QQ-plot of gene loadings, averaged over both independent splits of the data
This plot highlights the relative contribution of each gene to the GEP
Top genes driving this program. Note: Decartes website is buggy, try refreshing. Also, Decartes fetal adrenal data have been collected at specific time points (89-122 days), all possible cell types of interest may not be represented, do not overinterpret. The Mean Count column shows the mean read count in cells scoring highly (H > 50) on this gene expression program (currently only calculated for the cells in the first 50/50 split of the data).
Note: Decartes website is buggy, try refreshing. Also, Decartes fetal adrenal data have been collected at specific time points (89-122 days), all possible cell types of interest may not be represented, do not overinterpret.
The Mean Count column shows the mean read count in cells scoring highly (H > 50) on this gene expression program.
Gene | Loading | Gene.Name | GTEx | DepMap | Descartes | Mean.Counts | Mean.Tpm | |
---|---|---|---|---|---|---|---|---|
1 | EEF1A1 | 0.0105172 | eukaryotic translation elongation factor 1 alpha 1 | GTEx | DepMap | Descartes | 90.95 | 2545.81 |
2 | HDAC9 | 0.0099095 | histone deacetylase 9 | GTEx | DepMap | Descartes | 6.47 | 74.33 |
3 | PITX1 | 0.0097227 | paired like homeodomain 1 | GTEx | DepMap | Descartes | 1.91 | 81.83 |
4 | SOX11 | 0.0090631 | SRY-box transcription factor 11 | GTEx | DepMap | Descartes | 12.80 | 150.67 |
5 | LHX9 | 0.0089388 | LIM homeobox 9 | GTEx | DepMap | Descartes | 3.10 | 46.08 |
6 | SDC1 | 0.0084692 | syndecan 1 | GTEx | DepMap | Descartes | 1.63 | 41.25 |
7 | FOXP2 | 0.0082243 | forkhead box P2 | GTEx | DepMap | Descartes | 3.80 | 183.17 |
8 | BCL11A | 0.0079986 | BAF chromatin remodeling complex subunit BCL11A | GTEx | DepMap | Descartes | 3.41 | 79.89 |
9 | NPM1 | 0.0077863 | nucleophosmin 1 | GTEx | DepMap | Descartes | 29.73 | 1763.34 |
10 | PRSS12 | 0.0077459 | serine protease 12 | GTEx | DepMap | Descartes | 1.66 | 40.66 |
11 | HNRNPA1 | 0.0076616 | heterogeneous nuclear ribonucleoprotein A1 | GTEx | DepMap | Descartes | 34.35 | 935.37 |
12 | ELAVL4 | 0.0074640 | ELAV like RNA binding protein 4 | GTEx | DepMap | Descartes | 9.78 | 267.00 |
13 | ZFHX3 | 0.0069431 | zinc finger homeobox 3 | GTEx | DepMap | Descartes | 12.39 | 91.27 |
14 | MAD2L1 | 0.0068447 | mitotic arrest deficient 2 like 1 | GTEx | DepMap | Descartes | 1.91 | 34.82 |
15 | MARCH11 | 0.0066434 | NA | GTEx | DepMap | Descartes | 2.16 | NA |
16 | PTMA | 0.0066165 | prothymosin alpha | GTEx | DepMap | Descartes | 57.43 | 4230.99 |
17 | UHRF1 | 0.0064319 | ubiquitin like with PHD and ring finger domains 1 | GTEx | DepMap | Descartes | 0.97 | 19.41 |
18 | RPSA | 0.0064252 | ribosomal protein SA | GTEx | DepMap | Descartes | 30.36 | 1688.23 |
19 | DHFR | 0.0063961 | dihydrofolate reductase | GTEx | DepMap | Descartes | 1.45 | 33.90 |
20 | TYMS | 0.0063901 | thymidylate synthetase | GTEx | DepMap | Descartes | 4.12 | 226.38 |
21 | XIST | 0.0062343 | X inactive specific transcript | GTEx | DepMap | Descartes | 15.37 | 92.04 |
22 | PHOX2A | 0.0062323 | paired like homeobox 2A | GTEx | DepMap | Descartes | 4.50 | 307.14 |
23 | MEX3A | 0.0062319 | mex-3 RNA binding family member A | GTEx | DepMap | Descartes | 5.77 | 99.19 |
24 | PRC1 | 0.0061726 | protein regulator of cytokinesis 1 | GTEx | DepMap | Descartes | 3.35 | 88.75 |
25 | CLVS2 | 0.0061513 | clavesin 2 | GTEx | DepMap | Descartes | 1.37 | 13.12 |
26 | CENPV | 0.0061210 | centromere protein V | GTEx | DepMap | Descartes | 3.98 | 215.53 |
27 | ST8SIA2 | 0.0061039 | ST8 alpha-N-acetyl-neuraminide alpha-2,8-sialyltransferase 2 | GTEx | DepMap | Descartes | 1.34 | 27.53 |
28 | BIRC5 | 0.0060987 | baculoviral IAP repeat containing 5 | GTEx | DepMap | Descartes | 1.67 | 60.05 |
29 | KIF15 | 0.0060782 | kinesin family member 15 | GTEx | DepMap | Descartes | 0.83 | 17.11 |
30 | CD79A | 0.0060062 | CD79a molecule | GTEx | DepMap | Descartes | 2.56 | 692.11 |
31 | PUM2 | 0.0059459 | pumilio RNA binding family member 2 | GTEx | DepMap | Descartes | 7.34 | 120.99 |
32 | ACTG1 | 0.0059459 | actin gamma 1 | GTEx | DepMap | Descartes | 59.45 | 2881.23 |
33 | SCG3 | 0.0059321 | secretogranin III | GTEx | DepMap | Descartes | 3.07 | 104.30 |
34 | NELL2 | 0.0058890 | neural EGFL like 2 | GTEx | DepMap | Descartes | 5.29 | 174.16 |
35 | CENPF | 0.0057997 | centromere protein F | GTEx | DepMap | Descartes | 4.62 | 48.80 |
36 | SRP9 | 0.0057610 | signal recognition particle 9 | GTEx | DepMap | Descartes | 6.57 | 455.71 |
37 | CCNB1IP1 | 0.0057272 | cyclin B1 interacting protein 1 | GTEx | DepMap | Descartes | 3.46 | 217.16 |
38 | TMEM132A | 0.0057176 | transmembrane protein 132A | GTEx | DepMap | Descartes | 2.66 | 75.92 |
39 | NPW | 0.0056311 | neuropeptide W | GTEx | DepMap | Descartes | 0.56 | 64.47 |
40 | CAMKV | 0.0056209 | CaM kinase like vesicle associated | GTEx | DepMap | Descartes | 0.74 | 23.91 |
41 | H2AFY2 | 0.0055370 | NA | GTEx | DepMap | Descartes | 2.03 | NA |
42 | MAP6 | 0.0055300 | microtubule associated protein 6 | GTEx | DepMap | Descartes | 2.78 | 68.49 |
43 | HMGB1 | 0.0055123 | high mobility group box 1 | GTEx | DepMap | Descartes | 14.49 | 290.71 |
44 | RPL13 | 0.0055122 | ribosomal protein L13 | GTEx | DepMap | Descartes | 73.71 | 2056.52 |
45 | WDR35 | 0.0055083 | WD repeat domain 35 | GTEx | DepMap | Descartes | 2.16 | 31.92 |
46 | PHF21B | 0.0054818 | PHD finger protein 21B | GTEx | DepMap | Descartes | 1.29 | 33.12 |
47 | HIST1H4C | 0.0054602 | NA | GTEx | DepMap | Descartes | 10.86 | NA |
48 | LDHB | 0.0054554 | lactate dehydrogenase B | GTEx | DepMap | Descartes | 10.10 | 656.33 |
49 | PRR11 | 0.0053279 | proline rich 11 | GTEx | DepMap | Descartes | 1.78 | 29.88 |
50 | TOP2A | 0.0053150 | DNA topoisomerase II alpha | GTEx | DepMap | Descartes | 5.80 | 99.98 |
UMAP plots showing activity of gene expression program identified in community:1. Neuroblastoma: MYCN
CNV Data procured from inferCNV.
Outer tracks are putative CNV regions (gains = red, losses = blue) for each patient
Inner track is expression data representing:
The top cells expressing this GEP (purple)
Random cells (n =50) from the reference set used in inferCNV (orange)
Gene set Enrichments for this program, caculated from top 50 genes
mSigDB Cell Types Gene Set:
P-value | OR | Lower 95% CI | FDR | FWER | Genes Found | Gene Set Size | |
---|---|---|---|---|---|---|---|
BUSSLINGER_ESOPHAGEAL_EARLY_SUPRABASAL_CELLS | 7.09e-10 | 33.49 | 13.11 | 1.19e-07 | 4.76e-07 | 8EEF1A1, NPM1, HNRNPA1, PTMA, PRC1, CENPF, HMGB1, TOP2A |
79 |
BUSSLINGER_ESOPHAGEAL_PROLIFERATING_BASAL_CELLS | 9.83e-09 | 32.25 | 11.79 | 8.24e-07 | 6.59e-06 | 7EEF1A1, HNRNPA1, PTMA, PRC1, CENPF, HMGB1, TOP2A |
70 |
ZHONG_PFC_MAJOR_TYPES_NPCS | 3.62e-09 | 20.62 | 8.63 | 3.47e-07 | 2.43e-06 | 9MAD2L1, UHRF1, DHFR, PRC1, BIRC5, KIF15, CENPF, PRR11, TOP2A |
142 |
DURANTE_ADULT_OLFACTORY_NEUROEPITHELIUM_GLOBOSE_BASAL_CELLS | 1.05e-05 | 34.98 | 8.63 | 2.95e-04 | 7.08e-03 | 4SOX11, ELAVL4, PTMA, MEX3A |
35 |
ZHENG_CORD_BLOOD_C9_GRANULOCYTE_MACROPHAGE_PROGENITOR | 1.18e-07 | 21.87 | 8.09 | 5.28e-06 | 7.92e-05 | 7BCL11A, HNRNPA1, PTMA, BIRC5, ACTG1, CENPF, PRR11 |
100 |
TRAVAGLINI_LUNG_PROLIFERATING_NK_T_CELL | 3.46e-08 | 19.67 | 7.81 | 1.94e-06 | 2.32e-05 | 8MAD2L1, PTMA, DHFR, TYMS, BIRC5, CENPF, HMGB1, TOP2A |
129 |
MANNO_MIDBRAIN_NEUROTYPES_HPROGFPL | 1.23e-11 | 15.74 | 7.76 | 8.26e-09 | 8.26e-09 | 14SDC1, ZFHX3, MAD2L1, UHRF1, DHFR, TYMS, PRC1, CENPV, BIRC5, KIF15, NELL2, CENPF, PRR11, TOP2A |
323 |
MANNO_MIDBRAIN_NEUROTYPES_HNPROG | 9.74e-10 | 16.17 | 7.37 | 1.31e-07 | 6.53e-07 | 11SOX11, ELAVL4, MAD2L1, XIST, PRC1, BIRC5, KIF15, CENPF, MAP6, PHF21B, TOP2A |
229 |
HAY_BONE_MARROW_PRO_B | 1.34e-09 | 13.52 | 6.36 | 1.50e-07 | 9.00e-07 | 12HNRNPA1, MAD2L1, PTMA, TYMS, BIRC5, KIF15, ACTG1, CENPF, SRP9, HMGB1, PRR11, TOP2A |
304 |
BUSSLINGER_DUODENAL_TRANSIT_AMPLIFYING_CELLS | 5.33e-08 | 14.83 | 6.24 | 2.56e-06 | 3.58e-05 | 9EEF1A1, NPM1, HNRNPA1, PTMA, ACTG1, CENPF, HMGB1, RPL13, TOP2A |
194 |
MANNO_MIDBRAIN_NEUROTYPES_HPROGFPM | 6.08e-10 | 12.80 | 6.19 | 1.19e-07 | 4.08e-07 | 13SDC1, NPM1, MAD2L1, UHRF1, DHFR, TYMS, PRC1, BIRC5, KIF15, CENPF, HMGB1, PRR11, TOP2A |
356 |
ZHONG_PFC_C1_OPC | 2.21e-08 | 13.71 | 6.04 | 1.35e-06 | 1.48e-05 | 10MAD2L1, UHRF1, DHFR, PRC1, BIRC5, KIF15, CENPF, HMGB1, PRR11, TOP2A |
238 |
MANNO_MIDBRAIN_NEUROTYPES_HPROGBP | 1.56e-08 | 12.20 | 5.58 | 1.16e-06 | 1.04e-05 | 11MAD2L1, UHRF1, DHFR, TYMS, PRC1, BIRC5, KIF15, NELL2, CENPF, PRR11, TOP2A |
300 |
BUSSLINGER_DUODENAL_DIFFERENTIATING_STEM_CELLS | 1.84e-08 | 11.99 | 5.48 | 1.23e-06 | 1.23e-05 | 11EEF1A1, NPM1, HNRNPA1, PTMA, DHFR, ACTG1, CENPF, SRP9, HMGB1, RPL13, TOP2A |
305 |
FAN_EMBRYONIC_CTX_MICROGLIA_1 | 2.26e-06 | 13.75 | 5.13 | 7.22e-05 | 1.52e-03 | 7MAD2L1, PRC1, BIRC5, KIF15, CENPF, PRR11, TOP2A |
155 |
MANNO_MIDBRAIN_NEUROTYPES_HRN | 4.70e-08 | 10.88 | 4.98 | 2.43e-06 | 3.16e-05 | 11SOX11, FOXP2, BCL11A, PRSS12, ELAVL4, ZFHX3, XIST, CLVS2, SCG3, MAP6, PHF21B |
335 |
MENON_FETAL_KIDNEY_0_CAP_MESENCHYME_CELLS | 2.69e-05 | 16.33 | 4.94 | 7.23e-04 | 1.81e-02 | 5PTMA, XIST, CENPF, HMGB1, TOP2A |
