QQ-plot of gene loadings, averaged over both independent splits of the data
This plot highlights the relative contribution of each gene to the GEP
Top genes driving this program. Note: Decartes website is buggy, try refreshing. Also, Decartes fetal adrenal data have been collected at specific time points (89-122 days), all possible cell types of interest may not be represented, do not overinterpret. The Mean Count column shows the mean read count in cells scoring highly (H > 50) on this gene expression program (currently only calculated for the cells in the first 50/50 split of the data).
Note: Decartes website is buggy, try refreshing. Also, Decartes fetal adrenal data have been collected at specific time points (89-122 days), all possible cell types of interest may not be represented, do not overinterpret.
The Mean Count column shows the mean read count in cells scoring highly (H > 50) on this gene expression program.
Gene | Loading | Gene.Name | GTEx | DepMap | Descartes | Mean.Counts | Mean.Tpm | |
---|---|---|---|---|---|---|---|---|
1 | NOTCH3 | 0.0119134 | notch receptor 3 | GTEx | DepMap | Descartes | 10.02 | 306.67 |
2 | RGS5 | 0.0102950 | regulator of G protein signaling 5 | GTEx | DepMap | Descartes | 44.82 | 1941.28 |
3 | ACTA2 | 0.0102396 | actin alpha 2, smooth muscle | GTEx | DepMap | Descartes | 25.28 | 4742.88 |
4 | ADAMTS4 | 0.0099806 | ADAM metallopeptidase with thrombospondin type 1 motif 4 | GTEx | DepMap | Descartes | 13.12 | 393.75 |
5 | MYL9 | 0.0098854 | myosin light chain 9 | GTEx | DepMap | Descartes | 11.53 | 1057.80 |
6 | MYH11 | 0.0098162 | myosin heavy chain 11 | GTEx | DepMap | Descartes | 5.78 | 253.83 |
7 | MYLK | 0.0098068 | myosin light chain kinase | GTEx | DepMap | Descartes | 6.17 | 154.64 |
8 | CALD1 | 0.0085909 | caldesmon 1 | GTEx | DepMap | Descartes | 14.98 | 735.14 |
9 | TPM2 | 0.0081341 | tropomyosin 2 | GTEx | DepMap | Descartes | 6.11 | 1005.19 |
10 | MCAM | 0.0079638 | melanoma cell adhesion molecule | GTEx | DepMap | Descartes | 6.16 | 326.77 |
11 | TAGLN | 0.0076236 | transgelin | GTEx | DepMap | Descartes | 21.69 | 1517.90 |
12 | EPAS1 | 0.0075363 | endothelial PAS domain protein 1 | GTEx | DepMap | Descartes | 14.05 | 687.17 |
13 | COL18A1 | 0.0071299 | collagen type XVIII alpha 1 chain | GTEx | DepMap | Descartes | 8.32 | 294.98 |
14 | ENPEP | 0.0071229 | glutamyl aminopeptidase | GTEx | DepMap | Descartes | 1.70 | 62.52 |
15 | ADAMTS1 | 0.0070995 | ADAM metallopeptidase with thrombospondin type 1 motif 1 | GTEx | DepMap | Descartes | 10.30 | 542.44 |
16 | COL4A1 | 0.0070518 | collagen type IV alpha 1 chain | GTEx | DepMap | Descartes | 16.86 | 540.87 |
17 | GUCY1A2 | 0.0068754 | guanylate cyclase 1 soluble subunit alpha 2 | GTEx | DepMap | Descartes | 1.65 | 26.30 |
18 | CD36 | 0.0068212 | CD36 molecule | GTEx | DepMap | Descartes | 2.59 | 103.82 |
19 | PDK4 | 0.0067527 | pyruvate dehydrogenase kinase 4 | GTEx | DepMap | Descartes | 6.48 | 528.61 |
20 | COL4A2 | 0.0067010 | collagen type IV alpha 2 chain | GTEx | DepMap | Descartes | 21.16 | 681.46 |
21 | NDUFA4L2 | 0.0066761 | NDUFA4 mitochondrial complex associated like 2 | GTEx | DepMap | Descartes | 1.69 | 349.08 |
22 | SYNPO2 | 0.0066564 | synaptopodin 2 | GTEx | DepMap | Descartes | 3.30 | 62.60 |
23 | PDGFRB | 0.0065880 | platelet derived growth factor receptor beta | GTEx | DepMap | Descartes | 6.22 | 279.77 |
24 | TPM1 | 0.0065753 | tropomyosin 1 | GTEx | DepMap | Descartes | 7.28 | 442.76 |
25 | PARM1 | 0.0064975 | prostate androgen-regulated mucin-like protein 1 | GTEx | DepMap | Descartes | 1.45 | 77.21 |
26 | EFHD1 | 0.0063630 | EF-hand domain family member D1 | GTEx | DepMap | Descartes | 1.49 | 194.01 |
27 | LMOD1 | 0.0063396 | leiomodin 1 | GTEx | DepMap | Descartes | 1.17 | 87.15 |
28 | LPP | 0.0062298 | LIM domain containing preferred translocation partner in lipoma | GTEx | DepMap | Descartes | 7.26 | 102.73 |
29 | STEAP4 | 0.0062069 | STEAP4 metalloreductase | GTEx | DepMap | Descartes | 2.75 | 76.43 |
30 | ACTG2 | 0.0061135 | actin gamma 2, smooth muscle | GTEx | DepMap | Descartes | 2.13 | 286.53 |
31 | FILIP1L | 0.0060749 | filamin A interacting protein 1 like | GTEx | DepMap | Descartes | 5.32 | 347.43 |
32 | RNF152 | 0.0060614 | ring finger protein 152 | GTEx | DepMap | Descartes | 1.60 | 50.20 |
33 | PLN | 0.0060141 | phospholamban | GTEx | DepMap | Descartes | 0.91 | 97.56 |
34 | TINAGL1 | 0.0059821 | tubulointerstitial nephritis antigen like 1 | GTEx | DepMap | Descartes | 2.44 | 124.27 |
35 | AOC3 | 0.0058195 | amine oxidase copper containing 3 | GTEx | DepMap | Descartes | 1.33 | 93.60 |
36 | ABCC9 | 0.0057510 | ATP binding cassette subfamily C member 9 | GTEx | DepMap | Descartes | 2.17 | 71.55 |
37 | MRVI1 | 0.0057452 | NA | GTEx | DepMap | Descartes | 0.92 | 40.17 |
38 | CPE | 0.0057214 | carboxypeptidase E | GTEx | DepMap | Descartes | 6.61 | 662.63 |
39 | MFGE8 | 0.0055828 | milk fat globule EGF and factor V/VIII domain containing | GTEx | DepMap | Descartes | 3.23 | 326.08 |
40 | DSTN | 0.0055050 | destrin, actin depolymerizing factor | GTEx | DepMap | Descartes | 6.31 | 478.09 |
41 | IGFBP7 | 0.0054871 | insulin like growth factor binding protein 7 | GTEx | DepMap | Descartes | 90.37 | 14869.03 |
42 | SLC7A2 | 0.0054080 | solute carrier family 7 member 2 | GTEx | DepMap | Descartes | 2.14 | 66.85 |
43 | CRISPLD2 | 0.0053907 | cysteine rich secretory protein LCCL domain containing 2 | GTEx | DepMap | Descartes | 7.85 | 486.49 |
44 | CSPG4 | 0.0053302 | chondroitin sulfate proteoglycan 4 | GTEx | DepMap | Descartes | 0.76 | 23.58 |
45 | EDNRB | 0.0053267 | endothelin receptor type B | GTEx | DepMap | Descartes | 2.52 | 128.06 |
46 | RASD2 | 0.0052760 | RASD family member 2 | GTEx | DepMap | Descartes | 0.56 | 36.86 |
47 | ITGA1 | 0.0051875 | integrin subunit alpha 1 | GTEx | DepMap | Descartes | 5.40 | 111.58 |
48 | RCAN2 | 0.0051364 | regulator of calcineurin 2 | GTEx | DepMap | Descartes | 1.27 | 113.93 |
49 | TNS1 | 0.0051181 | tensin 1 | GTEx | DepMap | Descartes | 4.67 | 114.91 |
50 | LDB3 | 0.0051113 | LIM domain binding 3 | GTEx | DepMap | Descartes | 0.32 | 17.05 |
UMAP plots showing activity of gene expression program identified in community:17. Cancer Associated Fibroblast: Myofibroblast (Contractile)
CNV Data procured from inferCNV.
Outer tracks are putative CNV regions (gains = red, losses = blue) for each patient
Inner track is expression data representing:
The top cells expressing this GEP (purple)
Random cells (n =50) from the reference set used in inferCNV (orange)
Gene set Enrichments for this program, caculated from top 50 genes
mSigDB Cell Types Gene Set:
P-value | OR | Lower 95% CI | FDR | FWER | Genes Found | Gene Set Size | |
---|---|---|---|---|---|---|---|
DURANTE_ADULT_OLFACTORY_NEUROEPITHELIUM_VASCULAR_SMOOTH_MUSCLE_CELLS | 6.37e-51 | 268.06 | 139.77 | 4.28e-48 | 4.28e-48 | 29NOTCH3, RGS5, ACTA2, MYL9, MYH11, MYLK, CALD1, TPM2, MCAM, TAGLN, ADAMTS1, NDUFA4L2, SYNPO2, PDGFRB, TPM1, EFHD1, LMOD1, LPP, STEAP4, ACTG2, FILIP1L, PLN, TINAGL1, MFGE8, DSTN, IGFBP7, CRISPLD2, RCAN2, TNS1 |
93 |
TRAVAGLINI_LUNG_VASCULAR_SMOOTH_MUSCLE_CELL | 6.40e-35 | 201.92 | 100.42 | 2.15e-32 | 4.29e-32 | 20NOTCH3, RGS5, ACTA2, MYL9, MYLK, CALD1, TPM2, MCAM, TAGLN, EPAS1, TPM1, PARM1, EFHD1, LMOD1, LPP, ACTG2, TINAGL1, IGFBP7, ITGA1, RCAN2 |
61 |
DESCARTES_MAIN_FETAL_SMOOTH_MUSCLE_CELLS | 8.28e-18 | 106.68 | 45.15 | 3.97e-16 | 5.55e-15 | 11NOTCH3, ACTA2, MYH11, MYLK, TAGLN, NDUFA4L2, PDGFRB, ACTG2, AOC3, ABCC9, CSPG4 |
44 |
AIZARANI_LIVER_C33_STELLATE_CELLS_2 | 8.21e-30 | 86.04 | 45.07 | 1.84e-27 | 5.51e-27 | 21NOTCH3, RGS5, ACTA2, MYL9, MYH11, MYLK, CALD1, TPM2, MCAM, EPAS1, ADAMTS1, COL4A1, COL4A2, TPM1, LPP, CPE, IGFBP7, CRISPLD2, ITGA1, RCAN2, TNS1 |
126 |
DESCARTES_FETAL_HEART_SMOOTH_MUSCLE_CELLS | 1.09e-17 | 103.00 | 43.97 | 4.88e-16 | 7.32e-15 | 11NOTCH3, ACTA2, MYH11, TAGLN, ENPEP, NDUFA4L2, PDGFRB, LMOD1, ACTG2, AOC3, ABCC9 |
45 |
DESCARTES_FETAL_INTESTINE_SMOOTH_MUSCLE_CELLS | 3.94e-17 | 90.17 | 38.70 | 1.65e-15 | 2.65e-14 | 11RGS5, ACTA2, MYL9, MYH11, MYLK, TAGLN, LMOD1, ACTG2, AOC3, DSTN, LDB3 |
50 |
RUBENSTEIN_SKELETAL_MUSCLE_PERICYTES | 1.60e-28 | 73.54 | 38.65 | 2.14e-26 | 1.07e-25 | 21NOTCH3, RGS5, ACTA2, MYL9, CALD1, TPM2, MCAM, TAGLN, COL4A1, CD36, COL4A2, NDUFA4L2, PDGFRB, TPM1, EFHD1, STEAP4, TINAGL1, ABCC9, CPE, MFGE8, IGFBP7 |
144 |
DESCARTES_FETAL_MUSCLE_SMOOTH_MUSCLE_CELLS | 2.71e-20 | 75.75 | 35.96 | 1.40e-18 | 1.82e-17 | 14RGS5, ACTA2, MYH11, TAGLN, ENPEP, GUCY1A2, NDUFA4L2, PDGFRB, STEAP4, ACTG2, PLN, AOC3, ABCC9, RCAN2 |
78 |
TRAVAGLINI_LUNG_AIRWAY_SMOOTH_MUSCLE_CELL | 3.59e-27 | 62.35 | 32.96 | 3.44e-25 | 2.41e-24 | 21ACTA2, MYL9, MYH11, MYLK, TPM2, MCAM, TAGLN, EPAS1, SYNPO2, TPM1, EFHD1, LMOD1, LPP, ACTG2, PLN, TINAGL1, DSTN, IGFBP7, EDNRB, RCAN2, LDB3 |
166 |
DESCARTES_FETAL_PANCREAS_SMOOTH_MUSCLE_CELLS | 1.54e-12 | 79.05 | 29.59 | 5.17e-11 | 1.03e-09 | 8RGS5, ACTA2, MYH11, NDUFA4L2, ACTG2, PLN, AOC3, CSPG4 |
38 |
FAN_OVARY_CL17_PUTATIVE_APOPTOTIC_SMOOTH_MUSCLE_CELL | 1.90e-27 | 51.18 | 27.52 | 2.12e-25 | 1.27e-24 | 23RGS5, ACTA2, ADAMTS4, MYL9, MYH11, MYLK, TPM2, TAGLN, EPAS1, COL18A1, ADAMTS1, COL4A1, PDK4, NDUFA4L2, PDGFRB, TPM1, EFHD1, TINAGL1, CPE, MFGE8, DSTN, IGFBP7, CRISPLD2 |
231 |
FAN_OVARY_CL14_MATURE_SMOOTH_MUSCLE_CELL | 1.56e-29 | 48.38 | 26.33 | 2.61e-27 | 1.05e-26 | 26NOTCH3, RGS5, ACTA2, MYL9, MYH11, MYLK, CALD1, TPM2, MCAM, TAGLN, EPAS1, COL18A1, ADAMTS1, PDK4, NDUFA4L2, TPM1, EFHD1, LMOD1, PLN, TINAGL1, AOC3, CPE, MFGE8, DSTN, IGFBP7, RCAN2 |
306 |
LAKE_ADULT_KIDNEY_C27_VASCULAR_SMOOTH_MUSCLE_CELLS_AND_PERICYTES | 8.38e-21 | 46.61 | 23.76 | 4.69e-19 | 5.62e-18 | 17ACTA2, MYH11, MYLK, CALD1, MCAM, TAGLN, EPAS1, COL18A1, COL4A1, COL4A2, SYNPO2, TPM1, LPP, DSTN, ITGA1, RCAN2, TNS1 |
155 |
FAN_EMBRYONIC_CTX_BRAIN_ENDOTHELIAL_2 | 3.58e-23 | 34.92 | 18.80 | 2.40e-21 | 2.40e-20 | 22NOTCH3, RGS5, MYL9, MYLK, CALD1, TPM2, MCAM, TAGLN, EPAS1, COL18A1, COL4A1, GUCY1A2, COL4A2, NDUFA4L2, PDGFRB, ABCC9, CPE, MFGE8, IGFBP7, CSPG4, ITGA1, TNS1 |
