Program description and justification of annotation: 41.
Submit a comment on this gene expression program’s interpretation: CLICK
QQ-plot of gene loadings, averaged over both independent splits of the data
This plot highlights the relative contribution of each gene to the GEP
Top genes driving this program.
Note: Decartes website is buggy, try refreshing. Also, Decartes fetal adrenal data have been collected at specific time points (89-122 days), all possible cell types of interest may not be represented, do not overinterpret.
The Mean Count column shows the mean read count in cells scoring highly (H > 50) on this gene expression program.
Gene | Loading | Gene.Name | GTEx | DepMap | Descartes | Mean.Counts | Mean.Tpm | |
---|---|---|---|---|---|---|---|---|
1 | MMRN1 | 0.0401343 | multimerin 1 | GTEx | DepMap | Descartes | 1.41 | 13.22 |
2 | CCL21A | 0.0380095 | NA | GTEx | DepMap | Descartes | 4.45 | 3034.22 |
3 | SEMA3D | 0.0299130 | semaphorin 3D | GTEx | DepMap | Descartes | 0.62 | 1.44 |
4 | FGL2 | 0.0268890 | fibrinogen like 2 | GTEx | DepMap | Descartes | 1.77 | 203.58 |
5 | NTS | 0.0266661 | neurotensin | GTEx | DepMap | Descartes | 1.07 | 110.59 |
6 | LYVE1 | 0.0256310 | lymphatic vessel endothelial hyaluronan receptor 1 | GTEx | DepMap | Descartes | 1.94 | 127.27 |
7 | FLT4 | 0.0242467 | fms related receptor tyrosine kinase 4 | GTEx | DepMap | Descartes | 0.49 | 9.16 |
8 | CLDN5 | 0.0208987 | claudin 5 | GTEx | DepMap | Descartes | 3.75 | 1151.78 |
9 | ACKR2 | 0.0199549 | atypical chemokine receptor 2 | GTEx | DepMap | Descartes | 0.07 | 4.28 |
10 | CP | 0.0189152 | ceruloplasmin | GTEx | DepMap | Descartes | 1.52 | 12.66 |
11 | CLCA3A1 | 0.0175061 | NA | GTEx | DepMap | Descartes | 1.16 | 18.70 |
12 | AHSG | 0.0170010 | alpha 2-HS glycoprotein | GTEx | DepMap | Descartes | 0.25 | 6.58 |
13 | IL7 | 0.0158823 | interleukin 7 | GTEx | DepMap | Descartes | 0.12 | 1.85 |
14 | KLHL4 | 0.0153610 | kelch like family member 4 | GTEx | DepMap | Descartes | 0.22 | 1.55 |
15 | 9930038B18RIK | 0.0146433 | NA | GTEx | DepMap | Descartes | 0.00 | 0.00 |
16 | SLC45A3 | 0.0133777 | solute carrier family 45 member 3 | GTEx | DepMap | Descartes | 0.14 | 3.32 |
17 | LBP | 0.0122731 | lipopolysaccharide binding protein | GTEx | DepMap | Descartes | 2.32 | 38.32 |
18 | LTBP4 | 0.0109634 | latent transforming growth factor beta binding protein 4 | GTEx | DepMap | Descartes | 3.19 | 62.17 |
19 | ECSCR | 0.0108595 | endothelial cell surface expressed chemotaxis and apoptosis regulator | GTEx | DepMap | Descartes | 3.51 | 192.21 |
20 | SCN1B | 0.0106000 | sodium voltage-gated channel beta subunit 1 | GTEx | DepMap | Descartes | 1.35 | 63.34 |
21 | RELN | 0.0098640 | reelin | GTEx | DepMap | Descartes | 0.35 | 0.52 |
22 | D830026I12RIK | 0.0096050 | NA | GTEx | DepMap | Descartes | 0.03 | 0.80 |
23 | STAB1 | 0.0095316 | stabilin 1 | GTEx | DepMap | Descartes | 2.48 | 51.66 |
24 | MMRN2 | 0.0093755 | multimerin 2 | GTEx | DepMap | Descartes | 1.93 | 50.48 |
25 | ECE1 | 0.0092916 | endothelin converting enzyme 1 | GTEx | DepMap | Descartes | 2.29 | 10.52 |
26 | WIPF3 | 0.0091415 | WAS/WASL interacting protein family member 3 | GTEx | DepMap | Descartes | 0.06 | 0.17 |
27 | PPFIBP1 | 0.0089652 | PPFIA binding protein 1 | GTEx | DepMap | Descartes | 1.58 | 6.28 |
28 | RNF207 | 0.0088919 | ring finger protein 207 | GTEx | DepMap | Descartes | 0.00 | 0.00 |
29 | RHOJ | 0.0086696 | ras homolog family member J | GTEx | DepMap | Descartes | 2.55 | 12.22 |
30 | TIMP3 | 0.0086161 | TIMP metallopeptidase inhibitor 3 | GTEx | DepMap | Descartes | 7.41 | 80.35 |
31 | NTN1 | 0.0086105 | netrin 1 | GTEx | DepMap | Descartes | 0.25 | 0.87 |
32 | TM4SF1 | 0.0083626 | transmembrane 4 L six family member 1 | GTEx | DepMap | Descartes | 13.83 | 288.24 |
33 | CLIC5 | 0.0081642 | chloride intracellular channel 5 | GTEx | DepMap | Descartes | 0.36 | 3.96 |
34 | PRSS23 | 0.0080895 | serine protease 23 | GTEx | DepMap | Descartes | 3.13 | 84.39 |
35 | FMR1NB | 0.0080646 | FMR1 neighbor | GTEx | DepMap | Descartes | 0.00 | 0.00 |
36 | APOLD1 | 0.0080474 | apolipoprotein L domain containing 1 | GTEx | DepMap | Descartes | 0.45 | 40.79 |
37 | PLIN4 | 0.0080264 | perilipin 4 | GTEx | DepMap | Descartes | 0.00 | 0.00 |
38 | EGFL7 | 0.0080103 | EGF like domain multiple 7 | GTEx | DepMap | Descartes | 7.77 | 348.51 |
39 | CFH | 0.0079054 | complement factor H | GTEx | DepMap | Descartes | 4.13 | 17.69 |
40 | EDN1 | 0.0078290 | endothelin 1 | GTEx | DepMap | Descartes | 0.49 | 21.88 |
41 | MEOX1 | 0.0076718 | mesenchyme homeobox 1 | GTEx | DepMap | Descartes | 0.83 | 27.19 |
42 | RAMP2 | 0.0074742 | receptor activity modifying protein 2 | GTEx | DepMap | Descartes | 5.03 | 199.72 |
43 | FOXC2 | 0.0074298 | forkhead box C2 | GTEx | DepMap | Descartes | 0.06 | 5.03 |
44 | EPHB4 | 0.0073006 | EPH receptor B4 | GTEx | DepMap | Descartes | 0.64 | 13.85 |
45 | SDPR | 0.0072833 | NA | GTEx | DepMap | Descartes | 1.83 | NA |
46 | FAM229A | 0.0071353 | family with sequence similarity 229 member A | GTEx | DepMap | Descartes | 0.03 | 7.30 |
47 | ECM2 | 0.0071332 | extracellular matrix protein 2 | GTEx | DepMap | Descartes | 0.25 | 5.57 |
48 | LRG1 | 0.0071331 | leucine rich alpha-2-glycoprotein 1 | GTEx | DepMap | Descartes | 3.07 | 666.97 |
49 | CHRNB1 | 0.0071295 | cholinergic receptor nicotinic beta 1 subunit | GTEx | DepMap | Descartes | 0.09 | 2.66 |
50 | LMCD1 | 0.0070310 | LIM and cysteine rich domains 1 | GTEx | DepMap | Descartes | 0.25 | 1.89 |
UMAP plots showing activity of gene expression program identified in community:41. Endothelial: Lymphatic
CNV Data procured from inferCNV.
