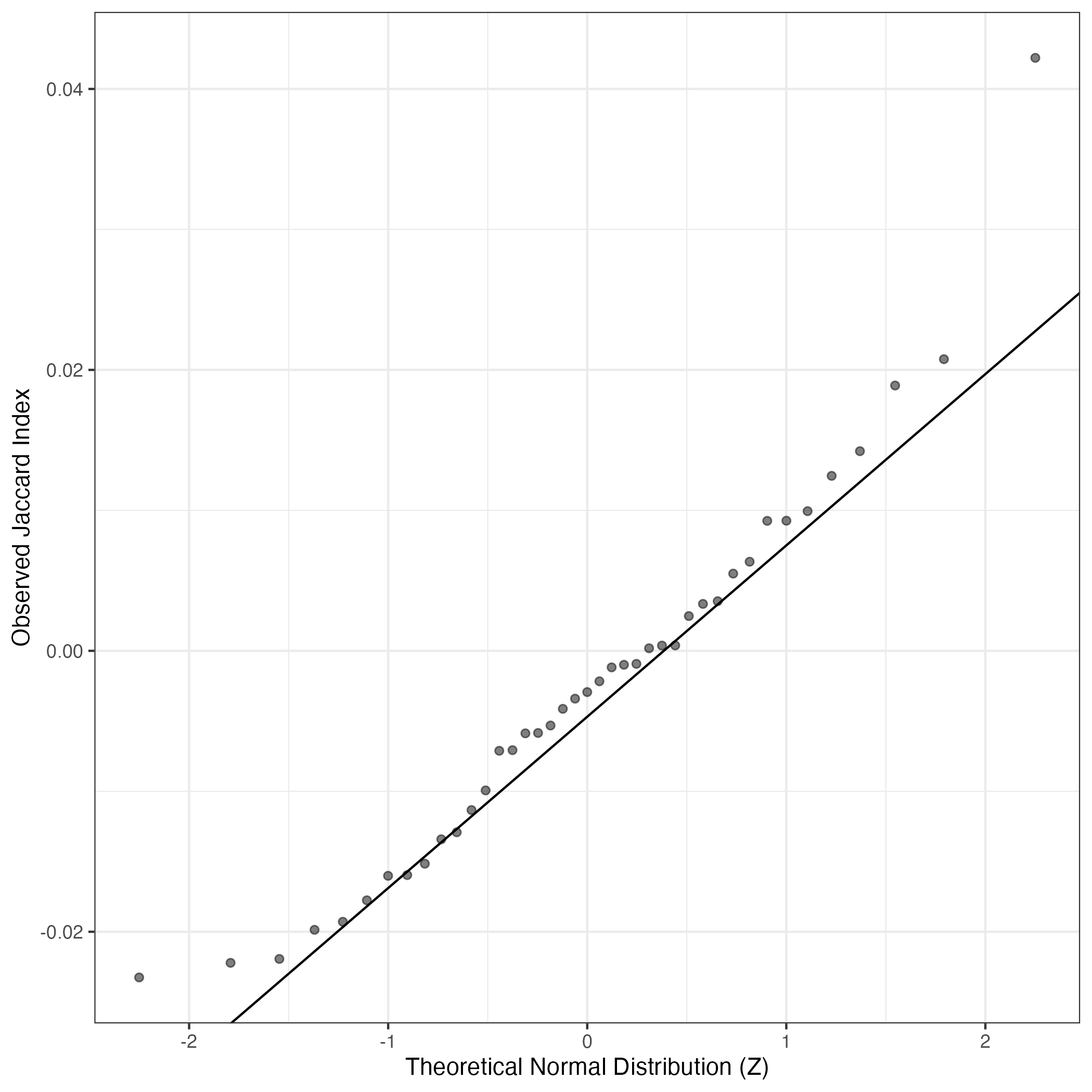
QQ-plot of gene loadings, averaged over both independent splits of the data
This plot highlights the relative contribution of each gene to the GEP
Top genes driving this program.
Note: Decartes website is buggy, try refreshing. Also, Decartes fetal adrenal data have been collected at specific time points (89-122 days), all possible cell types of interest may not be represented, do not overinterpret.
The Mean Count column shows the mean read count in cells scoring highly (H > 50) on this gene expression program.
Gene | Loading | Gene.Name | GTEx | DepMap | Descartes | Mean.Counts | Mean.Tpm | |
---|---|---|---|---|---|---|---|---|
1 | AFP | 0.0053772 | alpha fetoprotein | GTEx | DepMap | Descartes | 1484.31 | 22902.88 |
2 | APOA1 | 0.0051630 | apolipoprotein A1 | GTEx | DepMap | Descartes | 1269.46 | 39561.87 |
3 | APOB | 0.0051395 | apolipoprotein B | GTEx | DepMap | Descartes | 173.73 | 459.98 |
4 | RBP4 | 0.0051014 | retinol binding protein 4 | GTEx | DepMap | Descartes | 143.16 | 4189.62 |
5 | AMBP | 0.0050210 | alpha-1-microglobulin/bikunin precursor | GTEx | DepMap | Descartes | 240.25 | 6721.14 |
6 | AGT | 0.0049811 | angiotensinogen | GTEx | DepMap | Descartes | 66.83 | 1193.36 |
7 | ITIH2 | 0.0049655 | inter-alpha-trypsin inhibitor heavy chain 2 | GTEx | DepMap | Descartes | 46.07 | 556.90 |
8 | FGB | 0.0049329 | fibrinogen beta chain | GTEx | DepMap | Descartes | 150.28 | 2880.80 |
9 | FGA | 0.0048880 | fibrinogen alpha chain | GTEx | DepMap | Descartes | 51.36 | 521.52 |
10 | SERPINA1 | 0.0048720 | serpin family A member 1 | GTEx | DepMap | Descartes | 765.62 | 8592.24 |
11 | APOA2 | 0.0048684 | apolipoprotein A2 | GTEx | DepMap | Descartes | 1792.52 | 74901.80 |
12 | AHSG | 0.0048186 | alpha 2-HS glycoprotein | GTEx | DepMap | Descartes | 441.70 | 11001.17 |
13 | VTN | 0.0045424 | vitronectin | GTEx | DepMap | Descartes | 81.07 | 1927.75 |
14 | ASGR1 | 0.0044358 | asialoglycoprotein receptor 1 | GTEx | DepMap | Descartes | 27.69 | 518.35 |
15 | APOM | 0.0044200 | apolipoprotein M | GTEx | DepMap | Descartes | 65.10 | 2742.39 |
16 | SERPINA6 | 0.0043753 | serpin family A member 6 | GTEx | DepMap | Descartes | 50.71 | 1186.65 |
17 | FGG | 0.0043650 | fibrinogen gamma chain | GTEx | DepMap | Descartes | 49.73 | 923.93 |
18 | MT1G | 0.0043328 | metallothionein 1G | GTEx | DepMap | Descartes | 1004.21 | 63319.59 |
19 | F2 | 0.0043319 | coagulation factor II, thrombin | GTEx | DepMap | Descartes | 22.55 | 432.86 |
20 | ALB | 0.0043128 | albumin | GTEx | DepMap | Descartes | 2202.40 | 37797.74 |
21 | SPINK1 | 0.0043092 | serine peptidase inhibitor Kazal type 1 | GTEx | DepMap | Descartes | 65.73 | 2106.79 |
22 | MT1E | 0.0042781 | metallothionein 1E | GTEx | DepMap | Descartes | 194.25 | 10480.76 |
23 | MT1H | 0.0042636 | metallothionein 1H | GTEx | DepMap | Descartes | 542.55 | 29984.22 |
24 | MT1F | 0.0042380 | metallothionein 1F | GTEx | DepMap | Descartes | 65.15 | 1639.99 |
25 | MT1X | 0.0041893 | metallothionein 1X | GTEx | DepMap | Descartes | 164.77 | 3778.78 |
26 | APOC3 | 0.0041742 | apolipoprotein C3 | GTEx | DepMap | Descartes | 174.89 | 11270.33 |
27 | TTR | 0.0041688 | transthyretin | GTEx | DepMap | Descartes | 275.72 | 10052.22 |
28 | SERPINF2 | 0.0041537 | serpin family F member 2 | GTEx | DepMap | Descartes | 21.07 | 360.28 |
29 | APOH | 0.0041536 | apolipoprotein H | GTEx | DepMap | Descartes | 78.50 | 2636.00 |
30 | CPS1 | 0.0041512 | carbamoyl-phosphate synthase 1 | GTEx | DepMap | Descartes | 26.70 | 175.39 |
31 | PLG | 0.0041471 | plasminogen | GTEx | DepMap | Descartes | 19.15 | 258.33 |
32 | APOC1 | 0.0040197 | apolipoprotein C1 | GTEx | DepMap | Descartes | 192.35 | 10940.28 |
33 | SERPIND1 | 0.0038258 | serpin family D member 1 | GTEx | DepMap | Descartes | 12.34 | 215.88 |
34 | SCD | 0.0037444 | stearoyl-CoA desaturase | GTEx | DepMap | Descartes | 53.54 | 385.61 |
35 | AMN | 0.0037346 | amnion associated transmembrane protein | GTEx | DepMap | Descartes | 11.59 | 160.93 |
36 | SERPINC1 | 0.0037203 | serpin family C member 1 | GTEx | DepMap | Descartes | 15.77 | 375.63 |
37 | ASGR2 | 0.0037195 | asialoglycoprotein receptor 2 | GTEx | DepMap | Descartes | 15.79 | 447.09 |
38 | MT2A | 0.0036509 | metallothionein 2A | GTEx | DepMap | Descartes | 434.54 | 18995.69 |
39 | ANGPTL8 | 0.0036172 | angiopoietin like 8 | GTEx | DepMap | Descartes | 22.50 | NA |
40 | HPX | 0.0035817 | hemopexin | GTEx | DepMap | Descartes | 12.89 | 304.18 |
41 | SERPINA4 | 0.0035632 | serpin family A member 4 | GTEx | DepMap | Descartes | 10.84 | 209.32 |
42 | MT1M | 0.0035595 | metallothionein 1M | GTEx | DepMap | Descartes | 34.90 | 3428.93 |
43 | ALDOB | 0.0035412 | aldolase, fructose-bisphosphate B | GTEx | DepMap | Descartes | 26.33 | 423.98 |
44 | ITIH1 | 0.0035316 | inter-alpha-trypsin inhibitor heavy chain 1 | GTEx | DepMap | Descartes | 25.92 | 340.91 |
45 | KNG1 | 0.0035197 | kininogen 1 | GTEx | DepMap | Descartes | 17.00 | 150.30 |
46 | CHST13 | 0.0034949 | carbohydrate sulfotransferase 13 | GTEx | DepMap | Descartes | 5.22 | 105.29 |
47 | GPC3 | 0.0034450 | glypican 3 | GTEx | DepMap | Descartes | 81.54 | 1337.11 |
48 | TF | 0.0034263 | transferrin | GTEx | DepMap | Descartes | 147.88 | 276.47 |
49 | SLC39A5 | 0.0033432 | solute carrier family 39 member 5 | GTEx | DepMap | Descartes | 7.37 | 143.02 |
50 | F12 | 0.0033380 | coagulation factor XII | GTEx | DepMap | Descartes | 7.98 | 150.40 |
UMAP plots showing activity of gene expression program identified in GEP 3. Hepatocytes:
Gene set Enrichments for this program, caculated from top 50 genes
mSigDB Cell Types Gene Set:
P-value | OR | Lower 95% CI | FDR | FWER | Genes Found | Gene Set Size | |
---|---|---|---|---|---|---|---|
DESCARTES_FETAL_SPLEEN_AFP_ALB_POSITIVE_CELLS | 1.92e-96 | 2084.72 | 744.70 | 1.29e-93 | 1.29e-93 | 46AFP, APOA1, APOB, RBP4, AMBP, AGT, ITIH2, FGB, FGA, SERPINA1, APOA2, AHSG, VTN, ASGR1, APOM, SERPINA6, FGG, MT1G, F2, ALB, MT1E, MT1H, MT1F, MT1X, APOC3, TTR, SERPINF2, APOH, CPS1, PLG, APOC1, SERPIND1, SCD, AMN, SERPINC1, ASGR2, MT2A, HPX, SERPINA4, ALDOB, ITIH1, KNG1, GPC3, TF, SLC39A5, F12 |
188 |
DESCARTES_FETAL_PLACENTA_AFP_ALB_POSITIVE_CELLS | 3.75e-92 | 1523.91 | 609.34 | 1.26e-89 | 2.51e-89 | 44AFP, APOA1, APOB, RBP4, AMBP, AGT, ITIH2, FGB, FGA, SERPINA1, APOA2, AHSG, VTN, ASGR1, APOM, SERPINA6, FGG, MT1G, F2, ALB, MT1E, MT1H, MT1F, MT1X, APOC3, TTR, SERPINF2, APOH, CPS1, PLG, SERPIND1, SCD, AMN, SERPINC1, ASGR2, MT2A, HPX, SERPINA4, ALDOB, ITIH1, KNG1, TF, SLC39A5, F12 |
171 |
DESCARTES_FETAL_LIVER_HEPATOBLASTS | 2.92e-78 | 876.55 | 282.69 | 6.53e-76 | 1.96e-75 | 47AFP, APOA1, APOB, RBP4, AMBP, AGT, ITIH2, FGB, FGA, SERPINA1, APOA2, AHSG, VTN, ASGR1, APOM, SERPINA6, FGG, MT1G, F2, ALB, MT1E, MT1H, MT1F, MT1X, APOC3, TTR, SERPINF2, APOH, CPS1, PLG, APOC1, SERPIND1, SCD, AMN, SERPINC1, ASGR2, MT2A, HPX, SERPINA4, MT1M, ALDOB, ITIH1, KNG1, GPC3, TF, SLC39A5, F12 |
501 |
AIZARANI_LIVER_C17_HEPATOCYTES_3 | 6.50e-56 | 440.03 | 232.47 | 7.27e-54 | 4.36e-53 | 28APOA1, APOB, RBP4, AMBP, FGB, FGA, SERPINA1, APOA2, AHSG, VTN, ASGR1, FGG, F2, APOC3, SERPINF2, APOH, CPS1, PLG, APOC1, SERPIND1, SERPINC1, ASGR2, MT2A, HPX, ITIH1, KNG1, TF, F12 |
102 |
AIZARANI_LIVER_C14_HEPATOCYTES_2 | 1.95e-69 | 431.11 | 217.59 | 2.62e-67 | 1.31e-66 | 38APOA1, APOB, RBP4, AMBP, FGB, FGA, SERPINA1, APOA2, AHSG, VTN, ASGR1, APOM, SERPINA6, FGG, MT1G, F2, MT1E, MT1H, MT1F, MT1X, APOC3, TTR, SERPINF2, APOH, CPS1, PLG, APOC1, SERPIND1, SCD, SERPINC1, ASGR2, MT2A, HPX, ALDOB, ITIH1, KNG1, TF, F12 |
226 |
AIZARANI_LIVER_C11_HEPATOCYTES_1 | 1.23e-69 | 400.70 | 193.55 | 2.06e-67 | 8.24e-67 | 40APOA1, APOB, RBP4, AMBP, AGT, ITIH2, FGB, FGA, SERPINA1, APOA2, AHSG, VTN, ASGR1, APOM, FGG, MT1G, F2, ALB, MT1E, MT1F, MT1X, APOC3, TTR, SERPINF2, APOH, CPS1, PLG, APOC1, SERPIND1, SCD, SERPINC1, ASGR2, MT2A, HPX, MT1M, ALDOB, ITIH1, KNG1, TF, F12 |
298 |
DESCARTES_MAIN_FETAL_AFP_ALB_POSITIVE_CELLS | 2.00e-25 | 107.98 | 53.98 | 1.92e-23 | 1.34e-22 | 16FGB, FGA, SERPINA1, AHSG, VTN, FGG, MT1G, ALB, MT1F, MT1X, SCD, SERPINC1, ANGPTL8, MT1M, KNG1, F12 |
128 |
DESCARTES_FETAL_PANCREAS_ACINAR_CELLS | 1.22e-17 | 94.07 | 41.92 | 9.11e-16 | 8.20e-15 | 11APOB, AMBP, MT1G, ALB, SPINK1, MT1E, MT1H, MT1X, MT2A, MT1M, SLC39A5 |
88 |
DESCARTES_FETAL_STOMACH_MUC13_DMBT1_POSITIVE_CELLS | 3.74e-17 | 84.29 | 37.68 | 2.51e-15 | 2.51e-14 | 11APOA1, APOB, MT1G, MT1H, MT1F, APOC3, CPS1, AMN, MT2A, ALDOB, CHST13 |
97 |
GAO_SMALL_INTESTINE_24W_C4_ENTEROCYTE_PROGENITOR_SUBTYPE_2 | 3.05e-15 | 74.05 | 31.90 | 1.86e-13 | 2.05e-12 | 10AFP, APOA1, APOB, RBP4, AGT, VTN, APOC3, SERPINA4, ALDOB, CHST13 |
97 |
BUSSLINGER_DUODENAL_BCHE_CELLS | 2.21e-10 | 94.43 | 31.09 | 1.24e-08 | 1.49e-07 | 6MT1G, MT1E, MT1H, MT1F, MT1X, MT2A |
43 |
MURARO_PANCREAS_EPSILON_CELL | 2.26e-08 | 73.23 | 21.55 | 1.01e-06 | 1.52e-05 | 5AGT, SERPINA1, VTN, ASGR1, SPINK1 |
44 |
DESCARTES_FETAL_INTESTINE_INTESTINAL_EPITHELIAL_CELLS | 2.57e-18 | 42.32 | 21.19 | 2.16e-16 | 1.72e-15 | 15AFP, APOA1, APOB, RBP4, AGT, FGA, APOA2, MT1G, MT1E, MT1H, APOC3, CPS1, AMN, SERPINA4, ALDOB |
276 |
BUSSLINGER_GASTRIC_METALLOTHIONEIN_CELLS | 8.98e-10 | 45.09 | 16.66 | 4.64e-08 | 6.03e-07 | 7MT1G, ALB, SPINK1, MT1E, MT1H, MT1X, MT2A |
100 |
BUSSLINGER_GASTRIC_CHIEF_CELLS | 4.21e-06 | 43.02 | 10.86 | 1.35e-04 | 2.83e-03 | 4MT1G, MT1F, MT1X, MT2A |
56 |
AIZARANI_LIVER_C4_EPCAM_POS_BILE_DUCT_CELLS_1 | 7.90e-08 | 22.78 | 8.53 | 3.31e-06 | 5.30e-05 | 7APOB, AMBP, AGT, ITIH2, VTN, SERPINA6, SERPINA4 |
