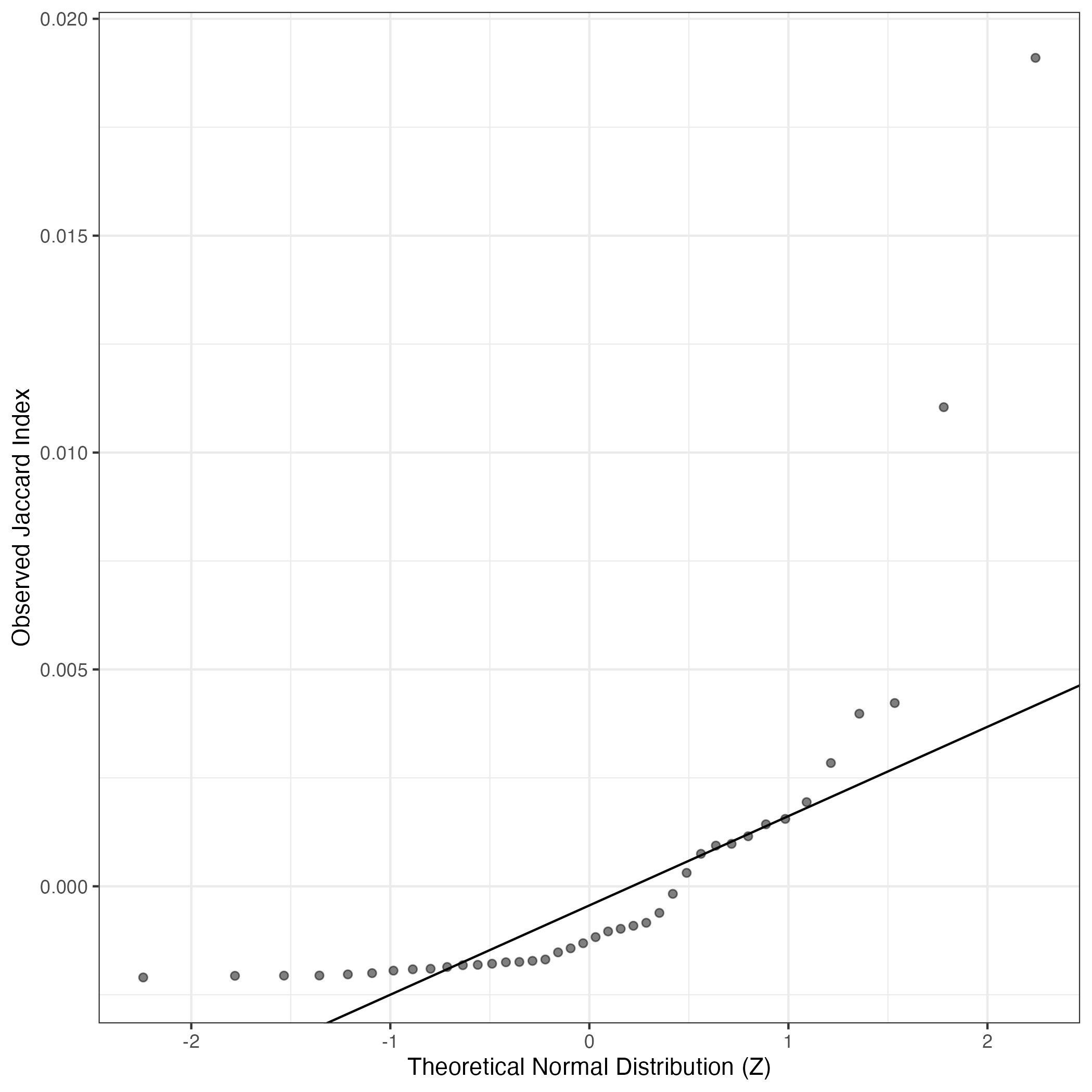
QQ-plot of gene loadings, averaged over both independent splits of the data
This plot highlights the relative contribution of each gene to the GEP
Top genes driving this program.
Note: Decartes website is buggy, try refreshing. Also, Decartes fetal adrenal data have been collected at specific time points (89-122 days), all possible cell types of interest may not be represented, do not overinterpret.
The Mean Count column shows the mean read count in cells scoring highly (H > 50) on this gene expression program.
Gene | Loading | Gene.Name | GTEx | DepMap | Descartes | Mean.Counts | Mean.Tpm | |
---|---|---|---|---|---|---|---|---|
1 | ALAS2 | 0.0642696 | 5’-aminolevulinate synthase 2 | GTEx | DepMap | Descartes | 10.13 | 555.57 |
2 | SELENBP1 | 0.0274233 | selenium binding protein 1 | GTEx | DepMap | Descartes | 1.11 | 34.19 |
3 | SLC25A37 | 0.0265062 | solute carrier family 25 member 37 | GTEx | DepMap | Descartes | 6.62 | 151.57 |
4 | KLC3 | 0.0242573 | kinesin light chain 3 | GTEx | DepMap | Descartes | 0.11 | 4.68 |
5 | SLC4A1 | 0.0203923 | solute carrier family 4 member 1 (Diego blood group) | GTEx | DepMap | Descartes | 0.57 | 10.08 |
6 | GMPR | 0.0193077 | guanosine monophosphate reductase | GTEx | DepMap | Descartes | 1.64 | 117.43 |
7 | NFE2 | 0.0161206 | nuclear factor, erythroid 2 | GTEx | DepMap | Descartes | 0.17 | 7.77 |
8 | MYL4 | 0.0119982 | myosin light chain 4 | GTEx | DepMap | Descartes | 0.53 | 60.55 |
9 | SNCA | 0.0119594 | synuclein alpha | GTEx | DepMap | Descartes | 4.38 | 137.78 |
10 | STRADB | 0.0108294 | STE20 related adaptor beta | GTEx | DepMap | Descartes | 1.72 | 76.15 |
11 | TRIM58 | 0.0089176 | tripartite motif containing 58 | GTEx | DepMap | Descartes | 0.32 | 5.83 |
12 | ARG1 | 0.0083776 | arginase 1 | GTEx | DepMap | Descartes | 0.04 | 2.44 |
13 | RHD | 0.0081725 | Rh blood group D antigen | GTEx | DepMap | Descartes | 0.09 | 3.24 |
14 | SLC14A1 | 0.0076134 | solute carrier family 14 member 1 (Kidd blood group) | GTEx | DepMap | Descartes | 0.21 | 4.48 |
15 | BPGM | 0.0075670 | bisphosphoglycerate mutase | GTEx | DepMap | Descartes | 1.53 | 69.30 |
16 | SLC25A39 | 0.0070849 | solute carrier family 25 member 39 | GTEx | DepMap | Descartes | 4.38 | 215.33 |
17 | GYPC | 0.0066174 | glycophorin C (Gerbich blood group) | GTEx | DepMap | Descartes | 4.53 | 296.75 |
18 | SMOX | 0.0061870 | spermine oxidase | GTEx | DepMap | Descartes | 0.49 | 16.25 |
19 | BLVRB | 0.0060679 | biliverdin reductase B | GTEx | DepMap | Descartes | 2.87 | 205.16 |
20 | UBB | 0.0058407 | ubiquitin B | GTEx | DepMap | Descartes | 22.26 | 2314.27 |
21 | ADIPOR1 | 0.0053585 | adiponectin receptor 1 | GTEx | DepMap | Descartes | 2.30 | 127.50 |
22 | MPP1 | 0.0051541 | MAGUK p55 scaffold protein 1 | GTEx | DepMap | Descartes | 1.04 | 40.99 |
23 | RAP1GAP | 0.0047549 | RAP1 GTPase activating protein | GTEx | DepMap | Descartes | 0.26 | 5.48 |
24 | GFI1B | 0.0044495 | growth factor independent 1B transcriptional repressor | GTEx | DepMap | Descartes | 0.02 | 0.60 |
25 | YBX3 | 0.0044226 | Y-box binding protein 3 | GTEx | DepMap | Descartes | 2.04 | NA |
26 | NCOA4 | 0.0043054 | nuclear receptor coactivator 4 | GTEx | DepMap | Descartes | 1.85 | 51.45 |
27 | NFIX | 0.0040876 | nuclear factor I X | GTEx | DepMap | Descartes | 0.17 | 2.59 |
28 | BNIP3L | 0.0038987 | BCL2 interacting protein 3 like | GTEx | DepMap | Descartes | 2.77 | 83.36 |
29 | FKBP8 | 0.0038749 | FKBP prolyl isomerase 8 | GTEx | DepMap | Descartes | 4.53 | 257.63 |
30 | DCAF12 | 0.0037220 | DDB1 and CUL4 associated factor 12 | GTEx | DepMap | Descartes | 0.70 | 20.10 |
31 | FAM178B | 0.0037072 | family with sequence similarity 178 member B | GTEx | DepMap | Descartes | 0.77 | 15.39 |
32 | FAM210B | 0.0032533 | family with sequence similarity 210 member B | GTEx | DepMap | Descartes | 1.55 | 61.02 |
33 | MAP2K3 | 0.0032470 | mitogen-activated protein kinase kinase 3 | GTEx | DepMap | Descartes | 0.70 | 31.78 |
34 | SMIM1 | 0.0031779 | small integral membrane protein 1 (Vel blood group) | GTEx | DepMap | Descartes | 0.62 | NA |
35 | FBXO7 | 0.0030217 | F-box protein 7 | GTEx | DepMap | Descartes | 1.72 | 23.66 |
36 | SMIM5 | 0.0026517 | small integral membrane protein 5 | GTEx | DepMap | Descartes | 0.04 | NA |
37 | DMTN | 0.0026395 | dematin actin binding protein | GTEx | DepMap | Descartes | 0.87 | NA |
38 | PLEK2 | 0.0025554 | pleckstrin 2 | GTEx | DepMap | Descartes | 0.09 | 6.39 |
39 | TMPRSS9 | 0.0024638 | transmembrane serine protease 9 | GTEx | DepMap | Descartes | 0.02 | 0.35 |
40 | CCNDBP1 | 0.0024631 | cyclin D1 binding protein 1 | GTEx | DepMap | Descartes | 1.26 | 38.83 |
41 | R3HDM4 | 0.0023779 | R3H domain containing 4 | GTEx | DepMap | Descartes | 0.96 | 66.45 |
42 | RNF10 | 0.0022874 | ring finger protein 10 | GTEx | DepMap | Descartes | 1.43 | 41.29 |
43 | MKRN1 | 0.0022791 | makorin ring finger protein 1 | GTEx | DepMap | Descartes | 1.66 | 49.13 |
44 | TUBB1 | 0.0022514 | tubulin beta 1 class VI | GTEx | DepMap | Descartes | 0.00 | 0.00 |
45 | RSPO1 | 0.0021585 | R-spondin 1 | GTEx | DepMap | Descartes | 0.02 | 0.63 |
46 | PITHD1 | 0.0020609 | PITH domain containing 1 | GTEx | DepMap | Descartes | 0.96 | 51.64 |
47 | BCL2L1 | 0.0019883 | BCL2 like 1 | GTEx | DepMap | Descartes | 0.64 | 25.40 |
48 | PRODH | 0.0018877 | proline dehydrogenase 1 | GTEx | DepMap | Descartes | 0.02 | 0.40 |
49 | HPS1 | 0.0018803 | HPS1 biogenesis of lysosomal organelles complex 3 subunit 1 | GTEx | DepMap | Descartes | 0.43 | 11.69 |
50 | GUK1 | 0.0018549 | guanylate kinase 1 | GTEx | DepMap | Descartes | 4.64 | 204.67 |
UMAP plots showing activity of gene expression program identified in GEP 13. Erythroblasts:
CNV Data procured from inferCNV.
Outer tracks are putative CNV regions (gains = red, losses = blue) for each patient
Inner track is expression data representing:
The top cells expressing this GEP (purple)
Random cells (n =50) from the reference set used in inferCNV (orange)
Gene set Enrichments for this program, caculated from top 50 genes
mSigDB Cell Types Gene Set:
P-value | OR | Lower 95% CI | FDR | FWER | Genes Found | Gene Set Size | |
---|---|---|---|---|---|---|---|
HU_FETAL_RETINA_BLOOD | 1.58e-39 | 81.22 | 43.79 | 1.06e-36 | 1.06e-36 | 31ALAS2, SELENBP1, SLC25A37, SLC4A1, GMPR, NFE2, MYL4, SNCA, STRADB, BPGM, SLC25A39, GYPC, BLVRB, UBB, ADIPOR1, MPP1, RAP1GAP, GFI1B, YBX3, NCOA4, DCAF12, FAM210B, SMIM1, FBXO7, SMIM5, DMTN, CCNDBP1, TUBB1, BCL2L1, HPS1, GUK1 |
282 |
DESCARTES_FETAL_INTESTINE_ERYTHROBLASTS | 2.35e-29 | 71.01 | 37.77 | 7.90e-27 | 1.58e-26 | 22ALAS2, SELENBP1, SLC25A37, SLC4A1, GMPR, NFE2, MYL4, SNCA, STRADB, TRIM58, RHD, SLC14A1, BPGM, SLC25A39, BLVRB, GFI1B, DCAF12, FAM210B, SMIM1, DMTN, TUBB1, BCL2L1 |
160 |
DESCARTES_FETAL_KIDNEY_ERYTHROBLASTS | 3.59e-27 | 62.35 | 32.96 | 8.03e-25 | 2.41e-24 | 21ALAS2, SELENBP1, SLC25A37, KLC3, SLC4A1, NFE2, MYL4, SNCA, TRIM58, ARG1, RHD, SLC14A1, BPGM, SLC25A39, BLVRB, GFI1B, FKBP8, DCAF12, MAP2K3, SMIM1, SMIM5 |
166 |
DESCARTES_FETAL_PANCREAS_ERYTHROBLASTS | 1.29e-23 | 59.95 | 30.77 | 2.17e-21 | 8.68e-21 | 18ALAS2, SLC25A37, SLC4A1, GMPR, NFE2, MYL4, SNCA, TRIM58, RHD, SLC14A1, BPGM, SLC25A39, BLVRB, GFI1B, DCAF12, MAP2K3, SMIM1, PLEK2 |
135 |
DESCARTES_FETAL_STOMACH_ERYTHROBLASTS | 1.77e-20 | 62.89 | 30.75 | 2.38e-18 | 1.19e-17 | 15ALAS2, SLC25A37, SLC4A1, NFE2, MYL4, SNCA, STRADB, TRIM58, RHD, SLC14A1, SLC25A39, BLVRB, DCAF12, MAP2K3, TUBB1 |
100 |
DESCARTES_MAIN_FETAL_ERYTHROBLASTS | 5.39e-19 | 31.39 | 16.34 | 6.03e-17 | 3.62e-16 | 18ALAS2, SELENBP1, SLC25A37, SLC4A1, GMPR, SNCA, TRIM58, RHD, SLC14A1, SLC25A39, GYPC, BLVRB, BNIP3L, DCAF12, FAM178B, MAP2K3, FBXO7, DMTN |
242 |
DESCARTES_FETAL_ADRENAL_ERYTHROBLASTS | 1.78e-11 | 30.02 | 13.03 | 1.49e-09 | 1.19e-08 | 10ALAS2, SELENBP1, SLC25A37, SLC4A1, ARG1, RHD, SLC14A1, SLC25A39, BLVRB, FAM178B |
114 |
DESCARTES_FETAL_MUSCLE_ERYTHROBLASTS | 1.78e-09 | 22.48 | 9.40 | 1.19e-07 | 1.19e-06 | 9ALAS2, SELENBP1, SLC25A37, SLC4A1, RHD, SLC14A1, BLVRB, FAM210B, DMTN |
131 |
DESCARTES_FETAL_LIVER_ERYTHROBLASTS | 1.19e-05 | 19.54 | 5.88 | 5.31e-04 | 7.96e-03 | 5ALAS2, SLC25A37, SLC4A1, RHD, SLC14A1 |
76 |
TRAVAGLINI_LUNG_PLATELET_MEGAKARYOCYTE_CELL | 3.44e-11 | 10.98 | 5.70 | 2.56e-09 | 2.31e-08 | 17GMPR, NFE2, SNCA, TRIM58, SMOX, ADIPOR1, MPP1, GFI1B, NCOA4, FKBP8, MAP2K3, SMIM5, DMTN, R3HDM4, MKRN1, TUBB1, BCL2L1 |
604 |
DESCARTES_FETAL_LUNG_MEGAKARYOCYTES | 3.90e-07 | 14.09 | 5.62 | 2.38e-05 | 2.62e-04 | 8GMPR, NFE2, TRIM58, RHD, SMOX, MPP1, GFI1B, TUBB1 |
177 |
HAY_BONE_MARROW_ERYTHROBLAST | 1.26e-13 | 10.06 | 5.53 | 1.20e-11 | 8.43e-11 | 25ALAS2, SELENBP1, SLC25A37, SLC4A1, MYL4, SNCA, STRADB, RHD, SLC25A39, GYPC, BLVRB, MPP1, GFI1B, YBX3, NFIX, FAM178B, FAM210B, MAP2K3, SMIM1, FBXO7, DMTN, PLEK2, TMPRSS9, PITHD1, HPS1 |
1269 |
DESCARTES_FETAL_HEART_MEGAKARYOCYTES | 4.85e-06 | 16.07 | 5.48 | 2.32e-04 | 3.25e-03 | 6NFE2, TRIM58, RHD, MPP1, GFI1B, TUBB1 |
112 |
HAY_BONE_MARROW_PLATELET | 8.93e-07 | 10.43 | 4.41 | 4.99e-05 | 5.99e-04 | 9GMPR, NFE2, TRIM58, SMOX, NCOA4, SMIM5, R3HDM4, TUBB1, BCL2L1 |
272 |
