Program description and justification of annotation: 22.
Submit a comment on this gene expression program’s interpretation: CLICK
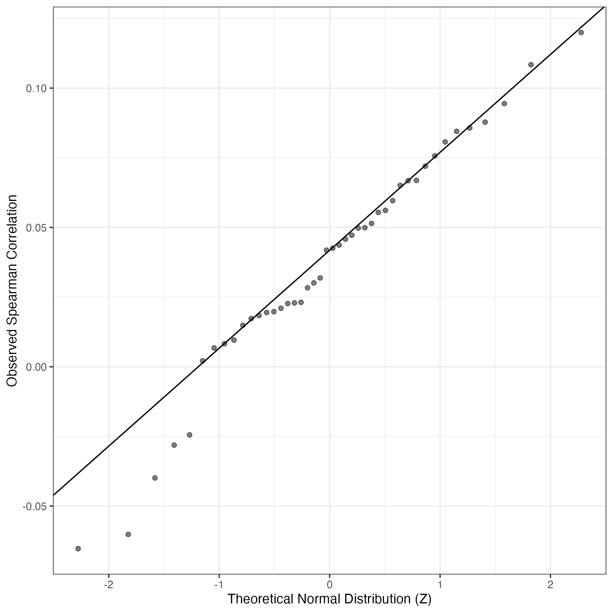
QQ-plot of gene loadings, averaged over both independent splits of the data
This plot highlights the relative contribution of each gene to the GEP
Top genes driving this program.
Note: Decartes website is buggy, try refreshing. Also, Decartes fetal adrenal data have been collected at specific time points (89-122 days), all possible cell types of interest may not be represented, do not overinterpret.
The Mean Count column shows the mean read count in cells scoring highly (H > 50) on this gene expression program.
Gene | Loading | Gene.Name | GTEx | DepMap | Descartes | Mean.Counts | Mean.Tpm | |
---|---|---|---|---|---|---|---|---|
1 | IL1B | 0.0205019 | interleukin 1 beta | GTEx | DepMap | Descartes | 13.33 | 2573.62 |
2 | G0S2 | 0.0198337 | G0/G1 switch 2 | GTEx | DepMap | Descartes | 7.42 | 10020.90 |
3 | HDC | 0.0191681 | histidine decarboxylase | GTEx | DepMap | Descartes | 0.86 | 43.45 |
4 | CEBPB | 0.0183386 | CCAAT enhancer binding protein beta | GTEx | DepMap | Descartes | 10.19 | 6339.96 |
5 | CSF3R | 0.0177398 | colony stimulating factor 3 receptor | GTEx | DepMap | Descartes | 0.90 | 61.84 |
6 | CXCR2 | 0.0171506 | C-X-C motif chemokine receptor 2 | GTEx | DepMap | Descartes | 0.31 | 68.15 |
7 | PTGS2 | 0.0171505 | prostaglandin-endoperoxide synthase 2 | GTEx | DepMap | Descartes | 1.75 | 247.53 |
8 | GADD45B | 0.0168505 | growth arrest and DNA damage inducible beta | GTEx | DepMap | Descartes | 4.77 | 2676.82 |
9 | IL1R2 | 0.0166509 | interleukin 1 receptor type 2 | GTEx | DepMap | Descartes | 1.17 | 28.19 |
10 | CXCL2 | 0.0165688 | C-X-C motif chemokine ligand 2 | GTEx | DepMap | Descartes | 12.15 | 6697.82 |
11 | CLEC4E | 0.0165218 | C-type lectin domain family 4 member E | GTEx | DepMap | Descartes | 1.11 | 150.46 |
12 | TREM1 | 0.0164816 | triggering receptor expressed on myeloid cells 1 | GTEx | DepMap | Descartes | 0.55 | 38.84 |
13 | ZFP36 | 0.0157262 | ZFP36 ring finger protein | GTEx | DepMap | Descartes | 4.30 | 1151.19 |
14 | MXD1 | 0.0155014 | MAX dimerization protein 1 | GTEx | DepMap | Descartes | 1.28 | 60.76 |
15 | IRG1 | 0.0151927 | NA | GTEx | DepMap | Descartes | 0.40 | NA |
16 | MCL1 | 0.0151485 | MCL1 apoptosis regulator, BCL2 family member | GTEx | DepMap | Descartes | 4.37 | 955.72 |
17 | HCAR2 | 0.0148647 | hydroxycarboxylic acid receptor 2 | GTEx | DepMap | Descartes | 1.25 | 869.08 |
18 | CCRL2 | 0.0148222 | C-C motif chemokine receptor like 2 | GTEx | DepMap | Descartes | 2.55 | 926.33 |
19 | MMP9 | 0.0147517 | matrix metallopeptidase 9 | GTEx | DepMap | Descartes | 0.45 | 50.18 |
20 | S100A9 | 0.0144304 | S100 calcium binding protein A9 | GTEx | DepMap | Descartes | 19.25 | 5492.06 |
21 | CCR1 | 0.0142531 | C-C motif chemokine receptor 1 | GTEx | DepMap | Descartes | 0.89 | 133.45 |
22 | SLC7A11 | 0.0141385 | solute carrier family 7 member 11 | GTEx | DepMap | Descartes | 0.74 | 1.40 |
23 | SRGN | 0.0134639 | serglycin | GTEx | DepMap | Descartes | 9.66 | 244.19 |
24 | BC018473 | 0.0130491 | NA | GTEx | DepMap | Descartes | 1.70 | 311.38 |
25 | DUSP1 | 0.0127028 | dual specificity phosphatase 1 | GTEx | DepMap | Descartes | 3.29 | 50.81 |
26 | S100A8 | 0.0126804 | S100 calcium binding protein A8 | GTEx | DepMap | Descartes | 19.11 | 15123.71 |
27 | H2-Q10 | 0.0126776 | NA | GTEx | DepMap | Descartes | 0.21 | 74.78 |
28 | TREM3 | 0.0124707 | NA | GTEx | DepMap | Descartes | 0.26 | 26.45 |
29 | CSF1 | 0.0124440 | colony stimulating factor 1 | GTEx | DepMap | Descartes | 0.58 | 47.70 |
30 | NFKBIA | 0.0124024 | NFKB inhibitor alpha | GTEx | DepMap | Descartes | 4.78 | 1204.42 |
31 | SLFN4 | 0.0122576 | NA | GTEx | DepMap | Descartes | 0.48 | 33.89 |
32 | NFKBID | 0.0122379 | NFKB inhibitor delta | GTEx | DepMap | Descartes | 0.42 | 77.47 |
33 | PTAFR | 0.0121037 | platelet activating factor receptor | GTEx | DepMap | Descartes | 0.87 | 43.59 |
34 | CD300LF | 0.0120570 | CD300 molecule like family member f | GTEx | DepMap | Descartes | 0.63 | 33.04 |
35 | CCL3 | 0.0120238 | C-C motif chemokine ligand 3 | GTEx | DepMap | Descartes | 1.80 | 1571.52 |
36 | LCN2 | 0.0119438 | lipocalin 2 | GTEx | DepMap | Descartes | 0.60 | 136.04 |
37 | JUNB | 0.0116904 | JunB proto-oncogene, AP-1 transcription factor subunit | GTEx | DepMap | Descartes | 7.08 | 1467.94 |
38 | STFA2L1 | 0.0116811 | NA | GTEx | DepMap | Descartes | 0.08 | 22.29 |
39 | PIM1 | 0.0116018 | Pim-1 proto-oncogene, serine/threonine kinase | GTEx | DepMap | Descartes | 3.96 | 628.15 |
40 | WFDC21 | 0.0115479 | NA | GTEx | DepMap | Descartes | 0.14 | 26.72 |
41 | CYP4F18 | 0.0114667 | NA | GTEx | DepMap | Descartes | 0.60 | 36.76 |
42 | NLRP3 | 0.0113576 | NLR family pyrin domain containing 3 | GTEx | DepMap | Descartes | 0.47 | 20.87 |
43 | SAMSN1 | 0.0111705 | SAM domain, SH3 domain and nuclear localization signals 1 | GTEx | DepMap | Descartes | 0.85 | 5.22 |
44 | MSRB1 | 0.0108463 | methionine sulfoxide reductase B1 | GTEx | DepMap | Descartes | 3.69 | 479.51 |
45 | CLEC4D | 0.0106725 | C-type lectin domain family 4 member D | GTEx | DepMap | Descartes | 0.92 | 51.78 |
46 | CSRNP1 | 0.0106508 | cysteine and serine rich nuclear protein 1 | GTEx | DepMap | Descartes | 0.36 | 24.33 |
47 | GM20406 | 0.0104566 | NA | GTEx | DepMap | Descartes | 0.11 | 211.50 |
48 | IL1RN | 0.0104470 | interleukin 1 receptor antagonist | GTEx | DepMap | Descartes | 1.55 | 87.61 |
49 | RETNLG | 0.0104044 | NA | GTEx | DepMap | Descartes | 0.58 | 419.51 |
50 | BTG2 | 0.0103502 | BTG anti-proliferation factor 2 | GTEx | DepMap | Descartes | 3.24 | 751.36 |
UMAP plots showing activity of gene expression program identified in community:22. NFkB: Activity Program
CNV Data procured from inferCNV.
Outer tracks are putative CNV regions (gains = red, losses = blue) for each patient
Inner track is expression data representing:
The top cells expressing this GEP (purple)
Random cells (n =50) from the reference set used in inferCNV (orange)
Gene set Enrichments for this program, caculated from top 50 genes
mSigDB Cell Types Gene Set:
P-value | OR | Lower 95% CI | FDR | FWER | Genes Found | Gene Set Size | |
---|---|---|---|---|---|---|---|
DURANTE_ADULT_OLFACTORY_NEUROEPITHELIUM_DENDRITIC_CELLS | 1.15e-26 | 107.70 | 54.20 | 3.84e-24 | 7.69e-24 | 17IL1B, G0S2, CEBPB, CSF3R, PTGS2, CXCL2, CLEC4E, TREM1, MXD1, S100A9, SRGN, DUSP1, S100A8, NFKBIA, CCL3, NLRP3, SAMSN1 |
117 |
TRAVAGLINI_LUNG_NEUTROPHIL_CELL | 9.69e-23 | 40.04 | 21.34 | 2.17e-20 | 6.51e-20 | 20G0S2, CEBPB, CSF3R, CXCR2, PTGS2, IL1R2, CLEC4E, TREM1, MXD1, MCL1, MMP9, S100A9, SRGN, DUSP1, S100A8, JUNB, SAMSN1, MSRB1, CLEC4D, BTG2 |
368 |
CUI_DEVELOPING_HEART_C8_MACROPHAGE | 1.35e-18 | 37.96 | 19.32 | 2.27e-16 | 9.06e-16 | 16CEBPB, CSF3R, GADD45B, ZFP36, MCL1, S100A9, SRGN, DUSP1, S100A8, NFKBIA, PTAFR, CCL3, JUNB, NLRP3, SAMSN1, BTG2 |
275 |
TRAVAGLINI_LUNG_OLR1_CLASSICAL_MONOCYTE_CELL | 4.85e-27 | 35.09 | 19.28 | 3.26e-24 | 3.26e-24 | 27IL1B, G0S2, CEBPB, CSF3R, PTGS2, GADD45B, IL1R2, CXCL2, CLEC4E, TREM1, MXD1, MCL1, HCAR2, CCRL2, S100A9, CCR1, SRGN, DUSP1, S100A8, NFKBIA, PTAFR, CCL3, NLRP3, SAMSN1, CLEC4D, CSRNP1, IL1RN |
726 |
AIZARANI_LIVER_C23_KUPFFER_CELLS_3 | 3.09e-15 | 35.29 | 16.95 | 2.60e-13 | 2.08e-12 | 13IL1B, CSF3R, PTGS2, IL1R2, CLEC4E, TREM1, S100A9, CCR1, SRGN, S100A8, NFKBIA, PTAFR, SAMSN1 |
221 |
GAO_LARGE_INTESTINE_24W_C11_PANETH_LIKE_CELL | 5.80e-16 | 28.87 | 14.50 | 5.56e-14 | 3.89e-13 | 15IL1B, CEBPB, CSF3R, PTGS2, IL1R2, CXCL2, HCAR2, MMP9, CCR1, SRGN, PTAFR, CCL3, NLRP3, SAMSN1, IL1RN |
325 |
DESCARTES_FETAL_PANCREAS_MYELOID_CELLS | 1.98e-13 | 29.84 | 14.00 | 1.33e-11 | 1.33e-10 | 12IL1B, CSF3R, IL1R2, TREM1, S100A9, CCR1, SRGN, S100A8, PTAFR, CD300LF, NLRP3, IL1RN |
233 |
DURANTE_ADULT_OLFACTORY_NEUROEPITHELIUM_MAST_CELLS | 2.36e-08 | 41.26 | 13.91 | 7.53e-07 | 1.58e-05 | 6HDC, PTGS2, SRGN, CSF1, NFKBIA, SAMSN1 |
75 |
FAN_EMBRYONIC_CTX_MICROGLIA_2 | 1.99e-04 | 123.89 | 12.26 | 2.47e-03 | 1.33e-01 | 2IL1B, CCL3 |
9 |
MANNO_MIDBRAIN_NEUROTYPES_HMGL | 1.43e-17 | 22.96 | 12.18 | 1.70e-15 | 9.61e-15 | 19IL1B, CSF3R, PTGS2, GADD45B, CXCL2, ZFP36, CCRL2, CCR1, SLC7A11, SRGN, DUSP1, CSF1, NFKBIA, PTAFR, CCL3, JUNB, NLRP3, SAMSN1, CSRNP1 |
577 |
TRAVAGLINI_LUNG_EREG_DENDRITIC_CELL | 1.52e-17 | 22.88 | 12.13 | 1.70e-15 | 1.02e-14 | 19IL1B, G0S2, CEBPB, GADD45B, IL1R2, CXCL2, CLEC4E, TREM1, MXD1, MCL1, CCRL2, CCR1, SRGN, DUSP1, PTAFR, NLRP3, SAMSN1, CSRNP1, IL1RN |
579 |
ZHENG_CORD_BLOOD_C5_SIMILAR_TO_HSC_C6_PUTATIVE_ALTERED_METABOLIC_STATE | 1.11e-07 | 31.29 | 10.63 | 3.23e-06 | 7.42e-05 | 6GADD45B, ZFP36, DUSP1, NFKBIA, JUNB, BTG2 |
97 |
HAY_BONE_MARROW_NEUTROPHIL | 6.13e-14 | 20.64 | 10.39 | 4.57e-12 | 4.12e-11 | 15CSF3R, PTGS2, CLEC4E, TREM1, MXD1, MCL1, S100A9, SRGN, DUSP1, S100A8, PTAFR, SAMSN1, MSRB1, CLEC4D, IL1RN |
449 |
DESCARTES_FETAL_STOMACH_MYELOID_CELLS | 1.01e-06 | 32.67 | 9.84 | 1.99e-05 | 6.76e-04 | 5IL1B, CSF3R, MMP9, S100A8, PTAFR |
76 |
DESCARTES_FETAL_KIDNEY_MYELOID_CELLS | 1.57e-09 | 22.49 | 9.48 | 6.41e-08 | 1.05e-06 | 9PTGS2, IL1R2, TREM1, HCAR2, CCR1, S100A8, PTAFR, CD300LF, NLRP3 |
213 |
DESCARTES_FETAL_LUNG_MYELOID_CELLS | 7.88e-09 | 23.68 | 9.46 | 2.78e-07 | 5.29e-06 | 8IL1B, HDC, PTGS2, IL1R2, MMP9, CCR1, CD300LF, NLRP3 |
176 |
RUBENSTEIN_SKELETAL_MUSCLE_MYELOID_CELLS | 2.02e-11 | 19.70 | 9.28 | 1.13e-09 | 1.35e-08 | 12IL1B, CEBPB, ZFP36, MCL1, S100A9, SRGN, DUSP1, S100A8, NFKBIA, CCL3, JUNB, BTG2 |
347 |
DESCARTES_FETAL_INTESTINE_MYELOID_CELLS | 2.73e-09 | 21.03 | 8.88 | 1.02e-07 | 1.83e-06 | 9IL1B, CSF3R, IL1R2, TREM1, MMP9, CCR1, PTAFR, CD300LF, NLRP3 |
227 |