191 |
DESCARTES_FETAL_STOMACH_PARIETAL_AND_CHIEF_CELLS | 7.41e-05 | 42.10 | 8.05 | 1.78e-03 | 4.97e-02 | 3FGB, FGA, ALB |
42 |
DURANTE_ADULT_OLFACTORY_NEUROEPITHELIUM_OLFACTORY_ENSHEATHING_GLIA | 2.84e-06 | 26.02 | 7.91 | 9.54e-05 | 1.91e-03 | 5MT1E, APOC1, SCD, MT2A, MT1M |
115 |
LAKE_ADULT_KIDNEY_C6_PROXIMAL_TUBULE_EPITHELIAL_CELLS_FIBRINOGEN_POS_S3 | 1.29e-06 | 20.07 | 6.90 | 5.10e-05 | 8.68e-04 | 6AGT, FGB, FGA, SERPINA1, MT1G, SERPINF2 |
181 |
TRAVAGLINI_LUNG_MESOTHELIAL_CELL | 2.22e-09 | 12.77 | 6.05 | 1.06e-07 | 1.49e-06 | 12APOA1, RBP4, SERPINA1, VTN, FGG, MT1G, MT1E, MT1H, MT1F, MT1X, APOC1, MT2A |
649 |
Dowload full table
mSigDB Hallmark Gene Sets:
P-value | OR | Lower 95% CI | FDR | FWER | Genes Found | Gene Set Size | |
---|---|---|---|---|---|---|---|
HALLMARK_COAGULATION | 3.21e-17 | 64.49 | 29.95 | 1.61e-15 | 1.61e-15 | 12APOA1, FGA, SERPINA1, FGG, F2, APOC3, PLG, APOC1, SERPINC1, ITIH1, TF, F12 |
138 |
HALLMARK_COMPLEMENT | 2.30e-06 | 18.10 | 6.23 | 3.83e-05 | 1.15e-04 | 6SERPINA1, F2, PLG, APOC1, SERPINC1, ITIH1 |
200 |
HALLMARK_XENOBIOTIC_METABOLISM | 2.30e-06 | 18.10 | 6.23 | 3.83e-05 | 1.15e-04 | 6RBP4, VTN, SERPINA6, PLG, MT2A, ITIH1 |
200 |
HALLMARK_ANGIOGENESIS | 2.22e-03 | 31.54 | 3.57 | 1.58e-02 | 1.11e-01 | 2VTN, APOH |
36 |
HALLMARK_PEROXISOME | 1.07e-03 | 16.27 | 3.19 | 1.07e-02 | 5.36e-02 | 3SERPINA6, ALB, TTR |
104 |
HALLMARK_HYPOXIA | 5.92e-04 | 11.43 | 2.96 | 7.40e-03 | 2.96e-02 | 4MT1E, MT2A, ALDOB, GPC3 |
200 |
HALLMARK_BILE_ACID_METABOLISM | 1.33e-03 | 15.08 | 2.96 | 1.11e-02 | 6.64e-02 | 3APOA1, SERPINA6, TTR |
112 |
HALLMARK_GLYCOLYSIS | 5.67e-02 | 5.42 | 0.63 | 3.54e-01 | 1.00e+00 | 2ALDOB, GPC3 |
200 |
HALLMARK_HEDGEHOG_SIGNALING | 6.74e-02 | 15.01 | 0.36 | 3.74e-01 | 1.00e+00 | 1PLG |
36 |
HALLMARK_CHOLESTEROL_HOMEOSTASIS | 1.33e-01 | 7.20 | 0.18 | 6.67e-01 | 1.00e+00 | 1SCD |
74 |
HALLMARK_ANDROGEN_RESPONSE | 1.76e-01 | 5.31 | 0.13 | 6.97e-01 | 1.00e+00 | 1SCD |
100 |
HALLMARK_UV_RESPONSE_DN | 2.43e-01 | 3.68 | 0.09 | 6.97e-01 | 1.00e+00 | 1MT1E |
144 |
HALLMARK_UV_RESPONSE_UP | 2.63e-01 | 3.35 | 0.08 | 6.97e-01 | 1.00e+00 | 1APOM |
158 |
HALLMARK_APOPTOSIS | 2.67e-01 | 3.29 | 0.08 | 6.97e-01 | 1.00e+00 | 1F2 |
161 |
HALLMARK_IL2_STAT5_SIGNALING | 3.19e-01 | 2.66 | 0.07 | 6.97e-01 | 1.00e+00 | 1SERPINC1 |
199 |
HALLMARK_G2M_CHECKPOINT | 3.20e-01 | 2.64 | 0.07 | 6.97e-01 | 1.00e+00 | 1MT2A |
200 |
HALLMARK_ESTROGEN_RESPONSE_LATE | 3.20e-01 | 2.64 | 0.07 | 6.97e-01 | 1.00e+00 | 1SERPINA1 |
200 |
HALLMARK_MYOGENESIS | 3.20e-01 | 2.64 | 0.07 | 6.97e-01 | 1.00e+00 | 1SCD |
200 |
HALLMARK_INTERFERON_GAMMA_RESPONSE | 3.20e-01 | 2.64 | 0.07 | 6.97e-01 | 1.00e+00 | 1MT2A |
200 |
HALLMARK_MTORC1_SIGNALING | 3.20e-01 | 2.64 | 0.07 | 6.97e-01 | 1.00e+00 | 1SCD |
200 |
Dowload full table
KEGG Pathways:
P-value | OR | Lower 95% CI | FDR | FWER | Genes Found | Gene Set Size | |
---|---|---|---|---|---|---|---|
KEGG_COMPLEMENT_AND_COAGULATION_CASCADES | 7.21e-19 | 124.94 | 54.89 | 1.34e-16 | 1.34e-16 | 11FGB, FGA, SERPINA1, FGG, F2, SERPINF2, PLG, SERPIND1, SERPINC1, KNG1, F12 |
69 |
KEGG_PPAR_SIGNALING_PATHWAY | 9.71e-06 | 34.43 | 8.75 | 9.03e-04 | 1.81e-03 | 4APOA1, APOA2, APOC3, SCD |
69 |
KEGG_SULFUR_METABOLISM | 2.49e-02 | 43.73 | 1.00 | 1.00e+00 | 1.00e+00 | 1CHST13 |
13 |
KEGG_RENIN_ANGIOTENSIN_SYSTEM | 3.24e-02 | 32.79 | 0.77 | 1.00e+00 | 1.00e+00 | 1AGT |
17 |
KEGG_GLYCOSAMINOGLYCAN_BIOSYNTHESIS_CHONDROITIN_SULFATE | 4.17e-02 | 25.03 | 0.59 | 1.00e+00 | 1.00e+00 | 1CHST13 |
22 |
KEGG_BIOSYNTHESIS_OF_UNSATURATED_FATTY_ACIDS | 4.17e-02 | 25.03 | 0.59 | 1.00e+00 | 1.00e+00 | 1SCD |
22 |
KEGG_NITROGEN_METABOLISM | 4.36e-02 | 23.88 | 0.57 | 1.00e+00 | 1.00e+00 | 1CPS1 |
23 |
KEGG_PENTOSE_PHOSPHATE_PATHWAY | 5.10e-02 | 20.20 | 0.48 | 1.00e+00 | 1.00e+00 | 1ALDOB |
27 |
KEGG_NEUROACTIVE_LIGAND_RECEPTOR_INTERACTION | 9.58e-02 | 3.98 | 0.47 | 1.00e+00 | 1.00e+00 | 2F2, PLG |
272 |
KEGG_ALANINE_ASPARTATE_AND_GLUTAMATE_METABOLISM | 6.01e-02 | 16.95 | 0.41 | 1.00e+00 | 1.00e+00 | 1CPS1 |
32 |
KEGG_FRUCTOSE_AND_MANNOSE_METABOLISM | 6.38e-02 | 15.92 | 0.38 | 1.00e+00 | 1.00e+00 | 1ALDOB |
34 |
KEGG_ARGININE_AND_PROLINE_METABOLISM | 9.93e-02 | 9.91 | 0.24 | 1.00e+00 | 1.00e+00 | 1CPS1 |
54 |
KEGG_GLYCOLYSIS_GLUCONEOGENESIS | 1.13e-01 | 8.62 | 0.21 | 1.00e+00 | 1.00e+00 | 1ALDOB |
62 |
KEGG_ECM_RECEPTOR_INTERACTION | 1.50e-01 | 6.33 | 0.16 | 1.00e+00 | 1.00e+00 | 1VTN |
84 |
KEGG_FOCAL_ADHESION | 3.19e-01 | 2.66 | 0.07 | 1.00e+00 | 1.00e+00 | 1VTN |
199 |
KEGG_REGULATION_OF_ACTIN_CYTOSKELETON | 3.37e-01 | 2.48 | 0.06 | 1.00e+00 | 1.00e+00 | 1F2 |
213 |
KEGG_N_GLYCAN_BIOSYNTHESIS | 1.00e+00 | 0.00 | 0.00 | 1.00e+00 | 1.00e+00 | 0 |
46 |
KEGG_OTHER_GLYCAN_DEGRADATION | 1.00e+00 | 0.00 | 0.00 | 1.00e+00 | 1.00e+00 | 0 |
16 |
KEGG_O_GLYCAN_BIOSYNTHESIS | 1.00e+00 | 0.00 | 0.00 | 1.00e+00 | 1.00e+00 | 0 |
30 |
KEGG_GLYCOSAMINOGLYCAN_DEGRADATION | 1.00e+00 | 0.00 | 0.00 | 1.00e+00 | 1.00e+00 | 0 |
21 |
Dowload full table
CHR Positional Gene Sets:
P-value | OR | Lower 95% CI | FDR | FWER | Genes Found | Gene Set Size | |
---|---|---|---|---|---|---|---|
chr16q13 | 1.16e-12 | 126.68 | 44.84 | 3.23e-10 | 3.23e-10 | 7MT1G, MT1E, MT1H, MT1F, MT1X, MT2A, MT1M |
40 |
chr3q27 | 2.08e-02 | 9.50 | 1.10 | 1.00e+00 | 1.00e+00 | 2AHSG, KNG1 |
115 |
chr14q32 | 1.98e-02 | 4.13 | 1.08 | 1.00e+00 | 1.00e+00 | 4SERPINA1, SERPINA6, AMN, SERPINA4 |
546 |
chr17p13 | 2.64e-02 | 4.94 | 0.98 | 1.00e+00 | 1.00e+00 | 3ASGR1, SERPINF2, ASGR2 |
336 |
chr6q26 | 2.68e-02 | 40.42 | 0.93 | 1.00e+00 | 1.00e+00 | 1PLG |
14 |
chr4q31 | 3.68e-02 | 6.92 | 0.81 | 1.00e+00 | 1.00e+00 | 2FGB, FGA |
157 |
chr11q23 | 5.92e-02 | 5.29 | 0.62 | 1.00e+00 | 1.00e+00 | 2APOA1, APOC3 |
205 |
chr2q34 | 8.35e-02 | 11.94 | 0.29 | 1.00e+00 | 1.00e+00 | 1CPS1 |
45 |
chr10p14 | 8.70e-02 | 11.42 | 0.28 | 1.00e+00 | 1.00e+00 | 1ITIH2 |
47 |
chr9q32 | 8.70e-02 | 11.42 | 0.28 | 1.00e+00 | 1.00e+00 | 1AMBP |
47 |
chr2p24 | 1.33e-01 | 7.20 | 0.18 | 1.00e+00 | 1.00e+00 | 1APOB |
74 |
chr17q24 | 1.66e-01 | 5.65 | 0.14 | 1.00e+00 | 1.00e+00 | 1APOH |
94 |
chr18q12 | 1.70e-01 | 5.53 | 0.14 | 1.00e+00 | 1.00e+00 | 1TTR |
96 |
chr4q32 | 1.96e-01 | 4.69 | 0.12 | 1.00e+00 | 1.00e+00 | 1FGG |
113 |
chr3q22 | 2.03e-01 | 4.53 | 0.11 | 1.00e+00 | 1.00e+00 | 1TF |
117 |
chr9q31 | 2.19e-01 | 4.14 | 0.10 | 1.00e+00 | 1.00e+00 | 1ALDOB |
128 |
chr3q21 | 2.34e-01 | 3.84 | 0.09 | 1.00e+00 | 1.00e+00 | 1CHST13 |
138 |
chr11p11 | 2.44e-01 | 3.65 | 0.09 | 1.00e+00 | 1.00e+00 | 1F2 |
145 |
chr1q25 | 2.66e-01 | 3.31 | 0.08 | 1.00e+00 | 1.00e+00 | 1SERPINC1 |
160 |
chr17q11 | 2.67e-01 | 3.29 | 0.08 | 1.00e+00 | 1.00e+00 | 1VTN |
161 |
Dowload full table
Transcription Factor Targets:
P-value | OR | Lower 95% CI | FDR | FWER | Genes Found | Gene Set Size | |
---|---|---|---|---|---|---|---|
HNF1_Q6 | 1.76e-12 | 29.65 | 13.53 | 2.00e-09 | 2.00e-09 | 11AFP, FGB, FGA, APOM, SERPINA6, F2, ALB, SPINK1, PLG, SERPINA4, SLC39A5 |
256 |
HNF1_C | 2.36e-08 | 20.35 | 8.16 | 5.34e-06 | 2.67e-05 | 8AFP, RBP4, FGB, FGA, APOM, F2, SPINK1, SERPINA4 |
249 |
RGTTAMWNATT_HNF1_01 | 1.28e-05 | 31.97 | 8.14 | 1.82e-03 | 1.45e-02 | 4AGT, APOM, TTR, PLG |
74 |
HNF1_01 | 4.34e-07 | 17.54 | 6.59 | 7.02e-05 | 4.92e-04 | 7AFP, FGA, APOM, SERPINA6, ALB, PLG, SERPINA4 |
246 |
ZSCAN2_TARGET_GENES | 7.45e-10 | 11.21 | 5.56 | 2.11e-07 | 8.44e-07 | 14APOA1, AMBP, AGT, FGA, SERPINA1, APOA2, AHSG, VTN, ASGR1, F2, APOC3, APOH, ANGPTL8, TF |
908 |
HHEX_TARGET_GENES | 3.55e-10 | 10.83 | 5.48 | 1.34e-07 | 4.02e-07 | 15AFP, APOA1, AMBP, AGT, FGA, APOA2, AHSG, VTN, F2, APOC3, TTR, PLG, ASGR2, ANGPTL8, TF |
1035 |
HMG20B_TARGET_GENES | 3.27e-10 | 8.30 | 4.42 | 1.34e-07 | 3.71e-07 | 19AFP, APOA1, APOB, RBP4, AMBP, AGT, FGA, SERPINA1, APOA2, AHSG, FGG, F2, MT1E, APOC3, PLG, ASGR2, HPX, KNG1, TF |
1922 |
NR1H4_TARGET_GENES | 2.98e-05 | 11.36 | 3.93 | 3.75e-03 | 3.38e-02 | 6RBP4, AMBP, AGT, SERPINA1, SERPINC1, KNG1 |
315 |
CDP_01 | 8.26e-04 | 17.86 | 3.49 | 9.36e-02 | 9.36e-01 | 3AFP, ALB, TTR |
95 |
TCF7_TARGET_GENES | 2.08e-07 | 6.15 | 3.17 | 3.93e-05 | 2.36e-04 | 16AFP, APOB, RBP4, ITIH2, FGA, SERPINA1, APOA2, AHSG, ASGR1, F2, MT1X, SCD, MT2A, ANGPTL8, TF, SLC39A5 |
1987 |
COUP_DR1_Q6 | 1.43e-03 | 8.96 | 2.32 | 1.47e-01 | 1.00e+00 | 4APOM, TTR, SLC39A5, F12 |
254 |
COUP_01 | 1.66e-03 | 8.58 | 2.23 | 1.48e-01 | 1.00e+00 | 4APOM, SERPIND1, SERPINC1, ASGR2 |
265 |
HNF4_DR1_Q3 | 1.71e-03 | 8.52 | 2.21 | 1.48e-01 | 1.00e+00 | 4TTR, ANGPTL8, SLC39A5, F12 |
267 |
CEBP_Q2_01 | 1.83e-03 | 8.36 | 2.17 | 1.48e-01 | 1.00e+00 | 4FGA, ASGR1, ALB, ASGR2 |
272 |
TGTTTGY_HNF3_Q6 | 2.71e-03 | 4.74 | 1.64 | 2.05e-01 | 1.00e+00 | 6FGA, SERPINA1, AHSG, SERPINA6, ITIH1, TF |
748 |
HNF3B_01 | 9.04e-03 | 7.47 | 1.48 | 6.40e-01 | 1.00e+00 | 3RBP4, TTR, SERPIND1 |
223 |
HP1SITEFACTOR_Q6 | 1.04e-02 | 7.09 | 1.40 | 6.88e-01 | 1.00e+00 | 3AFP, RBP4, GPC3 |
235 |
ZNF491_TARGET_GENES | 1.92e-02 | 58.32 | 1.31 | 8.37e-01 | 1.00e+00 | 1F12 |
10 |
LCORL_TARGET_GENES | 1.09e-02 | 4.97 | 1.29 | 6.88e-01 | 1.00e+00 | 4FGA, AHSG, SCD, F12 |
455 |
STAT_01 | 1.33e-02 | 6.45 | 1.28 | 6.88e-01 | 1.00e+00 | 3AGT, FGA, VTN |
258 |
Dowload full table
GO Biological Processes:
P-value | OR | Lower 95% CI | FDR | FWER | Genes Found | Gene Set Size | |
---|---|---|---|---|---|---|---|
GOBP_DETOXIFICATION_OF_INORGANIC_COMPOUND | 1.26e-15 | 417.29 | 128.60 | 5.54e-13 | 9.42e-12 | 7MT1G, MT1E, MT1H, MT1F, MT1X, MT2A, MT1M |
17 |
GOBP_STRESS_RESPONSE_TO_METAL_ION | 2.06e-15 | 377.27 | 118.53 | 8.10e-13 | 1.54e-11 | 7MT1G, MT1E, MT1H, MT1F, MT1X, MT2A, MT1M |
