Program: 28. Stromal II.

Program: 28. Stromal II.




Submit a comment on this gene expression program’s interpretation: CLICK

QQ-plot of gene loadings, averaged over both independent splits of the data
This plot highlights the relative contribution of each gene to the GEP

Interactive QQ Plot

Top genes driving this program.
Note: Decartes website is buggy, try refreshing. Also, Decartes fetal adrenal data have been collected at specific time points (89-122 days), all possible cell types of interest may not be represented, do not overinterpret.
The Mean Count column shows the mean read count in cells scoring highly (H > 50) on this gene expression program.

Gene Loading Gene.Name GTEx DepMap Descartes Mean.Counts Mean.Tpm
1 COL1A2 0.0114377 collagen type I alpha 2 chain GTEx DepMap Descartes 51.31 2328.71
2 OGN 0.0111380 osteoglycin GTEx DepMap Descartes 7.10 556.18
3 DCN 0.0109318 decorin GTEx DepMap Descartes 18.56 682.87
4 COL1A1 0.0109079 collagen type I alpha 1 chain GTEx DepMap Descartes 65.08 3095.37
5 COL12A1 0.0104265 collagen type XII alpha 1 chain GTEx DepMap Descartes 9.49 224.63
6 ISLR 0.0101265 immunoglobulin superfamily containing leucine rich repeat GTEx DepMap Descartes 4.27 512.48
7 RSPO3 0.0097490 R-spondin 3 GTEx DepMap Descartes 7.87 NA
8 FBN1 0.0096730 fibrillin 1 GTEx DepMap Descartes 6.17 150.68
9 PLAC9 0.0092531 placenta associated 9 GTEx DepMap Descartes 9.39 3037.40
10 POSTN 0.0092151 periostin GTEx DepMap Descartes 14.44 1172.99
11 COL3A1 0.0090975 collagen type III alpha 1 chain GTEx DepMap Descartes 52.29 2583.52
12 FBN2 0.0088068 fibrillin 2 GTEx DepMap Descartes 4.51 111.74
13 FSTL1 0.0086488 follistatin like 1 GTEx DepMap Descartes 8.57 404.79
14 COL5A1 0.0085532 collagen type V alpha 1 chain GTEx DepMap Descartes 4.64 157.56
15 PCOLCE 0.0084610 procollagen C-endopeptidase enhancer GTEx DepMap Descartes 5.10 854.99
16 COL5A2 0.0081450 collagen type V alpha 2 chain GTEx DepMap Descartes 6.28 259.91
17 SULT1E1 0.0078485 sulfotransferase family 1E member 1 GTEx DepMap Descartes 6.92 1044.69
18 COL14A1 0.0078256 collagen type XIV alpha 1 chain GTEx DepMap Descartes 4.15 147.65
19 IGFBP6 0.0076994 insulin like growth factor binding protein 6 GTEx DepMap Descartes 3.68 748.97
20 SEMA3C 0.0076695 semaphorin 3C GTEx DepMap Descartes 1.29 67.10
21 MFAP5 0.0076345 microfibril associated protein 5 GTEx DepMap Descartes 0.88 64.01
22 PRRX1 0.0075945 paired related homeobox 1 GTEx DepMap Descartes 2.32 168.65
23 CBLN4 0.0074134 cerebellin 4 precursor GTEx DepMap Descartes 1.55 136.91
24 PRSS35 0.0073892 serine protease 35 GTEx DepMap Descartes 2.62 276.78
25 PAMR1 0.0071845 peptidase domain containing associated with muscle regeneration 1 GTEx DepMap Descartes 1.02 83.35
26 DKK2 0.0071601 dickkopf WNT signaling pathway inhibitor 2 GTEx DepMap Descartes 0.77 53.91
27 PDE5A 0.0071335 phosphodiesterase 5A GTEx DepMap Descartes 3.41 146.36
28 FZD1 0.0070834 frizzled class receptor 1 GTEx DepMap Descartes 3.64 143.16
29 LOX 0.0069542 lysyl oxidase GTEx DepMap Descartes 1.35 66.99
30 LUM 0.0069497 lumican GTEx DepMap Descartes 3.19 312.53
31 ELN 0.0069237 elastin GTEx DepMap Descartes 2.66 177.86
32 MXRA5 0.0069190 matrix remodeling associated 5 GTEx DepMap Descartes 0.95 26.25
33 KLF5 0.0069147 Kruppel like factor 5 GTEx DepMap Descartes 1.25 98.64
34 OLFML3 0.0068915 olfactomedin like 3 GTEx DepMap Descartes 3.24 411.74
35 LGALS1 0.0067654 galectin 1 GTEx DepMap Descartes 22.79 7996.46
36 CPE 0.0067265 carboxypeptidase E GTEx DepMap Descartes 5.52 562.09
37 FMOD 0.0067205 fibromodulin GTEx DepMap Descartes 1.28 110.10
38 CDH11 0.0065398 cadherin 11 GTEx DepMap Descartes 5.60 229.54
39 COL6A1 0.0064876 collagen type VI alpha 1 chain GTEx DepMap Descartes 5.11 336.55
40 LRP1 0.0064684 LDL receptor related protein 1 GTEx DepMap Descartes 2.55 47.59
41 COL6A2 0.0064566 collagen type VI alpha 2 chain GTEx DepMap Descartes 7.94 639.25
42 COL16A1 0.0064143 collagen type XVI alpha 1 chain GTEx DepMap Descartes 2.11 112.60
43 PDGFRL 0.0063118 platelet derived growth factor receptor like GTEx DepMap Descartes 0.50 64.77
44 GPC3 0.0062837 glypican 3 GTEx DepMap Descartes 12.99 1444.98
45 TWIST2 0.0062827 twist family bHLH transcription factor 2 GTEx DepMap Descartes 1.27 226.46
46 LTBP4 0.0060642 latent transforming growth factor beta binding protein 4 GTEx DepMap Descartes 2.58 144.50
47 CRABP2 0.0060382 cellular retinoic acid binding protein 2 GTEx DepMap Descartes 2.15 447.69
48 MEST 0.0060378 mesoderm specific transcript GTEx DepMap Descartes 9.36 897.59
49 ALCAM 0.0059985 activated leukocyte cell adhesion molecule GTEx DepMap Descartes 5.00 304.96
50 SFRP2 0.0059357 secreted frizzled related protein 2 GTEx DepMap Descartes 2.55 344.39


Dowload full table


UMAP plots showing activity of gene expression program identified in GEP 28. Stromal II:

Interactive UMAP Plot
Interactive UMAP Plot
Interactive Boxplot
Interactive Boxplot


Gene set Enrichments for this program, caculated from top 50 genes


mSigDB Cell Types Gene Set:

P-value OR Lower 95% CI FDR FWER Genes Found Gene Set Size
DESCARTES_FETAL_EYE_STROMAL_CELLS 5.38e-55 475.75 249.80 1.81e-52 3.61e-52
27COL1A2, OGN, DCN, COL1A1, COL12A1, ISLR, FBN1, POSTN, COL3A1, COL5A1, PCOLCE, COL5A2, SULT1E1, COL14A1, IGFBP6, MFAP5, DKK2, LOX, LUM, MXRA5, FMOD, COL6A1, COL6A2, PDGFRL, TWIST2, LTBP4, SFRP2
90
DESCARTES_FETAL_THYMUS_STROMAL_CELLS 4.46e-62 437.92 229.99 2.99e-59 2.99e-59
32COL1A2, OGN, DCN, COL1A1, COL12A1, ISLR, FBN1, PLAC9, POSTN, COL3A1, FBN2, FSTL1, COL5A1, PCOLCE, COL5A2, COL14A1, SEMA3C, MFAP5, PRRX1, LOX, LUM, ELN, MXRA5, OLFML3, FMOD, COL6A1, LRP1, GPC3, LTBP4, CRABP2, MEST, SFRP2
137
CUI_DEVELOPING_HEART_C3_FIBROBLAST_LIKE_CELL 1.70e-46 278.61 147.86 3.79e-44 1.14e-43
25COL1A2, OGN, DCN, COL1A1, COL12A1, ISLR, FBN1, PLAC9, FSTL1, COL5A1, PCOLCE, COL5A2, COL14A1, LOX, LUM, ELN, OLFML3, LGALS1, COL6A1, LRP1, COL6A2, COL16A1, GPC3, LTBP4, MEST
117
CUI_DEVELOPING_HEART_COMPACT_VENTRICULAR_CARDIOMYOCYTE 1.56e-30 245.14 118.51 1.16e-28 1.05e-27
16COL1A2, OGN, DCN, COL1A1, COL12A1, FBN1, PLAC9, POSTN, COL3A1, COL5A1, COL5A2, LUM, ELN, LGALS1, COL6A1, COL6A2
65
CUI_DEVELOPING_HEART_SMOOTH_MUSCLE_CELL 4.33e-23 225.24 98.86 1.94e-21 2.90e-20
12COL1A2, COL1A1, COL3A1, PCOLCE, COL14A1, MFAP5, LOX, ELN, CPE, PDGFRL, CRABP2, SFRP2
48
DESCARTES_FETAL_ADRENAL_STROMAL_CELLS 8.76e-39 169.18 89.66 1.47e-36 5.88e-36
23OGN, DCN, COL1A1, COL12A1, ISLR, RSPO3, POSTN, COL3A1, PCOLCE, SULT1E1, IGFBP6, PRRX1, CBLN4, PAMR1, DKK2, LOX, LUM, MXRA5, FMOD, CDH11, PDGFRL, TWIST2, SFRP2
153
GAO_LARGE_INTESTINE_24W_C1_DCLK1POS_PROGENITOR 1.65e-29 161.84 81.05 1.00e-27 1.11e-26
17COL1A2, OGN, DCN, COL1A1, ISLR, COL3A1, COL5A1, PCOLCE, COL5A2, COL14A1, PAMR1, FZD1, LOX, LUM, COL16A1, PDGFRL, SFRP2
99
DURANTE_ADULT_OLFACTORY_NEUROEPITHELIUM_FIBROBLASTS_STROMAL_CELLS 1.72e-26 163.72 79.45 8.86e-25 1.15e-23
15COL1A2, DCN, COL1A1, POSTN, COL3A1, PCOLCE, IGFBP6, PRRX1, LUM, LGALS1, CPE, CDH11, COL6A2, CRABP2, SFRP2
82
DESCARTES_FETAL_KIDNEY_STROMAL_CELLS 7.41e-35 148.28 78.39 8.05e-33 4.97e-32
21COL1A2, OGN, DCN, COL1A1, COL12A1, ISLR, FBN1, PLAC9, POSTN, COL3A1, COL14A1, IGFBP6, MFAP5, PRRX1, CBLN4, PRSS35, DKK2, LOX, LUM, MXRA5, SFRP2
146
DESCARTES_MAIN_FETAL_STROMAL_CELLS 1.46e-12 250.22 75.06 4.09e-11 9.82e-10
6COL1A2, COL1A1, COL12A1, COL5A1, CBLN4, MXRA5
20
DESCARTES_FETAL_HEART_STROMAL_CELLS 1.90e-15 188.71 69.47 5.55e-14 1.28e-12
8COL1A2, DCN, COL1A1, ISLR, PCOLCE, MFAP5, LUM, GPC3
34
DESCARTES_FETAL_MUSCLE_STROMAL_CELLS 3.05e-25 132.69 64.81 1.46e-23 2.05e-22
15COL1A2, OGN, DCN, COL1A1, COL12A1, ISLR, RSPO3, POSTN, COL3A1, PCOLCE, IGFBP6, MFAP5, DKK2, LUM, PDGFRL
98
TRAVAGLINI_LUNG_ADVENTITIAL_FIBROBLAST_CELL 8.17e-38 103.28 56.15 1.10e-35 5.48e-35
26COL1A2, OGN, DCN, COL1A1, ISLR, RSPO3, FBN1, COL3A1, FSTL1, PCOLCE, IGFBP6, SEMA3C, MFAP5, PRRX1, PAMR1, LOX, LUM, OLFML3, CPE, COL6A1, LRP1, COL6A2, PDGFRL, LTBP4, CRABP2, SFRP2
296
MENON_FETAL_KIDNEY_3_STROMAL_CELLS 4.69e-18 103.69 45.91 1.57e-16 3.15e-15
11COL1A2, COL1A1, POSTN, COL3A1, FSTL1, COL5A2, SULT1E1, LGALS1, CDH11, GPC3, ALCAM
81
RUBENSTEIN_SKELETAL_MUSCLE_FBN1_FAP_CELLS 3.55e-32 82.44 44.48 2.98e-30 2.38e-29
23COL1A2, DCN, COL1A1, COL12A1, ISLR, FBN1, PLAC9, COL3A1, FSTL1, PCOLCE, COL14A1, IGFBP6, SEMA3C, MFAP5, PRRX1, ELN, OLFML3, CPE, COL6A1, LRP1, COL6A2, PDGFRL, LTBP4
289
HU_FETAL_RETINA_FIBROBLAST 8.40e-35 77.70 42.47 8.05e-33 5.64e-32
26COL1A2, OGN, DCN, COL1A1, RSPO3, FBN1, PLAC9, COL3A1, FBN2, FSTL1, COL5A1, PCOLCE, COL5A2, SULT1E1, IGFBP6, PRRX1, DKK2, LUM, MXRA5, OLFML3, LGALS1, CDH11, COL6A2, LTBP4, MEST, ALCAM
385
RUBENSTEIN_SKELETAL_MUSCLE_FAP_CELLS 5.20e-23 74.29 37.53 2.18e-21 3.49e-20
16COL1A2, DCN, COL1A1, ISLR, PLAC9, COL3A1, FSTL1, PCOLCE, IGFBP6, MFAP5, LUM, COL6A1, LRP1, COL6A2, PDGFRL, LTBP4
179
AIZARANI_LIVER_C21_STELLATE_CELLS_1 1.93e-22 68.04 34.41 7.64e-21 1.30e-19
16COL1A2, DCN, COL1A1, FBN1, COL3A1, FSTL1, COL5A1, PCOLCE, COL14A1, LUM, OLFML3, LGALS1, COL6A1, LRP1, COL6A2, LTBP4
194
GAO_SMALL_INTESTINE_24W_C2_PROCRPOS_PROGENITOR 8.85e-08 124.03 29.40 1.61e-06 5.94e-05
4PLAC9, PCOLCE, GPC3, SFRP2
22
DESCARTES_FETAL_STOMACH_STROMAL_CELLS 5.70e-10 79.63 26.39 1.23e-08 3.83e-07
6DCN, COL1A1, PLAC9, COL3A1, TWIST2, SFRP2
50

Dowload full table

mSigDB Hallmark Gene Sets:

