QQ-plot of gene loadings, averaged over both independent splits of the data
This plot highlights the relative contribution of each gene to the GEP
Top genes driving this program.
Note: Decartes website is buggy, try refreshing. Also, Decartes fetal adrenal data have been collected at specific time points (89-122 days), all possible cell types of interest may not be represented, do not overinterpret.
The Mean Count column shows the mean read count in cells scoring highly (H > 50) on this gene expression program.
Gene | Loading | Gene.Name | GTEx | DepMap | Descartes | Mean.Counts | Mean.Tpm | |
---|---|---|---|---|---|---|---|---|
1 | SFRP2 | 0.0363968 | secreted frizzled related protein 2 | GTEx | DepMap | Descartes | 2.00 | 498.51 |
2 | OMD | 0.0354938 | osteomodulin | GTEx | DepMap | Descartes | 0.89 | 133.42 |
3 | MFAP5 | 0.0308093 | microfibril associated protein 5 | GTEx | DepMap | Descartes | 1.30 | 177.12 |
4 | RSPO3 | 0.0279529 | R-spondin 3 | GTEx | DepMap | Descartes | 0.62 | NA |
5 | TNNC1 | 0.0279499 | troponin C1, slow skeletal and cardiac type | GTEx | DepMap | Descartes | 0.25 | 130.54 |
6 | DCN | 0.0275596 | decorin | GTEx | DepMap | Descartes | 30.11 | 1581.50 |
7 | MGP | 0.0246255 | matrix Gla protein | GTEx | DepMap | Descartes | 39.44 | 7383.72 |
8 | CCDC80 | 0.0241432 | coiled-coil domain containing 80 | GTEx | DepMap | Descartes | 5.75 | 148.47 |
9 | SERTM1 | 0.0225323 | serine rich and transmembrane domain containing 1 | GTEx | DepMap | Descartes | 0.02 | 2.98 |
10 | IGFBP6 | 0.0209681 | insulin like growth factor binding protein 6 | GTEx | DepMap | Descartes | 10.14 | 2935.42 |
11 | BOC | 0.0170424 | BOC cell adhesion associated, oncogene regulated | GTEx | DepMap | Descartes | 0.28 | 14.58 |
12 | FBLN1 | 0.0165639 | fibulin 1 | GTEx | DepMap | Descartes | 5.33 | 748.69 |
13 | CFD | 0.0165407 | complement factor D | GTEx | DepMap | Descartes | 11.02 | 4586.45 |
14 | SFRP4 | 0.0165349 | secreted frizzled related protein 4 | GTEx | DepMap | Descartes | 3.27 | 404.03 |
15 | GAS1 | 0.0162166 | growth arrest specific 1 | GTEx | DepMap | Descartes | 1.00 | 82.74 |
16 | C7 | 0.0156928 | complement C7 | GTEx | DepMap | Descartes | 1.59 | 106.00 |
17 | OGN | 0.0151548 | osteoglycin | GTEx | DepMap | Descartes | 1.92 | 172.35 |
18 | PODN | 0.0143571 | podocan | GTEx | DepMap | Descartes | 0.59 | 69.16 |
19 | ASPN | 0.0138540 | asporin | GTEx | DepMap | Descartes | 0.53 | 100.32 |
20 | MGST1 | 0.0138307 | microsomal glutathione S-transferase 1 | GTEx | DepMap | Descartes | 1.47 | 192.78 |
21 | NNMT | 0.0133198 | nicotinamide N-methyltransferase | GTEx | DepMap | Descartes | 4.30 | 599.11 |
22 | PROCR | 0.0132877 | protein C receptor | GTEx | DepMap | Descartes | 0.78 | 209.21 |
23 | F3 | 0.0128880 | coagulation factor III, tissue factor | GTEx | DepMap | Descartes | 1.17 | 192.85 |
24 | ANGPTL1 | 0.0128715 | angiopoietin like 1 | GTEx | DepMap | Descartes | 0.30 | 31.38 |
25 | C3 | 0.0128638 | complement C3 | GTEx | DepMap | Descartes | 3.08 | 186.29 |
26 | FIBIN | 0.0127353 | fin bud initiation factor homolog | GTEx | DepMap | Descartes | 0.14 | 15.40 |
27 | GSN | 0.0121915 | gelsolin | GTEx | DepMap | Descartes | 17.66 | 955.42 |
28 | TWIST2 | 0.0121491 | twist family bHLH transcription factor 2 | GTEx | DepMap | Descartes | 0.52 | 124.55 |
29 | PDGFRL | 0.0121216 | platelet derived growth factor receptor like | GTEx | DepMap | Descartes | 1.14 | 215.56 |
30 | EMP1 | 0.0117605 | epithelial membrane protein 1 | GTEx | DepMap | Descartes | 1.88 | 83.64 |
31 | MFGE8 | 0.0117090 | milk fat globule EGF and factor V/VIII domain containing | GTEx | DepMap | Descartes | 1.97 | 248.13 |
32 | ABI3BP | 0.0113648 | ABI family member 3 binding protein | GTEx | DepMap | Descartes | 0.33 | 15.25 |
33 | PRELP | 0.0111144 | proline and arginine rich end leucine rich repeat protein | GTEx | DepMap | Descartes | 1.11 | 73.58 |
34 | CXCL14 | 0.0110899 | C-X-C motif chemokine ligand 14 | GTEx | DepMap | Descartes | 1.12 | 217.80 |
35 | CCDC3 | 0.0109610 | coiled-coil domain containing 3 | GTEx | DepMap | Descartes | 0.36 | 42.53 |
36 | CLU | 0.0108443 | clusterin | GTEx | DepMap | Descartes | 4.30 | 520.17 |
37 | MFAP4 | 0.0106936 | microfibril associated protein 4 | GTEx | DepMap | Descartes | 1.11 | 228.77 |
38 | SERPING1 | 0.0106009 | serpin family G member 1 | GTEx | DepMap | Descartes | 4.08 | 597.18 |
39 | TNXB | 0.0103995 | tenascin XB | GTEx | DepMap | Descartes | 0.52 | 15.02 |
40 | SOD3 | 0.0101448 | superoxide dismutase 3 | GTEx | DepMap | Descartes | 2.77 | 628.55 |
41 | IGF2 | 0.0101239 | insulin like growth factor 2 | GTEx | DepMap | Descartes | 1.69 | 121.68 |
42 | F10 | 0.0100318 | coagulation factor X | GTEx | DepMap | Descartes | 0.31 | 79.50 |
43 | INMT | 0.0099834 | indolethylamine N-methyltransferase | GTEx | DepMap | Descartes | 0.95 | 110.78 |
44 | EFEMP1 | 0.0099628 | EGF containing fibulin extracellular matrix protein 1 | GTEx | DepMap | Descartes | 3.84 | 364.45 |
45 | KRT222 | 0.0097584 | keratin 222 | GTEx | DepMap | Descartes | 0.05 | 5.89 |
46 | CRISPLD2 | 0.0097514 | cysteine rich secretory protein LCCL domain containing 2 | GTEx | DepMap | Descartes | 0.94 | 56.55 |
47 | AOX1 | 0.0094814 | aldehyde oxidase 1 | GTEx | DepMap | Descartes | 0.20 | 13.62 |
48 | CYBRD1 | 0.0092537 | cytochrome b reductase 1 | GTEx | DepMap | Descartes | 0.83 | 57.60 |
49 | ACKR4 | 0.0092263 | atypical chemokine receptor 4 | GTEx | DepMap | Descartes | 0.08 | NA |
50 | THSD4 | 0.0091708 | thrombospondin type 1 domain containing 4 | GTEx | DepMap | Descartes | 0.17 | 5.28 |
UMAP plots showing activity of gene expression program identified in GEP 6. Cancer Associated Fibroblast: Inflammatory:
CNV Data procured from inferCNV.
Outer tracks are putative CNV regions (gains = red, losses = blue) for each patient
Inner track is expression data representing:
The top cells expressing this GEP (purple)
Random cells (n =50) from the reference set used in inferCNV (orange)
Gene set Enrichments for this program, caculated from top 50 genes
mSigDB Cell Types Gene Set:
P-value | OR | Lower 95% CI | FDR | FWER | Genes Found | Gene Set Size | |
---|---|---|---|---|---|---|---|
TRAVAGLINI_LUNG_ADVENTITIAL_FIBROBLAST_CELL | 3.59e-35 | 64.70 | 35.13 | 2.41e-32 | 2.41e-32 | 29SFRP2, OMD, MFAP5, RSPO3, DCN, MGP, CCDC80, IGFBP6, FBLN1, CFD, SFRP4, GAS1, C7, OGN, PODN, MGST1, NNMT, F3, C3, FIBIN, GSN, PDGFRL, EMP1, ABI3BP, CXCL14, EFEMP1, AOX1, CYBRD1, ACKR4 |
296 |
RUBENSTEIN_SKELETAL_MUSCLE_FAP_CELLS | 1.84e-26 | 57.21 | 30.31 | 6.17e-24 | 1.23e-23 | 21MFAP5, DCN, MGP, CCDC80, IGFBP6, FBLN1, CFD, SFRP4, PODN, MGST1, ANGPTL1, C3, GSN, PDGFRL, EMP1, CXCL14, MFAP4, SERPING1, TNXB, EFEMP1, CYBRD1 |
179 |
GAO_LARGE_INTESTINE_24W_C1_DCLK1POS_PROGENITOR | 9.30e-19 | 57.15 | 27.43 | 1.25e-16 | 6.24e-16 | 14SFRP2, DCN, MGP, CCDC80, BOC, FBLN1, C7, OGN, ASPN, NNMT, C3, PDGFRL, SERPING1, CYBRD1 |
99 |
DESCARTES_FETAL_MUSCLE_STROMAL_CELLS | 4.47e-17 | 51.64 | 24.27 | 4.29e-15 | 3.00e-14 | 13MFAP5, RSPO3, DCN, MGP, IGFBP6, FBLN1, OGN, ASPN, ANGPTL1, PDGFRL, CXCL14, TNXB, ACKR4 |
98 |
DESCARTES_FETAL_STOMACH_STROMAL_CELLS | 1.62e-11 | 56.55 | 21.62 | 7.24e-10 | 1.09e-08 | 8SFRP2, DCN, FBLN1, C7, ANGPTL1, TWIST2, CXCL14, MFAP4 |
50 |
DESCARTES_FETAL_KIDNEY_STROMAL_CELLS | 6.24e-18 | 40.86 | 20.21 | 6.98e-16 | 4.19e-15 | 15SFRP2, OMD, MFAP5, DCN, MGP, IGFBP6, OGN, PODN, ASPN, ANGPTL1, FIBIN, PRELP, SOD3, F10, AOX1 |
146 |
DESCARTES_FETAL_EYE_STROMAL_CELLS | 3.79e-14 | 44.55 | 19.83 | 2.31e-12 | 2.54e-11 | 11SFRP2, OMD, MFAP5, DCN, MGP, IGFBP6, OGN, PODN, ASPN, TWIST2, PDGFRL |
90 |
DESCARTES_FETAL_THYMUS_STROMAL_CELLS | 1.00e-16 | 39.48 | 19.17 | 8.43e-15 | 6.74e-14 | 14SFRP2, MFAP5, DCN, MGP, CCDC80, FBLN1, GAS1, OGN, ASPN, C3, MFGE8, MFAP4, SERPING1, IGF2 |
137 |
DURANTE_ADULT_OLFACTORY_NEUROEPITHELIUM_FIBROBLASTS_STROMAL_CELLS | 6.29e-13 | 43.32 | 18.60 | 3.52e-11 | 4.22e-10 | 10SFRP2, DCN, MGP, IGFBP6, FBLN1, GSN, CCDC3, MFAP4, SERPING1, INMT |
82 |
RUBENSTEIN_SKELETAL_MUSCLE_FBN1_FAP_CELLS | 4.55e-22 | 33.81 | 18.05 | 1.02e-19 | 3.06e-19 | 21MFAP5, DCN, MGP, CCDC80, IGFBP6, FBLN1, CFD, GAS1, MGST1, PROCR, C3, GSN, PDGFRL, ABI3BP, CLU, MFAP4, SERPING1, TNXB, F10, EFEMP1, CYBRD1 |
289 |
CUI_DEVELOPING_HEART_SMOOTH_MUSCLE_CELL | 6.52e-10 | 49.49 | 17.75 | 2.31e-08 | 4.38e-07 | 7SFRP2, MFAP5, CCDC80, FBLN1, ANGPTL1, PDGFRL, F10 |
48 |
DESCARTES_FETAL_ADRENAL_STROMAL_CELLS | 4.78e-16 | 34.95 | 17.02 | 3.21e-14 | 3.21e-13 | 14SFRP2, RSPO3, DCN, MGP, CCDC80, IGFBP6, C7, OGN, PODN, ASPN, TWIST2, PDGFRL, ABI3BP, PRELP |
153 |
AIZARANI_LIVER_C21_STELLATE_CELLS_1 | 4.48e-16 | 29.91 | 14.90 | 3.21e-14 | 3.00e-13 | 15DCN, MGP, CCDC80, FBLN1, C7, GSN, EMP1, PRELP, CCDC3, MFAP4, SOD3, INMT, EFEMP1, CRISPLD2, CYBRD1 |
194 |
DESCARTES_FETAL_HEART_STROMAL_CELLS | 2.06e-07 | 47.76 | 13.82 | 5.76e-06 | 1.38e-04 | 5MFAP5, DCN, FBLN1, ANGPTL1, PRELP |
34 |
HAY_BONE_MARROW_STROMAL | 6.25e-21 | 19.90 | 10.94 | 1.05e-18 | 4.20e-18 | 27RSPO3, DCN, MGP, CCDC80, IGFBP6, BOC, FBLN1, CFD, GAS1, C7, PODN, NNMT, FIBIN, GSN, TWIST2, PDGFRL, EMP1, ABI3BP, PRELP, CXCL14, SERPING1, SOD3, IGF2, EFEMP1, KRT222, CYBRD1, THSD4 |
765 |
CUI_DEVELOPING_HEART_C3_FIBROBLAST_LIKE_CELL | 6.54e-10 | 25.38 | 10.58 | 2.31e-08 | 4.39e-07 | 9DCN, MGP, FBLN1, C7, OGN, ASPN, MFAP4, SERPING1, CYBRD1 |
117 |
DESCARTES_FETAL_SPLEEN_MESOTHELIAL_CELLS | 8.57e-12 | 21.58 | 10.09 | 4.11e-10 | 5.75e-09 | 12SFRP2, OMD, RSPO3, MGP, GAS1, OGN, PROCR, F3, PDGFRL, INMT, EFEMP1, AOX1 |
195 |
CUI_DEVELOPING_HEART_COMPACT_VENTRICULAR_CARDIOMYOCYTE | 1.97e-07 | 28.86 | 9.68 | 5.74e-06 | 1.32e-04 | 6DCN, MGP, C7, OGN, ASPN, CXCL14 |
65 |
CUI_DEVELOPING_HEART_C6_EPICARDIAL_CELL | 1.80e-10 | 19.16 | 8.71 | 7.11e-09 | 1.21e-07 | 11CCDC80, MGST1, NNMT, PROCR, C3, PDGFRL, SERPING1, INMT, EFEMP1, AOX1, CYBRD1 |
195 |
DESCARTES_FETAL_STOMACH_MESOTHELIAL_CELLS | 1.18e-05 | 33.91 | 8.38 | 2.51e-04 | 7.93e-03 | 4RSPO3, GAS1, C3, AOX1 |
36 |
Dowload full table
mSigDB Hallmark Gene Sets:
P-value | OR | Lower 95% CI | FDR | FWER | Genes Found | Gene Set Size | |
---|---|---|---|---|---|---|---|
HALLMARK_COAGULATION | 1.05e-06 | 15.53 | 5.78 | 2.61e-05 | 5.23e-05 | 7CFD, F3, C3, GSN, CLU, SERPING1, F10 |
138 |
HALLMARK_EPITHELIAL_MESENCHYMAL_TRANSITION | 9.73e-07 | 12.40 | 4.96 | 2.61e-05 | 4.87e-05 | 8MFAP5, DCN, MGP, FBLN1, SFRP4, GAS1, NNMT, ABI3BP |
200 |
HALLMARK_APOPTOSIS | 4.10e-04 | 8.90 | 2.72 | 6.83e-03 | 2.05e-02 | 5DCN, IGFBP6, GSN, EMP1, CLU |
161 |
HALLMARK_MYOGENESIS | 1.08e-03 | 7.12 | 2.18 | 1.08e-02 | 5.40e-02 | 5TNNC1, CFD, GSN, CLU, SOD3 |
200 |
HALLMARK_COMPLEMENT | 1.08e-03 | 7.12 | 2.18 | 1.08e-02 | 5.40e-02 | 5F3, C3, CLU, SERPING1, F10 |
200 |
HALLMARK_XENOBIOTIC_METABOLISM | 4.35e-02 | 4.05 | 0.80 | 3.63e-01 | 1.00e+00 | 3FBLN1, F10, AOX1 |
200 |
HALLMARK_UV_RESPONSE_DN | 1.10e-01 | 3.67 | 0.43 | 7.11e-01 | 1.00e+00 | 2F3, EFEMP1 |
144 |
HALLMARK_HYPOXIA | 1.85e-01 | 2.63 | 0.31 | 7.11e-01 | 1.00e+00 | 2DCN, F3 |
200 |
HALLMARK_ADIPOGENESIS | 1.85e-01 | 2.63 | 0.31 | 7.11e-01 | 1.00e+00 | 2OMD, C3 |
200 |
HALLMARK_ESTROGEN_RESPONSE_LATE | 1.85e-01 | 2.63 | 0.31 | 7.11e-01 | 1.00e+00 | 2TNNC1, CXCL14 |
200 |
HALLMARK_KRAS_SIGNALING_UP | 1.85e-01 | 2.63 | 0.31 | 7.11e-01 | 1.00e+00 | 2EMP1, IGF2 |
200 |
HALLMARK_APICAL_SURFACE | 1.61e-01 | 5.93 | 0.14 | 7.11e-01 | 1.00e+00 | 1GAS1 |
