 0.33 | 901.00 | Raw ScoresNeuroepithelial_cell:ESC-derived: 0.68, Neurons:ES_cell-derived_neural_precursor: 0.68, MSC: 0.65, Chondrocytes:MSC-derived: 0.64, Gametocytes:oocyte: 0.62, iPS_cells:CRL2097_foreskin-derived:d20_hepatic_diff: 0.6, iPS_cells:PDB_2lox-17: 0.59, Erythroblast: 0.58, Embryonic_stem_cells: 0.57, Neurons:adrenal_medulla_cell_line: 0.55 |
X72_TATTGCTCAACGTAAA | Keratinocytes:KGF | 0.48 | 867.43 | Raw ScoresNeuroepithelial_cell:ESC-derived: 0.42, Keratinocytes:KGF: 0.42, Neurons:ES_cell-derived_neural_precursor: 0.42, Neurons:adrenal_medulla_cell_line: 0.42, iPS_cells:CRL2097_foreskin-derived:d20_hepatic_diff: 0.42, iPS_cells:adipose_stem_cells: 0.42, Chondrocytes:MSC-derived: 0.42, iPS_cells:fibroblast-derived:Direct_del._reprog: 0.41, Erythroblast: 0.4, Gametocytes:oocyte: 0.4 |
X72_TTGTTCAGTTGTAAAG | Neuroepithelial_cell:ESC-derived | 0.40 | 867.20 | Raw ScoresNeuroepithelial_cell:ESC-derived: 0.54, Neurons:ES_cell-derived_neural_precursor: 0.54, Chondrocytes:MSC-derived: 0.5, iPS_cells:CRL2097_foreskin-derived:d20_hepatic_diff: 0.48, MSC: 0.47, Neurons:adrenal_medulla_cell_line: 0.46, Embryonic_stem_cells: 0.45, iPS_cells:adipose_stem_cells: 0.44, Gametocytes:oocyte: 0.44, Astrocyte:Embryonic_stem_cell-derived: 0.43 |
X72_TTCACGCGTCACGTGC | Neuroepithelial_cell:ESC-derived | 0.40 | 844.95 | Raw ScoresNeuroepithelial_cell:ESC-derived: 0.54, Neurons:ES_cell-derived_neural_precursor: 0.54, Chondrocytes:MSC-derived: 0.5, iPS_cells:CRL2097_foreskin-derived:d20_hepatic_diff: 0.48, MSC: 0.47, Neurons:adrenal_medulla_cell_line: 0.46, Embryonic_stem_cells: 0.45, iPS_cells:adipose_stem_cells: 0.44, Gametocytes:oocyte: 0.44, Astrocyte:Embryonic_stem_cell-derived: 0.43 |
X72_TCCTGCAAGCCAAGCA | iPS_cells:adipose_stem_cells | 0.45 | 844.09 | Raw ScoresChondrocytes:MSC-derived: 0.54, iPS_cells:adipose_stem_cells: 0.54, Fibroblasts:breast: 0.49, Smooth_muscle_cells:bronchial:vit_D: 0.46, Smooth_muscle_cells:bronchial: 0.46, Smooth_muscle_cells:vascular: 0.37, Tissue_stem_cells:BM_MSC:TGFb3: 0.36, MSC: 0.36, Osteoblasts: 0.35, Neurons:ES_cell-derived_neural_precursor: 0.35 |
X71_TTCTTGAGTGGCGCTT | Keratinocytes:KGF | 0.48 | 829.81 | Raw ScoresNeuroepithelial_cell:ESC-derived: 0.42, Keratinocytes:KGF: 0.42, Neurons:ES_cell-derived_neural_precursor: 0.42, Neurons:adrenal_medulla_cell_line: 0.42, iPS_cells:CRL2097_foreskin-derived:d20_hepatic_diff: 0.42, iPS_cells:adipose_stem_cells: 0.42, Chondrocytes:MSC-derived: 0.42, iPS_cells:fibroblast-derived:Direct_del._reprog: 0.41, Erythroblast: 0.4, Gametocytes:oocyte: 0.4 |
X71_GTACAGTTCCCATTCG | iPS_cells:CRL2097_foreskin-derived:d20_hepatic_diff | 0.40 | 826.40 | Raw ScoresiPS_cells:CRL2097_foreskin-derived:d20_hepatic_diff: 0.68, Neurons:ES_cell-derived_neural_precursor: 0.68, iPS_cells:adipose_stem_cells: 0.65, Keratinocytes:KGF: 0.65, Neuroepithelial_cell:ESC-derived: 0.65, iPS_cells:fibroblast-derived:Direct_del._reprog: 0.65, Embryonic_stem_cells: 0.64, Fibroblasts:breast: 0.64, Keratinocytes: 0.64, Keratinocytes:IL19: 0.64 |
X71_TGTTCCGAGTCCGCCA | Keratinocytes:KGF | 0.48 | 822.84 | Raw ScoresNeuroepithelial_cell:ESC-derived: 0.42, Keratinocytes:KGF: 0.42, Neurons:ES_cell-derived_neural_precursor: 0.42, Neurons:adrenal_medulla_cell_line: 0.42, iPS_cells:CRL2097_foreskin-derived:d20_hepatic_diff: 0.42, iPS_cells:adipose_stem_cells: 0.42, Chondrocytes:MSC-derived: 0.42, iPS_cells:fibroblast-derived:Direct_del._reprog: 0.41, Erythroblast: 0.4, Gametocytes:oocyte: 0.4 |
X71_CAGCGTGTCTTTCAGT | Keratinocytes:KGF | 0.48 | 791.78 | Raw ScoresNeuroepithelial_cell:ESC-derived: 0.42, Keratinocytes:KGF: 0.42, Neurons:ES_cell-derived_neural_precursor: 0.42, Neurons:adrenal_medulla_cell_line: 0.42, iPS_cells:CRL2097_foreskin-derived:d20_hepatic_diff: 0.42, iPS_cells:adipose_stem_cells: 0.42, Chondrocytes:MSC-derived: 0.42, iPS_cells:fibroblast-derived:Direct_del._reprog: 0.41, Erythroblast: 0.4, Gametocytes:oocyte: 0.4 |
X72_CAATGACTCAGACATC | Neuroepithelial_cell:ESC-derived | 0.33 | 766.47 | Raw ScoresNeuroepithelial_cell:ESC-derived: 0.68, Neurons:ES_cell-derived_neural_precursor: 0.68, MSC: 0.65, Chondrocytes:MSC-derived: 0.64, Gametocytes:oocyte: 0.63, iPS_cells:CRL2097_foreskin-derived:d20_hepatic_diff: 0.6, iPS_cells:PDB_2lox-17: 0.59, Erythroblast: 0.59, Embryonic_stem_cells: 0.58, Neurons:adrenal_medulla_cell_line: 0.55 |
X72_ACTCTCGGTTAAACAG | Neuroepithelial_cell:ESC-derived | 0.40 | 756.75 | Raw ScoresNeuroepithelial_cell:ESC-derived: 0.54, Neurons:ES_cell-derived_neural_precursor: 0.54, Chondrocytes:MSC-derived: 0.5, iPS_cells:CRL2097_foreskin-derived:d20_hepatic_diff: 0.48, MSC: 0.47, Neurons:adrenal_medulla_cell_line: 0.46, Embryonic_stem_cells: 0.45, iPS_cells:adipose_stem_cells: 0.44, Gametocytes:oocyte: 0.44, Astrocyte:Embryonic_stem_cell-derived: 0.43 |
X71_GTTCATTCATCCGAAT | Keratinocytes:KGF | 0.48 | 754.60 | Raw ScoresNeuroepithelial_cell:ESC-derived: 0.42, Keratinocytes:KGF: 0.42, Neurons:ES_cell-derived_neural_precursor: 0.42, Neurons:adrenal_medulla_cell_line: 0.42, iPS_cells:CRL2097_foreskin-derived:d20_hepatic_diff: 0.42, iPS_cells:adipose_stem_cells: 0.42, Chondrocytes:MSC-derived: 0.42, iPS_cells:fibroblast-derived:Direct_del._reprog: 0.41, Erythroblast: 0.4, Gametocytes:oocyte: 0.4 |
X71_AGGAAATCATCGTGCG | Keratinocytes:KGF | 0.48 | 744.97 | Raw ScoresNeuroepithelial_cell:ESC-derived: 0.42, Keratinocytes:KGF: 0.42, Neurons:ES_cell-derived_neural_precursor: 0.42, Neurons:adrenal_medulla_cell_line: 0.42, iPS_cells:CRL2097_foreskin-derived:d20_hepatic_diff: 0.42, iPS_cells:adipose_stem_cells: 0.42, Chondrocytes:MSC-derived: 0.42, iPS_cells:fibroblast-derived:Direct_del._reprog: 0.41, Erythroblast: 0.4, Gametocytes:oocyte: 0.4 |
X71_AGCCAGCAGGGAGTTC | Neuroepithelial_cell:ESC-derived | 0.35 | 712.08 | Raw ScoresNeuroepithelial_cell:ESC-derived: 0.58, Neurons:ES_cell-derived_neural_precursor: 0.58, Erythroblast: 0.57, Gametocytes:oocyte: 0.57, MSC: 0.57, Chondrocytes:MSC-derived: 0.54, iPS_cells:CRL2097_foreskin-derived:d20_hepatic_diff: 0.54, Keratinocytes:KGF: 0.5, Neurons:adrenal_medulla_cell_line: 0.5, iPS_cells:adipose_stem_cells: 0.5 |
X71_GTTGCTCTCTTTGCGC | Neuroepithelial_cell:ESC-derived | 0.40 | 706.92 | Raw ScoresNeuroepithelial_cell:ESC-derived: 0.54, Neurons:ES_cell-derived_neural_precursor: 0.54, Chondrocytes:MSC-derived: 0.5, iPS_cells:CRL2097_foreskin-derived:d20_hepatic_diff: 0.48, MSC: 0.47, Neurons:adrenal_medulla_cell_line: 0.46, Embryonic_stem_cells: 0.45, iPS_cells:adipose_stem_cells: 0.44, Gametocytes:oocyte: 0.44, Astrocyte:Embryonic_stem_cell-derived: 0.43 |