DESCARTES_FETAL_CEREBRUM_MEGAKARYOCYTES | 4.06e-06 | 7.53 | 3.34 | 2.10e-04 | 2.73e-03 | 10GMPR, MYL4, STRADB, TRIM58, RHD, GFI1B, DCAF12, SMIM5, DMTN, TUBB1 |
425 |
DESCARTES_FETAL_SPLEEN_ERYTHROBLASTS | 2.25e-03 | 12.65 | 2.46 | 9.43e-02 | 1.00e+00 | 3SLC4A1, SLC14A1, FAM178B |
66 |
ZHENG_CORD_BLOOD_C2_PUTATIVE_BASOPHIL_EOSINOPHIL_MAST_CELL_PROGENITOR | 6.42e-03 | 8.57 | 1.68 | 2.39e-01 | 1.00e+00 | 3FAM178B, SMIM1, FBXO7 |
96 |
ZHENG_CORD_BLOOD_C1_PUTATIVE_MEGAKARYOCYTE_PROGENITOR | 6.79e-03 | 8.40 | 1.64 | 2.40e-01 | 1.00e+00 | 3GFI1B, DMTN, TUBB1 |
98 |
ZHENG_CORD_BLOOD_C3_MEGAKARYOCYTE_ERYTHROID_PROGENITOR | 7.18e-03 | 8.22 | 1.61 | 2.41e-01 | 1.00e+00 | 3BLVRB, FAM178B, FBXO7 |
100 |
TRAVAGLINI_LUNG_CAPILLARY_AEROCYTE_CELL | 1.20e-02 | 13.01 | 1.48 | 3.67e-01 | 1.00e+00 | 2SLC14A1, UBB |
42 |
Dowload full table
mSigDB Hallmark Gene Sets:
P-value | OR | Lower 95% CI | FDR | FWER | Genes Found | Gene Set Size | |
---|---|---|---|---|---|---|---|
HALLMARK_HEME_METABOLISM | 3.75e-27 | 55.14 | 29.44 | 1.87e-25 | 1.87e-25 | 22ALAS2, SELENBP1, SLC25A37, SLC4A1, NFE2, MYL4, SNCA, TRIM58, RHD, BPGM, GYPC, SMOX, BLVRB, ADIPOR1, MPP1, RAP1GAP, NCOA4, BNIP3L, MAP2K3, FBXO7, DMTN, MKRN1 |
200 |
HALLMARK_XENOBIOTIC_METABOLISM | 7.71e-03 | 5.55 | 1.44 | 1.28e-01 | 3.85e-01 | 4ARG1, SMOX, BLVRB, RAP1GAP |
200 |
HALLMARK_KRAS_SIGNALING_UP | 7.71e-03 | 5.55 | 1.44 | 1.28e-01 | 3.85e-01 | 4ARG1, BPGM, GYPC, PLEK2 |
200 |
HALLMARK_APOPTOSIS | 1.32e-01 | 3.28 | 0.38 | 1.00e+00 | 1.00e+00 | 2BNIP3L, BCL2L1 |
161 |
HALLMARK_HYPOXIA | 1.85e-01 | 2.63 | 0.31 | 1.00e+00 | 1.00e+00 | 2SELENBP1, BNIP3L |
200 |
HALLMARK_INTERFERON_ALPHA_RESPONSE | 3.20e-01 | 2.66 | 0.07 | 1.00e+00 | 1.00e+00 | 1GMPR |
97 |
HALLMARK_ANDROGEN_RESPONSE | 3.28e-01 | 2.58 | 0.06 | 1.00e+00 | 1.00e+00 | 1NCOA4 |
100 |
HALLMARK_PI3K_AKT_MTOR_SIGNALING | 3.41e-01 | 2.45 | 0.06 | 1.00e+00 | 1.00e+00 | 1MAP2K3 |
105 |
HALLMARK_DNA_REPAIR | 4.49e-01 | 1.71 | 0.04 | 1.00e+00 | 1.00e+00 | 1GUK1 |
150 |
HALLMARK_IL2_STAT5_SIGNALING | 5.45e-01 | 1.29 | 0.03 | 1.00e+00 | 1.00e+00 | 1BCL2L1 |
199 |
HALLMARK_TNFA_SIGNALING_VIA_NFKB | 5.47e-01 | 1.28 | 0.03 | 1.00e+00 | 1.00e+00 | 1MAP2K3 |
200 |
HALLMARK_ESTROGEN_RESPONSE_EARLY | 5.47e-01 | 1.28 | 0.03 | 1.00e+00 | 1.00e+00 | 1BLVRB |
200 |
HALLMARK_ESTROGEN_RESPONSE_LATE | 5.47e-01 | 1.28 | 0.03 | 1.00e+00 | 1.00e+00 | 1BLVRB |
200 |
HALLMARK_MYOGENESIS | 5.47e-01 | 1.28 | 0.03 | 1.00e+00 | 1.00e+00 | 1MYL4 |
200 |
HALLMARK_INTERFERON_GAMMA_RESPONSE | 5.47e-01 | 1.28 | 0.03 | 1.00e+00 | 1.00e+00 | 1BPGM |
200 |
HALLMARK_MTORC1_SIGNALING | 5.47e-01 | 1.28 | 0.03 | 1.00e+00 | 1.00e+00 | 1MAP2K3 |
200 |
HALLMARK_KRAS_SIGNALING_DN | 5.47e-01 | 1.28 | 0.03 | 1.00e+00 | 1.00e+00 | 1PRODH |
200 |
HALLMARK_CHOLESTEROL_HOMEOSTASIS | 1.00e+00 | 0.00 | 0.00 | 1.00e+00 | 1.00e+00 | 0 |
74 |
HALLMARK_MITOTIC_SPINDLE | 1.00e+00 | 0.00 | 0.00 | 1.00e+00 | 1.00e+00 | 0 |
199 |
HALLMARK_WNT_BETA_CATENIN_SIGNALING | 1.00e+00 | 0.00 | 0.00 | 1.00e+00 | 1.00e+00 | 0 |
42 |
Dowload full table
KEGG Pathways:
P-value | OR | Lower 95% CI | FDR | FWER | Genes Found | Gene Set Size | |
---|---|---|---|---|---|---|---|
KEGG_PORPHYRIN_AND_CHLOROPHYLL_METABOLISM | 1.15e-02 | 13.35 | 1.52 | 1.00e+00 | 1.00e+00 | 2ALAS2, BLVRB |
41 |
KEGG_AMYOTROPHIC_LATERAL_SCLEROSIS_ALS | 1.87e-02 | 10.20 | 1.17 | 1.00e+00 | 1.00e+00 | 2MAP2K3, BCL2L1 |
53 |
KEGG_ARGININE_AND_PROLINE_METABOLISM | 1.94e-02 | 10.01 | 1.15 | 1.00e+00 | 1.00e+00 | 2ARG1, PRODH |
54 |
KEGG_PARKINSONS_DISEASE | 9.30e-02 | 4.07 | 0.47 | 1.00e+00 | 1.00e+00 | 2SNCA, UBB |
130 |
KEGG_PURINE_METABOLISM | 1.29e-01 | 3.32 | 0.39 | 1.00e+00 | 1.00e+00 | 2GMPR, GUK1 |
159 |
KEGG_THYROID_CANCER | 1.09e-01 | 9.11 | 0.22 | 1.00e+00 | 1.00e+00 | 1NCOA4 |
29 |
KEGG_GLYCINE_SERINE_AND_THREONINE_METABOLISM | 1.16e-01 | 8.50 | 0.20 | 1.00e+00 | 1.00e+00 | 1ALAS2 |
31 |
KEGG_PATHWAYS_IN_CANCER | 3.61e-01 | 1.61 | 0.19 | 1.00e+00 | 1.00e+00 | 2NCOA4, BCL2L1 |
325 |
KEGG_PATHOGENIC_ESCHERICHIA_COLI_INFECTION | 2.00e-01 | 4.64 | 0.11 | 1.00e+00 | 1.00e+00 | 1TUBB1 |
56 |
KEGG_GLYCOLYSIS_GLUCONEOGENESIS | 2.19e-01 | 4.18 | 0.10 | 1.00e+00 | 1.00e+00 | 1BPGM |
62 |
KEGG_ADIPOCYTOKINE_SIGNALING_PATHWAY | 2.34e-01 | 3.86 | 0.09 | 1.00e+00 | 1.00e+00 | 1ADIPOR1 |
67 |
KEGG_PANCREATIC_CANCER | 2.43e-01 | 3.70 | 0.09 | 1.00e+00 | 1.00e+00 | 1BCL2L1 |
70 |
KEGG_CHRONIC_MYELOID_LEUKEMIA | 2.52e-01 | 3.54 | 0.09 | 1.00e+00 | 1.00e+00 | 1BCL2L1 |
73 |
KEGG_FC_EPSILON_RI_SIGNALING_PATHWAY | 2.70e-01 | 3.27 | 0.08 | 1.00e+00 | 1.00e+00 | 1MAP2K3 |
79 |
KEGG_SMALL_CELL_LUNG_CANCER | 2.84e-01 | 3.07 | 0.08 | 1.00e+00 | 1.00e+00 | 1BCL2L1 |
84 |
KEGG_APOPTOSIS | 2.93e-01 | 2.97 | 0.07 | 1.00e+00 | 1.00e+00 | 1BCL2L1 |
87 |
KEGG_GAP_JUNCTION | 3.01e-01 | 2.87 | 0.07 | 1.00e+00 | 1.00e+00 | 1TUBB1 |
90 |
KEGG_GNRH_SIGNALING_PATHWAY | 3.31e-01 | 2.55 | 0.06 | 1.00e+00 | 1.00e+00 | 1MAP2K3 |
101 |
KEGG_TOLL_LIKE_RECEPTOR_SIGNALING_PATHWAY | 3.33e-01 | 2.53 | 0.06 | 1.00e+00 | 1.00e+00 | 1MAP2K3 |
102 |
KEGG_TIGHT_JUNCTION | 4.08e-01 | 1.95 | 0.05 | 1.00e+00 | 1.00e+00 | 1YBX3 |
132 |
Dowload full table
CHR Positional Gene Sets:
P-value | OR | Lower 95% CI | FDR | FWER | Genes Found | Gene Set Size | |
---|---|---|---|---|---|---|---|
chr8p21 | 1.40e-02 | 6.38 | 1.25 | 1.00e+00 | 1.00e+00 | 3SLC25A37, BNIP3L, DMTN |
128 |
chr1p36 | 3.14e-01 | 1.67 | 0.43 | 1.00e+00 | 1.00e+00 | 4RHD, RAP1GAP, SMIM1, PITHD1 |
656 |
chr19p13 | 5.35e-01 | 1.41 | 0.37 | 1.00e+00 | 1.00e+00 | 4NFIX, FKBP8, TMPRSS9, R3HDM4 |
773 |
chr17q21 | 2.57e-01 | 1.76 | 0.35 | 1.00e+00 | 1.00e+00 | 3SLC4A1, MYL4, SLC25A39 |
457 |
chr17p11 | 1.83e-01 | 2.64 | 0.31 | 1.00e+00 | 1.00e+00 | 2UBB, MAP2K3 |
199 |
chr20q13 | 6.68e-01 | 1.31 | 0.15 | 1.00e+00 | 1.00e+00 | 2FAM210B, TUBB1 |
400 |
chr7q33 | 1.87e-01 | 5.00 | 0.12 | 1.00e+00 | 1.00e+00 | 1BPGM |
52 |
chr4q22 | 2.43e-01 | 3.70 | 0.09 | 1.00e+00 | 1.00e+00 | 1SNCA |
70 |
chr18q12 | 3.17e-01 | 2.68 | 0.07 | 1.00e+00 | 1.00e+00 | 1SLC14A1 |
96 |
chr6q23 | 3.44e-01 | 2.43 | 0.06 | 1.00e+00 | 1.00e+00 | 1ARG1 |
106 |
chr20p13 | 3.72e-01 | 2.20 | 0.05 | 1.00e+00 | 1.00e+00 | 1SMOX |
117 |
chr19q13 | 4.39e-01 | 0.45 | 0.05 | 1.00e+00 | 1.00e+00 | 2KLC3, BLVRB |
1165 |
chr15q15 | 4.33e-01 | 1.80 | 0.04 | 1.00e+00 | 1.00e+00 | 1CCNDBP1 |
143 |
chr2q11 | 4.40e-01 | 1.76 | 0.04 | 1.00e+00 | 1.00e+00 | 1FAM178B |
146 |
chr2q14 | 4.57e-01 | 1.67 | 0.04 | 1.00e+00 | 1.00e+00 | 1GYPC |
154 |
chr9p13 | 4.90e-01 | 1.51 | 0.04 | 1.00e+00 | 1.00e+00 | 1DCAF12 |
170 |
chr7q34 | 5.10e-01 | 1.43 | 0.04 | 1.00e+00 | 1.00e+00 | 1MKRN1 |
180 |
chr10q24 | 5.12e-01 | 1.42 | 0.03 | 1.00e+00 | 1.00e+00 | 1HPS1 |
181 |
chr10q11 | 5.18e-01 | 1.39 | 0.03 | 1.00e+00 | 1.00e+00 | 1NCOA4 |
184 |
chr14q24 | 5.31e-01 | 1.34 | 0.03 | 1.00e+00 | 1.00e+00 | 1PLEK2 |
191 |
Dowload full table
Transcription Factor Targets:
P-value | OR | Lower 95% CI | FDR | FWER | Genes Found | Gene Set Size | |
---|---|---|---|---|---|---|---|
GATA_C | 5.80e-04 | 6.51 | 2.25 | 5.01e-01 | 6.58e-01 | 6SLC4A1, RHD, BPGM, BLVRB, GFI1B, DMTN |
268 |
PHB2_TARGET_GENES | 1.03e-03 | 7.19 | 2.20 | 5.01e-01 | 1.00e+00 | 5NFE2, GFI1B, NFIX, FKBP8, GUK1 |
198 |
GATA3_01 | 2.60e-03 | 5.79 | 1.78 | 5.88e-01 | 1.00e+00 | 5SLC4A1, SNCA, RHD, DMTN, BCL2L1 |
245 |
GATAAGR_GATA_C | 5.94e-03 | 4.72 | 1.45 | 9.10e-01 | 1.00e+00 | 5SLC4A1, NFE2, RHD, BPGM, DMTN |
299 |
GATA_Q6 | 7.84e-03 | 5.52 | 1.43 | 9.87e-01 | 1.00e+00 | 4SLC4A1, RHD, BPGM, DMTN |
201 |
CBFA2T2_TARGET_GENES | 6.43e-03 | 2.61 | 1.27 | 9.10e-01 | 1.00e+00 | 13SELENBP1, NFE2, RHD, ADIPOR1, NCOA4, NFIX, BNIP3L, FKBP8, FAM178B, RNF10, PITHD1, HPS1, GUK1 |
1694 |
GATA1_03 | 1.54e-02 | 4.49 | 1.17 | 1.00e+00 | 1.00e+00 | 4SLC4A1, NFE2, SNCA, BPGM |
246 |
GATA1_02 | 1.60e-02 | 4.44 | 1.15 | 1.00e+00 | 1.00e+00 | 4SLC4A1, SNCA, SMOX, BCL2L1 |
249 |
HMGB1_TARGET_GENES | 1.94e-02 | 2.33 | 1.08 | 1.00e+00 | 1.00e+00 | 11KLC3, GMPR, SMOX, BLVRB, RAP1GAP, NFIX, FAM210B, MAP2K3, PLEK2, RNF10, MKRN1 |
1523 |
ZNF410_TARGET_GENES | 2.97e-02 | 2.76 | 0.96 | 1.00e+00 | 1.00e+00 | 6MYL4, NFIX, MAP2K3, DMTN, HPS1, GUK1 |
623 |
GCTNWTTGK_UNKNOWN | 3.20e-02 | 3.55 | 0.92 | 1.00e+00 | 1.00e+00 | 4SNCA, STRADB, UBB, RNF10 |
310 |
MIF1_01 | 3.64e-02 | 4.36 | 0.86 | 1.00e+00 | 1.00e+00 | 3SLC25A37, UBB, BCL2L1 |
186 |
CC2D1A_TARGET_GENES | 1.30e-01 | 1.93 | 0.78 | 1.00e+00 | 1.00e+00 | 8GMPR, NFE2, NFIX, FKBP8, FAM178B, MAP2K3, BCL2L1, GUK1 |
1245 |
CTGCAGY_UNKNOWN | 6.99e-02 | 2.21 | 0.77 | 1.00e+00 | 1.00e+00 | 6GMPR, RAP1GAP, NFIX, DMTN, CCNDBP1, PITHD1 |
779 |
RYTGCNNRGNAAC_MIF1_01 | 4.93e-02 | 5.92 | 0.69 | 1.00e+00 | 1.00e+00 | 2UBB, BCL2L1 |
90 |
ZFP91_TARGET_GENES | 2.37e-01 | 1.66 | 0.67 | 1.00e+00 | 1.00e+00 | 8SLC25A37, KLC3, GYPC, MPP1, GFI1B, YBX3, NFIX, FKBP8 |
1442 |
MZF1_01 | 6.72e-02 | 3.37 | 0.67 | 1.00e+00 | 1.00e+00 | 3BLVRB, YBX3, NFIX |
240 |
ZNF197_TARGET_GENES | 1.01e-01 | 2.14 | 0.66 | 1.00e+00 | 1.00e+00 | 5NFE2, MYL4, SLC14A1, NFIX, FAM178B |
655 |
GATA1_04 | 7.18e-02 | 3.27 | 0.65 | 1.00e+00 | 1.00e+00 | 3SLC4A1, NFE2, SLC14A1 |
247 |
SREBP1_Q6 | 7.18e-02 | 3.27 | 0.65 | 1.00e+00 | 1.00e+00 | 3SLC25A37, SLC4A1, NFIX |
247 |
Dowload full table
GO Biological Processes:
P-value | OR | Lower 95% CI | FDR | FWER | Genes Found | Gene Set Size | |
---|---|---|---|---|---|---|---|
GOBP_ERYTHROCYTE_DEVELOPMENT | 1.50e-07 | 51.27 | 14.77 | 1.12e-03 | 1.12e-03 | 5ALAS2, SLC4A1, BPGM, FAM210B, DMTN |
32 |
GOBP_MYELOID_CELL_DEVELOPMENT | 5.94e-06 | 22.73 | 6.81 | 2.22e-02 | 4.44e-02 | 5ALAS2, SLC4A1, BPGM, FAM210B, DMTN |
66 |
GOBP_GDP_METABOLIC_PROCESS | 8.35e-04 | 57.69 | 5.91 | 8.92e-01 | 1.00e+00 | 2MPP1, GUK1 |
11 |
GOBP_HEME_METABOLIC_PROCESS | 2.96e-04 | 26.56 | 5.01 | 4.43e-01 | 1.00e+00 | 3ALAS2, SLC25A39, BLVRB |
33 |
GOBP_GMP_METABOLIC_PROCESS | 1.58e-03 | 39.95 | 4.27 | 1.00e+00 | 1.00e+00 | 2MPP1, GUK1 |
15 |
GOBP_PORPHYRIN_CONTAINING_COMPOUND_METABOLIC_PROCESS | 5.25e-04 | 21.53 | 4.11 | 6.55e-01 | 1.00e+00 | 3ALAS2, SLC25A39, BLVRB |
40 |
GOBP_REGULATION_OF_KILLING_OF_CELLS_OF_OTHER_ORGANISM | 1.80e-03 | 37.11 | 3.99 | 1.00e+00 | 1.00e+00 | 2ARG1, BCL2L1 |
16 |
GOBP_ERYTHROCYTE_HOMEOSTASIS | 1.10e-04 | 11.97 | 3.64 | 2.74e-01 | 8.22e-01 | 5ALAS2, SLC4A1, BPGM, FAM210B, DMTN |
121 |
GOBP_MYELOID_CELL_HOMEOSTASIS | 2.54e-04 | 9.92 | 3.03 | 4.43e-01 | 1.00e+00 | 5ALAS2, SLC4A1, BPGM, FAM210B, DMTN |
145 |
GOBP_TETRAPYRROLE_METABOLIC_PROCESS | 1.88e-03 | 13.52 | 2.62 | 1.00e+00 | 1.00e+00 | 3ALAS2, SLC25A39, BLVRB |
62 |
GOBP_GLUTAMINE_FAMILY_AMINO_ACID_CATABOLIC_PROCESS | 5.10e-03 | 20.80 | 2.32 | 1.00e+00 | 1.00e+00 | 2ARG1, PRODH |
27 |
GOBP_REGULATION_OF_MITOCHONDRIAL_MEMBRANE_POTENTIAL | 2.77e-03 | 11.73 | 2.28 | 1.00e+00 | 1.00e+00 | 3UBB, BNIP3L, BCL2L1 |
71 |
GOBP_PIGMENT_METABOLIC_PROCESS | 2.88e-03 | 11.56 | 2.25 | 1.00e+00 | 1.00e+00 | 3ALAS2, SLC25A39, BLVRB |
72 |
GOBP_TETRAPYRROLE_BIOSYNTHETIC_PROCESS | 5.48e-03 | 20.00 | 2.24 | 1.00e+00 | 1.00e+00 | 2ALAS2, SLC25A39 |
28 |
GOBP_GLYCOLYTIC_PROCESS_THROUGH_FRUCTOSE_6_PHOSPHATE | 5.87e-03 | 19.27 | 2.16 | 1.00e+00 | 1.00e+00 | 2SLC4A1, BPGM |
29 |
GOBP_NEGATIVE_REGULATION_OF_ATP_METABOLIC_PROCESS | 5.87e-03 | 19.27 | 2.16 | 1.00e+00 | 1.00e+00 | 2SLC4A1, SNCA |
29 |
GOBP_NEGATIVE_REGULATION_OF_PROTEIN_LOCALIZATION_TO_MEMBRANE | 6.27e-03 | 18.58 | 2.09 | 1.00e+00 | 1.00e+00 | 2DMTN, BCL2L1 |
30 |
GOBP_REGULATION_OF_AUTOPHAGY_OF_MITOCHONDRION | 6.69e-03 | 17.94 | 2.02 | 1.00e+00 | 1.00e+00 | 2BNIP3L, FBXO7 |
31 |
GOBP_NEGATIVE_REGULATION_OF_SIGNAL_TRANSDUCTION_IN_ABSENCE_OF_LIGAND | 7.12e-03 | 17.34 | 1.95 | 1.00e+00 | 1.00e+00 | 2STRADB, BCL2L1 |
32 |
GOBP_IRON_ION_HOMEOSTASIS | 4.74e-03 | 9.61 | 1.88 | 1.00e+00 | 1.00e+00 | 3ALAS2, SLC25A37, NCOA4 |
86 |
Dowload full table
Immunological Gene Sets:
P-value | OR | Lower 95% CI | FDR | FWER | Genes Found | Gene Set Size | |
---|---|---|---|---|---|---|---|
GSE34205_RSV_VS_FLU_INF_INFANT_PBMC_UP | 1.89e-27 | 57.06 | 30.44 | 9.20e-24 | 9.20e-24 | 22ALAS2, SELENBP1, SLC25A37, SLC4A1, MYL4, SNCA, STRADB, SLC14A1, BPGM, SLC25A39, ADIPOR1, RAP1GAP, BNIP3L, DCAF12, FAM210B, FBXO7, PLEK2, CCNDBP1, RNF10, MKRN1, PITHD1, BCL2L1 |
194 |
GSE34205_HEALTHY_VS_RSV_INF_INFANT_PBMC_DN | 1.78e-20 | 38.62 | 20.01 | 4.33e-17 | 8.66e-17 | 18ALAS2, SELENBP1, SLC4A1, GMPR, MYL4, SNCA, STRADB, ARG1, BPGM, BLVRB, ADIPOR1, MPP1, RAP1GAP, BNIP3L, DCAF12, FBXO7, RNF10, MKRN1 |
200 |
GSE6269_FLU_VS_STREP_PNEUMO_INF_PBMC_DN | 5.43e-05 | 10.27 | 3.53 | 7.75e-02 | 2.65e-01 | 6SNCA, SLC14A1, ADIPOR1, YBX3, NCOA4, BNIP3L |
172 |
GSE6269_HEALTHY_VS_STAPH_AUREUS_INF_PBMC_DN | 6.36e-05 | 9.97 | 3.42 | 7.75e-02 | 3.10e-01 | 6SNCA, MPP1, YBX3, BNIP3L, MAP2K3, RNF10 |
177 |
GSE27786_NKCELL_VS_NEUTROPHIL_DN | 1.24e-04 | 8.78 | 3.02 | 1.21e-01 | 6.03e-01 | 6STRADB, ADIPOR1, DCAF12, DMTN, CCNDBP1, PITHD1 |
200 |
GSE6269_HEALTHY_VS_STAPH_PNEUMO_INF_PBMC_DN | 5.24e-04 | 8.42 | 2.57 | 4.25e-01 | 1.00e+00 | 5SLC25A37, SNCA, BLVRB, ADIPOR1, BNIP3L |
170 |
GSE25088_ROSIGLITAZONE_VS_IL4_AND_ROSIGLITAZONE_STIM_STAT6_KO_MACROPHAGE_DAY10_UP | 1.01e-03 | 7.23 | 2.22 | 4.38e-01 | 1.00e+00 | 5SLC25A37, NCOA4, BNIP3L, FKBP8, MKRN1 |
197 |
GSE27786_LIN_NEG_VS_NKCELL_UP | 1.08e-03 | 7.12 | 2.18 | 4.38e-01 | 1.00e+00 | 5RHD, BLVRB, TUBB1, PITHD1, PRODH |
200 |
GSE27786_CD4_TCELL_VS_NKCELL_DN | 1.08e-03 | 7.12 | 2.18 | 4.38e-01 | 1.00e+00 | 5SLC25A39, BLVRB, ADIPOR1, MPP1, NFIX |
200 |
GSE39820_TGFBETA3_IL6_VS_TGFBETA3_IL6_IL23A_TREATED_CD4_TCELL_DN | 1.08e-03 | 7.12 | 2.18 | 4.38e-01 | 1.00e+00 | 5SELENBP1, MYL4, SMOX, YBX3, FBXO7 |
200 |
GSE369_SOCS3_KO_VS_WT_LIVER_POST_IL6_INJECTION_DN | 1.08e-03 | 7.12 | 2.18 | 4.38e-01 | 1.00e+00 | 5MYL4, STRADB, RHD, SLC14A1, BLVRB |
200 |
GSE21774_CD56_BRIGHT_VS_DIM_CD62L_POSITIVE_NK_CELL_UP | 1.08e-03 | 7.12 | 2.18 | 4.38e-01 | 1.00e+00 | 5RHD, BPGM, GYPC, BLVRB, GFI1B |
200 |
GSE6269_FLU_VS_STAPH_AUREUS_INF_PBMC_DN | 4.13e-03 | 6.67 | 1.72 | 9.63e-01 | 1.00e+00 | 4BLVRB, ADIPOR1, MPP1, BNIP3L |
167 |
GSE2706_2H_VS_8H_R848_STIM_DC_UP | 6.95e-03 | 5.72 | 1.48 | 9.63e-01 | 1.00e+00 | 4BLVRB, MPP1, FAM210B, MAP2K3 |
194 |
GSE9509_LPS_VS_LPS_AND_IL10_STIM_IL10_KO_MACROPHAGE_20MIN_UP | 6.95e-03 | 5.72 | 1.48 | 9.63e-01 | 1.00e+00 | 4GMPR, GFI1B, FAM210B, SMIM1 |
194 |
GSE34156_NOD2_LIGAND_VS_TLR1_TLR2_LIGAND_6H_TREATED_MONOCYTE_DN | 7.32e-03 | 5.63 | 1.46 | 9.63e-01 | 1.00e+00 | 4SLC25A37, BLVRB, MPP1, NCOA4 |
197 |
GSE19198_6H_VS_24H_IL21_TREATED_TCELL_DN | 7.45e-03 | 5.60 | 1.45 | 9.63e-01 | 1.00e+00 | 4SNCA, BLVRB, MPP1, PITHD1 |
198 |
GSE3039_B2_VS_B1_BCELL_UP | 7.58e-03 | 5.57 | 1.44 | 9.63e-01 | 1.00e+00 | 4ALAS2, SLC25A37, SLC4A1, SNCA |
199 |
GSE22229_UNTREATED_VS_IMMUNOSUPP_THERAPY_RENAL_TRANSPLANT_PATIENT_PBMC_DN | 7.58e-03 | 5.57 | 1.44 | 9.63e-01 | 1.00e+00 | 4SELENBP1, SLC14A1, SMOX, MKRN1 |
199 |
GSE21546_WT_VS_ELK1_KO_DP_THYMOCYTES_UP | 7.58e-03 | 5.57 | 1.44 | 9.63e-01 | 1.00e+00 | 4NFE2, SMOX, YBX3, R3HDM4 |
199 |
Top Ranked Transcription Factors for this Gene Expression Program:
Gene Symbol | TF Rank | DNA Binding Domain | Motif Status | IUPAC PWM | GTEx | DepMap | Decartes |
---|---|---|---|---|---|---|---|
NFE2 | 7 | Yes | Known motif | Monomer or homomultimer | High-throughput in vitro | None | None |
UBB | 20 | No | Unlikely to be sequence specific TF | Not a DNA binding protein | No motif | None | None |
GFI1B | 24 | Yes | Known motif | Monomer or homomultimer | High-throughput in vitro | None | None |
YBX3 | 25 | Yes | Known motif | Monomer or homomultimer | 100 perc ID - in vitro | None | Identical DBD to YBX1. Might also bind RNA. |
NCOA4 | 26 | No | Unlikely to be sequence specific TF | Not a DNA binding protein | No motif | None | None |
NFIX | 27 | Yes | Known motif | Monomer or homomultimer | High-throughput in vitro | None | None |
PLEK2 | 38 | No | Unlikely to be sequence specific TF | Not a DNA binding protein | No motif | None | None |
MKRN1 | 43 | No | ssDNA/RNA binding | Not a DNA binding protein | No motif | None | None |
CAT | 52 | No | Unlikely to be sequence specific TF | Not a DNA binding protein | No motif | None | Protein that breaks down hydrogen peroxide |
TAL1 | 55 | Yes | Known motif | Obligate heteromer | In vivo/Misc source | Only known motifs are from Transfac or HocoMoco - origin is uncertain | No motif yielded from PBMs or HT-SELEX. Binds DNA as heterodimer with TCF3 (PDB:2YPB and PDB:2YPA). |
CTCFL | 66 | Yes | Known motif | Monomer or homomultimer | In vivo/Misc source | None | None |
LYL1 | 69 | Yes | Inferred motif | Obligate heteromer | In vivo/Misc source | None | TAL1, TAL2 and LYL are very similar and have a basic region with a bulky tryptophan inserting into the cluster of the basic residues. Binds DNA as a heterodimer with TCF3 (PDB:2YPB and PDB:2YPA). |
FOXO4 | 90 | Yes | Known motif | Monomer or homomultimer | High-throughput in vitro | None | None |
HSF5 | 94 | Yes | Known motif | Monomer or homomultimer | High-throughput in vitro | None | None |
FANK1 | 101 | No | Unlikely to be sequence specific TF | Not a DNA binding protein | No motif | None | Binds JUN to control its activity (PMID: 20978819), but there is no evidence that it binds DNA itself |
PKHD1L1 | 108 | No | Unlikely to be sequence specific TF | Not a DNA binding protein | No motif | None | Membrane receptor (PMID: 12620974) |
KLF8 | 115 | Yes | Known motif | Monomer or homomultimer | 100 perc ID - in vitro | None | None |
CREG1 | 127 | No | Unlikely to be sequence specific TF | Not a DNA binding protein | No motif | None | Regulates transcription in tethering assays (PMID: 9710587). Unlikely to be a TF, based on the lack of a canonical DBD |
ELF4 | 131 | Yes | Known motif | Monomer or homomultimer | High-throughput in vitro | None | None |
PIM1 | 149 | No | Unlikely to be sequence specific TF | Not a DNA binding protein | No motif | None | Affects transcription by phosphorylating TFs (PMID: 18593906) |
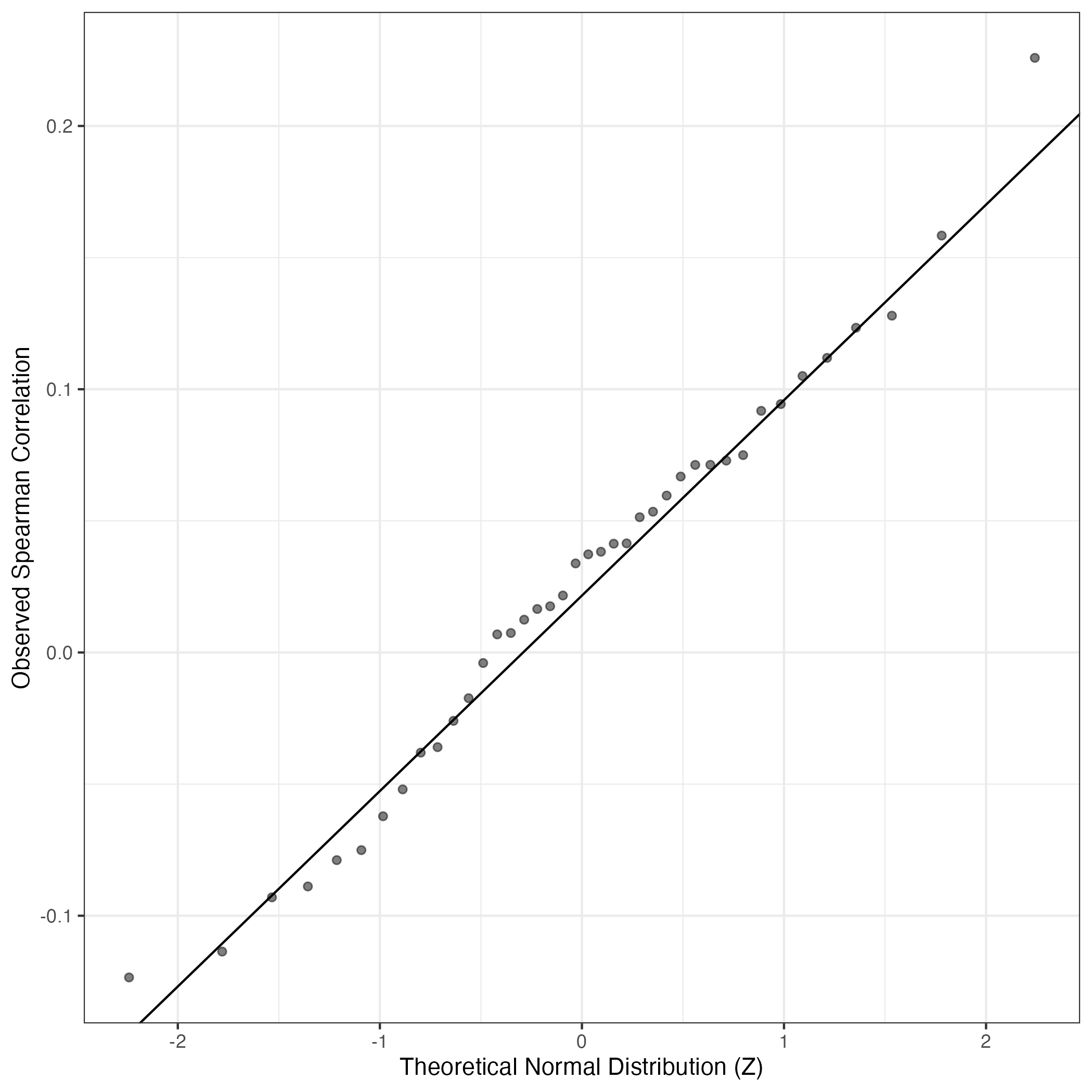
QQ Plot showing correlations with other GEPs in this dataset, calculated by Spearman correlation:
Interactive QQ-plot of gene loadings:
A similar QQ-plot as above, but only for instances where the H value is e.g. > 25, i.e. we are confident that the expression program is active above noise. Agreemenet between these binary vectors is tested using the Jaccard Index, with the P-values calculated by an exact test:
Interactive QQ-plot:
Singler cell type annotations for the top 50 cells on this program.
