Program description and justification of annotation: 16.
Submit a comment on this gene expression program’s interpretation: CLICK
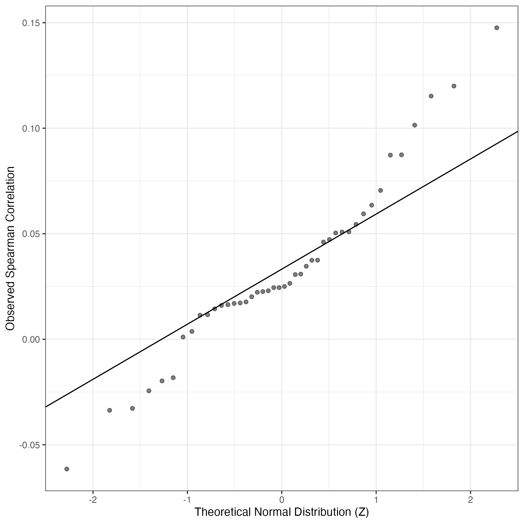
QQ-plot of gene loadings, averaged over both independent splits of the data
This plot highlights the relative contribution of each gene to the GEP
Top genes driving this program.
Note: Decartes website is buggy, try refreshing. Also, Decartes fetal adrenal data have been collected at specific time points (89-122 days), all possible cell types of interest may not be represented, do not overinterpret.
The Mean Count column shows the mean read count in cells scoring highly (H > 50) on this gene expression program.
Gene | Loading | Gene.Name | GTEx | DepMap | Descartes | Mean.Counts | Mean.Tpm | |
---|---|---|---|---|---|---|---|---|
1 | RGS1 | 0.0153634 | regulator of G protein signaling 1 | GTEx | DepMap | Descartes | 19.47 | 990.79 |
2 | HILPDA | 0.0122230 | hypoxia inducible lipid droplet associated | GTEx | DepMap | Descartes | 11.21 | 1305.81 |
3 | IL1A | 0.0095562 | interleukin 1 alpha | GTEx | DepMap | Descartes | 1.47 | 40.62 |
4 | JUNB | 0.0095432 | JunB proto-oncogene, AP-1 transcription factor subunit | GTEx | DepMap | Descartes | 19.40 | 2012.10 |
5 | ATF3 | 0.0089974 | activating transcription factor 3 | GTEx | DepMap | Descartes | 9.53 | 72.24 |
6 | CD14 | 0.0085082 | CD14 molecule | GTEx | DepMap | Descartes | 5.72 | 1502.89 |
7 | GDF15 | 0.0081190 | growth differentiation factor 15 | GTEx | DepMap | Descartes | 3.09 | 313.04 |
8 | IER3 | 0.0079326 | immediate early response 3 | GTEx | DepMap | Descartes | 7.68 | 2285.89 |
9 | IL10 | 0.0072250 | interleukin 10 | GTEx | DepMap | Descartes | 0.16 | 8.96 |
10 | CD83 | 0.0070235 | CD83 molecule | GTEx | DepMap | Descartes | 2.79 | 61.15 |
11 | VEGFA | 0.0068573 | vascular endothelial growth factor A | GTEx | DepMap | Descartes | 2.09 | 53.38 |
12 | TNFAIP3 | 0.0066420 | TNF alpha induced protein 3 | GTEx | DepMap | Descartes | 1.83 | 51.96 |
13 | RGS2 | 0.0064480 | regulator of G protein signaling 2 | GTEx | DepMap | Descartes | 3.36 | 239.19 |
14 | RASGEF1B | 0.0063964 | RasGEF domain family member 1B | GTEx | DepMap | Descartes | 1.16 | 0.78 |
15 | NFKBIA | 0.0063151 | NFKB inhibitor alpha | GTEx | DepMap | Descartes | 12.29 | 1548.33 |
16 | CXCL1 | 0.0062140 | C-X-C motif chemokine ligand 1 | GTEx | DepMap | Descartes | 3.38 | 568.76 |
17 | TRF | 0.0061790 | NA | GTEx | DepMap | Descartes | 5.16 | 59.04 |
18 | NFKBIZ | 0.0060495 | NFKB inhibitor zeta | GTEx | DepMap | Descartes | 1.66 | 24.56 |
19 | TNF | 0.0056880 | tumor necrosis factor | GTEx | DepMap | Descartes | 0.93 | 207.80 |
20 | TNFAIP2 | 0.0053969 | TNF alpha induced protein 2 | GTEx | DepMap | Descartes | 4.01 | 108.20 |
21 | ZFP36 | 0.0052784 | ZFP36 ring finger protein | GTEx | DepMap | Descartes | 8.22 | 1078.39 |
22 | SRGN | 0.0052305 | serglycin | GTEx | DepMap | Descartes | 20.16 | 239.03 |
23 | CCL4 | 0.0051611 | C-C motif chemokine ligand 4 | GTEx | DepMap | Descartes | 7.76 | 1957.41 |
24 | DUSP1 | 0.0050628 | dual specificity phosphatase 1 | GTEx | DepMap | Descartes | 7.25 | 49.42 |
25 | RAB20 | 0.0050381 | RAB20, member RAS oncogene family | GTEx | DepMap | Descartes | 1.31 | 22.04 |
26 | BCL2A1B | 0.0050216 | NA | GTEx | DepMap | Descartes | 6.94 | 280.32 |
27 | TLR2 | 0.0049531 | toll like receptor 2 | GTEx | DepMap | Descartes | 0.90 | 64.28 |
28 | KLF2 | 0.0047945 | Kruppel like factor 2 | GTEx | DepMap | Descartes | 2.86 | 566.96 |
29 | MMP13 | 0.0047932 | matrix metallopeptidase 13 | GTEx | DepMap | Descartes | 0.87 | 29.47 |
30 | PLIN2 | 0.0047686 | perilipin 2 | GTEx | DepMap | Descartes | 20.59 | 327.24 |
31 | CCRL2 | 0.0047492 | C-C motif chemokine receptor like 2 | GTEx | DepMap | Descartes | 3.21 | 683.92 |
32 | PPP1R15A | 0.0046003 | protein phosphatase 1 regulatory subunit 15A | GTEx | DepMap | Descartes | 2.68 | 349.85 |
33 | CEBPB | 0.0045906 | CCAAT enhancer binding protein beta | GTEx | DepMap | Descartes | 12.24 | 4029.61 |
34 | SGK1 | 0.0045332 | serum/glucocorticoid regulated kinase 1 | GTEx | DepMap | Descartes | 2.82 | 7.75 |
35 | MAFB | 0.0045061 | MAF bZIP transcription factor B | GTEx | DepMap | Descartes | 7.43 | 749.05 |
36 | DUSP2 | 0.0044473 | dual specificity phosphatase 2 | GTEx | DepMap | Descartes | 1.57 | 479.10 |
37 | GM6377 | 0.0044006 | NA | GTEx | DepMap | Descartes | 0.58 | 69.37 |
38 | CXCR4 | 0.0040748 | C-X-C motif chemokine receptor 4 | GTEx | DepMap | Descartes | 2.12 | 229.20 |
39 | PRDM1 | 0.0040669 | PR/SET domain 1 | GTEx | DepMap | Descartes | 0.53 | 2.00 |
40 | CXCL16 | 0.0040591 | C-X-C motif chemokine ligand 16 | GTEx | DepMap | Descartes | 3.07 | 160.37 |
41 | NLRP3 | 0.0040505 | NLR family pyrin domain containing 3 | GTEx | DepMap | Descartes | 0.54 | 13.98 |
42 | FOS | 0.0039675 | Fos proto-oncogene, AP-1 transcription factor subunit | GTEx | DepMap | Descartes | 9.01 | 996.14 |
43 | TIPARP | 0.0039225 | TCDD inducible poly(ADP-ribose) polymerase | GTEx | DepMap | Descartes | 1.19 | 18.14 |
44 | OLFR433 | 0.0039143 | NA | GTEx | DepMap | Descartes | 0.00 | 0.00 |
45 | TGIF1 | 0.0038908 | TGFB induced factor homeobox 1 | GTEx | DepMap | Descartes | 1.01 | 46.32 |
46 | RHOB | 0.0038725 | ras homolog family member B | GTEx | DepMap | Descartes | 3.49 | 583.52 |
47 | GM15356 | 0.0038353 | NA | GTEx | DepMap | Descartes | 0.00 | 0.00 |
48 | OLAH | 0.0038340 | oleoyl-ACP hydrolase | GTEx | DepMap | Descartes | 0.00 | 0.00 |
49 | IFRD1 | 0.0038021 | interferon related developmental regulator 1 | GTEx | DepMap | Descartes | 4.41 | 35.12 |
50 | CCL3 | 0.0037764 | C-C motif chemokine ligand 3 | GTEx | DepMap | Descartes | 3.21 | 1266.59 |
UMAP plots showing activity of gene expression program identified in community:16. NFkB: Myeloid
CNV Data procured from inferCNV.
Outer tracks are putative CNV regions (gains = red, losses = blue) for each patient
Inner track is expression data representing:
The top cells expressing this GEP (purple)
Random cells (n =50) from the reference set used in inferCNV (orange)
Gene set Enrichments for this program, caculated from top 50 genes
mSigDB Cell Types Gene Set:
P-value | OR | Lower 95% CI | FDR | FWER | Genes Found | Gene Set Size | |
---|---|---|---|---|---|---|---|
FAN_EMBRYONIC_CTX_MICROGLIA_2 | 7.87e-12 | 571.47 | 119.60 | 2.93e-10 | 5.28e-09 | 5IER3, CD83, CCL4, PPP1R15A, CCL3 |
9 |
DURANTE_ADULT_OLFACTORY_NEUROEPITHELIUM_MAST_CELLS | 1.84e-19 | 104.55 | 47.38 | 2.06e-17 | 1.23e-16 | 12RGS1, CD83, TNFAIP3, RGS2, NFKBIA, NFKBIZ, SRGN, CCL4, PLIN2, PPP1R15A, SGK1, DUSP2 |
75 |
DURANTE_ADULT_OLFACTORY_NEUROEPITHELIUM_MACROPHAGES | 3.67e-15 | 73.57 | 31.50 | 1.89e-13 | 2.46e-12 | 10RGS1, CD14, CD83, RGS2, SRGN, DUSP1, SGK1, CXCR4, CXCL16, CCL3 |
81 |
CUI_DEVELOPING_HEART_C8_MACROPHAGE | 2.95e-25 | 54.60 | 28.98 | 1.98e-22 | 1.98e-22 | 20RGS1, JUNB, CD14, IER3, CD83, RGS2, NFKBIA, ZFP36, SRGN, DUSP1, TLR2, CEBPB, SGK1, MAFB, DUSP2, CXCR4, CXCL16, NLRP3, RHOB, CCL3 |
275 |
DURANTE_ADULT_OLFACTORY_NEUROEPITHELIUM_MONOCYTES | 4.12e-10 | 86.13 | 28.07 | 1.06e-08 | 2.76e-07 | 6RGS1, CD83, RGS2, SRGN, SGK1, CCL3 |
39 |
DURANTE_ADULT_OLFACTORY_NEUROEPITHELIUM_DENDRITIC_CELLS | 2.99e-15 | 55.52 | 24.97 | 1.67e-13 | 2.00e-12 | 11CD14, TNFAIP3, RGS2, NFKBIA, NFKBIZ, TNFAIP2, SRGN, DUSP1, CEBPB, NLRP3, CCL3 |
117 |
GAO_LARGE_INTESTINE_24W_C11_PANETH_LIKE_CELL | 8.30e-24 | 45.67 | 24.29 | 2.78e-21 | 5.57e-21 | 20IL1A, CD14, IL10, CD83, TNFAIP3, RASGEF1B, TNF, TNFAIP2, SRGN, CCL4, TLR2, PLIN2, CEBPB, SGK1, MAFB, DUSP2, CXCR4, CXCL16, NLRP3, CCL3 |
325 |
AIZARANI_LIVER_C25_KUPFFER_CELLS_4 | 6.15e-15 | 40.70 | 19.01 | 2.95e-13 | 4.13e-12 | 12RGS1, IER3, CD83, VEGFA, RGS2, SRGN, TLR2, SGK1, MAFB, CXCR4, CXCL16, NLRP3 |
174 |
ZHENG_CORD_BLOOD_C5_SIMILAR_TO_HSC_C6_PUTATIVE_ALTERED_METABOLIC_STATE | 6.94e-11 | 44.69 | 17.61 | 2.03e-09 | 4.66e-08 | 8JUNB, ATF3, NFKBIA, NFKBIZ, ZFP36, DUSP1, DUSP2, FOS |
97 |
FAN_EMBRYONIC_CTX_BIG_GROUPS_MICROGLIA | 1.54e-19 | 33.30 | 17.43 | 2.06e-17 | 1.03e-16 | 18RGS1, JUNB, CD14, IER3, CD83, RGS2, NFKBIA, NFKBIZ, ZFP36, SRGN, CCL4, DUSP1, KLF2, PPP1R15A, CXCL16, FOS, RHOB, CCL3 |
371 |
AIZARANI_LIVER_C18_NK_NKT_CELLS_5 | 1.03e-11 | 40.95 | 17.07 | 3.65e-10 | 6.93e-09 | 9IER3, CD83, RGS2, TNFAIP2, TLR2, KLF2, CEBPB, SGK1, MAFB |
121 |
HU_FETAL_RETINA_MICROGLIA | 2.58e-19 | 32.30 | 16.90 | 2.47e-17 | 1.73e-16 | 18RGS1, JUNB, ATF3, CD14, CD83, RGS2, NFKBIA, NFKBIZ, ZFP36, SRGN, DUSP1, KLF2, PPP1R15A, CEBPB, SGK1, CXCL16, FOS, RHOB |
382 |
MANNO_MIDBRAIN_NEUROTYPES_HMGL | 7.82e-22 | 29.57 | 16.03 | 1.75e-19 | 5.25e-19 | 22RGS1, JUNB, ATF3, CD14, CD83, TNFAIP3, RASGEF1B, NFKBIA, NFKBIZ, ZFP36, SRGN, CCL4, DUSP1, KLF2, CCRL2, PPP1R15A, SGK1, MAFB, DUSP2, PRDM1, NLRP3, CCL3 |
577 |
CUI_DEVELOPING_HEART_C7_MAST_CELL | 2.90e-12 | 35.76 | 15.64 | 1.14e-10 | 1.95e-09 | 10RGS1, CD83, TNFAIP3, RGS2, NFKBIA, NFKBIZ, ZFP36, SRGN, PLIN2, PPP1R15A |
156 |
AIZARANI_LIVER_C6_KUPFFER_CELLS_2 | 1.54e-13 | 30.55 | 14.32 | 6.87e-12 | 1.03e-10 | 12RGS1, CD14, IER3, CD83, RGS2, TNFAIP2, CCL4, TLR2, CEBPB, SGK1, MAFB, CXCL16 |
228 |
TRAVAGLINI_LUNG_OLR1_CLASSICAL_MONOCYTE_CELL | 3.88e-21 | 25.34 | 13.80 | 6.51e-19 | 2.61e-18 | 23IL1A, ATF3, CD14, IER3, IL10, CD83, VEGFA, TNFAIP3, NFKBIA, CXCL1, TNFAIP2, SRGN, DUSP1, RAB20, TLR2, CCRL2, PPP1R15A, CEBPB, MAFB, CXCL16, NLRP3, FOS, CCL3 |
726 |
RUBENSTEIN_SKELETAL_MUSCLE_MYELOID_CELLS | 1.50e-15 | 26.98 | 13.55 | 9.18e-14 | 1.01e-12 | 15JUNB, CD14, IER3, CD83, RGS2, NFKBIA, NFKBIZ, ZFP36, SRGN, DUSP1, PPP1R15A, CEBPB, DUSP2, FOS, CCL3 |
347 |
TRAVAGLINI_LUNG_EREG_DENDRITIC_CELL | 6.30e-19 | 24.92 | 13.33 | 5.29e-17 | 4.23e-16 | 20ATF3, CD14, IER3, IL10, CD83, VEGFA, TNFAIP3, RGS2, SRGN, DUSP1, RAB20, TLR2, CCRL2, CEBPB, SGK1, MAFB, CXCL16, NLRP3, FOS, RHOB |
579 |
ZHONG_PFC_MAJOR_TYPES_MICROGLIA | 7.63e-17 | 25.57 | 13.25 | 5.69e-15 | 5.12e-14 | 17RGS1, JUNB, CD14, IER3, CD83, RGS2, NFKBIA, ZFP36, SRGN, CCL4, DUSP1, KLF2, SGK1, CXCL16, FOS, RHOB, CCL3 |
438 |
BUSSLINGER_ESOPHAGEAL_DENDRITIC_CELLS | 2.31e-12 | 29.01 | 13.21 | 9.68e-11 | 1.55e-09 | 11RGS1, JUNB, CD83, TNFAIP3, RGS2, ZFP36, SRGN, SGK1, DUSP2, CXCL16, FOS |