18 |
GOBP_FIBRINOLYSIS | 1.15e-16 | 288.39 | 101.24 | 1.08e-13 | 8.62e-13 | 8FGB, FGA, FGG, F2, SERPINF2, APOH, PLG, F12 |
25 |
GOBP_PROTEIN_ACTIVATION_CASCADE | 3.29e-16 | 244.70 | 88.06 | 1.89e-13 | 2.46e-12 | 8FGB, FGA, FGG, F2, APOH, SERPINC1, KNG1, F12 |
28 |
GOBP_HIGH_DENSITY_LIPOPROTEIN_PARTICLE_REMODELING | 7.03e-13 | 292.38 | 85.63 | 1.55e-10 | 5.26e-09 | 6APOA1, APOA2, APOM, ALB, APOC3, APOC1 |
18 |
GOBP_POSITIVE_REGULATION_OF_CHOLESTEROL_ESTERIFICATION | 1.56e-09 | 436.32 | 85.38 | 1.69e-07 | 1.16e-05 | 4APOA1, AGT, APOA2, APOC1 |
9 |
GOBP_CHYLOMICRON_REMODELING | 1.56e-09 | 436.32 | 85.38 | 1.69e-07 | 1.16e-05 | 4APOA1, APOB, APOA2, APOC3 |
9 |
GOBP_CELLULAR_RESPONSE_TO_ZINC_ION | 2.21e-14 | 245.98 | 81.69 | 6.55e-12 | 1.66e-10 | 7MT1G, MT1E, MT1H, MT1F, MT1X, MT2A, MT1M |
24 |
GOBP_REGULATION_OF_FIBRINOLYSIS | 4.38e-11 | 312.73 | 79.79 | 6.55e-09 | 3.27e-07 | 5F2, SERPINF2, APOH, PLG, F12 |
14 |
GOBP_NEGATIVE_REGULATION_OF_FIBRINOLYSIS | 2.59e-09 | 368.73 | 74.47 | 2.65e-07 | 1.94e-05 | 4F2, SERPINF2, APOH, PLG |
10 |
GOBP_REGULATION_OF_VERY_LOW_DENSITY_LIPOPROTEIN_PARTICLE_REMODELING | 1.36e-07 | 534.04 | 70.92 | 9.89e-06 | 1.02e-03 | 3APOA1, APOA2, APOC3 |
6 |
GOBP_CELLULAR_RESPONSE_TO_COPPER_ION | 7.52e-14 | 198.53 | 67.78 | 2.01e-11 | 5.63e-10 | 7MT1G, MT1E, MT1H, MT1F, MT1X, MT2A, MT1M |
28 |
GOBP_HIGH_DENSITY_LIPOPROTEIN_PARTICLE_CLEARANCE | 9.51e-11 | 259.63 | 67.66 | 1.34e-08 | 7.12e-07 | 5APOA1, APOA2, APOM, APOC3, AMN |
16 |
GOBP_PROTEIN_CONTAINING_COMPLEX_REMODELING | 2.46e-15 | 180.26 | 67.11 | 8.77e-13 | 1.84e-11 | 8APOA1, APOB, AGT, APOA2, APOM, ALB, APOC3, APOC1 |
35 |
GOBP_CHYLOMICRON_ASSEMBLY | 4.06e-09 | 320.74 | 65.92 | 3.95e-07 | 3.04e-05 | 4APOA1, APOB, APOA2, APOC3 |
11 |
GOBP_NEGATIVE_REGULATION_OF_COAGULATION | 4.16e-18 | 152.66 | 63.86 | 5.18e-15 | 3.11e-14 | 10FGB, FGA, VTN, FGG, F2, SERPINF2, APOH, PLG, KNG1, F12 |
52 |
GOBP_PLASMINOGEN_ACTIVATION | 3.79e-12 | 205.25 | 63.31 | 7.47e-10 | 2.84e-08 | 6FGB, FGA, FGG, SERPINF2, APOH, F12 |
23 |
GOBP_BLOOD_COAGULATION_INTRINSIC_PATHWAY | 1.86e-10 | 218.24 | 58.67 | 2.40e-08 | 1.39e-06 | 5F2, APOH, SERPINC1, KNG1, F12 |
18 |
GOBP_ZINC_ION_HOMEOSTASIS | 7.98e-15 | 152.62 | 57.39 | 2.59e-12 | 5.97e-11 | 8MT1G, MT1E, MT1H, MT1F, MT1X, MT2A, MT1M, SLC39A5 |
40 |
GOBP_PHOSPHOLIPID_EFFLUX | 8.77e-09 | 247.96 | 53.71 | 7.72e-07 | 6.56e-05 | 4APOA1, APOA2, APOC3, APOC1 |
13 |
Dowload full table
Immunological Gene Sets:
P-value | OR | Lower 95% CI | FDR | FWER | Genes Found | Gene Set Size | |
---|---|---|---|---|---|---|---|
GSE41176_UNSTIM_VS_ANTI_IGM_STIM_BCELL_3H_UP | 1.04e-07 | 21.85 | 8.18 | 1.32e-04 | 5.09e-04 | 7MT1G, ALB, MT1E, MT1H, MT1F, MT1X, MT2A |
199 |
GSE41176_UNSTIM_VS_ANTI_IGM_STIM_TAK1_KO_BCELL_24H_DN | 1.04e-07 | 21.85 | 8.18 | 1.32e-04 | 5.09e-04 | 7MT1G, MT1E, MT1H, MT1F, MT1X, MT2A, MT1M |
199 |
GSE42088_UNINF_VS_LEISHMANIA_INF_DC_2H_UP | 1.08e-07 | 21.73 | 8.14 | 1.32e-04 | 5.26e-04 | 7MT1G, SPINK1, MT1E, MT1H, MT1F, MT1X, MT2A |
200 |
GSE42088_UNINF_VS_LEISHMANIA_INF_DC_8H_UP | 1.08e-07 | 21.73 | 8.14 | 1.32e-04 | 5.26e-04 | 7MT1G, MT1E, MT1H, MT1F, MT1X, MT2A, MT1M |
200 |
GSE9988_ANTI_TREM1_VS_VEHICLE_TREATED_MONOCYTES_UP | 1.93e-06 | 18.68 | 6.43 | 8.61e-04 | 9.40e-03 | 6MT1G, SPINK1, MT1E, MT1H, MT1F, MT1X |
194 |
GSE25088_WT_VS_STAT6_KO_MACROPHAGE_ROSIGLITAZONE_AND_IL4_STIM_DN | 2.05e-06 | 18.47 | 6.36 | 8.61e-04 | 9.97e-03 | 6ASGR1, MT1G, MT1H, MT1F, MT1X, MT2A |
196 |
GSE9988_ANTI_TREM1_VS_LOW_LPS_MONOCYTE_UP | 2.17e-06 | 18.29 | 6.29 | 8.61e-04 | 1.06e-02 | 6MT1G, MT1E, MT1H, MT1F, MT1X, MT2A |
198 |
GSE24634_IL4_VS_CTRL_TREATED_NAIVE_CD4_TCELL_DAY5_DN | 2.23e-06 | 18.19 | 6.26 | 8.61e-04 | 1.09e-02 | 6MT1G, MT1H, MT1F, MT1X, MT2A, KNG1 |
199 |
GSE13484_UNSTIM_VS_YF17D_VACCINE_STIM_PBMC_DN | 2.30e-06 | 18.10 | 6.23 | 8.61e-04 | 1.12e-02 | 6MT1G, MT1E, MT1H, MT1F, MT1X, MT2A |
200 |
GSE360_HIGH_DOSE_B_MALAYI_VS_M_TUBERCULOSIS_DC_DN | 2.30e-06 | 18.10 | 6.23 | 8.61e-04 | 1.12e-02 | 6SERPINA1, MT1G, MT1E, MT1H, MT1F, MT2A |
200 |
GSE36888_UNTREATED_VS_IL2_TREATED_TCELL_17H_DN | 2.30e-06 | 18.10 | 6.23 | 8.61e-04 | 1.12e-02 | 6SERPINA1, MT1E, MT1F, MT1X, MT2A, MT1M |
200 |
GSE37301_GRANULOCYTE_MONOCYTE_PROGENITOR_VS_RAG2_KO_NK_CELL_DN | 2.30e-06 | 18.10 | 6.23 | 8.61e-04 | 1.12e-02 | 6AMBP, VTN, APOM, TTR, HPX, ITIH1 |
200 |
GSE37301_RAG2_KO_VS_RAG2_AND_ETS1_KO_NK_CELL_UP | 2.30e-06 | 18.10 | 6.23 | 8.61e-04 | 1.12e-02 | 6AMBP, FGB, FGG, CPS1, ITIH1, GPC3 |
200 |
GSE43863_NAIVE_VS_TH1_EFF_CD4_TCELL_D6_LCMV_DN | 2.90e-05 | 15.81 | 4.84 | 7.97e-03 | 1.41e-01 | 5MT1G, MT1H, MT1F, MT2A, MT1M |
186 |
GSE16385_UNTREATED_VS_12H_ROSIGLITAZONE_TREATED_MACROPHAGE_DN | 3.45e-05 | 15.22 | 4.66 | 7.97e-03 | 1.68e-01 | 5MT1E, MT1H, MT1X, MT2A, GPC3 |
193 |
GSE37301_HEMATOPOIETIC_STEM_CELL_VS_COMMON_LYMPHOID_PROGENITOR_UP | 3.72e-05 | 14.98 | 4.59 | 7.97e-03 | 1.81e-01 | 5AHSG, ALB, APOH, ANGPTL8, SERPINA4 |
196 |
GSE10325_CD4_TCELL_VS_LUPUS_CD4_TCELL_DN | 3.99e-05 | 14.75 | 4.52 | 7.97e-03 | 1.95e-01 | 5MT1E, MT1H, MT1F, MT1X, MT2A |
199 |
GSE360_LOW_DOSE_B_MALAYI_VS_M_TUBERCULOSIS_DC_DN | 3.99e-05 | 14.75 | 4.52 | 7.97e-03 | 1.95e-01 | 5SERPINA1, MT1G, MT1E, MT1X, MT2A |
199 |
GSE360_L_DONOVANI_VS_B_MALAYI_HIGH_DOSE_MAC_UP | 3.99e-05 | 14.75 | 4.52 | 7.97e-03 | 1.95e-01 | 5MT1G, MT1H, MT1F, MT1X, HPX |
199 |
GSE24142_ADULT_VS_FETAL_DN2_THYMOCYTE_DN | 4.09e-05 | 14.68 | 4.50 | 7.97e-03 | 1.99e-01 | 5FGA, MT1E, SCD, SERPINC1, GPC3 |
200 |
Top Ranked Transcription Factors for this Gene Expression Program:
Gene Symbol | TF Rank | DNA Binding Domain | Motif Status | IUPAC PWM | GTEx | DepMap | Decartes |
---|---|---|---|---|---|---|---|
AGT | 6 | No | Unlikely to be sequence specific TF | Not a DNA binding protein | No motif | None | None |
CEBPA | 90 | Yes | Known motif | Monomer or homomultimer | 100 perc ID - in vitro | None | None |
PRAP1 | 98 | No | Unlikely to be sequence specific TF | Not a DNA binding protein | No motif | None | None |
ATF5 | 117 | Yes | Known motif | Obligate heteromer | In vivo/Misc source | Only known motifs are from Transfac or HocoMoco - origin is uncertain | Transfac motifs dont correspond to canonical bZIP binding sites. Annotated as obligate heteromer based on peptide array studies (PMID:12805554). |
CREB3L3 | 170 | Yes | Likely to be sequence specific TF | Monomer or homomultimer | No motif | None | Gel-shift and reporter experiments demonstrate that CREB3L3 is a TF (PMID: 11353085). |
MLXIPL | 187 | Yes | Known motif | Monomer or homomultimer | High-throughput in vitro | None | None |
FOXA3 | 191 | Yes | Known motif | Monomer or homomultimer | High-throughput in vitro | None | None |
HNF4A | 205 | Yes | Known motif | Monomer or homomultimer | High-throughput in vitro | None | None |
BEX1 | 231 | No | Unlikely to be sequence specific TF | Not a DNA binding protein | No motif | None | Likely a cofactor- (PMID: 16314316) shows results for related BEX2 |
CERS4 | 273 | No | Unlikely to be sequence specific TF | Not a DNA binding protein | No motif | None | Unlikely to be a TF - homeodomain is heavily truncated at the N-terminus; and LASS2/CERS2 has previously been shown to be involved in ceramide synthesis (PMID:20937905). |
XBP1 | 283 | Yes | Known motif | Monomer or homomultimer | High-throughput in vitro | None | None |
FOXA1 | 298 | Yes | Known motif | Monomer or homomultimer | High-throughput in vitro | None | None |
NR0B2 | 347 | No | Unlikely to be sequence specific TF | Not a DNA binding protein | No motif | None | Transcription cofactor - lacks a conventional DNA binding domain and represses the transcriptional activity of various nuclear receptors (PMID: 14752053) |
FOXQ1 | 360 | Yes | Known motif | Monomer or homomultimer | High-throughput in vitro | None | None |
PCBD1 | 388 | No | Unlikely to be sequence specific TF | Not a DNA binding protein | No motif | None | Coactivator for HNF1A-dependent transcription. Regulates the dimerization of homeodomain protein HNF1A and enhances its transcriptional activity (UniProt: P61457) |
FOXA2 | 389 | Yes | Known motif | Monomer or homomultimer | High-throughput in vitro | None | None |
MET | 405 | No | Unlikely to be sequence specific TF | Not a DNA binding protein | No motif | None | Its a cell surface receptor and kinase - included only because Vasquerizas 2009 included it with an x. |
ONECUT2 | 409 | Yes | Known motif | Monomer or homomultimer | High-throughput in vitro | None | None |
SLC26A3 | 418 | No | Unlikely to be sequence specific TF | Not a DNA binding protein | No motif | None | Included as a candidate only because GO cites a 1993 paper where sequence analysis identified a homeodomain. But, there seems to be no homeodomain. |
CLU | 444 | No | Unlikely to be sequence specific TF | Not a DNA binding protein | No motif | None | Included only because GO says positive regulation of NF-kappaB transcription factor activity, but there is no DBD and no evidence of DNA binding. |
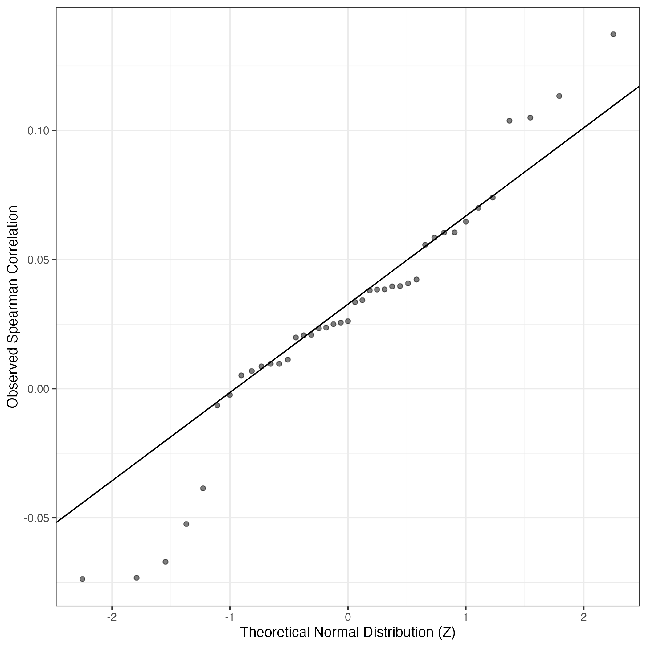
QQ Plot showing correlations with other GEPs in this dataset, calculated by Spearman correlation:
Interactive QQ-plot of gene loadings:
A similar QQ-plot as above, but only for instances where the H value is e.g. > 25, i.e. we are confident that the expression program is active above noise. Agreemenet between these binary vectors is tested using the Jaccard Index, with the P-values calculated by an exact test:
Interactive QQ-plot:
Singler cell type annotations for the top 50 cells on this program.