44 |
HALLMARK_REACTIVE_OXYGEN_SPECIES_PATHWAY | 1.77e-01 | 5.31 | 0.13 | 7.11e-01 | 1.00e+00 | 1MGST1 |
49 |
HALLMARK_CHOLESTEROL_HOMEOSTASIS | 2.55e-01 | 3.49 | 0.09 | 9.11e-01 | 1.00e+00 | 1CLU |
74 |
HALLMARK_INTERFERON_ALPHA_RESPONSE | 3.20e-01 | 2.66 | 0.07 | 1.00e+00 | 1.00e+00 | 1PROCR |
97 |
HALLMARK_FATTY_ACID_METABOLISM | 4.66e-01 | 1.62 | 0.04 | 1.00e+00 | 1.00e+00 | 1INMT |
158 |
HALLMARK_MITOTIC_SPINDLE | 5.45e-01 | 1.29 | 0.03 | 1.00e+00 | 1.00e+00 | 1GSN |
199 |
HALLMARK_IL2_STAT5_SIGNALING | 5.45e-01 | 1.29 | 0.03 | 1.00e+00 | 1.00e+00 | 1EMP1 |
199 |
HALLMARK_TNFA_SIGNALING_VIA_NFKB | 5.47e-01 | 1.28 | 0.03 | 1.00e+00 | 1.00e+00 | 1F3 |
200 |
HALLMARK_ESTROGEN_RESPONSE_EARLY | 5.47e-01 | 1.28 | 0.03 | 1.00e+00 | 1.00e+00 | 1THSD4 |
200 |
Dowload full table
KEGG Pathways:
P-value | OR | Lower 95% CI | FDR | FWER | Genes Found | Gene Set Size | |
---|---|---|---|---|---|---|---|
KEGG_COMPLEMENT_AND_COAGULATION_CASCADES | 2.82e-07 | 27.03 | 9.08 | 5.24e-05 | 5.24e-05 | 6CFD, C7, F3, C3, SERPING1, F10 |
69 |
KEGG_NICOTINATE_AND_NICOTINAMIDE_METABOLISM | 4.05e-03 | 23.65 | 2.62 | 3.76e-01 | 7.52e-01 | 2NNMT, AOX1 |
24 |
KEGG_TRYPTOPHAN_METABOLISM | 1.10e-02 | 13.70 | 1.56 | 6.79e-01 | 1.00e+00 | 2INMT, AOX1 |
40 |
KEGG_DRUG_METABOLISM_CYTOCHROME_P450 | 3.30e-02 | 7.44 | 0.86 | 1.00e+00 | 1.00e+00 | 2MGST1, AOX1 |
72 |
KEGG_SYSTEMIC_LUPUS_ERYTHEMATOSUS | 1.04e-01 | 3.80 | 0.44 | 1.00e+00 | 1.00e+00 | 2C7, C3 |
139 |
KEGG_WNT_SIGNALING_PATHWAY | 1.19e-01 | 3.50 | 0.41 | 1.00e+00 | 1.00e+00 | 2SFRP2, SFRP4 |
151 |
KEGG_PRION_DISEASES | 1.30e-01 | 7.50 | 0.18 | 1.00e+00 | 1.00e+00 | 1C7 |
35 |
KEGG_TYROSINE_METABOLISM | 1.54e-01 | 6.22 | 0.15 | 1.00e+00 | 1.00e+00 | 1AOX1 |
42 |
KEGG_VALINE_LEUCINE_AND_ISOLEUCINE_DEGRADATION | 1.61e-01 | 5.93 | 0.14 | 1.00e+00 | 1.00e+00 | 1AOX1 |
44 |
KEGG_GLUTATHIONE_METABOLISM | 1.81e-01 | 5.21 | 0.13 | 1.00e+00 | 1.00e+00 | 1MGST1 |
50 |
KEGG_HEDGEHOG_SIGNALING_PATHWAY | 2.00e-01 | 4.64 | 0.11 | 1.00e+00 | 1.00e+00 | 1GAS1 |
56 |
KEGG_METABOLISM_OF_XENOBIOTICS_BY_CYTOCHROME_P450 | 2.43e-01 | 3.70 | 0.09 | 1.00e+00 | 1.00e+00 | 1MGST1 |
70 |
KEGG_LEISHMANIA_INFECTION | 2.49e-01 | 3.59 | 0.09 | 1.00e+00 | 1.00e+00 | 1C3 |
72 |
KEGG_CARDIAC_MUSCLE_CONTRACTION | 2.70e-01 | 3.27 | 0.08 | 1.00e+00 | 1.00e+00 | 1TNNC1 |
79 |
KEGG_HYPERTROPHIC_CARDIOMYOPATHY_HCM | 2.81e-01 | 3.11 | 0.08 | 1.00e+00 | 1.00e+00 | 1TNNC1 |
83 |
KEGG_ECM_RECEPTOR_INTERACTION | 2.84e-01 | 3.07 | 0.08 | 1.00e+00 | 1.00e+00 | 1TNXB |
84 |
KEGG_TGF_BETA_SIGNALING_PATHWAY | 2.90e-01 | 3.00 | 0.07 | 1.00e+00 | 1.00e+00 | 1DCN |
86 |
KEGG_DILATED_CARDIOMYOPATHY | 3.01e-01 | 2.87 | 0.07 | 1.00e+00 | 1.00e+00 | 1TNNC1 |
90 |
KEGG_FC_GAMMA_R_MEDIATED_PHAGOCYTOSIS | 3.17e-01 | 2.68 | 0.07 | 1.00e+00 | 1.00e+00 | 1GSN |
96 |
KEGG_CALCIUM_SIGNALING_PATHWAY | 5.06e-01 | 1.44 | 0.04 | 1.00e+00 | 1.00e+00 | 1TNNC1 |
178 |
Dowload full table
CHR Positional Gene Sets:
P-value | OR | Lower 95% CI | FDR | FWER | Genes Found | Gene Set Size | |
---|---|---|---|---|---|---|---|
chr9q22 | 3.59e-02 | 4.38 | 0.86 | 1.00e+00 | 1.00e+00 | 3OMD, OGN, ASPN |
185 |
chr12p12 | 6.67e-02 | 4.96 | 0.58 | 1.00e+00 | 1.00e+00 | 2MGP, MGST1 |
107 |
chr7p14 | 1.35e-01 | 3.23 | 0.38 | 1.00e+00 | 1.00e+00 | 2SFRP4, INMT |
163 |
chr3q13 | 1.67e-01 | 2.82 | 0.33 | 1.00e+00 | 1.00e+00 | 2CCDC80, BOC |
187 |
chr12p13 | 3.72e-01 | 1.57 | 0.18 | 1.00e+00 | 1.00e+00 | 2MFAP5, EMP1 |
333 |
chr8p22 | 1.64e-01 | 5.80 | 0.14 | 1.00e+00 | 1.00e+00 | 1PDGFRL |
45 |
chr3q12 | 1.67e-01 | 5.67 | 0.14 | 1.00e+00 | 1.00e+00 | 1ABI3BP |
46 |
chr11p14 | 2.00e-01 | 4.64 | 0.11 | 1.00e+00 | 1.00e+00 | 1FIBIN |
56 |
chr10p13 | 2.25e-01 | 4.05 | 0.10 | 1.00e+00 | 1.00e+00 | 1CCDC3 |
64 |
chr15q23 | 2.28e-01 | 3.99 | 0.10 | 1.00e+00 | 1.00e+00 | 1THSD4 |
65 |
chr13q13 | 2.67e-01 | 3.31 | 0.08 | 1.00e+00 | 1.00e+00 | 1SERTM1 |
78 |
chr19p13 | 1.00e+00 | 0.68 | 0.08 | 1.00e+00 | 1.00e+00 | 2CFD, C3 |
773 |
chr1p21 | 3.25e-01 | 2.60 | 0.06 | 1.00e+00 | 1.00e+00 | 1F3 |
99 |
chr2p16 | 3.64e-01 | 2.26 | 0.06 | 1.00e+00 | 1.00e+00 | 1EFEMP1 |
114 |
chr3q22 | 3.72e-01 | 2.20 | 0.05 | 1.00e+00 | 1.00e+00 | 1ACKR4 |
117 |
chr6q22 | 3.77e-01 | 2.16 | 0.05 | 1.00e+00 | 1.00e+00 | 1RSPO3 |
119 |
chr4p15 | 3.84e-01 | 2.11 | 0.05 | 1.00e+00 | 1.00e+00 | 1SOD3 |
122 |
chr12q21 | 3.99e-01 | 2.01 | 0.05 | 1.00e+00 | 1.00e+00 | 1DCN |
128 |
chr5p13 | 3.99e-01 | 2.01 | 0.05 | 1.00e+00 | 1.00e+00 | 1C7 |
128 |
chr8p21 | 3.99e-01 | 2.01 | 0.05 | 1.00e+00 | 1.00e+00 | 1CLU |
128 |
Dowload full table
Transcription Factor Targets:
P-value | OR | Lower 95% CI | FDR | FWER | Genes Found | Gene Set Size | |
---|---|---|---|---|---|---|---|
TGGAAA_NFAT_Q4_01 | 2.42e-03 | 2.79 | 1.42 | 2.74e-01 | 1.00e+00 | 15OMD, DCN, MGP, CCDC80, SFRP4, PODN, ASPN, ANGPTL1, FIBIN, GSN, EMP1, PRELP, CCDC3, TNXB, ACKR4 |
1934 |
MZF1_01 | 1.42e-02 | 4.61 | 1.19 | 4.73e-01 | 1.00e+00 | 4DCN, PRELP, CXCL14, SOD3 |
240 |
COUP_DR1_Q6 | 1.71e-02 | 4.35 | 1.13 | 4.94e-01 | 1.00e+00 | 4FBLN1, ABI3BP, CXCL14, EFEMP1 |
254 |
HNF4_01_B | 1.77e-02 | 4.30 | 1.11 | 4.94e-01 | 1.00e+00 | 4TNNC1, FBLN1, F10, EFEMP1 |
257 |
CP2_01 | 1.84e-02 | 4.25 | 1.10 | 4.94e-01 | 1.00e+00 | 4IGFBP6, PRELP, TNXB, SOD3 |
260 |
AP1_Q2 | 1.96e-02 | 4.16 | 1.08 | 4.94e-01 | 1.00e+00 | 4DCN, IGFBP6, GSN, MFGE8 |
265 |
GGGTGGRR_PAX4_03 | 2.39e-02 | 2.41 | 1.07 | 5.43e-01 | 1.00e+00 | 10TNNC1, DCN, IGFBP6, PODN, PROCR, FIBIN, ABI3BP, PRELP, TNXB, IGF2 |
1310 |
TGCCAAR_NF1_Q6 | 1.84e-02 | 2.83 | 1.07 | 4.94e-01 | 1.00e+00 | 7SFRP2, OMD, IGFBP6, OGN, PODN, PRELP, CXCL14 |
727 |
YNTTTNNNANGCARM_UNKNOWN | 3.30e-02 | 7.44 | 0.86 | 6.23e-01 | 1.00e+00 | 2SFRP2, KRT222 |
72 |
TGANTCA_AP1_C | 6.57e-02 | 2.11 | 0.85 | 8.13e-01 | 1.00e+00 | 8OMD, IGFBP6, PODN, PROCR, F3, EMP1, CXCL14, TNXB |
1139 |
TGASTMAGC_NFE2_01 | 4.09e-02 | 4.16 | 0.82 | 7.22e-01 | 1.00e+00 | 3PROCR, ABI3BP, TNXB |
195 |
HFH3_01 | 4.14e-02 | 4.13 | 0.82 | 7.22e-01 | 1.00e+00 | 3OMD, TWIST2, INMT |
196 |
TGTTTGY_HNF3_Q6 | 6.03e-02 | 2.30 | 0.80 | 7.94e-01 | 1.00e+00 | 6OMD, MGP, ASPN, MGST1, ANGPTL1, PRELP |
748 |
ZNF514_TARGET_GENES | 3.14e-02 | 36.29 | 0.79 | 6.10e-01 | 1.00e+00 | 1GSN |
8 |
WGTTNNNNNAAA_UNKNOWN | 5.91e-02 | 2.53 | 0.78 | 7.87e-01 | 1.00e+00 | 5DCN, MGP, IGFBP6, OGN, INMT |
554 |
YNGTTNNNATT_UNKNOWN | 5.70e-02 | 2.92 | 0.76 | 7.87e-01 | 1.00e+00 | 4SFRP2, OMD, EMP1, THSD4 |
376 |
FOX_Q2 | 5.07e-02 | 3.80 | 0.75 | 7.51e-01 | 1.00e+00 | 3ANGPTL1, TWIST2, EFEMP1 |
213 |
TEF1_Q6 | 5.90e-02 | 3.56 | 0.70 | 7.87e-01 | 1.00e+00 | 3MFAP5, NNMT, FIBIN |
227 |
CTGYNNCTYTAA_UNKNOWN | 4.73e-02 | 6.05 | 0.70 | 7.51e-01 | 1.00e+00 | 2FIBIN, KRT222 |
88 |
CCAWWNAAGG_SRF_Q4 | 4.73e-02 | 6.05 | 0.70 | 7.51e-01 | 1.00e+00 | 2TNNC1, PODN |
88 |
Dowload full table
GO Biological Processes:
P-value | OR | Lower 95% CI | FDR | FWER | Genes Found | Gene Set Size | |
---|---|---|---|---|---|---|---|
GOBP_ELASTIC_FIBER_ASSEMBLY | 6.99e-06 | 112.93 | 18.36 | 2.61e-02 | 5.23e-02 | 3MFAP4, TNXB, THSD4 |
10 |
GOBP_KERATAN_SULFATE_CATABOLIC_PROCESS | 1.27e-05 | 88.17 | 14.90 | 3.17e-02 | 9.52e-02 | 3OMD, OGN, PRELP |
12 |
GOBP_KERATINOCYTE_APOPTOTIC_PROCESS | 2.31e-04 | 129.66 | 11.45 | 1.44e-01 | 1.00e+00 | 2SFRP4, GSN |
6 |
GOBP_NEGATIVE_REGULATION_OF_NON_CANONICAL_WNT_SIGNALING_PATHWAY | 2.31e-04 | 129.66 | 11.45 | 1.44e-01 | 1.00e+00 | 2SFRP2, SFRP4 |
6 |
GOBP_PROTEIN_ACTIVATION_CASCADE | 4.22e-06 | 45.22 | 10.96 | 2.61e-02 | 3.16e-02 | 4FBLN1, F3, SERPING1, F10 |
28 |
GOBP_COMPLEMENT_ACTIVATION_ALTERNATIVE_PATHWAY | 4.64e-05 | 53.00 | 9.53 | 6.56e-02 | 3.47e-01 | 3CFD, C7, C3 |
18 |
GOBP_REGULATION_OF_NON_CANONICAL_WNT_SIGNALING_PATHWAY | 1.28e-04 | 36.22 | 6.71 | 1.20e-01 | 9.57e-01 | 3SFRP2, RSPO3, SFRP4 |
25 |
GOBP_KERATAN_SULFATE_BIOSYNTHETIC_PROCESS | 1.81e-04 | 31.85 | 5.95 | 1.35e-01 | 1.00e+00 | 3OMD, OGN, PRELP |
28 |
GOBP_COMPLEMENT_ACTIVATION_LECTIN_PATHWAY | 9.99e-04 | 51.89 | 5.39 | 3.84e-01 | 1.00e+00 | 2MFAP4, SERPING1 |
12 |
GOBP_SULFUR_COMPOUND_CATABOLIC_PROCESS | 6.91e-05 | 20.88 | 5.27 | 7.39e-02 | 5.17e-01 | 4OMD, DCN, OGN, PRELP |
56 |
GOBP_KERATAN_SULFATE_METABOLIC_PROCESS | 2.96e-04 | 26.56 | 5.01 | 1.70e-01 | 1.00e+00 | 3OMD, OGN, PRELP |
33 |
GOBP_AMINOGLYCAN_CATABOLIC_PROCESS | 1.47e-04 | 16.96 | 4.31 | 1.23e-01 | 1.00e+00 | 4OMD, DCN, OGN, PRELP |
68 |
GOBP_REGULATION_OF_WNT_SIGNALING_PATHWAY_PLANAR_CELL_POLARITY_PATHWAY | 1.58e-03 | 39.95 | 4.27 | 5.19e-01 | 1.00e+00 | 2SFRP2, RSPO3 |
15 |
GOBP_EXTRACELLULAR_MATRIX_ASSEMBLY | 7.43e-04 | 18.98 | 3.64 | 3.71e-01 | 1.00e+00 | 3MFAP4, TNXB, THSD4 |
45 |
GOBP_COMPLEMENT_ACTIVATION | 5.26e-05 | 10.32 | 3.55 | 6.56e-02 | 3.94e-01 | 6CFD, C7, C3, CLU, MFAP4, SERPING1 |
171 |
GOBP_POSITIVE_REGULATION_OF_RECEPTOR_MEDIATED_ENDOCYTOSIS | 1.01e-03 | 16.95 | 3.26 | 3.84e-01 | 1.00e+00 | 3SFRP4, C3, CLU |
50 |
GOBP_EXTERNAL_ENCAPSULATING_STRUCTURE_ORGANIZATION | 1.77e-05 | 7.09 | 3.01 | 3.30e-02 | 1.32e-01 | 9SFRP2, MFAP5, DCN, CCDC80, FBLN1, MFAP4, TNXB, CRISPLD2, THSD4 |
396 |
GOBP_EMBRYONIC_PLACENTA_MORPHOGENESIS | 4.05e-03 | 23.65 | 2.62 | 1.00e+00 | 1.00e+00 | 2RSPO3, IGF2 |
24 |
GOBP_AMINOGLYCAN_BIOSYNTHETIC_PROCESS | 1.04e-03 | 9.88 | 2.54 | 3.84e-01 | 1.00e+00 | 4OMD, DCN, OGN, PRELP |
114 |
GOBP_REGULATION_OF_COMPLEMENT_ACTIVATION | 1.04e-03 | 9.88 | 2.54 | 3.84e-01 | 1.00e+00 | 4C7, C3, CLU, SERPING1 |
114 |
Dowload full table
Immunological Gene Sets:
P-value | OR | Lower 95% CI | FDR | FWER | Genes Found | Gene Set Size | |
---|---|---|---|---|---|---|---|
GSE5679_CTRL_VS_PPARG_LIGAND_ROSIGLITAZONE_AND_RARA_AGONIST_AM580_TREATED_DC_DN | 1.24e-04 | 8.78 | 3.02 | 6.03e-01 | 6.03e-01 | 6DCN, GAS1, EMP1, MFGE8, CXCL14, CLU |
200 |
GSE37605_FOXP3_FUSION_GFP_VS_IRES_GFP_TREG_C57BL6_DN | 6.12e-04 | 8.12 | 2.49 | 7.51e-01 | 1.00e+00 | 5MGP, CCDC80, IGFBP6, GAS1, OGN |
176 |
GSE41978_ID2_KO_AND_BIM_KO_VS_BIM_KO_KLRG1_LOW_EFFECTOR_CD8_TCELL_UP | 1.06e-03 | 7.16 | 2.19 | 7.51e-01 | 1.00e+00 | 5FBLN1, GAS1, MGST1, NNMT, INMT |
199 |
GSE17721_4_VS_24H_CPG_BMDC_UP | 1.08e-03 | 7.12 | 2.18 | 7.51e-01 | 1.00e+00 | 5CCDC80, EMP1, ABI3BP, SOD3, F10 |
200 |
GSE27786_NKTCELL_VS_ERYTHROBLAST_DN | 1.08e-03 | 7.12 | 2.18 | 7.51e-01 | 1.00e+00 | 5GAS1, TWIST2, CCDC3, MFAP4, ACKR4 |
200 |
GSE9650_GP33_VS_GP276_LCMV_SPECIFIC_EXHAUSTED_CD8_TCELL_UP | 1.08e-03 | 7.12 | 2.18 | 7.51e-01 | 1.00e+00 | 5SFRP2, OGN, CXCL14, SERPING1, IGF2 |
200 |
GSE2405_0H_VS_1.5H_A_PHAGOCYTOPHILUM_STIM_NEUTROPHIL_UP | 1.08e-03 | 7.12 | 2.18 | 7.51e-01 | 1.00e+00 | 5MGP, CCDC80, CFD, SFRP4, PRELP |
200 |
GSE3720_LPS_VS_PMA_STIM_VD2_GAMMADELTA_TCELL_DN | 3.17e-03 | 7.20 | 1.86 | 1.00e+00 | 1.00e+00 | 4CCDC80, IGFBP6, GAS1, SOD3 |
155 |
GSE24671_CTRL_VS_BAKIMULC_INFECTED_MOUSE_SPLENOCYTES_DN | 4.40e-03 | 6.55 | 1.69 | 1.00e+00 | 1.00e+00 | 4DCN, IGFBP6, C7, THSD4 |
170 |
GSE6269_FLU_VS_STREP_PNEUMO_INF_PBMC_DN | 4.58e-03 | 6.47 | 1.67 | 1.00e+00 | 1.00e+00 | 4GSN, MFAP4, IGF2, CYBRD1 |
172 |
GSE6269_HEALTHY_VS_STAPH_AUREUS_INF_PBMC_DN | 5.06e-03 | 6.28 | 1.62 | 1.00e+00 | 1.00e+00 | 4IGFBP6, GAS1, MFAP4, CYBRD1 |
177 |
GSE6259_CD4_TCELL_VS_CD8_TCELL_UP | 6.12e-03 | 5.94 | 1.54 | 1.00e+00 | 1.00e+00 | 4IGFBP6, FBLN1, GAS1, OGN |
187 |
GSE1112_HY_CD8AB_VS_HY_CD8AA_THYMOCYTE_RTOC_CULTURE_DN | 6.70e-03 | 5.78 | 1.50 | 1.00e+00 | 1.00e+00 | 4SFRP2, PROCR, C3, EMP1 |
192 |