214 |
Dowload full table
mSigDB Hallmark Gene Sets:
P-value | OR | Lower 95% CI | FDR | FWER | Genes Found | Gene Set Size | |
---|---|---|---|---|---|---|---|
HALLMARK_TNFA_SIGNALING_VIA_NFKB | 5.42e-38 | 119.17 | 64.28 | 2.71e-36 | 2.71e-36 | 25IL1A, JUNB, ATF3, IER3, CD83, VEGFA, TNFAIP3, NFKBIA, CXCL1, TNF, TNFAIP2, ZFP36, CCL4, DUSP1, TLR2, KLF2, CCRL2, PPP1R15A, CEBPB, SGK1, DUSP2, FOS, TIPARP, TGIF1, RHOB |
200 |
HALLMARK_HYPOXIA | 1.11e-12 | 31.18 | 14.17 | 2.78e-11 | 5.55e-11 | 11ATF3, IER3, VEGFA, TNFAIP3, ZFP36, DUSP1, PLIN2, PPP1R15A, CXCR4, FOS, TIPARP |
200 |
HALLMARK_INFLAMMATORY_RESPONSE | 2.12e-08 | 20.72 | 8.29 | 3.54e-07 | 1.06e-06 | 8RGS1, IL1A, CD14, IL10, NFKBIA, TLR2, CCRL2, NLRP3 |
200 |
HALLMARK_APOPTOSIS | 2.16e-06 | 18.38 | 6.31 | 2.70e-05 | 1.08e-04 | 6IL1A, ATF3, CD14, IER3, TNF, RHOB |
161 |
HALLMARK_IL6_JAK_STAT3_SIGNALING | 5.43e-05 | 21.87 | 5.59 | 3.88e-04 | 2.72e-03 | 4CD14, CXCL1, TNF, TLR2 |
87 |
HALLMARK_ALLOGRAFT_REJECTION | 7.45e-06 | 14.69 | 5.06 | 7.45e-05 | 3.73e-04 | 6IL10, TNF, SRGN, CCL4, TLR2, NLRP3 |
200 |
HALLMARK_TGF_BETA_SIGNALING | 2.89e-04 | 26.15 | 5.04 | 1.31e-03 | 1.45e-02 | 3JUNB, PPP1R15A, TGIF1 |
54 |
HALLMARK_UV_RESPONSE_UP | 3.56e-05 | 15.17 | 4.64 | 2.97e-04 | 1.78e-03 | 5JUNB, ATF3, NFKBIA, FOS, RHOB |
158 |
HALLMARK_IL2_STAT5_SIGNALING | 1.05e-04 | 11.97 | 3.67 | 5.39e-04 | 5.27e-03 | 5IL10, CD83, NFKBIZ, PLIN2, RHOB |
199 |
HALLMARK_P53_PATHWAY | 1.08e-04 | 11.91 | 3.65 | 5.39e-04 | 5.39e-03 | 5IL1A, ATF3, IER3, PPP1R15A, FOS |
200 |
HALLMARK_KRAS_SIGNALING_UP | 1.08e-04 | 11.91 | 3.65 | 5.39e-04 | 5.39e-03 | 5TNFAIP3, PPP1R15A, MAFB, CXCR4, PRDM1 |
200 |
HALLMARK_ESTROGEN_RESPONSE_LATE | 1.27e-03 | 9.27 | 2.40 | 4.54e-03 | 6.36e-02 | 4ZFP36, SGK1, DUSP2, FOS |
200 |
HALLMARK_COMPLEMENT | 1.27e-03 | 9.27 | 2.40 | 4.54e-03 | 6.36e-02 | 4TNFAIP3, CXCL1, MMP13, CEBPB |
200 |
HALLMARK_EPITHELIAL_MESENCHYMAL_TRANSITION | 1.27e-03 | 9.27 | 2.40 | 4.54e-03 | 6.36e-02 | 4VEGFA, TNFAIP3, CXCL1, RHOB |
200 |
HALLMARK_UNFOLDED_PROTEIN_RESPONSE | 2.45e-03 | 12.12 | 2.38 | 8.18e-03 | 1.23e-01 | 3ATF3, VEGFA, CEBPB |
113 |
HALLMARK_CHOLESTEROL_HOMEOSTASIS | 1.34e-02 | 12.09 | 1.40 | 3.53e-02 | 6.71e-01 | 2ATF3, CXCL16 |
74 |
HALLMARK_INTERFERON_GAMMA_RESPONSE | 1.18e-02 | 6.77 | 1.34 | 3.27e-02 | 5.89e-01 | 3TNFAIP3, NFKBIA, TNFAIP2 |
200 |
HALLMARK_MTORC1_SIGNALING | 1.18e-02 | 6.77 | 1.34 | 3.27e-02 | 5.89e-01 | 3PPP1R15A, CXCR4, IFRD1 |
200 |
HALLMARK_GLYCOLYSIS | 1.18e-02 | 6.77 | 1.34 | 3.27e-02 | 5.89e-01 | 3IER3, VEGFA, CXCR4 |
200 |
HALLMARK_ESTROGEN_RESPONSE_EARLY | 8.11e-02 | 4.40 | 0.51 | 1.87e-01 | 1.00e+00 | 2FOS, TIPARP |
200 |
Dowload full table
KEGG Pathways:
P-value | OR | Lower 95% CI | FDR | FWER | Genes Found | Gene Set Size | |
---|---|---|---|---|---|---|---|
KEGG_LEISHMANIA_INFECTION | 1.84e-08 | 43.15 | 14.52 | 1.14e-06 | 3.42e-06 | 6IL1A, IL10, NFKBIA, TNF, TLR2, FOS |
72 |
KEGG_TOLL_LIKE_RECEPTOR_SIGNALING_PATHWAY | 4.28e-09 | 35.75 | 13.24 | 7.97e-07 | 7.97e-07 | 7CD14, NFKBIA, TNF, CCL4, TLR2, FOS, CCL3 |
102 |
KEGG_NOD_LIKE_RECEPTOR_SIGNALING_PATHWAY | 3.63e-07 | 40.70 | 12.16 | 1.69e-05 | 6.75e-05 | 5TNFAIP3, NFKBIA, CXCL1, TNF, NLRP3 |
62 |
KEGG_CYTOKINE_CYTOKINE_RECEPTOR_INTERACTION | 1.04e-08 | 17.92 | 7.58 | 9.63e-07 | 1.93e-06 | 9IL1A, IL10, VEGFA, CXCL1, TNF, CCL4, CXCR4, CXCL16, CCL3 |
265 |
KEGG_CHEMOKINE_SIGNALING_PATHWAY | 5.41e-06 | 15.57 | 5.36 | 2.01e-04 | 1.01e-03 | 6NFKBIA, CXCL1, CCL4, CXCR4, CXCL16, CCL3 |
189 |
KEGG_T_CELL_RECEPTOR_SIGNALING_PATHWAY | 1.26e-04 | 17.46 | 4.49 | 3.34e-03 | 2.34e-02 | 4IL10, NFKBIA, TNF, FOS |
108 |
KEGG_MAPK_SIGNALING_PATHWAY | 3.75e-05 | 10.92 | 3.77 | 1.16e-03 | 6.98e-03 | 6IL1A, CD14, TNF, DUSP1, DUSP2, FOS |
267 |
KEGG_ASTHMA | 2.32e-03 | 31.06 | 3.49 | 4.32e-02 | 4.32e-01 | 2IL10, TNF |
30 |
KEGG_APOPTOSIS | 1.16e-03 | 15.87 | 3.10 | 2.40e-02 | 2.16e-01 | 3IL1A, NFKBIA, TNF |
87 |
KEGG_HEMATOPOIETIC_CELL_LINEAGE | 1.16e-03 | 15.87 | 3.10 | 2.40e-02 | 2.16e-01 | 3IL1A, CD14, TNF |
87 |
KEGG_ALLOGRAFT_REJECTION | 3.51e-03 | 24.86 | 2.82 | 5.94e-02 | 6.53e-01 | 2IL10, TNF |
37 |
KEGG_GRAFT_VERSUS_HOST_DISEASE | 4.30e-03 | 22.32 | 2.54 | 6.66e-02 | 7.99e-01 | 2IL1A, TNF |
41 |
KEGG_TYPE_I_DIABETES_MELLITUS | 4.72e-03 | 21.23 | 2.42 | 6.75e-02 | 8.77e-01 | 2IL1A, TNF |
43 |
KEGG_INTESTINAL_IMMUNE_NETWORK_FOR_IGA_PRODUCTION | 5.84e-03 | 18.92 | 2.16 | 7.77e-02 | 1.00e+00 | 2IL10, CXCR4 |
48 |
KEGG_CYTOSOLIC_DNA_SENSING_PATHWAY | 7.61e-03 | 16.42 | 1.89 | 9.43e-02 | 1.00e+00 | 2NFKBIA, CCL4 |
55 |
KEGG_ADIPOCYTOKINE_SIGNALING_PATHWAY | 1.11e-02 | 13.40 | 1.54 | 1.25e-01 | 1.00e+00 | 2NFKBIA, TNF |
67 |
KEGG_EPITHELIAL_CELL_SIGNALING_IN_HELICOBACTER_PYLORI_INFECTION | 1.14e-02 | 13.18 | 1.52 | 1.25e-01 | 1.00e+00 | 2NFKBIA, CXCL1 |
68 |
KEGG_RIG_I_LIKE_RECEPTOR_SIGNALING_PATHWAY | 1.24e-02 | 12.61 | 1.46 | 1.28e-01 | 1.00e+00 | 2NFKBIA, TNF |
71 |
KEGG_B_CELL_RECEPTOR_SIGNALING_PATHWAY | 1.38e-02 | 11.92 | 1.38 | 1.35e-01 | 1.00e+00 | 2NFKBIA, FOS |
75 |
KEGG_PATHWAYS_IN_CANCER | 4.09e-02 | 4.14 | 0.82 | 3.80e-01 | 1.00e+00 | 3VEGFA, NFKBIA, FOS |
325 |
Dowload full table
CHR Positional Gene Sets:
P-value | OR | Lower 95% CI | FDR | FWER | Genes Found | Gene Set Size | |
---|---|---|---|---|---|---|---|
chr1q31 | 1.24e-02 | 12.61 | 1.46 | 1.00e+00 | 1.00e+00 | 2RGS1, RGS2 |
71 |
chr6q23 | 2.63e-02 | 8.37 | 0.97 | 1.00e+00 | 1.00e+00 | 2TNFAIP3, SGK1 |
106 |
chr17q12 | 4.52e-02 | 6.18 | 0.72 | 1.00e+00 | 1.00e+00 | 2CCL4, CCL3 |
143 |
chr6p23 | 3.52e-02 | 30.43 | 0.71 | 1.00e+00 | 1.00e+00 | 1CD83 |
15 |
chr6p21 | 9.54e-02 | 2.88 | 0.57 | 1.00e+00 | 1.00e+00 | 3IER3, VEGFA, TNF |
467 |
chr20q12 | 5.57e-02 | 18.53 | 0.44 | 1.00e+00 | 1.00e+00 | 1MAFB |
24 |
chr1q32 | 1.30e-01 | 3.30 | 0.39 | 1.00e+00 | 1.00e+00 | 2ATF3, IL10 |
266 |
chr19p13 | 2.63e-01 | 1.73 | 0.34 | 1.00e+00 | 1.00e+00 | 3JUNB, GDF15, KLF2 |
773 |
chr3q12 | 1.04e-01 | 9.47 | 0.23 | 1.00e+00 | 1.00e+00 | 1NFKBIZ |
46 |
chr14q13 | 1.31e-01 | 7.35 | 0.18 | 1.00e+00 | 1.00e+00 | 1NFKBIA |
59 |
chr10p13 | 1.42e-01 | 6.77 | 0.17 | 1.00e+00 | 1.00e+00 | 1OLAH |
64 |
chr2q22 | 1.50e-01 | 6.36 | 0.16 | 1.00e+00 | 1.00e+00 | 1CXCR4 |
68 |
chr2p24 | 1.62e-01 | 5.84 | 0.14 | 1.00e+00 | 1.00e+00 | 1RHOB |
74 |
chr7q32 | 1.93e-01 | 4.79 | 0.12 | 1.00e+00 | 1.00e+00 | 1HILPDA |
90 |
chr11q22 | 2.08e-01 | 4.40 | 0.11 | 1.00e+00 | 1.00e+00 | 1MMP13 |
98 |
chr6q21 | 2.43e-01 | 3.68 | 0.09 | 1.00e+00 | 1.00e+00 | 1PRDM1 |
117 |
chr19q13 | 1.00e+00 | 0.75 | 0.09 | 1.00e+00 | 1.00e+00 | 2ZFP36, PPP1R15A |
1165 |
chr7q31 | 2.65e-01 | 3.33 | 0.08 | 1.00e+00 | 1.00e+00 | 1IFRD1 |
129 |
chr2q11 | 2.94e-01 | 2.94 | 0.07 | 1.00e+00 | 1.00e+00 | 1DUSP2 |
146 |
chr3q25 | 3.04e-01 | 2.82 | 0.07 | 1.00e+00 | 1.00e+00 | 1TIPARP |
152 |
Dowload full table
Transcription Factor Targets:
P-value | OR | Lower 95% CI | FDR | FWER | Genes Found | Gene Set Size | |
---|---|---|---|---|---|---|---|
EGFR_TARGET_GENES | 1.55e-04 | 144.44 | 13.92 | 1.75e-02 | 1.75e-01 | 2JUNB, RHOB |
8 |
MAP2K1_TARGET_GENES | 1.99e-04 | 123.89 | 12.26 | 1.77e-02 | 2.25e-01 | 2SGK1, FOS |
9 |
PSMB5_TARGET_GENES | 1.08e-10 | 19.91 | 9.10 | 1.22e-07 | 1.22e-07 | 11JUNB, ATF3, IER3, VEGFA, NFKBIZ, ZFP36, DUSP1, KLF2, PPP1R15A, SGK1, RHOB |
307 |
GTF2A2_TARGET_GENES | 2.50e-08 | 11.54 | 5.30 | 1.42e-05 | 2.83e-05 | 11JUNB, ATF3, IER3, RGS2, ZFP36, DUSP1, PPP1R15A, CEBPB, SGK1, FOS, IFRD1 |
522 |
CEBPB_02 | 2.84e-06 | 13.13 | 4.94 | 8.04e-04 | 3.21e-03 | 7NFKBIA, NFKBIZ, DUSP1, NLRP3, TGIF1, RHOB, CCL3 |
266 |
SRF_Q4 | 1.64e-05 | 12.72 | 4.39 | 3.09e-03 | 1.86e-02 | 6JUNB, SGK1, DUSP2, FOS, TGIF1, IFRD1 |
230 |
YWATTWNNRGCT_UNKNOWN | 6.46e-04 | 19.62 | 3.81 | 2.93e-02 | 7.32e-01 | 3ATF3, NFKBIA, PRDM1 |
71 |
ATF_01 | 3.75e-05 | 10.92 | 3.77 | 6.07e-03 | 4.25e-02 | 6ATF3, SRGN, DUSP1, PPP1R15A, SGK1, FOS |
267 |
HJURP_TARGET_GENES | 2.02e-03 | 33.43 | 3.75 | 7.16e-02 | 1.00e+00 | 2PPP1R15A, IFRD1 |
28 |
WGTTNNNNNAAA_UNKNOWN | 4.58e-06 | 8.42 | 3.58 | 1.04e-03 | 5.19e-03 | 9RGS1, IER3, IL10, VEGFA, CEBPB, CXCR4, PRDM1, FOS, TGIF1 |
554 |
TAXCREB_01 | 3.38e-04 | 13.35 | 3.44 | 2.13e-02 | 3.83e-01 | 4VEGFA, DUSP1, CEBPB, FOS |
140 |
LXR_Q3 | 9.47e-04 | 17.09 | 3.33 | 3.97e-02 | 1.00e+00 | 3NFKBIA, SGK1, MAFB |
81 |
TATAAA_TATA_01 | 7.51e-07 | 6.24 | 3.10 | 2.84e-04 | 8.51e-04 | 14RGS1, JUNB, GDF15, IL10, NFKBIA, TNF, CCL4, MMP13, PPP1R15A, CEBPB, CXCR4, PRDM1, FOS, TGIF1 |
1317 |
CHOP_01 | 2.45e-04 | 9.92 | 3.05 | 1.77e-02 | 2.78e-01 | 5ATF3, VEGFA, NFKBIA, CEBPB, PRDM1 |
239 |
MEF2_03 | 2.50e-04 | 9.88 | 3.03 | 1.77e-02 | 2.83e-01 | 5ATF3, RASGEF1B, PRDM1, FOS, RHOB |
240 |
ATF4_Q2 | 3.60e-04 | 9.11 | 2.80 | 2.14e-02 | 4.08e-01 | 5DUSP1, PPP1R15A, SGK1, CXCL16, FOS |
260 |
CREB_Q2 | 4.19e-04 | 8.80 | 2.70 | 2.26e-02 | 4.75e-01 | 5ATF3, DUSP1, PPP1R15A, CXCL16, FOS |
269 |
CREB_Q4 | 4.41e-04 | 8.70 | 2.67 | 2.26e-02 | 5.00e-01 | 5ATF3, DUSP1, PPP1R15A, CXCL16, FOS |
272 |
COREBINDINGFACTOR_Q6 | 4.71e-04 | 8.57 | 2.63 | 2.26e-02 | 5.33e-01 | 5RGS1, NFKBIZ, CCL4, MMP13, CCL3 |
276 |
CEBP_01 | 4.79e-04 | 8.54 | 2.62 | 2.26e-02 | 5.42e-01 | 5NFKBIZ, TNF, DUSP2, PRDM1, TGIF1 |
277 |
Dowload full table
GO Biological Processes:
P-value | OR | Lower 95% CI | FDR | FWER | Genes Found | Gene Set Size | |
---|---|---|---|---|---|---|---|
GOBP_REGULATION_OF_CHRONIC_INFLAMMATORY_RESPONSE | 7.10e-07 | 263.86 | 39.95 | 1.02e-04 | 5.31e-03 | 3IL10, TNFAIP3, TNF |
8 |
GOBP_VASCULAR_WOUND_HEALING | 1.66e-07 | 106.45 | 25.11 | 3.11e-05 | 1.24e-03 | 4VEGFA, TNFAIP3, TNF, CXCR4 |
21 |
GOBP_RESPONSE_TO_DIACYL_BACTERIAL_LIPOPEPTIDE | 5.55e-05 | 286.32 | 23.57 | 3.40e-03 | 4.16e-01 | 2CD14, TLR2 |
5 |
GOBP_REGULATION_OF_VASCULAR_WOUND_HEALING | 3.59e-06 | 132.82 | 22.78 | 3.95e-04 | 2.69e-02 | 3TNFAIP3, TNF, CXCR4 |
13 |
GOBP_POSITIVE_REGULATION_OF_TRANSCRIPTION_FROM_RNA_POLYMERASE_II_PROMOTER_IN_RESPONSE_TO_STRESS | 2.93e-07 | 90.62 | 21.67 | 5.13e-05 | 2.19e-03 | 4ATF3, VEGFA, KLF2, CEBPB |
24 |
GOBP_NUCLEOTIDE_BINDING_OLIGOMERIZATION_DOMAIN_CONTAINING_1_SIGNALING_PATHWAY | 8.32e-05 | 214.97 | 19.15 | 4.51e-03 | 6.22e-01 | 2TNFAIP3, NFKBIA |
6 |
