Program: 2. Endothelial.

Program: 2. Endothelial.




Submit a comment on this gene expression program’s interpretation: CLICK

QQ-plot of gene loadings, averaged over both independent splits of the data
This plot highlights the relative contribution of each gene to the GEP

Interactive QQ Plot

Top genes driving this program.
Note: Decartes website is buggy, try refreshing. Also, Decartes fetal adrenal data have been collected at specific time points (89-122 days), all possible cell types of interest may not be represented, do not overinterpret.
The Mean Count column shows the mean read count in cells scoring highly (H > 50) on this gene expression program.

Gene Loading Gene.Name GTEx DepMap Descartes Mean.Counts Mean.Tpm
1 CD34 0.0165647 CD34 molecule GTEx DepMap Descartes 4.00 175.93
2 FLT1 0.0164743 fms related receptor tyrosine kinase 1 GTEx DepMap Descartes 12.15 578.56
3 BTNL9 0.0147846 butyrophilin like 9 GTEx DepMap Descartes 4.50 496.37
4 F8 0.0147638 coagulation factor VIII GTEx DepMap Descartes 4.83 180.14
5 APOLD1 0.0141806 apolipoprotein L domain containing 1 GTEx DepMap Descartes 5.57 385.67
6 EDNRB 0.0141051 endothelin receptor type B GTEx DepMap Descartes 5.77 412.18
7 A2M 0.0137509 alpha-2-macroglobulin GTEx DepMap Descartes 7.48 552.73
8 HSPG2 0.0136652 heparan sulfate proteoglycan 2 GTEx DepMap Descartes 5.68 141.75
9 EFNB2 0.0132069 ephrin B2 GTEx DepMap Descartes 4.28 297.49
10 PLPP3 0.0131071 phospholipid phosphatase 3 GTEx DepMap Descartes 9.71 NA
11 NOTCH4 0.0129664 notch receptor 4 GTEx DepMap Descartes 2.62 144.70
12 TIMP3 0.0129575 TIMP metallopeptidase inhibitor 3 GTEx DepMap Descartes 8.83 659.16
13 CD93 0.0127383 CD93 molecule GTEx DepMap Descartes 3.38 174.37
14 HECW2 0.0124381 HECT, C2 and WW domain containing E3 ubiquitin protein ligase 2 GTEx DepMap Descartes 1.66 47.53
15 EMCN 0.0123618 endomucin GTEx DepMap Descartes 5.99 480.49
16 SPTBN1 0.0122728 spectrin beta, non-erythrocytic 1 GTEx DepMap Descartes 5.25 171.61
17 COL4A1 0.0122363 collagen type IV alpha 1 chain GTEx DepMap Descartes 3.77 193.75
18 APLNR 0.0122296 apelin receptor GTEx DepMap Descartes 2.02 192.22
19 PTPRB 0.0119822 protein tyrosine phosphatase receptor type B GTEx DepMap Descartes 2.71 76.62
20 CDH5 0.0117679 cadherin 5 GTEx DepMap Descartes 4.93 396.31
21 CHRM3 0.0117627 cholinergic receptor muscarinic 3 GTEx DepMap Descartes 1.22 51.01
22 EHD3 0.0117594 EH domain containing 3 GTEx DepMap Descartes 6.62 421.14
23 ADGRF5 0.0117516 adhesion G protein-coupled receptor F5 GTEx DepMap Descartes 3.36 NA
24 CALCRL 0.0113223 calcitonin receptor like receptor GTEx DepMap Descartes 4.84 259.97
25 ARHGAP29 0.0112983 Rho GTPase activating protein 29 GTEx DepMap Descartes 5.01 184.23
26 IL6ST 0.0112536 interleukin 6 cytokine family signal transducer GTEx DepMap Descartes 4.61 173.86
27 EPAS1 0.0110229 endothelial PAS domain protein 1 GTEx DepMap Descartes 4.65 301.74
28 PECAM1 0.0110125 platelet and endothelial cell adhesion molecule 1 GTEx DepMap Descartes 3.43 168.97
29 CD109 0.0109309 CD109 molecule GTEx DepMap Descartes 2.43 87.19
30 TIE1 0.0107264 tyrosine kinase with immunoglobulin like and EGF like domains 1 GTEx DepMap Descartes 1.98 171.10
31 LRRC32 0.0106063 leucine rich repeat containing 32 GTEx DepMap Descartes 3.50 277.85
32 TGFBR2 0.0105438 transforming growth factor beta receptor 2 GTEx DepMap Descartes 5.56 306.36
33 KDR 0.0105073 kinase insert domain receptor GTEx DepMap Descartes 7.49 418.31
34 PODXL 0.0104399 podocalyxin like GTEx DepMap Descartes 2.92 167.75
35 RASGRP3 0.0104214 RAS guanyl releasing protein 3 GTEx DepMap Descartes 1.42 105.01
36 TACC1 0.0103395 transforming acidic coiled-coil containing protein 1 GTEx DepMap Descartes 3.50 157.59
37 PLVAP 0.0103154 plasmalemma vesicle associated protein GTEx DepMap Descartes 7.30 1021.04
38 JCAD 0.0101105 junctional cadherin 5 associated GTEx DepMap Descartes 1.43 NA
39 EFNB1 0.0100838 ephrin B1 GTEx DepMap Descartes 2.16 231.88
40 ADAMTS9 0.0100623 ADAM metallopeptidase with thrombospondin type 1 motif 9 GTEx DepMap Descartes 1.70 78.17
41 NEDD9 0.0098489 neural precursor cell expressed, developmentally down-regulated 9 GTEx DepMap Descartes 2.75 183.60
42 SHANK3 0.0095496 SH3 and multiple ankyrin repeat domains 3 GTEx DepMap Descartes 1.61 69.92
43 ARGLU1 0.0095493 arginine and glutamate rich 1 GTEx DepMap Descartes 6.08 527.22
44 ETS1 0.0095336 ETS proto-oncogene 1, transcription factor GTEx DepMap Descartes 2.69 168.27
45 SEC14L1 0.0095260 SEC14 like lipid binding 1 GTEx DepMap Descartes 5.05 282.18
46 SLC2A3 0.0094781 solute carrier family 2 member 3 GTEx DepMap Descartes 5.25 415.95
47 TCF4 0.0093359 transcription factor 4 GTEx DepMap Descartes 4.27 178.77
48 ARHGEF15 0.0091571 Rho guanine nucleotide exchange factor 15 GTEx DepMap Descartes 0.82 69.21
49 PRCP 0.0091228 prolylcarboxypeptidase GTEx DepMap Descartes 7.03 309.73
50 ELK3 0.0090500 ETS transcription factor ELK3 GTEx DepMap Descartes 3.19 247.25


Dowload full table


UMAP plots showing activity of gene expression program identified in GEP 2. Endothelial:

Interactive UMAP Plot
Interactive Boxplot


Gene set Enrichments for this program, caculated from top 50 genes


mSigDB Cell Types Gene Set:

P-value OR Lower 95% CI FDR FWER Genes Found Gene Set Size
AIZARANI_LIVER_C10_MVECS_1 6.45e-69 391.96 195.61 4.33e-66 4.33e-66
39CD34, FLT1, BTNL9, F8, APOLD1, EDNRB, A2M, EFNB2, PLPP3, NOTCH4, TIMP3, CD93, HECW2, EMCN, SPTBN1, COL4A1, PTPRB, CDH5, CHRM3, ADGRF5, CALCRL, ARHGAP29, IL6ST, EPAS1, PECAM1, TIE1, LRRC32, TGFBR2, KDR, TACC1, PLVAP, EFNB1, ADAMTS9, NEDD9, SHANK3, SEC14L1, TCF4, PRCP, ELK3
269
MENON_FETAL_KIDNEY_9_ENDOTHELIAL_CELLS 8.85e-41 251.49 131.28 1.48e-38 5.94e-38
22CD34, FLT1, A2M, HSPG2, EFNB2, PLPP3, NOTCH4, TIMP3, EMCN, SPTBN1, COL4A1, APLNR, EHD3, ADGRF5, ARHGAP29, IL6ST, PECAM1, TGFBR2, KDR, ETS1, TCF4, PRCP
102
AIZARANI_LIVER_C13_LSECS_2 8.67e-56 219.38 116.03 2.91e-53 5.82e-53
34FLT1, BTNL9, F8, APOLD1, EDNRB, A2M, EFNB2, PLPP3, NOTCH4, TIMP3, CD93, HECW2, EMCN, COL4A1, APLNR, PTPRB, CDH5, EHD3, ADGRF5, CALCRL, IL6ST, EPAS1, PECAM1, TIE1, TGFBR2, KDR, TACC1, EFNB1, NEDD9, SHANK3, SEC14L1, TCF4, PRCP, ELK3
283
DESCARTES_FETAL_STOMACH_VASCULAR_ENDOTHELIAL_CELLS 2.46e-18 268.35 101.95 6.35e-17 1.65e-15
9CD34, FLT1, A2M, NOTCH4, EMCN, APLNR, EPAS1, PLVAP, ARHGEF15
30
MURARO_PANCREAS_ENDOTHELIAL_CELL 2.98e-54 183.12 96.93 6.67e-52 2.00e-51
35CD34, FLT1, A2M, EFNB2, PLPP3, NOTCH4, CD93, EMCN, SPTBN1, COL4A1, APLNR, PTPRB, CDH5, ADGRF5, CALCRL, ARHGAP29, IL6ST, EPAS1, PECAM1, TIE1, LRRC32, TGFBR2, KDR, PODXL, RASGRP3, PLVAP, ADAMTS9, NEDD9, SHANK3, ETS1, SEC14L1, SLC2A3, TCF4, PRCP, ELK3
362
RUBENSTEIN_SKELETAL_MUSCLE_ENDOTHELIAL_CELLS 1.06e-37 175.96 92.59 7.88e-36 7.09e-35
22CD34, FLT1, BTNL9, F8, A2M, HSPG2, TIMP3, CD93, EMCN, SPTBN1, COL4A1, PTPRB, CDH5, ADGRF5, ARHGAP29, EPAS1, PODXL, TACC1, ARGLU1, ETS1, SEC14L1, TCF4
137
CUI_DEVELOPING_HEART_C4_ENDOTHELIAL_CELL 4.73e-37 163.29 86.26 3.17e-35 3.17e-34
22CD34, FLT1, F8, EDNRB, EFNB2, PLPP3, CD93, EMCN, PTPRB, CDH5, ADGRF5, CALCRL, ARHGAP29, PECAM1, TIE1, KDR, PODXL, PLVAP, ADAMTS9, ETS1, PRCP, ELK3
146
DURANTE_ADULT_OLFACTORY_NEUROEPITHELIUM_PERICYTES 9.33e-27 171.72 83.09 3.48e-25 6.26e-24
15CD34, FLT1, APOLD1, A2M, TIMP3, CD93, EMCN, SPTBN1, CALCRL, PECAM1, TGFBR2, PODXL, PLVAP, TCF4, PRCP
79
DESCARTES_FETAL_THYMUS_VASCULAR_ENDOTHELIAL_CELLS 1.06e-33 154.35 80.56 6.46e-32 7.11e-31
20FLT1, A2M, EMCN, COL4A1, APLNR, PTPRB, CHRM3, ADGRF5, CALCRL, ARHGAP29, EPAS1, TIE1, KDR, PODXL, RASGRP3, PLVAP, ADAMTS9, SHANK3, PRCP, ELK3
131
GAO_LARGE_INTESTINE_24W_C2_MKI67POS_PROGENITOR 1.25e-30 152.14 77.50 6.01e-29 8.42e-28
18CD34, FLT1, APOLD1, CD93, EMCN, APLNR, PTPRB, CDH5, ADGRF5, CALCRL, ARHGAP29, PECAM1, TIE1, LRRC32, KDR, PODXL, PLVAP, SEC14L1
113
DESCARTES_FETAL_ADRENAL_VASCULAR_ENDOTHELIAL_CELLS 3.74e-33 144.54 75.28 1.93e-31 2.51e-30
20CD34, BTNL9, F8, EFNB2, PLPP3, NOTCH4, APLNR, PTPRB, CDH5, CHRM3, EHD3, CALCRL, ARHGAP29, TIE1, KDR, PODXL, PLVAP, SHANK3, ARHGEF15, ELK3
139
DESCARTES_FETAL_EYE_VASCULAR_ENDOTHELIAL_CELLS 7.77e-26 146.79 71.39 2.61e-24 5.21e-23
15FLT1, NOTCH4, APLNR, CDH5, ADGRF5, CALCRL, ARHGAP29, EPAS1, TIE1, LRRC32, PODXL, PLVAP, SHANK3, ARHGEF15, ELK3
90
DESCARTES_FETAL_INTESTINE_VASCULAR_ENDOTHELIAL_CELLS 9.48e-17 165.62 65.64 2.19e-15 6.36e-14
9CD34, FLT1, BTNL9, HSPG2, NOTCH4, EMCN, APLNR, PLVAP, ARHGEF15
43
LAKE_ADULT_KIDNEY_C22_ENDOTHELIAL_CELLS_GLOMERULAR_CAPILLARIES 5.00e-29 121.37 62.42 2.09e-27 3.35e-26
18FLT1, PLPP3, TIMP3, HECW2, EMCN, SPTBN1, COL4A1, PTPRB, CHRM3, ADGRF5, IL6ST, EPAS1, TGFBR2, TACC1, SHANK3, ARGLU1, SEC14L1, TCF4
137
AIZARANI_LIVER_C9_LSECS_1 1.59e-39 109.39 59.36 1.78e-37 1.07e-36
27FLT1, BTNL9, F8, APOLD1, EFNB2, PLPP3, NOTCH4, TIMP3, CD93, COL4A1, PTPRB, CDH5, EHD3, ADGRF5, ARHGAP29, IL6ST, EPAS1, TIE1, KDR, TACC1, ADAMTS9, SHANK3, ARGLU1, SEC14L1, SLC2A3, TCF4, PRCP
304
AIZARANI_LIVER_C29_MVECS_2 3.56e-39 105.37 57.55 3.41e-37 2.39e-36
27CD34, FLT1, F8, APOLD1, A2M, EFNB2, PLPP3, NOTCH4, TIMP3, CD93, EMCN, SPTBN1, PTPRB, CDH5, ADGRF5, CALCRL, EPAS1, PECAM1, TIE1, LRRC32, TACC1, PLVAP, ADAMTS9, NEDD9, SEC14L1, TCF4, ELK3
313
AIZARANI_LIVER_C20_LSECS_3 7.47e-38 103.66 56.47 6.27e-36 5.01e-35
26FLT1, BTNL9, F8, APOLD1, EFNB2, PLPP3, NOTCH4, TIMP3, CD93, COL4A1, PTPRB, CDH5, ADGRF5, ARHGAP29, IL6ST, EPAS1, TIE1, LRRC32, KDR, ADAMTS9, SHANK3, ARGLU1, SEC14L1, SLC2A3, TCF4, PRCP
295
LAKE_ADULT_KIDNEY_C24_ENDOTHELIAL_CELLS_AEA_AND_DVR 3.71e-26 98.13 49.94 1.31e-24 2.49e-23
17FLT1, A2M, TIMP3, CD93, EMCN, SPTBN1, PTPRB, CHRM3, ADGRF5, IL6ST, EPAS1, PECAM1, PODXL, TACC1, ADAMTS9, ARGLU1, TCF4
152
DESCARTES_FETAL_PLACENTA_VASCULAR_ENDOTHELIAL_CELLS 7.75e-21 101.36 47.82 2.17e-19 5.20e-18
13CD34, NOTCH4, CD93, HECW2, APLNR, CDH5, ADGRF5, TIE1, KDR, PLVAP, JCAD, SHANK3, ARHGEF15
102
LAKE_ADULT_KIDNEY_C23_ENDOTHELIAL_CELLS_AVR 1.57e-21 89.22 43.26 4.57e-20 1.05e-18
14FLT1, PLPP3, TIMP3, EMCN, SPTBN1, PTPRB, ADGRF5, ARHGAP29, IL6ST, EPAS1, PECAM1, TGFBR2, ADAMTS9, TCF4
126

Dowload full table

mSigDB Hallmark Gene Sets:

P-value OR Lower 95% CI FDR FWER Genes Found Gene Set Size
HALLMARK_COAGULATION 1.46e-04 16.71 4.31 7.29e-03 7.29e-03
4F8, A2M, TIMP3, PECAM1
138
HALLMARK_MITOTIC_SPINDLE 6.64e-03 8.39 1.66 6.73e-02 3.32e-01
3SPTBN1, ARHGAP29, NEDD9
199
HALLMARK_TNFA_SIGNALING_VIA_NFKB 6.73e-03 8.34 1.65 6.73e-02 3.37e-01
3PLPP3, IL6ST, SLC2A3
200
HALLMARK_COMPLEMENT 6.73e-03 8.34 1.65 6.73e-02 3.37e-01
3F8, NOTCH4, PRCP
200
HALLMARK_KRAS_SIGNALING_UP 6.73e-03 8.34 1.65 6.73e-02 3.37e-01
3PECAM1, PLVAP, ETS1
200
HALLMARK_IL6_JAK_STAT3_SIGNALING 1.23e-02 12.62 1.46 1.03e-01 6.15e-01
2A2M, IL6ST
87
HALLMARK_UV_RESPONSE_DN 3.15e-02 7.56 0.88 2.18e-01 1.00e+00
2PLPP3, TGFBR2
144
HALLMARK_APOPTOSIS 3.85e-02 6.75 0.79 2.18e-01 1.00e+00
2TIMP3, NEDD9
161
HALLMARK_HYPOXIA 5.67e-02 5.42 0.63 2.18e-01 1.00e+00
2ETS1, SLC2A3
200
HALLMARK_ESTROGEN_RESPONSE_EARLY 5.67e-02 5.42 0.63 2.18e-01 1.00e+00
2IL6ST, PODXL
200
HALLMARK_APICAL_JUNCTION 5.67e-02 5.42 0.63 2.18e-01 1.00e+00
2CD34, PECAM1
200
HALLMARK_EPITHELIAL_MESENCHYMAL_TRANSITION 5.67e-02 5.42 0.63 2.18e-01 1.00e+00
2TIMP3, COL4A1
200
HALLMARK_INFLAMMATORY_RESPONSE 5.67e-02 5.42 0.63 2.18e-01 1.00e+00
2APLNR, CALCRL
200
HALLMARK_WNT_BETA_CATENIN_SIGNALING 7.81e-02 12.81 0.31 2.79e-01 1.00e+00
1NOTCH4
42
HALLMARK_TGF_BETA_SIGNALING 9.93e-02 9.91 0.24 3.31e-01 1.00e+00
1SPTBN1
54
HALLMARK_UV_RESPONSE_UP 2.63e-01 3.35 0.08 6.97e-01 1.00e+00
1IL6ST
158
HALLMARK_IL2_STAT5_SIGNALING 3.19e-01 2.66 0.07 6.97e-01 1.00e+00
1SLC2A3
199
HALLMARK_ADIPOGENESIS 3.20e-01 2.64 0.07 6.97e-01 1.00e+00
1COL4A1
200
HALLMARK_ESTROGEN_RESPONSE_LATE 3.20e-01 2.64 0.07 6.97e-01 1.00e+00
1IL6ST
200
HALLMARK_MYOGENESIS 3.20e-01 2.64 0.07 6.97e-01 1.00e+00
1APLNR
200

Dowload full table

KEGG Pathways:

P-value OR Lower 95% CI FDR FWER Genes Found Gene Set Size
KEGG_DORSO_VENTRAL_AXIS_FORMATION 9.86e-04 48.67 5.41 1.01e-01 1.83e-01
2NOTCH4, ETS1
24
KEGG_CELL_ADHESION_MOLECULES_CAMS 2.16e-03 12.64 2.49 1.01e-01 4.03e-01
3CD34, CDH5, PECAM1
133
KEGG_CYTOKINE_CYTOKINE_RECEPTOR_INTERACTION 1.66e-03 8.58 2.23 1.01e-01 3.09e-01
4FLT1, IL6ST, TGFBR2, KDR
265
KEGG_NEUROACTIVE_LIGAND_RECEPTOR_INTERACTION 1.83e-03 8.36 2.17 1.01e-01 3.40e-01
4EDNRB, APLNR, CHRM3, CALCRL
272
KEGG_COMPLEMENT_AND_COAGULATION_CASCADES 7.90e-03 16.01 1.85 1.64e-01 1.00e+00
2F8, A2M
69
KEGG_ENDOCYTOSIS 5.12e-03 9.24 1.82 1.59e-01 9.52e-01
3FLT1, EHD3, KDR
181
KEGG_RENAL_CELL_CARCINOMA 8.12e-03 15.78 1.82 1.64e-01 1.00e+00
2EPAS1, ETS1
70
KEGG_PATHWAYS_IN_CANCER 3.45e-03 6.98 1.81 1.28e-01 6.41e-01
4COL4A1, EPAS1, TGFBR2, ETS1
325
KEGG_ADHERENS_JUNCTION 8.81e-03 15.11 1.75 1.64e-01 1.00e+00
2PTPRB, TGFBR2
73
KEGG_FOCAL_ADHESION 6.64e-03 8.39 1.66 1.64e-01 1.00e+00
3FLT1, COL4A1, KDR
199
KEGG_ECM_RECEPTOR_INTERACTION 1.15e-02 13.08 1.52 1.95e-01 1.00e+00
2HSPG2, COL4A1
84
KEGG_LEUKOCYTE_TRANSENDOTHELIAL_MIGRATION 2.11e-02 9.41 1.10 3.28e-01 1.00e+00
2CDH5, PECAM1
116
KEGG_AXON_GUIDANCE 2.57e-02 8.45 0.98 3.68e-01 1.00e+00
2EFNB2, EFNB1
129
KEGG_CALCIUM_SIGNALING_PATHWAY 4.61e-02 6.10 0.71 6.13e-01 1.00e+00
2EDNRB, CHRM3
178
KEGG_MAPK_SIGNALING_PATHWAY 9.29e-02 4.05 0.47 9.10e-01 1.00e+00
2TGFBR2, RASGRP3
267
KEGG_ETHER_LIPID_METABOLISM 6.19e-02 16.42 0.40 7.68e-01 1.00e+00
1PLPP3
33
KEGG_SPHINGOLIPID_METABOLISM 7.28e-02 13.83 0.33 8.46e-01 1.00e+00
1PLPP3
39
KEGG_NOTCH_SIGNALING_PATHWAY 8.70e-02 11.42 0.28 9.10e-01 1.00e+00
1NOTCH4
47
KEGG_GLYCEROLIPID_METABOLISM 9.06e-02 10.95 0.27 9.10e-01 1.00e+00
1PLPP3
49
KEGG_COLORECTAL_CANCER 1.13e-01 8.62 0.21 1.00e+00 1.00e+00
1TGFBR2
62

Dowload full table

CHR Positional Gene Sets:

P-value OR Lower 95% CI FDR FWER Genes Found Gene Set Size
chr13q33 5.09e-03 20.24 2.32 1.00e+00 1.00e+00
2EFNB2, ARGLU1
55
chr2q32 1.85e-02 10.12 1.18 1.00e+00 1.00e+00
2HECW2, CALCRL
108
chr12p13 2.58e-02 4.98 0.99 1.00e+00 1.00e+00
3APOLD1, A2M, SLC2A3
333
chr12q15 1.01e-01 9.73 0.24 1.00e+00 1.00e+00
1PTPRB
55
chr4q24 1.03e-01 9.56 0.23 1.00e+00 1.00e+00
1EMCN
56
chr6q13 1.03e-01 9.56 0.23 1.00e+00 1.00e+00
1CD109
56
chr6p24 1.05e-01 9.39 0.23 1.00e+00 1.00e+00
1NEDD9
57
chr1q43 1.10e-01 8.91 0.22 1.00e+00 1.00e+00
1CHRM3
60
chr13q22 1.11e-01 8.76 0.21 1.00e+00 1.00e+00
1EDNRB
61
chr16q21 1.33e-01 7.20 0.18 1.00e+00 1.00e+00
1CDH5
74
chr4q12 1.42e-01 6.74 0.17 1.00e+00 1.00e+00
1KDR
79
chr2p21 1.43e-01 6.65 0.16 1.00e+00 1.00e+00
1EPAS1
80
chr5q11 1.52e-01 6.26 0.15 1.00e+00 1.00e+00
1IL6ST
85
chr7q32 1.60e-01 5.91 0.14 1.00e+00 1.00e+00
1PODXL
90
chr8p11 1.68e-01 5.59 0.14 1.00e+00 1.00e+00
1TACC1
95
chr2p22 1.73e-01 5.42 0.13 1.00e+00 1.00e+00
1RASGRP3
98
chr3p24 1.74e-01 5.36 0.13 1.00e+00 1.00e+00
1TGFBR2
99
chr17q23 1.95e-01 4.74 0.12 1.00e+00 1.00e+00
1PECAM1
112
chr2p16 1.98e-01 4.65 0.11 1.00e+00 1.00e+00
1SPTBN1
114
chr3p14 2.10e-01 4.34 0.11 1.00e+00 1.00e+00
1ADAMTS9
122

Dowload full table

Transcription Factor Targets:

P-value OR Lower 95% CI FDR FWER Genes Found Gene Set Size
RYTTCCTG_ETS2_B 6.59e-07 7.40 3.51 7.47e-04 7.47e-04
12FLT1, APOLD1, NOTCH4, CD93, CDH5, CALCRL, TGFBR2, RASGRP3, NEDD9, ETS1, ARHGEF15, ELK3
1112
STAT5A_03 1.78e-04 10.64 3.27 5.03e-02 2.01e-01
5FLT1, HSPG2, EMCN, TIE1, TCF4
274
GGGTGGRR_PAX4_03 3.38e-06 6.27 2.98 1.91e-03 3.83e-03
12FLT1, A2M, HSPG2, EFNB2, PLPP3, CD109, TIE1, EFNB1, ADAMTS9, TCF4, ARHGEF15, ELK3
1310
TFEB_TARGET_GENES 5.89e-06 5.92 2.81 2.22e-03 6.67e-03
12CD34, APOLD1, HECW2, CDH5, EPAS1, TGFBR2, RASGRP3, SEC14L1, SLC2A3, TCF4, PRCP, ELK3
1387
PR_02 2.26e-03 12.45 2.45 1.50e-01 1.00e+00
3SPTBN1, CALCRL, ETS1
135
RGAGGAARY_PU1_Q6 4.17e-04 6.90 2.39 6.94e-02 4.72e-01
6EMCN, TIE1, LRRC32, RASGRP3, PLVAP, ARHGEF15
515
ELF1_Q6 1.33e-03 9.14 2.37 1.32e-01 1.00e+00
4CDH5, CALCRL, TIE1, RASGRP3
249
AREB6_04 1.41e-03 8.99 2.33 1.32e-01 1.00e+00
4APOLD1, EFNB2, NEDD9, TCF4
253
STAT_01 1.51e-03 8.82 2.29 1.32e-01 1.00e+00
4FLT1, EMCN, IL6ST, ADAMTS9
258
PR_01 2.98e-03 11.26 2.22 1.67e-01 1.00e+00
3CD109, TIE1, ETS1
149
STAT4_01 1.73e-03 8.48 2.20 1.38e-01 1.00e+00
4FLT1, NOTCH4, LRRC32, ETS1
268
CYTAGCAAY_UNKNOWN 3.09e-03 11.11 2.19 1.67e-01 1.00e+00
3HSPG2, NEDD9, SEC14L1
151
STAT6_01 1.83e-03 8.36 2.17 1.38e-01 1.00e+00
4HSPG2, EMCN, TACC1, TCF4
272
RTAAACA_FREAC2_01 3.22e-04 5.28 2.13 6.94e-02 3.65e-01
8HSPG2, PLPP3, NOTCH4, IL6ST, CD109, ETS1, TCF4, ELK3
938
AR_01 3.57e-03 10.54 2.08 1.84e-01 1.00e+00
3NOTCH4, SPTBN1, CALCRL
159
RNGTGGGC_UNKNOWN 6.24e-04 5.40 2.04 7.07e-02 7.07e-01
7FLT1, APLNR, CDH5, EPAS1, EFNB1, ADAMTS9, NEDD9
784
TERF1_TARGET_GENES 2.45e-03 7.70 2.00 1.54e-01 1.00e+00
4NOTCH4, RASGRP3, TACC1, NEDD9
295
ZSCAN4_TARGET_GENES 5.51e-04 4.85 1.96 6.94e-02 6.25e-01
8APOLD1, HECW2, CALCRL, CD109, RASGRP3, JCAD, TCF4, ARHGEF15
1020
MAML1_TARGET_GENES 2.98e-03 7.27 1.89 1.67e-01 1.00e+00
4F8, RASGRP3, NEDD9, SEC14L1
312
AACTTT_UNKNOWN 5.31e-04 3.79 1.75 6.94e-02 6.01e-01
11CD34, HSPG2, EFNB2, PLPP3, TIMP3, EMCN, CDH5, IL6ST, ADAMTS9, TCF4, ELK3
1928

Dowload full table

GO Biological Processes:

P-value OR Lower 95% CI FDR FWER Genes Found Gene Set Size
GOBP_ANGIOGENESIS_INVOLVED_IN_WOUND_HEALING 2.84e-07 89.45 21.75 7.59e-05 2.13e-03
4CD34, KDR, ETS1, PRCP
29
GOBP_BLOOD_COAGULATION_INTRINSIC_PATHWAY 5.46e-06 109.20 19.64 7.85e-04 4.08e-02
3F8, A2M, PRCP
18
GOBP_BRANCHING_INVOLVED_IN_BLOOD_VESSEL_MORPHOGENESIS 5.51e-07 74.47 18.34 1.33e-04 4.12e-03
4NOTCH4, COL4A1, TGFBR2, KDR
34
GOBP_VASCULATURE_DEVELOPMENT 2.47e-22 28.75 15.69 1.85e-18 1.85e-18
23CD34, FLT1, APOLD1, HSPG2, EFNB2, NOTCH4, COL4A1, APLNR, PTPRB, CDH5, ADGRF5, CALCRL, EPAS1, PECAM1, TIE1, TGFBR2, KDR, JCAD, ADAMTS9, ETS1, ARHGEF15, PRCP, ELK3
786
GOBP_BLOOD_VESSEL_MORPHOGENESIS 8.96e-21 28.42 15.33 3.00e-17 6.70e-17
21CD34, FLT1, APOLD1, HSPG2, EFNB2, NOTCH4, COL4A1, APLNR, PTPRB, CDH5, ADGRF5, CALCRL, EPAS1, TIE1, TGFBR2, KDR, JCAD, ADAMTS9, ETS1, PRCP, ELK3
677
GOBP_GLOMERULAR_EPITHELIUM_DEVELOPMENT 1.34e-05 78.22 14.44 1.86e-03 1.00e-01
3CD34, PECAM1, PODXL
24
GOBP_POSITIVE_REGULATION_OF_VASCULATURE_DEVELOPMENT 4.58e-11 34.04 14.31 4.28e-08 3.42e-07
9CD34, FLT1, APLNR, CDH5, TIE1, TGFBR2, KDR, JCAD, ETS1
175
GOBP_TUBE_MORPHOGENESIS 1.14e-19 23.06 12.52 2.13e-16 8.53e-16
22CD34, FLT1, APOLD1, HSPG2, EFNB2, NOTCH4, COL4A1, APLNR, PTPRB, CDH5, ADGRF5, CALCRL, EPAS1, TIE1, TGFBR2, KDR, PODXL, JCAD, ADAMTS9, ETS1, PRCP, ELK3
900
GOBP_TUBE_DEVELOPMENT 1.20e-20 22.42 12.28 3.00e-17 8.99e-17
24CD34, FLT1, APOLD1, EDNRB, HSPG2, EFNB2, NOTCH4, COL4A1, APLNR, PTPRB, CDH5, ADGRF5, CALCRL, IL6ST, EPAS1, TIE1, TGFBR2, KDR, PODXL, JCAD, ADAMTS9, ETS1, PRCP, ELK3
1085
GOBP_PROTEIN_ACTIVATION_CASCADE 2.16e-05 65.64 12.27 2.80e-03 1.61e-01
3F8, A2M, PRCP
28
GOBP_SURFACTANT_HOMEOSTASIS 2.00e-04 118.87 12.19 1.74e-02 1.00e+00
2ADGRF5, EPAS1
11
GOBP_RETINA_VASCULATURE_MORPHOGENESIS_IN_CAMERA_TYPE_EYE 2.00e-04 118.87 12.19 1.74e-02 1.00e+00
2COL4A1, ARHGEF15
11
GOBP_ENDOTHELIUM_DEVELOPMENT 8.10e-09 32.24 12.01 3.19e-06 6.06e-05
7CD34, APOLD1, NOTCH4, CDH5, PECAM1, TIE1, KDR
137
GOBP_VASCULOGENESIS 4.15e-07 39.17 11.80 1.04e-04 3.11e-03
5CD34, APLNR, TIE1, TGFBR2, KDR
78
GOBP_POSITIVE_REGULATION_OF_VASCULOGENESIS 2.40e-04 106.92 11.12 1.93e-02 1.00e+00
2CD34, KDR
12
GOBP_CIRCULATORY_SYSTEM_DEVELOPMENT 7.43e-19 19.66 10.73 1.11e-15 5.56e-15
23CD34, FLT1, APOLD1, HSPG2, EFNB2, NOTCH4, COL4A1, APLNR, PTPRB, CDH5, ADGRF5, CALCRL, EPAS1, PECAM1, TIE1, TGFBR2, KDR, JCAD, ADAMTS9, ETS1, ARHGEF15, PRCP, ELK3
1140
GOBP_CHEMICAL_HOMEOSTASIS_WITHIN_A_TISSUE 2.83e-04 97.16 10.22 2.22e-02 1.00e+00
2ADGRF5, EPAS1
13
GOBP_REGULATION_OF_VASCULATURE_DEVELOPMENT 3.74e-11 22.01 10.07 4.00e-08 2.80e-07
11CD34, FLT1, HSPG2, APLNR, CDH5, TIE1, TGFBR2, KDR, JCAD, ADAMTS9, ETS1
341
GOBP_ANATOMICAL_STRUCTURE_FORMATION_INVOLVED_IN_MORPHOGENESIS 1.46e-17 18.08 9.82 1.83e-14 1.10e-13
22CD34, FLT1, APOLD1, HSPG2, EFNB2, NOTCH4, COL4A1, APLNR, PTPRB, CDH5, CALCRL, EPAS1, CD109, TIE1, TGFBR2, KDR, PODXL, JCAD, ADAMTS9, ETS1, PRCP, ELK3
1142
GOBP_REGULATION_OF_VASCULOGENESIS 4.33e-04 76.37 8.22 3.12e-02 1.00e+00
2CD34, KDR
16