Cell ID | Singler label | Singler Delta | Activity Score | Top Singler Raw Scores |
---|---|---|---|---|
R43_w6_TGACCCTCACCGTGCA-1 | Hepatocytes | 0.19 | 1326.29 | Raw ScoresHepatocytes: 0.52, iPS_cells:CRL2097_foreskin-derived:d20_hepatic_diff: 0.48, iPS_cells:PDB_1lox-17Puro-10: 0.45, iPS_cells:PDB_1lox-17Puro-5: 0.45, iPS_cells:PDB_1lox-21Puro-26: 0.45, iPS_cells:PDB_1lox-21Puro-20: 0.44, iPS_cells:PDB_2lox-22: 0.44, iPS_cells:CRL2097_foreskin-derived:undiff.: 0.44, iPS_cells:iPS:minicircle-derived: 0.44, Embryonic_stem_cells: 0.44 |
R43_w6_GGCTTTCAGTATAACG-1 | Hepatocytes | 0.19 | 1308.28 | Raw ScoresHepatocytes: 0.52, iPS_cells:CRL2097_foreskin-derived:d20_hepatic_diff: 0.46, iPS_cells:PDB_1lox-17Puro-10: 0.41, iPS_cells:PDB_1lox-17Puro-5: 0.41, iPS_cells:iPS:minicircle-derived: 0.41, Embryonic_stem_cells: 0.41, iPS_cells:PDB_2lox-22: 0.41, iPS_cells:CRL2097_foreskin-derived:undiff.: 0.4, iPS_cells:skin_fibroblast-derived: 0.4, iPS_cells:PDB_2lox-5: 0.4 |
R43_w6_ATCTTCAGTGCAGTGA-1 | Hepatocytes | 0.18 | 1195.12 | Raw ScoresHepatocytes: 0.52, iPS_cells:CRL2097_foreskin-derived:d20_hepatic_diff: 0.49, iPS_cells:PDB_1lox-17Puro-10: 0.46, iPS_cells:PDB_1lox-17Puro-5: 0.46, iPS_cells:PDB_1lox-21Puro-26: 0.46, iPS_cells:PDB_1lox-21Puro-20: 0.46, iPS_cells:PDB_2lox-22: 0.45, Embryonic_stem_cells: 0.45, iPS_cells:skin_fibroblast-derived: 0.45, iPS_cells:PDB_2lox-17: 0.45 |
R43_w6_AGAAATGTCGCTACAA-1 | Hepatocytes | 0.19 | 1156.03 | Raw ScoresHepatocytes: 0.54, iPS_cells:CRL2097_foreskin-derived:d20_hepatic_diff: 0.51, iPS_cells:PDB_1lox-17Puro-10: 0.48, iPS_cells:PDB_1lox-17Puro-5: 0.48, iPS_cells:PDB_2lox-22: 0.47, iPS_cells:iPS:minicircle-derived: 0.47, iPS_cells:PDB_1lox-21Puro-26: 0.47, iPS_cells:skin_fibroblast-derived: 0.47, Embryonic_stem_cells: 0.47, iPS_cells:CRL2097_foreskin-derived:undiff.: 0.47 |
R43_w6_GGGATCCGTCCAGCGT-1 | Hepatocytes | 0.17 | 1131.70 | Raw ScoresHepatocytes: 0.45, iPS_cells:CRL2097_foreskin-derived:d20_hepatic_diff: 0.42, iPS_cells:iPS:minicircle-derived: 0.38, iPS_cells:PDB_1lox-17Puro-5: 0.38, iPS_cells:PDB_1lox-17Puro-10: 0.38, iPS_cells:skin_fibroblast-derived: 0.38, Embryonic_stem_cells: 0.38, iPS_cells:PDB_2lox-22: 0.38, iPS_cells:PDB_1lox-21Puro-26: 0.37, iPS_cells:CRL2097_foreskin-derived:undiff.: 0.37 |
R43_w6_GACCTTCCAGAGTCTT-1 | Hepatocytes | 0.18 | 1120.09 | Raw ScoresHepatocytes: 0.5, iPS_cells:CRL2097_foreskin-derived:d20_hepatic_diff: 0.48, iPS_cells:PDB_1lox-17Puro-10: 0.44, iPS_cells:PDB_1lox-17Puro-5: 0.44, iPS_cells:PDB_2lox-22: 0.44, iPS_cells:PDB_1lox-21Puro-26: 0.44, iPS_cells:PDB_1lox-21Puro-20: 0.44, iPS_cells:CRL2097_foreskin-derived:undiff.: 0.43, iPS_cells:PDB_2lox-5: 0.43, Embryonic_stem_cells: 0.43 |
R43_w6_CCTGTTGGTCTGATAC-1 | Hepatocytes | 0.20 | 1087.37 | Raw ScoresHepatocytes: 0.52, iPS_cells:CRL2097_foreskin-derived:d20_hepatic_diff: 0.46, iPS_cells:PDB_1lox-17Puro-10: 0.41, iPS_cells:PDB_1lox-17Puro-5: 0.4, Embryonic_stem_cells: 0.4, iPS_cells:iPS:minicircle-derived: 0.4, iPS_cells:CRL2097_foreskin-derived:undiff.: 0.4, iPS_cells:PDB_2lox-22: 0.4, iPS_cells:PDB_2lox-5: 0.4, iPS_cells:PDB_1lox-21Puro-26: 0.4 |
R43_w6_TGAGCATGTAGATCGG-1 | Hepatocytes | 0.19 | 1079.85 | Raw ScoresHepatocytes: 0.49, iPS_cells:CRL2097_foreskin-derived:d20_hepatic_diff: 0.44, iPS_cells:iPS:minicircle-derived: 0.38, iPS_cells:PDB_2lox-22: 0.38, iPS_cells:CRL2097_foreskin-derived:undiff.: 0.38, iPS_cells:PDB_1lox-17Puro-10: 0.38, iPS_cells:PDB_2lox-5: 0.38, iPS_cells:PDB_1lox-17Puro-5: 0.38, Embryonic_stem_cells: 0.38, iPS_cells:PDB_2lox-17: 0.38 |
R43_w6_TTACCATAGCGGTAAC-1 | Hepatocytes | 0.20 | 1017.20 | Raw ScoresHepatocytes: 0.51, iPS_cells:CRL2097_foreskin-derived:d20_hepatic_diff: 0.44, iPS_cells:CRL2097_foreskin-derived:undiff.: 0.38, iPS_cells:PDB_1lox-17Puro-10: 0.38, iPS_cells:PDB_1lox-17Puro-5: 0.38, iPS_cells:iPS:minicircle-derived: 0.38, iPS_cells:PDB_2lox-22: 0.38, Embryonic_stem_cells: 0.38, Tissue_stem_cells:iliac_MSC: 0.38, iPS_cells:PDB_2lox-5: 0.38 |
R43_w6_GCCATGGAGTGGACTG-1 | Hepatocytes | 0.20 | 936.75 | Raw ScoresHepatocytes: 0.55, iPS_cells:CRL2097_foreskin-derived:d20_hepatic_diff: 0.48, iPS_cells:iPS:minicircle-derived: 0.43, iPS_cells:PDB_1lox-17Puro-10: 0.43, iPS_cells:PDB_1lox-17Puro-5: 0.43, iPS_cells:CRL2097_foreskin-derived:undiff.: 0.43, iPS_cells:skin_fibroblast-derived: 0.43, Embryonic_stem_cells: 0.42, iPS_cells:adipose_stem_cell-derived:lentiviral: 0.42, iPS_cells:PDB_1lox-21Puro-26: 0.42 |
R43_w6_GACGTTAGTGTAAATG-1 | Hepatocytes | 0.20 | 931.28 | Raw ScoresHepatocytes: 0.52, iPS_cells:CRL2097_foreskin-derived:d20_hepatic_diff: 0.47, iPS_cells:iPS:minicircle-derived: 0.43, iPS_cells:PDB_1lox-17Puro-10: 0.43, iPS_cells:PDB_1lox-17Puro-5: 0.43, Embryonic_stem_cells: 0.43, iPS_cells:skin_fibroblast-derived: 0.43, iPS_cells:CRL2097_foreskin-derived:undiff.: 0.43, iPS_cells:PDB_2lox-22: 0.43, iPS_cells:PDB_1lox-21Puro-26: 0.43 |
R43_w6_CGGAATTCAAAGGCAC-1 | Hepatocytes | 0.21 | 926.94 | Raw ScoresHepatocytes: 0.52, iPS_cells:CRL2097_foreskin-derived:d20_hepatic_diff: 0.44, iPS_cells:iPS:minicircle-derived: 0.38, iPS_cells:CRL2097_foreskin-derived:undiff.: 0.38, Tissue_stem_cells:iliac_MSC: 0.38, Epithelial_cells:bronchial: 0.38, iPS_cells:skin_fibroblast-derived: 0.38, Embryonic_stem_cells: 0.38, iPS_cells:PDB_2lox-22: 0.38, iPS_cells:adipose_stem_cell-derived:lentiviral: 0.38 |
R43_w6_TGACAGTTCTAGGCAT-1 | Hepatocytes | 0.18 | 923.74 | Raw ScoresHepatocytes: 0.51, iPS_cells:CRL2097_foreskin-derived:d20_hepatic_diff: 0.47, iPS_cells:PDB_1lox-17Puro-10: 0.43, iPS_cells:PDB_1lox-17Puro-5: 0.43, iPS_cells:iPS:minicircle-derived: 0.43, iPS_cells:skin_fibroblast-derived: 0.43, iPS_cells:PDB_1lox-21Puro-26: 0.43, iPS_cells:CRL2097_foreskin-derived:undiff.: 0.43, iPS_cells:PDB_1lox-21Puro-20: 0.43, Embryonic_stem_cells: 0.43 |
R43_w6_GTTGCGGGTCTCGCGA-1 | Hepatocytes | 0.21 | 902.56 | Raw ScoresHepatocytes: 0.5, iPS_cells:CRL2097_foreskin-derived:d20_hepatic_diff: 0.43, iPS_cells:PDB_1lox-17Puro-10: 0.36, iPS_cells:PDB_1lox-17Puro-5: 0.36, Embryonic_stem_cells: 0.36, Tissue_stem_cells:iliac_MSC: 0.36, iPS_cells:iPS:minicircle-derived: 0.36, iPS_cells:PDB_2lox-22: 0.36, iPS_cells:PDB_2lox-5: 0.36, iPS_cells:PDB_1lox-21Puro-26: 0.36 |
R43_w6_AAAGGTATCATTGAGC-1 | Hepatocytes | 0.17 | 883.37 | Raw ScoresHepatocytes: 0.48, iPS_cells:CRL2097_foreskin-derived:d20_hepatic_diff: 0.43, iPS_cells:PDB_1lox-17Puro-10: 0.39, Erythroblast: 0.39, iPS_cells:PDB_1lox-17Puro-5: 0.39, iPS_cells:iPS:minicircle-derived: 0.38, iPS_cells:PDB_1lox-21Puro-26: 0.38, iPS_cells:PDB_2lox-22: 0.38, iPS_cells:PDB_1lox-21Puro-20: 0.38, iPS_cells:skin_fibroblast-derived: 0.38 |
R43_w6_TTGGGATGTCATTCCC-1 | Hepatocytes | 0.19 | 881.39 | Raw ScoresHepatocytes: 0.49, iPS_cells:CRL2097_foreskin-derived:d20_hepatic_diff: 0.45, iPS_cells:PDB_1lox-17Puro-5: 0.4, iPS_cells:PDB_1lox-17Puro-10: 0.4, iPS_cells:CRL2097_foreskin-derived:undiff.: 0.4, iPS_cells:iPS:minicircle-derived: 0.39, iPS_cells:skin_fibroblast-derived: 0.39, iPS_cells:PDB_1lox-21Puro-26: 0.39, iPS_cells:adipose_stem_cell-derived:lentiviral: 0.39, Embryonic_stem_cells: 0.39 |
R43_w6_TGGATCAAGGTATAGT-1 | Hepatocytes | 0.18 | 854.44 | Raw ScoresHepatocytes: 0.53, iPS_cells:CRL2097_foreskin-derived:d20_hepatic_diff: 0.48, iPS_cells:iPS:minicircle-derived: 0.44, iPS_cells:PDB_1lox-17Puro-10: 0.44, iPS_cells:PDB_1lox-17Puro-5: 0.44, iPS_cells:skin_fibroblast-derived: 0.44, iPS_cells:PDB_2lox-22: 0.44, Embryonic_stem_cells: 0.44, iPS_cells:PDB_1lox-21Puro-26: 0.44, iPS_cells:PDB_1lox-21Puro-20: 0.44 |
R43_w6_CGGGTGTCACAGCCAC-1 | Hepatocytes | 0.23 | 850.85 | Raw ScoresHepatocytes: 0.54, iPS_cells:CRL2097_foreskin-derived:d20_hepatic_diff: 0.45, Tissue_stem_cells:iliac_MSC: 0.39, iPS_cells:PDB_1lox-17Puro-10: 0.39, iPS_cells:PDB_1lox-17Puro-5: 0.38, Epithelial_cells:bronchial: 0.38, iPS_cells:CRL2097_foreskin-derived:undiff.: 0.38, iPS_cells:PDB_2lox-5: 0.38, iPS_cells:iPS:minicircle-derived: 0.38, iPS_cells:PDB_1lox-21Puro-26: 0.38 |
R43_w6_TCGACGGCAACAAAGT-1 | Hepatocytes | 0.17 | 839.87 | Raw ScoresHepatocytes: 0.5, iPS_cells:CRL2097_foreskin-derived:d20_hepatic_diff: 0.47, iPS_cells:PDB_1lox-17Puro-10: 0.42, iPS_cells:PDB_1lox-17Puro-5: 0.42, Embryonic_stem_cells: 0.42, iPS_cells:CRL2097_foreskin-derived:undiff.: 0.42, iPS_cells:fibroblast-derived:Direct_del._reprog: 0.42, iPS_cells:PDB_2lox-22: 0.42, iPS_cells:iPS:minicircle-derived: 0.42, iPS_cells:PDB_1lox-21Puro-26: 0.42 |
R43_w6_TCAGCAACAGGTACGA-1 | Hepatocytes | 0.18 | 821.20 | Raw ScoresHepatocytes: 0.49, iPS_cells:CRL2097_foreskin-derived:d20_hepatic_diff: 0.46, iPS_cells:PDB_1lox-17Puro-10: 0.42, iPS_cells:PDB_1lox-17Puro-5: 0.42, iPS_cells:CRL2097_foreskin-derived:undiff.: 0.42, iPS_cells:PDB_1lox-21Puro-26: 0.41, iPS_cells:PDB_2lox-22: 0.41, iPS_cells:iPS:minicircle-derived: 0.41, iPS_cells:skin_fibroblast-derived: 0.41, Embryonic_stem_cells: 0.41 |
R43_w6_ATGCATGAGATCCCAT-1 | Hepatocytes | 0.18 | 820.74 | Raw ScoresHepatocytes: 0.5, iPS_cells:CRL2097_foreskin-derived:d20_hepatic_diff: 0.48, iPS_cells:PDB_1lox-17Puro-10: 0.45, iPS_cells:PDB_1lox-17Puro-5: 0.44, iPS_cells:PDB_1lox-21Puro-26: 0.44, iPS_cells:PDB_1lox-21Puro-20: 0.44, Embryonic_stem_cells: 0.44, iPS_cells:PDB_2lox-22: 0.44, iPS_cells:iPS:minicircle-derived: 0.44, iPS_cells:skin_fibroblast-derived: 0.43 |
R43_w6_ACGATCACACGTTCGG-1 | Hepatocytes | 0.22 | 814.30 | Raw ScoresHepatocytes: 0.54, iPS_cells:CRL2097_foreskin-derived:d20_hepatic_diff: 0.44, Tissue_stem_cells:iliac_MSC: 0.39, iPS_cells:PDB_1lox-17Puro-10: 0.37, Embryonic_stem_cells: 0.37, iPS_cells:PDB_1lox-17Puro-5: 0.37, iPS_cells:iPS:minicircle-derived: 0.37, Epithelial_cells:bronchial: 0.37, iPS_cells:skin_fibroblast-derived: 0.37, iPS_cells:CRL2097_foreskin-derived:undiff.: 0.37 |
R43_w6_GTGGAGACAGGTTTAC-1 | Hepatocytes | 0.19 | 789.10 | Raw ScoresHepatocytes: 0.52, iPS_cells:CRL2097_foreskin-derived:d20_hepatic_diff: 0.48, iPS_cells:iPS:minicircle-derived: 0.45, iPS_cells:PDB_1lox-17Puro-10: 0.45, iPS_cells:PDB_1lox-17Puro-5: 0.44, iPS_cells:skin_fibroblast-derived: 0.44, Embryonic_stem_cells: 0.44, iPS_cells:PDB_1lox-21Puro-26: 0.44, iPS_cells:PDB_2lox-22: 0.44, iPS_cells:CRL2097_foreskin-derived:undiff.: 0.44 |
R43_w6_GCTTGGGTCTCTCTTC-1 | Hepatocytes | 0.22 | 789.04 | Raw ScoresHepatocytes: 0.54, iPS_cells:CRL2097_foreskin-derived:d20_hepatic_diff: 0.46, iPS_cells:PDB_1lox-17Puro-10: 0.42, iPS_cells:PDB_1lox-17Puro-5: 0.41, iPS_cells:skin_fibroblast-derived: 0.41, iPS_cells:iPS:minicircle-derived: 0.41, iPS_cells:PDB_1lox-21Puro-26: 0.41, Embryonic_stem_cells: 0.41, iPS_cells:PDB_1lox-21Puro-20: 0.41, iPS_cells:CRL2097_foreskin-derived:undiff.: 0.41 |
R43_w6_AGGTCTACAGGTATGG-1 | Hepatocytes | 0.17 | 774.07 | Raw ScoresHepatocytes: 0.51, iPS_cells:CRL2097_foreskin-derived:d20_hepatic_diff: 0.48, iPS_cells:PDB_1lox-17Puro-10: 0.45, iPS_cells:PDB_1lox-17Puro-5: 0.45, iPS_cells:PDB_1lox-21Puro-26: 0.44, iPS_cells:iPS:minicircle-derived: 0.44, iPS_cells:skin_fibroblast-derived: 0.44, iPS_cells:PDB_2lox-22: 0.44, iPS_cells:PDB_1lox-21Puro-20: 0.44, Embryonic_stem_cells: 0.44 |