FAN_EMBRYONIC_CTX_BIG_GROUPS_MICROGLIA | 4.32e-11 | 18.38 | 8.67 | 2.23e-09 | 2.90e-08 | 12CSF3R, GADD45B, ZFP36, CCR1, SRGN, DUSP1, NFKBIA, PTAFR, CCL3, JUNB, SAMSN1, BTG2 |
371 |
AIZARANI_LIVER_C18_NK_NKT_CELLS_5 | 4.09e-07 | 24.75 | 8.46 | 9.97e-06 | 2.75e-04 | 6IL1B, CEBPB, GADD45B, S100A9, CCR1, S100A8 |
121 |
Dowload full table
mSigDB Hallmark Gene Sets:
P-value | OR | Lower 95% CI | FDR | FWER | Genes Found | Gene Set Size | |
---|---|---|---|---|---|---|---|
HALLMARK_TNFA_SIGNALING_VIA_NFKB | 4.28e-19 | 48.44 | 24.12 | 2.14e-17 | 2.14e-17 | 15IL1B, G0S2, CEBPB, PTGS2, GADD45B, CXCL2, ZFP36, MXD1, MCL1, CCRL2, DUSP1, CSF1, NFKBIA, JUNB, BTG2 |
200 |
HALLMARK_IL6_JAK_STAT3_SIGNALING | 5.77e-08 | 35.13 | 11.91 | 9.61e-07 | 2.88e-06 | 6IL1B, CSF3R, IL1R2, CCR1, CSF1, PIM1 |
87 |
HALLMARK_INFLAMMATORY_RESPONSE | 9.05e-10 | 24.01 | 10.12 | 2.26e-08 | 4.52e-08 | 9IL1B, CSF3R, MXD1, CCRL2, CSF1, NFKBIA, PTAFR, NLRP3, BTG2 |
200 |
HALLMARK_ALLOGRAFT_REJECTION | 7.45e-06 | 14.69 | 5.06 | 9.32e-05 | 3.73e-04 | 6IL1B, MMP9, CCR1, SRGN, CSF1, NLRP3 |
200 |
HALLMARK_IL2_STAT5_SIGNALING | 1.05e-04 | 11.97 | 3.67 | 1.05e-03 | 5.27e-03 | 5GADD45B, IL1R2, MXD1, CSF1, PIM1 |
199 |
HALLMARK_UV_RESPONSE_UP | 5.32e-04 | 11.80 | 3.05 | 4.08e-03 | 2.66e-02 | 4CXCL2, NFKBIA, JUNB, BTG2 |
158 |
HALLMARK_APOPTOSIS | 5.71e-04 | 11.57 | 2.99 | 4.08e-03 | 2.86e-02 | 4IL1B, GADD45B, MCL1, BTG2 |
161 |
HALLMARK_COMPLEMENT | 1.27e-03 | 9.27 | 2.40 | 7.07e-03 | 6.36e-02 | 4CEBPB, S100A9, PIM1, MSRB1 |
200 |
HALLMARK_KRAS_SIGNALING_UP | 1.27e-03 | 9.27 | 2.40 | 7.07e-03 | 6.36e-02 | 4IL1B, G0S2, PTGS2, MMP9 |
200 |
HALLMARK_HYPOXIA | 1.18e-02 | 6.77 | 1.34 | 4.91e-02 | 5.89e-01 | 3ZFP36, DUSP1, PIM1 |
200 |
HALLMARK_INTERFERON_GAMMA_RESPONSE | 1.18e-02 | 6.77 | 1.34 | 4.91e-02 | 5.89e-01 | 3PTGS2, NFKBIA, PIM1 |
200 |
HALLMARK_P53_PATHWAY | 1.18e-02 | 6.77 | 1.34 | 4.91e-02 | 5.89e-01 | 3MXD1, SLC7A11, BTG2 |
200 |
HALLMARK_INTERFERON_ALPHA_RESPONSE | 2.23e-02 | 9.17 | 1.06 | 8.58e-02 | 1.00e+00 | 2CCRL2, CSF1 |
97 |
HALLMARK_ESTROGEN_RESPONSE_LATE | 8.11e-02 | 4.40 | 0.51 | 2.54e-01 | 1.00e+00 | 2ZFP36, S100A9 |
200 |
HALLMARK_MTORC1_SIGNALING | 8.11e-02 | 4.40 | 0.51 | 2.54e-01 | 1.00e+00 | 2SLC7A11, BTG2 |
200 |
HALLMARK_HEME_METABOLISM | 8.11e-02 | 4.40 | 0.51 | 2.54e-01 | 1.00e+00 | 2SLC7A11, BTG2 |
200 |
HALLMARK_REACTIVE_OXYGEN_SPECIES_PATHWAY | 1.10e-01 | 8.88 | 0.22 | 3.25e-01 | 1.00e+00 | 1JUNB |
49 |
HALLMARK_TGF_BETA_SIGNALING | 1.21e-01 | 8.04 | 0.20 | 3.36e-01 | 1.00e+00 | 1JUNB |
54 |
HALLMARK_UNFOLDED_PROTEIN_RESPONSE | 2.36e-01 | 3.81 | 0.09 | 6.21e-01 | 1.00e+00 | 1CEBPB |
113 |
HALLMARK_COAGULATION | 2.80e-01 | 3.11 | 0.08 | 6.91e-01 | 1.00e+00 | 1MMP9 |
138 |
Dowload full table
KEGG Pathways:
P-value | OR | Lower 95% CI | FDR | FWER | Genes Found | Gene Set Size | |
---|---|---|---|---|---|---|---|
KEGG_NOD_LIKE_RECEPTOR_SIGNALING_PATHWAY | 1.43e-05 | 31.30 | 7.93 | 1.33e-03 | 2.66e-03 | 4IL1B, CXCL2, NFKBIA, NLRP3 |
62 |
KEGG_CYTOKINE_CYTOKINE_RECEPTOR_INTERACTION | 1.82e-07 | 15.49 | 6.22 | 3.38e-05 | 3.38e-05 | 8IL1B, CSF3R, CXCR2, IL1R2, CXCL2, CCR1, CSF1, CCL3 |
265 |
KEGG_HEMATOPOIETIC_CELL_LINEAGE | 5.43e-05 | 21.87 | 5.59 | 3.37e-03 | 1.01e-02 | 4IL1B, CSF3R, IL1R2, CSF1 |
87 |
KEGG_CHEMOKINE_SIGNALING_PATHWAY | 8.28e-05 | 12.62 | 3.86 | 3.85e-03 | 1.54e-02 | 5CXCR2, CXCL2, CCR1, NFKBIA, CCL3 |
189 |
KEGG_LEISHMANIA_INFECTION | 6.73e-04 | 19.33 | 3.76 | 2.50e-02 | 1.25e-01 | 3IL1B, PTGS2, NFKBIA |
72 |
KEGG_TOLL_LIKE_RECEPTOR_SIGNALING_PATHWAY | 1.83e-03 | 13.48 | 2.64 | 5.69e-02 | 3.41e-01 | 3IL1B, NFKBIA, CCL3 |
102 |
KEGG_CYTOSOLIC_DNA_SENSING_PATHWAY | 7.61e-03 | 16.42 | 1.89 | 1.57e-01 | 1.00e+00 | 2IL1B, NFKBIA |
55 |
KEGG_MAPK_SIGNALING_PATHWAY | 3.59e-03 | 6.91 | 1.79 | 9.53e-02 | 6.67e-01 | 4IL1B, GADD45B, IL1R2, DUSP1 |
267 |
KEGG_EPITHELIAL_CELL_SIGNALING_IN_HELICOBACTER_PYLORI_INFECTION | 1.14e-02 | 13.18 | 1.52 | 2.13e-01 | 1.00e+00 | 2CXCR2, NFKBIA |
68 |
KEGG_PATHWAYS_IN_CANCER | 7.09e-03 | 5.66 | 1.47 | 1.57e-01 | 1.00e+00 | 4CSF3R, PTGS2, MMP9, NFKBIA |
325 |
KEGG_SMALL_CELL_LUNG_CANCER | 1.71e-02 | 10.62 | 1.23 | 2.82e-01 | 1.00e+00 | 2PTGS2, NFKBIA |
84 |
KEGG_APOPTOSIS | 1.82e-02 | 10.24 | 1.19 | 2.82e-01 | 1.00e+00 | 2IL1B, NFKBIA |
87 |
KEGG_JAK_STAT_SIGNALING_PATHWAY | 5.22e-02 | 5.69 | 0.66 | 7.47e-01 | 1.00e+00 | 2CSF3R, PIM1 |
155 |
KEGG_HISTIDINE_METABOLISM | 6.69e-02 | 15.22 | 0.37 | 8.89e-01 | 1.00e+00 | 1HDC |
29 |
KEGG_PRION_DISEASES | 8.02e-02 | 12.54 | 0.30 | 9.94e-01 | 1.00e+00 | 1IL1B |
35 |
KEGG_GRAFT_VERSUS_HOST_DISEASE | 9.32e-02 | 10.66 | 0.26 | 1.00e+00 | 1.00e+00 | 1IL1B |
41 |
KEGG_BLADDER_CANCER | 9.54e-02 | 10.40 | 0.25 | 1.00e+00 | 1.00e+00 | 1MMP9 |
42 |
KEGG_TYPE_I_DIABETES_MELLITUS | 9.75e-02 | 10.15 | 0.25 | 1.00e+00 | 1.00e+00 | 1IL1B |
43 |
KEGG_ACUTE_MYELOID_LEUKEMIA | 1.27e-01 | 7.61 | 0.19 | 1.00e+00 | 1.00e+00 | 1PIM1 |
57 |
KEGG_ARACHIDONIC_ACID_METABOLISM | 1.29e-01 | 7.48 | 0.18 | 1.00e+00 | 1.00e+00 | 1PTGS2 |
58 |
Dowload full table
CHR Positional Gene Sets:
P-value | OR | Lower 95% CI | FDR | FWER | Genes Found | Gene Set Size | |
---|---|---|---|---|---|---|---|
chr1q21 | 6.40e-02 | 3.43 | 0.68 | 1.00e+00 | 1.00e+00 | 3MCL1, S100A9, S100A8 |
392 |
chr2q14 | 5.16e-02 | 5.73 | 0.67 | 1.00e+00 | 1.00e+00 | 2IL1B, IL1RN |
154 |
chr1q32 | 1.30e-01 | 3.30 | 0.39 | 1.00e+00 | 1.00e+00 | 2G0S2, BTG2 |
266 |
chr3p21 | 1.60e-01 | 2.88 | 0.34 | 1.00e+00 | 1.00e+00 | 2CCRL2, CCR1 |
304 |
chr12p13 | 1.84e-01 | 2.63 | 0.31 | 1.00e+00 | 1.00e+00 | 2CLEC4E, CLEC4D |
333 |
chr20q13 | 2.41e-01 | 2.19 | 0.26 | 1.00e+00 | 1.00e+00 | 2CEBPB, MMP9 |
400 |
chr21q11 | 1.04e-01 | 9.47 | 0.23 | 1.00e+00 | 1.00e+00 | 1SAMSN1 |
46 |
chr6p21 | 2.98e-01 | 1.87 | 0.22 | 1.00e+00 | 1.00e+00 | 2TREM1, PIM1 |
467 |
chr14q13 | 1.31e-01 | 7.35 | 0.18 | 1.00e+00 | 1.00e+00 | 1NFKBIA |
59 |
chr1q31 | 1.56e-01 | 6.09 | 0.15 | 1.00e+00 | 1.00e+00 | 1PTGS2 |
71 |
chr19p13 | 6.98e-01 | 1.13 | 0.13 | 1.00e+00 | 1.00e+00 | 2GADD45B, JUNB |
773 |
chr19q13 | 1.00e+00 | 0.75 | 0.09 | 1.00e+00 | 1.00e+00 | 2ZFP36, NFKBID |
1165 |
chr2q35 | 2.59e-01 | 3.41 | 0.08 | 1.00e+00 | 1.00e+00 | 1CXCR2 |
126 |
chr1p35 | 2.66e-01 | 3.31 | 0.08 | 1.00e+00 | 1.00e+00 | 1PTAFR |
130 |
chr2p13 | 2.78e-01 | 3.14 | 0.08 | 1.00e+00 | 1.00e+00 | 1MXD1 |
137 |
chr17q12 | 2.89e-01 | 3.00 | 0.07 | 1.00e+00 | 1.00e+00 | 1CCL3 |
143 |
chr2q11 | 2.94e-01 | 2.94 | 0.07 | 1.00e+00 | 1.00e+00 | 1IL1R2 |
146 |
chr3p22 | 3.25e-01 | 2.60 | 0.06 | 1.00e+00 | 1.00e+00 | 1CSRNP1 |
165 |
chr15q21 | 3.28e-01 | 2.57 | 0.06 | 1.00e+00 | 1.00e+00 | 1HDC |
167 |
chr10q22 | 3.81e-01 | 2.12 | 0.05 | 1.00e+00 | 1.00e+00 | 1SRGN |
202 |
Dowload full table
Transcription Factor Targets:
P-value | OR | Lower 95% CI | FDR | FWER | Genes Found | Gene Set Size | |
---|---|---|---|---|---|---|---|
CEBPB_02 | 2.84e-06 | 13.13 | 4.94 | 3.21e-03 | 3.21e-03 | 7G0S2, S100A9, SLC7A11, DUSP1, NFKBIA, CCL3, NLRP3 |
266 |
NFKAPPAB_01 | 2.91e-05 | 11.44 | 3.95 | 1.17e-02 | 3.30e-02 | 6GADD45B, CXCL2, MMP9, NFKBID, SAMSN1, IL1RN |
255 |
NFKB_Q6 | 3.10e-05 | 11.31 | 3.90 | 1.17e-02 | 3.52e-02 | 6PTGS2, CXCL2, NFKBIA, NFKBID, SAMSN1, IL1RN |
258 |
NFKB_Q6_01 | 2.36e-04 | 10.01 | 3.07 | 4.59e-02 | 2.67e-01 | 5GADD45B, MMP9, NFKBIA, NFKBID, IL1RN |
237 |
NFKB_C | 4.12e-04 | 8.83 | 2.71 | 6.68e-02 | 4.67e-01 | 5PTGS2, GADD45B, NFKBIA, LCN2, IL1RN |
268 |
PSMB5_TARGET_GENES | 7.57e-04 | 7.69 | 2.37 | 1.07e-01 | 8.58e-01 | 5ZFP36, MCL1, DUSP1, JUNB, BTG2 |
307 |
RYTTCCTG_ETS2_B | 1.65e-04 | 4.74 | 2.11 | 4.59e-02 | 1.87e-01 | 10CSF3R, HCAR2, MMP9, S100A9, CCR1, SRGN, NFKBID, JUNB, CSRNP1, IL1RN |
1112 |
NFKAPPAB65_01 | 2.49e-03 | 7.67 | 1.99 | 2.57e-01 | 1.00e+00 | 4GADD45B, MMP9, NFKBIA, NFKBID |
241 |
CEBPDELTA_Q6 | 2.72e-03 | 7.48 | 1.94 | 2.57e-01 | 1.00e+00 | 4G0S2, S100A9, SLC7A11, IL1RN |
247 |
HES2_TARGET_GENES | 2.43e-04 | 4.19 | 1.93 | 4.59e-02 | 2.76e-01 | 11PTGS2, CXCL2, MCL1, HCAR2, S100A9, SLC7A11, SRGN, DUSP1, S100A8, NFKBIA, LCN2 |
1420 |
GTF2A2_TARGET_GENES | 1.29e-03 | 5.52 | 1.92 | 1.62e-01 | 1.00e+00 | 6CEBPB, GADD45B, ZFP36, MCL1, DUSP1, JUNB |
522 |
CREL_01 | 3.13e-03 | 7.18 | 1.86 | 2.73e-01 | 1.00e+00 | 4GADD45B, MMP9, NFKBIA, NFKBID |
257 |
CEBPB_01 | 3.59e-03 | 6.91 | 1.79 | 2.75e-01 | 1.00e+00 | 4IL1B, DUSP1, S100A8, PIM1 |
267 |
AML_Q6 | 3.68e-03 | 6.86 | 1.78 | 2.75e-01 | 1.00e+00 | 4MMP9, CCR1, DUSP1, NLRP3 |
269 |
BACH2_01 | 3.88e-03 | 6.76 | 1.75 | 2.75e-01 | 1.00e+00 | 4GADD45B, MMP9, PIM1, CSRNP1 |
273 |
TTGCWCAAY_CEBPB_02 | 9.88e-03 | 14.27 | 1.64 | 6.58e-01 | 1.00e+00 | 2CEBPB, SLC7A11 |
63 |
TATAAA_TATA_01 | 2.39e-03 | 3.51 | 1.50 | 2.57e-01 | 1.00e+00 | 9G0S2, CEBPB, IL1R2, S100A9, S100A8, NFKBIA, JUNB, CLEC4D, IL1RN |
1317 |
FREAC7_01 | 1.18e-02 | 6.77 | 1.34 | 7.06e-01 | 1.00e+00 | 3CXCL2, HCAR2, JUNB |
200 |
EGFR_TARGET_GENES | 1.89e-02 | 60.80 | 1.33 | 7.57e-01 | 1.00e+00 | 1JUNB |
8 |
CEBP_C | 1.29e-02 | 6.54 | 1.29 | 7.06e-01 | 1.00e+00 | 3CEBPB, NFKBIA, PTAFR |
207 |
Dowload full table
GO Biological Processes:
P-value | OR | Lower 95% CI | FDR | FWER | Genes Found | Gene Set Size | |
---|---|---|---|---|---|---|---|
GOBP_LEUKOCYTE_AGGREGATION | 3.59e-06 | 132.82 | 22.78 | 5.86e-04 | 2.69e-02 | 3IL1B, S100A9, S100A8 |
13 |
GOBP_REGULATION_OF_ADIPONECTIN_SECRETION | 8.32e-05 | 214.97 | 19.15 | 7.68e-03 | 6.22e-01 | 2IL1B, HCAR2 |
6 |
GOBP_SEQUESTERING_OF_METAL_ION | 6.99e-06 | 102.02 | 18.11 | 1.05e-03 | 5.23e-02 | 3S100A9, S100A8, LCN2 |
16 |
GOBP_NEUTROPHIL_APOPTOTIC_PROCESS | 1.16e-04 | 173.11 | 16.13 | 9.77e-03 | 8.70e-01 | 2HCAR2, SLC7A11 |
7 |
GOBP_POSITIVE_REGULATION_OF_PROSTAGLANDIN_BIOSYNTHETIC_PROCESS | 1.16e-04 | 173.11 | 16.13 | 9.77e-03 | 8.70e-01 | 2IL1B, PTGS2 |
7 |
GOBP_POSITIVE_REGULATION_OF_FEVER_GENERATION | 1.16e-04 | 173.11 | 16.13 | 9.77e-03 | 8.70e-01 | 2IL1B, PTGS2 |
7 |