X72_CATTCCGTCACCCTTG | Neuroepithelial_cell:ESC-derived | 0.35 | 705.81 | Raw ScoresNeuroepithelial_cell:ESC-derived: 0.58, Neurons:ES_cell-derived_neural_precursor: 0.58, Erythroblast: 0.57, Gametocytes:oocyte: 0.57, MSC: 0.57, Chondrocytes:MSC-derived: 0.54, iPS_cells:CRL2097_foreskin-derived:d20_hepatic_diff: 0.54, Keratinocytes:KGF: 0.5, Neurons:adrenal_medulla_cell_line: 0.5, iPS_cells:adipose_stem_cells: 0.5 |
X71_GTCACGGAGGTGATCG | Keratinocytes:KGF | 0.48 | 697.18 | Raw ScoresNeuroepithelial_cell:ESC-derived: 0.42, Keratinocytes:KGF: 0.42, Neurons:ES_cell-derived_neural_precursor: 0.42, Neurons:adrenal_medulla_cell_line: 0.42, iPS_cells:CRL2097_foreskin-derived:d20_hepatic_diff: 0.42, iPS_cells:adipose_stem_cells: 0.42, Chondrocytes:MSC-derived: 0.42, iPS_cells:fibroblast-derived:Direct_del._reprog: 0.41, Erythroblast: 0.4, Gametocytes:oocyte: 0.4 |
X72_TTGTTTGGTTGCTCGG | iPS_cells:CRL2097_foreskin-derived:d20_hepatic_diff | 0.41 | 696.59 | Raw ScoresiPS_cells:CRL2097_foreskin-derived:d20_hepatic_diff: 0.64, Neuroepithelial_cell:ESC-derived: 0.62, Neurons:ES_cell-derived_neural_precursor: 0.62, Astrocyte:Embryonic_stem_cell-derived: 0.61, Embryonic_stem_cells: 0.61, Fibroblasts:breast: 0.61, Keratinocytes: 0.61, Keratinocytes:IL26: 0.61, iPS_cells:adipose_stem_cells: 0.6, Keratinocytes:KGF: 0.58 |
X72_GTGTCCTAGCTAGATA | Keratinocytes:KGF | 0.48 | 692.14 | Raw ScoresNeuroepithelial_cell:ESC-derived: 0.42, Keratinocytes:KGF: 0.42, Neurons:ES_cell-derived_neural_precursor: 0.42, Neurons:adrenal_medulla_cell_line: 0.42, iPS_cells:CRL2097_foreskin-derived:d20_hepatic_diff: 0.42, iPS_cells:adipose_stem_cells: 0.42, Chondrocytes:MSC-derived: 0.42, iPS_cells:fibroblast-derived:Direct_del._reprog: 0.41, Erythroblast: 0.4, Gametocytes:oocyte: 0.4 |
X71_AATGCCACACGTGTGC | Neuroepithelial_cell:ESC-derived | 0.35 | 684.02 | Raw ScoresNeuroepithelial_cell:ESC-derived: 0.58, Neurons:ES_cell-derived_neural_precursor: 0.58, Erythroblast: 0.57, Gametocytes:oocyte: 0.57, MSC: 0.57, Chondrocytes:MSC-derived: 0.54, iPS_cells:CRL2097_foreskin-derived:d20_hepatic_diff: 0.54, Keratinocytes:KGF: 0.5, Neurons:adrenal_medulla_cell_line: 0.5, iPS_cells:adipose_stem_cells: 0.5 |
X71_AAACGCTGTTTACTGG | Keratinocytes:KGF | 0.48 | 679.86 | Raw ScoresNeuroepithelial_cell:ESC-derived: 0.42, Keratinocytes:KGF: 0.42, Neurons:ES_cell-derived_neural_precursor: 0.42, Neurons:adrenal_medulla_cell_line: 0.42, iPS_cells:CRL2097_foreskin-derived:d20_hepatic_diff: 0.42, iPS_cells:adipose_stem_cells: 0.42, Chondrocytes:MSC-derived: 0.42, iPS_cells:fibroblast-derived:Direct_del._reprog: 0.41, Erythroblast: 0.4, Gametocytes:oocyte: 0.4 |
X72_ACCTGTCTCAGTGATC | Neuroepithelial_cell:ESC-derived | 0.35 | 673.21 | Raw ScoresNeuroepithelial_cell:ESC-derived: 0.58, Neurons:ES_cell-derived_neural_precursor: 0.58, Erythroblast: 0.57, Gametocytes:oocyte: 0.57, MSC: 0.57, Chondrocytes:MSC-derived: 0.54, iPS_cells:CRL2097_foreskin-derived:d20_hepatic_diff: 0.54, Keratinocytes:KGF: 0.5, Neurons:adrenal_medulla_cell_line: 0.5, iPS_cells:adipose_stem_cells: 0.5 |
X71_GAAGCCCTCTTGGTGA | Neuroepithelial_cell:ESC-derived | 0.33 | 664.51 | Raw ScoresNeuroepithelial_cell:ESC-derived: 0.68, Neurons:ES_cell-derived_neural_precursor: 0.68, MSC: 0.65, Chondrocytes:MSC-derived: 0.64, Gametocytes:oocyte: 0.62, iPS_cells:CRL2097_foreskin-derived:d20_hepatic_diff: 0.6, iPS_cells:PDB_2lox-17: 0.59, Erythroblast: 0.58, Embryonic_stem_cells: 0.57, Neurons:adrenal_medulla_cell_line: 0.55 |
X71_TCTTTGAAGCAGCACA | iPS_cells:adipose_stem_cells | 0.41 | 646.43 | Raw ScoresiPS_cells:adipose_stem_cells: 0.75, Fibroblasts:breast: 0.74, Chondrocytes:MSC-derived: 0.68, Neurons:ES_cell-derived_neural_precursor: 0.65, MSC: 0.63, Tissue_stem_cells:BM_MSC:TGFb3: 0.63, Smooth_muscle_cells:vascular: 0.63, Smooth_muscle_cells:vascular:IL-17: 0.61, Neuroepithelial_cell:ESC-derived: 0.6, Embryonic_stem_cells: 0.59 |
X72_TCCTTTCTCGGCTTCT | Neuroepithelial_cell:ESC-derived | 0.40 | 640.67 | Raw ScoresNeuroepithelial_cell:ESC-derived: 0.54, Neurons:ES_cell-derived_neural_precursor: 0.54, Chondrocytes:MSC-derived: 0.5, iPS_cells:CRL2097_foreskin-derived:d20_hepatic_diff: 0.48, MSC: 0.47, Neurons:adrenal_medulla_cell_line: 0.46, Embryonic_stem_cells: 0.45, iPS_cells:adipose_stem_cells: 0.44, Gametocytes:oocyte: 0.44, Astrocyte:Embryonic_stem_cell-derived: 0.43 |
X71_TTACGCCCATACTGTG | Neurons:ES_cell-derived_neural_precursor | 0.33 | 630.17 | Raw ScoresNeuroepithelial_cell:ESC-derived: 0.68, Neurons:ES_cell-derived_neural_precursor: 0.68, MSC: 0.64, Chondrocytes:MSC-derived: 0.63, Gametocytes:oocyte: 0.62, iPS_cells:CRL2097_foreskin-derived:d20_hepatic_diff: 0.6, iPS_cells:PDB_2lox-17: 0.59, Erythroblast: 0.57, Embryonic_stem_cells: 0.57, iPS_cells:PDB_1lox-17Puro-10: 0.55 |
X71_AACAACCAGTCACGAG | Neuroepithelial_cell:ESC-derived | 0.33 | 626.69 | Raw ScoresNeuroepithelial_cell:ESC-derived: 0.68, Neurons:ES_cell-derived_neural_precursor: 0.68, MSC: 0.65, Chondrocytes:MSC-derived: 0.64, Gametocytes:oocyte: 0.63, iPS_cells:CRL2097_foreskin-derived:d20_hepatic_diff: 0.6, iPS_cells:PDB_2lox-17: 0.59, Erythroblast: 0.59, Embryonic_stem_cells: 0.58, Neurons:adrenal_medulla_cell_line: 0.55 |
X72_ACTTCCGCAGTGACCC | Keratinocytes:KGF | 0.48 | 622.45 | Raw ScoresNeuroepithelial_cell:ESC-derived: 0.42, Keratinocytes:KGF: 0.42, Neurons:ES_cell-derived_neural_precursor: 0.42, Neurons:adrenal_medulla_cell_line: 0.42, iPS_cells:CRL2097_foreskin-derived:d20_hepatic_diff: 0.42, iPS_cells:adipose_stem_cells: 0.42, Chondrocytes:MSC-derived: 0.42, iPS_cells:fibroblast-derived:Direct_del._reprog: 0.41, Erythroblast: 0.4, Gametocytes:oocyte: 0.4 |
X72_CTGCTCAAGTATGGAT | Keratinocytes:KGF | 0.48 | 607.71 | Raw ScoresNeuroepithelial_cell:ESC-derived: 0.42, Keratinocytes:KGF: 0.42, Neurons:ES_cell-derived_neural_precursor: 0.42, Neurons:adrenal_medulla_cell_line: 0.42, iPS_cells:CRL2097_foreskin-derived:d20_hepatic_diff: 0.42, iPS_cells:adipose_stem_cells: 0.42, Chondrocytes:MSC-derived: 0.42, iPS_cells:fibroblast-derived:Direct_del._reprog: 0.41, Erythroblast: 0.4, Gametocytes:oocyte: 0.4 |
X72_TTGATGGTCCTCAGGG | Neuroepithelial_cell:ESC-derived | 0.40 | 605.88 | Raw ScoresNeuroepithelial_cell:ESC-derived: 0.54, Neurons:ES_cell-derived_neural_precursor: 0.54, Chondrocytes:MSC-derived: 0.5, iPS_cells:CRL2097_foreskin-derived:d20_hepatic_diff: 0.48, MSC: 0.47, Neurons:adrenal_medulla_cell_line: 0.46, Embryonic_stem_cells: 0.45, iPS_cells:adipose_stem_cells: 0.44, Gametocytes:oocyte: 0.44, Astrocyte:Embryonic_stem_cell-derived: 0.43 |
X72_TGAGACTAGCTGACCC | Neuroepithelial_cell:ESC-derived | 0.37 | 604.84 | Raw ScoresNeuroepithelial_cell:ESC-derived: 0.76, Neurons:ES_cell-derived_neural_precursor: 0.76, iPS_cells:CRL2097_foreskin-derived:d20_hepatic_diff: 0.74, MSC: 0.74, Embryonic_stem_cells: 0.72, Keratinocytes: 0.68, Fibroblasts:breast: 0.68, Keratinocytes:IL26: 0.68, iPS_cells:adipose_stem_cells: 0.68, Chondrocytes:MSC-derived: 0.66 |