90 |
MANNO_MIDBRAIN_NEUROTYPES_HNBM | 1.60e-07 | 10.97 | 4.84 | 6.71e-06 | 1.07e-04 | 10SOX11, FOXP2, BCL11A, ELAVL4, XIST, CLVS2, ST8SIA2, SCG3, MAP6, PHF21B |
295 |
ZHONG_PFC_C8_ORG_PROLIFERATING | 1.03e-04 | 18.72 | 4.74 | 2.16e-03 | 6.91e-02 | 4PRC1, BIRC5, CENPF, PRR11 |
62 |
TRAVAGLINI_LUNG_PROLIFERATING_BASAL_CELL | 1.43e-10 | 8.80 | 4.67 | 4.81e-08 | 9.62e-08 | 19EEF1A1, PITX1, BCL11A, NPM1, HNRNPA1, MAD2L1, PTMA, UHRF1, RPSA, DHFR, TYMS, PRC1, BIRC5, CENPF, SRP9, HMGB1, RPL13, LDHB, TOP2A |
891 |
Dowload full table
mSigDB Hallmark Gene Sets:
P-value | OR | Lower 95% CI | FDR | FWER | Genes Found | Gene Set Size | |
---|---|---|---|---|---|---|---|
HALLMARK_G2M_CHECKPOINT | 1.24e-04 | 8.78 | 3.02 | 6.18e-03 | 6.18e-03 | 6MAD2L1, PRC1, BIRC5, KIF15, CENPF, TOP2A |
200 |
HALLMARK_MITOTIC_SPINDLE | 1.06e-03 | 7.16 | 2.19 | 2.64e-02 | 5.28e-02 | 5PRC1, BIRC5, KIF15, CENPF, TOP2A |
199 |
HALLMARK_MYC_TARGETS_V1 | 7.71e-03 | 5.55 | 1.44 | 1.28e-01 | 3.85e-01 | 4NPM1, HNRNPA1, MAD2L1, TYMS |
200 |
HALLMARK_E2F_TARGETS | 4.35e-02 | 4.05 | 0.80 | 4.35e-01 | 1.00e+00 | 3MAD2L1, BIRC5, TOP2A |
200 |
HALLMARK_ALLOGRAFT_REJECTION | 4.35e-02 | 4.05 | 0.80 | 4.35e-01 | 1.00e+00 | 3HDAC9, NPM1, CD79A |
200 |
HALLMARK_GLYCOLYSIS | 1.85e-01 | 2.63 | 0.31 | 1.00e+00 | 1.00e+00 | 2LHX9, SDC1 |
200 |
HALLMARK_P53_PATHWAY | 1.85e-01 | 2.63 | 0.31 | 1.00e+00 | 1.00e+00 | 2SDC1, LDHB |
200 |
HALLMARK_KRAS_SIGNALING_UP | 1.85e-01 | 2.63 | 0.31 | 1.00e+00 | 1.00e+00 | 2HDAC9, SCG3 |
200 |
HALLMARK_PANCREAS_BETA_CELLS | 1.47e-01 | 6.54 | 0.16 | 1.00e+00 | 1.00e+00 | 1SRP9 |
40 |
HALLMARK_MYC_TARGETS_V2 | 2.06e-01 | 4.47 | 0.11 | 1.00e+00 | 1.00e+00 | 1NPM1 |
58 |
HALLMARK_CHOLESTEROL_HOMEOSTASIS | 2.55e-01 | 3.49 | 0.09 | 1.00e+00 | 1.00e+00 | 1ACTG1 |
74 |
HALLMARK_PEROXISOME | 3.39e-01 | 2.48 | 0.06 | 1.00e+00 | 1.00e+00 | 1TOP2A |
104 |
HALLMARK_UNFOLDED_PROTEIN_RESPONSE | 3.62e-01 | 2.28 | 0.06 | 1.00e+00 | 1.00e+00 | 1NPM1 |
113 |
HALLMARK_SPERMATOGENESIS | 4.15e-01 | 1.90 | 0.05 | 1.00e+00 | 1.00e+00 | 1SCG3 |
135 |
HALLMARK_DNA_REPAIR | 4.49e-01 | 1.71 | 0.04 | 1.00e+00 | 1.00e+00 | 1TYMS |
150 |
HALLMARK_FATTY_ACID_METABOLISM | 4.66e-01 | 1.62 | 0.04 | 1.00e+00 | 1.00e+00 | 1XIST |
158 |
HALLMARK_APOPTOSIS | 4.72e-01 | 1.59 | 0.04 | 1.00e+00 | 1.00e+00 | 1TOP2A |
161 |
HALLMARK_IL2_STAT5_SIGNALING | 5.45e-01 | 1.29 | 0.03 | 1.00e+00 | 1.00e+00 | 1MAP6 |
199 |
HALLMARK_ESTROGEN_RESPONSE_LATE | 5.47e-01 | 1.28 | 0.03 | 1.00e+00 | 1.00e+00 | 1TOP2A |
200 |
HALLMARK_APICAL_JUNCTION | 5.47e-01 | 1.28 | 0.03 | 1.00e+00 | 1.00e+00 | 1ACTG1 |
200 |
Dowload full table
KEGG Pathways:
P-value | OR | Lower 95% CI | FDR | FWER | Genes Found | Gene Set Size | |
---|---|---|---|---|---|---|---|
KEGG_ONE_CARBON_POOL_BY_FOLATE | 2.03e-03 | 34.68 | 3.75 | 3.78e-01 | 3.78e-01 | 2DHFR, TYMS |
17 |
KEGG_RIBOSOME | 4.73e-02 | 6.05 | 0.70 | 1.00e+00 | 1.00e+00 | 2RPSA, RPL13 |
88 |
KEGG_FOLATE_BIOSYNTHESIS | 4.29e-02 | 25.48 | 0.58 | 1.00e+00 | 1.00e+00 | 1DHFR |
11 |
KEGG_PROTEIN_EXPORT | 9.13e-02 | 11.08 | 0.26 | 1.00e+00 | 1.00e+00 | 1SRP9 |
24 |
KEGG_PROPANOATE_METABOLISM | 1.23e-01 | 7.97 | 0.19 | 1.00e+00 | 1.00e+00 | 1LDHB |
33 |
KEGG_CYSTEINE_AND_METHIONINE_METABOLISM | 1.27e-01 | 7.73 | 0.19 | 1.00e+00 | 1.00e+00 | 1LDHB |
34 |
KEGG_PRIMARY_IMMUNODEFICIENCY | 1.30e-01 | 7.50 | 0.18 | 1.00e+00 | 1.00e+00 | 1CD79A |
35 |
KEGG_BASE_EXCISION_REPAIR | 1.30e-01 | 7.50 | 0.18 | 1.00e+00 | 1.00e+00 | 1HMGB1 |
35 |
KEGG_PYRUVATE_METABOLISM | 1.47e-01 | 6.54 | 0.16 | 1.00e+00 | 1.00e+00 | 1LDHB |
40 |
KEGG_VIBRIO_CHOLERAE_INFECTION | 1.94e-01 | 4.81 | 0.12 | 1.00e+00 | 1.00e+00 | 1ACTG1 |
54 |
KEGG_PATHOGENIC_ESCHERICHIA_COLI_INFECTION | 2.00e-01 | 4.64 | 0.11 | 1.00e+00 | 1.00e+00 | 1ACTG1 |
56 |
KEGG_GLYCOLYSIS_GLUCONEOGENESIS | 2.19e-01 | 4.18 | 0.10 | 1.00e+00 | 1.00e+00 | 1LDHB |
62 |
KEGG_COLORECTAL_CANCER | 2.19e-01 | 4.18 | 0.10 | 1.00e+00 | 1.00e+00 | 1BIRC5 |
62 |
KEGG_VIRAL_MYOCARDITIS | 2.43e-01 | 3.70 | 0.09 | 1.00e+00 | 1.00e+00 | 1ACTG1 |
70 |
KEGG_ADHERENS_JUNCTION | 2.52e-01 | 3.54 | 0.09 | 1.00e+00 | 1.00e+00 | 1ACTG1 |
73 |
KEGG_ARRHYTHMOGENIC_RIGHT_VENTRICULAR_CARDIOMYOPATHY_ARVC | 2.55e-01 | 3.49 | 0.09 | 1.00e+00 | 1.00e+00 | 1ACTG1 |
74 |
KEGG_B_CELL_RECEPTOR_SIGNALING_PATHWAY | 2.58e-01 | 3.45 | 0.08 | 1.00e+00 | 1.00e+00 | 1CD79A |
75 |
KEGG_HYPERTROPHIC_CARDIOMYOPATHY_HCM | 2.81e-01 | 3.11 | 0.08 | 1.00e+00 | 1.00e+00 | 1ACTG1 |
83 |
KEGG_ECM_RECEPTOR_INTERACTION | 2.84e-01 | 3.07 | 0.08 | 1.00e+00 | 1.00e+00 | 1SDC1 |
84 |
KEGG_PROGESTERONE_MEDIATED_OOCYTE_MATURATION | 2.87e-01 | 3.04 | 0.07 | 1.00e+00 | 1.00e+00 | 1MAD2L1 |
85 |
Dowload full table
CHR Positional Gene Sets:
P-value | OR | Lower 95% CI | FDR | FWER | Genes Found | Gene Set Size | |
---|---|---|---|---|---|---|---|
chr2p24 | 3.11e-03 | 11.23 | 2.19 | 8.65e-01 | 8.65e-01 | 3SDC1, PUM2, WDR35 |
74 |
chr15q26 | 1.75e-01 | 2.73 | 0.32 | 1.00e+00 | 1.00e+00 | 2PRC1, ST8SIA2 |
193 |
chr4q27 | 1.09e-01 | 9.11 | 0.22 | 1.00e+00 | 1.00e+00 | 1MAD2L1 |
29 |
chr17q25 | 3.22e-01 | 1.77 | 0.21 | 1.00e+00 | 1.00e+00 | 2BIRC5, ACTG1 |
297 |
chr3p21 | 3.32e-01 | 1.72 | 0.20 | 1.00e+00 | 1.00e+00 | 2KIF15, CAMKV |
304 |
chr11q13 | 6.78e-01 | 1.24 | 0.15 | 1.00e+00 | 1.00e+00 | 2PHOX2A, MAP6 |
421 |
chr4q26 | 1.90e-01 | 4.91 | 0.12 | 1.00e+00 | 1.00e+00 | 1PRSS12 |
53 |
chr6q13 | 2.00e-01 | 4.64 | 0.11 | 1.00e+00 | 1.00e+00 | 1EEF1A1 |
56 |
chr12q12 | 2.06e-01 | 4.47 | 0.11 | 1.00e+00 | 1.00e+00 | 1NELL2 |
58 |
chr1p33 | 2.13e-01 | 4.32 | 0.11 | 1.00e+00 | 1.00e+00 | 1ELAVL4 |
60 |
chr1q22 | 2.43e-01 | 3.70 | 0.09 | 1.00e+00 | 1.00e+00 | 1MEX3A |
70 |
chr1q31 | 2.46e-01 | 3.64 | 0.09 | 1.00e+00 | 1.00e+00 | 1LHX9 |
71 |
chr7p21 | 2.81e-01 | 3.11 | 0.08 | 1.00e+00 | 1.00e+00 | 1HDAC9 |
83 |
chr17q22 | 2.90e-01 | 3.00 | 0.07 | 1.00e+00 | 1.00e+00 | 1PRR11 |
86 |
chr1q41 | 3.06e-01 | 2.80 | 0.07 | 1.00e+00 | 1.00e+00 | 1CENPF |
92 |
chr12p12 | 3.46e-01 | 2.41 | 0.06 | 1.00e+00 | 1.00e+00 | 1LDHB |
107 |
chr2p16 | 3.64e-01 | 2.26 | 0.06 | 1.00e+00 | 1.00e+00 | 1BCL11A |
114 |
chr2p25 | 3.72e-01 | 2.20 | 0.05 | 1.00e+00 | 1.00e+00 | 1SOX11 |
117 |
chr6q22 | 3.77e-01 | 2.16 | 0.05 | 1.00e+00 | 1.00e+00 | 1CLVS2 |
119 |
chr7q31 | 4.01e-01 | 1.99 | 0.05 | 1.00e+00 | 1.00e+00 | 1FOXP2 |
129 |
Dowload full table
Transcription Factor Targets:
P-value | OR | Lower 95% CI | FDR | FWER | Genes Found | Gene Set Size | |
---|---|---|---|---|---|---|---|
LXR_DR4_Q3 | 3.15e-05 | 15.77 | 4.77 | 1.79e-02 | 3.57e-02 | 5FOXP2, ZFHX3, PUM2, NELL2, PRR11 |
93 |
MEIS1AHOXA9_01 | 1.10e-04 | 11.97 | 3.64 | 4.15e-02 | 1.24e-01 | 5LHX9, ELAVL4, ZFHX3, PHF21B, PRR11 |
121 |
HOXC11_TARGET_GENES | 1.26e-03 | 15.63 | 3.02 | 1.59e-01 | 1.00e+00 | 3EEF1A1, ELAVL4, CCNB1IP1 |
54 |
RTTTNNNYTGGM_UNKNOWN | 3.45e-04 | 9.26 | 2.83 | 9.21e-02 | 3.91e-01 | 5PITX1, FOXP2, BCL11A, ZFHX3, PUM2 |
155 |
HSD17B8_TARGET_GENES | 2.76e-05 | 5.44 | 2.50 | 1.79e-02 | 3.12e-02 | 11PITX1, MAD2L1, UHRF1, PRC1, CLVS2, BIRC5, KIF15, CENPF, HMGB1, PRR11, TOP2A |
659 |
WYAAANNRNNNGCG_UNKNOWN | 2.15e-03 | 12.86 | 2.49 | 2.04e-01 | 1.00e+00 | 3PHOX2A, ST8SIA2, PHF21B |
65 |
YY1_Q6 | 4.13e-04 | 6.96 | 2.40 | 9.21e-02 | 4.68e-01 | 6EEF1A1, BCL11A, ELAVL4, PTMA, KIF15, CCNB1IP1 |
251 |
TAXCREB_02 | 5.10e-03 | 20.80 | 2.32 | 2.51e-01 | 1.00e+00 | 2EEF1A1, BCL11A |
27 |
DR4_Q2 | 5.58e-04 | 6.56 | 2.26 | 9.21e-02 | 6.33e-01 | 6FOXP2, ELAVL4, PUM2, NELL2, HMGB1, PRR11 |
266 |
LEF1_Q6 | 5.69e-04 | 6.53 | 2.25 | 9.21e-02 | 6.45e-01 | 6SOX11, LHX9, SDC1, FOXP2, ZFHX3, UHRF1 |
267 |
SMTTTTGT_UNKNOWN | 8.92e-04 | 5.09 | 1.92 | 1.26e-01 | 1.00e+00 | 7LHX9, FOXP2, BCL11A, HNRNPA1, ELAVL4, SCG3, HMGB1 |
407 |
HP1SITEFACTOR_Q6 | 2.17e-03 | 6.04 | 1.85 | 2.04e-01 | 1.00e+00 | 5HDAC9, FOXP2, BCL11A, ST8SIA2, PUM2 |
235 |
SOX9_B1 | 2.29e-03 | 5.96 | 1.83 | 2.04e-01 | 1.00e+00 | 5HDAC9, ELAVL4, PTMA, HMGB1, TOP2A |
238 |
PIT1_Q6 | 2.34e-03 | 5.94 | 1.82 | 2.04e-01 | 1.00e+00 | 5FOXP2, BCL11A, ELAVL4, ZFHX3, PRR11 |
239 |
AREB6_04 | 2.97e-03 | 5.60 | 1.72 | 2.11e-01 | 1.00e+00 | 5SOX11, FOXP2, BCL11A, ELAVL4, HMGB1 |
253 |
OCT1_07 | 4.22e-03 | 6.63 | 1.71 | 2.28e-01 | 1.00e+00 | 4HDAC9, FOXP2, ELAVL4, CAMKV |
168 |
MYCMAX_01 | 3.18e-03 | 5.51 | 1.69 | 2.12e-01 | 1.00e+00 | 5SDC1, NPM1, HNRNPA1, PTMA, CAMKV |
257 |
NFY_Q6 | 3.50e-03 | 5.38 | 1.65 | 2.14e-01 | 1.00e+00 | 5ELAVL4, PTMA, CENPF, PRR11, TOP2A |
263 |
PAX2_02 | 3.61e-03 | 5.34 | 1.64 | 2.14e-01 | 1.00e+00 | 5SDC1, FOXP2, ELAVL4, ST8SIA2, PHF21B |
265 |
CATTGTYY_SOX9_B1 | 2.83e-03 | 4.71 | 1.63 | 2.11e-01 | 1.00e+00 | 6HDAC9, FOXP2, BCL11A, PTMA, TMEM132A, HMGB1 |
368 |
Dowload full table
GO Biological Processes:
P-value | OR | Lower 95% CI | FDR | FWER | Genes Found | Gene Set Size | |
---|---|---|---|---|---|---|---|
GOBP_NORADRENERGIC_NEURON_DIFFERENTIATION | 3.22e-04 | 103.49 | 9.64 | 6.40e-01 | 1.00e+00 | 2SOX11, PHOX2A |
7 |
GOBP_REGULATION_OF_ENDODEOXYRIBONUCLEASE_ACTIVITY | 4.28e-04 | 86.37 | 8.33 | 6.40e-01 | 1.00e+00 | 2NPM1, HMGB1 |
8 |
GOBP_DNA_TOPOLOGICAL_CHANGE | 5.49e-04 | 74.10 | 7.33 | 6.40e-01 | 1.00e+00 | 2HMGB1, TOP2A |