Outer tracks are putative CNV regions (gains = red, losses = blue) for each patient
Inner track is expression data representing:
The top cells expressing this GEP (purple)
Random cells (n =50) from the reference set used in inferCNV (orange)
Gene set Enrichments for this program, caculated from top 50 genes
mSigDB Cell Types Gene Set:
P-value | OR | Lower 95% CI | FDR | FWER | Genes Found | Gene Set Size | |
---|---|---|---|---|---|---|---|
DURANTE_ADULT_OLFACTORY_NEUROEPITHELIUM_PERICYTES | 2.06e-13 | 65.42 | 26.92 | 2.77e-11 | 1.38e-10 | 9CLDN5, ECSCR, TIMP3, TM4SF1, APOLD1, EGFL7, EDN1, RAMP2, LMCD1 |
79 |
AIZARANI_LIVER_C13_LSECS_2 | 5.42e-20 | 40.46 | 20.86 | 3.63e-17 | 3.63e-17 | 17NTS, LYVE1, FLT4, CLDN5, RELN, STAB1, MMRN2, ECE1, PPFIBP1, TIMP3, TM4SF1, PRSS23, APOLD1, EGFL7, EDN1, RAMP2, EPHB4 |
283 |
TRAVAGLINI_LUNG_LYMPHATIC_CELL | 3.72e-17 | 41.60 | 20.41 | 1.25e-14 | 2.50e-14 | 14MMRN1, SEMA3D, NTS, LYVE1, FLT4, ACKR2, KLHL4, LTBP4, RELN, PPFIBP1, RHOJ, NTN1, APOLD1, CFH |
209 |
DESCARTES_FETAL_THYMUS_VASCULAR_ENDOTHELIAL_CELLS | 5.04e-13 | 43.13 | 18.80 | 4.83e-11 | 3.38e-10 | 10MMRN1, LYVE1, CLDN5, IL7, ECSCR, RELN, PPFIBP1, RHOJ, EGFL7, EPHB4 |
131 |
GAO_LARGE_INTESTINE_24W_C2_MKI67POS_PROGENITOR | 5.55e-12 | 44.02 | 18.36 | 4.14e-10 | 3.72e-09 | 9MMRN1, CLDN5, ECSCR, MMRN2, TM4SF1, APOLD1, EGFL7, RAMP2, LMCD1 |
113 |
AIZARANI_LIVER_C10_MVECS_1 | 1.23e-15 | 31.87 | 15.68 | 2.75e-13 | 8.26e-13 | 14MMRN1, NTS, CLDN5, MMRN2, ECE1, RHOJ, TIMP3, TM4SF1, PRSS23, APOLD1, EGFL7, EDN1, RAMP2, EPHB4 |
269 |
DESCARTES_FETAL_LUNG_LYMPHATIC_ENDOTHELIAL_CELLS | 1.69e-08 | 43.83 | 14.74 | 6.67e-07 | 1.13e-05 | 6NTS, FLT4, KLHL4, RELN, PPFIBP1, FOXC2 |
71 |
CUI_DEVELOPING_HEART_C4_ENDOTHELIAL_CELL | 5.59e-11 | 33.46 | 14.03 | 3.75e-09 | 3.75e-08 | 9MMRN1, KLHL4, ECSCR, MMRN2, ECE1, TM4SF1, EGFL7, RAMP2, EPHB4 |
146 |
AIZARANI_LIVER_C9_LSECS_1 | 6.57e-15 | 28.01 | 13.81 | 1.10e-12 | 4.41e-12 | 14MMRN1, LYVE1, FLT4, RELN, STAB1, ECE1, PPFIBP1, RHOJ, TIMP3, TM4SF1, PRSS23, APOLD1, EGFL7, EDN1 |
304 |
DESCARTES_FETAL_ADRENAL_VASCULAR_ENDOTHELIAL_CELLS | 1.24e-09 | 30.37 | 12.08 | 6.38e-08 | 8.29e-07 | 8FLT4, CLDN5, CP, ECSCR, MMRN2, PLIN4, EDN1, RAMP2 |
139 |
DESCARTES_MAIN_FETAL_LYMPHATIC_ENDOTHELIAL_CELLS | 5.38e-08 | 35.58 | 12.05 | 1.90e-06 | 3.61e-05 | 6NTS, LYVE1, FLT4, KLHL4, PPFIBP1, RHOJ |
86 |
AIZARANI_LIVER_C29_MVECS_2 | 2.59e-13 | 24.49 | 11.81 | 2.89e-11 | 1.74e-10 | 13MMRN1, NTS, CLDN5, LTBP4, MMRN2, ECE1, RHOJ, TIMP3, TM4SF1, PRSS23, APOLD1, EDN1, RAMP2 |
313 |
DESCARTES_FETAL_LIVER_VASCULAR_ENDOTHELIAL_CELLS | 1.46e-09 | 29.69 | 11.81 | 6.55e-08 | 9.82e-07 | 8NTS, FLT4, KLHL4, ECSCR, STAB1, MMRN2, EGFL7, EDN1 |
142 |
DESCARTES_FETAL_STOMACH_LYMPHATIC_ENDOTHELIAL_CELLS | 2.49e-05 | 63.38 | 11.71 | 5.06e-04 | 1.67e-02 | 3MMRN1, NTS, KLHL4 |
24 |
FAN_OVARY_CL16_LYMPHATIC_ENDOTHELIAL_CELL | 1.43e-10 | 23.54 | 10.36 | 8.01e-09 | 9.61e-08 | 10MMRN1, NTS, FLT4, CLDN5, PPFIBP1, TIMP3, TM4SF1, PRSS23, EGFL7, RAMP2 |
232 |
DESCARTES_FETAL_MUSCLE_LYMPHATIC_ENDOTHELIAL_CELLS | 8.82e-07 | 33.63 | 10.11 | 2.47e-05 | 5.92e-04 | 5NTS, FLT4, IL7, KLHL4, PPFIBP1 |
74 |
DESCARTES_FETAL_PLACENTA_VASCULAR_ENDOTHELIAL_CELLS | 1.49e-07 | 29.67 | 10.09 | 4.95e-06 | 1.00e-04 | 6NTS, CLDN5, ECSCR, RHOJ, EGFL7, RAMP2 |
102 |
FAN_EMBRYONIC_CTX_BRAIN_ENDOTHELIAL_1 | 9.45e-13 | 19.08 | 9.43 | 7.92e-11 | 6.34e-10 | 14FLT4, CLDN5, ECSCR, MMRN2, ECE1, PPFIBP1, RHOJ, TM4SF1, CLIC5, APOLD1, EGFL7, EDN1, RAMP2, LMCD1 |
440 |