303 |
RUBENSTEIN_SKELETAL_MUSCLE_SMOOTH_MUSCLE_CELLS | 2.20e-25 | 32.34 | 17.68 | 1.64e-23 | 1.48e-22 | 26NOTCH3, RGS5, ACTA2, MYL9, MYH11, MYLK, CALD1, TPM2, MCAM, TAGLN, NDUFA4L2, SYNPO2, TPM1, EFHD1, LMOD1, LPP, ACTG2, FILIP1L, PLN, TINAGL1, CPE, MFGE8, DSTN, IGFBP7, RCAN2, TNS1 |
445 |
GAO_LARGE_INTESTINE_ADULT_CJ_IMMUNE_CELLS | 1.75e-25 | 30.73 | 16.83 | 1.46e-23 | 1.17e-22 | 27NOTCH3, RGS5, ACTA2, MYL9, CALD1, TPM2, MCAM, COL18A1, ADAMTS1, COL4A1, CD36, COL4A2, NDUFA4L2, SYNPO2, PDGFRB, LMOD1, STEAP4, FILIP1L, AOC3, MFGE8, IGFBP7, SLC7A2, CRISPLD2, CSPG4, EDNRB, ITGA1, TNS1 |
505 |
AIZARANI_LIVER_C21_STELLATE_CELLS_1 | 4.48e-16 | 29.91 | 14.90 | 1.77e-14 | 3.00e-13 | 15ACTA2, MYL9, MYLK, CALD1, EPAS1, ADAMTS1, COL4A1, COL4A2, SYNPO2, FILIP1L, DSTN, IGFBP7, CRISPLD2, EDNRB, TNS1 |
194 |
TRAVAGLINI_LUNG_PERICYTE_CELL | 1.78e-11 | 30.02 | 13.03 | 5.43e-10 | 1.19e-08 | 10NOTCH3, RGS5, MCAM, COL4A1, GUCY1A2, COL4A2, NDUFA4L2, PDGFRB, CSPG4, ITGA1 |
114 |
DURANTE_ADULT_OLFACTORY_NEUROEPITHELIUM_FIBROBLASTS_STROMAL_CELLS | 9.58e-10 | 32.13 | 12.59 | 2.57e-08 | 6.43e-07 | 8ACTA2, CALD1, TPM2, TAGLN, SYNPO2, TPM1, CPE, IGFBP7 |
82 |
MANNO_MIDBRAIN_NEUROTYPES_HPERIC | 8.07e-22 | 20.78 | 11.40 | 4.93e-20 | 5.42e-19 | 28NOTCH3, RGS5, ACTA2, ADAMTS4, MYL9, MYLK, CALD1, TPM2, MCAM, TAGLN, EPAS1, COL18A1, ENPEP, ADAMTS1, COL4A1, GUCY1A2, COL4A2, NDUFA4L2, PDGFRB, LPP, FILIP1L, ABCC9, MFGE8, IGFBP7, CRISPLD2, CSPG4, ITGA1, TNS1 |
795 |
Dowload full table
mSigDB Hallmark Gene Sets:
P-value | OR | Lower 95% CI | FDR | FWER | Genes Found | Gene Set Size | |
---|---|---|---|---|---|---|---|
HALLMARK_EPITHELIAL_MESENCHYMAL_TRANSITION | 4.29e-09 | 16.45 | 7.22 | 2.15e-07 | 2.15e-07 | 10ACTA2, MYL9, MYLK, CALD1, TPM2, TAGLN, COL4A1, COL4A2, PDGFRB, TPM1 |
200 |
HALLMARK_MYOGENESIS | 9.73e-07 | 12.40 | 4.96 | 2.43e-05 | 4.87e-05 | 8MYH11, MYLK, TPM2, TAGLN, CD36, COL4A2, IGFBP7, LDB3 |
200 |
HALLMARK_ADIPOGENESIS | 4.35e-02 | 4.05 | 0.80 | 5.44e-01 | 1.00e+00 | 3MYLK, COL4A1, CD36 |
200 |
HALLMARK_XENOBIOTIC_METABOLISM | 4.35e-02 | 4.05 | 0.80 | 5.44e-01 | 1.00e+00 | 3ENPEP, CD36, PDK4 |
200 |
HALLMARK_ANDROGEN_RESPONSE | 5.93e-02 | 5.31 | 0.62 | 5.93e-01 | 1.00e+00 | 2ADAMTS1, STEAP4 |
100 |
HALLMARK_FATTY_ACID_METABOLISM | 1.28e-01 | 3.34 | 0.39 | 9.15e-01 | 1.00e+00 | 2CD36, AOC3 |
158 |
HALLMARK_APICAL_JUNCTION | 1.85e-01 | 2.63 | 0.31 | 1.00e+00 | 1.00e+00 | 2MYL9, ACTG2 |
200 |
HALLMARK_COMPLEMENT | 1.85e-01 | 2.63 | 0.31 | 1.00e+00 | 1.00e+00 | 2CD36, COL4A2 |
200 |
HALLMARK_NOTCH_SIGNALING | 1.20e-01 | 8.23 | 0.20 | 9.15e-01 | 1.00e+00 | 1NOTCH3 |
32 |
HALLMARK_IL6_JAK_STAT3_SIGNALING | 2.93e-01 | 2.97 | 0.07 | 1.00e+00 | 1.00e+00 | 1CD36 |
87 |
HALLMARK_UV_RESPONSE_DN | 4.35e-01 | 1.78 | 0.04 | 1.00e+00 | 1.00e+00 | 1PDGFRB |
144 |
HALLMARK_APOPTOSIS | 4.72e-01 | 1.59 | 0.04 | 1.00e+00 | 1.00e+00 | 1PDGFRB |
161 |
HALLMARK_ESTROGEN_RESPONSE_EARLY | 5.47e-01 | 1.28 | 0.03 | 1.00e+00 | 1.00e+00 | 1SLC7A2 |
200 |
HALLMARK_ESTROGEN_RESPONSE_LATE | 5.47e-01 | 1.28 | 0.03 | 1.00e+00 | 1.00e+00 | 1CPE |
200 |
HALLMARK_INFLAMMATORY_RESPONSE | 5.47e-01 | 1.28 | 0.03 | 1.00e+00 | 1.00e+00 | 1SLC7A2 |
200 |
HALLMARK_OXIDATIVE_PHOSPHORYLATION | 5.47e-01 | 1.28 | 0.03 | 1.00e+00 | 1.00e+00 | 1PDK4 |
200 |
HALLMARK_HEME_METABOLISM | 5.47e-01 | 1.28 | 0.03 | 1.00e+00 | 1.00e+00 | 1TNS1 |
200 |
HALLMARK_KRAS_SIGNALING_UP | 5.47e-01 | 1.28 | 0.03 | 1.00e+00 | 1.00e+00 | 1CPE |
200 |
HALLMARK_KRAS_SIGNALING_DN | 5.47e-01 | 1.28 | 0.03 | 1.00e+00 | 1.00e+00 | 1EFHD1 |
200 |
HALLMARK_TNFA_SIGNALING_VIA_NFKB | 1.00e+00 | 0.00 | 0.00 | 1.00e+00 | 1.00e+00 | 0 |
200 |
Dowload full table
KEGG Pathways:
P-value | OR | Lower 95% CI | FDR | FWER | Genes Found | Gene Set Size | |
---|---|---|---|---|---|---|---|
KEGG_VASCULAR_SMOOTH_MUSCLE_CONTRACTION | 3.07e-07 | 18.82 | 6.99 | 5.70e-05 | 5.70e-05 | 7ACTA2, MYL9, MYH11, MYLK, CALD1, GUCY1A2, ACTG2 |
115 |
KEGG_ECM_RECEPTOR_INTERACTION | 3.32e-04 | 13.58 | 3.47 | 2.00e-02 | 6.17e-02 | 4COL4A1, CD36, COL4A2, ITGA1 |
84 |
KEGG_DILATED_CARDIOMYOPATHY | 4.31e-04 | 12.63 | 3.23 | 2.00e-02 | 8.02e-02 | 4TPM2, TPM1, PLN, ITGA1 |
90 |
KEGG_FOCAL_ADHESION | 1.20e-04 | 8.83 | 3.04 | 1.12e-02 | 2.24e-02 | 6MYL9, MYLK, COL4A1, COL4A2, PDGFRB, ITGA1 |
199 |
KEGG_HYPERTROPHIC_CARDIOMYOPATHY_HCM | 4.29e-03 | 9.97 | 1.94 | 1.60e-01 | 7.98e-01 | 3TPM2, TPM1, ITGA1 |
83 |
KEGG_CALCIUM_SIGNALING_PATHWAY | 5.16e-03 | 6.25 | 1.62 | 1.60e-01 | 9.60e-01 | 4MYLK, PDGFRB, PLN, EDNRB |
178 |
KEGG_REGULATION_OF_ACTIN_CYTOSKELETON | 9.54e-03 | 5.20 | 1.35 | 2.54e-01 | 1.00e+00 | 4MYL9, MYLK, PDGFRB, ITGA1 |
213 |
KEGG_PATHWAYS_IN_CANCER | 3.70e-02 | 3.39 | 0.88 | 7.64e-01 | 1.00e+00 | 4EPAS1, COL4A1, COL4A2, PDGFRB |
325 |
KEGG_CARDIAC_MUSCLE_CONTRACTION | 3.90e-02 | 6.76 | 0.78 | 7.64e-01 | 1.00e+00 | 2TPM2, TPM1 |
79 |
KEGG_SMALL_CELL_LUNG_CANCER | 4.36e-02 | 6.35 | 0.74 | 7.64e-01 | 1.00e+00 | 2COL4A1, COL4A2 |
84 |
KEGG_HEMATOPOIETIC_CELL_LINEAGE | 4.64e-02 | 6.13 | 0.71 | 7.64e-01 | 1.00e+00 | 2CD36, ITGA1 |
87 |
KEGG_GAP_JUNCTION | 4.93e-02 | 5.92 | 0.69 | 7.64e-01 | 1.00e+00 | 2GUCY1A2, PDGFRB |
90 |
KEGG_TIGHT_JUNCTION | 9.54e-02 | 4.01 | 0.47 | 1.00e+00 | 1.00e+00 | 2MYL9, MYH11 |
132 |
KEGG_RENIN_ANGIOTENSIN_SYSTEM | 6.56e-02 | 15.93 | 0.37 | 9.21e-01 | 1.00e+00 | 1ENPEP |
17 |
KEGG_PHENYLALANINE_METABOLISM | 6.93e-02 | 14.99 | 0.35 | 9.21e-01 | 1.00e+00 | 1AOC3 |
18 |
KEGG_BETA_ALANINE_METABOLISM | 8.40e-02 | 12.14 | 0.29 | 1.00e+00 | 1.00e+00 | 1AOC3 |
22 |
KEGG_DORSO_VENTRAL_AXIS_FORMATION | 9.13e-02 | 11.08 | 0.26 | 1.00e+00 | 1.00e+00 | 1NOTCH3 |
24 |
KEGG_GLYCINE_SERINE_AND_THREONINE_METABOLISM | 1.16e-01 | 8.50 | 0.20 | 1.00e+00 | 1.00e+00 | 1AOC3 |
31 |
KEGG_TYROSINE_METABOLISM | 1.54e-01 | 6.22 | 0.15 | 1.00e+00 | 1.00e+00 | 1AOC3 |
42 |
KEGG_TYPE_I_DIABETES_MELLITUS | 1.57e-01 | 6.07 | 0.15 | 1.00e+00 | 1.00e+00 | 1CPE |
43 |
Dowload full table
CHR Positional Gene Sets:
P-value | OR | Lower 95% CI | FDR | FWER | Genes Found | Gene Set Size | |
---|---|---|---|---|---|---|---|
chr7q21 | 2.65e-02 | 4.95 | 0.98 | 1.00e+00 | 1.00e+00 | 3CD36, PDK4, STEAP4 |
164 |
chr10q23 | 1.71e-01 | 2.77 | 0.32 | 1.00e+00 | 1.00e+00 | 2ACTA2, LDB3 |
190 |
chr11q23 | 1.92e-01 | 2.57 | 0.30 | 1.00e+00 | 1.00e+00 | 2MCAM, TAGLN |
205 |
chr1q23 | 2.09e-01 | 2.42 | 0.28 | 1.00e+00 | 1.00e+00 | 2RGS5, ADAMTS4 |
217 |
chr8p22 | 1.64e-01 | 5.80 | 0.14 | 1.00e+00 | 1.00e+00 | 1SLC7A2 |
45 |
chr3q12 | 1.67e-01 | 5.67 | 0.14 | 1.00e+00 | 1.00e+00 | 1FILIP1L |
46 |
chr7q33 | 1.87e-01 | 5.00 | 0.12 | 1.00e+00 | 1.00e+00 | 1CALD1 |
52 |
chr4q26 | 1.90e-01 | 4.91 | 0.12 | 1.00e+00 | 1.00e+00 | 1SYNPO2 |
53 |
chr13q22 | 2.16e-01 | 4.25 | 0.10 | 1.00e+00 | 1.00e+00 | 1EDNRB |
61 |
chr4q12 | 2.70e-01 | 3.27 | 0.08 | 1.00e+00 | 1.00e+00 | 1IGFBP7 |
79 |
chr2p21 | 2.73e-01 | 3.23 | 0.08 | 1.00e+00 | 1.00e+00 | 1EPAS1 |
80 |
chr5q11 | 2.87e-01 | 3.04 | 0.07 | 1.00e+00 | 1.00e+00 | 1ITGA1 |
85 |
chr4q25 | 2.93e-01 | 2.97 | 0.07 | 1.00e+00 | 1.00e+00 | 1ENPEP |
87 |
chr11q22 | 3.23e-01 | 2.63 | 0.06 | 1.00e+00 | 1.00e+00 | 1GUCY1A2 |
98 |
chr20p12 | 3.39e-01 | 2.48 | 0.06 | 1.00e+00 | 1.00e+00 | 1DSTN |
104 |
chr12p12 | 3.46e-01 | 2.41 | 0.06 | 1.00e+00 | 1.00e+00 | 1ABCC9 |
107 |
chr4q32 | 3.62e-01 | 2.28 | 0.06 | 1.00e+00 | 1.00e+00 | 1CPE |
113 |
chr3q27 | 3.67e-01 | 2.24 | 0.06 | 1.00e+00 | 1.00e+00 | 1LPP |
115 |
chr15q24 | 3.69e-01 | 2.22 | 0.05 | 1.00e+00 | 1.00e+00 | 1CSPG4 |
116 |
chr21q21 | 3.77e-01 | 2.16 | 0.05 | 1.00e+00 | 1.00e+00 | 1ADAMTS1 |
119 |
Dowload full table
Transcription Factor Targets:
P-value | OR | Lower 95% CI | FDR | FWER | Genes Found | Gene Set Size | |
---|---|---|---|---|---|---|---|
SRF_C | 5.32e-14 | 24.17 | 11.85 | 6.03e-11 | 6.03e-11 | 14MYL9, MYH11, MYLK, CALD1, MCAM, TAGLN, EFHD1, LPP, ACTG2, PLN, AOC3, DSTN, RASD2, LDB3 |
215 |
CCAWWNAAGG_SRF_Q4 | 4.88e-08 | 25.08 | 9.25 | 1.11e-05 | 5.53e-05 | 7MYH11, MYLK, CALD1, TPM2, TAGLN, ACTG2, PLN |
88 |
SRF_Q4 | 5.76e-11 | 18.11 | 8.49 | 3.26e-08 | 6.53e-08 | 12MYL9, MYH11, MYLK, CALD1, TPM2, TAGLN, TPM1, EFHD1, LPP, ACTG2, DSTN, RASD2 |
230 |
SRF_Q6 | 1.36e-10 | 16.73 | 7.85 | 5.14e-08 | 1.54e-07 | 12MYL9, MYH11, MYLK, CALD1, TPM2, TAGLN, EFHD1, LPP, ACTG2, PLN, RASD2, LDB3 |
248 |
SRF_Q5_01 | 8.10e-10 | 16.47 | 7.50 | 2.30e-07 | 9.18e-07 | 11MYL9, MYH11, MYLK, CALD1, TPM2, TAGLN, EFHD1, LPP, ACTG2, PLN, DSTN |
225 |
SRF_01 | 4.78e-05 | 23.08 | 5.81 | 9.02e-03 | 5.41e-02 | 4MYH11, CALD1, TPM1, ACTG2 |
51 |
TATA_C | 7.96e-04 | 6.11 | 2.11 | 1.13e-01 | 9.01e-01 | 6MYH11, MYLK, TAGLN, EPAS1, PDGFRB, LMOD1 |
285 |
TGGAAA_NFAT_Q4_01 | 1.59e-04 | 3.36 | 1.75 | 2.57e-02 | 1.80e-01 | 17ADAMTS4, CALD1, TPM2, MCAM, PDK4, TPM1, EFHD1, LMOD1, RNF152, TINAGL1, CPE, DSTN, IGFBP7, CSPG4, RCAN2, TNS1, LDB3 |
1934 |
YY1_01 | 2.92e-03 | 5.62 | 1.73 | 2.70e-01 | 1.00e+00 | 5MYH11, CALD1, TPM1, ACTG2, DSTN |
252 |
SMAD_Q6 | 3.23e-03 | 5.49 | 1.69 | 2.70e-01 | 1.00e+00 | 5NOTCH3, CALD1, TAGLN, RNF152, TINAGL1 |
258 |
PPARA_01 | 9.43e-03 | 14.87 | 1.69 | 5.48e-01 | 1.00e+00 | 2CD36, TNS1 |
37 |
AP1_Q6 | 3.28e-03 | 5.47 | 1.68 | 2.70e-01 | 1.00e+00 | 5PDGFRB, LPP, TINAGL1, DSTN, RCAN2 |
259 |
TGACATY_UNKNOWN | 3.57e-03 | 3.57 | 1.44 | 2.70e-01 | 1.00e+00 | 8MYLK, CALD1, MCAM, TAGLN, PDK4, LPP, STEAP4, RCAN2 |
676 |
MEF2_03 | 1.42e-02 | 4.61 | 1.19 | 5.48e-01 | 1.00e+00 | 4MYLK, TPM2, EFHD1, MFGE8 |
240 |
CTTTAAR_UNKNOWN | 9.72e-03 | 2.79 | 1.19 | 5.48e-01 | 1.00e+00 | 9TAGLN, EPAS1, EFHD1, LMOD1, ACTG2, MFGE8, CSPG4, ITGA1, LDB3 |
994 |
SMAD4_Q6 | 1.50e-02 | 4.53 | 1.17 | 5.48e-01 | 1.00e+00 | 4NOTCH3, ADAMTS4, MYLK, CALD1 |
244 |
ZNF92_TARGET_GENES | 1.57e-02 | 2.47 | 1.14 | 5.48e-01 | 1.00e+00 | 11ACTA2, MYLK, CALD1, TAGLN, PDGFRB, LPP, FILIP1L, TINAGL1, CRISPLD2, ITGA1, TNS1 |
1440 |
P53_02 | 1.73e-02 | 4.33 | 1.12 | 5.48e-01 | 1.00e+00 | 4ADAMTS4, MYH11, CALD1, LPP |
255 |