P-value OR Lower 95% CI FDR FWER Genes Found Gene Set Size
HALLMARK_EPITHELIAL_MESENCHYMAL_TRANSITION 3.19e-40 146.39 79.25 1.59e-38 1.59e-38
25COL1A2, DCN, COL1A1, COL12A1, FBN1, POSTN, COL3A1, FBN2, FSTL1, COL5A1, PCOLCE, COL5A2, MFAP5, PRRX1, LOX, LUM, ELN, MXRA5, LGALS1, FMOD, CDH11, LRP1, COL6A2, COL16A1, MEST
200
HALLMARK_ANGIOGENESIS 7.95e-09 92.26 26.73 1.99e-07 3.97e-07
5POSTN, COL3A1, FSTL1, COL5A2, LUM
36
HALLMARK_UV_RESPONSE_DN 1.72e-04 15.99 4.13 2.86e-03 8.58e-03
4COL1A2, COL1A1, COL3A1, COL5A2
144
HALLMARK_HYPOXIA 5.92e-04 11.43 2.96 5.92e-03 2.96e-02
4DCN, COL5A1, LOX, GPC3
200
HALLMARK_MYOGENESIS 5.92e-04 11.43 2.96 5.92e-03 2.96e-02
4COL1A1, COL3A1, KLF5, COL6A2
200
HALLMARK_APOPTOSIS 3.70e-03 10.40 2.05 3.08e-02 1.85e-01
3DCN, IGFBP6, LUM
161
HALLMARK_APICAL_JUNCTION 6.73e-03 8.34 1.65 4.21e-02 3.37e-01
3FBN1, CDH11, COL16A1
200
HALLMARK_GLYCOLYSIS 6.73e-03 8.34 1.65 4.21e-02 3.37e-01
3DCN, COL5A1, GPC3
200
HALLMARK_PEROXISOME 1.72e-02 10.52 1.22 9.58e-02 8.62e-01
2SEMA3C, CRABP2
104
HALLMARK_COAGULATION 2.91e-02 7.89 0.92 1.46e-01 1.00e+00
2FBN1, LRP1
138
HALLMARK_IL2_STAT5_SIGNALING 5.62e-02 5.45 0.64 2.15e-01 1.00e+00
2COL6A1, ALCAM
199
HALLMARK_ESTROGEN_RESPONSE_LATE 5.67e-02 5.42 0.63 2.15e-01 1.00e+00
2CPE, MEST
200
HALLMARK_KRAS_SIGNALING_UP 5.67e-02 5.42 0.63 2.15e-01 1.00e+00
2PRRX1, CPE
200
HALLMARK_NOTCH_SIGNALING 6.01e-02 16.95 0.41 2.15e-01 1.00e+00
1FZD1
32
HALLMARK_WNT_BETA_CATENIN_SIGNALING 7.81e-02 12.81 0.31 2.60e-01 1.00e+00
1FZD1
42
HALLMARK_CHOLESTEROL_HOMEOSTASIS 1.33e-01 7.20 0.18 4.17e-01 1.00e+00
1ALCAM
74
HALLMARK_FATTY_ACID_METABOLISM 2.63e-01 3.35 0.08 7.74e-01 1.00e+00
1LGALS1
158
HALLMARK_ESTROGEN_RESPONSE_EARLY 3.20e-01 2.64 0.07 8.01e-01 1.00e+00
1OLFML3
200
HALLMARK_COMPLEMENT 3.20e-01 2.64 0.07 8.01e-01 1.00e+00
1LRP1
200
HALLMARK_INFLAMMATORY_RESPONSE 3.20e-01 2.64 0.07 8.01e-01 1.00e+00
1GPC3
200

Dowload full table

KEGG Pathways:

P-value OR Lower 95% CI FDR FWER Genes Found Gene Set Size
KEGG_ECM_RECEPTOR_INTERACTION 2.61e-10 54.35 20.02 4.86e-08 4.86e-08
7COL1A2, COL1A1, COL3A1, COL5A1, COL5A2, COL6A1, COL6A2
84
KEGG_FOCAL_ADHESION 1.04e-07 21.85 8.18 9.71e-06 1.94e-05
7COL1A2, COL1A1, COL3A1, COL5A1, COL5A2, COL6A1, COL6A2
199
KEGG_WNT_SIGNALING_PATHWAY 3.09e-03 11.11 2.19 1.92e-01 5.76e-01
3DKK2, FZD1, SFRP2
151
KEGG_SULFUR_METABOLISM 2.49e-02 43.73 1.00 1.00e+00 1.00e+00
1SULT1E1
13
KEGG_TYPE_I_DIABETES_MELLITUS 7.99e-02 12.51 0.30 1.00e+00 1.00e+00
1CPE
43
KEGG_STEROID_HORMONE_BIOSYNTHESIS 1.01e-01 9.73 0.24 1.00e+00 1.00e+00
1SULT1E1
55
KEGG_BASAL_CELL_CARCINOMA 1.01e-01 9.73 0.24 1.00e+00 1.00e+00
1FZD1
55
KEGG_TGF_BETA_SIGNALING_PATHWAY 1.53e-01 6.18 0.15 1.00e+00 1.00e+00
1DCN
86
KEGG_MELANOGENESIS 1.78e-01 5.26 0.13 1.00e+00 1.00e+00
1FZD1
101
KEGG_AXON_GUIDANCE 2.21e-01 4.11 0.10 1.00e+00 1.00e+00
1SEMA3C
129
KEGG_CELL_ADHESION_MOLECULES_CAMS 2.27e-01 3.98 0.10 1.00e+00 1.00e+00
1ALCAM
133
KEGG_PURINE_METABOLISM 2.65e-01 3.33 0.08 1.00e+00 1.00e+00
1PDE5A
159
KEGG_ALZHEIMERS_DISEASE 2.74e-01 3.19 0.08 1.00e+00 1.00e+00
1LRP1
166
KEGG_PATHWAYS_IN_CANCER 4.65e-01 1.62 0.04 1.00e+00 1.00e+00
1FZD1
325
KEGG_N_GLYCAN_BIOSYNTHESIS 1.00e+00 0.00 0.00 1.00e+00 1.00e+00
0
46
KEGG_OTHER_GLYCAN_DEGRADATION 1.00e+00 0.00 0.00 1.00e+00 1.00e+00
0
16
KEGG_O_GLYCAN_BIOSYNTHESIS 1.00e+00 0.00 0.00 1.00e+00 1.00e+00
0
30
KEGG_GLYCOSAMINOGLYCAN_DEGRADATION 1.00e+00 0.00 0.00 1.00e+00 1.00e+00
0
21
KEGG_GLYCOSAMINOGLYCAN_BIOSYNTHESIS_KERATAN_SULFATE 1.00e+00 0.00 0.00 1.00e+00 1.00e+00
0
15
KEGG_GLYCEROLIPID_METABOLISM 1.00e+00 0.00 0.00 1.00e+00 1.00e+00
0
49

Dowload full table

CHR Positional Gene Sets:

P-value OR Lower 95% CI FDR FWER Genes Found Gene Set Size
chr7q21 3.90e-03 10.21 2.01 1.00e+00 1.00e+00
3COL1A2, SEMA3C, FZD1
164
chr6q14 1.40e-02 11.79 1.37 1.00e+00 1.00e+00
2COL12A1, PRSS35
93
chr2q32 1.85e-02 10.12 1.18 1.00e+00 1.00e+00
2COL3A1, COL5A2
108
chr5q23 1.95e-02 9.84 1.14 1.00e+00 1.00e+00
2FBN2, LOX
111
chr12q21 2.54e-02 8.52 0.99 1.00e+00 1.00e+00
2DCN, LUM
128
chr3q13 5.03e-02 5.80 0.68 1.00e+00 1.00e+00
2FSTL1, ALCAM
187
chr21q22 1.46e-01 3.06 0.36 1.00e+00 1.00e+00
2COL6A1, COL6A2
353
chr12q13 1.82e-01 2.65 0.31 1.00e+00 1.00e+00
2IGFBP6, LRP1
407
chr8p22 8.35e-02 11.94 0.29 1.00e+00 1.00e+00
1PDGFRL
45
chr4q26 9.76e-02 10.11 0.25 1.00e+00 1.00e+00
1PDE5A
53
chr13q22 1.11e-01 8.76 0.21 1.00e+00 1.00e+00
1KLF5
61
chr16q21 1.33e-01 7.20 0.18 1.00e+00 1.00e+00
1CDH11
74
chr13q13 1.40e-01 6.83 0.17 1.00e+00 1.00e+00
1POSTN
78
chr4q25 1.55e-01 6.11 0.15 1.00e+00 1.00e+00
1DKK2
87
chr7q32 1.60e-01 5.91 0.14 1.00e+00 1.00e+00
1MEST
90
chr4q32 1.96e-01 4.69 0.12 1.00e+00 1.00e+00
1CPE
113
chr15q24 2.01e-01 4.57 0.11 1.00e+00 1.00e+00
1ISLR
116
chr6q22 2.06e-01 4.46 0.11 1.00e+00 1.00e+00
1RSPO3
119
chr1q24 2.12e-01 4.31 0.11 1.00e+00 1.00e+00
1PRRX1
123
chr1p35 2.22e-01 4.08 0.10 1.00e+00 1.00e+00
1COL16A1
130

Dowload full table

Transcription Factor Targets:

P-value OR Lower 95% CI FDR FWER Genes Found Gene Set Size
RTTTNNNYTGGM_UNKNOWN 2.27e-04 14.83 3.83 7.27e-02 2.57e-01
4PRSS35, KLF5, LRP1, PDGFRL
155
GTGGGTGK_UNKNOWN 2.57e-04 9.80 3.01 7.27e-02 2.91e-01
5DCN, FSTL1, IGFBP6, PRRX1, LRP1
297
RP58_01 7.35e-04 10.76 2.79 1.61e-01 8.33e-01
4COL3A1, PCOLCE, KLF5, COL16A1
212
AACTTT_UNKNOWN 5.08e-06 5.24 2.60 2.97e-03 5.75e-03
14COL1A2, DCN, POSTN, COL3A1, PRRX1, CBLN4, PRSS35, LOX, LUM, OLFML3, CDH11, LRP1, GPC3, ALCAM
1928
TGGAAA_NFAT_Q4_01 5.25e-06 5.22 2.60 2.97e-03 5.95e-03
14COL1A2, DCN, COL12A1, FSTL1, PRRX1, PAMR1, DKK2, LOX, KLF5, OLFML3, LGALS1, CPE, FMOD, COL16A1
1934
SMAD3_Q6 1.20e-03 9.41 2.44 1.61e-01 1.00e+00
4FZD1, LOX, GPC3, CRABP2
242
GATA3_01 1.25e-03 9.29 2.41 1.61e-01 1.00e+00
4PRRX1, FZD1, KLF5, LRP1
245
TATA_01 1.47e-03 8.89 2.31 1.61e-01 1.00e+00
4COL1A1, CBLN4, DKK2, CRABP2
256
CP2_01 1.55e-03 8.75 2.27 1.61e-01 1.00e+00
4COL1A2, COL1A1, IGFBP6, GPC3
260
DR4_Q2 1.69e-03 8.55 2.22 1.61e-01 1.00e+00
4COL1A2, OGN, PDGFRL, CRABP2
266
NKX25_02 1.71e-03 8.52 2.21 1.61e-01 1.00e+00
4COL12A1, PRRX1, CBLN4, LRP1
267
GR_Q6 1.90e-03 8.27 2.15 1.66e-01 1.00e+00
4PRRX1, CBLN4, LOX, KLF5
275
TATA_C 2.16e-03 7.97 2.07 1.75e-01 1.00e+00
4COL1A1, DKK2, LOX, CRABP2
285
TTANWNANTGGM_UNKNOWN 7.04e-03 17.02 1.96 2.80e-01 1.00e+00
2COL12A1, OLFML3
65
HTF_01 8.35e-03 15.55 1.80 2.80e-01 1.00e+00
2COL1A2, PRRX1
71
TGANTCA_AP1_C 1.10e-03 4.34 1.76 1.61e-01 1.00e+00
8COL1A1, COL5A2, IGFBP6, KLF5, LGALS1, LRP1, COL16A1, GPC3
1139
TGCCAAR_NF1_Q6 2.36e-03 4.87 1.69 1.78e-01 1.00e+00
6OGN, POSTN, IGFBP6, PRSS35, FMOD, SFRP2
727
AAANWWTGC_UNKNOWN 6.28e-03 8.56 1.69 2.80e-01 1.00e+00
3LOX, GPC3, SFRP2
195
GR_01 7.01e-03 8.22 1.62 2.80e-01 1.00e+00
3PRRX1, LOX, KLF5
203
WGTTNNNNNAAA_UNKNOWN 3.91e-03 5.21 1.61 2.61e-01 1.00e+00
5OGN, DCN, COL12A1, IGFBP6, KLF5
554

Dowload full table

GO Biological Processes:

P-value OR Lower 95% CI FDR FWER Genes Found Gene Set Size
GOBP_COLLAGEN_FIBRIL_ORGANIZATION 3.89e-20 168.28 72.87 1.45e-16 2.91e-16
11COL1A2, COL1A1, COL12A1, COL3A1, COL5A1, COL5A2, COL14A1, LOX, LUM, FMOD, SFRP2
54
GOBP_KERATAN_SULFATE_CATABOLIC_PROCESS 1.48e-06 181.43 30.74 3.58e-04 1.11e-02
3OGN, LUM, FMOD
12
GOBP_REGULATION_OF_ENDODERMAL_CELL_DIFFERENTIATION 3.66e-05 352.61 29.06 4.03e-03 2.74e-01
2COL5A1, COL5A2
5
GOBP_EXTERNAL_ENCAPSULATING_STRUCTURE_ORGANIZATION 1.54e-25 49.79 26.70 1.16e-21 1.16e-21
21COL1A2, DCN, COL1A1, COL12A1, FBN1, POSTN, COL3A1, FBN2, COL5A1, COL5A2, COL14A1, MFAP5, LOX, LUM, ELN, FMOD, COL6A1, LRP1, COL6A2, COL16A1, SFRP2
396
GOBP_PLATELET_DERIVED_GROWTH_FACTOR_RECEPTOR_BETA_SIGNALING_PATHWAY 2.45e-06 148.35 25.86 5.19e-04 1.83e-02
3LOX, LRP1, PDGFRL
14
GOBP_REGULATION_OF_WNT_SIGNALING_PATHWAY_PLANAR_CELL_POLARITY_PATHWAY 3.06e-06 136.50 23.94 5.86e-04 2.29e-02
3RSPO3, GPC3, SFRP2
15
GOBP_MAINTENANCE_OF_PROTEIN_LOCATION_IN_EXTRACELLULAR_REGION 7.67e-05 213.09 19.86 7.26e-03 5.74e-01
2FBN1, FBN2
7
GOBP_REGULATION_OF_PLATELET_DERIVED_GROWTH_FACTOR_RECEPTOR_BETA_SIGNALING_PATHWAY 1.02e-04 177.85 17.16 9.10e-03 7.64e-01
2LOX, LRP1
8
GOBP_BONE_TRABECULA_FORMATION 1.31e-04 152.29 15.11 1.12e-02 9.81e-01
2COL1A1, FBN2
9
GOBP_POSITIVE_REGULATION_OF_WNT_SIGNALING_PATHWAY_PLANAR_CELL_POLARITY_PATHWAY 1.31e-04 152.29 15.11 1.12e-02 9.81e-01
2RSPO3, GPC3
9
GOBP_ENDODERMAL_CELL_DIFFERENTIATION 1.59e-06 55.93 13.97 3.71e-04 1.19e-02
4COL12A1, COL5A1, COL5A2, COL6A1
44
GOBP_REGULATION_OF_NON_CANONICAL_WNT_SIGNALING_PATHWAY 1.52e-05 74.54 13.82 2.07e-03 1.14e-01
3RSPO3, GPC3, SFRP2
25
GOBP_AMINOGLYCAN_CATABOLIC_PROCESS 2.08e-07 45.36 13.61 7.30e-05 1.56e-03
5OGN, DCN, LUM, FMOD, GPC3
68
GOBP_SEQUESTERING_OF_EXTRACELLULAR_LIGAND_FROM_RECEPTOR 1.64e-04 133.66 13.49 1.30e-02 1.00e+00
2FBN1, FBN2
10
GOBP_POSITIVE_REGULATION_OF_COLLATERAL_SPROUTING 1.64e-04 133.66 13.49 1.30e-02 1.00e+00
2LRP1, CRABP2
10
GOBP_POSITIVE_REGULATION_OF_CHEMOKINE_C_X_C_MOTIF_LIGAND_2_PRODUCTION 1.64e-04 133.66 13.49 1.30e-02 1.00e+00
2POSTN, LRP1
10
GOBP_CELLULAR_RESPONSE_TO_ACID_CHEMICAL 2.24e-07 44.66 13.40 7.30e-05 1.68e-03
5COL1A2, COL1A1, COL5A2, COL6A1, COL16A1
69
GOBP_KERATAN_SULFATE_BIOSYNTHETIC_PROCESS 2.16e-05 65.64 12.27 2.74e-03 1.61e-01
3OGN, LUM, FMOD
28
GOBP_SKIN_MORPHOGENESIS 2.00e-04 118.87 12.19 1.54e-02 1.00e+00
2COL1A2, COL1A1
11
GOBP_ENDODERM_FORMATION 3.37e-06 45.63 11.50 5.87e-04 2.52e-02
4COL12A1, COL5A1, COL5A2, COL6A1
53