Cell ID | Singler label | Singler Delta | Activity Score | Top Singler Raw Scores |
---|---|---|---|---|
T92_GATGAAACAAGCGATG.1 | Erythroblast | 0.08 | 747.79 | Raw ScoresBM: 0.14, Erythroblast: 0.14, Pro-Myelocyte: 0.11, MEP: 0.1, CMP: 0.08, Pro-B_cell_CD34+: 0.08, Monocyte: 0.08, Pre-B_cell_CD34-: 0.07, B_cell:immature: 0.07, Endothelial_cells:HUVEC:Borrelia_burgdorferi: 0.07 |
T92_GACGTGCGTAAACGCG.1 | Erythroblast | 0.05 | 562.69 | Raw ScoresErythroblast: 0.14, BM: 0.13, Neurons:adrenal_medulla_cell_line: 0.13, MEP: 0.12, Neuroepithelial_cell:ESC-derived: 0.12, Pro-Myelocyte: 0.12, CMP: 0.11, Tissue_stem_cells:CD326-CD56+: 0.11, Pro-B_cell_CD34+: 0.11, Astrocyte:Embryonic_stem_cell-derived: 0.11 |
T92_GCAATCACAGGCAGTA.1 | BM | 0.07 | 540.10 | Raw ScoresBM: 0.22, B_cell:immature: 0.19, Pro-B_cell_CD34+: 0.19, Pro-Myelocyte: 0.19, Erythroblast: 0.19, Pre-B_cell_CD34-: 0.18, MEP: 0.18, T_cell:CD8+: 0.18, CMP: 0.18, B_cell:Naive: 0.18 |
T92_GTTTCTAAGCCCGAAA.1 | Erythroblast | 0.07 | 503.40 | Raw ScoresErythroblast: 0.15, BM: 0.14, MEP: 0.12, Pro-Myelocyte: 0.12, CMP: 0.1, T_cell:CD8+_naive: 0.1, T_cell:CD8+_effector_memory: 0.1, T_cell:CD8+: 0.09, Pre-B_cell_CD34-: 0.09, T_cell:CD8+_Central_memory: 0.09 |
T92_AGCTCTCTCTCTGCTG.1 | Erythroblast | 0.06 | 475.58 | Raw ScoresErythroblast: 0.17, BM: 0.17, MEP: 0.16, Pro-Myelocyte: 0.15, Pro-B_cell_CD34+: 0.14, CMP: 0.14, B_cell:immature: 0.13, Pre-B_cell_CD34-: 0.13, GMP: 0.13, HSC_CD34+: 0.13 |
T92_AGTGTCACAAGTAATG.1 | Erythroblast | 0.06 | 442.05 | Raw ScoresErythroblast: 0.17, BM: 0.16, MEP: 0.15, Pro-Myelocyte: 0.14, Pro-B_cell_CD34+: 0.13, T_cell:CD8+_naive: 0.13, CMP: 0.13, T_cell:CD8+_effector_memory: 0.13, T_cell:CD8+_Central_memory: 0.13, T_cell:CD4+_central_memory: 0.13 |
T92_GCCAAATAGGCGTACA.1 | BM | 0.07 | 437.32 | Raw ScoresBM: 0.15, Erythroblast: 0.15, MEP: 0.13, Pro-Myelocyte: 0.13, CMP: 0.12, Pro-B_cell_CD34+: 0.12, HSC_CD34+: 0.12, GMP: 0.11, Pre-B_cell_CD34-: 0.1, Endothelial_cells:HUVEC:Borrelia_burgdorferi: 0.1 |
T92_CGTCCATGTGAAAGAG.1 | BM | 0.07 | 409.14 | Raw ScoresErythroblast: 0.16, BM: 0.16, MEP: 0.15, Pro-Myelocyte: 0.14, CMP: 0.13, Pro-B_cell_CD34+: 0.13, Endothelial_cells:HUVEC:FPV-infected: 0.12, HSC_CD34+: 0.12, GMP: 0.12, Endothelial_cells:HUVEC:Borrelia_burgdorferi: 0.12 |
T92_GTGAAGGGTAAGGATT.1 | Erythroblast | 0.06 | 373.33 | Raw ScoresErythroblast: 0.17, BM: 0.17, Pro-Myelocyte: 0.16, MEP: 0.15, CMP: 0.14, Pro-B_cell_CD34+: 0.14, Neurons:adrenal_medulla_cell_line: 0.13, Pre-B_cell_CD34-: 0.13, T_cell:CD8+_naive: 0.13, Myelocyte: 0.13 |
T92_ACGAGCCAGTGACATA.1 | Erythroblast | 0.05 | 356.50 | Raw ScoresErythroblast: 0.19, Neurons:adrenal_medulla_cell_line: 0.18, BM: 0.18, MEP: 0.18, Pro-Myelocyte: 0.17, CMP: 0.17, Pro-B_cell_CD34+: 0.17, Neuroepithelial_cell:ESC-derived: 0.17, iPS_cells:fibroblast-derived:Direct_del._reprog: 0.17, Neurons:Schwann_cell: 0.17 |
T92_AGATCTGGTTCACCTC.1 | Erythroblast | 0.05 | 346.91 | Raw ScoresErythroblast: 0.19, Neurons:adrenal_medulla_cell_line: 0.17, BM: 0.17, MEP: 0.17, Astrocyte:Embryonic_stem_cell-derived: 0.16, Neuroepithelial_cell:ESC-derived: 0.16, Pro-Myelocyte: 0.16, Neurons:Schwann_cell: 0.16, iPS_cells:adipose_stem_cell-derived:lentiviral: 0.16, iPS_cells:fibroblast-derived:Retroviral_transf: 0.16 |
T92_ACGAGGACACTGTTAG.1 | Neurons:adrenal_medulla_cell_line | 0.06 | 324.47 | Raw ScoresNeurons:adrenal_medulla_cell_line: 0.19, MEP: 0.17, CMP: 0.17, Erythroblast: 0.17, BM: 0.17, Pro-B_cell_CD34+: 0.16, Neuroepithelial_cell:ESC-derived: 0.16, Pro-Myelocyte: 0.16, Endothelial_cells:HUVEC:FPV-infected: 0.16, Endothelial_cells:HUVEC:Borrelia_burgdorferi: 0.16 |
T92_TGCGTGGCATCTACGA.1 | Erythroblast | 0.06 | 306.02 | Raw ScoresBM: 0.17, Erythroblast: 0.17, Pro-Myelocyte: 0.15, MEP: 0.15, T_cell:CD8+_naive: 0.13, Pro-B_cell_CD34+: 0.13, CMP: 0.13, T_cell:CD8+_Central_memory: 0.13, T_cell:CD8+_effector_memory: 0.13, HSC_CD34+: 0.13 |
T92_CGTCACTTCGAACGGA.1 | Erythroblast | 0.06 | 297.93 | Raw ScoresErythroblast: 0.2, Neurons:adrenal_medulla_cell_line: 0.19, BM: 0.19, Pro-Myelocyte: 0.19, MEP: 0.19, Pro-B_cell_CD34+: 0.18, Neuroepithelial_cell:ESC-derived: 0.18, iPS_cells:adipose_stem_cell-derived:minicircle-derived: 0.18, iPS_cells:adipose_stem_cell-derived:lentiviral: 0.18, iPS_cells:fibroblast-derived:Retroviral_transf: 0.17 |
T40_CAGGTGCTCGACAGCC.1 | Erythroblast | 0.12 | 288.34 | Raw ScoresMEP: 0.4, Erythroblast: 0.39, CMP: 0.36, Pro-Myelocyte: 0.35, GMP: 0.35, Pro-B_cell_CD34+: 0.35, BM: 0.34, HSC_CD34+: 0.33, T_cell:gamma-delta: 0.32, NK_cell:IL2: 0.31 |
T92_TGGTTCCCAATCACAC.1 | Neurons:adrenal_medulla_cell_line | 0.11 | 286.14 | Raw ScoresNeurons:adrenal_medulla_cell_line: 0.25, Neuroepithelial_cell:ESC-derived: 0.23, iPS_cells:fibroblast-derived:Retroviral_transf: 0.23, iPS_cells:fibroblast-derived:Direct_del._reprog: 0.22, Erythroblast: 0.22, iPS_cells:PDB_1lox-21Puro-20: 0.22, iPS_cells:PDB_1lox-21Puro-26: 0.22, iPS_cells:PDB_1lox-17Puro-10: 0.22, iPS_cells:PDB_1lox-17Puro-5: 0.22, Embryonic_stem_cells: 0.22 |
T92_TAAGCGTAGTTCCACA.1 | BM | 0.05 | 282.92 | Raw ScoresBM: 0.17, Erythroblast: 0.15, Pro-Myelocyte: 0.15, Pre-B_cell_CD34-: 0.15, Pro-B_cell_CD34+: 0.15, Monocyte:CD16-: 0.15, NK_cell:CD56hiCD62L+: 0.14, Monocyte: 0.14, B_cell:immature: 0.14, T_cell:CD4+: 0.14 |
T92_GTACTCCCAATAGCGG.1 | BM | 0.04 | 272.46 | Raw ScoresErythroblast: 0.18, BM: 0.17, MEP: 0.17, Pro-Myelocyte: 0.16, CMP: 0.16, Pro-B_cell_CD34+: 0.16, HSC_CD34+: 0.15, Endothelial_cells:HUVEC:FPV-infected: 0.14, GMP: 0.14, Monocyte:CD16+: 0.14 |
T92_GCTGGGTCAGCGTCCA.1 | Erythroblast | 0.05 | 247.40 | Raw ScoresErythroblast: 0.15, BM: 0.15, Pro-Myelocyte: 0.14, MEP: 0.12, Pro-B_cell_CD34+: 0.12, CMP: 0.12, Neutrophil:GM-CSF_IFNg: 0.11, Monocyte: 0.11, Neurons:adrenal_medulla_cell_line: 0.11, Pre-B_cell_CD34-: 0.11 |
T92_CTGAAACAGTGGGTTG.1 | BM | 0.04 | 211.85 | Raw ScoresBM: 0.17, Pro-Myelocyte: 0.17, Endothelial_cells:HUVEC:Borrelia_burgdorferi: 0.16, Erythroblast: 0.16, Pro-B_cell_CD34+: 0.16, Endothelial_cells:HUVEC:IFNg: 0.16, CMP: 0.16, MEP: 0.16, Endothelial_cells:HUVEC:FPV-infected: 0.15, Neurons:Schwann_cell: 0.15 |
T92_TGTATTCCAGCTGTAT.1 | Neurons:adrenal_medulla_cell_line | 0.12 | 190.64 | Raw ScoresNeurons:adrenal_medulla_cell_line: 0.3, Neuroepithelial_cell:ESC-derived: 0.26, Astrocyte:Embryonic_stem_cell-derived: 0.24, iPS_cells:adipose_stem_cell-derived:minicircle-derived: 0.23, iPS_cells:adipose_stem_cell-derived:lentiviral: 0.23, Tissue_stem_cells:CD326-CD56+: 0.23, Embryonic_stem_cells: 0.23, iPS_cells:PDB_1lox-17Puro-10: 0.23, iPS_cells:PDB_2lox-22: 0.23, iPS_cells:PDB_1lox-21Puro-20: 0.23 |
T92_TACTTGTGTCAGAAGC.1 | BM | 0.04 | 180.67 | Raw ScoresNeurons:adrenal_medulla_cell_line: 0.19, MEP: 0.18, BM: 0.18, Erythroblast: 0.18, Pro-Myelocyte: 0.17, Pro-B_cell_CD34+: 0.17, Neuroepithelial_cell:ESC-derived: 0.17, iPS_cells:CRL2097_foreskin-derived:undiff.: 0.17, iPS_cells:fibroblast-derived:Retroviral_transf: 0.17, iPS_cells:adipose_stem_cell-derived:minicircle-derived: 0.17 |
T69_ACGATGTTCTTCTGGC.1 | Neurons:adrenal_medulla_cell_line | 0.12 | 171.97 | Raw ScoresNeurons:adrenal_medulla_cell_line: 0.3, Neuroepithelial_cell:ESC-derived: 0.27, Astrocyte:Embryonic_stem_cell-derived: 0.25, iPS_cells:CRL2097_foreskin-derived:undiff.: 0.25, iPS_cells:PDB_2lox-22: 0.25, Embryonic_stem_cells: 0.25, Neurons:ES_cell-derived_neural_precursor: 0.25, iPS_cells:PDB_1lox-21Puro-20: 0.24, iPS_cells:PDB_1lox-17Puro-5: 0.24, iPS_cells:adipose_stem_cell-derived:minicircle-derived: 0.24 |
T92_CTAGTGACAGTCAGAG.1 | Neurons:adrenal_medulla_cell_line | 0.04 | 136.93 | Raw ScoresNeurons:adrenal_medulla_cell_line: 0.18, MEP: 0.16, Erythroblast: 0.16, Astrocyte:Embryonic_stem_cell-derived: 0.16, BM: 0.16, iPS_cells:fibroblast-derived:Retroviral_transf: 0.16, Neuroepithelial_cell:ESC-derived: 0.16, Pro-B_cell_CD34+: 0.15, Tissue_stem_cells:CD326-CD56+: 0.15, CMP: 0.15 |
T92_GTCACGGGTTGGTAAA.1 | Erythroblast | 0.06 | 123.05 | Raw ScoresErythroblast: 0.2, BM: 0.19, MEP: 0.19, Neurons:adrenal_medulla_cell_line: 0.18, Pro-Myelocyte: 0.18, CMP: 0.18, Pro-B_cell_CD34+: 0.17, Neuroepithelial_cell:ESC-derived: 0.17, Astrocyte:Embryonic_stem_cell-derived: 0.17, Smooth_muscle_cells:umbilical_vein: 0.17 |
T92_ACGGAGATCTGAGGGA.1 | T_cell:CD8+_naive | 0.05 | 97.36 | Raw ScoresT_cell:CD4+_central_memory: 0.21, T_cell:CD4+_effector_memory: 0.21, T_cell:CD8+_naive: 0.21, T_cell:CD4+_Naive: 0.21, T_cell:CD8+_effector_memory: 0.21, T_cell:CD8+_Central_memory: 0.21, NK_cell: 0.2, T_cell:CD4+: 0.2, T_cell:gamma-delta: 0.2, T_cell:CD8+_effector_memory_RA: 0.2 |
T92_TTTGGTTGTATTACCG.1 | T_cell:CD4+_central_memory | 0.10 | 81.58 | Raw ScoresT_cell:CD4+_central_memory: 0.28, T_cell:CD4+_Naive: 0.27, T_cell:CD4+_effector_memory: 0.27, T_cell:CD4+: 0.27, T_cell:CD8+: 0.26, T_cell:CD8+_effector_memory: 0.25, NK_cell: 0.25, Pre-B_cell_CD34-: 0.25, T_cell:CD8+_naive: 0.25, T_cell:gamma-delta: 0.25 |
T69_CAGATCAGTCATCCCT.1 | Neurons:adrenal_medulla_cell_line | 0.14 | 75.86 | Raw ScoresNeurons:adrenal_medulla_cell_line: 0.33, Neuroepithelial_cell:ESC-derived: 0.29, iPS_cells:PDB_1lox-17Puro-5: 0.27, iPS_cells:PDB_1lox-17Puro-10: 0.27, iPS_cells:PDB_1lox-21Puro-20: 0.27, iPS_cells:CRL2097_foreskin-derived:undiff.: 0.27, Astrocyte:Embryonic_stem_cell-derived: 0.27, iPS_cells:PDB_1lox-21Puro-26: 0.27, iPS_cells:PDB_2lox-22: 0.26, Neurons:ES_cell-derived_neural_precursor: 0.26 |
T92_CAGCATAAGACATAAC.1 | Neurons:adrenal_medulla_cell_line | 0.12 | 75.40 | Raw ScoresNeurons:adrenal_medulla_cell_line: 0.27, Neuroepithelial_cell:ESC-derived: 0.22, Astrocyte:Embryonic_stem_cell-derived: 0.22, iPS_cells:CRL2097_foreskin-derived:undiff.: 0.2, iPS_cells:PDB_2lox-22: 0.2, iPS_cells:fibroblast-derived:Retroviral_transf: 0.2, Embryonic_stem_cells: 0.2, iPS_cells:PDB_2lox-21: 0.2, iPS_cells:PDB_1lox-17Puro-5: 0.2, iPS_cells:PDB_2lox-5: 0.2 |
T92_TACTTACAGGTAGCCA.1 | Neurons:adrenal_medulla_cell_line | 0.14 | 73.73 | Raw ScoresNeurons:adrenal_medulla_cell_line: 0.33, Neuroepithelial_cell:ESC-derived: 0.28, iPS_cells:adipose_stem_cell-derived:minicircle-derived: 0.26, Astrocyte:Embryonic_stem_cell-derived: 0.26, iPS_cells:PDB_2lox-22: 0.26, iPS_cells:adipose_stem_cell-derived:lentiviral: 0.26, iPS_cells:iPS:minicircle-derived: 0.26, iPS_cells:PDB_2lox-17: 0.26, iPS_cells:PDB_1lox-17Puro-10: 0.26, iPS_cells:PDB_1lox-21Puro-20: 0.26 |
T69_CTCGTACAGGTGCTTT.1 | Neurons:adrenal_medulla_cell_line | 0.08 | 73.11 | Raw ScoresNeurons:adrenal_medulla_cell_line: 0.22, Neuroepithelial_cell:ESC-derived: 0.19, iPS_cells:CRL2097_foreskin-derived:undiff.: 0.18, Astrocyte:Embryonic_stem_cell-derived: 0.18, iPS_cells:PDB_1lox-17Puro-5: 0.18, iPS_cells:PDB_2lox-17: 0.18, iPS_cells:PDB_1lox-17Puro-10: 0.18, iPS_cells:fibroblast-derived:Retroviral_transf: 0.18, iPS_cells:PDB_2lox-22: 0.18, iPS_cells:PDB_1lox-21Puro-20: 0.18 |
T92_GCATGTAAGACTAGGC.1 | Neurons:adrenal_medulla_cell_line | 0.19 | 69.21 | Raw ScoresNeurons:adrenal_medulla_cell_line: 0.37, Neuroepithelial_cell:ESC-derived: 0.3, Astrocyte:Embryonic_stem_cell-derived: 0.29, iPS_cells:CRL2097_foreskin-derived:undiff.: 0.26, iPS_cells:PDB_1lox-17Puro-10: 0.26, iPS_cells:PDB_1lox-21Puro-20: 0.26, iPS_cells:PDB_2lox-22: 0.26, iPS_cells:PDB_2lox-21: 0.26, Embryonic_stem_cells: 0.26, iPS_cells:PDB_1lox-17Puro-5: 0.26 |
T69_CACCTTGAGCTCAACT.1 | Neurons:adrenal_medulla_cell_line | 0.14 | 68.14 | Raw ScoresNeurons:adrenal_medulla_cell_line: 0.33, Neuroepithelial_cell:ESC-derived: 0.3, Astrocyte:Embryonic_stem_cell-derived: 0.29, iPS_cells:CRL2097_foreskin-derived:undiff.: 0.27, iPS_cells:PDB_1lox-17Puro-5: 0.27, iPS_cells:PDB_1lox-21Puro-20: 0.27, iPS_cells:PDB_1lox-21Puro-26: 0.27, iPS_cells:PDB_2lox-22: 0.27, iPS_cells:PDB_1lox-17Puro-10: 0.26, iPS_cells:PDB_2lox-17: 0.26 |
T92_AACTCAGAGAGCTGCA.1 | Neurons:adrenal_medulla_cell_line | 0.11 | 66.65 | Raw ScoresNeurons:adrenal_medulla_cell_line: 0.28, Neuroepithelial_cell:ESC-derived: 0.23, iPS_cells:CRL2097_foreskin-derived:undiff.: 0.23, Astrocyte:Embryonic_stem_cell-derived: 0.23, iPS_cells:PDB_2lox-22: 0.22, iPS_cells:adipose_stem_cell-derived:minicircle-derived: 0.22, iPS_cells:adipose_stem_cell-derived:lentiviral: 0.22, iPS_cells:PDB_2lox-17: 0.22, iPS_cells:PDB_2lox-5: 0.22, iPS_cells:PDB_1lox-21Puro-20: 0.22 |
T92_GCTTCCAAGATGCGAC.1 | Neurons:adrenal_medulla_cell_line | 0.13 | 66.37 | Raw ScoresNeurons:adrenal_medulla_cell_line: 0.32, Neuroepithelial_cell:ESC-derived: 0.27, Astrocyte:Embryonic_stem_cell-derived: 0.27, iPS_cells:adipose_stem_cell-derived:minicircle-derived: 0.25, iPS_cells:PDB_2lox-22: 0.25, iPS_cells:adipose_stem_cell-derived:lentiviral: 0.25, iPS_cells:PDB_2lox-17: 0.25, iPS_cells:PDB_1lox-17Puro-10: 0.25, Tissue_stem_cells:CD326-CD56+: 0.25, iPS_cells:iPS:minicircle-derived: 0.25 |