TFIIA_Q6 | 1.75e-02 | 4.31 | 1.12 | 5.48e-01 | 1.00e+00 | 4MYH11, ACTG2, CSPG4, ITGA1 |
256 |
P53_DECAMER_Q2 | 1.80e-02 | 4.28 | 1.11 | 5.48e-01 | 1.00e+00 | 4ADAMTS4, MYH11, EFHD1, LDB3 |
258 |
Dowload full table
GO Biological Processes:
P-value | OR | Lower 95% CI | FDR | FWER | Genes Found | Gene Set Size | |
---|---|---|---|---|---|---|---|
GOBP_MESENCHYME_MIGRATION | 1.54e-04 | 172.68 | 14.09 | 8.24e-02 | 1.00e+00 | 2ACTA2, ACTG2 |
5 |
GOBP_MYOFIBRIL_ASSEMBLY | 3.40e-06 | 25.67 | 7.66 | 5.09e-03 | 2.55e-02 | 5MYH11, PDGFRB, TPM1, LMOD1, LDB3 |
59 |
GOBP_MUSCLE_CONTRACTION | 6.74e-09 | 11.61 | 5.47 | 5.05e-05 | 5.05e-05 | 12ACTA2, MYL9, MYH11, MYLK, CALD1, TPM2, TPM1, LMOD1, ACTG2, PLN, EDNRB, ITGA1 |
352 |
GOBP_COLLAGEN_ACTIVATED_TYROSINE_KINASE_RECEPTOR_SIGNALING_PATHWAY | 9.99e-04 | 51.89 | 5.39 | 3.40e-01 | 1.00e+00 | 2COL4A1, COL4A2 |
12 |
GOBP_CELLULAR_COMPONENT_ASSEMBLY_INVOLVED_IN_MORPHOGENESIS | 4.46e-05 | 14.61 | 4.43 | 3.71e-02 | 3.34e-01 | 5MYH11, PDGFRB, TPM1, LMOD1, LDB3 |
100 |
GOBP_STRIATED_MUSCLE_CELL_DEVELOPMENT | 5.14e-05 | 14.17 | 4.30 | 3.84e-02 | 3.84e-01 | 5MYH11, PDGFRB, TPM1, LMOD1, LDB3 |
103 |
GOBP_COLLAGEN_ACTIVATED_SIGNALING_PATHWAY | 1.58e-03 | 39.95 | 4.27 | 4.91e-01 | 1.00e+00 | 2COL4A1, COL4A2 |
15 |
GOBP_MUSCLE_SYSTEM_PROCESS | 1.01e-07 | 8.95 | 4.23 | 2.51e-04 | 7.54e-04 | 12ACTA2, MYL9, MYH11, MYLK, CALD1, TPM2, TPM1, LMOD1, ACTG2, PLN, EDNRB, ITGA1 |
453 |
GOBP_GLOMERULAR_MESANGIUM_DEVELOPMENT | 1.80e-03 | 37.11 | 3.99 | 5.38e-01 | 1.00e+00 | 2ACTA2, PDGFRB |
16 |
GOBP_RETINA_VASCULATURE_DEVELOPMENT_IN_CAMERA_TYPE_EYE | 2.28e-03 | 32.49 | 3.53 | 6.31e-01 | 1.00e+00 | 2COL4A1, PDGFRB |
18 |
GOBP_CIRCULATORY_SYSTEM_DEVELOPMENT | 4.48e-08 | 6.27 | 3.30 | 1.67e-04 | 3.35e-04 | 18ACTA2, MYH11, MYLK, CALD1, MCAM, EPAS1, COL18A1, ENPEP, ADAMTS1, COL4A1, COL4A2, PDGFRB, TPM1, PLN, CPE, MFGE8, CSPG4, LDB3 |
1140 |
GOBP_POSITIVE_REGULATION_OF_PHOSPHOPROTEIN_PHOSPHATASE_ACTIVITY | 3.10e-03 | 27.37 | 3.01 | 8.00e-01 | 1.00e+00 | 2PDGFRB, ITGA1 |
21 |
GOBP_SMOOTH_MUSCLE_CONTRACTION | 6.41e-04 | 11.32 | 2.90 | 2.40e-01 | 1.00e+00 | 4ACTA2, MYH11, MYLK, EDNRB |
100 |
GOBP_BLOOD_VESSEL_MORPHOGENESIS | 5.92e-06 | 5.94 | 2.81 | 6.33e-03 | 4.43e-02 | 12MYLK, CALD1, MCAM, EPAS1, COL18A1, ENPEP, ADAMTS1, COL4A1, COL4A2, PDGFRB, MFGE8, CSPG4 |
677 |
GOBP_VASCULATURE_DEVELOPMENT | 4.35e-06 | 5.69 | 2.76 | 5.43e-03 | 3.26e-02 | 13ACTA2, MYLK, CALD1, MCAM, EPAS1, COL18A1, ENPEP, ADAMTS1, COL4A1, COL4A2, PDGFRB, MFGE8, CSPG4 |
786 |
GOBP_ANATOMICAL_STRUCTURE_FORMATION_INVOLVED_IN_MORPHOGENESIS | 1.60e-06 | 5.23 | 2.69 | 2.99e-03 | 1.20e-02 | 16MYH11, CALD1, MCAM, EPAS1, COL18A1, ENPEP, ADAMTS1, COL4A1, CD36, COL4A2, PDGFRB, TPM1, LMOD1, MFGE8, CSPG4, LDB3 |
1142 |
GOBP_VASCULAR_ASSOCIATED_SMOOTH_MUSCLE_CONTRACTION | 4.05e-03 | 23.65 | 2.62 | 8.90e-01 | 1.00e+00 | 2ACTA2, EDNRB |
24 |
GOBP_GLOMERULUS_DEVELOPMENT | 1.88e-03 | 13.52 | 2.62 | 5.41e-01 | 1.00e+00 | 3ACTA2, ENPEP, PDGFRB |
62 |
GOBP_MUSCLE_CELL_DEVELOPMENT | 4.97e-04 | 8.52 | 2.61 | 2.06e-01 | 1.00e+00 | 5MYH11, PDGFRB, TPM1, LMOD1, LDB3 |
168 |
GOBP_EXTERNAL_ENCAPSULATING_STRUCTURE_ORGANIZATION | 1.24e-04 | 6.14 | 2.47 | 7.16e-02 | 9.31e-01 | 8ADAMTS4, MYH11, COL18A1, ADAMTS1, COL4A1, COL4A2, CRISPLD2, ITGA1 |
396 |
Dowload full table
Immunological Gene Sets:
P-value | OR | Lower 95% CI | FDR | FWER | Genes Found | Gene Set Size | |
---|---|---|---|---|---|---|---|
GSE2405_HEAT_KILLED_LYSATE_VS_LIVE_A_PHAGOCYTOPHILUM_STIM_NEUTROPHIL_24H_UP | 9.73e-07 | 12.40 | 4.96 | 4.74e-03 | 4.74e-03 | 8RGS5, MYH11, TPM2, TAGLN, COL4A2, PARM1, ACTG2, MFGE8 |
200 |
GSE24574_BCL6_HIGH_TFH_VS_TCONV_CD4_TCELL_DN | 1.17e-04 | 8.88 | 3.05 | 1.51e-01 | 5.71e-01 | 6CALD1, ENPEP, GUCY1A2, PDK4, PARM1, CPE |
198 |
GSE5589_WT_VS_IL6_KO_LPS_AND_IL6_STIM_MACROPHAGE_45MIN_DN | 1.20e-04 | 8.83 | 3.04 | 1.51e-01 | 5.86e-01 | 6COL4A1, CD36, COL4A2, AOC3, CPE, CSPG4 |
199 |
GSE2405_0H_VS_3H_A_PHAGOCYTOPHILUM_STIM_NEUTROPHIL_UP | 1.24e-04 | 8.78 | 3.02 | 1.51e-01 | 6.03e-01 | 6MYH11, COL4A1, ACTG2, MFGE8, DSTN, IGFBP7 |
200 |
GSE9006_HEALTHY_VS_TYPE_1_DIABETES_PBMC_AT_DX_UP | 1.03e-03 | 7.19 | 2.20 | 6.57e-01 | 1.00e+00 | 5MYL9, MYLK, TPM1, LPP, IGFBP7 |
198 |
GSE6259_FLT3L_INDUCED_DEC205_POS_DC_VS_CD4_TCELL_DN | 1.78e-03 | 8.49 | 2.19 | 9.65e-01 | 1.00e+00 | 4EPAS1, GUCY1A2, PDGFRB, CSPG4 |
132 |
GSE22886_DC_VS_MONOCYTE_UP | 1.08e-03 | 7.12 | 2.18 | 6.57e-01 | 1.00e+00 | 5MYL9, EPAS1, LPP, FILIP1L, TNS1 |
200 |
GSE19888_CTRL_VS_TCELL_MEMBRANES_ACT_MAST_CELL_PRETREAT_A3R_INH_UP | 1.08e-03 | 7.12 | 2.18 | 6.57e-01 | 1.00e+00 | 5RGS5, ENPEP, ABCC9, EDNRB, RCAN2 |
200 |
GSE33162_HDAC3_KO_VS_HDAC3_KO_4H_LPS_STIM_MACROPHAGE_DN | 1.08e-03 | 7.12 | 2.18 | 6.57e-01 | 1.00e+00 | 5MYLK, EPAS1, EFHD1, LMOD1, STEAP4 |
200 |
GSE37605_FOXP3_FUSION_GFP_VS_IRES_GFP_TREG_C57BL6_DN | 4.96e-03 | 6.32 | 1.63 | 1.00e+00 | 1.00e+00 | 4TAGLN, ADAMTS1, PDK4, TNS1 |
176 |
GSE21360_TERTIARY_VS_QUATERNARY_MEMORY_CD8_TCELL_DN | 5.06e-03 | 6.28 | 1.62 | 1.00e+00 | 1.00e+00 | 4CD36, LPP, IGFBP7, SLC7A2 |
177 |
GSE9509_10MIN_VS_30MIN_LPS_STIM_IL10_KO_MACROPHAGE_DN | 6.95e-03 | 5.72 | 1.48 | 1.00e+00 | 1.00e+00 | 4ADAMTS4, MYLK, RNF152, AOC3 |
194 |
GSE25088_WT_VS_STAT6_KO_MACROPHAGE_ROSIGLITAZONE_AND_IL4_STIM_DN | 7.20e-03 | 5.66 | 1.47 | 1.00e+00 | 1.00e+00 | 4ACTA2, MYL9, IGFBP7, RCAN2 |
196 |
GSE11057_PBMC_VS_MEM_CD4_TCELL_UP | 7.32e-03 | 5.63 | 1.46 | 1.00e+00 | 1.00e+00 | 4MYL9, STEAP4, IGFBP7, CRISPLD2 |
197 |
GSE9006_TYPE_1_DIABETES_AT_DX_VS_1MONTH_POST_DX_PBMC_DN | 7.32e-03 | 5.63 | 1.46 | 1.00e+00 | 1.00e+00 | 4RGS5, MYL9, LPP, RCAN2 |
197 |
GSE360_DC_VS_MAC_T_GONDII_UP | 7.45e-03 | 5.60 | 1.45 | 1.00e+00 | 1.00e+00 | 4TPM1, PARM1, ACTG2, LDB3 |
198 |
GSE4142_PLASMA_CELL_VS_MEMORY_BCELL_UP | 7.58e-03 | 5.57 | 1.44 | 1.00e+00 | 1.00e+00 | 4RGS5, MYH11, PDK4, SLC7A2 |
199 |
GSE22229_UNTREATED_VS_IMMUNOSUPP_THERAPY_RENAL_TRANSPLANT_PATIENT_PBMC_DN | 7.58e-03 | 5.57 | 1.44 | 1.00e+00 | 1.00e+00 | 4COL4A1, COL4A2, PARM1, TNS1 |
199 |
GSE21379_WT_VS_SAP_KO_CD4_TCELL_DN | 7.58e-03 | 5.57 | 1.44 | 1.00e+00 | 1.00e+00 | 4ENPEP, EFHD1, STEAP4, RCAN2 |
199 |
GSE19941_UNSTIM_VS_LPS_AND_IL10_STIM_IL10_KO_MACROPHAGE_UP | 7.58e-03 | 5.57 | 1.44 | 1.00e+00 | 1.00e+00 | 4MYL9, PDGFRB, ABCC9, EDNRB |
199 |
Top Ranked Transcription Factors for this Gene Expression Program:
Gene Symbol | TF Rank | DNA Binding Domain | Motif Status | IUPAC PWM | GTEx | DepMap | Decartes |
---|---|---|---|---|---|---|---|
NOTCH3 | 1 | No | Unlikely to be sequence specific TF | Not a DNA binding protein | No motif | None | Fragment of NOTCH. Is a coactivator. |
EPAS1 | 12 | Yes | Known motif | Monomer or homomultimer | In vivo/Misc source | Only known motifs are from Transfac or HocoMoco - origin is uncertain | None |
CD36 | 18 | No | Unlikely to be sequence specific TF | Not a DNA binding protein | No motif | None | None |
LPP | 28 | No | Unlikely to be sequence specific TF | Not a DNA binding protein | No motif | None | znfLIM is probably not a DNA binding domain (PMID: 8506279). The protein has been reported to be coactivator for ETV4 (PMID: 16738319). |
AGT | 57 | No | Unlikely to be sequence specific TF | Not a DNA binding protein | No motif | None | None |
HIPK2 | 69 | No | Unlikely to be sequence specific TF | Not a DNA binding protein | No motif | None | Transcriptional cofactor that can act as a coactivator or corepressor. Phosphorylates many transcription factors. (UniProt Q9H2X6) |
KLF9 | 77 | Yes | Known motif | Monomer or homomultimer | 100 perc ID - in vitro | None | None |
MYOCD | 81 | No | Unlikely to be sequence specific TF | Not a DNA binding protein | No motif | None | Transcriptional cofactor (PMID: 12640126) |
TBX2 | 87 | Yes | Known motif | Monomer or homomultimer | High-throughput in vitro | None | None |
ID4 | 93 | No | Unlikely to be sequence specific TF | Not a DNA binding protein | No motif | None | ID bHLH proteins lack the basic region and should not be able to bind DNA. The HT-SELEX motif for ID4 is likely by a co-precipitated protein or it is a contamination |
CDKN1A | 94 | No | Unlikely to be sequence specific TF | Not a DNA binding protein | No motif | None | None |
HEYL | 99 | Yes | Inferred motif | Monomer or homomultimer | High-throughput in vitro | None | None |
SNAI2 | 105 | Yes | Known motif | Monomer or homomultimer | High-throughput in vitro | None | None |
NFIL3 | 128 | Yes | Known motif | Monomer or homomultimer | High-throughput in vitro | None | None |
ARID5B | 130 | Yes | Known motif | Monomer or homomultimer | 100 perc ID - in vitro | Has a putative AT-hook | None |
CCDC3 | 155 | No | Unlikely to be sequence specific TF | Not a DNA binding protein | No motif | None | bZIP domain is truncated and lacks the DNA-contacting residues. |
TSC22D1 | 156 | Yes | Likely to be sequence specific TF | Monomer or homomultimer | No motif | None | TSC22D1 appears to homo- and heterodimerize with other TFs to affect transcription (PMID: 10488076). In vitro, it has been shown to bind GC-rich DNA sequences (PMID: 9022669) |
TGFB1I1 | 163 | No | Unlikely to be sequence specific TF | Not a DNA binding protein | No motif | None | Available evidence suggests that it acts as a co-factor |
MEF2C | 169 | Yes | Known motif | Monomer or homomultimer | High-throughput in vitro | None | None |
NFATC4 | 177 | Yes | Known motif | Monomer or homomultimer | High-throughput in vitro | None | None |
QQ Plot showing correlations with other GEPs in this dataset, calculated by Spearman correlation:
Interactive QQ-plot of gene loadings:
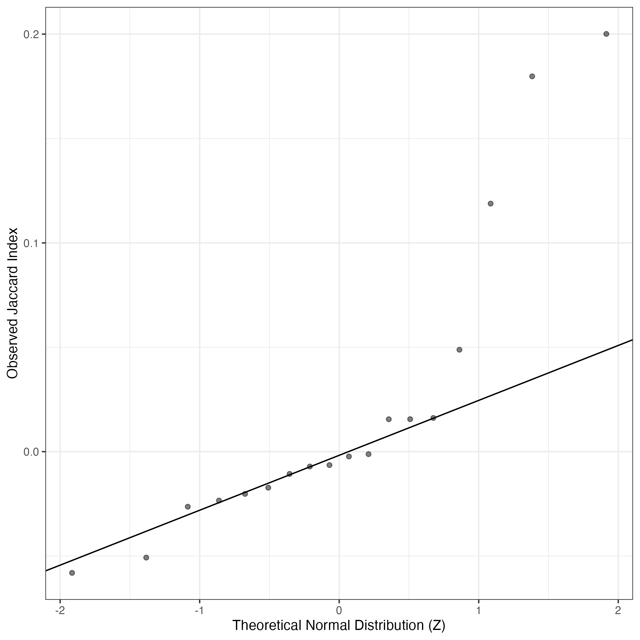
A similar QQ-plot as above, but only for instances where the H value is e.g. > 25, i.e. we are confident that the expression program is active above noise. Agreemenet between these binary vectors is tested using the Jaccard Index, with the P-values calculated by an exact test:
Interactive QQ-plot:
Singler cell type annotations for the top 50 cells on this program.