GOBP_POSITIVE_REGULATION_OF_NATURAL_KILLER_CELL_CHEMOTAXIS | 8.32e-05 | 214.97 | 19.15 | 4.51e-03 | 6.22e-01 | 2CCL4, CCL3 |
6 |
GOBP_LIPOPOLYSACCHARIDE_MEDIATED_SIGNALING_PATHWAY | 4.91e-09 | 54.73 | 18.26 | 1.67e-06 | 3.67e-05 | 6CD14, TNFAIP3, NFKBIA, TNF, TLR2, CCL3 |
58 |
GOBP_ANGIOGENESIS_INVOLVED_IN_WOUND_HEALING | 6.49e-07 | 72.49 | 17.65 | 9.71e-05 | 4.85e-03 | 4VEGFA, TNFAIP3, TNF, CXCR4 |
29 |
GOBP_CELLULAR_RESPONSE_TO_MOLECULE_OF_BACTERIAL_ORIGIN | 5.48e-14 | 33.49 | 15.69 | 2.05e-10 | 4.10e-10 | 12IL1A, CD14, IL10, TNFAIP3, NFKBIA, CXCL1, TNF, ZFP36, TLR2, CEBPB, NLRP3, CCL3 |
209 |
GOBP_CHRONIC_INFLAMMATORY_RESPONSE | 1.20e-05 | 83.10 | 15.03 | 9.79e-04 | 9.00e-02 | 3IL10, TNFAIP3, TNF |
19 |
GOBP_CELLULAR_RESPONSE_TO_BIOTIC_STIMULUS | 1.98e-13 | 29.84 | 14.00 | 3.71e-10 | 1.48e-09 | 12IL1A, CD14, IL10, TNFAIP3, NFKBIA, CXCL1, TNF, ZFP36, TLR2, CEBPB, NLRP3, CCL3 |
233 |
GOBP_CYTOPLASMIC_SEQUESTERING_OF_NF_KAPPAB | 1.55e-04 | 144.44 | 13.92 | 7.47e-03 | 1.00e+00 | 2IL10, NFKBIA |
8 |
GOBP_CELLULAR_RESPONSE_TO_BACTERIAL_LIPOPROTEIN | 1.99e-04 | 123.89 | 12.26 | 8.74e-03 | 1.00e+00 | 2CD14, TLR2 |
9 |
GOBP_REGULATION_OF_NATURAL_KILLER_CELL_CHEMOTAXIS | 1.99e-04 | 123.89 | 12.26 | 8.74e-03 | 1.00e+00 | 2CCL4, CCL3 |
9 |
GOBP_REGULATION_OF_OSTEOCLAST_DIFFERENTIATION | 3.93e-07 | 39.99 | 11.96 | 6.26e-05 | 2.94e-03 | 5TNF, CEBPB, MAFB, FOS, CCL3 |
63 |
GOBP_OSTEOCLAST_DIFFERENTIATION | 8.06e-08 | 33.11 | 11.23 | 1.78e-05 | 6.03e-04 | 6JUNB, TNF, CEBPB, MAFB, FOS, CCL3 |
92 |
GOBP_FEVER_GENERATION | 2.48e-04 | 108.38 | 10.95 | 1.04e-02 | 1.00e+00 | 2IL1A, TNF |
10 |
GOBP_NEGATIVE_REGULATION_OF_ERYTHROCYTE_DIFFERENTIATION | 2.48e-04 | 108.38 | 10.95 | 1.04e-02 | 1.00e+00 | 2ZFP36, MAFB |
10 |
GOBP_RESPONSE_TO_LIPOTEICHOIC_ACID | 2.48e-04 | 108.38 | 10.95 | 1.04e-02 | 1.00e+00 | 2CD14, TLR2 |
10 |
Dowload full table
Immunological Gene Sets:
P-value | OR | Lower 95% CI | FDR | FWER | Genes Found | Gene Set Size | |
---|---|---|---|---|---|---|---|
GSE14769_UNSTIM_VS_40MIN_LPS_BMDM_DN | 1.36e-46 | 167.89 | 90.50 | 6.63e-43 | 6.63e-43 | 29RGS1, HILPDA, JUNB, ATF3, CD14, GDF15, IER3, IL10, VEGFA, TNFAIP3, RASGEF1B, NFKBIA, NFKBIZ, TNF, ZFP36, CCL4, DUSP1, RAB20, TLR2, MMP13, CCRL2, PPP1R15A, CEBPB, SGK1, DUSP2, FOS, TIPARP, TGIF1, IFRD1 |
200 |
GSE14769_UNSTIM_VS_60MIN_LPS_BMDM_DN | 6.20e-36 | 109.23 | 58.89 | 1.51e-32 | 3.02e-32 | 24HILPDA, ATF3, CD14, GDF15, IER3, IL10, CD83, RASGEF1B, CXCL1, TNFAIP2, SRGN, CCL4, DUSP1, RAB20, TLR2, MMP13, CCRL2, CEBPB, SGK1, DUSP2, FOS, TIPARP, TGIF1, IFRD1 |
200 |
GSE36891_POLYIC_TLR3_VS_PAM_TLR2_STIM_PERITONEAL_MACROPHAGE_UP | 1.74e-30 | 104.57 | 54.77 | 2.83e-27 | 8.50e-27 | 20RGS1, IL1A, JUNB, ATF3, GDF15, IER3, IL10, TNFAIP3, RGS2, CXCL1, NFKBIZ, ZFP36, DUSP1, CCRL2, CEBPB, SGK1, DUSP2, PRDM1, FOS, RHOB |
153 |
GSE26343_UNSTIM_VS_LPS_STIM_NFAT5_KO_MACROPHAGE_DN | 5.60e-30 | 84.46 | 44.84 | 4.54e-27 | 2.73e-26 | 21IL1A, JUNB, CD14, GDF15, IER3, CD83, CXCL1, NFKBIZ, TNFAIP2, ZFP36, DUSP1, RAB20, TLR2, CCRL2, CEBPB, DUSP2, PRDM1, CXCL16, NLRP3, TGIF1, IFRD1 |
200 |
GSE27434_WT_VS_DNMT1_KO_TREG_DN | 5.60e-30 | 84.46 | 44.84 | 4.54e-27 | 2.73e-26 | 21IL1A, JUNB, CD14, IL10, CD83, NFKBIA, NFKBIZ, TNF, TNFAIP2, ZFP36, SRGN, DUSP1, MMP13, PPP1R15A, SGK1, DUSP2, PRDM1, FOS, TGIF1, RHOB, IFRD1 |
200 |
GSE46606_UNSTIM_VS_CD40L_IL2_IL5_1DAY_STIMULATED_IRF4HIGH_SORTED_BCELL_DN | 5.60e-30 | 84.46 | 44.84 | 4.54e-27 | 2.73e-26 | 21RGS1, IER3, TNFAIP3, RASGEF1B, NFKBIA, NFKBIZ, TNF, TNFAIP2, ZFP36, SRGN, CCL4, DUSP1, RAB20, CCRL2, PPP1R15A, DUSP2, CXCR4, PRDM1, CXCL16, TGIF1, IFRD1 |
200 |
GSE14769_UNSTIM_VS_80MIN_LPS_BMDM_DN | 4.11e-28 | 77.76 | 41.05 | 2.47e-25 | 2.00e-24 | 20RGS1, HILPDA, ATF3, GDF15, IL10, CD83, RASGEF1B, CXCL1, TNFAIP2, SRGN, CCL4, DUSP1, RAB20, TLR2, MMP13, CCRL2, CEBPB, FOS, TIPARP, TGIF1 |
199 |
GSE32986_CURDLAN_HIGHDOSE_VS_GMCSF_AND_CURDLAN_HIGHDOSE_STIM_DC_DN | 4.56e-28 | 77.33 | 40.80 | 2.47e-25 | 2.22e-24 | 20IL1A, JUNB, CD83, TNFAIP3, RASGEF1B, NFKBIA, CXCL1, NFKBIZ, TNF, TNFAIP2, ZFP36, CCL4, DUSP1, RAB20, TLR2, CCRL2, PPP1R15A, DUSP2, PRDM1, NLRP3 |
200 |
GSE42021_TREG_PLN_VS_CD24HI_TREG_THYMUS_UP | 4.56e-28 | 77.33 | 40.80 | 2.47e-25 | 2.22e-24 | 20IL1A, JUNB, CD14, IER3, IL10, CD83, NFKBIA, NFKBIZ, TNF, TNFAIP2, SRGN, DUSP1, PPP1R15A, CEBPB, SGK1, DUSP2, FOS, TGIF1, RHOB, IFRD1 |
200 |
GSE19923_WT_VS_HEB_AND_E2A_KO_DP_THYMOCYTE_DN | 2.32e-24 | 64.53 | 33.47 | 1.13e-21 | 1.13e-20 | 18JUNB, ATF3, IER3, IL10, NFKBIA, NFKBIZ, TNF, ZFP36, CCL4, DUSP1, PPP1R15A, SGK1, CXCR4, PRDM1, FOS, TIPARP, TGIF1, RHOB |
200 |
GSE9988_LPS_VS_VEHICLE_TREATED_MONOCYTE_UP | 1.02e-22 | 60.16 | 30.77 | 4.16e-20 | 4.99e-19 | 17IL1A, IER3, IL10, CD83, TNFAIP3, RASGEF1B, NFKBIA, CXCL1, NFKBIZ, TNF, TNFAIP2, CCL4, DUSP1, CCRL2, PPP1R15A, DUSP2, NLRP3 |
196 |
GSE9988_LOW_LPS_VS_VEHICLE_TREATED_MONOCYTE_UP | 1.02e-22 | 60.16 | 30.77 | 4.16e-20 | 4.99e-19 | 17IL1A, IER3, IL10, CD83, TNFAIP3, RASGEF1B, NFKBIA, CXCL1, NFKBIZ, TNF, TNFAIP2, CCL4, DUSP1, CCRL2, PPP1R15A, DUSP2, NLRP3 |
196 |
GSE14769_UNSTIM_VS_20MIN_LPS_BMDM_DN | 1.45e-22 | 58.68 | 30.12 | 5.44e-20 | 7.07e-19 | 17RGS1, JUNB, CD14, GDF15, IER3, NFKBIA, NFKBIZ, TNF, ZFP36, CCL4, DUSP1, CCRL2, PPP1R15A, CEBPB, SGK1, DUSP2, FOS |
200 |
GSE9988_LPS_VS_CTRL_TREATED_MONOCYTE_UP | 5.96e-21 | 54.55 | 27.60 | 1.94e-18 | 2.90e-17 | 16RGS1, IL1A, IER3, IL10, CD83, TNFAIP3, NFKBIA, CXCL1, NFKBIZ, TNF, CCL4, DUSP1, CCRL2, PPP1R15A, DUSP2, NLRP3 |
196 |
GSE9988_LOW_LPS_VS_CTRL_TREATED_MONOCYTE_UP | 5.96e-21 | 54.55 | 27.60 | 1.94e-18 | 2.90e-17 | 16RGS1, IL1A, IER3, IL10, CD83, TNFAIP3, NFKBIA, CXCL1, NFKBIZ, TNF, CCL4, DUSP1, CCRL2, PPP1R15A, DUSP2, NLRP3 |
196 |
GSE45365_NK_CELL_VS_CD11B_DC_DN | 7.62e-21 | 53.67 | 27.19 | 2.32e-18 | 3.71e-17 | 16JUNB, CD14, IER3, TNFAIP3, NFKBIA, CXCL1, NFKBIZ, TNFAIP2, ZFP36, CCL4, DUSP1, RAB20, CEBPB, MAFB, FOS, TIPARP |
199 |
GSE21360_SECONDARY_VS_QUATERNARY_MEMORY_CD8_TCELL_UP | 1.03e-19 | 53.53 | 26.66 | 2.94e-17 | 5.00e-16 | 15IL1A, CD14, IL10, TNFAIP3, NFKBIA, NFKBIZ, TNF, TNFAIP2, ZFP36, CCL4, DUSP1, MMP13, CCRL2, DUSP2, CCL3 |
182 |
GSE37605_C57BL6_VS_NOD_FOXP3_FUSION_GFP_TREG_DN | 2.13e-19 | 50.83 | 25.32 | 5.77e-17 | 1.04e-15 | 15IL1A, JUNB, ATF3, CD14, IER3, IL10, TNFAIP3, NFKBIZ, ZFP36, DUSP1, MMP13, CCRL2, CEBPB, FOS, CCL3 |
191 |
GSE9988_ANTI_TREM1_VS_ANTI_TREM1_AND_LPS_MONOCYTE_DN | 2.92e-19 | 49.71 | 24.77 | 7.48e-17 | 1.42e-15 | 15IL1A, IER3, IL10, CD83, TNFAIP3, NFKBIA, NFKBIZ, TNF, TNFAIP2, ZFP36, CCL4, CCRL2, PPP1R15A, DUSP2, NLRP3 |
195 |
GSE19401_NAIVE_VS_IMMUNIZED_MOUSE_PLN_FOLLICULAR_DC_UP | 3.97e-19 | 48.69 | 24.25 | 9.47e-17 | 1.93e-15 | 15RGS1, JUNB, ATF3, CD83, CXCL1, TNF, ZFP36, CCL4, DUSP1, PPP1R15A, DUSP2, PRDM1, TIPARP, RHOB, CCL3 |
199 |
Top Ranked Transcription Factors for this Gene Expression Program:
Gene Symbol | TF Rank | DNA Binding Domain | Motif Status | IUPAC PWM | GTEx | DepMap | Decartes |
---|---|---|---|---|---|---|---|
JUNB | 4 | Yes | Known motif | Monomer or homomultimer | High-throughput in vitro | None | Prefers forming heterodimers with FOS; FOSB; FOSL1 and FOSL2 over homodimers (PMID:12805554); but, clearly can bind DNA specifically in vitro. |
ATF3 | 5 | Yes | Known motif | Monomer or homomultimer | High-throughput in vitro | None | None |
IL10 | 9 | No | Unlikely to be sequence specific TF | Not a DNA binding protein | No motif | None | None |
VEGFA | 11 | No | Unlikely to be sequence specific TF | Not a DNA binding protein | No motif | None | Extracellular signaling molecule. Included only because it regulates CREB. |
TNFAIP3 | 12 | No | Unlikely to be sequence specific TF | Not a DNA binding protein | No motif | None | Inhibits NFKB-activation. No evidence for direct binding to DNA |
NFKBIA | 15 | No | Unlikely to be sequence specific TF | Not a DNA binding protein | No motif | None | This is I kappa B alpha, which interacts with NFkappaB. No DBD, and evidence indicates that it is not a TF. |
NFKBIZ | 18 | No | Unlikely to be sequence specific TF | Not a DNA binding protein | No motif | None | None |
TNF | 19 | No | Unlikely to be sequence specific TF | Not a DNA binding protein | No motif | None | The protein is a secreted cytokine and operates far upstream in the signaling cascade |
ZFP36 | 21 | No | ssDNA/RNA binding | Not a DNA binding protein | No motif | None | RNA binding protein (PMID: 10330172). |
TLR2 | 27 | No | Unlikely to be sequence specific TF | Not a DNA binding protein | No motif | None | Upstream of NFKB and not involved in DNA-binding |
KLF2 | 28 | Yes | Known motif | Monomer or homomultimer | High-throughput in vitro | None | None |
CEBPB | 33 | Yes | Known motif | Monomer or homomultimer | High-throughput in vitro | None | None |
SGK1 | 34 | No | Unlikely to be sequence specific TF | Not a DNA binding protein | No motif | None | None |
MAFB | 35 | Yes | Known motif | Monomer or homomultimer | 100 perc ID - in vitro | None | PDB:2WTY is a homodimer crystallised with TAATTGCTGACTCAGCAAAT sequence |
PRDM1 | 39 | Yes | Known motif | Monomer or homomultimer | High-throughput in vitro | None | None |
NLRP3 | 41 | No | Unlikely to be sequence specific TF | Not a DNA binding protein | No motif | None | Operates upstream in the signaling cascade |
FOS | 42 | Yes | Known motif | Monomer or homomultimer | High-throughput in vitro | None | None |
TIPARP | 43 | No | Unlikely to be sequence specific TF | Not a DNA binding protein | No motif | None | None |
TGIF1 | 45 | Yes | Known motif | Monomer or homomultimer | High-throughput in vitro | None | None |
KLF6 | 51 | Yes | Known motif | Monomer or homomultimer | High-throughput in vitro | None | None |
QQ Plot showing correlations with other Gene Expression Programs in this dataset, calculated by Spearman correlation:
Interactive QQ-plot of gene loadings:
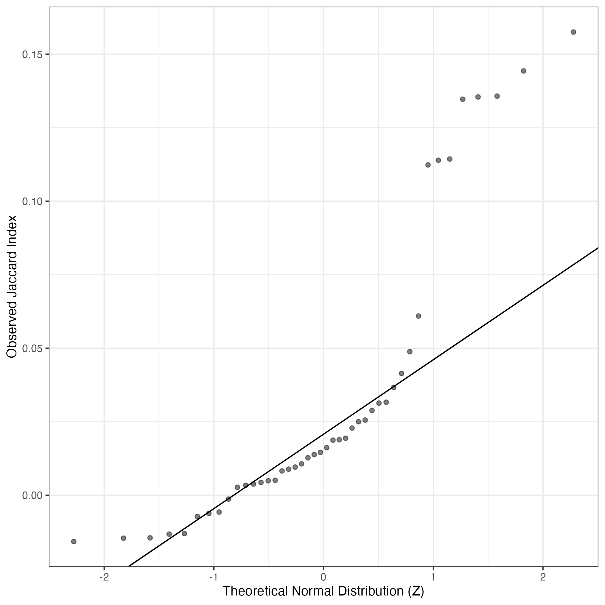
A similar QQ-plot as above, but only for instances where the H value is e.g. > 25, i.e. we are confident that the expression program is active above noise. Agreemenet between these binary vectors is tested using the Jaccard Index, with the P-values calculated by an exact test:
Interactive QQ-plot:
Singler cell type annotations for the top 50 cells on this program.