9 |
GOBP_REGULATION_OF_DEOXYRIBONUCLEASE_ACTIVITY | 6.85e-04 | 64.86 | 6.55 | 6.40e-01 | 1.00e+00 | 2NPM1, HMGB1 |
10 |
GOBP_DNA_LIGATION | 1.58e-03 | 39.95 | 4.27 | 1.00e+00 | 1.00e+00 | 2HMGB1, TOP2A |
15 |
GOBP_TETRAHYDROFOLATE_METABOLIC_PROCESS | 2.54e-03 | 30.58 | 3.34 | 1.00e+00 | 1.00e+00 | 2DHFR, TYMS |
19 |
GOBP_NEGATIVE_REGULATION_OF_CHROMOSOME_ORGANIZATION | 4.50e-04 | 12.49 | 3.20 | 6.40e-01 | 1.00e+00 | 4HNRNPA1, MAD2L1, CENPF, TOP2A |
91 |
GOBP_SYMPATHETIC_NERVOUS_SYSTEM_DEVELOPMENT | 3.10e-03 | 27.37 | 3.01 | 1.00e+00 | 1.00e+00 | 2SOX11, PHOX2A |
21 |
GOBP_CENTROMERE_COMPLEX_ASSEMBLY | 1.40e-03 | 15.04 | 2.91 | 1.00e+00 | 1.00e+00 | 3NPM1, CENPV, CENPF |
56 |
GOBP_REGULATION_OF_NUCLEASE_ACTIVITY | 3.40e-03 | 26.01 | 2.87 | 1.00e+00 | 1.00e+00 | 2NPM1, HMGB1 |
22 |
GOBP_FOLIC_ACID_CONTAINING_COMPOUND_METABOLIC_PROCESS | 5.10e-03 | 20.80 | 2.32 | 1.00e+00 | 1.00e+00 | 2DHFR, TYMS |
27 |
GOBP_CHROMOSOME_SEGREGATION | 2.99e-04 | 6.17 | 2.32 | 6.40e-01 | 1.00e+00 | 7MAD2L1, PRC1, BIRC5, PUM2, CENPF, CCNB1IP1, TOP2A |
337 |
GOBP_LIVER_REGENERATION | 6.69e-03 | 17.94 | 2.02 | 1.00e+00 | 1.00e+00 | 2TYMS, WDR35 |
31 |
GOBP_NEGATIVE_REGULATION_OF_BIOSYNTHETIC_PROCESS | 3.46e-05 | 3.86 | 2.01 | 2.58e-01 | 2.58e-01 | 17HDAC9, PITX1, SOX11, LHX9, FOXP2, BCL11A, HNRNPA1, ZFHX3, UHRF1, DHFR, TYMS, CENPV, BIRC5, CENPF, SRP9, HMGB1, WDR35 |
1686 |
GOBP_PTERIDINE_CONTAINING_COMPOUND_METABOLIC_PROCESS | 7.55e-03 | 16.78 | 1.89 | 1.00e+00 | 1.00e+00 | 2DHFR, TYMS |
33 |
GOBP_REGULATION_OF_CHROMOSOME_SEGREGATION | 5.21e-03 | 9.27 | 1.81 | 1.00e+00 | 1.00e+00 | 3MAD2L1, PUM2, CENPF |
89 |
GOBP_REGULATION_OF_TRANSCRIPTION_INVOLVED_IN_G1_S_TRANSITION_OF_MITOTIC_CELL_CYCLE | 8.47e-03 | 15.77 | 1.78 | 1.00e+00 | 1.00e+00 | 2DHFR, TYMS |
35 |
GOBP_CELLULAR_COMPONENT_DISASSEMBLY_INVOLVED_IN_EXECUTION_PHASE_OF_APOPTOSIS | 8.47e-03 | 15.77 | 1.78 | 1.00e+00 | 1.00e+00 | 2HMGB1, TOP2A |
35 |
GOBP_CHROMOSOME_SEPARATION | 6.24e-03 | 8.67 | 1.70 | 1.00e+00 | 1.00e+00 | 3MAD2L1, CENPF, TOP2A |
95 |
GOBP_NEGATIVE_REGULATION_OF_NUCLEOBASE_CONTAINING_COMPOUND_METABOLIC_PROCESS | 6.09e-04 | 3.23 | 1.61 | 6.40e-01 | 1.00e+00 | 14HDAC9, PITX1, SOX11, LHX9, FOXP2, BCL11A, HNRNPA1, ELAVL4, ZFHX3, UHRF1, CENPV, BIRC5, CENPF, HMGB1 |
1519 |
Dowload full table
Immunological Gene Sets:
P-value | OR | Lower 95% CI | FDR | FWER | Genes Found | Gene Set Size | |
---|---|---|---|---|---|---|---|
GSE14415_NATURAL_TREG_VS_TCONV_DN | 4.43e-07 | 13.84 | 5.53 | 1.44e-03 | 2.16e-03 | 8MAD2L1, UHRF1, PRC1, BIRC5, KIF15, CENPF, PRR11, TOP2A |
180 |
GSE13547_CTRL_VS_ANTI_IGM_STIM_BCELL_12H_UP | 5.89e-07 | 13.30 | 5.31 | 1.44e-03 | 2.87e-03 | 8MAD2L1, UHRF1, PRC1, BIRC5, KIF15, CENPF, PRR11, TOP2A |
187 |
GSE27241_WT_VS_RORGT_KO_TH17_POLARIZED_CD4_TCELL_UP | 3.15e-06 | 13.04 | 4.87 | 5.11e-03 | 1.53e-02 | 7UHRF1, RPSA, PRC1, KIF15, CENPF, PRR11, TOP2A |
163 |
GSE10325_LUPUS_BCELL_VS_LUPUS_MYELOID_UP | 9.76e-06 | 10.88 | 4.08 | 8.26e-03 | 4.76e-02 | 7BCL11A, NPM1, PTMA, RPSA, CD79A, CCNB1IP1, LDHB |
194 |
GSE21063_WT_VS_NFATC1_KO_8H_ANTI_IGM_STIM_BCELL_UP | 1.15e-05 | 10.60 | 3.97 | 8.26e-03 | 5.60e-02 | 7MAD2L1, DHFR, TYMS, PRC1, BIRC5, KIF15, TOP2A |
199 |
GSE15750_DAY6_VS_DAY10_EFF_CD8_TCELL_UP | 1.19e-05 | 10.54 | 3.95 | 8.26e-03 | 5.79e-02 | 7MAD2L1, UHRF1, DHFR, PRC1, BIRC5, PRR11, TOP2A |
200 |
GSE15750_DAY6_VS_DAY10_TRAF6KO_EFF_CD8_TCELL_UP | 1.19e-05 | 10.54 | 3.95 | 8.26e-03 | 5.79e-02 | 7MAD2L1, UHRF1, DHFR, BIRC5, CENPF, PRR11, TOP2A |
200 |
GSE13547_2H_VS_12_H_ANTI_IGM_STIM_BCELL_UP | 5.98e-05 | 10.09 | 3.46 | 2.62e-02 | 2.91e-01 | 6PRC1, BIRC5, KIF15, CENPF, PRR11, TOP2A |
175 |
GSE13547_CTRL_VS_ANTI_IGM_STIM_BCELL_2H_UP | 7.41e-05 | 9.68 | 3.33 | 2.62e-02 | 3.61e-01 | 6MAD2L1, PRC1, KIF15, CENPF, PRR11, TOP2A |
182 |
GSE25088_WT_VS_STAT6_KO_MACROPHAGE_IL4_STIM_DN | 1.17e-04 | 8.88 | 3.05 | 2.62e-02 | 5.71e-01 | 6DHFR, TYMS, PRC1, CENPF, HMGB1, TOP2A |
198 |
GSE3982_DC_VS_TH2_DN | 1.20e-04 | 8.83 | 3.04 | 2.62e-02 | 5.86e-01 | 6PTMA, TYMS, BIRC5, KIF15, CENPF, CCNB1IP1 |
199 |
GSE25088_WT_VS_STAT6_KO_MACROPHAGE_DN | 1.20e-04 | 8.83 | 3.04 | 2.62e-02 | 5.86e-01 | 6DHFR, TYMS, PRC1, KIF15, CENPF, TOP2A |
199 |
GSE23568_CTRL_VS_ID3_TRANSDUCED_CD8_TCELL_DN | 1.20e-04 | 8.83 | 3.04 | 2.62e-02 | 5.86e-01 | 6MAD2L1, UHRF1, DHFR, PRC1, BIRC5, TOP2A |
199 |
GSE22313_HEALTHY_VS_SLE_MOUSE_CD4_TCELL_DN | 1.20e-04 | 8.83 | 3.04 | 2.62e-02 | 5.86e-01 | 6BCL11A, ZFHX3, UHRF1, TYMS, PRC1, BIRC5 |
199 |
GOLDRATH_NAIVE_VS_EFF_CD8_TCELL_DN | 1.24e-04 | 8.78 | 3.02 | 2.62e-02 | 6.03e-01 | 6MAD2L1, DHFR, TYMS, PRC1, BIRC5, TOP2A |
200 |
GOLDRATH_EFF_VS_MEMORY_CD8_TCELL_UP | 1.24e-04 | 8.78 | 3.02 | 2.62e-02 | 6.03e-01 | 6MAD2L1, DHFR, TYMS, PRC1, BIRC5, TOP2A |
200 |
GSE24634_TREG_VS_TCONV_POST_DAY7_IL4_CONVERSION_UP | 1.24e-04 | 8.78 | 3.02 | 2.62e-02 | 6.03e-01 | 6DHFR, TYMS, PRC1, BIRC5, KIF15, CENPF |
200 |
GSE36476_CTRL_VS_TSST_ACT_72H_MEMORY_CD4_TCELL_YOUNG_DN | 1.24e-04 | 8.78 | 3.02 | 2.62e-02 | 6.03e-01 | 6DHFR, TYMS, BIRC5, KIF15, ACTG1, TOP2A |
200 |
GSE36476_CTRL_VS_TSST_ACT_40H_MEMORY_CD4_TCELL_OLD_DN | 1.24e-04 | 8.78 | 3.02 | 2.62e-02 | 6.03e-01 | 6DHFR, TYMS, KIF15, ACTG1, CENPF, TOP2A |
200 |
GSE2405_0H_VS_9H_A_PHAGOCYTOPHILUM_STIM_NEUTROPHIL_DN | 1.24e-04 | 8.78 | 3.02 | 2.62e-02 | 6.03e-01 | 6NPM1, RPSA, ACTG1, HMGB1, RPL13, LDHB |
200 |
Top Ranked Transcription Factors for this Gene Expression Program:
Gene Symbol | TF Rank | DNA Binding Domain | Motif Status | IUPAC PWM | GTEx | DepMap | Decartes |
---|---|---|---|---|---|---|---|
HDAC9 | 2 | No | Unlikely to be sequence specific TF | Not a DNA binding protein | No motif | None | Histone deacetylase; likely to be a transcriptional cofactor |
PITX1 | 3 | Yes | Known motif | Monomer or homomultimer | High-throughput in vitro | None | None |
SOX11 | 4 | Yes | Known motif | Monomer or homomultimer | 100 perc ID - in vitro | None | None |
LHX9 | 5 | Yes | Known motif | Monomer or homomultimer | High-throughput in vitro | Has a putative AT-hook | None |
FOXP2 | 7 | Yes | Known motif | Monomer or homomultimer | High-throughput in vitro | None | None |
BCL11A | 8 | Yes | Known motif | Monomer or homomultimer | In vivo/Misc source | None | None |
NPM1 | 9 | No | Unlikely to be sequence specific TF | Low specificity DNA-binding protein | No motif | None | No evidence for sequence-specific DNA-binding (PMID: 2223875) |
HNRNPA1 | 11 | No | ssDNA/RNA binding | Not a DNA binding protein | No motif | None | Binds single stranded DNA in the structure (PDB: 1PGZ) |
ZFHX3 | 13 | Yes | Known motif | Monomer or homomultimer | High-throughput in vitro | None | None |
UHRF1 | 17 | No | Unlikely to be sequence specific TF | Low specificity DNA-binding protein | No motif | None | Structural evidence (PDB:2ZO0; PDB: 2ZO1; PMID: 18772888] and (PDB: 2ZKE) (PMID: 18772891) demonstrate direct DNA-binding. However, the extent to which it is sequence specific beyond hemimethylated DNA has not been extensively explored. |
PHOX2A | 22 | Yes | Known motif | Monomer or homomultimer | High-throughput in vitro | None | None |
KIF15 | 29 | No | Unlikely to be sequence specific TF | Not a DNA binding protein | No motif | None | Has a bZIP like fragment that lacks the basic region required for DNA binding and a STE-domain that is classified as a potential DBD in CIS-BP. It is a kinesin operating in the microtubule system (PMID: 24419385) |
HMGB1 | 43 | No | Unlikely to be sequence specific TF | Low specificity DNA-binding protein | No motif | None | In the alignment, it clusters with other HMG proteins that have not yielded motifs. Evidence exists showing HMGB½ are non-sequence-specific binding proteins (PMID: 11497996). |
TOP2A | 50 | No | Unlikely to be sequence specific TF | Low specificity DNA-binding protein | No motif | None | DNA topoisomerase. Binds DNA in the crystal structure (PDB: 4FM9). |
MYCN | 51 | Yes | Known motif | Monomer or homomultimer | High-throughput in vitro | None | None |
MYBL2 | 54 | Yes | Known motif | Monomer or homomultimer | High-throughput in vitro | None | Contains 3 Myb DBDs |
RCOR2 | 57 | No | Unlikely to be sequence specific TF | Not a DNA binding protein | No motif | None | Contains 2 SANT domains, and no other putative DNA-binding domains |
MED12 | 64 | No | Unlikely to be sequence specific TF | Not a DNA binding protein | No motif | None | None |
AMH | 65 | No | Unlikely to be sequence specific TF | Not a DNA binding protein | No motif | None | None |
CBX2 | 67 | Yes | Likely to be sequence specific TF | Monomer or homomultimer | No motif | None | None |
QQ Plot showing correlations with other GEPs in this dataset, calculated by Spearman correlation:
Interactive QQ-plot of gene loadings:
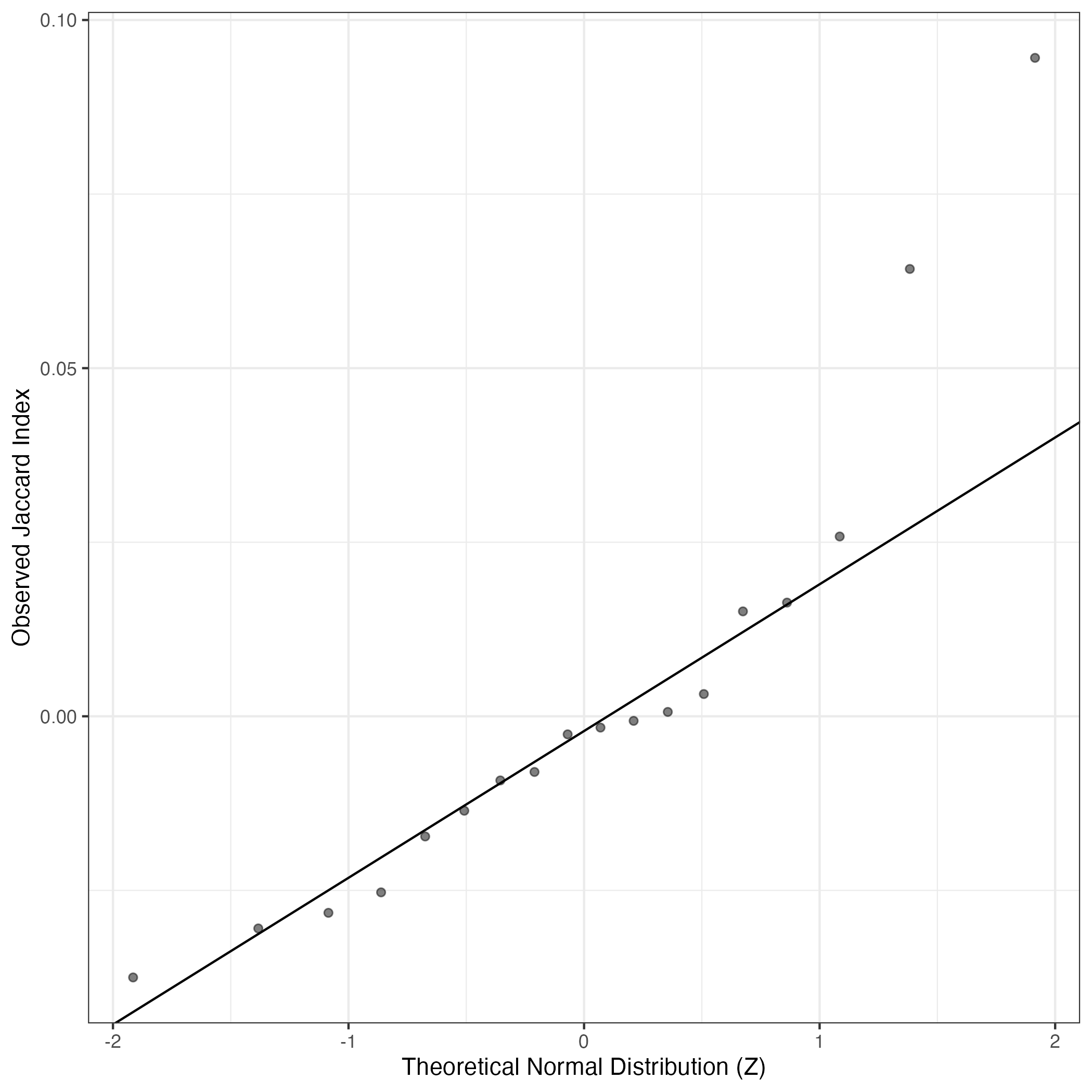
A similar QQ-plot as above, but only for instances where the H value is e.g. > 25, i.e. we are confident that the expression program is active above noise. Agreemenet between these binary vectors is tested using the Jaccard Index, with the P-values calculated by an exact test:
Interactive QQ-plot:
Singler cell type annotations for the top 50 cells on this program.