X72_GAGACTTCACTGTCGG | Keratinocytes:KGF | 0.48 | 604.16 | Raw ScoresNeuroepithelial_cell:ESC-derived: 0.42, Keratinocytes:KGF: 0.42, Neurons:ES_cell-derived_neural_precursor: 0.42, Neurons:adrenal_medulla_cell_line: 0.42, iPS_cells:CRL2097_foreskin-derived:d20_hepatic_diff: 0.42, iPS_cells:adipose_stem_cells: 0.42, Chondrocytes:MSC-derived: 0.42, iPS_cells:fibroblast-derived:Direct_del._reprog: 0.41, Erythroblast: 0.4, Gametocytes:oocyte: 0.4 |
X71_GTTCGCTCAGTAGTGG | Keratinocytes:KGF | 0.46 | 594.37 | Raw ScoresKeratinocytes:KGF: 0.58, iPS_cells:CRL2097_foreskin-derived:d20_hepatic_diff: 0.58, iPS_cells:adipose_stem_cells: 0.58, iPS_cells:fibroblast-derived:Direct_del._reprog: 0.57, Keratinocytes: 0.57, Keratinocytes:IFNg: 0.57, Keratinocytes:IL19: 0.57, Keratinocytes:IL1b: 0.57, Keratinocytes:IL20: 0.57, Keratinocytes:IL22: 0.57 |
X71_AGATCCATCGTTCAGA | Neuroepithelial_cell:ESC-derived | 0.35 | 590.90 | Raw ScoresNeuroepithelial_cell:ESC-derived: 0.58, Neurons:ES_cell-derived_neural_precursor: 0.58, Erythroblast: 0.57, Gametocytes:oocyte: 0.57, MSC: 0.57, Chondrocytes:MSC-derived: 0.54, iPS_cells:CRL2097_foreskin-derived:d20_hepatic_diff: 0.54, Keratinocytes:KGF: 0.5, Neurons:adrenal_medulla_cell_line: 0.5, iPS_cells:adipose_stem_cells: 0.5 |
X71_ATACCGATCGACATAC | DC:monocyte-derived:immature | 0.32 | 577.59 | Raw ScoresDC:monocyte-derived:immature: 0.27, Chondrocytes:MSC-derived: 0.27, Keratinocytes:KGF: 0.27, Neuroepithelial_cell:ESC-derived: 0.27, Neurons:ES_cell-derived_neural_precursor: 0.27, Erythroblast: 0.27, Fibroblasts:breast: 0.26, Keratinocytes: 0.26, iPS_cells:fibroblast-derived:Direct_del._reprog: 0.26, Keratinocytes:IFNg: 0.26 |
X71_TGTTCATTCACTGCTC | Keratinocytes:KGF | 0.46 | 576.08 | Raw ScoresKeratinocytes:KGF: 0.58, iPS_cells:CRL2097_foreskin-derived:d20_hepatic_diff: 0.58, iPS_cells:adipose_stem_cells: 0.58, iPS_cells:fibroblast-derived:Direct_del._reprog: 0.57, Keratinocytes: 0.57, Keratinocytes:IFNg: 0.57, Keratinocytes:IL19: 0.57, Keratinocytes:IL1b: 0.57, Keratinocytes:IL20: 0.57, Keratinocytes:IL22: 0.57 |
X72_AGCCACGGTCTGTAAC | Keratinocytes:KGF | 0.48 | 575.88 | Raw ScoresNeuroepithelial_cell:ESC-derived: 0.42, Keratinocytes:KGF: 0.42, Neurons:ES_cell-derived_neural_precursor: 0.42, Neurons:adrenal_medulla_cell_line: 0.42, iPS_cells:CRL2097_foreskin-derived:d20_hepatic_diff: 0.42, iPS_cells:adipose_stem_cells: 0.42, Chondrocytes:MSC-derived: 0.42, iPS_cells:fibroblast-derived:Direct_del._reprog: 0.41, Erythroblast: 0.4, Gametocytes:oocyte: 0.4 |
X71_TGATTCTAGGTGAGCT | iPS_cells:CRL2097_foreskin-derived:d20_hepatic_diff | 0.40 | 572.70 | Raw ScoresiPS_cells:CRL2097_foreskin-derived:d20_hepatic_diff: 0.68, Neurons:ES_cell-derived_neural_precursor: 0.68, iPS_cells:adipose_stem_cells: 0.65, Keratinocytes:KGF: 0.65, Neuroepithelial_cell:ESC-derived: 0.65, iPS_cells:fibroblast-derived:Direct_del._reprog: 0.65, Embryonic_stem_cells: 0.64, Fibroblasts:breast: 0.64, Keratinocytes: 0.64, Keratinocytes:IL19: 0.64 |
X72_ATCGTCCCAAGCAGGT | Neuroepithelial_cell:ESC-derived | 0.33 | 571.65 | Raw ScoresNeuroepithelial_cell:ESC-derived: 0.69, Neurons:ES_cell-derived_neural_precursor: 0.66, MSC: 0.65, Keratinocytes:IL26: 0.64, Keratinocytes: 0.64, iPS_cells:CRL2097_foreskin-derived:d20_hepatic_diff: 0.62, Astrocyte:Embryonic_stem_cell-derived: 0.62, Embryonic_stem_cells: 0.61, Keratinocytes:IFNg: 0.61, Keratinocytes:IL20: 0.61 |
X72_GGTCTGGCAATGTCAC | Neurons:ES_cell-derived_neural_precursor | 0.33 | 569.06 | Raw ScoresNeuroepithelial_cell:ESC-derived: 0.68, Neurons:ES_cell-derived_neural_precursor: 0.68, MSC: 0.64, Chondrocytes:MSC-derived: 0.63, Gametocytes:oocyte: 0.62, iPS_cells:CRL2097_foreskin-derived:d20_hepatic_diff: 0.6, iPS_cells:PDB_2lox-17: 0.59, Erythroblast: 0.57, Embryonic_stem_cells: 0.57, iPS_cells:PDB_1lox-17Puro-10: 0.55 |
Below shows the significant enrichments of this GEP for literature curated gene lists
This data was procured from existing single cell RNA-seq maps of neuroblastoma or related relevant data.
High ranks indicate this gene is a driver of this GEP.
These curated gene list are ranked by the P-value (on this GEP) of their constituent genes.
The Mean Count column shows the mean read count in cells scoring highly (H > 50) on this gene expression program.
Genes | Weight | Rank | GTEx | DepMap | Decartes | Mean.Counts | Mean.TPM |
---|---|---|---|---|---|---|---|
JUNB | 0.0019238 | 197 | GTEx | DepMap | Descartes | 6.27 | 528.76 |
FOS | 0.0011705 | 395 | GTEx | DepMap | Descartes | 23.95 | 2667.65 |
JUN | 0.0009679 | 528 | GTEx | DepMap | Descartes | 10.80 | 1312.34 |
p53 Dependent Senescence (Kinker)
These marker genes were obtained in a pan cancer cell lines NMF analysis of scRNA-eq data in Kinker et al (PMID 33128048) - 10 metaprograms were recovered that manifest across cancers.:
Wilcoxon ranksum test P-value for gene set overrepresentation: 9.55e-03
Mean rank of genes in gene set: 418.5
Rank on gene expression program of genes in gene set:
Genes | Weight | Rank | GTEx | DepMap | Decartes | Mean.Counts | Mean.TPM |
---|---|---|---|---|---|---|---|
NEAT1 | 0.0045202 | 36 | GTEx | DepMap | Descartes | 1.57 | 36.29 |
CDKN1A | 0.0006459 | 801 | GTEx | DepMap | Descartes | 0.18 | 5.59 |
Protein maturation (Kinker)
These marker genes were obtained in a pan cancer cell lines NMF analysis of scRNA-eq data in Kinker et al (PMID 33128048) - 10 metaprograms were recovered that manifest across cancers.:
Wilcoxon ranksum test P-value for gene set overrepresentation: 1.44e-02
Mean rank of genes in gene set: 4210.2
Rank on gene expression program of genes in gene set:
Genes | Weight | Rank | GTEx | DepMap | Decartes | Mean.Counts | Mean.TPM |
---|---|---|---|---|---|---|---|
HSPA5 | 0.0020497 | 177 | GTEx | DepMap | Descartes | 14.54 | 991.03 |
RPN2 | 0.0016678 | 230 | GTEx | DepMap | Descartes | 4.12 | 30.84 |
PDIA3 | 0.0013336 | 336 | GTEx | DepMap | Descartes | 8.31 | 106.18 |
OS9 | 0.0003289 | 1449 | GTEx | DepMap | Descartes | 1.08 | 16.72 |
HSPA8 | -0.0005580 | 18859 | GTEx | DepMap | Descartes | 23.81 | 815.83 |
Below shows ranks on this GEP for literature curated gene lists for large gene sets
These include those reported as mesenchymal/adrenergic by Van Groningen et al.
High ranks indicate this gene is a driver of this GEP (note these results are not ordered).
The Mean Count column shows the mean read count in cells scoring highly (H > 50) on this gene expression program.
VanGroningen Adrenergic Genes
Adrenergic marker genes from Supplementary Table 2 of Van Groningen et al. Nature Genetics 2017. These genes were identified by differential expression analysis of mesenchymal-like and adrenergic-like neuroblastoma cell lines.