Cell ID | Singler label | Singler Delta | Activity Score | Top Singler Raw Scores |
---|---|---|---|---|
KK059-L12 | Tissue_stem_cells:BM_MSC:TGFb3 | 0.16 | 897.14 | Raw ScoresiPS_cells:CRL2097_foreskin: 0.46, Fibroblasts:breast: 0.45, iPS_cells:adipose_stem_cells: 0.45, Tissue_stem_cells:iliac_MSC: 0.44, Osteoblasts: 0.44, Tissue_stem_cells:BM_MSC:TGFb3: 0.44, MSC: 0.44, Fibroblasts:foreskin: 0.43, Smooth_muscle_cells:bronchial: 0.43, Chondrocytes:MSC-derived: 0.43 |
WK014-K9 | Tissue_stem_cells:BM_MSC:TGFb3 | 0.18 | 730.50 | Raw ScoresTissue_stem_cells:BM_MSC:TGFb3: 0.47, Tissue_stem_cells:BM_MSC:BMP2: 0.46, Osteoblasts:BMP2: 0.46, Smooth_muscle_cells:vascular:IL-17: 0.46, Osteoblasts: 0.45, Fibroblasts:breast: 0.45, iPS_cells:adipose_stem_cells: 0.45, iPS_cells:CRL2097_foreskin: 0.45, Smooth_muscle_cells:vascular: 0.45, Chondrocytes:MSC-derived: 0.45 |
WK097-O14 | Tissue_stem_cells:BM_MSC:BMP2 | 0.17 | 725.66 | Raw ScoresTissue_stem_cells:BM_MSC:BMP2: 0.5, Fibroblasts:breast: 0.49, iPS_cells:adipose_stem_cells: 0.49, Tissue_stem_cells:BM_MSC:TGFb3: 0.49, iPS_cells:CRL2097_foreskin: 0.49, Osteoblasts: 0.49, Osteoblasts:BMP2: 0.49, Tissue_stem_cells:iliac_MSC: 0.49, Smooth_muscle_cells:vascular:IL-17: 0.48, Smooth_muscle_cells:vascular: 0.48 |
WK074-I19 | Endothelial_cells:lymphatic | 0.19 | 663.06 | Raw ScoresEndothelial_cells:lymphatic:TNFa_48h: 0.52, Endothelial_cells:lymphatic: 0.52, Endothelial_cells:blood_vessel: 0.48, Endothelial_cells:HUVEC: 0.48, Endothelial_cells:HUVEC:Serum_Amyloid_A: 0.48, Endothelial_cells:lymphatic:KSHV: 0.47, Tissue_stem_cells:BM_MSC:BMP2: 0.47, Endothelial_cells:HUVEC:IL-1b: 0.47, Tissue_stem_cells:BM_MSC:TGFb3: 0.47, Endothelial_cells:HUVEC:VEGF: 0.47 |
WK014-I21 | Tissue_stem_cells:BM_MSC:TGFb3 | 0.17 | 628.43 | Raw ScoresTissue_stem_cells:BM_MSC:TGFb3: 0.48, Tissue_stem_cells:BM_MSC:BMP2: 0.47, iPS_cells:adipose_stem_cells: 0.47, Fibroblasts:breast: 0.47, Smooth_muscle_cells:vascular:IL-17: 0.47, Osteoblasts: 0.47, iPS_cells:CRL2097_foreskin: 0.47, Tissue_stem_cells:iliac_MSC: 0.47, Osteoblasts:BMP2: 0.46, Smooth_muscle_cells:vascular: 0.46 |
WK073-O2 | Smooth_muscle_cells:vascular:IL-17 | 0.14 | 620.24 | Raw ScoresTissue_stem_cells:BM_MSC:TGFb3: 0.42, Tissue_stem_cells:BM_MSC:BMP2: 0.41, Fibroblasts:breast: 0.41, Smooth_muscle_cells:vascular:IL-17: 0.41, Smooth_muscle_cells:vascular: 0.4, iPS_cells:CRL2097_foreskin: 0.4, iPS_cells:adipose_stem_cells: 0.4, Osteoblasts: 0.4, Chondrocytes:MSC-derived: 0.4, Osteoblasts:BMP2: 0.4 |
KK052-K12 | Endothelial_cells:HUVEC:Borrelia_burgdorferi | 0.14 | 595.17 | Raw ScoresFibroblasts:breast: 0.47, Endothelial_cells:lymphatic:TNFa_48h: 0.47, Endothelial_cells:lymphatic: 0.46, iPS_cells:CRL2097_foreskin: 0.46, iPS_cells:adipose_stem_cells: 0.46, Tissue_stem_cells:BM_MSC:TGFb3: 0.46, Smooth_muscle_cells:vascular: 0.46, Osteoblasts: 0.45, Endothelial_cells:HUVEC:VEGF: 0.45, Tissue_stem_cells:iliac_MSC: 0.45 |
WK012-K20 | Tissue_stem_cells:BM_MSC:BMP2 | 0.21 | 587.56 | Raw ScoresTissue_stem_cells:BM_MSC:TGFb3: 0.49, Fibroblasts:breast: 0.49, iPS_cells:adipose_stem_cells: 0.49, Tissue_stem_cells:BM_MSC:BMP2: 0.49, Osteoblasts: 0.48, Chondrocytes:MSC-derived: 0.48, Tissue_stem_cells:iliac_MSC: 0.48, iPS_cells:CRL2097_foreskin: 0.48, Smooth_muscle_cells:bronchial: 0.47, Smooth_muscle_cells:vascular: 0.47 |
WK032-M9 | Tissue_stem_cells:BM_MSC:BMP2 | 0.16 | 535.66 | Raw ScoresTissue_stem_cells:BM_MSC:TGFb3: 0.46, Tissue_stem_cells:BM_MSC:BMP2: 0.45, iPS_cells:CRL2097_foreskin: 0.45, iPS_cells:adipose_stem_cells: 0.44, Osteoblasts:BMP2: 0.44, Osteoblasts: 0.44, Fibroblasts:breast: 0.44, Smooth_muscle_cells:vascular:IL-17: 0.44, Tissue_stem_cells:iliac_MSC: 0.44, Smooth_muscle_cells:vascular: 0.44 |
TM38-M16 | Smooth_muscle_cells:vascular:IL-17 | 0.14 | 483.99 | Raw ScoresTissue_stem_cells:BM_MSC:TGFb3: 0.4, Smooth_muscle_cells:vascular:IL-17: 0.4, iPS_cells:CRL2097_foreskin: 0.4, Fibroblasts:breast: 0.39, iPS_cells:adipose_stem_cells: 0.39, Tissue_stem_cells:BM_MSC:BMP2: 0.39, Chondrocytes:MSC-derived: 0.39, Osteoblasts: 0.39, Smooth_muscle_cells:vascular: 0.39, Tissue_stem_cells:iliac_MSC: 0.39 |
KK059-H19 | MSC | 0.18 | 469.31 | Raw ScoresMSC: 0.48, Fibroblasts:breast: 0.47, iPS_cells:adipose_stem_cells: 0.47, iPS_cells:CRL2097_foreskin: 0.47, Neurons:Schwann_cell: 0.47, Fibroblasts:foreskin: 0.46, iPS_cells:skin_fibroblast: 0.46, Smooth_muscle_cells:vascular: 0.46, iPS_cells:foreskin_fibrobasts: 0.46, Tissue_stem_cells:lipoma-derived_MSC: 0.46 |
WK100-F4 | Tissue_stem_cells:BM_MSC:TGFb3 | 0.16 | 464.34 | Raw ScoresTissue_stem_cells:BM_MSC:TGFb3: 0.44, Tissue_stem_cells:BM_MSC:BMP2: 0.43, Chondrocytes:MSC-derived: 0.42, Osteoblasts:BMP2: 0.42, Osteoblasts: 0.42, iPS_cells:CRL2097_foreskin: 0.42, Smooth_muscle_cells:vascular:IL-17: 0.41, iPS_cells:adipose_stem_cells: 0.41, Tissue_stem_cells:BM_MSC: 0.41, Tissue_stem_cells:iliac_MSC: 0.41 |
WK014-K13 | Tissue_stem_cells:BM_MSC:TGFb3 | 0.15 | 456.76 | Raw ScoresTissue_stem_cells:BM_MSC:TGFb3: 0.37, Smooth_muscle_cells:vascular:IL-17: 0.37, Tissue_stem_cells:BM_MSC:BMP2: 0.37, iPS_cells:adipose_stem_cells: 0.36, Tissue_stem_cells:BM_MSC: 0.36, Fibroblasts:breast: 0.36, Smooth_muscle_cells:vascular: 0.35, Chondrocytes:MSC-derived: 0.35, iPS_cells:CRL2097_foreskin: 0.35, Osteoblasts:BMP2: 0.35 |
KK059-D17 | Tissue_stem_cells:BM_MSC:TGFb3 | 0.15 | 449.23 | Raw ScoresiPS_cells:CRL2097_foreskin: 0.41, Fibroblasts:breast: 0.41, iPS_cells:adipose_stem_cells: 0.41, Smooth_muscle_cells:bronchial: 0.41, Tissue_stem_cells:BM_MSC:TGFb3: 0.41, Osteoblasts: 0.41, Chondrocytes:MSC-derived: 0.41, Tissue_stem_cells:iliac_MSC: 0.4, Smooth_muscle_cells:bronchial:vit_D: 0.4, MSC: 0.4 |
WK065-B6 | Tissue_stem_cells:BM_MSC:TGFb3 | 0.17 | 442.41 | Raw ScoresTissue_stem_cells:BM_MSC:TGFb3: 0.43, Fibroblasts:breast: 0.43, iPS_cells:adipose_stem_cells: 0.43, iPS_cells:CRL2097_foreskin: 0.43, Chondrocytes:MSC-derived: 0.43, Tissue_stem_cells:BM_MSC:BMP2: 0.43, Osteoblasts: 0.42, Tissue_stem_cells:iliac_MSC: 0.42, Osteoblasts:BMP2: 0.42, Smooth_muscle_cells:bronchial: 0.42 |
WK097-C5 | Tissue_stem_cells:BM_MSC:BMP2 | 0.17 | 429.02 | Raw ScoresTissue_stem_cells:BM_MSC:TGFb3: 0.45, Fibroblasts:breast: 0.45, Tissue_stem_cells:BM_MSC:BMP2: 0.45, iPS_cells:adipose_stem_cells: 0.45, iPS_cells:CRL2097_foreskin: 0.45, Osteoblasts: 0.45, Osteoblasts:BMP2: 0.44, Smooth_muscle_cells:vascular:IL-17: 0.44, Smooth_muscle_cells:vascular: 0.44, Tissue_stem_cells:BM_MSC: 0.44 |
WK074-B21 | Tissue_stem_cells:BM_MSC:BMP2 | 0.16 | 424.24 | Raw ScoresiPS_cells:adipose_stem_cells: 0.43, Tissue_stem_cells:BM_MSC:TGFb3: 0.43, Tissue_stem_cells:BM_MSC:BMP2: 0.43, Fibroblasts:breast: 0.43, Osteoblasts: 0.42, Smooth_muscle_cells:bronchial: 0.42, Smooth_muscle_cells:vascular:IL-17: 0.42, iPS_cells:CRL2097_foreskin: 0.42, Smooth_muscle_cells:vascular: 0.42, Osteoblasts:BMP2: 0.41 |
WK012-H17 | Tissue_stem_cells:BM_MSC:BMP2 | 0.16 | 407.96 | Raw ScoresTissue_stem_cells:BM_MSC:TGFb3: 0.43, Tissue_stem_cells:BM_MSC:BMP2: 0.42, Smooth_muscle_cells:vascular:IL-17: 0.42, Smooth_muscle_cells:vascular: 0.41, Osteoblasts: 0.41, iPS_cells:adipose_stem_cells: 0.41, Tissue_stem_cells:BM_MSC: 0.41, Fibroblasts:breast: 0.41, Osteoblasts:BMP2: 0.41, Chondrocytes:MSC-derived: 0.41 |
KK002-I4 | Tissue_stem_cells:BM_MSC:TGFb3 | 0.14 | 406.20 | Raw ScoresiPS_cells:CRL2097_foreskin: 0.38, Tissue_stem_cells:BM_MSC:TGFb3: 0.37, Fibroblasts:breast: 0.37, iPS_cells:adipose_stem_cells: 0.37, Tissue_stem_cells:BM_MSC:BMP2: 0.37, Smooth_muscle_cells:bronchial: 0.37, Tissue_stem_cells:iliac_MSC: 0.37, Osteoblasts: 0.37, Smooth_muscle_cells:bronchial:vit_D: 0.36, Fibroblasts:foreskin: 0.36 |
WK032-G18 | Tissue_stem_cells:BM_MSC:BMP2 | 0.17 | 395.25 | Raw ScoresTissue_stem_cells:BM_MSC:TGFb3: 0.43, iPS_cells:adipose_stem_cells: 0.42, Fibroblasts:breast: 0.42, Smooth_muscle_cells:vascular:IL-17: 0.42, Tissue_stem_cells:BM_MSC:BMP2: 0.42, Osteoblasts:BMP2: 0.41, iPS_cells:CRL2097_foreskin: 0.41, Osteoblasts: 0.41, Smooth_muscle_cells:vascular: 0.41, Tissue_stem_cells:BM_MSC: 0.4 |
WK012-F3 | Endothelial_cells:blood_vessel | 0.20 | 391.86 | Raw ScoresEndothelial_cells:lymphatic:TNFa_48h: 0.57, Endothelial_cells:lymphatic: 0.56, Endothelial_cells:blood_vessel: 0.55, Endothelial_cells:lymphatic:KSHV: 0.55, Endothelial_cells:HUVEC: 0.54, Endothelial_cells:HUVEC:Serum_Amyloid_A: 0.54, Endothelial_cells:HUVEC:VEGF: 0.53, Endothelial_cells:HUVEC:IL-1b: 0.53, Endothelial_cells:HUVEC:B._anthracis_LT: 0.53, Endothelial_cells:HUVEC:PR8-infected: 0.53 |
KK001-F1 | Tissue_stem_cells:BM_MSC:TGFb3 | 0.16 | 383.33 | Raw ScoresFibroblasts:breast: 0.39, iPS_cells:adipose_stem_cells: 0.39, Tissue_stem_cells:BM_MSC:TGFb3: 0.38, Osteoblasts: 0.38, iPS_cells:CRL2097_foreskin: 0.38, Tissue_stem_cells:BM_MSC:BMP2: 0.38, Tissue_stem_cells:iliac_MSC: 0.38, Chondrocytes:MSC-derived: 0.37, Smooth_muscle_cells:vascular: 0.37, MSC: 0.37 |
WK012-E3 | Tissue_stem_cells:BM_MSC:BMP2 | 0.21 | 377.89 | Raw ScoresFibroblasts:breast: 0.51, iPS_cells:CRL2097_foreskin: 0.5, iPS_cells:adipose_stem_cells: 0.5, Osteoblasts: 0.5, Tissue_stem_cells:BM_MSC:TGFb3: 0.5, Osteoblasts:BMP2: 0.5, Tissue_stem_cells:BM_MSC:BMP2: 0.5, Smooth_muscle_cells:vascular: 0.49, Tissue_stem_cells:BM_MSC: 0.49, Smooth_muscle_cells:vascular:IL-17: 0.49 |
WK036-P8 | Tissue_stem_cells:BM_MSC:BMP2 | 0.21 | 374.69 | Raw ScoresTissue_stem_cells:BM_MSC:TGFb3: 0.51, iPS_cells:adipose_stem_cells: 0.51, Tissue_stem_cells:BM_MSC:BMP2: 0.51, Fibroblasts:breast: 0.51, Osteoblasts: 0.5, Smooth_muscle_cells:vascular:IL-17: 0.5, Osteoblasts:BMP2: 0.5, Smooth_muscle_cells:vascular: 0.5, iPS_cells:CRL2097_foreskin: 0.49, Tissue_stem_cells:BM_MSC: 0.49 |
WK014-L6 | Tissue_stem_cells:BM_MSC:TGFb3 | 0.17 | 364.14 | Raw ScoresTissue_stem_cells:BM_MSC:TGFb3: 0.43, iPS_cells:adipose_stem_cells: 0.42, Smooth_muscle_cells:vascular:IL-17: 0.42, Tissue_stem_cells:BM_MSC:BMP2: 0.42, Fibroblasts:breast: 0.42, Smooth_muscle_cells:vascular: 0.41, iPS_cells:CRL2097_foreskin: 0.41, Osteoblasts: 0.41, Osteoblasts:BMP2: 0.41, Tissue_stem_cells:BM_MSC: 0.41 |
WK036-J2 | Endothelial_cells:blood_vessel | 0.18 | 339.71 | Raw ScoresEndothelial_cells:lymphatic: 0.49, Endothelial_cells:lymphatic:TNFa_48h: 0.49, Endothelial_cells:blood_vessel: 0.49, Endothelial_cells:HUVEC: 0.48, Endothelial_cells:lymphatic:KSHV: 0.48, Endothelial_cells:HUVEC:Serum_Amyloid_A: 0.48, Endothelial_cells:HUVEC:IFNg: 0.47, Endothelial_cells:HUVEC:PR8-infected: 0.47, Endothelial_cells:HUVEC:VEGF: 0.47, Endothelial_cells:HUVEC:IL-1b: 0.47 |
WK012-N19 | Endothelial_cells:blood_vessel | 0.19 | 335.41 | Raw ScoresEndothelial_cells:lymphatic:TNFa_48h: 0.49, Endothelial_cells:lymphatic: 0.49, Endothelial_cells:lymphatic:KSHV: 0.49, Endothelial_cells:blood_vessel: 0.48, Endothelial_cells:HUVEC: 0.48, Endothelial_cells:HUVEC:Serum_Amyloid_A: 0.48, Endothelial_cells:HUVEC:IL-1b: 0.47, Endothelial_cells:HUVEC:VEGF: 0.46, Endothelial_cells:HUVEC:B._anthracis_LT: 0.46, Endothelial_cells:HUVEC:PR8-infected: 0.45 |
WK012-F16 | Tissue_stem_cells:BM_MSC:BMP2 | 0.18 | 333.15 | Raw ScoresTissue_stem_cells:BM_MSC:TGFb3: 0.46, Tissue_stem_cells:BM_MSC:BMP2: 0.45, iPS_cells:adipose_stem_cells: 0.45, Smooth_muscle_cells:vascular:IL-17: 0.44, Fibroblasts:breast: 0.44, Osteoblasts: 0.44, iPS_cells:CRL2097_foreskin: 0.44, Smooth_muscle_cells:vascular: 0.44, Tissue_stem_cells:iliac_MSC: 0.44, Osteoblasts:BMP2: 0.44 |
WK014-O15 | Tissue_stem_cells:BM_MSC:BMP2 | 0.13 | 315.90 | Raw ScoresTissue_stem_cells:BM_MSC:TGFb3: 0.39, Smooth_muscle_cells:vascular:IL-17: 0.38, Tissue_stem_cells:BM_MSC:BMP2: 0.38, Fibroblasts:breast: 0.38, iPS_cells:adipose_stem_cells: 0.37, iPS_cells:CRL2097_foreskin: 0.37, Smooth_muscle_cells:vascular: 0.37, Tissue_stem_cells:iliac_MSC: 0.37, Osteoblasts:BMP2: 0.37, Osteoblasts: 0.37 |
WK016-I11 | Tissue_stem_cells:BM_MSC:BMP2 | 0.14 | 314.67 | Raw ScoresTissue_stem_cells:BM_MSC:TGFb3: 0.36, Osteoblasts: 0.36, Tissue_stem_cells:BM_MSC:BMP2: 0.36, Tissue_stem_cells:iliac_MSC: 0.35, Smooth_muscle_cells:bronchial: 0.35, Fibroblasts:breast: 0.35, iPS_cells:CRL2097_foreskin: 0.35, iPS_cells:adipose_stem_cells: 0.35, Osteoblasts:BMP2: 0.35, Smooth_muscle_cells:bronchial:vit_D: 0.35 |
WK012-N8 | Chondrocytes:MSC-derived | 0.14 | 313.06 | Raw ScoresTissue_stem_cells:BM_MSC:TGFb3: 0.36, Chondrocytes:MSC-derived: 0.36, Osteoblasts: 0.36, Smooth_muscle_cells:vascular:IL-17: 0.36, iPS_cells:CRL2097_foreskin: 0.36, iPS_cells:adipose_stem_cells: 0.35, Tissue_stem_cells:BM_MSC:BMP2: 0.35, Osteoblasts:BMP2: 0.35, Tissue_stem_cells:iliac_MSC: 0.35, Smooth_muscle_cells:vascular: 0.35 |
WK014-P4 | Endothelial_cells:blood_vessel | 0.19 | 307.61 | Raw ScoresEndothelial_cells:lymphatic:TNFa_48h: 0.51, Endothelial_cells:lymphatic: 0.51, Endothelial_cells:blood_vessel: 0.5, Endothelial_cells:lymphatic:KSHV: 0.49, Endothelial_cells:HUVEC:Serum_Amyloid_A: 0.49, Endothelial_cells:HUVEC: 0.49, Endothelial_cells:HUVEC:IL-1b: 0.49, Endothelial_cells:HUVEC:VEGF: 0.48, Endothelial_cells:HUVEC:B._anthracis_LT: 0.47, Endothelial_cells:HUVEC:PR8-infected: 0.47 |