DESCARTES_FETAL_EYE_VASCULAR_ENDOTHELIAL_CELLS | 2.33e-06 | 27.31 | 8.25 | 5.79e-05 | 1.56e-03 | 5FLT4, CLDN5, ECSCR, EGFL7, RAMP2 |
90 |
AIZARANI_LIVER_C32_MVECS_3 | 4.95e-07 | 23.92 | 8.18 | 1.51e-05 | 3.32e-04 | 6MMRN2, PPFIBP1, TIMP3, PRSS23, APOLD1, EPHB4 |
125 |
Dowload full table
mSigDB Hallmark Gene Sets:
P-value | OR | Lower 95% CI | FDR | FWER | Genes Found | Gene Set Size | |
---|---|---|---|---|---|---|---|
HALLMARK_KRAS_SIGNALING_UP | 1.27e-03 | 9.27 | 2.40 | 6.36e-02 | 6.36e-02 | 4FLT4, SCN1B, RELN, CFH |
200 |
HALLMARK_COAGULATION | 4.29e-03 | 9.88 | 1.94 | 1.07e-01 | 2.15e-01 | 3TIMP3, PRSS23, CFH |
138 |
HALLMARK_INTERFERON_GAMMA_RESPONSE | 1.18e-02 | 6.77 | 1.34 | 1.18e-01 | 5.89e-01 | 3FGL2, IL7, CFH |
200 |
HALLMARK_EPITHELIAL_MESENCHYMAL_TRANSITION | 1.18e-02 | 6.77 | 1.34 | 1.18e-01 | 5.89e-01 | 3TIMP3, FOXC2, ECM2 |
200 |
HALLMARK_INFLAMMATORY_RESPONSE | 1.18e-02 | 6.77 | 1.34 | 1.18e-01 | 5.89e-01 | 3SCN1B, STAB1, EDN1 |
200 |
HALLMARK_COMPLEMENT | 8.11e-02 | 4.40 | 0.51 | 5.80e-01 | 1.00e+00 | 2CP, CFH |
200 |
HALLMARK_ALLOGRAFT_REJECTION | 8.11e-02 | 4.40 | 0.51 | 5.80e-01 | 1.00e+00 | 2IL7, STAB1 |
200 |
HALLMARK_APICAL_SURFACE | 9.97e-02 | 9.91 | 0.24 | 6.23e-01 | 1.00e+00 | 1EPHB4 |
44 |
HALLMARK_IL6_JAK_STAT3_SIGNALING | 1.87e-01 | 4.96 | 0.12 | 9.01e-01 | 1.00e+00 | 1IL7 |
87 |
HALLMARK_INTERFERON_ALPHA_RESPONSE | 2.06e-01 | 4.44 | 0.11 | 9.01e-01 | 1.00e+00 | 1IL7 |
97 |
HALLMARK_APOPTOSIS | 3.18e-01 | 2.67 | 0.07 | 9.01e-01 | 1.00e+00 | 1TIMP3 |
161 |
HALLMARK_IL2_STAT5_SIGNALING | 3.77e-01 | 2.15 | 0.05 | 9.01e-01 | 1.00e+00 | 1FGL2 |
199 |
HALLMARK_TNFA_SIGNALING_VIA_NFKB | 3.78e-01 | 2.14 | 0.05 | 9.01e-01 | 1.00e+00 | 1EDN1 |
200 |
HALLMARK_HYPOXIA | 3.78e-01 | 2.14 | 0.05 | 9.01e-01 | 1.00e+00 | 1CP |
200 |
HALLMARK_ESTROGEN_RESPONSE_EARLY | 3.78e-01 | 2.14 | 0.05 | 9.01e-01 | 1.00e+00 | 1PRSS23 |
200 |
HALLMARK_ESTROGEN_RESPONSE_LATE | 3.78e-01 | 2.14 | 0.05 | 9.01e-01 | 1.00e+00 | 1PRSS23 |
200 |
HALLMARK_MYOGENESIS | 3.78e-01 | 2.14 | 0.05 | 9.01e-01 | 1.00e+00 | 1CHRNB1 |
200 |
HALLMARK_APICAL_JUNCTION | 3.78e-01 | 2.14 | 0.05 | 9.01e-01 | 1.00e+00 | 1CLDN5 |
200 |
HALLMARK_MTORC1_SIGNALING | 3.78e-01 | 2.14 | 0.05 | 9.01e-01 | 1.00e+00 | 1FGL2 |
200 |
HALLMARK_P53_PATHWAY | 3.78e-01 | 2.14 | 0.05 | 9.01e-01 | 1.00e+00 | 1TM4SF1 |
200 |
Dowload full table
KEGG Pathways:
P-value | OR | Lower 95% CI | FDR | FWER | Genes Found | Gene Set Size | |
---|---|---|---|---|---|---|---|
KEGG_AXON_GUIDANCE | 3.56e-03 | 10.59 | 2.08 | 6.62e-01 | 6.62e-01 | 3SEMA3D, NTN1, EPHB4 |
129 |
KEGG_FOCAL_ADHESION | 8.05e-02 | 4.42 | 0.52 | 1.00e+00 | 1.00e+00 | 2FLT4, RELN |
199 |
KEGG_CYTOKINE_CYTOKINE_RECEPTOR_INTERACTION | 1.29e-01 | 3.31 | 0.39 | 1.00e+00 | 1.00e+00 | 2FLT4, IL7 |
265 |
KEGG_PORPHYRIN_AND_CHLOROPHYLL_METABOLISM | 9.32e-02 | 10.66 | 0.26 | 1.00e+00 | 1.00e+00 | 1CP |
41 |
KEGG_COMPLEMENT_AND_COAGULATION_CASCADES | 1.52e-01 | 6.27 | 0.15 | 1.00e+00 | 1.00e+00 | 1CFH |
69 |
KEGG_ECM_RECEPTOR_INTERACTION | 1.82e-01 | 5.14 | 0.13 | 1.00e+00 | 1.00e+00 | 1RELN |
84 |
KEGG_HEMATOPOIETIC_CELL_LINEAGE | 1.87e-01 | 4.96 | 0.12 | 1.00e+00 | 1.00e+00 | 1IL7 |
87 |
KEGG_MELANOGENESIS | 2.14e-01 | 4.26 | 0.10 | 1.00e+00 | 1.00e+00 | 1EDN1 |
101 |
KEGG_TOLL_LIKE_RECEPTOR_SIGNALING_PATHWAY | 2.16e-01 | 4.22 | 0.10 | 1.00e+00 | 1.00e+00 | 1LBP |
102 |
KEGG_VASCULAR_SMOOTH_MUSCLE_CONTRACTION | 2.40e-01 | 3.74 | 0.09 | 1.00e+00 | 1.00e+00 | 1RAMP2 |
115 |
KEGG_LEUKOCYTE_TRANSENDOTHELIAL_MIGRATION | 2.41e-01 | 3.71 | 0.09 | 1.00e+00 | 1.00e+00 | 1CLDN5 |