T92_GCCTCTATCGCGTTTC.1 | Neurons:adrenal_medulla_cell_line | 0.15 | 64.99 | Raw ScoresNeurons:adrenal_medulla_cell_line: 0.35, Neuroepithelial_cell:ESC-derived: 0.29, Astrocyte:Embryonic_stem_cell-derived: 0.27, iPS_cells:adipose_stem_cell-derived:minicircle-derived: 0.26, iPS_cells:adipose_stem_cell-derived:lentiviral: 0.26, Embryonic_stem_cells: 0.26, iPS_cells:PDB_2lox-22: 0.26, iPS_cells:CRL2097_foreskin-derived:undiff.: 0.26, iPS_cells:PDB_2lox-21: 0.26, Tissue_stem_cells:CD326-CD56+: 0.26 |
T92_ACTGCTCAGTAATCCC.1 | Neurons:adrenal_medulla_cell_line | 0.17 | 64.47 | Raw ScoresNeurons:adrenal_medulla_cell_line: 0.35, Neuroepithelial_cell:ESC-derived: 0.29, iPS_cells:CRL2097_foreskin-derived:undiff.: 0.27, iPS_cells:PDB_2lox-22: 0.27, iPS_cells:PDB_2lox-21: 0.27, Astrocyte:Embryonic_stem_cell-derived: 0.27, iPS_cells:PDB_2lox-17: 0.26, Tissue_stem_cells:CD326-CD56+: 0.26, iPS_cells:PDB_2lox-5: 0.26, iPS_cells:PDB_1lox-21Puro-20: 0.26 |
T92_GACTAACGTTCCCGAG.1 | Neurons:adrenal_medulla_cell_line | 0.11 | 63.06 | Raw ScoresNeurons:adrenal_medulla_cell_line: 0.25, Neuroepithelial_cell:ESC-derived: 0.22, Astrocyte:Embryonic_stem_cell-derived: 0.21, iPS_cells:fibroblast-derived:Retroviral_transf: 0.2, iPS_cells:CRL2097_foreskin-derived:undiff.: 0.2, iPS_cells:fibroblast-derived:Direct_del._reprog: 0.19, iPS_cells:PDB_2lox-22: 0.19, iPS_cells:PDB_1lox-17Puro-5: 0.19, iPS_cells:PDB_1lox-21Puro-20: 0.19, iPS_cells:adipose_stem_cell-derived:minicircle-derived: 0.19 |
T69_GACGGCTGTGGTCCGT.1 | Neurons:adrenal_medulla_cell_line | 0.12 | 59.63 | Raw ScoresNeurons:adrenal_medulla_cell_line: 0.3, Neuroepithelial_cell:ESC-derived: 0.27, Astrocyte:Embryonic_stem_cell-derived: 0.26, Neurons:ES_cell-derived_neural_precursor: 0.24, Embryonic_stem_cells: 0.24, iPS_cells:CRL2097_foreskin-derived:undiff.: 0.24, iPS_cells:PDB_2lox-22: 0.24, iPS_cells:PDB_1lox-21Puro-20: 0.24, iPS_cells:PDB_1lox-17Puro-5: 0.24, iPS_cells:PDB_2lox-5: 0.24 |
T92_GACAGAGGTAAGTTCC.1 | B_cell:immature | 0.07 | 56.55 | Raw ScoresB_cell:immature: 0.21, B_cell:Naive: 0.21, B_cell:Memory: 0.21, B_cell: 0.2, Monocyte:CD16+: 0.2, Pro-B_cell_CD34+: 0.2, B_cell:Plasma_cell: 0.2, Monocyte:CD16-: 0.2, Monocyte:CD14+: 0.2, Pre-B_cell_CD34-: 0.2 |
T69_TCTCTAAGTGGTGTAG.1 | Neurons:adrenal_medulla_cell_line | 0.13 | 56.13 | Raw ScoresNeurons:adrenal_medulla_cell_line: 0.3, Neuroepithelial_cell:ESC-derived: 0.27, Astrocyte:Embryonic_stem_cell-derived: 0.26, iPS_cells:CRL2097_foreskin-derived:undiff.: 0.25, iPS_cells:PDB_1lox-17Puro-5: 0.25, Embryonic_stem_cells: 0.25, iPS_cells:PDB_1lox-21Puro-20: 0.25, iPS_cells:PDB_1lox-17Puro-10: 0.25, Neurons:ES_cell-derived_neural_precursor: 0.24, iPS_cells:PDB_2lox-22: 0.24 |
T162_AGTGACTCACCAAAGG-1 | Neurons:adrenal_medulla_cell_line | 0.08 | 56.10 | Raw ScoresNeurons:adrenal_medulla_cell_line: 0.23, Neuroepithelial_cell:ESC-derived: 0.2, Astrocyte:Embryonic_stem_cell-derived: 0.2, iPS_cells:CRL2097_foreskin-derived:undiff.: 0.19, iPS_cells:PDB_1lox-21Puro-26: 0.19, iPS_cells:PDB_1lox-21Puro-20: 0.19, iPS_cells:PDB_1lox-17Puro-5: 0.19, iPS_cells:PDB_2lox-22: 0.19, Embryonic_stem_cells: 0.19, iPS_cells:iPS:minicircle-derived: 0.19 |
T92_CTAGAGTTCAGTGCAT.1 | Neurons:adrenal_medulla_cell_line | 0.09 | 55.23 | Raw ScoresNeurons:adrenal_medulla_cell_line: 0.27, Neuroepithelial_cell:ESC-derived: 0.24, iPS_cells:PDB_2lox-17: 0.23, iPS_cells:PDB_2lox-22: 0.23, iPS_cells:skin_fibroblast-derived: 0.23, iPS_cells:iPS:minicircle-derived: 0.23, iPS_cells:PDB_2lox-21: 0.23, iPS_cells:adipose_stem_cell-derived:minicircle-derived: 0.23, iPS_cells:adipose_stem_cell-derived:lentiviral: 0.23, iPS_cells:PDB_1lox-21Puro-20: 0.23 |
T92_CCGTGGAAGCGTAATA.1 | T_cell:CD8+_effector_memory | 0.08 | 54.92 | Raw ScoresT_cell:CD8+_effector_memory: 0.23, T_cell:CD8+_naive: 0.22, T_cell:CD4+_central_memory: 0.22, T_cell:CD4+_Naive: 0.22, T_cell:CD8+: 0.22, T_cell:CD8+_Central_memory: 0.22, T_cell:CD4+_effector_memory: 0.21, T_cell:CD4+: 0.21, T_cell:CD8+_effector_memory_RA: 0.21, T_cell:gamma-delta: 0.21 |
T69_ATTATCCCAAGAGGCT.1 | Neurons:adrenal_medulla_cell_line | 0.14 | 53.38 | Raw ScoresNeurons:adrenal_medulla_cell_line: 0.33, Neuroepithelial_cell:ESC-derived: 0.3, Astrocyte:Embryonic_stem_cell-derived: 0.29, iPS_cells:PDB_2lox-22: 0.28, iPS_cells:PDB_1lox-17Puro-5: 0.28, iPS_cells:CRL2097_foreskin-derived:undiff.: 0.28, iPS_cells:PDB_1lox-21Puro-20: 0.28, iPS_cells:PDB_2lox-17: 0.28, iPS_cells:PDB_2lox-21: 0.28, iPS_cells:PDB_1lox-21Puro-26: 0.28 |
T69_CACACAATCTAACCGA.1 | Neurons:adrenal_medulla_cell_line | 0.13 | 51.99 | Raw ScoresNeurons:adrenal_medulla_cell_line: 0.32, Neuroepithelial_cell:ESC-derived: 0.28, Astrocyte:Embryonic_stem_cell-derived: 0.27, iPS_cells:PDB_2lox-5: 0.25, iPS_cells:CRL2097_foreskin-derived:undiff.: 0.25, Neurons:ES_cell-derived_neural_precursor: 0.25, iPS_cells:PDB_2lox-22: 0.25, iPS_cells:PDB_2lox-17: 0.25, iPS_cells:PDB_2lox-21: 0.25, iPS_cells:PDB_1lox-17Puro-5: 0.25 |
T69_AGAGCTTCACCGATAT.1 | Smooth_muscle_cells:vascular:IL-17 | 0.14 | 50.55 | Raw ScoresFibroblasts:breast: 0.28, Smooth_muscle_cells:vascular:IL-17: 0.28, Chondrocytes:MSC-derived: 0.28, Smooth_muscle_cells:vascular: 0.28, iPS_cells:adipose_stem_cells: 0.27, Tissue_stem_cells:BM_MSC:TGFb3: 0.27, Tissue_stem_cells:BM_MSC: 0.27, Tissue_stem_cells:BM_MSC:BMP2: 0.26, Fibroblasts:foreskin: 0.26, Smooth_muscle_cells:bronchial: 0.26 |
Below shows the significant enrichments of this GEP for literature curated gene lists
This data was procured from existing single cell RNA-seq maps of neuroblastoma or related relevant data.
High ranks indicate this gene is a driver of this GEP.
These curated gene list are ranked by the P-value (on this GEP) of their constituent genes.
The Mean Count column shows the mean read count in cells scoring highly (H > 50) on this gene expression program.
Genes | Weight | Rank | GTEx | DepMap | Decartes | Mean.Counts | Mean.TPM |
---|---|---|---|---|---|---|---|
C7 | 0.0000074 | 448 | GTEx | DepMap | Descartes | 0.00 | 0.00 |
CFB | -0.0000697 | 1243 | GTEx | DepMap | Descartes | 0.02 | 0.81 |
CXCL14 | -0.0000707 | 1262 | GTEx | DepMap | Descartes | 0.02 | 1.93 |
IL33 | -0.0000788 | 1359 | GTEx | DepMap | Descartes | 0.00 | 0.00 |
LIF | -0.0000840 | 1435 | GTEx | DepMap | Descartes | 0.06 | 1.62 |
SCARA5 | -0.0000938 | 1570 | GTEx | DepMap | Descartes | 0.00 | 0.00 |
PDGFD | -0.0001114 | 1841 | GTEx | DepMap | Descartes | 0.00 | 0.00 |
CFD | -0.0001120 | 1845 | GTEx | DepMap | Descartes | 0.06 | 5.95 |
IL10 | -0.0001223 | 2004 | GTEx | DepMap | Descartes | 0.02 | 1.19 |
CXCL12 | -0.0001308 | 2123 | GTEx | DepMap | Descartes | 0.02 | 0.59 |
IL1R1 | -0.0001541 | 2458 | GTEx | DepMap | Descartes | 0.04 | 0.81 |
IGFBP6 | -0.0001696 | 2697 | GTEx | DepMap | Descartes | 0.02 | 0.93 |
PDPN | -0.0001719 | 2729 | GTEx | DepMap | Descartes | 0.04 | 1.35 |
IGF1 | -0.0001753 | 2782 | GTEx | DepMap | Descartes | 0.00 | 0.00 |
CXCL2 | -0.0002246 | 3435 | GTEx | DepMap | Descartes | 1.96 | 172.68 |
CCL2 | -0.0002319 | 3540 | GTEx | DepMap | Descartes | 0.04 | 3.37 |
PDGFRB | -0.0002331 | 3565 | GTEx | DepMap | Descartes | 0.09 | 1.51 |
C3 | -0.0002368 | 3617 | GTEx | DepMap | Descartes | 0.26 | 4.80 |
SCARA3 | -0.0002723 | 4147 | GTEx | DepMap | Descartes | 0.02 | 0.41 |
GPX3 | -0.0003169 | 4825 | GTEx | DepMap | Descartes | 0.11 | 7.66 |
SOD2 | -0.0003645 | 5511 | GTEx | DepMap | Descartes | 0.74 | 5.19 |
SERPING1 | -0.0004112 | 6227 | GTEx | DepMap | Descartes | 0.09 | 3.42 |
PDGFRA | -0.0004159 | 6299 | GTEx | DepMap | Descartes | 0.04 | 0.57 |
RGMA | -0.0004446 | 6720 | GTEx | DepMap | Descartes | 0.02 | 0.14 |
HGF | -0.0004922 | 7392 | GTEx | DepMap | Descartes | 0.02 | 0.66 |
Myofibroblastic CAF
These marker genes were curated across cancer subtypes in multiple organ systems as reviewed in Lavie et. al. (PMID 35883004) and contain myofibroblastic specific CAF genes:
Wilcoxon ranksum test P-value for gene set overrepresentation: 3.34e-05
Mean rank of genes in gene set: 4215.27
Rank on gene expression program of genes in gene set:
Genes | Weight | Rank | GTEx | DepMap | Decartes | Mean.Counts | Mean.TPM |
---|---|---|---|---|---|---|---|
POSTN | 0.0000366 | 384 | GTEx | DepMap | Descartes | 0.00 | 0.00 |
TNC | -0.0000163 | 557 | GTEx | DepMap | Descartes | 0.04 | 1.27 |
COL10A1 | -0.0000285 | 716 | GTEx | DepMap | Descartes | 0.00 | 0.00 |
IGFBP3 | -0.0000319 | 773 | GTEx | DepMap | Descartes | 0.00 | 0.00 |
PGF | -0.0000652 | 1173 | GTEx | DepMap | Descartes | 0.23 | 6.86 |
ITGA7 | -0.0000888 | 1498 | GTEx | DepMap | Descartes | 0.04 | 0.64 |
COL13A1 | -0.0001192 | 1949 | GTEx | DepMap | Descartes | 0.00 | 0.00 |
THBS2 | -0.0001405 | 2264 | GTEx | DepMap | Descartes | 0.00 | 0.00 |
COL5A1 | -0.0001473 | 2362 | GTEx | DepMap | Descartes | 0.00 | 0.00 |
ACTG2 | -0.0001480 | 2378 | GTEx | DepMap | Descartes | 0.00 | 0.00 |
BGN | -0.0001520 | 2426 | GTEx | DepMap | Descartes | 0.02 | 0.89 |
VEGFA | -0.0001546 | 2466 | GTEx | DepMap | Descartes | 0.21 | 2.06 |
LUM | -0.0001580 | 2511 | GTEx | DepMap | Descartes | 0.02 | 1.43 |
COL11A1 | -0.0001646 | 2620 | GTEx | DepMap | Descartes | 0.00 | 0.00 |
COL1A1 | -0.0001661 | 2633 | GTEx | DepMap | Descartes | 0.15 | 2.48 |
DCN | -0.0001710 | 2719 | GTEx | DepMap | Descartes | 0.11 | 1.53 |
FN1 | -0.0001780 | 2821 | GTEx | DepMap | Descartes | 0.02 | 0.23 |
COL8A1 | -0.0001926 | 3012 | GTEx | DepMap | Descartes | 0.09 | 1.47 |
COL3A1 | -0.0002008 | 3125 | GTEx | DepMap | Descartes | 0.17 | 3.05 |
COL1A2 | -0.0002031 | 3151 | GTEx | DepMap | Descartes | 0.17 | 2.79 |
TGFB2 | -0.0002167 | 3329 | GTEx | DepMap | Descartes | 0.00 | 0.00 |
WNT5A | -0.0002203 | 3384 | GTEx | DepMap | Descartes | 0.00 | 0.00 |
COL15A1 | -0.0002266 | 3465 | GTEx | DepMap | Descartes | 0.00 | 0.00 |
MMP11 | -0.0002279 | 3486 | GTEx | DepMap | Descartes | 0.00 | 0.00 |
COL12A1 | -0.0002472 | 3784 | GTEx | DepMap | Descartes | 0.00 | 0.00 |
COL5A2 | -0.0002547 | 3892 | GTEx | DepMap | Descartes | 0.00 | 0.00 |
COL4A1 | -0.0002596 | 3967 | GTEx | DepMap | Descartes | 0.00 | 0.00 |
ACTA2 | -0.0002708 | 4133 | GTEx | DepMap | Descartes | 0.06 | 7.06 |
MYH11 | -0.0002781 | 4230 | GTEx | DepMap | Descartes | 0.00 | 0.00 |
MYLK | -0.0002805 | 4268 | GTEx | DepMap | Descartes | 0.06 | 0.63 |
THBS1 | -0.0002878 | 4398 | GTEx | DepMap | Descartes | 0.06 | 0.81 |
TAGLN | -0.0002907 | 4439 | GTEx | DepMap | Descartes | 0.00 | 0.00 |
MYL9 | -0.0002945 | 4501 | GTEx | DepMap | Descartes | 0.04 | 1.50 |
COL14A1 | -0.0003009 | 4605 | GTEx | DepMap | Descartes | 0.00 | 0.00 |
MMP2 | -0.0003083 | 4715 | GTEx | DepMap | Descartes | 0.09 | 1.79 |
HOPX | -0.0003179 | 4844 | GTEx | DepMap | Descartes | 0.00 | 0.00 |
MEF2C | -0.0003308 | 5028 | GTEx | DepMap | Descartes | 0.06 | 0.83 |
TGFBR2 | -0.0003339 | 5072 | GTEx | DepMap | Descartes | 0.02 | 0.19 |
IGFBP7 | -0.0003609 | 5455 | GTEx | DepMap | Descartes | 0.11 | 8.03 |
TMEM119 | -0.0004039 | 6123 | GTEx | DepMap | Descartes | 0.02 | 0.41 |
THY1 | -0.0004267 | 6463 | GTEx | DepMap | Descartes | 0.13 | 3.66 |
TGFBR1 | -0.0004705 | 7083 | GTEx | DepMap | Descartes | 0.13 | 2.25 |
TPM2 | -0.0004871 | 7322 | GTEx | DepMap | Descartes | 0.00 | 0.00 |
CNN2 | -0.0005118 | 7677 | GTEx | DepMap | Descartes | 0.00 | 0.00 |
TGFB1 | -0.0006228 | 8975 | GTEx | DepMap | Descartes | 0.02 | 0.41 |
TPM1 | -0.0006597 | 9349 | GTEx | DepMap | Descartes | 0.89 | 21.09 |
VCAN | -0.0007088 | 9766 | GTEx | DepMap | Descartes | 0.26 | 3.95 |
CNN3 | -0.0008428 | 10626 | GTEx | DepMap | Descartes | 0.38 | 17.20 |
RGS5 | -0.0008433 | 10631 | GTEx | DepMap | Descartes | 6.68 | 109.55 |
Mesenchymal Fig 1D (Olsen)
Selected mesenchymal marker genes shown in Fig. 1D of Olsen et al. https://www.biorxiv.org/content/10.1101/2020.05.04.077057v1 - these are highly expressed in their mesenchymal cluster on their UMAP.:
Wilcoxon ranksum test P-value for gene set overrepresentation: 2.72e-03
Mean rank of genes in gene set: 3483.85
Rank on gene expression program of genes in gene set:
Genes | Weight | Rank | GTEx | DepMap | Decartes | Mean.Counts | Mean.TPM |
---|---|---|---|---|---|---|---|
MGP | 0.0000192 | 415 | GTEx | DepMap | Descartes | 0.26 | 15.22 |
PRRX1 | -0.0001100 | 1807 | GTEx | DepMap | Descartes | 0.00 | 0.00 |
BGN | -0.0001520 | 2426 | GTEx | DepMap | Descartes | 0.02 | 0.89 |
LUM | -0.0001580 | 2511 | GTEx | DepMap | Descartes | 0.02 | 1.43 |
COL6A2 | -0.0001582 | 2516 | GTEx | DepMap | Descartes | 0.21 | 7.01 |
COL1A1 | -0.0001661 | 2633 | GTEx | DepMap | Descartes | 0.15 | 2.48 |
DCN | -0.0001710 | 2719 | GTEx | DepMap | Descartes | 0.11 | 1.53 |
COL3A1 | -0.0002008 | 3125 | GTEx | DepMap | Descartes | 0.17 | 3.05 |
COL1A2 | -0.0002031 | 3151 | GTEx | DepMap | Descartes | 0.17 | 2.79 |
LEPR | -0.0002035 | 3153 | GTEx | DepMap | Descartes | 0.02 | 0.14 |
SPARC | -0.0003219 | 4903 | GTEx | DepMap | Descartes | 0.11 | 3.90 |
PDGFRA | -0.0004159 | 6299 | GTEx | DepMap | Descartes | 0.04 | 0.57 |
CALD1 | -0.0006919 | 9632 | GTEx | DepMap | Descartes | 0.28 | 8.67 |
Below shows ranks on this GEP for literature curated gene lists for large gene sets
These include those reported as mesenchymal/adrenergic by Van Groningen et al.