Wilcoxon ranksum test P-value for gene set overrepresentation: 1.00e+00
Mean rank of genes in gene set: 14963.48
Median rank of genes in gene set: 17262
Rank on gene expression program of top 30 genes in gene set:
Genes | Weight | Rank | GTEx | DepMap | Descartes | Mean.Counts | Mean.TPM |
---|---|---|---|---|---|---|---|
PEG3 | 0.0041501 | 42 | GTEx | DepMap | Descartes | 18.27 | 249.38 |
KLHL13 | 0.0026500 | 116 | GTEx | DepMap | Descartes | 1.64 | 4.06 |
DLK1 | 0.0023832 | 134 | GTEx | DepMap | Descartes | 15.82 | 532.02 |
GRB10 | 0.0019140 | 199 | GTEx | DepMap | Descartes | 8.74 | 27.34 |
TMEM97 | 0.0014242 | 295 | GTEx | DepMap | Descartes | 1.64 | 70.63 |
ASRGL1 | 0.0013935 | 304 | GTEx | DepMap | Descartes | 0.82 | 12.20 |
HK2 | 0.0010338 | 492 | GTEx | DepMap | Descartes | 0.53 | 4.09 |
MSI2 | 0.0010305 | 496 | GTEx | DepMap | Descartes | 1.61 | 1.22 |
SEC11C | 0.0009252 | 551 | GTEx | DepMap | Descartes | 0.71 | 13.68 |
ENDOG | 0.0009159 | 559 | GTEx | DepMap | Descartes | 0.49 | 70.18 |
LYN | 0.0008891 | 577 | GTEx | DepMap | Descartes | 0.10 | 0.21 |
DNAJB1 | 0.0006816 | 763 | GTEx | DepMap | Descartes | 1.33 | 102.99 |
PIK3R1 | 0.0005965 | 856 | GTEx | DepMap | Descartes | 1.08 | 3.40 |
ST3GAL6 | 0.0004774 | 1065 | GTEx | DepMap | Descartes | 0.24 | 1.37 |
RNF144A | 0.0004046 | 1227 | GTEx | DepMap | Descartes | 0.66 | 1.76 |
MYRIP | 0.0003236 | 1472 | GTEx | DepMap | Descartes | 0.01 | 0.02 |
CDC42EP3 | 0.0003139 | 1501 | GTEx | DepMap | Descartes | 0.90 | 11.69 |
CD200 | 0.0002997 | 1556 | GTEx | DepMap | Descartes | 0.34 | 2.79 |
BMPR1B | 0.0002858 | 1618 | GTEx | DepMap | Descartes | 0.26 | 0.23 |
FOXO3 | 0.0002627 | 1730 | GTEx | DepMap | Descartes | 0.34 | 1.07 |
CCDC167 | 0.0002107 | 2019 | GTEx | DepMap | Descartes | 0.38 | 3.94 |
MCM6 | 0.0001822 | 2220 | GTEx | DepMap | Descartes | 1.55 | 15.86 |
GGCT | 0.0001659 | 2355 | GTEx | DepMap | Descartes | 0.16 | 4.91 |
GLRX | 0.0001378 | 2587 | GTEx | DepMap | Descartes | 0.35 | 9.91 |
IRS2 | 0.0001317 | 2653 | GTEx | DepMap | Descartes | 0.46 | 6.60 |
NET1 | 0.0001313 | 2656 | GTEx | DepMap | Descartes | 1.02 | 7.63 |
TUBB2A | 0.0001303 | 2672 | GTEx | DepMap | Descartes | 3.22 | 291.50 |
MYO5A | 0.0001254 | 2718 | GTEx | DepMap | Descartes | 0.60 | 1.13 |
MRPL48 | 0.0001214 | 2772 | GTEx | DepMap | Descartes | 1.07 | 5.49 |
DTD1 | 0.0001195 | 2798 | GTEx | DepMap | Descartes | 0.50 | 0.86 |
VanGroningen Mesenchymal Genes
Mesenchymal marker genes from Supplementary Table 2 of Van Groningen et al. Nature Genetics 2017. These genes were identified by differential expression analysis of mesenchymal-like and adrenergic-like neuroblastoma cell lines.
Wilcoxon ranksum test P-value for gene set overrepresentation: 5.35e-10
Mean rank of genes in gene set: 8102.52
Median rank of genes in gene set: 4813
Rank on gene expression program of top 30 genes in gene set:
Genes | Weight | Rank | GTEx | DepMap | Descartes | Mean.Counts | Mean.TPM |
---|---|---|---|---|---|---|---|
COL11A1 | 0.0082838 | 6 | GTEx | DepMap | Descartes | 31.33 | 66.93 |
COL27A1 | 0.0062850 | 18 | GTEx | DepMap | Descartes | 4.52 | 13.42 |
PCOLCE2 | 0.0055996 | 23 | GTEx | DepMap | Descartes | 1.06 | 7.02 |
SOX9 | 0.0051440 | 27 | GTEx | DepMap | Descartes | 10.42 | 669.21 |
PAPSS2 | 0.0049521 | 30 | GTEx | DepMap | Descartes | 3.28 | 20.60 |
TSPAN4 | 0.0046762 | 32 | GTEx | DepMap | Descartes | 3.49 | 84.58 |
UGDH | 0.0046021 | 33 | GTEx | DepMap | Descartes | 3.37 | 55.49 |
SERPINH1 | 0.0045568 | 34 | GTEx | DepMap | Descartes | 24.06 | 1022.92 |
PLAGL1 | 0.0045545 | 35 | GTEx | DepMap | Descartes | 7.15 | 37.64 |
PLOD2 | 0.0039541 | 50 | GTEx | DepMap | Descartes | 4.73 | 29.97 |
MGP | 0.0038740 | 54 | GTEx | DepMap | Descartes | 5.92 | 622.87 |
KDELR3 | 0.0033278 | 70 | GTEx | DepMap | Descartes | 2.24 | 81.52 |
CKAP4 | 0.0032390 | 75 | GTEx | DepMap | Descartes | 6.57 | 313.67 |
ANXA5 | 0.0031766 | 79 | GTEx | DepMap | Descartes | 4.83 | 60.03 |
P4HA1 | 0.0030633 | 83 | GTEx | DepMap | Descartes | 2.58 | 19.36 |
SCRG1 | 0.0030547 | 84 | GTEx | DepMap | Descartes | 0.98 | 17.43 |
LMAN1 | 0.0029316 | 92 | GTEx | DepMap | Descartes | 4.10 | 35.89 |
CRTAP | 0.0028699 | 95 | GTEx | DepMap | Descartes | 1.96 | 41.70 |
THBS1 | 0.0028502 | 96 | GTEx | DepMap | Descartes | 2.47 | 52.16 |
RRBP1 | 0.0028030 | 99 | GTEx | DepMap | Descartes | 8.28 | 46.08 |
KLF4 | 0.0025110 | 126 | GTEx | DepMap | Descartes | 3.85 | 289.36 |
KDELR2 | 0.0025063 | 127 | GTEx | DepMap | Descartes | 4.58 | 84.99 |
PPIB | 0.0022978 | 142 | GTEx | DepMap | Descartes | 11.96 | 584.79 |
TIMP1 | 0.0022704 | 146 | GTEx | DepMap | Descartes | 0.76 | 65.09 |
OSTC | 0.0022676 | 148 | GTEx | DepMap | Descartes | 5.90 | 152.02 |
ITGA10 | 0.0022640 | 149 | GTEx | DepMap | Descartes | 0.19 | 3.69 |
ID1 | 0.0022521 | 151 | GTEx | DepMap | Descartes | 6.82 | 2069.64 |
CAPN6 | 0.0022121 | 156 | GTEx | DepMap | Descartes | 3.32 | 44.19 |
SDC4 | 0.0022113 | 157 | GTEx | DepMap | Descartes | 1.35 | 24.04 |
MBNL1 | 0.0021812 | 160 | GTEx | DepMap | Descartes | 2.33 | 5.96 |
Descartes adrenocortical markers
Top 50 marker genes of adrenocortical cells in the Decartes fetal adrenal single cell map (https://atlas.brotmanbaty.org/bbi/human-gene-expression-during-development/cell/adrenocortical/in/adrenal)
Wilcoxon ranksum test P-value for gene set overrepresentation: 7.40e-01
Mean rank of genes in gene set: 10219.07
Median rank of genes in gene set: 11883
Rank on gene expression program of top 30 genes in gene set:
Genes | Weight | Rank | GTEx | DepMap | Descartes | Mean.Counts | Mean.TPM |
---|---|---|---|---|---|---|---|
PAPSS2 | 0.0049521 | 30 | GTEx | DepMap | Descartes | 3.28 | 20.60 |
PEG3 | 0.0041501 | 42 | GTEx | DepMap | Descartes | 18.27 | 249.38 |
SCARB1 | 0.0006466 | 800 | GTEx | DepMap | Descartes | 0.29 | 1.31 |
LDLR | 0.0005944 | 863 | GTEx | DepMap | Descartes | 0.26 | 2.75 |
HSPE1 | 0.0005641 | 911 | GTEx | DepMap | Descartes | 10.73 | 924.00 |
BAIAP2L1 | 0.0003254 | 1466 | GTEx | DepMap | Descartes | 0.12 | 0.42 |
HSPD1 | 0.0002576 | 1762 | GTEx | DepMap | Descartes | 6.83 | 187.90 |
MSMO1 | 0.0002424 | 1842 | GTEx | DepMap | Descartes | 0.70 | 13.52 |
DHCR7 | 0.0002369 | 1864 | GTEx | DepMap | Descartes | 0.34 | 3.96 |
FDPS | 0.0002022 | 2084 | GTEx | DepMap | Descartes | 1.28 | 43.76 |
IGF1R | 0.0002000 | 2103 | GTEx | DepMap | Descartes | 1.52 | 1.43 |
HMGCR | 0.0001482 | 2497 | GTEx | DepMap | Descartes | 1.14 | 15.68 |
FDX1 | 0.0000608 | 3644 | GTEx | DepMap | Descartes | 0.69 | 8.41 |
ERN1 | -0.0000282 | 6689 | GTEx | DepMap | Descartes | 0.04 | 0.06 |
CYP17A1 | -0.0000509 | 8614 | GTEx | DepMap | Descartes | 0.00 | 0.00 |
DHCR24 | -0.0000621 | 9509 | GTEx | DepMap | Descartes | 0.50 | 4.74 |