WK020-L9 | Tissue_stem_cells:BM_MSC:BMP2 | 0.14 | 303.57 | Raw ScoresTissue_stem_cells:BM_MSC:BMP2: 0.37, iPS_cells:CRL2097_foreskin: 0.36, iPS_cells:adipose_stem_cells: 0.36, Fibroblasts:breast: 0.36, Osteoblasts:BMP2: 0.36, Osteoblasts: 0.36, Tissue_stem_cells:BM_MSC:TGFb3: 0.36, Tissue_stem_cells:iliac_MSC: 0.35, Smooth_muscle_cells:bronchial: 0.35, Tissue_stem_cells:BM_MSC: 0.35 |
KK052-H23 | Tissue_stem_cells:BM_MSC:TGFb3 | 0.17 | 298.01 | Raw ScoresFibroblasts:breast: 0.39, Tissue_stem_cells:BM_MSC:TGFb3: 0.39, iPS_cells:adipose_stem_cells: 0.39, Tissue_stem_cells:iliac_MSC: 0.39, iPS_cells:CRL2097_foreskin: 0.38, Osteoblasts: 0.38, Tissue_stem_cells:BM_MSC:BMP2: 0.38, Smooth_muscle_cells:bronchial: 0.38, Osteoblasts:BMP2: 0.38, Smooth_muscle_cells:vascular: 0.38 |
KK001-I20 | Fibroblasts:breast | 0.16 | 279.83 | Raw ScoresMSC: 0.46, iPS_cells:adipose_stem_cells: 0.46, Fibroblasts:breast: 0.45, iPS_cells:CRL2097_foreskin: 0.45, Smooth_muscle_cells:vascular: 0.45, Tissue_stem_cells:BM_MSC: 0.45, Fibroblasts:foreskin: 0.45, Tissue_stem_cells:BM_MSC:BMP2: 0.44, Neurons:Schwann_cell: 0.44, Tissue_stem_cells:BM_MSC:TGFb3: 0.44 |
WK014-D3 | Endothelial_cells:blood_vessel | 0.17 | 269.98 | Raw ScoresEndothelial_cells:lymphatic:TNFa_48h: 0.41, Endothelial_cells:lymphatic: 0.41, Endothelial_cells:blood_vessel: 0.41, Endothelial_cells:lymphatic:KSHV: 0.41, Endothelial_cells:HUVEC: 0.41, Endothelial_cells:HUVEC:Serum_Amyloid_A: 0.4, Endothelial_cells:HUVEC:VEGF: 0.4, Tissue_stem_cells:BM_MSC:TGFb3: 0.4, Endothelial_cells:HUVEC:IL-1b: 0.39, Tissue_stem_cells:BM_MSC:BMP2: 0.39 |
WK014-I8 | Tissue_stem_cells:iliac_MSC | 0.16 | 262.08 | Raw ScoresiPS_cells:adipose_stem_cells: 0.4, Fibroblasts:breast: 0.39, Tissue_stem_cells:iliac_MSC: 0.39, Osteoblasts: 0.39, Tissue_stem_cells:BM_MSC:TGFb3: 0.38, Smooth_muscle_cells:vascular: 0.38, MSC: 0.38, iPS_cells:CRL2097_foreskin: 0.38, Tissue_stem_cells:BM_MSC:BMP2: 0.38, Tissue_stem_cells:BM_MSC: 0.38 |
WK073-L17 | Tissue_stem_cells:BM_MSC:TGFb3 | 0.14 | 254.00 | Raw ScoresTissue_stem_cells:BM_MSC:TGFb3: 0.34, Tissue_stem_cells:BM_MSC:BMP2: 0.34, iPS_cells:adipose_stem_cells: 0.33, Smooth_muscle_cells:vascular:IL-17: 0.33, Smooth_muscle_cells:vascular: 0.33, Osteoblasts: 0.33, Tissue_stem_cells:iliac_MSC: 0.33, Fibroblasts:breast: 0.33, Osteoblasts:BMP2: 0.33, iPS_cells:CRL2097_foreskin: 0.33 |
WK079-L15 | Tissue_stem_cells:BM_MSC:TGFb3 | 0.15 | 251.60 | Raw ScoresTissue_stem_cells:BM_MSC:BMP2: 0.39, Tissue_stem_cells:BM_MSC:TGFb3: 0.39, iPS_cells:adipose_stem_cells: 0.38, Smooth_muscle_cells:bronchial: 0.38, Fibroblasts:breast: 0.38, Smooth_muscle_cells:vascular:IL-17: 0.37, Smooth_muscle_cells:bronchial:vit_D: 0.37, Osteoblasts: 0.37, Smooth_muscle_cells:vascular: 0.37, Chondrocytes:MSC-derived: 0.37 |
KK001-D10 | Tissue_stem_cells:BM_MSC:TGFb3 | 0.14 | 248.12 | Raw ScoresTissue_stem_cells:iliac_MSC: 0.38, Fibroblasts:breast: 0.38, iPS_cells:CRL2097_foreskin: 0.38, Tissue_stem_cells:BM_MSC:TGFb3: 0.38, iPS_cells:adipose_stem_cells: 0.38, Tissue_stem_cells:BM_MSC:BMP2: 0.38, Smooth_muscle_cells:bronchial: 0.38, Osteoblasts: 0.37, Smooth_muscle_cells:bronchial:vit_D: 0.37, Smooth_muscle_cells:vascular: 0.37 |
WK049-L13 | iPS_cells:adipose_stem_cells | 0.17 | 246.44 | Raw ScoresiPS_cells:adipose_stem_cells: 0.39, Fibroblasts:breast: 0.39, iPS_cells:CRL2097_foreskin: 0.38, Osteoblasts:BMP2: 0.37, Osteoblasts: 0.37, Tissue_stem_cells:BM_MSC:TGFb3: 0.37, Smooth_muscle_cells:vascular: 0.37, Chondrocytes:MSC-derived: 0.37, Smooth_muscle_cells:vascular:IL-17: 0.36, Smooth_muscle_cells:bronchial: 0.36 |
WK080-H16 | Tissue_stem_cells:BM_MSC:TGFb3 | 0.10 | 245.61 | Raw ScoresTissue_stem_cells:BM_MSC:TGFb3: 0.29, Tissue_stem_cells:BM_MSC:BMP2: 0.27, Smooth_muscle_cells:vascular:IL-17: 0.26, Fibroblasts:breast: 0.26, Tissue_stem_cells:iliac_MSC: 0.26, Osteoblasts: 0.26, iPS_cells:adipose_stem_cells: 0.26, Chondrocytes:MSC-derived: 0.26, Smooth_muscle_cells:vascular: 0.26, Neurons:Schwann_cell: 0.26 |
WK012-M12 | Tissue_stem_cells:BM_MSC:TGFb3 | 0.15 | 240.13 | Raw ScoresTissue_stem_cells:BM_MSC:TGFb3: 0.36, Fibroblasts:breast: 0.36, Tissue_stem_cells:iliac_MSC: 0.35, iPS_cells:adipose_stem_cells: 0.35, Tissue_stem_cells:BM_MSC:BMP2: 0.35, iPS_cells:CRL2097_foreskin: 0.35, Smooth_muscle_cells:vascular:IL-17: 0.34, Osteoblasts: 0.34, Chondrocytes:MSC-derived: 0.34, Osteoblasts:BMP2: 0.34 |
WK079-J19 | Tissue_stem_cells:BM_MSC:BMP2 | 0.18 | 236.55 | Raw ScoresTissue_stem_cells:BM_MSC:BMP2: 0.41, iPS_cells:adipose_stem_cells: 0.41, Tissue_stem_cells:BM_MSC:TGFb3: 0.41, Smooth_muscle_cells:vascular:IL-17: 0.41, Smooth_muscle_cells:vascular: 0.41, Osteoblasts: 0.41, Fibroblasts:breast: 0.41, iPS_cells:CRL2097_foreskin: 0.41, Chondrocytes:MSC-derived: 0.41, Tissue_stem_cells:BM_MSC: 0.4 |
WK036-J20 | Tissue_stem_cells:BM_MSC:TGFb3 | 0.16 | 233.75 | Raw ScoresTissue_stem_cells:BM_MSC:TGFb3: 0.41, Fibroblasts:breast: 0.41, Smooth_muscle_cells:vascular: 0.4, Smooth_muscle_cells:vascular:IL-17: 0.4, Chondrocytes:MSC-derived: 0.4, iPS_cells:adipose_stem_cells: 0.4, Tissue_stem_cells:BM_MSC:BMP2: 0.4, Tissue_stem_cells:BM_MSC: 0.4, Osteoblasts: 0.4, Osteoblasts:BMP2: 0.39 |
WK014-D20 | Smooth_muscle_cells:vascular:IL-17 | 0.14 | 233.26 | Raw ScoresTissue_stem_cells:BM_MSC:TGFb3: 0.36, Smooth_muscle_cells:vascular:IL-17: 0.36, iPS_cells:CRL2097_foreskin: 0.35, iPS_cells:adipose_stem_cells: 0.35, Tissue_stem_cells:BM_MSC:BMP2: 0.35, Fibroblasts:breast: 0.35, Chondrocytes:MSC-derived: 0.35, Tissue_stem_cells:BM_MSC: 0.35, Smooth_muscle_cells:vascular: 0.35, Osteoblasts: 0.35 |
WK073-B1 | Endothelial_cells:blood_vessel | 0.15 | 231.42 | Raw ScoresEndothelial_cells:lymphatic: 0.42, Endothelial_cells:lymphatic:TNFa_48h: 0.42, Endothelial_cells:blood_vessel: 0.41, Endothelial_cells:lymphatic:KSHV: 0.4, Endothelial_cells:HUVEC: 0.4, Tissue_stem_cells:BM_MSC:TGFb3: 0.39, Endothelial_cells:HUVEC:Serum_Amyloid_A: 0.39, Endothelial_cells:HUVEC:VEGF: 0.39, Tissue_stem_cells:BM_MSC:BMP2: 0.39, Endothelial_cells:HUVEC:IL-1b: 0.39 |
WK017-C6 | Endothelial_cells:lymphatic:TNFa_48h | 0.11 | 229.97 | Raw ScoresiPS_cells:adipose_stem_cells: 0.36, Tissue_stem_cells:BM_MSC:BMP2: 0.36, Smooth_muscle_cells:bronchial: 0.36, Fibroblasts:breast: 0.36, Osteoblasts: 0.36, Tissue_stem_cells:iliac_MSC: 0.36, iPS_cells:CRL2097_foreskin: 0.35, Tissue_stem_cells:BM_MSC:TGFb3: 0.35, Smooth_muscle_cells:bronchial:vit_D: 0.35, Smooth_muscle_cells:vascular: 0.35 |
WK012-L6 | Tissue_stem_cells:BM_MSC:BMP2 | 0.19 | 228.85 | Raw ScoresTissue_stem_cells:BM_MSC:TGFb3: 0.49, Smooth_muscle_cells:vascular:IL-17: 0.49, Fibroblasts:breast: 0.49, Tissue_stem_cells:BM_MSC:BMP2: 0.49, iPS_cells:adipose_stem_cells: 0.49, Smooth_muscle_cells:vascular: 0.48, Osteoblasts: 0.48, Osteoblasts:BMP2: 0.48, Chondrocytes:MSC-derived: 0.48, iPS_cells:CRL2097_foreskin: 0.48 |
TM37-H18 | Tissue_stem_cells:BM_MSC:TGFb3 | 0.15 | 226.28 | Raw ScoresTissue_stem_cells:BM_MSC:TGFb3: 0.42, Tissue_stem_cells:BM_MSC:BMP2: 0.41, iPS_cells:adipose_stem_cells: 0.41, Smooth_muscle_cells:vascular:IL-17: 0.41, Osteoblasts: 0.41, Smooth_muscle_cells:vascular: 0.41, Fibroblasts:breast: 0.4, Tissue_stem_cells:BM_MSC: 0.4, Tissue_stem_cells:iliac_MSC: 0.4, iPS_cells:CRL2097_foreskin: 0.4 |
Below shows the significant enrichments of this GEP for literature curated gene lists
This data was procured from existing single cell RNA-seq maps of neuroblastoma or related relevant data.
High ranks indicate this gene is a driver of this GEP.
These curated gene list are ranked by the P-value (on this GEP) of their constituent genes.
The Mean Count column shows the mean read count in cells scoring highly (H > 50) on this gene expression program.
Genes | Weight | Rank | GTEx | DepMap | Decartes | Mean.Counts | Mean.TPM |
---|---|---|---|---|---|---|---|
RGS5 | 0.0102950 | 2 | GTEx | DepMap | Descartes | 44.82 | 1941.28 |
ACTA2 | 0.0102396 | 3 | GTEx | DepMap | Descartes | 25.28 | 4742.88 |
MYL9 | 0.0098854 | 5 | GTEx | DepMap | Descartes | 11.53 | 1057.80 |
MYH11 | 0.0098162 | 6 | GTEx | DepMap | Descartes | 5.78 | 253.83 |
MYLK | 0.0098068 | 7 | GTEx | DepMap | Descartes | 6.17 | 154.64 |
TPM2 | 0.0081341 | 9 | GTEx | DepMap | Descartes | 6.11 | 1005.19 |
TAGLN | 0.0076236 | 11 | GTEx | DepMap | Descartes | 21.69 | 1517.90 |
COL4A1 | 0.0070518 | 16 | GTEx | DepMap | Descartes | 16.86 | 540.87 |
TPM1 | 0.0065753 | 24 | GTEx | DepMap | Descartes | 7.28 | 442.76 |
ACTG2 | 0.0061135 | 30 | GTEx | DepMap | Descartes | 2.13 | 286.53 |
IGFBP7 | 0.0054871 | 41 | GTEx | DepMap | Descartes | 90.37 | 14869.03 |
ITGA7 | 0.0050300 | 51 | GTEx | DepMap | Descartes | 1.59 | 118.27 |
BGN | 0.0040914 | 86 | GTEx | DepMap | Descartes | 25.62 | 2315.20 |
THY1 | 0.0040206 | 91 | GTEx | DepMap | Descartes | 4.98 | 220.84 |
TNC | 0.0035879 | 114 | GTEx | DepMap | Descartes | 4.52 | 126.72 |
MEF2C | 0.0027738 | 169 | GTEx | DepMap | Descartes | 1.31 | 41.45 |
PGF | 0.0026531 | 179 | GTEx | DepMap | Descartes | 0.78 | 60.12 |
COL12A1 | 0.0014977 | 417 | GTEx | DepMap | Descartes | 3.95 | 74.59 |
TGFB2 | 0.0012224 | 511 | GTEx | DepMap | Descartes | 0.65 | 29.32 |
FN1 | 0.0010430 | 603 | GTEx | DepMap | Descartes | 20.12 | 458.37 |
MMP11 | 0.0009027 | 706 | GTEx | DepMap | Descartes | 0.67 | 36.50 |
THBS1 | 0.0008802 | 726 | GTEx | DepMap | Descartes | 13.75 | 493.10 |
COL14A1 | 0.0008376 | 761 | GTEx | DepMap | Descartes | 7.66 | 224.03 |
VEGFA | 0.0006290 | 1000 | GTEx | DepMap | Descartes | 4.42 | 86.86 |
HOPX | 0.0005433 | 1132 | GTEx | DepMap | Descartes | 0.52 | 45.65 |
TGFBR1 | 0.0004226 | 1357 | GTEx | DepMap | Descartes | 1.08 | 36.35 |
TMEM119 | 0.0003760 | 1493 | GTEx | DepMap | Descartes | 1.41 | 106.08 |
COL5A2 | 0.0003646 | 1532 | GTEx | DepMap | Descartes | 2.91 | 91.63 |
COL13A1 | 0.0003198 | 1689 | GTEx | DepMap | Descartes | 0.04 | 2.66 |
THBS2 | 0.0001220 | 2736 | GTEx | DepMap | Descartes | 6.67 | 233.48 |
CNN3 | 0.0000369 | 3562 | GTEx | DepMap | Descartes | 2.41 | 283.82 |
COL5A1 | -0.0000186 | 4324 | GTEx | DepMap | Descartes | 4.83 | 118.84 |
POSTN | -0.0002251 | 8252 | GTEx | DepMap | Descartes | 5.59 | 309.13 |
VCAN | -0.0003269 | 9767 | GTEx | DepMap | Descartes | 7.64 | 130.59 |
COL10A1 | -0.0003809 | 10349 | GTEx | DepMap | Descartes | 0.38 | 22.13 |
WNT5A | -0.0003922 | 10458 | GTEx | DepMap | Descartes | 0.05 | 1.33 |
CNN2 | -0.0004806 | 11131 | GTEx | DepMap | Descartes | 1.68 | 147.46 |
IGFBP3 | -0.0005971 | 11687 | GTEx | DepMap | Descartes | 1.35 | 121.68 |
TGFB1 | -0.0006353 | 11793 | GTEx | DepMap | Descartes | 0.71 | 61.47 |
COL1A2 | -0.0006756 | 11903 | GTEx | DepMap | Descartes | 36.53 | 1254.37 |
COL11A1 | -0.0007002 | 11987 | GTEx | DepMap | Descartes | 0.11 | 2.01 |
COL15A1 | -0.0007879 | 12155 | GTEx | DepMap | Descartes | 2.07 | 67.19 |
COL1A1 | -0.0008282 | 12222 | GTEx | DepMap | Descartes | 77.29 | 2593.54 |
COL3A1 | -0.0009223 | 12325 | GTEx | DepMap | Descartes | 40.12 | 1509.56 |
COL8A1 | -0.0010674 | 12422 | GTEx | DepMap | Descartes | 1.97 | 67.70 |
MMP2 | -0.0012325 | 12487 | GTEx | DepMap | Descartes | 2.34 | 126.83 |
TGFBR2 | -0.0015196 | 12532 | GTEx | DepMap | Descartes | 1.51 | 52.48 |
LUM | -0.0019873 | 12547 | GTEx | DepMap | Descartes | 6.44 | 471.80 |
DCN | -0.0023171 | 12549 | GTEx | DepMap | Descartes | 10.13 | 309.47 |
Myofibroblasts (Jansky)
Mentioned in the main text (Jansky et al, Nature Genetics (2021)), page 1, that ACTA2+ Myofibroblasts were identified in their fetal adrenal glands, this is also highlighted in the UMAP plot on their Fig 1B. Additional genes also shown in their Extended data Figure 2D.:
Wilcoxon ranksum test P-value for gene set overrepresentation: 1.36e-03
Mean rank of genes in gene set: 6.67
Rank on gene expression program of genes in gene set:
Genes | Weight | Rank | GTEx | DepMap | Decartes | Mean.Counts | Mean.TPM |
---|---|---|---|---|---|---|---|
ACTA2 | 0.0102396 | 3 | GTEx | DepMap | Descartes | 25.28 | 4742.88 |
MYH11 | 0.0098162 | 6 | GTEx | DepMap | Descartes | 5.78 | 253.83 |
TAGLN | 0.0076236 | 11 | GTEx | DepMap | Descartes | 21.69 | 1517.90 |
EMT I melanoma (Kinker)
These marker genes were obtained in a pan cancer cell lines NMF analysis of scRNA-eq data in Kinker et al (PMID 33128048) - 10 metaprograms were recovered that manifest across cancers, this EMT program was melanoma specific.:
Wilcoxon ranksum test P-value for gene set overrepresentation: 1.80e-03
Mean rank of genes in gene set: 185
Rank on gene expression program of genes in gene set:
Genes | Weight | Rank | GTEx | DepMap | Decartes | Mean.Counts | Mean.TPM |
---|---|---|---|---|---|---|---|
TPM1 | 0.0065753 | 24 | GTEx | DepMap | Descartes | 7.28 | 442.76 |
RRAS | 0.0020882 | 263 | GTEx | DepMap | Descartes | 0.85 | 192.01 |
CAV1 | 0.0020638 | 268 | GTEx | DepMap | Descartes | 3.96 | 334.01 |
Below shows ranks on this GEP for literature curated gene lists for large gene sets
These include those reported as mesenchymal/adrenergic by Van Groningen et al.