Dowload full table

Immunological Gene Sets:

P-value OR Lower 95% CI FDR FWER Genes Found Gene Set Size
GSE7852_THYMUS_VS_FAT_TCONV_DN 2.30e-06 18.10 6.23 3.73e-03 1.12e-02
6FLT1, EFNB2, CD93, COL4A1, PTPRB, JCAD
200
GSE21379_WT_VS_SAP_KO_TFH_CD4_TCELL_UP 2.30e-06 18.10 6.23 3.73e-03 1.12e-02
6COL4A1, APLNR, CDH5, ARHGAP29, TIE1, KDR
200
GSE41867_DAY8_VS_DAY15_LCMV_CLONE13_EFFECTOR_CD8_TCELL_UP 2.30e-06 18.10 6.23 3.73e-03 1.12e-02
6APOLD1, CD93, IL6ST, PECAM1, TACC1, ETS1
200
GSE3920_IFNA_VS_IFNB_TREATED_ENDOTHELIAL_CELL_DN 1.68e-05 17.77 5.44 1.81e-02 8.21e-02
5EPAS1, CD109, LRRC32, PODXL, TACC1
166
GSE2706_2H_VS_8H_R848_STIM_DC_UP 3.54e-05 15.14 4.64 1.81e-02 1.72e-01
5F8, PLPP3, SPTBN1, PECAM1, SLC2A3
194
GSE14000_4H_VS_16H_LPS_DC_TRANSLATED_RNA_UP 3.72e-05 14.98 4.59 1.81e-02 1.81e-01
5CD93, EPAS1, PECAM1, TACC1, SLC2A3
196
GSE3982_BCELL_VS_CENT_MEMORY_CD4_TCELL_UP 3.90e-05 14.83 4.54 1.81e-02 1.90e-01
5EHD3, PECAM1, RASGRP3, SEC14L1, TCF4
198
GSE32986_GMCSF_VS_GMCSF_AND_CURDLAN_HIGHDOSE_STIM_DC_DN 3.90e-05 14.83 4.54 1.81e-02 1.90e-01
5ARHGAP29, IL6ST, PECAM1, RASGRP3, NEDD9
198
GSE17721_PAM3CSK4_VS_CPG_16H_BMDC_UP 4.09e-05 14.68 4.50 1.81e-02 1.99e-01
5SPTBN1, CALCRL, NEDD9, SHANK3, ARGLU1
200
GSE20715_0H_VS_24H_OZONE_LUNG_UP 4.09e-05 14.68 4.50 1.81e-02 1.99e-01
5CDH5, PECAM1, KDR, ETS1, ELK3
200
GSE43955_TH0_VS_TGFB_IL6_TH17_ACT_CD4_TCELL_10H_UP 4.09e-05 14.68 4.50 1.81e-02 1.99e-01
5EDNRB, TIMP3, CD93, IL6ST, KDR
200
GSE40274_CTRL_VS_FOXP3_AND_EOS_TRANSDUCED_ACTIVATED_CD4_TCELL_UP 3.15e-04 13.58 3.51 3.95e-02 1.00e+00
4PODXL, RASGRP3, ETS1, PRCP
169
GSE40274_CTRL_VS_LEF1_TRANSDUCED_ACTIVATED_CD4_TCELL_UP 3.29e-04 13.41 3.47 3.95e-02 1.00e+00
4RASGRP3, SEC14L1, SLC2A3, PRCP
171
GSE40274_CTRL_VS_XBP1_TRANSDUCED_ACTIVATED_CD4_TCELL_UP 3.29e-04 13.41 3.47 3.95e-02 1.00e+00
4CDH5, EHD3, CALCRL, SLC2A3
171
GSE37605_FOXP3_FUSION_GFP_VS_IRES_GFP_TREG_C57BL6_DN 3.67e-04 13.02 3.37 3.95e-02 1.00e+00
4CD93, ARHGAP29, LRRC32, ADAMTS9
176
GSE34156_UNTREATED_VS_6H_NOD2_AND_TLR1_TLR2_LIGAND_TREATED_MONOCYTE_UP 4.70e-04 12.17 3.15 3.95e-02 1.00e+00
4F8, EDNRB, CALCRL, TIE1
188
GSE29618_BCELL_VS_MDC_DAY7_FLU_VACCINE_UP 4.99e-04 11.98 3.10 3.95e-02 1.00e+00
4SPTBN1, RASGRP3, ETS1, TCF4
191
GSE26928_NAIVE_VS_CENT_MEMORY_CD4_TCELL_DN 5.19e-04 11.85 3.07 3.95e-02 1.00e+00
4CD109, SEC14L1, SLC2A3, ELK3
193
GSE10325_LUPUS_BCELL_VS_LUPUS_MYELOID_UP 5.29e-04 11.79 3.05 3.95e-02 1.00e+00
4SPTBN1, EHD3, RASGRP3, TCF4
194
GSE26928_NAIVE_VS_EFF_MEMORY_CD4_TCELL_DN 5.29e-04 11.79 3.05 3.95e-02 1.00e+00
4CD34, FLT1, CD109, SLC2A3
194

Dowload full table

Top Ranked Transcription Factors for this Gene Expression Program:

Gene Symbol TF Rank DNA Binding Domain Motif Status IUPAC PWM GTEx DepMap Decartes
PLPP3 10 No Unlikely to be sequence specific TF Not a DNA binding protein No motif None None
EPAS1 27 Yes Known motif Monomer or homomultimer In vivo/Misc source Only known motifs are from Transfac or HocoMoco - origin is uncertain None
ETS1 44 Yes Known motif Monomer or homomultimer High-throughput in vitro None None
TCF4 47 Yes Known motif Monomer or homomultimer High-throughput in vitro None None
ELK3 50 Yes Known motif Monomer or homomultimer High-throughput in vitro None None
RAPGEF5 57 No Unlikely to be sequence specific TF Not a DNA binding protein No motif None None
CD36 63 No Unlikely to be sequence specific TF Not a DNA binding protein No motif None None
PLXND1 68 No Unlikely to be sequence specific TF Not a DNA binding protein No motif None Protein is a semaphorin receptor that operates far upstream on the signaling cascade.
MEF2C 69 Yes Known motif Monomer or homomultimer High-throughput in vitro None None
ICAM1 71 No Unlikely to be sequence specific TF Not a DNA binding protein No motif None None
BCL6B 72 Yes Known motif Monomer or homomultimer High-throughput in vitro None None
HIPK2 74 No Unlikely to be sequence specific TF Not a DNA binding protein No motif None Transcriptional cofactor that can act as a coactivator or corepressor. Phosphorylates many transcription factors. (UniProt Q9H2X6)
PBX1 75 Yes Known motif Monomer or homomultimer High-throughput in vitro None None
MEF2A 77 Yes Known motif Monomer or homomultimer High-throughput in vitro None None
FZD4 79 No Unlikely to be sequence specific TF Not a DNA binding protein No motif None None
TNFAIP3 84 No Unlikely to be sequence specific TF Not a DNA binding protein No motif None Inhibits NFKB-activation. No evidence for direct binding to DNA
LPP 85 No Unlikely to be sequence specific TF Not a DNA binding protein No motif None znfLIM is probably not a DNA binding domain (PMID: 8506279). The protein has been reported to be coactivator for ETV4 (PMID: 16738319).
JUP 118 No Unlikely to be sequence specific TF Not a DNA binding protein No motif None None
RAPGEF4 126 No Unlikely to be sequence specific TF Not a DNA binding protein No motif None None
HIF3A 128 Yes Inferred motif Obligate heteromer In vivo/Misc source None Binds DNA as a heterodimer with ARNT and ARNT2; reviewed in (PMID: 24099156).



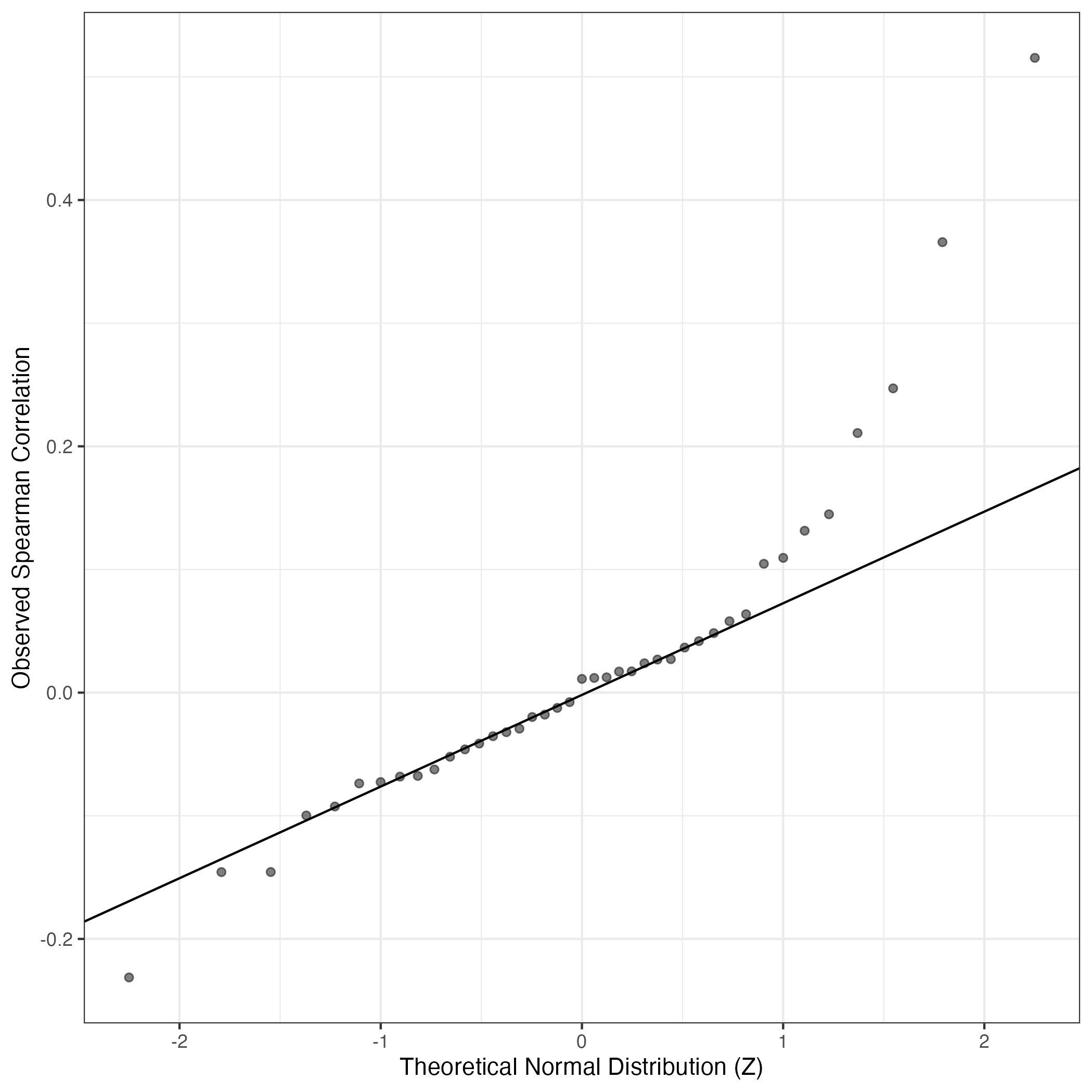
QQ Plot showing correlations with other GEPs in this dataset, calculated by Spearman correlation:

Interactive QQ-plot of gene loadings:

Interactive QQ Plot


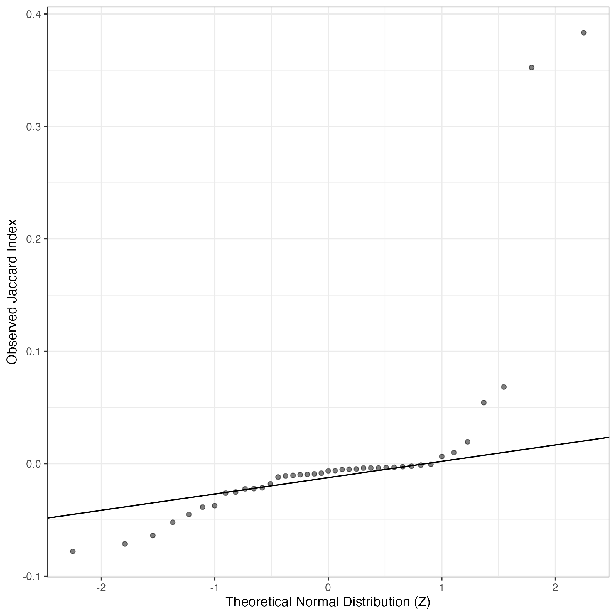
A similar QQ-plot as above, but only for instances where the H value is e.g. > 25, i.e. we are confident that the expression program is active above noise. Agreemenet between these binary vectors is tested using the Jaccard Index, with the P-values calculated by an exact test:

Interactive QQ-plot:

Interactive QQ Plot


Singler cell type annotations for the top 50 cells on this program.