116 |
KEGG_TIGHT_JUNCTION | 2.70e-01 | 3.26 | 0.08 | 1.00e+00 | 1.00e+00 | 1CLDN5 |
132 |
KEGG_CELL_ADHESION_MOLECULES_CAMS | 2.72e-01 | 3.23 | 0.08 | 1.00e+00 | 1.00e+00 | 1CLDN5 |
133 |
KEGG_JAK_STAT_SIGNALING_PATHWAY | 3.09e-01 | 2.77 | 0.07 | 1.00e+00 | 1.00e+00 | 1IL7 |
155 |
KEGG_NEUROACTIVE_LIGAND_RECEPTOR_INTERACTION | 4.76e-01 | 1.57 | 0.04 | 1.00e+00 | 1.00e+00 | 1CHRNB1 |
272 |
KEGG_N_GLYCAN_BIOSYNTHESIS | 1.00e+00 | 0.00 | 0.00 | 1.00e+00 | 1.00e+00 | 0 |
46 |
KEGG_OTHER_GLYCAN_DEGRADATION | 1.00e+00 | 0.00 | 0.00 | 1.00e+00 | 1.00e+00 | 0 |
16 |
KEGG_O_GLYCAN_BIOSYNTHESIS | 1.00e+00 | 0.00 | 0.00 | 1.00e+00 | 1.00e+00 | 0 |
30 |
KEGG_GLYCOSAMINOGLYCAN_DEGRADATION | 1.00e+00 | 0.00 | 0.00 | 1.00e+00 | 1.00e+00 | 0 |
21 |
KEGG_GLYCOSAMINOGLYCAN_BIOSYNTHESIS_KERATAN_SULFATE | 1.00e+00 | 0.00 | 0.00 | 1.00e+00 | 1.00e+00 | 0 |
15 |
Dowload full table
CHR Positional Gene Sets:
P-value | OR | Lower 95% CI | FDR | FWER | Genes Found | Gene Set Size | |
---|---|---|---|---|---|---|---|
chr3q25 | 5.04e-02 | 5.80 | 0.68 | 1.00e+00 | 1.00e+00 | 2CP, TM4SF1 |
152 |
chr7q22 | 9.02e-02 | 4.13 | 0.48 | 1.00e+00 | 1.00e+00 | 2RELN, EPHB4 |
213 |
chr17p13 | 1.87e-01 | 2.61 | 0.31 | 1.00e+00 | 1.00e+00 | 2NTN1, CHRNB1 |
336 |
chr17q21 | 2.89e-01 | 1.91 | 0.22 | 1.00e+00 | 1.00e+00 | 2MEOX1, RAMP2 |
457 |
chr6p24 | 1.27e-01 | 7.61 | 0.19 | 1.00e+00 | 1.00e+00 | 1EDN1 |
57 |
chr1p36 | 6.65e-01 | 1.33 | 0.16 | 1.00e+00 | 1.00e+00 | 2ECE1, RNF207 |
656 |
chr4q22 | 1.54e-01 | 6.18 | 0.15 | 1.00e+00 | 1.00e+00 | 1MMRN1 |
70 |
chr1q31 | 1.56e-01 | 6.09 | 0.15 | 1.00e+00 | 1.00e+00 | 1CFH |
71 |
chr12p11 | 1.68e-01 | 5.61 | 0.14 | 1.00e+00 | 1.00e+00 | 1PPFIBP1 |
77 |
chr19p13 | 6.98e-01 | 1.13 | 0.13 | 1.00e+00 | 1.00e+00 | 2PLIN4, LRG1 |
773 |
chrXq27 | 1.91e-01 | 4.85 | 0.12 | 1.00e+00 | 1.00e+00 | 1FMR1NB |
89 |
chr3q27 | 2.40e-01 | 3.74 | 0.09 | 1.00e+00 | 1.00e+00 | 1AHSG |
115 |
chr19q13 | 1.00e+00 | 0.75 | 0.09 | 1.00e+00 | 1.00e+00 | 2LTBP4, SCN1B |
1165 |
chr14q23 | 2.56e-01 | 3.47 | 0.09 | 1.00e+00 | 1.00e+00 | 1RHOJ |
124 |
chr12q21 | 2.63e-01 | 3.36 | 0.08 | 1.00e+00 | 1.00e+00 | 1NTS |
128 |
chr1p35 | 2.66e-01 | 3.31 | 0.08 | 1.00e+00 | 1.00e+00 | 1FAM229A |
130 |
chr16q24 | 2.66e-01 | 3.31 | 0.08 | 1.00e+00 | 1.00e+00 | 1FOXC2 |
130 |
chrXq21 | 2.77e-01 | 3.16 | 0.08 | 1.00e+00 | 1.00e+00 | 1KLHL4 |
136 |
chr11q14 | 2.85e-01 | 3.05 | 0.08 | 1.00e+00 | 1.00e+00 | 1PRSS23 |
141 |
chr3p25 | 2.92e-01 | 2.96 | 0.07 | 1.00e+00 | 1.00e+00 | 1LMCD1 |
145 |
Dowload full table
Transcription Factor Targets:
P-value | OR | Lower 95% CI | FDR | FWER | Genes Found | Gene Set Size | |
---|---|---|---|---|---|---|---|
STAT6_02 | 3.26e-03 | 7.10 | 1.84 | 1.00e+00 | 1.00e+00 | 4STAB1, RHOJ, EGFL7, EDN1 |
260 |
TGTYNNNNNRGCARM_UNKNOWN | 1.86e-02 | 10.12 | 1.17 | 1.00e+00 | 1.00e+00 | 2CP, RNF207 |
88 |
NFAT_Q6 | 2.09e-02 | 5.42 | 1.07 | 1.00e+00 | 1.00e+00 | 3FLT4, APOLD1, EDN1 |
249 |
ZNF33A_TARGET_GENES | 2.14e-02 | 5.38 | 1.06 | 1.00e+00 | 1.00e+00 | 3ECE1, PPFIBP1, RHOJ |
251 |
AREB6_04 | 2.18e-02 | 5.34 | 1.06 | 1.00e+00 | 1.00e+00 | 3MMRN1, APOLD1, EDN1 |
253 |
STAT4_01 | 2.53e-02 | 5.03 | 1.00 | 1.00e+00 | 1.00e+00 | 3STAB1, RHOJ, EDN1 |
268 |
TGCCAAR_NF1_Q6 | 2.56e-02 | 3.22 | 0.99 | 1.00e+00 | 1.00e+00 | 5FLT4, AHSG, TIMP3, CLIC5, EDN1 |
727 |
GATA1_05 | 2.92e-02 | 4.75 | 0.94 | 1.00e+00 | 1.00e+00 | 3IL7, KLHL4, EGFL7 |
284 |
RGAGGAARY_PU1_Q6 | 3.17e-02 | 3.56 | 0.93 | 1.00e+00 | 1.00e+00 | 4NTS, STAB1, MMRN2, RHOJ |