Cell ID | Singler label | Singler Delta | Activity Score | Top Singler Raw Scores |
---|---|---|---|---|
831_AAGTACCTCACAAGGG-1 | DC:monocyte-derived:anti-DC-SIGN_2h | 0.16 | 2373.58 | Raw ScoresMacrophage:monocyte-derived:M-CSF: 0.49, DC:monocyte-derived:anti-DC-SIGN_2h: 0.49, Monocyte:leukotriene_D4: 0.48, Macrophage:monocyte-derived:IL-4/Dex/TGFb: 0.48, Macrophage:monocyte-derived:IL-4/Dex/cntrl: 0.48, DC:monocyte-derived: 0.48, Macrophage:monocyte-derived:M-CSF/IFNg: 0.48, Macrophage:monocyte-derived: 0.47, DC:monocyte-derived:AEC-conditioned: 0.47, Macrophage:monocyte-derived:M-CSF/Pam3Cys: 0.47 |
831_CCTTGTGCACTGAGTT-1 | Macrophage:monocyte-derived:M-CSF | 0.16 | 2179.82 | Raw ScoresMacrophage:monocyte-derived:M-CSF: 0.48, DC:monocyte-derived:anti-DC-SIGN_2h: 0.48, Monocyte:leukotriene_D4: 0.48, Macrophage:monocyte-derived:IL-4/Dex/TGFb: 0.47, DC:monocyte-derived: 0.47, Monocyte: 0.47, Macrophage:monocyte-derived:M-CSF/IFNg: 0.47, DC:monocyte-derived:immature: 0.47, Macrophage:monocyte-derived:M-CSF/Pam3Cys: 0.47, Macrophage:monocyte-derived:IL-4/Dex/cntrl: 0.47 |
847_TCCTCGAAGTGTTGAA-1 | DC:monocyte-derived:anti-DC-SIGN_2h | 0.10 | 1971.18 | Raw ScoresDC:monocyte-derived:AEC-conditioned: 0.45, DC:monocyte-derived: 0.45, DC:monocyte-derived:anti-DC-SIGN_2h: 0.45, DC:monocyte-derived:CD40L: 0.45, Macrophage:monocyte-derived:M-CSF/IFNg: 0.45, Macrophage:monocyte-derived:M-CSF/Pam3Cys: 0.45, Monocyte:leukotriene_D4: 0.44, Macrophage:monocyte-derived:M-CSF: 0.44, Macrophage:monocyte-derived: 0.44, DC:monocyte-derived:immature: 0.44 |
887_ACGATCATCAAACCTG-1 | Macrophage:Alveolar | 0.13 | 1469.31 | Raw ScoresMacrophage:monocyte-derived:M-CSF: 0.52, Macrophage:monocyte-derived:IL-4/Dex/cntrl: 0.52, Macrophage:monocyte-derived:IL-4/Dex/TGFb: 0.52, DC:monocyte-derived: 0.52, Macrophage:monocyte-derived:M-CSF/IFNg: 0.52, DC:monocyte-derived:AEC-conditioned: 0.52, Macrophage:monocyte-derived:IL-4/cntrl: 0.51, DC:monocyte-derived:immature: 0.51, DC:monocyte-derived:anti-DC-SIGN_2h: 0.51, Monocyte:leukotriene_D4: 0.51 |
839_ACGTACAAGCCTCAAT-1 | Monocyte:leukotriene_D4 | 0.15 | 1145.29 | Raw ScoresMonocyte:leukotriene_D4: 0.47, Macrophage:monocyte-derived:M-CSF: 0.47, Macrophage:monocyte-derived:M-CSF/IFNg: 0.47, DC:monocyte-derived:anti-DC-SIGN_2h: 0.47, Monocyte:anti-FcgRIIB: 0.46, Monocyte: 0.46, Macrophage:monocyte-derived:M-CSF/Pam3Cys: 0.46, DC:monocyte-derived:Galectin-1: 0.46, DC:monocyte-derived:AEC-conditioned: 0.46, Macrophage:monocyte-derived: 0.46 |
831_CACTGAAGTCTCGACG-1 | Macrophage:Alveolar:B._anthacis_spores | 0.12 | 1127.95 | Raw ScoresMacrophage:monocyte-derived:M-CSF: 0.48, DC:monocyte-derived:anti-DC-SIGN_2h: 0.47, Macrophage:monocyte-derived:IL-4/Dex/TGFb: 0.47, Monocyte:leukotriene_D4: 0.47, Macrophage:monocyte-derived:M-CSF/Pam3Cys: 0.47, DC:monocyte-derived: 0.47, Macrophage:monocyte-derived:IL-4/Dex/cntrl: 0.47, Macrophage:monocyte-derived: 0.46, DC:monocyte-derived:CD40L: 0.46, DC:monocyte-derived:AEC-conditioned: 0.46 |
849_GTGACGCCAGCTACTA-1 | Macrophage:monocyte-derived:M-CSF | 0.15 | 1006.02 | Raw ScoresMacrophage:monocyte-derived:M-CSF: 0.47, Macrophage:monocyte-derived:M-CSF/IFNg: 0.46, Monocyte:leukotriene_D4: 0.46, DC:monocyte-derived:anti-DC-SIGN_2h: 0.46, Macrophage:monocyte-derived:IL-4/Dex/cntrl: 0.46, Macrophage:monocyte-derived:IL-4/Dex/TGFb: 0.46, DC:monocyte-derived: 0.46, Monocyte: 0.45, DC:monocyte-derived:AEC-conditioned: 0.45, DC:monocyte-derived:immature: 0.45 |
831_CTATCCGGTCTGTGGC-1 | Macrophage:monocyte-derived:M-CSF | 0.15 | 942.37 | Raw ScoresMacrophage:monocyte-derived:M-CSF: 0.48, DC:monocyte-derived:anti-DC-SIGN_2h: 0.48, DC:monocyte-derived: 0.47, Monocyte:leukotriene_D4: 0.47, Macrophage:monocyte-derived:IL-4/Dex/TGFb: 0.47, Macrophage:monocyte-derived:M-CSF/IFNg: 0.47, Macrophage:monocyte-derived:IL-4/Dex/cntrl: 0.47, Macrophage:monocyte-derived: 0.47, DC:monocyte-derived:CD40L: 0.47, DC:monocyte-derived:immature: 0.47 |
856_CTTTCAACAGAGTAAT-1 | Macrophage:monocyte-derived:M-CSF | 0.14 | 881.10 | Raw ScoresMacrophage:monocyte-derived:M-CSF/Pam3Cys: 0.45, Macrophage:monocyte-derived:M-CSF: 0.45, DC:monocyte-derived:anti-DC-SIGN_2h: 0.45, Macrophage:monocyte-derived:M-CSF/IFNg/Pam3Cys: 0.45, Monocyte:leukotriene_D4: 0.45, Monocyte:anti-FcgRIIB: 0.45, DC:monocyte-derived:antiCD40/VAF347: 0.45, DC:monocyte-derived:A._fumigatus_germ_tubes_6h: 0.45, DC:monocyte-derived: 0.45, Macrophage:monocyte-derived:M-CSF/IFNg: 0.44 |
839_GGTTCTCAGAAGGGAT-1 | Macrophage:monocyte-derived:IL-4/Dex/TGFb | 0.15 | 844.34 | Raw ScoresMacrophage:monocyte-derived:M-CSF: 0.51, Macrophage:monocyte-derived:IL-4/Dex/TGFb: 0.51, Macrophage:monocyte-derived:IL-4/Dex/cntrl: 0.51, Monocyte:leukotriene_D4: 0.5, Macrophage:monocyte-derived:M-CSF/IFNg: 0.5, DC:monocyte-derived:immature: 0.5, Macrophage:monocyte-derived:IL-4/cntrl: 0.5, DC:monocyte-derived: 0.5, DC:monocyte-derived:anti-DC-SIGN_2h: 0.5, Macrophage:monocyte-derived:IL-4/TGFb: 0.5 |
856_AAGTACCGTTCGCGTG-1 | Macrophage:monocyte-derived | 0.08 | 780.36 | Raw ScoresMacrophage:monocyte-derived: 0.41, Monocyte:MCSF: 0.41, Monocyte:CXCL4: 0.41, Macrophage:monocyte-derived:IL-4/Dex/TGFb: 0.41, DC:monocyte-derived: 0.41, Macrophage:monocyte-derived:IL-4/Dex/cntrl: 0.41, DC:monocyte-derived:immature: 0.41, DC:monocyte-derived:anti-DC-SIGN_2h: 0.41, Macrophage:Alveolar: 0.4, DC:monocyte-derived:AEC-conditioned: 0.4 |
837_TTTGACTCAGAGAATT-1 | DC:monocyte-derived:anti-DC-SIGN_2h | 0.14 | 765.46 | Raw ScoresDC:monocyte-derived:anti-DC-SIGN_2h: 0.38, Macrophage:monocyte-derived:M-CSF/Pam3Cys: 0.38, Monocyte:leukotriene_D4: 0.38, Monocyte: 0.38, Monocyte:CD16-: 0.38, Monocyte:anti-FcgRIIB: 0.38, Macrophage:monocyte-derived:M-CSF: 0.38, Macrophage:monocyte-derived:M-CSF/IFNg/Pam3Cys: 0.38, Monocyte:S._typhimurium_flagellin: 0.37, DC:monocyte-derived:A._fumigatus_germ_tubes_6h: 0.37 |
847_AGTCACACATAGGAGC-1 | Monocyte:CD16+ | 0.10 | 702.95 | Raw ScoresDC:monocyte-derived:AEC-conditioned: 0.49, Monocyte:leukotriene_D4: 0.48, Macrophage:monocyte-derived:M-CSF: 0.48, Macrophage:monocyte-derived:M-CSF/IFNg: 0.48, Pre-B_cell_CD34-: 0.48, Macrophage:monocyte-derived: 0.48, DC:monocyte-derived:anti-DC-SIGN_2h: 0.47, DC:monocyte-derived: 0.47, Macrophage:monocyte-derived:IL-4/Dex/TGFb: 0.47, Monocyte:CD16-: 0.47 |
839_TAAGCCAGTAAGTTAG-1 | Monocyte:CD16+ | 0.11 | 652.08 | Raw ScoresMacrophage:monocyte-derived:M-CSF: 0.43, Macrophage:monocyte-derived:IL-4/Dex/TGFb: 0.43, Monocyte:leukotriene_D4: 0.42, Macrophage:monocyte-derived:IL-4/Dex/cntrl: 0.42, Macrophage:monocyte-derived:M-CSF/IFNg: 0.42, DC:monocyte-derived:anti-DC-SIGN_2h: 0.42, DC:monocyte-derived:AEC-conditioned: 0.42, DC:monocyte-derived: 0.42, Macrophage:monocyte-derived: 0.42, Macrophage:monocyte-derived:IL-4/TGFb: 0.42 |
839_ATGCCTCGTCACATTG-1 | Macrophage:monocyte-derived:IL-4/Dex/TGFb | 0.12 | 652.01 | Raw ScoresMacrophage:monocyte-derived:M-CSF: 0.47, DC:monocyte-derived:anti-DC-SIGN_2h: 0.46, Monocyte:leukotriene_D4: 0.46, Macrophage:monocyte-derived:IL-4/Dex/cntrl: 0.46, Macrophage:monocyte-derived:IL-4/Dex/TGFb: 0.46, Monocyte: 0.46, Macrophage:monocyte-derived:M-CSF/IFNg: 0.46, DC:monocyte-derived: 0.46, DC:monocyte-derived:AEC-conditioned: 0.45, Macrophage:monocyte-derived: 0.45 |
839_GCTTGGGGTACAGTAA-1 | DC:monocyte-derived:anti-DC-SIGN_2h | 0.11 | 647.41 | Raw ScoresDC:monocyte-derived:AEC-conditioned: 0.46, Macrophage:monocyte-derived:M-CSF/IFNg: 0.45, Pre-B_cell_CD34-: 0.45, Macrophage:monocyte-derived:M-CSF: 0.44, DC:monocyte-derived:anti-DC-SIGN_2h: 0.44, Monocyte:CD16+: 0.44, Macrophage:monocyte-derived: 0.44, Macrophage:monocyte-derived:IL-4/Dex/cntrl: 0.44, Monocyte:leukotriene_D4: 0.44, Macrophage:monocyte-derived:IL-4/Dex/TGFb: 0.44 |
831_GCGGATCGTCTCGCGA-1 | Macrophage:monocyte-derived:IL-4/Dex/TGFb | 0.14 | 638.63 | Raw ScoresMacrophage:monocyte-derived:M-CSF: 0.45, Macrophage:monocyte-derived:IL-4/Dex/TGFb: 0.45, Macrophage:monocyte-derived:IL-4/Dex/cntrl: 0.44, DC:monocyte-derived:anti-DC-SIGN_2h: 0.44, Monocyte:leukotriene_D4: 0.44, DC:monocyte-derived:immature: 0.44, Monocyte: 0.44, DC:monocyte-derived: 0.44, Macrophage:monocyte-derived:IL-4/cntrl: 0.44, Macrophage:monocyte-derived:IL-4/TGFb: 0.44 |
849_CATTGTTGTATCGGTT-1 | Macrophage:monocyte-derived:IL-4/Dex/TGFb | 0.11 | 598.37 | Raw ScoresMacrophage:monocyte-derived:M-CSF: 0.4, Monocyte:leukotriene_D4: 0.39, Macrophage:monocyte-derived:IL-4/Dex/TGFb: 0.39, Macrophage:monocyte-derived:IL-4/Dex/cntrl: 0.39, DC:monocyte-derived:anti-DC-SIGN_2h: 0.39, Macrophage:monocyte-derived:M-CSF/IFNg: 0.39, DC:monocyte-derived: 0.39, Monocyte: 0.39, DC:monocyte-derived:AEC-conditioned: 0.39, Monocyte:anti-FcgRIIB: 0.38 |
849_TAGGTTGGTACTCGTA-1 | DC:monocyte-derived:immature | 0.11 | 590.79 | Raw ScoresMacrophage:monocyte-derived:M-CSF: 0.39, Monocyte:leukotriene_D4: 0.39, DC:monocyte-derived:anti-DC-SIGN_2h: 0.39, Macrophage:monocyte-derived:IL-4/Dex/TGFb: 0.39, Monocyte: 0.38, DC:monocyte-derived: 0.38, Macrophage:monocyte-derived:IL-4/Dex/cntrl: 0.38, DC:monocyte-derived:immature: 0.38, Monocyte:anti-FcgRIIB: 0.38, DC:monocyte-derived:AEC-conditioned: 0.38 |
847_TTTATGCAGCTAGAGC-1 | Macrophage:monocyte-derived:M-CSF | 0.15 | 586.16 | Raw ScoresMacrophage:monocyte-derived:M-CSF/Pam3Cys: 0.45, Macrophage:monocyte-derived:M-CSF/IFNg/Pam3Cys: 0.45, Macrophage:monocyte-derived:M-CSF/IFNg: 0.44, Macrophage:monocyte-derived:M-CSF: 0.44, Monocyte:leukotriene_D4: 0.44, Monocyte: 0.44, Monocyte:CD16-: 0.44, Monocyte:anti-FcgRIIB: 0.44, DC:monocyte-derived:anti-DC-SIGN_2h: 0.44, DC:monocyte-derived:antiCD40/VAF347: 0.43 |
849_AGATGCTTCTGACCCT-1 | Macrophage:monocyte-derived:IL-4/Dex/TGFb | 0.15 | 582.90 | Raw ScoresMacrophage:monocyte-derived:M-CSF: 0.47, Macrophage:monocyte-derived:IL-4/Dex/TGFb: 0.47, Macrophage:monocyte-derived:IL-4/Dex/cntrl: 0.47, Macrophage:monocyte-derived:M-CSF/IFNg: 0.46, DC:monocyte-derived:anti-DC-SIGN_2h: 0.46, Macrophage:monocyte-derived:IL-4/cntrl: 0.46, Macrophage:monocyte-derived:IL-4/TGFb: 0.46, Monocyte:leukotriene_D4: 0.46, DC:monocyte-derived: 0.46, Macrophage:monocyte-derived: 0.46 |
849_GCGTGCAAGAAGAGCA-1 | Macrophage:monocyte-derived:IL-4/Dex/TGFb | 0.13 | 572.28 | Raw ScoresMacrophage:monocyte-derived:IL-4/Dex/TGFb: 0.44, Macrophage:monocyte-derived:IL-4/Dex/cntrl: 0.44, Macrophage:monocyte-derived:M-CSF: 0.43, DC:monocyte-derived:anti-DC-SIGN_2h: 0.43, Macrophage:monocyte-derived: 0.43, DC:monocyte-derived: 0.43, DC:monocyte-derived:immature: 0.43, Macrophage:monocyte-derived:IL-4/cntrl: 0.43, DC:monocyte-derived:Galectin-1: 0.43, Macrophage:monocyte-derived:IL-4/TGFb: 0.43 |
887_TCATGAGTCCGATGCG-1 | Monocyte:CD16+ | 0.11 | 570.25 | Raw ScoresMonocyte:CD16+: 0.4, Macrophage:monocyte-derived:M-CSF/IFNg: 0.4, Monocyte:leukotriene_D4: 0.39, Macrophage:monocyte-derived:M-CSF/IFNg/Pam3Cys: 0.39, Monocyte: 0.39, Macrophage:monocyte-derived:M-CSF: 0.39, Monocyte:anti-FcgRIIB: 0.39, Macrophage:monocyte-derived:M-CSF/Pam3Cys: 0.39, Monocyte:CD16-: 0.39, Monocyte:CD14+: 0.39 |
847_TGAGTCAAGTGAGTGC-1 | Monocyte:leukotriene_D4 | 0.13 | 561.44 | Raw ScoresMonocyte:leukotriene_D4: 0.38, Monocyte:CD16-: 0.38, Monocyte: 0.38, Monocyte:CD14+: 0.38, Macrophage:monocyte-derived:M-CSF/IFNg: 0.38, Macrophage:monocyte-derived:M-CSF: 0.37, DC:monocyte-derived:AEC-conditioned: 0.37, DC:monocyte-derived:anti-DC-SIGN_2h: 0.37, Macrophage:monocyte-derived:M-CSF/IFNg/Pam3Cys: 0.37, Monocyte:CD16+: 0.37 |
856_CGTAAGTAGAGCATCG-1 | DC:monocyte-derived:anti-DC-SIGN_2h | 0.13 | 559.60 | Raw ScoresDC:monocyte-derived:anti-DC-SIGN_2h: 0.43, Macrophage:monocyte-derived:IL-4/Dex/TGFb: 0.43, Macrophage:monocyte-derived:M-CSF: 0.43, DC:monocyte-derived: 0.43, Macrophage:monocyte-derived:IL-4/Dex/cntrl: 0.43, Monocyte:leukotriene_D4: 0.43, DC:monocyte-derived:immature: 0.43, Macrophage:monocyte-derived:IL-4/cntrl: 0.42, Macrophage:monocyte-derived:IL-4/TGFb: 0.42, DC:monocyte-derived:AEC-conditioned: 0.42 |