GSE24634_IL4_VS_CTRL_TREATED_NAIVE_CD4_TCELL_DAY10_DN | 7.58e-03 | 5.57 | 1.44 | 1.00e+00 | 1.00e+00 | 4IGFBP6, F3, C3, SERPING1 |
199 |
GSE19888_ADENOSINE_A3R_INH_VS_ACT_IN_MAST_CELL_DN | 7.58e-03 | 5.57 | 1.44 | 1.00e+00 | 1.00e+00 | 4CFD, MGST1, GSN, F10 |
199 |
GSE25088_WT_VS_STAT6_KO_MACROPHAGE_DN | 7.58e-03 | 5.57 | 1.44 | 1.00e+00 | 1.00e+00 | 4DCN, C7, SERPING1, EFEMP1 |
199 |
GSE17721_LPS_VS_CPG_8H_BMDC_UP | 7.71e-03 | 5.55 | 1.44 | 1.00e+00 | 1.00e+00 | 4BOC, ABI3BP, TNXB, IGF2 |
200 |
GSE17721_LPS_VS_CPG_16H_BMDC_DN | 7.71e-03 | 5.55 | 1.44 | 1.00e+00 | 1.00e+00 | 4OMD, CCDC80, FIBIN, MFGE8 |
200 |
GSE20715_0H_VS_24H_OZONE_LUNG_DN | 7.71e-03 | 5.55 | 1.44 | 1.00e+00 | 1.00e+00 | 4MGP, C3, GSN, CXCL14 |
200 |
GSE20715_0H_VS_6H_OZONE_TLR4_KO_LUNG_DN | 7.71e-03 | 5.55 | 1.44 | 1.00e+00 | 1.00e+00 | 4IGFBP6, GAS1, F3, INMT |
200 |
Top Ranked Transcription Factors for this Gene Expression Program:
Gene Symbol | TF Rank | DNA Binding Domain | Motif Status | IUPAC PWM | GTEx | DepMap | Decartes |
---|---|---|---|---|---|---|---|
SFRP4 | 14 | No | Unlikely to be sequence specific TF | Not a DNA binding protein | No motif | None | None |
TWIST2 | 28 | Yes | Known motif | Monomer or homomultimer | 100 perc ID - in vitro | None | None |
CCDC3 | 35 | No | Unlikely to be sequence specific TF | Not a DNA binding protein | No motif | None | bZIP domain is truncated and lacks the DNA-contacting residues. |
CLU | 36 | No | Unlikely to be sequence specific TF | Not a DNA binding protein | No motif | None | Included only because GO says positive regulation of NF-kappaB transcription factor activity, but there is no DBD and no evidence of DNA binding. |
AEBP1 | 52 | Yes | Likely to be sequence specific TF | Monomer or homomultimer | No motif | None | This is a protease, but its ability to bind DNA is supported by both gel-shift (PMID: 15654748) and ChIP (PMID: 22723309). |
HES1 | 54 | Yes | Known motif | Monomer or homomultimer | High-throughput in vitro | None | None |
NFIA | 68 | Yes | Known motif | Monomer or homomultimer | High-throughput in vitro | None | None |
CEBPB | 80 | Yes | Known motif | Monomer or homomultimer | High-throughput in vitro | None | None |
KLF5 | 86 | Yes | Known motif | Monomer or homomultimer | High-throughput in vitro | None | Binds as a monomer and as a dimer (PMID: 25575120). |
EMX2 | 90 | Yes | Known motif | Monomer or homomultimer | High-throughput in vitro | None | None |
ID3 | 91 | No | Unlikely to be sequence specific TF | Not a DNA binding protein | No motif | None | ID bHLH proteins lack the basic region and should not be able to bind DNA. The HT-SELEX motif for ID4 is likely by a co-precipitated protein or it is a contamination |
FHL2 | 93 | No | Unlikely to be sequence specific TF | Not a DNA binding protein | No motif | None | LIM ZF proteins are unlikely to bind DNA. Experimental evidence does not support a role for FHL2 as a sequence-specific DNA-binding protein (PMID:10654935) |
MYC | 95 | Yes | Known motif | Obligate heteromer | In vivo/Misc source | None | Functions as a heterodimer with MAX. |
FZD1 | 97 | No | Unlikely to be sequence specific TF | Not a DNA binding protein | No motif | None | None |
ZFP36 | 103 | No | ssDNA/RNA binding | Not a DNA binding protein | No motif | None | RNA binding protein (PMID: 10330172). |
NR4A1 | 104 | Yes | Known motif | Monomer or homomultimer | High-throughput in vitro | None | None |
ID1 | 108 | No | Unlikely to be sequence specific TF | Not a DNA binding protein | No motif | None | ID bHLH proteins lack the basic region and should not be able to bind DNA. The HT-SELEX motif for ID4 is likely by a co-precipitated protein or it is a contamination |
PRRX1 | 117 | Yes | Known motif | Monomer or homomultimer | High-throughput in vitro | None | None |
AR | 129 | Yes | Known motif | Monomer or homomultimer | High-throughput in vitro | None | None |
KLF8 | 132 | Yes | Known motif | Monomer or homomultimer | 100 perc ID - in vitro | None | None |
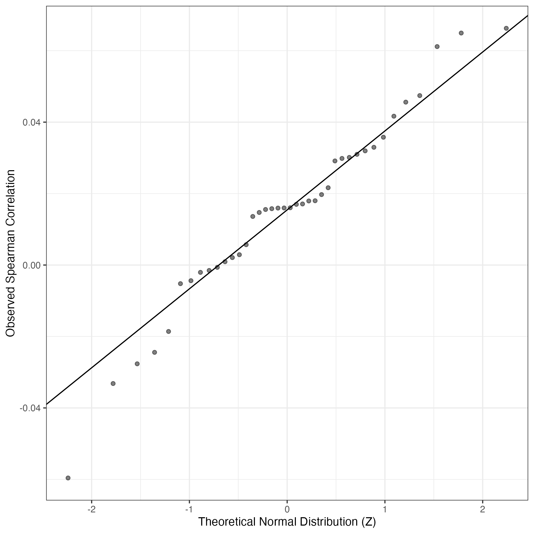
QQ Plot showing correlations with other GEPs in this dataset, calculated by Spearman correlation:
Interactive QQ-plot of gene loadings:
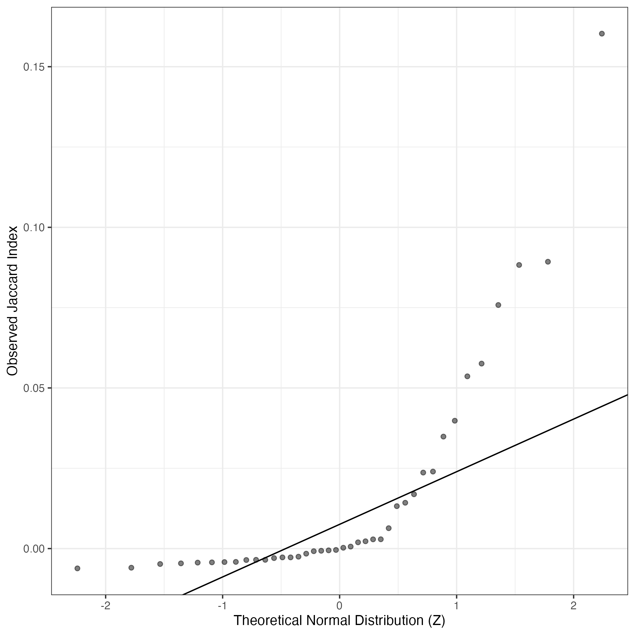
A similar QQ-plot as above, but only for instances where the H value is e.g. > 25, i.e. we are confident that the expression program is active above noise. Agreemenet between these binary vectors is tested using the Jaccard Index, with the P-values calculated by an exact test:
Interactive QQ-plot:
Singler cell type annotations for the top 50 cells on this program.
Cell ID | Singler label | Singler Delta | Activity Score | Top Singler Raw Scores |
---|---|---|---|---|
T10_TCAACGACACAGGCCT.1 | Chondrocytes:MSC-derived | 0.14 | 1978.71 | Raw ScoresFibroblasts:breast: 0.39, Smooth_muscle_cells:bronchial: 0.39, Smooth_muscle_cells:bronchial:vit_D: 0.39, iPS_cells:adipose_stem_cells: 0.38, Osteoblasts: 0.38, Chondrocytes:MSC-derived: 0.38, Tissue_stem_cells:BM_MSC:TGFb3: 0.38, Smooth_muscle_cells:vascular: 0.38, Smooth_muscle_cells:vascular:IL-17: 0.38, Tissue_stem_cells:BM_MSC:BMP2: 0.37 |
T10_GGGACCTGTAGAAGGA.1 | Chondrocytes:MSC-derived | 0.13 | 1165.37 | Raw ScoresFibroblasts:breast: 0.32, iPS_cells:adipose_stem_cells: 0.31, Chondrocytes:MSC-derived: 0.31, Osteoblasts: 0.3, Smooth_muscle_cells:bronchial: 0.3, Tissue_stem_cells:BM_MSC:TGFb3: 0.29, Smooth_muscle_cells:bronchial:vit_D: 0.29, Smooth_muscle_cells:vascular: 0.29, iPS_cells:CRL2097_foreskin: 0.29, Tissue_stem_cells:BM_MSC:BMP2: 0.28 |
T10_GAGTCCGCAATGCCAT.1 | Fibroblasts:breast | 0.17 | 1072.59 | Raw ScoresFibroblasts:breast: 0.38, Smooth_muscle_cells:bronchial: 0.38, Osteoblasts: 0.38, Smooth_muscle_cells:bronchial:vit_D: 0.37, Chondrocytes:MSC-derived: 0.37, iPS_cells:adipose_stem_cells: 0.37, Smooth_muscle_cells:vascular: 0.36, Tissue_stem_cells:iliac_MSC: 0.36, Tissue_stem_cells:BM_MSC:BMP2: 0.36, Smooth_muscle_cells:vascular:IL-17: 0.36 |
T10_CAGCTAAGTAATTGGA.1 | Smooth_muscle_cells:bronchial | 0.16 | 685.57 | Raw ScoresFibroblasts:breast: 0.33, Smooth_muscle_cells:bronchial:vit_D: 0.33, Smooth_muscle_cells:bronchial: 0.33, iPS_cells:adipose_stem_cells: 0.32, Osteoblasts: 0.31, Tissue_stem_cells:BM_MSC:TGFb3: 0.31, Tissue_stem_cells:BM_MSC:BMP2: 0.31, Chondrocytes:MSC-derived: 0.31, Smooth_muscle_cells:vascular: 0.31, Tissue_stem_cells:iliac_MSC: 0.3 |
T10_TCTCATAAGAAAGTGG.1 | Fibroblasts:breast | 0.20 | 677.85 | Raw ScoresFibroblasts:breast: 0.41, Smooth_muscle_cells:bronchial: 0.4, Smooth_muscle_cells:bronchial:vit_D: 0.4, iPS_cells:adipose_stem_cells: 0.39, Osteoblasts: 0.39, Smooth_muscle_cells:vascular: 0.39, Smooth_muscle_cells:vascular:IL-17: 0.39, Tissue_stem_cells:BM_MSC:TGFb3: 0.38, Chondrocytes:MSC-derived: 0.38, Tissue_stem_cells:iliac_MSC: 0.38 |
T10_CGTAGGCTCAGGATCT.1 | Fibroblasts:breast | 0.18 | 555.63 | Raw ScoresSmooth_muscle_cells:bronchial: 0.32, Smooth_muscle_cells:bronchial:vit_D: 0.31, Fibroblasts:breast: 0.31, iPS_cells:adipose_stem_cells: 0.3, Smooth_muscle_cells:vascular: 0.29, Osteoblasts: 0.29, Smooth_muscle_cells:vascular:IL-17: 0.29, Chondrocytes:MSC-derived: 0.29, Tissue_stem_cells:BM_MSC:TGFb3: 0.29, Tissue_stem_cells:BM_MSC:BMP2: 0.29 |
T10_TTTGTCATCTAAGCCA.1 | Fibroblasts:breast | 0.13 | 445.20 | Raw ScoresFibroblasts:breast: 0.3, Smooth_muscle_cells:bronchial: 0.3, Smooth_muscle_cells:bronchial:vit_D: 0.29, Tissue_stem_cells:BM_MSC:TGFb3: 0.29, Tissue_stem_cells:BM_MSC:BMP2: 0.29, Osteoblasts: 0.29, iPS_cells:adipose_stem_cells: 0.29, Chondrocytes:MSC-derived: 0.29, Tissue_stem_cells:iliac_MSC: 0.28, Smooth_muscle_cells:vascular: 0.28 |
T10_TCGGTAATCTCGTATT.1 | Smooth_muscle_cells:bronchial:vit_D | 0.16 | 444.32 | Raw ScoresSmooth_muscle_cells:bronchial:vit_D: 0.34, Smooth_muscle_cells:bronchial: 0.34, Fibroblasts:breast: 0.33, iPS_cells:adipose_stem_cells: 0.32, Tissue_stem_cells:BM_MSC:BMP2: 0.32, Tissue_stem_cells:BM_MSC:TGFb3: 0.32, Osteoblasts: 0.32, Chondrocytes:MSC-derived: 0.32, Tissue_stem_cells:iliac_MSC: 0.31, iPS_cells:CRL2097_foreskin: 0.31 |
T10_GCTTCCAAGTCCTCCT.1 | Tissue_stem_cells:BM_MSC:TGFb3 | 0.15 | 418.47 | Raw ScoresFibroblasts:breast: 0.33, Smooth_muscle_cells:bronchial: 0.33, Smooth_muscle_cells:bronchial:vit_D: 0.32, Tissue_stem_cells:BM_MSC:TGFb3: 0.32, iPS_cells:adipose_stem_cells: 0.32, Tissue_stem_cells:BM_MSC:BMP2: 0.31, Chondrocytes:MSC-derived: 0.31, Osteoblasts: 0.31, Smooth_muscle_cells:vascular: 0.31, Tissue_stem_cells:iliac_MSC: 0.3 |
T10_ATCACGAGTTAAGGGC.1 | Fibroblasts:breast | 0.16 | 393.56 | Raw ScoresSmooth_muscle_cells:bronchial:vit_D: 0.33, Smooth_muscle_cells:bronchial: 0.33, Fibroblasts:breast: 0.33, Smooth_muscle_cells:vascular: 0.31, iPS_cells:adipose_stem_cells: 0.31, Smooth_muscle_cells:vascular:IL-17: 0.31, Osteoblasts: 0.31, Tissue_stem_cells:BM_MSC:TGFb3: 0.31, Chondrocytes:MSC-derived: 0.3, Tissue_stem_cells:BM_MSC:BMP2: 0.3 |
T10_GTTCGGGTCAAGGTAA.1 | Fibroblasts:breast | 0.15 | 382.87 | Raw ScoresFibroblasts:breast: 0.31, Smooth_muscle_cells:bronchial: 0.31, Smooth_muscle_cells:bronchial:vit_D: 0.31, iPS_cells:adipose_stem_cells: 0.3, Tissue_stem_cells:BM_MSC:TGFb3: 0.3, Smooth_muscle_cells:vascular: 0.29, Smooth_muscle_cells:vascular:IL-17: 0.29, Tissue_stem_cells:BM_MSC:BMP2: 0.29, Osteoblasts: 0.29, Chondrocytes:MSC-derived: 0.29 |
T69_TGCCCATGTCCAACTA.1 | iPS_cells:adipose_stem_cells | 0.14 | 271.39 | Raw ScoresFibroblasts:breast: 0.33, iPS_cells:adipose_stem_cells: 0.32, Smooth_muscle_cells:bronchial: 0.32, Smooth_muscle_cells:bronchial:vit_D: 0.32, Tissue_stem_cells:BM_MSC:TGFb3: 0.32, Osteoblasts: 0.32, Chondrocytes:MSC-derived: 0.31, Tissue_stem_cells:BM_MSC:BMP2: 0.31, iPS_cells:CRL2097_foreskin: 0.31, Tissue_stem_cells:iliac_MSC: 0.31 |
T69_CTGCCTAAGTGTGGCA.1 | iPS_cells:adipose_stem_cells | 0.17 | 203.72 | Raw ScoresiPS_cells:adipose_stem_cells: 0.36, Fibroblasts:breast: 0.35, Chondrocytes:MSC-derived: 0.35, Tissue_stem_cells:BM_MSC:TGFb3: 0.34, Osteoblasts: 0.34, Smooth_muscle_cells:bronchial: 0.34, iPS_cells:CRL2097_foreskin: 0.34, Smooth_muscle_cells:bronchial:vit_D: 0.34, Tissue_stem_cells:BM_MSC: 0.34, Tissue_stem_cells:BM_MSC:BMP2: 0.34 |
T188_TCACGCTTCCTACGGG-1 | DC:monocyte-derived:A._fumigatus_germ_tubes_6h | 0.19 | 196.45 | Raw ScoresDC:monocyte-derived:A._fumigatus_germ_tubes_6h: 0.44, Macrophage:monocyte-derived:M-CSF/IFNg/Pam3Cys: 0.43, DC:monocyte-derived:antiCD40/VAF347: 0.42, Macrophage:monocyte-derived:S._aureus: 0.42, Macrophage:monocyte-derived:M-CSF/Pam3Cys: 0.42, DC:monocyte-derived:Poly(IC): 0.42, DC:monocyte-derived:Schuler_treatment: 0.42, DC:monocyte-derived:LPS: 0.42, Macrophage:Alveolar:B._anthacis_spores: 0.41, DC:monocyte-derived:Galectin-1: 0.41 |
T10_GACGTGCAGAGTTGGC.1 | Smooth_muscle_cells:bronchial:vit_D | 0.12 | 153.20 | Raw ScoresSmooth_muscle_cells:bronchial:vit_D: 0.27, Tissue_stem_cells:iliac_MSC: 0.27, Smooth_muscle_cells:bronchial: 0.27, Fibroblasts:breast: 0.27, Tissue_stem_cells:BM_MSC:TGFb3: 0.26, iPS_cells:adipose_stem_cells: 0.26, Tissue_stem_cells:BM_MSC:BMP2: 0.26, Osteoblasts: 0.26, Smooth_muscle_cells:vascular:IL-17: 0.26, Smooth_muscle_cells:vascular: 0.26 |
T69_ATAAGAGTCACAATGC.1 | Fibroblasts:breast | 0.13 | 149.88 | Raw ScoresFibroblasts:breast: 0.31, Smooth_muscle_cells:bronchial: 0.3, Smooth_muscle_cells:bronchial:vit_D: 0.3, iPS_cells:adipose_stem_cells: 0.3, Tissue_stem_cells:BM_MSC:BMP2: 0.3, Tissue_stem_cells:BM_MSC:TGFb3: 0.3, Osteoblasts: 0.3, Tissue_stem_cells:iliac_MSC: 0.3, Smooth_muscle_cells:vascular:IL-17: 0.29, Smooth_muscle_cells:vascular: 0.29 |