515 |
RYTTCCTG_ETS2_B | 3.89e-02 | 2.58 | 0.90 | 1.00e+00 | 1.00e+00 | 6MMRN1, CLDN5, RHOJ, APOLD1, EGFL7, RAMP2 |
1112 |
TGAYRTCA_ATF3_Q6 | 3.85e-02 | 3.33 | 0.87 | 1.00e+00 | 1.00e+00 | 4NTS, PPFIBP1, RHOJ, LMCD1 |
549 |
MEIS1AHOXA9_01 | 3.35e-02 | 7.32 | 0.85 | 1.00e+00 | 1.00e+00 | 2KLHL4, EDN1 |
121 |
HMGB1_TARGET_GENES | 8.02e-02 | 2.24 | 0.85 | 1.00e+00 | 1.00e+00 | 7LTBP4, SCN1B, ECE1, WIPF3, EGFL7, RAMP2, EPHB4 |
1523 |
GREB1_TARGET_GENES | 6.27e-02 | 2.48 | 0.77 | 1.00e+00 | 1.00e+00 | 5RNF207, PRSS23, EPHB4, LRG1, LMCD1 |
941 |
CTAWWWATA_RSRFC4_Q2 | 5.44e-02 | 3.68 | 0.73 | 1.00e+00 | 1.00e+00 | 3NTS, RNF207, LMCD1 |
366 |
TFEB_TARGET_GENES | 1.28e-01 | 2.06 | 0.72 | 1.00e+00 | 1.00e+00 | 6CP, STAB1, ECE1, RHOJ, APOLD1, EDN1 |
1387 |
HES2_TARGET_GENES | 1.33e-01 | 2.02 | 0.70 | 1.00e+00 | 1.00e+00 | 6CP, KLHL4, LBP, TM4SF1, APOLD1, EPHB4 |
1420 |
GGGYGTGNY_UNKNOWN | 7.35e-02 | 2.67 | 0.69 | 1.00e+00 | 1.00e+00 | 4IL7, APOLD1, RAMP2, CHRNB1 |
686 |
WGGAATGY_TEF1_Q6 | 6.21e-02 | 3.47 | 0.69 | 1.00e+00 | 1.00e+00 | 3PPFIBP1, RNF207, EDN1 |
387 |
YTATTTTNR_MEF2_02 | 8.24e-02 | 2.56 | 0.67 | 1.00e+00 | 1.00e+00 | 4NTS, RNF207, CLIC5, EDN1 |
715 |
Dowload full table
GO Biological Processes:
P-value | OR | Lower 95% CI | FDR | FWER | Genes Found | Gene Set Size | |
---|---|---|---|---|---|---|---|
GOBP_REGULATION_OF_SYSTEMIC_ARTERIAL_BLOOD_PRESSURE_BY_ENDOTHELIN | 5.55e-05 | 286.32 | 23.57 | 2.66e-02 | 4.16e-01 | 2ECE1, EDN1 |
5 |
GOBP_CDC42_PROTEIN_SIGNAL_TRANSDUCTION | 4.98e-04 | 72.33 | 7.67 | 1.33e-01 | 1.00e+00 | 2RHOJ, NTN1 |
14 |
GOBP_LYMPHANGIOGENESIS | 7.41e-04 | 57.94 | 6.26 | 1.66e-01 | 1.00e+00 | 2FLT4, FOXC2 |
17 |
GOBP_NEGATIVE_REGULATION_OF_VASCULAR_PERMEABILITY | 7.41e-04 | 57.94 | 6.26 | 1.66e-01 | 1.00e+00 | 2CLDN5, RAMP2 |
17 |
GOBP_SPROUTING_ANGIOGENESIS | 4.64e-06 | 16.01 | 5.50 | 3.47e-03 | 3.47e-02 | 6FLT4, MMRN2, RHOJ, RAMP2, FOXC2, EPHB4 |
184 |
GOBP_BLOOD_VESSEL_MORPHOGENESIS | 3.02e-09 | 11.06 | 5.37 | 1.13e-05 | 2.26e-05 | 13FLT4, CLDN5, ECSCR, STAB1, MMRN2, RHOJ, APOLD1, EGFL7, EDN1, RAMP2, FOXC2, EPHB4, LRG1 |
677 |
GOBP_CELL_MIGRATION_INVOLVED_IN_SPROUTING_ANGIOGENESIS | 7.05e-05 | 20.40 | 5.23 | 3.10e-02 | 5.27e-01 | 4MMRN2, RHOJ, FOXC2, EPHB4 |
93 |
GOBP_TUBE_MORPHOGENESIS | 8.66e-10 | 10.13 | 5.12 | 6.48e-06 | 6.48e-06 | 15FLT4, CLDN5, ECSCR, STAB1, MMRN2, RNF207, RHOJ, NTN1, APOLD1, EGFL7, EDN1, RAMP2, FOXC2, EPHB4, LRG1 |
900 |
GOBP_LYMPH_VESSEL_MORPHOGENESIS | 1.14e-03 | 45.73 | 5.03 | 2.18e-01 | 1.00e+00 | 2FLT4, FOXC2 |
21 |
GOBP_REGULATION_OF_VENTRICULAR_CARDIAC_MUSCLE_CELL_MEMBRANE_REPOLARIZATION | 1.25e-03 | 43.46 | 4.80 | 2.33e-01 | 1.00e+00 | 2SCN1B, RNF207 |
22 |
GOBP_VASCULATURE_DEVELOPMENT | 1.69e-08 | 9.50 | 4.62 | 2.74e-05 | 1.26e-04 | 13FLT4, CLDN5, ECSCR, STAB1, MMRN2, RHOJ, APOLD1, EGFL7, EDN1, RAMP2, FOXC2, EPHB4, LRG1 |
786 |
GOBP_TUBE_DEVELOPMENT | 9.78e-09 | 8.38 | 4.24 | 2.44e-05 | 7.31e-05 | 15FLT4, CLDN5, ECSCR, STAB1, MMRN2, RNF207, RHOJ, NTN1, APOLD1, EGFL7, EDN1, RAMP2, FOXC2, EPHB4, LRG1 |
1085 |
GOBP_LYMPH_VESSEL_DEVELOPMENT | 1.74e-03 | 36.25 | 4.04 | 2.90e-01 | 1.00e+00 | 2FLT4, FOXC2 |
26 |
GOBP_VENTRICULAR_CARDIAC_MUSCLE_CELL_MEMBRANE_REPOLARIZATION | 1.74e-03 | 36.25 | 4.04 | 2.90e-01 | 1.00e+00 | 2SCN1B, RNF207 |
26 |
GOBP_CIRCULATORY_SYSTEM_DEVELOPMENT | 1.83e-08 | 7.97 | 4.03 | 2.74e-05 | 1.37e-04 | 15FLT4, CLDN5, ECSCR, STAB1, MMRN2, ECE1, RNF207, RHOJ, APOLD1, EGFL7, EDN1, RAMP2, FOXC2, EPHB4, LRG1 |
1140 |