Dowload full table

Immunological Gene Sets:

P-value OR Lower 95% CI FDR FWER Genes Found Gene Set Size
GSE24671_CTRL_VS_BAKIMULC_INFECTED_MOUSE_SPLENOCYTES_DN 3.58e-08 25.70 9.62 1.74e-04 1.74e-04
7DCN, COL1A1, PLAC9, FSTL1, COL5A2, IGFBP6, GPC3
170
GSE8835_HEALTHY_VS_CLL_CD8_TCELL_DN 1.08e-07 21.73 8.14 1.75e-04 5.26e-04
7COL1A2, DCN, COL1A1, COL3A1, COL5A1, DKK2, LUM
200
GSE37301_RAG2_KO_VS_RAG2_AND_ETS1_KO_NK_CELL_UP 1.08e-07 21.73 8.14 1.75e-04 5.26e-04
7COL1A1, FBN1, COL14A1, COL6A1, COL6A2, GPC3, CRABP2
200
GSE1460_CD4_THYMOCYTE_VS_THYMIC_STROMAL_CELL_DN 2.23e-06 18.19 6.26 1.40e-03 1.09e-02
6COL1A1, MFAP5, OLFML3, COL6A2, PDGFRL, MEST
199
GSE5589_WT_VS_IL6_KO_LPS_AND_IL6_STIM_MACROPHAGE_45MIN_DN 2.23e-06 18.19 6.26 1.40e-03 1.09e-02
6DCN, PCOLCE, IGFBP6, LOX, OLFML3, CPE
199
GSE4748_CTRL_VS_LPS_STIM_DC_3H_UP 2.30e-06 18.10 6.23 1.40e-03 1.12e-02
6FBN1, POSTN, COL3A1, FSTL1, COL5A2, CDH11
200
GSE19888_ADENOSINE_A3R_ACT_VS_TCELL_MEMBRANES_ACT_IN_MAST_CELL_UP 2.30e-06 18.10 6.23 1.40e-03 1.12e-02
6DCN, COL3A1, PCOLCE, COL5A2, LUM, COL6A1
200
GSE43955_1H_VS_20H_ACT_CD4_TCELL_WITH_TGFB_IL6_DN 2.30e-06 18.10 6.23 1.40e-03 1.12e-02
6COL1A2, DCN, FBN1, PLAC9, COL5A2, SEMA3C
200
GSE40685_NAIVE_CD4_TCELL_VS_FOXP3_KO_TREG_PRECURSOR_DN 3.63e-05 15.06 4.61 1.33e-02 1.77e-01
5LGALS1, COL6A1, LRP1, COL6A2, GPC3
195
GSE21546_WT_VS_SAP1A_KO_AND_ELK1_KO_ANTI_CD3_STIM_DP_THYMOCYTES_UP 3.99e-05 14.75 4.52 1.33e-02 1.95e-01
5COL1A1, FSTL1, IGFBP6, DKK2, OLFML3
199
GSE43955_10H_VS_30H_ACT_CD4_TCELL_WITH_TGFB_IL6_DN 3.99e-05 14.75 4.52 1.33e-02 1.95e-01
5COL1A1, ISLR, KLF5, COL6A1, ALCAM
199
GSE27434_WT_VS_DNMT1_KO_TREG_DN 4.09e-05 14.68 4.50 1.33e-02 1.99e-01
5COL1A2, COL5A2, CPE, COL6A1, CRABP2
200
GSE43955_1H_VS_10H_ACT_CD4_TCELL_WITH_TGFB_IL6_DN 4.09e-05 14.68 4.50 1.33e-02 1.99e-01
5COL1A2, DCN, PLAC9, COL5A2, CRABP2
200
GSE43955_1H_VS_60H_ACT_CD4_TCELL_WITH_TGFB_IL6_DN 4.09e-05 14.68 4.50 1.33e-02 1.99e-01
5COL1A1, POSTN, DKK2, KLF5, TWIST2
200
GSE18804_SPLEEN_MACROPHAGE_VS_COLON_TUMORAL_MACROPHAGE_UP 4.09e-05 14.68 4.50 1.33e-02 1.99e-01
5COL1A1, COL5A1, ELN, OLFML3, COL6A1
200
GSE9601_UNTREATED_VS_NFKB_INHIBITOR_TREATED_HCMV_INF_MONOCYTE_UP 2.88e-04 13.91 3.59 7.80e-02 1.00e+00
4COL12A1, ISLR, PDE5A, LGALS1
165
GSE37605_FOXP3_FUSION_GFP_VS_IRES_GFP_TREG_C57BL6_DN 3.67e-04 13.02 3.37 7.80e-02 1.00e+00
4OGN, IGFBP6, PDE5A, LOX
176
GSE6259_CD4_TCELL_VS_CD8_TCELL_UP 4.61e-04 12.24 3.17 7.80e-02 1.00e+00
4OGN, FSTL1, PCOLCE, IGFBP6
187
GSE41176_UNSTIM_VS_ANTI_IGM_STIM_BCELL_24H_UP 5.71e-04 11.54 2.99 7.80e-02 1.00e+00
4COL1A2, COL5A1, MFAP5, CPE
198
GSE8921_UNSTIM_0H_VS_TLR1_2_STIM_MONOCYTE_24H_UP 5.81e-04 11.49 2.97 7.80e-02 1.00e+00
4COL1A1, FSTL1, COL14A1, DKK2
199

Dowload full table

Top Ranked Transcription Factors for this Gene Expression Program:

Gene Symbol TF Rank DNA Binding Domain Motif Status IUPAC PWM GTEx DepMap Decartes
FBN1 8 No Unlikely to be sequence specific TF Not a DNA binding protein No motif None None
PRRX1 22 Yes Known motif Monomer or homomultimer High-throughput in vitro None None
FZD1 28 No Unlikely to be sequence specific TF Not a DNA binding protein No motif None None
KLF5 33 Yes Known motif Monomer or homomultimer High-throughput in vitro None Binds as a monomer and as a dimer (PMID: 25575120).
TWIST2 45 Yes Known motif Monomer or homomultimer 100 perc ID - in vitro None None
NR2F1 57 Yes Known motif Monomer or homomultimer High-throughput in vitro None None
NFIA 66 Yes Known motif Monomer or homomultimer High-throughput in vitro None None
BNC2 75 Yes Inferred motif Monomer or homomultimer In vivo/Misc source Has a putative AT-hook None
CREB3L1 82 Yes Known motif Monomer or homomultimer High-throughput in vitro None None
FOXD1 87 Yes Known motif Monomer or homomultimer 100 perc ID - in vitro None None
TSHZ2 92 Yes Likely to be sequence specific TF Monomer or homomultimer No motif None Also contains an atypical homodomain (Uniprot) not identified by Pfam.
DDR2 105 No Unlikely to be sequence specific TF Not a DNA binding protein No motif None None
OSR1 113 Yes Known motif Monomer or homomultimer High-throughput in vitro None None
NR2F2 128 Yes Known motif Monomer or homomultimer 100 perc ID - in vitro None None
FZD2 136 No Unlikely to be sequence specific TF Not a DNA binding protein No motif None Transmembrane receptor protein that operates far upstream in the signalling cascade
NFIB 147 Yes Known motif Monomer or homomultimer High-throughput in vitro None None
ZFPM2 149 Yes Likely to be sequence specific TF Monomer or homomultimer No motif None FOG-proteins use some of their zinc-fingers to interact with the GATA proteins. Other C2H2 ZFs are probably also capable of binding DNA (PMID: 10329627).
MEIS1 153 Yes Known motif Monomer or homomultimer High-throughput in vitro None None
RUNX1T1 162 No Unlikely to be sequence specific TF Not a DNA binding protein No motif None None
EBF2 163 Yes Known motif Monomer or homomultimer In vivo/Misc source Only known motifs are from Transfac or HocoMoco - origin is uncertain EBF1 has a nice HT-SELEX model and based on this paper (PMID:23499423). EBF2 binds similar motif to control brown/beige fat cell identity.



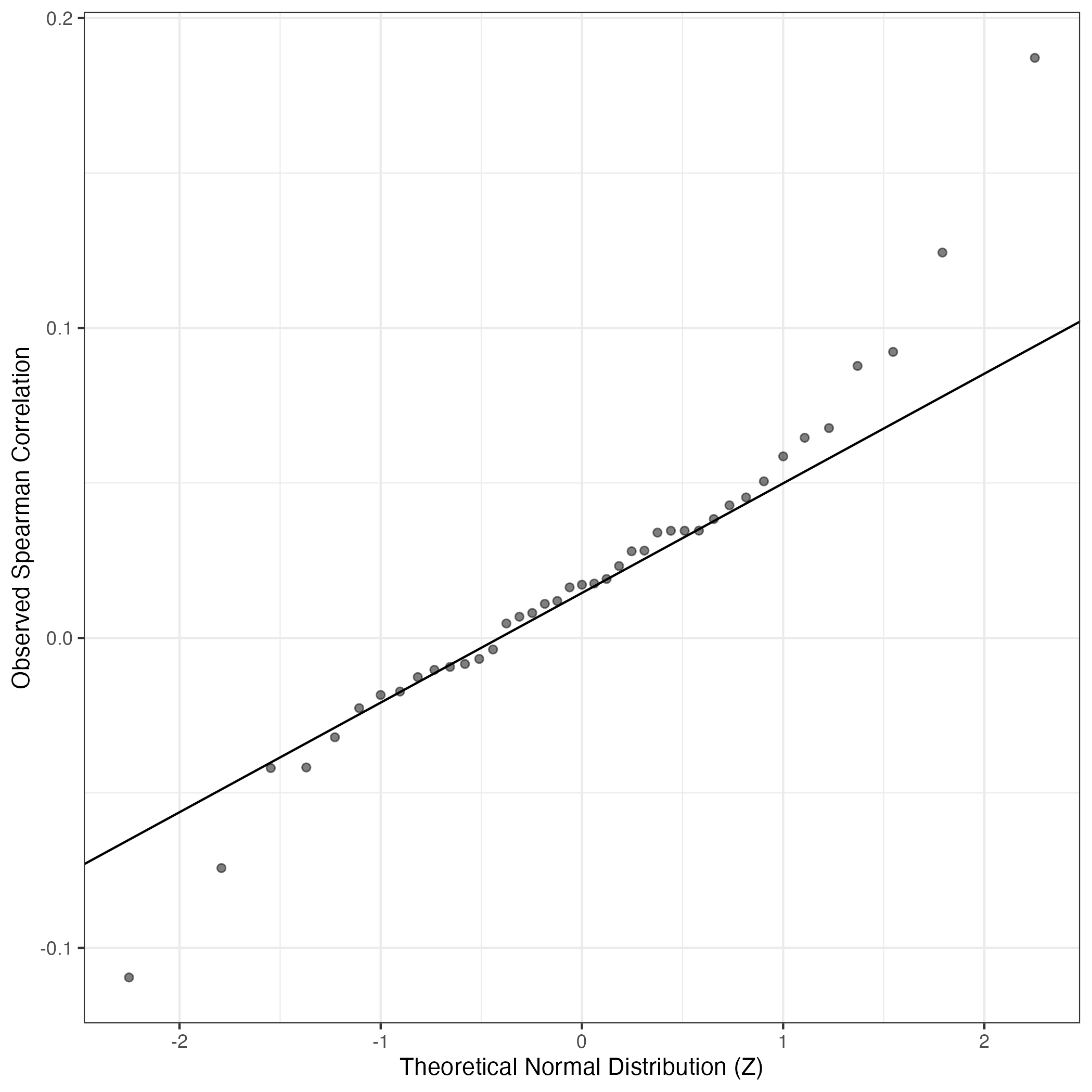
QQ Plot showing correlations with other GEPs in this dataset, calculated by Spearman correlation:

Interactive QQ-plot of gene loadings:

Interactive QQ Plot


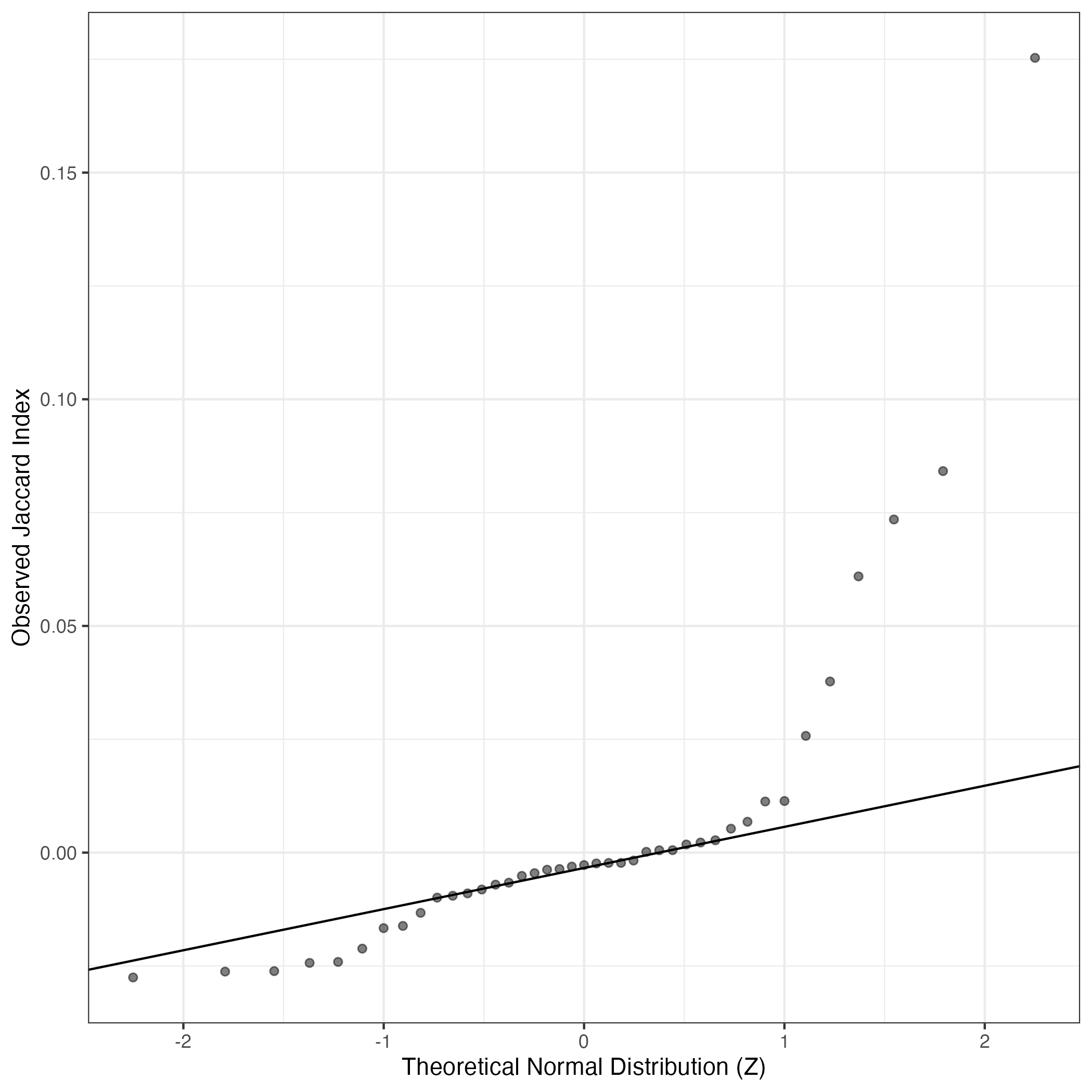
A similar QQ-plot as above, but only for instances where the H value is e.g. > 25, i.e. we are confident that the expression program is active above noise. Agreemenet between these binary vectors is tested using the Jaccard Index, with the P-values calculated by an exact test:

Interactive QQ-plot:

Interactive QQ Plot


Singler cell type annotations for the top 50 cells on this program.