High ranks indicate this gene is a driver of this GEP (note these results are not ordered).
The Mean Count column shows the mean read count in cells scoring highly (H > 50) on this gene expression program.
VanGroningen Adrenergic Genes
Adrenergic marker genes from Supplementary Table 2 of Van Groningen et al. Nature Genetics 2017. These genes were identified by differential expression analysis of mesenchymal-like and adrenergic-like neuroblastoma cell lines.
Wilcoxon ranksum test P-value for gene set overrepresentation: 1.00e+00
Mean rank of genes in gene set: 9289.65
Median rank of genes in gene set: 10166
Rank on gene expression program of top 30 genes in gene set:
Genes | Weight | Rank | GTEx | DepMap | Descartes | Mean.Counts | Mean.TPM |
---|---|---|---|---|---|---|---|
UCP2 | 0.0003521 | 134 | GTEx | DepMap | Descartes | 0.64 | 30.17 |
HK2 | 0.0003041 | 148 | GTEx | DepMap | Descartes | 0.06 | 1.69 |
MYRIP | 0.0000283 | 400 | GTEx | DepMap | Descartes | 0.02 | 0.75 |
SHC3 | -0.0000532 | 1014 | GTEx | DepMap | Descartes | 0.00 | 0.00 |
BEND4 | -0.0000764 | 1327 | GTEx | DepMap | Descartes | 0.04 | 0.53 |
STRA6 | -0.0000956 | 1603 | GTEx | DepMap | Descartes | 0.02 | 0.58 |
GLDC | -0.0001345 | 2177 | GTEx | DepMap | Descartes | 0.00 | 0.00 |
DIABLO | -0.0001535 | 2447 | GTEx | DepMap | Descartes | 0.17 | 8.72 |
CACNA2D2 | -0.0001710 | 2720 | GTEx | DepMap | Descartes | 0.06 | 0.75 |
MXI1 | -0.0001743 | 2767 | GTEx | DepMap | Descartes | 0.45 | 19.64 |
RRM2 | -0.0001897 | 2961 | GTEx | DepMap | Descartes | 0.13 | 2.12 |
NGRN | -0.0001923 | 3005 | GTEx | DepMap | Descartes | 0.26 | 7.89 |
RNF144A | -0.0001931 | 3022 | GTEx | DepMap | Descartes | 0.17 | 2.94 |
KIF15 | -0.0002115 | 3253 | GTEx | DepMap | Descartes | 0.06 | 0.95 |
HS6ST2 | -0.0002145 | 3300 | GTEx | DepMap | Descartes | 0.04 | 0.62 |
RNFT2 | -0.0002164 | 3318 | GTEx | DepMap | Descartes | 0.32 | 7.83 |
PDK1 | -0.0002225 | 3404 | GTEx | DepMap | Descartes | 0.06 | 0.31 |
TIAM1 | -0.0002274 | 3481 | GTEx | DepMap | Descartes | 0.04 | 1.66 |
FOXM1 | -0.0002328 | 3557 | GTEx | DepMap | Descartes | 0.23 | 6.17 |
CDCA5 | -0.0002447 | 3742 | GTEx | DepMap | Descartes | 0.19 | 6.60 |
POPDC3 | -0.0002572 | 3926 | GTEx | DepMap | Descartes | 0.00 | 0.00 |
TBPL1 | -0.0002574 | 3929 | GTEx | DepMap | Descartes | 0.57 | 18.33 |
GRB10 | -0.0002603 | 3980 | GTEx | DepMap | Descartes | 0.06 | 1.31 |
RET | -0.0002669 | 4067 | GTEx | DepMap | Descartes | 0.00 | 0.00 |
ESRRG | -0.0002745 | 4183 | GTEx | DepMap | Descartes | 0.00 | 0.00 |
CDKN3 | -0.0002839 | 4335 | GTEx | DepMap | Descartes | 0.38 | 32.79 |
NANOS1 | -0.0002888 | 4408 | GTEx | DepMap | Descartes | 0.09 | 1.96 |
FAM167A | -0.0002916 | 4454 | GTEx | DepMap | Descartes | 0.02 | 0.27 |
MCM2 | -0.0002960 | 4533 | GTEx | DepMap | Descartes | 0.19 | 4.21 |
EML6 | -0.0002984 | 4565 | GTEx | DepMap | Descartes | 0.02 | 0.11 |
VanGroningen Mesenchymal Genes
Mesenchymal marker genes from Supplementary Table 2 of Van Groningen et al. Nature Genetics 2017. These genes were identified by differential expression analysis of mesenchymal-like and adrenergic-like neuroblastoma cell lines.
Wilcoxon ranksum test P-value for gene set overrepresentation: 1.45e-01
Mean rank of genes in gene set: 6094.4
Median rank of genes in gene set: 5971
Rank on gene expression program of top 30 genes in gene set:
Genes | Weight | Rank | GTEx | DepMap | Descartes | Mean.Counts | Mean.TPM |
---|---|---|---|---|---|---|---|
MICAL2 | 0.0007364 | 84 | GTEx | DepMap | Descartes | 0.06 | 1.38 |
CREG1 | 0.0003906 | 127 | GTEx | DepMap | Descartes | 0.43 | 21.16 |
CYBRD1 | 0.0003504 | 135 | GTEx | DepMap | Descartes | 0.15 | 4.61 |
ARL4A | 0.0003373 | 139 | GTEx | DepMap | Descartes | 0.38 | 10.61 |
HIST1H2BK | 0.0001774 | 206 | GTEx | DepMap | Descartes | 0.02 | NA |
GDF15 | 0.0001061 | 277 | GTEx | DepMap | Descartes | 0.02 | 1.42 |
PXDC1 | 0.0001045 | 280 | GTEx | DepMap | Descartes | 0.02 | 0.58 |
GAS1 | 0.0000456 | 364 | GTEx | DepMap | Descartes | 0.38 | 11.98 |
POSTN | 0.0000366 | 384 | GTEx | DepMap | Descartes | 0.00 | 0.00 |
TRAM2 | 0.0000282 | 401 | GTEx | DepMap | Descartes | 0.02 | 0.32 |
MGP | 0.0000192 | 415 | GTEx | DepMap | Descartes | 0.26 | 15.22 |
F2RL2 | 0.0000125 | 435 | GTEx | DepMap | Descartes | 0.00 | 0.00 |
PROM1 | -0.0000116 | 510 | GTEx | DepMap | Descartes | 0.00 | 0.00 |
TNC | -0.0000163 | 557 | GTEx | DepMap | Descartes | 0.04 | 1.27 |
SOSTDC1 | -0.0000241 | 653 | GTEx | DepMap | Descartes | 0.00 | 0.00 |
GJA1 | -0.0000380 | 833 | GTEx | DepMap | Descartes | 0.09 | 2.72 |
DLX2 | -0.0000386 | 843 | GTEx | DepMap | Descartes | 0.00 | 0.00 |
CPS1 | -0.0000482 | 954 | GTEx | DepMap | Descartes | 0.00 | 0.00 |
CAPN6 | -0.0000483 | 955 | GTEx | DepMap | Descartes | 0.00 | 0.00 |
EPHA3 | -0.0000511 | 981 | GTEx | DepMap | Descartes | 0.00 | 0.00 |
CILP | -0.0000514 | 986 | GTEx | DepMap | Descartes | 0.02 | 0.37 |
PRDM6 | -0.0000621 | 1129 | GTEx | DepMap | Descartes | 0.00 | 0.00 |
BMP5 | -0.0000664 | 1192 | GTEx | DepMap | Descartes | 0.00 | 0.00 |
DLX1 | -0.0000698 | 1247 | GTEx | DepMap | Descartes | 0.00 | 0.00 |
TNS1 | -0.0000746 | 1307 | GTEx | DepMap | Descartes | 0.04 | 0.29 |
TFE3 | -0.0000788 | 1360 | GTEx | DepMap | Descartes | 0.11 | 3.96 |
MEOX2 | -0.0000800 | 1378 | GTEx | DepMap | Descartes | 0.00 | 0.00 |
ELK3 | -0.0000922 | 1546 | GTEx | DepMap | Descartes | 0.04 | 0.68 |
SYDE1 | -0.0000969 | 1622 | GTEx | DepMap | Descartes | 0.00 | 0.00 |
AJUBA | -0.0000982 | 1632 | GTEx | DepMap | Descartes | 0.00 | 0.00 |
Descartes adrenocortical markers
Top 50 marker genes of adrenocortical cells in the Decartes fetal adrenal single cell map (https://atlas.brotmanbaty.org/bbi/human-gene-expression-during-development/cell/adrenocortical/in/adrenal)
Wilcoxon ranksum test P-value for gene set overrepresentation: 6.29e-01
Mean rank of genes in gene set: 6472.83
Median rank of genes in gene set: 6635
Rank on gene expression program of top 30 genes in gene set:
Genes | Weight | Rank | GTEx | DepMap | Descartes | Mean.Counts | Mean.TPM |
---|---|---|---|---|---|---|---|
FREM2 | -0.0000601 | 1101 | GTEx | DepMap | Descartes | 0.00 | 0.00 |
SGCZ | -0.0000815 | 1397 | GTEx | DepMap | Descartes | 0.04 | 1.29 |
STAR | -0.0000949 | 1594 | GTEx | DepMap | Descartes | 0.00 | 0.00 |
DHCR24 | -0.0001136 | 1872 | GTEx | DepMap | Descartes | 0.11 | 1.43 |
PAPSS2 | -0.0001424 | 2290 | GTEx | DepMap | Descartes | 0.02 | 0.27 |
INHA | -0.0001717 | 2728 | GTEx | DepMap | Descartes | 0.00 | 0.00 |
BAIAP2L1 | -0.0001750 | 2776 | GTEx | DepMap | Descartes | 0.00 | 0.00 |
APOC1 | -0.0002817 | 4294 | GTEx | DepMap | Descartes | 1.32 | 151.21 |
FDXR | -0.0003042 | 4648 | GTEx | DepMap | Descartes | 0.09 | 3.53 |
NPC1 | -0.0003154 | 4806 | GTEx | DepMap | Descartes | 0.00 | 0.00 |
GRAMD1B | -0.0003330 | 5062 | GTEx | DepMap | Descartes | 0.00 | 0.00 |
SCARB1 | -0.0003350 | 5086 | GTEx | DepMap | Descartes | 0.06 | 0.69 |
SH3PXD2B | -0.0003558 | 5385 | GTEx | DepMap | Descartes | 0.02 | 0.51 |
FRMD5 | -0.0003574 | 5397 | GTEx | DepMap | Descartes | 0.02 | 0.27 |
ERN1 | -0.0003764 | 5703 | GTEx | DepMap | Descartes | 0.04 | 0.49 |
SCAP | -0.0003941 | 5978 | GTEx | DepMap | Descartes | 0.06 | 2.66 |
CYB5B | -0.0004153 | 6287 | GTEx | DepMap | Descartes | 0.49 | 14.36 |
CLU | -0.0004280 | 6483 | GTEx | DepMap | Descartes | 0.91 | 31.70 |
PDE10A | -0.0004485 | 6787 | GTEx | DepMap | Descartes | 0.00 | 0.00 |
DHCR7 | -0.0004537 | 6864 | GTEx | DepMap | Descartes | 0.11 | 3.28 |
LDLR | -0.0004703 | 7078 | GTEx | DepMap | Descartes | 0.04 | 0.43 |
SLC16A9 | -0.0004734 | 7140 | GTEx | DepMap | Descartes | 0.02 | 0.28 |
HMGCR | -0.0004964 | 7448 | GTEx | DepMap | Descartes | 0.21 | 3.89 |
SLC1A2 | -0.0005362 | 8007 | GTEx | DepMap | Descartes | 0.11 | 1.31 |
DNER | -0.0005372 | 8020 | GTEx | DepMap | Descartes | 0.13 | 4.65 |
POR | -0.0005908 | 8607 | GTEx | DepMap | Descartes | 0.04 | 2.40 |
PEG3 | -0.0006352 | 9108 | GTEx | DepMap | Descartes | 0.23 | NA |
TM7SF2 | -0.0006495 | 9241 | GTEx | DepMap | Descartes | 0.30 | 18.05 |
HMGCS1 | -0.0006530 | 9283 | GTEx | DepMap | Descartes | 0.30 | 3.21 |
MSMO1 | -0.0006600 | 9353 | GTEx | DepMap | Descartes | 0.15 | 10.01 |
Descartes chromaffin markers
Top 50 marker genes of chromaffin cells in the Decartes fetal adrenal single cell map (https://atlas.brotmanbaty.org/bbi/human-gene-expression-during-development/cell/chromaffin/in/adrenal)
Wilcoxon ranksum test P-value for gene set overrepresentation: 1.00e+00
Mean rank of genes in gene set: 9314.76
Median rank of genes in gene set: 9992
Rank on gene expression program of top 30 genes in gene set:
Genes | Weight | Rank | GTEx | DepMap | Descartes | Mean.Counts | Mean.TPM |
---|---|---|---|---|---|---|---|
SLC44A5 | -0.0001998 | 3110 | GTEx | DepMap | Descartes | 0.02 | 0.35 |
EPHA6 | -0.0002557 | 3906 | GTEx | DepMap | Descartes | 0.00 | 0.00 |
TMEM132C | -0.0002744 | 4182 | GTEx | DepMap | Descartes | 0.09 | 1.17 |
RPH3A | -0.0003187 | 4856 | GTEx | DepMap | Descartes | 0.00 | 0.00 |
ALK | -0.0003194 | 4864 | GTEx | DepMap | Descartes | 0.06 | 0.75 |
ANKFN1 | -0.0003197 | 4870 | GTEx | DepMap | Descartes | 0.02 | 0.25 |
CNKSR2 | -0.0003263 | 4968 | GTEx | DepMap | Descartes | 0.09 | 1.42 |
GREM1 | -0.0003265 | 4971 | GTEx | DepMap | Descartes | 0.00 | 0.00 |
KCNB2 | -0.0004688 | 7060 | GTEx | DepMap | Descartes | 0.06 | 4.39 |
FAT3 | -0.0004901 | 7366 | GTEx | DepMap | Descartes | 0.00 | 0.00 |
RYR2 | -0.0004969 | 7457 | GTEx | DepMap | Descartes | 0.00 | 0.00 |
SLC6A2 | -0.0004981 | 7477 | GTEx | DepMap | Descartes | 0.17 | 6.15 |
EYA1 | -0.0005136 | 7704 | GTEx | DepMap | Descartes | 0.04 | 0.73 |
EYA4 | -0.0005559 | 8218 | GTEx | DepMap | Descartes | 0.02 | 0.68 |
SYNPO2 | -0.0005942 | 8646 | GTEx | DepMap | Descartes | 0.13 | 1.75 |
HS3ST5 | -0.0006052 | 8767 | GTEx | DepMap | Descartes | 0.00 | 0.00 |
PTCHD1 | -0.0006361 | 9116 | GTEx | DepMap | Descartes | 0.00 | 0.00 |
PLXNA4 | -0.0006390 | 9145 | GTEx | DepMap | Descartes | 0.02 | 0.08 |
GAL | -0.0006783 | 9513 | GTEx | DepMap | Descartes | 1.28 | 182.63 |
RGMB | -0.0007071 | 9749 | GTEx | DepMap | Descartes | 0.30 | 5.19 |
MAB21L2 | -0.0007405 | 9992 | GTEx | DepMap | Descartes | 0.57 | 28.39 |
TMEFF2 | -0.0007956 | 10387 | GTEx | DepMap | Descartes | 0.11 | 3.95 |
MAB21L1 | -0.0008823 | 10844 | GTEx | DepMap | Descartes | 0.57 | 24.16 |
RBFOX1 | -0.0009401 | 11095 | GTEx | DepMap | Descartes | 0.11 | 3.67 |
NTRK1 | -0.0009482 | 11131 | GTEx | DepMap | Descartes | 0.09 | 3.60 |
IL7 | -0.0009740 | 11215 | GTEx | DepMap | Descartes | 0.53 | 36.08 |
MARCH11 | -0.0010403 | 11448 | GTEx | DepMap | Descartes | 1.09 | NA |
REEP1 | -0.0010432 | 11461 | GTEx | DepMap | Descartes | 0.09 | 2.46 |
CNTFR | -0.0011386 | 11687 | GTEx | DepMap | Descartes | 0.21 | 15.19 |
ISL1 | -0.0011483 | 11712 | GTEx | DepMap | Descartes | 1.26 | 83.76 |
Descartes Vascular_endothelial markers
Top 50 marker genes of Vascular_endothelial cells in the Decartes fetal adrenal single cell map (https://atlas.brotmanbaty.org/bbi/human-gene-expression-during-development/cell/vascular_endothelial/in/adrenal)
Wilcoxon ranksum test P-value for gene set overrepresentation: 3.11e-08
Mean rank of genes in gene set: 3098.92
Median rank of genes in gene set: 2536
Rank on gene expression program of top 30 genes in gene set:
Genes | Weight | Rank | GTEx | DepMap | Descartes | Mean.Counts | Mean.TPM |
---|---|---|---|---|---|---|---|
CDH13 | 0.0002088 | 188 | GTEx | DepMap | Descartes | 0.09 | 1.75 |