GOBP_POSITIVE_REGULATION_OF_GRANULOCYTE_CHEMOTAXIS | 1.88e-03 | 34.78 | 3.89 | 2.93e-01 | 1.00e+00 | 2LBP, EDN1 |
27 |
GOBP_REGULATION_OF_CARDIAC_MUSCLE_CELL_MEMBRANE_REPOLARIZATION | 1.88e-03 | 34.78 | 3.89 | 2.93e-01 | 1.00e+00 | 2SCN1B, RNF207 |
27 |
GOBP_REGULATION_OF_VASCULATURE_DEVELOPMENT | 1.41e-05 | 10.19 | 3.84 | 9.24e-03 | 1.05e-01 | 7CLDN5, ECSCR, STAB1, RHOJ, RAMP2, FOXC2, LRG1 |
341 |
GOBP_POSITIVE_REGULATION_OF_ENDOTHELIAL_CELL_MIGRATION | 2.71e-04 | 14.20 | 3.66 | 8.74e-02 | 1.00e+00 | 4FLT4, RHOJ, EDN1, FOXC2 |
132 |
GOBP_ENDOTHELIAL_CELL_MIGRATION | 4.68e-05 | 10.48 | 3.62 | 2.50e-02 | 3.50e-01 | 6FLT4, MMRN2, RHOJ, EDN1, FOXC2, EPHB4 |
278 |
Dowload full table
Immunological Gene Sets:
P-value | OR | Lower 95% CI | FDR | FWER | Genes Found | Gene Set Size | |
---|---|---|---|---|---|---|---|
GSE20715_0H_VS_24H_OZONE_TLR4_KO_LUNG_DN | 7.45e-06 | 14.69 | 5.06 | 1.82e-02 | 3.63e-02 | 6LYVE1, SLC45A3, LBP, EDN1, RAMP2, LRG1 |
200 |
GSE19198_CTRL_VS_IL21_TREATED_TCELL_24H_UP | 7.45e-06 | 14.69 | 5.06 | 1.82e-02 | 3.63e-02 | 6LYVE1, CP, STAB1, RHOJ, TIMP3, EDN1 |
200 |
GSE37533_PPARG1_FOXP3_VS_PPARG2_FOXP3_TRANSDUCED_CD4_TCELL_PIOGLITAZONE_TREATED_UP | 9.82e-05 | 12.16 | 3.72 | 1.28e-01 | 4.78e-01 | 5AHSG, TM4SF1, RAMP2, EPHB4, LMCD1 |
196 |
GSE19888_ADENOSINE_A3R_INH_VS_ACT_IN_MAST_CELL_DN | 1.05e-04 | 11.97 | 3.67 | 1.28e-01 | 5.13e-01 | 5MMRN1, FGL2, FLT4, ACKR2, CP |
199 |
GSE6259_FLT3L_INDUCED_33D1_POS_DC_VS_CD4_TCELL_UP | 7.15e-04 | 10.88 | 2.81 | 3.87e-01 | 1.00e+00 | 4LYVE1, CP, STAB1, CFH |
171 |
GSE21927_SPLEEN_VS_C26GM_TUMOR_MONOCYTE_BALBC_UP | 9.94e-04 | 9.93 | 2.57 | 3.87e-01 | 1.00e+00 | 4MMRN1, PRSS23, FMR1NB, LRG1 |
187 |
GSE41867_DAY8_VS_DAY15_LCMV_ARMSTRONG_EFFECTOR_CD8_TCELL_UP | 1.05e-03 | 9.77 | 2.53 | 3.87e-01 | 1.00e+00 | 4ACKR2, KLHL4, RNF207, FMR1NB |
190 |
GSE37605_C57BL6_VS_NOD_FOXP3_FUSION_GFP_TREG_DN | 1.07e-03 | 9.72 | 2.51 | 3.87e-01 | 1.00e+00 | 4CP, TM4SF1, APOLD1, EDN1 |
191 |
GSE13484_12H_UNSTIM_VS_YF17D_VACCINE_STIM_PBMC_DN | 1.23e-03 | 9.37 | 2.43 | 3.87e-01 | 1.00e+00 | 4LYVE1, LBP, ECE1, EDN1 |
198 |
GSE15930_STIM_VS_STIM_AND_TRICHOSTATINA_24H_CD8_T_CELL_UP | 1.25e-03 | 9.32 | 2.41 | 3.87e-01 | 1.00e+00 | 4ACKR2, ECE1, NTN1, MEOX1 |
199 |
GSE17721_PAM3CSK4_VS_GADIQUIMOD_2H_BMDC_UP | 1.27e-03 | 9.27 | 2.40 | 3.87e-01 | 1.00e+00 | 4CLDN5, ECE1, TIMP3, EDN1 |
200 |
GSE2585_CTEC_VS_THYMIC_MACROPHAGE_UP | 1.27e-03 | 9.27 | 2.40 | 3.87e-01 | 1.00e+00 | 4STAB1, ECE1, PRSS23, CFH |
200 |
GSE4748_CTRL_VS_LPS_STIM_DC_3H_UP | 1.27e-03 | 9.27 | 2.40 | 3.87e-01 | 1.00e+00 | 4RHOJ, TIMP3, PRSS23, EDN1 |
200 |
GSE9601_NFKB_INHIBITOR_VS_PI3K_INHIBITOR_TREATED_HCMV_INF_MONOCYTE_DN | 1.27e-03 | 9.27 | 2.40 | 3.87e-01 | 1.00e+00 | 4FGL2, NTS, TM4SF1, EDN1 |
200 |
GSE21379_WT_VS_SAP_KO_TFH_CD4_TCELL_UP | 1.27e-03 | 9.27 | 2.40 | 3.87e-01 | 1.00e+00 | 4ECSCR, RHOJ, TM4SF1, LRG1 |
200 |
GSE42724_NAIVE_VS_MEMORY_BCELL_UP | 1.27e-03 | 9.27 | 2.40 | 3.87e-01 | 1.00e+00 | 4CLDN5, PRSS23, PLIN4, CHRNB1 |
200 |
GSE37605_TREG_VS_TCONV_NOD_FOXP3_FUSION_GFP_UP | 5.41e-03 | 9.07 | 1.79 | 6.38e-01 | 1.00e+00 | 3APOLD1, EDN1, LMCD1 |
150 |
GSE40274_CTRL_VS_FOXP3_AND_LEF1_TRANSDUCED_ACTIVATED_CD4_TCELL_UP | 7.02e-03 | 8.23 | 1.62 | 6.38e-01 | 1.00e+00 | 3FGL2, PPFIBP1, APOLD1 |
165 |
GSE14415_ACT_TCONV_VS_ACT_NATURAL_TREG_UP | 7.86e-03 | 7.89 | 1.56 | 6.38e-01 | 1.00e+00 | 3ACKR2, RNF207, ECM2 |
172 |
GSE6092_IFNG_VS_IFNG_AND_B_BURGDORFERI_INF_ENDOTHELIAL_CELL_DN | 8.23e-03 | 7.76 | 1.53 | 6.38e-01 | 1.00e+00 | 3FGL2, CP, CLIC5 |