T230_ATCCGTCGTAACAGGC-1 | Endothelial_cells:HUVEC:Borrelia_burgdorferi | 0.18 | 135.19 | Raw ScoresEndothelial_cells:HUVEC:IFNg: 0.43, Endothelial_cells:HUVEC:Borrelia_burgdorferi: 0.42, Endothelial_cells:lymphatic:TNFa_48h: 0.42, Endothelial_cells:lymphatic: 0.42, Endothelial_cells:HUVEC:VEGF: 0.42, Endothelial_cells:HUVEC: 0.42, Endothelial_cells:HUVEC:Serum_Amyloid_A: 0.41, Endothelial_cells:HUVEC:H5N1-infected: 0.41, Endothelial_cells:HUVEC:FPV-infected: 0.41, Endothelial_cells:HUVEC:B._anthracis_LT: 0.41 |
T230_TGTTGAGCAAATGATG-1 | Endothelial_cells:HUVEC:Borrelia_burgdorferi | 0.15 | 130.95 | Raw ScoresEndothelial_cells:lymphatic: 0.42, Endothelial_cells:lymphatic:TNFa_48h: 0.42, Endothelial_cells:HUVEC: 0.42, Endothelial_cells:HUVEC:VEGF: 0.42, Endothelial_cells:HUVEC:Serum_Amyloid_A: 0.42, Endothelial_cells:HUVEC:IFNg: 0.41, Endothelial_cells:HUVEC:B._anthracis_LT: 0.41, Endothelial_cells:HUVEC:H5N1-infected: 0.41, Endothelial_cells:HUVEC:PR8-infected: 0.41, Endothelial_cells:HUVEC:Borrelia_burgdorferi: 0.41 |
T69_GCAAACTAGCCCAATT.1 | Fibroblasts:breast | 0.14 | 129.50 | Raw ScoresFibroblasts:breast: 0.29, Tissue_stem_cells:BM_MSC:TGFb3: 0.28, iPS_cells:adipose_stem_cells: 0.28, Osteoblasts: 0.28, Tissue_stem_cells:BM_MSC:BMP2: 0.28, Smooth_muscle_cells:bronchial: 0.27, Chondrocytes:MSC-derived: 0.27, Smooth_muscle_cells:bronchial:vit_D: 0.27, Tissue_stem_cells:iliac_MSC: 0.27, Smooth_muscle_cells:vascular: 0.27 |
T19_CCTATTACAGACACTT.1 | Smooth_muscle_cells:bronchial | 0.09 | 129.44 | Raw ScoresSmooth_muscle_cells:bronchial: 0.29, iPS_cells:adipose_stem_cells: 0.29, Smooth_muscle_cells:bronchial:vit_D: 0.29, Osteoblasts: 0.28, Chondrocytes:MSC-derived: 0.28, Fibroblasts:breast: 0.28, Tissue_stem_cells:BM_MSC:BMP2: 0.28, Tissue_stem_cells:BM_MSC:TGFb3: 0.27, Tissue_stem_cells:iliac_MSC: 0.27, Fibroblasts:foreskin: 0.27 |
T75_CCTTCCCCATGCTGGC.1 | Neurons:adrenal_medulla_cell_line | 0.12 | 126.23 | Raw ScoresFibroblasts:breast: 0.34, MSC: 0.34, Fibroblasts:foreskin: 0.33, iPS_cells:skin_fibroblast: 0.33, Neurons:Schwann_cell: 0.33, iPS_cells:CRL2097_foreskin: 0.33, iPS_cells:foreskin_fibrobasts: 0.32, iPS_cells:adipose_stem_cells: 0.32, Neurons:adrenal_medulla_cell_line: 0.32, iPS_cells:PDB_fibroblasts: 0.32 |
T69_TTCTCAACACTAGTAC.1 | Smooth_muscle_cells:vascular | 0.11 | 103.72 | Raw ScoresFibroblasts:breast: 0.34, Smooth_muscle_cells:vascular:IL-17: 0.33, Smooth_muscle_cells:bronchial:vit_D: 0.33, Smooth_muscle_cells:vascular: 0.33, Smooth_muscle_cells:bronchial: 0.33, iPS_cells:adipose_stem_cells: 0.33, Tissue_stem_cells:BM_MSC:TGFb3: 0.32, Chondrocytes:MSC-derived: 0.32, Tissue_stem_cells:BM_MSC: 0.32, Tissue_stem_cells:BM_MSC:BMP2: 0.32 |
T19_GCTTCCATCACGCATA.1 | Tissue_stem_cells:BM_MSC:TGFb3 | 0.12 | 100.46 | Raw ScoresTissue_stem_cells:BM_MSC:BMP2: 0.31, Osteoblasts: 0.31, Fibroblasts:breast: 0.31, iPS_cells:adipose_stem_cells: 0.3, Smooth_muscle_cells:bronchial: 0.3, Tissue_stem_cells:iliac_MSC: 0.3, Tissue_stem_cells:BM_MSC:TGFb3: 0.3, Smooth_muscle_cells:bronchial:vit_D: 0.3, Chondrocytes:MSC-derived: 0.3, Tissue_stem_cells:BM_MSC:osteogenic: 0.3 |
T19_CGCTATCTCACTCCTG.1 | Neurons:Schwann_cell | 0.14 | 94.50 | Raw ScoresiPS_cells:adipose_stem_cells: 0.36, Tissue_stem_cells:BM_MSC:BMP2: 0.36, Tissue_stem_cells:BM_MSC:TGFb3: 0.36, Tissue_stem_cells:BM_MSC: 0.36, Osteoblasts: 0.36, Fibroblasts:breast: 0.35, Tissue_stem_cells:BM_MSC:osteogenic: 0.35, Smooth_muscle_cells:bronchial: 0.35, Tissue_stem_cells:iliac_MSC: 0.35, Chondrocytes:MSC-derived: 0.35 |
T19_CTACCCATCACCGTAA.1 | Tissue_stem_cells:BM_MSC:TGFb3 | 0.15 | 92.29 | Raw ScoresFibroblasts:breast: 0.35, Osteoblasts: 0.35, Tissue_stem_cells:BM_MSC:TGFb3: 0.35, iPS_cells:adipose_stem_cells: 0.35, Tissue_stem_cells:BM_MSC:BMP2: 0.34, Tissue_stem_cells:iliac_MSC: 0.34, Smooth_muscle_cells:bronchial: 0.34, Tissue_stem_cells:BM_MSC: 0.34, Smooth_muscle_cells:bronchial:vit_D: 0.34, Chondrocytes:MSC-derived: 0.33 |
T69_TATGCCCTCTCTTGAT.1 | Chondrocytes:MSC-derived | 0.11 | 92.06 | Raw ScoresFibroblasts:breast: 0.31, Chondrocytes:MSC-derived: 0.31, Tissue_stem_cells:BM_MSC:TGFb3: 0.31, Smooth_muscle_cells:vascular: 0.3, iPS_cells:adipose_stem_cells: 0.3, Tissue_stem_cells:BM_MSC:BMP2: 0.3, Smooth_muscle_cells:vascular:IL-17: 0.3, Tissue_stem_cells:BM_MSC: 0.3, Smooth_muscle_cells:bronchial: 0.3, Smooth_muscle_cells:bronchial:vit_D: 0.3 |
T10_CTGAAACGTAGCGTAG.1 | Tissue_stem_cells:BM_MSC:TGFb3 | 0.11 | 89.51 | Raw ScoresTissue_stem_cells:BM_MSC: 0.3, Fibroblasts:breast: 0.3, iPS_cells:adipose_stem_cells: 0.3, Tissue_stem_cells:BM_MSC:TGFb3: 0.3, Tissue_stem_cells:BM_MSC:BMP2: 0.29, Osteoblasts: 0.29, Tissue_stem_cells:iliac_MSC: 0.29, Chondrocytes:MSC-derived: 0.29, Smooth_muscle_cells:vascular: 0.29, Fibroblasts:foreskin: 0.29 |
T69_CAACCAAGTGTAATGA.1 | Smooth_muscle_cells:bronchial | 0.14 | 87.53 | Raw ScoresFibroblasts:breast: 0.33, iPS_cells:adipose_stem_cells: 0.33, Chondrocytes:MSC-derived: 0.33, Smooth_muscle_cells:vascular: 0.33, Smooth_muscle_cells:bronchial: 0.33, Smooth_muscle_cells:bronchial:vit_D: 0.33, Smooth_muscle_cells:vascular:IL-17: 0.33, Fibroblasts:foreskin: 0.32, Tissue_stem_cells:BM_MSC: 0.32, iPS_cells:CRL2097_foreskin: 0.32 |
T19_CACACAAAGAGTCTGG.1 | Tissue_stem_cells:BM_MSC:TGFb3 | 0.14 | 84.74 | Raw ScoresSmooth_muscle_cells:bronchial: 0.38, Tissue_stem_cells:BM_MSC:BMP2: 0.37, Smooth_muscle_cells:bronchial:vit_D: 0.37, Tissue_stem_cells:BM_MSC:TGFb3: 0.37, iPS_cells:adipose_stem_cells: 0.37, Fibroblasts:breast: 0.37, Chondrocytes:MSC-derived: 0.36, Osteoblasts: 0.36, iPS_cells:CRL2097_foreskin: 0.36, Tissue_stem_cells:iliac_MSC: 0.36 |
T19_TCTATTGGTGGCGAAT.1 | Fibroblasts:breast | 0.13 | 82.69 | Raw ScoresSmooth_muscle_cells:bronchial: 0.3, Smooth_muscle_cells:bronchial:vit_D: 0.3, Fibroblasts:breast: 0.29, Tissue_stem_cells:BM_MSC:BMP2: 0.29, iPS_cells:adipose_stem_cells: 0.29, Osteoblasts: 0.29, Chondrocytes:MSC-derived: 0.29, Tissue_stem_cells:BM_MSC:TGFb3: 0.29, Fibroblasts:foreskin: 0.28, Smooth_muscle_cells:vascular: 0.28 |
T19_TGGGCGTAGCCAACAG.1 | Fibroblasts:foreskin | 0.10 | 80.91 | Raw ScoresSmooth_muscle_cells:bronchial: 0.33, Smooth_muscle_cells:bronchial:vit_D: 0.32, Fibroblasts:breast: 0.31, Tissue_stem_cells:BM_MSC:TGFb3: 0.31, Tissue_stem_cells:BM_MSC:BMP2: 0.31, Chondrocytes:MSC-derived: 0.31, iPS_cells:adipose_stem_cells: 0.31, Osteoblasts: 0.31, Tissue_stem_cells:iliac_MSC: 0.31, Smooth_muscle_cells:vascular: 0.3 |
T19_TACCTATGTACAGTTC.1 | Chondrocytes:MSC-derived | 0.11 | 78.82 | Raw ScoresiPS_cells:adipose_stem_cells: 0.35, Fibroblasts:breast: 0.35, Smooth_muscle_cells:bronchial: 0.35, Osteoblasts: 0.35, Smooth_muscle_cells:bronchial:vit_D: 0.34, Chondrocytes:MSC-derived: 0.34, Tissue_stem_cells:BM_MSC:BMP2: 0.34, Tissue_stem_cells:BM_MSC:TGFb3: 0.34, Tissue_stem_cells:BM_MSC: 0.33, iPS_cells:CRL2097_foreskin: 0.33 |
T69_CCTTACGTCTGAAAGA.1 | Tissue_stem_cells:BM_MSC:BMP2 | 0.10 | 78.21 | Raw ScoresFibroblasts:breast: 0.29, Smooth_muscle_cells:bronchial: 0.28, Tissue_stem_cells:BM_MSC:BMP2: 0.28, Smooth_muscle_cells:bronchial:vit_D: 0.28, Smooth_muscle_cells:vascular:IL-17: 0.28, Smooth_muscle_cells:vascular: 0.28, iPS_cells:adipose_stem_cells: 0.28, Tissue_stem_cells:BM_MSC:TGFb3: 0.28, Tissue_stem_cells:BM_MSC: 0.28, Osteoblasts: 0.28 |
T69_CCACTACAGATATACG.1 | Smooth_muscle_cells:vascular:IL-17 | 0.14 | 76.59 | Raw ScoresFibroblasts:breast: 0.36, Smooth_muscle_cells:vascular:IL-17: 0.35, Smooth_muscle_cells:vascular: 0.35, Tissue_stem_cells:BM_MSC:TGFb3: 0.34, iPS_cells:adipose_stem_cells: 0.34, Fibroblasts:foreskin: 0.34, Tissue_stem_cells:BM_MSC:BMP2: 0.34, iPS_cells:CRL2097_foreskin: 0.34, Osteoblasts: 0.33, Tissue_stem_cells:BM_MSC: 0.33 |
T69_GTAACGTTCGTCCGTT.1 | Endothelial_cells:HUVEC:Borrelia_burgdorferi | 0.11 | 75.07 | Raw ScoresEndothelial_cells:HUVEC:IFNg: 0.35, Endothelial_cells:HUVEC:Borrelia_burgdorferi: 0.34, Endothelial_cells:lymphatic:TNFa_48h: 0.34, Endothelial_cells:HUVEC:VEGF: 0.34, Endothelial_cells:lymphatic: 0.34, Endothelial_cells:HUVEC:B._anthracis_LT: 0.33, Endothelial_cells:HUVEC: 0.33, Endothelial_cells:HUVEC:PR8-infected: 0.33, Endothelial_cells:HUVEC:H5N1-infected: 0.33, Endothelial_cells:HUVEC:FPV-infected: 0.33 |
T200_CAACCAAGTAGACACG-1 | Endothelial_cells:lymphatic:TNFa_48h | 0.13 | 74.99 | Raw ScoresEndothelial_cells:lymphatic:TNFa_48h: 0.41, Endothelial_cells:HUVEC:IFNg: 0.41, Endothelial_cells:blood_vessel: 0.41, Endothelial_cells:lymphatic: 0.4, Endothelial_cells:lymphatic:KSHV: 0.4, Endothelial_cells:HUVEC:PR8-infected: 0.39, Endothelial_cells:HUVEC:Borrelia_burgdorferi: 0.39, Endothelial_cells:HUVEC:B._anthracis_LT: 0.39, Endothelial_cells:HUVEC:Serum_Amyloid_A: 0.38, Endothelial_cells:HUVEC: 0.38 |
T69_AGCCTAAAGGAATCGC.1 | Endothelial_cells:HUVEC:Borrelia_burgdorferi | 0.13 | 72.07 | Raw ScoresEndothelial_cells:HUVEC:H5N1-infected: 0.35, Endothelial_cells:HUVEC:IFNg: 0.35, Endothelial_cells:HUVEC:PR8-infected: 0.35, Endothelial_cells:HUVEC:FPV-infected: 0.35, Endothelial_cells:HUVEC: 0.35, Endothelial_cells:HUVEC:Borrelia_burgdorferi: 0.35, Endothelial_cells:lymphatic:TNFa_48h: 0.34, Endothelial_cells:HUVEC:VEGF: 0.34, Endothelial_cells:HUVEC:B._anthracis_LT: 0.34, Endothelial_cells:lymphatic: 0.34 |
T69_CTGTTTAAGGGAGTAA.1 | Smooth_muscle_cells:vascular | 0.13 | 71.18 | Raw ScoresSmooth_muscle_cells:vascular: 0.33, Fibroblasts:breast: 0.33, Smooth_muscle_cells:vascular:IL-17: 0.33, Tissue_stem_cells:BM_MSC:BMP2: 0.33, Tissue_stem_cells:BM_MSC:TGFb3: 0.32, iPS_cells:adipose_stem_cells: 0.32, Smooth_muscle_cells:bronchial: 0.32, Smooth_muscle_cells:bronchial:vit_D: 0.32, Chondrocytes:MSC-derived: 0.32, Tissue_stem_cells:BM_MSC: 0.32 |
T19_TCTATTGTCAGTTTGG.1 | Endothelial_cells:HUVEC:IFNg | 0.06 | 71.12 | Raw ScoresSmooth_muscle_cells:bronchial: 0.32, iPS_cells:adipose_stem_cells: 0.31, Tissue_stem_cells:BM_MSC:BMP2: 0.31, Smooth_muscle_cells:bronchial:vit_D: 0.31, Fibroblasts:breast: 0.31, Fibroblasts:foreskin: 0.31, Osteoblasts: 0.31, Chondrocytes:MSC-derived: 0.31, Tissue_stem_cells:BM_MSC:TGFb3: 0.31, Tissue_stem_cells:iliac_MSC: 0.3 |
T19_CACCACTAGGGTGTTG.1 | Smooth_muscle_cells:bronchial | 0.11 | 69.87 | Raw ScoresSmooth_muscle_cells:bronchial: 0.32, Smooth_muscle_cells:bronchial:vit_D: 0.32, iPS_cells:adipose_stem_cells: 0.31, Tissue_stem_cells:BM_MSC:BMP2: 0.31, Tissue_stem_cells:BM_MSC:TGFb3: 0.3, Chondrocytes:MSC-derived: 0.3, Fibroblasts:breast: 0.3, Osteoblasts: 0.3, iPS_cells:CRL2097_foreskin: 0.3, Tissue_stem_cells:iliac_MSC: 0.29 |
T230_TGTCCTGCATAGCTGT-1 | Neurons:adrenal_medulla_cell_line | 0.17 | 69.55 | Raw ScoresNeurons:adrenal_medulla_cell_line: 0.38, Neuroepithelial_cell:ESC-derived: 0.33, Astrocyte:Embryonic_stem_cell-derived: 0.31, Neurons:ES_cell-derived_neural_precursor: 0.31, iPS_cells:PDB_1lox-21Puro-20: 0.31, iPS_cells:PDB_1lox-17Puro-10: 0.31, iPS_cells:PDB_2lox-22: 0.31, iPS_cells:CRL2097_foreskin-derived:undiff.: 0.31, Embryonic_stem_cells: 0.31, iPS_cells:PDB_1lox-21Puro-26: 0.31 |