Cell ID | Singler label | Singler Delta | Activity Score | Top Singler Raw Scores |
---|---|---|---|---|
KK059-P11 | Neurons:adrenal_medulla_cell_line | 0.28 | 786.87 | Raw ScoresNeurons:adrenal_medulla_cell_line: 0.63, Neuroepithelial_cell:ESC-derived: 0.61, Neurons:ES_cell-derived_neural_precursor: 0.57, Astrocyte:Embryonic_stem_cell-derived: 0.57, iPS_cells:PDB_1lox-21Puro-20: 0.56, Embryonic_stem_cells: 0.56, iPS_cells:PDB_1lox-17Puro-10: 0.56, iPS_cells:PDB_2lox-22: 0.56, iPS_cells:PDB_1lox-21Puro-26: 0.56, iPS_cells:PDB_1lox-17Puro-5: 0.55 |
TM112-O10 | Osteoblasts:BMP2 | 0.05 | 753.11 | Raw ScoresTissue_stem_cells:BM_MSC:BMP2: 0.12, Chondrocytes:MSC-derived: 0.11, Tissue_stem_cells:BM_MSC:TGFb3: 0.11, Smooth_muscle_cells:vascular:IL-17: 0.11, Osteoblasts: 0.11, Tissue_stem_cells:BM_MSC: 0.11, Osteoblasts:BMP2: 0.11, iPS_cells:adipose_stem_cells: 0.1, Smooth_muscle_cells:vascular: 0.1, Smooth_muscle_cells:bronchial: 0.1 |
KK057-I11 | Neurons:adrenal_medulla_cell_line | 0.17 | 568.14 | Raw ScoresNeurons:adrenal_medulla_cell_line: 0.54, Neuroepithelial_cell:ESC-derived: 0.5, Astrocyte:Embryonic_stem_cell-derived: 0.47, Neurons:ES_cell-derived_neural_precursor: 0.46, iPS_cells:PDB_1lox-21Puro-20: 0.46, iPS_cells:CRL2097_foreskin-derived:undiff.: 0.46, iPS_cells:PDB_1lox-21Puro-26: 0.46, iPS_cells:PDB_1lox-17Puro-10: 0.45, iPS_cells:PDB_2lox-22: 0.45, Embryonic_stem_cells: 0.45 |
KK059-M15 | B_cell:CXCR4+_centroblast | 0.22 | 542.68 | Raw ScoresB_cell:Germinal_center: 0.63, B_cell:CXCR4+_centroblast: 0.63, B_cell:CXCR4-_centrocyte: 0.61, B_cell:Memory: 0.56, Pro-B_cell_CD34+: 0.56, B_cell:immature: 0.56, B_cell:Naive: 0.55, B_cell:Plasma_cell: 0.53, T_cell:gamma-delta: 0.53, GMP: 0.52 |
KK055-O10 | Neurons:adrenal_medulla_cell_line | 0.29 | 538.08 | Raw ScoresNeurons:adrenal_medulla_cell_line: 0.61, Neuroepithelial_cell:ESC-derived: 0.56, iPS_cells:PDB_1lox-21Puro-20: 0.53, Neurons:ES_cell-derived_neural_precursor: 0.53, iPS_cells:PDB_2lox-22: 0.53, iPS_cells:PDB_1lox-21Puro-26: 0.53, iPS_cells:PDB_1lox-17Puro-10: 0.53, iPS_cells:PDB_1lox-17Puro-5: 0.52, iPS_cells:PDB_2lox-21: 0.52, Astrocyte:Embryonic_stem_cell-derived: 0.52 |
KK055-L15 | Neurons:adrenal_medulla_cell_line | 0.21 | 456.09 | Raw ScoresNeurons:adrenal_medulla_cell_line: 0.53, Neuroepithelial_cell:ESC-derived: 0.49, Astrocyte:Embryonic_stem_cell-derived: 0.47, Neurons:ES_cell-derived_neural_precursor: 0.46, iPS_cells:PDB_2lox-22: 0.46, iPS_cells:PDB_1lox-21Puro-20: 0.46, Embryonic_stem_cells: 0.45, iPS_cells:PDB_1lox-21Puro-26: 0.45, iPS_cells:PDB_2lox-21: 0.45, iPS_cells:CRL2097_foreskin-derived:undiff.: 0.45 |
KK057-F19 | Neurons:adrenal_medulla_cell_line | 0.19 | 398.30 | Raw ScoresNeurons:adrenal_medulla_cell_line: 0.55, Neuroepithelial_cell:ESC-derived: 0.52, Astrocyte:Embryonic_stem_cell-derived: 0.49, iPS_cells:PDB_1lox-21Puro-20: 0.48, iPS_cells:CRL2097_foreskin-derived:undiff.: 0.48, iPS_cells:PDB_1lox-21Puro-26: 0.48, iPS_cells:PDB_1lox-17Puro-10: 0.48, iPS_cells:PDB_1lox-17Puro-5: 0.48, iPS_cells:PDB_2lox-22: 0.48, Embryonic_stem_cells: 0.48 |
KK057-M23 | Neurons:adrenal_medulla_cell_line | 0.20 | 371.83 | Raw ScoresNeurons:adrenal_medulla_cell_line: 0.54, Neuroepithelial_cell:ESC-derived: 0.49, iPS_cells:PDB_1lox-21Puro-20: 0.47, iPS_cells:PDB_2lox-22: 0.47, Astrocyte:Embryonic_stem_cell-derived: 0.47, iPS_cells:CRL2097_foreskin-derived:undiff.: 0.47, iPS_cells:PDB_1lox-17Puro-10: 0.46, iPS_cells:PDB_1lox-21Puro-26: 0.46, iPS_cells:PDB_1lox-17Puro-5: 0.46, iPS_cells:PDB_2lox-21: 0.46 |
KK056-P18 | Neurons:adrenal_medulla_cell_line | 0.21 | 358.01 | Raw ScoresNeurons:adrenal_medulla_cell_line: 0.57, Neuroepithelial_cell:ESC-derived: 0.52, iPS_cells:PDB_1lox-21Puro-20: 0.51, iPS_cells:PDB_1lox-21Puro-26: 0.5, iPS_cells:PDB_2lox-22: 0.5, iPS_cells:PDB_1lox-17Puro-5: 0.5, iPS_cells:PDB_1lox-17Puro-10: 0.5, iPS_cells:PDB_2lox-21: 0.5, iPS_cells:PDB_2lox-17: 0.5, iPS_cells:PDB_2lox-5: 0.49 |
KK059-O5 | Neurons:adrenal_medulla_cell_line | 0.27 | 332.22 | Raw ScoresNeurons:adrenal_medulla_cell_line: 0.57, Neuroepithelial_cell:ESC-derived: 0.52, Astrocyte:Embryonic_stem_cell-derived: 0.49, Neurons:ES_cell-derived_neural_precursor: 0.49, iPS_cells:PDB_1lox-21Puro-20: 0.48, Embryonic_stem_cells: 0.48, iPS_cells:PDB_1lox-17Puro-10: 0.48, iPS_cells:PDB_1lox-21Puro-26: 0.48, iPS_cells:PDB_2lox-22: 0.48, iPS_cells:PDB_1lox-17Puro-5: 0.48 |
KK055-H10 | Neurons:adrenal_medulla_cell_line | 0.23 | 298.63 | Raw ScoresNeurons:adrenal_medulla_cell_line: 0.54, Neuroepithelial_cell:ESC-derived: 0.49, iPS_cells:PDB_1lox-21Puro-20: 0.46, Astrocyte:Embryonic_stem_cell-derived: 0.46, iPS_cells:PDB_2lox-22: 0.46, iPS_cells:PDB_1lox-21Puro-26: 0.46, Neurons:ES_cell-derived_neural_precursor: 0.46, iPS_cells:PDB_2lox-21: 0.46, iPS_cells:PDB_1lox-17Puro-5: 0.46, iPS_cells:PDB_1lox-17Puro-10: 0.46 |
KK059-L21 | Neurons:adrenal_medulla_cell_line | 0.26 | 294.10 | Raw ScoresNeurons:adrenal_medulla_cell_line: 0.57, Neuroepithelial_cell:ESC-derived: 0.53, iPS_cells:PDB_1lox-21Puro-20: 0.5, Neurons:ES_cell-derived_neural_precursor: 0.49, iPS_cells:PDB_1lox-21Puro-26: 0.49, iPS_cells:PDB_1lox-17Puro-5: 0.49, iPS_cells:PDB_1lox-17Puro-10: 0.49, iPS_cells:PDB_2lox-22: 0.49, iPS_cells:PDB_2lox-21: 0.49, iPS_cells:CRL2097_foreskin-derived:undiff.: 0.49 |
KK059-F21 | Neurons:adrenal_medulla_cell_line | 0.26 | 284.15 | Raw ScoresNeurons:adrenal_medulla_cell_line: 0.57, Neuroepithelial_cell:ESC-derived: 0.53, iPS_cells:PDB_1lox-21Puro-20: 0.5, iPS_cells:PDB_2lox-22: 0.5, iPS_cells:PDB_1lox-21Puro-26: 0.5, iPS_cells:PDB_1lox-17Puro-10: 0.5, Neurons:ES_cell-derived_neural_precursor: 0.49, iPS_cells:PDB_1lox-17Puro-5: 0.49, iPS_cells:PDB_2lox-21: 0.49, Astrocyte:Embryonic_stem_cell-derived: 0.49 |
KK057-J4 | Neurons:adrenal_medulla_cell_line | 0.22 | 280.49 | Raw ScoresNeurons:adrenal_medulla_cell_line: 0.51, Neuroepithelial_cell:ESC-derived: 0.47, Astrocyte:Embryonic_stem_cell-derived: 0.44, iPS_cells:PDB_1lox-21Puro-20: 0.44, Neurons:ES_cell-derived_neural_precursor: 0.44, iPS_cells:PDB_1lox-17Puro-10: 0.44, iPS_cells:PDB_1lox-21Puro-26: 0.44, iPS_cells:PDB_1lox-17Puro-5: 0.44, iPS_cells:PDB_2lox-22: 0.44, iPS_cells:CRL2097_foreskin-derived:undiff.: 0.43 |
KK055-H17 | Neurons:adrenal_medulla_cell_line | 0.25 | 274.57 | Raw ScoresNeurons:adrenal_medulla_cell_line: 0.52, Neuroepithelial_cell:ESC-derived: 0.47, Astrocyte:Embryonic_stem_cell-derived: 0.46, iPS_cells:PDB_1lox-21Puro-20: 0.44, iPS_cells:PDB_1lox-21Puro-26: 0.44, Neurons:ES_cell-derived_neural_precursor: 0.44, iPS_cells:PDB_1lox-17Puro-10: 0.44, iPS_cells:PDB_1lox-17Puro-5: 0.44, iPS_cells:PDB_2lox-22: 0.43, iPS_cells:PDB_2lox-21: 0.43 |
KK056-P23 | T_cell:CD8+_naive | 0.08 | 267.92 | Raw ScoresNK_cell: 0.52, NK_cell:CD56hiCD62L+: 0.5, T_cell:CD4+: 0.5, NK_cell:IL2: 0.5, T_cell:CD4+_central_memory: 0.5, T_cell:CD8+: 0.49, T_cell:CD4+_effector_memory: 0.49, B_cell:Memory: 0.49, T_cell:CD8+_Central_memory: 0.48, T_cell:CD4+_Naive: 0.48 |
KK059-C14 | Neurons:adrenal_medulla_cell_line | 0.27 | 259.77 | Raw ScoresNeurons:adrenal_medulla_cell_line: 0.57, Neuroepithelial_cell:ESC-derived: 0.53, Astrocyte:Embryonic_stem_cell-derived: 0.5, iPS_cells:PDB_1lox-21Puro-20: 0.49, Neurons:ES_cell-derived_neural_precursor: 0.49, iPS_cells:PDB_1lox-21Puro-26: 0.49, iPS_cells:PDB_1lox-17Puro-10: 0.49, Embryonic_stem_cells: 0.49, iPS_cells:PDB_2lox-22: 0.48, iPS_cells:PDB_1lox-17Puro-5: 0.48 |
KK059-K8 | Neurons:adrenal_medulla_cell_line | 0.25 | 242.83 | Raw ScoresNeurons:adrenal_medulla_cell_line: 0.56, Neuroepithelial_cell:ESC-derived: 0.52, iPS_cells:PDB_1lox-21Puro-20: 0.5, iPS_cells:PDB_2lox-22: 0.5, iPS_cells:PDB_2lox-21: 0.49, iPS_cells:PDB_1lox-21Puro-26: 0.49, iPS_cells:PDB_1lox-17Puro-10: 0.49, iPS_cells:PDB_1lox-17Puro-5: 0.49, Neurons:ES_cell-derived_neural_precursor: 0.49, iPS_cells:PDB_2lox-17: 0.49 |
KK059-M4 | Neurons:adrenal_medulla_cell_line | 0.24 | 229.61 | Raw ScoresNeurons:adrenal_medulla_cell_line: 0.54, Neuroepithelial_cell:ESC-derived: 0.51, Astrocyte:Embryonic_stem_cell-derived: 0.48, iPS_cells:PDB_1lox-21Puro-20: 0.48, Neurons:ES_cell-derived_neural_precursor: 0.48, iPS_cells:PDB_1lox-21Puro-26: 0.47, iPS_cells:PDB_1lox-17Puro-10: 0.47, iPS_cells:PDB_2lox-22: 0.47, iPS_cells:PDB_1lox-17Puro-5: 0.47, iPS_cells:CRL2097_foreskin-derived:undiff.: 0.47 |
KK055-G7 | Neurons:adrenal_medulla_cell_line | 0.26 | 229.00 | Raw ScoresNeurons:adrenal_medulla_cell_line: 0.55, Neuroepithelial_cell:ESC-derived: 0.51, Neurons:ES_cell-derived_neural_precursor: 0.47, iPS_cells:PDB_1lox-21Puro-20: 0.47, iPS_cells:PDB_2lox-22: 0.46, iPS_cells:PDB_1lox-21Puro-26: 0.46, iPS_cells:PDB_1lox-17Puro-5: 0.46, iPS_cells:PDB_1lox-17Puro-10: 0.46, Astrocyte:Embryonic_stem_cell-derived: 0.46, iPS_cells:PDB_2lox-21: 0.46 |
KK057-P9 | Neurons:adrenal_medulla_cell_line | 0.23 | 226.23 | Raw ScoresNeurons:adrenal_medulla_cell_line: 0.58, Neuroepithelial_cell:ESC-derived: 0.52, iPS_cells:PDB_1lox-21Puro-20: 0.5, iPS_cells:PDB_1lox-21Puro-26: 0.49, iPS_cells:PDB_1lox-17Puro-10: 0.49, iPS_cells:PDB_1lox-17Puro-5: 0.49, iPS_cells:PDB_2lox-22: 0.49, Astrocyte:Embryonic_stem_cell-derived: 0.49, Neurons:ES_cell-derived_neural_precursor: 0.49, iPS_cells:PDB_2lox-21: 0.49 |
KK059-B9 | Neurons:adrenal_medulla_cell_line | 0.27 | 225.18 | Raw ScoresNeurons:adrenal_medulla_cell_line: 0.57, Neuroepithelial_cell:ESC-derived: 0.52, iPS_cells:PDB_2lox-22: 0.48, iPS_cells:PDB_1lox-21Puro-20: 0.48, iPS_cells:PDB_1lox-21Puro-26: 0.48, iPS_cells:PDB_1lox-17Puro-10: 0.48, Astrocyte:Embryonic_stem_cell-derived: 0.48, iPS_cells:PDB_2lox-21: 0.48, iPS_cells:PDB_1lox-17Puro-5: 0.48, iPS_cells:PDB_2lox-17: 0.48 |
KK055-D1 | Neurons:adrenal_medulla_cell_line | 0.22 | 224.88 | Raw ScoresNeurons:adrenal_medulla_cell_line: 0.5, Neuroepithelial_cell:ESC-derived: 0.47, iPS_cells:PDB_1lox-21Puro-20: 0.45, iPS_cells:PDB_1lox-17Puro-10: 0.45, iPS_cells:PDB_1lox-21Puro-26: 0.45, iPS_cells:PDB_1lox-17Puro-5: 0.45, iPS_cells:PDB_2lox-22: 0.45, Neurons:ES_cell-derived_neural_precursor: 0.44, iPS_cells:PDB_2lox-21: 0.44, iPS_cells:CRL2097_foreskin-derived:undiff.: 0.44 |
KK055-H16 | Neurons:adrenal_medulla_cell_line | 0.22 | 216.03 | Raw ScoresNeurons:adrenal_medulla_cell_line: 0.52, Neuroepithelial_cell:ESC-derived: 0.47, Astrocyte:Embryonic_stem_cell-derived: 0.45, Neurons:ES_cell-derived_neural_precursor: 0.44, iPS_cells:PDB_1lox-21Puro-20: 0.44, iPS_cells:PDB_1lox-21Puro-26: 0.43, iPS_cells:PDB_2lox-22: 0.43, iPS_cells:PDB_1lox-17Puro-5: 0.43, iPS_cells:PDB_1lox-17Puro-10: 0.43, iPS_cells:CRL2097_foreskin-derived:undiff.: 0.43 |
KK059-C15 | Neurons:adrenal_medulla_cell_line | 0.27 | 216.03 | Raw ScoresNeurons:adrenal_medulla_cell_line: 0.55, Neuroepithelial_cell:ESC-derived: 0.52, Neurons:ES_cell-derived_neural_precursor: 0.49, iPS_cells:PDB_1lox-21Puro-20: 0.49, iPS_cells:PDB_1lox-21Puro-26: 0.49, iPS_cells:PDB_1lox-17Puro-10: 0.49, iPS_cells:PDB_1lox-17Puro-5: 0.49, Astrocyte:Embryonic_stem_cell-derived: 0.49, iPS_cells:PDB_2lox-22: 0.48, Embryonic_stem_cells: 0.48 |
KK059-C1 | Neurons:adrenal_medulla_cell_line | 0.25 | 209.34 | Raw ScoresNeurons:adrenal_medulla_cell_line: 0.56, Neuroepithelial_cell:ESC-derived: 0.53, Neurons:ES_cell-derived_neural_precursor: 0.49, iPS_cells:PDB_1lox-21Puro-20: 0.49, iPS_cells:PDB_2lox-22: 0.49, iPS_cells:PDB_1lox-21Puro-26: 0.49, iPS_cells:PDB_2lox-21: 0.49, iPS_cells:PDB_1lox-17Puro-10: 0.49, iPS_cells:PDB_1lox-17Puro-5: 0.49, iPS_cells:PDB_2lox-5: 0.49 |
KK055-C6 | Neurons:adrenal_medulla_cell_line | 0.22 | 203.60 | Raw ScoresNeurons:adrenal_medulla_cell_line: 0.5, Neuroepithelial_cell:ESC-derived: 0.46, Astrocyte:Embryonic_stem_cell-derived: 0.44, iPS_cells:PDB_1lox-21Puro-20: 0.43, iPS_cells:CRL2097_foreskin-derived:undiff.: 0.42, iPS_cells:PDB_1lox-21Puro-26: 0.42, iPS_cells:PDB_1lox-17Puro-10: 0.42, iPS_cells:PDB_1lox-17Puro-5: 0.42, Neurons:ES_cell-derived_neural_precursor: 0.42, iPS_cells:PDB_2lox-22: 0.42 |
KK056-N8 | NK_cell:CD56hiCD62L+ | 0.15 | 196.47 | Raw ScoresNK_cell:IL2: 0.56, NK_cell: 0.56, T_cell:gamma-delta: 0.55, T_cell:effector: 0.54, T_cell:CCR10-CLA+1,25(OH)2_vit_D3/IL-12: 0.53, NK_cell:CD56hiCD62L+: 0.53, T_cell:CCR10+CLA+1,25(OH)2_vit_D3/IL-12: 0.53, Pro-B_cell_CD34+: 0.53, T_cell:CD4+_central_memory: 0.52, T_cell:CD8+: 0.52 |
KK059-I21 | Neurons:adrenal_medulla_cell_line | 0.21 | 196.45 | Raw ScoresNeurons:adrenal_medulla_cell_line: 0.46, Neuroepithelial_cell:ESC-derived: 0.43, Astrocyte:Embryonic_stem_cell-derived: 0.41, Neurons:ES_cell-derived_neural_precursor: 0.41, iPS_cells:PDB_1lox-21Puro-20: 0.4, iPS_cells:PDB_2lox-22: 0.39, Embryonic_stem_cells: 0.39, iPS_cells:PDB_2lox-5: 0.39, iPS_cells:CRL2097_foreskin-derived:undiff.: 0.39, iPS_cells:PDB_2lox-21: 0.39 |