GOBP_NEGATIVE_REGULATION_OF_INTERLEUKIN_1_MEDIATED_SIGNALING_PATHWAY | 1.16e-04 | 173.11 | 16.13 | 9.77e-03 | 8.70e-01 | 2IL1R2, IL1RN |
7 |
GOBP_LEUKOCYTE_MIGRATION_INVOLVED_IN_INFLAMMATORY_RESPONSE | 1.02e-05 | 88.67 | 15.93 | 1.31e-03 | 7.59e-02 | 3S100A9, S100A8, NLRP3 |
18 |
GOBP_NEGATIVE_REGULATION_OF_BONE_MINERALIZATION | 1.41e-05 | 78.17 | 14.22 | 1.65e-03 | 1.06e-01 | 3CCR1, SRGN, CCL3 |
20 |
GOBP_SEQUESTERING_OF_ZINC_ION | 1.55e-04 | 144.44 | 13.92 | 1.15e-02 | 1.00e+00 | 2S100A9, S100A8 |
8 |
GOBP_AUTOCRINE_SIGNALING | 1.55e-04 | 144.44 | 13.92 | 1.15e-02 | 1.00e+00 | 2S100A9, S100A8 |
8 |
GOBP_MICROGLIAL_CELL_MIGRATION | 1.55e-04 | 144.44 | 13.92 | 1.15e-02 | 1.00e+00 | 2CSF1, CCL3 |
8 |
GOBP_POSITIVE_REGULATION_OF_UNSATURATED_FATTY_ACID_BIOSYNTHETIC_PROCESS | 1.99e-04 | 123.89 | 12.26 | 1.39e-02 | 1.00e+00 | 2IL1B, PTGS2 |
9 |
GOBP_NEUROINFLAMMATORY_RESPONSE | 3.60e-06 | 45.34 | 11.33 | 5.86e-04 | 2.69e-02 | 4IL1B, PTGS2, MMP9, CCL3 |
44 |
GOBP_FEVER_GENERATION | 2.48e-04 | 108.38 | 10.95 | 1.62e-02 | 1.00e+00 | 2IL1B, PTGS2 |
10 |
GOBP_POSITIVE_REGULATION_OF_HEAT_GENERATION | 2.48e-04 | 108.38 | 10.95 | 1.62e-02 | 1.00e+00 | 2IL1B, PTGS2 |
10 |
GOBP_REGULATION_OF_INTERLEUKIN_1_MEDIATED_SIGNALING_PATHWAY | 2.48e-04 | 108.38 | 10.95 | 1.62e-02 | 1.00e+00 | 2IL1R2, IL1RN |
10 |
GOBP_GRANULOCYTE_CHEMOTAXIS | 1.58e-08 | 29.31 | 10.90 | 9.83e-06 | 1.18e-04 | 7CSF3R, CXCR2, CXCL2, S100A9, S100A8, CSF1, CCL3 |
123 |
GOBP_RESPONSE_TO_CHEMOKINE | 1.04e-07 | 31.64 | 10.75 | 3.38e-05 | 7.77e-04 | 6CXCR2, CXCL2, CCRL2, CCR1, DUSP1, CCL3 |
96 |
GOBP_P38MAPK_CASCADE | 5.57e-06 | 40.35 | 10.12 | 8.50e-04 | 4.17e-02 | 4IL1B, GADD45B, ZFP36, DUSP1 |
49 |
Dowload full table
Immunological Gene Sets:
P-value | OR | Lower 95% CI | FDR | FWER | Genes Found | Gene Set Size | |
---|---|---|---|---|---|---|---|
GSE21360_SECONDARY_VS_QUATERNARY_MEMORY_CD8_TCELL_UP | 5.80e-37 | 122.02 | 65.38 | 2.82e-33 | 2.82e-33 | 24IL1B, HDC, CSF3R, CXCR2, PTGS2, GADD45B, CXCL2, CLEC4E, TREM1, ZFP36, MXD1, HCAR2, CCRL2, S100A9, SLC7A11, DUSP1, NFKBIA, CCL3, LCN2, PIM1, SAMSN1, MSRB1, CLEC4D, IL1RN |
182 |
GSE45365_NK_CELL_VS_CD11B_DC_DN | 4.11e-28 | 77.76 | 41.05 | 1.00e-24 | 2.00e-24 | 20IL1B, CEBPB, CSF3R, CXCL2, CLEC4E, TREM1, ZFP36, MMP9, S100A9, DUSP1, S100A8, NFKBIA, NFKBID, CD300LF, JUNB, PIM1, CLEC4D, CSRNP1, IL1RN, BTG2 |
199 |
GSE14769_UNSTIM_VS_40MIN_LPS_BMDM_DN | 4.28e-19 | 48.44 | 24.12 | 4.17e-16 | 2.08e-15 | 15CEBPB, PTGS2, GADD45B, CXCL2, CLEC4E, ZFP36, MCL1, CCRL2, DUSP1, NFKBIA, NFKBID, JUNB, PIM1, CSRNP1, BTG2 |
200 |
GSE3039_NKT_CELL_VS_ALPHAALPHA_CD8_TCELL_UP | 4.28e-19 | 48.44 | 24.12 | 4.17e-16 | 2.08e-15 | 15G0S2, HDC, CXCR2, IL1R2, TREM1, HCAR2, S100A9, CCR1, SRGN, S100A8, CSF1, LCN2, PIM1, CLEC4D, CSRNP1 |
200 |
GSE26343_UNSTIM_VS_LPS_STIM_NFAT5_KO_MACROPHAGE_DN | 4.28e-19 | 48.44 | 24.12 | 4.17e-16 | 2.08e-15 | 15HDC, CEBPB, GADD45B, CXCL2, ZFP36, MCL1, CCRL2, DUSP1, JUNB, PIM1, NLRP3, SAMSN1, CSRNP1, IL1RN, BTG2 |
200 |
GSE9006_HEALTHY_VS_TYPE_1_DIABETES_PBMC_AT_DX_DN | 1.74e-17 | 44.20 | 21.61 | 9.79e-15 | 8.50e-14 | 14IL1B, G0S2, CXCR2, PTGS2, IL1R2, CXCL2, TREM1, ZFP36, MCL1, CCRL2, CCR1, S100A8, PIM1, BTG2 |
198 |
GSE14769_UNSTIM_VS_60MIN_LPS_BMDM_DN | 2.01e-17 | 43.66 | 21.39 | 9.79e-15 | 9.79e-14 | 14IL1B, CEBPB, PTGS2, GADD45B, CLEC4E, MXD1, MCL1, CCRL2, SRGN, DUSP1, NFKBID, PIM1, CSRNP1, BTG2 |
200 |
GSE32986_CURDLAN_HIGHDOSE_VS_GMCSF_AND_CURDLAN_HIGHDOSE_STIM_DC_DN | 2.01e-17 | 43.66 | 21.39 | 9.79e-15 | 9.79e-14 | 14IL1B, PTGS2, GADD45B, CLEC4E, ZFP36, CCRL2, DUSP1, NFKBIA, NFKBID, JUNB, PIM1, NLRP3, SAMSN1, CSRNP1 |
200 |
GSE42021_TREG_PLN_VS_CD24HI_TREG_THYMUS_UP | 2.01e-17 | 43.66 | 21.39 | 9.79e-15 | 9.79e-14 | 14IL1B, CEBPB, PTGS2, GADD45B, CXCL2, CLEC4E, SRGN, DUSP1, NFKBIA, JUNB, PIM1, CLEC4D, IL1RN, BTG2 |
200 |
GSE27434_WT_VS_DNMT1_KO_TREG_DN | 2.01e-17 | 43.66 | 21.39 | 9.79e-15 | 9.79e-14 | 14IL1B, PTGS2, GADD45B, CXCL2, CLEC4E, ZFP36, SRGN, DUSP1, NFKBIA, JUNB, PIM1, CLEC4D, IL1RN, BTG2 |
200 |
GSE7218_UNSTIM_VS_ANTIGEN_STIM_THROUGH_IGG_BCELL_DN | 1.77e-13 | 37.28 | 16.90 | 5.39e-11 | 8.62e-10 | 11GADD45B, CLEC4E, HCAR2, CCRL2, S100A9, SRGN, CD300LF, CCL3, LCN2, PIM1, IL1RN |
169 |
GSE9988_LPS_VS_VEHICLE_TREATED_MONOCYTE_UP | 2.56e-14 | 35.85 | 16.77 | 1.06e-11 | 1.25e-10 | 12IL1B, G0S2, PTGS2, GADD45B, CXCL2, CCRL2, DUSP1, NFKBIA, NFKBID, NLRP3, CSRNP1, BTG2 |
196 |
GSE14769_UNSTIM_VS_80MIN_LPS_BMDM_DN | 3.06e-14 | 35.27 | 16.52 | 1.06e-11 | 1.49e-10 | 12IL1B, CEBPB, GADD45B, CLEC4E, MCL1, CCRL2, SRGN, DUSP1, NFKBID, CSRNP1, IL1RN, BTG2 |
199 |
GSE14769_UNSTIM_VS_120MIN_LPS_BMDM_DN | 3.25e-14 | 35.09 | 16.43 | 1.06e-11 | 1.58e-10 | 12CXCL2, ZFP36, MCL1, SLC7A11, SRGN, DUSP1, CSF1, NLRP3, CLEC4D, CSRNP1, IL1RN, BTG2 |
200 |
GSE23502_WT_VS_HDC_KO_MYELOID_DERIVED_SUPPRESSOR_CELL_BM_DN | 3.25e-14 | 35.09 | 16.43 | 1.06e-11 | 1.58e-10 | 12IL1B, G0S2, HDC, PTGS2, IL1R2, CLEC4E, DUSP1, CSF1, PIM1, NLRP3, CLEC4D, IL1RN |
200 |
GSE42021_TCONV_PLN_VS_TREG_PRECURSORS_THYMUS_DN | 3.25e-14 | 35.09 | 16.43 | 1.06e-11 | 1.58e-10 | 12IL1B, CEBPB, PTGS2, CXCL2, CLEC4E, SRGN, DUSP1, LCN2, JUNB, PIM1, CLEC4D, IL1RN |
200 |
GSE9988_LPS_VS_CTRL_TREATED_MONOCYTE_UP | 8.92e-13 | 31.85 | 14.48 | 2.16e-10 | 4.34e-09 | 11IL1B, G0S2, PTGS2, GADD45B, CXCL2, CCRL2, DUSP1, NFKBIA, NLRP3, CSRNP1, BTG2 |
196 |
GSE9988_LOW_LPS_VS_CTRL_TREATED_MONOCYTE_UP | 8.92e-13 | 31.85 | 14.48 | 2.16e-10 | 4.34e-09 | 11IL1B, G0S2, PTGS2, GADD45B, CXCL2, CCRL2, DUSP1, NFKBIA, NLRP3, CSRNP1, BTG2 |
196 |
GSE9988_LOW_LPS_VS_VEHICLE_TREATED_MONOCYTE_UP | 8.92e-13 | 31.85 | 14.48 | 2.16e-10 | 4.34e-09 | 11IL1B, G0S2, PTGS2, GADD45B, CXCL2, CCRL2, DUSP1, NFKBIA, NFKBID, NLRP3, CSRNP1 |
196 |
GSE41176_UNSTIM_VS_ANTI_IGM_STIM_BCELL_1H_UP | 9.42e-13 | 31.68 | 14.40 | 2.16e-10 | 4.59e-09 | 11IL1B, G0S2, CEBPB, PTGS2, GADD45B, CXCL2, TREM1, MXD1, SLC7A11, NFKBIA, PTAFR |
197 |
Top Ranked Transcription Factors for this Gene Expression Program:
Gene Symbol | TF Rank | DNA Binding Domain | Motif Status | IUPAC PWM | GTEx | DepMap | Decartes |
---|---|---|---|---|---|---|---|
IL1B | 1 | No | Unlikely to be sequence specific TF | Not a DNA binding protein | No motif | None | None |
CEBPB | 4 | Yes | Known motif | Monomer or homomultimer | High-throughput in vitro | None | None |
ZFP36 | 13 | No | ssDNA/RNA binding | Not a DNA binding protein | No motif | None | RNA binding protein (PMID: 10330172). |
MXD1 | 14 | Yes | Inferred motif | Obligate heteromer | In vivo/Misc source | None | All three MXD proteins have very similar sequences and should behave accordingly, making heterodimers with at least MAX (PMID:8521822). |
S100A9 | 20 | No | Unlikely to be sequence specific TF | Not a DNA binding protein | No motif | None | None |
S100A8 | 26 | No | Unlikely to be sequence specific TF | Not a DNA binding protein | No motif | None | None |
NFKBIA | 30 | No | Unlikely to be sequence specific TF | Not a DNA binding protein | No motif | None | This is I kappa B alpha, which interacts with NFkappaB. No DBD, and evidence indicates that it is not a TF. |
NFKBID | 32 | No | Unlikely to be sequence specific TF | Not a DNA binding protein | No motif | None | None |
JUNB | 37 | Yes | Known motif | Monomer or homomultimer | High-throughput in vitro | None | Prefers forming heterodimers with FOS; FOSB; FOSL1 and FOSL2 over homodimers (PMID:12805554); but, clearly can bind DNA specifically in vitro. |
PIM1 | 39 | No | Unlikely to be sequence specific TF | Not a DNA binding protein | No motif | None | Affects transcription by phosphorylating TFs (PMID: 18593906) |
NLRP3 | 42 | No | Unlikely to be sequence specific TF | Not a DNA binding protein | No motif | None | Operates upstream in the signaling cascade |
CSRNP1 | 46 | Yes | Likely to be sequence specific TF | Monomer or homomultimer | No motif | None | All three paralogs (CSRNP1, CSRNP2, and CSRNP3) bind an AGAGTG consensus based on SELEX experiments (PMID: 17726538) |
BTG2 | 50 | No | Unlikely to be sequence specific TF | Not a DNA binding protein | No motif | None | Transcriptional co-factor (PMID: 10617598) |
PLEK | 53 | No | Unlikely to be sequence specific TF | Not a DNA binding protein | No motif | None | The DEP-domain is a winged helix-turn-helix protein domain, and thus it is related to ETS, RFX, and FOX domains. However, there is no evidence for DNA-binding activity and it has been shown to operate in G-protein signalling upstream of TFs |
TNF | 56 | No | Unlikely to be sequence specific TF | Not a DNA binding protein | No motif | None | The protein is a secreted cytokine and operates far upstream in the signaling cascade |
ETS2 | 63 | Yes | Known motif | Monomer or homomultimer | High-throughput in vitro | None | None |
NR4A1 | 77 | Yes | Known motif | Monomer or homomultimer | High-throughput in vitro | None | None |
TNFAIP3 | 81 | No | Unlikely to be sequence specific TF | Not a DNA binding protein | No motif | None | Inhibits NFKB-activation. No evidence for direct binding to DNA |
JDP2 | 91 | Yes | Known motif | Monomer or homomultimer | High-throughput in vitro | None | None |
NFKBIZ | 105 | No | Unlikely to be sequence specific TF | Not a DNA binding protein | No motif | None | None |
QQ Plot showing correlations with other Gene Expression Programs in this dataset, calculated by Spearman correlation:
Interactive QQ-plot of gene loadings:
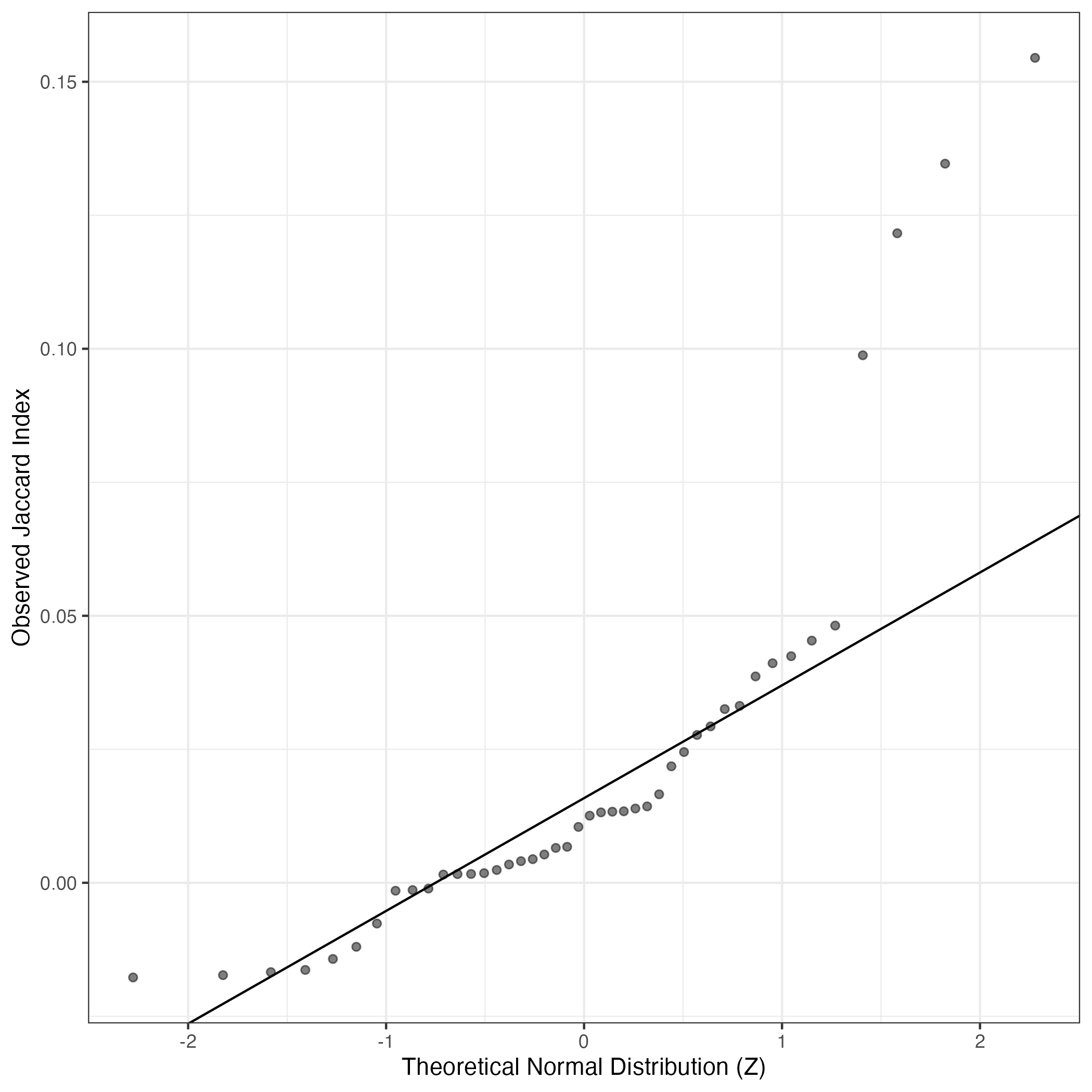
A similar QQ-plot as above, but only for instances where the H value is e.g. > 25, i.e. we are confident that the expression program is active above noise. Agreemenet between these binary vectors is tested using the Jaccard Index, with the P-values calculated by an exact test:
Interactive QQ-plot:
Singler cell type annotations for the top 50 cells on this program.