R43_w6_TACCTCGAGTCTTCCC-1 | Hepatocytes | 0.20 | 759.24 | Raw ScoresHepatocytes: 0.51, iPS_cells:CRL2097_foreskin-derived:d20_hepatic_diff: 0.46, iPS_cells:PDB_1lox-17Puro-10: 0.41, iPS_cells:PDB_1lox-17Puro-5: 0.41, iPS_cells:PDB_1lox-21Puro-26: 0.41, iPS_cells:PDB_2lox-22: 0.41, Embryonic_stem_cells: 0.41, iPS_cells:CRL2097_foreskin-derived:undiff.: 0.41, iPS_cells:PDB_2lox-17: 0.4, iPS_cells:PDB_1lox-21Puro-20: 0.4 |
R43_w6_GCGTTTCGTTAAGAAC-1 | Hepatocytes | 0.22 | 751.06 | Raw ScoresHepatocytes: 0.55, iPS_cells:CRL2097_foreskin-derived:d20_hepatic_diff: 0.47, Tissue_stem_cells:iliac_MSC: 0.41, iPS_cells:iPS:minicircle-derived: 0.4, iPS_cells:PDB_1lox-17Puro-5: 0.4, iPS_cells:PDB_1lox-17Puro-10: 0.4, iPS_cells:skin_fibroblast-derived: 0.4, iPS_cells:CRL2097_foreskin-derived:undiff.: 0.4, Embryonic_stem_cells: 0.4, iPS_cells:adipose_stem_cell-derived:lentiviral: 0.4 |
R43_w6_GGGACAATCAGCAGAG-1 | Hepatocytes | 0.21 | 746.03 | Raw ScoresHepatocytes: 0.51, iPS_cells:CRL2097_foreskin-derived:d20_hepatic_diff: 0.44, iPS_cells:iPS:minicircle-derived: 0.39, iPS_cells:PDB_1lox-17Puro-10: 0.39, iPS_cells:PDB_1lox-17Puro-5: 0.39, iPS_cells:CRL2097_foreskin-derived:undiff.: 0.38, iPS_cells:skin_fibroblast-derived: 0.38, Embryonic_stem_cells: 0.38, iPS_cells:PDB_1lox-21Puro-26: 0.38, iPS_cells:adipose_stem_cell-derived:lentiviral: 0.38 |
R43_w6_CTGCGAGGTCACGTGC-1 | Hepatocytes | 0.16 | 721.24 | Raw ScoresHepatocytes: 0.43, iPS_cells:CRL2097_foreskin-derived:d20_hepatic_diff: 0.38, iPS_cells:adipose_stem_cell-derived:minicircle-derived: 0.35, iPS_cells:iPS:minicircle-derived: 0.35, iPS_cells:adipose_stem_cell-derived:lentiviral: 0.34, Embryonic_stem_cells: 0.34, iPS_cells:skin_fibroblast-derived: 0.34, iPS_cells:PDB_1lox-17Puro-5: 0.34, iPS_cells:PDB_1lox-17Puro-10: 0.34, iPS_cells:PDB_2lox-22: 0.34 |
R43_w6_CACACAAAGCATGTTC-1 | Hepatocytes | 0.23 | 716.94 | Raw ScoresHepatocytes: 0.54, iPS_cells:CRL2097_foreskin-derived:d20_hepatic_diff: 0.44, Tissue_stem_cells:iliac_MSC: 0.39, Epithelial_cells:bronchial: 0.37, iPS_cells:PDB_1lox-17Puro-10: 0.37, iPS_cells:PDB_1lox-17Puro-5: 0.37, Embryonic_stem_cells: 0.37, iPS_cells:CRL2097_foreskin-derived:undiff.: 0.36, iPS_cells:iPS:minicircle-derived: 0.36, iPS_cells:PDB_2lox-5: 0.36 |
R43_w6_TTCATGTTCTATCGCC-1 | Hepatocytes | 0.18 | 716.13 | Raw ScoresHepatocytes: 0.5, iPS_cells:CRL2097_foreskin-derived:d20_hepatic_diff: 0.46, iPS_cells:PDB_2lox-22: 0.42, iPS_cells:iPS:minicircle-derived: 0.42, iPS_cells:skin_fibroblast-derived: 0.42, Embryonic_stem_cells: 0.42, iPS_cells:CRL2097_foreskin-derived:undiff.: 0.42, iPS_cells:PDB_1lox-17Puro-10: 0.41, iPS_cells:PDB_1lox-17Puro-5: 0.41, iPS_cells:PDB_2lox-5: 0.41 |
R43_w6_CACGAATGTGACATCT-1 | Hepatocytes | 0.22 | 711.19 | Raw ScoresHepatocytes: 0.51, iPS_cells:CRL2097_foreskin-derived:d20_hepatic_diff: 0.44, iPS_cells:PDB_1lox-17Puro-10: 0.38, Tissue_stem_cells:iliac_MSC: 0.38, iPS_cells:PDB_1lox-17Puro-5: 0.38, iPS_cells:PDB_1lox-21Puro-26: 0.38, iPS_cells:iPS:minicircle-derived: 0.38, iPS_cells:skin_fibroblast-derived: 0.38, Embryonic_stem_cells: 0.38, iPS_cells:PDB_1lox-21Puro-20: 0.37 |
R43_w6_GTTCATTTCCATCTAT-1 | Hepatocytes | 0.23 | 701.09 | Raw ScoresHepatocytes: 0.52, iPS_cells:CRL2097_foreskin-derived:d20_hepatic_diff: 0.42, Tissue_stem_cells:iliac_MSC: 0.37, iPS_cells:PDB_1lox-17Puro-10: 0.36, Epithelial_cells:bronchial: 0.36, iPS_cells:PDB_1lox-17Puro-5: 0.35, iPS_cells:CRL2097_foreskin-derived:undiff.: 0.35, Embryonic_stem_cells: 0.35, iPS_cells:PDB_2lox-5: 0.35, iPS_cells:PDB_2lox-22: 0.35 |
R43_w6_CGGAATTAGAATTCAG-1 | Hepatocytes | 0.23 | 695.79 | Raw ScoresHepatocytes: 0.53, iPS_cells:CRL2097_foreskin-derived:d20_hepatic_diff: 0.42, Tissue_stem_cells:iliac_MSC: 0.38, Epithelial_cells:bronchial: 0.36, iPS_cells:iPS:minicircle-derived: 0.36, Embryonic_stem_cells: 0.36, iPS_cells:skin_fibroblast-derived: 0.36, iPS_cells:PDB_1lox-17Puro-5: 0.35, iPS_cells:PDB_1lox-17Puro-10: 0.35, iPS_cells:CRL2097_foreskin-derived:undiff.: 0.35 |
R43_w6_AATCGACAGCCATCCG-1 | Hepatocytes | 0.23 | 694.86 | Raw ScoresHepatocytes: 0.51, iPS_cells:CRL2097_foreskin-derived:d20_hepatic_diff: 0.42, Tissue_stem_cells:iliac_MSC: 0.36, Epithelial_cells:bronchial: 0.35, Embryonic_stem_cells: 0.34, Epithelial_cells:bladder: 0.34, iPS_cells:iPS:minicircle-derived: 0.33, iPS_cells:CRL2097_foreskin-derived:undiff.: 0.33, iPS_cells:PDB_2lox-5: 0.33, iPS_cells:PDB_1lox-17Puro-10: 0.33 |
R43_w6_GTTGTGACAGCAGACA-1 | Hepatocytes | 0.22 | 688.54 | Raw ScoresHepatocytes: 0.52, iPS_cells:CRL2097_foreskin-derived:d20_hepatic_diff: 0.44, Tissue_stem_cells:iliac_MSC: 0.38, iPS_cells:iPS:minicircle-derived: 0.37, Epithelial_cells:bronchial: 0.37, Embryonic_stem_cells: 0.36, iPS_cells:skin_fibroblast-derived: 0.36, iPS_cells:PDB_1lox-17Puro-10: 0.36, iPS_cells:PDB_1lox-17Puro-5: 0.36, iPS_cells:CRL2097_foreskin-derived:undiff.: 0.36 |
R43_w6_CTAGACACAGAACTCT-1 | Hepatocytes | 0.23 | 682.65 | Raw ScoresHepatocytes: 0.57, iPS_cells:CRL2097_foreskin-derived:d20_hepatic_diff: 0.47, Tissue_stem_cells:iliac_MSC: 0.42, Epithelial_cells:bronchial: 0.41, iPS_cells:PDB_1lox-17Puro-5: 0.4, iPS_cells:PDB_1lox-17Puro-10: 0.4, iPS_cells:PDB_2lox-5: 0.4, iPS_cells:CRL2097_foreskin-derived:undiff.: 0.4, Embryonic_stem_cells: 0.4, iPS_cells:PDB_1lox-21Puro-26: 0.39 |
R43_w6_GTTGCTCCACGGATCC-1 | Hepatocytes | 0.23 | 682.08 | Raw ScoresHepatocytes: 0.53, iPS_cells:CRL2097_foreskin-derived:d20_hepatic_diff: 0.43, Tissue_stem_cells:iliac_MSC: 0.38, Epithelial_cells:bronchial: 0.37, iPS_cells:iPS:minicircle-derived: 0.36, Embryonic_stem_cells: 0.36, iPS_cells:skin_fibroblast-derived: 0.36, iPS_cells:CRL2097_foreskin-derived:undiff.: 0.36, Epithelial_cells:bladder: 0.36, iPS_cells:adipose_stem_cell-derived:lentiviral: 0.36 |
R43_w6_ACTACGAGTCATCGCG-1 | Hepatocytes | 0.22 | 681.43 | Raw ScoresHepatocytes: 0.52, iPS_cells:CRL2097_foreskin-derived:d20_hepatic_diff: 0.43, Tissue_stem_cells:iliac_MSC: 0.37, iPS_cells:PDB_1lox-17Puro-10: 0.37, iPS_cells:PDB_1lox-17Puro-5: 0.37, Embryonic_stem_cells: 0.37, iPS_cells:PDB_2lox-5: 0.36, iPS_cells:PDB_2lox-22: 0.36, iPS_cells:CRL2097_foreskin-derived:undiff.: 0.36, iPS_cells:PDB_2lox-17: 0.36 |
R43_w6_CACATGACAAACACCT-1 | Hepatocytes | 0.22 | 678.90 | Raw ScoresHepatocytes: 0.53, iPS_cells:CRL2097_foreskin-derived:d20_hepatic_diff: 0.45, Tissue_stem_cells:iliac_MSC: 0.39, iPS_cells:PDB_1lox-17Puro-10: 0.39, iPS_cells:PDB_1lox-17Puro-5: 0.39, iPS_cells:iPS:minicircle-derived: 0.39, iPS_cells:PDB_1lox-21Puro-26: 0.38, iPS_cells:skin_fibroblast-derived: 0.38, Embryonic_stem_cells: 0.38, Epithelial_cells:bronchial: 0.38 |
R43_w6_ATCCATTCAAAGCAAT-1 | Hepatocytes | 0.21 | 676.00 | Raw ScoresHepatocytes: 0.51, iPS_cells:CRL2097_foreskin-derived:d20_hepatic_diff: 0.42, Tissue_stem_cells:iliac_MSC: 0.37, iPS_cells:PDB_1lox-17Puro-10: 0.36, iPS_cells:PDB_1lox-17Puro-5: 0.36, Embryonic_stem_cells: 0.36, iPS_cells:PDB_2lox-22: 0.36, iPS_cells:PDB_2lox-5: 0.36, iPS_cells:iPS:minicircle-derived: 0.36, iPS_cells:PDB_1lox-21Puro-26: 0.36 |
R43_w6_TTTACGTGTTAATGAG-1 | Hepatocytes | 0.20 | 674.40 | Raw ScoresHepatocytes: 0.51, iPS_cells:CRL2097_foreskin-derived:d20_hepatic_diff: 0.44, iPS_cells:PDB_1lox-17Puro-10: 0.38, iPS_cells:iPS:minicircle-derived: 0.38, iPS_cells:adipose_stem_cell-derived:lentiviral: 0.38, iPS_cells:PDB_1lox-17Puro-5: 0.38, iPS_cells:skin_fibroblast-derived: 0.38, iPS_cells:PDB_1lox-21Puro-26: 0.38, Embryonic_stem_cells: 0.38, iPS_cells:PDB_1lox-21Puro-20: 0.37 |
R43_w6_TCACGGGCAGCAGTAG-1 | Hepatocytes | 0.19 | 667.91 | Raw ScoresHepatocytes: 0.53, iPS_cells:CRL2097_foreskin-derived:d20_hepatic_diff: 0.49, iPS_cells:PDB_1lox-17Puro-10: 0.45, iPS_cells:PDB_1lox-17Puro-5: 0.45, iPS_cells:PDB_2lox-22: 0.45, iPS_cells:PDB_1lox-21Puro-26: 0.45, iPS_cells:iPS:minicircle-derived: 0.45, Embryonic_stem_cells: 0.45, iPS_cells:PDB_1lox-21Puro-20: 0.45, iPS_cells:PDB_2lox-17: 0.45 |
R43_w6_GGGCTACCAGGTCAGA-1 | Hepatocytes | 0.14 | 663.61 | Raw ScoresiPS_cells:CRL2097_foreskin-derived:d20_hepatic_diff: 0.51, Hepatocytes: 0.48, Neuroepithelial_cell:ESC-derived: 0.45, iPS_cells:PDB_1lox-17Puro-10: 0.45, iPS_cells:PDB_1lox-17Puro-5: 0.45, Tissue_stem_cells:CD326-CD56+: 0.45, Embryonic_stem_cells: 0.45, iPS_cells:CRL2097_foreskin-derived:undiff.: 0.44, iPS_cells:PDB_2lox-22: 0.44, iPS_cells:fibroblast-derived:Direct_del._reprog: 0.44 |
R43_w6_GTCATCCGTGATTCAC-1 | Hepatocytes | 0.18 | 662.20 | Raw ScoresHepatocytes: 0.5, iPS_cells:CRL2097_foreskin-derived:d20_hepatic_diff: 0.46, iPS_cells:PDB_1lox-17Puro-10: 0.41, iPS_cells:PDB_1lox-17Puro-5: 0.41, iPS_cells:iPS:minicircle-derived: 0.41, iPS_cells:skin_fibroblast-derived: 0.41, Embryonic_stem_cells: 0.41, iPS_cells:PDB_1lox-21Puro-26: 0.41, iPS_cells:CRL2097_foreskin-derived:undiff.: 0.41, iPS_cells:PDB_2lox-22: 0.41 |
R43_w6_CACATGACAGACTGCC-1 | Hepatocytes | 0.21 | 660.68 | Raw ScoresHepatocytes: 0.52, iPS_cells:CRL2097_foreskin-derived:d20_hepatic_diff: 0.45, Embryonic_stem_cells: 0.39, iPS_cells:PDB_1lox-17Puro-10: 0.39, iPS_cells:PDB_1lox-17Puro-5: 0.39, iPS_cells:PDB_2lox-5: 0.39, iPS_cells:CRL2097_foreskin-derived:undiff.: 0.39, iPS_cells:iPS:minicircle-derived: 0.39, iPS_cells:PDB_2lox-22: 0.39, iPS_cells:PDB_1lox-21Puro-26: 0.39 |
R43_w6_GGAACCCAGGCCCAAA-1 | Hepatocytes | 0.24 | 658.47 | Raw ScoresHepatocytes: 0.55, iPS_cells:CRL2097_foreskin-derived:d20_hepatic_diff: 0.44, Tissue_stem_cells:iliac_MSC: 0.39, Epithelial_cells:bronchial: 0.38, iPS_cells:iPS:minicircle-derived: 0.37, Epithelial_cells:bladder: 0.36, iPS_cells:CRL2097_foreskin-derived:undiff.: 0.36, Embryonic_stem_cells: 0.36, iPS_cells:PDB_1lox-17Puro-10: 0.36, iPS_cells:PDB_1lox-17Puro-5: 0.36 |
R43_w6_GTACAACCAGGAAGTC-1 | Hepatocytes | 0.25 | 645.26 | Raw ScoresHepatocytes: 0.56, iPS_cells:CRL2097_foreskin-derived:d20_hepatic_diff: 0.44, Tissue_stem_cells:iliac_MSC: 0.4, Epithelial_cells:bronchial: 0.38, Epithelial_cells:bladder: 0.36, Smooth_muscle_cells:vascular: 0.36, Embryonic_stem_cells: 0.36, Tissue_stem_cells:BM_MSC:TGFb3: 0.36, Smooth_muscle_cells:vascular:IL-17: 0.36, iPS_cells:iPS:minicircle-derived: 0.36 |
R43_w6_CAGCACGGTGGTAATA-1 | Hepatocytes | 0.17 | 638.20 | Raw ScoresHepatocytes: 0.52, iPS_cells:CRL2097_foreskin-derived:d20_hepatic_diff: 0.5, iPS_cells:PDB_2lox-22: 0.48, iPS_cells:PDB_1lox-17Puro-10: 0.48, iPS_cells:PDB_1lox-17Puro-5: 0.48, iPS_cells:iPS:minicircle-derived: 0.48, iPS_cells:CRL2097_foreskin-derived:undiff.: 0.47, iPS_cells:PDB_2lox-17: 0.47, iPS_cells:PDB_1lox-21Puro-26: 0.47, iPS_cells:skin_fibroblast-derived: 0.47 |
R43_w6_CAGTTCCCATTCACCC-1 | Hepatocytes | 0.23 | 638.14 | Raw ScoresHepatocytes: 0.55, iPS_cells:CRL2097_foreskin-derived:d20_hepatic_diff: 0.46, iPS_cells:PDB_1lox-17Puro-5: 0.4, iPS_cells:PDB_1lox-17Puro-10: 0.4, Embryonic_stem_cells: 0.4, Tissue_stem_cells:iliac_MSC: 0.4, iPS_cells:skin_fibroblast-derived: 0.4, iPS_cells:iPS:minicircle-derived: 0.4, iPS_cells:PDB_2lox-5: 0.4, iPS_cells:CRL2097_foreskin-derived:undiff.: 0.4 |
Below shows the significant enrichments of this GEP for literature curated gene lists
This data was procured from existing single cell RNA-seq maps of neuroblastoma or related relevant data.
High ranks indicate this gene is a driver of this GEP.
These curated gene list are ranked by the P-value (on this GEP) of their constituent genes.
The Mean Count column shows the mean read count in cells scoring highly (H > 50) on this gene expression program.