KK059-F20 | Neurons:adrenal_medulla_cell_line | 0.25 | 194.67 | Raw ScoresNeurons:adrenal_medulla_cell_line: 0.54, Neuroepithelial_cell:ESC-derived: 0.5, Astrocyte:Embryonic_stem_cell-derived: 0.47, Neurons:ES_cell-derived_neural_precursor: 0.46, iPS_cells:PDB_1lox-21Puro-20: 0.46, iPS_cells:PDB_1lox-21Puro-26: 0.46, iPS_cells:PDB_1lox-17Puro-10: 0.45, iPS_cells:PDB_1lox-17Puro-5: 0.45, iPS_cells:PDB_2lox-22: 0.45, Embryonic_stem_cells: 0.45 |
KK059-K19 | Neurons:adrenal_medulla_cell_line | 0.26 | 191.50 | Raw ScoresNeurons:adrenal_medulla_cell_line: 0.52, Neuroepithelial_cell:ESC-derived: 0.49, Neurons:ES_cell-derived_neural_precursor: 0.45, iPS_cells:PDB_1lox-21Puro-20: 0.45, iPS_cells:PDB_2lox-22: 0.45, iPS_cells:PDB_1lox-21Puro-26: 0.45, iPS_cells:PDB_1lox-17Puro-10: 0.45, Astrocyte:Embryonic_stem_cell-derived: 0.45, iPS_cells:PDB_2lox-21: 0.45, iPS_cells:PDB_1lox-17Puro-5: 0.45 |
KK055-K9 | Neurons:adrenal_medulla_cell_line | 0.20 | 191.09 | Raw ScoresNeurons:adrenal_medulla_cell_line: 0.52, Neuroepithelial_cell:ESC-derived: 0.47, Astrocyte:Embryonic_stem_cell-derived: 0.45, iPS_cells:PDB_1lox-21Puro-20: 0.45, iPS_cells:PDB_1lox-21Puro-26: 0.44, iPS_cells:PDB_2lox-22: 0.44, iPS_cells:PDB_2lox-21: 0.44, iPS_cells:CRL2097_foreskin-derived:undiff.: 0.44, iPS_cells:PDB_1lox-17Puro-10: 0.44, Neurons:ES_cell-derived_neural_precursor: 0.44 |
KK058-M20 | Neurons:adrenal_medulla_cell_line | 0.18 | 187.85 | Raw ScoresNeurons:adrenal_medulla_cell_line: 0.49, Neuroepithelial_cell:ESC-derived: 0.47, iPS_cells:CRL2097_foreskin-derived:undiff.: 0.45, iPS_cells:PDB_2lox-22: 0.45, iPS_cells:PDB_1lox-21Puro-20: 0.45, iPS_cells:PDB_1lox-21Puro-26: 0.44, Embryonic_stem_cells: 0.44, iPS_cells:PDB_2lox-21: 0.44, iPS_cells:PDB_2lox-17: 0.44, iPS_cells:PDB_1lox-17Puro-10: 0.44 |
KK055-A18 | Neurons:adrenal_medulla_cell_line | 0.24 | 185.16 | Raw ScoresNeurons:adrenal_medulla_cell_line: 0.54, Neuroepithelial_cell:ESC-derived: 0.5, iPS_cells:PDB_1lox-21Puro-20: 0.48, iPS_cells:PDB_1lox-21Puro-26: 0.47, Neurons:ES_cell-derived_neural_precursor: 0.47, iPS_cells:PDB_1lox-17Puro-10: 0.47, iPS_cells:PDB_2lox-22: 0.47, iPS_cells:PDB_1lox-17Puro-5: 0.47, Astrocyte:Embryonic_stem_cell-derived: 0.47, iPS_cells:CRL2097_foreskin-derived:undiff.: 0.47 |
KK058-K4 | Neurons:adrenal_medulla_cell_line | 0.21 | 185.09 | Raw ScoresNeurons:adrenal_medulla_cell_line: 0.47, Neuroepithelial_cell:ESC-derived: 0.44, iPS_cells:PDB_1lox-21Puro-20: 0.4, Astrocyte:Embryonic_stem_cell-derived: 0.4, iPS_cells:PDB_1lox-17Puro-10: 0.4, Neurons:ES_cell-derived_neural_precursor: 0.4, iPS_cells:PDB_1lox-21Puro-26: 0.4, iPS_cells:PDB_1lox-17Puro-5: 0.4, iPS_cells:PDB_2lox-22: 0.4, Embryonic_stem_cells: 0.4 |
KK056-I13 | Neurons:adrenal_medulla_cell_line | 0.14 | 183.71 | Raw ScoresNeurons:adrenal_medulla_cell_line: 0.44, Neuroepithelial_cell:ESC-derived: 0.4, Astrocyte:Embryonic_stem_cell-derived: 0.39, Neurons:ES_cell-derived_neural_precursor: 0.37, iPS_cells:PDB_2lox-22: 0.36, iPS_cells:CRL2097_foreskin-derived:undiff.: 0.36, iPS_cells:PDB_1lox-21Puro-20: 0.36, iPS_cells:PDB_2lox-21: 0.36, Embryonic_stem_cells: 0.36, iPS_cells:PDB_1lox-21Puro-26: 0.36 |
KK055-I10 | Neurons:adrenal_medulla_cell_line | 0.21 | 181.78 | Raw ScoresNeurons:adrenal_medulla_cell_line: 0.49, Neuroepithelial_cell:ESC-derived: 0.45, Astrocyte:Embryonic_stem_cell-derived: 0.42, iPS_cells:PDB_1lox-21Puro-20: 0.42, iPS_cells:PDB_2lox-22: 0.41, iPS_cells:PDB_1lox-17Puro-10: 0.41, Neurons:ES_cell-derived_neural_precursor: 0.41, iPS_cells:PDB_1lox-17Puro-5: 0.41, iPS_cells:PDB_2lox-21: 0.41, iPS_cells:PDB_1lox-21Puro-26: 0.41 |
KK056-J17 | Neurons:adrenal_medulla_cell_line | 0.17 | 174.47 | Raw ScoresNeurons:adrenal_medulla_cell_line: 0.48, Neuroepithelial_cell:ESC-derived: 0.42, Astrocyte:Embryonic_stem_cell-derived: 0.41, iPS_cells:PDB_1lox-21Puro-20: 0.39, Neurons:ES_cell-derived_neural_precursor: 0.39, iPS_cells:PDB_1lox-17Puro-10: 0.39, iPS_cells:CRL2097_foreskin-derived:undiff.: 0.39, iPS_cells:PDB_1lox-21Puro-26: 0.39, Pro-B_cell_CD34+: 0.39, iPS_cells:PDB_1lox-17Puro-5: 0.39 |
KK059-N23 | Neurons:adrenal_medulla_cell_line | 0.24 | 174.19 | Raw ScoresNeurons:adrenal_medulla_cell_line: 0.5, Neuroepithelial_cell:ESC-derived: 0.44, Astrocyte:Embryonic_stem_cell-derived: 0.43, Neurons:ES_cell-derived_neural_precursor: 0.42, iPS_cells:PDB_1lox-21Puro-20: 0.4, iPS_cells:PDB_1lox-17Puro-10: 0.4, Embryonic_stem_cells: 0.4, iPS_cells:PDB_1lox-21Puro-26: 0.4, iPS_cells:PDB_1lox-17Puro-5: 0.4, iPS_cells:CRL2097_foreskin-derived:undiff.: 0.39 |
KK055-A6 | Neurons:adrenal_medulla_cell_line | 0.23 | 170.81 | Raw ScoresNeurons:adrenal_medulla_cell_line: 0.51, Neuroepithelial_cell:ESC-derived: 0.48, Neurons:ES_cell-derived_neural_precursor: 0.45, Astrocyte:Embryonic_stem_cell-derived: 0.45, iPS_cells:PDB_1lox-21Puro-20: 0.44, iPS_cells:PDB_2lox-22: 0.44, iPS_cells:PDB_1lox-21Puro-26: 0.44, iPS_cells:PDB_1lox-17Puro-10: 0.44, iPS_cells:PDB_1lox-17Puro-5: 0.44, Embryonic_stem_cells: 0.44 |
KK059-H10 | Neurons:adrenal_medulla_cell_line | 0.25 | 170.58 | Raw ScoresNeurons:adrenal_medulla_cell_line: 0.47, Neuroepithelial_cell:ESC-derived: 0.42, Astrocyte:Embryonic_stem_cell-derived: 0.4, Neurons:ES_cell-derived_neural_precursor: 0.39, Embryonic_stem_cells: 0.37, iPS_cells:PDB_1lox-21Puro-20: 0.37, iPS_cells:PDB_1lox-17Puro-10: 0.37, iPS_cells:PDB_1lox-17Puro-5: 0.37, iPS_cells:PDB_1lox-21Puro-26: 0.37, iPS_cells:PDB_2lox-22: 0.37 |
KK056-I16 | Neurons:adrenal_medulla_cell_line | 0.19 | 167.89 | Raw ScoresNeurons:adrenal_medulla_cell_line: 0.51, Neuroepithelial_cell:ESC-derived: 0.46, Astrocyte:Embryonic_stem_cell-derived: 0.44, iPS_cells:PDB_1lox-21Puro-20: 0.43, iPS_cells:PDB_2lox-22: 0.43, iPS_cells:CRL2097_foreskin-derived:undiff.: 0.43, iPS_cells:PDB_1lox-21Puro-26: 0.43, Neurons:ES_cell-derived_neural_precursor: 0.43, iPS_cells:PDB_1lox-17Puro-5: 0.43, iPS_cells:PDB_1lox-17Puro-10: 0.43 |
KK058-H4 | B_cell:Naive | 0.16 | 160.97 | Raw ScoresB_cell:Naive: 0.41, B_cell:immature: 0.39, B_cell:Memory: 0.39, B_cell: 0.36, B_cell:Germinal_center: 0.35, B_cell:CXCR4-_centrocyte: 0.34, B_cell:Plasma_cell: 0.33, B_cell:CXCR4+centroblast: 0.33, HSC-G-CSF: 0.33, T_cell:CD4+: 0.32 |
KK059-D16 | Neurons:adrenal_medulla_cell_line | 0.26 | 159.09 | Raw ScoresNeurons:adrenal_medulla_cell_line: 0.55, Neuroepithelial_cell:ESC-derived: 0.51, iPS_cells:PDB_1lox-21Puro-20: 0.47, Neurons:ES_cell-derived_neural_precursor: 0.47, iPS_cells:PDB_2lox-22: 0.47, iPS_cells:PDB_1lox-21Puro-26: 0.47, Astrocyte:Embryonic_stem_cell-derived: 0.47, iPS_cells:PDB_1lox-17Puro-10: 0.47, iPS_cells:PDB_2lox-21: 0.47, iPS_cells:PDB_1lox-17Puro-5: 0.46 |
KK059-F3 | Neurons:adrenal_medulla_cell_line | 0.24 | 156.54 | Raw ScoresNeurons:adrenal_medulla_cell_line: 0.52, Neuroepithelial_cell:ESC-derived: 0.47, Astrocyte:Embryonic_stem_cell-derived: 0.45, Neurons:ES_cell-derived_neural_precursor: 0.44, iPS_cells:PDB_1lox-21Puro-20: 0.43, iPS_cells:PDB_2lox-22: 0.43, Embryonic_stem_cells: 0.43, iPS_cells:PDB_2lox-21: 0.43, iPS_cells:PDB_1lox-17Puro-10: 0.43, iPS_cells:PDB_1lox-17Puro-5: 0.43 |
KK057-A5 | Neurons:adrenal_medulla_cell_line | 0.18 | 154.84 | Raw ScoresNeurons:adrenal_medulla_cell_line: 0.46, Neuroepithelial_cell:ESC-derived: 0.42, Astrocyte:Embryonic_stem_cell-derived: 0.4, Neurons:ES_cell-derived_neural_precursor: 0.39, iPS_cells:CRL2097_foreskin-derived:undiff.: 0.38, Embryonic_stem_cells: 0.38, iPS_cells:PDB_1lox-21Puro-20: 0.38, iPS_cells:PDB_2lox-22: 0.38, iPS_cells:PDB_1lox-21Puro-26: 0.38, iPS_cells:PDB_2lox-21: 0.37 |
KK059-I18 | Neurons:adrenal_medulla_cell_line | 0.22 | 153.68 | Raw ScoresNeurons:adrenal_medulla_cell_line: 0.45, Neuroepithelial_cell:ESC-derived: 0.43, Astrocyte:Embryonic_stem_cell-derived: 0.4, Neurons:ES_cell-derived_neural_precursor: 0.4, Embryonic_stem_cells: 0.38, iPS_cells:PDB_2lox-22: 0.38, iPS_cells:PDB_1lox-21Puro-20: 0.38, iPS_cells:CRL2097_foreskin-derived:undiff.: 0.38, iPS_cells:PDB_1lox-17Puro-10: 0.38, iPS_cells:PDB_2lox-21: 0.38 |
KK059-P7 | Neurons:adrenal_medulla_cell_line | 0.23 | 150.92 | Raw ScoresNeurons:adrenal_medulla_cell_line: 0.47, Neuroepithelial_cell:ESC-derived: 0.45, Neurons:ES_cell-derived_neural_precursor: 0.43, Astrocyte:Embryonic_stem_cell-derived: 0.41, Embryonic_stem_cells: 0.4, iPS_cells:PDB_1lox-21Puro-20: 0.4, iPS_cells:PDB_1lox-17Puro-10: 0.39, iPS_cells:PDB_1lox-21Puro-26: 0.39, iPS_cells:PDB_2lox-22: 0.39, Tissue_stem_cells:CD326-CD56+: 0.39 |
KK059-B22 | Neurons:adrenal_medulla_cell_line | 0.24 | 150.19 | Raw ScoresNeurons:adrenal_medulla_cell_line: 0.51, Neuroepithelial_cell:ESC-derived: 0.49, Neurons:ES_cell-derived_neural_precursor: 0.46, iPS_cells:PDB_1lox-21Puro-20: 0.45, iPS_cells:PDB_1lox-17Puro-10: 0.45, iPS_cells:PDB_1lox-17Puro-5: 0.45, iPS_cells:PDB_1lox-21Puro-26: 0.45, Astrocyte:Embryonic_stem_cell-derived: 0.45, Embryonic_stem_cells: 0.44, iPS_cells:PDB_2lox-22: 0.44 |
KK055-G13 | Neurons:adrenal_medulla_cell_line | 0.22 | 149.09 | Raw ScoresNeurons:adrenal_medulla_cell_line: 0.52, Neuroepithelial_cell:ESC-derived: 0.48, iPS_cells:PDB_1lox-21Puro-20: 0.44, Neurons:ES_cell-derived_neural_precursor: 0.44, iPS_cells:PDB_1lox-21Puro-26: 0.44, iPS_cells:PDB_2lox-22: 0.44, iPS_cells:PDB_1lox-17Puro-10: 0.44, Astrocyte:Embryonic_stem_cell-derived: 0.44, iPS_cells:PDB_1lox-17Puro-5: 0.43, iPS_cells:PDB_2lox-21: 0.43 |
Below shows the significant enrichments of this GEP for literature curated gene lists
This data was procured from existing single cell RNA-seq maps of neuroblastoma or related relevant data.
High ranks indicate this gene is a driver of this GEP.
These curated gene list are ranked by the P-value (on this GEP) of their constituent genes.
The Mean Count column shows the mean read count in cells scoring highly (H > 50) on this gene expression program.
Genes | Weight | Rank | GTEx | DepMap | Decartes | Mean.Counts | Mean.TPM |
---|---|---|---|---|---|---|---|
ELAVL4 | 0.0074640 | 12 | GTEx | DepMap | Descartes | 9.78 | 267.00 |
ELAVL3 | 0.0045937 | 87 | GTEx | DepMap | Descartes | 11.46 | 240.19 |
INA | 0.0034064 | 203 | GTEx | DepMap | Descartes | 6.08 | 195.06 |
ISL1 | 0.0027082 | 343 | GTEx | DepMap | Descartes | 4.50 | 197.50 |
STMN1 | 0.0022659 | 491 | GTEx | DepMap | Descartes | 11.96 | 443.55 |
RTN1 | 0.0019738 | 607 | GTEx | DepMap | Descartes | 5.29 | 186.70 |
CCND1 | 0.0015567 | 861 | GTEx | DepMap | Descartes | 18.61 | 515.25 |
BASP1 | 0.0011912 | 1238 | GTEx | DepMap | Descartes | 10.18 | 639.79 |
STMN2 | 0.0004864 | 3136 | GTEx | DepMap | Descartes | 13.99 | 914.91 |
NEFM | -0.0003888 | 9784 | GTEx | DepMap | Descartes | 0.94 | 28.94 |
NEFL | -0.0004114 | 9918 | GTEx | DepMap | Descartes | 0.52 | 15.17 |
Proliferating Cells
These are canonical marker genes of cycling cells, obtained from Fig. 3 of Hsiao et al. (PMID 32312741):
Wilcoxon ranksum test P-value for gene set overrepresentation: 3.13e-04
Mean rank of genes in gene set: 81.5
Rank on gene expression program of genes in gene set:
Genes | Weight | Rank | GTEx | DepMap | Decartes | Mean.Counts | Mean.TPM |
---|---|---|---|---|---|---|---|
TOP2A | 0.0053150 | 50 | GTEx | DepMap | Descartes | 5.80 | 99.98 |
CDK1 | 0.0049280 | 69 | GTEx | DepMap | Descartes | 2.15 | 112.39 |
UBE2C | 0.0048320 | 74 | GTEx | DepMap | Descartes | 1.58 | 184.71 |
MKI67 | 0.0039934 | 133 | GTEx | DepMap | Descartes | 2.27 | 19.22 |
Symphathoblasts Fig2 (Kamenva)
Marker genes were obtained from Fig. 2H of Kameneva et al (PMID 33833454) for symphathoblasts (differentiating from SCPs):
Wilcoxon ranksum test P-value for gene set overrepresentation: 4.25e-04
Mean rank of genes in gene set: 871
Rank on gene expression program of genes in gene set:
Genes | Weight | Rank | GTEx | DepMap | Decartes | Mean.Counts | Mean.TPM |
---|---|---|---|---|---|---|---|
ELAVL4 | 0.0074640 | 12 | GTEx | DepMap | Descartes | 9.78 | 267.00 |
ELAVL2 | 0.0037225 | 160 | GTEx | DepMap | Descartes | 1.94 | 50.39 |
ISL1 | 0.0027082 | 343 | GTEx | DepMap | Descartes | 4.50 | 197.50 |
HAND2 | 0.0017828 | 704 | GTEx | DepMap | Descartes | 4.44 | 168.30 |
STMN2 | 0.0004864 | 3136 | GTEx | DepMap | Descartes | 13.99 | 914.91 |
Below shows ranks on this GEP for literature curated gene lists for large gene sets
These include those reported as mesenchymal/adrenergic by Van Groningen et al.