Cell ID | Singler label | Singler Delta | Activity Score | Top Singler Raw Scores |
---|---|---|---|---|
839_ACATCCCTCCCGTGAG-1 | Neutrophil:commensal_E._coli_MG1655 | 0.10 | 1087.65 | Raw ScoresNeutrophil:commensal_E._coli_MG1655: 0.3, Macrophage:monocyte-derived:M-CSF/IFNg/Pam3Cys: 0.3, Neutrophil:GM-CSF_IFNg: 0.29, Neutrophil:uropathogenic_E._coli_UTI89: 0.29, Monocyte:S._typhimurium_flagellin: 0.29, Neutrophil: 0.29, Monocyte:CD16-: 0.29, Monocyte:anti-FcgRIIB: 0.29, Macrophage:monocyte-derived:M-CSF/Pam3Cys: 0.29, Monocyte: 0.29 |
839_GTCATCCTCCCTGTTG-1 | Neutrophil:commensal_E._coli_MG1655 | 0.12 | 1026.41 | Raw ScoresNeutrophil:commensal_E._coli_MG1655: 0.28, Neutrophil:GM-CSF_IFNg: 0.28, Neutrophil:uropathogenic_E._coli_UTI89: 0.28, Neutrophil:LPS: 0.28, Neutrophil: 0.28, Monocyte:CD16-: 0.27, Monocyte:S._typhimurium_flagellin: 0.27, Neutrophil:inflam: 0.27, Monocyte:CD14+: 0.27, Macrophage:monocyte-derived:M-CSF/IFNg/Pam3Cys: 0.27 |
839_TCTTAGTCACCTCAGG-1 | Neutrophil:commensal_E._coli_MG1655 | 0.12 | 1008.60 | Raw ScoresNeutrophil:commensal_E._coli_MG1655: 0.29, Neutrophil:uropathogenic_E._coli_UTI89: 0.29, Neutrophil: 0.29, Neutrophil:GM-CSF_IFNg: 0.28, Neutrophil:inflam: 0.28, Macrophage:monocyte-derived:M-CSF/IFNg/Pam3Cys: 0.28, Monocyte:CD16-: 0.28, Neutrophil:LPS: 0.27, Monocyte:leukotriene_D4: 0.27, Monocyte: 0.27 |
839_CTCCATGTCAATCTCT-1 | Neutrophil:commensal_E._coli_MG1655 | 0.09 | 1003.80 | Raw ScoresNeutrophil:commensal_E._coli_MG1655: 0.26, Neutrophil: 0.26, Neutrophil:GM-CSF_IFNg: 0.26, Neutrophil:uropathogenic_E._coli_UTI89: 0.26, Monocyte:anti-FcgRIIB: 0.26, Monocyte:CD16-: 0.25, Neutrophil:inflam: 0.25, Monocyte: 0.25, Macrophage:monocyte-derived:M-CSF/IFNg/Pam3Cys: 0.25, Monocyte:S._typhimurium_flagellin: 0.25 |
839_CTTCCGATCTGTCTCG-1 | Neutrophil:commensal_E._coli_MG1655 | 0.12 | 998.72 | Raw ScoresNeutrophil:commensal_E._coli_MG1655: 0.28, Neutrophil:uropathogenic_E.coli_UTI89: 0.28, Neutrophil:GM-CSF_IFNg: 0.27, Neutrophil: 0.27, Monocyte:CD16-: 0.27, Neutrophil:inflam: 0.27, Neutrophil:LPS: 0.26, Monocyte:CD14+: 0.26, HSC-G-CSF: 0.26, Monocyte:S._typhimurium_flagellin: 0.26 |
831_TGGAGGAAGCTACAAA-1 | Neutrophil:commensal_E._coli_MG1655 | 0.10 | 997.08 | Raw ScoresHSC_-G-CSF: 0.28, Neutrophil:uropathogenic_E._coli_UTI89: 0.28, Pre-B_cell_CD34-: 0.28, Neutrophil: 0.28, Neutrophil:commensal_E._coli_MG1655: 0.28, Neutrophil:inflam: 0.27, Monocyte:CD16-: 0.27, Myelocyte: 0.27, Monocyte:CD14+: 0.26, Monocyte:CD16+: 0.26 |
839_AATTTCCTCACCCTTG-1 | Neutrophil:commensal_E._coli_MG1655 | 0.11 | 990.07 | Raw ScoresNeutrophil:GM-CSF_IFNg: 0.31, Monocyte:anti-FcgRIIB: 0.31, Neutrophil:commensal_E._coli_MG1655: 0.31, Monocyte: 0.3, Neutrophil:uropathogenic_E._coli_UTI89: 0.3, Macrophage:monocyte-derived:M-CSF/IFNg/Pam3Cys: 0.3, Monocyte:S._typhimurium_flagellin: 0.3, Neutrophil: 0.3, Monocyte:CD16-: 0.3, Neutrophil:inflam: 0.3 |
839_TTTACGTAGTATTCCG-1 | Monocyte:CD14+ | 0.04 | 967.78 | Raw ScoresGMP: 0.29, Pre-B_cell_CD34-: 0.29, Monocyte:CD14+: 0.28, Monocyte:CD16+: 0.28, Monocyte:CD16-: 0.28, Pro-B_cell_CD34+: 0.28, Pro-Myelocyte: 0.28, CMP: 0.28, DC:monocyte-derived:AEC-conditioned: 0.27, Neurons:adrenal_medulla_cell_line: 0.27 |
839_TACTTCAAGACTCGAG-1 | Neutrophil:uropathogenic_E._coli_UTI89 | 0.11 | 964.20 | Raw ScoresNeutrophil:GM-CSF_IFNg: 0.3, Neutrophil:commensal_E._coli_MG1655: 0.29, Monocyte:anti-FcgRIIB: 0.29, Neutrophil:uropathogenic_E._coli_UTI89: 0.29, Neutrophil: 0.29, Macrophage:monocyte-derived:M-CSF/IFNg/Pam3Cys: 0.29, Neutrophil:LPS: 0.29, Monocyte:CD16-: 0.29, Neutrophil:inflam: 0.28, Monocyte: 0.28 |
839_ATCTCTAGTACGATTC-1 | Neutrophil:commensal_E._coli_MG1655 | 0.09 | 905.87 | Raw ScoresMonocyte:CD16-: 0.29, Macrophage:monocyte-derived:M-CSF/IFNg/Pam3Cys: 0.29, Pre-B_cell_CD34-: 0.29, Monocyte:anti-FcgRIIB: 0.29, Monocyte:CD14+: 0.29, Neutrophil:commensal_E._coli_MG1655: 0.28, Monocyte:leukotriene_D4: 0.28, Neutrophil:GM-CSF_IFNg: 0.28, Macrophage:monocyte-derived:M-CSF/Pam3Cys: 0.28, Monocyte:CD16+: 0.28 |
839_CACGAATAGCAGTAAT-1 | Neutrophil:commensal_E._coli_MG1655 | 0.08 | 894.76 | Raw ScoresMonocyte:CD16-: 0.28, Neutrophil:GM-CSF_IFNg: 0.28, Monocyte:CD14+: 0.28, Neutrophil:uropathogenic_E._coli_UTI89: 0.28, Neutrophil:commensal_E._coli_MG1655: 0.28, Pre-B_cell_CD34-: 0.28, Neutrophil: 0.27, Monocyte:anti-FcgRIIB: 0.27, Monocyte:leukotriene_D4: 0.27, Monocyte:CD16+: 0.27 |
831_CATGCAAGTATGGGAC-1 | Neutrophil:uropathogenic_E._coli_UTI89 | 0.11 | 867.58 | Raw ScoresNeutrophil:commensal_E._coli_MG1655: 0.28, Neutrophil:uropathogenic_E.coli_UTI89: 0.28, Monocyte:CD16-: 0.28, Neutrophil: 0.28, HSC-G-CSF: 0.28, Pre-B_cell_CD34-: 0.28, Monocyte:CD14+: 0.28, Neutrophil:inflam: 0.27, Monocyte:S._typhimurium_flagellin: 0.27, Monocyte:CD16+: 0.27 |
839_CTGGACGCATTCAGGT-1 | Neutrophil:commensal_E._coli_MG1655 | 0.12 | 866.28 | Raw ScoresNeutrophil:commensal_E._coli_MG1655: 0.28, Neutrophil:uropathogenic_E._coli_UTI89: 0.28, Neutrophil: 0.28, Neutrophil:GM-CSF_IFNg: 0.27, Monocyte:CD16-: 0.27, Monocyte:CD14+: 0.27, Monocyte:anti-FcgRIIB: 0.27, Monocyte: 0.27, Macrophage:monocyte-derived:M-CSF/IFNg/Pam3Cys: 0.27, Monocyte:CD16+: 0.27 |
839_GCGATCGTCGACATAC-1 | Neutrophil:commensal_E._coli_MG1655 | 0.11 | 842.86 | Raw ScoresNeutrophil:commensal_E._coli_MG1655: 0.28, Neutrophil: 0.28, Neutrophil:GM-CSF_IFNg: 0.28, Neutrophil:uropathogenic_E._coli_UTI89: 0.28, Monocyte:CD16-: 0.27, Neutrophil:inflam: 0.27, Monocyte:S._typhimurium_flagellin: 0.27, Neutrophil:LPS: 0.27, Monocyte:CD14+: 0.27, Pre-B_cell_CD34-: 0.27 |
839_TCTACATTCTAGTCAG-1 | Neurons:adrenal_medulla_cell_line | 0.17 | 839.12 | Raw ScoresNeurons:adrenal_medulla_cell_line: 0.48, Neuroepithelial_cell:ESC-derived: 0.42, Astrocyte:Embryonic_stem_cell-derived: 0.42, iPS_cells:PDB_1lox-21Puro-20: 0.4, iPS_cells:PDB_2lox-22: 0.4, iPS_cells:PDB_1lox-21Puro-26: 0.4, iPS_cells:PDB_1lox-17Puro-10: 0.39, iPS_cells:PDB_2lox-17: 0.39, iPS_cells:PDB_1lox-17Puro-5: 0.39, iPS_cells:PDB_2lox-21: 0.39 |
839_TCGTAGAAGATGACCG-1 | Neutrophil:commensal_E._coli_MG1655 | 0.11 | 815.38 | Raw ScoresNeutrophil:commensal_E._coli_MG1655: 0.27, Neutrophil:uropathogenic_E.coli_UTI89: 0.27, Neutrophil: 0.27, Neutrophil:GM-CSF_IFNg: 0.26, Neutrophil:inflam: 0.26, HSC-G-CSF: 0.26, Neutrophil:LPS: 0.25, Monocyte:anti-FcgRIIB: 0.25, Pre-B_cell_CD34-: 0.25, Monocyte:CD16-: 0.25 |
839_ATTCCCGCAGGCTCTG-1 | Monocyte:S._typhimurium_flagellin | 0.11 | 797.18 | Raw ScoresMacrophage:monocyte-derived:M-CSF/IFNg/Pam3Cys: 0.28, Neutrophil:GM-CSF_IFNg: 0.28, Monocyte:S._typhimurium_flagellin: 0.28, Neutrophil:commensal_E._coli_MG1655: 0.28, Macrophage:monocyte-derived:M-CSF/Pam3Cys: 0.28, Monocyte: 0.28, DC:monocyte-derived:antiCD40/VAF347: 0.28, DC:monocyte-derived:A._fumigatus_germ_tubes_6h: 0.28, Monocyte:anti-FcgRIIB: 0.28, Monocyte:CD16-: 0.28 |
847_AGGACTTGTTCCGTTC-1 | Epithelial_cells:bladder | 0.11 | 788.34 | Raw ScoresEpithelial_cells:bladder: 0.47, Keratinocytes:IL20: 0.46, Keratinocytes:KGF: 0.46, Keratinocytes:IL22: 0.46, Keratinocytes:IL19: 0.46, Keratinocytes:IL24: 0.46, Keratinocytes:IL1b: 0.46, Keratinocytes:IL26: 0.46, Keratinocytes: 0.46, Epithelial_cells:bronchial: 0.45 |
839_GCTCAAAAGGCACTCC-1 | Neutrophil:commensal_E._coli_MG1655 | 0.10 | 785.49 | Raw ScoresNeutrophil:commensal_E._coli_MG1655: 0.28, Neutrophil:GM-CSF_IFNg: 0.27, Neutrophil:uropathogenic_E.coli_UTI89: 0.27, Neutrophil: 0.27, Monocyte:anti-FcgRIIB: 0.26, Neutrophil:inflam: 0.26, HSC-G-CSF: 0.26, Monocyte: 0.26, Myelocyte: 0.26, Macrophage:monocyte-derived:M-CSF/IFNg/Pam3Cys: 0.26 |
839_TGATGCAAGGATTTCC-1 | Neutrophil:LPS | 0.09 | 749.61 | Raw ScoresNeutrophil:GM-CSF_IFNg: 0.28, Monocyte:anti-FcgRIIB: 0.28, Neutrophil:commensal_E._coli_MG1655: 0.28, Macrophage:monocyte-derived:M-CSF/IFNg/Pam3Cys: 0.28, Pre-B_cell_CD34-: 0.27, Neutrophil:uropathogenic_E._coli_UTI89: 0.27, Macrophage:monocyte-derived:M-CSF/IFNg: 0.27, Monocyte:leukotriene_D4: 0.27, Monocyte: 0.27, Neutrophil: 0.27 |
837_AATGAAGAGTCCTGTA-1 | Neurons:adrenal_medulla_cell_line | 0.17 | 727.60 | Raw ScoresNeurons:adrenal_medulla_cell_line: 0.47, Neuroepithelial_cell:ESC-derived: 0.41, iPS_cells:PDB_1lox-21Puro-20: 0.4, iPS_cells:PDB_2lox-22: 0.4, iPS_cells:PDB_1lox-21Puro-26: 0.4, iPS_cells:PDB_2lox-17: 0.4, iPS_cells:PDB_2lox-21: 0.4, Pro-B_cell_CD34+: 0.4, iPS_cells:PDB_1lox-17Puro-10: 0.4, iPS_cells:CRL2097_foreskin-derived:undiff.: 0.4 |
839_CTCAGGGCACAACGAG-1 | Neutrophil:uropathogenic_E._coli_UTI89 | 0.12 | 721.17 | Raw ScoresNeutrophil:uropathogenic_E._coli_UTI89: 0.28, Neutrophil:commensal_E.coli_MG1655: 0.28, Neutrophil: 0.28, Neutrophil:GM-CSF_IFNg: 0.28, Monocyte:CD16-: 0.27, Neutrophil:inflam: 0.27, Neutrophil:LPS: 0.27, HSC-G-CSF: 0.27, Monocyte:CD14+: 0.26, Monocyte:CD16+: 0.26 |
839_AATCGACGTCGGTGTC-1 | Monocyte:anti-FcgRIIB | 0.09 | 719.08 | Raw ScoresMonocyte:CD16-: 0.26, Monocyte:anti-FcgRIIB: 0.26, Monocyte: 0.26, Monocyte:leukotriene_D4: 0.26, Monocyte:CD14+: 0.26, Macrophage:monocyte-derived:M-CSF/IFNg/Pam3Cys: 0.26, Neutrophil:GM-CSF_IFNg: 0.26, Monocyte:S._typhimurium_flagellin: 0.26, Neutrophil:uropathogenic_E._coli_UTI89: 0.26, Neutrophil:commensal_E._coli_MG1655: 0.25 |
839_GGCTTTCCAAAGGTTA-1 | Neutrophil:commensal_E._coli_MG1655 | 0.11 | 717.71 | Raw ScoresNeutrophil:commensal_E._coli_MG1655: 0.29, Neutrophil:GM-CSF_IFNg: 0.29, Macrophage:monocyte-derived:M-CSF/IFNg/Pam3Cys: 0.28, Monocyte:CD16-: 0.28, Neutrophil:uropathogenic_E._coli_UTI89: 0.28, Monocyte:CD14+: 0.28, Neutrophil: 0.28, Monocyte: 0.28, Monocyte:anti-FcgRIIB: 0.28, Monocyte:S._typhimurium_flagellin: 0.28 |
839_CTGGACGAGGGCAGGA-1 | Monocyte:CD16- | 0.09 | 715.73 | Raw ScoresMonocyte:CD16-: 0.26, Monocyte:CD14+: 0.26, Macrophage:monocyte-derived:M-CSF/IFNg/Pam3Cys: 0.26, Monocyte:anti-FcgRIIB: 0.25, Pre-B_cell_CD34-: 0.25, Macrophage:monocyte-derived:M-CSF/Pam3Cys: 0.25, Monocyte: 0.25, Neutrophil:GM-CSF_IFNg: 0.25, Monocyte:CD16+: 0.25, Macrophage:monocyte-derived:M-CSF/IFNg: 0.25 |
839_CGTCCATTCAAGGAGC-1 | Neutrophil:commensal_E._coli_MG1655 | 0.11 | 711.35 | Raw ScoresNeutrophil:commensal_E._coli_MG1655: 0.28, Neutrophil: 0.28, Neutrophil:uropathogenic_E.coli_UTI89: 0.27, Monocyte:CD16-: 0.27, HSC-G-CSF: 0.27, Pre-B_cell_CD34-: 0.27, Neutrophil:inflam: 0.27, Monocyte:CD14+: 0.27, Monocyte:CD16+: 0.26, Myelocyte: 0.26 |
839_GATGATCCATTGAAGA-1 | Neutrophil:uropathogenic_E._coli_UTI89 | 0.12 | 706.70 | Raw ScoresNeutrophil:commensal_E._coli_MG1655: 0.31, Neutrophil:GM-CSF_IFNg: 0.31, Neutrophil:uropathogenic_E._coli_UTI89: 0.31, Neutrophil: 0.31, Monocyte:CD14+: 0.31, Monocyte:CD16-: 0.31, Macrophage:monocyte-derived:M-CSF/IFNg/Pam3Cys: 0.3, Monocyte:anti-FcgRIIB: 0.3, Monocyte: 0.3, Monocyte:S._typhimurium_flagellin: 0.3 |
839_GTTACAGTCGACCATA-1 | Neutrophil:commensal_E._coli_MG1655 | 0.10 | 706.53 | Raw ScoresNeutrophil:commensal_E._coli_MG1655: 0.27, Monocyte:CD16-: 0.27, Myelocyte: 0.26, Pre-B_cell_CD34-: 0.26, Neutrophil: 0.26, Neutrophil:uropathogenic_E.coli_UTI89: 0.26, Monocyte:CD14+: 0.26, Monocyte:CD16+: 0.26, HSC-G-CSF: 0.26, Monocyte: 0.26 |
839_TTTCCTCCATGGATCT-1 | Neutrophil:uropathogenic_E._coli_UTI89 | 0.09 | 699.47 | Raw ScoresNeutrophil:commensal_E._coli_MG1655: 0.27, Neutrophil:GM-CSF_IFNg: 0.27, Neutrophil:uropathogenic_E._coli_UTI89: 0.27, Neutrophil: 0.27, Monocyte:anti-FcgRIIB: 0.27, Monocyte:CD16-: 0.26, Monocyte:CD14+: 0.26, Monocyte:CD16+: 0.26, Macrophage:monocyte-derived:M-CSF/IFNg/Pam3Cys: 0.26, Monocyte:leukotriene_D4: 0.26 |
837_GTTACCCCATCGATGT-1 | Neurons:adrenal_medulla_cell_line | 0.19 | 691.76 | Raw ScoresNeurons:adrenal_medulla_cell_line: 0.48, Neuroepithelial_cell:ESC-derived: 0.43, iPS_cells:PDB_1lox-21Puro-20: 0.42, iPS_cells:PDB_1lox-21Puro-26: 0.41, iPS_cells:PDB_1lox-17Puro-10: 0.41, iPS_cells:PDB_2lox-22: 0.41, iPS_cells:PDB_1lox-17Puro-5: 0.41, iPS_cells:PDB_2lox-17: 0.41, iPS_cells:PDB_2lox-21: 0.41, Embryonic_stem_cells: 0.4 |
839_GTCTAGACACGGCTAC-1 | Neutrophil:commensal_E._coli_MG1655 | 0.11 | 685.02 | Raw ScoresNeutrophil:commensal_E._coli_MG1655: 0.26, Neutrophil:uropathogenic_E._coli_UTI89: 0.26, Neutrophil: 0.25, Monocyte:CD16-: 0.25, Neutrophil:GM-CSF_IFNg: 0.25, Monocyte:CD14+: 0.24, Neutrophil:inflam: 0.24, Monocyte:S._typhimurium_flagellin: 0.24, Monocyte:CD16+: 0.24, Monocyte: 0.24 |
839_CAAAGAACAGAAGCGT-1 | Neutrophil:uropathogenic_E._coli_UTI89 | 0.10 | 664.58 | Raw ScoresNeutrophil:commensal_E._coli_MG1655: 0.3, Neutrophil:uropathogenic_E._coli_UTI89: 0.3, Neutrophil: 0.3, Monocyte:CD16-: 0.3, Monocyte:CD14+: 0.3, Monocyte:anti-FcgRIIB: 0.3, Monocyte:leukotriene_D4: 0.3, Monocyte: 0.3, Monocyte:CD16+: 0.29, Macrophage:monocyte-derived:M-CSF/IFNg/Pam3Cys: 0.29 |