ESM1 | 0.0001580 | 225 | GTEx | DepMap | Descartes | 0.00 | 0.00 |
CRHBP | 0.0000332 | 391 | GTEx | DepMap | Descartes | 0.00 | 0.00 |
MYRIP | 0.0000283 | 400 | GTEx | DepMap | Descartes | 0.02 | 0.75 |
PLVAP | 0.0000119 | 437 | GTEx | DepMap | Descartes | 0.00 | 0.00 |
TIE1 | -0.0000347 | 799 | GTEx | DepMap | Descartes | 0.00 | 0.00 |
KDR | -0.0000668 | 1198 | GTEx | DepMap | Descartes | 0.00 | 0.00 |
SLCO2A1 | -0.0000806 | 1384 | GTEx | DepMap | Descartes | 0.00 | 0.00 |
NR5A2 | -0.0000836 | 1428 | GTEx | DepMap | Descartes | 0.00 | 0.00 |
FLT4 | -0.0000843 | 1441 | GTEx | DepMap | Descartes | 0.00 | 0.00 |
NPR1 | -0.0000852 | 1457 | GTEx | DepMap | Descartes | 0.00 | 0.00 |
GALNT15 | -0.0001090 | 1787 | GTEx | DepMap | Descartes | 0.00 | NA |
PTPRB | -0.0001112 | 1835 | GTEx | DepMap | Descartes | 0.00 | 0.00 |
CALCRL | -0.0001194 | 1951 | GTEx | DepMap | Descartes | 0.00 | 0.00 |
BTNL9 | -0.0001280 | 2088 | GTEx | DepMap | Descartes | 0.00 | 0.00 |
SHE | -0.0001299 | 2113 | GTEx | DepMap | Descartes | 0.00 | 0.00 |
TEK | -0.0001315 | 2137 | GTEx | DepMap | Descartes | 0.00 | 0.00 |
KANK3 | -0.0001383 | 2225 | GTEx | DepMap | Descartes | 0.00 | 0.00 |
MMRN2 | -0.0001561 | 2488 | GTEx | DepMap | Descartes | 0.00 | 0.00 |
ROBO4 | -0.0001624 | 2584 | GTEx | DepMap | Descartes | 0.00 | 0.00 |
CLDN5 | -0.0001662 | 2638 | GTEx | DepMap | Descartes | 0.00 | 0.00 |
CDH5 | -0.0001712 | 2721 | GTEx | DepMap | Descartes | 0.00 | 0.00 |
RASIP1 | -0.0001885 | 2943 | GTEx | DepMap | Descartes | 0.00 | 0.00 |
EHD3 | -0.0002094 | 3228 | GTEx | DepMap | Descartes | 0.04 | 0.55 |
CEACAM1 | -0.0002188 | 3364 | GTEx | DepMap | Descartes | 0.02 | 1.63 |
F8 | -0.0002225 | 3402 | GTEx | DepMap | Descartes | 0.00 | 0.00 |
PODXL | -0.0002320 | 3543 | GTEx | DepMap | Descartes | 0.06 | 1.05 |
TMEM88 | -0.0002466 | 3775 | GTEx | DepMap | Descartes | 0.00 | 0.00 |
IRX3 | -0.0002737 | 4173 | GTEx | DepMap | Descartes | 0.00 | 0.00 |
ID1 | -0.0002822 | 4299 | GTEx | DepMap | Descartes | 0.06 | 9.70 |
Descartes stromal markers
Top 50 marker genes of stromal cells in the Decartes fetal adrenal single cell map (https://atlas.brotmanbaty.org/bbi/human-gene-expression-during-development/cell/stromal/in/adrenal)
Wilcoxon ranksum test P-value for gene set overrepresentation: 5.70e-11
Mean rank of genes in gene set: 2760.14
Median rank of genes in gene set: 2156.5
Rank on gene expression program of top 30 genes in gene set:
Genes | Weight | Rank | GTEx | DepMap | Descartes | Mean.Counts | Mean.TPM |
---|---|---|---|---|---|---|---|
RSPO3 | 0.0001221 | 258 | GTEx | DepMap | Descartes | 0.04 | NA |
POSTN | 0.0000366 | 384 | GTEx | DepMap | Descartes | 0.00 | 0.00 |
MGP | 0.0000192 | 415 | GTEx | DepMap | Descartes | 0.26 | 15.22 |
C7 | 0.0000074 | 448 | GTEx | DepMap | Descartes | 0.00 | 0.00 |
ABCC9 | -0.0000258 | 678 | GTEx | DepMap | Descartes | 0.00 | 0.00 |
IGFBP3 | -0.0000319 | 773 | GTEx | DepMap | Descartes | 0.00 | 0.00 |
LAMC3 | -0.0000387 | 844 | GTEx | DepMap | Descartes | 0.00 | 0.00 |
ITGA11 | -0.0000449 | 910 | GTEx | DepMap | Descartes | 0.00 | 0.00 |
SFRP2 | -0.0000797 | 1372 | GTEx | DepMap | Descartes | 0.00 | 0.00 |
SCARA5 | -0.0000938 | 1570 | GTEx | DepMap | Descartes | 0.00 | 0.00 |
LOX | -0.0000939 | 1575 | GTEx | DepMap | Descartes | 0.02 | 1.12 |
DKK2 | -0.0000990 | 1643 | GTEx | DepMap | Descartes | 0.00 | 0.00 |
EDNRA | -0.0001077 | 1766 | GTEx | DepMap | Descartes | 0.00 | 0.00 |
ADAMTSL3 | -0.0001088 | 1786 | GTEx | DepMap | Descartes | 0.00 | 0.00 |
COL6A3 | -0.0001091 | 1790 | GTEx | DepMap | Descartes | 0.00 | 0.00 |
PRRX1 | -0.0001100 | 1807 | GTEx | DepMap | Descartes | 0.00 | 0.00 |
COL27A1 | -0.0001101 | 1813 | GTEx | DepMap | Descartes | 0.00 | 0.00 |
GLI2 | -0.0001106 | 1822 | GTEx | DepMap | Descartes | 0.00 | 0.00 |
CCDC80 | -0.0001199 | 1958 | GTEx | DepMap | Descartes | 0.32 | 2.53 |
GAS2 | -0.0001213 | 1990 | GTEx | DepMap | Descartes | 0.00 | 0.00 |
PAMR1 | -0.0001263 | 2069 | GTEx | DepMap | Descartes | 0.00 | 0.00 |
LRRC17 | -0.0001314 | 2134 | GTEx | DepMap | Descartes | 0.02 | 0.74 |
ISLR | -0.0001347 | 2179 | GTEx | DepMap | Descartes | 0.00 | 0.00 |
ABCA6 | -0.0001454 | 2336 | GTEx | DepMap | Descartes | 0.00 | 0.00 |
BICC1 | -0.0001518 | 2425 | GTEx | DepMap | Descartes | 0.04 | 0.73 |
OGN | -0.0001564 | 2493 | GTEx | DepMap | Descartes | 0.02 | 0.61 |
LUM | -0.0001580 | 2511 | GTEx | DepMap | Descartes | 0.02 | 1.43 |
PCDH18 | -0.0001632 | 2591 | GTEx | DepMap | Descartes | 0.00 | 0.00 |
COL1A1 | -0.0001661 | 2633 | GTEx | DepMap | Descartes | 0.15 | 2.48 |
DCN | -0.0001710 | 2719 | GTEx | DepMap | Descartes | 0.11 | 1.53 |
Descartes sympathoblasts markers
Top 50 marker genes of sympathoblasts cells in the Decartes fetal adrenal single cell map (https://atlas.brotmanbaty.org/bbi/human-gene-expression-during-development/cell/sympathoblasts/in/adrenal)
Wilcoxon ranksum test P-value for gene set overrepresentation: 1.25e-01
Mean rank of genes in gene set: 5599.39
Median rank of genes in gene set: 4701
Rank on gene expression program of top 30 genes in gene set:
Genes | Weight | Rank | GTEx | DepMap | Descartes | Mean.Counts | Mean.TPM |
---|---|---|---|---|---|---|---|
DGKK | -0.0000526 | 1001 | GTEx | DepMap | Descartes | 0.02 | 0.51 |
KSR2 | -0.0000635 | 1153 | GTEx | DepMap | Descartes | 0.06 | 0.51 |
PENK | -0.0000813 | 1392 | GTEx | DepMap | Descartes | 0.00 | 0.00 |
ST18 | -0.0000956 | 1602 | GTEx | DepMap | Descartes | 0.00 | 0.00 |
PCSK2 | -0.0001637 | 2603 | GTEx | DepMap | Descartes | 0.02 | 0.29 |
SORCS3 | -0.0001775 | 2815 | GTEx | DepMap | Descartes | 0.00 | 0.00 |
CNTN3 | -0.0001778 | 2820 | GTEx | DepMap | Descartes | 0.02 | 0.22 |
LAMA3 | -0.0001865 | 2916 | GTEx | DepMap | Descartes | 0.00 | 0.00 |
SLC35F3 | -0.0001895 | 2955 | GTEx | DepMap | Descartes | 0.00 | 0.00 |
TENM1 | -0.0001922 | 3000 | GTEx | DepMap | Descartes | 0.06 | NA |
TBX20 | -0.0001996 | 3108 | GTEx | DepMap | Descartes | 0.00 | 0.00 |
GRM7 | -0.0002104 | 3242 | GTEx | DepMap | Descartes | 0.00 | 0.00 |
TIAM1 | -0.0002274 | 3481 | GTEx | DepMap | Descartes | 0.04 | 1.66 |
SLC24A2 | -0.0002305 | 3525 | GTEx | DepMap | Descartes | 0.00 | 0.00 |
CDH12 | -0.0002442 | 3734 | GTEx | DepMap | Descartes | 0.00 | 0.00 |
CDH18 | -0.0002493 | 3811 | GTEx | DepMap | Descartes | 0.00 | 0.00 |
SLC18A1 | -0.0002941 | 4493 | GTEx | DepMap | Descartes | 0.11 | 4.91 |
EML6 | -0.0002984 | 4565 | GTEx | DepMap | Descartes | 0.02 | 0.11 |
GALNTL6 | -0.0002999 | 4589 | GTEx | DepMap | Descartes | 0.00 | 0.00 |
CCSER1 | -0.0003161 | 4813 | GTEx | DepMap | Descartes | 0.00 | NA |
AGBL4 | -0.0003199 | 4874 | GTEx | DepMap | Descartes | 0.04 | 0.57 |
MGAT4C | -0.0003810 | 5769 | GTEx | DepMap | Descartes | 0.11 | 0.32 |
FGF14 | -0.0003959 | 6015 | GTEx | DepMap | Descartes | 0.13 | 1.73 |
NTNG1 | -0.0004387 | 6641 | GTEx | DepMap | Descartes | 0.00 | 0.00 |
SPOCK3 | -0.0004395 | 6653 | GTEx | DepMap | Descartes | 0.00 | 0.00 |
GRID2 | -0.0004492 | 6804 | GTEx | DepMap | Descartes | 0.00 | 0.00 |
PACRG | -0.0004666 | 7029 | GTEx | DepMap | Descartes | 0.00 | 0.00 |
FAM155A | -0.0005196 | 7801 | GTEx | DepMap | Descartes | 0.11 | 1.80 |
UNC80 | -0.0005518 | 8184 | GTEx | DepMap | Descartes | 0.04 | 0.19 |
CHGA | -0.0005692 | 8363 | GTEx | DepMap | Descartes | 2.17 | 113.77 |
Descartes erythroblasts markers
Top 50 marker genes of erythroblasts cells in the Decartes fetal adrenal single cell map (https://atlas.brotmanbaty.org/bbi/human-gene-expression-during-development/cell/erythroblasts/in/adrenal)
Wilcoxon ranksum test P-value for gene set overrepresentation: 2.66e-12
Mean rank of genes in gene set: 1640.83
Median rank of genes in gene set: 274
Rank on gene expression program of top 30 genes in gene set:
Genes | Weight | Rank | GTEx | DepMap | Descartes | Mean.Counts | Mean.TPM |
---|---|---|---|---|---|---|---|
ALAS2 | 0.0642696 | 1 | GTEx | DepMap | Descartes | 10.13 | 555.57 |
SELENBP1 | 0.0274233 | 2 | GTEx | DepMap | Descartes | 1.11 | 34.19 |
SLC25A37 | 0.0265062 | 3 | GTEx | DepMap | Descartes | 6.62 | 151.57 |
SLC4A1 | 0.0203923 | 5 | GTEx | DepMap | Descartes | 0.57 | 10.08 |
SNCA | 0.0119594 | 9 | GTEx | DepMap | Descartes | 4.38 | 137.78 |
RHD | 0.0081725 | 13 | GTEx | DepMap | Descartes | 0.09 | 3.24 |
GYPC | 0.0066174 | 17 | GTEx | DepMap | Descartes | 4.53 | 296.75 |
BLVRB | 0.0060679 | 19 | GTEx | DepMap | Descartes | 2.87 | 205.16 |
FECH | 0.0018103 | 51 | GTEx | DepMap | Descartes | 0.21 | 3.63 |
CAT | 0.0017772 | 52 | GTEx | DepMap | Descartes | 0.36 | 12.36 |
ANK1 | 0.0011899 | 61 | GTEx | DepMap | Descartes | 0.32 | 3.66 |
MICAL2 | 0.0007364 | 84 | GTEx | DepMap | Descartes | 0.06 | 1.38 |
TMCC2 | 0.0005207 | 107 | GTEx | DepMap | Descartes | 0.15 | 3.41 |
MARCH3 | 0.0001937 | 195 | GTEx | DepMap | Descartes | 0.04 | NA |
GCLC | 0.0001078 | 274 | GTEx | DepMap | Descartes | 0.13 | 1.97 |
CPOX | 0.0000945 | 292 | GTEx | DepMap | Descartes | 0.09 | 2.18 |
EPB41 | 0.0000510 | 356 | GTEx | DepMap | Descartes | 0.32 | 4.78 |
SLC25A21 | -0.0000239 | 649 | GTEx | DepMap | Descartes | 0.00 | 0.00 |
SPECC1 | -0.0000311 | 761 | GTEx | DepMap | Descartes | 0.09 | 1.54 |
TFR2 | -0.0000604 | 1106 | GTEx | DepMap | Descartes | 0.26 | 5.27 |
RGS6 | -0.0000890 | 1501 | GTEx | DepMap | Descartes | 0.00 | 0.00 |
XPO7 | -0.0001605 | 2554 | GTEx | DepMap | Descartes | 0.06 | 1.52 |
TSPAN5 | -0.0001807 | 2852 | GTEx | DepMap | Descartes | 0.45 | 11.52 |
SOX6 | -0.0002589 | 3958 | GTEx | DepMap | Descartes | 0.00 | 0.00 |
ABCB10 | -0.0002954 | 4519 | GTEx | DepMap | Descartes | 0.02 | 0.30 |
TRAK2 | -0.0003423 | 5202 | GTEx | DepMap | Descartes | 0.13 | 1.79 |
SPTB | -0.0003710 | 5614 | GTEx | DepMap | Descartes | 0.00 | 0.00 |
RAPGEF2 | -0.0005746 | 8429 | GTEx | DepMap | Descartes | 0.04 | 1.32 |
DENND4A | -0.0006155 | 8898 | GTEx | DepMap | Descartes | 0.09 | 0.68 |
NA | NA | NA | NA | NA | NA | NA | NA |
Descartes myeloid markers
Top 50 marker genes of myeloid cells in the Decartes fetal adrenal single cell map (https://atlas.brotmanbaty.org/bbi/human-gene-expression-during-development/cell/myeloid/in/adrenal)
Wilcoxon ranksum test P-value for gene set overrepresentation: 5.98e-02
Mean rank of genes in gene set: 5361.5
Median rank of genes in gene set: 5076
Rank on gene expression program of top 30 genes in gene set:
Genes | Weight | Rank | GTEx | DepMap | Descartes | Mean.Counts | Mean.TPM |
---|---|---|---|---|---|---|---|
SFMBT2 | 0.0000502 | 357 | GTEx | DepMap | Descartes | 0.04 | 0.40 |
FGD2 | -0.0001656 | 2629 | GTEx | DepMap | Descartes | 0.02 | 0.20 |
MERTK | -0.0001752 | 2781 | GTEx | DepMap | Descartes | 0.00 | 0.00 |
CPVL | -0.0001869 | 2923 | GTEx | DepMap | Descartes | 0.02 | 0.52 |
ATP8B4 | -0.0002098 | 3233 | GTEx | DepMap | Descartes | 0.00 | 0.00 |
FGL2 | -0.0002245 | 3434 | GTEx | DepMap | Descartes | 0.02 | 0.42 |
MS4A4A | -0.0002285 | 3491 | GTEx | DepMap | Descartes | 0.00 | 0.00 |
SLC1A3 | -0.0002288 | 3498 | GTEx | DepMap | Descartes | 0.00 | 0.00 |
HRH1 | -0.0002301 | 3516 | GTEx | DepMap | Descartes | 0.00 | 0.00 |
PTPRE | -0.0002454 | 3751 | GTEx | DepMap | Descartes | 0.04 | 0.72 |
SLC9A9 | -0.0002488 | 3801 | GTEx | DepMap | Descartes | 0.00 | 0.00 |
CD163 | -0.0002693 | 4109 | GTEx | DepMap | Descartes | 0.00 | 0.00 |
MARCH1 | -0.0002824 | 4303 | GTEx | DepMap | Descartes | 0.02 | NA |
CYBB | -0.0002825 | 4308 | GTEx | DepMap | Descartes | 0.02 | 0.44 |
SLCO2B1 | -0.0002848 | 4347 | GTEx | DepMap | Descartes | 0.00 | 0.00 |
CSF1R | -0.0002864 | 4370 | GTEx | DepMap | Descartes | 0.00 | 0.00 |