Cell ID Singler label Singler Delta Activity Score Top Singler Raw Scores
R53b_w11.5_CTGTAGATCGTAATGC-1 Smooth_muscle_cells:bronchial 0.25 985.57
Raw ScoresSmooth_muscle_cells:bronchial: 0.54, Smooth_muscle_cells:bronchial:vit_D: 0.53, Fibroblasts:breast: 0.53, iPS_cells:CRL2097_foreskin: 0.53, iPS_cells:adipose_stem_cells: 0.53, Chondrocytes:MSC-derived: 0.51, Smooth_muscle_cells:vascular: 0.51, Osteoblasts: 0.51, MSC: 0.51, iPS_cells:foreskin_fibrobasts: 0.5
R53b_w11.5_CTTCTAATCTCCTGTG-1 Smooth_muscle_cells:bronchial 0.27 823.69
Raw ScoresSmooth_muscle_cells:bronchial: 0.51, iPS_cells:CRL2097_foreskin: 0.5, Smooth_muscle_cells:bronchial:vit_D: 0.5, Fibroblasts:breast: 0.5, iPS_cells:adipose_stem_cells: 0.49, Chondrocytes:MSC-derived: 0.49, Osteoblasts: 0.48, MSC: 0.48, Smooth_muscle_cells:vascular: 0.47, iPS_cells:skin_fibroblast: 0.47
R48c_w8.5_TGTGCGGAGCAATAAC-1 Smooth_muscle_cells:bronchial:vit_D 0.27 758.25
Raw ScoresSmooth_muscle_cells:bronchial: 0.5, Smooth_muscle_cells:bronchial:vit_D: 0.5, iPS_cells:CRL2097_foreskin: 0.48, Fibroblasts:breast: 0.48, MSC: 0.47, iPS_cells:adipose_stem_cells: 0.46, Smooth_muscle_cells:vascular: 0.46, Chondrocytes:MSC-derived: 0.46, iPS_cells:skin_fibroblast: 0.46, iPS_cells:foreskin_fibrobasts: 0.45
R53b_w11.5_CTCAAGACAATCACGT-1 Smooth_muscle_cells:bronchial 0.25 731.84
Raw ScoresSmooth_muscle_cells:bronchial: 0.51, Fibroblasts:breast: 0.51, iPS_cells:CRL2097_foreskin: 0.51, Smooth_muscle_cells:bronchial:vit_D: 0.51, iPS_cells:adipose_stem_cells: 0.5, MSC: 0.5, Smooth_muscle_cells:vascular: 0.49, Osteoblasts: 0.49, Chondrocytes:MSC-derived: 0.49, iPS_cells:foreskin_fibrobasts: 0.49
R53b_w11.5_GCCGATGGTGTAAATG-1 Fibroblasts:breast 0.27 712.26
Raw ScoresFibroblasts:breast: 0.54, iPS_cells:CRL2097_foreskin: 0.54, Smooth_muscle_cells:bronchial: 0.54, iPS_cells:adipose_stem_cells: 0.53, Smooth_muscle_cells:bronchial:vit_D: 0.53, MSC: 0.52, Osteoblasts: 0.52, Smooth_muscle_cells:vascular: 0.52, Chondrocytes:MSC-derived: 0.52, iPS_cells:foreskin_fibrobasts: 0.51
R53b_w11.5_AGACAAATCAAATGAG-1 iPS_cells:CRL2097_foreskin 0.23 647.68
Raw ScoresiPS_cells:CRL2097_foreskin: 0.5, MSC: 0.5, Fibroblasts:breast: 0.5, Fibroblasts:foreskin: 0.49, iPS_cells:foreskin_fibrobasts: 0.49, iPS_cells:skin_fibroblast: 0.49, iPS_cells:PDB_fibroblasts: 0.48, iPS_cells:fibroblasts: 0.48, iPS_cells:adipose_stem_cells: 0.48, Smooth_muscle_cells:bronchial: 0.48
R53c_w9.5_ACGTCCTTCCACTTCG-1 Smooth_muscle_cells:bronchial 0.22 619.66
Raw ScoresSmooth_muscle_cells:bronchial: 0.44, Smooth_muscle_cells:bronchial:vit_D: 0.44, iPS_cells:CRL2097_foreskin: 0.43, Fibroblasts:breast: 0.43, MSC: 0.42, Smooth_muscle_cells:vascular: 0.42, iPS_cells:adipose_stem_cells: 0.42, Osteoblasts: 0.41, Chondrocytes:MSC-derived: 0.41, Smooth_muscle_cells:vascular:IL-17: 0.41
R53a_w9.5_GATCACAAGTCTGGAG-1 Smooth_muscle_cells:bronchial 0.21 611.09
Raw ScoresSmooth_muscle_cells:bronchial: 0.5, Smooth_muscle_cells:bronchial:vit_D: 0.49, Fibroblasts:breast: 0.49, iPS_cells:CRL2097_foreskin: 0.48, iPS_cells:adipose_stem_cells: 0.48, Smooth_muscle_cells:vascular: 0.48, MSC: 0.47, Chondrocytes:MSC-derived: 0.47, Smooth_muscle_cells:vascular:IL-17: 0.47, Osteoblasts: 0.47
R53b_w11.5_GTACAACGTGGATGAC-1 MSC 0.25 594.78
Raw ScoresMSC: 0.5, iPS_cells:CRL2097_foreskin: 0.48, Fibroblasts:foreskin: 0.48, iPS_cells:skin_fibroblast: 0.47, Fibroblasts:breast: 0.47, iPS_cells:foreskin_fibrobasts: 0.47, iPS_cells:PDB_fibroblasts: 0.46, iPS_cells:fibroblasts: 0.46, Tissue_stem_cells:adipose-derived_MSC_AM3: 0.46, Tissue_stem_cells:lipoma-derived_MSC: 0.46
R53b_w11.5_AACGAAAGTGATACCT-1 Smooth_muscle_cells:bronchial 0.24 589.99
Raw ScoresSmooth_muscle_cells:bronchial: 0.49, iPS_cells:CRL2097_foreskin: 0.48, Smooth_muscle_cells:bronchial:vit_D: 0.48, Fibroblasts:breast: 0.48, iPS_cells:adipose_stem_cells: 0.47, Chondrocytes:MSC-derived: 0.47, Osteoblasts: 0.47, MSC: 0.47, Tissue_stem_cells:BM_MSC:TGFb3: 0.46, Smooth_muscle_cells:vascular: 0.46
R48c_w8.5_CATACAGTCACTTTGT-1 Smooth_muscle_cells:bronchial 0.24 576.84
Raw ScoresSmooth_muscle_cells:bronchial: 0.45, Smooth_muscle_cells:bronchial:vit_D: 0.45, iPS_cells:CRL2097_foreskin: 0.44, Fibroblasts:breast: 0.44, MSC: 0.43, Chondrocytes:MSC-derived: 0.42, iPS_cells:adipose_stem_cells: 0.42, Tissue_stem_cells:BM_MSC:TGFb3: 0.42, Smooth_muscle_cells:vascular: 0.42, Osteoblasts: 0.42
R48c_w8.5_AGAACAAAGGATGCGT-1 Smooth_muscle_cells:bronchial:vit_D 0.23 569.65
Raw ScoresSmooth_muscle_cells:bronchial: 0.43, Smooth_muscle_cells:bronchial:vit_D: 0.43, iPS_cells:CRL2097_foreskin: 0.43, Fibroblasts:breast: 0.43, Chondrocytes:MSC-derived: 0.41, iPS_cells:adipose_stem_cells: 0.41, MSC: 0.41, Osteoblasts: 0.41, Smooth_muscle_cells:vascular: 0.4, iPS_cells:skin_fibroblast: 0.4
R48c_w8.5_GCTACCTGTCAGTCTA-1 Smooth_muscle_cells:bronchial 0.26 568.75
Raw ScoresSmooth_muscle_cells:bronchial: 0.43, Smooth_muscle_cells:bronchial:vit_D: 0.42, iPS_cells:CRL2097_foreskin: 0.42, Fibroblasts:breast: 0.41, Chondrocytes:MSC-derived: 0.4, Osteoblasts: 0.4, iPS_cells:skin_fibroblast: 0.39, MSC: 0.39, iPS_cells:adipose_stem_cells: 0.39, Smooth_muscle_cells:vascular: 0.39
R48a_w14.5_TATATCCCACGAGGTA-1 Smooth_muscle_cells:bronchial 0.22 545.22
Raw ScoresSmooth_muscle_cells:bronchial: 0.5, Fibroblasts:breast: 0.5, Smooth_muscle_cells:bronchial:vit_D: 0.49, iPS_cells:CRL2097_foreskin: 0.49, iPS_cells:adipose_stem_cells: 0.49, Smooth_muscle_cells:vascular: 0.48, MSC: 0.48, Chondrocytes:MSC-derived: 0.47, iPS_cells:foreskin_fibrobasts: 0.47, iPS_cells:skin_fibroblast: 0.47
R53b_w11.5_CTTCCTTTCTAACGCA-1 Smooth_muscle_cells:bronchial 0.22 520.10
Raw ScoresSmooth_muscle_cells:bronchial: 0.47, Fibroblasts:breast: 0.46, Smooth_muscle_cells:bronchial:vit_D: 0.46, iPS_cells:CRL2097_foreskin: 0.46, iPS_cells:adipose_stem_cells: 0.46, Chondrocytes:MSC-derived: 0.46, MSC: 0.46, Osteoblasts: 0.45, Smooth_muscle_cells:vascular: 0.45, iPS_cells:foreskin_fibrobasts: 0.45
R53a_w9.5_GCGATCGCACTATCGA-1 Smooth_muscle_cells:bronchial 0.22 517.20
Raw ScoresSmooth_muscle_cells:bronchial: 0.47, Fibroblasts:breast: 0.46, Smooth_muscle_cells:bronchial:vit_D: 0.46, MSC: 0.46, iPS_cells:adipose_stem_cells: 0.45, iPS_cells:CRL2097_foreskin: 0.45, Smooth_muscle_cells:vascular: 0.45, Chondrocytes:MSC-derived: 0.45, Smooth_muscle_cells:vascular:IL-17: 0.45, iPS_cells:foreskin_fibrobasts: 0.44
R53b_w11.5_GGTTCTCGTAAGGTCG-1 Smooth_muscle_cells:bronchial 0.22 514.32
Raw ScoresSmooth_muscle_cells:bronchial: 0.49, Smooth_muscle_cells:bronchial:vit_D: 0.48, Fibroblasts:breast: 0.48, iPS_cells:CRL2097_foreskin: 0.47, iPS_cells:adipose_stem_cells: 0.47, Chondrocytes:MSC-derived: 0.47, MSC: 0.46, Osteoblasts: 0.46, iPS_cells:foreskin_fibrobasts: 0.46, Smooth_muscle_cells:vascular: 0.46
R53a_w9.5_CTCATCGAGCTGGCCT-1 Smooth_muscle_cells:bronchial 0.23 510.45
Raw ScoresSmooth_muscle_cells:bronchial: 0.51, Smooth_muscle_cells:bronchial:vit_D: 0.5, Fibroblasts:breast: 0.5, iPS_cells:CRL2097_foreskin: 0.5, iPS_cells:adipose_stem_cells: 0.5, Smooth_muscle_cells:vascular: 0.49, MSC: 0.49, Chondrocytes:MSC-derived: 0.48, Smooth_muscle_cells:vascular:IL-17: 0.48, Osteoblasts: 0.48
R48c_w8.5_TGGTACACAGCCATTA-1 Smooth_muscle_cells:bronchial:vit_D 0.26 508.18
Raw ScoresSmooth_muscle_cells:bronchial: 0.46, Smooth_muscle_cells:bronchial:vit_D: 0.46, iPS_cells:CRL2097_foreskin: 0.45, Fibroblasts:breast: 0.45, Chondrocytes:MSC-derived: 0.43, Osteoblasts: 0.43, iPS_cells:adipose_stem_cells: 0.43, MSC: 0.43, iPS_cells:skin_fibroblast: 0.42, Smooth_muscle_cells:vascular: 0.42
R53a_w9.5_CCCGGAACACACTGGC-1 Smooth_muscle_cells:bronchial 0.22 507.91
Raw ScoresSmooth_muscle_cells:bronchial: 0.48, Fibroblasts:breast: 0.47, Smooth_muscle_cells:bronchial:vit_D: 0.47, iPS_cells:CRL2097_foreskin: 0.47, iPS_cells:adipose_stem_cells: 0.46, Chondrocytes:MSC-derived: 0.46, Smooth_muscle_cells:vascular: 0.46, Osteoblasts: 0.45, MSC: 0.45, iPS_cells:skin_fibroblast: 0.45
R53b_w11.5_GCTTTCGGTGCCCACA-1 Smooth_muscle_cells:bronchial 0.22 507.05
Raw ScoresFibroblasts:breast: 0.44, Smooth_muscle_cells:bronchial: 0.43, iPS_cells:CRL2097_foreskin: 0.43, iPS_cells:adipose_stem_cells: 0.43, Chondrocytes:MSC-derived: 0.43, Smooth_muscle_cells:bronchial:vit_D: 0.43, Osteoblasts: 0.42, Smooth_muscle_cells:vascular: 0.42, MSC: 0.42, iPS_cells:foreskin_fibrobasts: 0.42
R30_w8.5_CAACCAAAGATGGCAC-1 Smooth_muscle_cells:bronchial 0.21 504.73
Raw ScoresSmooth_muscle_cells:bronchial: 0.49, Smooth_muscle_cells:bronchial:vit_D: 0.49, MSC: 0.49, iPS_cells:CRL2097_foreskin: 0.49, Fibroblasts:breast: 0.49, iPS_cells:adipose_stem_cells: 0.48, iPS_cells:skin_fibroblast: 0.48, iPS_cells:foreskin_fibrobasts: 0.47, Smooth_muscle_cells:vascular: 0.47, Chondrocytes:MSC-derived: 0.47
R53a_w9.5_AGACCCGCAGTCAACT-1 Smooth_muscle_cells:bronchial 0.22 502.27
Raw ScoresSmooth_muscle_cells:bronchial: 0.43, Smooth_muscle_cells:bronchial:vit_D: 0.42, iPS_cells:CRL2097_foreskin: 0.41, Fibroblasts:breast: 0.41, Chondrocytes:MSC-derived: 0.4, Osteoblasts: 0.4, MSC: 0.4, Smooth_muscle_cells:vascular: 0.4, Tissue_stem_cells:iliac_MSC: 0.39, iPS_cells:adipose_stem_cells: 0.39
R39_w9.5_CACACAACAATACAGA-1 Smooth_muscle_cells:bronchial 0.26 495.97
Raw ScoresiPS_cells:CRL2097_foreskin: 0.49, Smooth_muscle_cells:bronchial: 0.48, Smooth_muscle_cells:bronchial:vit_D: 0.48, Fibroblasts:breast: 0.48, MSC: 0.47, iPS_cells:adipose_stem_cells: 0.47, iPS_cells:skin_fibroblast: 0.46, iPS_cells:foreskin_fibrobasts: 0.46, Osteoblasts: 0.46, iPS_cells:PDB_fibroblasts: 0.46
R53b_w11.5_CGAGGCTTCCGTATAG-1 Smooth_muscle_cells:bronchial 0.26 477.53
Raw ScoresiPS_cells:CRL2097_foreskin: 0.49, Smooth_muscle_cells:bronchial: 0.48, Smooth_muscle_cells:bronchial:vit_D: 0.47, Fibroblasts:breast: 0.47, iPS_cells:adipose_stem_cells: 0.47, Chondrocytes:MSC-derived: 0.46, Smooth_muscle_cells:vascular: 0.46, MSC: 0.46, Osteoblasts: 0.46, iPS_cells:skin_fibroblast: 0.45