T19_ACCGTAATCGGCGCTA.1 | Smooth_muscle_cells:bronchial | 0.13 | 68.60 | Raw ScoresSmooth_muscle_cells:bronchial: 0.31, Smooth_muscle_cells:bronchial:vit_D: 0.31, Fibroblasts:breast: 0.3, Osteoblasts: 0.3, iPS_cells:adipose_stem_cells: 0.3, Tissue_stem_cells:BM_MSC:BMP2: 0.3, Chondrocytes:MSC-derived: 0.3, Tissue_stem_cells:BM_MSC:TGFb3: 0.3, iPS_cells:CRL2097_foreskin: 0.29, iPS_cells:fibroblasts: 0.29 |
T69_GTATCTTGTTGGAGGT.1 | Smooth_muscle_cells:bronchial:vit_D | 0.11 | 66.78 | Raw ScoresSmooth_muscle_cells:vascular:IL-17: 0.34, Smooth_muscle_cells:vascular: 0.34, Fibroblasts:breast: 0.34, Chondrocytes:MSC-derived: 0.34, Tissue_stem_cells:BM_MSC: 0.33, iPS_cells:skin_fibroblast: 0.33, Fibroblasts:foreskin: 0.33, MSC: 0.33, Osteoblasts: 0.33, iPS_cells:foreskin_fibrobasts: 0.33 |
T69_GGCAATTTCGTTACGA.1 | Smooth_muscle_cells:vascular:IL-17 | 0.17 | 66.60 | Raw ScoresSmooth_muscle_cells:vascular:IL-17: 0.34, Smooth_muscle_cells:vascular: 0.33, Fibroblasts:breast: 0.33, Tissue_stem_cells:BM_MSC: 0.33, Tissue_stem_cells:BM_MSC:BMP2: 0.32, iPS_cells:adipose_stem_cells: 0.32, Tissue_stem_cells:BM_MSC:TGFb3: 0.32, Chondrocytes:MSC-derived: 0.32, Fibroblasts:foreskin: 0.31, Tissue_stem_cells:BM_MSC:osteogenic: 0.31 |
T69_CCCTCCTCACGGCTAC.1 | Smooth_muscle_cells:vascular:IL-17 | 0.07 | 64.86 | Raw ScoresSmooth_muscle_cells:vascular: 0.26, Smooth_muscle_cells:vascular:IL-17: 0.25, Smooth_muscle_cells:bronchial: 0.25, Smooth_muscle_cells:bronchial:vit_D: 0.25, Fibroblasts:breast: 0.25, Tissue_stem_cells:iliac_MSC: 0.25, iPS_cells:adipose_stem_cells: 0.24, Tissue_stem_cells:BM_MSC:BMP2: 0.24, Tissue_stem_cells:BM_MSC:TGFb3: 0.24, Tissue_stem_cells:BM_MSC: 0.24 |
T19_AGTGGGAAGTCGCCGT.1 | Tissue_stem_cells:BM_MSC:TGFb3 | 0.12 | 63.74 | Raw ScoresSmooth_muscle_cells:bronchial: 0.31, Tissue_stem_cells:BM_MSC:BMP2: 0.31, Fibroblasts:breast: 0.3, Smooth_muscle_cells:bronchial:vit_D: 0.3, Tissue_stem_cells:BM_MSC:TGFb3: 0.3, Chondrocytes:MSC-derived: 0.3, Osteoblasts: 0.3, Tissue_stem_cells:iliac_MSC: 0.3, iPS_cells:adipose_stem_cells: 0.3, Smooth_muscle_cells:vascular: 0.29 |
T19_TACGGTAAGCCTATGT.1 | Neurons:Schwann_cell | 0.11 | 63.60 | Raw ScoresFibroblasts:breast: 0.35, iPS_cells:adipose_stem_cells: 0.34, Smooth_muscle_cells:bronchial: 0.34, Smooth_muscle_cells:bronchial:vit_D: 0.33, Tissue_stem_cells:BM_MSC:BMP2: 0.33, Osteoblasts: 0.33, Tissue_stem_cells:iliac_MSC: 0.33, Smooth_muscle_cells:vascular: 0.32, Chondrocytes:MSC-derived: 0.32, Tissue_stem_cells:BM_MSC:TGFb3: 0.32 |
T19_GGGCATCTCAAGAAGT.1 | Chondrocytes:MSC-derived | 0.14 | 62.86 | Raw ScoresiPS_cells:adipose_stem_cells: 0.34, Fibroblasts:breast: 0.34, Chondrocytes:MSC-derived: 0.34, Smooth_muscle_cells:bronchial: 0.33, Smooth_muscle_cells:bronchial:vit_D: 0.33, Tissue_stem_cells:BM_MSC:BMP2: 0.33, Osteoblasts: 0.33, Tissue_stem_cells:BM_MSC:TGFb3: 0.32, Tissue_stem_cells:iliac_MSC: 0.32, iPS_cells:CRL2097_foreskin: 0.32 |
T200_CCCTGATAGAGAGCAA-1 | Fibroblasts:breast | 0.17 | 61.30 | Raw ScoresFibroblasts:breast: 0.37, Tissue_stem_cells:BM_MSC:BMP2: 0.36, iPS_cells:adipose_stem_cells: 0.36, Tissue_stem_cells:BM_MSC:TGFb3: 0.36, iPS_cells:CRL2097_foreskin: 0.36, Osteoblasts: 0.35, Smooth_muscle_cells:bronchial: 0.35, MSC: 0.35, Chondrocytes:MSC-derived: 0.35, Tissue_stem_cells:BM_MSC: 0.35 |
T19_ATCCGAAGTGTGGTTT.1 | Fibroblasts:breast | 0.15 | 59.51 | Raw ScoresiPS_cells:adipose_stem_cells: 0.36, Fibroblasts:breast: 0.36, Osteoblasts: 0.36, Smooth_muscle_cells:bronchial: 0.36, Chondrocytes:MSC-derived: 0.35, Smooth_muscle_cells:bronchial:vit_D: 0.35, Tissue_stem_cells:BM_MSC:BMP2: 0.35, Tissue_stem_cells:BM_MSC:TGFb3: 0.35, Tissue_stem_cells:iliac_MSC: 0.34, iPS_cells:CRL2097_foreskin: 0.34 |
Below shows the significant enrichments of this GEP for literature curated gene lists
This data was procured from existing single cell RNA-seq maps of neuroblastoma or related relevant data.
High ranks indicate this gene is a driver of this GEP.
These curated gene list are ranked by the P-value (on this GEP) of their constituent genes.
The Mean Count column shows the mean read count in cells scoring highly (H > 50) on this gene expression program.
Genes | Weight | Rank | GTEx | DepMap | Decartes | Mean.Counts | Mean.TPM |
---|---|---|---|---|---|---|---|
IGFBP6 | 0.0209681 | 10 | GTEx | DepMap | Descartes | 10.14 | 2935.42 |
CFD | 0.0165407 | 13 | GTEx | DepMap | Descartes | 11.02 | 4586.45 |
C7 | 0.0156928 | 16 | GTEx | DepMap | Descartes | 1.59 | 106.00 |
C3 | 0.0128638 | 25 | GTEx | DepMap | Descartes | 3.08 | 186.29 |
CXCL14 | 0.0110899 | 34 | GTEx | DepMap | Descartes | 1.12 | 217.80 |
SERPING1 | 0.0106009 | 38 | GTEx | DepMap | Descartes | 4.08 | 597.18 |
SCARA5 | 0.0075260 | 62 | GTEx | DepMap | Descartes | 0.20 | 19.18 |
IL33 | 0.0073966 | 63 | GTEx | DepMap | Descartes | 0.31 | 39.04 |
IGF1 | 0.0069915 | 67 | GTEx | DepMap | Descartes | 1.91 | 84.29 |
GPX3 | 0.0052846 | 96 | GTEx | DepMap | Descartes | 1.39 | 280.11 |
IL1R1 | 0.0036016 | 149 | GTEx | DepMap | Descartes | 0.45 | 23.07 |
PDGFD | 0.0022314 | 265 | GTEx | DepMap | Descartes | 0.14 | 8.43 |
CFB | 0.0019582 | 308 | GTEx | DepMap | Descartes | 0.17 | 11.30 |
CXCL12 | 0.0013132 | 445 | GTEx | DepMap | Descartes | 2.00 | 174.81 |
PDPN | 0.0008911 | 624 | GTEx | DepMap | Descartes | 0.34 | 25.93 |
RGMA | 0.0007434 | 753 | GTEx | DepMap | Descartes | 0.14 | 3.39 |
PDGFRA | 0.0006334 | 894 | GTEx | DepMap | Descartes | 0.53 | 23.75 |
CXCL2 | 0.0005605 | 1007 | GTEx | DepMap | Descartes | 3.36 | 535.64 |
SOD2 | 0.0005487 | 1030 | GTEx | DepMap | Descartes | 1.81 | 19.57 |
SCARA3 | 0.0003579 | 1478 | GTEx | DepMap | Descartes | 0.05 | 3.58 |
CCL2 | 0.0001937 | 2190 | GTEx | DepMap | Descartes | 6.38 | 1781.48 |
PDGFRB | 0.0000984 | 2901 | GTEx | DepMap | Descartes | 0.67 | 36.08 |
HGF | -0.0000685 | 6000 | GTEx | DepMap | Descartes | 0.14 | 4.92 |
IL10 | -0.0001378 | 8100 | GTEx | DepMap | Descartes | 0.03 | 3.57 |
LIF | -0.0003044 | 11518 | GTEx | DepMap | Descartes | 0.08 | 6.10 |
Myofibroblastic CAF
These marker genes were curated across cancer subtypes in multiple organ systems as reviewed in Lavie et. al. (PMID 35883004) and contain myofibroblastic specific CAF genes:
Wilcoxon ranksum test P-value for gene set overrepresentation: 1.36e-10
Mean rank of genes in gene set: 3013.94
Rank on gene expression program of genes in gene set:
Genes | Weight | Rank | GTEx | DepMap | Decartes | Mean.Counts | Mean.TPM |
---|---|---|---|---|---|---|---|
DCN | 0.0275596 | 6 | GTEx | DepMap | Descartes | 30.11 | 1581.50 |
COL12A1 | 0.0048163 | 110 | GTEx | DepMap | Descartes | 0.14 | 4.69 |
MMP2 | 0.0044369 | 119 | GTEx | DepMap | Descartes | 2.11 | 176.12 |
TAGLN | 0.0043070 | 121 | GTEx | DepMap | Descartes | 10.84 | 858.23 |
COL8A1 | 0.0036624 | 147 | GTEx | DepMap | Descartes | 0.75 | 29.73 |
COL14A1 | 0.0032419 | 171 | GTEx | DepMap | Descartes | 0.48 | 23.56 |
COL1A2 | 0.0029881 | 187 | GTEx | DepMap | Descartes | 7.55 | 393.42 |
LUM | 0.0023434 | 245 | GTEx | DepMap | Descartes | 12.62 | 1705.05 |
BGN | 0.0022929 | 255 | GTEx | DepMap | Descartes | 2.66 | 301.79 |
IGFBP3 | 0.0021546 | 274 | GTEx | DepMap | Descartes | 1.09 | 115.61 |
IGFBP7 | 0.0020537 | 285 | GTEx | DepMap | Descartes | 51.75 | 11064.04 |
MYL9 | 0.0019478 | 311 | GTEx | DepMap | Descartes | 4.09 | 386.87 |
TGFBR2 | 0.0018284 | 332 | GTEx | DepMap | Descartes | 0.88 | 41.19 |
THBS1 | 0.0016323 | 369 | GTEx | DepMap | Descartes | 2.20 | 74.86 |
CNN3 | 0.0014985 | 390 | GTEx | DepMap | Descartes | 2.27 | 321.82 |
COL3A1 | 0.0014447 | 403 | GTEx | DepMap | Descartes | 6.61 | 366.75 |
POSTN | 0.0013659 | 430 | GTEx | DepMap | Descartes | 1.09 | 109.43 |
MYH11 | 0.0011439 | 502 | GTEx | DepMap | Descartes | 0.59 | 21.28 |
WNT5A | 0.0010106 | 563 | GTEx | DepMap | Descartes | 0.06 | 2.93 |
THY1 | 0.0009537 | 592 | GTEx | DepMap | Descartes | 1.55 | 98.30 |
TPM2 | 0.0007256 | 769 | GTEx | DepMap | Descartes | 3.20 | 467.87 |
MYLK | 0.0006844 | 836 | GTEx | DepMap | Descartes | 0.61 | 12.45 |
THBS2 | 0.0006055 | 944 | GTEx | DepMap | Descartes | 0.48 | 26.00 |
COL1A1 | 0.0005916 | 960 | GTEx | DepMap | Descartes | 9.50 | 450.92 |
MMP11 | 0.0005535 | 1017 | GTEx | DepMap | Descartes | 0.70 | 38.74 |
ITGA7 | 0.0005283 | 1067 | GTEx | DepMap | Descartes | 0.05 | 3.11 |
VCAN | 0.0005126 | 1097 | GTEx | DepMap | Descartes | 1.27 | 29.71 |
TMEM119 | 0.0004953 | 1129 | GTEx | DepMap | Descartes | 0.12 | 13.10 |
TNC | 0.0003685 | 1446 | GTEx | DepMap | Descartes | 0.02 | 0.57 |
COL5A2 | 0.0002901 | 1721 | GTEx | DepMap | Descartes | 0.39 | 14.24 |
ACTA2 | 0.0002791 | 1756 | GTEx | DepMap | Descartes | 3.48 | 679.27 |
PGF | 0.0002052 | 2121 | GTEx | DepMap | Descartes | 0.80 | 67.59 |
TPM1 | 0.0002007 | 2147 | GTEx | DepMap | Descartes | 4.09 | 256.42 |
CNN2 | 0.0001640 | 2369 | GTEx | DepMap | Descartes | 0.48 | 52.29 |
VEGFA | 0.0001242 | 2665 | GTEx | DepMap | Descartes | 0.25 | 6.81 |
TGFBR1 | 0.0000691 | 3187 | GTEx | DepMap | Descartes | 0.22 | 7.15 |
COL13A1 | 0.0000353 | 3576 | GTEx | DepMap | Descartes | 0.00 | 0.00 |
COL10A1 | -0.0000144 | 4467 | GTEx | DepMap | Descartes | 0.00 | 0.00 |
MEF2C | -0.0000716 | 6091 | GTEx | DepMap | Descartes | 0.59 | 18.12 |
COL11A1 | -0.0001096 | 7241 | GTEx | DepMap | Descartes | 0.00 | 0.00 |
COL15A1 | -0.0001326 | 7943 | GTEx | DepMap | Descartes | 0.75 | 33.56 |
TGFB2 | -0.0001566 | 8628 | GTEx | DepMap | Descartes | 0.03 | 0.56 |
HOPX | -0.0001708 | 9036 | GTEx | DepMap | Descartes | 0.11 | 10.22 |
TGFB1 | -0.0002498 | 10811 | GTEx | DepMap | Descartes | 0.58 | 32.96 |
ACTG2 | -0.0002631 | 11018 | GTEx | DepMap | Descartes | 0.12 | 12.30 |
FN1 | -0.0002953 | 11419 | GTEx | DepMap | Descartes | 4.98 | 126.89 |
RGS5 | -0.0003990 | 12095 | GTEx | DepMap | Descartes | 1.23 | 72.19 |
COL5A1 | -0.0004061 | 12124 | GTEx | DepMap | Descartes | 0.52 | 14.82 |
COL4A1 | -0.0004227 | 12191 | GTEx | DepMap | Descartes | 1.64 | 59.12 |
Mesenchymal Fig 1D (Olsen)
Selected mesenchymal marker genes shown in Fig. 1D of Olsen et al. https://www.biorxiv.org/content/10.1101/2020.05.04.077057v1 - these are highly expressed in their mesenchymal cluster on their UMAP.:
Wilcoxon ranksum test P-value for gene set overrepresentation: 1.75e-09
Mean rank of genes in gene set: 343.69
Rank on gene expression program of genes in gene set:
Genes | Weight | Rank | GTEx | DepMap | Decartes | Mean.Counts | Mean.TPM |
---|---|---|---|---|---|---|---|
DCN | 0.0275596 | 6 | GTEx | DepMap | Descartes | 30.11 | 1581.50 |
MGP | 0.0246255 | 7 | GTEx | DepMap | Descartes | 39.44 | 7383.72 |
LEPR | 0.0078675 | 58 | GTEx | DepMap | Descartes | 0.36 | 14.20 |
PRRX1 | 0.0045333 | 117 | GTEx | DepMap | Descartes | 0.52 | 43.35 |
CALD1 | 0.0041421 | 123 | GTEx | DepMap | Descartes | 7.28 | 386.96 |
COL6A2 | 0.0034929 | 156 | GTEx | DepMap | Descartes | 3.41 | 310.27 |
COL1A2 | 0.0029881 | 187 | GTEx | DepMap | Descartes | 7.55 | 393.42 |
LUM | 0.0023434 | 245 | GTEx | DepMap | Descartes | 12.62 | 1705.05 |
BGN | 0.0022929 | 255 | GTEx | DepMap | Descartes | 2.66 | 301.79 |
COL3A1 | 0.0014447 | 403 | GTEx | DepMap | Descartes | 6.61 | 366.75 |
PDGFRA | 0.0006334 | 894 | GTEx | DepMap | Descartes | 0.53 | 23.75 |
COL1A1 | 0.0005916 | 960 | GTEx | DepMap | Descartes | 9.50 | 450.92 |
SPARC | 0.0005350 | 1057 | GTEx | DepMap | Descartes | 7.81 | 485.89 |
Below shows ranks on this GEP for literature curated gene lists for large gene sets
These include those reported as mesenchymal/adrenergic by Van Groningen et al.