RGL1 | -0.0002936 | 4484 | GTEx | DepMap | Descartes | 0.00 | 0.00 |
ADAP2 | -0.0003225 | 4910 | GTEx | DepMap | Descartes | 0.02 | 1.33 |
AXL | -0.0003328 | 5061 | GTEx | DepMap | Descartes | 0.00 | 0.00 |
ITPR2 | -0.0003353 | 5091 | GTEx | DepMap | Descartes | 0.06 | 0.69 |
SPP1 | -0.0003415 | 5189 | GTEx | DepMap | Descartes | 0.91 | 59.39 |
ABCA1 | -0.0003493 | 5306 | GTEx | DepMap | Descartes | 0.06 | 0.85 |
HCK | -0.0003516 | 5325 | GTEx | DepMap | Descartes | 0.00 | 0.00 |
MSR1 | -0.0003538 | 5354 | GTEx | DepMap | Descartes | 0.00 | 0.00 |
CD14 | -0.0003577 | 5404 | GTEx | DepMap | Descartes | 0.02 | 1.70 |
LGMN | -0.0003899 | 5912 | GTEx | DepMap | Descartes | 0.06 | 2.84 |
TGFBI | -0.0004148 | 6275 | GTEx | DepMap | Descartes | 0.02 | 0.83 |
CTSC | -0.0004391 | 6646 | GTEx | DepMap | Descartes | 0.09 | 1.01 |
CTSS | -0.0004495 | 6808 | GTEx | DepMap | Descartes | 0.04 | 0.89 |
CTSB | -0.0004502 | 6821 | GTEx | DepMap | Descartes | 0.49 | 14.28 |
Descartes Schwann markers
Top 50 marker genes of Schwann cells in the Decartes fetal adrenal single cell map (https://atlas.brotmanbaty.org/bbi/human-gene-expression-during-development/cell/schwann/in/adrenal)
Wilcoxon ranksum test P-value for gene set overrepresentation: 2.19e-01
Mean rank of genes in gene set: 5852.3
Median rank of genes in gene set: 4920.5
Rank on gene expression program of top 30 genes in gene set:
Genes | Weight | Rank | GTEx | DepMap | Descartes | Mean.Counts | Mean.TPM |
---|---|---|---|---|---|---|---|
IL1RAPL2 | -0.0000116 | 509 | GTEx | DepMap | Descartes | 0.00 | 0.00 |
HMGA2 | -0.0000637 | 1155 | GTEx | DepMap | Descartes | 0.00 | 0.00 |
PTPRZ1 | -0.0000965 | 1615 | GTEx | DepMap | Descartes | 0.00 | 0.00 |
ADAMTS5 | -0.0001241 | 2034 | GTEx | DepMap | Descartes | 0.00 | 0.00 |
MDGA2 | -0.0001293 | 2104 | GTEx | DepMap | Descartes | 0.00 | 0.00 |
IL1RAPL1 | -0.0001414 | 2277 | GTEx | DepMap | Descartes | 0.00 | 0.00 |
MPZ | -0.0001606 | 2556 | GTEx | DepMap | Descartes | 0.04 | 4.03 |
OLFML2A | -0.0001679 | 2667 | GTEx | DepMap | Descartes | 0.00 | 0.00 |
TRPM3 | -0.0001773 | 2813 | GTEx | DepMap | Descartes | 0.00 | 0.00 |
STARD13 | -0.0001787 | 2830 | GTEx | DepMap | Descartes | 0.00 | 0.00 |
GRIK3 | -0.0001842 | 2893 | GTEx | DepMap | Descartes | 0.00 | 0.00 |
ERBB4 | -0.0001921 | 2997 | GTEx | DepMap | Descartes | 0.02 | 0.17 |
EDNRB | -0.0002048 | 3166 | GTEx | DepMap | Descartes | 0.00 | 0.00 |
NRXN3 | -0.0002219 | 3399 | GTEx | DepMap | Descartes | 0.00 | 0.00 |
ERBB3 | -0.0002270 | 3474 | GTEx | DepMap | Descartes | 0.00 | 0.00 |
COL25A1 | -0.0002365 | 3609 | GTEx | DepMap | Descartes | 0.00 | 0.00 |
PLP1 | -0.0002413 | 3688 | GTEx | DepMap | Descartes | 0.00 | 0.00 |
COL5A2 | -0.0002547 | 3892 | GTEx | DepMap | Descartes | 0.00 | 0.00 |
COL18A1 | -0.0002548 | 3893 | GTEx | DepMap | Descartes | 0.11 | 1.55 |
XKR4 | -0.0002855 | 4354 | GTEx | DepMap | Descartes | 0.06 | 0.39 |
PLCE1 | -0.0003000 | 4593 | GTEx | DepMap | Descartes | 0.00 | 0.00 |
EGFLAM | -0.0003152 | 4802 | GTEx | DepMap | Descartes | 0.00 | 0.00 |
SLC35F1 | -0.0003315 | 5039 | GTEx | DepMap | Descartes | 0.02 | 0.76 |
LRRTM4 | -0.0003387 | 5146 | GTEx | DepMap | Descartes | 0.02 | 0.43 |
GAS7 | -0.0003645 | 5512 | GTEx | DepMap | Descartes | 0.00 | 0.00 |
LAMC1 | -0.0004014 | 6090 | GTEx | DepMap | Descartes | 0.00 | 0.00 |
SORCS1 | -0.0004276 | 6479 | GTEx | DepMap | Descartes | 0.13 | 2.64 |
SCN7A | -0.0004289 | 6493 | GTEx | DepMap | Descartes | 0.06 | 1.07 |
KCTD12 | -0.0004784 | 7201 | GTEx | DepMap | Descartes | 0.02 | 0.34 |
LAMA4 | -0.0004829 | 7264 | GTEx | DepMap | Descartes | 0.09 | 1.16 |
Descartes Megakaryocytes markers
Top 50 marker genes of Megakaryocytes cells in the Decartes fetal adrenal single cell map (https://atlas.brotmanbaty.org/bbi/human-gene-expression-during-development/cell/megakaryocytes/in/adrenal)
Wilcoxon ranksum test P-value for gene set overrepresentation: 1.60e-01
Mean rank of genes in gene set: 5739.91
Median rank of genes in gene set: 4670
Rank on gene expression program of top 30 genes in gene set:
Genes | Weight | Rank | GTEx | DepMap | Descartes | Mean.Counts | Mean.TPM |
---|---|---|---|---|---|---|---|
TUBB1 | 0.0022514 | 44 | GTEx | DepMap | Descartes | 0.00 | 0.00 |
STOM | 0.0011883 | 62 | GTEx | DepMap | Descartes | 0.21 | 5.82 |
GP1BA | -0.0000198 | 592 | GTEx | DepMap | Descartes | 0.00 | 0.00 |
ITGB3 | -0.0000617 | 1125 | GTEx | DepMap | Descartes | 0.00 | 0.00 |
MMRN1 | -0.0000771 | 1338 | GTEx | DepMap | Descartes | 0.00 | 0.00 |
SPN | -0.0001062 | 1749 | GTEx | DepMap | Descartes | 0.13 | 0.95 |
SLC24A3 | -0.0001103 | 1816 | GTEx | DepMap | Descartes | 0.00 | 0.00 |
P2RX1 | -0.0001146 | 1882 | GTEx | DepMap | Descartes | 0.00 | 0.00 |
TRPC6 | -0.0001216 | 1992 | GTEx | DepMap | Descartes | 0.00 | 0.00 |
ARHGAP6 | -0.0001425 | 2292 | GTEx | DepMap | Descartes | 0.00 | 0.00 |
ANGPT1 | -0.0001703 | 2708 | GTEx | DepMap | Descartes | 0.00 | 0.00 |
CD84 | -0.0001926 | 3010 | GTEx | DepMap | Descartes | 0.04 | 0.68 |
FLI1 | -0.0002119 | 3261 | GTEx | DepMap | Descartes | 0.00 | 0.00 |
ITGA2B | -0.0002158 | 3315 | GTEx | DepMap | Descartes | 0.00 | 0.00 |
UBASH3B | -0.0002250 | 3443 | GTEx | DepMap | Descartes | 0.04 | 0.36 |
PLEK | -0.0002572 | 3925 | GTEx | DepMap | Descartes | 0.02 | 0.69 |
MED12L | -0.0002652 | 4050 | GTEx | DepMap | Descartes | 0.00 | 0.00 |
LTBP1 | -0.0002655 | 4051 | GTEx | DepMap | Descartes | 0.00 | 0.00 |
INPP4B | -0.0002680 | 4084 | GTEx | DepMap | Descartes | 0.11 | 1.46 |
GSN | -0.0002767 | 4212 | GTEx | DepMap | Descartes | 0.04 | 0.98 |
MYLK | -0.0002805 | 4268 | GTEx | DepMap | Descartes | 0.06 | 0.63 |
THBS1 | -0.0002878 | 4398 | GTEx | DepMap | Descartes | 0.06 | 0.81 |
RAB27B | -0.0003050 | 4670 | GTEx | DepMap | Descartes | 0.04 | 1.05 |
MCTP1 | -0.0003052 | 4674 | GTEx | DepMap | Descartes | 0.00 | 0.00 |
PSTPIP2 | -0.0003118 | 4753 | GTEx | DepMap | Descartes | 0.02 | 0.38 |
PDE3A | -0.0003145 | 4791 | GTEx | DepMap | Descartes | 0.00 | 0.00 |
MYH9 | -0.0004176 | 6327 | GTEx | DepMap | Descartes | 0.19 | 2.72 |
STON2 | -0.0004386 | 6638 | GTEx | DepMap | Descartes | 0.02 | 0.25 |
DOK6 | -0.0005052 | 7575 | GTEx | DepMap | Descartes | 0.00 | 0.00 |
TLN1 | -0.0005160 | 7740 | GTEx | DepMap | Descartes | 0.15 | 1.09 |
Descartes Lyphoid markers
Top 50 marker genes of Lyphoid cells in the Decartes fetal adrenal single cell map (https://atlas.brotmanbaty.org/bbi/human-gene-expression-during-development/cell/lymphoid/in/adrenal)
Wilcoxon ranksum test P-value for gene set overrepresentation: 1.00e+00
Mean rank of genes in gene set: 8120.62
Median rank of genes in gene set: 7928
Rank on gene expression program of top 30 genes in gene set:
Genes | Weight | Rank | GTEx | DepMap | Descartes | Mean.Counts | Mean.TPM |
---|---|---|---|---|---|---|---|
SP100 | -0.0000915 | 1532 | GTEx | DepMap | Descartes | 0.19 | 3.27 |
PLEKHA2 | -0.0001098 | 1804 | GTEx | DepMap | Descartes | 0.09 | 1.65 |
ITPKB | -0.0002059 | 3179 | GTEx | DepMap | Descartes | 0.02 | 0.29 |
SAMD3 | -0.0002455 | 3754 | GTEx | DepMap | Descartes | 0.00 | 0.00 |
MCTP2 | -0.0002791 | 4244 | GTEx | DepMap | Descartes | 0.02 | 1.02 |
CCL5 | -0.0003485 | 5298 | GTEx | DepMap | Descartes | 0.13 | 6.36 |
LEF1 | -0.0003729 | 5645 | GTEx | DepMap | Descartes | 0.09 | 3.14 |
ETS1 | -0.0003875 | 5875 | GTEx | DepMap | Descartes | 0.06 | 1.89 |
BACH2 | -0.0003919 | 5945 | GTEx | DepMap | Descartes | 0.04 | 0.29 |
RAP1GAP2 | -0.0003955 | 6003 | GTEx | DepMap | Descartes | 0.17 | 2.24 |
SKAP1 | -0.0004116 | 6234 | GTEx | DepMap | Descartes | 0.02 | 2.61 |
PDE3B | -0.0004455 | 6743 | GTEx | DepMap | Descartes | 0.04 | 1.14 |
SCML4 | -0.0004643 | 6999 | GTEx | DepMap | Descartes | 0.06 | 1.56 |
PITPNC1 | -0.0004681 | 7045 | GTEx | DepMap | Descartes | 0.06 | 1.48 |
WIPF1 | -0.0004773 | 7192 | GTEx | DepMap | Descartes | 0.09 | 1.37 |
DOCK10 | -0.0004805 | 7240 | GTEx | DepMap | Descartes | 0.02 | 0.21 |
PRKCH | -0.0004857 | 7307 | GTEx | DepMap | Descartes | 0.02 | 0.32 |
IKZF1 | -0.0004876 | 7328 | GTEx | DepMap | Descartes | 0.00 | 0.00 |
LCP1 | -0.0004947 | 7427 | GTEx | DepMap | Descartes | 0.11 | 3.62 |
ARID5B | -0.0005170 | 7756 | GTEx | DepMap | Descartes | 0.09 | 1.94 |
ARHGAP15 | -0.0005299 | 7915 | GTEx | DepMap | Descartes | 0.02 | 1.28 |
RCSD1 | -0.0005313 | 7941 | GTEx | DepMap | Descartes | 0.02 | 0.20 |
MBNL1 | -0.0005349 | 7993 | GTEx | DepMap | Descartes | 0.09 | 1.63 |
ABLIM1 | -0.0005358 | 8003 | GTEx | DepMap | Descartes | 0.11 | 1.27 |
PTPRC | -0.0006096 | 8812 | GTEx | DepMap | Descartes | 0.06 | 1.08 |
TOX | -0.0006283 | 9025 | GTEx | DepMap | Descartes | 0.06 | 2.79 |
ANKRD44 | -0.0006804 | 9536 | GTEx | DepMap | Descartes | 0.00 | 0.00 |
CCND3 | -0.0006822 | 9552 | GTEx | DepMap | Descartes | 0.19 | 8.25 |
MSN | -0.0006941 | 9655 | GTEx | DepMap | Descartes | 0.06 | 0.79 |
SORL1 | -0.0007319 | 9934 | GTEx | DepMap | Descartes | 0.04 | 0.47 |
Below shows the ranks on this GEP for immune marker gene lists curated by CellTypist (https://www.celltypist.org/encyclopedia).
High ranks indicate this gene is a driver of this GEP.
These curated gene list are ranked by P-value (on this GEP) of their constituent genes.
The Mean Count column shows the mean read count in cells scoring highly (H > 50) on this gene expression program.
Genes | Weight | Rank | GTEx | DepMap | Decartes | Mean.Counts | Mean.TPM |
---|---|---|---|---|---|---|---|
FAM178B | 0.0037072 | 31 | GTEx | DepMap | Descartes | 0.77 | 15.39 |
PRSS57 | 0.0001323 | 250 | GTEx | DepMap | Descartes | 0.09 | 4.23 |
CD207 | -0.0000938 | 1572 | GTEx | DepMap | Descartes | 0.00 | 0.00 |
APOC1 | -0.0002817 | 4294 | GTEx | DepMap | Descartes | 1.32 | 151.21 |
B-cell lineage: Small pre-B cells (model markers)
non-proliferative B lymphocyte precursors derived from Pro-B cells and expressing membrane μ chains with surrogate light chains in their receptors:
Wilcoxon ranksum test P-value for gene set overrepresentation: 1.11e-02
Mean rank of genes in gene set: 2135.5
Rank on gene expression program of genes in gene set:
Genes | Weight | Rank | GTEx | DepMap | Decartes | Mean.Counts | Mean.TPM |
---|---|---|---|---|---|---|---|
TLDC2 | -0.0000188 | 579 | GTEx | DepMap | Descartes | 0.00 | NA |
AICDA | -0.0000862 | 1470 | GTEx | DepMap | Descartes | 0.00 | 0.00 |
CD207 | -0.0000938 | 1572 | GTEx | DepMap | Descartes | 0.00 | 0.00 |
CD79B | -0.0003234 | 4921 | GTEx | DepMap | Descartes | 0.11 | 10.69 |
Fibroblasts: Fibroblasts (model markers)
the most common cells of connective tissues which synthesize the extracellular matrix and collagen to maintain tissue homeostasis:
Wilcoxon ranksum test P-value for gene set overrepresentation: 1.12e-02
Mean rank of genes in gene set: 3520
Rank on gene expression program of genes in gene set:
Genes | Weight | Rank | GTEx | DepMap | Decartes | Mean.Counts | Mean.TPM |
---|---|---|---|---|---|---|---|
OLFML1 | -0.0000253 | 668 | GTEx | DepMap | Descartes | 0.00 | 0.00 |
SMOC2 | -0.0000743 | 1304 | GTEx | DepMap | Descartes | 0.02 | 0.66 |
F10 | -0.0000873 | 1481 | GTEx | DepMap | Descartes | 0.00 | 0.00 |
ANGPTL1 | -0.0001017 | 1680 | GTEx | DepMap | Descartes | 0.00 | 0.00 |
PRRX1 | -0.0001100 | 1807 | GTEx | DepMap | Descartes | 0.00 | 0.00 |
EBF2 | -0.0001461 | 2345 | GTEx | DepMap | Descartes | 0.00 | 0.00 |
NTRK2 | -0.0003128 | 4769 | GTEx | DepMap | Descartes | 0.13 | 3.19 |
PDGFRA | -0.0004159 | 6299 | GTEx | DepMap | Descartes | 0.04 | 0.57 |
SFRP1 | -0.0010012 | 11327 | GTEx | DepMap | Descartes | 0.02 | 1.27 |