High ranks indicate this gene is a driver of this GEP (note these results are not ordered).
The Mean Count column shows the mean read count in cells scoring highly (H > 50) on this gene expression program.
VanGroningen Adrenergic Genes
Adrenergic marker genes from Supplementary Table 2 of Van Groningen et al. Nature Genetics 2017. These genes were identified by differential expression analysis of mesenchymal-like and adrenergic-like neuroblastoma cell lines.
Wilcoxon ranksum test P-value for gene set overrepresentation: 1.00e+00
Mean rank of genes in gene set: 9046.73
Median rank of genes in gene set: 10656
Rank on gene expression program of top 30 genes in gene set:
Genes | Weight | Rank | GTEx | DepMap | Descartes | Mean.Counts | Mean.TPM |
---|---|---|---|---|---|---|---|
RGS5 | 0.0102950 | 2 | GTEx | DepMap | Descartes | 44.82 | 1941.28 |
SYNPO2 | 0.0066564 | 22 | GTEx | DepMap | Descartes | 3.30 | 62.60 |
SLIT3 | 0.0048546 | 56 | GTEx | DepMap | Descartes | 4.70 | 121.84 |
NFIL3 | 0.0033523 | 128 | GTEx | DepMap | Descartes | 3.05 | 399.31 |
AKAP12 | 0.0020569 | 272 | GTEx | DepMap | Descartes | 4.70 | 134.74 |
CYGB | 0.0020502 | 273 | GTEx | DepMap | Descartes | 2.18 | 245.18 |
KLHL23 | 0.0020254 | 280 | GTEx | DepMap | Descartes | 0.50 | 31.44 |
MAP1B | 0.0017661 | 338 | GTEx | DepMap | Descartes | 10.79 | 216.84 |
NET1 | 0.0015327 | 405 | GTEx | DepMap | Descartes | 0.88 | 59.35 |
FOXO3 | 0.0012009 | 519 | GTEx | DepMap | Descartes | 3.45 | 116.88 |
ARHGEF7 | 0.0011721 | 528 | GTEx | DepMap | Descartes | 1.36 | 67.69 |
EIF1B | 0.0010673 | 582 | GTEx | DepMap | Descartes | 2.31 | 562.53 |
MXI1 | 0.0010582 | 590 | GTEx | DepMap | Descartes | 0.93 | 67.24 |
TUBB4B | 0.0009574 | 665 | GTEx | DepMap | Descartes | 3.37 | 394.93 |
RBP1 | 0.0008044 | 791 | GTEx | DepMap | Descartes | 0.96 | 114.79 |
TACC2 | 0.0005882 | 1059 | GTEx | DepMap | Descartes | 0.24 | 5.06 |
AKAP1 | 0.0005351 | 1151 | GTEx | DepMap | Descartes | 0.47 | 30.30 |
RNF150 | 0.0004587 | 1284 | GTEx | DepMap | Descartes | 0.38 | 7.81 |
HEY1 | 0.0004264 | 1346 | GTEx | DepMap | Descartes | 0.66 | 32.21 |
NCS1 | 0.0004061 | 1400 | GTEx | DepMap | Descartes | 0.49 | 21.68 |
TMEM108 | 0.0004021 | 1416 | GTEx | DepMap | Descartes | 0.08 | 4.33 |
MAP2 | 0.0004010 | 1420 | GTEx | DepMap | Descartes | 0.55 | 13.81 |
H1FX | 0.0003982 | 1424 | GTEx | DepMap | Descartes | 2.10 | NA |
RAB33A | 0.0003184 | 1694 | GTEx | DepMap | Descartes | 0.29 | 60.84 |
MAGI3 | 0.0003182 | 1697 | GTEx | DepMap | Descartes | 0.35 | 10.87 |
NMNAT2 | 0.0002934 | 1790 | GTEx | DepMap | Descartes | 0.12 | 4.78 |
KLF13 | 0.0002398 | 2012 | GTEx | DepMap | Descartes | 1.66 | 56.12 |
SERP2 | 0.0001983 | 2213 | GTEx | DepMap | Descartes | 0.05 | 14.74 |
PHPT1 | 0.0001932 | 2245 | GTEx | DepMap | Descartes | 0.46 | 81.99 |
SETD7 | 0.0001606 | 2452 | GTEx | DepMap | Descartes | 0.83 | 23.61 |
VanGroningen Mesenchymal Genes
Mesenchymal marker genes from Supplementary Table 2 of Van Groningen et al. Nature Genetics 2017. These genes were identified by differential expression analysis of mesenchymal-like and adrenergic-like neuroblastoma cell lines.
Wilcoxon ranksum test P-value for gene set overrepresentation: 7.12e-16
Mean rank of genes in gene set: 4912.57
Median rank of genes in gene set: 3086
Rank on gene expression program of top 30 genes in gene set:
Genes | Weight | Rank | GTEx | DepMap | Descartes | Mean.Counts | Mean.TPM |
---|---|---|---|---|---|---|---|
ACTA2 | 0.0102396 | 3 | GTEx | DepMap | Descartes | 25.28 | 4742.88 |
CALD1 | 0.0085909 | 8 | GTEx | DepMap | Descartes | 14.98 | 735.14 |
TPM2 | 0.0081341 | 9 | GTEx | DepMap | Descartes | 6.11 | 1005.19 |
COL4A1 | 0.0070518 | 16 | GTEx | DepMap | Descartes | 16.86 | 540.87 |
COL4A2 | 0.0067010 | 20 | GTEx | DepMap | Descartes | 21.16 | 681.46 |
TPM1 | 0.0065753 | 24 | GTEx | DepMap | Descartes | 7.28 | 442.76 |
LPP | 0.0062298 | 28 | GTEx | DepMap | Descartes | 7.26 | 102.73 |
FILIP1L | 0.0060749 | 31 | GTEx | DepMap | Descartes | 5.32 | 347.43 |
TNS1 | 0.0051181 | 49 | GTEx | DepMap | Descartes | 4.67 | 114.91 |
SPARCL1 | 0.0047122 | 60 | GTEx | DepMap | Descartes | 8.55 | 716.85 |
EDNRA | 0.0046726 | 61 | GTEx | DepMap | Descartes | 1.75 | 110.87 |
EPS8 | 0.0045150 | 71 | GTEx | DepMap | Descartes | 3.21 | 166.21 |
PDE3A | 0.0043605 | 75 | GTEx | DepMap | Descartes | 1.34 | 44.22 |
EHD2 | 0.0041645 | 82 | GTEx | DepMap | Descartes | 1.90 | 137.54 |
VCL | 0.0041118 | 84 | GTEx | DepMap | Descartes | 4.04 | 119.41 |
BGN | 0.0040914 | 86 | GTEx | DepMap | Descartes | 25.62 | 2315.20 |
KANK2 | 0.0040413 | 88 | GTEx | DepMap | Descartes | 2.35 | 102.17 |
SNAI2 | 0.0037436 | 105 | GTEx | DepMap | Descartes | 3.30 | 263.83 |
ERRFI1 | 0.0037385 | 106 | GTEx | DepMap | Descartes | 7.31 | 584.05 |
TNC | 0.0035879 | 114 | GTEx | DepMap | Descartes | 4.52 | 126.72 |
CSRP1 | 0.0035788 | 115 | GTEx | DepMap | Descartes | 4.35 | 126.81 |
PALLD | 0.0035661 | 117 | GTEx | DepMap | Descartes | 4.56 | 189.07 |
A2M | 0.0035273 | 119 | GTEx | DepMap | Descartes | 9.89 | 505.96 |
S1PR3 | 0.0032165 | 136 | GTEx | DepMap | Descartes | 4.42 | 117.09 |
ACTN1 | 0.0028632 | 162 | GTEx | DepMap | Descartes | 6.89 | 354.52 |
TGFB1I1 | 0.0028545 | 163 | GTEx | DepMap | Descartes | 1.24 | 59.81 |
ITGB1 | 0.0028444 | 164 | GTEx | DepMap | Descartes | 4.43 | 255.42 |
PLS3 | 0.0028073 | 165 | GTEx | DepMap | Descartes | 1.95 | 142.21 |
SDC2 | 0.0025839 | 186 | GTEx | DepMap | Descartes | 2.98 | 220.48 |
FLNA | 0.0025813 | 187 | GTEx | DepMap | Descartes | 6.93 | 208.55 |
Descartes adrenocortical markers
Top 50 marker genes of adrenocortical cells in the Decartes fetal adrenal single cell map (https://atlas.brotmanbaty.org/bbi/human-gene-expression-during-development/cell/adrenocortical/in/adrenal)
Wilcoxon ranksum test P-value for gene set overrepresentation: 9.94e-01
Mean rank of genes in gene set: 7784.78
Median rank of genes in gene set: 8405.5
Rank on gene expression program of top 30 genes in gene set:
Genes | Weight | Rank | GTEx | DepMap | Descartes | Mean.Counts | Mean.TPM |
---|---|---|---|---|---|---|---|
LDLR | 0.0008794 | 728 | GTEx | DepMap | Descartes | 1.89 | 87.90 |
PAPSS2 | 0.0005193 | 1178 | GTEx | DepMap | Descartes | 0.68 | 37.22 |
IGF1R | 0.0003366 | 1621 | GTEx | DepMap | Descartes | 0.70 | 13.80 |
PDE10A | 0.0002723 | 1858 | GTEx | DepMap | Descartes | 0.18 | 4.18 |
POR | 0.0000347 | 3589 | GTEx | DepMap | Descartes | 0.52 | 47.19 |
SGCZ | 0.0000323 | 3618 | GTEx | DepMap | Descartes | 0.00 | 0.00 |
GSTA4 | 0.0000044 | 3984 | GTEx | DepMap | Descartes | 0.26 | 34.05 |
BAIAP2L1 | -0.0000446 | 4716 | GTEx | DepMap | Descartes | 0.05 | 3.08 |
FDPS | -0.0000489 | 4780 | GTEx | DepMap | Descartes | 0.52 | 57.86 |
FDXR | -0.0000793 | 5362 | GTEx | DepMap | Descartes | 0.03 | 2.10 |
SH3PXD2B | -0.0000858 | 5497 | GTEx | DepMap | Descartes | 0.23 | 7.17 |
SLC16A9 | -0.0000962 | 5703 | GTEx | DepMap | Descartes | 0.06 | 3.68 |
INHA | -0.0001155 | 6114 | GTEx | DepMap | Descartes | 0.00 | 0.39 |
FDX1 | -0.0001193 | 6191 | GTEx | DepMap | Descartes | 0.28 | 18.96 |
STAR | -0.0001486 | 6795 | GTEx | DepMap | Descartes | 0.01 | 0.96 |
FREM2 | -0.0001876 | 7582 | GTEx | DepMap | Descartes | 0.01 | 0.05 |
TM7SF2 | -0.0001925 | 7666 | GTEx | DepMap | Descartes | 0.04 | 3.84 |
NPC1 | -0.0002351 | 8397 | GTEx | DepMap | Descartes | 0.37 | 21.50 |
SCAP | -0.0002358 | 8414 | GTEx | DepMap | Descartes | 0.16 | 9.08 |
DHCR24 | -0.0002449 | 8585 | GTEx | DepMap | Descartes | 0.11 | 5.48 |
APOC1 | -0.0002515 | 8688 | GTEx | DepMap | Descartes | 0.38 | 135.66 |
ERN1 | -0.0003212 | 9704 | GTEx | DepMap | Descartes | 0.58 | 15.17 |
SLC1A2 | -0.0003456 | 9962 | GTEx | DepMap | Descartes | 0.02 | 0.44 |
DNER | -0.0004143 | 10649 | GTEx | DepMap | Descartes | 0.00 | 0.48 |
CYB5B | -0.0004171 | 10673 | GTEx | DepMap | Descartes | 0.41 | 20.44 |
DHCR7 | -0.0004211 | 10705 | GTEx | DepMap | Descartes | 0.05 | 2.72 |
FRMD5 | -0.0004764 | 11106 | GTEx | DepMap | Descartes | 0.05 | 1.33 |
GRAMD1B | -0.0005261 | 11389 | GTEx | DepMap | Descartes | 0.09 | 2.76 |
SCARB1 | -0.0005265 | 11391 | GTEx | DepMap | Descartes | 0.12 | 3.83 |
JAKMIP2 | -0.0005881 | 11655 | GTEx | DepMap | Descartes | 0.02 | 0.43 |
Descartes chromaffin markers
Top 50 marker genes of chromaffin cells in the Decartes fetal adrenal single cell map (https://atlas.brotmanbaty.org/bbi/human-gene-expression-during-development/cell/chromaffin/in/adrenal)
Wilcoxon ranksum test P-value for gene set overrepresentation: 1.00e+00
Mean rank of genes in gene set: 9214.88
Median rank of genes in gene set: 10274
Rank on gene expression program of top 30 genes in gene set:
Genes | Weight | Rank | GTEx | DepMap | Descartes | Mean.Counts | Mean.TPM |
---|---|---|---|---|---|---|---|
SYNPO2 | 0.0066564 | 22 | GTEx | DepMap | Descartes | 3.30 | 62.60 |
MAP1B | 0.0017661 | 338 | GTEx | DepMap | Descartes | 10.79 | 216.84 |
FAT3 | 0.0009911 | 644 | GTEx | DepMap | Descartes | 0.14 | 1.95 |
RYR2 | 0.0005196 | 1177 | GTEx | DepMap | Descartes | 0.11 | 1.51 |
GAL | -0.0000806 | 5386 | GTEx | DepMap | Descartes | 0.04 | 10.91 |
EPHA6 | -0.0000985 | 5757 | GTEx | DepMap | Descartes | 0.00 | 0.00 |
REEP1 | -0.0001029 | 5849 | GTEx | DepMap | Descartes | 0.06 | 4.06 |
ANKFN1 | -0.0002002 | 7807 | GTEx | DepMap | Descartes | 0.00 | 0.00 |
KCNB2 | -0.0002034 | 7864 | GTEx | DepMap | Descartes | 0.00 | 0.17 |
RPH3A | -0.0002324 | 8358 | GTEx | DepMap | Descartes | 0.01 | 0.38 |
RGMB | -0.0002410 | 8500 | GTEx | DepMap | Descartes | 0.48 | 22.61 |
HS3ST5 | -0.0002422 | 8523 | GTEx | DepMap | Descartes | 0.01 | 0.56 |
TMEFF2 | -0.0002612 | 8822 | GTEx | DepMap | Descartes | 0.00 | 0.00 |
SLC44A5 | -0.0002632 | 8855 | GTEx | DepMap | Descartes | 0.01 | 0.61 |
EYA4 | -0.0002717 | 8983 | GTEx | DepMap | Descartes | 0.01 | 0.13 |
IL7 | -0.0003134 | 9605 | GTEx | DepMap | Descartes | 0.03 | 3.49 |
GREM1 | -0.0003373 | 9874 | GTEx | DepMap | Descartes | 1.51 | 14.98 |
ALK | -0.0003394 | 9899 | GTEx | DepMap | Descartes | 0.02 | 0.44 |
CCND1 | -0.0003466 | 9979 | GTEx | DepMap | Descartes | 2.23 | 89.06 |
NTRK1 | -0.0003617 | 10145 | GTEx | DepMap | Descartes | 0.01 | 0.37 |
PTCHD1 | -0.0003733 | 10274 | GTEx | DepMap | Descartes | 0.02 | 0.44 |
EYA1 | -0.0003959 | 10498 | GTEx | DepMap | Descartes | 0.00 | 0.04 |
RBFOX1 | -0.0004075 | 10588 | GTEx | DepMap | Descartes | 0.00 | 0.07 |
CNTFR | -0.0004302 | 10784 | GTEx | DepMap | Descartes | 0.01 | 0.73 |
PLXNA4 | -0.0004401 | 10855 | GTEx | DepMap | Descartes | 0.02 | 0.27 |
NPY | -0.0004566 | 10970 | GTEx | DepMap | Descartes | 0.16 | 67.04 |
MAB21L2 | -0.0004971 | 11233 | GTEx | DepMap | Descartes | 0.09 | 10.99 |
SLC6A2 | -0.0004984 | 11240 | GTEx | DepMap | Descartes | 0.03 | 1.13 |
TUBA1A | -0.0005132 | 11325 | GTEx | DepMap | Descartes | 6.79 | 834.95 |
TUBB2A | -0.0005356 | 11439 | GTEx | DepMap | Descartes | 1.33 | 183.58 |
Descartes Vascular_endothelial markers
Top 50 marker genes of Vascular_endothelial cells in the Decartes fetal adrenal single cell map (https://atlas.brotmanbaty.org/bbi/human-gene-expression-during-development/cell/vascular_endothelial/in/adrenal)
Wilcoxon ranksum test P-value for gene set overrepresentation: 1.00e+00
Mean rank of genes in gene set: 9411.55
Median rank of genes in gene set: 11685
Rank on gene expression program of top 30 genes in gene set:
Genes | Weight | Rank | GTEx | DepMap | Descartes | Mean.Counts | Mean.TPM |
---|---|---|---|---|---|---|---|