High ranks indicate this gene is a driver of this GEP (note these results are not ordered).
The Mean Count column shows the mean read count in cells scoring highly (H > 50) on this gene expression program.
VanGroningen Adrenergic Genes
Adrenergic marker genes from Supplementary Table 2 of Van Groningen et al. Nature Genetics 2017. These genes were identified by differential expression analysis of mesenchymal-like and adrenergic-like neuroblastoma cell lines.
Wilcoxon ranksum test P-value for gene set overrepresentation: 1.00e+00
Mean rank of genes in gene set: 9625.5
Median rank of genes in gene set: 10876
Rank on gene expression program of top 30 genes in gene set:
Genes | Weight | Rank | GTEx | DepMap | Descartes | Mean.Counts | Mean.TPM |
---|---|---|---|---|---|---|---|
AKAP12 | 0.0023980 | 238 | GTEx | DepMap | Descartes | 1.55 | 63.12 |
ABLIM1 | 0.0013187 | 441 | GTEx | DepMap | Descartes | 0.48 | 16.33 |
SLC35G2 | 0.0007995 | 691 | GTEx | DepMap | Descartes | 0.14 | NA |
NFIL3 | 0.0007378 | 759 | GTEx | DepMap | Descartes | 0.27 | 33.46 |
SYNPO2 | 0.0006951 | 823 | GTEx | DepMap | Descartes | 0.48 | 9.40 |
GRB10 | 0.0004399 | 1255 | GTEx | DepMap | Descartes | 0.14 | 4.67 |
CDKN2C | 0.0003782 | 1405 | GTEx | DepMap | Descartes | 0.19 | 22.57 |
CETN3 | 0.0003591 | 1474 | GTEx | DepMap | Descartes | 0.19 | 23.16 |
CYGB | 0.0002815 | 1751 | GTEx | DepMap | Descartes | 0.62 | 109.74 |
INO80C | 0.0002773 | 1764 | GTEx | DepMap | Descartes | 0.20 | 12.35 |
TUBB4B | 0.0002301 | 1981 | GTEx | DepMap | Descartes | 1.38 | 179.73 |
NAP1L5 | 0.0002045 | 2127 | GTEx | DepMap | Descartes | 0.14 | 18.90 |
EML6 | 0.0001995 | 2155 | GTEx | DepMap | Descartes | 0.02 | 1.07 |
SETD7 | 0.0001704 | 2320 | GTEx | DepMap | Descartes | 0.14 | 4.87 |
FAM163A | 0.0001647 | 2364 | GTEx | DepMap | Descartes | 0.03 | 4.44 |
NET1 | 0.0001510 | 2467 | GTEx | DepMap | Descartes | 0.25 | 16.12 |
KLC1 | 0.0001510 | 2468 | GTEx | DepMap | Descartes | 0.42 | 5.98 |
DPYSL3 | 0.0001482 | 2480 | GTEx | DepMap | Descartes | 0.45 | 19.62 |
ZWILCH | 0.0001185 | 2714 | GTEx | DepMap | Descartes | 0.09 | 9.21 |
RNF144A | 0.0001122 | 2767 | GTEx | DepMap | Descartes | 0.12 | 5.57 |
SLIT3 | 0.0001023 | 2849 | GTEx | DepMap | Descartes | 0.92 | 23.77 |
ACVR1B | 0.0001002 | 2875 | GTEx | DepMap | Descartes | 0.09 | 3.97 |
ARL6IP1 | 0.0000671 | 3214 | GTEx | DepMap | Descartes | 1.06 | 109.44 |
ADCYAP1R1 | 0.0000620 | 3269 | GTEx | DepMap | Descartes | 0.02 | 0.08 |
IGFBPL1 | 0.0000396 | 3531 | GTEx | DepMap | Descartes | 0.00 | 0.00 |
UNC79 | 0.0000255 | 3713 | GTEx | DepMap | Descartes | 0.02 | 0.24 |
RNF150 | 0.0000091 | 3978 | GTEx | DepMap | Descartes | 0.17 | 3.56 |
BEND4 | -0.0000063 | 4239 | GTEx | DepMap | Descartes | 0.00 | 0.00 |
DAPK1 | -0.0000073 | 4268 | GTEx | DepMap | Descartes | 0.48 | 14.35 |
MCM6 | -0.0000133 | 4439 | GTEx | DepMap | Descartes | 0.05 | 2.60 |
VanGroningen Mesenchymal Genes
Mesenchymal marker genes from Supplementary Table 2 of Van Groningen et al. Nature Genetics 2017. These genes were identified by differential expression analysis of mesenchymal-like and adrenergic-like neuroblastoma cell lines.
Wilcoxon ranksum test P-value for gene set overrepresentation: 4.17e-68
Mean rank of genes in gene set: 3305.63
Median rank of genes in gene set: 1528
Rank on gene expression program of top 30 genes in gene set:
Genes | Weight | Rank | GTEx | DepMap | Descartes | Mean.Counts | Mean.TPM |
---|---|---|---|---|---|---|---|
MGP | 0.0246255 | 7 | GTEx | DepMap | Descartes | 39.44 | 7383.72 |
CCDC80 | 0.0241432 | 8 | GTEx | DepMap | Descartes | 5.75 | 148.47 |
IGFBP6 | 0.0209681 | 10 | GTEx | DepMap | Descartes | 10.14 | 2935.42 |
BOC | 0.0170424 | 11 | GTEx | DepMap | Descartes | 0.28 | 14.58 |
GAS1 | 0.0162166 | 15 | GTEx | DepMap | Descartes | 1.00 | 82.74 |
MGST1 | 0.0138307 | 20 | GTEx | DepMap | Descartes | 1.47 | 192.78 |
FIBIN | 0.0127353 | 26 | GTEx | DepMap | Descartes | 0.14 | 15.40 |
GSN | 0.0121915 | 27 | GTEx | DepMap | Descartes | 17.66 | 955.42 |
EMP1 | 0.0117605 | 30 | GTEx | DepMap | Descartes | 1.88 | 83.64 |
CYBRD1 | 0.0092537 | 48 | GTEx | DepMap | Descartes | 0.83 | 57.60 |
AEBP1 | 0.0090017 | 52 | GTEx | DepMap | Descartes | 1.75 | 129.76 |
HES1 | 0.0085200 | 54 | GTEx | DepMap | Descartes | 2.81 | 428.82 |
FMOD | 0.0080324 | 57 | GTEx | DepMap | Descartes | 0.20 | 18.51 |
IGFBP5 | 0.0072011 | 66 | GTEx | DepMap | Descartes | 13.00 | 728.85 |
NFIA | 0.0069657 | 68 | GTEx | DepMap | Descartes | 1.12 | 6.62 |
SEMA3C | 0.0065405 | 76 | GTEx | DepMap | Descartes | 0.38 | 24.48 |
FSTL1 | 0.0060731 | 82 | GTEx | DepMap | Descartes | 2.62 | 147.21 |
ID3 | 0.0054444 | 91 | GTEx | DepMap | Descartes | 6.00 | 1905.73 |
LTBP1 | 0.0054337 | 92 | GTEx | DepMap | Descartes | 0.48 | 23.05 |
FZD1 | 0.0052666 | 97 | GTEx | DepMap | Descartes | 0.23 | 11.62 |
PCOLCE2 | 0.0052351 | 101 | GTEx | DepMap | Descartes | 0.31 | 64.85 |
HTRA1 | 0.0051162 | 102 | GTEx | DepMap | Descartes | 1.77 | 192.01 |
SRPX | 0.0049904 | 105 | GTEx | DepMap | Descartes | 1.66 | 376.76 |
ID1 | 0.0048631 | 108 | GTEx | DepMap | Descartes | 2.61 | 454.52 |
COL12A1 | 0.0048163 | 110 | GTEx | DepMap | Descartes | 0.14 | 4.69 |
PPIC | 0.0046102 | 114 | GTEx | DepMap | Descartes | 0.95 | 210.16 |
PHLDA3 | 0.0045425 | 116 | GTEx | DepMap | Descartes | 0.66 | 74.71 |
PRRX1 | 0.0045333 | 117 | GTEx | DepMap | Descartes | 0.52 | 43.35 |
MMP2 | 0.0044369 | 119 | GTEx | DepMap | Descartes | 2.11 | 176.12 |
ERRFI1 | 0.0042511 | 122 | GTEx | DepMap | Descartes | 0.58 | 64.97 |
Descartes adrenocortical markers
Top 50 marker genes of adrenocortical cells in the Decartes fetal adrenal single cell map (https://atlas.brotmanbaty.org/bbi/human-gene-expression-during-development/cell/adrenocortical/in/adrenal)
Wilcoxon ranksum test P-value for gene set overrepresentation: 8.57e-01
Mean rank of genes in gene set: 6917.03
Median rank of genes in gene set: 7239
Rank on gene expression program of top 30 genes in gene set:
Genes | Weight | Rank | GTEx | DepMap | Descartes | Mean.Counts | Mean.TPM |
---|---|---|---|---|---|---|---|
CLU | 0.0108443 | 36 | GTEx | DepMap | Descartes | 4.30 | 520.17 |
SH3BP5 | 0.0018039 | 337 | GTEx | DepMap | Descartes | 0.80 | 71.02 |
POR | 0.0001379 | 2563 | GTEx | DepMap | Descartes | 0.33 | 29.02 |
SH3PXD2B | 0.0001317 | 2597 | GTEx | DepMap | Descartes | 0.08 | 1.10 |
DHCR7 | 0.0000764 | 3109 | GTEx | DepMap | Descartes | 0.05 | 7.91 |
DHCR24 | 0.0000762 | 3110 | GTEx | DepMap | Descartes | 0.16 | 5.64 |
SCARB1 | 0.0000624 | 3261 | GTEx | DepMap | Descartes | 0.19 | 5.36 |
PDE10A | -0.0000022 | 4174 | GTEx | DepMap | Descartes | 0.08 | 2.43 |
FDX1 | -0.0000115 | 4377 | GTEx | DepMap | Descartes | 0.33 | 18.90 |
ERN1 | -0.0000232 | 4704 | GTEx | DepMap | Descartes | 0.12 | 4.06 |
IGF1R | -0.0000576 | 5703 | GTEx | DepMap | Descartes | 0.17 | 4.38 |
SGCZ | -0.0000582 | 5713 | GTEx | DepMap | Descartes | 0.00 | 0.00 |
CYB5B | -0.0000584 | 5720 | GTEx | DepMap | Descartes | 0.22 | 11.42 |
SLC1A2 | -0.0000678 | 5989 | GTEx | DepMap | Descartes | 0.02 | 0.64 |
BAIAP2L1 | -0.0000719 | 6099 | GTEx | DepMap | Descartes | 0.02 | 0.49 |
GSTA4 | -0.0000735 | 6153 | GTEx | DepMap | Descartes | 0.47 | 73.36 |
INHA | -0.0000993 | 6935 | GTEx | DepMap | Descartes | 0.00 | 0.00 |
FREM2 | -0.0001082 | 7201 | GTEx | DepMap | Descartes | 0.00 | 0.00 |
FDPS | -0.0001104 | 7277 | GTEx | DepMap | Descartes | 0.61 | 61.71 |
SCAP | -0.0001155 | 7420 | GTEx | DepMap | Descartes | 0.11 | 6.03 |
FDXR | -0.0001279 | 7811 | GTEx | DepMap | Descartes | 0.08 | 10.42 |
APOC1 | -0.0001357 | 8033 | GTEx | DepMap | Descartes | 6.53 | 1020.35 |
LDLR | -0.0001552 | 8583 | GTEx | DepMap | Descartes | 0.17 | 7.77 |
GRAMD1B | -0.0001632 | 8821 | GTEx | DepMap | Descartes | 0.06 | 1.35 |
TM7SF2 | -0.0001656 | 8888 | GTEx | DepMap | Descartes | 0.11 | 12.53 |
SLC16A9 | -0.0001716 | 9051 | GTEx | DepMap | Descartes | 0.00 | 0.00 |
NPC1 | -0.0001718 | 9061 | GTEx | DepMap | Descartes | 0.08 | 2.12 |
FRMD5 | -0.0001804 | 9281 | GTEx | DepMap | Descartes | 0.00 | 0.00 |
PAPSS2 | -0.0001897 | 9494 | GTEx | DepMap | Descartes | 0.12 | 5.07 |
HMGCS1 | -0.0002402 | 10634 | GTEx | DepMap | Descartes | 0.19 | 7.43 |
Descartes chromaffin markers
Top 50 marker genes of chromaffin cells in the Decartes fetal adrenal single cell map (https://atlas.brotmanbaty.org/bbi/human-gene-expression-during-development/cell/chromaffin/in/adrenal)
Wilcoxon ranksum test P-value for gene set overrepresentation: 1.00e+00
Mean rank of genes in gene set: 10271.27
Median rank of genes in gene set: 11755
Rank on gene expression program of top 30 genes in gene set:
Genes | Weight | Rank | GTEx | DepMap | Descartes | Mean.Counts | Mean.TPM |
---|---|---|---|---|---|---|---|
SYNPO2 | 0.0006951 | 823 | GTEx | DepMap | Descartes | 0.48 | 9.40 |
SLC44A5 | 0.0000478 | 3430 | GTEx | DepMap | Descartes | 0.02 | 1.38 |
ANKFN1 | -0.0000401 | 5179 | GTEx | DepMap | Descartes | 0.02 | 2.46 |
EYA1 | -0.0000402 | 5182 | GTEx | DepMap | Descartes | 0.03 | 1.82 |
EPHA6 | -0.0001039 | 7068 | GTEx | DepMap | Descartes | 0.00 | 0.00 |
EYA4 | -0.0001045 | 7091 | GTEx | DepMap | Descartes | 0.02 | 0.59 |
RPH3A | -0.0001162 | 7440 | GTEx | DepMap | Descartes | 0.00 | 0.00 |
FAT3 | -0.0001248 | 7703 | GTEx | DepMap | Descartes | 0.02 | 0.30 |
PTCHD1 | -0.0001613 | 8766 | GTEx | DepMap | Descartes | 0.03 | 0.08 |
ALK | -0.0001626 | 8805 | GTEx | DepMap | Descartes | 0.00 | 0.00 |
RYR2 | -0.0001678 | 8956 | GTEx | DepMap | Descartes | 0.02 | 0.42 |
KCNB2 | -0.0001910 | 9528 | GTEx | DepMap | Descartes | 0.00 | 0.00 |
PLXNA4 | -0.0001923 | 9565 | GTEx | DepMap | Descartes | 0.03 | 0.48 |
CNKSR2 | -0.0002196 | 10219 | GTEx | DepMap | Descartes | 0.02 | 0.25 |
TMEM132C | -0.0002205 | 10243 | GTEx | DepMap | Descartes | 0.00 | 0.00 |
HS3ST5 | -0.0002227 | 10297 | GTEx | DepMap | Descartes | 0.00 | 0.00 |
GREM1 | -0.0002364 | 10555 | GTEx | DepMap | Descartes | 0.00 | 0.00 |
SLC6A2 | -0.0002424 | 10666 | GTEx | DepMap | Descartes | 0.03 | 2.25 |
IL7 | -0.0002620 | 11001 | GTEx | DepMap | Descartes | 0.05 | 7.66 |
RGMB | -0.0003071 | 11546 | GTEx | DepMap | Descartes | 0.11 | 6.16 |
RBFOX1 | -0.0003334 | 11755 | GTEx | DepMap | Descartes | 0.00 | 0.00 |
TMEFF2 | -0.0003341 | 11761 | GTEx | DepMap | Descartes | 0.00 | 0.00 |
REEP1 | -0.0003379 | 11799 | GTEx | DepMap | Descartes | 0.09 | 4.94 |
GAL | -0.0003587 | 11922 | GTEx | DepMap | Descartes | 0.08 | 13.46 |
TUBB2A | -0.0003856 | 12046 | GTEx | DepMap | Descartes | 0.50 | 87.84 |
CNTFR | -0.0003873 | 12056 | GTEx | DepMap | Descartes | 0.06 | 6.77 |
MAB21L2 | -0.0004010 | 12106 | GTEx | DepMap | Descartes | 0.16 | 8.35 |
ISL1 | -0.0004107 | 12149 | GTEx | DepMap | Descartes | 0.31 | 24.12 |
MARCH11 | -0.0004178 | 12171 | GTEx | DepMap | Descartes | 0.50 | NA |
MAB21L1 | -0.0004312 | 12218 | GTEx | DepMap | Descartes | 0.14 | 10.36 |
Descartes Vascular_endothelial markers
Top 50 marker genes of Vascular_endothelial cells in the Decartes fetal adrenal single cell map (https://atlas.brotmanbaty.org/bbi/human-gene-expression-during-development/cell/vascular_endothelial/in/adrenal)
Wilcoxon ranksum test P-value for gene set overrepresentation: 1.10e-01
Mean rank of genes in gene set: 5555.97
Median rank of genes in gene set: 6270.5
Rank on gene expression program of top 30 genes in gene set:
Genes | Weight | Rank | GTEx | DepMap | Descartes | Mean.Counts | Mean.TPM |
---|---|---|---|---|---|---|---|