R39_w9.5_TGCGGGTAGTTTCAGC-1 MSC 0.22 476.50
Raw ScoresMSC: 0.48, iPS_cells:CRL2097_foreskin: 0.47, Neurons:Schwann_cell: 0.47, Smooth_muscle_cells:bronchial: 0.46, Fibroblasts:breast: 0.46, iPS_cells:foreskin_fibrobasts: 0.46, Neuroepithelial_cell:ESC-derived: 0.46, Fibroblasts:foreskin: 0.46, Smooth_muscle_cells:bronchial:vit_D: 0.46, iPS_cells:skin_fibroblast: 0.46
R53b_w11.5_AGGCCACGTCACTTCC-1 MSC 0.25 468.97
Raw ScoresMSC: 0.52, iPS_cells:CRL2097_foreskin: 0.5, Fibroblasts:foreskin: 0.5, Fibroblasts:breast: 0.5, iPS_cells:skin_fibroblast: 0.5, iPS_cells:foreskin_fibrobasts: 0.5, iPS_cells:PDB_fibroblasts: 0.49, iPS_cells:fibroblasts: 0.49, Tissue_stem_cells:lipoma-derived_MSC: 0.48, Tissue_stem_cells:adipose-derived_MSC_AM3: 0.48
R53b_w11.5_TCATTGTTCCGAGGCT-1 Smooth_muscle_cells:bronchial:vit_D 0.23 466.82
Raw ScoresSmooth_muscle_cells:bronchial: 0.46, Smooth_muscle_cells:bronchial:vit_D: 0.46, iPS_cells:CRL2097_foreskin: 0.46, Fibroblasts:breast: 0.45, iPS_cells:adipose_stem_cells: 0.44, MSC: 0.44, iPS_cells:skin_fibroblast: 0.44, Chondrocytes:MSC-derived: 0.43, Osteoblasts: 0.43, Smooth_muscle_cells:vascular: 0.43
R53a_w9.5_CTACAGAAGCACTTTG-1 Smooth_muscle_cells:bronchial 0.23 462.70
Raw ScoresiPS_cells:CRL2097_foreskin: 0.47, Fibroblasts:breast: 0.47, Smooth_muscle_cells:bronchial: 0.47, MSC: 0.47, Smooth_muscle_cells:bronchial:vit_D: 0.46, iPS_cells:adipose_stem_cells: 0.46, Smooth_muscle_cells:vascular: 0.45, Smooth_muscle_cells:vascular:IL-17: 0.45, Chondrocytes:MSC-derived: 0.45, iPS_cells:foreskin_fibrobasts: 0.45
R53b_w11.5_CTAGACACACCAATTG-1 Smooth_muscle_cells:bronchial 0.22 446.72
Raw ScoresiPS_cells:CRL2097_foreskin: 0.47, Smooth_muscle_cells:bronchial: 0.46, Fibroblasts:breast: 0.46, Smooth_muscle_cells:bronchial:vit_D: 0.46, iPS_cells:adipose_stem_cells: 0.45, Chondrocytes:MSC-derived: 0.45, MSC: 0.45, Smooth_muscle_cells:vascular: 0.45, iPS_cells:foreskin_fibrobasts: 0.44, Osteoblasts: 0.44
R53a_w9.5_AGGCTGCCACTACACA-1 Smooth_muscle_cells:bronchial 0.23 446.21
Raw ScoresSmooth_muscle_cells:bronchial: 0.46, Fibroblasts:breast: 0.45, Smooth_muscle_cells:bronchial:vit_D: 0.45, iPS_cells:CRL2097_foreskin: 0.45, Smooth_muscle_cells:vascular: 0.44, iPS_cells:adipose_stem_cells: 0.44, MSC: 0.44, Smooth_muscle_cells:vascular:IL-17: 0.44, Chondrocytes:MSC-derived: 0.44, iPS_cells:foreskin_fibrobasts: 0.43
R53b_w11.5_ATTCTTGCACCCAAGC-1 Smooth_muscle_cells:bronchial 0.21 443.48
Raw ScoresiPS_cells:CRL2097_foreskin: 0.44, Smooth_muscle_cells:bronchial: 0.44, Fibroblasts:breast: 0.43, Smooth_muscle_cells:bronchial:vit_D: 0.43, iPS_cells:adipose_stem_cells: 0.42, Smooth_muscle_cells:vascular: 0.42, Osteoblasts: 0.41, MSC: 0.41, Chondrocytes:MSC-derived: 0.41, iPS_cells:foreskin_fibrobasts: 0.41
R53b_w11.5_CTGCATCAGATTTGCC-1 Smooth_muscle_cells:bronchial:vit_D 0.25 440.51
Raw ScoresSmooth_muscle_cells:bronchial: 0.52, Smooth_muscle_cells:bronchial:vit_D: 0.52, iPS_cells:CRL2097_foreskin: 0.5, Fibroblasts:breast: 0.5, Chondrocytes:MSC-derived: 0.49, iPS_cells:adipose_stem_cells: 0.49, Smooth_muscle_cells:vascular: 0.49, MSC: 0.48, Osteoblasts: 0.48, Tissue_stem_cells:iliac_MSC: 0.48
R48c_w8.5_TTCGATTGTCAACCAT-1 Smooth_muscle_cells:bronchial:vit_D 0.23 439.19
Raw ScoresSmooth_muscle_cells:bronchial: 0.39, Smooth_muscle_cells:bronchial:vit_D: 0.39, iPS_cells:CRL2097_foreskin: 0.39, Fibroblasts:breast: 0.38, Osteoblasts: 0.37, Chondrocytes:MSC-derived: 0.37, iPS_cells:adipose_stem_cells: 0.37, MSC: 0.37, Smooth_muscle_cells:vascular: 0.37, iPS_cells:skin_fibroblast: 0.36
R53c_w9.5_ATACCTTCAAGGCCTC-1 Smooth_muscle_cells:bronchial 0.22 438.33
Raw ScoresSmooth_muscle_cells:bronchial: 0.46, Smooth_muscle_cells:bronchial:vit_D: 0.45, iPS_cells:CRL2097_foreskin: 0.44, Fibroblasts:breast: 0.43, Smooth_muscle_cells:vascular: 0.43, MSC: 0.43, Chondrocytes:MSC-derived: 0.43, iPS_cells:adipose_stem_cells: 0.43, Smooth_muscle_cells:vascular:IL-17: 0.42, Osteoblasts: 0.42
R48c_w8.5_TGGGAAGTCCATCTCG-1 Smooth_muscle_cells:bronchial 0.21 432.30
Raw ScoresiPS_cells:CRL2097_foreskin: 0.41, Smooth_muscle_cells:bronchial: 0.4, Smooth_muscle_cells:bronchial:vit_D: 0.4, Fibroblasts:breast: 0.4, Chondrocytes:MSC-derived: 0.39, MSC: 0.39, iPS_cells:adipose_stem_cells: 0.39, iPS_cells:skin_fibroblast: 0.39, Smooth_muscle_cells:vascular: 0.38, Osteoblasts: 0.38
R48b_w12_ACTTCCGCATCCAACA-1 Smooth_muscle_cells:bronchial 0.14 428.90
Raw ScoresSmooth_muscle_cells:bronchial: 0.43, Smooth_muscle_cells:bronchial:vit_D: 0.43, Fibroblasts:breast: 0.43, iPS_cells:adipose_stem_cells: 0.43, iPS_cells:CRL2097_foreskin: 0.42, Smooth_muscle_cells:vascular: 0.42, Tissue_stem_cells:BM_MSC:TGFb3: 0.42, Tissue_stem_cells:BM_MSC:BMP2: 0.42, Osteoblasts: 0.42, Chondrocytes:MSC-derived: 0.41
R53b_w11.5_GATTTCTAGAACTTCC-1 MSC 0.22 426.87
Raw ScoresMSC: 0.48, iPS_cells:CRL2097_foreskin: 0.47, Fibroblasts:breast: 0.47, Fibroblasts:foreskin: 0.46, iPS_cells:skin_fibroblast: 0.45, iPS_cells:foreskin_fibrobasts: 0.45, iPS_cells:PDB_fibroblasts: 0.45, iPS_cells:fibroblasts: 0.45, Neuroepithelial_cell:ESC-derived: 0.45, iPS_cells:CRL2097_foreskin-derived:d20_hepatic_diff: 0.44
R53b_w11.5_CTGGTCTGTTGCTTGA-1 Smooth_muscle_cells:bronchial:vit_D 0.26 425.70
Raw ScoresSmooth_muscle_cells:bronchial: 0.47, Smooth_muscle_cells:bronchial:vit_D: 0.46, Fibroblasts:breast: 0.46, iPS_cells:CRL2097_foreskin: 0.45, iPS_cells:adipose_stem_cells: 0.45, Chondrocytes:MSC-derived: 0.44, Osteoblasts: 0.44, Smooth_muscle_cells:vascular: 0.44, MSC: 0.43, Smooth_muscle_cells:vascular:IL-17: 0.43
R53c_w9.5_ATCTTCAGTCGCATGC-1 Smooth_muscle_cells:bronchial 0.23 423.68
Raw ScoresSmooth_muscle_cells:bronchial: 0.46, Smooth_muscle_cells:bronchial:vit_D: 0.45, iPS_cells:CRL2097_foreskin: 0.45, Fibroblasts:breast: 0.44, MSC: 0.43, iPS_cells:adipose_stem_cells: 0.43, Chondrocytes:MSC-derived: 0.43, Osteoblasts: 0.42, iPS_cells:foreskin_fibrobasts: 0.42, Tissue_stem_cells:iliac_MSC: 0.42
R53a_w9.5_TAAGCACCATACGCAT-1 Smooth_muscle_cells:bronchial 0.21 412.52
Raw ScoresSmooth_muscle_cells:bronchial: 0.46, Smooth_muscle_cells:bronchial:vit_D: 0.45, Fibroblasts:breast: 0.45, iPS_cells:CRL2097_foreskin: 0.45, MSC: 0.45, iPS_cells:adipose_stem_cells: 0.44, Osteoblasts: 0.44, Chondrocytes:MSC-derived: 0.44, Smooth_muscle_cells:vascular: 0.44, iPS_cells:foreskin_fibrobasts: 0.44
R48c_w8.5_TCCTCTTCAACTGCTA-1 iPS_cells:CRL2097_foreskin 0.21 412.44
Raw ScoresiPS_cells:CRL2097_foreskin: 0.42, Smooth_muscle_cells:bronchial: 0.41, Smooth_muscle_cells:bronchial:vit_D: 0.41, MSC: 0.4, iPS_cells:skin_fibroblast: 0.4, Fibroblasts:breast: 0.4, iPS_cells:foreskin_fibrobasts: 0.39, iPS_cells:adipose_stem_cells: 0.39, Neurons:ES_cell-derived_neural_precursor: 0.39, iPS_cells:PDB_fibroblasts: 0.38
R53a_w9.5_AAACGCTCAGTTCCAA-1 Chondrocytes:MSC-derived 0.19 410.28
Raw ScoresSmooth_muscle_cells:bronchial: 0.4, Smooth_muscle_cells:bronchial:vit_D: 0.39, iPS_cells:CRL2097_foreskin: 0.39, Fibroblasts:breast: 0.38, Chondrocytes:MSC-derived: 0.38, iPS_cells:adipose_stem_cells: 0.38, MSC: 0.37, Osteoblasts: 0.37, Smooth_muscle_cells:vascular: 0.37, Smooth_muscle_cells:vascular:IL-17: 0.36
R53a_w9.5_TATACCTAGCTCCACG-1 Smooth_muscle_cells:bronchial:vit_D 0.23 407.51
Raw ScoresSmooth_muscle_cells:bronchial: 0.44, Smooth_muscle_cells:bronchial:vit_D: 0.44, iPS_cells:CRL2097_foreskin: 0.43, Fibroblasts:breast: 0.43, iPS_cells:adipose_stem_cells: 0.42, MSC: 0.42, Chondrocytes:MSC-derived: 0.42, Smooth_muscle_cells:vascular: 0.41, Osteoblasts: 0.41, iPS_cells:foreskin_fibrobasts: 0.41
R53a_w9.5_ATGACCACATGGTACT-1 Smooth_muscle_cells:bronchial 0.21 406.23
Raw ScoresSmooth_muscle_cells:bronchial: 0.43, Smooth_muscle_cells:bronchial:vit_D: 0.42, iPS_cells:CRL2097_foreskin: 0.42, Fibroblasts:breast: 0.41, Chondrocytes:MSC-derived: 0.4, iPS_cells:adipose_stem_cells: 0.4, Smooth_muscle_cells:vascular: 0.4, MSC: 0.4, iPS_cells:foreskin_fibrobasts: 0.4, iPS_cells:skin_fibroblast: 0.39
R48c_w8.5_CGAATTGGTCCATACA-1 Smooth_muscle_cells:bronchial 0.26 401.76
Raw ScoresSmooth_muscle_cells:bronchial: 0.4, Smooth_muscle_cells:bronchial:vit_D: 0.39, Fibroblasts:breast: 0.39, iPS_cells:CRL2097_foreskin: 0.38, Osteoblasts: 0.38, Chondrocytes:MSC-derived: 0.38, iPS_cells:adipose_stem_cells: 0.37, MSC: 0.37, Tissue_stem_cells:iliac_MSC: 0.37, Smooth_muscle_cells:vascular: 0.37
R48c_w8.5_TTCTTCCCAGGTGACA-1 Smooth_muscle_cells:bronchial 0.23 400.01
Raw ScoresSmooth_muscle_cells:bronchial: 0.45, Smooth_muscle_cells:bronchial:vit_D: 0.45, Fibroblasts:breast: 0.45, iPS_cells:CRL2097_foreskin: 0.45, Smooth_muscle_cells:vascular: 0.43, iPS_cells:adipose_stem_cells: 0.43, Chondrocytes:MSC-derived: 0.43, Tissue_stem_cells:BM_MSC:TGFb3: 0.43, MSC: 0.43, Smooth_muscle_cells:vascular:IL-17: 0.43
R48b_w12_TGAGGGACATTCTTCA-1 MSC 0.22 398.71
Raw ScoresiPS_cells:CRL2097_foreskin: 0.48, MSC: 0.47, Fibroblasts:breast: 0.47, iPS_cells:foreskin_fibrobasts: 0.46, iPS_cells:skin_fibroblast: 0.46, Fibroblasts:foreskin: 0.46, iPS_cells:adipose_stem_cells: 0.45, iPS_cells:PDB_fibroblasts: 0.45, iPS_cells:fibroblasts: 0.45, Smooth_muscle_cells:bronchial: 0.45
R30_w8.5_CAGCACGAGGGACACT-1 Smooth_muscle_cells:bronchial 0.21 397.53
Raw ScoresSmooth_muscle_cells:bronchial: 0.49, Fibroblasts:breast: 0.48, iPS_cells:CRL2097_foreskin: 0.48, Smooth_muscle_cells:bronchial:vit_D: 0.48, MSC: 0.48, iPS_cells:adipose_stem_cells: 0.48, Chondrocytes:MSC-derived: 0.47, iPS_cells:foreskin_fibrobasts: 0.47, iPS_cells:skin_fibroblast: 0.46, Fibroblasts:foreskin: 0.46
R53b_w11.5_GTTCTATCACCGGCTA-1 MSC 0.19 396.08
Raw ScoresMSC: 0.46, Fibroblasts:breast: 0.45, iPS_cells:CRL2097_foreskin: 0.44, Fibroblasts:foreskin: 0.44, iPS_cells:skin_fibroblast: 0.43, iPS_cells:fibroblasts: 0.43, iPS_cells:foreskin_fibrobasts: 0.43, Smooth_muscle_cells:bronchial: 0.43, Neurons:Schwann_cell: 0.43, iPS_cells:PDB_fibroblasts: 0.43