Cell ID Singler label Singler Delta Activity Score Top Singler Raw Scores
R48a_w14.5_CCCTCAACATGACGTT-1 Endothelial_cells:lymphatic 0.18 471.63
Raw ScoresEndothelial_cells:lymphatic:TNFa_48h: 0.53, Endothelial_cells:HUVEC: 0.52, Endothelial_cells:HUVEC:VEGF: 0.51, Endothelial_cells:HUVEC:IL-1b: 0.51, Endothelial_cells:HUVEC:PR8-infected: 0.5, Endothelial_cells:lymphatic: 0.5, Endothelial_cells:HUVEC:H5N1-infected: 0.5, Endothelial_cells:lymphatic:KSHV: 0.5, Endothelial_cells:HUVEC:FPV-infected: 0.5, Endothelial_cells:HUVEC:Serum_Amyloid_A: 0.5
R53b_w11.5_TGAGGGATCCATTCGC-1 Endothelial_cells:lymphatic:KSHV 0.19 439.03
Raw ScoresEndothelial_cells:lymphatic:TNFa_48h: 0.56, Endothelial_cells:lymphatic:KSHV: 0.56, Endothelial_cells:HUVEC: 0.55, Endothelial_cells:HUVEC:IL-1b: 0.55, Endothelial_cells:HUVEC:VEGF: 0.55, Endothelial_cells:lymphatic: 0.54, Endothelial_cells:HUVEC:Serum_Amyloid_A: 0.54, Endothelial_cells:HUVEC:PR8-infected: 0.54, Endothelial_cells:HUVEC:FPV-infected: 0.53, Endothelial_cells:HUVEC:H5N1-infected: 0.53
R48a_w14.5_ACTTTGTCAAGAGATT-1 Endothelial_cells:lymphatic:KSHV 0.19 426.61
Raw ScoresEndothelial_cells:lymphatic:TNFa_48h: 0.55, Endothelial_cells:HUVEC: 0.53, Endothelial_cells:HUVEC:VEGF: 0.53, Endothelial_cells:HUVEC:IL-1b: 0.53, Endothelial_cells:lymphatic:KSHV: 0.52, Endothelial_cells:lymphatic: 0.52, Endothelial_cells:HUVEC:PR8-infected: 0.51, Endothelial_cells:HUVEC:Serum_Amyloid_A: 0.51, Endothelial_cells:HUVEC:H5N1-infected: 0.51, Endothelial_cells:HUVEC:FPV-infected: 0.51
R48a_w14.5_TGGTACAAGAGACAAG-1 Endothelial_cells:lymphatic 0.18 424.63
Raw ScoresEndothelial_cells:lymphatic: 0.52, Endothelial_cells:lymphatic:TNFa_48h: 0.52, Endothelial_cells:lymphatic:KSHV: 0.5, Endothelial_cells:blood_vessel: 0.5, Endothelial_cells:HUVEC: 0.49, Endothelial_cells:HUVEC:VEGF: 0.49, Endothelial_cells:HUVEC:FPV-infected: 0.49, Endothelial_cells:HUVEC:PR8-infected: 0.48, Endothelial_cells:HUVEC:Serum_Amyloid_A: 0.48, Endothelial_cells:HUVEC:H5N1-infected: 0.48
R53c_w9.5_ATACCGATCCTTCTAA-1 Endothelial_cells:lymphatic 0.18 407.86
Raw ScoresEndothelial_cells:lymphatic: 0.44, Endothelial_cells:lymphatic:TNFa_48h: 0.43, Endothelial_cells:lymphatic:KSHV: 0.42, Endothelial_cells:blood_vessel: 0.42, Endothelial_cells:HUVEC:VEGF: 0.41, Endothelial_cells:HUVEC: 0.41, Endothelial_cells:HUVEC:Serum_Amyloid_A: 0.41, Endothelial_cells:HUVEC:IL-1b: 0.4, Endothelial_cells:HUVEC:B._anthracis_LT: 0.39, Endothelial_cells:HUVEC:H5N1-infected: 0.39
R48a_w14.5_AAAGGATCAGATCCTA-1 Endothelial_cells:blood_vessel 0.16 393.47
Raw ScoresEndothelial_cells:lymphatic: 0.52, Endothelial_cells:lymphatic:TNFa_48h: 0.52, Endothelial_cells:lymphatic:KSHV: 0.51, Endothelial_cells:blood_vessel: 0.51, Endothelial_cells:HUVEC:VEGF: 0.49, Endothelial_cells:HUVEC: 0.49, Endothelial_cells:HUVEC:IL-1b: 0.49, Endothelial_cells:HUVEC:Serum_Amyloid_A: 0.49, Endothelial_cells:HUVEC:FPV-infected: 0.48, Endothelial_cells:HUVEC:PR8-infected: 0.48
R48c_w8.5_TATTCCAGTAAGGAGA-1 Endothelial_cells:lymphatic:KSHV 0.17 387.84
Raw ScoresEndothelial_cells:lymphatic: 0.46, Endothelial_cells:lymphatic:TNFa_48h: 0.45, Endothelial_cells:HUVEC:VEGF: 0.44, Endothelial_cells:blood_vessel: 0.43, Endothelial_cells:lymphatic:KSHV: 0.43, Endothelial_cells:HUVEC: 0.43, Endothelial_cells:HUVEC:Serum_Amyloid_A: 0.42, Endothelial_cells:HUVEC:IL-1b: 0.42, Endothelial_cells:HUVEC:PR8-infected: 0.41, Endothelial_cells:HUVEC:FPV-infected: 0.41
R53b_w11.5_GCCGATGGTGCACATT-1 Endothelial_cells:blood_vessel 0.17 387.80
Raw ScoresEndothelial_cells:lymphatic: 0.49, Endothelial_cells:lymphatic:TNFa_48h: 0.49, Endothelial_cells:blood_vessel: 0.48, Endothelial_cells:lymphatic:KSHV: 0.48, Endothelial_cells:HUVEC:Serum_Amyloid_A: 0.46, Endothelial_cells:HUVEC: 0.46, Endothelial_cells:HUVEC:IL-1b: 0.46, Endothelial_cells:HUVEC:VEGF: 0.46, Endothelial_cells:HUVEC:FPV-infected: 0.45, Endothelial_cells:HUVEC:PR8-infected: 0.45
R48a_w14.5_TGTCCTGGTGTCTTCC-1 Endothelial_cells:lymphatic 0.18 366.96
Raw ScoresEndothelial_cells:lymphatic:TNFa_48h: 0.48, Endothelial_cells:lymphatic: 0.47, Endothelial_cells:lymphatic:KSHV: 0.46, Endothelial_cells:blood_vessel: 0.46, Endothelial_cells:HUVEC:VEGF: 0.45, Endothelial_cells:HUVEC: 0.45, Endothelial_cells:HUVEC:FPV-infected: 0.44, Endothelial_cells:HUVEC:PR8-infected: 0.44, Endothelial_cells:HUVEC:Serum_Amyloid_A: 0.44, Endothelial_cells:HUVEC:IL-1b: 0.44
R53b_w11.5_TTTGGAGTCATAAGGA-1 Endothelial_cells:blood_vessel 0.16 364.80
Raw ScoresEndothelial_cells:lymphatic: 0.44, Endothelial_cells:lymphatic:TNFa_48h: 0.44, Endothelial_cells:lymphatic:KSHV: 0.42, Endothelial_cells:blood_vessel: 0.42, Endothelial_cells:HUVEC:Serum_Amyloid_A: 0.4, Endothelial_cells:HUVEC: 0.4, Endothelial_cells:HUVEC:IL-1b: 0.4, Endothelial_cells:HUVEC:VEGF: 0.39, Endothelial_cells:HUVEC:B._anthracis_LT: 0.39, Endothelial_cells:HUVEC:FPV-infected: 0.39
R53c_w9.5_CTCCCTCTCGAGAAGC-1 Endothelial_cells:blood_vessel 0.16 363.80
Raw ScoresEndothelial_cells:lymphatic: 0.43, Endothelial_cells:lymphatic:TNFa_48h: 0.43, Endothelial_cells:blood_vessel: 0.41, Endothelial_cells:lymphatic:KSHV: 0.41, Endothelial_cells:HUVEC:Serum_Amyloid_A: 0.4, Endothelial_cells:HUVEC:VEGF: 0.4, Endothelial_cells:HUVEC: 0.39, Endothelial_cells:HUVEC:B._anthracis_LT: 0.39, Endothelial_cells:HUVEC:IL-1b: 0.39, Endothelial_cells:HUVEC:PR8-infected: 0.38
R48c_w8.5_TCGAACATCCACTGGG-1 Endothelial_cells:lymphatic:KSHV 0.18 359.22
Raw ScoresEndothelial_cells:lymphatic: 0.49, Endothelial_cells:lymphatic:TNFa_48h: 0.48, Endothelial_cells:HUVEC:VEGF: 0.46, Endothelial_cells:lymphatic:KSHV: 0.46, Endothelial_cells:blood_vessel: 0.45, Endothelial_cells:HUVEC: 0.45, Endothelial_cells:HUVEC:Serum_Amyloid_A: 0.45, Endothelial_cells:HUVEC:IL-1b: 0.44, Endothelial_cells:HUVEC:B._anthracis_LT: 0.43, Endothelial_cells:HUVEC:FPV-infected: 0.43
R48a_w14.5_TCAAGCAAGAGCCGAT-1 Endothelial_cells:lymphatic 0.19 354.95
Raw ScoresEndothelial_cells:lymphatic:TNFa_48h: 0.54, Endothelial_cells:lymphatic: 0.53, Endothelial_cells:HUVEC:VEGF: 0.53, Endothelial_cells:HUVEC: 0.52, Endothelial_cells:lymphatic:KSHV: 0.52, Endothelial_cells:HUVEC:IL-1b: 0.51, Endothelial_cells:HUVEC:PR8-infected: 0.51, Endothelial_cells:HUVEC:Serum_Amyloid_A: 0.5, Endothelial_cells:HUVEC:FPV-infected: 0.5, Endothelial_cells:HUVEC:H5N1-infected: 0.5
R53b_w11.5_TTGGGATTCTTAGCTT-1 Endothelial_cells:blood_vessel 0.18 348.97
Raw ScoresEndothelial_cells:lymphatic: 0.52, Endothelial_cells:lymphatic:TNFa_48h: 0.52, Endothelial_cells:lymphatic:KSHV: 0.51, Endothelial_cells:blood_vessel: 0.51, Endothelial_cells:HUVEC:Serum_Amyloid_A: 0.49, Endothelial_cells:HUVEC:IL-1b: 0.49, Endothelial_cells:HUVEC:VEGF: 0.49, Endothelial_cells:HUVEC: 0.49, Endothelial_cells:HUVEC:B._anthracis_LT: 0.48, Endothelial_cells:HUVEC:FPV-infected: 0.47
R53c_w9.5_CATTTCAGTCCACTTC-1 Endothelial_cells:lymphatic:KSHV 0.16 340.91
Raw ScoresEndothelial_cells:lymphatic: 0.47, Endothelial_cells:lymphatic:TNFa_48h: 0.46, Endothelial_cells:lymphatic:KSHV: 0.45, Endothelial_cells:blood_vessel: 0.45, Endothelial_cells:HUVEC:VEGF: 0.44, Endothelial_cells:HUVEC: 0.44, Endothelial_cells:HUVEC:Serum_Amyloid_A: 0.44, Endothelial_cells:HUVEC:IL-1b: 0.43, Endothelial_cells:HUVEC:B._anthracis_LT: 0.43, Endothelial_cells:HUVEC:FPV-infected: 0.42
R53c_w9.5_TAAGTCGCACGGCACT-1 Endothelial_cells:blood_vessel 0.16 337.95
Raw ScoresEndothelial_cells:lymphatic: 0.42, Endothelial_cells:lymphatic:TNFa_48h: 0.42, Endothelial_cells:lymphatic:KSHV: 0.41, Endothelial_cells:blood_vessel: 0.4, Endothelial_cells:HUVEC:Serum_Amyloid_A: 0.39, Endothelial_cells:HUVEC:VEGF: 0.38, Endothelial_cells:HUVEC: 0.38, Endothelial_cells:HUVEC:B._anthracis_LT: 0.38, Endothelial_cells:HUVEC:IL-1b: 0.37, Endothelial_cells:HUVEC:FPV-infected: 0.37
R53c_w9.5_GCTGCAGCACCTAAAC-1 Endothelial_cells:lymphatic:TNFa_48h 0.17 328.16
Raw ScoresEndothelial_cells:lymphatic: 0.41, Endothelial_cells:lymphatic:TNFa_48h: 0.4, Endothelial_cells:lymphatic:KSHV: 0.38, Endothelial_cells:blood_vessel: 0.38, Endothelial_cells:HUVEC:VEGF: 0.38, Endothelial_cells:HUVEC:Serum_Amyloid_A: 0.38, Endothelial_cells:HUVEC: 0.38, Endothelial_cells:HUVEC:B._anthracis_LT: 0.36, Endothelial_cells:HUVEC:IL-1b: 0.36, Endothelial_cells:HUVEC:PR8-infected: 0.36
R48a_w14.5_GAGACCCTCGAGAGCA-1 Endothelial_cells:blood_vessel 0.17 328.11
Raw ScoresEndothelial_cells:lymphatic: 0.47, Endothelial_cells:lymphatic:TNFa_48h: 0.47, Endothelial_cells:lymphatic:KSHV: 0.46, Endothelial_cells:blood_vessel: 0.46, Endothelial_cells:HUVEC: 0.45, Endothelial_cells:HUVEC:VEGF: 0.45, Endothelial_cells:HUVEC:Serum_Amyloid_A: 0.45, Endothelial_cells:HUVEC:IL-1b: 0.44, Endothelial_cells:HUVEC:FPV-infected: 0.44, Endothelial_cells:HUVEC:B._anthracis_LT: 0.44
R53b_w11.5_CACAGATCACAGTATC-1 Endothelial_cells:blood_vessel 0.16 325.48
Raw ScoresEndothelial_cells:lymphatic: 0.5, Endothelial_cells:lymphatic:TNFa_48h: 0.49, Endothelial_cells:lymphatic:KSHV: 0.48, Endothelial_cells:blood_vessel: 0.48, Endothelial_cells:HUVEC: 0.46, Endothelial_cells:HUVEC:VEGF: 0.46, Endothelial_cells:HUVEC:Serum_Amyloid_A: 0.46, Endothelial_cells:HUVEC:IL-1b: 0.46, Endothelial_cells:HUVEC:B._anthracis_LT: 0.46, Endothelial_cells:HUVEC:PR8-infected: 0.45
R53c_w9.5_CTATCCGGTTGACTGT-1 Endothelial_cells:lymphatic 0.20 324.90
Raw ScoresEndothelial_cells:lymphatic:TNFa_48h: 0.49, Endothelial_cells:lymphatic: 0.49, Endothelial_cells:HUVEC:VEGF: 0.48, Endothelial_cells:HUVEC: 0.47, Endothelial_cells:lymphatic:KSHV: 0.47, Endothelial_cells:HUVEC:Serum_Amyloid_A: 0.46, Endothelial_cells:HUVEC:FPV-infected: 0.46, Endothelial_cells:HUVEC:IL-1b: 0.46, Endothelial_cells:HUVEC:B._anthracis_LT: 0.46, Endothelial_cells:blood_vessel: 0.46
R48a_w14.5_ATCTTCATCCATAGGT-1 Endothelial_cells:blood_vessel 0.17 322.97
Raw ScoresEndothelial_cells:lymphatic: 0.46, Endothelial_cells:lymphatic:TNFa_48h: 0.45, Endothelial_cells:lymphatic:KSHV: 0.45, Endothelial_cells:blood_vessel: 0.44, Endothelial_cells:HUVEC: 0.43, Endothelial_cells:HUVEC:Serum_Amyloid_A: 0.43, Endothelial_cells:HUVEC:VEGF: 0.43, Endothelial_cells:HUVEC:PR8-infected: 0.42, Endothelial_cells:HUVEC:IL-1b: 0.42, Endothelial_cells:HUVEC:B._anthracis_LT: 0.42
R30_w8.5_GGCACGTGTATAGGAT-1 Endothelial_cells:lymphatic:TNFa_48h 0.19 322.15
Raw ScoresEndothelial_cells:lymphatic: 0.46, Endothelial_cells:lymphatic:TNFa_48h: 0.46, Endothelial_cells:lymphatic:KSHV: 0.44, Endothelial_cells:blood_vessel: 0.43, Endothelial_cells:HUVEC:VEGF: 0.43, Endothelial_cells:HUVEC: 0.43, Endothelial_cells:HUVEC:Serum_Amyloid_A: 0.42, Endothelial_cells:HUVEC:FPV-infected: 0.42, Endothelial_cells:HUVEC:B._anthracis_LT: 0.42, Endothelial_cells:HUVEC:IL-1b: 0.42
R53c_w9.5_TTGTTTGGTGACTAAA-1 Endothelial_cells:lymphatic 0.18 321.57
Raw ScoresEndothelial_cells:lymphatic: 0.43, Endothelial_cells:lymphatic:TNFa_48h: 0.43, Endothelial_cells:blood_vessel: 0.42, Endothelial_cells:lymphatic:KSHV: 0.42, Endothelial_cells:HUVEC:VEGF: 0.4, Endothelial_cells:HUVEC:Serum_Amyloid_A: 0.4, Endothelial_cells:HUVEC: 0.4, Endothelial_cells:HUVEC:B._anthracis_LT: 0.39, Endothelial_cells:HUVEC:PR8-infected: 0.39, Endothelial_cells:HUVEC:IL-1b: 0.39
R48b_w12_GACAGCCTCCTCGATC-1 Endothelial_cells:blood_vessel 0.17 319.99
Raw ScoresEndothelial_cells:lymphatic: 0.5, Endothelial_cells:lymphatic:TNFa_48h: 0.5, Endothelial_cells:lymphatic:KSHV: 0.48, Endothelial_cells:blood_vessel: 0.47, Endothelial_cells:HUVEC:VEGF: 0.47, Endothelial_cells:HUVEC: 0.46, Endothelial_cells:HUVEC:IL-1b: 0.46, Endothelial_cells:HUVEC:Serum_Amyloid_A: 0.46, Endothelial_cells:HUVEC:PR8-infected: 0.46, Endothelial_cells:HUVEC:B._anthracis_LT: 0.46
R48b_w12_TTGATGGTCTACTCAT-1 Endothelial_cells:lymphatic:TNFa_48h 0.17 318.71
Raw ScoresEndothelial_cells:lymphatic: 0.43, Endothelial_cells:lymphatic:TNFa_48h: 0.43, Endothelial_cells:lymphatic:KSHV: 0.4, Endothelial_cells:blood_vessel: 0.4, Endothelial_cells:HUVEC:Serum_Amyloid_A: 0.4, Endothelial_cells:HUVEC:VEGF: 0.39, Endothelial_cells:HUVEC: 0.39, Endothelial_cells:HUVEC:IL-1b: 0.39, Endothelial_cells:HUVEC:B._anthracis_LT: 0.39, Endothelial_cells:HUVEC:PR8-infected: 0.38