CYP26B1 | 0.0010173 | 614 | GTEx | DepMap | Descartes | 0.44 | 20.52 |
EHD3 | 0.0009376 | 676 | GTEx | DepMap | Descartes | 0.25 | 11.92 |
CDH13 | 0.0008620 | 740 | GTEx | DepMap | Descartes | 0.58 | 14.11 |
ARHGAP29 | 0.0007579 | 836 | GTEx | DepMap | Descartes | 0.85 | 21.82 |
ID1 | 0.0005400 | 1141 | GTEx | DepMap | Descartes | 1.65 | 380.59 |
IRX3 | 0.0000949 | 2957 | GTEx | DepMap | Descartes | 0.07 | 5.25 |
BTNL9 | -0.0000223 | 4377 | GTEx | DepMap | Descartes | 0.23 | 8.02 |
TMEM88 | -0.0000810 | 5396 | GTEx | DepMap | Descartes | 0.43 | 86.54 |
CHRM3 | -0.0000991 | 5774 | GTEx | DepMap | Descartes | 0.03 | 0.83 |
CRHBP | -0.0002105 | 7990 | GTEx | DepMap | Descartes | 0.00 | 0.00 |
CEACAM1 | -0.0002727 | 9000 | GTEx | DepMap | Descartes | 0.16 | 8.48 |
NR5A2 | -0.0002799 | 9125 | GTEx | DepMap | Descartes | 0.03 | 0.86 |
EFNB2 | -0.0003166 | 9652 | GTEx | DepMap | Descartes | 1.10 | 45.10 |
NPR1 | -0.0003760 | 10303 | GTEx | DepMap | Descartes | 0.08 | 2.49 |
NOTCH4 | -0.0004422 | 10870 | GTEx | DepMap | Descartes | 0.45 | 9.41 |
RASIP1 | -0.0004928 | 11201 | GTEx | DepMap | Descartes | 0.26 | 12.69 |
KANK3 | -0.0005214 | 11372 | GTEx | DepMap | Descartes | 0.20 | 10.56 |
KDR | -0.0005543 | 11538 | GTEx | DepMap | Descartes | 0.60 | 13.80 |
ESM1 | -0.0005559 | 11546 | GTEx | DepMap | Descartes | 0.79 | 49.63 |
F8 | -0.0006478 | 11824 | GTEx | DepMap | Descartes | 0.12 | 2.06 |
GALNT15 | -0.0006514 | 11836 | GTEx | DepMap | Descartes | 0.05 | NA |
SHE | -0.0006571 | 11855 | GTEx | DepMap | Descartes | 0.17 | 4.43 |
CLDN5 | -0.0006848 | 11931 | GTEx | DepMap | Descartes | 0.37 | 26.50 |
HYAL2 | -0.0007198 | 12026 | GTEx | DepMap | Descartes | 0.26 | 10.16 |
PLVAP | -0.0007343 | 12053 | GTEx | DepMap | Descartes | 2.69 | 175.78 |
PODXL | -0.0008018 | 12180 | GTEx | DepMap | Descartes | 0.72 | 17.29 |
MMRN2 | -0.0008624 | 12258 | GTEx | DepMap | Descartes | 0.41 | 13.04 |
ROBO4 | -0.0008863 | 12279 | GTEx | DepMap | Descartes | 0.32 | 10.34 |
SHANK3 | -0.0008997 | 12294 | GTEx | DepMap | Descartes | 0.67 | 11.71 |
FLT4 | -0.0009887 | 12377 | GTEx | DepMap | Descartes | 0.15 | 3.28 |
Descartes stromal markers
Top 50 marker genes of stromal cells in the Decartes fetal adrenal single cell map (https://atlas.brotmanbaty.org/bbi/human-gene-expression-during-development/cell/stromal/in/adrenal)
Wilcoxon ranksum test P-value for gene set overrepresentation: 8.47e-01
Mean rank of genes in gene set: 6833.75
Median rank of genes in gene set: 8130.5
Rank on gene expression program of top 30 genes in gene set:
Genes | Weight | Rank | GTEx | DepMap | Descartes | Mean.Counts | Mean.TPM |
---|---|---|---|---|---|---|---|
ACTA2 | 0.0102396 | 3 | GTEx | DepMap | Descartes | 25.28 | 4742.88 |
ABCC9 | 0.0057510 | 36 | GTEx | DepMap | Descartes | 2.17 | 71.55 |
EDNRA | 0.0046726 | 61 | GTEx | DepMap | Descartes | 1.75 | 110.87 |
PRRX1 | 0.0020463 | 276 | GTEx | DepMap | Descartes | 2.65 | 160.77 |
CD248 | 0.0018124 | 325 | GTEx | DepMap | Descartes | 0.83 | 60.32 |
COL27A1 | 0.0016584 | 371 | GTEx | DepMap | Descartes | 1.00 | 31.99 |
COL12A1 | 0.0014977 | 417 | GTEx | DepMap | Descartes | 3.95 | 74.59 |
PCDH18 | 0.0012894 | 482 | GTEx | DepMap | Descartes | 0.61 | 26.70 |
ADAMTS2 | 0.0010828 | 577 | GTEx | DepMap | Descartes | 1.55 | 49.80 |
ITGA11 | 0.0010078 | 627 | GTEx | DepMap | Descartes | 0.68 | 15.67 |
C7 | 0.0009667 | 657 | GTEx | DepMap | Descartes | 19.32 | 726.28 |
COL6A3 | 0.0008006 | 794 | GTEx | DepMap | Descartes | 7.48 | 150.71 |
ADAMTSL3 | 0.0007426 | 848 | GTEx | DepMap | Descartes | 0.37 | 12.87 |
CDH11 | 0.0004977 | 1216 | GTEx | DepMap | Descartes | 1.39 | 42.23 |
LRRC17 | 0.0003485 | 1589 | GTEx | DepMap | Descartes | 0.30 | 32.05 |
GLI2 | 0.0001670 | 2407 | GTEx | DepMap | Descartes | 0.11 | 4.30 |
LAMC3 | 0.0001368 | 2639 | GTEx | DepMap | Descartes | 0.10 | 3.36 |
MGP | 0.0001293 | 2688 | GTEx | DepMap | Descartes | 35.43 | 4679.43 |
PCOLCE | -0.0000709 | 5201 | GTEx | DepMap | Descartes | 3.16 | 448.19 |
GAS2 | -0.0001114 | 6040 | GTEx | DepMap | Descartes | 0.00 | 0.49 |
PDGFRA | -0.0002019 | 7831 | GTEx | DepMap | Descartes | 1.17 | 34.62 |
PAMR1 | -0.0002133 | 8043 | GTEx | DepMap | Descartes | 0.48 | 24.66 |
ELN | -0.0002229 | 8218 | GTEx | DepMap | Descartes | 2.51 | 144.81 |
POSTN | -0.0002251 | 8252 | GTEx | DepMap | Descartes | 5.59 | 309.13 |
DKK2 | -0.0004247 | 10738 | GTEx | DepMap | Descartes | 0.04 | 1.79 |
FREM1 | -0.0004642 | 11021 | GTEx | DepMap | Descartes | 0.03 | 0.81 |
RSPO3 | -0.0005190 | 11354 | GTEx | DepMap | Descartes | 0.05 | NA |
CLDN11 | -0.0005572 | 11553 | GTEx | DepMap | Descartes | 0.15 | 10.41 |
IGFBP3 | -0.0005971 | 11687 | GTEx | DepMap | Descartes | 1.35 | 121.68 |
COL1A2 | -0.0006756 | 11903 | GTEx | DepMap | Descartes | 36.53 | 1254.37 |
Descartes sympathoblasts markers
Top 50 marker genes of sympathoblasts cells in the Decartes fetal adrenal single cell map (https://atlas.brotmanbaty.org/bbi/human-gene-expression-during-development/cell/sympathoblasts/in/adrenal)
Wilcoxon ranksum test P-value for gene set overrepresentation: 9.98e-01
Mean rank of genes in gene set: 7950.66
Median rank of genes in gene set: 7866
Rank on gene expression program of top 30 genes in gene set:
Genes | Weight | Rank | GTEx | DepMap | Descartes | Mean.Counts | Mean.TPM |
---|---|---|---|---|---|---|---|
LAMA3 | 0.0017130 | 350 | GTEx | DepMap | Descartes | 0.31 | 7.57 |
ROBO1 | 0.0006142 | 1022 | GTEx | DepMap | Descartes | 0.42 | 12.74 |
SLC35F3 | 0.0000113 | 3874 | GTEx | DepMap | Descartes | 0.01 | 0.36 |
AGBL4 | -0.0000343 | 4556 | GTEx | DepMap | Descartes | 0.01 | 0.64 |
GRM7 | -0.0000574 | 4935 | GTEx | DepMap | Descartes | 0.00 | 0.12 |
PACRG | -0.0000587 | 4959 | GTEx | DepMap | Descartes | 0.01 | 0.48 |
SLC24A2 | -0.0000608 | 5005 | GTEx | DepMap | Descartes | 0.01 | 0.17 |
EML6 | -0.0000781 | 5334 | GTEx | DepMap | Descartes | 0.04 | 1.10 |
SPOCK3 | -0.0000837 | 5450 | GTEx | DepMap | Descartes | 0.00 | 0.00 |
PENK | -0.0000908 | 5601 | GTEx | DepMap | Descartes | 0.04 | 9.67 |
CDH18 | -0.0000914 | 5614 | GTEx | DepMap | Descartes | 0.00 | 0.00 |
HTATSF1 | -0.0001045 | 5887 | GTEx | DepMap | Descartes | 0.45 | 33.49 |
SORCS3 | -0.0001327 | 6462 | GTEx | DepMap | Descartes | 0.00 | 0.39 |
GALNTL6 | -0.0001374 | 6554 | GTEx | DepMap | Descartes | 0.00 | 0.06 |
CDH12 | -0.0001431 | 6666 | GTEx | DepMap | Descartes | 0.00 | 0.00 |
GRID2 | -0.0001462 | 6743 | GTEx | DepMap | Descartes | 0.00 | 0.07 |
TBX20 | -0.0001503 | 6828 | GTEx | DepMap | Descartes | 0.00 | 0.00 |
ARC | -0.0001850 | 7525 | GTEx | DepMap | Descartes | 1.24 | 100.32 |
KSR2 | -0.0001877 | 7583 | GTEx | DepMap | Descartes | 0.00 | 0.05 |
PCSK2 | -0.0002188 | 8149 | GTEx | DepMap | Descartes | 0.18 | 5.61 |
CCSER1 | -0.0002380 | 8446 | GTEx | DepMap | Descartes | 0.00 | NA |
ST18 | -0.0002387 | 8463 | GTEx | DepMap | Descartes | 0.01 | 0.48 |
FGF14 | -0.0002665 | 8894 | GTEx | DepMap | Descartes | 0.05 | 0.93 |
MGAT4C | -0.0002740 | 9022 | GTEx | DepMap | Descartes | 0.01 | 0.08 |
CNTN3 | -0.0003670 | 10204 | GTEx | DepMap | Descartes | 0.01 | 0.70 |
SLC18A1 | -0.0003682 | 10219 | GTEx | DepMap | Descartes | 0.01 | 0.41 |
DGKK | -0.0003875 | 10400 | GTEx | DepMap | Descartes | 0.01 | 0.78 |
KCTD16 | -0.0003886 | 10412 | GTEx | DepMap | Descartes | 0.01 | 0.24 |
NTNG1 | -0.0004115 | 10618 | GTEx | DepMap | Descartes | 0.01 | 0.44 |
TENM1 | -0.0004701 | 11064 | GTEx | DepMap | Descartes | 0.01 | NA |
Descartes erythroblasts markers
Top 50 marker genes of erythroblasts cells in the Decartes fetal adrenal single cell map (https://atlas.brotmanbaty.org/bbi/human-gene-expression-during-development/cell/erythroblasts/in/adrenal)
Wilcoxon ranksum test P-value for gene set overrepresentation: 1.76e-01
Mean rank of genes in gene set: 5649.55
Median rank of genes in gene set: 5113
Rank on gene expression program of top 30 genes in gene set:
Genes | Weight | Rank | GTEx | DepMap | Descartes | Mean.Counts | Mean.TPM |
---|---|---|---|---|---|---|---|
SELENBP1 | 0.0021371 | 251 | GTEx | DepMap | Descartes | 0.61 | 51.82 |
MICAL2 | 0.0018083 | 326 | GTEx | DepMap | Descartes | 3.09 | 106.21 |
SPECC1 | 0.0016962 | 356 | GTEx | DepMap | Descartes | 0.43 | 14.48 |
SPTB | 0.0010963 | 569 | GTEx | DepMap | Descartes | 0.06 | 1.45 |
RGS6 | 0.0007315 | 864 | GTEx | DepMap | Descartes | 0.04 | 3.49 |
RAPGEF2 | 0.0005433 | 1134 | GTEx | DepMap | Descartes | 1.34 | 35.25 |
CAT | 0.0004962 | 1218 | GTEx | DepMap | Descartes | 0.55 | 58.20 |
TRAK2 | 0.0002626 | 1901 | GTEx | DepMap | Descartes | 0.43 | 15.89 |
BLVRB | 0.0000462 | 3450 | GTEx | DepMap | Descartes | 0.24 | 39.45 |
SLC25A21 | 0.0000361 | 3571 | GTEx | DepMap | Descartes | 0.00 | 0.40 |
SOX6 | 0.0000307 | 3633 | GTEx | DepMap | Descartes | 0.21 | 6.76 |
ABCB10 | 0.0000007 | 4044 | GTEx | DepMap | Descartes | 0.15 | 8.54 |
RHD | -0.0000020 | 4086 | GTEx | DepMap | Descartes | 0.01 | 0.46 |
TMCC2 | -0.0000593 | 4976 | GTEx | DepMap | Descartes | 0.05 | 7.20 |
TFR2 | -0.0000666 | 5113 | GTEx | DepMap | Descartes | 0.01 | 1.24 |
MARCH3 | -0.0000927 | 5635 | GTEx | DepMap | Descartes | 0.45 | NA |
ALAS2 | -0.0001464 | 6745 | GTEx | DepMap | Descartes | 0.00 | 0.00 |
SLC4A1 | -0.0001854 | 7531 | GTEx | DepMap | Descartes | 0.01 | 0.12 |
SLC25A37 | -0.0001866 | 7562 | GTEx | DepMap | Descartes | 1.06 | 56.26 |
XPO7 | -0.0001989 | 7776 | GTEx | DepMap | Descartes | 0.26 | 12.65 |
GCLC | -0.0002414 | 8507 | GTEx | DepMap | Descartes | 0.25 | 15.29 |
CPOX | -0.0002504 | 8669 | GTEx | DepMap | Descartes | 0.09 | 7.37 |
ANK1 | -0.0002528 | 8706 | GTEx | DepMap | Descartes | 0.08 | 1.87 |
FECH | -0.0003253 | 9752 | GTEx | DepMap | Descartes | 0.06 | 1.78 |
DENND4A | -0.0004296 | 10777 | GTEx | DepMap | Descartes | 0.92 | 23.77 |
GYPC | -0.0004837 | 11143 | GTEx | DepMap | Descartes | 0.62 | 72.75 |
TSPAN5 | -0.0005421 | 11476 | GTEx | DepMap | Descartes | 0.34 | 17.75 |
SNCA | -0.0006603 | 11861 | GTEx | DepMap | Descartes | 0.03 | 1.35 |
EPB41 | -0.0008203 | 12205 | GTEx | DepMap | Descartes | 0.08 | 2.42 |
NA | NA | NA | NA | NA | NA | NA | NA |
Descartes myeloid markers
Top 50 marker genes of myeloid cells in the Decartes fetal adrenal single cell map (https://atlas.brotmanbaty.org/bbi/human-gene-expression-during-development/cell/myeloid/in/adrenal)
Wilcoxon ranksum test P-value for gene set overrepresentation: 1.00e+00
Mean rank of genes in gene set: 8418.37
Median rank of genes in gene set: 10296
Rank on gene expression program of top 30 genes in gene set:
Genes | Weight | Rank | GTEx | DepMap | Descartes | Mean.Counts | Mean.TPM |
---|---|---|---|---|---|---|---|
AXL | 0.0030192 | 151 | GTEx | DepMap | Descartes | 2.21 | 121.35 |
ADAP2 | 0.0008944 | 716 | GTEx | DepMap | Descartes | 0.23 | 21.35 |
TGFBI | 0.0003240 | 1667 | GTEx | DepMap | Descartes | 3.46 | 172.59 |
MERTK | 0.0002974 | 1777 | GTEx | DepMap | Descartes | 0.16 | 11.34 |
CTSC | 0.0002889 | 1807 | GTEx | DepMap | Descartes | 1.86 | 75.44 |
LGMN | 0.0001688 | 2392 | GTEx | DepMap | Descartes | 1.27 | 142.20 |
IFNGR1 | 0.0001103 | 2820 | GTEx | DepMap | Descartes | 0.60 | 54.80 |
HRH1 | -0.0000121 | 4221 | GTEx | DepMap | Descartes | 0.31 | 13.42 |
CTSD | -0.0000598 | 4984 | GTEx | DepMap | Descartes | 2.85 | 285.62 |
ABCA1 | -0.0001043 | 5883 | GTEx | DepMap | Descartes | 1.27 | 28.15 |
CD163L1 | -0.0001085 | 5977 | GTEx | DepMap | Descartes | 0.02 | 0.95 |
ATP8B4 | -0.0001737 | 7311 | GTEx | DepMap | Descartes | 0.03 | 1.14 |