839_GCCATTCGTGCGCTCA-1 | Neutrophil:uropathogenic_E._coli_UTI89 | 0.08 | 659.97 | Raw ScoresNeutrophil:uropathogenic_E._coli_UTI89: 0.28, Neutrophil:commensal_E.coli_MG1655: 0.27, Neutrophil: 0.27, Pre-B_cell_CD34-: 0.27, Neutrophil:inflam: 0.27, Monocyte:CD14+: 0.27, Monocyte:CD16-: 0.27, HSC-G-CSF: 0.27, Neutrophil:GM-CSF_IFNg: 0.26, Myelocyte: 0.26 |
839_CCGTGAGTCTCAGGCG-1 | Neutrophil:commensal_E._coli_MG1655 | 0.10 | 645.72 | Raw ScoresNeutrophil:commensal_E._coli_MG1655: 0.28, Neutrophil:uropathogenic_E._coli_UTI89: 0.27, Neutrophil:GM-CSF_IFNg: 0.27, Neutrophil: 0.27, Macrophage:monocyte-derived:M-CSF/IFNg/Pam3Cys: 0.27, Monocyte:S._typhimurium_flagellin: 0.27, Monocyte:anti-FcgRIIB: 0.27, Neutrophil:LPS: 0.27, Monocyte:CD16-: 0.27, Macrophage:monocyte-derived:M-CSF/Pam3Cys: 0.27 |
839_ATTGTTCTCATCACAG-1 | Neutrophil:commensal_E._coli_MG1655 | 0.10 | 614.63 | Raw ScoresNeutrophil:commensal_E._coli_MG1655: 0.27, Monocyte:CD16-: 0.27, Monocyte:CD14+: 0.26, Neutrophil:uropathogenic_E._coli_UTI89: 0.26, Neutrophil: 0.26, Monocyte:CD16+: 0.26, Neutrophil:inflam: 0.26, Monocyte:leukotriene_D4: 0.26, Monocyte: 0.26, Monocyte:anti-FcgRIIB: 0.26 |
839_AGCGCTGTCCTATGGA-1 | Neutrophil:commensal_E._coli_MG1655 | 0.10 | 598.43 | Raw ScoresNeutrophil:uropathogenic_E._coli_UTI89: 0.28, Neutrophil:commensal_E.coli_MG1655: 0.28, Neutrophil: 0.28, Monocyte:CD16-: 0.27, Monocyte:CD14+: 0.27, HSC-G-CSF: 0.27, Monocyte:CD16+: 0.27, Pre-B_cell_CD34-: 0.27, Neutrophil:inflam: 0.27, Neutrophil:GM-CSF_IFNg: 0.27 |
839_CTCCTTTCAGATCATC-1 | Neutrophil:commensal_E._coli_MG1655 | 0.09 | 596.30 | Raw ScoresNeutrophil:commensal_E._coli_MG1655: 0.25, Neutrophil:uropathogenic_E._coli_UTI89: 0.25, Neutrophil: 0.25, Monocyte:CD16-: 0.24, Neutrophil:inflam: 0.24, Monocyte: 0.23, Pre-B_cell_CD34-: 0.23, Monocyte:S.typhimurium_flagellin: 0.23, Monocyte:anti-FcgRIIB: 0.23, HSC-G-CSF: 0.23 |
849_CTGGACGCATGACTAC-1 | Neurons:adrenal_medulla_cell_line | 0.20 | 555.00 | Raw ScoresNeurons:adrenal_medulla_cell_line: 0.47, Neuroepithelial_cell:ESC-derived: 0.42, Astrocyte:Embryonic_stem_cell-derived: 0.4, iPS_cells:PDB_1lox-21Puro-20: 0.4, iPS_cells:PDB_1lox-21Puro-26: 0.4, iPS_cells:PDB_1lox-17Puro-10: 0.4, iPS_cells:PDB_1lox-17Puro-5: 0.4, iPS_cells:PDB_2lox-22: 0.39, iPS_cells:PDB_2lox-21: 0.39, Embryonic_stem_cells: 0.39 |
839_CGAGGAATCTCCTACG-1 | Monocyte:CD16- | 0.10 | 537.30 | Raw ScoresMonocyte:CD16-: 0.27, Neutrophil:commensal_E._coli_MG1655: 0.26, Neutrophil: 0.26, Monocyte:CD14+: 0.26, Pre-B_cell_CD34-: 0.26, Neutrophil:uropathogenic_E.coli_UTI89: 0.26, HSC-G-CSF: 0.26, Monocyte: 0.26, Monocyte:CD16+: 0.26, Neutrophil:inflam: 0.25 |
839_GACCCAGGTTCAAGGG-1 | Neutrophil:commensal_E._coli_MG1655 | 0.07 | 535.01 | Raw ScoresMonocyte:CD16-: 0.29, Monocyte:CD14+: 0.29, Macrophage:monocyte-derived:M-CSF/IFNg/Pam3Cys: 0.29, Monocyte:CD16+: 0.29, Macrophage:monocyte-derived:M-CSF/Pam3Cys: 0.29, Pre-B_cell_CD34-: 0.29, Monocyte:anti-FcgRIIB: 0.29, DC:monocyte-derived:Schuler_treatment: 0.28, DC:monocyte-derived:CD40L: 0.28, Monocyte: 0.28 |
839_AGGGCTCTCGTGGGTC-1 | Neutrophil:uropathogenic_E._coli_UTI89 | 0.13 | 533.75 | Raw ScoresNeutrophil:commensal_E._coli_MG1655: 0.28, Neutrophil:uropathogenic_E.coli_UTI89: 0.28, Neutrophil: 0.28, HSC-G-CSF: 0.28, Monocyte:CD16-: 0.28, Monocyte:CD14+: 0.27, Neutrophil:inflam: 0.27, Myelocyte: 0.27, Pre-B_cell_CD34-: 0.27, Monocyte: 0.27 |
839_AGGGTCCAGCAATTCC-1 | Neutrophil:commensal_E._coli_MG1655 | 0.08 | 514.03 | Raw ScoresMonocyte:CD16-: 0.25, Macrophage:monocyte-derived:M-CSF/IFNg/Pam3Cys: 0.25, Monocyte:CD14+: 0.25, Pre-B_cell_CD34-: 0.24, Neutrophil:commensal_E._coli_MG1655: 0.24, Monocyte:anti-FcgRIIB: 0.24, Macrophage:monocyte-derived:M-CSF/Pam3Cys: 0.24, Monocyte: 0.24, Monocyte:leukotriene_D4: 0.24, Neutrophil: 0.24 |
847_GTATTGGTCATAGCAC-1 | Monocyte:CD16- | 0.12 | 510.44 | Raw ScoresMonocyte:leukotriene_D4: 0.44, Monocyte:CD16-: 0.44, Monocyte:CD16+: 0.44, Monocyte:CD14+: 0.44, Monocyte: 0.44, Macrophage:monocyte-derived:M-CSF/IFNg: 0.44, Monocyte:anti-FcgRIIB: 0.43, DC:monocyte-derived:AEC-conditioned: 0.43, DC:monocyte-derived:anti-DC-SIGN_2h: 0.43, Macrophage:monocyte-derived:M-CSF: 0.43 |
839_TGCCGAGTCGGACTTA-1 | Neutrophil:commensal_E._coli_MG1655 | 0.08 | 510.30 | Raw ScoresMonocyte: 0.27, DC:monocyte-derived:A._fumigatus_germ_tubes_6h: 0.27, Neutrophil:commensal_E._coli_MG1655: 0.27, Monocyte:S._typhimurium_flagellin: 0.27, Pre-B_cell_CD34-: 0.27, Monocyte:anti-FcgRIIB: 0.27, DC:monocyte-derived:anti-DC-SIGN_2h: 0.26, Neutrophil:uropathogenic_E._coli_UTI89: 0.26, Monocyte:F._tularensis_novicida: 0.26, DC:monocyte-derived:LPS: 0.26 |
853_ACTTAGGCAAGCGCTC-1 | Neutrophil:commensal_E._coli_MG1655 | 0.09 | 508.81 | Raw ScoresNeutrophil:commensal_E._coli_MG1655: 0.27, Neutrophil:uropathogenic_E._coli_UTI89: 0.27, Neutrophil: 0.27, Monocyte:S._typhimurium_flagellin: 0.27, Macrophage:monocyte-derived:M-CSF/IFNg/Pam3Cys: 0.26, Monocyte:CD16-: 0.26, Monocyte: 0.26, Monocyte:CD14+: 0.26, Monocyte:anti-FcgRIIB: 0.26, Monocyte:leukotriene_D4: 0.26 |
839_GCACTAAGTTAGCTAC-1 | Monocyte:CD16- | 0.08 | 498.30 | Raw ScoresMonocyte:CD14+: 0.28, Monocyte:CD16-: 0.27, Macrophage:monocyte-derived:M-CSF/IFNg/Pam3Cys: 0.27, Monocyte:CD16+: 0.27, Macrophage:monocyte-derived:M-CSF/IFNg: 0.27, Pre-B_cell_CD34-: 0.27, Neutrophil:commensal_E._coli_MG1655: 0.27, Neutrophil:uropathogenic_E._coli_UTI89: 0.27, Neutrophil: 0.27, Monocyte:anti-FcgRIIB: 0.26 |
839_AGAGCAGTCGTACACA-1 | Neutrophil:uropathogenic_E._coli_UTI89 | 0.11 | 495.76 | Raw ScoresNeutrophil:uropathogenic_E._coli_UTI89: 0.29, Neutrophil:commensal_E.coli_MG1655: 0.29, Neutrophil: 0.29, Monocyte:CD14+: 0.29, Monocyte:CD16-: 0.29, HSC-G-CSF: 0.28, Monocyte:CD16+: 0.28, Monocyte: 0.28, Pre-B_cell_CD34-: 0.28, Monocyte:S._typhimurium_flagellin: 0.28 |
831_CTGAATGCACATGACT-1 | Pre-B_cell_CD34- | 0.09 | 490.88 | Raw ScoresPre-B_cell_CD34-: 0.28, Neutrophil:uropathogenic_E.coli_UTI89: 0.28, HSC-G-CSF: 0.28, Neutrophil:commensal_E._coli_MG1655: 0.27, Neutrophil: 0.27, Monocyte:CD16-: 0.27, Monocyte:CD14+: 0.27, Monocyte:leukotriene_D4: 0.27, Neutrophil:inflam: 0.27, Monocyte: 0.27 |
839_TCCGTGTCAACAGATA-1 | Macrophage:monocyte-derived:S._aureus | 0.05 | 477.68 | Raw ScoresPre-B_cell_CD34-: 0.28, Monocyte:CD16-: 0.28, Monocyte:CD14+: 0.27, Monocyte:CD16+: 0.27, Monocyte: 0.27, Monocyte:anti-FcgRIIB: 0.27, Neutrophil:commensal_E._coli_MG1655: 0.27, Neutrophil:uropathogenic_E._coli_UTI89: 0.27, Neutrophil: 0.27, Myelocyte: 0.27 |
839_AGAACAACACCTAAAC-1 | Monocyte:F._tularensis_novicida | 0.07 | 472.80 | Raw ScoresNeutrophil:commensal_E._coli_MG1655: 0.27, Monocyte:CD16-: 0.27, Neutrophil:uropathogenic_E._coli_UTI89: 0.27, Monocyte:CD14+: 0.27, Monocyte:CD16+: 0.26, Macrophage:monocyte-derived:M-CSF/IFNg/Pam3Cys: 0.26, Neutrophil: 0.26, Monocyte:F._tularensis_novicida: 0.26, Monocyte: 0.26, Monocyte:anti-FcgRIIB: 0.26 |
Below shows the significant enrichments of this GEP for literature curated gene lists
This data was procured from existing single cell RNA-seq maps of neuroblastoma or related relevant data.
High ranks indicate this gene is a driver of this GEP.
These curated gene list are ranked by the P-value (on this GEP) of their constituent genes.
The Mean Count column shows the mean read count in cells scoring highly (H > 50) on this gene expression program.
Genes | Weight | Rank | GTEx | DepMap | Decartes | Mean.Counts | Mean.TPM |
---|---|---|---|---|---|---|---|
IL1B | 0.0205019 | 1 | GTEx | DepMap | Descartes | 13.33 | 2573.62 |
PTGS2 | 0.0171505 | 7 | GTEx | DepMap | Descartes | 1.75 | 247.53 |
S100A9 | 0.0144304 | 20 | GTEx | DepMap | Descartes | 19.25 | 5492.06 |
S100A8 | 0.0126804 | 26 | GTEx | DepMap | Descartes | 19.11 | 15123.71 |
CSF1 | 0.0124440 | 29 | GTEx | DepMap | Descartes | 0.58 | 47.70 |
ITGAM | 0.0052092 | 169 | GTEx | DepMap | Descartes | 1.05 | 12.83 |
ARG2 | 0.0044602 | 222 | GTEx | DepMap | Descartes | 0.23 | 9.31 |
IRF1 | 0.0039379 | 265 | GTEx | DepMap | Descartes | 0.26 | 31.22 |
STAT3 | 0.0035294 | 297 | GTEx | DepMap | Descartes | 0.60 | 7.87 |
CD244 | 0.0026834 | 394 | GTEx | DepMap | Descartes | 0.19 | NA |
STAT6 | 0.0024980 | 429 | GTEx | DepMap | Descartes | 0.30 | 9.67 |
CD84 | 0.0016707 | 660 | GTEx | DepMap | Descartes | 0.64 | 6.61 |
HIF1A | 0.0011456 | 936 | GTEx | DepMap | Descartes | 1.76 | 15.78 |
STAT1 | 0.0009995 | 1047 | GTEx | DepMap | Descartes | 0.28 | 4.08 |
TGFB1 | 0.0009955 | 1051 | GTEx | DepMap | Descartes | 1.31 | 36.82 |
LYZ2 | 0.0004792 | 1783 | GTEx | DepMap | Descartes | 43.88 | 3884.13 |
ANXA1 | 0.0004327 | 1894 | GTEx | DepMap | Descartes | 3.88 | 42.12 |
ARG1 | 0.0001987 | 2764 | GTEx | DepMap | Descartes | 2.62 | 87.26 |
IL6 | 0.0000931 | 3555 | GTEx | DepMap | Descartes | 0.01 | 1.09 |
TNFRSF10B | 0.0000920 | 3569 | GTEx | DepMap | Descartes | 0.04 | 0.59 |
CD36 | 0.0000253 | 4457 | GTEx | DepMap | Descartes | 0.53 | 1.98 |
SLC27A2 | -0.0000824 | 10813 | GTEx | DepMap | Descartes | 0.00 | 0.00 |
M-MDSC
These marker genes were curated for MDSC subtypes as reviewed in Veglia et. al. (PMID 33526920):
Wilcoxon ranksum test P-value for gene set overrepresentation: 2.04e-10
Mean rank of genes in gene set: 2026.5
Rank on gene expression program of genes in gene set:
Genes | Weight | Rank | GTEx | DepMap | Decartes | Mean.Counts | Mean.TPM |
---|---|---|---|---|---|---|---|
IL1B | 0.0205019 | 1 | GTEx | DepMap | Descartes | 13.33 | 2573.62 |
S100A9 | 0.0144304 | 20 | GTEx | DepMap | Descartes | 19.25 | 5492.06 |
S100A8 | 0.0126804 | 26 | GTEx | DepMap | Descartes | 19.11 | 15123.71 |
TNF | 0.0098487 | 56 | GTEx | DepMap | Descartes | 0.38 | 188.82 |
CD14 | 0.0077130 | 90 | GTEx | DepMap | Descartes | 3.06 | 1254.27 |
CD274 | 0.0073576 | 98 | GTEx | DepMap | Descartes | 0.33 | 15.85 |
ITGAM | 0.0052092 | 169 | GTEx | DepMap | Descartes | 1.05 | 12.83 |
ARG2 | 0.0044602 | 222 | GTEx | DepMap | Descartes | 0.23 | 9.31 |
STAT3 | 0.0035294 | 297 | GTEx | DepMap | Descartes | 0.60 | 7.87 |
CXCR1 | 0.0026827 | 395 | GTEx | DepMap | Descartes | 0.01 | 3.69 |
VEGFA | 0.0018886 | 581 | GTEx | DepMap | Descartes | 0.56 | 26.22 |
CD84 | 0.0016707 | 660 | GTEx | DepMap | Descartes | 0.64 | 6.61 |
HIF1A | 0.0011456 | 936 | GTEx | DepMap | Descartes | 1.76 | 15.78 |
TGFB1 | 0.0009955 | 1051 | GTEx | DepMap | Descartes | 1.31 | 36.82 |
NOS2 | 0.0009632 | 1087 | GTEx | DepMap | Descartes | 0.02 | 0.16 |
ARG1 | 0.0001987 | 2764 | GTEx | DepMap | Descartes | 2.62 | 87.26 |
IL6 | 0.0000931 | 3555 | GTEx | DepMap | Descartes | 0.01 | 1.09 |
TNFRSF10B | 0.0000920 | 3569 | GTEx | DepMap | Descartes | 0.04 | 0.59 |
CD36 | 0.0000253 | 4457 | GTEx | DepMap | Descartes | 0.53 | 1.98 |
IL10 | -0.0008105 | 20496 | GTEx | DepMap | Descartes | 0.01 | 0.36 |
M1 Macrophage
These genes were collated from multiple sources:
Wilcoxon ranksum test P-value for gene set overrepresentation: 6.78e-05
Mean rank of genes in gene set: 4880.24
Rank on gene expression program of genes in gene set:
Genes | Weight | Rank | GTEx | DepMap | Decartes | Mean.Counts | Mean.TPM |
---|---|---|---|---|---|---|---|
IL1B | 0.0205019 | 1 | GTEx | DepMap | Descartes | 13.33 | 2573.62 |
CCL3 | 0.0120238 | 35 | GTEx | DepMap | Descartes | 1.80 | 1571.52 |
TNF | 0.0098487 | 56 | GTEx | DepMap | Descartes | 0.38 | 188.82 |
CD14 | 0.0077130 | 90 | GTEx | DepMap | Descartes | 3.06 | 1254.27 |
CCL4 | 0.0071578 | 103 | GTEx | DepMap | Descartes | 2.07 | 1353.34 |
CD80 | 0.0039573 | 260 | GTEx | DepMap | Descartes | 0.08 | 1.90 |
ITGAX | 0.0026223 | 407 | GTEx | DepMap | Descartes | 0.41 | 12.93 |
TLR4 | 0.0015017 | 739 | GTEx | DepMap | Descartes | 0.13 | 0.75 |
CD86 | 0.0004940 | 1752 | GTEx | DepMap | Descartes | 0.43 | 3.31 |
CCL2 | 0.0001401 | 3160 | GTEx | DepMap | Descartes | 2.30 | 547.41 |
IL6 | 0.0000931 | 3555 | GTEx | DepMap | Descartes | 0.01 | 1.09 |
IL18 | 0.0000143 | 4729 | GTEx | DepMap | Descartes | 0.42 | 5.92 |
IL33 | -0.0000234 | 6866 | GTEx | DepMap | Descartes | 0.16 | 0.51 |
CXCL10 | -0.0000577 | 9446 | GTEx | DepMap | Descartes | 0.26 | 62.46 |
CCL5 | -0.0001609 | 13720 | GTEx | DepMap | Descartes | 0.31 | 18.63 |
CXCL16 | -0.0004043 | 18286 | GTEx | DepMap | Descartes | 0.64 | 38.18 |
CXCL9 | -0.0005811 | 19759 | GTEx | DepMap | Descartes | 0.00 | 0.00 |
Below shows ranks on this GEP for literature curated gene lists for large gene sets
These include those reported as mesenchymal/adrenergic by Van Groningen et al.