INHA | -0.0000669 | 9835 | GTEx | DepMap | Descartes | 0.10 | 9.97 |
TM7SF2 | -0.0000835 | 10853 | GTEx | DepMap | Descartes | 0.08 | 2.40 |
STAR | -0.0000986 | 11576 | GTEx | DepMap | Descartes | 0.01 | 0.15 |
SCAP | -0.0001028 | 11791 | GTEx | DepMap | Descartes | 0.26 | 1.38 |
NPC1 | -0.0001034 | 11815 | GTEx | DepMap | Descartes | 0.28 | 1.85 |
CYB5B | -0.0001073 | 11951 | GTEx | DepMap | Descartes | 0.50 | 3.27 |
GRAMD1B | -0.0001100 | 12065 | GTEx | DepMap | Descartes | 0.06 | 0.05 |
SGCZ | -0.0001293 | 12842 | GTEx | DepMap | Descartes | 0.01 | 0.00 |
SLC16A9 | -0.0001317 | 12940 | GTEx | DepMap | Descartes | 0.01 | 0.07 |
CYP11A1 | -0.0001329 | 12997 | GTEx | DepMap | Descartes | 0.00 | 0.00 |
CYP11B1 | -0.0001421 | 13340 | GTEx | DepMap | Descartes | 0.00 | 0.00 |
FREM2 | -0.0001570 | 13805 | GTEx | DepMap | Descartes | 0.16 | 0.13 |
FDXR | -0.0001630 | 14010 | GTEx | DepMap | Descartes | 0.14 | 4.41 |
MC2R | -0.0001772 | 14413 | GTEx | DepMap | Descartes | 0.00 | 0.01 |
Descartes chromaffin markers
Top 50 marker genes of chromaffin cells in the Decartes fetal adrenal single cell map (https://atlas.brotmanbaty.org/bbi/human-gene-expression-during-development/cell/chromaffin/in/adrenal)
Wilcoxon ranksum test P-value for gene set overrepresentation: 1.00e+00
Mean rank of genes in gene set: 15271.16
Median rank of genes in gene set: 16721.5
Rank on gene expression program of top 30 genes in gene set:
Genes | Weight | Rank | GTEx | DepMap | Descartes | Mean.Counts | Mean.TPM |
---|---|---|---|---|---|---|---|
TUBB2A | 0.0001303 | 2672 | GTEx | DepMap | Descartes | 3.22 | 291.50 |
CCND1 | 0.0000415 | 4038 | GTEx | DepMap | Descartes | 3.72 | 96.87 |
ANKFN1 | 0.0000131 | 4738 | GTEx | DepMap | Descartes | 0.00 | 0.00 |
ALK | -0.0000340 | 7186 | GTEx | DepMap | Descartes | 0.00 | 0.00 |
IL7 | -0.0000453 | 8189 | GTEx | DepMap | Descartes | 0.00 | 0.01 |
EPHA6 | -0.0000521 | 8715 | GTEx | DepMap | Descartes | 0.00 | 0.00 |
GREM1 | -0.0000670 | 9841 | GTEx | DepMap | Descartes | 0.12 | 2.71 |
SLC44A5 | -0.0000787 | 10575 | GTEx | DepMap | Descartes | 0.01 | 0.00 |
HMX1 | -0.0001187 | 12431 | GTEx | DepMap | Descartes | 0.00 | 0.22 |
CNKSR2 | -0.0001322 | 12962 | GTEx | DepMap | Descartes | 0.15 | 0.18 |
PTCHD1 | -0.0001506 | 13593 | GTEx | DepMap | Descartes | 0.01 | 0.05 |
RPH3A | -0.0001518 | 13639 | GTEx | DepMap | Descartes | 0.00 | 0.01 |
SLC6A2 | -0.0001735 | 14309 | GTEx | DepMap | Descartes | 0.01 | 0.06 |
RYR2 | -0.0001796 | 14469 | GTEx | DepMap | Descartes | 0.01 | 0.00 |
PRPH | -0.0002137 | 15275 | GTEx | DepMap | Descartes | 0.53 | 21.92 |
GAL | -0.0002180 | 15380 | GTEx | DepMap | Descartes | 0.08 | 3.73 |
NTRK1 | -0.0002293 | 15648 | GTEx | DepMap | Descartes | 0.15 | 1.75 |
HS3ST5 | -0.0002296 | 15656 | GTEx | DepMap | Descartes | 0.02 | 0.01 |
RGMB | -0.0002586 | 16221 | GTEx | DepMap | Descartes | 0.33 | 3.26 |
MARCH11 | -0.0002664 | 16366 | GTEx | DepMap | Descartes | 0.02 | 0.03 |
EYA4 | -0.0002679 | 16385 | GTEx | DepMap | Descartes | 0.03 | 0.03 |
NPY | -0.0002868 | 16717 | GTEx | DepMap | Descartes | 0.21 | 5.96 |
KCNB2 | -0.0002874 | 16726 | GTEx | DepMap | Descartes | 0.04 | 0.03 |
EYA1 | -0.0003293 | 17330 | GTEx | DepMap | Descartes | 0.14 | 0.24 |
MAB21L1 | -0.0003590 | 17681 | GTEx | DepMap | Descartes | 0.07 | 6.39 |
SYNPO2 | -0.0003676 | 17762 | GTEx | DepMap | Descartes | 0.04 | 0.04 |
FAT3 | -0.0003685 | 17771 | GTEx | DepMap | Descartes | 0.12 | 0.07 |
PLXNA4 | -0.0003773 | 17860 | GTEx | DepMap | Descartes | 0.16 | 0.07 |
REEP1 | -0.0003777 | 17869 | GTEx | DepMap | Descartes | 0.10 | 0.21 |
TMEM132C | -0.0004462 | 18350 | GTEx | DepMap | Descartes | 0.12 | 0.05 |
Descartes Vascular_endothelial markers
Top 50 marker genes of Vascular_endothelial cells in the Decartes fetal adrenal single cell map (https://atlas.brotmanbaty.org/bbi/human-gene-expression-during-development/cell/vascular_endothelial/in/adrenal)
Wilcoxon ranksum test P-value for gene set overrepresentation: 4.67e-01
Mean rank of genes in gene set: 9594.14
Median rank of genes in gene set: 10027
Rank on gene expression program of top 30 genes in gene set:
Genes | Weight | Rank | GTEx | DepMap | Descartes | Mean.Counts | Mean.TPM |
---|---|---|---|---|---|---|---|
ID1 | 0.0022521 | 151 | GTEx | DepMap | Descartes | 6.82 | 2069.64 |
EHD3 | 0.0012948 | 349 | GTEx | DepMap | Descartes | 0.33 | 4.78 |
CYP26B1 | 0.0008996 | 571 | GTEx | DepMap | Descartes | 0.48 | 8.45 |
RAMP2 | 0.0003646 | 1332 | GTEx | DepMap | Descartes | 0.69 | 18.99 |
MYRIP | 0.0003236 | 1472 | GTEx | DepMap | Descartes | 0.01 | 0.02 |
FLT4 | 0.0001498 | 2479 | GTEx | DepMap | Descartes | 0.01 | 0.01 |
SHANK3 | 0.0001351 | 2610 | GTEx | DepMap | Descartes | 0.03 | 0.09 |
SHE | 0.0001196 | 2797 | GTEx | DepMap | Descartes | 0.04 | 0.55 |
F8 | 0.0000935 | 3103 | GTEx | DepMap | Descartes | 0.03 | 0.07 |
IRX3 | 0.0000033 | 5031 | GTEx | DepMap | Descartes | 0.11 | 5.95 |
NR5A2 | -0.0000129 | 5677 | GTEx | DepMap | Descartes | 0.01 | 0.01 |
SOX18 | -0.0000184 | 5965 | GTEx | DepMap | Descartes | 0.01 | 1.14 |
GALNT15 | -0.0000361 | 7391 | GTEx | DepMap | Descartes | 0.00 | 0.00 |
DNASE1L3 | -0.0000415 | 7843 | GTEx | DepMap | Descartes | 0.00 | 0.00 |
TIE1 | -0.0000446 | 8125 | GTEx | DepMap | Descartes | 0.01 | 0.07 |
CRHBP | -0.0000466 | 8304 | GTEx | DepMap | Descartes | 0.00 | 0.04 |
PTPRB | -0.0000472 | 8352 | GTEx | DepMap | Descartes | 0.00 | 0.01 |
CEACAM1 | -0.0000487 | 8455 | GTEx | DepMap | Descartes | 0.00 | 0.04 |
FCGR2B | -0.0000499 | 8540 | GTEx | DepMap | Descartes | 0.01 | 0.13 |
TMEM88 | -0.0000511 | 8641 | GTEx | DepMap | Descartes | 0.06 | 10.37 |
BTNL9 | -0.0000545 | 8894 | GTEx | DepMap | Descartes | 0.00 | 0.02 |
ESM1 | -0.0000696 | 10027 | GTEx | DepMap | Descartes | 0.00 | 0.00 |
NPR1 | -0.0000715 | 10132 | GTEx | DepMap | Descartes | 0.02 | 0.54 |
ROBO4 | -0.0000828 | 10811 | GTEx | DepMap | Descartes | 0.00 | 0.00 |
MMRN2 | -0.0000927 | 11293 | GTEx | DepMap | Descartes | 0.01 | 0.06 |
TEK | -0.0001184 | 12415 | GTEx | DepMap | Descartes | 0.01 | 0.01 |
APLNR | -0.0001292 | 12841 | GTEx | DepMap | Descartes | 0.00 | 0.00 |
CLDN5 | -0.0001326 | 12978 | GTEx | DepMap | Descartes | 0.00 | 0.29 |
NOTCH4 | -0.0001368 | 13134 | GTEx | DepMap | Descartes | 0.03 | 0.41 |
PLVAP | -0.0001387 | 13213 | GTEx | DepMap | Descartes | 0.00 | 0.05 |
Descartes stromal markers
Top 50 marker genes of stromal cells in the Decartes fetal adrenal single cell map (https://atlas.brotmanbaty.org/bbi/human-gene-expression-during-development/cell/stromal/in/adrenal)
Wilcoxon ranksum test P-value for gene set overrepresentation: 9.45e-01
Mean rank of genes in gene set: 10976.24
Median rank of genes in gene set: 11919
Rank on gene expression program of top 30 genes in gene set:
Genes | Weight | Rank | GTEx | DepMap | Descartes | Mean.Counts | Mean.TPM |
---|---|---|---|---|---|---|---|
COL27A1 | 0.0062850 | 18 | GTEx | DepMap | Descartes | 4.52 | 13.42 |
MGP | 0.0038740 | 54 | GTEx | DepMap | Descartes | 5.92 | 622.87 |
ISLR | 0.0027220 | 108 | GTEx | DepMap | Descartes | 2.59 | 17.37 |
LUM | 0.0021157 | 166 | GTEx | DepMap | Descartes | 4.14 | 235.10 |
LRRC17 | 0.0015095 | 267 | GTEx | DepMap | Descartes | 1.16 | 11.58 |
PRICKLE1 | 0.0010791 | 465 | GTEx | DepMap | Descartes | 0.67 | 2.61 |
COL1A2 | 0.0005067 | 1017 | GTEx | DepMap | Descartes | 12.18 | 91.66 |
PCOLCE | 0.0004682 | 1083 | GTEx | DepMap | Descartes | 1.34 | 59.90 |
HHIP | 0.0003539 | 1364 | GTEx | DepMap | Descartes | 0.18 | 0.62 |
COL12A1 | 0.0002180 | 1962 | GTEx | DepMap | Descartes | 1.97 | 4.93 |
COL6A3 | 0.0001882 | 2183 | GTEx | DepMap | Descartes | 0.86 | 2.53 |
OGN | 0.0001212 | 2775 | GTEx | DepMap | Descartes | 1.90 | 40.99 |
CCDC80 | 0.0000498 | 3856 | GTEx | DepMap | Descartes | 0.40 | 2.41 |
ITGA11 | 0.0000279 | 4345 | GTEx | DepMap | Descartes | 0.05 | 0.16 |
BICC1 | -0.0000163 | 5846 | GTEx | DepMap | Descartes | 0.93 | 1.17 |
GLI2 | -0.0000334 | 7135 | GTEx | DepMap | Descartes | 0.19 | 0.18 |
SULT1E1 | -0.0000454 | 8193 | GTEx | DepMap | Descartes | 0.00 | 0.00 |
C7 | -0.0000514 | 8657 | GTEx | DepMap | Descartes | 0.00 | 0.00 |
ELN | -0.0000522 | 8725 | GTEx | DepMap | Descartes | 0.44 | 3.00 |
FNDC1 | -0.0000649 | 9725 | GTEx | DepMap | Descartes | 0.05 | 0.15 |
CLDN11 | -0.0000910 | 11225 | GTEx | DepMap | Descartes | 0.23 | 6.28 |
ABCA6 | -0.0000973 | 11514 | GTEx | DepMap | Descartes | 0.01 | 0.02 |
RSPO3 | -0.0000989 | 11593 | GTEx | DepMap | Descartes | 0.48 | 1.32 |
ADAMTSL3 | -0.0001148 | 12245 | GTEx | DepMap | Descartes | 0.01 | 0.01 |
LAMC3 | -0.0001186 | 12425 | GTEx | DepMap | Descartes | 0.01 | 0.02 |
ABCC9 | -0.0002079 | 15127 | GTEx | DepMap | Descartes | 0.04 | 0.03 |
SCARA5 | -0.0002189 | 15399 | GTEx | DepMap | Descartes | 0.04 | 0.06 |
ADAMTS2 | -0.0002588 | 16226 | GTEx | DepMap | Descartes | 0.13 | 0.10 |
FREM1 | -0.0003042 | 17004 | GTEx | DepMap | Descartes | 0.06 | 0.07 |
ACTA2 | -0.0003056 | 17027 | GTEx | DepMap | Descartes | 0.77 | 12.38 |
Descartes sympathoblasts markers
Top 50 marker genes of sympathoblasts cells in the Decartes fetal adrenal single cell map (https://atlas.brotmanbaty.org/bbi/human-gene-expression-during-development/cell/sympathoblasts/in/adrenal)
Wilcoxon ranksum test P-value for gene set overrepresentation: 1.00e+00
Mean rank of genes in gene set: 13617.64
Median rank of genes in gene set: 14953.5
Rank on gene expression program of top 30 genes in gene set:
Genes | Weight | Rank | GTEx | DepMap | Descartes | Mean.Counts | Mean.TPM |
---|---|---|---|---|---|---|---|
PENK | 0.0008865 | 580 | GTEx | DepMap | Descartes | 2.74 | 179.32 |
HTATSF1 | 0.0006491 | 795 | GTEx | DepMap | Descartes | 1.89 | 45.26 |
TIAM1 | -0.0000056 | 5370 | GTEx | DepMap | Descartes | 0.45 | 0.30 |
UNC80 | -0.0000056 | 5372 | GTEx | DepMap | Descartes | 0.06 | 0.09 |
KCTD16 | -0.0000364 | 7420 | GTEx | DepMap | Descartes | 0.00 | 0.00 |
PNMT | -0.0000438 | 8057 | GTEx | DepMap | Descartes | 0.01 | 1.03 |
AGBL4 | -0.0000561 | 9024 | GTEx | DepMap | Descartes | 0.00 | 0.00 |
FGF14 | -0.0000836 | 10858 | GTEx | DepMap | Descartes | 0.00 | 0.00 |
EML6 | -0.0000981 | 11550 | GTEx | DepMap | Descartes | 0.01 | 0.01 |
SLC35F3 | -0.0001019 | 11745 | GTEx | DepMap | Descartes | 0.01 | 0.01 |
CDH18 | -0.0001052 | 11857 | GTEx | DepMap | Descartes | 0.01 | 0.00 |
CDH12 | -0.0001211 | 12526 | GTEx | DepMap | Descartes | 0.01 | 0.00 |
SLC24A2 | -0.0001444 | 13406 | GTEx | DepMap | Descartes | 0.01 | 0.02 |
GRM7 | -0.0001465 | 13468 | GTEx | DepMap | Descartes | 0.01 | 0.00 |
PACRG | -0.0001520 | 13647 | GTEx | DepMap | Descartes | 0.03 | 0.02 |
CNTN3 | -0.0001525 | 13670 | GTEx | DepMap | Descartes | 0.02 | 0.02 |
TENM1 | -0.0001594 | 13886 | GTEx | DepMap | Descartes | 0.04 | 0.01 |
GALNTL6 | -0.0001765 | 14396 | GTEx | DepMap | Descartes | 0.02 | 0.00 |
TBX20 | -0.0001937 | 14813 | GTEx | DepMap | Descartes | 0.02 | 0.07 |
ARC | -0.0001946 | 14832 | GTEx | DepMap | Descartes | 0.00 | 0.12 |
SCG2 | -0.0001952 | 14844 | GTEx | DepMap | Descartes | 0.01 | 0.45 |
C1QL1 | -0.0002046 | 15063 | GTEx | DepMap | Descartes | 0.13 | 4.82 |
SORCS3 | -0.0002133 | 15265 | GTEx | DepMap | Descartes | 0.06 | 0.02 |
LAMA3 | -0.0002150 | 15309 | GTEx | DepMap | Descartes | 0.06 | 0.05 |
CCSER1 | -0.0002185 | 15385 | GTEx | DepMap | Descartes | 0.03 | 0.00 |
MGAT4C | -0.0002212 | 15451 | GTEx | DepMap | Descartes | 0.01 | 0.00 |
KSR2 | -0.0002373 | 15813 | GTEx | DepMap | Descartes | 0.01 | 0.01 |
GRID2 | -0.0002452 | 15954 | GTEx | DepMap | Descartes | 0.10 | 0.02 |
TMEM130 | -0.0002736 | 16487 | GTEx | DepMap | Descartes | 0.02 | 0.17 |
INSM1 | -0.0002760 | 16535 | GTEx | DepMap | Descartes | 0.04 | 2.26 |
Descartes erythroblasts markers
Top 50 marker genes of erythroblasts cells in the Decartes fetal adrenal single cell map (https://atlas.brotmanbaty.org/bbi/human-gene-expression-during-development/cell/erythroblasts/in/adrenal)
Wilcoxon ranksum test P-value for gene set overrepresentation: 2.38e-01
Mean rank of genes in gene set: 9002.06
Median rank of genes in gene set: 8691
Rank on gene expression program of top 30 genes in gene set:
Genes | Weight | Rank | GTEx | DepMap | Descartes | Mean.Counts | Mean.TPM |
---|---|---|---|---|---|---|---|
SOX6 | 0.0022199 | 154 | GTEx | DepMap | Descartes | 1.82 | 1.20 |
RAPGEF2 | 0.0003045 | 1541 | GTEx | DepMap | Descartes | 0.35 | 0.45 |
CR1L | 0.0002463 | 1820 | GTEx | DepMap | Descartes | 0.50 | 4.54 |
CPOX | 0.0002118 | 2013 | GTEx | DepMap | Descartes | 0.33 | 2.12 |
BLVRB | 0.0002054 | 2061 | GTEx | DepMap | Descartes | 0.60 | 10.39 |
GYPC | 0.0001337 | 2626 | GTEx | DepMap | Descartes | 0.26 | 2.92 |
TRAK2 | 0.0001069 | 2939 | GTEx | DepMap | Descartes | 0.20 | 1.02 |
TMCC2 | 0.0000694 | 3487 | GTEx | DepMap | Descartes | 0.17 | 1.89 |
TMEM56 | 0.0000492 | 3872 | GTEx | DepMap | Descartes | 0.02 | 0.05 |
SLC25A21 | 0.0000384 | 4110 | GTEx | DepMap | Descartes | 0.02 | 0.01 |
TFR2 | 0.0000289 | 4317 | GTEx | DepMap | Descartes | 0.02 | 0.38 |
RHD | 0.0000246 | 4429 | GTEx | DepMap | Descartes | 0.02 | 0.16 |
SLC25A37 | -0.0000160 | 5828 | GTEx | DepMap | Descartes | 0.14 | 1.07 |
HEMGN | -0.0000239 | 6360 | GTEx | DepMap | Descartes | 0.00 | 0.03 |
EPB42 | -0.0000271 | 6610 | GTEx | DepMap | Descartes | 0.00 | 0.00 |
GYPA | -0.0000357 | 7362 | GTEx | DepMap | Descartes | 0.00 | 0.03 |
SLC4A1 | -0.0000365 | 7431 | GTEx | DepMap | Descartes | 0.00 | 0.00 |
RHAG | -0.0000494 | 8509 | GTEx | DepMap | Descartes | 0.00 | 0.01 |
ALAS2 | -0.0000543 | 8873 | GTEx | DepMap | Descartes | 0.00 | 0.00 |