Below shows the significant enrichments of this GEP for literature curated gene lists
  This data was procured from existing single cell RNA-seq maps of neuroblastoma or related relevant data.
  High ranks indicate this gene is a driver of this GEP.
  These curated gene list are ranked by the P-value (on this GEP) of their constituent genes.
  The Mean Count column shows the mean read count in cells scoring highly (H > 50) on this gene expression program.


Mesenchymal Fig 1D (Olsen)
Selected mesenchymal marker genes shown in Fig. 1D of Olsen et al. https://www.biorxiv.org/content/10.1101/2020.05.04.077057v1 - these are highly expressed in their mesenchymal cluster on their UMAP.:
Wilcoxon ranksum test P-value for gene set overrepresentation: 7.40e-08
Mean rank of genes in gene set: 2049
Rank on gene expression program of genes in gene set:
Genes Weight Rank GTEx DepMap Decartes Mean.Counts Mean.TPM
COL1A2 0.0114377 1 GTEx DepMap Descartes 51.31 2328.71
DCN 0.0109318 3 GTEx DepMap Descartes 18.56 682.87
COL1A1 0.0109079 4 GTEx DepMap Descartes 65.08 3095.37
COL3A1 0.0090975 11 GTEx DepMap Descartes 52.29 2583.52
PRRX1 0.0075945 22 GTEx DepMap Descartes 2.32 168.65
LUM 0.0069497 30 GTEx DepMap Descartes 3.19 312.53
COL6A2 0.0064566 41 GTEx DepMap Descartes 7.94 639.25
SPARC 0.0056785 59 GTEx DepMap Descartes 20.29 1472.52
CALD1 0.0054304 69 GTEx DepMap Descartes 13.68 715.71
PDGFRA 0.0048240 84 GTEx DepMap Descartes 3.31 147.80
LEPR 0.0036762 157 GTEx DepMap Descartes 0.66 20.44
MGP 0.0016736 521 GTEx DepMap Descartes 5.69 730.24
BGN -0.0008136 25635 GTEx DepMap Descartes 2.09 219.30


Stromal 2 (Hanemaaijer)
Marker genes obtained from Supplementary Table SD of Hanemaaijer et al (PMID 33500353). The authors generated single-cell RNA-seq data (sort-seq, 2,229 cells total) from mouse adrenal glads at E13.5, E14.5, E17.5, E18.5, P1 and P5. These were marker genes that matched with a similar dataset generated by Furlan et al (PMID 28684471). This particular set of markers are for Stroma subcluster:
Wilcoxon ranksum test P-value for gene set overrepresentation: 1.12e-06
Mean rank of genes in gene set: 2734.67
Rank on gene expression program of genes in gene set:

Genes Weight Rank GTEx DepMap Decartes Mean.Counts Mean.TPM
FBN1 0.0096730 8 GTEx DepMap Descartes 6.17 150.68
POSTN 0.0092151 10 GTEx DepMap Descartes 14.44 1172.99
FBN2 0.0088068 12 GTEx DepMap Descartes 4.51 111.74
FSTL1 0.0086488 13 GTEx DepMap Descartes 8.57 404.79
COL5A2 0.0081450 16 GTEx DepMap Descartes 6.28 259.91
COL14A1 0.0078256 18 GTEx DepMap Descartes 4.15 147.65
GAS1 0.0053695 70 GTEx DepMap Descartes 1.49 121.74
ITM2A 0.0051691 77 GTEx DepMap Descartes 2.61 391.47
SFRP1 0.0034488 183 GTEx DepMap Descartes 3.28 175.14
IGFBP5 0.0021561 370 GTEx DepMap Descartes 15.42 703.87
PENK 0.0001244 6843 GTEx DepMap Descartes 0.13 24.08
GSN -0.0005544 25196 GTEx DepMap Descartes 0.76 31.55


Subepicardial mesenchyme (Kameneva)
Marker gene were obtained from Fig. 1D of Kameneva et al (PMID 33833454). These genes were used by the authors to annotate each cell type in their human fetal adrenal scRNA-seq data obtained 6, 8, 9, 11, 12 and 14 weeks post conception.:
Wilcoxon ranksum test P-value for gene set overrepresentation: 2.64e-06
Mean rank of genes in gene set: 84.71
Rank on gene expression program of genes in gene set:

Genes Weight Rank GTEx DepMap Decartes Mean.Counts Mean.TPM
COL1A2 0.0114377 1 GTEx DepMap Descartes 51.31 2328.71
COL1A1 0.0109079 4 GTEx DepMap Descartes 65.08 3095.37
COL3A1 0.0090975 11 GTEx DepMap Descartes 52.29 2583.52
PRRX1 0.0075945 22 GTEx DepMap Descartes 2.32 168.65
TWIST2 0.0062827 45 GTEx DepMap Descartes 1.27 226.46
TWIST1 0.0027806 254 GTEx DepMap Descartes 1.44 197.32
TBX18 0.0027625 256 GTEx DepMap Descartes 0.41 18.68





Below shows ranks on this GEP for literature curated gene lists for large gene sets
  These include those reported as mesenchymal/adrenergic by Van Groningen et al.
  High ranks indicate this gene is a driver of this GEP (note these results are not ordered).
  The Mean Count column shows the mean read count in cells scoring highly (H > 50) on this gene expression program.


VanGroningen Adrenergic Genes
Adrenergic marker genes from Supplementary Table 2 of Van Groningen et al. Nature Genetics 2017. These genes were identified by differential expression analysis of mesenchymal-like and adrenergic-like neuroblastoma cell lines.
Wilcoxon ranksum test P-value for gene set overrepresentation: 1.00e+00
Mean rank of genes in gene set: 17295.07
Median rank of genes in gene set: 21763
Rank on gene expression program of top 30 genes in gene set:

Genes Weight Rank GTEx DepMap Descartes Mean.Counts Mean.TPM
SLIT3 0.0051910 76 GTEx DepMap Descartes 1.84 54.53
CDC42EP3 0.0034347 184 GTEx DepMap Descartes 1.79 85.31
ABLIM1 0.0029252 238 GTEx DepMap Descartes 1.06 37.94
DPYSL3 0.0022923 337 GTEx DepMap Descartes 0.96 48.29
PIK3R1 0.0020175 406 GTEx DepMap Descartes 1.76 68.33
RGS17 0.0019050 436 GTEx DepMap Descartes 0.26 9.65
NCAM1 0.0018804 446 GTEx DepMap Descartes 1.70 80.08
RBMS3 0.0018707 452 GTEx DepMap Descartes 1.72 58.94
AKAP12 0.0018060 471 GTEx DepMap Descartes 8.12 252.80
STRA6 0.0017109 513 GTEx DepMap Descartes 0.48 46.48
PRSS12 0.0017073 514 GTEx DepMap Descartes 0.15 10.14
CELF2 0.0015075 583 GTEx DepMap Descartes 0.53 18.61
RNF150 0.0014668 617 GTEx DepMap Descartes 0.61 15.90
MAP1B 0.0014506 625 GTEx DepMap Descartes 2.37 54.96
EML4 0.0014030 650 GTEx DepMap Descartes 1.58 80.52
DPYSL2 0.0013033 711 GTEx DepMap Descartes 1.46 75.84
PNMA2 0.0012767 732 GTEx DepMap Descartes 0.17 8.90
LMO3 0.0012048 792 GTEx DepMap Descartes 0.05 3.42
TCEAL7 0.0010922 882 GTEx DepMap Descartes 0.81 152.90
KIDINS220 0.0010365 949 GTEx DepMap Descartes 1.33 43.80
PHPT1 0.0008584 1202 GTEx DepMap Descartes 3.44 582.30
EVL 0.0008278 1253 GTEx DepMap Descartes 1.03 73.15
HS6ST2 0.0007682 1374 GTEx DepMap Descartes 0.09 5.63
TENM4 0.0007627 1384 GTEx DepMap Descartes 0.19 NA
FAM171B 0.0007575 1398 GTEx DepMap Descartes 0.23 10.47
ZNF704 0.0007522 1414 GTEx DepMap Descartes 0.90 17.45
DAPK1 0.0006458 1692 GTEx DepMap Descartes 0.43 19.41
IGSF3 0.0006176 1790 GTEx DepMap Descartes 0.14 5.13
NBEA 0.0006019 1843 GTEx DepMap Descartes 0.43 11.01
CCND1 0.0005959 1865 GTEx DepMap Descartes 2.09 130.33


VanGroningen Mesenchymal Genes
Mesenchymal marker genes from Supplementary Table 2 of Van Groningen et al. Nature Genetics 2017. These genes were identified by differential expression analysis of mesenchymal-like and adrenergic-like neuroblastoma cell lines.
Wilcoxon ranksum test P-value for gene set overrepresentation: 7.46e-57
Mean rank of genes in gene set: 7550
Median rank of genes in gene set: 2116
Rank on gene expression program of top 30 genes in gene set:

Genes Weight Rank GTEx DepMap Descartes Mean.Counts Mean.TPM
COL1A1 0.0109079 4 GTEx DepMap Descartes 65.08 3095.37
COL12A1 0.0104265 5 GTEx DepMap Descartes 9.49 224.63
FBN1 0.0096730 8 GTEx DepMap Descartes 6.17 150.68
POSTN 0.0092151 10 GTEx DepMap Descartes 14.44 1172.99
COL3A1 0.0090975 11 GTEx DepMap Descartes 52.29 2583.52
FBN2 0.0088068 12 GTEx DepMap Descartes 4.51 111.74
FSTL1 0.0086488 13 GTEx DepMap Descartes 8.57 404.79
COL5A1 0.0085532 14 GTEx DepMap Descartes 4.64 157.56
COL5A2 0.0081450 16 GTEx DepMap Descartes 6.28 259.91
IGFBP6 0.0076994 19 GTEx DepMap Descartes 3.68 748.97
SEMA3C 0.0076695 20 GTEx DepMap Descartes 1.29 67.10
PRRX1 0.0075945 22 GTEx DepMap Descartes 2.32 168.65
FZD1 0.0070834 28 GTEx DepMap Descartes 3.64 143.16
MXRA5 0.0069190 32 GTEx DepMap Descartes 0.95 26.25
OLFML3 0.0068915 34 GTEx DepMap Descartes 3.24 411.74
LGALS1 0.0067654 35 GTEx DepMap Descartes 22.79 7996.46
FMOD 0.0067205 37 GTEx DepMap Descartes 1.28 110.10
CDH11 0.0065398 38 GTEx DepMap Descartes 5.60 229.54
COL6A1 0.0064876 39 GTEx DepMap Descartes 5.11 336.55
COL6A2 0.0064566 41 GTEx DepMap Descartes 7.94 639.25
CRABP2 0.0060382 47 GTEx DepMap Descartes 2.15 447.69
MEST 0.0060378 48 GTEx DepMap Descartes 9.36 897.59
BOC 0.0057404 54 GTEx DepMap Descartes 1.33 64.72
CXCL12 0.0057285 56 GTEx DepMap Descartes 12.46 968.89
LRRC17 0.0057248 58 GTEx DepMap Descartes 3.37 427.28
SPARC 0.0056785 59 GTEx DepMap Descartes 20.29 1472.52
SVIL 0.0055700 65 GTEx DepMap Descartes 3.65 121.69
NFIA 0.0055105 66 GTEx DepMap Descartes 3.75 24.07
ROR1 0.0054487 68 GTEx DepMap Descartes 1.13 54.24
CALD1 0.0054304 69 GTEx DepMap Descartes 13.68 715.71


Descartes adrenocortical markers
Top 50 marker genes of adrenocortical cells in the Decartes fetal adrenal single cell map (https://atlas.brotmanbaty.org/bbi/human-gene-expression-during-development/cell/adrenocortical/in/adrenal)
Wilcoxon ranksum test P-value for gene set overrepresentation: 1.00e+00
Mean rank of genes in gene set: 21865.13
Median rank of genes in gene set: 25039
Rank on gene expression program of top 30 genes in gene set:

Genes Weight Rank GTEx DepMap Descartes Mean.Counts Mean.TPM
SH3PXD2B 0.0007455 1432 GTEx DepMap Descartes 0.27 9.13
SLC1A2 0.0005226 2165 GTEx DepMap Descartes 0.13 2.78
DNER 0.0004891 2321 GTEx DepMap Descartes 0.08 6.68
SGCZ 0.0004747 2379 GTEx DepMap Descartes 0.01 0.34
CLU 0.0000952 7662 GTEx DepMap Descartes 0.77 68.87
PDE10A -0.0000215 13709 GTEx DepMap Descartes 0.23 7.51
FREM2 -0.0000534 16816 GTEx DepMap Descartes 0.09 1.36
SH3BP5 -0.0001047 19858 GTEx DepMap Descartes 1.57 117.88
IGF1R -0.0001130 20161 GTEx DepMap Descartes 0.61 14.94
PEG3 -0.0001549 21375 GTEx DepMap Descartes 1.56 NA
NPC1 -0.0001812 21977 GTEx DepMap Descartes 0.10 5.58
FRMD5 -0.0001842 22049 GTEx DepMap Descartes 0.01 0.34
SLC2A14 -0.0002774 23468 GTEx DepMap Descartes 0.01 0.45
SLC16A9 -0.0002868 23585 GTEx DepMap Descartes 0.25 15.00
PAPSS2 -0.0002884 23607 GTEx DepMap Descartes 0.35 21.18
HMGCR -0.0003145 23861 GTEx DepMap Descartes 0.44 23.51
SCAP -0.0003329 24044 GTEx DepMap Descartes 0.31 18.83
CYP17A1 -0.0004319 24719 GTEx DepMap Descartes 0.52 34.21
LINC00473 -0.0004577 24837 GTEx DepMap Descartes 0.06 NA
CYB5B -0.0004691 24907 GTEx DepMap Descartes 0.81 45.40
DHCR7 -0.0004806 24961 GTEx DepMap Descartes 0.13 10.09
CYP21A2 -0.0004967 25015 GTEx DepMap Descartes 0.16 10.36
BAIAP2L1 -0.0004988 25022 GTEx DepMap Descartes 0.03 1.66
MSMO1 -0.0005075 25056 GTEx DepMap Descartes 0.53 56.49
ERN1 -0.0005265 25115 GTEx DepMap Descartes 0.17 5.06
CYP11B1 -0.0005334 25138 GTEx DepMap Descartes 0.20 8.75
SULT2A1 -0.0005623 25217 GTEx DepMap Descartes 0.21 18.70
GSTA4 -0.0006027 25316 GTEx DepMap Descartes 0.73 94.84
HMGCS1 -0.0006165 25341 GTEx DepMap Descartes 0.51 22.03
TM7SF2 -0.0006297 25373 GTEx DepMap Descartes 0.18 18.33