831_GAAGGGTGTCATCACA-1 | DC:monocyte-derived:immature | 0.12 | 551.08 | Raw ScoresMacrophage:monocyte-derived:IL-4/Dex/TGFb: 0.42, Macrophage:monocyte-derived:IL-4/Dex/cntrl: 0.42, DC:monocyte-derived:anti-DC-SIGN_2h: 0.42, Macrophage:monocyte-derived:M-CSF: 0.42, DC:monocyte-derived:immature: 0.41, Monocyte:leukotriene_D4: 0.41, DC:monocyte-derived: 0.41, DC:monocyte-derived:AEC-conditioned: 0.41, Macrophage:monocyte-derived:IL-4/cntrl: 0.41, Monocyte: 0.4 |
849_GTCTTTAAGACGCTCC-1 | Macrophage:monocyte-derived:IL-4/Dex/TGFb | 0.11 | 547.83 | Raw ScoresMacrophage:monocyte-derived:M-CSF: 0.34, Macrophage:monocyte-derived:IL-4/Dex/TGFb: 0.34, DC:monocyte-derived:anti-DC-SIGN_2h: 0.34, Monocyte:leukotriene_D4: 0.34, Monocyte: 0.34, Macrophage:monocyte-derived:IL-4/Dex/cntrl: 0.33, DC:monocyte-derived:AEC-conditioned: 0.33, DC:monocyte-derived:immature: 0.33, Monocyte:anti-FcgRIIB: 0.33, DC:monocyte-derived:antiCD40/VAF347: 0.33 |
853_TACTTCAGTCCTACGG-1 | Monocyte:CD16+ | 0.11 | 542.80 | Raw ScoresMonocyte:CD16+: 0.4, Monocyte:CD16-: 0.39, Monocyte:leukotriene_D4: 0.39, Monocyte:CD14+: 0.39, Monocyte: 0.38, DC:monocyte-derived:anti-DC-SIGN_2h: 0.38, Macrophage:monocyte-derived:M-CSF/IFNg: 0.38, DC:monocyte-derived:AEC-conditioned: 0.38, Pre-B_cell_CD34-: 0.38, DC:monocyte-derived: 0.38 |
839_ATTCCCGCAGGCTCTG-1 | Monocyte:S._typhimurium_flagellin | 0.11 | 539.55 | Raw ScoresMacrophage:monocyte-derived:M-CSF/IFNg/Pam3Cys: 0.28, Neutrophil:GM-CSF_IFNg: 0.28, Monocyte:S._typhimurium_flagellin: 0.28, Neutrophil:commensal_E._coli_MG1655: 0.28, Macrophage:monocyte-derived:M-CSF/Pam3Cys: 0.28, Monocyte: 0.28, DC:monocyte-derived:antiCD40/VAF347: 0.28, DC:monocyte-derived:A._fumigatus_germ_tubes_6h: 0.28, Monocyte:anti-FcgRIIB: 0.28, Monocyte:CD16-: 0.28 |
831_GAATAGAGTCAAAGTA-1 | Macrophage:monocyte-derived:IL-4/Dex/TGFb | 0.12 | 524.37 | Raw ScoresMacrophage:monocyte-derived:M-CSF: 0.44, Macrophage:monocyte-derived:IL-4/Dex/TGFb: 0.43, Monocyte:leukotriene_D4: 0.43, DC:monocyte-derived:anti-DC-SIGN_2h: 0.43, Macrophage:monocyte-derived:M-CSF/IFNg: 0.43, Macrophage:monocyte-derived:IL-4/Dex/cntrl: 0.43, DC:monocyte-derived: 0.42, Monocyte: 0.42, DC:monocyte-derived:immature: 0.42, DC:monocyte-derived:AEC-conditioned: 0.42 |
853_GCCCGAACAAGCTCTA-1 | Macrophage:monocyte-derived:IL-4/Dex/TGFb | 0.14 | 522.42 | Raw ScoresMacrophage:monocyte-derived:M-CSF: 0.46, Macrophage:monocyte-derived:IL-4/Dex/TGFb: 0.46, Macrophage:monocyte-derived:IL-4/Dex/cntrl: 0.46, Macrophage:monocyte-derived:M-CSF/IFNg: 0.46, DC:monocyte-derived:anti-DC-SIGN_2h: 0.45, Monocyte:leukotriene_D4: 0.45, DC:monocyte-derived: 0.45, DC:monocyte-derived:immature: 0.45, Macrophage:monocyte-derived:IL-4/cntrl: 0.44, DC:monocyte-derived:AEC-conditioned: 0.44 |
839_AGCGTATGTTCCGTTC-1 | Macrophage:monocyte-derived:M-CSF | 0.12 | 521.83 | Raw ScoresMacrophage:monocyte-derived:M-CSF: 0.39, DC:monocyte-derived:anti-DC-SIGN_2h: 0.39, Monocyte:anti-FcgRIIB: 0.39, Macrophage:monocyte-derived:M-CSF/Pam3Cys: 0.39, Monocyte:leukotriene_D4: 0.38, Macrophage:monocyte-derived:IL-4/Dex/TGFb: 0.38, DC:monocyte-derived: 0.38, Macrophage:monocyte-derived:IL-4/Dex/cntrl: 0.38, DC:monocyte-derived:immature: 0.38, Macrophage:monocyte-derived:M-CSF/IFNg: 0.38 |
839_GCCAGCACAGAATTCC-1 | Neurons:adrenal_medulla_cell_line | 0.09 | 469.06 | Raw ScoresNeurons:adrenal_medulla_cell_line: 0.45, Macrophage:monocyte-derived:IL-4/Dex/cntrl: 0.4, Macrophage:monocyte-derived:IL-4/Dex/TGFb: 0.4, Pro-B_cell_CD34+: 0.4, Monocyte:MCSF: 0.4, GMP: 0.4, Macrophage:monocyte-derived: 0.4, Astrocyte:Embryonic_stem_cell-derived: 0.4, DC:monocyte-derived:immature: 0.4, DC:monocyte-derived:AEC-conditioned: 0.39 |
856_AGAAGTATCAGACAAA-1 | Macrophage:monocyte-derived:IL-4/Dex/TGFb | 0.11 | 467.92 | Raw ScoresDC:monocyte-derived:A._fumigatus_germ_tubes_6h: 0.38, Macrophage:monocyte-derived:M-CSF/Pam3Cys: 0.37, DC:monocyte-derived:anti-DC-SIGN_2h: 0.37, Macrophage:monocyte-derived:M-CSF/IFNg/Pam3Cys: 0.37, DC:monocyte-derived:Galectin-1: 0.37, DC:monocyte-derived:antiCD40/VAF347: 0.37, DC:monocyte-derived: 0.37, Macrophage:monocyte-derived:IL-4/Dex/TGFb: 0.37, Monocyte:anti-FcgRIIB: 0.37, DC:monocyte-derived:LPS: 0.37 |
839_TGCTTGCCAAGTCCAT-1 | Neurons:adrenal_medulla_cell_line | 0.10 | 458.81 | Raw ScoresNeurons:adrenal_medulla_cell_line: 0.46, Astrocyte:Embryonic_stem_cell-derived: 0.42, Neuroepithelial_cell:ESC-derived: 0.41, Monocyte:MCSF: 0.4, Pro-B_cell_CD34+: 0.4, Macrophage:monocyte-derived:IL-4/Dex/cntrl: 0.4, Macrophage:monocyte-derived:IL-4/Dex/TGFb: 0.4, DC:monocyte-derived: 0.4, Macrophage:monocyte-derived:IL-4/cntrl: 0.4, Macrophage:monocyte-derived: 0.4 |
853_GCCGTGACATGATGCT-1 | Macrophage:monocyte-derived:M-CSF | 0.09 | 456.89 | Raw ScoresMacrophage:monocyte-derived:M-CSF: 0.43, DC:monocyte-derived:anti-DC-SIGN_2h: 0.42, DC:monocyte-derived:AEC-conditioned: 0.42, Macrophage:monocyte-derived:IL-4/Dex/cntrl: 0.42, Macrophage:monocyte-derived:IL-4/Dex/TGFb: 0.42, DC:monocyte-derived: 0.42, DC:monocyte-derived:immature: 0.42, Monocyte:leukotriene_D4: 0.42, Monocyte:CD16-: 0.41, Macrophage:monocyte-derived:M-CSF/IFNg: 0.41 |
856_CACAACACAACTGCCG-1 | Macrophage:monocyte-derived:IL-4/Dex/TGFb | 0.14 | 456.31 | Raw ScoresMacrophage:monocyte-derived:M-CSF: 0.46, Macrophage:monocyte-derived:IL-4/Dex/TGFb: 0.46, Macrophage:monocyte-derived:IL-4/Dex/cntrl: 0.46, Macrophage:monocyte-derived:M-CSF/IFNg: 0.46, Monocyte:leukotriene_D4: 0.45, DC:monocyte-derived: 0.45, DC:monocyte-derived:AEC-conditioned: 0.45, Macrophage:monocyte-derived:IL-4/cntrl: 0.45, Macrophage:monocyte-derived: 0.45, Macrophage:monocyte-derived:IL-4/TGFb: 0.45 |
839_CCTCACAAGTAATACG-1 | Macrophage:monocyte-derived:IL-4/Dex/TGFb | 0.13 | 455.82 | Raw ScoresMacrophage:monocyte-derived:M-CSF: 0.44, Macrophage:monocyte-derived:M-CSF/IFNg: 0.43, Monocyte:leukotriene_D4: 0.43, Macrophage:monocyte-derived:IL-4/Dex/TGFb: 0.43, DC:monocyte-derived:anti-DC-SIGN_2h: 0.43, Macrophage:monocyte-derived:IL-4/Dex/cntrl: 0.43, DC:monocyte-derived: 0.43, DC:monocyte-derived:immature: 0.42, DC:monocyte-derived:AEC-conditioned: 0.42, Monocyte: 0.42 |
837_CCCGAAGTCAGATTGC-1 | DC:monocyte-derived:anti-DC-SIGN_2h | 0.14 | 437.88 | Raw ScoresDC:monocyte-derived:anti-DC-SIGN_2h: 0.42, Macrophage:monocyte-derived:M-CSF: 0.42, Monocyte:leukotriene_D4: 0.42, Macrophage:monocyte-derived:M-CSF/IFNg: 0.42, Macrophage:monocyte-derived:M-CSF/Pam3Cys: 0.42, DC:monocyte-derived: 0.41, Monocyte: 0.41, Macrophage:monocyte-derived:M-CSF/IFNg/Pam3Cys: 0.41, DC:monocyte-derived:antiCD40/VAF347: 0.41, Macrophage:monocyte-derived:IL-4/Dex/TGFb: 0.41 |
847_GTATTGGTCATAGCAC-1 | Monocyte:CD16- | 0.12 | 425.98 | Raw ScoresMonocyte:leukotriene_D4: 0.44, Monocyte:CD16-: 0.44, Monocyte:CD16+: 0.44, Monocyte:CD14+: 0.44, Monocyte: 0.44, Macrophage:monocyte-derived:M-CSF/IFNg: 0.44, Monocyte:anti-FcgRIIB: 0.43, DC:monocyte-derived:AEC-conditioned: 0.43, DC:monocyte-derived:anti-DC-SIGN_2h: 0.43, Macrophage:monocyte-derived:M-CSF: 0.43 |
839_TTCCGGTAGGTAGTCG-1 | Macrophage:monocyte-derived:IL-4/Dex/TGFb | 0.10 | 423.09 | Raw ScoresDC:monocyte-derived:AEC-conditioned: 0.43, Macrophage:monocyte-derived:M-CSF: 0.43, Macrophage:monocyte-derived: 0.43, Monocyte:leukotriene_D4: 0.43, Macrophage:monocyte-derived:IL-4/Dex/TGFb: 0.43, DC:monocyte-derived:immature: 0.42, DC:monocyte-derived: 0.42, Macrophage:monocyte-derived:IL-4/Dex/cntrl: 0.42, Macrophage:monocyte-derived:M-CSF/IFNg: 0.42, Macrophage:monocyte-derived:IFNa: 0.42 |
839_CATTGTTTCTGTGCGG-1 | Tissue_stem_cells:BM_MSC:BMP2 | 0.11 | 422.91 | Raw ScoresFibroblasts:breast: 0.37, Smooth_muscle_cells:vascular:IL-17: 0.37, iPS_cells:adipose_stem_cells: 0.37, Smooth_muscle_cells:vascular: 0.37, Tissue_stem_cells:BM_MSC:BMP2: 0.36, Fibroblasts:foreskin: 0.36, Chondrocytes:MSC-derived: 0.36, Tissue_stem_cells:BM_MSC:TGFb3: 0.36, Smooth_muscle_cells:bronchial: 0.36, Smooth_muscle_cells:bronchial:vit_D: 0.35 |
831_AGTCATGGTTCCGTTC-1 | Endothelial_cells:lymphatic:TNFa_48h | 0.17 | 419.58 | Raw ScoresEndothelial_cells:lymphatic:TNFa_48h: 0.5, Endothelial_cells:blood_vessel: 0.5, Endothelial_cells:lymphatic:KSHV: 0.5, Endothelial_cells:lymphatic: 0.5, Endothelial_cells:HUVEC:Serum_Amyloid_A: 0.49, Endothelial_cells:HUVEC:IL-1b: 0.48, Endothelial_cells:HUVEC:PR8-infected: 0.47, Endothelial_cells:HUVEC: 0.47, Endothelial_cells:HUVEC:VEGF: 0.47, Endothelial_cells:HUVEC:B._anthracis_LT: 0.47 |
831_CACGTTCAGGGTAGCT-1 | Macrophage:monocyte-derived:M-CSF | 0.16 | 413.23 | Raw ScoresMacrophage:monocyte-derived:M-CSF: 0.48, DC:monocyte-derived:anti-DC-SIGN_2h: 0.47, Macrophage:monocyte-derived:IL-4/Dex/TGFb: 0.47, Monocyte:leukotriene_D4: 0.47, DC:monocyte-derived: 0.47, DC:monocyte-derived:immature: 0.46, Macrophage:monocyte-derived:IL-4/Dex/cntrl: 0.46, Macrophage:monocyte-derived: 0.46, Macrophage:monocyte-derived:IL-4/TGFb: 0.46, Macrophage:monocyte-derived:IL-4/cntrl: 0.46 |
839_TCATGTTGTTGAATCC-1 | Macrophage:monocyte-derived:IL-4/Dex/TGFb | 0.12 | 404.16 | Raw ScoresMacrophage:monocyte-derived:IL-4/Dex/TGFb: 0.42, Macrophage:monocyte-derived:IL-4/Dex/cntrl: 0.41, Macrophage:monocyte-derived:M-CSF: 0.41, Macrophage:monocyte-derived:IL-4/cntrl: 0.41, Macrophage:monocyte-derived:IL-4/TGFb: 0.41, DC:monocyte-derived:immature: 0.4, DC:monocyte-derived: 0.4, Macrophage:monocyte-derived: 0.4, DC:monocyte-derived:anti-DC-SIGN_2h: 0.4, DC:monocyte-derived:AEC-conditioned: 0.4 |
839_GAGGGTAAGAGTTCGG-1 | Macrophage:monocyte-derived:M-CSF | 0.14 | 403.58 | Raw ScoresMacrophage:monocyte-derived:M-CSF: 0.46, Macrophage:monocyte-derived:IL-4/Dex/cntrl: 0.46, Macrophage:monocyte-derived:IL-4/Dex/TGFb: 0.45, Macrophage:monocyte-derived:M-CSF/IFNg: 0.45, Monocyte:leukotriene_D4: 0.45, DC:monocyte-derived: 0.45, DC:monocyte-derived:anti-DC-SIGN_2h: 0.45, DC:monocyte-derived:AEC-conditioned: 0.45, DC:monocyte-derived:immature: 0.45, Macrophage:monocyte-derived:IL-4/cntrl: 0.45 |
831_TGTGGCGGTTTACGTG-1 | Macrophage:Alveolar | 0.11 | 394.34 | Raw ScoresMacrophage:monocyte-derived:IL-4/Dex/cntrl: 0.44, Macrophage:monocyte-derived:IL-4/Dex/TGFb: 0.44, Macrophage:monocyte-derived:M-CSF: 0.43, DC:monocyte-derived: 0.43, Macrophage:monocyte-derived:IL-4/cntrl: 0.43, DC:monocyte-derived:anti-DC-SIGN_2h: 0.43, Macrophage:monocyte-derived:IL-4/TGFb: 0.43, Monocyte:CXCL4: 0.43, DC:monocyte-derived:AEC-conditioned: 0.43, DC:monocyte-derived:immature: 0.43 |
849_TTTCATGTCTCGACCT-1 | Macrophage:monocyte-derived:IL-4/Dex/TGFb | 0.14 | 388.68 | Raw ScoresMacrophage:monocyte-derived:IL-4/Dex/TGFb: 0.41, Macrophage:monocyte-derived:M-CSF: 0.41, Macrophage:monocyte-derived:M-CSF/IFNg: 0.41, Macrophage:monocyte-derived:IL-4/Dex/cntrl: 0.4, Monocyte:leukotriene_D4: 0.4, DC:monocyte-derived:anti-DC-SIGN_2h: 0.4, DC:monocyte-derived: 0.4, Monocyte: 0.4, Macrophage:monocyte-derived:M-CSF/IFNg/Pam3Cys: 0.4, DC:monocyte-derived:AEC-conditioned: 0.4 |
839_GTCAAGTTCAAGGACG-1 | DC:monocyte-derived:immature | 0.13 | 383.39 | Raw ScoresMacrophage:monocyte-derived:M-CSF: 0.43, Macrophage:monocyte-derived:IL-4/Dex/cntrl: 0.43, Macrophage:monocyte-derived:IL-4/Dex/TGFb: 0.43, DC:monocyte-derived:immature: 0.43, DC:monocyte-derived: 0.42, Macrophage:monocyte-derived: 0.42, DC:monocyte-derived:anti-DC-SIGN_2h: 0.42, Macrophage:monocyte-derived:IL-4/cntrl: 0.42, DC:monocyte-derived:AEC-conditioned: 0.42, Macrophage:monocyte-derived:IL-4/TGFb: 0.42 |
847_AGCCACGCAGAGAGGG-1 | Monocyte:CD16+ | 0.07 | 379.70 | Raw ScoresPre-B_cell_CD34-: 0.46, GMP: 0.45, Pro-B_cell_CD34+: 0.45, DC:monocyte-derived:AEC-conditioned: 0.45, T_cell:gamma-delta: 0.45, B_cell:immature: 0.44, Pro-Myelocyte: 0.44, BM: 0.44, Monocyte:leukotriene_D4: 0.44, B_cell:Germinal_center: 0.43 |
Below shows the significant enrichments of this GEP for literature curated gene lists
This data was procured from existing single cell RNA-seq maps of neuroblastoma or related relevant data.
High ranks indicate this gene is a driver of this GEP.
These curated gene list are ranked by the P-value (on this GEP) of their constituent genes.
The Mean Count column shows the mean read count in cells scoring highly (H > 50) on this gene expression program.