SPP1 | -0.0001767 | 7369 | GTEx | DepMap | Descartes | 0.20 | 12.10 |
FGD2 | -0.0002214 | 8189 | GTEx | DepMap | Descartes | 0.01 | 1.06 |
CD14 | -0.0002264 | 8269 | GTEx | DepMap | Descartes | 0.29 | 40.08 |
SLC9A9 | -0.0002658 | 8885 | GTEx | DepMap | Descartes | 0.14 | 8.03 |
CSF1R | -0.0002884 | 9249 | GTEx | DepMap | Descartes | 0.08 | 3.84 |
RBPJ | -0.0003648 | 10179 | GTEx | DepMap | Descartes | 1.76 | 64.52 |
PTPRE | -0.0003692 | 10227 | GTEx | DepMap | Descartes | 1.16 | 42.47 |
MS4A4A | -0.0003835 | 10365 | GTEx | DepMap | Descartes | 0.01 | 1.53 |
CST3 | -0.0003938 | 10480 | GTEx | DepMap | Descartes | 8.27 | 564.22 |
ITPR2 | -0.0004176 | 10678 | GTEx | DepMap | Descartes | 0.42 | 7.01 |
MARCH1 | -0.0004471 | 10902 | GTEx | DepMap | Descartes | 0.02 | NA |
MSR1 | -0.0004612 | 11000 | GTEx | DepMap | Descartes | 0.02 | 0.93 |
CD163 | -0.0004616 | 11004 | GTEx | DepMap | Descartes | 0.02 | 0.69 |
FMN1 | -0.0005045 | 11268 | GTEx | DepMap | Descartes | 0.05 | 0.37 |
CPVL | -0.0005174 | 11345 | GTEx | DepMap | Descartes | 0.07 | 6.47 |
CYBB | -0.0005260 | 11388 | GTEx | DepMap | Descartes | 0.02 | 0.88 |
SLC1A3 | -0.0005318 | 11421 | GTEx | DepMap | Descartes | 0.05 | 1.78 |
HCK | -0.0005461 | 11498 | GTEx | DepMap | Descartes | 0.02 | 2.78 |
Descartes Schwann markers
Top 50 marker genes of Schwann cells in the Decartes fetal adrenal single cell map (https://atlas.brotmanbaty.org/bbi/human-gene-expression-during-development/cell/schwann/in/adrenal)
Wilcoxon ranksum test P-value for gene set overrepresentation: 5.17e-01
Mean rank of genes in gene set: 6298.84
Median rank of genes in gene set: 6932.5
Rank on gene expression program of top 30 genes in gene set:
Genes | Weight | Rank | GTEx | DepMap | Descartes | Mean.Counts | Mean.TPM |
---|---|---|---|---|---|---|---|
COL18A1 | 0.0071299 | 13 | GTEx | DepMap | Descartes | 8.32 | 294.98 |
EDNRB | 0.0053267 | 45 | GTEx | DepMap | Descartes | 2.52 | 128.06 |
OLFML2A | 0.0022911 | 224 | GTEx | DepMap | Descartes | 1.62 | 59.55 |
EGFLAM | 0.0021635 | 240 | GTEx | DepMap | Descartes | 0.70 | 39.56 |
LAMC1 | 0.0020135 | 282 | GTEx | DepMap | Descartes | 4.95 | 145.05 |
PLCE1 | 0.0018077 | 327 | GTEx | DepMap | Descartes | 0.32 | 9.74 |
LAMA4 | 0.0012852 | 484 | GTEx | DepMap | Descartes | 3.10 | 92.84 |
STARD13 | 0.0012495 | 499 | GTEx | DepMap | Descartes | 1.10 | 46.46 |
ADAMTS5 | 0.0011606 | 533 | GTEx | DepMap | Descartes | 0.45 | 13.42 |
SOX5 | 0.0008972 | 711 | GTEx | DepMap | Descartes | 0.28 | 10.01 |
PAG1 | 0.0007750 | 817 | GTEx | DepMap | Descartes | 1.71 | 37.03 |
DST | 0.0007397 | 852 | GTEx | DepMap | Descartes | 4.22 | 45.42 |
COL25A1 | 0.0006175 | 1013 | GTEx | DepMap | Descartes | 0.07 | 1.87 |
VIM | 0.0004713 | 1268 | GTEx | DepMap | Descartes | 43.93 | 3612.93 |
HMGA2 | 0.0004061 | 1399 | GTEx | DepMap | Descartes | 0.12 | 3.27 |
COL5A2 | 0.0003646 | 1532 | GTEx | DepMap | Descartes | 2.91 | 91.63 |
ERBB4 | 0.0003596 | 1546 | GTEx | DepMap | Descartes | 0.03 | 0.94 |
PTN | 0.0001437 | 2579 | GTEx | DepMap | Descartes | 0.43 | 49.23 |
TRPM3 | 0.0001363 | 2642 | GTEx | DepMap | Descartes | 0.09 | 1.88 |
IL1RAPL2 | -0.0000943 | 5663 | GTEx | DepMap | Descartes | 0.00 | 0.20 |
NRXN3 | -0.0001279 | 6367 | GTEx | DepMap | Descartes | 0.21 | 4.89 |
FIGN | -0.0001435 | 6679 | GTEx | DepMap | Descartes | 0.23 | 7.49 |
IL1RAPL1 | -0.0001672 | 7186 | GTEx | DepMap | Descartes | 0.02 | 0.77 |
SLC35F1 | -0.0001787 | 7407 | GTEx | DepMap | Descartes | 0.17 | 5.92 |
LRRTM4 | -0.0002346 | 8391 | GTEx | DepMap | Descartes | 0.01 | 1.25 |
MDGA2 | -0.0002502 | 8664 | GTEx | DepMap | Descartes | 0.00 | 0.12 |
MPZ | -0.0002926 | 9307 | GTEx | DepMap | Descartes | 0.12 | 10.56 |
VCAN | -0.0003269 | 9767 | GTEx | DepMap | Descartes | 7.64 | 130.59 |
PTPRZ1 | -0.0004628 | 11012 | GTEx | DepMap | Descartes | 0.13 | 1.65 |
PMP22 | -0.0004686 | 11053 | GTEx | DepMap | Descartes | 1.42 | 148.90 |
Descartes Megakaryocytes markers
Top 50 marker genes of Megakaryocytes cells in the Decartes fetal adrenal single cell map (https://atlas.brotmanbaty.org/bbi/human-gene-expression-during-development/cell/megakaryocytes/in/adrenal)
Wilcoxon ranksum test P-value for gene set overrepresentation: 5.44e-03
Mean rank of genes in gene set: 4902.29
Median rank of genes in gene set: 2528
Rank on gene expression program of top 30 genes in gene set:
Genes | Weight | Rank | GTEx | DepMap | Descartes | Mean.Counts | Mean.TPM |
---|---|---|---|---|---|---|---|
MYLK | 0.0098068 | 7 | GTEx | DepMap | Descartes | 6.17 | 154.64 |
HIPK2 | 0.0045512 | 69 | GTEx | DepMap | Descartes | 3.65 | 62.19 |
PDE3A | 0.0043605 | 75 | GTEx | DepMap | Descartes | 1.34 | 44.22 |
TPM4 | 0.0042317 | 78 | GTEx | DepMap | Descartes | 9.64 | 414.86 |
VCL | 0.0041118 | 84 | GTEx | DepMap | Descartes | 4.04 | 119.41 |
MYH9 | 0.0035678 | 116 | GTEx | DepMap | Descartes | 13.21 | 427.98 |
ANGPT1 | 0.0032814 | 132 | GTEx | DepMap | Descartes | 0.61 | 42.88 |
TRPC6 | 0.0029333 | 157 | GTEx | DepMap | Descartes | 0.19 | 8.99 |
ACTN1 | 0.0028632 | 162 | GTEx | DepMap | Descartes | 6.89 | 354.52 |
FLNA | 0.0025813 | 187 | GTEx | DepMap | Descartes | 6.93 | 208.55 |
TLN1 | 0.0025630 | 189 | GTEx | DepMap | Descartes | 4.97 | 142.39 |
INPP4B | 0.0021432 | 248 | GTEx | DepMap | Descartes | 0.73 | 25.57 |
ARHGAP6 | 0.0020996 | 261 | GTEx | DepMap | Descartes | 0.26 | 10.51 |
STOM | 0.0019476 | 299 | GTEx | DepMap | Descartes | 5.51 | 392.94 |
LIMS1 | 0.0015094 | 413 | GTEx | DepMap | Descartes | 3.55 | 177.04 |
LTBP1 | 0.0014043 | 442 | GTEx | DepMap | Descartes | 1.57 | 60.08 |
ACTB | 0.0010740 | 580 | GTEx | DepMap | Descartes | 26.95 | 2644.33 |
THBS1 | 0.0008802 | 726 | GTEx | DepMap | Descartes | 13.75 | 493.10 |
CD9 | 0.0008407 | 758 | GTEx | DepMap | Descartes | 1.80 | 205.33 |
ITGB3 | 0.0008271 | 767 | GTEx | DepMap | Descartes | 0.09 | 4.83 |
ZYX | 0.0007092 | 894 | GTEx | DepMap | Descartes | 3.44 | 337.16 |
SLC24A3 | 0.0003997 | 1422 | GTEx | DepMap | Descartes | 0.10 | 5.50 |
TUBB1 | 0.0001508 | 2528 | GTEx | DepMap | Descartes | 0.01 | 0.57 |
ITGA2B | 0.0001092 | 2826 | GTEx | DepMap | Descartes | 0.05 | 5.04 |
GP1BA | 0.0000934 | 2978 | GTEx | DepMap | Descartes | 0.04 | 2.00 |
DOK6 | -0.0000311 | 4511 | GTEx | DepMap | Descartes | 0.13 | 2.81 |
P2RX1 | -0.0000327 | 4537 | GTEx | DepMap | Descartes | 0.02 | 1.84 |
RAB27B | -0.0001773 | 7380 | GTEx | DepMap | Descartes | 0.01 | 0.45 |
RAP1B | -0.0001864 | 7555 | GTEx | DepMap | Descartes | 1.14 | 19.00 |
STON2 | -0.0002357 | 8410 | GTEx | DepMap | Descartes | 0.07 | 4.07 |
Descartes Lyphoid markers
Top 50 marker genes of Lyphoid cells in the Decartes fetal adrenal single cell map (https://atlas.brotmanbaty.org/bbi/human-gene-expression-during-development/cell/lymphoid/in/adrenal)
Wilcoxon ranksum test P-value for gene set overrepresentation: 1.00e+00
Mean rank of genes in gene set: 9676.71
Median rank of genes in gene set: 11592
Rank on gene expression program of top 30 genes in gene set:
Genes | Weight | Rank | GTEx | DepMap | Descartes | Mean.Counts | Mean.TPM |
---|---|---|---|---|---|---|---|
ARID5B | 0.0033304 | 130 | GTEx | DepMap | Descartes | 8.95 | 308.50 |
ETS1 | 0.0005951 | 1053 | GTEx | DepMap | Descartes | 4.99 | 200.60 |
FOXP1 | 0.0004612 | 1278 | GTEx | DepMap | Descartes | 3.99 | 109.56 |
SP100 | 0.0003663 | 1523 | GTEx | DepMap | Descartes | 1.57 | 68.32 |
NCALD | 0.0002336 | 2049 | GTEx | DepMap | Descartes | 0.33 | 25.51 |
ARHGAP15 | 0.0000917 | 2996 | GTEx | DepMap | Descartes | 0.41 | 33.76 |
MSN | 0.0000141 | 3840 | GTEx | DepMap | Descartes | 2.84 | 157.34 |
RCSD1 | -0.0000129 | 4235 | GTEx | DepMap | Descartes | 0.18 | 7.72 |
DOCK10 | -0.0000632 | 5047 | GTEx | DepMap | Descartes | 0.49 | 17.60 |
ITPKB | -0.0000912 | 5606 | GTEx | DepMap | Descartes | 0.81 | 28.67 |
STK39 | -0.0003207 | 9693 | GTEx | DepMap | Descartes | 0.19 | 15.46 |
PITPNC1 | -0.0003366 | 9869 | GTEx | DepMap | Descartes | 1.09 | 36.43 |
BCL2 | -0.0003785 | 10325 | GTEx | DepMap | Descartes | 0.45 | 12.97 |
CCND3 | -0.0004543 | 10956 | GTEx | DepMap | Descartes | 0.31 | 26.55 |
MCTP2 | -0.0004869 | 11166 | GTEx | DepMap | Descartes | 0.02 | 0.23 |
SAMD3 | -0.0005152 | 11333 | GTEx | DepMap | Descartes | 0.02 | 1.13 |
B2M | -0.0005207 | 11365 | GTEx | DepMap | Descartes | 44.35 | 4154.85 |
SCML4 | -0.0005448 | 11488 | GTEx | DepMap | Descartes | 0.02 | 1.20 |
SKAP1 | -0.0005502 | 11521 | GTEx | DepMap | Descartes | 0.00 | 0.15 |
CD44 | -0.0005543 | 11537 | GTEx | DepMap | Descartes | 5.08 | 234.94 |
PLEKHA2 | -0.0005586 | 11556 | GTEx | DepMap | Descartes | 0.66 | 26.11 |
BACH2 | -0.0005787 | 11628 | GTEx | DepMap | Descartes | 0.18 | 4.24 |
RAP1GAP2 | -0.0005816 | 11637 | GTEx | DepMap | Descartes | 0.07 | 2.03 |
ANKRD44 | -0.0006171 | 11733 | GTEx | DepMap | Descartes | 0.19 | 6.06 |
TOX | -0.0006846 | 11928 | GTEx | DepMap | Descartes | 0.01 | 0.10 |
MBNL1 | -0.0007368 | 12059 | GTEx | DepMap | Descartes | 2.43 | 91.70 |
ARHGDIB | -0.0008006 | 12179 | GTEx | DepMap | Descartes | 2.63 | 487.99 |
LEF1 | -0.0008456 | 12242 | GTEx | DepMap | Descartes | 0.19 | 9.02 |
PDE3B | -0.0009327 | 12334 | GTEx | DepMap | Descartes | 0.04 | 0.79 |
EVL | -0.0009431 | 12345 | GTEx | DepMap | Descartes | 0.81 | 47.18 |
Below shows the ranks on this GEP for immune marker gene lists curated by CellTypist (https://www.celltypist.org/encyclopedia).
High ranks indicate this gene is a driver of this GEP.
These curated gene list are ranked by P-value (on this GEP) of their constituent genes.
The Mean Count column shows the mean read count in cells scoring highly (H > 50) on this gene expression program.
Genes | Weight | Rank | GTEx | DepMap | Decartes | Mean.Counts | Mean.TPM |
---|---|---|---|---|---|---|---|
PRRX1 | 0.0020463 | 276 | GTEx | DepMap | Descartes | 2.65 | 160.77 |
NTRK2 | 0.0018890 | 310 | GTEx | DepMap | Descartes | 1.16 | 40.04 |
SMOC2 | 0.0016453 | 375 | GTEx | DepMap | Descartes | 1.79 | 148.15 |
EBF2 | 0.0011881 | 521 | GTEx | DepMap | Descartes | 0.52 | 26.95 |
OLFML1 | 0.0004252 | 1351 | GTEx | DepMap | Descartes | 0.44 | 34.90 |
F10 | 0.0002073 | 2166 | GTEx | DepMap | Descartes | 0.15 | 21.79 |
ANGPTL1 | 0.0001534 | 2508 | GTEx | DepMap | Descartes | 0.26 | 17.80 |
PDGFRA | -0.0002019 | 7831 | GTEx | DepMap | Descartes | 1.17 | 34.62 |
SFRP1 | -0.0015958 | 12537 | GTEx | DepMap | Descartes | 0.52 | 21.02 |
B cells: Transitional B cells (curated markers)
immature B cell precursors in the bone marrow which connect Pre-B cells with mature naive B cells and are subject to the process of B cell selection:
Wilcoxon ranksum test P-value for gene set overrepresentation: 4.76e-02
Mean rank of genes in gene set: 230
Rank on gene expression program of genes in gene set:
Genes | Weight | Rank | GTEx | DepMap | Decartes | Mean.Counts | Mean.TPM |
---|---|---|---|---|---|---|---|
MYO1C | 0.0022429 | 230 | GTEx | DepMap | Descartes | 1.88 | 88.95 |
Macrophages: Hofbauer cells (curated markers)
primitive placental resident macrophages with granules and vacuoles found in placenta particularly during early pregnancy:
Wilcoxon ranksum test P-value for gene set overrepresentation: 6.43e-02
Mean rank of genes in gene set: 770
Rank on gene expression program of genes in gene set:
Genes | Weight | Rank | GTEx | DepMap | Decartes | Mean.Counts | Mean.TPM |
---|---|---|---|---|---|---|---|
SCIN | 0.0008249 | 770 | GTEx | DepMap | Descartes | 0.12 | 3.2 |