Genes | Weight | Rank | GTEx | DepMap | Decartes | Mean.Counts | Mean.TPM |
---|---|---|---|---|---|---|---|
AHSG | 0.0048186 | 12 | GTEx | DepMap | Descartes | 441.70 | 11001.17 |
VTN | 0.0045424 | 13 | GTEx | DepMap | Descartes | 81.07 | 1927.75 |
ALDOB | 0.0035412 | 43 | GTEx | DepMap | Descartes | 26.33 | 423.98 |
ITIH1 | 0.0035316 | 44 | GTEx | DepMap | Descartes | 25.92 | 340.91 |
HNF4A | 0.0013954 | 205 | GTEx | DepMap | Descartes | 2.00 | 13.58 |
Hepatocytes (Jansky)
Mentioned in the main text (Jansky et al, Nature Genetics (2021)), page 1, that ALB+ Hepatocytes were identified in their fetal adrenal glands, this is also highlighted in the UMAP plot on their Fig 1B. Additional genes also shown in their Extended data Figure 2D. The main text also speculated that these hepatocytes were probably derived from neighboring tissue, and hence artifactual, but there is no evidence presented for this.:
Wilcoxon ranksum test P-value for gene set overrepresentation: 1.36e-03
Mean rank of genes in gene set: 11.67
Rank on gene expression program of genes in gene set:
Genes | Weight | Rank | GTEx | DepMap | Decartes | Mean.Counts | Mean.TPM |
---|---|---|---|---|---|---|---|
AFP | 0.0053772 | 1 | GTEx | DepMap | Descartes | 1484.31 | 22902.88 |
ASGR1 | 0.0044358 | 14 | GTEx | DepMap | Descartes | 27.69 | 518.35 |
ALB | 0.0043128 | 20 | GTEx | DepMap | Descartes | 2202.40 | 37797.74 |
Protein maturation (Kinker)
These marker genes were obtained in a pan cancer cell lines NMF analysis of scRNA-eq data in Kinker et al (PMID 33128048) - 10 metaprograms were recovered that manifest across cancers.:
Wilcoxon ranksum test P-value for gene set overrepresentation: 4.94e-02
Mean rank of genes in gene set: 7404.6
Rank on gene expression program of genes in gene set:
Genes | Weight | Rank | GTEx | DepMap | Decartes | Mean.Counts | Mean.TPM |
---|---|---|---|---|---|---|---|
RPN2 | 0.0002044 | 1401 | GTEx | DepMap | Descartes | 7.33 | 125.36 |
PDIA3 | 0.0001462 | 1694 | GTEx | DepMap | Descartes | 10.05 | 109.05 |
OS9 | 0.0000935 | 2075 | GTEx | DepMap | Descartes | 2.86 | 30.27 |
HSPA5 | -0.0000109 | 6146 | GTEx | DepMap | Descartes | 12.17 | 125.58 |
HSPA8 | -0.0005542 | 25707 | GTEx | DepMap | Descartes | 9.19 | 175.97 |
Below shows ranks on this GEP for literature curated gene lists for large gene sets
These include those reported as mesenchymal/adrenergic by Van Groningen et al.
High ranks indicate this gene is a driver of this GEP (note these results are not ordered).
The Mean Count column shows the mean read count in cells scoring highly (H > 50) on this gene expression program.
VanGroningen Adrenergic Genes
Adrenergic marker genes from Supplementary Table 2 of Van Groningen et al. Nature Genetics 2017. These genes were identified by differential expression analysis of mesenchymal-like and adrenergic-like neuroblastoma cell lines.
Wilcoxon ranksum test P-value for gene set overrepresentation: 1.00e+00
Mean rank of genes in gene set: 18388.89
Median rank of genes in gene set: 20018
Rank on gene expression program of top 30 genes in gene set:
Genes | Weight | Rank | GTEx | DepMap | Descartes | Mean.Counts | Mean.TPM |
---|---|---|---|---|---|---|---|
GLDC | 0.0012993 | 223 | GTEx | DepMap | Descartes | 1.10 | 11.38 |
BEX1 | 0.0012758 | 231 | GTEx | DepMap | Descartes | 24.18 | 1277.18 |
SEC11C | 0.0012338 | 240 | GTEx | DepMap | Descartes | 8.47 | 163.56 |
GGH | 0.0008645 | 355 | GTEx | DepMap | Descartes | 4.94 | 156.07 |
FKBP1B | 0.0007314 | 434 | GTEx | DepMap | Descartes | 2.61 | 66.27 |
TRAP1 | 0.0006465 | 495 | GTEx | DepMap | Descartes | 4.34 | 77.62 |
TMEM97 | 0.0005625 | 583 | GTEx | DepMap | Descartes | 5.83 | 93.05 |
DDC | 0.0004788 | 687 | GTEx | DepMap | Descartes | 2.09 | 44.48 |
QDPR | 0.0004105 | 805 | GTEx | DepMap | Descartes | 3.88 | 106.35 |
CLGN | 0.0003820 | 856 | GTEx | DepMap | Descartes | 0.91 | 12.13 |
CENPV | 0.0003602 | 909 | GTEx | DepMap | Descartes | 2.20 | 52.19 |
CRH | 0.0003534 | 928 | GTEx | DepMap | Descartes | 0.00 | 0.01 |
AKAP1 | 0.0003396 | 967 | GTEx | DepMap | Descartes | 1.11 | 10.30 |
DKK1 | 0.0002282 | 1317 | GTEx | DepMap | Descartes | 0.30 | 8.87 |
HS6ST2 | 0.0002225 | 1333 | GTEx | DepMap | Descartes | 0.38 | 3.38 |
CKB | 0.0002195 | 1343 | GTEx | DepMap | Descartes | 8.81 | 260.55 |
CXADR | 0.0002025 | 1410 | GTEx | DepMap | Descartes | 1.11 | 8.23 |
GCH1 | 0.0001889 | 1467 | GTEx | DepMap | Descartes | 0.94 | 13.15 |
LIN28B | 0.0001538 | 1645 | GTEx | DepMap | Descartes | 0.54 | 4.11 |
LSM4 | 0.0001513 | 1661 | GTEx | DepMap | Descartes | 7.75 | 196.51 |
NARS2 | 0.0001093 | 1942 | GTEx | DepMap | Descartes | 0.66 | 10.93 |
MMD | 0.0000702 | 2300 | GTEx | DepMap | Descartes | 0.96 | 13.68 |
SETD7 | 0.0000596 | 2428 | GTEx | DepMap | Descartes | 0.58 | 3.26 |
FAM107B | 0.0000557 | 2478 | GTEx | DepMap | Descartes | 1.71 | 19.38 |
ENDOG | 0.0000546 | 2495 | GTEx | DepMap | Descartes | 1.55 | 57.74 |
ANKRD46 | 0.0000388 | 2751 | GTEx | DepMap | Descartes | 0.92 | 11.75 |
POPDC3 | 0.0000366 | 2783 | GTEx | DepMap | Descartes | 0.01 | 0.49 |
PHYHIPL | 0.0000336 | 2839 | GTEx | DepMap | Descartes | 0.37 | 4.63 |
DLK1 | 0.0000286 | 2941 | GTEx | DepMap | Descartes | 52.08 | 437.89 |
RNF157 | 0.0000224 | 3093 | GTEx | DepMap | Descartes | 0.33 | 2.74 |
VanGroningen Mesenchymal Genes
Mesenchymal marker genes from Supplementary Table 2 of Van Groningen et al. Nature Genetics 2017. These genes were identified by differential expression analysis of mesenchymal-like and adrenergic-like neuroblastoma cell lines.
Wilcoxon ranksum test P-value for gene set overrepresentation: 1.00e+00
Mean rank of genes in gene set: 18263.96
Median rank of genes in gene set: 21887
Rank on gene expression program of top 30 genes in gene set:
Genes | Weight | Rank | GTEx | DepMap | Descartes | Mean.Counts | Mean.TPM |
---|---|---|---|---|---|---|---|
CPS1 | 0.0041512 | 30 | GTEx | DepMap | Descartes | 26.70 | 175.39 |
APOE | 0.0028953 | 69 | GTEx | DepMap | Descartes | 290.85 | 9613.24 |
MGST1 | 0.0016827 | 157 | GTEx | DepMap | Descartes | 24.13 | 450.98 |
SLC39A14 | 0.0014866 | 184 | GTEx | DepMap | Descartes | 5.02 | 42.22 |
STEAP1 | 0.0014315 | 196 | GTEx | DepMap | Descartes | 2.72 | 84.33 |
ERRFI1 | 0.0012937 | 225 | GTEx | DepMap | Descartes | 5.35 | 70.11 |
HNMT | 0.0012306 | 241 | GTEx | DepMap | Descartes | 4.37 | 57.38 |
OSTC | 0.0010614 | 284 | GTEx | DepMap | Descartes | 19.23 | 734.53 |
PYGL | 0.0010108 | 300 | GTEx | DepMap | Descartes | 3.97 | 56.58 |
SDC2 | 0.0009936 | 304 | GTEx | DepMap | Descartes | 4.24 | 51.71 |
FN1 | 0.0009750 | 310 | GTEx | DepMap | Descartes | 28.75 | 119.44 |
GAS2 | 0.0008961 | 334 | GTEx | DepMap | Descartes | 1.30 | 23.55 |
PRDX6 | 0.0008636 | 356 | GTEx | DepMap | Descartes | 18.38 | 455.97 |
PRDX4 | 0.0008454 | 369 | GTEx | DepMap | Descartes | 11.54 | 478.03 |
PPIB | 0.0007881 | 402 | GTEx | DepMap | Descartes | 25.05 | 843.05 |
PCOLCE2 | 0.0007778 | 410 | GTEx | DepMap | Descartes | 1.37 | 25.62 |
KDELR2 | 0.0006751 | 481 | GTEx | DepMap | Descartes | 12.09 | 181.83 |
PDIA4 | 0.0006322 | 501 | GTEx | DepMap | Descartes | 6.58 | 91.03 |
PON2 | 0.0006274 | 505 | GTEx | DepMap | Descartes | 7.88 | 169.91 |
PDLIM1 | 0.0006125 | 521 | GTEx | DepMap | Descartes | 3.22 | 97.22 |
SLC30A1 | 0.0005691 | 574 | GTEx | DepMap | Descartes | 2.79 | 18.96 |
KDELR3 | 0.0005644 | 580 | GTEx | DepMap | Descartes | 1.15 | 27.97 |
SSR3 | 0.0005415 | 605 | GTEx | DepMap | Descartes | 9.41 | 103.74 |
ADGRG6 | 0.0005248 | 630 | GTEx | DepMap | Descartes | 1.64 | NA |
MYDGF | 0.0005183 | 640 | GTEx | DepMap | Descartes | 11.37 | NA |
CFI | 0.0005070 | 652 | GTEx | DepMap | Descartes | 1.18 | 19.88 |
SDC4 | 0.0004877 | 671 | GTEx | DepMap | Descartes | 1.67 | 27.40 |
ANXA6 | 0.0004870 | 672 | GTEx | DepMap | Descartes | 4.58 | 64.34 |
EVA1A | 0.0004768 | 691 | GTEx | DepMap | Descartes | 0.63 | NA |
ERLIN1 | 0.0004681 | 706 | GTEx | DepMap | Descartes | 1.70 | 18.72 |
Descartes adrenocortical markers
Top 50 marker genes of adrenocortical cells in the Decartes fetal adrenal single cell map (https://atlas.brotmanbaty.org/bbi/human-gene-expression-during-development/cell/adrenocortical/in/adrenal)
Wilcoxon ranksum test P-value for gene set overrepresentation: 1.00e+00
Mean rank of genes in gene set: 16924.24
Median rank of genes in gene set: 22413.5
Rank on gene expression program of top 30 genes in gene set:
Genes | Weight | Rank | GTEx | DepMap | Descartes | Mean.Counts | Mean.TPM |
---|---|---|---|---|---|---|---|
APOC1 | 0.0040197 | 32 | GTEx | DepMap | Descartes | 192.35 | 10940.28 |
HMGCS1 | 0.0029007 | 68 | GTEx | DepMap | Descartes | 49.82 | 349.03 |
MSMO1 | 0.0027091 | 79 | GTEx | DepMap | Descartes | 47.91 | 807.45 |
TM7SF2 | 0.0016035 | 163 | GTEx | DepMap | Descartes | 16.83 | 312.47 |
FDPS | 0.0010083 | 302 | GTEx | DepMap | Descartes | 35.60 | 679.37 |
DHCR7 | 0.0009929 | 305 | GTEx | DepMap | Descartes | 7.30 | 104.98 |
CLU | 0.0007136 | 444 | GTEx | DepMap | Descartes | 23.05 | 321.71 |
HMGCR | 0.0005591 | 588 | GTEx | DepMap | Descartes | 7.75 | 63.36 |
BAIAP2L1 | 0.0002565 | 1218 | GTEx | DepMap | Descartes | 1.05 | 11.76 |
SLC1A2 | 0.0001705 | 1558 | GTEx | DepMap | Descartes | 0.57 | 1.97 |
DHCR24 | 0.0000688 | 2314 | GTEx | DepMap | Descartes | 13.91 | 104.57 |
NPC1 | -0.0000276 | 10161 | GTEx | DepMap | Descartes | 0.55 | 4.72 |
SGCZ | -0.0000368 | 11670 | GTEx | DepMap | Descartes | 0.00 | 0.00 |
POR | -0.0000431 | 12439 | GTEx | DepMap | Descartes | 5.02 | 78.66 |
FRMD5 | -0.0001091 | 17642 | GTEx | DepMap | Descartes | 0.01 | 0.10 |
SLC2A14 | -0.0001167 | 18076 | GTEx | DepMap | Descartes | 0.03 | 0.30 |
DNER | -0.0001316 | 18924 | GTEx | DepMap | Descartes | 0.05 | 1.52 |
PEG3 | -0.0001448 | 19533 | GTEx | DepMap | Descartes | 4.80 | NA |
FREM2 | -0.0001497 | 19785 | GTEx | DepMap | Descartes | 0.09 | 0.46 |
SCAP | -0.0001720 | 20888 | GTEx | DepMap | Descartes | 1.22 | 11.52 |
ERN1 | -0.0001738 | 20955 | GTEx | DepMap | Descartes | 0.42 | 2.14 |
SCARB1 | -0.0001800 | 21197 | GTEx | DepMap | Descartes | 3.51 | 25.05 |
PDE10A | -0.0002095 | 22299 | GTEx | DepMap | Descartes | 0.01 | 0.17 |
LDLR | -0.0002168 | 22528 | GTEx | DepMap | Descartes | 1.50 | 11.30 |
HSPD1 | -0.0002214 | 22656 | GTEx | DepMap | Descartes | 21.89 | 412.93 |
SULT2A1 | -0.0002321 | 22922 | GTEx | DepMap | Descartes | 3.17 | 70.34 |
SH3PXD2B | -0.0002329 | 22949 | GTEx | DepMap | Descartes | 0.08 | 0.49 |
GSTA4 | -0.0002488 | 23335 | GTEx | DepMap | Descartes | 3.04 | 74.04 |
CYP17A1 | -0.0002512 | 23398 | GTEx | DepMap | Descartes | 3.25 | 66.65 |
LINC00473 | -0.0002534 | 23448 | GTEx | DepMap | Descartes | 0.05 | NA |
Descartes chromaffin markers
Top 50 marker genes of chromaffin cells in the Decartes fetal adrenal single cell map (https://atlas.brotmanbaty.org/bbi/human-gene-expression-during-development/cell/chromaffin/in/adrenal)
Wilcoxon ranksum test P-value for gene set overrepresentation: 1.00e+00
Mean rank of genes in gene set: 17818.8
Median rank of genes in gene set: 17595.5
Rank on gene expression program of top 30 genes in gene set:
Genes | Weight | Rank | GTEx | DepMap | Descartes | Mean.Counts | Mean.TPM |
---|---|---|---|---|---|---|---|
ANKFN1 | -0.0000345 | 11309 | GTEx | DepMap | Descartes | 0.00 | 0.00 |
SLC44A5 | -0.0000348 | 11357 | GTEx | DepMap | Descartes | 0.03 | 0.31 |
EPHA6 | -0.0000378 | 11787 | GTEx | DepMap | Descartes | 0.00 | 0.06 |
HS3ST5 | -0.0000388 | 11907 | GTEx | DepMap | Descartes | 0.00 | 0.03 |
NTRK1 | -0.0000454 | 12704 | GTEx | DepMap | Descartes | 0.00 | 0.01 |
KCNB2 | -0.0000529 | 13497 | GTEx | DepMap | Descartes | 0.00 | 0.00 |
ALK | -0.0000590 | 14049 | GTEx | DepMap | Descartes | 0.00 | 0.00 |
GREM1 | -0.0000594 | 14086 | GTEx | DepMap | Descartes | 0.04 | 0.10 |
RPH3A | -0.0000617 | 14277 | GTEx | DepMap | Descartes | 0.00 | 0.00 |
HMX1 | -0.0000657 | 14615 | GTEx | DepMap | Descartes | 0.00 | 0.00 |
CNKSR2 | -0.0000660 | 14651 | GTEx | DepMap | Descartes | 0.06 | 0.26 |
TMEM132C | -0.0000737 | 15237 | GTEx | DepMap | Descartes | 0.00 | 0.00 |
PTCHD1 | -0.0000740 | 15265 | GTEx | DepMap | Descartes | 0.00 | 0.01 |
PRPH | -0.0000858 | 16157 | GTEx | DepMap | Descartes | 0.00 | 0.02 |
IL7 | -0.0000870 | 16239 | GTEx | DepMap | Descartes | 0.00 | 0.05 |
SLC6A2 | -0.0000882 | 16316 | GTEx | DepMap | Descartes | 0.00 | 0.02 |
NPY | -0.0000884 | 16336 | GTEx | DepMap | Descartes | 0.01 | 0.80 |
MARCH11 | -0.0000933 | 16680 | GTEx | DepMap | Descartes | 0.00 | NA |
TMEFF2 | -0.0000990 | 17027 | GTEx | DepMap | Descartes | 0.00 | 0.05 |