Genes | Weight | Rank | GTEx | DepMap | Decartes | Mean.Counts | Mean.TPM |
---|---|---|---|---|---|---|---|
ATF3 | 0.0089974 | 5 | GTEx | DepMap | Descartes | 9.53 | 72.24 |
GADD45B | 0.0036635 | 54 | GTEx | DepMap | Descartes | 7.34 | 2153.21 |
SQSTM1 | 0.0024664 | 99 | GTEx | DepMap | Descartes | 3.56 | 109.46 |
GADD45A | 0.0021107 | 128 | GTEx | DepMap | Descartes | 2.13 | 298.76 |
DDIT3 | 0.0020721 | 130 | GTEx | DepMap | Descartes | 1.10 | 68.17 |
M-MDSC
These marker genes were curated for MDSC subtypes as reviewed in Veglia et. al. (PMID 33526920):
Wilcoxon ranksum test P-value for gene set overrepresentation: 8.14e-05
Mean rank of genes in gene set: 5378.8
Rank on gene expression program of genes in gene set:
Genes | Weight | Rank | GTEx | DepMap | Decartes | Mean.Counts | Mean.TPM |
---|---|---|---|---|---|---|---|
CD14 | 0.0085082 | 6 | GTEx | DepMap | Descartes | 5.72 | 1502.89 |
IL10 | 0.0072250 | 9 | GTEx | DepMap | Descartes | 0.16 | 8.96 |
VEGFA | 0.0068573 | 11 | GTEx | DepMap | Descartes | 2.09 | 53.38 |
TNF | 0.0056880 | 19 | GTEx | DepMap | Descartes | 0.93 | 207.80 |
CD274 | 0.0032342 | 65 | GTEx | DepMap | Descartes | 0.79 | 19.49 |
ARG1 | 0.0025424 | 94 | GTEx | DepMap | Descartes | 5.15 | 173.61 |
IL1B | 0.0020327 | 136 | GTEx | DepMap | Descartes | 9.16 | 1151.81 |
NOS2 | 0.0013176 | 255 | GTEx | DepMap | Descartes | 0.02 | 0.14 |
ITGAM | 0.0011457 | 307 | GTEx | DepMap | Descartes | 1.13 | 9.62 |
TGFB1 | 0.0010129 | 366 | GTEx | DepMap | Descartes | 2.84 | 59.91 |
IL6 | 0.0009283 | 405 | GTEx | DepMap | Descartes | 0.14 | 5.78 |
STAT3 | 0.0007505 | 514 | GTEx | DepMap | Descartes | 1.01 | 7.63 |
ARG2 | 0.0004855 | 807 | GTEx | DepMap | Descartes | 0.21 | 4.05 |
HIF1A | 0.0004520 | 879 | GTEx | DepMap | Descartes | 1.88 | 12.65 |
CD84 | 0.0000554 | 4093 | GTEx | DepMap | Descartes | 2.02 | 13.46 |
TNFRSF10B | -0.0001149 | 16771 | GTEx | DepMap | Descartes | 0.03 | 0.40 |
CXCR1 | -0.0003691 | 20361 | GTEx | DepMap | Descartes | 0.00 | 0.00 |
CD36 | -0.0004555 | 20609 | GTEx | DepMap | Descartes | 2.92 | 9.98 |
S100A8 | -0.0009352 | 20927 | GTEx | DepMap | Descartes | 6.02 | 2447.08 |
S100A9 | -0.0012237 | 20942 | GTEx | DepMap | Descartes | 5.85 | 931.19 |
M1 Macrophage
These genes were collated from multiple sources:
Wilcoxon ranksum test P-value for gene set overrepresentation: 7.48e-04
Mean rank of genes in gene set: 5819.35
Rank on gene expression program of genes in gene set:
Genes | Weight | Rank | GTEx | DepMap | Decartes | Mean.Counts | Mean.TPM |
---|---|---|---|---|---|---|---|
CD14 | 0.0085082 | 6 | GTEx | DepMap | Descartes | 5.72 | 1502.89 |
TNF | 0.0056880 | 19 | GTEx | DepMap | Descartes | 0.93 | 207.80 |
CCL4 | 0.0051611 | 23 | GTEx | DepMap | Descartes | 7.76 | 1957.41 |
CXCL16 | 0.0040591 | 40 | GTEx | DepMap | Descartes | 3.07 | 160.37 |
CCL3 | 0.0037764 | 50 | GTEx | DepMap | Descartes | 3.21 | 1266.59 |
CXCL10 | 0.0029758 | 74 | GTEx | DepMap | Descartes | 1.50 | 174.01 |
CD86 | 0.0020550 | 133 | GTEx | DepMap | Descartes | 1.55 | 9.19 |
IL1B | 0.0020327 | 136 | GTEx | DepMap | Descartes | 9.16 | 1151.81 |
CCL2 | 0.0013266 | 252 | GTEx | DepMap | Descartes | 6.39 | 1193.50 |
IL6 | 0.0009283 | 405 | GTEx | DepMap | Descartes | 0.14 | 5.78 |
CD80 | 0.0003729 | 1087 | GTEx | DepMap | Descartes | 0.07 | 0.76 |
IL18 | 0.0000739 | 3610 | GTEx | DepMap | Descartes | 1.00 | 11.01 |
CXCL9 | -0.0000959 | 15894 | GTEx | DepMap | Descartes | 0.29 | 15.08 |
ITGAX | -0.0001620 | 18293 | GTEx | DepMap | Descartes | 0.74 | 14.99 |
IL33 | -0.0001851 | 18765 | GTEx | DepMap | Descartes | 0.11 | 0.50 |
TLR4 | -0.0002799 | 19906 | GTEx | DepMap | Descartes | 0.30 | 1.08 |
CCL5 | -0.0003404 | 20236 | GTEx | DepMap | Descartes | 0.40 | 56.80 |
Below shows ranks on this GEP for literature curated gene lists for large gene sets
These include those reported as mesenchymal/adrenergic by Van Groningen et al.
High ranks indicate this gene is a driver of this GEP (note these results are not ordered).
The Mean Count column shows the mean read count in cells scoring highly (H > 50) on this gene expression program.
VanGroningen Adrenergic Genes
Adrenergic marker genes from Supplementary Table 2 of Van Groningen et al. Nature Genetics 2017. These genes were identified by differential expression analysis of mesenchymal-like and adrenergic-like neuroblastoma cell lines.
Wilcoxon ranksum test P-value for gene set overrepresentation: 1.00e+00
Mean rank of genes in gene set: 14304.58
Median rank of genes in gene set: 16458
Rank on gene expression program of top 30 genes in gene set:
Genes | Weight | Rank | GTEx | DepMap | Descartes | Mean.Counts | Mean.TPM |
---|---|---|---|---|---|---|---|
CXCR4 | 0.0040748 | 38 | GTEx | DepMap | Descartes | 2.12 | 229.20 |
HK2 | 0.0030633 | 71 | GTEx | DepMap | Descartes | 2.34 | 14.70 |
NFIL3 | 0.0025170 | 96 | GTEx | DepMap | Descartes | 0.65 | 19.18 |
MMD | 0.0014382 | 229 | GTEx | DepMap | Descartes | 1.37 | 13.15 |
IRS2 | 0.0014132 | 238 | GTEx | DepMap | Descartes | 0.49 | 8.96 |
DUSP4 | 0.0009817 | 384 | GTEx | DepMap | Descartes | 0.08 | 2.36 |
LYN | 0.0009645 | 391 | GTEx | DepMap | Descartes | 2.40 | 7.19 |
MXI1 | 0.0008226 | 461 | GTEx | DepMap | Descartes | 0.85 | 4.60 |
GCH1 | 0.0006097 | 637 | GTEx | DepMap | Descartes | 0.74 | 7.37 |
CERK | 0.0005677 | 702 | GTEx | DepMap | Descartes | 1.01 | 7.44 |
HEY1 | 0.0005595 | 716 | GTEx | DepMap | Descartes | 0.18 | 14.92 |
GGH | 0.0005109 | 770 | GTEx | DepMap | Descartes | 1.37 | 17.51 |
FAM107B | 0.0004732 | 837 | GTEx | DepMap | Descartes | 0.53 | 1.05 |
UCP2 | 0.0004102 | 975 | GTEx | DepMap | Descartes | 7.90 | 320.55 |
GLRX | 0.0003896 | 1034 | GTEx | DepMap | Descartes | 0.78 | 21.46 |
SATB1 | 0.0003761 | 1081 | GTEx | DepMap | Descartes | 0.40 | 2.07 |
FOXO3 | 0.0003321 | 1205 | GTEx | DepMap | Descartes | 0.43 | 1.56 |
KLF7 | 0.0003014 | 1323 | GTEx | DepMap | Descartes | 1.07 | 3.66 |
KLF13 | 0.0002976 | 1336 | GTEx | DepMap | Descartes | 1.14 | 7.66 |
PDK1 | 0.0002555 | 1531 | GTEx | DepMap | Descartes | 0.36 | 3.98 |
ADRBK2 | 0.0002403 | 1598 | GTEx | DepMap | Descartes | 0.30 | NA |
RNF150 | 0.0002359 | 1619 | GTEx | DepMap | Descartes | 0.20 | 0.24 |
DNAJB1 | 0.0002112 | 1764 | GTEx | DepMap | Descartes | 2.11 | 102.93 |
ATP6V1B2 | 0.0001665 | 2125 | GTEx | DepMap | Descartes | 2.06 | 26.72 |
SCAMP5 | 0.0001642 | 2143 | GTEx | DepMap | Descartes | 0.26 | 3.20 |
GGCT | 0.0001561 | 2243 | GTEx | DepMap | Descartes | 0.22 | 8.15 |
NARS2 | 0.0001518 | 2292 | GTEx | DepMap | Descartes | 0.10 | 0.24 |
FBXO8 | 0.0001470 | 2343 | GTEx | DepMap | Descartes | 0.19 | 1.58 |
INO80C | 0.0001300 | 2557 | GTEx | DepMap | Descartes | 0.19 | 3.91 |
HNRNPA0 | 0.0001278 | 2584 | GTEx | DepMap | Descartes | 3.45 | 412.20 |
VanGroningen Mesenchymal Genes
Mesenchymal marker genes from Supplementary Table 2 of Van Groningen et al. Nature Genetics 2017. These genes were identified by differential expression analysis of mesenchymal-like and adrenergic-like neuroblastoma cell lines.
Wilcoxon ranksum test P-value for gene set overrepresentation: 1.64e-08
Mean rank of genes in gene set: 8937.81
Median rank of genes in gene set: 8367
Rank on gene expression program of top 30 genes in gene set:
Genes | Weight | Rank | GTEx | DepMap | Descartes | Mean.Counts | Mean.TPM |
---|---|---|---|---|---|---|---|
GDF15 | 0.0081190 | 7 | GTEx | DepMap | Descartes | 3.09 | 313.04 |
SGK1 | 0.0045332 | 34 | GTEx | DepMap | Descartes | 2.82 | 7.75 |
KLF6 | 0.0037194 | 51 | GTEx | DepMap | Descartes | 3.69 | 161.26 |
FZD7 | 0.0027879 | 81 | GTEx | DepMap | Descartes | 0.40 | 30.97 |
SDC4 | 0.0027871 | 82 | GTEx | DepMap | Descartes | 3.60 | 61.05 |
SQSTM1 | 0.0024664 | 99 | GTEx | DepMap | Descartes | 3.56 | 109.46 |
LITAF | 0.0024496 | 100 | GTEx | DepMap | Descartes | 3.26 | 11.97 |
ZFP36L1 | 0.0024049 | 104 | GTEx | DepMap | Descartes | 2.79 | 170.09 |
P4HA1 | 0.0023555 | 108 | GTEx | DepMap | Descartes | 1.63 | 11.13 |
THBS1 | 0.0021023 | 129 | GTEx | DepMap | Descartes | 2.56 | 87.04 |
CTSC | 0.0019027 | 152 | GTEx | DepMap | Descartes | 10.88 | 107.42 |
DUSP6 | 0.0016590 | 191 | GTEx | DepMap | Descartes | 0.84 | 63.53 |
DUSP5 | 0.0016179 | 199 | GTEx | DepMap | Descartes | 0.65 | 28.29 |
APOE | 0.0016049 | 201 | GTEx | DepMap | Descartes | 439.38 | 45758.02 |
SASH1 | 0.0015617 | 209 | GTEx | DepMap | Descartes | 1.29 | 2.68 |
HSPA5 | 0.0015072 | 218 | GTEx | DepMap | Descartes | 8.17 | 518.39 |
ASPH | 0.0015040 | 220 | GTEx | DepMap | Descartes | 0.97 | 1.57 |
PLK2 | 0.0014988 | 223 | GTEx | DepMap | Descartes | 0.99 | 51.96 |
PXDC1 | 0.0014349 | 231 | GTEx | DepMap | Descartes | 0.78 | 8.94 |
MYLIP | 0.0014189 | 234 | GTEx | DepMap | Descartes | 1.39 | 18.89 |
SKIL | 0.0014156 | 236 | GTEx | DepMap | Descartes | 1.26 | 21.22 |
KCTD12 | 0.0014105 | 240 | GTEx | DepMap | Descartes | 1.47 | 97.66 |
HES1 | 0.0013710 | 244 | GTEx | DepMap | Descartes | 1.95 | 165.34 |
GPR137B | 0.0011614 | 302 | GTEx | DepMap | Descartes | 1.80 | 16.17 |
EGR1 | 0.0011410 | 311 | GTEx | DepMap | Descartes | 2.19 | 143.57 |
TSC22D3 | 0.0010617 | 341 | GTEx | DepMap | Descartes | 1.21 | 8.08 |
KLF10 | 0.0010512 | 345 | GTEx | DepMap | Descartes | 0.38 | 18.41 |
NPC2 | 0.0010357 | 354 | GTEx | DepMap | Descartes | 13.43 | 225.72 |
ITGAV | 0.0010324 | 357 | GTEx | DepMap | Descartes | 1.30 | 5.37 |
PALLD | 0.0010227 | 361 | GTEx | DepMap | Descartes | 0.71 | 0.54 |
Descartes adrenocortical markers
Top 50 marker genes of adrenocortical cells in the Decartes fetal adrenal single cell map (https://atlas.brotmanbaty.org/bbi/human-gene-expression-during-development/cell/adrenocortical/in/adrenal)
Wilcoxon ranksum test P-value for gene set overrepresentation: 9.17e-01
Mean rank of genes in gene set: 11769.07
Median rank of genes in gene set: 13618.5
Rank on gene expression program of top 30 genes in gene set:
Genes | Weight | Rank | GTEx | DepMap | Descartes | Mean.Counts | Mean.TPM |
---|---|---|---|---|---|---|---|
GRAMD1B | 0.0007302 | 534 | GTEx | DepMap | Descartes | 0.75 | 0.96 |
SH3PXD2B | 0.0004645 | 852 | GTEx | DepMap | Descartes | 0.39 | 1.53 |
ERN1 | 0.0004449 | 897 | GTEx | DepMap | Descartes | 0.18 | 0.98 |
NPC1 | 0.0004224 | 945 | GTEx | DepMap | Descartes | 1.40 | 9.82 |
SH3BP5 | 0.0003365 | 1191 | GTEx | DepMap | Descartes | 0.82 | 4.13 |
APOC1 | 0.0002330 | 1633 | GTEx | DepMap | Descartes | 1.87 | 157.73 |
POR | 0.0001404 | 2411 | GTEx | DepMap | Descartes | 1.38 | 7.18 |
CYP11A1 | 0.0000438 | 4500 | GTEx | DepMap | Descartes | 0.00 | 0.00 |
SCARB1 | 0.0000331 | 4928 | GTEx | DepMap | Descartes | 0.27 | 1.35 |
SLC1A2 | 0.0000211 | 5491 | GTEx | DepMap | Descartes | 0.02 | 0.06 |
CYP11B1 | 0.0000136 | 5968 | GTEx | DepMap | Descartes | 0.00 | 0.00 |
CYP17A1 | 0.0000112 | 6134 | GTEx | DepMap | Descartes | 0.00 | 0.00 |
FREM2 | 0.0000042 | 6758 | GTEx | DepMap | Descartes | 0.01 | 0.01 |
SULT2A1 | -0.0000095 | 8615 | GTEx | DepMap | Descartes | 0.00 | 0.00 |
DNER | -0.0000138 | 9201 | GTEx | DepMap | Descartes | 0.01 | 0.01 |
SGCZ | -0.0000255 | 10597 | GTEx | DepMap | Descartes | 0.00 | 0.00 |
STAR | -0.0000262 | 10662 | GTEx | DepMap | Descartes | 0.00 | 0.00 |
INHA | -0.0000341 | 11443 | GTEx | DepMap | Descartes | 0.00 | 0.13 |
IGF1R | -0.0000477 | 12677 | GTEx | DepMap | Descartes | 0.28 | 0.35 |
JAKMIP2 | -0.0000508 | 12903 | GTEx | DepMap | Descartes | 0.06 | 0.16 |
BAIAP2L1 | -0.0000566 | 13347 | GTEx | DepMap | Descartes | 0.18 | 0.25 |
HMGCR | -0.0000634 | 13890 | GTEx | DepMap | Descartes | 0.78 | 10.54 |
PDE10A | -0.0000663 | 14125 | GTEx | DepMap | Descartes | 0.07 | 0.03 |
TM7SF2 | -0.0000674 | 14199 | GTEx | DepMap | Descartes | 0.06 | 3.38 |
FRMD5 | -0.0000706 | 14410 | GTEx | DepMap | Descartes | 0.03 | 0.03 |
MSMO1 | -0.0000727 | 14558 | GTEx | DepMap | Descartes | 0.57 | 9.85 |
PAPSS2 | -0.0000738 | 14633 | GTEx | DepMap | Descartes | 0.10 | 0.41 |
SCAP | -0.0000958 | 15879 | GTEx | DepMap | Descartes | 0.25 | 1.44 |
FDXR | -0.0001041 | 16316 | GTEx | DepMap | Descartes | 0.12 | 4.19 |
DHCR24 | -0.0001063 | 16406 | GTEx | DepMap | Descartes | 0.24 | 1.55 |
Descartes chromaffin markers
Top 50 marker genes of chromaffin cells in the Decartes fetal adrenal single cell map (https://atlas.brotmanbaty.org/bbi/human-gene-expression-during-development/cell/chromaffin/in/adrenal)
Wilcoxon ranksum test P-value for gene set overrepresentation: 1.00e+00
Mean rank of genes in gene set: 14652.57
Median rank of genes in gene set: 15741
Rank on gene expression program of top 30 genes in gene set:
Genes | Weight | Rank | GTEx | DepMap | Descartes | Mean.Counts | Mean.TPM |
---|---|---|---|---|---|---|---|
BASP1 | 0.0005906 | 671 | GTEx | DepMap | Descartes | 11.20 | 73.54 |
PRPH | 0.0000192 | 5602 | GTEx | DepMap | Descartes | 0.24 | 19.62 |