High ranks indicate this gene is a driver of this GEP (note these results are not ordered).
The Mean Count column shows the mean read count in cells scoring highly (H > 50) on this gene expression program.
VanGroningen Adrenergic Genes
Adrenergic marker genes from Supplementary Table 2 of Van Groningen et al. Nature Genetics 2017. These genes were identified by differential expression analysis of mesenchymal-like and adrenergic-like neuroblastoma cell lines.
Wilcoxon ranksum test P-value for gene set overrepresentation: 2.87e-52
Mean rank of genes in gene set: 3167.02
Median rank of genes in gene set: 1449
Rank on gene expression program of top 30 genes in gene set:
Genes | Weight | Rank | GTEx | DepMap | Descartes | Mean.Counts | Mean.TPM |
---|---|---|---|---|---|---|---|
SOX11 | 0.0090631 | 4 | GTEx | DepMap | Descartes | 12.80 | 150.67 |
PRSS12 | 0.0077459 | 10 | GTEx | DepMap | Descartes | 1.66 | 40.66 |
ELAVL4 | 0.0074640 | 12 | GTEx | DepMap | Descartes | 9.78 | 267.00 |
MARCH11 | 0.0066434 | 15 | GTEx | DepMap | Descartes | 2.16 | NA |
PHOX2A | 0.0062323 | 22 | GTEx | DepMap | Descartes | 4.50 | 307.14 |
PRC1 | 0.0061726 | 24 | GTEx | DepMap | Descartes | 3.35 | 88.75 |
CENPV | 0.0061210 | 26 | GTEx | DepMap | Descartes | 3.98 | 215.53 |
BIRC5 | 0.0060987 | 28 | GTEx | DepMap | Descartes | 1.67 | 60.05 |
KIF15 | 0.0060782 | 29 | GTEx | DepMap | Descartes | 0.83 | 17.11 |
SCG3 | 0.0059321 | 33 | GTEx | DepMap | Descartes | 3.07 | 104.30 |
NELL2 | 0.0058890 | 34 | GTEx | DepMap | Descartes | 5.29 | 174.16 |
MAP6 | 0.0055300 | 42 | GTEx | DepMap | Descartes | 2.78 | 68.49 |
PHF21B | 0.0054818 | 46 | GTEx | DepMap | Descartes | 1.29 | 33.12 |
RRM2 | 0.0052942 | 53 | GTEx | DepMap | Descartes | 2.43 | 55.65 |
MYBL2 | 0.0052205 | 54 | GTEx | DepMap | Descartes | 1.56 | 54.25 |
CXADR | 0.0052129 | 55 | GTEx | DepMap | Descartes | 2.63 | 50.81 |
DPYSL5 | 0.0052005 | 56 | GTEx | DepMap | Descartes | 2.53 | 50.07 |
SBK1 | 0.0050757 | 61 | GTEx | DepMap | Descartes | 3.48 | 77.06 |
DCX | 0.0049601 | 66 | GTEx | DepMap | Descartes | 5.28 | 66.90 |
CRMP1 | 0.0048353 | 73 | GTEx | DepMap | Descartes | 5.39 | 189.32 |
UBE2C | 0.0048320 | 74 | GTEx | DepMap | Descartes | 1.58 | 184.71 |
TMEM97 | 0.0046311 | 85 | GTEx | DepMap | Descartes | 3.26 | 130.81 |
ELAVL3 | 0.0045937 | 87 | GTEx | DepMap | Descartes | 11.46 | 240.19 |
DACH1 | 0.0045605 | 90 | GTEx | DepMap | Descartes | 1.10 | 22.35 |
NUF2 | 0.0043978 | 99 | GTEx | DepMap | Descartes | 0.92 | 49.68 |
UBE2T | 0.0042653 | 111 | GTEx | DepMap | Descartes | 1.05 | 60.38 |
OLFM1 | 0.0041627 | 118 | GTEx | DepMap | Descartes | 2.22 | 90.41 |
NBEA | 0.0041309 | 122 | GTEx | DepMap | Descartes | 4.01 | 39.78 |
RNF150 | 0.0041150 | 123 | GTEx | DepMap | Descartes | 2.53 | 27.20 |
CLGN | 0.0040047 | 131 | GTEx | DepMap | Descartes | 0.66 | 25.88 |
VanGroningen Mesenchymal Genes
Mesenchymal marker genes from Supplementary Table 2 of Van Groningen et al. Nature Genetics 2017. These genes were identified by differential expression analysis of mesenchymal-like and adrenergic-like neuroblastoma cell lines.
Wilcoxon ranksum test P-value for gene set overrepresentation: 1.00e+00
Mean rank of genes in gene set: 10253.86
Median rank of genes in gene set: 11341
Rank on gene expression program of top 30 genes in gene set:
Genes | Weight | Rank | GTEx | DepMap | Descartes | Mean.Counts | Mean.TPM |
---|---|---|---|---|---|---|---|
MAML2 | 0.0047271 | 77 | GTEx | DepMap | Descartes | 0.42 | 131.05 |
LAPTM4A | 0.0031233 | 258 | GTEx | DepMap | Descartes | 11.59 | 903.80 |
ENAH | 0.0022843 | 482 | GTEx | DepMap | Descartes | 5.21 | 42.07 |
PRDX4 | 0.0010604 | 1430 | GTEx | DepMap | Descartes | 1.36 | 145.39 |
ROBO1 | 0.0009840 | 1581 | GTEx | DepMap | Descartes | 0.81 | 11.99 |
HLX | 0.0007854 | 2069 | GTEx | DepMap | Descartes | 0.08 | 7.12 |
RCN1 | 0.0007185 | 2283 | GTEx | DepMap | Descartes | 1.25 | 51.77 |
FZD2 | 0.0006871 | 2385 | GTEx | DepMap | Descartes | 0.32 | 10.75 |
EXTL2 | 0.0006640 | 2464 | GTEx | DepMap | Descartes | 0.68 | 24.29 |
CKAP4 | 0.0004747 | 3183 | GTEx | DepMap | Descartes | 2.22 | 74.58 |
OSTC | 0.0004324 | 3377 | GTEx | DepMap | Descartes | 1.51 | 172.66 |
PTPRK | 0.0004319 | 3380 | GTEx | DepMap | Descartes | 0.75 | NA |
GORAB | 0.0004190 | 3433 | GTEx | DepMap | Descartes | 0.18 | 14.47 |
GNAI1 | 0.0003855 | 3587 | GTEx | DepMap | Descartes | 0.53 | 5.29 |
ELAVL1 | 0.0003613 | 3712 | GTEx | DepMap | Descartes | 1.72 | 32.23 |
FAM3C | 0.0003506 | 3761 | GTEx | DepMap | Descartes | 0.83 | 48.12 |
GPC6 | 0.0003234 | 3929 | GTEx | DepMap | Descartes | 0.61 | 11.37 |
GAS2 | 0.0003192 | 3948 | GTEx | DepMap | Descartes | 0.07 | 3.03 |
DESI2 | 0.0003138 | 3983 | GTEx | DepMap | Descartes | 0.84 | NA |
CYP26A1 | 0.0003060 | 4027 | GTEx | DepMap | Descartes | 0.03 | 1.52 |
KDM5B | 0.0003055 | 4033 | GTEx | DepMap | Descartes | 2.17 | 27.17 |
ARL1 | 0.0002999 | 4070 | GTEx | DepMap | Descartes | 0.85 | 36.38 |
PDIA6 | 0.0002941 | 4098 | GTEx | DepMap | Descartes | 3.17 | 129.54 |
HS3ST3A1 | 0.0002918 | 4108 | GTEx | DepMap | Descartes | 0.08 | 2.68 |
ITPR1 | 0.0002739 | 4220 | GTEx | DepMap | Descartes | 0.70 | 12.77 |
SEL1L3 | 0.0002606 | 4304 | GTEx | DepMap | Descartes | 0.44 | 21.21 |
ERLIN1 | 0.0002547 | 4347 | GTEx | DepMap | Descartes | 0.47 | 15.95 |
PHTF2 | 0.0002502 | 4371 | GTEx | DepMap | Descartes | 1.00 | 27.85 |
SERPINE2 | 0.0002339 | 4474 | GTEx | DepMap | Descartes | 2.21 | 39.86 |
DDR2 | 0.0002204 | 4552 | GTEx | DepMap | Descartes | 1.86 | 20.80 |
Descartes adrenocortical markers
Top 50 marker genes of adrenocortical cells in the Decartes fetal adrenal single cell map (https://atlas.brotmanbaty.org/bbi/human-gene-expression-during-development/cell/adrenocortical/in/adrenal)
Wilcoxon ranksum test P-value for gene set overrepresentation: 7.16e-01
Mean rank of genes in gene set: 6619.69
Median rank of genes in gene set: 6378.5
Rank on gene expression program of top 30 genes in gene set:
Genes | Weight | Rank | GTEx | DepMap | Descartes | Mean.Counts | Mean.TPM |
---|---|---|---|---|---|---|---|
SLC16A9 | 0.0034884 | 188 | GTEx | DepMap | Descartes | 0.31 | 8.16 |
GSTA4 | 0.0029237 | 296 | GTEx | DepMap | Descartes | 1.77 | 122.37 |
SLC1A2 | 0.0014970 | 922 | GTEx | DepMap | Descartes | 0.63 | 5.26 |
JAKMIP2 | 0.0013987 | 1024 | GTEx | DepMap | Descartes | 0.91 | 10.42 |
IGF1R | 0.0010764 | 1407 | GTEx | DepMap | Descartes | 1.35 | 12.58 |
FDPS | 0.0009253 | 1698 | GTEx | DepMap | Descartes | 1.58 | 86.68 |
DNER | 0.0007811 | 2083 | GTEx | DepMap | Descartes | 0.42 | 12.07 |
TM7SF2 | 0.0007790 | 2094 | GTEx | DepMap | Descartes | 0.32 | 19.08 |
FRMD5 | 0.0005258 | 2965 | GTEx | DepMap | Descartes | 0.20 | 4.01 |
BAIAP2L1 | 0.0004963 | 3100 | GTEx | DepMap | Descartes | 0.12 | 3.08 |
SCAP | 0.0004863 | 3137 | GTEx | DepMap | Descartes | 0.83 | 19.90 |
SCARB1 | 0.0004647 | 3224 | GTEx | DepMap | Descartes | 0.38 | 7.86 |
PDE10A | 0.0003762 | 3644 | GTEx | DepMap | Descartes | 0.28 | 3.90 |
CYB5B | 0.0003353 | 3861 | GTEx | DepMap | Descartes | 1.30 | 32.92 |
DHCR24 | 0.0001249 | 5222 | GTEx | DepMap | Descartes | 0.39 | 6.66 |
SGCZ | 0.0000914 | 5472 | GTEx | DepMap | Descartes | 0.01 | 0.37 |
HMGCR | 0.0000776 | 5574 | GTEx | DepMap | Descartes | 1.17 | 26.89 |
MSMO1 | 0.0000207 | 6036 | GTEx | DepMap | Descartes | 1.06 | 48.80 |
HMGCS1 | -0.0000537 | 6721 | GTEx | DepMap | Descartes | 1.64 | 31.20 |
FDX1 | -0.0000679 | 6876 | GTEx | DepMap | Descartes | 0.44 | 15.62 |
STAR | -0.0001086 | 7300 | GTEx | DepMap | Descartes | 0.00 | 0.10 |
FDXR | -0.0001644 | 7916 | GTEx | DepMap | Descartes | 0.07 | 2.72 |
INHA | -0.0002313 | 8593 | GTEx | DepMap | Descartes | 0.00 | 0.51 |
FREM2 | -0.0002498 | 8785 | GTEx | DepMap | Descartes | 0.01 | 0.08 |
APOC1 | -0.0005488 | 10589 | GTEx | DepMap | Descartes | 0.32 | 53.74 |
SH3PXD2B | -0.0006266 | 10879 | GTEx | DepMap | Descartes | 0.12 | 1.77 |
PAPSS2 | -0.0007206 | 11159 | GTEx | DepMap | Descartes | 0.14 | 3.61 |
DHCR7 | -0.0007548 | 11255 | GTEx | DepMap | Descartes | 0.28 | 11.83 |
POR | -0.0009618 | 11699 | GTEx | DepMap | Descartes | 0.44 | 19.39 |
PEG3 | -0.0010152 | 11788 | GTEx | DepMap | Descartes | 4.45 | NA |
Descartes chromaffin markers
Top 50 marker genes of chromaffin cells in the Decartes fetal adrenal single cell map (https://atlas.brotmanbaty.org/bbi/human-gene-expression-during-development/cell/chromaffin/in/adrenal)
Wilcoxon ranksum test P-value for gene set overrepresentation: 1.08e-04
Mean rank of genes in gene set: 4185.44
Median rank of genes in gene set: 3136
Rank on gene expression program of top 30 genes in gene set:
Genes | Weight | Rank | GTEx | DepMap | Descartes | Mean.Counts | Mean.TPM |
---|---|---|---|---|---|---|---|
MARCH11 | 0.0066434 | 15 | GTEx | DepMap | Descartes | 2.16 | NA |
MAB21L1 | 0.0051132 | 60 | GTEx | DepMap | Descartes | 3.28 | 124.79 |
TUBB2B | 0.0038277 | 147 | GTEx | DepMap | Descartes | 8.43 | 463.88 |
ELAVL2 | 0.0037225 | 160 | GTEx | DepMap | Descartes | 1.94 | 50.39 |
SLC6A2 | 0.0029451 | 290 | GTEx | DepMap | Descartes | 1.42 | 43.37 |
MLLT11 | 0.0028106 | 313 | GTEx | DepMap | Descartes | 6.55 | 287.60 |
ISL1 | 0.0027082 | 343 | GTEx | DepMap | Descartes | 4.50 | 197.50 |
FAT3 | 0.0023835 | 446 | GTEx | DepMap | Descartes | 0.82 | 4.24 |
MAP1B | 0.0017711 | 709 | GTEx | DepMap | Descartes | 22.46 | 197.66 |
CCND1 | 0.0015567 | 861 | GTEx | DepMap | Descartes | 18.61 | 515.25 |
EYA4 | 0.0014672 | 951 | GTEx | DepMap | Descartes | 0.30 | 6.90 |
BASP1 | 0.0011912 | 1238 | GTEx | DepMap | Descartes | 10.18 | 639.79 |
RPH3A | 0.0010924 | 1382 | GTEx | DepMap | Descartes | 0.18 | 5.60 |
RGMB | 0.0009719 | 1599 | GTEx | DepMap | Descartes | 1.48 | 32.58 |
SLC44A5 | 0.0009184 | 1709 | GTEx | DepMap | Descartes | 0.33 | 7.70 |
RYR2 | 0.0007577 | 2158 | GTEx | DepMap | Descartes | 0.67 | 4.07 |
CNKSR2 | 0.0006866 | 2387 | GTEx | DepMap | Descartes | 0.57 | 7.27 |
REEP1 | 0.0006733 | 2427 | GTEx | DepMap | Descartes | 0.78 | 18.65 |
MAB21L2 | 0.0006299 | 2578 | GTEx | DepMap | Descartes | 0.95 | 41.34 |
EYA1 | 0.0005522 | 2863 | GTEx | DepMap | Descartes | 0.31 | 5.90 |
STMN2 | 0.0004864 | 3136 | GTEx | DepMap | Descartes | 13.99 | 914.91 |
PLXNA4 | 0.0004795 | 3164 | GTEx | DepMap | Descartes | 0.17 | 1.56 |
CNTFR | 0.0004456 | 3311 | GTEx | DepMap | Descartes | 0.35 | 17.69 |
TUBA1A | 0.0003358 | 3859 | GTEx | DepMap | Descartes | 26.77 | 1457.85 |
SYNPO2 | 0.0002636 | 4277 | GTEx | DepMap | Descartes | 1.62 | 13.16 |
KCNB2 | 0.0002537 | 4354 | GTEx | DepMap | Descartes | 0.11 | 3.10 |
GAL | 0.0001082 | 5345 | GTEx | DepMap | Descartes | 0.92 | 120.87 |
ALK | 0.0001065 | 5354 | GTEx | DepMap | Descartes | 0.26 | 3.52 |
TMEFF2 | -0.0000185 | 6380 | GTEx | DepMap | Descartes | 0.19 | 6.79 |
NTRK1 | -0.0000802 | 7010 | GTEx | DepMap | Descartes | 0.12 | 3.80 |
Descartes Vascular_endothelial markers
Top 50 marker genes of Vascular_endothelial cells in the Decartes fetal adrenal single cell map (https://atlas.brotmanbaty.org/bbi/human-gene-expression-during-development/cell/vascular_endothelial/in/adrenal)
Wilcoxon ranksum test P-value for gene set overrepresentation: 1.00e+00
Mean rank of genes in gene set: 9032.79
Median rank of genes in gene set: 10069.5
Rank on gene expression program of top 30 genes in gene set:
Genes | Weight | Rank | GTEx | DepMap | Descartes | Mean.Counts | Mean.TPM |
---|---|---|---|---|---|---|---|
IRX3 | 0.0016034 | 821 | GTEx | DepMap | Descartes | 0.36 | 16.09 |
MYRIP | 0.0007328 | 2233 | GTEx | DepMap | Descartes | 0.22 | 4.82 |
HYAL2 | 0.0005226 | 2976 | GTEx | DepMap | Descartes | 0.41 | 10.51 |
CHRM3 | 0.0002155 | 4588 | GTEx | DepMap | Descartes | 0.29 | 4.38 |
RAMP2 | 0.0000146 | 6088 | GTEx | DepMap | Descartes | 0.32 | 42.11 |
CRHBP | -0.0000616 | 6807 | GTEx | DepMap | Descartes | 0.00 | 0.00 |
ARHGAP29 | -0.0000883 | 7103 | GTEx | DepMap | Descartes | 0.58 | 6.86 |
EHD3 | -0.0001093 | 7314 | GTEx | DepMap | Descartes | 0.14 | 3.28 |
NR5A2 | -0.0001662 | 7936 | GTEx | DepMap | Descartes | 0.01 | 0.24 |
TEK | -0.0002034 | 8315 | GTEx | DepMap | Descartes | 0.06 | 1.43 |
KANK3 | -0.0002101 | 8382 | GTEx | DepMap | Descartes | 0.06 | 2.70 |
NOTCH4 | -0.0002572 | 8856 | GTEx | DepMap | Descartes | 0.25 | 4.70 |
FLT4 | -0.0002833 | 9088 | GTEx | DepMap | Descartes | 0.04 | 1.00 |
NPR1 | -0.0003051 | 9249 | GTEx | DepMap | Descartes | 0.01 | 0.32 |
CLDN5 | -0.0003164 | 9325 | GTEx | DepMap | Descartes | 0.19 | 10.94 |
TIE1 | -0.0004044 | 9879 | GTEx | DepMap | Descartes | 0.19 | 5.85 |
BTNL9 | -0.0004157 | 9941 | GTEx | DepMap | Descartes | 0.05 | 1.56 |
SHE | -0.0004292 | 10020 | GTEx | DepMap | Descartes | 0.02 | 0.17 |
F8 | -0.0004357 | 10064 | GTEx | DepMap | Descartes | 0.05 | 0.71 |
MMRN2 | -0.0004372 | 10075 | GTEx | DepMap | Descartes | 0.11 | 2.80 |
RASIP1 | -0.0004534 | 10151 | GTEx | DepMap | Descartes | 0.03 | 1.29 |
PODXL | -0.0004767 | 10264 | GTEx | DepMap | Descartes | 0.19 | 3.27 |
SLCO2A1 | -0.0004876 | 10318 | GTEx | DepMap | Descartes | 0.06 | 1.41 |
GALNT15 | -0.0005116 | 10423 | GTEx | DepMap | Descartes | 0.02 | NA |
CDH5 | -0.0005180 | 10457 | GTEx | DepMap | Descartes | 0.06 | 1.74 |
SHANK3 | -0.0005183 | 10459 | GTEx | DepMap | Descartes | 0.25 | 3.40 |
TMEM88 | -0.0005296 | 10514 | GTEx | DepMap | Descartes | 0.14 | 28.82 |
ROBO4 | -0.0005343 | 10530 | GTEx | DepMap | Descartes | 0.05 | 1.50 |
KDR | -0.0005407 | 10556 | GTEx | DepMap | Descartes | 0.03 | 0.84 |
CEACAM1 | -0.0005721 | 10676 | GTEx | DepMap | Descartes | 0.03 | 1.54 |
Descartes stromal markers
Top 50 marker genes of stromal cells in the Decartes fetal adrenal single cell map (https://atlas.brotmanbaty.org/bbi/human-gene-expression-during-development/cell/stromal/in/adrenal)
Wilcoxon ranksum test P-value for gene set overrepresentation: 1.00e+00
Mean rank of genes in gene set: 9788.95
Median rank of genes in gene set: 10840.5
Rank on gene expression program of top 30 genes in gene set:
Genes | Weight | Rank | GTEx | DepMap | Descartes | Mean.Counts | Mean.TPM |
---|---|---|---|---|---|---|---|
PDGFRA | 0.0008710 | 1821 | GTEx | DepMap | Descartes | 1.73 | 35.14 |
PRICKLE1 | 0.0008133 | 1974 | GTEx | DepMap | Descartes | 0.89 | 17.77 |
HHIP | 0.0005874 | 2731 | GTEx | DepMap | Descartes | 0.27 | 2.66 |
GAS2 | 0.0003192 | 3948 | GTEx | DepMap | Descartes | 0.07 | 3.03 |
GLI2 | 0.0002695 | 4250 | GTEx | DepMap | Descartes | 0.23 | 3.31 |
RSPO3 | 0.0001433 | 5108 | GTEx | DepMap | Descartes | 0.12 | NA |
PCDH18 | 0.0000463 | 5819 | GTEx | DepMap | Descartes | 0.45 | 8.20 |
LAMC3 | -0.0001173 | 7402 | GTEx | DepMap | Descartes | 0.02 | 0.33 |
IGFBP3 | -0.0002165 | 8454 | GTEx | DepMap | Descartes | 0.41 | 25.35 |
CLDN11 | -0.0002472 | 8759 | GTEx | DepMap | Descartes | 0.25 | 9.88 |
ADAMTS2 | -0.0002710 | 8971 | GTEx | DepMap | Descartes | 0.65 | 13.51 |
LRRC17 | -0.0002717 | 8982 | GTEx | DepMap | Descartes | 0.13 | 14.30 |
PCOLCE | -0.0003377 | 9467 | GTEx | DepMap | Descartes | 3.24 | 238.60 |
DKK2 | -0.0003470 | 9517 | GTEx | DepMap | Descartes | 0.04 | 1.07 |
ABCC9 | -0.0004072 | 9893 | GTEx | DepMap | Descartes | 0.09 | 1.57 |
CD248 | -0.0004740 | 10250 | GTEx | DepMap | Descartes | 0.27 | 12.02 |
EDNRA | -0.0005061 | 10393 | GTEx | DepMap | Descartes | 0.31 | 9.21 |
ACTA2 | -0.0005149 | 10438 | GTEx | DepMap | Descartes | 2.98 | 253.90 |
ITGA11 | -0.0005259 | 10493 | GTEx | DepMap | Descartes | 0.13 | 1.37 |
ELN | -0.0005733 | 10680 | GTEx | DepMap | Descartes | 0.60 | 18.68 |
FREM1 | -0.0005791 | 10703 | GTEx | DepMap | Descartes | 0.05 | 0.33 |
ADAMTSL3 | -0.0005989 | 10775 | GTEx | DepMap | Descartes | 0.05 | 0.89 |
CDH11 | -0.0006356 | 10906 | GTEx | DepMap | Descartes | 0.80 | 14.11 |
ABCA6 | -0.0007047 | 11111 | GTEx | DepMap | Descartes | 0.17 | 4.76 |
C7 | -0.0007190 | 11153 | GTEx | DepMap | Descartes | 1.88 | 57.34 |
SFRP2 | -0.0007220 | 11165 | GTEx | DepMap | Descartes | 0.34 | 15.75 |
PRRX1 | -0.0007268 | 11176 | GTEx | DepMap | Descartes | 0.61 | 25.98 |
COL27A1 | -0.0007808 | 11327 | GTEx | DepMap | Descartes | 0.05 | 0.88 |
LOX | -0.0007858 | 11339 | GTEx | DepMap | Descartes | 0.28 | 5.90 |
BICC1 | -0.0008480 | 11482 | GTEx | DepMap | Descartes | 0.17 | 3.16 |
Descartes sympathoblasts markers
Top 50 marker genes of sympathoblasts cells in the Decartes fetal adrenal single cell map (https://atlas.brotmanbaty.org/bbi/human-gene-expression-during-development/cell/sympathoblasts/in/adrenal)
Wilcoxon ranksum test P-value for gene set overrepresentation: 3.87e-01
Mean rank of genes in gene set: 6105.82
Median rank of genes in gene set: 6154
Rank on gene expression program of top 30 genes in gene set:
Genes | Weight | Rank | GTEx | DepMap | Descartes | Mean.Counts | Mean.TPM |
---|---|---|---|---|---|---|---|
C1QL1 | 0.0025817 | 379 | GTEx | DepMap | Descartes | 2.17 | 142.65 |
CHGA | 0.0014661 | 955 | GTEx | DepMap | Descartes | 8.75 | 409.52 |
HTATSF1 | 0.0010983 | 1371 | GTEx | DepMap | Descartes | 1.86 | 68.73 |
ROBO1 | 0.0009840 | 1581 | GTEx | DepMap | Descartes | 0.81 | 11.99 |
FAM155A | 0.0008502 | 1877 | GTEx | DepMap | Descartes | 0.72 | 8.78 |
CCSER1 | 0.0007922 | 2046 | GTEx | DepMap | Descartes | 0.17 | NA |
PCSK1N | 0.0006535 | 2495 | GTEx | DepMap | Descartes | 2.64 | 254.77 |
SLC35F3 | 0.0006332 | 2564 | GTEx | DepMap | Descartes | 0.01 | 0.30 |
ARC | 0.0003684 | 3691 | GTEx | DepMap | Descartes | 3.62 | 107.77 |
UNC80 | 0.0003542 | 3746 | GTEx | DepMap | Descartes | 0.62 | 4.41 |
LAMA3 | 0.0002708 | 4245 | GTEx | DepMap | Descartes | 0.18 | 1.92 |
SLC24A2 | 0.0002506 | 4368 | GTEx | DepMap | Descartes | 0.06 | 0.48 |
TBX20 | 0.0001359 | 5157 | GTEx | DepMap | Descartes | 0.01 | 0.44 |
SORCS3 | 0.0001016 | 5389 | GTEx | DepMap | Descartes | 0.05 | 1.45 |
FGF14 | 0.0000854 | 5515 | GTEx | DepMap | Descartes | 0.22 | 1.70 |
GRM7 | 0.0000749 | 5596 | GTEx | DepMap | Descartes | 0.03 | 0.76 |
PENK | 0.0000450 | 5831 | GTEx | DepMap | Descartes | 0.20 | 21.02 |
GALNTL6 | 0.0000390 | 5891 | GTEx | DepMap | Descartes | 0.01 | 0.22 |
SPOCK3 | 0.0000091 | 6151 | GTEx | DepMap | Descartes | 0.03 | 0.97 |
AGBL4 | 0.0000084 | 6157 | GTEx | DepMap | Descartes | 0.02 | 0.43 |
EML6 | -0.0000488 | 6670 | GTEx | DepMap | Descartes | 0.12 | 0.82 |
TIAM1 | -0.0000586 | 6770 | GTEx | DepMap | Descartes | 0.99 | 13.97 |
KSR2 | -0.0000648 | 6841 | GTEx | DepMap | Descartes | 0.12 | 0.69 |
MGAT4C | -0.0001021 | 7234 | GTEx | DepMap | Descartes | 0.15 | 0.51 |
CDH12 | -0.0001145 | 7368 | GTEx | DepMap | Descartes | 0.00 | 0.00 |
DGKK | -0.0001730 | 8008 | GTEx | DepMap | Descartes | 0.46 | 5.13 |
CDH18 | -0.0001759 | 8032 | GTEx | DepMap | Descartes | 0.00 | 0.00 |
PACRG | -0.0001987 | 8278 | GTEx | DepMap | Descartes | 0.03 | 2.53 |
CHGB | -0.0002010 | 8298 | GTEx | DepMap | Descartes | 5.07 | 182.52 |
ST18 | -0.0002041 | 8323 | GTEx | DepMap | Descartes | 0.03 | 0.42 |
Descartes erythroblasts markers
Top 50 marker genes of erythroblasts cells in the Decartes fetal adrenal single cell map (https://atlas.brotmanbaty.org/bbi/human-gene-expression-during-development/cell/erythroblasts/in/adrenal)
Wilcoxon ranksum test P-value for gene set overrepresentation: 1.00e+00
Mean rank of genes in gene set: 8494.45
Median rank of genes in gene set: 9129
Rank on gene expression program of top 30 genes in gene set:
Genes | Weight | Rank | GTEx | DepMap | Descartes | Mean.Counts | Mean.TPM |
---|---|---|---|---|---|---|---|
XPO7 | 0.0005316 | 2944 | GTEx | DepMap | Descartes | 0.92 | 21.14 |
TFR2 | 0.0005083 | 3040 | GTEx | DepMap | Descartes | 0.16 | 5.97 |
CAT | 0.0002716 | 4236 | GTEx | DepMap | Descartes | 1.01 | 58.23 |
TMCC2 | 0.0002045 | 4681 | GTEx | DepMap | Descartes | 0.32 | 8.61 |
SPTB | 0.0000918 | 5466 | GTEx | DepMap | Descartes | 0.10 | 1.08 |
SLC25A21 | -0.0000454 | 6632 | GTEx | DepMap | Descartes | 0.00 | 0.19 |
FECH | -0.0000533 | 6712 | GTEx | DepMap | Descartes | 0.32 | 3.50 |
ANK1 | -0.0000734 | 6928 | GTEx | DepMap | Descartes | 0.36 | 4.65 |
RHD | -0.0001030 | 7242 | GTEx | DepMap | Descartes | 0.01 | 0.50 |
EPB41 | -0.0001460 | 7722 | GTEx | DepMap | Descartes | 1.08 | 21.07 |
DENND4A | -0.0001462 | 7724 | GTEx | DepMap | Descartes | 1.53 | 28.99 |
TRAK2 | -0.0002160 | 8448 | GTEx | DepMap | Descartes | 0.49 | 10.23 |
ALAS2 | -0.0002425 | 8702 | GTEx | DepMap | Descartes | 0.04 | 2.88 |
ABCB10 | -0.0002860 | 9111 | GTEx | DepMap | Descartes | 0.18 | 5.51 |
GCLC | -0.0002883 | 9129 | GTEx | DepMap | Descartes | 0.42 | 13.94 |
SLC4A1 | -0.0003536 | 9568 | GTEx | DepMap | Descartes | 0.09 | 2.42 |
MARCH3 | -0.0003756 | 9703 | GTEx | DepMap | Descartes | 0.22 | NA |
SPECC1 | -0.0003784 | 9723 | GTEx | DepMap | Descartes | 0.17 | 2.45 |
TSPAN5 | -0.0004479 | 10118 | GTEx | DepMap | Descartes | 0.84 | 23.42 |
RGS6 | -0.0004539 | 10154 | GTEx | DepMap | Descartes | 0.00 | 0.00 |
CPOX | -0.0004727 | 10243 | GTEx | DepMap | Descartes | 0.25 | 10.07 |
SLC25A37 | -0.0005073 | 10400 | GTEx | DepMap | Descartes | 1.05 | 24.46 |
SELENBP1 | -0.0005284 | 10508 | GTEx | DepMap | Descartes | 0.08 | 2.93 |
MICAL2 | -0.0005434 | 10570 | GTEx | DepMap | Descartes | 0.64 | 13.69 |
SNCA | -0.0006288 | 10884 | GTEx | DepMap | Descartes | 0.28 | 9.03 |
SOX6 | -0.0006564 | 10968 | GTEx | DepMap | Descartes | 0.04 | 1.75 |
BLVRB | -0.0006569 | 10971 | GTEx | DepMap | Descartes | 0.10 | 8.99 |
RAPGEF2 | -0.0010445 | 11830 | GTEx | DepMap | Descartes | 1.01 | 13.78 |
GYPC | -0.0011591 | 11982 | GTEx | DepMap | Descartes | 0.41 | 32.83 |
NA | NA | NA | NA | NA | NA | NA | NA |
Descartes myeloid markers
Top 50 marker genes of myeloid cells in the Decartes fetal adrenal single cell map (https://atlas.brotmanbaty.org/bbi/human-gene-expression-during-development/cell/myeloid/in/adrenal)
Wilcoxon ranksum test P-value for gene set overrepresentation: 1.00e+00
Mean rank of genes in gene set: 9972.39
Median rank of genes in gene set: 10706.5
Rank on gene expression program of top 30 genes in gene set:
Genes | Weight | Rank | GTEx | DepMap | Descartes | Mean.Counts | Mean.TPM |
---|---|---|---|---|---|---|---|
MARCH1 | 0.0009444 | 1661 | GTEx | DepMap | Descartes | 0.23 | NA |
ITPR2 | 0.0008729 | 1815 | GTEx | DepMap | Descartes | 1.36 | 14.82 |
FGD2 | 0.0003448 | 3793 | GTEx | DepMap | Descartes | 0.16 | 8.34 |
FMN1 | 0.0001123 | 5315 | GTEx | DepMap | Descartes | 0.62 | 5.87 |
RBPJ | -0.0001506 | 7772 | GTEx | DepMap | Descartes | 4.44 | 85.35 |
SPP1 | -0.0001584 | 7856 | GTEx | DepMap | Descartes | 0.03 | 1.06 |
CYBB | -0.0002385 | 8664 | GTEx | DepMap | Descartes | 0.26 | 16.82 |
SFMBT2 | -0.0002905 | 9140 | GTEx | DepMap | Descartes | 0.44 | 8.23 |
CD163L1 | -0.0003477 | 9522 | GTEx | DepMap | Descartes | 0.03 | 0.51 |