RBFOX1 | -0.0001010 | 17135 | GTEx | DepMap | Descartes | 0.00 | 0.01 |
EYA4 | -0.0001012 | 17148 | GTEx | DepMap | Descartes | 0.00 | 0.02 |
EYA1 | -0.0001038 | 17312 | GTEx | DepMap | Descartes | 0.00 | 0.11 |
GAL | -0.0001129 | 17879 | GTEx | DepMap | Descartes | 0.07 | 5.17 |
RYR2 | -0.0001147 | 17978 | GTEx | DepMap | Descartes | 0.00 | 0.00 |
MAB21L2 | -0.0001196 | 18243 | GTEx | DepMap | Descartes | 0.00 | 0.03 |
PLXNA4 | -0.0001219 | 18389 | GTEx | DepMap | Descartes | 0.00 | 0.03 |
ELAVL2 | -0.0001312 | 18904 | GTEx | DepMap | Descartes | 0.00 | 0.11 |
STMN4 | -0.0001384 | 19229 | GTEx | DepMap | Descartes | 0.00 | 0.06 |
REEP1 | -0.0001484 | 19702 | GTEx | DepMap | Descartes | 0.00 | 0.06 |
FAT3 | -0.0001509 | 19858 | GTEx | DepMap | Descartes | 0.02 | 0.06 |
Descartes Vascular_endothelial markers
Top 50 marker genes of Vascular_endothelial cells in the Decartes fetal adrenal single cell map (https://atlas.brotmanbaty.org/bbi/human-gene-expression-during-development/cell/vascular_endothelial/in/adrenal)
Wilcoxon ranksum test P-value for gene set overrepresentation: 1.00e+00
Mean rank of genes in gene set: 23193.3
Median rank of genes in gene set: 24208
Rank on gene expression program of top 30 genes in gene set:
Genes | Weight | Rank | GTEx | DepMap | Descartes | Mean.Counts | Mean.TPM |
---|---|---|---|---|---|---|---|
NR5A2 | 0.0003479 | 944 | GTEx | DepMap | Descartes | 0.93 | 7.67 |
MYRIP | -0.0001015 | 17174 | GTEx | DepMap | Descartes | 0.00 | 0.04 |
ESM1 | -0.0001460 | 19605 | GTEx | DepMap | Descartes | 0.00 | 0.03 |
GALNT15 | -0.0001570 | 20170 | GTEx | DepMap | Descartes | 0.00 | NA |
CDH13 | -0.0002017 | 22038 | GTEx | DepMap | Descartes | 0.01 | 0.04 |
DNASE1L3 | -0.0002027 | 22067 | GTEx | DepMap | Descartes | 0.09 | 1.83 |
CEACAM1 | -0.0002065 | 22197 | GTEx | DepMap | Descartes | 0.24 | 2.84 |
SLCO2A1 | -0.0002105 | 22338 | GTEx | DepMap | Descartes | 0.04 | 0.54 |
CHRM3 | -0.0002139 | 22446 | GTEx | DepMap | Descartes | 0.01 | 0.14 |
APLNR | -0.0002257 | 22763 | GTEx | DepMap | Descartes | 0.02 | 0.42 |
CRHBP | -0.0002332 | 22958 | GTEx | DepMap | Descartes | 0.07 | 3.51 |
PODXL | -0.0002339 | 22984 | GTEx | DepMap | Descartes | 0.04 | 1.59 |
BTNL9 | -0.0002471 | 23288 | GTEx | DepMap | Descartes | 0.02 | 1.11 |
SHE | -0.0002506 | 23381 | GTEx | DepMap | Descartes | 0.02 | 0.40 |
FLT4 | -0.0002561 | 23507 | GTEx | DepMap | Descartes | 0.01 | 0.15 |
FCGR2B | -0.0002597 | 23596 | GTEx | DepMap | Descartes | 0.01 | 0.06 |
NOTCH4 | -0.0002628 | 23663 | GTEx | DepMap | Descartes | 0.01 | 0.23 |
SHANK3 | -0.0002659 | 23732 | GTEx | DepMap | Descartes | 0.14 | 0.79 |
CYP26B1 | -0.0002766 | 23933 | GTEx | DepMap | Descartes | 0.02 | 0.33 |
NPR1 | -0.0002819 | 24030 | GTEx | DepMap | Descartes | 0.01 | 0.35 |
IRX3 | -0.0002836 | 24055 | GTEx | DepMap | Descartes | 0.01 | 0.32 |
TEK | -0.0002870 | 24115 | GTEx | DepMap | Descartes | 0.01 | 0.30 |
SOX18 | -0.0002979 | 24301 | GTEx | DepMap | Descartes | 0.03 | 5.29 |
TIE1 | -0.0002989 | 24317 | GTEx | DepMap | Descartes | 0.02 | 0.55 |
PTPRB | -0.0002990 | 24319 | GTEx | DepMap | Descartes | 0.02 | 0.41 |
ROBO4 | -0.0002992 | 24323 | GTEx | DepMap | Descartes | 0.01 | 0.57 |
MMRN2 | -0.0003172 | 24571 | GTEx | DepMap | Descartes | 0.02 | 0.43 |
KANK3 | -0.0003195 | 24603 | GTEx | DepMap | Descartes | 0.01 | 0.17 |
CLDN5 | -0.0003203 | 24614 | GTEx | DepMap | Descartes | 0.03 | 2.87 |
RASIP1 | -0.0003210 | 24623 | GTEx | DepMap | Descartes | 0.13 | 2.48 |
Descartes stromal markers
Top 50 marker genes of stromal cells in the Decartes fetal adrenal single cell map (https://atlas.brotmanbaty.org/bbi/human-gene-expression-during-development/cell/stromal/in/adrenal)
Wilcoxon ranksum test P-value for gene set overrepresentation: 1.00e+00
Mean rank of genes in gene set: 18589.45
Median rank of genes in gene set: 20233
Rank on gene expression program of top 30 genes in gene set:
Genes | Weight | Rank | GTEx | DepMap | Descartes | Mean.Counts | Mean.TPM |
---|---|---|---|---|---|---|---|
GAS2 | 0.0008961 | 334 | GTEx | DepMap | Descartes | 1.30 | 23.55 |
SULT1E1 | 0.0004707 | 699 | GTEx | DepMap | Descartes | 6.86 | 165.41 |
COL27A1 | 0.0000562 | 2469 | GTEx | DepMap | Descartes | 0.51 | 2.78 |
PCOLCE | 0.0000249 | 3026 | GTEx | DepMap | Descartes | 2.14 | 54.89 |
ABCA6 | -0.0000476 | 12954 | GTEx | DepMap | Descartes | 0.12 | 0.71 |
ADAMTSL3 | -0.0000574 | 13913 | GTEx | DepMap | Descartes | 0.07 | 0.43 |
SCARA5 | -0.0000770 | 15484 | GTEx | DepMap | Descartes | 0.01 | 0.10 |
DKK2 | -0.0000804 | 15740 | GTEx | DepMap | Descartes | 0.02 | 0.41 |
ACTA2 | -0.0000909 | 16523 | GTEx | DepMap | Descartes | 0.21 | 6.68 |
ITGA11 | -0.0000944 | 16748 | GTEx | DepMap | Descartes | 0.01 | 0.05 |
LUM | -0.0000998 | 17066 | GTEx | DepMap | Descartes | 0.01 | 0.27 |
FNDC1 | -0.0001054 | 17414 | GTEx | DepMap | Descartes | 0.00 | 0.05 |
CCDC102B | -0.0001058 | 17437 | GTEx | DepMap | Descartes | 0.05 | 0.71 |
BICC1 | -0.0001092 | 17645 | GTEx | DepMap | Descartes | 0.50 | 4.47 |
MXRA5 | -0.0001125 | 17844 | GTEx | DepMap | Descartes | 0.01 | 0.08 |
SFRP2 | -0.0001159 | 18036 | GTEx | DepMap | Descartes | 0.03 | 1.58 |
ZNF385D | -0.0001230 | 18445 | GTEx | DepMap | Descartes | 0.03 | 0.33 |
MGP | -0.0001250 | 18555 | GTEx | DepMap | Descartes | 0.06 | 3.90 |
POSTN | -0.0001281 | 18731 | GTEx | DepMap | Descartes | 0.06 | 1.32 |
PAMR1 | -0.0001289 | 18779 | GTEx | DepMap | Descartes | 0.02 | 0.47 |
LAMC3 | -0.0001314 | 18912 | GTEx | DepMap | Descartes | 0.00 | 0.04 |
GLI2 | -0.0001354 | 19099 | GTEx | DepMap | Descartes | 0.01 | 0.06 |
ADAMTS2 | -0.0001429 | 19442 | GTEx | DepMap | Descartes | 0.04 | 0.28 |
ABCC9 | -0.0001547 | 20041 | GTEx | DepMap | Descartes | 0.02 | 0.14 |
LOX | -0.0001585 | 20233 | GTEx | DepMap | Descartes | 0.04 | 0.59 |
CLDN11 | -0.0001637 | 20503 | GTEx | DepMap | Descartes | 0.05 | 1.15 |
ELN | -0.0001674 | 20675 | GTEx | DepMap | Descartes | 0.06 | 1.77 |
RSPO3 | -0.0001728 | 20922 | GTEx | DepMap | Descartes | 0.20 | NA |
PRICKLE1 | -0.0001769 | 21072 | GTEx | DepMap | Descartes | 0.03 | 0.66 |
PRRX1 | -0.0001794 | 21176 | GTEx | DepMap | Descartes | 0.02 | 0.33 |
Descartes sympathoblasts markers
Top 50 marker genes of sympathoblasts cells in the Decartes fetal adrenal single cell map (https://atlas.brotmanbaty.org/bbi/human-gene-expression-during-development/cell/sympathoblasts/in/adrenal)
Wilcoxon ranksum test P-value for gene set overrepresentation: 9.78e-01
Mean rank of genes in gene set: 15166.5
Median rank of genes in gene set: 17039.5
Rank on gene expression program of top 30 genes in gene set:
Genes | Weight | Rank | GTEx | DepMap | Descartes | Mean.Counts | Mean.TPM |
---|---|---|---|---|---|---|---|
TENM1 | 0.0005188 | 639 | GTEx | DepMap | Descartes | 0.90 | NA |
GCH1 | 0.0001889 | 1467 | GTEx | DepMap | Descartes | 0.94 | 13.15 |
ROBO1 | 0.0001319 | 1789 | GTEx | DepMap | Descartes | 1.77 | 9.72 |
DGKK | 0.0000935 | 2076 | GTEx | DepMap | Descartes | 0.29 | 1.68 |
SLC35F3 | 0.0000206 | 3125 | GTEx | DepMap | Descartes | 0.03 | 0.44 |
LINC00632 | 0.0000179 | 3199 | GTEx | DepMap | Descartes | 0.43 | NA |
PACRG | -0.0000096 | 5762 | GTEx | DepMap | Descartes | 0.08 | 2.35 |
SORCS3 | -0.0000244 | 9525 | GTEx | DepMap | Descartes | 0.03 | 0.35 |
TBX20 | -0.0000444 | 12595 | GTEx | DepMap | Descartes | 0.00 | 0.00 |
CNTNAP5 | -0.0000480 | 12994 | GTEx | DepMap | Descartes | 0.00 | 0.00 |
GALNTL6 | -0.0000533 | 13532 | GTEx | DepMap | Descartes | 0.00 | 0.00 |
KSR2 | -0.0000661 | 14654 | GTEx | DepMap | Descartes | 0.00 | 0.01 |
EML6 | -0.0000685 | 14854 | GTEx | DepMap | Descartes | 0.06 | 0.34 |
AGBL4 | -0.0000700 | 14945 | GTEx | DepMap | Descartes | 0.00 | 0.01 |
CNTN3 | -0.0000725 | 15158 | GTEx | DepMap | Descartes | 0.00 | 0.05 |
TMEM130 | -0.0000730 | 15190 | GTEx | DepMap | Descartes | 0.00 | 0.07 |
ST18 | -0.0000773 | 15505 | GTEx | DepMap | Descartes | 0.00 | 0.02 |
CDH18 | -0.0000813 | 15818 | GTEx | DepMap | Descartes | 0.00 | 0.03 |
KCTD16 | -0.0000834 | 15986 | GTEx | DepMap | Descartes | 0.01 | 0.05 |
GRM7 | -0.0000884 | 16339 | GTEx | DepMap | Descartes | 0.01 | 0.09 |
SLC24A2 | -0.0000904 | 16491 | GTEx | DepMap | Descartes | 0.00 | 0.00 |
PENK | -0.0000988 | 17017 | GTEx | DepMap | Descartes | 0.00 | 0.23 |
LAMA3 | -0.0000997 | 17062 | GTEx | DepMap | Descartes | 0.01 | 0.03 |
PNMT | -0.0001013 | 17153 | GTEx | DepMap | Descartes | 0.00 | 0.03 |
ARC | -0.0001020 | 17208 | GTEx | DepMap | Descartes | 0.01 | 0.44 |
PCSK2 | -0.0001095 | 17667 | GTEx | DepMap | Descartes | 0.00 | 0.08 |
FGF14 | -0.0001143 | 17953 | GTEx | DepMap | Descartes | 0.00 | 0.02 |
CDH12 | -0.0001165 | 18068 | GTEx | DepMap | Descartes | 0.00 | 0.04 |
FAM155A | -0.0001198 | 18261 | GTEx | DepMap | Descartes | 0.00 | 0.05 |
SPOCK3 | -0.0001202 | 18282 | GTEx | DepMap | Descartes | 0.00 | 0.00 |
Descartes erythroblasts markers
Top 50 marker genes of erythroblasts cells in the Decartes fetal adrenal single cell map (https://atlas.brotmanbaty.org/bbi/human-gene-expression-during-development/cell/erythroblasts/in/adrenal)
Wilcoxon ranksum test P-value for gene set overrepresentation: 1.00e+00
Mean rank of genes in gene set: 21692.04
Median rank of genes in gene set: 23374.5
Rank on gene expression program of top 30 genes in gene set:
Genes | Weight | Rank | GTEx | DepMap | Descartes | Mean.Counts | Mean.TPM |
---|---|---|---|---|---|---|---|
TFR2 | 0.0008485 | 366 | GTEx | DepMap | Descartes | 2.72 | 33.37 |
CAT | 0.0000825 | 2181 | GTEx | DepMap | Descartes | 3.97 | 72.78 |
TMEM56 | 0.0000161 | 3256 | GTEx | DepMap | Descartes | 1.36 | NA |
SLC25A21 | -0.0001005 | 17104 | GTEx | DepMap | Descartes | 0.04 | 0.43 |
HBZ | -0.0001026 | 17246 | GTEx | DepMap | Descartes | 1.67 | 80.75 |
RGS6 | -0.0001180 | 18144 | GTEx | DepMap | Descartes | 0.01 | 0.06 |
RHD | -0.0001219 | 18385 | GTEx | DepMap | Descartes | 0.01 | 0.08 |
GCLC | -0.0001222 | 18401 | GTEx | DepMap | Descartes | 0.57 | 6.14 |
TMCC2 | -0.0001492 | 19757 | GTEx | DepMap | Descartes | 0.04 | 0.53 |
SOX6 | -0.0001550 | 20059 | GTEx | DepMap | Descartes | 0.55 | 2.74 |
MICAL2 | -0.0001704 | 20805 | GTEx | DepMap | Descartes | 0.03 | 0.24 |
GYPE | -0.0001766 | 21059 | GTEx | DepMap | Descartes | 0.02 | 0.65 |
SPTB | -0.0001807 | 21232 | GTEx | DepMap | Descartes | 0.01 | 0.05 |
XPO7 | -0.0001911 | 21648 | GTEx | DepMap | Descartes | 0.45 | 4.03 |
ABCB10 | -0.0001958 | 21832 | GTEx | DepMap | Descartes | 0.35 | 3.63 |
CR1L | -0.0001976 | 21886 | GTEx | DepMap | Descartes | 0.07 | 1.27 |
DENND4A | -0.0002177 | 22546 | GTEx | DepMap | Descartes | 0.16 | 0.83 |
SPTA1 | -0.0002179 | 22555 | GTEx | DepMap | Descartes | 0.03 | 0.17 |
RHCE | -0.0002203 | 22628 | GTEx | DepMap | Descartes | 0.05 | 1.00 |
ANK1 | -0.0002273 | 22802 | GTEx | DepMap | Descartes | 0.02 | 0.31 |
RAPGEF2 | -0.0002406 | 23128 | GTEx | DepMap | Descartes | 0.38 | 1.83 |
TRAK2 | -0.0002437 | 23213 | GTEx | DepMap | Descartes | 0.28 | 2.13 |
SELENBP1 | -0.0002482 | 23324 | GTEx | DepMap | Descartes | 1.04 | 14.70 |
SLC4A1 | -0.0002487 | 23330 | GTEx | DepMap | Descartes | 0.10 | 1.00 |
RHAG | -0.0002521 | 23419 | GTEx | DepMap | Descartes | 0.06 | 0.99 |
HECTD4 | -0.0002525 | 23434 | GTEx | DepMap | Descartes | 0.23 | NA |
MARCH3 | -0.0002671 | 23756 | GTEx | DepMap | Descartes | 0.13 | NA |
TSPAN5 | -0.0002872 | 24119 | GTEx | DepMap | Descartes | 0.05 | 0.88 |
GYPB | -0.0002967 | 24283 | GTEx | DepMap | Descartes | 0.17 | 14.40 |
EPB42 | -0.0002999 | 24333 | GTEx | DepMap | Descartes | 0.05 | 0.78 |
Descartes myeloid markers
Top 50 marker genes of myeloid cells in the Decartes fetal adrenal single cell map (https://atlas.brotmanbaty.org/bbi/human-gene-expression-during-development/cell/myeloid/in/adrenal)
Wilcoxon ranksum test P-value for gene set overrepresentation: 1.00e+00
Mean rank of genes in gene set: 16876.8
Median rank of genes in gene set: 19337
Rank on gene expression program of top 30 genes in gene set:
Genes | Weight | Rank | GTEx | DepMap | Descartes | Mean.Counts | Mean.TPM |
---|---|---|---|---|---|---|---|
CPVL | 0.0008184 | 382 | GTEx | DepMap | Descartes | 3.45 | 60.54 |
CST3 | 0.0003794 | 863 | GTEx | DepMap | Descartes | 20.89 | 258.67 |
ABCA1 | 0.0001461 | 1695 | GTEx | DepMap | Descartes | 2.92 | 11.02 |
SLCO2B1 | 0.0001001 | 2016 | GTEx | DepMap | Descartes | 0.94 | 6.51 |
CTSD | 0.0000872 | 2133 | GTEx | DepMap | Descartes | 7.08 | 137.86 |
TGFBI | 0.0000711 | 2294 | GTEx | DepMap | Descartes | 1.27 | 11.05 |