High ranks indicate this gene is a driver of this GEP (note these results are not ordered).
The Mean Count column shows the mean read count in cells scoring highly (H > 50) on this gene expression program.
VanGroningen Adrenergic Genes
Adrenergic marker genes from Supplementary Table 2 of Van Groningen et al. Nature Genetics 2017. These genes were identified by differential expression analysis of mesenchymal-like and adrenergic-like neuroblastoma cell lines.
Wilcoxon ranksum test P-value for gene set overrepresentation: 1.00e+00
Mean rank of genes in gene set: 15942.96
Median rank of genes in gene set: 17928
Rank on gene expression program of top 30 genes in gene set:
Genes | Weight | Rank | GTEx | DepMap | Descartes | Mean.Counts | Mean.TPM |
---|---|---|---|---|---|---|---|
CXCR4 | 0.0101187 | 52 | GTEx | DepMap | Descartes | 1.00 | 317.84 |
NFIL3 | 0.0029530 | 353 | GTEx | DepMap | Descartes | 0.52 | 23.00 |
LYN | 0.0029087 | 361 | GTEx | DepMap | Descartes | 1.14 | 5.92 |
FAM107B | 0.0022587 | 486 | GTEx | DepMap | Descartes | 0.34 | 1.28 |
ST3GAL6 | 0.0020988 | 524 | GTEx | DepMap | Descartes | 0.07 | 1.64 |
GGCT | 0.0018672 | 585 | GTEx | DepMap | Descartes | 0.23 | 10.99 |
GLRX | 0.0017677 | 618 | GTEx | DepMap | Descartes | 0.49 | 20.15 |
CELF2 | 0.0016217 | 686 | GTEx | DepMap | Descartes | 0.63 | 0.46 |
LEPROTL1 | 0.0014035 | 769 | GTEx | DepMap | Descartes | 0.83 | 36.78 |
PTS | 0.0010632 | 995 | GTEx | DepMap | Descartes | 0.42 | 31.76 |
HK2 | 0.0009765 | 1064 | GTEx | DepMap | Descartes | 0.72 | 6.34 |
PRSS12 | 0.0005877 | 1565 | GTEx | DepMap | Descartes | 0.02 | 0.13 |
CDC42EP3 | 0.0005476 | 1636 | GTEx | DepMap | Descartes | 0.44 | 9.06 |
FOXO3 | 0.0005422 | 1649 | GTEx | DepMap | Descartes | 0.33 | 1.70 |
GCH1 | 0.0004982 | 1740 | GTEx | DepMap | Descartes | 0.45 | 5.08 |
AP1S2 | 0.0004261 | 1911 | GTEx | DepMap | Descartes | 0.66 | 13.47 |
UCP2 | 0.0003912 | 2013 | GTEx | DepMap | Descartes | 4.30 | 205.74 |
MAGI3 | 0.0003848 | 2032 | GTEx | DepMap | Descartes | 0.09 | 0.26 |
KLF13 | 0.0003602 | 2106 | GTEx | DepMap | Descartes | 1.02 | 9.97 |
TOX2 | 0.0002345 | 2574 | GTEx | DepMap | Descartes | 0.08 | 0.13 |
RNF144A | 0.0001847 | 2840 | GTEx | DepMap | Descartes | 0.16 | 0.65 |
INO80C | 0.0001591 | 3012 | GTEx | DepMap | Descartes | 0.15 | 3.91 |
KLF7 | 0.0001286 | 3246 | GTEx | DepMap | Descartes | 0.78 | 3.59 |
DNAJB1 | 0.0001018 | 3470 | GTEx | DepMap | Descartes | 0.76 | 52.81 |
MXI1 | 0.0001011 | 3478 | GTEx | DepMap | Descartes | 0.58 | 4.32 |
BEND4 | 0.0000974 | 3519 | GTEx | DepMap | Descartes | 0.11 | 1.38 |
ATP6V1B2 | 0.0000951 | 3541 | GTEx | DepMap | Descartes | 0.95 | 14.68 |
NMNAT2 | 0.0000911 | 3578 | GTEx | DepMap | Descartes | 0.07 | 0.19 |
PIK3R1 | 0.0000894 | 3591 | GTEx | DepMap | Descartes | 0.76 | 3.75 |
TSPAN13 | 0.0000065 | 4938 | GTEx | DepMap | Descartes | 1.17 | 19.40 |
VanGroningen Mesenchymal Genes
Mesenchymal marker genes from Supplementary Table 2 of Van Groningen et al. Nature Genetics 2017. These genes were identified by differential expression analysis of mesenchymal-like and adrenergic-like neuroblastoma cell lines.
Wilcoxon ranksum test P-value for gene set overrepresentation: 1.09e-01
Mean rank of genes in gene set: 10132.17
Median rank of genes in gene set: 11824.5
Rank on gene expression program of top 30 genes in gene set:
Genes | Weight | Rank | GTEx | DepMap | Descartes | Mean.Counts | Mean.TPM |
---|---|---|---|---|---|---|---|
DUSP5 | 0.0097698 | 57 | GTEx | DepMap | Descartes | 0.48 | 41.34 |
IFITM2 | 0.0092091 | 64 | GTEx | DepMap | Descartes | 6.60 | 4437.19 |
LITAF | 0.0089925 | 70 | GTEx | DepMap | Descartes | 1.56 | 11.52 |
CD44 | 0.0065026 | 122 | GTEx | DepMap | Descartes | 1.21 | 9.21 |
ADGRE5 | 0.0061816 | 132 | GTEx | DepMap | Descartes | 0.75 | 36.67 |
SNAP23 | 0.0057726 | 142 | GTEx | DepMap | Descartes | 0.48 | 12.22 |
IL13RA1 | 0.0051824 | 172 | GTEx | DepMap | Descartes | 0.23 | 3.04 |
PYGL | 0.0043741 | 231 | GTEx | DepMap | Descartes | 0.27 | 5.13 |
EGR1 | 0.0041625 | 240 | GTEx | DepMap | Descartes | 0.91 | 136.04 |
THBS1 | 0.0041349 | 242 | GTEx | DepMap | Descartes | 2.36 | 119.65 |
HLX | 0.0041285 | 244 | GTEx | DepMap | Descartes | 0.13 | 21.84 |
TNFRSF1A | 0.0039258 | 266 | GTEx | DepMap | Descartes | 0.63 | 33.10 |
IGFBP6 | 0.0037585 | 276 | GTEx | DepMap | Descartes | 0.38 | 85.77 |
SKIL | 0.0036713 | 280 | GTEx | DepMap | Descartes | 1.20 | 28.97 |
STAT3 | 0.0035294 | 297 | GTEx | DepMap | Descartes | 0.60 | 7.87 |
KLF10 | 0.0034493 | 305 | GTEx | DepMap | Descartes | 0.34 | 22.63 |
SDCBP | 0.0033019 | 318 | GTEx | DepMap | Descartes | 2.79 | 35.23 |
ARPC1B | 0.0032281 | 321 | GTEx | DepMap | Descartes | 4.56 | 174.76 |
SFT2D2 | 0.0028686 | 368 | GTEx | DepMap | Descartes | 0.24 | 10.26 |
ANXA2 | 0.0027331 | 386 | GTEx | DepMap | Descartes | 3.99 | 46.54 |
PPT1 | 0.0026522 | 402 | GTEx | DepMap | Descartes | 0.61 | 19.76 |
RAP1B | 0.0026382 | 405 | GTEx | DepMap | Descartes | 2.02 | 36.29 |
CMTM6 | 0.0025458 | 417 | GTEx | DepMap | Descartes | 0.36 | 13.51 |
SMAD3 | 0.0023707 | 457 | GTEx | DepMap | Descartes | 0.07 | 0.45 |
MYADM | 0.0023705 | 459 | GTEx | DepMap | Descartes | 0.50 | 22.57 |
KCTD12 | 0.0023278 | 469 | GTEx | DepMap | Descartes | 0.69 | 80.62 |
LASP1 | 0.0021815 | 502 | GTEx | DepMap | Descartes | 0.44 | 5.79 |
KLF6 | 0.0021801 | 503 | GTEx | DepMap | Descartes | 1.49 | 101.82 |
IFITM3 | 0.0021338 | 512 | GTEx | DepMap | Descartes | 9.92 | 4708.96 |
B2M | 0.0020925 | 527 | GTEx | DepMap | Descartes | 5.23 | 514.98 |
Descartes adrenocortical markers
Top 50 marker genes of adrenocortical cells in the Decartes fetal adrenal single cell map (https://atlas.brotmanbaty.org/bbi/human-gene-expression-during-development/cell/adrenocortical/in/adrenal)
Wilcoxon ranksum test P-value for gene set overrepresentation: 9.78e-01
Mean rank of genes in gene set: 12355.9
Median rank of genes in gene set: 14200.5
Rank on gene expression program of top 30 genes in gene set:
Genes | Weight | Rank | GTEx | DepMap | Descartes | Mean.Counts | Mean.TPM |
---|---|---|---|---|---|---|---|
IGF1R | 0.0009588 | 1093 | GTEx | DepMap | Descartes | 0.33 | 0.74 |
POR | 0.0008850 | 1164 | GTEx | DepMap | Descartes | 1.05 | 6.46 |
ERN1 | 0.0007597 | 1314 | GTEx | DepMap | Descartes | 0.13 | 0.89 |
CYP11A1 | 0.0000536 | 3970 | GTEx | DepMap | Descartes | 0.00 | 0.00 |
STAR | 0.0000076 | 4913 | GTEx | DepMap | Descartes | 0.00 | 0.17 |
SULT2A1 | -0.0000041 | 5358 | GTEx | DepMap | Descartes | 0.00 | 0.00 |
LDLR | -0.0000136 | 5974 | GTEx | DepMap | Descartes | 0.14 | 1.70 |
SLC16A9 | -0.0000196 | 6527 | GTEx | DepMap | Descartes | 0.04 | 0.13 |
CLU | -0.0000205 | 6604 | GTEx | DepMap | Descartes | 0.77 | 10.79 |
CYP11B1 | -0.0000268 | 7181 | GTEx | DepMap | Descartes | 0.00 | 0.00 |
APOC1 | -0.0000314 | 7567 | GTEx | DepMap | Descartes | 0.51 | 25.99 |
NPC1 | -0.0000358 | 7939 | GTEx | DepMap | Descartes | 0.39 | 3.23 |
CYP17A1 | -0.0000367 | 7994 | GTEx | DepMap | Descartes | 0.00 | 0.00 |
BAIAP2L1 | -0.0000430 | 8452 | GTEx | DepMap | Descartes | 0.17 | 0.19 |
SCARB1 | -0.0000541 | 9208 | GTEx | DepMap | Descartes | 0.14 | 0.99 |
SLC1A2 | -0.0000820 | 10798 | GTEx | DepMap | Descartes | 0.04 | 0.12 |
INHA | -0.0000966 | 11453 | GTEx | DepMap | Descartes | 0.03 | 2.69 |
GRAMD1B | -0.0001258 | 12602 | GTEx | DepMap | Descartes | 0.34 | 0.54 |
FREM2 | -0.0001404 | 13092 | GTEx | DepMap | Descartes | 0.01 | 0.02 |
CYB5B | -0.0001690 | 13931 | GTEx | DepMap | Descartes | 0.58 | 5.36 |
PAPSS2 | -0.0001787 | 14187 | GTEx | DepMap | Descartes | 0.11 | 0.27 |
TM7SF2 | -0.0001795 | 14214 | GTEx | DepMap | Descartes | 0.08 | 3.32 |
SGCZ | -0.0002024 | 14827 | GTEx | DepMap | Descartes | 0.01 | 0.00 |
DNER | -0.0002050 | 14903 | GTEx | DepMap | Descartes | 0.01 | 0.02 |
SH3PXD2B | -0.0002202 | 15267 | GTEx | DepMap | Descartes | 0.15 | 0.61 |
PDE10A | -0.0002203 | 15269 | GTEx | DepMap | Descartes | 0.04 | 0.03 |
SH3BP5 | -0.0002249 | 15376 | GTEx | DepMap | Descartes | 0.25 | 1.75 |
SCAP | -0.0002318 | 15531 | GTEx | DepMap | Descartes | 0.28 | 1.17 |
GSTA4 | -0.0002351 | 15600 | GTEx | DepMap | Descartes | 2.13 | 5.78 |
FDXR | -0.0002506 | 15927 | GTEx | DepMap | Descartes | 0.12 | 5.04 |
Descartes chromaffin markers
Top 50 marker genes of chromaffin cells in the Decartes fetal adrenal single cell map (https://atlas.brotmanbaty.org/bbi/human-gene-expression-during-development/cell/chromaffin/in/adrenal)
Wilcoxon ranksum test P-value for gene set overrepresentation: 1.00e+00
Mean rank of genes in gene set: 15572.68
Median rank of genes in gene set: 15819.5
Rank on gene expression program of top 30 genes in gene set:
Genes | Weight | Rank | GTEx | DepMap | Descartes | Mean.Counts | Mean.TPM |
---|---|---|---|---|---|---|---|
PTCHD1 | -0.0000165 | 6241 | GTEx | DepMap | Descartes | 0.03 | 0.24 |
ALK | -0.0000245 | 6967 | GTEx | DepMap | Descartes | 0.01 | 0.00 |
BASP1 | -0.0000440 | 8525 | GTEx | DepMap | Descartes | 9.01 | 78.63 |
EPHA6 | -0.0000541 | 9205 | GTEx | DepMap | Descartes | 0.00 | 0.00 |
IL7 | -0.0000595 | 9559 | GTEx | DepMap | Descartes | 0.00 | 0.01 |
EYA4 | -0.0000700 | 10169 | GTEx | DepMap | Descartes | 0.04 | 0.04 |
RPH3A | -0.0000793 | 10654 | GTEx | DepMap | Descartes | 0.01 | 0.04 |
ANKFN1 | -0.0000866 | 11012 | GTEx | DepMap | Descartes | 0.01 | 0.00 |
MAB21L1 | -0.0000870 | 11032 | GTEx | DepMap | Descartes | 0.01 | 0.35 |
SYNPO2 | -0.0000887 | 11108 | GTEx | DepMap | Descartes | 0.01 | 0.00 |
TMEM132C | -0.0001062 | 11887 | GTEx | DepMap | Descartes | 0.03 | 0.04 |
GREM1 | -0.0001134 | 12158 | GTEx | DepMap | Descartes | 0.01 | 0.35 |
RYR2 | -0.0001311 | 12780 | GTEx | DepMap | Descartes | 0.04 | 0.03 |
FAT3 | -0.0001320 | 12826 | GTEx | DepMap | Descartes | 0.13 | 0.11 |
HS3ST5 | -0.0001365 | 12966 | GTEx | DepMap | Descartes | 0.01 | 0.01 |
GAL | -0.0001367 | 12978 | GTEx | DepMap | Descartes | 0.03 | 2.21 |
NPY | -0.0001423 | 13161 | GTEx | DepMap | Descartes | 0.17 | 6.71 |
NTRK1 | -0.0001504 | 13417 | GTEx | DepMap | Descartes | 0.01 | 0.70 |
SLC6A2 | -0.0001531 | 13488 | GTEx | DepMap | Descartes | 0.01 | 0.02 |
HMX1 | -0.0001989 | 14724 | GTEx | DepMap | Descartes | 0.31 | 9.31 |
PRPH | -0.0002067 | 14954 | GTEx | DepMap | Descartes | 0.44 | 33.10 |
SLC44A5 | -0.0002398 | 15710 | GTEx | DepMap | Descartes | 0.07 | 0.06 |
KCNB2 | -0.0002508 | 15929 | GTEx | DepMap | Descartes | 0.04 | 0.03 |
RBFOX1 | -0.0003103 | 17020 | GTEx | DepMap | Descartes | 0.18 | 0.05 |
PLXNA4 | -0.0003122 | 17049 | GTEx | DepMap | Descartes | 0.14 | 0.12 |
RGMB | -0.0003477 | 17570 | GTEx | DepMap | Descartes | 0.09 | 1.08 |
CNKSR2 | -0.0003630 | 17788 | GTEx | DepMap | Descartes | 0.16 | 0.25 |
MARCH11 | -0.0004269 | 18543 | GTEx | DepMap | Descartes | 0.20 | 0.67 |
TMEFF2 | -0.0004608 | 18889 | GTEx | DepMap | Descartes | 0.11 | 0.10 |
EYA1 | -0.0005324 | 19459 | GTEx | DepMap | Descartes | 0.85 | 1.78 |
Descartes Vascular_endothelial markers
Top 50 marker genes of Vascular_endothelial cells in the Decartes fetal adrenal single cell map (https://atlas.brotmanbaty.org/bbi/human-gene-expression-during-development/cell/vascular_endothelial/in/adrenal)
Wilcoxon ranksum test P-value for gene set overrepresentation: 7.08e-03
Mean rank of genes in gene set: 8215.16
Median rank of genes in gene set: 7362
Rank on gene expression program of top 30 genes in gene set:
Genes | Weight | Rank | GTEx | DepMap | Descartes | Mean.Counts | Mean.TPM |