SPTA1 | -0.0000613 | 9450 | GTEx | DepMap | Descartes | 0.00 | 0.00 |
FECH | -0.0000640 | 9651 | GTEx | DepMap | Descartes | 0.40 | 3.46 |
SELENBP1 | -0.0000767 | 10458 | GTEx | DepMap | Descartes | 0.24 | 6.85 |
CAT | -0.0000932 | 11317 | GTEx | DepMap | Descartes | 0.58 | 6.20 |
XPO7 | -0.0001112 | 12108 | GTEx | DepMap | Descartes | 0.54 | 1.42 |
DENND4A | -0.0001396 | 13243 | GTEx | DepMap | Descartes | 0.05 | 0.12 |
MARCH3 | -0.0001443 | 13403 | GTEx | DepMap | Descartes | 0.01 | 0.02 |
RGS6 | -0.0001475 | 13496 | GTEx | DepMap | Descartes | 0.02 | 0.01 |
GCLC | -0.0001799 | 14477 | GTEx | DepMap | Descartes | 0.17 | 1.26 |
SNCA | -0.0001987 | 14915 | GTEx | DepMap | Descartes | 0.01 | 0.03 |
ABCB10 | -0.0001988 | 14919 | GTEx | DepMap | Descartes | 0.17 | 1.56 |
Descartes myeloid markers
Top 50 marker genes of myeloid cells in the Decartes fetal adrenal single cell map (https://atlas.brotmanbaty.org/bbi/human-gene-expression-during-development/cell/myeloid/in/adrenal)
Wilcoxon ranksum test P-value for gene set overrepresentation: 5.20e-01
Mean rank of genes in gene set: 9707.79
Median rank of genes in gene set: 10789.5
Rank on gene expression program of top 30 genes in gene set:
Genes | Weight | Rank | GTEx | DepMap | Descartes | Mean.Counts | Mean.TPM |
---|---|---|---|---|---|---|---|
ITPR2 | 0.0013890 | 307 | GTEx | DepMap | Descartes | 0.53 | 0.55 |
HCK | 0.0008523 | 607 | GTEx | DepMap | Descartes | 0.07 | 0.49 |
MERTK | 0.0006584 | 787 | GTEx | DepMap | Descartes | 0.21 | 0.73 |
LGMN | 0.0005200 | 988 | GTEx | DepMap | Descartes | 0.43 | 2.41 |
IFNGR1 | 0.0004323 | 1166 | GTEx | DepMap | Descartes | 0.31 | 5.98 |
CTSD | 0.0002503 | 1807 | GTEx | DepMap | Descartes | 2.60 | 74.48 |
SPP1 | 0.0001370 | 2595 | GTEx | DepMap | Descartes | 0.41 | 11.20 |
ATP8B4 | 0.0000479 | 3893 | GTEx | DepMap | Descartes | 0.00 | 0.01 |
SFMBT2 | -0.0000123 | 5655 | GTEx | DepMap | Descartes | 0.06 | 0.13 |
TGFBI | -0.0000267 | 6566 | GTEx | DepMap | Descartes | 2.06 | 21.17 |
WWP1 | -0.0000299 | 6844 | GTEx | DepMap | Descartes | 0.42 | 1.02 |
RNASE1 | -0.0000345 | 7242 | GTEx | DepMap | Descartes | 0.00 | 0.00 |
HRH1 | -0.0000354 | 7332 | GTEx | DepMap | Descartes | 0.00 | 0.00 |
MS4A4A | -0.0000461 | 8255 | GTEx | DepMap | Descartes | 0.00 | 0.00 |
CYBB | -0.0000490 | 8474 | GTEx | DepMap | Descartes | 0.00 | 0.01 |
CD14 | -0.0000493 | 8498 | GTEx | DepMap | Descartes | 0.01 | 0.71 |
ABCA1 | -0.0000517 | 8679 | GTEx | DepMap | Descartes | 0.20 | 0.43 |
SLCO2B1 | -0.0000612 | 9436 | GTEx | DepMap | Descartes | 0.00 | 0.01 |
MPEG1 | -0.0000681 | 9913 | GTEx | DepMap | Descartes | 0.00 | 0.09 |
MSR1 | -0.0000698 | 10042 | GTEx | DepMap | Descartes | 0.00 | 0.00 |
CPVL | -0.0000802 | 10655 | GTEx | DepMap | Descartes | 0.00 | 0.00 |
CSF1R | -0.0000850 | 10924 | GTEx | DepMap | Descartes | 0.02 | 0.11 |
C1QA | -0.0000881 | 11084 | GTEx | DepMap | Descartes | 0.12 | 6.75 |
ADAP2 | -0.0000964 | 11454 | GTEx | DepMap | Descartes | 0.00 | 0.01 |
MS4A7 | -0.0000977 | 11540 | GTEx | DepMap | Descartes | 0.00 | 0.01 |
C1QC | -0.0001021 | 11758 | GTEx | DepMap | Descartes | 0.08 | 4.21 |
CD74 | -0.0001054 | 11866 | GTEx | DepMap | Descartes | 0.01 | 0.16 |
C1QB | -0.0001068 | 11935 | GTEx | DepMap | Descartes | 0.12 | 3.15 |
SLC1A3 | -0.0001133 | 12180 | GTEx | DepMap | Descartes | 0.80 | 2.76 |
CTSS | -0.0001143 | 12216 | GTEx | DepMap | Descartes | 0.02 | 0.09 |
Descartes Schwann markers
Top 50 marker genes of Schwann cells in the Decartes fetal adrenal single cell map (https://atlas.brotmanbaty.org/bbi/human-gene-expression-during-development/cell/schwann/in/adrenal)
Wilcoxon ranksum test P-value for gene set overrepresentation: 1.00e+00
Mean rank of genes in gene set: 14134.4
Median rank of genes in gene set: 17132
Rank on gene expression program of top 30 genes in gene set:
Genes | Weight | Rank | GTEx | DepMap | Descartes | Mean.Counts | Mean.TPM |
---|---|---|---|---|---|---|---|
SOX5 | 0.0029429 | 90 | GTEx | DepMap | Descartes | 2.50 | 1.10 |
PMP22 | 0.0007244 | 715 | GTEx | DepMap | Descartes | 2.51 | 31.59 |
STARD13 | 0.0002078 | 2045 | GTEx | DepMap | Descartes | 0.15 | 0.21 |
PAG1 | 0.0001590 | 2406 | GTEx | DepMap | Descartes | 0.21 | 0.46 |
COL25A1 | 0.0001371 | 2592 | GTEx | DepMap | Descartes | 0.50 | 0.37 |
CDH19 | 0.0001179 | 2821 | GTEx | DepMap | Descartes | 0.09 | 0.16 |
MPZ | 0.0000271 | 4363 | GTEx | DepMap | Descartes | 0.44 | 9.30 |
LAMA4 | -0.0000149 | 5756 | GTEx | DepMap | Descartes | 0.88 | 1.68 |
PPP2R2B | -0.0000565 | 9060 | GTEx | DepMap | Descartes | 0.43 | 0.38 |
IL1RAPL1 | -0.0000855 | 10958 | GTEx | DepMap | Descartes | 0.06 | 0.01 |
TRPM3 | -0.0000858 | 10977 | GTEx | DepMap | Descartes | 0.02 | 0.00 |
LRRTM4 | -0.0000946 | 11389 | GTEx | DepMap | Descartes | 0.02 | 0.01 |
SCN7A | -0.0001089 | 12021 | GTEx | DepMap | Descartes | 0.01 | 0.00 |
IL1RAPL2 | -0.0001138 | 12203 | GTEx | DepMap | Descartes | 0.01 | 0.00 |
MDGA2 | -0.0001548 | 13733 | GTEx | DepMap | Descartes | 0.06 | 0.02 |
GRIK3 | -0.0001674 | 14139 | GTEx | DepMap | Descartes | 0.01 | 0.01 |
SLC35F1 | -0.0001750 | 14346 | GTEx | DepMap | Descartes | 0.19 | 0.11 |
XKR4 | -0.0001864 | 14633 | GTEx | DepMap | Descartes | 0.01 | NA |
PLCE1 | -0.0002038 | 15040 | GTEx | DepMap | Descartes | 0.30 | 0.26 |
OLFML2A | -0.0002131 | 15260 | GTEx | DepMap | Descartes | 0.06 | 0.27 |
SOX10 | -0.0002431 | 15924 | GTEx | DepMap | Descartes | 0.33 | 7.22 |
ERBB4 | -0.0002571 | 16179 | GTEx | DepMap | Descartes | 0.05 | 0.01 |
SORCS1 | -0.0002676 | 16379 | GTEx | DepMap | Descartes | 0.07 | 0.03 |
VCAN | -0.0003136 | 17132 | GTEx | DepMap | Descartes | 3.99 | 12.32 |
HMGA2 | -0.0003224 | 17245 | GTEx | DepMap | Descartes | 6.09 | 17.32 |
ERBB3 | -0.0003430 | 17498 | GTEx | DepMap | Descartes | 0.26 | 1.67 |
GAS7 | -0.0003584 | 17674 | GTEx | DepMap | Descartes | 0.20 | 0.14 |
SFRP1 | -0.0003774 | 17862 | GTEx | DepMap | Descartes | 2.13 | 16.99 |
FIGN | -0.0003843 | 17902 | GTEx | DepMap | Descartes | 0.45 | 0.92 |
FAM134B | -0.0003972 | 18004 | GTEx | DepMap | Descartes | 0.08 | NA |
Descartes Megakaryocytes markers
Top 50 marker genes of Megakaryocytes cells in the Decartes fetal adrenal single cell map (https://atlas.brotmanbaty.org/bbi/human-gene-expression-during-development/cell/megakaryocytes/in/adrenal)
Wilcoxon ranksum test P-value for gene set overrepresentation: 9.63e-01
Mean rank of genes in gene set: 11114.51
Median rank of genes in gene set: 11533
Rank on gene expression program of top 30 genes in gene set:
Genes | Weight | Rank | GTEx | DepMap | Descartes | Mean.Counts | Mean.TPM |
---|---|---|---|---|---|---|---|
THBS1 | 0.0028502 | 96 | GTEx | DepMap | Descartes | 2.47 | 52.16 |
CD9 | 0.0019959 | 184 | GTEx | DepMap | Descartes | 2.33 | 19.28 |