CD14 | 0.0000224 | 3094 | GTEx | DepMap | Descartes | 1.56 | 37.95 |
ITPR2 | -0.0000050 | 4590 | GTEx | DepMap | Descartes | 1.86 | 6.09 |
WWP1 | -0.0000136 | 6850 | GTEx | DepMap | Descartes | 1.22 | 10.76 |
MS4A4E | -0.0000417 | 12282 | GTEx | DepMap | Descartes | 0.00 | 0.00 |
CD163L1 | -0.0000711 | 15059 | GTEx | DepMap | Descartes | 0.00 | 0.05 |
SPP1 | -0.0000762 | 15432 | GTEx | DepMap | Descartes | 0.04 | 3.57 |
CD74 | -0.0000823 | 15901 | GTEx | DepMap | Descartes | 2.68 | 37.77 |
MSR1 | -0.0000871 | 16247 | GTEx | DepMap | Descartes | 0.10 | 1.10 |
ATP8B4 | -0.0000944 | 16747 | GTEx | DepMap | Descartes | 0.03 | 0.25 |
HRH1 | -0.0001038 | 17310 | GTEx | DepMap | Descartes | 0.00 | 0.05 |
CTSB | -0.0001078 | 17558 | GTEx | DepMap | Descartes | 4.96 | 53.22 |
HCK | -0.0001185 | 18173 | GTEx | DepMap | Descartes | 0.00 | 0.16 |
MS4A4A | -0.0001217 | 18376 | GTEx | DepMap | Descartes | 0.01 | 0.85 |
FGD2 | -0.0001240 | 18504 | GTEx | DepMap | Descartes | 0.01 | 0.22 |
SLC1A3 | -0.0001285 | 18753 | GTEx | DepMap | Descartes | 0.08 | 0.81 |
MARCH1 | -0.0001287 | 18764 | GTEx | DepMap | Descartes | 0.01 | NA |
ADAP2 | -0.0001334 | 19004 | GTEx | DepMap | Descartes | 0.00 | 0.33 |
VSIG4 | -0.0001348 | 19064 | GTEx | DepMap | Descartes | 0.01 | 0.49 |
FMN1 | -0.0001404 | 19328 | GTEx | DepMap | Descartes | 0.02 | 0.13 |
HLA-DPA1 | -0.0001408 | 19346 | GTEx | DepMap | Descartes | 0.04 | 1.00 |
MS4A7 | -0.0001445 | 19523 | GTEx | DepMap | Descartes | 0.02 | 1.29 |
MPEG1 | -0.0001456 | 19580 | GTEx | DepMap | Descartes | 0.01 | 0.33 |
CSF1R | -0.0001556 | 20086 | GTEx | DepMap | Descartes | 0.02 | 0.87 |
CD163 | -0.0001585 | 20235 | GTEx | DepMap | Descartes | 0.01 | 0.27 |
Descartes Schwann markers
Top 50 marker genes of Schwann cells in the Decartes fetal adrenal single cell map (https://atlas.brotmanbaty.org/bbi/human-gene-expression-during-development/cell/schwann/in/adrenal)
Wilcoxon ranksum test P-value for gene set overrepresentation: 1.00e+00
Mean rank of genes in gene set: 17286.08
Median rank of genes in gene set: 18538
Rank on gene expression program of top 30 genes in gene set:
Genes | Weight | Rank | GTEx | DepMap | Descartes | Mean.Counts | Mean.TPM |
---|---|---|---|---|---|---|---|
ERBB3 | 0.0004515 | 731 | GTEx | DepMap | Descartes | 1.80 | 14.25 |
GFRA3 | 0.0003556 | 922 | GTEx | DepMap | Descartes | 0.98 | 19.00 |
FIGN | 0.0001426 | 1713 | GTEx | DepMap | Descartes | 0.87 | 3.60 |
EGFLAM | 0.0000428 | 2678 | GTEx | DepMap | Descartes | 0.36 | 3.02 |
SOX5 | 0.0000090 | 3484 | GTEx | DepMap | Descartes | 0.29 | 1.69 |
COL18A1 | 0.0000058 | 3634 | GTEx | DepMap | Descartes | 2.44 | 15.83 |
PPP2R2B | -0.0000344 | 11299 | GTEx | DepMap | Descartes | 0.11 | 0.42 |
IL1RAPL2 | -0.0000421 | 12324 | GTEx | DepMap | Descartes | 0.00 | 0.00 |
IL1RAPL1 | -0.0000440 | 12553 | GTEx | DepMap | Descartes | 0.06 | 0.76 |
MDGA2 | -0.0000532 | 13525 | GTEx | DepMap | Descartes | 0.01 | 0.05 |
GRIK3 | -0.0000610 | 14228 | GTEx | DepMap | Descartes | 0.00 | 0.02 |
LRRTM4 | -0.0000628 | 14380 | GTEx | DepMap | Descartes | 0.00 | 0.30 |
MPZ | -0.0000712 | 15070 | GTEx | DepMap | Descartes | 0.01 | 0.18 |
XKR4 | -0.0000739 | 15259 | GTEx | DepMap | Descartes | 0.00 | 0.04 |
COL5A2 | -0.0000776 | 15526 | GTEx | DepMap | Descartes | 2.32 | 13.21 |
SOX10 | -0.0000817 | 15858 | GTEx | DepMap | Descartes | 0.01 | 0.18 |
CDH19 | -0.0000824 | 15904 | GTEx | DepMap | Descartes | 0.00 | 0.04 |
NRXN3 | -0.0000883 | 16328 | GTEx | DepMap | Descartes | 0.04 | 0.26 |
SFRP1 | -0.0000890 | 16375 | GTEx | DepMap | Descartes | 1.44 | 13.13 |
OLFML2A | -0.0001032 | 17286 | GTEx | DepMap | Descartes | 0.01 | 0.06 |
PLP1 | -0.0001066 | 17500 | GTEx | DepMap | Descartes | 0.01 | 0.12 |
SORCS1 | -0.0001079 | 17566 | GTEx | DepMap | Descartes | 0.00 | 0.03 |
TRPM3 | -0.0001101 | 17700 | GTEx | DepMap | Descartes | 0.02 | 0.16 |
SCN7A | -0.0001240 | 18509 | GTEx | DepMap | Descartes | 0.01 | 0.24 |
DST | -0.0001247 | 18538 | GTEx | DepMap | Descartes | 4.38 | 7.87 |
ADAMTS5 | -0.0001286 | 18757 | GTEx | DepMap | Descartes | 0.01 | 0.06 |
ERBB4 | -0.0001405 | 19334 | GTEx | DepMap | Descartes | 0.05 | 0.71 |
COL25A1 | -0.0001413 | 19366 | GTEx | DepMap | Descartes | 0.05 | 0.40 |
GAS7 | -0.0001517 | 19900 | GTEx | DepMap | Descartes | 0.01 | 0.17 |
ABCA8 | -0.0001522 | 19927 | GTEx | DepMap | Descartes | 0.06 | 0.54 |
Descartes Megakaryocytes markers
Top 50 marker genes of Megakaryocytes cells in the Decartes fetal adrenal single cell map (https://atlas.brotmanbaty.org/bbi/human-gene-expression-during-development/cell/megakaryocytes/in/adrenal)
Wilcoxon ranksum test P-value for gene set overrepresentation: 1.00e+00
Mean rank of genes in gene set: 20155.59
Median rank of genes in gene set: 21182
Rank on gene expression program of top 30 genes in gene set:
Genes | Weight | Rank | GTEx | DepMap | Descartes | Mean.Counts | Mean.TPM |
---|---|---|---|---|---|---|---|
ACTN1 | 0.0001515 | 1659 | GTEx | DepMap | Descartes | 1.80 | 16.12 |
GSN | 0.0001022 | 1994 | GTEx | DepMap | Descartes | 8.42 | 50.42 |
PPBP | -0.0000435 | 12496 | GTEx | DepMap | Descartes | 0.02 | 1.71 |
PF4 | -0.0000440 | 12559 | GTEx | DepMap | Descartes | 0.02 | 2.05 |
ITGA2B | -0.0000522 | 13414 | GTEx | DepMap | Descartes | 0.03 | 0.46 |
ITGB3 | -0.0000576 | 13930 | GTEx | DepMap | Descartes | 0.01 | 0.03 |
GP1BA | -0.0000619 | 14292 | GTEx | DepMap | Descartes | 0.00 | 0.00 |
SLC24A3 | -0.0000810 | 15793 | GTEx | DepMap | Descartes | 0.01 | 0.13 |
GP9 | -0.0000838 | 16012 | GTEx | DepMap | Descartes | 0.01 | 0.85 |
TRPC6 | -0.0000905 | 16501 | GTEx | DepMap | Descartes | 0.01 | 0.11 |
P2RX1 | -0.0001004 | 17100 | GTEx | DepMap | Descartes | 0.01 | 0.15 |
MCTP1 | -0.0001024 | 17231 | GTEx | DepMap | Descartes | 0.01 | 0.13 |
CD84 | -0.0001184 | 18169 | GTEx | DepMap | Descartes | 0.01 | 0.05 |
PLEK | -0.0001201 | 18274 | GTEx | DepMap | Descartes | 0.04 | 0.99 |
TUBB1 | -0.0001283 | 18739 | GTEx | DepMap | Descartes | 0.04 | 0.43 |
DOK6 | -0.0001312 | 18905 | GTEx | DepMap | Descartes | 0.03 | 0.34 |
RAB27B | -0.0001328 | 18971 | GTEx | DepMap | Descartes | 0.00 | 0.01 |
BIN2 | -0.0001363 | 19133 | GTEx | DepMap | Descartes | 0.01 | 0.28 |
FERMT3 | -0.0001400 | 19310 | GTEx | DepMap | Descartes | 0.04 | 1.23 |
SPN | -0.0001444 | 19512 | GTEx | DepMap | Descartes | 0.02 | 0.15 |
ARHGAP6 | -0.0001547 | 20042 | GTEx | DepMap | Descartes | 0.06 | 0.54 |
PDE3A | -0.0001706 | 20810 | GTEx | DepMap | Descartes | 0.01 | 0.03 |
UBASH3B | -0.0001743 | 20973 | GTEx | DepMap | Descartes | 0.01 | 0.17 |
MYLK | -0.0001743 | 20975 | GTEx | DepMap | Descartes | 0.20 | 0.91 |
ANGPT1 | -0.0001796 | 21182 | GTEx | DepMap | Descartes | 0.06 | 0.94 |
PSTPIP2 | -0.0001807 | 21230 | GTEx | DepMap | Descartes | 0.02 | 0.54 |
STON2 | -0.0001817 | 21271 | GTEx | DepMap | Descartes | 0.05 | 0.61 |
THBS1 | -0.0001819 | 21279 | GTEx | DepMap | Descartes | 0.02 | 0.20 |
MMRN1 | -0.0002068 | 22209 | GTEx | DepMap | Descartes | 0.01 | 0.05 |
INPP4B | -0.0002079 | 22249 | GTEx | DepMap | Descartes | 0.01 | 0.13 |
Descartes Lyphoid markers
Top 50 marker genes of Lyphoid cells in the Decartes fetal adrenal single cell map (https://atlas.brotmanbaty.org/bbi/human-gene-expression-during-development/cell/lymphoid/in/adrenal)
Wilcoxon ranksum test P-value for gene set overrepresentation: 1.00e+00
Mean rank of genes in gene set: 20660.31
Median rank of genes in gene set: 22494
Rank on gene expression program of top 30 genes in gene set:
Genes | Weight | Rank | GTEx | DepMap | Descartes | Mean.Counts | Mean.TPM |
---|---|---|---|---|---|---|---|
SORL1 | 0.0003336 | 987 | GTEx | DepMap | Descartes | 1.45 | 5.43 |
PDE3B | 0.0003020 | 1083 | GTEx | DepMap | Descartes | 1.21 | 7.72 |
SCML4 | -0.0000393 | 11987 | GTEx | DepMap | Descartes | 0.04 | 0.55 |
LINC00299 | -0.0000463 | 12806 | GTEx | DepMap | Descartes | 0.01 | 0.12 |
SKAP1 | -0.0000506 | 13265 | GTEx | DepMap | Descartes | 0.13 | 3.51 |
CCL5 | -0.0000798 | 15694 | GTEx | DepMap | Descartes | 0.00 | 0.05 |
RAP1GAP2 | -0.0000840 | 16032 | GTEx | DepMap | Descartes | 0.03 | 0.26 |
NKG7 | -0.0000928 | 16647 | GTEx | DepMap | Descartes | 0.01 | 0.49 |
ABLIM1 | -0.0001011 | 17140 | GTEx | DepMap | Descartes | 0.48 | 3.51 |
FOXP1 | -0.0001056 | 17422 | GTEx | DepMap | Descartes | 1.43 | 6.74 |
NCALD | -0.0001150 | 17989 | GTEx | DepMap | Descartes | 0.35 | 3.73 |
BACH2 | -0.0001214 | 18359 | GTEx | DepMap | Descartes | 0.01 | 0.08 |
ARHGAP15 | -0.0001232 | 18454 | GTEx | DepMap | Descartes | 0.01 | 0.20 |
SAMD3 | -0.0001236 | 18477 | GTEx | DepMap | Descartes | 0.00 | 0.01 |
TOX | -0.0001441 | 19499 | GTEx | DepMap | Descartes | 0.01 | 0.13 |
PLEKHA2 | -0.0001466 | 19627 | GTEx | DepMap | Descartes | 0.34 | 2.80 |
HLA-A | -0.0001468 | 19634 | GTEx | DepMap | Descartes | 8.18 | 61.26 |
DOCK10 | -0.0001652 | 20580 | GTEx | DepMap | Descartes | 0.01 | 0.08 |
MCTP2 | -0.0001816 | 21268 | GTEx | DepMap | Descartes | 0.02 | 0.07 |
PTPRC | -0.0001856 | 21416 | GTEx | DepMap | Descartes | 0.02 | 0.27 |
ITPKB | -0.0001955 | 21816 | GTEx | DepMap | Descartes | 0.01 | 0.17 |
LCP1 | -0.0001991 | 21947 | GTEx | DepMap | Descartes | 0.08 | 1.36 |
IKZF1 | -0.0001997 | 21971 | GTEx | DepMap | Descartes | 0.02 | 0.35 |
STK39 | -0.0002128 | 22406 | GTEx | DepMap | Descartes | 0.04 | 0.84 |
CD44 | -0.0002186 | 22582 | GTEx | DepMap | Descartes | 0.03 | 0.67 |
PITPNC1 | -0.0002314 | 22895 | GTEx | DepMap | Descartes | 0.07 | 0.69 |
PRKCH | -0.0002351 | 23008 | GTEx | DepMap | Descartes | 0.02 | 0.30 |
RCSD1 | -0.0002358 | 23024 | GTEx | DepMap | Descartes | 0.01 | 0.24 |
CELF2 | -0.0002366 | 23039 | GTEx | DepMap | Descartes | 0.03 | 0.64 |
LEF1 | -0.0002519 | 23415 | GTEx | DepMap | Descartes | 0.04 | 0.52 |
Below shows the ranks on this GEP for immune marker gene lists curated by CellTypist (https://www.celltypist.org/encyclopedia).
High ranks indicate this gene is a driver of this GEP.
These curated gene list are ranked by P-value (on this GEP) of their constituent genes.
The Mean Count column shows the mean read count in cells scoring highly (H > 50) on this gene expression program.
Genes | Weight | Rank | GTEx | DepMap | Decartes | Mean.Counts | Mean.TPM |
---|---|---|---|---|---|---|---|
LINC01709 | 4.16e-05 | 2700 | GTEx | DepMap | Descartes | 0 | NA |
CD207 | -5.60e-06 | 4725 | GTEx | DepMap | Descartes | 0 | 0.00 |
KIAA0087 | -1.22e-05 | 6502 | GTEx | DepMap | Descartes | 0 | 0.00 |
LCNL1 | -1.35e-05 | 6823 | GTEx | DepMap | Descartes | 0 | 0.00 |
C11orf72 | -2.03e-05 | 8599 | GTEx | DepMap | Descartes | 0 | 0.01 |
GRIN1 | -2.17e-05 | 8953 | GTEx | DepMap | Descartes | 0 | 0.00 |
OR2A25 | -2.39e-05 | 9445 | GTEx | DepMap | Descartes | 0 | 0.00 |
RGS13 | -2.76e-05 | 10152 | GTEx | DepMap | Descartes | 0 | 0.00 |
No detectable expression in this dataset: IGHV5-78
Macrophages: Hofbauer cells (model markers)
primitive placental resident macrophages with granules and vacuoles found in placenta particularly during early pregnancy:
Wilcoxon ranksum test P-value for gene set overrepresentation: 1.95e-02
Mean rank of genes in gene set: 7778.44
Rank on gene expression program of genes in gene set:
Genes | Weight | Rank | GTEx | DepMap | Decartes | Mean.Counts | Mean.TPM |
---|---|---|---|---|---|---|---|
XAGE3 | 0.0002448 | 1254 | GTEx | DepMap | Descartes | 0.02 | 1.91 |
PAGE4 | 0.0001304 | 1800 | GTEx | DepMap | Descartes | 0.05 | 1.54 |
ZFHX4-AS1 | 0.0000540 | 2504 | GTEx | DepMap | Descartes | 0.07 | NA |
PANX2 | 0.0000393 | 2736 | GTEx | DepMap | Descartes | 0.09 | 1.28 |
CGA | -0.0000054 | 4691 | GTEx | DepMap | Descartes | 0.03 | 0.90 |
KIAA0087 | -0.0000122 | 6502 | GTEx | DepMap | Descartes | 0.00 | 0.00 |
GAPLINC | -0.0000128 | 6638 | GTEx | DepMap | Descartes | 0.00 | NA |
GATA3-AS1 | -0.0001344 | 19042 | GTEx | DepMap | Descartes | 0.01 | NA |
LYVE1 | -0.0003426 | 24839 | GTEx | DepMap | Descartes | 0.05 | 0.98 |
T cells: Tem/Effector helper T cells PD1+ (curated markers)
CD4+ helper T lymphocyte subpopulation in the thymus which features the expression of programmed cell death protein 1 (PD-1):
Wilcoxon ranksum test P-value for gene set overrepresentation: 1.97e-02
Mean rank of genes in gene set: 4042
Rank on gene expression program of genes in gene set:
Genes | Weight | Rank | GTEx | DepMap | Decartes | Mean.Counts | Mean.TPM |
---|---|---|---|---|---|---|---|
CD4 | 4.09e-04 | 807 | GTEx | DepMap | Descartes | 1.44 | 18.97 |
PDCD1 | 5.31e-05 | 2514 | GTEx | DepMap | Descartes | 0.04 | 0.77 |
CTLA4 | -2.12e-05 | 8805 | GTEx | DepMap | Descartes | 0.00 | 0.00 |