---|---|---|---|---|---|---|---|
CHRM3 | 0.0017624 | 620 | GTEx | DepMap | Descartes | 0.01 | 0.01 |
RASIP1 | 0.0014433 | 756 | GTEx | DepMap | Descartes | 0.03 | 3.22 |
CEACAM1 | 0.0009815 | 1060 | GTEx | DepMap | Descartes | 0.11 | 4.56 |
TMEM88 | 0.0007325 | 1353 | GTEx | DepMap | Descartes | 0.03 | 14.70 |
FCGR2B | 0.0005151 | 1708 | GTEx | DepMap | Descartes | 1.25 | 31.85 |
FLT4 | 0.0004317 | 1898 | GTEx | DepMap | Descartes | 0.00 | 0.01 |
NOTCH4 | 0.0002628 | 2434 | GTEx | DepMap | Descartes | 0.04 | 0.79 |
NPR1 | 0.0002212 | 2636 | GTEx | DepMap | Descartes | 0.04 | 1.09 |
KDR | 0.0002058 | 2722 | GTEx | DepMap | Descartes | 0.02 | 0.29 |
ROBO4 | 0.0001744 | 2902 | GTEx | DepMap | Descartes | 0.00 | 0.13 |
PTPRB | 0.0001632 | 2984 | GTEx | DepMap | Descartes | 0.00 | 0.00 |
ESM1 | 0.0000689 | 3784 | GTEx | DepMap | Descartes | 0.00 | 0.03 |
BTNL9 | 0.0000313 | 4341 | GTEx | DepMap | Descartes | 0.00 | 0.00 |
SOX18 | 0.0000176 | 4635 | GTEx | DepMap | Descartes | 0.01 | 0.26 |
KANK3 | 0.0000166 | 4660 | GTEx | DepMap | Descartes | 0.07 | 2.31 |
ID1 | 0.0000017 | 5112 | GTEx | DepMap | Descartes | 1.51 | 402.58 |
ECSCR | 0.0000002 | 5166 | GTEx | DepMap | Descartes | 0.02 | 1.04 |
TEK | -0.0000010 | 5216 | GTEx | DepMap | Descartes | 0.01 | 0.01 |
SHE | -0.0000100 | 5676 | GTEx | DepMap | Descartes | 0.01 | 0.01 |
PLVAP | -0.0000117 | 5802 | GTEx | DepMap | Descartes | 0.01 | 0.12 |
CDH5 | -0.0000211 | 6660 | GTEx | DepMap | Descartes | 0.01 | 0.03 |
CRHBP | -0.0000292 | 7362 | GTEx | DepMap | Descartes | 0.00 | 0.00 |
SLCO2A1 | -0.0000398 | 8205 | GTEx | DepMap | Descartes | 0.05 | 0.03 |
MYRIP | -0.0000431 | 8463 | GTEx | DepMap | Descartes | 0.01 | 0.07 |
PODXL | -0.0000452 | 8613 | GTEx | DepMap | Descartes | 0.04 | 0.26 |
MMRN2 | -0.0000508 | 8987 | GTEx | DepMap | Descartes | 0.00 | 0.00 |
GALNT15 | -0.0000726 | 10327 | GTEx | DepMap | Descartes | 0.00 | 0.00 |
APLNR | -0.0001035 | 11773 | GTEx | DepMap | Descartes | 0.00 | 0.00 |
EHD3 | -0.0001037 | 11777 | GTEx | DepMap | Descartes | 0.17 | 2.41 |
NR5A2 | -0.0001125 | 12112 | GTEx | DepMap | Descartes | 0.00 | 0.00 |
Descartes stromal markers
Top 50 marker genes of stromal cells in the Decartes fetal adrenal single cell map (https://atlas.brotmanbaty.org/bbi/human-gene-expression-during-development/cell/stromal/in/adrenal)
Wilcoxon ranksum test P-value for gene set overrepresentation: 6.91e-01
Mean rank of genes in gene set: 10920.54
Median rank of genes in gene set: 11634.5
Rank on gene expression program of top 30 genes in gene set:
Genes | Weight | Rank | GTEx | DepMap | Descartes | Mean.Counts | Mean.TPM |
---|---|---|---|---|---|---|---|
CCDC80 | 0.0002403 | 2535 | GTEx | DepMap | Descartes | 0.06 | 0.76 |
ACTA2 | 0.0001175 | 3342 | GTEx | DepMap | Descartes | 0.39 | 5.54 |
IGFBP3 | 0.0001090 | 3414 | GTEx | DepMap | Descartes | 0.26 | 5.38 |
OGN | 0.0000502 | 4022 | GTEx | DepMap | Descartes | 0.01 | 0.33 |
HHIP | -0.0000003 | 5188 | GTEx | DepMap | Descartes | 0.05 | 0.16 |
ITGA11 | -0.0000058 | 5442 | GTEx | DepMap | Descartes | 0.00 | 0.01 |
LAMC3 | -0.0000111 | 5749 | GTEx | DepMap | Descartes | 0.13 | 0.93 |
SULT1E1 | -0.0000116 | 5790 | GTEx | DepMap | Descartes | 0.00 | 0.00 |
LOX | -0.0000250 | 7019 | GTEx | DepMap | Descartes | 0.02 | 0.55 |
ADAMTSL3 | -0.0000265 | 7150 | GTEx | DepMap | Descartes | 0.00 | 0.00 |
C7 | -0.0000331 | 7706 | GTEx | DepMap | Descartes | 0.00 | 0.00 |
ABCA6 | -0.0000445 | 8556 | GTEx | DepMap | Descartes | 0.01 | 0.07 |
DKK2 | -0.0000458 | 8651 | GTEx | DepMap | Descartes | 0.02 | 0.11 |
FREM1 | -0.0000466 | 8706 | GTEx | DepMap | Descartes | 0.00 | 0.00 |
SCARA5 | -0.0000511 | 9001 | GTEx | DepMap | Descartes | 0.01 | 0.02 |
PRRX1 | -0.0000547 | 9242 | GTEx | DepMap | Descartes | 0.01 | 0.05 |
EDNRA | -0.0000658 | 9935 | GTEx | DepMap | Descartes | 0.06 | 0.60 |
PDGFRA | -0.0000813 | 10770 | GTEx | DepMap | Descartes | 0.02 | 0.12 |
FNDC1 | -0.0000848 | 10931 | GTEx | DepMap | Descartes | 0.02 | 0.06 |
GLI2 | -0.0000855 | 10976 | GTEx | DepMap | Descartes | 0.00 | 0.00 |
CD248 | -0.0000905 | 11188 | GTEx | DepMap | Descartes | 0.03 | 2.10 |
COL3A1 | -0.0000962 | 11440 | GTEx | DepMap | Descartes | 0.22 | 2.04 |
COL27A1 | -0.0001000 | 11597 | GTEx | DepMap | Descartes | 0.02 | 0.06 |
COL1A2 | -0.0001016 | 11672 | GTEx | DepMap | Descartes | 0.17 | 1.60 |
ISLR | -0.0001068 | 11908 | GTEx | DepMap | Descartes | 0.03 | 0.11 |
DCN | -0.0001112 | 12061 | GTEx | DepMap | Descartes | 0.48 | 2.66 |
COL1A1 | -0.0001146 | 12208 | GTEx | DepMap | Descartes | 0.17 | 2.22 |
COL12A1 | -0.0001150 | 12226 | GTEx | DepMap | Descartes | 0.03 | 0.13 |
LRRC17 | -0.0001193 | 12388 | GTEx | DepMap | Descartes | 0.01 | 0.02 |
MGP | -0.0001206 | 12432 | GTEx | DepMap | Descartes | 0.50 | 28.44 |
Descartes sympathoblasts markers
Top 50 marker genes of sympathoblasts cells in the Decartes fetal adrenal single cell map (https://atlas.brotmanbaty.org/bbi/human-gene-expression-during-development/cell/sympathoblasts/in/adrenal)
Wilcoxon ranksum test P-value for gene set overrepresentation: 1.00e+00
Mean rank of genes in gene set: 14223.69
Median rank of genes in gene set: 14738.5
Rank on gene expression program of top 30 genes in gene set:
Genes | Weight | Rank | GTEx | DepMap | Descartes | Mean.Counts | Mean.TPM |
---|---|---|---|---|---|---|---|
GCH1 | 0.0004982 | 1740 | GTEx | DepMap | Descartes | 0.45 | 5.08 |
GRM7 | -0.0000117 | 5811 | GTEx | DepMap | Descartes | 0.01 | 0.01 |
SLC35F3 | -0.0000240 | 6922 | GTEx | DepMap | Descartes | 0.01 | 0.01 |
KCTD16 | -0.0000319 | 7605 | GTEx | DepMap | Descartes | 0.00 | 0.00 |
KSR2 | -0.0000497 | 8927 | GTEx | DepMap | Descartes | 0.07 | 0.07 |
TENM1 | -0.0000554 | 9295 | GTEx | DepMap | Descartes | 0.00 | 0.00 |
CDH12 | -0.0000832 | 10854 | GTEx | DepMap | Descartes | 0.00 | 0.00 |
AGBL4 | -0.0000959 | 11423 | GTEx | DepMap | Descartes | 0.01 | 0.00 |
CDH18 | -0.0000982 | 11517 | GTEx | DepMap | Descartes | 0.00 | 0.00 |
SLC24A2 | -0.0000985 | 11529 | GTEx | DepMap | Descartes | 0.02 | 0.03 |
CNTN3 | -0.0001058 | 11865 | GTEx | DepMap | Descartes | 0.00 | 0.00 |
SORCS3 | -0.0001117 | 12087 | GTEx | DepMap | Descartes | 0.00 | 0.00 |
DGKK | -0.0001187 | 12360 | GTEx | DepMap | Descartes | 0.06 | 0.07 |
TBX20 | -0.0001252 | 12573 | GTEx | DepMap | Descartes | 0.03 | 0.20 |
GRID2 | -0.0001307 | 12772 | GTEx | DepMap | Descartes | 0.00 | 0.00 |
LAMA3 | -0.0001450 | 13241 | GTEx | DepMap | Descartes | 0.11 | 0.12 |
PENK | -0.0001456 | 13265 | GTEx | DepMap | Descartes | 0.00 | 0.00 |
SPOCK3 | -0.0001475 | 13322 | GTEx | DepMap | Descartes | 0.13 | 0.12 |
PNMT | -0.0001591 | 13666 | GTEx | DepMap | Descartes | 0.00 | 0.00 |
SLC18A1 | -0.0001829 | 14305 | GTEx | DepMap | Descartes | 0.00 | 0.01 |
TIAM1 | -0.0001946 | 14618 | GTEx | DepMap | Descartes | 0.25 | 0.19 |
TMEM130 | -0.0002035 | 14859 | GTEx | DepMap | Descartes | 0.01 | 0.18 |
ROBO1 | -0.0002351 | 15603 | GTEx | DepMap | Descartes | 0.11 | 0.06 |
EML6 | -0.0002484 | 15881 | GTEx | DepMap | Descartes | 0.04 | 0.04 |
ARC | -0.0002721 | 16356 | GTEx | DepMap | Descartes | 0.08 | 1.97 |
PACRG | -0.0002738 | 16382 | GTEx | DepMap | Descartes | 0.02 | 0.02 |
GALNTL6 | -0.0002781 | 16471 | GTEx | DepMap | Descartes | 0.03 | 0.01 |
UNC80 | -0.0002834 | 16573 | GTEx | DepMap | Descartes | 0.13 | 0.27 |
CHGB | -0.0002992 | 16831 | GTEx | DepMap | Descartes | 0.80 | 18.37 |
FAM155A | -0.0003025 | 16887 | GTEx | DepMap | Descartes | 0.10 | 0.05 |
Descartes erythroblasts markers
Top 50 marker genes of erythroblasts cells in the Decartes fetal adrenal single cell map (https://atlas.brotmanbaty.org/bbi/human-gene-expression-during-development/cell/erythroblasts/in/adrenal)
Wilcoxon ranksum test P-value for gene set overrepresentation: 2.37e-01
Mean rank of genes in gene set: 9742.71
Median rank of genes in gene set: 10425
Rank on gene expression program of top 30 genes in gene set:
Genes | Weight | Rank | GTEx | DepMap | Descartes | Mean.Counts | Mean.TPM |
---|---|---|---|---|---|---|---|
DENND4A | 0.0044172 | 224 | GTEx | DepMap | Descartes | 0.32 | 3.08 |
MARCH3 | 0.0007132 | 1375 | GTEx | DepMap | Descartes | 0.01 | 0.11 |
CR1L | 0.0005660 | 1608 | GTEx | DepMap | Descartes | 0.47 | 6.36 |
SLC25A37 | 0.0004301 | 1905 | GTEx | DepMap | Descartes | 0.27 | 3.08 |
ANK1 | 0.0002255 | 2606 | GTEx | DepMap | Descartes | 0.00 | 0.01 |
TRAK2 | 0.0001030 | 3459 | GTEx | DepMap | Descartes | 0.19 | 1.23 |
GYPA | 0.0000698 | 3778 | GTEx | DepMap | Descartes | 0.01 | 0.09 |
SPTA1 | 0.0000539 | 3961 | GTEx | DepMap | Descartes | 0.00 | 0.05 |
SPECC1 | 0.0000529 | 3976 | GTEx | DepMap | Descartes | 0.14 | 0.22 |
RAPGEF2 | 0.0000233 | 4506 | GTEx | DepMap | Descartes | 0.13 | 0.33 |
SLC25A21 | 0.0000108 | 4817 | GTEx | DepMap | Descartes | 0.00 | 0.00 |
RHD | 0.0000038 | 5034 | GTEx | DepMap | Descartes | 0.01 | 0.04 |
EPB42 | -0.0000242 | 6945 | GTEx | DepMap | Descartes | 0.00 | 0.00 |
ALAS2 | -0.0000368 | 8005 | GTEx | DepMap | Descartes | 0.27 | 4.27 |
HEMGN | -0.0000375 | 8066 | GTEx | DepMap | Descartes | 0.00 | 0.01 |
SOX6 | -0.0000413 | 8313 | GTEx | DepMap | Descartes | 0.11 | 0.09 |
RGS6 | -0.0000581 | 9471 | GTEx | DepMap | Descartes | 0.00 | 0.00 |
SLC4A1 | -0.0000748 | 10425 | GTEx | DepMap | Descartes | 0.00 | 0.00 |
CAT | -0.0000905 | 11187 | GTEx | DepMap | Descartes | 0.15 | 1.52 |
TSPAN5 | -0.0000977 | 11503 | GTEx | DepMap | Descartes | 0.22 | 0.60 |
GCLC | -0.0001112 | 12058 | GTEx | DepMap | Descartes | 0.19 | 2.15 |
GYPC | -0.0001375 | 13001 | GTEx | DepMap | Descartes | 0.01 | 0.35 |
MICAL2 | -0.0001531 | 13489 | GTEx | DepMap | Descartes | 0.06 | 0.07 |
ABCB10 | -0.0001563 | 13578 | GTEx | DepMap | Descartes | 0.10 | 0.88 |
TFR2 | -0.0001712 | 13983 | GTEx | DepMap | Descartes | 0.02 | 0.15 |
FECH | -0.0001724 | 14017 | GTEx | DepMap | Descartes | 0.14 | 1.40 |
TMCC2 | -0.0001926 | 14569 | GTEx | DepMap | Descartes | 0.17 | 1.29 |
SELENBP1 | -0.0001933 | 14582 | GTEx | DepMap | Descartes | 0.08 | 3.27 |
BLVRB | -0.0002025 | 14832 | GTEx | DepMap | Descartes | 1.01 | 20.14 |
TMEM56 | -0.0002045 | 14882 | GTEx | DepMap | Descartes | 0.03 | 0.17 |
Descartes myeloid markers
Top 50 marker genes of myeloid cells in the Decartes fetal adrenal single cell map (https://atlas.brotmanbaty.org/bbi/human-gene-expression-during-development/cell/myeloid/in/adrenal)
Wilcoxon ranksum test P-value for gene set overrepresentation: 1.37e-03
Mean rank of genes in gene set: 7777.76
Median rank of genes in gene set: 4155
Rank on gene expression program of top 30 genes in gene set:
Genes | Weight | Rank | GTEx | DepMap | Descartes | Mean.Counts | Mean.TPM |
---|---|---|---|---|---|---|---|
CD14 | 0.0077130 | 90 | GTEx | DepMap | Descartes | 3.06 | 1254.27 |
FGL2 | 0.0050995 | 178 | GTEx | DepMap | Descartes | 0.28 | 60.73 |
HCK | 0.0029427 | 356 | GTEx | DepMap | Descartes | 0.53 | 8.34 |
TGFBI | 0.0027560 | 384 | GTEx | DepMap | Descartes | 2.18 | 40.51 |
PTPRE | 0.0019168 | 574 | GTEx | DepMap | Descartes | 0.33 | 1.32 |
ATP8B4 | 0.0018212 | 600 | GTEx | DepMap | Descartes | 0.14 | 0.62 |
MPEG1 | 0.0016440 | 668 | GTEx | DepMap | Descartes | 2.02 | 250.70 |
IFNGR1 | 0.0009176 | 1132 | GTEx | DepMap | Descartes | 0.96 | 27.59 |
CST3 | 0.0007995 | 1266 | GTEx | DepMap | Descartes | 11.71 | 1447.67 |
MS4A4A | 0.0006908 | 1401 | GTEx | DepMap | Descartes | 0.19 | 6.88 |
ITPR2 | 0.0006496 | 1456 | GTEx | DepMap | Descartes | 0.15 | 0.18 |