Descartes chromaffin markers
Top 50 marker genes of chromaffin cells in the Decartes fetal adrenal single cell map (https://atlas.brotmanbaty.org/bbi/human-gene-expression-during-development/cell/chromaffin/in/adrenal)
Wilcoxon ranksum test P-value for gene set overrepresentation: 9.90e-01
Mean rank of genes in gene set: 15517.14
Median rank of genes in gene set: 19121.5
Rank on gene expression program of top 30 genes in gene set:

Genes Weight Rank GTEx DepMap Descartes Mean.Counts Mean.TPM
CNTFR 0.0017568 494 GTEx DepMap Descartes 0.68 88.90
MAP1B 0.0014506 625 GTEx DepMap Descartes 2.37 54.96
FAT3 0.0009738 1038 GTEx DepMap Descartes 0.27 3.84
TMEM132C 0.0008816 1152 GTEx DepMap Descartes 0.09 4.60
CCND1 0.0005959 1865 GTEx DepMap Descartes 2.09 130.33
KCNB2 0.0005694 1975 GTEx DepMap Descartes 0.03 2.75
EPHA6 0.0004335 2626 GTEx DepMap Descartes 0.02 1.38
RGMB 0.0004137 2771 GTEx DepMap Descartes 0.21 12.85
SYNPO2 0.0003913 2932 GTEx DepMap Descartes 0.37 6.87
TUBA1A 0.0002185 4835 GTEx DepMap Descartes 6.08 706.32
BASP1 0.0002173 4851 GTEx DepMap Descartes 1.00 127.57
EYA4 0.0001252 6821 GTEx DepMap Descartes 0.06 3.41
RYR2 0.0000918 7776 GTEx DepMap Descartes 0.06 0.94
TUBB2A 0.0000288 10284 GTEx DepMap Descartes 0.74 96.94
HS3ST5 -0.0000022 11951 GTEx DepMap Descartes 0.01 0.69
NTRK1 -0.0000237 13955 GTEx DepMap Descartes 0.01 1.03
TMEFF2 -0.0000378 15443 GTEx DepMap Descartes 0.04 3.12
SLC44A5 -0.0000555 16965 GTEx DepMap Descartes 0.01 0.93
ANKFN1 -0.0000562 17026 GTEx DepMap Descartes 0.00 0.12
PTCHD1 -0.0000564 17046 GTEx DepMap Descartes 0.03 0.52
EYA1 -0.0000879 19032 GTEx DepMap Descartes 0.03 2.20
CNKSR2 -0.0000881 19044 GTEx DepMap Descartes 0.02 0.50
ALK -0.0000912 19199 GTEx DepMap Descartes 0.01 0.24
GREM1 -0.0001371 20922 GTEx DepMap Descartes 0.02 0.30
RPH3A -0.0001484 21214 GTEx DepMap Descartes 0.00 0.21
HMX1 -0.0001536 21351 GTEx DepMap Descartes 0.00 0.18
REEP1 -0.0001583 21470 GTEx DepMap Descartes 0.05 2.61
GAP43 -0.0001964 22265 GTEx DepMap Descartes 0.11 11.34
SLC6A2 -0.0002227 22720 GTEx DepMap Descartes 0.02 1.11
NPY -0.0002232 22727 GTEx DepMap Descartes 0.24 60.43


Descartes Vascular_endothelial markers
Top 50 marker genes of Vascular_endothelial cells in the Decartes fetal adrenal single cell map (https://atlas.brotmanbaty.org/bbi/human-gene-expression-during-development/cell/vascular_endothelial/in/adrenal)
Wilcoxon ranksum test P-value for gene set overrepresentation: 1.00e+00
Mean rank of genes in gene set: 24911
Median rank of genes in gene set: 25116
Rank on gene expression program of top 30 genes in gene set:

Genes Weight Rank GTEx DepMap Descartes Mean.Counts Mean.TPM
ID1 -0.0001859 22079 GTEx DepMap Descartes 3.34 546.12
MYRIP -0.0001892 22132 GTEx DepMap Descartes 0.00 0.19
GALNT15 -0.0002533 23176 GTEx DepMap Descartes 0.01 NA
ESM1 -0.0003224 23939 GTEx DepMap Descartes 0.01 0.80
NR5A2 -0.0003362 24069 GTEx DepMap Descartes 0.01 0.25
DNASE1L3 -0.0003474 24150 GTEx DepMap Descartes 0.18 15.26
SLCO2A1 -0.0003480 24154 GTEx DepMap Descartes 0.04 2.56
CDH13 -0.0003589 24240 GTEx DepMap Descartes 0.04 1.16
NPR1 -0.0003838 24428 GTEx DepMap Descartes 0.12 6.58
RAMP2 -0.0004003 24535 GTEx DepMap Descartes 1.71 445.03
TEK -0.0004033 24553 GTEx DepMap Descartes 0.18 8.26
CYP26B1 -0.0004078 24573 GTEx DepMap Descartes 0.18 9.15
FCGR2B -0.0004398 24760 GTEx DepMap Descartes 0.05 1.93
ARHGAP29 -0.0004533 24821 GTEx DepMap Descartes 0.79 22.15
CHRM3 -0.0004702 24915 GTEx DepMap Descartes 0.08 2.79
KDR -0.0004731 24928 GTEx DepMap Descartes 0.51 19.05
BTNL9 -0.0005007 25032 GTEx DepMap Descartes 0.08 4.32
FLT4 -0.0005016 25036 GTEx DepMap Descartes 0.04 1.26
NOTCH4 -0.0005109 25069 GTEx DepMap Descartes 0.08 2.64
CRHBP -0.0005174 25086 GTEx DepMap Descartes 0.15 11.01
SHE -0.0005182 25091 GTEx DepMap Descartes 0.04 1.12
SHANK3 -0.0005234 25106 GTEx DepMap Descartes 0.09 2.75
CEACAM1 -0.0005302 25126 GTEx DepMap Descartes 0.05 2.58
HYAL2 -0.0005320 25133 GTEx DepMap Descartes 0.82 45.66
PODXL -0.0005383 25150 GTEx DepMap Descartes 0.20 6.77
RASIP1 -0.0005662 25231 GTEx DepMap Descartes 0.23 15.25
APLNR -0.0005796 25262 GTEx DepMap Descartes 0.09 4.88
PTPRB -0.0006046 25321 GTEx DepMap Descartes 0.07 0.99
F8 -0.0006157 25338 GTEx DepMap Descartes 0.11 2.43
TIE1 -0.0006189 25349 GTEx DepMap Descartes 0.06 3.16


Descartes stromal markers
Top 50 marker genes of stromal cells in the Decartes fetal adrenal single cell map (https://atlas.brotmanbaty.org/bbi/human-gene-expression-during-development/cell/stromal/in/adrenal)
Wilcoxon ranksum test P-value for gene set overrepresentation: 4.10e-22
Mean rank of genes in gene set: 2699.8
Median rank of genes in gene set: 84
Rank on gene expression program of top 30 genes in gene set:

Genes Weight Rank GTEx DepMap Descartes Mean.Counts Mean.TPM
COL1A2 0.0114377 1 GTEx DepMap Descartes 51.31 2328.71
OGN 0.0111380 2 GTEx DepMap Descartes 7.10 556.18
DCN 0.0109318 3 GTEx DepMap Descartes 18.56 682.87
COL1A1 0.0109079 4 GTEx DepMap Descartes 65.08 3095.37
COL12A1 0.0104265 5 GTEx DepMap Descartes 9.49 224.63
ISLR 0.0101265 6 GTEx DepMap Descartes 4.27 512.48
RSPO3 0.0097490 7 GTEx DepMap Descartes 7.87 NA
POSTN 0.0092151 10 GTEx DepMap Descartes 14.44 1172.99
COL3A1 0.0090975 11 GTEx DepMap Descartes 52.29 2583.52
PCOLCE 0.0084610 15 GTEx DepMap Descartes 5.10 854.99
SULT1E1 0.0078485 17 GTEx DepMap Descartes 6.92 1044.69
PRRX1 0.0075945 22 GTEx DepMap Descartes 2.32 168.65
PAMR1 0.0071845 25 GTEx DepMap Descartes 1.02 83.35
DKK2 0.0071601 26 GTEx DepMap Descartes 0.77 53.91
LOX 0.0069542 29 GTEx DepMap Descartes 1.35 66.99
LUM 0.0069497 30 GTEx DepMap Descartes 3.19 312.53
ELN 0.0069237 31 GTEx DepMap Descartes 2.66 177.86
MXRA5 0.0069190 32 GTEx DepMap Descartes 0.95 26.25
CDH11 0.0065398 38 GTEx DepMap Descartes 5.60 229.54
SFRP2 0.0059357 50 GTEx DepMap Descartes 2.55 344.39
PRICKLE1 0.0057539 52 GTEx DepMap Descartes 1.39 65.80
LRRC17 0.0057248 58 GTEx DepMap Descartes 3.37 427.28
CLDN11 0.0054728 67 GTEx DepMap Descartes 2.95 303.86
CD248 0.0049835 80 GTEx DepMap Descartes 2.03 221.05
PDGFRA 0.0048240 84 GTEx DepMap Descartes 3.31 147.80
CCDC80 0.0045032 96 GTEx DepMap Descartes 2.00 41.54
ADAMTSL3 0.0039256 129 GTEx DepMap Descartes 0.42 17.41
BICC1 0.0036641 159 GTEx DepMap Descartes 1.15 54.91
SCARA5 0.0034035 188 GTEx DepMap Descartes 0.25 18.39
ADAMTS2 0.0032581 198 GTEx DepMap Descartes 0.62 25.53


Descartes sympathoblasts markers
Top 50 marker genes of sympathoblasts cells in the Decartes fetal adrenal single cell map (https://atlas.brotmanbaty.org/bbi/human-gene-expression-during-development/cell/sympathoblasts/in/adrenal)
Wilcoxon ranksum test P-value for gene set overrepresentation: 9.99e-01
Mean rank of genes in gene set: 16479.7
Median rank of genes in gene set: 21275.5
Rank on gene expression program of top 30 genes in gene set:

Genes Weight Rank GTEx DepMap Descartes Mean.Counts Mean.TPM
MGAT4C 0.0038693 138 GTEx DepMap Descartes 0.65 7.86
GRM7 0.0030180 227 GTEx DepMap Descartes 0.24 17.66
ROBO1 0.0026740 270 GTEx DepMap Descartes 1.11 43.54
NTNG1 0.0022882 338 GTEx DepMap Descartes 0.44 26.65
CNTN3 0.0009855 1024 GTEx DepMap Descartes 0.08 4.68
SORCS3 0.0009444 1069 GTEx DepMap Descartes 0.10 4.75
SLC35F3 0.0003958 2897 GTEx DepMap Descartes 0.02 1.24
GRID2 0.0002126 4930 GTEx DepMap Descartes 0.15 7.85
HTATSF1 0.0001995 5174 GTEx DepMap Descartes 0.88 72.22
TMEM130 0.0001267 6781 GTEx DepMap Descartes 0.03 2.01
PENK 0.0001244 6843 GTEx DepMap Descartes 0.13 24.08
CNTNAP5 0.0001235 6868 GTEx DepMap Descartes 0.01 0.99
KCTD16 0.0000148 10909 GTEx DepMap Descartes 0.01 0.40
FAM155A -0.0000047 12137 GTEx DepMap Descartes 0.04 1.13
PACRG -0.0000362 15286 GTEx DepMap Descartes 0.03 3.13
TENM1 -0.0000464 16237 GTEx DepMap Descartes 0.03 NA
AGBL4 -0.0000932 19321 GTEx DepMap Descartes 0.01 0.41
GALNTL6 -0.0001193 20380 GTEx DepMap Descartes 0.00 0.21
SPOCK3 -0.0001232 20497 GTEx DepMap Descartes 0.04 4.11
PNMT -0.0001337 20822 GTEx DepMap Descartes 0.04 9.18
KSR2 -0.0001377 20940 GTEx DepMap Descartes 0.00 0.05
CDH18 -0.0001503 21266 GTEx DepMap Descartes 0.01 0.50
SLC24A2 -0.0001510 21285 GTEx DepMap Descartes 0.00 0.10
TBX20 -0.0001681 21706 GTEx DepMap Descartes 0.00 0.09
PCSK2 -0.0001715 21783 GTEx DepMap Descartes 0.01 0.49
EML6 -0.0001729 21803 GTEx DepMap Descartes 0.01 0.28
ST18 -0.0001872 22104 GTEx DepMap Descartes 0.00 0.12
LAMA3 -0.0002157 22598 GTEx DepMap Descartes 0.01 0.20
CHGA -0.0002168 22622 GTEx DepMap Descartes 0.36 35.38
DGKK -0.0002218 22706 GTEx DepMap Descartes 0.01 0.35


Descartes erythroblasts markers
Top 50 marker genes of erythroblasts cells in the Decartes fetal adrenal single cell map (https://atlas.brotmanbaty.org/bbi/human-gene-expression-during-development/cell/erythroblasts/in/adrenal)
Wilcoxon ranksum test P-value for gene set overrepresentation: 1.00e+00
Mean rank of genes in gene set: 22453.33
Median rank of genes in gene set: 24735.5
Rank on gene expression program of top 30 genes in gene set:

Genes Weight Rank GTEx DepMap Descartes Mean.Counts Mean.TPM
TSPAN5 0.0007840 1338 GTEx DepMap Descartes 0.38 26.33
MICAL2 0.0006526 1667 GTEx DepMap Descartes 0.27 9.89
RGS6 0.0005766 1947 GTEx DepMap Descartes 0.12 5.11
HECTD4 0.0001861 5407 GTEx DepMap Descartes 0.38 NA
SLC25A21 -0.0000112 12715 GTEx DepMap Descartes 0.03 1.53
DENND4A -0.0001326 20782 GTEx DepMap Descartes 0.18 6.20
XPO7 -0.0001851 22063 GTEx DepMap Descartes 0.26 14.34
HBZ -0.0001920 22194 GTEx DepMap Descartes 0.27 98.69
ABCB10 -0.0001949 22246 GTEx DepMap Descartes 0.13 9.56
GCLC -0.0002106 22506 GTEx DepMap Descartes 0.13 9.06
TRAK2 -0.0002173 22635 GTEx DepMap Descartes 0.22 8.61
RHD -0.0002231 22724 GTEx DepMap Descartes 0.01 0.66
SELENBP1 -0.0002655 23321 GTEx DepMap Descartes 0.37 32.24
TMCC2 -0.0002675 23348 GTEx DepMap Descartes 0.06 4.03
GYPE -0.0003223 23938 GTEx DepMap Descartes 0.02 2.94
SPTB -0.0003333 24046 GTEx DepMap Descartes 0.01 0.24
TFR2 -0.0003546 24208 GTEx DepMap Descartes 0.01 0.75
TMEM56 -0.0003667 24296 GTEx DepMap Descartes 0.11 NA
RAPGEF2 -0.0003825 24420 GTEx DepMap Descartes 0.24 7.95
SPTA1 -0.0003954 24514 GTEx DepMap Descartes 0.01 0.46
CAT -0.0004103 24592 GTEx DepMap Descartes 0.46 49.95
CR1L -0.0004148 24624 GTEx DepMap Descartes 0.01 1.00
CPOX -0.0004294 24698 GTEx DepMap Descartes 0.19 17.32
RHCE -0.0004305 24707 GTEx DepMap Descartes 0.01 1.47
ANK1 -0.0004405 24764 GTEx DepMap Descartes 0.01 0.24
SLC4A1 -0.0004584 24845 GTEx DepMap Descartes 0.07 3.16
RHAG -0.0004775 24948 GTEx DepMap Descartes 0.01 1.71
SOX6 -0.0005060 25052 GTEx DepMap Descartes 0.11 2.74
HBG1 -0.0005272 25116 GTEx DepMap Descartes 2.07 272.93
EPB42 -0.0005715 25246 GTEx DepMap Descartes 0.01 1.28