R53a_w9.5_TACCCGTAGTAGCAAT-1 Endothelial_cells:blood_vessel 0.18 316.61
Raw ScoresEndothelial_cells:lymphatic: 0.44, Endothelial_cells:lymphatic:TNFa_48h: 0.44, Endothelial_cells:blood_vessel: 0.43, Endothelial_cells:lymphatic:KSHV: 0.43, Endothelial_cells:HUVEC:Serum_Amyloid_A: 0.42, Endothelial_cells:HUVEC: 0.41, Endothelial_cells:HUVEC:VEGF: 0.41, Endothelial_cells:HUVEC:IL-1b: 0.41, Endothelial_cells:HUVEC:B._anthracis_LT: 0.4, Endothelial_cells:HUVEC:FPV-infected: 0.4
R53c_w9.5_ATCCACCTCCACTTTA-1 Endothelial_cells:lymphatic:KSHV 0.15 313.98
Raw ScoresEndothelial_cells:lymphatic: 0.39, Endothelial_cells:lymphatic:TNFa_48h: 0.38, Endothelial_cells:HUVEC: 0.36, Endothelial_cells:HUVEC:VEGF: 0.36, Endothelial_cells:HUVEC:Serum_Amyloid_A: 0.36, Endothelial_cells:blood_vessel: 0.36, Endothelial_cells:lymphatic:KSHV: 0.36, Endothelial_cells:HUVEC:IL-1b: 0.34, Endothelial_cells:HUVEC:FPV-infected: 0.34, Endothelial_cells:HUVEC:H5N1-infected: 0.34
R48b_w12_GAACGTTAGACTACCT-1 Endothelial_cells:lymphatic 0.18 312.55
Raw ScoresEndothelial_cells:lymphatic: 0.45, Endothelial_cells:lymphatic:TNFa_48h: 0.44, Endothelial_cells:blood_vessel: 0.42, Endothelial_cells:lymphatic:KSHV: 0.42, Endothelial_cells:HUVEC:Serum_Amyloid_A: 0.41, Endothelial_cells:HUVEC: 0.41, Endothelial_cells:HUVEC:VEGF: 0.41, Endothelial_cells:HUVEC:FPV-infected: 0.4, Endothelial_cells:HUVEC:IL-1b: 0.4, Endothelial_cells:HUVEC:PR8-infected: 0.4
R48c_w8.5_TGTTCTACAAACGGCA-1 Endothelial_cells:blood_vessel 0.15 306.08
Raw ScoresEndothelial_cells:lymphatic: 0.39, Endothelial_cells:lymphatic:TNFa_48h: 0.39, Endothelial_cells:lymphatic:KSHV: 0.38, Endothelial_cells:blood_vessel: 0.38, Endothelial_cells:HUVEC: 0.36, Endothelial_cells:HUVEC:Serum_Amyloid_A: 0.36, Endothelial_cells:HUVEC:IL-1b: 0.36, Endothelial_cells:HUVEC:VEGF: 0.36, Endothelial_cells:HUVEC:PR8-infected: 0.35, Endothelial_cells:HUVEC:H5N1-infected: 0.35
R53c_w9.5_TATCGCCAGTGCCAGA-1 Endothelial_cells:blood_vessel 0.16 305.69
Raw ScoresEndothelial_cells:lymphatic: 0.46, Endothelial_cells:lymphatic:TNFa_48h: 0.45, Endothelial_cells:lymphatic:KSHV: 0.44, Endothelial_cells:blood_vessel: 0.44, Endothelial_cells:HUVEC:Serum_Amyloid_A: 0.42, Endothelial_cells:HUVEC: 0.42, Endothelial_cells:HUVEC:VEGF: 0.42, Endothelial_cells:HUVEC:B._anthracis_LT: 0.41, Endothelial_cells:HUVEC:IL-1b: 0.41, Endothelial_cells:HUVEC:FPV-infected: 0.41
R53a_w9.5_CCCAACTGTCGTTATG-1 Endothelial_cells:blood_vessel 0.17 304.62
Raw ScoresEndothelial_cells:lymphatic: 0.48, Endothelial_cells:lymphatic:TNFa_48h: 0.48, Endothelial_cells:lymphatic:KSHV: 0.47, Endothelial_cells:blood_vessel: 0.47, Endothelial_cells:HUVEC:Serum_Amyloid_A: 0.45, Endothelial_cells:HUVEC: 0.45, Endothelial_cells:HUVEC:IL-1b: 0.45, Endothelial_cells:HUVEC:VEGF: 0.45, Endothelial_cells:HUVEC:B._anthracis_LT: 0.45, Endothelial_cells:HUVEC:PR8-infected: 0.44
R48a_w14.5_GCTACCTCAGGCGTTC-1 Endothelial_cells:lymphatic:TNFa_48h 0.19 303.45
Raw ScoresEndothelial_cells:lymphatic: 0.46, Endothelial_cells:lymphatic:TNFa_48h: 0.46, Endothelial_cells:blood_vessel: 0.44, Endothelial_cells:lymphatic:KSHV: 0.43, Endothelial_cells:HUVEC:FPV-infected: 0.42, Endothelial_cells:HUVEC:Serum_Amyloid_A: 0.42, Endothelial_cells:HUVEC:PR8-infected: 0.42, Endothelial_cells:HUVEC: 0.42, Endothelial_cells:HUVEC:VEGF: 0.42, Endothelial_cells:HUVEC:B._anthracis_LT: 0.42
R53a_w9.5_CTCATGCTCCTAGCCT-1 Endothelial_cells:blood_vessel 0.17 303.21
Raw ScoresEndothelial_cells:lymphatic: 0.44, Endothelial_cells:lymphatic:TNFa_48h: 0.43, Endothelial_cells:blood_vessel: 0.43, Endothelial_cells:lymphatic:KSHV: 0.42, Endothelial_cells:HUVEC:VEGF: 0.41, Endothelial_cells:HUVEC:Serum_Amyloid_A: 0.41, Endothelial_cells:HUVEC: 0.41, Endothelial_cells:HUVEC:IL-1b: 0.4, Endothelial_cells:HUVEC:B._anthracis_LT: 0.4, Endothelial_cells:HUVEC:H5N1-infected: 0.39
R53a_w9.5_TAACGACTCATTGCTT-1 Endothelial_cells:lymphatic 0.16 301.73
Raw ScoresEndothelial_cells:lymphatic: 0.4, Endothelial_cells:lymphatic:TNFa_48h: 0.39, Endothelial_cells:lymphatic:KSHV: 0.38, Endothelial_cells:blood_vessel: 0.38, Endothelial_cells:HUVEC:Serum_Amyloid_A: 0.37, Endothelial_cells:HUVEC:VEGF: 0.37, Endothelial_cells:HUVEC: 0.37, Endothelial_cells:HUVEC:IL-1b: 0.36, Endothelial_cells:HUVEC:H5N1-infected: 0.36, Endothelial_cells:HUVEC:PR8-infected: 0.36
R48b_w12_GCCAGGTAGATAACAC-1 Endothelial_cells:lymphatic 0.17 300.49
Raw ScoresEndothelial_cells:lymphatic: 0.43, Endothelial_cells:lymphatic:TNFa_48h: 0.43, Endothelial_cells:lymphatic:KSHV: 0.41, Endothelial_cells:blood_vessel: 0.41, Endothelial_cells:HUVEC: 0.4, Endothelial_cells:HUVEC:Serum_Amyloid_A: 0.39, Endothelial_cells:HUVEC:VEGF: 0.39, Endothelial_cells:HUVEC:IL-1b: 0.39, Endothelial_cells:HUVEC:PR8-infected: 0.39, Endothelial_cells:HUVEC:B._anthracis_LT: 0.38
R63_w12GP_GGTTCTCGTTATCTGG-1 Endothelial_cells:blood_vessel 0.17 299.43
Raw ScoresEndothelial_cells:lymphatic: 0.5, Endothelial_cells:lymphatic:TNFa_48h: 0.5, Endothelial_cells:lymphatic:KSHV: 0.5, Endothelial_cells:blood_vessel: 0.5, Endothelial_cells:HUVEC: 0.47, Endothelial_cells:HUVEC:Serum_Amyloid_A: 0.47, Endothelial_cells:HUVEC:IL-1b: 0.47, Endothelial_cells:HUVEC:B._anthracis_LT: 0.47, Endothelial_cells:HUVEC:VEGF: 0.47, Endothelial_cells:HUVEC:PR8-infected: 0.47
R48a_w14.5_AAGATAGCACGGCCAT-1 Endothelial_cells:lymphatic 0.18 293.56
Raw ScoresEndothelial_cells:lymphatic: 0.44, Endothelial_cells:lymphatic:TNFa_48h: 0.43, Endothelial_cells:blood_vessel: 0.42, Endothelial_cells:lymphatic:KSHV: 0.42, Endothelial_cells:HUVEC:Serum_Amyloid_A: 0.41, Endothelial_cells:HUVEC:VEGF: 0.4, Endothelial_cells:HUVEC: 0.4, Endothelial_cells:HUVEC:IL-1b: 0.4, Endothelial_cells:HUVEC:PR8-infected: 0.39, Endothelial_cells:HUVEC:FPV-infected: 0.39
R53a_w9.5_CAATGACTCCATAGAC-1 Endothelial_cells:blood_vessel 0.16 292.79
Raw ScoresEndothelial_cells:lymphatic: 0.42, Endothelial_cells:lymphatic:TNFa_48h: 0.41, Endothelial_cells:blood_vessel: 0.4, Endothelial_cells:lymphatic:KSHV: 0.4, Endothelial_cells:HUVEC:Serum_Amyloid_A: 0.39, Endothelial_cells:HUVEC:VEGF: 0.39, Endothelial_cells:HUVEC: 0.39, Endothelial_cells:HUVEC:IL-1b: 0.38, Endothelial_cells:HUVEC:B._anthracis_LT: 0.38, Endothelial_cells:HUVEC:PR8-infected: 0.37
R53c_w9.5_AGATCCACAACAGCTT-1 Endothelial_cells:lymphatic 0.18 286.13
Raw ScoresEndothelial_cells:lymphatic:TNFa_48h: 0.48, Endothelial_cells:lymphatic: 0.47, Endothelial_cells:lymphatic:KSHV: 0.47, Endothelial_cells:HUVEC:VEGF: 0.46, Endothelial_cells:HUVEC: 0.45, Endothelial_cells:HUVEC:IL-1b: 0.45, Endothelial_cells:HUVEC:Serum_Amyloid_A: 0.45, Endothelial_cells:blood_vessel: 0.45, Endothelial_cells:HUVEC:B._anthracis_LT: 0.44, Endothelial_cells:HUVEC:FPV-infected: 0.44
R48b_w12_AGGTCATAGTTTCTTC-1 Endothelial_cells:lymphatic:KSHV 0.18 279.46
Raw ScoresEndothelial_cells:lymphatic:TNFa_48h: 0.57, Endothelial_cells:HUVEC:VEGF: 0.56, Endothelial_cells:HUVEC: 0.56, Endothelial_cells:HUVEC:IL-1b: 0.55, Endothelial_cells:lymphatic:KSHV: 0.54, Endothelial_cells:lymphatic: 0.54, Endothelial_cells:HUVEC:PR8-infected: 0.54, Endothelial_cells:HUVEC:H5N1-infected: 0.54, Endothelial_cells:HUVEC:FPV-infected: 0.54, Endothelial_cells:HUVEC:Serum_Amyloid_A: 0.53
R53c_w9.5_CATTCATGTCACCTTC-1 Endothelial_cells:blood_vessel 0.17 278.84
Raw ScoresEndothelial_cells:lymphatic: 0.46, Endothelial_cells:lymphatic:TNFa_48h: 0.46, Endothelial_cells:blood_vessel: 0.44, Endothelial_cells:lymphatic:KSHV: 0.44, Endothelial_cells:HUVEC:VEGF: 0.44, Endothelial_cells:HUVEC:Serum_Amyloid_A: 0.44, Endothelial_cells:HUVEC: 0.44, Endothelial_cells:HUVEC:IL-1b: 0.43, Endothelial_cells:HUVEC:B._anthracis_LT: 0.42, Endothelial_cells:HUVEC:PR8-infected: 0.42
R48a_w14.5_ACTGTCCGTCTTTATC-1 Endothelial_cells:lymphatic:TNFa_48h 0.16 276.93
Raw ScoresEndothelial_cells:lymphatic:TNFa_48h: 0.4, Endothelial_cells:lymphatic: 0.4, Endothelial_cells:lymphatic:KSHV: 0.39, Endothelial_cells:blood_vessel: 0.38, Endothelial_cells:HUVEC: 0.37, Endothelial_cells:HUVEC:VEGF: 0.37, Endothelial_cells:HUVEC:Serum_Amyloid_A: 0.37, Endothelial_cells:HUVEC:IL-1b: 0.37, Endothelial_cells:HUVEC:PR8-infected: 0.37, Endothelial_cells:HUVEC:FPV-infected: 0.36
R53a_w9.5_AATGACCAGCTCCACG-1 Endothelial_cells:blood_vessel 0.16 275.30
Raw ScoresEndothelial_cells:lymphatic: 0.39, Endothelial_cells:lymphatic:TNFa_48h: 0.39, Endothelial_cells:lymphatic:KSHV: 0.38, Endothelial_cells:blood_vessel: 0.38, Endothelial_cells:HUVEC:VEGF: 0.37, Endothelial_cells:HUVEC:Serum_Amyloid_A: 0.36, Endothelial_cells:HUVEC: 0.36, Endothelial_cells:HUVEC:IL-1b: 0.35, Endothelial_cells:HUVEC:B._anthracis_LT: 0.35, Endothelial_cells:HUVEC:FPV-infected: 0.35
R53c_w9.5_TCTATACGTCAATGGG-1 Endothelial_cells:lymphatic 0.18 274.74
Raw ScoresEndothelial_cells:lymphatic: 0.46, Endothelial_cells:lymphatic:TNFa_48h: 0.45, Endothelial_cells:HUVEC: 0.45, Endothelial_cells:HUVEC:VEGF: 0.44, Endothelial_cells:lymphatic:KSHV: 0.44, Endothelial_cells:blood_vessel: 0.44, Endothelial_cells:HUVEC:Serum_Amyloid_A: 0.44, Endothelial_cells:HUVEC:IL-1b: 0.43, Smooth_muscle_cells:vascular: 0.43, Endothelial_cells:HUVEC:FPV-infected: 0.42
R53c_w9.5_TGCGGCATCTCGAACA-1 Endothelial_cells:blood_vessel 0.14 273.33
Raw ScoresEndothelial_cells:lymphatic:TNFa_48h: 0.47, Endothelial_cells:lymphatic: 0.47, Endothelial_cells:lymphatic:KSHV: 0.46, Endothelial_cells:blood_vessel: 0.46, Endothelial_cells:HUVEC:Serum_Amyloid_A: 0.44, Endothelial_cells:HUVEC:IL-1b: 0.44, Endothelial_cells:HUVEC: 0.43, Endothelial_cells:HUVEC:B._anthracis_LT: 0.43, Endothelial_cells:HUVEC:VEGF: 0.43, Endothelial_cells:HUVEC:PR8-infected: 0.43
R48c_w8.5_GTTCTATGTACAGCGA-1 Endothelial_cells:lymphatic:KSHV 0.18 270.24
Raw ScoresEndothelial_cells:lymphatic: 0.43, Endothelial_cells:lymphatic:TNFa_48h: 0.43, Endothelial_cells:lymphatic:KSHV: 0.43, Endothelial_cells:blood_vessel: 0.42, Endothelial_cells:HUVEC:VEGF: 0.41, Endothelial_cells:HUVEC:Serum_Amyloid_A: 0.41, Endothelial_cells:HUVEC: 0.41, Endothelial_cells:HUVEC:IL-1b: 0.4, Endothelial_cells:HUVEC:FPV-infected: 0.4, Endothelial_cells:HUVEC:PR8-infected: 0.39
R48c_w8.5_CTAACTTAGATGCGAC-1 Endothelial_cells:blood_vessel 0.16 270.06
Raw ScoresEndothelial_cells:lymphatic: 0.4, Endothelial_cells:lymphatic:TNFa_48h: 0.4, Endothelial_cells:lymphatic:KSHV: 0.39, Endothelial_cells:blood_vessel: 0.39, Endothelial_cells:HUVEC:Serum_Amyloid_A: 0.37, Endothelial_cells:HUVEC:IL-1b: 0.37, Endothelial_cells:HUVEC: 0.37, Endothelial_cells:HUVEC:VEGF: 0.37, Endothelial_cells:HUVEC:PR8-infected: 0.36, Endothelial_cells:HUVEC:H5N1-infected: 0.36
R48c_w8.5_CCAATGAAGTGATAGT-1 Endothelial_cells:lymphatic:KSHV 0.17 268.05
Raw ScoresEndothelial_cells:lymphatic:TNFa_48h: 0.48, Endothelial_cells:HUVEC: 0.47, Endothelial_cells:lymphatic:KSHV: 0.47, Endothelial_cells:HUVEC:IL-1b: 0.47, Endothelial_cells:HUVEC:VEGF: 0.47, Endothelial_cells:lymphatic: 0.46, Endothelial_cells:HUVEC:PR8-infected: 0.46, Endothelial_cells:HUVEC:Serum_Amyloid_A: 0.46, Endothelial_cells:HUVEC:H5N1-infected: 0.46, Endothelial_cells:HUVEC:FPV-infected: 0.45
R53b_w11.5_CTAACTTAGACATATG-1 Endothelial_cells:lymphatic:KSHV 0.16 267.96
Raw ScoresEndothelial_cells:lymphatic: 0.45, Endothelial_cells:lymphatic:TNFa_48h: 0.44, Endothelial_cells:blood_vessel: 0.43, Endothelial_cells:lymphatic:KSHV: 0.43, Endothelial_cells:HUVEC:Serum_Amyloid_A: 0.41, Endothelial_cells:HUVEC:VEGF: 0.41, Endothelial_cells:HUVEC: 0.41, Endothelial_cells:HUVEC:IL-1b: 0.41, Endothelial_cells:HUVEC:B._anthracis_LT: 0.4, Endothelial_cells:HUVEC:PR8-infected: 0.4
R53c_w9.5_TGACCCTTCCACACAA-1 Endothelial_cells:lymphatic:KSHV 0.17 267.17
Raw ScoresEndothelial_cells:lymphatic:TNFa_48h: 0.47, Endothelial_cells:HUVEC:VEGF: 0.46, Endothelial_cells:HUVEC: 0.46, Endothelial_cells:HUVEC:IL-1b: 0.45, Endothelial_cells:lymphatic:KSHV: 0.45, Endothelial_cells:lymphatic: 0.45, Endothelial_cells:HUVEC:Serum_Amyloid_A: 0.45, Endothelial_cells:HUVEC:PR8-infected: 0.44, Endothelial_cells:HUVEC:H5N1-infected: 0.43, Endothelial_cells:HUVEC:B._anthracis_LT: 0.43