CYBB | 0.0005736 | 1593 | GTEx | DepMap | Descartes | 1.44 | 16.55 |
CTSD | 0.0004917 | 1755 | GTEx | DepMap | Descartes | 9.38 | 300.54 |
CSF1R | 0.0004727 | 1797 | GTEx | DepMap | Descartes | 0.95 | 14.69 |
MARCH1 | 0.0004637 | 1817 | GTEx | DepMap | Descartes | 0.20 | 0.13 |
ABCA1 | 0.0003841 | 2034 | GTEx | DepMap | Descartes | 0.67 | 2.02 |
SPP1 | 0.0003810 | 2045 | GTEx | DepMap | Descartes | 8.71 | 603.74 |
RBPJ | 0.0003503 | 2127 | GTEx | DepMap | Descartes | 0.72 | 1.81 |
MSR1 | 0.0002716 | 2396 | GTEx | DepMap | Descartes | 0.73 | 4.93 |
CTSB | 0.0001770 | 2886 | GTEx | DepMap | Descartes | 11.79 | 192.10 |
RNASE1 | 0.0001646 | 2974 | GTEx | DepMap | Descartes | 0.03 | 12.31 |
SLC9A9 | 0.0001436 | 3139 | GTEx | DepMap | Descartes | 0.09 | 0.07 |
CTSS | 0.0000412 | 4155 | GTEx | DepMap | Descartes | 7.15 | 113.68 |
CD163 | 0.0000399 | 4180 | GTEx | DepMap | Descartes | 0.03 | 0.70 |
RGL1 | 0.0000266 | 4429 | GTEx | DepMap | Descartes | 0.24 | 0.46 |
CPVL | -0.0000051 | 5411 | GTEx | DepMap | Descartes | 0.01 | 0.04 |
FMN1 | -0.0000326 | 7669 | GTEx | DepMap | Descartes | 0.08 | 0.09 |
ADAP2 | -0.0001077 | 11940 | GTEx | DepMap | Descartes | 0.17 | 3.17 |
HRH1 | -0.0001176 | 12312 | GTEx | DepMap | Descartes | 0.02 | 0.04 |
FGD2 | -0.0001426 | 13173 | GTEx | DepMap | Descartes | 0.11 | 3.39 |
Descartes Schwann markers
Top 50 marker genes of Schwann cells in the Decartes fetal adrenal single cell map (https://atlas.brotmanbaty.org/bbi/human-gene-expression-during-development/cell/schwann/in/adrenal)
Wilcoxon ranksum test P-value for gene set overrepresentation: 6.94e-01
Mean rank of genes in gene set: 10922.47
Median rank of genes in gene set: 12141
Rank on gene expression program of top 30 genes in gene set:
Genes | Weight | Rank | GTEx | DepMap | Descartes | Mean.Counts | Mean.TPM |
---|---|---|---|---|---|---|---|
FAM134B | 0.0039562 | 261 | GTEx | DepMap | Descartes | 0.44 | NA |
KCTD12 | 0.0023278 | 469 | GTEx | DepMap | Descartes | 0.69 | 80.62 |
MARCKS | 0.0010837 | 981 | GTEx | DepMap | Descartes | 4.64 | 405.23 |
PAG1 | 0.0009053 | 1146 | GTEx | DepMap | Descartes | 0.14 | 0.70 |
VCAN | 0.0007104 | 1377 | GTEx | DepMap | Descartes | 0.40 | 2.85 |
LAMC1 | 0.0002555 | 2465 | GTEx | DepMap | Descartes | 0.18 | 0.64 |
EDNRB | 0.0000474 | 4054 | GTEx | DepMap | Descartes | 0.25 | 2.81 |
LAMA4 | 0.0000348 | 4273 | GTEx | DepMap | Descartes | 0.01 | 0.04 |
HMGA2 | 0.0000141 | 4731 | GTEx | DepMap | Descartes | 0.01 | 0.03 |
SLC35F1 | 0.0000127 | 4770 | GTEx | DepMap | Descartes | 0.02 | 0.05 |
IL1RAPL1 | 0.0000103 | 4827 | GTEx | DepMap | Descartes | 0.00 | 0.00 |
VIM | 0.0000070 | 4928 | GTEx | DepMap | Descartes | 6.50 | 308.90 |
CDH19 | -0.0000309 | 7511 | GTEx | DepMap | Descartes | 0.00 | 0.05 |
IL1RAPL2 | -0.0000312 | 7537 | GTEx | DepMap | Descartes | 0.00 | 0.00 |
OLFML2A | -0.0000398 | 8203 | GTEx | DepMap | Descartes | 0.01 | 0.59 |
ERBB3 | -0.0000399 | 8227 | GTEx | DepMap | Descartes | 0.08 | 0.72 |
SCN7A | -0.0000430 | 8456 | GTEx | DepMap | Descartes | 0.02 | 0.30 |
LRRTM4 | -0.0000591 | 9531 | GTEx | DepMap | Descartes | 0.01 | 0.00 |
MPZ | -0.0000597 | 9574 | GTEx | DepMap | Descartes | 0.00 | 0.00 |
NRXN3 | -0.0000746 | 10415 | GTEx | DepMap | Descartes | 0.04 | 0.02 |
PLCE1 | -0.0000804 | 10708 | GTEx | DepMap | Descartes | 0.02 | 0.01 |
EGFLAM | -0.0000942 | 11352 | GTEx | DepMap | Descartes | 0.00 | 0.00 |
TRPM3 | -0.0001100 | 12017 | GTEx | DepMap | Descartes | 0.01 | 0.00 |
ADAMTS5 | -0.0001131 | 12141 | GTEx | DepMap | Descartes | 0.02 | 0.27 |
ERBB4 | -0.0001141 | 12185 | GTEx | DepMap | Descartes | 0.00 | 0.00 |
COL18A1 | -0.0001252 | 12575 | GTEx | DepMap | Descartes | 0.64 | 1.78 |
SOX10 | -0.0001296 | 12730 | GTEx | DepMap | Descartes | 0.00 | 0.46 |
COL5A2 | -0.0001348 | 12907 | GTEx | DepMap | Descartes | 0.07 | 0.49 |
PTPRZ1 | -0.0001415 | 13139 | GTEx | DepMap | Descartes | 0.11 | 0.16 |
PLP1 | -0.0001486 | 13353 | GTEx | DepMap | Descartes | 0.03 | 2.05 |
Descartes Megakaryocytes markers
Top 50 marker genes of Megakaryocytes cells in the Decartes fetal adrenal single cell map (https://atlas.brotmanbaty.org/bbi/human-gene-expression-during-development/cell/megakaryocytes/in/adrenal)
Wilcoxon ranksum test P-value for gene set overrepresentation: 6.39e-09
Mean rank of genes in gene set: 5565.98
Median rank of genes in gene set: 2478
Rank on gene expression program of top 30 genes in gene set:
Genes | Weight | Rank | GTEx | DepMap | Descartes | Mean.Counts | Mean.TPM |
---|---|---|---|---|---|---|---|
PLEK | 0.0099906 | 53 | GTEx | DepMap | Descartes | 1.23 | 15.07 |
CD9 | 0.0056913 | 145 | GTEx | DepMap | Descartes | 4.12 | 67.00 |
THBS1 | 0.0041349 | 242 | GTEx | DepMap | Descartes | 2.36 | 119.65 |
ZYX | 0.0029961 | 349 | GTEx | DepMap | Descartes | 0.84 | 47.69 |
RAP1B | 0.0026382 | 405 | GTEx | DepMap | Descartes | 2.02 | 36.29 |
SLC2A3 | 0.0022967 | 474 | GTEx | DepMap | Descartes | 0.15 | 1.88 |
BIN2 | 0.0021831 | 500 | GTEx | DepMap | Descartes | 0.33 | 8.26 |
MYH9 | 0.0019412 | 569 | GTEx | DepMap | Descartes | 1.32 | 9.10 |
TMSB4X | 0.0019293 | 570 | GTEx | DepMap | Descartes | 116.98 | 24557.59 |
MCTP1 | 0.0017170 | 640 | GTEx | DepMap | Descartes | 0.06 | 0.08 |
CD84 | 0.0016707 | 660 | GTEx | DepMap | Descartes | 0.64 | 6.61 |
GSN | 0.0013665 | 788 | GTEx | DepMap | Descartes | 1.16 | 12.89 |
TLN1 | 0.0012870 | 839 | GTEx | DepMap | Descartes | 1.48 | 26.39 |
FLI1 | 0.0012514 | 866 | GTEx | DepMap | Descartes | 0.20 | 1.06 |
UBASH3B | 0.0010985 | 970 | GTEx | DepMap | Descartes | 0.15 | 0.59 |
FLNA | 0.0010515 | 1004 | GTEx | DepMap | Descartes | 1.10 | 18.82 |
TGFB1 | 0.0009955 | 1051 | GTEx | DepMap | Descartes | 1.31 | 36.82 |
TPM4 | 0.0008368 | 1214 | GTEx | DepMap | Descartes | 1.55 | 28.20 |
STON2 | 0.0008362 | 1216 | GTEx | DepMap | Descartes | 0.06 | 0.28 |
ACTN1 | 0.0008201 | 1244 | GTEx | DepMap | Descartes | 0.64 | 2.50 |
FERMT3 | 0.0007898 | 1279 | GTEx | DepMap | Descartes | 0.50 | 12.62 |
ACTB | 0.0006140 | 1518 | GTEx | DepMap | Descartes | 103.20 | 11597.55 |
MED12L | 0.0006105 | 1526 | GTEx | DepMap | Descartes | 0.05 | 0.13 |
SPN | 0.0003394 | 2160 | GTEx | DepMap | Descartes | 0.06 | 6.79 |
PF4 | 0.0002529 | 2478 | GTEx | DepMap | Descartes | 2.90 | 1337.71 |
LIMS1 | 0.0002388 | 2543 | GTEx | DepMap | Descartes | 0.72 | 3.08 |
PSTPIP2 | 0.0001698 | 2931 | GTEx | DepMap | Descartes | 0.03 | 0.09 |
VCL | 0.0001173 | 3344 | GTEx | DepMap | Descartes | 0.19 | 0.75 |
PPBP | 0.0000888 | 3594 | GTEx | DepMap | Descartes | 0.04 | 8.47 |
ITGB3 | 0.0000843 | 3630 | GTEx | DepMap | Descartes | 0.00 | 0.00 |
Descartes Lyphoid markers
Top 50 marker genes of Lyphoid cells in the Decartes fetal adrenal single cell map (https://atlas.brotmanbaty.org/bbi/human-gene-expression-during-development/cell/lymphoid/in/adrenal)
Wilcoxon ranksum test P-value for gene set overrepresentation: 5.21e-03
Mean rank of genes in gene set: 8142.45
Median rank of genes in gene set: 3697.5
Rank on gene expression program of top 30 genes in gene set:
Genes | Weight | Rank | GTEx | DepMap | Descartes | Mean.Counts | Mean.TPM |
---|---|---|---|---|---|---|---|
LCP1 | 0.0069040 | 113 | GTEx | DepMap | Descartes | 1.74 | 14.30 |
CD44 | 0.0065026 | 122 | GTEx | DepMap | Descartes | 1.21 | 9.21 |
SORL1 | 0.0062367 | 131 | GTEx | DepMap | Descartes | 0.43 | 2.73 |
PTPRC | 0.0044130 | 225 | GTEx | DepMap | Descartes | 1.89 | 14.73 |
MSN | 0.0033927 | 308 | GTEx | DepMap | Descartes | 1.96 | 17.59 |
WIPF1 | 0.0023357 | 468 | GTEx | DepMap | Descartes | 0.34 | 2.61 |
ITPKB | 0.0022253 | 491 | GTEx | DepMap | Descartes | 0.25 | 2.49 |
B2M | 0.0020925 | 527 | GTEx | DepMap | Descartes | 5.23 | 514.98 |
FAM65B | 0.0017320 | 634 | GTEx | DepMap | Descartes | 0.09 | NA |
ARHGDIB | 0.0017230 | 638 | GTEx | DepMap | Descartes | 1.91 | 59.90 |
CELF2 | 0.0016217 | 686 | GTEx | DepMap | Descartes | 0.63 | 0.46 |
IKZF1 | 0.0014378 | 759 | GTEx | DepMap | Descartes | 0.19 | 1.76 |
ANKRD44 | 0.0013237 | 815 | GTEx | DepMap | Descartes | 0.31 | 0.75 |
MCTP2 | 0.0013057 | 825 | GTEx | DepMap | Descartes | 0.07 | 0.15 |
CCND3 | 0.0012895 | 836 | GTEx | DepMap | Descartes | 0.40 | 2.48 |
RCSD1 | 0.0011705 | 922 | GTEx | DepMap | Descartes | 0.10 | 1.69 |
RAP1GAP2 | 0.0007313 | 1355 | GTEx | DepMap | Descartes | 0.11 | 0.31 |
ARHGAP15 | 0.0006222 | 1505 | GTEx | DepMap | Descartes | 0.19 | 0.24 |
PRKCH | 0.0005486 | 1631 | GTEx | DepMap | Descartes | 0.10 | 0.28 |
SP100 | 0.0005470 | 1637 | GTEx | DepMap | Descartes | 0.28 | 3.24 |
PLEKHA2 | 0.0004824 | 1778 | GTEx | DepMap | Descartes | 0.15 | 1.33 |
ARID5B | 0.0002005 | 2754 | GTEx | DepMap | Descartes | 0.26 | 0.63 |
ETS1 | 0.0000174 | 4641 | GTEx | DepMap | Descartes | 0.30 | 1.16 |
SAMD3 | -0.0000221 | 6743 | GTEx | DepMap | Descartes | 0.00 | 0.00 |
SKAP1 | -0.0001085 | 11967 | GTEx | DepMap | Descartes | 0.01 | 0.01 |
NKG7 | -0.0001569 | 13594 | GTEx | DepMap | Descartes | 0.03 | 9.06 |
CCL5 | -0.0001609 | 13720 | GTEx | DepMap | Descartes | 0.31 | 18.63 |
TOX | -0.0001670 | 13871 | GTEx | DepMap | Descartes | 0.07 | 0.10 |
SCML4 | -0.0001943 | 14613 | GTEx | DepMap | Descartes | 0.03 | 0.12 |
BACH2 | -0.0002144 | 15136 | GTEx | DepMap | Descartes | 0.11 | 0.10 |
Below shows the ranks on this GEP for immune marker gene lists curated by CellTypist (https://www.celltypist.org/encyclopedia).
High ranks indicate this gene is a driver of this GEP.
These curated gene list are ranked by P-value (on this GEP) of their constituent genes.
The Mean Count column shows the mean read count in cells scoring highly (H > 50) on this gene expression program.
Genes | Weight | Rank | GTEx | DepMap | Decartes | Mean.Counts | Mean.TPM |
---|---|---|---|---|---|---|---|
SRGN | 0.0134639 | 23 | GTEx | DepMap | Descartes | 9.66 | 244.19 |
TYROBP | 0.0063666 | 126 | GTEx | DepMap | Descartes | 13.00 | 2451.93 |
FTH1 | 0.0061503 | 133 | GTEx | DepMap | Descartes | 75.56 | 9182.56 |
S100A6 | 0.0015562 | 712 | GTEx | DepMap | Descartes | 23.96 | 665.24 |
ACTB | 0.0006140 | 1518 | GTEx | DepMap | Descartes | 103.20 | 11597.55 |
MT-ND3 | 0.0000209 | 4544 | GTEx | DepMap | Descartes | 1.89 | 1903.39 |
GPIHBP1 | 0.0000135 | 4748 | GTEx | DepMap | Descartes | 0.01 | 0.30 |
Granulocytes: Neutrophils (curated markers)
the most abundant type of granulocytes that contains distinctive cytoplasmic granules and forms an essential part of the innate immune system:
Wilcoxon ranksum test P-value for gene set overrepresentation: 5.52e-03
Mean rank of genes in gene set: 1601.33
Rank on gene expression program of genes in gene set:
Genes | Weight | Rank | GTEx | DepMap | Decartes | Mean.Counts | Mean.TPM |
---|---|---|---|---|---|---|---|
LCN2 | 0.0119438 | 36 | GTEx | DepMap | Descartes | 0.60 | 136.04 |
MMP8 | 0.0036068 | 288 | GTEx | DepMap | Descartes | 0.10 | 6.64 |
ORM1 | 0.0000244 | 4480 | GTEx | DepMap | Descartes | 0.05 | 3.56 |
Monocytes: Classical monocytes (curated markers)
CD14+ myeloid mononuclear recirculating leukocytes that are capable of differentiating into macrophages and myeloid lineage dendritic cells:
Wilcoxon ranksum test P-value for gene set overrepresentation: 7.41e-03
Mean rank of genes in gene set: 55
Rank on gene expression program of genes in gene set:
Genes | Weight | Rank | GTEx | DepMap | Decartes | Mean.Counts | Mean.TPM |
---|---|---|---|---|---|---|---|
S100A9 | 0.0144304 | 20 | GTEx | DepMap | Descartes | 19.25 | 5492.06 |
CD14 | 0.0077130 | 90 | GTEx | DepMap | Descartes | 3.06 | 1254.27 |