NPR1 | 0.0084148 | 56 | GTEx | DepMap | Descartes | 0.16 | 12.25 |
ID1 | 0.0048631 | 108 | GTEx | DepMap | Descartes | 2.61 | 454.52 |
GALNT15 | 0.0009061 | 615 | GTEx | DepMap | Descartes | 0.03 | NA |
CDH13 | 0.0008375 | 667 | GTEx | DepMap | Descartes | 0.19 | 5.62 |
SHE | 0.0005900 | 965 | GTEx | DepMap | Descartes | 0.09 | 3.47 |
ARHGAP29 | 0.0005739 | 986 | GTEx | DepMap | Descartes | 0.69 | 16.84 |
RAMP2 | 0.0003999 | 1356 | GTEx | DepMap | Descartes | 1.72 | 342.28 |
PTPRB | 0.0003575 | 1481 | GTEx | DepMap | Descartes | 0.44 | 3.56 |
CALCRL | 0.0002904 | 1718 | GTEx | DepMap | Descartes | 0.20 | 7.16 |
MMRN2 | 0.0001826 | 2250 | GTEx | DepMap | Descartes | 0.22 | 7.79 |
TEK | 0.0001554 | 2436 | GTEx | DepMap | Descartes | 0.09 | 3.06 |
PODXL | 0.0001168 | 2725 | GTEx | DepMap | Descartes | 0.45 | 7.22 |
CDH5 | 0.0000998 | 2882 | GTEx | DepMap | Descartes | 0.47 | 13.62 |
BTNL9 | 0.0000735 | 3144 | GTEx | DepMap | Descartes | 0.05 | 1.72 |
SLCO2A1 | 0.0000250 | 3718 | GTEx | DepMap | Descartes | 0.02 | 0.58 |
TMEM88 | 0.0000230 | 3748 | GTEx | DepMap | Descartes | 0.11 | 11.39 |
ESM1 | -0.0000077 | 4282 | GTEx | DepMap | Descartes | 0.61 | 17.57 |
MYRIP | -0.0000269 | 4807 | GTEx | DepMap | Descartes | 0.03 | 0.87 |
CRHBP | -0.0000624 | 5847 | GTEx | DepMap | Descartes | 0.02 | 0.70 |
IRX3 | -0.0000919 | 6694 | GTEx | DepMap | Descartes | 0.00 | 0.00 |
TIE1 | -0.0001065 | 7155 | GTEx | DepMap | Descartes | 0.14 | 5.14 |
F8 | -0.0001180 | 7491 | GTEx | DepMap | Descartes | 0.05 | 1.97 |
PLVAP | -0.0001235 | 7653 | GTEx | DepMap | Descartes | 0.66 | 23.14 |
RASIP1 | -0.0001293 | 7842 | GTEx | DepMap | Descartes | 0.09 | 3.62 |
HYAL2 | -0.0001320 | 7919 | GTEx | DepMap | Descartes | 0.47 | 25.11 |
SHANK3 | -0.0001324 | 7935 | GTEx | DepMap | Descartes | 0.03 | 0.23 |
NR5A2 | -0.0001458 | 8314 | GTEx | DepMap | Descartes | 0.00 | 0.00 |
CEACAM1 | -0.0001497 | 8425 | GTEx | DepMap | Descartes | 0.00 | 0.00 |
EHD3 | -0.0001539 | 8551 | GTEx | DepMap | Descartes | 0.03 | 1.36 |
CYP26B1 | -0.0001555 | 8596 | GTEx | DepMap | Descartes | 0.05 | 2.99 |
Descartes stromal markers
Top 50 marker genes of stromal cells in the Decartes fetal adrenal single cell map (https://atlas.brotmanbaty.org/bbi/human-gene-expression-during-development/cell/stromal/in/adrenal)
Wilcoxon ranksum test P-value for gene set overrepresentation: 5.88e-19
Mean rank of genes in gene set: 1468.05
Median rank of genes in gene set: 325
Rank on gene expression program of top 30 genes in gene set:
Genes | Weight | Rank | GTEx | DepMap | Descartes | Mean.Counts | Mean.TPM |
---|---|---|---|---|---|---|---|
SFRP2 | 0.0363968 | 1 | GTEx | DepMap | Descartes | 2.00 | 498.51 |
RSPO3 | 0.0279529 | 4 | GTEx | DepMap | Descartes | 0.62 | NA |
DCN | 0.0275596 | 6 | GTEx | DepMap | Descartes | 30.11 | 1581.50 |
MGP | 0.0246255 | 7 | GTEx | DepMap | Descartes | 39.44 | 7383.72 |
CCDC80 | 0.0241432 | 8 | GTEx | DepMap | Descartes | 5.75 | 148.47 |
C7 | 0.0156928 | 16 | GTEx | DepMap | Descartes | 1.59 | 106.00 |
OGN | 0.0151548 | 17 | GTEx | DepMap | Descartes | 1.92 | 172.35 |
SCARA5 | 0.0075260 | 62 | GTEx | DepMap | Descartes | 0.20 | 19.18 |
ISLR | 0.0065964 | 74 | GTEx | DepMap | Descartes | 0.73 | 108.95 |
DKK2 | 0.0059883 | 84 | GTEx | DepMap | Descartes | 0.09 | 8.43 |
BICC1 | 0.0055509 | 89 | GTEx | DepMap | Descartes | 0.59 | 31.07 |
ADAMTSL3 | 0.0048524 | 109 | GTEx | DepMap | Descartes | 0.05 | 2.69 |
COL12A1 | 0.0048163 | 110 | GTEx | DepMap | Descartes | 0.14 | 4.69 |
PRRX1 | 0.0045333 | 117 | GTEx | DepMap | Descartes | 0.52 | 43.35 |
PCOLCE | 0.0039269 | 140 | GTEx | DepMap | Descartes | 2.89 | 676.82 |
COL1A2 | 0.0029881 | 187 | GTEx | DepMap | Descartes | 7.55 | 393.42 |
ELN | 0.0026374 | 212 | GTEx | DepMap | Descartes | 0.94 | 67.63 |
CD248 | 0.0026168 | 214 | GTEx | DepMap | Descartes | 0.36 | 49.03 |
LUM | 0.0023434 | 245 | GTEx | DepMap | Descartes | 12.62 | 1705.05 |
IGFBP3 | 0.0021546 | 274 | GTEx | DepMap | Descartes | 1.09 | 115.61 |
CLDN11 | 0.0020696 | 282 | GTEx | DepMap | Descartes | 0.19 | 16.51 |
LRRC17 | 0.0018949 | 317 | GTEx | DepMap | Descartes | 0.14 | 26.21 |
PAMR1 | 0.0018217 | 333 | GTEx | DepMap | Descartes | 0.36 | 42.23 |
COL3A1 | 0.0014447 | 403 | GTEx | DepMap | Descartes | 6.61 | 366.75 |
POSTN | 0.0013659 | 430 | GTEx | DepMap | Descartes | 1.09 | 109.43 |
PCDH18 | 0.0013049 | 450 | GTEx | DepMap | Descartes | 0.16 | 7.19 |
LOX | 0.0011686 | 489 | GTEx | DepMap | Descartes | 0.48 | 25.49 |
ABCC9 | 0.0011168 | 512 | GTEx | DepMap | Descartes | 0.02 | 0.95 |
ABCA6 | 0.0007227 | 774 | GTEx | DepMap | Descartes | 0.50 | 24.38 |
PDGFRA | 0.0006334 | 894 | GTEx | DepMap | Descartes | 0.53 | 23.75 |
Descartes sympathoblasts markers
Top 50 marker genes of sympathoblasts cells in the Decartes fetal adrenal single cell map (https://atlas.brotmanbaty.org/bbi/human-gene-expression-during-development/cell/sympathoblasts/in/adrenal)
Wilcoxon ranksum test P-value for gene set overrepresentation: 9.97e-01
Mean rank of genes in gene set: 7897.16
Median rank of genes in gene set: 8256.5
Rank on gene expression program of top 30 genes in gene set:
Genes | Weight | Rank | GTEx | DepMap | Descartes | Mean.Counts | Mean.TPM |
---|---|---|---|---|---|---|---|
GRM7 | 0.0004505 | 1227 | GTEx | DepMap | Descartes | 0.00 | 0.00 |
MGAT4C | 0.0002948 | 1705 | GTEx | DepMap | Descartes | 0.03 | 0.67 |
EML6 | 0.0001995 | 2155 | GTEx | DepMap | Descartes | 0.02 | 1.07 |
ST18 | 0.0001426 | 2514 | GTEx | DepMap | Descartes | 0.00 | 0.00 |
GCH1 | -0.0000196 | 4611 | GTEx | DepMap | Descartes | 0.11 | 8.30 |
DGKK | -0.0000197 | 4617 | GTEx | DepMap | Descartes | 0.00 | 0.00 |
LAMA3 | -0.0000240 | 4726 | GTEx | DepMap | Descartes | 0.00 | 0.00 |
TENM1 | -0.0000445 | 5325 | GTEx | DepMap | Descartes | 0.05 | NA |
TBX20 | -0.0000613 | 5809 | GTEx | DepMap | Descartes | 0.00 | 0.00 |
CDH12 | -0.0000759 | 6243 | GTEx | DepMap | Descartes | 0.00 | 0.00 |
SORCS3 | -0.0000778 | 6302 | GTEx | DepMap | Descartes | 0.00 | 0.00 |
SLC24A2 | -0.0000827 | 6439 | GTEx | DepMap | Descartes | 0.00 | 0.00 |
CNTN3 | -0.0000864 | 6541 | GTEx | DepMap | Descartes | 0.00 | 0.00 |
SLC35F3 | -0.0000923 | 6711 | GTEx | DepMap | Descartes | 0.00 | 0.00 |
CCSER1 | -0.0000925 | 6719 | GTEx | DepMap | Descartes | 0.02 | NA |
PCSK2 | -0.0000968 | 6849 | GTEx | DepMap | Descartes | 0.02 | 0.47 |
CDH18 | -0.0001091 | 7228 | GTEx | DepMap | Descartes | 0.00 | 0.00 |
SPOCK3 | -0.0001320 | 7920 | GTEx | DepMap | Descartes | 0.03 | 2.96 |
KSR2 | -0.0001433 | 8246 | GTEx | DepMap | Descartes | 0.02 | 0.03 |
FGF14 | -0.0001442 | 8267 | GTEx | DepMap | Descartes | 0.00 | 0.00 |
FAM155A | -0.0001454 | 8306 | GTEx | DepMap | Descartes | 0.11 | 0.94 |
GRID2 | -0.0001463 | 8326 | GTEx | DepMap | Descartes | 0.00 | 0.00 |
AGBL4 | -0.0001485 | 8386 | GTEx | DepMap | Descartes | 0.00 | 0.00 |
GALNTL6 | -0.0001515 | 8478 | GTEx | DepMap | Descartes | 0.00 | 0.00 |
NTNG1 | -0.0001752 | 9151 | GTEx | DepMap | Descartes | 0.00 | 0.00 |
PACRG | -0.0001890 | 9467 | GTEx | DepMap | Descartes | 0.00 | 0.00 |
SLC18A1 | -0.0002003 | 9771 | GTEx | DepMap | Descartes | 0.02 | 1.91 |
UNC80 | -0.0002062 | 9917 | GTEx | DepMap | Descartes | 0.00 | 0.00 |
ROBO1 | -0.0002087 | 9978 | GTEx | DepMap | Descartes | 0.11 | 1.90 |
KCTD16 | -0.0002720 | 11149 | GTEx | DepMap | Descartes | 0.16 | 1.32 |
Descartes erythroblasts markers
Top 50 marker genes of erythroblasts cells in the Decartes fetal adrenal single cell map (https://atlas.brotmanbaty.org/bbi/human-gene-expression-during-development/cell/erythroblasts/in/adrenal)
Wilcoxon ranksum test P-value for gene set overrepresentation: 3.13e-01
Mean rank of genes in gene set: 5946.86
Median rank of genes in gene set: 6904
Rank on gene expression program of top 30 genes in gene set:
Genes | Weight | Rank | GTEx | DepMap | Descartes | Mean.Counts | Mean.TPM |
---|---|---|---|---|---|---|---|
SELENBP1 | 0.0040769 | 127 | GTEx | DepMap | Descartes | 0.30 | 35.77 |
MARCH3 | 0.0008772 | 637 | GTEx | DepMap | Descartes | 0.19 | NA |
BLVRB | 0.0006466 | 884 | GTEx | DepMap | Descartes | 1.25 | 174.01 |
SLC25A37 | 0.0005049 | 1108 | GTEx | DepMap | Descartes | 0.38 | 23.03 |
CPOX | 0.0003811 | 1400 | GTEx | DepMap | Descartes | 0.09 | 10.66 |
CAT | 0.0001697 | 2324 | GTEx | DepMap | Descartes | 0.33 | 35.22 |
MICAL2 | 0.0001691 | 2329 | GTEx | DepMap | Descartes | 0.09 | 3.17 |
TRAK2 | 0.0001320 | 2595 | GTEx | DepMap | Descartes | 0.05 | 2.13 |
ALAS2 | 0.0001085 | 2797 | GTEx | DepMap | Descartes | 0.00 | 0.00 |
GYPC | 0.0000670 | 3216 | GTEx | DepMap | Descartes | 1.03 | 126.54 |
ABCB10 | 0.0000273 | 3692 | GTEx | DepMap | Descartes | 0.08 | 3.80 |
SLC4A1 | 0.0000010 | 4120 | GTEx | DepMap | Descartes | 0.00 | 0.00 |
RHD | -0.0000088 | 4307 | GTEx | DepMap | Descartes | 0.00 | 0.00 |
DENND4A | -0.0000213 | 4654 | GTEx | DepMap | Descartes | 0.11 | 2.16 |
SLC25A21 | -0.0000985 | 6904 | GTEx | DepMap | Descartes | 0.00 | 0.00 |
XPO7 | -0.0001071 | 7173 | GTEx | DepMap | Descartes | 0.03 | 0.93 |
RGS6 | -0.0001191 | 7521 | GTEx | DepMap | Descartes | 0.02 | 1.02 |
TFR2 | -0.0001213 | 7589 | GTEx | DepMap | Descartes | 0.00 | 0.00 |
SPECC1 | -0.0001279 | 7810 | GTEx | DepMap | Descartes | 0.11 | 2.61 |
SPTB | -0.0001415 | 8193 | GTEx | DepMap | Descartes | 0.00 | 0.00 |
TMCC2 | -0.0001458 | 8313 | GTEx | DepMap | Descartes | 0.02 | 0.29 |
ANK1 | -0.0001695 | 9000 | GTEx | DepMap | Descartes | 0.00 | 0.00 |
SNCA | -0.0001919 | 9554 | GTEx | DepMap | Descartes | 0.30 | 13.56 |
GCLC | -0.0001994 | 9745 | GTEx | DepMap | Descartes | 0.06 | 4.89 |
SOX6 | -0.0002007 | 9786 | GTEx | DepMap | Descartes | 0.05 | 0.95 |
RAPGEF2 | -0.0002679 | 11100 | GTEx | DepMap | Descartes | 0.09 | 2.57 |
EPB41 | -0.0003119 | 11590 | GTEx | DepMap | Descartes | 0.03 | 0.97 |
FECH | -0.0003163 | 11625 | GTEx | DepMap | Descartes | 0.02 | 0.84 |
TSPAN5 | -0.0005113 | 12366 | GTEx | DepMap | Descartes | 0.30 | 14.42 |
NA | NA | NA | NA | NA | NA | NA | NA |
Descartes myeloid markers
Top 50 marker genes of myeloid cells in the Decartes fetal adrenal single cell map (https://atlas.brotmanbaty.org/bbi/human-gene-expression-during-development/cell/myeloid/in/adrenal)
Wilcoxon ranksum test P-value for gene set overrepresentation: 4.22e-01
Mean rank of genes in gene set: 6159.47
Median rank of genes in gene set: 7289
Rank on gene expression program of top 30 genes in gene set:
Genes | Weight | Rank | GTEx | DepMap | Descartes | Mean.Counts | Mean.TPM |
---|---|---|---|---|---|---|---|
CST3 | 0.0039737 | 133 | GTEx | DepMap | Descartes | 19.31 | 1717.63 |
AXL | 0.0023925 | 240 | GTEx | DepMap | Descartes | 0.89 | 50.75 |
HRH1 | 0.0016394 | 368 | GTEx | DepMap | Descartes | 0.09 | 7.13 |
CTSC | 0.0013973 | 418 | GTEx | DepMap | Descartes | 3.98 | 113.92 |
RGL1 | 0.0003937 | 1368 | GTEx | DepMap | Descartes | 0.25 | 16.77 |
SLC9A9 | 0.0003444 | 1520 | GTEx | DepMap | Descartes | 0.09 | 4.15 |
FGL2 | 0.0003300 | 1580 | GTEx | DepMap | Descartes | 0.88 | 26.08 |
ITPR2 | 0.0001814 | 2256 | GTEx | DepMap | Descartes | 0.38 | 3.90 |
WWP1 | 0.0001603 | 2393 | GTEx | DepMap | Descartes | 0.20 | 7.55 |
IFNGR1 | 0.0001515 | 2465 | GTEx | DepMap | Descartes | 0.59 | 47.27 |
ATP8B4 | 0.0001382 | 2560 | GTEx | DepMap | Descartes | 0.06 | 2.31 |
RBPJ | 0.0000786 | 3091 | GTEx | DepMap | Descartes | 0.45 | 19.37 |
FGD2 | 0.0000087 | 3989 | GTEx | DepMap | Descartes | 0.08 | 3.21 |