175 |
Top Ranked Transcription Factors for this Gene Expression Program:
Gene Symbol | TF Rank | DNA Binding Domain | Motif Status | IUPAC PWM | GTEx | DepMap | Decartes |
---|---|---|---|---|---|---|---|
RELN | 21 | No | Unlikely to be sequence specific TF | Not a DNA binding protein | No motif | None | Protein is a large secreted extracellular matrix protein |
EDN1 | 40 | No | Unlikely to be sequence specific TF | Not a DNA binding protein | No motif | None | Protein that is processed into a secreted signaling peptide |
MEOX1 | 41 | Yes | Known motif | Monomer or homomultimer | High-throughput in vitro | None | None |
FOXC2 | 43 | Yes | Known motif | Monomer or homomultimer | High-throughput in vitro | None | None |
FZD6 | 61 | No | Unlikely to be sequence specific TF | Not a DNA binding protein | No motif | None | None |
GAS6 | 99 | No | Unlikely to be sequence specific TF | Not a DNA binding protein | No motif | None | None |
ADGRG3 | 110 | No | Unlikely to be sequence specific TF | Not a DNA binding protein | No motif | None | None |
PCSK6 | 130 | No | Unlikely to be sequence specific TF | Not a DNA binding protein | No motif | None | None |
SOX18 | 133 | Yes | Known motif | Monomer or homomultimer | High-throughput in vitro | None | None |
HIC1 | 139 | Yes | Known motif | Monomer or homomultimer | High-throughput in vitro | None | None |
DTX1 | 143 | No | Unlikely to be sequence specific TF | Not a DNA binding protein | No motif | None | This protein is an E3 ligase that operates in the Notch pathway |
FOXC1 | 148 | Yes | Known motif | Monomer or homomultimer | High-throughput in vitro | None | None |
ELK3 | 157 | Yes | Known motif | Monomer or homomultimer | High-throughput in vitro | None | None |
NR2F2 | 161 | Yes | Known motif | Monomer or homomultimer | 100 perc ID - in vitro | None | None |
CCDC3 | 172 | No | Unlikely to be sequence specific TF | Not a DNA binding protein | No motif | None | bZIP domain is truncated and lacks the DNA-contacting residues. |
NOTCH1 | 173 | No | Unlikely to be sequence specific TF | Not a DNA binding protein | No motif | None | A transmembrane protein that inhibits MEF2C activation (PMID: 10082551). NOTCH1 does not bind DNA in the structure, and is not required for DNA binding, since RBPJ is bound without it in (PDB:4J2X). |
WWTR1 | 207 | No | Unlikely to be sequence specific TF | Not a DNA binding protein | No motif | None | Transcriptional co-activator that binds to TEADs (PMID: 19324877) and TBX5 (PMID: 16332960) |
AR | 208 | Yes | Known motif | Monomer or homomultimer | High-throughput in vitro | None | None |
TSHZ2 | 209 | Yes | Likely to be sequence specific TF | Monomer or homomultimer | No motif | None | Also contains an atypical homodomain (Uniprot) not identified by Pfam. |
MAF | 225 | Yes | Known motif | Monomer or homomultimer | High-throughput in vitro | None | None |
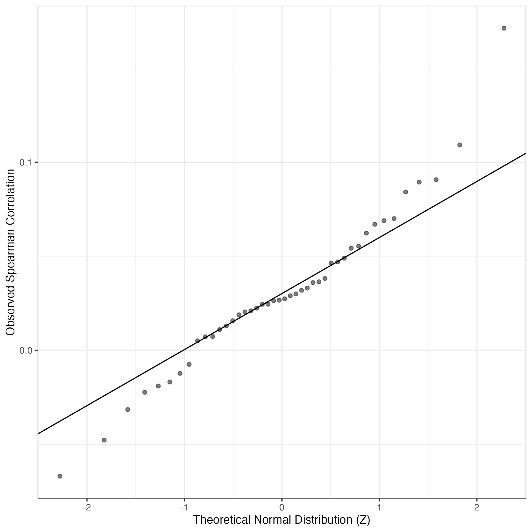
QQ Plot showing correlations with other Gene Expression Programs in this dataset, calculated by Spearman correlation:
Interactive QQ-plot of gene loadings:
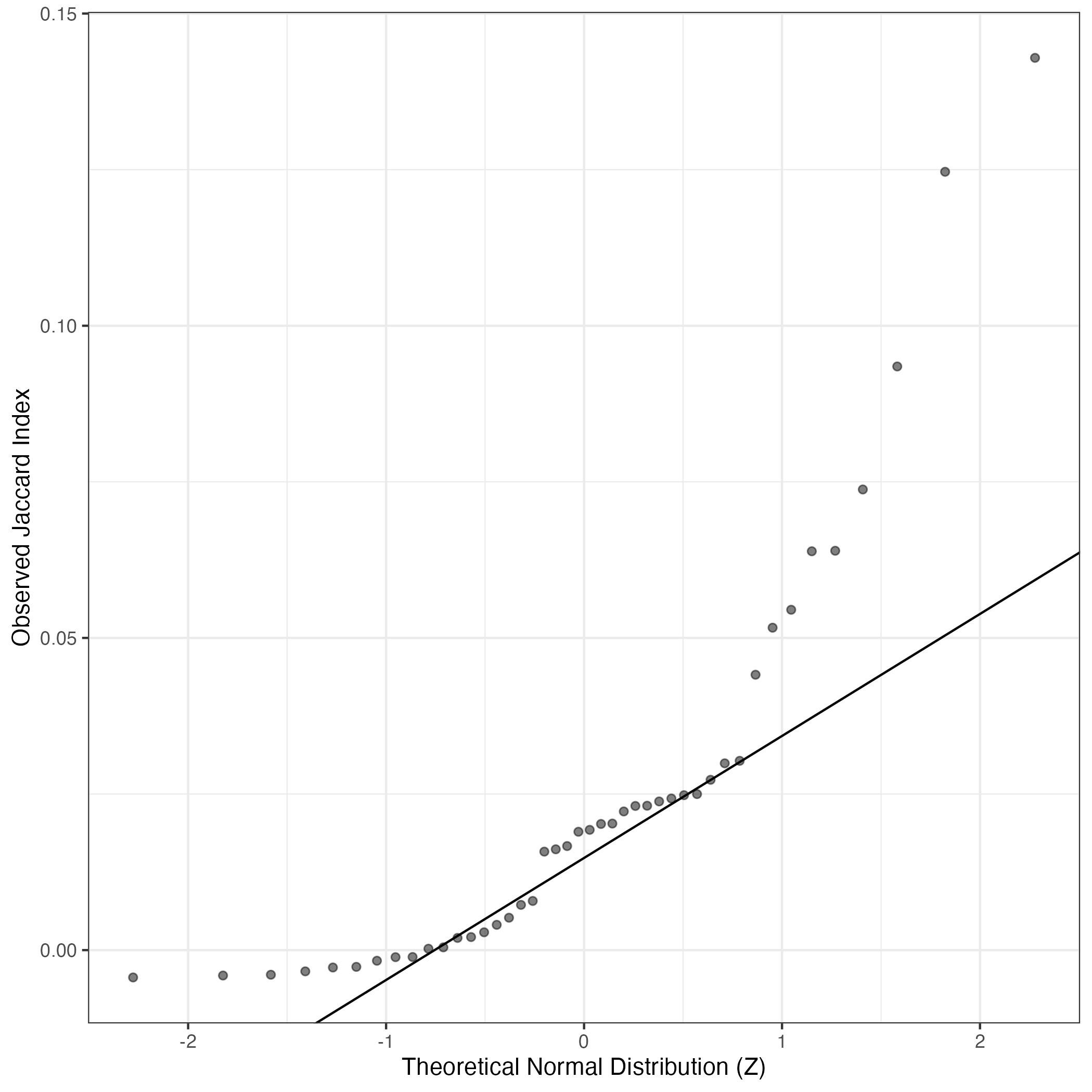
A similar QQ-plot as above, but only for instances where the H value is e.g. > 25, i.e. we are confident that the expression program is active above noise. Agreemenet between these binary vectors is tested using the Jaccard Index, with the P-values calculated by an exact test:
Interactive QQ-plot:
Singler cell type annotations for the top 50 cells on this program.