Descartes myeloid markers
Top 50 marker genes of myeloid cells in the Decartes fetal adrenal single cell map (https://atlas.brotmanbaty.org/bbi/human-gene-expression-during-development/cell/myeloid/in/adrenal)
Wilcoxon ranksum test P-value for gene set overrepresentation: 1.00e+00
Mean rank of genes in gene set: 18199.6
Median rank of genes in gene set: 22880
Rank on gene expression program of top 30 genes in gene set:

Genes Weight Rank GTEx DepMap Descartes Mean.Counts Mean.TPM
CTSC 0.0040394 124 GTEx DepMap Descartes 4.91 210.60
TGFBI 0.0025756 281 GTEx DepMap Descartes 1.20 70.73
HRH1 0.0023322 329 GTEx DepMap Descartes 0.24 14.15
AXL 0.0018904 440 GTEx DepMap Descartes 0.75 42.33
RBPJ 0.0009424 1074 GTEx DepMap Descartes 1.62 71.76
FGL2 0.0007552 1404 GTEx DepMap Descartes 0.28 15.99
SLC9A9 0.0007437 1439 GTEx DepMap Descartes 0.33 26.86
RGL1 0.0005941 1874 GTEx DepMap Descartes 0.63 32.77
HLA-DRB1 0.0003059 3689 GTEx DepMap Descartes 1.33 252.88
CST3 0.0002405 4463 GTEx DepMap Descartes 2.41 171.63
IFNGR1 0.0001041 7394 GTEx DepMap Descartes 0.48 47.39
CTSD -0.0000453 16134 GTEx DepMap Descartes 1.05 124.35
SFMBT2 -0.0000486 16416 GTEx DepMap Descartes 0.14 5.20
MS4A4E -0.0000611 17393 GTEx DepMap Descartes 0.00 0.02
MARCH1 -0.0001065 19937 GTEx DepMap Descartes 0.03 NA
SPP1 -0.0001257 20567 GTEx DepMap Descartes 0.05 8.11
CD163L1 -0.0001487 21223 GTEx DepMap Descartes 0.00 0.04
WWP1 -0.0001513 21292 GTEx DepMap Descartes 0.26 14.47
HCK -0.0001646 21629 GTEx DepMap Descartes 0.00 0.61
ATP8B4 -0.0001780 21909 GTEx DepMap Descartes 0.01 0.56
MS4A4A -0.0001902 22151 GTEx DepMap Descartes 0.01 1.07
FGD2 -0.0001984 22305 GTEx DepMap Descartes 0.01 0.36
VSIG4 -0.0002219 22709 GTEx DepMap Descartes 0.01 0.68
MSR1 -0.0002242 22746 GTEx DepMap Descartes 0.00 0.20
SLCO2B1 -0.0002269 22794 GTEx DepMap Descartes 0.03 1.29
C1QC -0.0002395 22966 GTEx DepMap Descartes 0.04 6.96
C1QB -0.0002463 23077 GTEx DepMap Descartes 0.08 17.17
MPEG1 -0.0002472 23088 GTEx DepMap Descartes 0.01 0.51
CTSS -0.0002478 23097 GTEx DepMap Descartes 0.02 1.41
C1QA -0.0002744 23437 GTEx DepMap Descartes 0.09 18.67


Descartes Schwann markers
Top 50 marker genes of Schwann cells in the Decartes fetal adrenal single cell map (https://atlas.brotmanbaty.org/bbi/human-gene-expression-during-development/cell/schwann/in/adrenal)
Wilcoxon ranksum test P-value for gene set overrepresentation: 5.54e-02
Mean rank of genes in gene set: 11210.41
Median rank of genes in gene set: 11643
Rank on gene expression program of top 30 genes in gene set:

Genes Weight Rank GTEx DepMap Descartes Mean.Counts Mean.TPM
COL5A2 0.0081450 16 GTEx DepMap Descartes 6.28 259.91
MARCKS 0.0042857 108 GTEx DepMap Descartes 13.23 808.79
VIM 0.0041724 114 GTEx DepMap Descartes 37.49 3197.24
PTN 0.0037219 151 GTEx DepMap Descartes 7.13 1056.79
ADAMTS5 0.0035480 171 GTEx DepMap Descartes 0.66 21.30
LAMA4 0.0035474 172 GTEx DepMap Descartes 2.26 87.12
SFRP1 0.0034488 183 GTEx DepMap Descartes 3.28 175.14
LAMB1 0.0025106 290 GTEx DepMap Descartes 2.30 112.44
SCN7A 0.0024776 299 GTEx DepMap Descartes 0.48 17.43
PMP22 0.0023110 335 GTEx DepMap Descartes 2.12 283.00
PLCE1 0.0022238 351 GTEx DepMap Descartes 0.50 10.80
KCTD12 0.0019455 425 GTEx DepMap Descartes 0.87 37.42
ABCA8 0.0018517 458 GTEx DepMap Descartes 0.70 33.39
VCAN 0.0016634 524 GTEx DepMap Descartes 3.51 89.68
LAMC1 0.0013639 669 GTEx DepMap Descartes 1.18 38.64
PLP1 0.0009783 1033 GTEx DepMap Descartes 0.41 35.42
FIGN 0.0008825 1150 GTEx DepMap Descartes 0.37 11.77
EGFLAM 0.0008274 1254 GTEx DepMap Descartes 0.24 11.09
IL1RAPL1 0.0007180 1500 GTEx DepMap Descartes 0.12 9.44
IL1RAPL2 0.0006082 1817 GTEx DepMap Descartes 0.02 1.86
HMGA2 0.0005887 1900 GTEx DepMap Descartes 1.31 43.99
NRXN1 0.0005656 1994 GTEx DepMap Descartes 0.65 19.18
GAS7 0.0005386 2100 GTEx DepMap Descartes 0.25 8.28
LRRTM4 0.0003166 3584 GTEx DepMap Descartes 0.03 2.06
SORCS1 0.0000021 11643 GTEx DepMap Descartes 0.05 1.93
OLFML2A -0.0000294 14598 GTEx DepMap Descartes 0.12 4.21
NLGN4X -0.0000374 15394 GTEx DepMap Descartes 0.15 7.08
ERBB4 -0.0000423 15860 GTEx DepMap Descartes 0.06 0.98
PPP2R2B -0.0000430 15932 GTEx DepMap Descartes 0.02 0.43
PAG1 -0.0000446 16067 GTEx DepMap Descartes 0.64 16.31


Descartes Megakaryocytes markers
Top 50 marker genes of Megakaryocytes cells in the Decartes fetal adrenal single cell map (https://atlas.brotmanbaty.org/bbi/human-gene-expression-during-development/cell/megakaryocytes/in/adrenal)
Wilcoxon ranksum test P-value for gene set overrepresentation: 9.99e-01
Mean rank of genes in gene set: 16247.37
Median rank of genes in gene set: 22051
Rank on gene expression program of top 30 genes in gene set:

Genes Weight Rank GTEx DepMap Descartes Mean.Counts Mean.TPM
LTBP1 0.0050095 79 GTEx DepMap Descartes 1.55 62.79
SLC24A3 0.0022028 358 GTEx DepMap Descartes 0.19 14.33
VCL 0.0017297 505 GTEx DepMap Descartes 1.71 56.72
FLNA 0.0015079 582 GTEx DepMap Descartes 3.04 93.77
MYLK 0.0012452 760 GTEx DepMap Descartes 0.91 24.73
ACTN1 0.0010776 901 GTEx DepMap Descartes 1.06 55.09
THBS1 0.0006780 1604 GTEx DepMap Descartes 0.80 25.98
PDE3A 0.0005603 2014 GTEx DepMap Descartes 0.35 13.02
TPM4 0.0004674 2412 GTEx DepMap Descartes 4.43 208.48
ARHGAP6 0.0004511 2510 GTEx DepMap Descartes 0.15 6.17
ZYX 0.0003610 3170 GTEx DepMap Descartes 0.56 64.99
TRPC6 0.0002274 4669 GTEx DepMap Descartes 0.06 3.38
ANGPT1 0.0002156 4878 GTEx DepMap Descartes 0.82 47.65
TLN1 0.0001541 6102 GTEx DepMap Descartes 1.47 41.70
ITGB3 0.0000848 7994 GTEx DepMap Descartes 0.01 0.44
ACTB 0.0000388 9850 GTEx DepMap Descartes 26.61 2688.81
DOK6 0.0000376 9900 GTEx DepMap Descartes 0.09 3.03
ITGA2B -0.0000390 15552 GTEx DepMap Descartes 0.03 2.75
PPBP -0.0000858 18932 GTEx DepMap Descartes 0.02 3.93
PF4 -0.0000998 19623 GTEx DepMap Descartes 0.02 4.91
GP1BA -0.0001145 20207 GTEx DepMap Descartes 0.00 0.16
GP9 -0.0001459 21141 GTEx DepMap Descartes 0.01 2.39
RAP1B -0.0001595 21503 GTEx DepMap Descartes 1.72 30.35
INPP4B -0.0001678 21697 GTEx DepMap Descartes 0.11 3.12
P2RX1 -0.0001844 22051 GTEx DepMap Descartes 0.00 0.13
BIN2 -0.0002058 22429 GTEx DepMap Descartes 0.00 0.49
MCTP1 -0.0002258 22776 GTEx DepMap Descartes 0.00 0.32
TUBB1 -0.0002332 22876 GTEx DepMap Descartes 0.00 0.30
FLI1 -0.0002370 22936 GTEx DepMap Descartes 0.17 8.25
PRKAR2B -0.0002393 22962 GTEx DepMap Descartes 0.41 30.47


Descartes Lyphoid markers
Top 50 marker genes of Lyphoid cells in the Decartes fetal adrenal single cell map (https://atlas.brotmanbaty.org/bbi/human-gene-expression-during-development/cell/lymphoid/in/adrenal)
Wilcoxon ranksum test P-value for gene set overrepresentation: 9.90e-01
Mean rank of genes in gene set: 15389.83
Median rank of genes in gene set: 19938
Rank on gene expression program of top 30 genes in gene set:

Genes Weight Rank GTEx DepMap Descartes Mean.Counts Mean.TPM
ABLIM1 0.0029252 238 GTEx DepMap Descartes 1.06 37.94
CELF2 0.0015075 583 GTEx DepMap Descartes 0.53 18.61
NCALD 0.0014915 599 GTEx DepMap Descartes 0.56 37.71
PLEKHA2 0.0008752 1168 GTEx DepMap Descartes 0.45 22.57
EVL 0.0008278 1253 GTEx DepMap Descartes 1.03 73.15
TMSB10 0.0007452 1433 GTEx DepMap Descartes 28.86 13539.31
STK39 0.0006252 1761 GTEx DepMap Descartes 0.32 27.83
CD44 0.0005251 2151 GTEx DepMap Descartes 0.32 14.05
BACH2 0.0005205 2175 GTEx DepMap Descartes 0.11 3.28
WIPF1 0.0003561 3208 GTEx DepMap Descartes 0.26 15.42
PITPNC1 0.0003453 3304 GTEx DepMap Descartes 0.29 12.13
ANKRD44 0.0003243 3506 GTEx DepMap Descartes 0.39 15.13
TOX 0.0002931 3818 GTEx DepMap Descartes 0.08 5.73
FOXP1 0.0001776 5565 GTEx DepMap Descartes 0.69 19.34
MBNL1 0.0001710 5707 GTEx DepMap Descartes 1.17 51.24
ARID5B 0.0001583 5999 GTEx DepMap Descartes 0.81 27.36
BCL2 0.0001485 6229 GTEx DepMap Descartes 0.28 9.81
FYN 0.0000830 8062 GTEx DepMap Descartes 0.48 35.56
CCND3 0.0000005 11762 GTEx DepMap Descartes 0.68 67.36
MCTP2 -0.0000232 13891 GTEx DepMap Descartes 0.14 4.80
SCML4 -0.0000704 18059 GTEx DepMap Descartes 0.01 0.50
NKG7 -0.0000789 18579 GTEx DepMap Descartes 0.00 1.95
ITPKB -0.0000855 18920 GTEx DepMap Descartes 0.12 5.45
SAMD3 -0.0001016 19731 GTEx DepMap Descartes 0.02 1.16
LINC00299 -0.0001124 20145 GTEx DepMap Descartes 0.00 0.10
CCL5 -0.0001162 20263 GTEx DepMap Descartes 0.01 1.66
RAP1GAP2 -0.0001948 22245 GTEx DepMap Descartes 0.01 0.45
MSN -0.0002017 22360 GTEx DepMap Descartes 0.69 41.85
LCP1 -0.0002747 23441 GTEx DepMap Descartes 0.02 1.27
SKAP1 -0.0002875 23594 GTEx DepMap Descartes 0.00 0.51



Below shows the ranks on this GEP for immune marker gene lists curated by CellTypist (https://www.celltypist.org/encyclopedia).
  High ranks indicate this gene is a driver of this GEP.
  These curated gene list are ranked by P-value (on this GEP) of their constituent genes.
  The Mean Count column shows the mean read count in cells scoring highly (H > 50) on this gene expression program.


Fibroblasts: Fibroblasts (model markers)
the most common cells of connective tissues which synthesize the extracellular matrix and collagen to maintain tissue homeostasis:
Wilcoxon ranksum test P-value for gene set overrepresentation: 3.41e-08
Mean rank of genes in gene set: 194.1
Rank on gene expression program of genes in gene set:
Genes Weight Rank GTEx DepMap Decartes Mean.Counts Mean.TPM
PRRX1 0.0075945 22 GTEx DepMap Descartes 2.32 168.65
MXRA5 0.0069190 32 GTEx DepMap Descartes 0.95 26.25
OLFML1 0.0053221 72 GTEx DepMap Descartes 0.67 65.26
PDGFRA 0.0048240 84 GTEx DepMap Descartes 3.31 147.80
SMOC2 0.0041327 116 GTEx DepMap Descartes 1.11 87.53
EBF2 0.0036446 163 GTEx DepMap Descartes 0.33 18.74
SFRP1 0.0034488 183 GTEx DepMap Descartes 3.28 175.14
NTRK2 0.0022334 347 GTEx DepMap Descartes 0.61 21.62
F10 0.0021712 364 GTEx DepMap Descartes 0.72 125.35
ANGPTL1 0.0015856 558 GTEx DepMap Descartes 0.18 15.14


Fibroblasts: Fibroblasts (curated markers)
the most common cells of connective tissues which synthesize the extracellular matrix and collagen to maintain tissue homeostasis:
Wilcoxon ranksum test P-value for gene set overrepresentation: 1.35e-03
Mean rank of genes in gene set: 2.67
Rank on gene expression program of genes in gene set:

Genes Weight Rank GTEx DepMap Decartes Mean.Counts Mean.TPM
COL1A2 0.0114377 1 GTEx DepMap Descartes 51.31 2328.71
DCN 0.0109318 3 GTEx DepMap Descartes 18.56 682.87
COL1A1 0.0109079 4 GTEx DepMap Descartes 65.08 3095.37


DC: Transitional DC (curated markers)
immature dendritic cells which follow dendritic cell precursors and are committed to the mature dendritic cells:
Wilcoxon ranksum test P-value for gene set overrepresentation: 1.00e-01
Mean rank of genes in gene set: 7402.67
Rank on gene expression program of genes in gene set:

Genes Weight Rank GTEx DepMap Decartes Mean.Counts Mean.TPM
AXL 0.0018904 440 GTEx DepMap Descartes 0.75 42.33
KLF4 0.0011044 873 GTEx DepMap Descartes 0.74 63.40
CLEC10A -0.0001361 20895 GTEx DepMap Descartes 0.00 0.00