TLN1 | 0.0004632 | 1093 | GTEx | DepMap | Descartes | 1.93 | 19.64 |
TGFB1 | 0.0004618 | 1100 | GTEx | DepMap | Descartes | 0.16 | 2.85 |
PDE3A | 0.0004163 | 1203 | GTEx | DepMap | Descartes | 0.31 | 0.39 |
GSN | 0.0002984 | 1561 | GTEx | DepMap | Descartes | 0.98 | 5.40 |
TRPC6 | 0.0002781 | 1655 | GTEx | DepMap | Descartes | 0.01 | 0.03 |
FLI1 | 0.0002776 | 1656 | GTEx | DepMap | Descartes | 0.41 | 1.13 |
PSTPIP2 | 0.0001416 | 2550 | GTEx | DepMap | Descartes | 0.00 | 0.01 |
P2RX1 | 0.0000655 | 3564 | GTEx | DepMap | Descartes | 0.01 | 0.45 |
GP9 | -0.0000118 | 5633 | GTEx | DepMap | Descartes | 0.00 | 0.17 |
CD84 | -0.0000290 | 6759 | GTEx | DepMap | Descartes | 0.01 | 0.02 |
PPBP | -0.0000329 | 7098 | GTEx | DepMap | Descartes | 0.00 | 0.23 |
BIN2 | -0.0000450 | 8154 | GTEx | DepMap | Descartes | 0.00 | 0.00 |
ITGA2B | -0.0000541 | 8851 | GTEx | DepMap | Descartes | 0.03 | 0.38 |
MCTP1 | -0.0000569 | 9097 | GTEx | DepMap | Descartes | 0.01 | 0.00 |
SPN | -0.0000688 | 9957 | GTEx | DepMap | Descartes | 0.00 | 0.00 |
FERMT3 | -0.0000721 | 10169 | GTEx | DepMap | Descartes | 0.00 | 0.01 |
MMRN1 | -0.0000781 | 10536 | GTEx | DepMap | Descartes | 0.00 | 0.00 |
LIMS1 | -0.0000785 | 10564 | GTEx | DepMap | Descartes | 0.91 | 2.10 |
ITGB3 | -0.0000854 | 10950 | GTEx | DepMap | Descartes | 0.02 | 0.05 |
RAB27B | -0.0000869 | 11025 | GTEx | DepMap | Descartes | 0.03 | 0.03 |
PLEK | -0.0000968 | 11489 | GTEx | DepMap | Descartes | 0.02 | 0.04 |
PF4 | -0.0000976 | 11533 | GTEx | DepMap | Descartes | 0.02 | 3.69 |
MED12L | -0.0001063 | 11913 | GTEx | DepMap | Descartes | 0.03 | 0.02 |
DOK6 | -0.0001170 | 12349 | GTEx | DepMap | Descartes | 0.00 | 0.00 |
ARHGAP6 | -0.0001174 | 12366 | GTEx | DepMap | Descartes | 0.05 | 0.02 |
ANGPT1 | -0.0001529 | 13680 | GTEx | DepMap | Descartes | 0.15 | 0.20 |
STON2 | -0.0001549 | 13741 | GTEx | DepMap | Descartes | 0.05 | 0.07 |
INPP4B | -0.0001602 | 13921 | GTEx | DepMap | Descartes | 0.06 | 0.02 |
Descartes Lyphoid markers
Top 50 marker genes of Lyphoid cells in the Decartes fetal adrenal single cell map (https://atlas.brotmanbaty.org/bbi/human-gene-expression-during-development/cell/lymphoid/in/adrenal)
Wilcoxon ranksum test P-value for gene set overrepresentation: 9.07e-01
Mean rank of genes in gene set: 10802.12
Median rank of genes in gene set: 13510.5
Rank on gene expression program of top 30 genes in gene set:
Genes | Weight | Rank | GTEx | DepMap | Descartes | Mean.Counts | Mean.TPM |
---|---|---|---|---|---|---|---|
MBNL1 | 0.0021812 | 160 | GTEx | DepMap | Descartes | 2.33 | 5.96 |
PITPNC1 | 0.0008789 | 593 | GTEx | DepMap | Descartes | 0.86 | 1.02 |
B2M | 0.0008031 | 642 | GTEx | DepMap | Descartes | 1.05 | 53.67 |
BCL2 | 0.0007445 | 688 | GTEx | DepMap | Descartes | 1.21 | 2.45 |
CCND3 | 0.0005958 | 859 | GTEx | DepMap | Descartes | 5.06 | 19.20 |
LCP1 | 0.0005670 | 905 | GTEx | DepMap | Descartes | 0.06 | 0.20 |
TOX | 0.0005670 | 906 | GTEx | DepMap | Descartes | 0.90 | 1.11 |
ITPKB | 0.0003603 | 1346 | GTEx | DepMap | Descartes | 0.38 | 1.44 |
STK39 | 0.0003132 | 1507 | GTEx | DepMap | Descartes | 0.55 | 0.70 |
MSN | 0.0001736 | 2292 | GTEx | DepMap | Descartes | 0.68 | 2.51 |
WIPF1 | 0.0001519 | 2459 | GTEx | DepMap | Descartes | 0.28 | 0.90 |
RCSD1 | 0.0001163 | 2838 | GTEx | DepMap | Descartes | 0.17 | 0.90 |
PDE3B | 0.0001157 | 2845 | GTEx | DepMap | Descartes | 0.23 | 0.49 |
DOCK10 | 0.0000554 | 3748 | GTEx | DepMap | Descartes | 0.19 | 0.26 |
NKG7 | -0.0000446 | 8120 | GTEx | DepMap | Descartes | 0.00 | 0.00 |
PTPRC | -0.0000503 | 8571 | GTEx | DepMap | Descartes | 0.00 | 0.00 |
IKZF1 | -0.0000648 | 9716 | GTEx | DepMap | Descartes | 0.00 | 0.00 |
SP100 | -0.0000688 | 9966 | GTEx | DepMap | Descartes | 0.00 | 0.00 |
SCML4 | -0.0001077 | 11969 | GTEx | DepMap | Descartes | 0.01 | 0.01 |
ARHGAP15 | -0.0001105 | 12084 | GTEx | DepMap | Descartes | 0.01 | 0.00 |
MCTP2 | -0.0001454 | 13435 | GTEx | DepMap | Descartes | 0.01 | 0.00 |
RAP1GAP2 | -0.0001504 | 13586 | GTEx | DepMap | Descartes | 0.02 | 0.02 |
LEF1 | -0.0001514 | 13623 | GTEx | DepMap | Descartes | 0.61 | 1.51 |
PLEKHA2 | -0.0001682 | 14161 | GTEx | DepMap | Descartes | 0.01 | 0.05 |
ETS1 | -0.0002028 | 15018 | GTEx | DepMap | Descartes | 0.24 | 0.39 |
FAM65B | -0.0002039 | 15043 | GTEx | DepMap | Descartes | 0.02 | NA |
CD44 | -0.0002130 | 15254 | GTEx | DepMap | Descartes | 0.07 | 0.16 |
SKAP1 | -0.0002276 | 15597 | GTEx | DepMap | Descartes | 0.02 | 0.01 |
ARHGDIB | -0.0002279 | 15603 | GTEx | DepMap | Descartes | 0.27 | 2.81 |
PRKCH | -0.0002870 | 16719 | GTEx | DepMap | Descartes | 0.06 | 0.06 |
Below shows the ranks on this GEP for immune marker gene lists curated by CellTypist (https://www.celltypist.org/encyclopedia).
High ranks indicate this gene is a driver of this GEP.
These curated gene list are ranked by P-value (on this GEP) of their constituent genes.
The Mean Count column shows the mean read count in cells scoring highly (H > 50) on this gene expression program.
Genes | Weight | Rank | GTEx | DepMap | Decartes | Mean.Counts | Mean.TPM |
---|---|---|---|---|---|---|---|
RPS2 | 0.0011525 | 412 | GTEx | DepMap | Descartes | 37.87 | 2763.89 |
RPS29 | 0.0005650 | 909 | GTEx | DepMap | Descartes | 31.01 | 5345.49 |
CST7 | 0.0001453 | 2523 | GTEx | DepMap | Descartes | 0.00 | 0.00 |
NKG7 | -0.0000446 | 8120 | GTEx | DepMap | Descartes | 0.00 | 0.00 |
T cells: Tcm/Naive cytotoxic T cells (model markers)
CD8+ cytotoxic T lymphocytes mainly localized in secondary lymphoid tissues and sustaining the responses by proliferating and producing new effectors:
Wilcoxon ranksum test P-value for gene set overrepresentation: 1.03e-02
Mean rank of genes in gene set: 527
Rank on gene expression program of genes in gene set:
Genes | Weight | Rank | GTEx | DepMap | Decartes | Mean.Counts | Mean.TPM |
---|---|---|---|---|---|---|---|
RPS2 | 0.0011525 | 412 | GTEx | DepMap | Descartes | 37.87 | 2763.89 |
B2M | 0.0008031 | 642 | GTEx | DepMap | Descartes | 1.05 | 53.67 |
T cells: Type 1 helper T cells (model markers)
CD4+ helper T lymphocyte subpopulation which is capable of producing interferon-gamma and modulating cell-mediated immune responses:
Wilcoxon ranksum test P-value for gene set overrepresentation: 1.51e-02
Mean rank of genes in gene set: 3615.75
Rank on gene expression program of genes in gene set:
Genes | Weight | Rank | GTEx | DepMap | Decartes | Mean.Counts | Mean.TPM |
---|---|---|---|---|---|---|---|
RPL17 | 0.0010269 | 499 | GTEx | DepMap | Descartes | 40.81 | 2176.87 |
CEBPB | 0.0002972 | 1567 | GTEx | DepMap | Descartes | 0.56 | 90.79 |
PRDM16 | 0.0002535 | 1788 | GTEx | DepMap | Descartes | 0.17 | 0.18 |
ANXA1 | -0.0000794 | 10609 | GTEx | DepMap | Descartes | 0.37 | 4.88 |