Below shows the significant enrichments of this GEP for literature curated gene lists
  This data was procured from existing single cell RNA-seq maps of neuroblastoma or related relevant data.
  High ranks indicate this gene is a driver of this GEP.
  These curated gene list are ranked by the P-value (on this GEP) of their constituent genes.
  The Mean Count column shows the mean read count in cells scoring highly (H > 50) on this gene expression program.


Endothelial subclusters 2-6 (Hanemaaijer)
Marker genes obtained from Supplementary Table SD of Hanemaaijer et al (PMID 33500353). The authors generated single-cell RNA-seq data (sort-seq, 2,229 cells total) from mouse adrenal glads at E13.5, E14.5, E17.5, E18.5, P1 and P5. These were marker genes that matched with a similar dataset generated by Furlan et al (PMID 28684471). This particular set of markers are for Various endothelial subclusters of Endothelium clusters:
Wilcoxon ranksum test P-value for gene set overrepresentation: 4.87e-06
Mean rank of genes in gene set: 5539.9
Rank on gene expression program of genes in gene set:
Genes Weight Rank GTEx DepMap Decartes Mean.Counts Mean.TPM
ADAMTS1 0.0089381 56 GTEx DepMap Descartes 1.94 134.19
SPRY1 0.0088429 62 GTEx DepMap Descartes 4.56 557.71
MCF2L 0.0082763 87 GTEx DepMap Descartes 0.95 52.74
GJA1 0.0075635 123 GTEx DepMap Descartes 3.00 315.68
DUSP6 0.0075262 125 GTEx DepMap Descartes 4.34 384.58
THBD 0.0072393 136 GTEx DepMap Descartes 0.71 61.03
IVNS1ABP 0.0064612 184 GTEx DepMap Descartes 2.20 172.94
CLIC4 0.0062960 196 GTEx DepMap Descartes 1.66 116.52
FAM102A 0.0038538 638 GTEx DepMap Descartes 0.93 70.13
RHOB 0.0033017 835 GTEx DepMap Descartes 3.37 443.10
MECOM 0.0021558 1727 GTEx DepMap Descartes 0.25 15.09
SHROOM2 0.0020415 1852 GTEx DepMap Descartes 0.14 6.47
MARCKSL1 0.0019421 1973 GTEx DepMap Descartes 5.68 1052.44
LFNG 0.0010220 3953 GTEx DepMap Descartes 0.08 11.54
TM4SF1 0.0002621 7936 GTEx DepMap Descartes 4.92 455.16
HES1 0.0002382 8197 GTEx DepMap Descartes 7.06 1359.67
IGFBP3 0.0000928 10065 GTEx DepMap Descartes 1.22 130.95
JAG1 -0.0006047 23564 GTEx DepMap Descartes 0.16 8.37
FBLN2 -0.0006412 23718 GTEx DepMap Descartes 0.04 1.97
CDK1 -0.0016266 25371 GTEx DepMap Descartes 0.96 98.94


Endothelium (Kameneva)
Marker gene were obtained from Fig. 1D of Kameneva et al (PMID 33833454). These genes were used by the authors to annotate each cell type in their human fetal adrenal scRNA-seq data obtained 6, 8, 9, 11, 12 and 14 weeks post conception.:
Wilcoxon ranksum test P-value for gene set overrepresentation: 1.29e-05
Mean rank of genes in gene set: 107.67
Rank on gene expression program of genes in gene set:

Genes Weight Rank GTEx DepMap Decartes Mean.Counts Mean.TPM
FLT1 0.0164743 2 GTEx DepMap Descartes 12.15 578.56
PECAM1 0.0110125 28 GTEx DepMap Descartes 3.43 168.97
KDR 0.0105073 33 GTEx DepMap Descartes 7.49 418.31
PRCP 0.0091228 49 GTEx DepMap Descartes 7.03 309.73
EGFL7 0.0072876 133 GTEx DepMap Descartes 13.16 1969.35
CAVIN2 0.0048014 401 GTEx DepMap Descartes 11.55 NA


Vascular (Kildisiute)
Vascular markers obtained from Kildisiute et al, Supplmenentary Table 2, references supporting these genes are provided in Supp Table S2 of Kildisiute et al (PMID 33547074) https://www.science.org/doi/suppl/10.1126/sciadv.abd3311/suppl_file/abd3311_tables_s1_to_s12.xlsx:
Wilcoxon ranksum test P-value for gene set overrepresentation: 2.74e-04
Mean rank of genes in gene set: 29.25
Rank on gene expression program of genes in gene set:

Genes Weight Rank GTEx DepMap Decartes Mean.Counts Mean.TPM
PTPRB 0.0119822 19 GTEx DepMap Descartes 2.71 76.62
PECAM1 0.0110125 28 GTEx DepMap Descartes 3.43 168.97
KDR 0.0105073 33 GTEx DepMap Descartes 7.49 418.31
PLVAP 0.0103154 37 GTEx DepMap Descartes 7.30 1021.04





Below shows ranks on this GEP for literature curated gene lists for large gene sets
  These include those reported as mesenchymal/adrenergic by Van Groningen et al.
  High ranks indicate this gene is a driver of this GEP (note these results are not ordered).
  The Mean Count column shows the mean read count in cells scoring highly (H > 50) on this gene expression program.


VanGroningen Adrenergic Genes
Adrenergic marker genes from Supplementary Table 2 of Van Groningen et al. Nature Genetics 2017. These genes were identified by differential expression analysis of mesenchymal-like and adrenergic-like neuroblastoma cell lines.
Wilcoxon ranksum test P-value for gene set overrepresentation: 1.00e+00
Mean rank of genes in gene set: 16775.89
Median rank of genes in gene set: 21899
Rank on gene expression program of top 30 genes in gene set:

Genes Weight Rank GTEx DepMap Descartes Mean.Counts Mean.TPM
AKAP12 0.0081890 91 GTEx DepMap Descartes 13.74 498.18
ARHGEF7 0.0075670 122 GTEx DepMap Descartes 1.35 83.31
GRB10 0.0068927 149 GTEx DepMap Descartes 1.11 68.16
CCND1 0.0061178 209 GTEx DepMap Descartes 3.29 239.60
KLF7 0.0057652 241 GTEx DepMap Descartes 0.73 29.42
SOX11 0.0049000 379 GTEx DepMap Descartes 0.54 21.66
RPS6KA2 0.0048887 383 GTEx DepMap Descartes 0.39 22.77
SATB1 0.0048502 390 GTEx DepMap Descartes 0.44 20.67
THSD7A 0.0046003 445 GTEx DepMap Descartes 0.90 30.00
NCOA7 0.0039909 591 GTEx DepMap Descartes 2.25 NA
TSPAN13 0.0036491 700 GTEx DepMap Descartes 1.30 214.83
KLF13 0.0036113 718 GTEx DepMap Descartes 0.57 28.05
DPYSL2 0.0036077 720 GTEx DepMap Descartes 1.44 88.10
PPP1R9A 0.0034535 772 GTEx DepMap Descartes 0.81 27.60
RBMS3 0.0031893 886 GTEx DepMap Descartes 0.74 29.45
RALGDS 0.0031850 887 GTEx DepMap Descartes 0.41 24.58
EXOC5 0.0031722 895 GTEx DepMap Descartes 0.80 23.81
GNB1 0.0031631 903 GTEx DepMap Descartes 1.99 192.74
RNF144A 0.0031210 935 GTEx DepMap Descartes 0.48 28.05
KIDINS220 0.0030412 976 GTEx DepMap Descartes 0.82 31.61
LYN 0.0027280 1183 GTEx DepMap Descartes 0.49 25.72
FAM107B 0.0026405 1248 GTEx DepMap Descartes 0.79 62.60
C14orf132 0.0025831 1294 GTEx DepMap Descartes 0.33 14.69
CLASP2 0.0025649 1316 GTEx DepMap Descartes 0.39 19.14
CD200 0.0025220 1346 GTEx DepMap Descartes 0.42 62.38
SETD7 0.0025081 1363 GTEx DepMap Descartes 0.28 12.29
SLC35G2 0.0024065 1470 GTEx DepMap Descartes 0.35 NA
KLC1 0.0023406 1549 GTEx DepMap Descartes 0.55 11.90
CRMP1 0.0021884 1689 GTEx DepMap Descartes 0.36 36.47
CCNI 0.0021004 1787 GTEx DepMap Descartes 2.45 266.94


VanGroningen Mesenchymal Genes
Mesenchymal marker genes from Supplementary Table 2 of Van Groningen et al. Nature Genetics 2017. These genes were identified by differential expression analysis of mesenchymal-like and adrenergic-like neuroblastoma cell lines.
Wilcoxon ranksum test P-value for gene set overrepresentation: 1.58e-18
Mean rank of genes in gene set: 9963.66
Median rank of genes in gene set: 4879
Rank on gene expression program of top 30 genes in gene set:

Genes Weight Rank GTEx DepMap Descartes Mean.Counts Mean.TPM
A2M 0.0137509 7 GTEx DepMap Descartes 7.48 552.73
COL4A1 0.0122363 17 GTEx DepMap Descartes 3.77 193.75
IL6ST 0.0112536 26 GTEx DepMap Descartes 4.61 173.86
TGFBR2 0.0105438 32 GTEx DepMap Descartes 5.56 306.36
ETS1 0.0095336 44 GTEx DepMap Descartes 2.69 168.27
SEC14L1 0.0095260 45 GTEx DepMap Descartes 5.05 282.18
PRCP 0.0091228 49 GTEx DepMap Descartes 7.03 309.73
ELK3 0.0090500 50 GTEx DepMap Descartes 3.19 247.25
LIFR 0.0089844 54 GTEx DepMap Descartes 2.62 82.10
SPRY1 0.0088429 62 GTEx DepMap Descartes 4.56 557.71
PLK2 0.0087656 64 GTEx DepMap Descartes 3.52 396.23
PTPRG 0.0085844 73 GTEx DepMap Descartes 1.25 45.91
COL4A2 0.0084383 78 GTEx DepMap Descartes 2.50 126.49
NES 0.0083841 81 GTEx DepMap Descartes 1.32 76.15
APP 0.0083496 82 GTEx DepMap Descartes 4.61 419.86
LPP 0.0083256 85 GTEx DepMap Descartes 1.65 31.43
SERPINH1 0.0083101 86 GTEx DepMap Descartes 5.01 438.08
JAM3 0.0082101 89 GTEx DepMap Descartes 2.53 216.78
SPRY4 0.0080571 97 GTEx DepMap Descartes 0.91 56.73
IGFBP5 0.0080242 98 GTEx DepMap Descartes 25.02 1242.23
QKI 0.0079282 102 GTEx DepMap Descartes 3.33 115.25
GSN 0.0079019 105 GTEx DepMap Descartes 5.00 250.75
NID1 0.0078169 106 GTEx DepMap Descartes 4.37 237.87
PLPP1 0.0078121 107 GTEx DepMap Descartes 3.07 NA
SASH1 0.0076993 112 GTEx DepMap Descartes 1.36 62.09
ITGB1 0.0076223 117 GTEx DepMap Descartes 6.39 521.82
GJA1 0.0075635 123 GTEx DepMap Descartes 3.00 315.68
DUSP6 0.0075262 125 GTEx DepMap Descartes 4.34 384.58
EMP1 0.0072957 130 GTEx DepMap Descartes 1.15 64.77
SGK1 0.0071571 138 GTEx DepMap Descartes 2.58 155.57


Descartes adrenocortical markers
Top 50 marker genes of adrenocortical cells in the Decartes fetal adrenal single cell map (https://atlas.brotmanbaty.org/bbi/human-gene-expression-during-development/cell/adrenocortical/in/adrenal)
Wilcoxon ranksum test P-value for gene set overrepresentation: 1.00e+00
Mean rank of genes in gene set: 21294.24
Median rank of genes in gene set: 24684.5
Rank on gene expression program of top 30 genes in gene set:

Genes Weight Rank GTEx DepMap Descartes Mean.Counts Mean.TPM
PDE10A 0.0032933 837 GTEx DepMap Descartes 0.31 11.85
IGF1R 0.0022158 1659 GTEx DepMap Descartes 0.63 17.69
SH3BP5 0.0019783 1936 GTEx DepMap Descartes 3.51 313.19
LDLR 0.0009431 4229 GTEx DepMap Descartes 0.63 38.03
NPC1 0.0003601 7129 GTEx DepMap Descartes 0.10 6.93
CYB5B 0.0002822 7756 GTEx DepMap Descartes 0.73 51.83
SGCZ -0.0000377 13492 GTEx DepMap Descartes 0.00 0.00
SH3PXD2B -0.0001342 17873 GTEx DepMap Descartes 0.07 2.93
PAPSS2 -0.0001714 18976 GTEx DepMap Descartes 0.29 20.68
BAIAP2L1 -0.0002556 20648 GTEx DepMap Descartes 0.04 3.75
FRMD5 -0.0003673 21993 GTEx DepMap Descartes 0.01 0.28
SLC1A2 -0.0003889 22200 GTEx DepMap Descartes 0.00 0.06
SCAP -0.0004509 22687 GTEx DepMap Descartes 0.24 18.13
SLC2A14 -0.0004654 22790 GTEx DepMap Descartes 0.01 0.29
FREM2 -0.0004762 22864 GTEx DepMap Descartes 0.01 0.17
DNER -0.0004888 22949 GTEx DepMap Descartes 0.01 0.39
HMGCR -0.0005121 23088 GTEx DepMap Descartes 0.42 26.92
DHCR7 -0.0006710 23834 GTEx DepMap Descartes 0.24 26.55
CLU -0.0006734 23847 GTEx DepMap Descartes 0.13 11.73
FDPS -0.0008897 24503 GTEx DepMap Descartes 2.41 319.16
ERN1 -0.0008944 24514 GTEx DepMap Descartes 0.14 5.45
LINC00473 -0.0009101 24551 GTEx DepMap Descartes 0.03 NA
CYP17A1 -0.0009492 24630 GTEx DepMap Descartes 0.40 29.78
CYP11B1 -0.0010140 24739 GTEx DepMap Descartes 0.17 11.30
SCARB1 -0.0010535 24804 GTEx DepMap Descartes 0.30 14.65
HMGCS1 -0.0010698 24830 GTEx DepMap Descartes 0.58 32.32
CYP21A2 -0.0010929 24867 GTEx DepMap Descartes 0.16 13.09
SULT2A1 -0.0011464 24940 GTEx DepMap Descartes 0.23 25.24
MC2R -0.0012916 25106 GTEx DepMap Descartes 0.03 2.73
SLC16A9 -0.0013419 25151 GTEx DepMap Descartes 0.03 1.87


Descartes chromaffin markers
Top 50 marker genes of chromaffin cells in the Decartes fetal adrenal single cell map (https://atlas.brotmanbaty.org/bbi/human-gene-expression-during-development/cell/chromaffin/in/adrenal)
Wilcoxon ranksum test P-value for gene set overrepresentation: 1.00e+00
Mean rank of genes in gene set: 20881.8
Median rank of genes in gene set: 22695
Rank on gene expression program of top 30 genes in gene set:

Genes Weight Rank GTEx DepMap Descartes Mean.Counts Mean.TPM
CCND1 0.0061178 209 GTEx DepMap Descartes 3.29 239.60
MAP1B 0.0009383 4243 GTEx DepMap Descartes 0.81 20.83
ELAVL2 0.0004268 6699 GTEx DepMap Descartes 0.12 10.74
RGMB 0.0003860 6959 GTEx DepMap Descartes 0.09 6.08
EPHA6 -0.0001459 18270 GTEx DepMap Descartes 0.00 0.06
TUBB2A -0.0001605 18705 GTEx DepMap Descartes 0.58 100.10
MARCH11 -0.0001911 19442 GTEx DepMap Descartes 0.01 NA
KCNB2 -0.0002172 19988 GTEx DepMap Descartes 0.00 0.03
SLC44A5 -0.0002216 20069 GTEx DepMap Descartes 0.00 0.19
ANKFN1 -0.0002219 20076 GTEx DepMap Descartes 0.00 0.00
NTRK1 -0.0002560 20653 GTEx DepMap Descartes 0.00 0.24
RYR2 -0.0002613 20730 GTEx DepMap Descartes 0.00 0.02
HS3ST5 -0.0002791 20977 GTEx DepMap Descartes 0.00 0.01
GREM1 -0.0003075 21332 GTEx DepMap Descartes 0.01 0.20
ALK -0.0003187 21460 GTEx DepMap Descartes 0.00 0.03
REEP1 -0.0003273 21558 GTEx DepMap Descartes 0.03 1.95
HMX1 -0.0003681 22002 GTEx DepMap Descartes 0.00 0.26
TMEM132C -0.0003744 22065 GTEx DepMap Descartes 0.00 0.07
RPH3A -0.0003765 22093 GTEx DepMap Descartes 0.00 0.09
EYA4 -0.0003828 22146 GTEx DepMap Descartes 0.00 0.17
PTCHD1 -0.0003960 22257 GTEx DepMap Descartes 0.00 0.09
TMEFF2 -0.0004116 22402 GTEx DepMap Descartes 0.00 0.23
CNKSR2 -0.0004959 22988 GTEx DepMap Descartes 0.00 0.09
NPY -0.0005042 23038 GTEx DepMap Descartes 0.02 7.97
SLC6A2 -0.0005120 23086 GTEx DepMap Descartes 0.01 0.37
IL7 -0.0005205 23145 GTEx DepMap Descartes 0.00 0.31
FAT3 -0.0005354 23230 GTEx DepMap Descartes 0.00 0.03
EYA1 -0.0005415 23259 GTEx DepMap Descartes 0.00 0.24
PRPH -0.0005513 23312 GTEx DepMap Descartes 0.02 2.75
PLXNA4 -0.0005631 23375 GTEx DepMap Descartes 0.01 0.09


Descartes Vascular_endothelial markers
Top 50 marker genes of Vascular_endothelial cells in the Decartes fetal adrenal single cell map (https://atlas.brotmanbaty.org/bbi/human-gene-expression-during-development/cell/vascular_endothelial/in/adrenal)
Wilcoxon ranksum test P-value for gene set overrepresentation: 2.40e-23
Mean rank of genes in gene set: 1810.98
Median rank of genes in gene set: 132.5
Rank on gene expression program of top 30 genes in gene set:

Genes Weight Rank GTEx DepMap Descartes Mean.Counts Mean.TPM
BTNL9 0.0147846 3 GTEx DepMap Descartes 4.50 496.37
F8 0.0147638 4 GTEx DepMap Descartes 4.83 180.14
EFNB2 0.0132069 9 GTEx DepMap Descartes 4.28 297.49
NOTCH4 0.0129664 11 GTEx DepMap Descartes 2.62 144.70
APLNR 0.0122296 18 GTEx DepMap Descartes 2.02 192.22
PTPRB 0.0119822 19 GTEx DepMap Descartes 2.71 76.62
CDH5 0.0117679 20 GTEx DepMap Descartes 4.93 396.31
CHRM3 0.0117627 21 GTEx DepMap Descartes 1.22 51.01
EHD3 0.0117594 22 GTEx DepMap Descartes 6.62 421.14
CALCRL 0.0113223 24 GTEx DepMap Descartes 4.84 259.97
ARHGAP29 0.0112983 25 GTEx DepMap Descartes 5.01 184.23
TIE1 0.0107264 30 GTEx DepMap Descartes 1.98 171.10
KDR 0.0105073 33 GTEx DepMap Descartes 7.49 418.31
PODXL 0.0104399 34 GTEx DepMap Descartes 2.92 167.75
PLVAP 0.0103154 37 GTEx DepMap Descartes 7.30 1021.04
SHANK3 0.0095496 42 GTEx DepMap Descartes 1.61 69.92
SLCO2A1 0.0090117 51 GTEx DepMap Descartes 1.24 100.53
ROBO4 0.0086313 70 GTEx DepMap Descartes 1.99 153.38
FLT4 0.0083351 83 GTEx DepMap Descartes 1.52 91.54
MMRN2 0.0081811 93 GTEx DepMap Descartes 2.22 175.72
TEK 0.0077353 111 GTEx DepMap Descartes 1.82 128.93
RASIP1 0.0076755 114 GTEx DepMap Descartes 2.09 208.85
CYP26B1 0.0068743 151 GTEx DepMap Descartes 3.02 213.99
NPR1 0.0068122 155 GTEx DepMap Descartes 1.76 135.27
SHE 0.0067460 159 GTEx DepMap Descartes 1.13 55.54
RAMP2 0.0066461 170 GTEx DepMap Descartes 9.49 3297.86
CEACAM1 0.0054967 275 GTEx DepMap Descartes 1.49 139.78
IRX3 0.0054927 276 GTEx DepMap Descartes 1.64 200.15
KANK3 0.0052684 303 GTEx DepMap Descartes 2.10 232.20
TM4SF18 0.0046244 443 GTEx DepMap Descartes 4.46 340.83


Descartes stromal markers
Top 50 marker genes of stromal cells in the Decartes fetal adrenal single cell map (https://atlas.brotmanbaty.org/bbi/human-gene-expression-during-development/cell/stromal/in/adrenal)
Wilcoxon ranksum test P-value for gene set overrepresentation: 1.00e+00
Mean rank of genes in gene set: 20729.18
Median rank of genes in gene set: 22842
Rank on gene expression program of top 30 genes in gene set:

Genes Weight Rank GTEx DepMap Descartes Mean.Counts Mean.TPM
FNDC1 0.0036711 690 GTEx DepMap Descartes 0.12 6.82
CD248 0.0010450 3872 GTEx DepMap Descartes 0.13 18.39
MXRA5 0.0003033 7569 GTEx DepMap Descartes 0.05 1.76
PRICKLE1 0.0003016 7586 GTEx DepMap Descartes 0.07 4.29
FREM1 0.0001409 9333 GTEx DepMap Descartes 0.16 5.25
IGFBP3 0.0000928 10065 GTEx DepMap Descartes 1.22 130.95
POSTN -0.0000670 15089 GTEx DepMap Descartes 0.25 20.84
ITGA11 -0.0001098 17005 GTEx DepMap Descartes 0.01 0.24
SCARA5 -0.0001548 18531 GTEx DepMap Descartes 0.00 0.12
COL27A1 -0.0001608 18719 GTEx DepMap Descartes 0.02 0.64
LAMC3 -0.0002004 19634 GTEx DepMap Descartes 0.05 1.89
ADAMTSL3 -0.0002251 20132 GTEx DepMap Descartes 0.00 0.13
LOX -0.0003044 21288 GTEx DepMap Descartes 0.02 0.96
COL12A1 -0.0003198 21476 GTEx DepMap Descartes 0.07 1.39
ABCC9 -0.0003572 21908 GTEx DepMap Descartes 0.01 0.41
GLI2 -0.0003747 22067 GTEx DepMap Descartes 0.00 0.15
ZNF385D -0.0003946 22244 GTEx DepMap Descartes 0.00 0.13
ADAMTS2 -0.0004032 22327 GTEx DepMap Descartes 0.01 0.19
DKK2 -0.0004044 22335 GTEx DepMap Descartes 0.01 0.39
HHIP -0.0004166 22435 GTEx DepMap Descartes 0.01 0.42
PCDH18 -0.0004353 22567 GTEx DepMap Descartes 0.03 1.43
CLDN11 -0.0004366 22580 GTEx DepMap Descartes 0.03 3.83
ABCA6 -0.0004533 22699 GTEx DepMap Descartes 0.01 0.21
ISLR -0.0004612 22763 GTEx DepMap Descartes 0.03 3.57
PAMR1 -0.0004733 22842 GTEx DepMap Descartes 0.01 0.69
ELN -0.0004756 22858 GTEx DepMap Descartes 0.04 3.04
ACTA2 -0.0005079 23060 GTEx DepMap Descartes 0.08 16.07
GAS2 -0.0005202 23143 GTEx DepMap Descartes 0.00 0.38
CCDC102B -0.0005262 23176 GTEx DepMap Descartes 0.03 3.39
COL1A1 -0.0005542 23330 GTEx DepMap Descartes 0.53 19.79


Descartes sympathoblasts markers
Top 50 marker genes of sympathoblasts cells in the Decartes fetal adrenal single cell map (https://atlas.brotmanbaty.org/bbi/human-gene-expression-during-development/cell/sympathoblasts/in/adrenal)
Wilcoxon ranksum test P-value for gene set overrepresentation: 1.00e+00
Mean rank of genes in gene set: 18849.77
Median rank of genes in gene set: 21593
Rank on gene expression program of top 30 genes in gene set:

Genes Weight Rank GTEx DepMap Descartes Mean.Counts Mean.TPM
TIAM1 0.0020511 1834 GTEx DepMap Descartes 0.58 26.68
ROBO1 0.0019790 1934 GTEx DepMap Descartes 0.29 13.04
FAM155A 0.0016717 2353 GTEx DepMap Descartes 0.09 3.35
CCSER1 0.0015740 2544 GTEx DepMap Descartes 0.12 NA
SPOCK3 0.0008809 4455 GTEx DepMap Descartes 0.06 6.97
CDH18 0.0003539 7167 GTEx DepMap Descartes 0.01 0.95
GCH1 0.0002516 8047 GTEx DepMap Descartes 0.08 8.85
KCTD16 0.0000180 11485 GTEx DepMap Descartes 0.01 0.26
SLC35F3 -0.0001091 16977 GTEx DepMap Descartes 0.00 0.04
EML6 -0.0001103 17031 GTEx DepMap Descartes 0.01 0.25
CNTNAP5 -0.0001200 17397 GTEx DepMap Descartes 0.00 0.01
SORCS3 -0.0001283 17704 GTEx DepMap Descartes 0.00 0.04
CNTN3 -0.0002232 20097 GTEx DepMap Descartes 0.00 0.11
TBX20 -0.0002233 20102 GTEx DepMap Descartes 0.00 0.00
PNMT -0.0002406 20393 GTEx DepMap Descartes 0.04 13.88
KSR2 -0.0002930 21146 GTEx DepMap Descartes 0.00 0.03
PENK -0.0003028 21267 GTEx DepMap Descartes 0.02 4.91
AGBL4 -0.0003073 21328 GTEx DepMap Descartes 0.00 0.02
TMEM130 -0.0003082 21338 GTEx DepMap Descartes 0.00 0.07
ST18 -0.0003156 21426 GTEx DepMap Descartes 0.00 0.12
TENM1 -0.0003161 21430 GTEx DepMap Descartes 0.00 NA
GALNTL6 -0.0003203 21484 GTEx DepMap Descartes 0.00 0.00
LAMA3 -0.0003382 21702 GTEx DepMap Descartes 0.00 0.06
SLC24A2 -0.0003481 21821 GTEx DepMap Descartes 0.00 0.07
PACRG -0.0003572 21907 GTEx DepMap Descartes 0.00 0.38
GRM7 -0.0003651 21981 GTEx DepMap Descartes 0.00 0.21
PCSK2 -0.0004067 22353 GTEx DepMap Descartes 0.00 0.17
CDH12 -0.0004716 22834 GTEx DepMap Descartes 0.00 0.05
DGKK -0.0004823 22907 GTEx DepMap Descartes 0.00 0.06
GRID2 -0.0004862 22933 GTEx DepMap Descartes 0.00 0.28


Descartes erythroblasts markers
Top 50 marker genes of erythroblasts cells in the Decartes fetal adrenal single cell map (https://atlas.brotmanbaty.org/bbi/human-gene-expression-during-development/cell/erythroblasts/in/adrenal)
Wilcoxon ranksum test P-value for gene set overrepresentation: 1.00e+00
Mean rank of genes in gene set: 21777.35
Median rank of genes in gene set: 24774
Rank on gene expression program of top 30 genes in gene set:

Genes Weight Rank GTEx DepMap Descartes Mean.Counts Mean.TPM
RAPGEF2 0.0024018 1472 GTEx DepMap Descartes 0.42 17.20
HECTD4 0.0011003 3706 GTEx DepMap Descartes 0.24 NA
DENND4A 0.0008786 4467 GTEx DepMap Descartes 0.20 7.52
TRAK2 0.0006723 5295 GTEx DepMap Descartes 0.24 11.70
MARCH3 0.0006327 5466 GTEx DepMap Descartes 0.45 NA
XPO7 0.0000988 9967 GTEx DepMap Descartes 0.19 12.86
ABCB10 0.0000883 10145 GTEx DepMap Descartes 0.14 11.82
RGS6 -0.0002462 20488 GTEx DepMap Descartes 0.01 0.64
SLC25A21 -0.0003751 22077 GTEx DepMap Descartes 0.01 0.70
HBZ -0.0004113 22399 GTEx DepMap Descartes 0.16 63.03
RHD -0.0004723 22836 GTEx DepMap Descartes 0.00 0.29
TMCC2 -0.0005073 23053 GTEx DepMap Descartes 0.03 2.27
CPOX -0.0005251 23168 GTEx DepMap Descartes 0.27 27.56
TSPAN5 -0.0005414 23258 GTEx DepMap Descartes 0.19 13.06
MICAL2 -0.0005515 23316 GTEx DepMap Descartes 0.02 0.68
GCLC -0.0006743 23850 GTEx DepMap Descartes 0.06 5.36
SPTB -0.0007090 23961 GTEx DepMap Descartes 0.00 0.08
GYPE -0.0007475 24080 GTEx DepMap Descartes 0.00 0.81
TFR2 -0.0007666 24138 GTEx DepMap Descartes 0.00 0.33
SPTA1 -0.0007829 24191 GTEx DepMap Descartes 0.02 0.57
ANK1 -0.0008234 24331 GTEx DepMap Descartes 0.01 0.34
SLC4A1 -0.0009418 24617 GTEx DepMap Descartes 0.06 3.14
SOX6 -0.0009946 24704 GTEx DepMap Descartes 0.03 0.79
RHAG -0.0010207 24755 GTEx DepMap Descartes 0.01 1.37
CR1L -0.0010424 24793 GTEx DepMap Descartes 0.01 1.00
RHCE -0.0010519 24803 GTEx DepMap Descartes 0.01 0.94
SLC25A37 -0.0010578 24811 GTEx DepMap Descartes 1.70 113.44
CAT -0.0010579 24812 GTEx DepMap Descartes 0.35 45.16
EPB41 -0.0010889 24864 GTEx DepMap Descartes 0.14 6.19
TMEM56 -0.0011091 24886 GTEx DepMap Descartes 0.01 NA