ADAP2 | -0.0003751 | 9702 | GTEx | DepMap | Descartes | 0.06 | 5.20 |
CD74 | -0.0003935 | 9814 | GTEx | DepMap | Descartes | 35.79 | 2514.91 |
MSR1 | -0.0004010 | 9853 | GTEx | DepMap | Descartes | 0.18 | 5.91 |
WWP1 | -0.0004123 | 9924 | GTEx | DepMap | Descartes | 0.36 | 8.54 |
MERTK | -0.0004429 | 10097 | GTEx | DepMap | Descartes | 0.12 | 3.58 |
ATP8B4 | -0.0004563 | 10168 | GTEx | DepMap | Descartes | 0.08 | 2.01 |
SLC1A3 | -0.0004623 | 10193 | GTEx | DepMap | Descartes | 0.11 | 3.75 |
SLC9A9 | -0.0004742 | 10254 | GTEx | DepMap | Descartes | 0.07 | 2.35 |
SLCO2B1 | -0.0004865 | 10314 | GTEx | DepMap | Descartes | 0.12 | 2.70 |
MS4A4A | -0.0005488 | 10590 | GTEx | DepMap | Descartes | 0.05 | 6.22 |
HCK | -0.0006120 | 10823 | GTEx | DepMap | Descartes | 0.17 | 13.43 |
CSF1R | -0.0006613 | 10987 | GTEx | DepMap | Descartes | 0.15 | 5.55 |
CD163 | -0.0006825 | 11063 | GTEx | DepMap | Descartes | 0.03 | 0.50 |
CD14 | -0.0007069 | 11117 | GTEx | DepMap | Descartes | 0.17 | 12.10 |
IFNGR1 | -0.0007164 | 11148 | GTEx | DepMap | Descartes | 0.50 | 27.55 |
LGMN | -0.0008977 | 11588 | GTEx | DepMap | Descartes | 0.78 | 54.33 |
CPVL | -0.0009046 | 11606 | GTEx | DepMap | Descartes | 0.22 | 11.50 |
ABCA1 | -0.0009412 | 11663 | GTEx | DepMap | Descartes | 0.62 | 12.62 |
RGL1 | -0.0009598 | 11696 | GTEx | DepMap | Descartes | 0.20 | 5.29 |
HRH1 | -0.0009717 | 11718 | GTEx | DepMap | Descartes | 0.11 | 3.93 |
CTSS | -0.0009805 | 11732 | GTEx | DepMap | Descartes | 0.97 | 51.68 |
Descartes Schwann markers
Top 50 marker genes of Schwann cells in the Decartes fetal adrenal single cell map (https://atlas.brotmanbaty.org/bbi/human-gene-expression-during-development/cell/schwann/in/adrenal)
Wilcoxon ranksum test P-value for gene set overrepresentation: 1.00e+00
Mean rank of genes in gene set: 9286.82
Median rank of genes in gene set: 10414
Rank on gene expression program of top 30 genes in gene set:
Genes | Weight | Rank | GTEx | DepMap | Descartes | Mean.Counts | Mean.TPM |
---|---|---|---|---|---|---|---|
COL25A1 | 0.0030109 | 274 | GTEx | DepMap | Descartes | 0.50 | 7.55 |
MARCKS | 0.0007509 | 2176 | GTEx | DepMap | Descartes | 13.55 | 360.44 |
GRIK3 | 0.0006210 | 2606 | GTEx | DepMap | Descartes | 0.40 | 5.18 |
LRRTM4 | 0.0003410 | 3820 | GTEx | DepMap | Descartes | 0.14 | 4.07 |
ADAMTS5 | 0.0001321 | 5175 | GTEx | DepMap | Descartes | 0.23 | 3.09 |
SORCS1 | 0.0001314 | 5177 | GTEx | DepMap | Descartes | 0.78 | 14.39 |
PPP2R2B | -0.0000002 | 6232 | GTEx | DepMap | Descartes | 0.79 | 8.39 |
ERBB4 | -0.0000067 | 6285 | GTEx | DepMap | Descartes | 0.03 | 0.31 |
PLCE1 | -0.0000469 | 6647 | GTEx | DepMap | Descartes | 0.23 | 2.68 |
IL1RAPL2 | -0.0000639 | 6831 | GTEx | DepMap | Descartes | 0.01 | 0.39 |
SOX5 | -0.0000742 | 6940 | GTEx | DepMap | Descartes | 0.26 | 4.56 |
PTN | -0.0001210 | 7444 | GTEx | DepMap | Descartes | 0.35 | 36.60 |
FIGN | -0.0001457 | 7715 | GTEx | DepMap | Descartes | 0.36 | 4.10 |
IL1RAPL1 | -0.0001526 | 7802 | GTEx | DepMap | Descartes | 0.02 | 3.92 |
EGFLAM | -0.0001654 | 7928 | GTEx | DepMap | Descartes | 0.47 | 9.85 |
GFRA3 | -0.0003592 | 9601 | GTEx | DepMap | Descartes | 0.61 | 26.69 |
SFRP1 | -0.0004018 | 9860 | GTEx | DepMap | Descartes | 1.67 | 36.18 |
MPZ | -0.0004309 | 10028 | GTEx | DepMap | Descartes | 0.04 | 1.27 |
DST | -0.0004416 | 10093 | GTEx | DepMap | Descartes | 4.37 | 22.44 |
TRPM3 | -0.0004782 | 10278 | GTEx | DepMap | Descartes | 0.01 | 0.19 |
HMGA2 | -0.0004943 | 10349 | GTEx | DepMap | Descartes | 0.00 | 0.00 |
SLC35F1 | -0.0005021 | 10374 | GTEx | DepMap | Descartes | 0.08 | 1.54 |
NRXN3 | -0.0005174 | 10454 | GTEx | DepMap | Descartes | 0.12 | 1.39 |
MDGA2 | -0.0005423 | 10565 | GTEx | DepMap | Descartes | 0.03 | 0.46 |
PTPRZ1 | -0.0005661 | 10657 | GTEx | DepMap | Descartes | 0.01 | 0.17 |
NRXN1 | -0.0005788 | 10701 | GTEx | DepMap | Descartes | 0.49 | 6.40 |
LAMB1 | -0.0006138 | 10829 | GTEx | DepMap | Descartes | 1.80 | 37.25 |
XKR4 | -0.0006719 | 11025 | GTEx | DepMap | Descartes | 0.06 | 0.39 |
ERBB3 | -0.0006735 | 11032 | GTEx | DepMap | Descartes | 0.05 | 1.09 |
PLP1 | -0.0008294 | 11449 | GTEx | DepMap | Descartes | 0.18 | 4.81 |
Descartes Megakaryocytes markers
Top 50 marker genes of Megakaryocytes cells in the Decartes fetal adrenal single cell map (https://atlas.brotmanbaty.org/bbi/human-gene-expression-during-development/cell/megakaryocytes/in/adrenal)
Wilcoxon ranksum test P-value for gene set overrepresentation: 1.00e+00
Mean rank of genes in gene set: 9195.96
Median rank of genes in gene set: 10656
Rank on gene expression program of top 30 genes in gene set:
Genes | Weight | Rank | GTEx | DepMap | Descartes | Mean.Counts | Mean.TPM |
---|---|---|---|---|---|---|---|
PRKAR2B | 0.0013919 | 1034 | GTEx | DepMap | Descartes | 1.33 | 36.08 |
ACTB | 0.0009502 | 1649 | GTEx | DepMap | Descartes | 46.87 | 2372.97 |
MMRN1 | 0.0008855 | 1786 | GTEx | DepMap | Descartes | 0.47 | 12.81 |
ANGPT1 | 0.0008844 | 1788 | GTEx | DepMap | Descartes | 0.09 | 6.70 |
GP1BA | 0.0005722 | 2779 | GTEx | DepMap | Descartes | 0.05 | 2.09 |
MED12L | 0.0005563 | 2848 | GTEx | DepMap | Descartes | 0.16 | 1.54 |
P2RX1 | 0.0001404 | 5122 | GTEx | DepMap | Descartes | 0.11 | 10.90 |
STON2 | 0.0000922 | 5461 | GTEx | DepMap | Descartes | 0.20 | 4.88 |
HIPK2 | 0.0000203 | 6037 | GTEx | DepMap | Descartes | 2.55 | 17.61 |
PDE3A | 0.0000185 | 6052 | GTEx | DepMap | Descartes | 0.50 | 7.32 |
SLC24A3 | -0.0000950 | 7160 | GTEx | DepMap | Descartes | 0.04 | 1.65 |
DOK6 | -0.0001168 | 7394 | GTEx | DepMap | Descartes | 0.23 | 3.35 |
TUBB1 | -0.0001391 | 7651 | GTEx | DepMap | Descartes | 0.01 | 0.21 |
TRPC6 | -0.0001891 | 8173 | GTEx | DepMap | Descartes | 0.02 | 0.30 |
ITGA2B | -0.0002768 | 9024 | GTEx | DepMap | Descartes | 0.08 | 1.73 |
FLI1 | -0.0002771 | 9030 | GTEx | DepMap | Descartes | 0.25 | 8.45 |
TPM4 | -0.0002954 | 9180 | GTEx | DepMap | Descartes | 5.55 | 136.54 |
ARHGAP6 | -0.0003243 | 9382 | GTEx | DepMap | Descartes | 0.05 | 1.30 |
RAB27B | -0.0003287 | 9416 | GTEx | DepMap | Descartes | 0.09 | 1.67 |
ITGB3 | -0.0003480 | 9524 | GTEx | DepMap | Descartes | 0.01 | 0.12 |
PSTPIP2 | -0.0004383 | 10081 | GTEx | DepMap | Descartes | 0.05 | 2.15 |
INPP4B | -0.0005496 | 10595 | GTEx | DepMap | Descartes | 0.19 | 2.75 |
RAP1B | -0.0005661 | 10656 | GTEx | DepMap | Descartes | 1.16 | 12.48 |
MCTP1 | -0.0005715 | 10673 | GTEx | DepMap | Descartes | 0.12 | 2.78 |
ACTN1 | -0.0006043 | 10798 | GTEx | DepMap | Descartes | 2.72 | 65.89 |
FERMT3 | -0.0007568 | 11264 | GTEx | DepMap | Descartes | 0.42 | 18.90 |
UBASH3B | -0.0007786 | 11320 | GTEx | DepMap | Descartes | 0.12 | 2.51 |
PLEK | -0.0007954 | 11368 | GTEx | DepMap | Descartes | 0.56 | 32.12 |
MYLK | -0.0009356 | 11656 | GTEx | DepMap | Descartes | 0.46 | 5.79 |
TLN1 | -0.0009593 | 11694 | GTEx | DepMap | Descartes | 1.93 | 38.95 |
Descartes Lyphoid markers
Top 50 marker genes of Lyphoid cells in the Decartes fetal adrenal single cell map (https://atlas.brotmanbaty.org/bbi/human-gene-expression-during-development/cell/lymphoid/in/adrenal)
Wilcoxon ranksum test P-value for gene set overrepresentation: 1.00e+00
Mean rank of genes in gene set: 9444.93
Median rank of genes in gene set: 10985.5
Rank on gene expression program of top 30 genes in gene set:
Genes | Weight | Rank | GTEx | DepMap | Descartes | Mean.Counts | Mean.TPM |
---|---|---|---|---|---|---|---|
STK39 | 0.0011416 | 1305 | GTEx | DepMap | Descartes | 1.53 | 50.51 |
LEF1 | 0.0008822 | 1793 | GTEx | DepMap | Descartes | 0.64 | 25.78 |
BACH2 | 0.0008650 | 1836 | GTEx | DepMap | Descartes | 0.72 | 16.54 |
RCSD1 | 0.0006986 | 2343 | GTEx | DepMap | Descartes | 0.44 | 24.70 |
TMSB10 | 0.0004238 | 3410 | GTEx | DepMap | Descartes | 22.64 | 6004.20 |
RAP1GAP2 | 0.0002803 | 4183 | GTEx | DepMap | Descartes | 0.73 | 13.48 |
EVL | 0.0001634 | 4963 | GTEx | DepMap | Descartes | 3.30 | 114.20 |
CCND3 | 0.0001100 | 5332 | GTEx | DepMap | Descartes | 0.45 | 24.77 |
TOX | 0.0000723 | 5612 | GTEx | DepMap | Descartes | 0.66 | 17.72 |
MCTP2 | 0.0000013 | 6219 | GTEx | DepMap | Descartes | 0.17 | 4.47 |
ANKRD44 | -0.0000574 | 6757 | GTEx | DepMap | Descartes | 0.51 | 14.62 |
ARHGAP15 | -0.0000925 | 7142 | GTEx | DepMap | Descartes | 0.33 | 25.61 |
BCL2 | -0.0002462 | 8750 | GTEx | DepMap | Descartes | 1.34 | 21.78 |
ABLIM1 | -0.0003254 | 9387 | GTEx | DepMap | Descartes | 1.20 | 23.42 |
DOCK10 | -0.0003284 | 9412 | GTEx | DepMap | Descartes | 0.66 | 14.63 |
SCML4 | -0.0004010 | 9852 | GTEx | DepMap | Descartes | 0.16 | 3.28 |
SKAP1 | -0.0005155 | 10447 | GTEx | DepMap | Descartes | 0.12 | 20.74 |
SP100 | -0.0005265 | 10499 | GTEx | DepMap | Descartes | 1.69 | 50.16 |
SORL1 | -0.0005647 | 10653 | GTEx | DepMap | Descartes | 0.99 | 12.59 |
PITPNC1 | -0.0006033 | 10791 | GTEx | DepMap | Descartes | 1.15 | 20.54 |
IKZF1 | -0.0006334 | 10900 | GTEx | DepMap | Descartes | 0.75 | 22.21 |
ITPKB | -0.0006902 | 11071 | GTEx | DepMap | Descartes | 0.53 | 13.12 |
SAMD3 | -0.0007801 | 11325 | GTEx | DepMap | Descartes | 0.09 | 2.63 |
PDE3B | -0.0007922 | 11360 | GTEx | DepMap | Descartes | 0.58 | 10.43 |
FOXP1 | -0.0009017 | 11601 | GTEx | DepMap | Descartes | 2.82 | 54.88 |
NCALD | -0.0009627 | 11702 | GTEx | DepMap | Descartes | 0.23 | 5.02 |
PLEKHA2 | -0.0009868 | 11741 | GTEx | DepMap | Descartes | 1.10 | 43.10 |
CELF2 | -0.0011998 | 12031 | GTEx | DepMap | Descartes | 1.51 | 32.55 |
PRKCH | -0.0012555 | 12082 | GTEx | DepMap | Descartes | 0.33 | 8.64 |
MBNL1 | -0.0012831 | 12101 | GTEx | DepMap | Descartes | 2.20 | 54.32 |
Below shows the ranks on this GEP for immune marker gene lists curated by CellTypist (https://www.celltypist.org/encyclopedia).
High ranks indicate this gene is a driver of this GEP.
These curated gene list are ranked by P-value (on this GEP) of their constituent genes.
The Mean Count column shows the mean read count in cells scoring highly (H > 50) on this gene expression program.
Genes | Weight | Rank | GTEx | DepMap | Decartes | Mean.Counts | Mean.TPM |
---|---|---|---|---|---|---|---|
TOP2A | 0.0053150 | 50 | GTEx | DepMap | Descartes | 5.80 | 99.98 |
CD19 | 0.0041077 | 124 | GTEx | DepMap | Descartes | 0.52 | 59.48 |
MKI67 | 0.0039934 | 133 | GTEx | DepMap | Descartes | 2.27 | 19.22 |
Cycling cells: Cycling B cells (model markers)
proliferating B lymphocytes:
Wilcoxon ranksum test P-value for gene set overrepresentation: 7.34e-03
Mean rank of genes in gene set: 1172
Rank on gene expression program of genes in gene set:
Genes | Weight | Rank | GTEx | DepMap | Decartes | Mean.Counts | Mean.TPM |
---|---|---|---|---|---|---|---|
GRIN1 | 0.0026030 | 371 | GTEx | DepMap | Descartes | 0.37 | 8.31 |
RGS13 | 0.0012873 | 1128 | GTEx | DepMap | Descartes | 0.10 | 5.32 |
CD207 | 0.0008018 | 2017 | GTEx | DepMap | Descartes | 0.14 | 12.00 |
B cells: B cells (curated markers)
B lymphocytes with diverse cell surface immunoglobulin receptors recognising specific antigenic epitopes and mediating humoral immunity:
Wilcoxon ranksum test P-value for gene set overrepresentation: 7.77e-03
Mean rank of genes in gene set: 77
Rank on gene expression program of genes in gene set:
Genes | Weight | Rank | GTEx | DepMap | Decartes | Mean.Counts | Mean.TPM |
---|---|---|---|---|---|---|---|
CD79A | 0.0060062 | 30 | GTEx | DepMap | Descartes | 2.56 | 692.11 |
CD19 | 0.0041077 | 124 | GTEx | DepMap | Descartes | 0.52 | 59.48 |