HS3ST5 | 0.0000189 | 5626 | GTEx | DepMap | Descartes | 0.00 | 0.00 |
FAT3 | 0.0000146 | 5904 | GTEx | DepMap | Descartes | 0.07 | 0.05 |
TMEM132C | 0.0000087 | 6329 | GTEx | DepMap | Descartes | 0.01 | 0.01 |
EPHA6 | 0.0000068 | 6504 | GTEx | DepMap | Descartes | 0.00 | 0.00 |
EYA4 | -0.0000105 | 8753 | GTEx | DepMap | Descartes | 0.06 | 0.08 |
ANKFN1 | -0.0000113 | 8867 | GTEx | DepMap | Descartes | 0.00 | 0.00 |
MAB21L1 | -0.0000152 | 9393 | GTEx | DepMap | Descartes | 0.00 | 0.30 |
RYR2 | -0.0000248 | 10523 | GTEx | DepMap | Descartes | 0.02 | 0.01 |
SLC6A2 | -0.0000256 | 10599 | GTEx | DepMap | Descartes | 0.00 | 0.01 |
GREM1 | -0.0000409 | 12054 | GTEx | DepMap | Descartes | 0.00 | 0.02 |
ALK | -0.0000425 | 12187 | GTEx | DepMap | Descartes | 0.00 | 0.00 |
SYNPO2 | -0.0000438 | 12309 | GTEx | DepMap | Descartes | 0.03 | 0.05 |
RPH3A | -0.0000504 | 12872 | GTEx | DepMap | Descartes | 0.00 | 0.00 |
IL7 | -0.0000523 | 13024 | GTEx | DepMap | Descartes | 0.00 | 0.01 |
NTRK1 | -0.0000543 | 13182 | GTEx | DepMap | Descartes | 0.02 | 0.26 |
HMX1 | -0.0000651 | 14023 | GTEx | DepMap | Descartes | 0.04 | 1.24 |
KCNB2 | -0.0000717 | 14483 | GTEx | DepMap | Descartes | 0.01 | 0.01 |
TMEFF2 | -0.0000789 | 14935 | GTEx | DepMap | Descartes | 0.11 | 0.08 |
SLC44A5 | -0.0000811 | 15076 | GTEx | DepMap | Descartes | 0.02 | 0.02 |
PTCHD1 | -0.0000897 | 15543 | GTEx | DepMap | Descartes | 0.02 | 0.05 |
PLXNA4 | -0.0000968 | 15939 | GTEx | DepMap | Descartes | 0.12 | 0.07 |
CNKSR2 | -0.0001074 | 16449 | GTEx | DepMap | Descartes | 0.14 | 0.15 |
RBFOX1 | -0.0001357 | 17519 | GTEx | DepMap | Descartes | 0.15 | 0.02 |
EYA1 | -0.0001379 | 17590 | GTEx | DepMap | Descartes | 0.52 | 0.79 |
RGMB | -0.0001463 | 17845 | GTEx | DepMap | Descartes | 0.10 | 0.97 |
GAL | -0.0001464 | 17847 | GTEx | DepMap | Descartes | 0.06 | 2.20 |
MARCH11 | -0.0001492 | 17934 | GTEx | DepMap | Descartes | 0.11 | 0.21 |
CNTFR | -0.0001524 | 18041 | GTEx | DepMap | Descartes | 0.22 | 1.37 |
Descartes Vascular_endothelial markers
Top 50 marker genes of Vascular_endothelial cells in the Decartes fetal adrenal single cell map (https://atlas.brotmanbaty.org/bbi/human-gene-expression-during-development/cell/vascular_endothelial/in/adrenal)
Wilcoxon ranksum test P-value for gene set overrepresentation: 9.80e-01
Mean rank of genes in gene set: 12376.53
Median rank of genes in gene set: 14180
Rank on gene expression program of top 30 genes in gene set:
Genes | Weight | Rank | GTEx | DepMap | Descartes | Mean.Counts | Mean.TPM |
---|---|---|---|---|---|---|---|
FCGR2B | 0.0016714 | 187 | GTEx | DepMap | Descartes | 2.36 | 51.28 |
NOTCH4 | 0.0003631 | 1116 | GTEx | DepMap | Descartes | 0.08 | 1.00 |
ESM1 | 0.0003218 | 1238 | GTEx | DepMap | Descartes | 0.47 | 13.28 |
TMEM88 | 0.0002330 | 1634 | GTEx | DepMap | Descartes | 0.06 | 10.38 |
HYAL2 | 0.0001199 | 2717 | GTEx | DepMap | Descartes | 0.27 | 15.43 |
CYP26B1 | 0.0000713 | 3684 | GTEx | DepMap | Descartes | 0.05 | 0.34 |
PLVAP | 0.0000550 | 4103 | GTEx | DepMap | Descartes | 0.53 | 11.16 |
SHE | 0.0000458 | 4426 | GTEx | DepMap | Descartes | 0.00 | 0.00 |
GALNT15 | 0.0000301 | 5071 | GTEx | DepMap | Descartes | 0.01 | 0.05 |
KANK3 | 0.0000206 | 5515 | GTEx | DepMap | Descartes | 0.12 | 3.01 |
MMRN2 | -0.0000011 | 7357 | GTEx | DepMap | Descartes | 0.09 | 0.82 |
MYRIP | -0.0000047 | 7869 | GTEx | DepMap | Descartes | 0.00 | 0.00 |
IRX3 | -0.0000086 | 8476 | GTEx | DepMap | Descartes | 0.05 | 2.41 |
CRHBP | -0.0000125 | 9027 | GTEx | DepMap | Descartes | 0.00 | 0.00 |
KDR | -0.0000179 | 9716 | GTEx | DepMap | Descartes | 0.16 | 1.00 |
F8 | -0.0000277 | 10851 | GTEx | DepMap | Descartes | 0.01 | 0.02 |
NPR1 | -0.0000390 | 11881 | GTEx | DepMap | Descartes | 0.03 | 0.63 |
SLCO2A1 | -0.0000465 | 12560 | GTEx | DepMap | Descartes | 0.01 | 0.03 |
ECSCR | -0.0000574 | 13415 | GTEx | DepMap | Descartes | 0.21 | 4.70 |
BTNL9 | -0.0000639 | 13927 | GTEx | DepMap | Descartes | 0.03 | 0.31 |
ARHGAP29 | -0.0000655 | 14051 | GTEx | DepMap | Descartes | 0.27 | 1.28 |
EHD3 | -0.0000671 | 14180 | GTEx | DepMap | Descartes | 0.07 | 0.76 |
SHANK3 | -0.0000742 | 14662 | GTEx | DepMap | Descartes | 0.03 | 0.09 |
TEK | -0.0000790 | 14942 | GTEx | DepMap | Descartes | 0.01 | 0.01 |
PODXL | -0.0000881 | 15468 | GTEx | DepMap | Descartes | 0.09 | 0.47 |
CALCRL | -0.0000895 | 15530 | GTEx | DepMap | Descartes | 0.08 | 0.25 |
ID1 | -0.0000967 | 15934 | GTEx | DepMap | Descartes | 0.30 | 99.40 |
CEACAM1 | -0.0000983 | 16029 | GTEx | DepMap | Descartes | 0.15 | 3.48 |
NR5A2 | -0.0001160 | 16810 | GTEx | DepMap | Descartes | 0.01 | 0.02 |
PTPRB | -0.0001303 | 17343 | GTEx | DepMap | Descartes | 0.09 | 0.20 |
Descartes stromal markers
Top 50 marker genes of stromal cells in the Decartes fetal adrenal single cell map (https://atlas.brotmanbaty.org/bbi/human-gene-expression-during-development/cell/stromal/in/adrenal)
Wilcoxon ranksum test P-value for gene set overrepresentation: 2.01e-01
Mean rank of genes in gene set: 9728.15
Median rank of genes in gene set: 10802.5
Rank on gene expression program of top 30 genes in gene set:
Genes | Weight | Rank | GTEx | DepMap | Descartes | Mean.Counts | Mean.TPM |
---|---|---|---|---|---|---|---|
PAMR1 | 0.0003385 | 1184 | GTEx | DepMap | Descartes | 0.01 | 0.08 |
SCARA5 | 0.0001604 | 2184 | GTEx | DepMap | Descartes | 0.01 | 0.03 |
DCN | 0.0001590 | 2211 | GTEx | DepMap | Descartes | 1.32 | 7.91 |
ABCA6 | 0.0001474 | 2340 | GTEx | DepMap | Descartes | 0.02 | 0.09 |
ADAMTS2 | 0.0001470 | 2344 | GTEx | DepMap | Descartes | 0.15 | 0.21 |
PDGFRA | 0.0001246 | 2633 | GTEx | DepMap | Descartes | 0.11 | 0.54 |
DKK2 | 0.0000813 | 3439 | GTEx | DepMap | Descartes | 0.03 | 0.08 |
ITGA11 | 0.0000746 | 3594 | GTEx | DepMap | Descartes | 0.01 | 0.04 |
ISLR | 0.0000726 | 3646 | GTEx | DepMap | Descartes | 0.05 | 0.36 |
COL12A1 | 0.0000700 | 3714 | GTEx | DepMap | Descartes | 0.24 | 0.73 |
LOX | 0.0000670 | 3765 | GTEx | DepMap | Descartes | 0.24 | 4.14 |
COL27A1 | 0.0000402 | 4645 | GTEx | DepMap | Descartes | 0.05 | 0.21 |
SFRP2 | 0.0000347 | 4863 | GTEx | DepMap | Descartes | 0.14 | 4.06 |
GAS2 | 0.0000240 | 5329 | GTEx | DepMap | Descartes | 0.06 | 0.09 |
COL1A1 | 0.0000221 | 5430 | GTEx | DepMap | Descartes | 4.26 | 58.35 |
BICC1 | 0.0000190 | 5617 | GTEx | DepMap | Descartes | 0.07 | 0.10 |
IGFBP3 | 0.0000079 | 6405 | GTEx | DepMap | Descartes | 2.23 | 58.85 |
POSTN | 0.0000052 | 6678 | GTEx | DepMap | Descartes | 0.83 | 11.22 |
COL1A2 | 0.0000021 | 6966 | GTEx | DepMap | Descartes | 3.97 | 25.10 |
EDNRA | 0.0000004 | 7172 | GTEx | DepMap | Descartes | 0.03 | 0.25 |
FREM1 | -0.0000193 | 9871 | GTEx | DepMap | Descartes | 0.00 | 0.00 |
PCDH18 | -0.0000240 | 10433 | GTEx | DepMap | Descartes | 0.02 | 0.49 |
GLI2 | -0.0000263 | 10672 | GTEx | DepMap | Descartes | 0.00 | 0.00 |
ADAMTSL3 | -0.0000286 | 10933 | GTEx | DepMap | Descartes | 0.00 | 0.00 |
CDH11 | -0.0000340 | 11434 | GTEx | DepMap | Descartes | 0.13 | 0.23 |
MGP | -0.0000378 | 11780 | GTEx | DepMap | Descartes | 1.50 | 114.40 |
CD248 | -0.0000403 | 12009 | GTEx | DepMap | Descartes | 0.13 | 15.08 |
HHIP | -0.0000436 | 12288 | GTEx | DepMap | Descartes | 0.02 | 0.05 |
LRRC17 | -0.0000444 | 12364 | GTEx | DepMap | Descartes | 0.01 | 0.04 |
ABCC9 | -0.0000465 | 12559 | GTEx | DepMap | Descartes | 0.06 | 0.11 |
Descartes sympathoblasts markers
Top 50 marker genes of sympathoblasts cells in the Decartes fetal adrenal single cell map (https://atlas.brotmanbaty.org/bbi/human-gene-expression-during-development/cell/sympathoblasts/in/adrenal)
Wilcoxon ranksum test P-value for gene set overrepresentation: 9.91e-01
Mean rank of genes in gene set: 12669.6
Median rank of genes in gene set: 12758
Rank on gene expression program of top 30 genes in gene set:
Genes | Weight | Rank | GTEx | DepMap | Descartes | Mean.Counts | Mean.TPM |
---|---|---|---|---|---|---|---|
GCH1 | 0.0006097 | 637 | GTEx | DepMap | Descartes | 0.74 | 7.37 |
PENK | 0.0003283 | 1217 | GTEx | DepMap | Descartes | 0.05 | 4.70 |
GRID2 | 0.0000281 | 5160 | GTEx | DepMap | Descartes | 0.01 | 0.00 |
KCTD16 | 0.0000115 | 6111 | GTEx | DepMap | Descartes | 0.00 | 0.00 |
TBX20 | 0.0000103 | 6195 | GTEx | DepMap | Descartes | 0.01 | 0.04 |
CDH12 | -0.0000099 | 8656 | GTEx | DepMap | Descartes | 0.00 | 0.00 |
SLC24A2 | -0.0000160 | 9485 | GTEx | DepMap | Descartes | 0.00 | 0.00 |
LAMA3 | -0.0000217 | 10159 | GTEx | DepMap | Descartes | 0.03 | 0.03 |
SLC18A1 | -0.0000230 | 10312 | GTEx | DepMap | Descartes | 0.01 | 0.08 |
UNC80 | -0.0000309 | 11145 | GTEx | DepMap | Descartes | 0.07 | 0.11 |
CNTN3 | -0.0000323 | 11288 | GTEx | DepMap | Descartes | 0.00 | 0.00 |
NTNG1 | -0.0000331 | 11348 | GTEx | DepMap | Descartes | 0.05 | 0.04 |
SLC35F3 | -0.0000359 | 11605 | GTEx | DepMap | Descartes | 0.00 | 0.00 |
TIAM1 | -0.0000365 | 11667 | GTEx | DepMap | Descartes | 0.32 | 0.21 |
AGBL4 | -0.0000375 | 11751 | GTEx | DepMap | Descartes | 0.01 | 0.00 |
ST18 | -0.0000382 | 11824 | GTEx | DepMap | Descartes | 0.05 | 0.03 |
CDH18 | -0.0000421 | 12156 | GTEx | DepMap | Descartes | 0.00 | 0.00 |
GALNTL6 | -0.0000443 | 12352 | GTEx | DepMap | Descartes | 0.04 | 0.00 |
SPOCK3 | -0.0000449 | 12404 | GTEx | DepMap | Descartes | 0.03 | 0.03 |
PNMT | -0.0000455 | 12464 | GTEx | DepMap | Descartes | 0.00 | 0.15 |
EML6 | -0.0000486 | 12741 | GTEx | DepMap | Descartes | 0.04 | 0.04 |
SORCS3 | -0.0000491 | 12775 | GTEx | DepMap | Descartes | 0.00 | 0.01 |
MGAT4C | -0.0000548 | 13221 | GTEx | DepMap | Descartes | 0.06 | 0.02 |
TMEM130 | -0.0000562 | 13319 | GTEx | DepMap | Descartes | 0.02 | 0.19 |
PACRG | -0.0000619 | 13781 | GTEx | DepMap | Descartes | 0.03 | 0.02 |
CCSER1 | -0.0000642 | 13955 | GTEx | DepMap | Descartes | 0.05 | 0.01 |
TENM1 | -0.0000661 | 14108 | GTEx | DepMap | Descartes | 0.01 | 0.00 |
DGKK | -0.0000678 | 14227 | GTEx | DepMap | Descartes | 0.03 | 0.03 |
FGF14 | -0.0000681 | 14247 | GTEx | DepMap | Descartes | 0.03 | 0.01 |
CHGB | -0.0000684 | 14257 | GTEx | DepMap | Descartes | 0.63 | 9.84 |
Descartes erythroblasts markers
Top 50 marker genes of erythroblasts cells in the Decartes fetal adrenal single cell map (https://atlas.brotmanbaty.org/bbi/human-gene-expression-during-development/cell/erythroblasts/in/adrenal)
Wilcoxon ranksum test P-value for gene set overrepresentation: 1.14e-01
Mean rank of genes in gene set: 9243
Median rank of genes in gene set: 8522
Rank on gene expression program of top 30 genes in gene set:
Genes | Weight | Rank | GTEx | DepMap | Descartes | Mean.Counts | Mean.TPM |
---|---|---|---|---|---|---|---|
SELENBP1 | 0.0013134 | 257 | GTEx | DepMap | Descartes | 0.23 | 6.15 |
DENND4A | 0.0005873 | 676 | GTEx | DepMap | Descartes | 0.31 | 2.03 |
RAPGEF2 | 0.0005623 | 712 | GTEx | DepMap | Descartes | 0.33 | 0.58 |
SPECC1 | 0.0005568 | 717 | GTEx | DepMap | Descartes | 0.33 | 0.39 |
BLVRB | 0.0005424 | 737 | GTEx | DepMap | Descartes | 3.50 | 59.51 |
EPB41 | 0.0001909 | 1919 | GTEx | DepMap | Descartes | 0.49 | 1.11 |
MARCH3 | 0.0001353 | 2491 | GTEx | DepMap | Descartes | 0.02 | 0.03 |
SLC25A37 | 0.0001008 | 3052 | GTEx | DepMap | Descartes | 0.31 | 2.72 |
FECH | 0.0000514 | 4233 | GTEx | DepMap | Descartes | 0.16 | 1.35 |
SPTA1 | 0.0000507 | 4259 | GTEx | DepMap | Descartes | 0.00 | 0.00 |
RGS6 | 0.0000451 | 4453 | GTEx | DepMap | Descartes | 0.00 | 0.00 |
CR1L | 0.0000371 | 4765 | GTEx | DepMap | Descartes | 0.68 | 7.22 |
EPB42 | 0.0000223 | 5418 | GTEx | DepMap | Descartes | 0.00 | 0.00 |
ALAS2 | 0.0000177 | 5692 | GTEx | DepMap | Descartes | 0.04 | 0.66 |
GYPA | 0.0000146 | 5902 | GTEx | DepMap | Descartes | 0.00 | 0.07 |
TFR2 | 0.0000016 | 7030 | GTEx | DepMap | Descartes | 0.00 | 0.14 |
ABCB10 | 0.0000011 | 7092 | GTEx | DepMap | Descartes | 0.09 | 0.87 |
TMEM56 | -0.0000089 | 8522 | GTEx | DepMap | Descartes | 0.02 | 0.03 |
SLC4A1 | -0.0000171 | 9612 | GTEx | DepMap | Descartes | 0.00 | 0.00 |
RHD | -0.0000229 | 10300 | GTEx | DepMap | Descartes | 0.00 | 0.03 |
SLC25A21 | -0.0000346 | 11485 | GTEx | DepMap | Descartes | 0.00 | 0.00 |
SPTB | -0.0000457 | 12485 | GTEx | DepMap | Descartes | 0.06 | 0.10 |
TMCC2 | -0.0000462 | 12529 | GTEx | DepMap | Descartes | 0.08 | 0.67 |
MICAL2 | -0.0000475 | 12656 | GTEx | DepMap | Descartes | 0.10 | 0.16 |
ANK1 | -0.0000489 | 12760 | GTEx | DepMap | Descartes | 0.00 | 0.01 |
XPO7 | -0.0000736 | 14625 | GTEx | DepMap | Descartes | 0.30 | 0.75 |
HEMGN | -0.0000742 | 14668 | GTEx | DepMap | Descartes | 0.00 | 0.01 |
TRAK2 | -0.0000931 | 15735 | GTEx | DepMap | Descartes | 0.19 | 0.78 |
GCLC | -0.0001326 | 17418 | GTEx | DepMap | Descartes | 0.27 | 1.99 |
SNCA | -0.0001360 | 17528 | GTEx | DepMap | Descartes | 0.80 | 2.75 |
Descartes myeloid markers