Descartes myeloid markers
Top 50 marker genes of myeloid cells in the Decartes fetal adrenal single cell map (https://atlas.brotmanbaty.org/bbi/human-gene-expression-during-development/cell/myeloid/in/adrenal)
Wilcoxon ranksum test P-value for gene set overrepresentation: 1.00e+00
Mean rank of genes in gene set: 18968.42
Median rank of genes in gene set: 23297
Rank on gene expression program of top 30 genes in gene set:

Genes Weight Rank GTEx DepMap Descartes Mean.Counts Mean.TPM
PTPRE 0.0027111 1199 GTEx DepMap Descartes 0.58 33.60
RGL1 0.0022396 1628 GTEx DepMap Descartes 0.52 32.42
IFNGR1 0.0015578 2575 GTEx DepMap Descartes 0.61 75.34
RNASE1 0.0013633 3004 GTEx DepMap Descartes 2.01 686.89
SFMBT2 0.0011511 3572 GTEx DepMap Descartes 0.14 6.47
SLC9A9 0.0011095 3681 GTEx DepMap Descartes 0.31 26.26
WWP1 0.0009641 4168 GTEx DepMap Descartes 0.32 21.10
FGL2 0.0005635 5830 GTEx DepMap Descartes 0.31 22.14
RBPJ 0.0003608 7128 GTEx DepMap Descartes 0.70 36.84
CD74 0.0002780 7799 GTEx DepMap Descartes 1.27 124.56
MERTK 0.0001851 8768 GTEx DepMap Descartes 0.11 10.25
CTSD 0.0000309 11202 GTEx DepMap Descartes 1.22 183.40
HRH1 -0.0001848 19309 GTEx DepMap Descartes 0.01 0.58
SPP1 -0.0002282 20192 GTEx DepMap Descartes 0.05 7.66
MS4A4E -0.0002351 20308 GTEx DepMap Descartes 0.00 0.00
CD163L1 -0.0002866 21078 GTEx DepMap Descartes 0.00 0.25
ITPR2 -0.0003064 21315 GTEx DepMap Descartes 0.25 6.38
HLA-DRB1 -0.0003612 21947 GTEx DepMap Descartes 1.66 356.25
HCK -0.0004514 22689 GTEx DepMap Descartes 0.00 0.65
FMN1 -0.0004768 22869 GTEx DepMap Descartes 0.01 0.24
CTSB -0.0004796 22887 GTEx DepMap Descartes 0.96 77.67
ADAP2 -0.0004797 22888 GTEx DepMap Descartes 0.02 2.05
ATP8B4 -0.0005038 23035 GTEx DepMap Descartes 0.00 0.18
MPEG1 -0.0005425 23262 GTEx DepMap Descartes 0.01 0.60
SLCO2B1 -0.0005486 23292 GTEx DepMap Descartes 0.01 0.42
MSR1 -0.0005499 23302 GTEx DepMap Descartes 0.01 0.37
FGD2 -0.0005641 23380 GTEx DepMap Descartes 0.01 0.45
MARCH1 -0.0005670 23396 GTEx DepMap Descartes 0.01 NA
SLC1A3 -0.0005913 23502 GTEx DepMap Descartes 0.01 0.48
MS4A4A -0.0006082 23585 GTEx DepMap Descartes 0.01 1.21


Descartes Schwann markers
Top 50 marker genes of Schwann cells in the Decartes fetal adrenal single cell map (https://atlas.brotmanbaty.org/bbi/human-gene-expression-during-development/cell/schwann/in/adrenal)
Wilcoxon ranksum test P-value for gene set overrepresentation: 9.97e-01
Mean rank of genes in gene set: 15878.9
Median rank of genes in gene set: 21068
Rank on gene expression program of top 30 genes in gene set:

Genes Weight Rank GTEx DepMap Descartes Mean.Counts Mean.TPM
EDNRB 0.0141051 6 GTEx DepMap Descartes 5.77 412.18
NLGN4X 0.0057298 245 GTEx DepMap Descartes 0.29 18.68
LAMC1 0.0044497 474 GTEx DepMap Descartes 0.87 34.96
MARCKS 0.0038184 648 GTEx DepMap Descartes 7.93 564.39
COL18A1 0.0030805 958 GTEx DepMap Descartes 0.96 46.38
STARD13 0.0015275 2632 GTEx DepMap Descartes 0.19 10.47
OLFML2A 0.0013207 3113 GTEx DepMap Descartes 0.20 10.56
LAMA4 0.0013203 3116 GTEx DepMap Descartes 0.75 31.72
ADAMTS5 0.0012137 3425 GTEx DepMap Descartes 0.08 2.36
PMP22 0.0006515 5389 GTEx DepMap Descartes 1.72 277.69
SOX5 0.0006370 5443 GTEx DepMap Descartes 0.05 2.73
HMGA2 0.0006295 5486 GTEx DepMap Descartes 0.63 24.42
SORCS1 0.0004180 6757 GTEx DepMap Descartes 0.02 0.97
SLC35F1 0.0003036 7566 GTEx DepMap Descartes 0.07 4.08
LAMB1 0.0002196 8380 GTEx DepMap Descartes 0.32 18.13
XKR4 0.0002169 8413 GTEx DepMap Descartes 0.01 0.19
IL1RAPL2 0.0000802 10296 GTEx DepMap Descartes 0.00 0.48
PAG1 0.0000389 11036 GTEx DepMap Descartes 0.08 2.79
COL25A1 -0.0000847 15985 GTEx DepMap Descartes 0.03 1.15
MDGA2 -0.0001540 18510 GTEx DepMap Descartes 0.00 0.15
GRIK3 -0.0001997 19622 GTEx DepMap Descartes 0.00 0.01
MPZ -0.0002142 19936 GTEx DepMap Descartes 0.01 1.84
LRRTM4 -0.0002176 19999 GTEx DepMap Descartes 0.00 0.16
TRPM3 -0.0002816 21008 GTEx DepMap Descartes 0.01 0.14
SOX10 -0.0002855 21068 GTEx DepMap Descartes 0.00 0.14
CDH19 -0.0003107 21367 GTEx DepMap Descartes 0.00 0.10
COL5A2 -0.0003390 21713 GTEx DepMap Descartes 0.22 10.43
NRXN3 -0.0003509 21842 GTEx DepMap Descartes 0.00 0.05
ERBB3 -0.0003519 21855 GTEx DepMap Descartes 0.00 0.17
ERBB4 -0.0003542 21885 GTEx DepMap Descartes 0.00 0.06


Descartes Megakaryocytes markers
Top 50 marker genes of Megakaryocytes cells in the Decartes fetal adrenal single cell map (https://atlas.brotmanbaty.org/bbi/human-gene-expression-during-development/cell/megakaryocytes/in/adrenal)
Wilcoxon ranksum test P-value for gene set overrepresentation: 1.74e-01
Mean rank of genes in gene set: 11908.45
Median rank of genes in gene set: 12812
Rank on gene expression program of top 30 genes in gene set:

Genes Weight Rank GTEx DepMap Descartes Mean.Counts Mean.TPM
SLC2A3 0.0094781 46 GTEx DepMap Descartes 5.25 415.95
HIPK2 0.0085510 74 GTEx DepMap Descartes 1.58 36.47
GSN 0.0079019 105 GTEx DepMap Descartes 5.00 250.75
MYH9 0.0067440 160 GTEx DepMap Descartes 1.83 77.26
UBASH3B 0.0066164 172 GTEx DepMap Descartes 0.41 19.61
STOM 0.0056308 258 GTEx DepMap Descartes 2.40 236.88
TPM4 0.0053412 296 GTEx DepMap Descartes 5.62 331.61
VCL 0.0050697 345 GTEx DepMap Descartes 1.04 42.53
ZYX 0.0044466 476 GTEx DepMap Descartes 0.76 108.39
TLN1 0.0035417 737 GTEx DepMap Descartes 1.77 61.92
CD9 0.0031701 897 GTEx DepMap Descartes 2.43 408.77
ACTB 0.0031650 901 GTEx DepMap Descartes 33.98 4226.05
FLI1 0.0030424 975 GTEx DepMap Descartes 0.47 26.80
RAP1B 0.0029921 1006 GTEx DepMap Descartes 3.44 75.52
FLNA 0.0029152 1044 GTEx DepMap Descartes 1.29 45.91
TGFB1 0.0028714 1073 GTEx DepMap Descartes 1.07 118.30
LTBP1 0.0016996 2317 GTEx DepMap Descartes 0.23 12.22
DOK6 0.0014933 2700 GTEx DepMap Descartes 0.10 3.89
LIMS1 0.0012547 3290 GTEx DepMap Descartes 1.26 88.36
MYLK 0.0011866 3484 GTEx DepMap Descartes 0.39 11.89
ARHGAP6 0.0011448 3584 GTEx DepMap Descartes 0.12 5.59
TMSB4X 0.0004572 6470 GTEx DepMap Descartes 42.04 6725.44
INPP4B 0.0001204 9617 GTEx DepMap Descartes 0.06 2.10
ITGB3 0.0001108 9783 GTEx DepMap Descartes 0.01 0.52
THBS1 -0.0000241 12812 GTEx DepMap Descartes 0.17 5.36
P2RX1 -0.0000780 15651 GTEx DepMap Descartes 0.02 2.17
MMRN1 -0.0001251 17595 GTEx DepMap Descartes 0.64 39.79
STON2 -0.0001749 19064 GTEx DepMap Descartes 0.03 2.36
ITGA2B -0.0001850 19310 GTEx DepMap Descartes 0.01 0.83
GP1BA -0.0001867 19367 GTEx DepMap Descartes 0.00 0.41


Descartes Lyphoid markers
Top 50 marker genes of Lyphoid cells in the Decartes fetal adrenal single cell map (https://atlas.brotmanbaty.org/bbi/human-gene-expression-during-development/cell/lymphoid/in/adrenal)
Wilcoxon ranksum test P-value for gene set overrepresentation: 1.18e-01
Mean rank of genes in gene set: 11634.06
Median rank of genes in gene set: 6358.5
Rank on gene expression program of top 30 genes in gene set:

Genes Weight Rank GTEx DepMap Descartes Mean.Counts Mean.TPM
ETS1 0.0095336 44 GTEx DepMap Descartes 2.69 168.27
MSN 0.0087348 65 GTEx DepMap Descartes 2.55 197.17
ITPKB 0.0060706 212 GTEx DepMap Descartes 0.47 26.67
FYN 0.0060105 217 GTEx DepMap Descartes 1.19 106.48
PRKCH 0.0059787 220 GTEx DepMap Descartes 0.80 73.26
ANKRD44 0.0049134 373 GTEx DepMap Descartes 0.56 27.33
ARID5B 0.0040614 568 GTEx DepMap Descartes 0.93 39.26
PITPNC1 0.0034706 764 GTEx DepMap Descartes 0.38 18.68
SP100 0.0034339 784 GTEx DepMap Descartes 0.80 46.54
IFI16 0.0031453 913 GTEx DepMap Descartes 1.94 139.33
MBNL1 0.0031214 934 GTEx DepMap Descartes 1.21 60.94
TMSB10 0.0029134 1046 GTEx DepMap Descartes 34.57 20753.62
WIPF1 0.0019693 1947 GTEx DepMap Descartes 0.35 24.20
GNG2 0.0017363 2258 GTEx DepMap Descartes 0.55 44.49
HLA-B 0.0015663 2560 GTEx DepMap Descartes 4.18 738.29
NCALD 0.0012882 3210 GTEx DepMap Descartes 0.19 15.88
RCSD1 0.0011447 3586 GTEx DepMap Descartes 0.34 17.80
FOXP1 0.0011362 3605 GTEx DepMap Descartes 0.44 16.10
PLEKHA2 0.0008957 4401 GTEx DepMap Descartes 0.13 7.93
HLA-A 0.0008923 4413 GTEx DepMap Descartes 4.84 251.57
MCTP2 0.0008426 4592 GTEx DepMap Descartes 0.23 8.28
STK39 0.0006633 5335 GTEx DepMap Descartes 0.10 9.78
ABLIM1 0.0005791 5747 GTEx DepMap Descartes 0.13 6.10
EVL 0.0005582 5858 GTEx DepMap Descartes 0.37 32.81
BACH2 0.0003994 6859 GTEx DepMap Descartes 0.03 1.14
PDE3B 0.0003887 6939 GTEx DepMap Descartes 0.10 4.83
LINC00299 0.0000627 10581 GTEx DepMap Descartes 0.00 0.17
CCL5 -0.0001775 19150 GTEx DepMap Descartes 0.08 16.18
SKAP1 -0.0002126 19894 GTEx DepMap Descartes 0.07 10.74
NKG7 -0.0002647 20772 GTEx DepMap Descartes 0.00 1.62



Below shows the ranks on this GEP for immune marker gene lists curated by CellTypist (https://www.celltypist.org/encyclopedia).
  High ranks indicate this gene is a driver of this GEP.
  These curated gene list are ranked by P-value (on this GEP) of their constituent genes.
  The Mean Count column shows the mean read count in cells scoring highly (H > 50) on this gene expression program.


Endothelial cells: Endothelial cells (model markers)
single-layered lining cells that constitute the interior vasculature:
Wilcoxon ranksum test P-value for gene set overrepresentation: 2.02e-03
Mean rank of genes in gene set: 5767.67
Rank on gene expression program of genes in gene set:
Genes Weight Rank GTEx DepMap Decartes Mean.Counts Mean.TPM
MMRN2 0.0081811 93 GTEx DepMap Descartes 2.22 175.72
ADGRL4 0.0068603 154 GTEx DepMap Descartes 2.75 NA
SOX17 0.0028984 1055 GTEx DepMap Descartes 0.46 61.44
VWF 0.0018594 2084 GTEx DepMap Descartes 0.28 10.34
SELE 0.0018232 2141 GTEx DepMap Descartes 0.18 15.62
RAMP3 0.0018109 2161 GTEx DepMap Descartes 0.35 69.81
JAM2 0.0012646 3264 GTEx DepMap Descartes 0.19 12.97
SELP -0.0001346 17883 GTEx DepMap Descartes 0.02 1.98
ACKR1 -0.0005097 23074 GTEx DepMap Descartes 0.02 NA


Endothelial cells: Endothelial cells (curated markers)
single-layered lining cells that constitute the interior vasculature:
Wilcoxon ranksum test P-value for gene set overrepresentation: 2.29e-03
Mean rank of genes in gene set: 708.67
Rank on gene expression program of genes in gene set:

Genes Weight Rank GTEx DepMap Decartes Mean.Counts Mean.TPM
PLVAP 0.0103154 37 GTEx DepMap Descartes 7.30 1021.04
SPARCL1 0.0036911 681 GTEx DepMap Descartes 3.80 358.69
CLDN5 0.0024607 1408 GTEx DepMap Descartes 5.37 641.08


pDC precursor: pDC precursor (curated markers)
precursors of plasmacytoid dendritic cells which have intermixed lymphoid and myeloid origins and give rise to plasmacytoid dendritic cells:
Wilcoxon ranksum test P-value for gene set overrepresentation: 8.53e-03
Mean rank of genes in gene set: 2645
Rank on gene expression program of genes in gene set:

Genes Weight Rank GTEx DepMap Decartes Mean.Counts Mean.TPM
IL3RA 0.0048597 387 GTEx DepMap Descartes 0.83 178.38
CCDC50 0.0021209 1760 GTEx DepMap Descartes 1.02 35.43
IRF7 0.0005714 5788 GTEx DepMap Descartes 0.24 37.30