CTSS | 0.0000086 | 3994 | GTEx | DepMap | Descartes | 1.45 | 37.12 |
ADAP2 | -0.0000005 | 4144 | GTEx | DepMap | Descartes | 0.19 | 12.54 |
CPVL | -0.0000124 | 4416 | GTEx | DepMap | Descartes | 0.58 | 25.12 |
CD74 | -0.0000188 | 4593 | GTEx | DepMap | Descartes | 11.38 | 580.64 |
CTSD | -0.0000360 | 5072 | GTEx | DepMap | Descartes | 4.67 | 266.83 |
PTPRE | -0.0001071 | 7174 | GTEx | DepMap | Descartes | 0.23 | 4.34 |
MERTK | -0.0001150 | 7404 | GTEx | DepMap | Descartes | 0.25 | 4.57 |
SPP1 | -0.0001179 | 7490 | GTEx | DepMap | Descartes | 0.19 | 26.62 |
MSR1 | -0.0001193 | 7526 | GTEx | DepMap | Descartes | 0.14 | 3.45 |
SFMBT2 | -0.0001361 | 8052 | GTEx | DepMap | Descartes | 0.03 | 0.62 |
LGMN | -0.0001448 | 8288 | GTEx | DepMap | Descartes | 1.92 | 101.50 |
CTSB | -0.0001523 | 8502 | GTEx | DepMap | Descartes | 3.44 | 115.76 |
CD14 | -0.0001550 | 8579 | GTEx | DepMap | Descartes | 2.58 | 153.59 |
FMN1 | -0.0001650 | 8872 | GTEx | DepMap | Descartes | 0.06 | 0.40 |
CSF1R | -0.0001875 | 9441 | GTEx | DepMap | Descartes | 0.17 | 3.82 |
CYBB | -0.0001876 | 9443 | GTEx | DepMap | Descartes | 0.45 | 8.98 |
MARCH1 | -0.0001910 | 9529 | GTEx | DepMap | Descartes | 0.12 | NA |
Descartes Schwann markers
Top 50 marker genes of Schwann cells in the Decartes fetal adrenal single cell map (https://atlas.brotmanbaty.org/bbi/human-gene-expression-during-development/cell/schwann/in/adrenal)
Wilcoxon ranksum test P-value for gene set overrepresentation: 2.18e-01
Mean rank of genes in gene set: 5850.52
Median rank of genes in gene set: 5936
Rank on gene expression program of top 30 genes in gene set:
Genes | Weight | Rank | GTEx | DepMap | Descartes | Mean.Counts | Mean.TPM |
---|---|---|---|---|---|---|---|
EGFLAM | 0.0017089 | 348 | GTEx | DepMap | Descartes | 0.28 | 10.65 |
SFRP1 | 0.0014644 | 399 | GTEx | DepMap | Descartes | 0.55 | 39.53 |
VIM | 0.0011281 | 507 | GTEx | DepMap | Descartes | 19.64 | 1771.88 |
LAMA4 | 0.0010229 | 553 | GTEx | DepMap | Descartes | 1.23 | 33.38 |
ADAMTS5 | 0.0008798 | 635 | GTEx | DepMap | Descartes | 0.22 | 3.07 |
PMP22 | 0.0006155 | 922 | GTEx | DepMap | Descartes | 1.89 | 303.62 |
VCAN | 0.0005126 | 1097 | GTEx | DepMap | Descartes | 1.27 | 29.71 |
GAS7 | 0.0004525 | 1222 | GTEx | DepMap | Descartes | 0.20 | 8.51 |
LAMC1 | 0.0004116 | 1327 | GTEx | DepMap | Descartes | 0.62 | 20.05 |
KCTD12 | 0.0003117 | 1646 | GTEx | DepMap | Descartes | 0.61 | 20.64 |
COL5A2 | 0.0002901 | 1721 | GTEx | DepMap | Descartes | 0.39 | 14.24 |
PLCE1 | 0.0001975 | 2172 | GTEx | DepMap | Descartes | 0.03 | 0.97 |
PLP1 | 0.0001319 | 2596 | GTEx | DepMap | Descartes | 0.19 | 21.11 |
SCN7A | 0.0001156 | 2738 | GTEx | DepMap | Descartes | 0.28 | 11.49 |
PTN | 0.0000802 | 3074 | GTEx | DepMap | Descartes | 0.30 | 51.27 |
HMGA2 | 0.0000712 | 3169 | GTEx | DepMap | Descartes | 0.00 | 0.00 |
OLFML2A | 0.0000528 | 3379 | GTEx | DepMap | Descartes | 0.36 | 11.58 |
IL1RAPL2 | 0.0000298 | 3651 | GTEx | DepMap | Descartes | 0.00 | 0.00 |
IL1RAPL1 | 0.0000024 | 4098 | GTEx | DepMap | Descartes | 0.03 | 2.18 |
TRPM3 | -0.0000362 | 5081 | GTEx | DepMap | Descartes | 0.02 | 0.09 |
MDGA2 | -0.0000420 | 5239 | GTEx | DepMap | Descartes | 0.00 | 0.00 |
COL25A1 | -0.0000609 | 5795 | GTEx | DepMap | Descartes | 0.00 | 0.00 |
LRRTM4 | -0.0000712 | 6077 | GTEx | DepMap | Descartes | 0.03 | 3.12 |
STARD13 | -0.0000748 | 6191 | GTEx | DepMap | Descartes | 0.16 | 7.16 |
ERBB4 | -0.0000759 | 6240 | GTEx | DepMap | Descartes | 0.00 | 0.00 |
PTPRZ1 | -0.0000858 | 6527 | GTEx | DepMap | Descartes | 0.00 | 0.00 |
GRIK3 | -0.0001085 | 7208 | GTEx | DepMap | Descartes | 0.00 | 0.00 |
FIGN | -0.0001136 | 7375 | GTEx | DepMap | Descartes | 0.03 | 0.63 |
SLC35F1 | -0.0001278 | 7808 | GTEx | DepMap | Descartes | 0.02 | 0.73 |
XKR4 | -0.0001535 | 8532 | GTEx | DepMap | Descartes | 0.00 | 0.00 |
Descartes Megakaryocytes markers
Top 50 marker genes of Megakaryocytes cells in the Decartes fetal adrenal single cell map (https://atlas.brotmanbaty.org/bbi/human-gene-expression-during-development/cell/megakaryocytes/in/adrenal)
Wilcoxon ranksum test P-value for gene set overrepresentation: 1.16e-02
Mean rank of genes in gene set: 5051.82
Median rank of genes in gene set: 4113
Rank on gene expression program of top 30 genes in gene set:
Genes | Weight | Rank | GTEx | DepMap | Descartes | Mean.Counts | Mean.TPM |
---|---|---|---|---|---|---|---|
GSN | 0.0121915 | 27 | GTEx | DepMap | Descartes | 17.66 | 955.42 |
LTBP1 | 0.0054337 | 92 | GTEx | DepMap | Descartes | 0.48 | 23.05 |
CD9 | 0.0022801 | 257 | GTEx | DepMap | Descartes | 1.61 | 210.91 |
SLC2A3 | 0.0018515 | 323 | GTEx | DepMap | Descartes | 1.22 | 80.94 |
THBS1 | 0.0016323 | 369 | GTEx | DepMap | Descartes | 2.20 | 74.86 |
ANGPT1 | 0.0009144 | 611 | GTEx | DepMap | Descartes | 0.11 | 8.28 |
STOM | 0.0007981 | 692 | GTEx | DepMap | Descartes | 1.02 | 66.23 |
ACTN1 | 0.0006938 | 824 | GTEx | DepMap | Descartes | 0.67 | 33.56 |
MYLK | 0.0006844 | 836 | GTEx | DepMap | Descartes | 0.61 | 12.45 |
ZYX | 0.0006203 | 912 | GTEx | DepMap | Descartes | 0.53 | 66.06 |
ACTB | 0.0005095 | 1103 | GTEx | DepMap | Descartes | 21.70 | 2445.52 |
MYH9 | 0.0004956 | 1128 | GTEx | DepMap | Descartes | 0.84 | 28.27 |
FLNA | 0.0004394 | 1256 | GTEx | DepMap | Descartes | 1.27 | 35.96 |
ITGA2B | 0.0003655 | 1454 | GTEx | DepMap | Descartes | 0.00 | 0.00 |
TPM4 | 0.0002876 | 1729 | GTEx | DepMap | Descartes | 2.58 | 130.11 |
VCL | 0.0002840 | 1741 | GTEx | DepMap | Descartes | 0.50 | 19.19 |
MCTP1 | 0.0002624 | 1839 | GTEx | DepMap | Descartes | 0.19 | 6.33 |
MMRN1 | 0.0000965 | 2916 | GTEx | DepMap | Descartes | 0.22 | 10.47 |
RAP1B | 0.0000920 | 2959 | GTEx | DepMap | Descartes | 0.91 | 15.31 |
PDE3A | 0.0000915 | 2968 | GTEx | DepMap | Descartes | 0.14 | 4.78 |
STON2 | 0.0000683 | 3197 | GTEx | DepMap | Descartes | 0.03 | 1.49 |
TMSB4X | 0.0000160 | 3860 | GTEx | DepMap | Descartes | 90.00 | 11041.89 |
GP1BA | 0.0000016 | 4113 | GTEx | DepMap | Descartes | 0.00 | 0.00 |
P2RX1 | -0.0000423 | 5250 | GTEx | DepMap | Descartes | 0.02 | 0.65 |
MED12L | -0.0000654 | 5930 | GTEx | DepMap | Descartes | 0.03 | 1.04 |
ITGB3 | -0.0000759 | 6242 | GTEx | DepMap | Descartes | 0.00 | 0.00 |
INPP4B | -0.0000778 | 6301 | GTEx | DepMap | Descartes | 0.06 | 3.42 |
FLI1 | -0.0001108 | 7289 | GTEx | DepMap | Descartes | 0.06 | 1.83 |
TLN1 | -0.0001109 | 7290 | GTEx | DepMap | Descartes | 0.73 | 17.91 |
TRPC6 | -0.0001134 | 7366 | GTEx | DepMap | Descartes | 0.00 | 0.00 |
Descartes Lyphoid markers
Top 50 marker genes of Lyphoid cells in the Decartes fetal adrenal single cell map (https://atlas.brotmanbaty.org/bbi/human-gene-expression-during-development/cell/lymphoid/in/adrenal)
Wilcoxon ranksum test P-value for gene set overrepresentation: 1.00e+00
Mean rank of genes in gene set: 8350.74
Median rank of genes in gene set: 9453
Rank on gene expression program of top 30 genes in gene set:
Genes | Weight | Rank | GTEx | DepMap | Descartes | Mean.Counts | Mean.TPM |
---|---|---|---|---|---|---|---|
ABLIM1 | 0.0013187 | 441 | GTEx | DepMap | Descartes | 0.48 | 16.33 |
ARID5B | 0.0013170 | 443 | GTEx | DepMap | Descartes | 1.28 | 50.01 |
NCALD | 0.0010703 | 526 | GTEx | DepMap | Descartes | 0.11 | 13.07 |
SP100 | 0.0005911 | 962 | GTEx | DepMap | Descartes | 0.73 | 40.39 |
PLEKHA2 | 0.0002370 | 1945 | GTEx | DepMap | Descartes | 0.08 | 3.82 |
B2M | 0.0002126 | 2075 | GTEx | DepMap | Descartes | 68.42 | 6084.43 |
MBNL1 | 0.0001004 | 2871 | GTEx | DepMap | Descartes | 0.56 | 19.86 |
SORL1 | -0.0000212 | 4653 | GTEx | DepMap | Descartes | 0.16 | 4.39 |
MCTP2 | -0.0000393 | 5151 | GTEx | DepMap | Descartes | 0.09 | 2.50 |
ARHGAP15 | -0.0000568 | 5680 | GTEx | DepMap | Descartes | 0.17 | 20.22 |
FOXP1 | -0.0000823 | 6428 | GTEx | DepMap | Descartes | 0.50 | 12.44 |
SAMD3 | -0.0001132 | 7354 | GTEx | DepMap | Descartes | 0.02 | 1.30 |
CCL5 | -0.0001326 | 7942 | GTEx | DepMap | Descartes | 0.12 | 15.77 |
ANKRD44 | -0.0001340 | 7983 | GTEx | DepMap | Descartes | 0.08 | 2.48 |
WIPF1 | -0.0001480 | 8375 | GTEx | DepMap | Descartes | 0.39 | 16.81 |
PITPNC1 | -0.0001592 | 8712 | GTEx | DepMap | Descartes | 0.16 | 2.79 |
BACH2 | -0.0001594 | 8717 | GTEx | DepMap | Descartes | 0.06 | 1.24 |
RCSD1 | -0.0001616 | 8771 | GTEx | DepMap | Descartes | 0.11 | 4.05 |
PRKCH | -0.0001735 | 9109 | GTEx | DepMap | Descartes | 0.09 | 1.70 |
PDE3B | -0.0001760 | 9171 | GTEx | DepMap | Descartes | 0.05 | 0.79 |
CCND3 | -0.0001859 | 9405 | GTEx | DepMap | Descartes | 0.28 | 31.68 |
SKAP1 | -0.0001899 | 9501 | GTEx | DepMap | Descartes | 0.02 | 0.56 |
SCML4 | -0.0002082 | 9961 | GTEx | DepMap | Descartes | 0.00 | 0.00 |
ITPKB | -0.0002115 | 10045 | GTEx | DepMap | Descartes | 0.03 | 1.32 |
DOCK10 | -0.0002174 | 10160 | GTEx | DepMap | Descartes | 0.09 | 3.78 |
IKZF1 | -0.0002263 | 10365 | GTEx | DepMap | Descartes | 0.05 | 0.52 |
CELF2 | -0.0002292 | 10423 | GTEx | DepMap | Descartes | 0.75 | 20.85 |
MSN | -0.0002360 | 10546 | GTEx | DepMap | Descartes | 0.75 | 36.85 |
LEF1 | -0.0002525 | 10863 | GTEx | DepMap | Descartes | 0.06 | 4.39 |
ETS1 | -0.0002575 | 10935 | GTEx | DepMap | Descartes | 0.28 | 8.75 |
Below shows the ranks on this GEP for immune marker gene lists curated by CellTypist (https://www.celltypist.org/encyclopedia).
High ranks indicate this gene is a driver of this GEP.
These curated gene list are ranked by P-value (on this GEP) of their constituent genes.
The Mean Count column shows the mean read count in cells scoring highly (H > 50) on this gene expression program.
Genes | Weight | Rank | GTEx | DepMap | Decartes | Mean.Counts | Mean.TPM |
---|---|---|---|---|---|---|---|
ANGPTL1 | 0.0128715 | 24 | GTEx | DepMap | Descartes | 0.30 | 31.38 |
F10 | 0.0100318 | 42 | GTEx | DepMap | Descartes | 0.31 | 79.50 |
PRRX1 | 0.0045333 | 117 | GTEx | DepMap | Descartes | 0.52 | 43.35 |
OLFML1 | 0.0022344 | 263 | GTEx | DepMap | Descartes | 0.19 | 19.63 |
SMOC2 | 0.0021796 | 272 | GTEx | DepMap | Descartes | 1.09 | 107.72 |
NTRK2 | 0.0017479 | 343 | GTEx | DepMap | Descartes | 0.53 | 17.79 |
SFRP1 | 0.0014644 | 399 | GTEx | DepMap | Descartes | 0.55 | 39.53 |
PDGFRA | 0.0006334 | 894 | GTEx | DepMap | Descartes | 0.53 | 23.75 |
EBF2 | -0.0004905 | 12347 | GTEx | DepMap | Descartes | 0.27 | 17.86 |
Fibroblasts: Fibroblasts (curated markers)
the most common cells of connective tissues which synthesize the extracellular matrix and collagen to maintain tissue homeostasis:
Wilcoxon ranksum test P-value for gene set overrepresentation: 2.43e-03
Mean rank of genes in gene set: 384.33
Rank on gene expression program of genes in gene set:
Genes | Weight | Rank | GTEx | DepMap | Decartes | Mean.Counts | Mean.TPM |
---|---|---|---|---|---|---|---|
DCN | 0.0275596 | 6 | GTEx | DepMap | Descartes | 30.11 | 1581.50 |
COL1A2 | 0.0029881 | 187 | GTEx | DepMap | Descartes | 7.55 | 393.42 |
COL1A1 | 0.0005916 | 960 | GTEx | DepMap | Descartes | 9.50 | 450.92 |
DC: Transitional DC (curated markers)
immature dendritic cells which follow dendritic cell precursors and are committed to the mature dendritic cells:
Wilcoxon ranksum test P-value for gene set overrepresentation: 8.83e-03
Mean rank of genes in gene set: 197.5
Rank on gene expression program of genes in gene set:
Genes | Weight | Rank | GTEx | DepMap | Decartes | Mean.Counts | Mean.TPM |
---|---|---|---|---|---|---|---|
KLF4 | 0.0035044 | 155 | GTEx | DepMap | Descartes | 1.33 | 120.38 |
AXL | 0.0023925 | 240 | GTEx | DepMap | Descartes | 0.89 | 50.75 |