Top 50 marker genes of myeloid cells in the Decartes fetal adrenal single cell map (https://atlas.brotmanbaty.org/bbi/human-gene-expression-during-development/cell/myeloid/in/adrenal)
Wilcoxon ranksum test P-value for gene set overrepresentation: 1.44e-06
Mean rank of genes in gene set: 6262
Median rank of genes in gene set: 1534
Rank on gene expression program of top 30 genes in gene set:
Genes | Weight | Rank | GTEx | DepMap | Descartes | Mean.Counts | Mean.TPM |
---|---|---|---|---|---|---|---|
CD14 | 0.0085082 | 6 | GTEx | DepMap | Descartes | 5.72 | 1502.89 |
ABCA1 | 0.0026721 | 85 | GTEx | DepMap | Descartes | 5.44 | 13.69 |
CTSC | 0.0019027 | 152 | GTEx | DepMap | Descartes | 10.88 | 107.42 |
MS4A7 | 0.0018614 | 158 | GTEx | DepMap | Descartes | 8.99 | 184.54 |
ADAP2 | 0.0017888 | 173 | GTEx | DepMap | Descartes | 0.52 | 6.80 |
MERTK | 0.0015812 | 204 | GTEx | DepMap | Descartes | 1.12 | 3.41 |
CSF1R | 0.0015063 | 219 | GTEx | DepMap | Descartes | 2.84 | 31.99 |
C1QA | 0.0011628 | 301 | GTEx | DepMap | Descartes | 38.15 | 4113.48 |
C1QB | 0.0011411 | 310 | GTEx | DepMap | Descartes | 42.36 | 2277.63 |
LGMN | 0.0011032 | 322 | GTEx | DepMap | Descartes | 16.60 | 114.69 |
CYBB | 0.0008709 | 432 | GTEx | DepMap | Descartes | 2.48 | 20.23 |
HRH1 | 0.0008647 | 433 | GTEx | DepMap | Descartes | 0.09 | 0.32 |
C1QC | 0.0007015 | 551 | GTEx | DepMap | Descartes | 34.02 | 3174.84 |
AXL | 0.0006089 | 640 | GTEx | DepMap | Descartes | 1.48 | 14.62 |
WWP1 | 0.0005006 | 788 | GTEx | DepMap | Descartes | 1.55 | 4.82 |
RGL1 | 0.0004656 | 850 | GTEx | DepMap | Descartes | 0.72 | 1.04 |
PTPRE | 0.0003846 | 1044 | GTEx | DepMap | Descartes | 0.48 | 1.41 |
MS4A4A | 0.0003681 | 1101 | GTEx | DepMap | Descartes | 0.23 | 5.95 |
RBPJ | 0.0003551 | 1134 | GTEx | DepMap | Descartes | 0.91 | 1.81 |
CTSB | 0.0003213 | 1242 | GTEx | DepMap | Descartes | 72.76 | 920.44 |
ITPR2 | 0.0002832 | 1393 | GTEx | DepMap | Descartes | 0.36 | 0.36 |
HCK | 0.0002760 | 1435 | GTEx | DepMap | Descartes | 0.84 | 8.36 |
TGFBI | 0.0002546 | 1534 | GTEx | DepMap | Descartes | 1.29 | 19.71 |
IFNGR1 | 0.0002307 | 1645 | GTEx | DepMap | Descartes | 1.45 | 35.70 |
FMN1 | 0.0002230 | 1696 | GTEx | DepMap | Descartes | 0.30 | 0.28 |
MPEG1 | 0.0002057 | 1799 | GTEx | DepMap | Descartes | 6.62 | 507.27 |
ATP8B4 | 0.0001818 | 1999 | GTEx | DepMap | Descartes | 0.12 | 0.47 |
FGL2 | 0.0001633 | 2152 | GTEx | DepMap | Descartes | 0.50 | 41.36 |
CTSS | 0.0001309 | 2546 | GTEx | DepMap | Descartes | 19.42 | 238.93 |
SFMBT2 | 0.0000497 | 4292 | GTEx | DepMap | Descartes | 0.02 | 0.02 |
Descartes Schwann markers
Top 50 marker genes of Schwann cells in the Decartes fetal adrenal single cell map (https://atlas.brotmanbaty.org/bbi/human-gene-expression-during-development/cell/schwann/in/adrenal)
Wilcoxon ranksum test P-value for gene set overrepresentation: 9.06e-01
Mean rank of genes in gene set: 11634.02
Median rank of genes in gene set: 12758
Rank on gene expression program of top 30 genes in gene set:
Genes | Weight | Rank | GTEx | DepMap | Descartes | Mean.Counts | Mean.TPM |
---|---|---|---|---|---|---|---|
KCTD12 | 0.0014105 | 240 | GTEx | DepMap | Descartes | 1.47 | 97.66 |
PMP22 | 0.0006220 | 627 | GTEx | DepMap | Descartes | 2.13 | 24.24 |
VIM | 0.0004969 | 794 | GTEx | DepMap | Descartes | 13.73 | 570.21 |
PAG1 | 0.0003359 | 1193 | GTEx | DepMap | Descartes | 0.13 | 0.45 |
EDNRB | 0.0003052 | 1308 | GTEx | DepMap | Descartes | 0.54 | 4.87 |
FAM134B | 0.0001292 | 2569 | GTEx | DepMap | Descartes | 0.35 | NA |
SOX5 | 0.0000451 | 4450 | GTEx | DepMap | Descartes | 0.03 | 0.02 |
CDH19 | 0.0000275 | 5189 | GTEx | DepMap | Descartes | 0.06 | 0.39 |
GRIK3 | 0.0000267 | 5215 | GTEx | DepMap | Descartes | 0.02 | 0.04 |
GAS7 | 0.0000265 | 5228 | GTEx | DepMap | Descartes | 0.33 | 0.60 |
IL1RAPL2 | 0.0000105 | 6180 | GTEx | DepMap | Descartes | 0.00 | 0.00 |
MDGA2 | -0.0000017 | 7431 | GTEx | DepMap | Descartes | 0.02 | 0.01 |
PLCE1 | -0.0000041 | 7778 | GTEx | DepMap | Descartes | 0.09 | 0.13 |
STARD13 | -0.0000080 | 8383 | GTEx | DepMap | Descartes | 0.09 | 0.16 |
ERBB4 | -0.0000178 | 9689 | GTEx | DepMap | Descartes | 0.00 | 0.00 |
PTPRZ1 | -0.0000204 | 10002 | GTEx | DepMap | Descartes | 0.18 | 0.39 |
XKR4 | -0.0000227 | 10276 | GTEx | DepMap | Descartes | 0.03 | NA |
COL25A1 | -0.0000302 | 11068 | GTEx | DepMap | Descartes | 0.02 | 0.02 |
LRRTM4 | -0.0000304 | 11088 | GTEx | DepMap | Descartes | 0.00 | 0.00 |
OLFML2A | -0.0000367 | 11681 | GTEx | DepMap | Descartes | 0.09 | 1.57 |
NRXN3 | -0.0000379 | 11786 | GTEx | DepMap | Descartes | 0.01 | 0.00 |
TRPM3 | -0.0000442 | 12340 | GTEx | DepMap | Descartes | 0.00 | 0.00 |
FIGN | -0.0000449 | 12405 | GTEx | DepMap | Descartes | 0.08 | 0.21 |
ADAMTS5 | -0.0000489 | 12758 | GTEx | DepMap | Descartes | 0.15 | 1.57 |
SFRP1 | -0.0000535 | 13114 | GTEx | DepMap | Descartes | 0.17 | 1.11 |
MPZ | -0.0000611 | 13708 | GTEx | DepMap | Descartes | 0.00 | 0.10 |
ERBB3 | -0.0000694 | 14332 | GTEx | DepMap | Descartes | 0.10 | 1.51 |
SLC35F1 | -0.0000707 | 14417 | GTEx | DepMap | Descartes | 0.05 | 0.07 |
SCN7A | -0.0000708 | 14421 | GTEx | DepMap | Descartes | 0.11 | 0.48 |
HMGA2 | -0.0000797 | 14991 | GTEx | DepMap | Descartes | 0.01 | 0.03 |
Descartes Megakaryocytes markers
Top 50 marker genes of Megakaryocytes cells in the Decartes fetal adrenal single cell map (https://atlas.brotmanbaty.org/bbi/human-gene-expression-during-development/cell/megakaryocytes/in/adrenal)
Wilcoxon ranksum test P-value for gene set overrepresentation: 3.98e-02
Mean rank of genes in gene set: 8962.22
Median rank of genes in gene set: 7562
Rank on gene expression program of top 30 genes in gene set:
Genes | Weight | Rank | GTEx | DepMap | Descartes | Mean.Counts | Mean.TPM |
---|---|---|---|---|---|---|---|
PLEK | 0.0033396 | 62 | GTEx | DepMap | Descartes | 3.14 | 16.69 |
THBS1 | 0.0021023 | 129 | GTEx | DepMap | Descartes | 2.56 | 87.04 |
TGFB1 | 0.0010129 | 366 | GTEx | DepMap | Descartes | 2.84 | 59.91 |
RAP1B | 0.0008753 | 427 | GTEx | DepMap | Descartes | 3.57 | 43.13 |
FERMT3 | 0.0004784 | 824 | GTEx | DepMap | Descartes | 1.50 | 26.58 |
PPBP | 0.0003700 | 1096 | GTEx | DepMap | Descartes | 0.03 | 7.85 |
PF4 | 0.0002945 | 1348 | GTEx | DepMap | Descartes | 6.15 | 2212.15 |
TLN1 | 0.0002775 | 1428 | GTEx | DepMap | Descartes | 2.32 | 30.28 |
UBASH3B | 0.0002650 | 1485 | GTEx | DepMap | Descartes | 0.30 | 0.89 |
MYH9 | 0.0002054 | 1803 | GTEx | DepMap | Descartes | 2.08 | 9.36 |
GSN | 0.0001958 | 1875 | GTEx | DepMap | Descartes | 1.82 | 13.50 |
FLI1 | 0.0001598 | 2195 | GTEx | DepMap | Descartes | 0.41 | 1.25 |
STON2 | 0.0000961 | 3141 | GTEx | DepMap | Descartes | 0.05 | 0.08 |
ACTN1 | 0.0000769 | 3543 | GTEx | DepMap | Descartes | 1.33 | 4.13 |
ARHGAP6 | 0.0000717 | 3671 | GTEx | DepMap | Descartes | 0.07 | 0.06 |
LIMS1 | 0.0000599 | 3957 | GTEx | DepMap | Descartes | 0.86 | 3.04 |
STOM | 0.0000570 | 4046 | GTEx | DepMap | Descartes | 0.39 | 5.13 |
CD84 | 0.0000554 | 4093 | GTEx | DepMap | Descartes | 2.02 | 13.46 |
INPP4B | 0.0000346 | 4866 | GTEx | DepMap | Descartes | 0.15 | 0.08 |
TPM4 | 0.0000236 | 5348 | GTEx | DepMap | Descartes | 2.13 | 29.53 |
TRPC6 | 0.0000072 | 6464 | GTEx | DepMap | Descartes | 0.01 | 0.02 |
MCTP1 | 0.0000012 | 7080 | GTEx | DepMap | Descartes | 0.06 | 0.04 |
LTBP1 | 0.0000002 | 7195 | GTEx | DepMap | Descartes | 0.08 | 0.12 |
TUBB1 | -0.0000015 | 7400 | GTEx | DepMap | Descartes | 0.00 | 0.00 |
GP1BA | -0.0000026 | 7562 | GTEx | DepMap | Descartes | 0.00 | 0.00 |
P2RX1 | -0.0000072 | 8261 | GTEx | DepMap | Descartes | 0.01 | 0.66 |
GP9 | -0.0000081 | 8404 | GTEx | DepMap | Descartes | 0.00 | 0.70 |
HIPK2 | -0.0000128 | 9063 | GTEx | DepMap | Descartes | 0.79 | 1.32 |
SPN | -0.0000304 | 11097 | GTEx | DepMap | Descartes | 0.06 | 6.13 |
MYLK | -0.0000336 | 11396 | GTEx | DepMap | Descartes | 0.07 | 0.11 |
Descartes Lyphoid markers
Top 50 marker genes of Lyphoid cells in the Decartes fetal adrenal single cell map (https://atlas.brotmanbaty.org/bbi/human-gene-expression-during-development/cell/lymphoid/in/adrenal)
Wilcoxon ranksum test P-value for gene set overrepresentation: 1.30e-01
Mean rank of genes in gene set: 9450.34
Median rank of genes in gene set: 9085.5
Rank on gene expression program of top 30 genes in gene set:
Genes | Weight | Rank | GTEx | DepMap | Descartes | Mean.Counts | Mean.TPM |
---|---|---|---|---|---|---|---|
ARID5B | 0.0010397 | 351 | GTEx | DepMap | Descartes | 0.65 | 1.33 |
PITPNC1 | 0.0008918 | 420 | GTEx | DepMap | Descartes | 1.09 | 1.40 |
ITPKB | 0.0008173 | 466 | GTEx | DepMap | Descartes | 0.50 | 2.31 |
B2M | 0.0007445 | 520 | GTEx | DepMap | Descartes | 14.27 | 926.42 |
LCP1 | 0.0006005 | 647 | GTEx | DepMap | Descartes | 4.04 | 16.46 |
PTPRC | 0.0005506 | 723 | GTEx | DepMap | Descartes | 3.01 | 12.70 |
MSN | 0.0004735 | 836 | GTEx | DepMap | Descartes | 2.93 | 17.16 |
CD44 | 0.0004589 | 866 | GTEx | DepMap | Descartes | 1.38 | 6.51 |
PLEKHA2 | 0.0003412 | 1174 | GTEx | DepMap | Descartes | 0.31 | 2.09 |
PDE3B | 0.0002710 | 1457 | GTEx | DepMap | Descartes | 0.21 | 0.59 |
ETS1 | 0.0002426 | 1583 | GTEx | DepMap | Descartes | 0.47 | 2.14 |
WIPF1 | 0.0001797 | 2017 | GTEx | DepMap | Descartes | 0.60 | 2.90 |
RCSD1 | 0.0001296 | 2564 | GTEx | DepMap | Descartes | 0.19 | 1.61 |
ANKRD44 | 0.0001197 | 2721 | GTEx | DepMap | Descartes | 0.33 | 0.63 |
DOCK10 | 0.0001146 | 2811 | GTEx | DepMap | Descartes | 0.62 | 1.12 |
BACH2 | 0.0000600 | 3954 | GTEx | DepMap | Descartes | 0.11 | 0.12 |
PRKCH | 0.0000384 | 4721 | GTEx | DepMap | Descartes | 0.15 | 0.31 |
FYN | 0.0000375 | 4756 | GTEx | DepMap | Descartes | 0.72 | 1.28 |
CELF2 | 0.0000284 | 5148 | GTEx | DepMap | Descartes | 1.02 | 0.46 |
BCL2 | 0.0000083 | 6376 | GTEx | DepMap | Descartes | 0.17 | 0.47 |
NKG7 | -0.0000016 | 7424 | GTEx | DepMap | Descartes | 0.04 | 52.35 |
GNG2 | -0.0000108 | 8795 | GTEx | DepMap | Descartes | 1.57 | 4.66 |
IKZF1 | -0.0000151 | 9376 | GTEx | DepMap | Descartes | 0.30 | 1.56 |
FOXP1 | -0.0000195 | 9888 | GTEx | DepMap | Descartes | 1.08 | 0.67 |
ARHGAP15 | -0.0000295 | 11008 | GTEx | DepMap | Descartes | 0.22 | 0.20 |
ABLIM1 | -0.0000450 | 12415 | GTEx | DepMap | Descartes | 0.29 | 0.31 |
STK39 | -0.0000463 | 12538 | GTEx | DepMap | Descartes | 0.19 | 0.20 |
TOX | -0.0000570 | 13379 | GTEx | DepMap | Descartes | 0.09 | 0.12 |
RAP1GAP2 | -0.0000664 | 14130 | GTEx | DepMap | Descartes | 0.07 | 0.13 |
SKAP1 | -0.0000682 | 14248 | GTEx | DepMap | Descartes | 0.03 | 0.11 |
Below shows the ranks on this GEP for immune marker gene lists curated by CellTypist (https://www.celltypist.org/encyclopedia).
High ranks indicate this gene is a driver of this GEP.
These curated gene list are ranked by P-value (on this GEP) of their constituent genes.
The Mean Count column shows the mean read count in cells scoring highly (H > 50) on this gene expression program.
Genes | Weight | Rank | GTEx | DepMap | Decartes | Mean.Counts | Mean.TPM |
---|---|---|---|---|---|---|---|
APOE | 0.0016049 | 201 | GTEx | DepMap | Descartes | 439.38 | 45758.02 |
FTH1 | 0.0014222 | 233 | GTEx | DepMap | Descartes | 185.34 | 13519.81 |
C1QA | 0.0011628 | 301 | GTEx | DepMap | Descartes | 38.15 | 4113.48 |
C1QB | 0.0011411 | 310 | GTEx | DepMap | Descartes | 42.36 | 2277.63 |
APOC1 | 0.0002330 | 1633 | GTEx | DepMap | Descartes | 1.87 | 157.73 |
CD5L | 0.0000295 | 5095 | GTEx | DepMap | Descartes | 21.52 | 428.97 |
RNASE1 | -0.0003710 | 20368 | GTEx | DepMap | Descartes | 0.03 | 4.10 |
DC: Migratory DCs (curated markers)
migratory dendritic cells that transport antigens to the draining lymph nodes during both homeostatic conditions and infections:
Wilcoxon ranksum test P-value for gene set overrepresentation: 7.40e-03
Mean rank of genes in gene set: 1965.33
Rank on gene expression program of genes in gene set:
Genes | Weight | Rank | GTEx | DepMap | Decartes | Mean.Counts | Mean.TPM |
---|---|---|---|---|---|---|---|
EBI3 | 0.0007819 | 489 | GTEx | DepMap | Descartes | 0.17 | 16.28 |
CCL19 | 0.0001361 | 2483 | GTEx | DepMap | Descartes | 0.00 | 0.27 |
CCR7 | 0.0001075 | 2924 | GTEx | DepMap | Descartes | 0.40 | 16.66 |
T cells: Tem/Effector helper T cells PD1+ (curated markers)
CD4+ helper T lymphocyte subpopulation in the thymus which features the expression of programmed cell death protein 1 (PD-1):
Wilcoxon ranksum test P-value for gene set overrepresentation: 1.44e-02
Mean rank of genes in gene set: 2845
Rank on gene expression program of genes in gene set:
Genes | Weight | Rank | GTEx | DepMap | Decartes | Mean.Counts | Mean.TPM |
---|---|---|---|---|---|---|---|
CD4 | 0.0002012 | 1826 | GTEx | DepMap | Descartes | 0.54 | 6.14 |
CTLA4 | 0.0001245 | 2636 | GTEx | DepMap | Descartes | 0.01 | 0.28 |
PDCD1 | 0.0000561 | 4073 | GTEx | DepMap | Descartes | 0.04 | 1.76 |