Cell ID | Singler label | Singler Delta | Activity Score | Top Singler Raw Scores |
---|---|---|---|---|
849_AGAAATGCAGGGTCTC-1 | Endothelial_cells:lymphatic | 0.19 | 4394.42 | Raw ScoresEndothelial_cells:lymphatic: 0.5, Endothelial_cells:lymphatic:TNFa_48h: 0.49, Endothelial_cells:HUVEC:VEGF: 0.47, Endothelial_cells:HUVEC: 0.46, Endothelial_cells:blood_vessel: 0.46, Endothelial_cells:HUVEC:Serum_Amyloid_A: 0.46, Endothelial_cells:HUVEC:FPV-infected: 0.46, Endothelial_cells:HUVEC:B._anthracis_LT: 0.46, Endothelial_cells:HUVEC:PR8-infected: 0.45, Endothelial_cells:lymphatic:KSHV: 0.45 |
849_TTACTGTAGCGCCGTT-1 | Endothelial_cells:lymphatic | 0.16 | 1133.29 | Raw ScoresEndothelial_cells:lymphatic: 0.44, Endothelial_cells:lymphatic:TNFa_48h: 0.43, Endothelial_cells:blood_vessel: 0.4, Endothelial_cells:lymphatic:KSHV: 0.4, Endothelial_cells:HUVEC:Serum_Amyloid_A: 0.4, Endothelial_cells:HUVEC:FPV-infected: 0.39, Endothelial_cells:HUVEC: 0.39, Endothelial_cells:HUVEC:B._anthracis_LT: 0.39, Endothelial_cells:HUVEC:PR8-infected: 0.39, Endothelial_cells:HUVEC:VEGF: 0.39 |
847_GAGCCTGAGCGTCTCG-1 | Endothelial_cells:lymphatic | 0.18 | 917.21 | Raw ScoresEndothelial_cells:lymphatic: 0.41, Endothelial_cells:lymphatic:TNFa_48h: 0.4, Endothelial_cells:blood_vessel: 0.38, Endothelial_cells:lymphatic:KSHV: 0.38, Endothelial_cells:HUVEC:Serum_Amyloid_A: 0.36, Endothelial_cells:HUVEC: 0.36, Endothelial_cells:HUVEC:IL-1b: 0.35, Endothelial_cells:HUVEC:FPV-infected: 0.35, Endothelial_cells:HUVEC:B._anthracis_LT: 0.35, Endothelial_cells:HUVEC:VEGF: 0.35 |
855_GATGACTGTCGGTAAG-1 | Endothelial_cells:lymphatic:KSHV | 0.12 | 791.21 | Raw ScoresEndothelial_cells:lymphatic: 0.34, Endothelial_cells:lymphatic:TNFa_48h: 0.34, Endothelial_cells:lymphatic:KSHV: 0.33, Endothelial_cells:blood_vessel: 0.32, Endothelial_cells:HUVEC:B._anthracis_LT: 0.31, Endothelial_cells:HUVEC: 0.31, Endothelial_cells:HUVEC:FPV-infected: 0.3, Endothelial_cells:HUVEC:PR8-infected: 0.3, Endothelial_cells:HUVEC:H5N1-infected: 0.3, Endothelial_cells:HUVEC:Serum_Amyloid_A: 0.3 |
855_ACGGTTAGTATCGAGG-1 | Endothelial_cells:lymphatic | 0.13 | 670.76 | Raw ScoresEndothelial_cells:lymphatic:TNFa_48h: 0.37, Endothelial_cells:lymphatic: 0.37, Endothelial_cells:blood_vessel: 0.35, Endothelial_cells:HUVEC:FPV-infected: 0.35, Endothelial_cells:lymphatic:KSHV: 0.35, Endothelial_cells:HUVEC: 0.35, Endothelial_cells:HUVEC:B._anthracis_LT: 0.35, Endothelial_cells:HUVEC:H5N1-infected: 0.34, Endothelial_cells:HUVEC:PR8-infected: 0.34, Endothelial_cells:HUVEC:IL-1b: 0.34 |
847_TCATCATAGCGAGTAC-1 | Endothelial_cells:HUVEC:Borrelia_burgdorferi | 0.12 | 281.35 | Raw ScoresEndothelial_cells:lymphatic: 0.39, Endothelial_cells:lymphatic:TNFa_48h: 0.38, Endothelial_cells:blood_vessel: 0.38, Endothelial_cells:lymphatic:KSHV: 0.37, Endothelial_cells:HUVEC: 0.37, Endothelial_cells:HUVEC:Serum_Amyloid_A: 0.37, Endothelial_cells:HUVEC:H5N1-infected: 0.37, Endothelial_cells:HUVEC:FPV-infected: 0.37, Endothelial_cells:HUVEC:PR8-infected: 0.37, Endothelial_cells:HUVEC:VEGF: 0.36 |
847_TGCTGAATCCTTGACC-1 | Endothelial_cells:lymphatic | 0.16 | 248.76 | Raw ScoresEndothelial_cells:lymphatic: 0.41, Endothelial_cells:lymphatic:TNFa_48h: 0.4, Endothelial_cells:blood_vessel: 0.4, Endothelial_cells:HUVEC:Serum_Amyloid_A: 0.39, Endothelial_cells:lymphatic:KSHV: 0.39, Endothelial_cells:HUVEC: 0.38, Endothelial_cells:HUVEC:VEGF: 0.38, Endothelial_cells:HUVEC:PR8-infected: 0.38, Endothelial_cells:HUVEC:B._anthracis_LT: 0.38, Endothelial_cells:HUVEC:IL-1b: 0.38 |
847_CCGTAGGTCACTACTT-1 | Endothelial_cells:lymphatic:TNFa_48h | 0.15 | 235.18 | Raw ScoresEndothelial_cells:lymphatic: 0.43, Endothelial_cells:lymphatic:TNFa_48h: 0.43, Endothelial_cells:blood_vessel: 0.42, Endothelial_cells:lymphatic:KSHV: 0.41, Endothelial_cells:HUVEC:Serum_Amyloid_A: 0.4, Endothelial_cells:HUVEC: 0.4, Endothelial_cells:HUVEC:VEGF: 0.4, Endothelial_cells:HUVEC:IL-1b: 0.39, Endothelial_cells:HUVEC:FPV-infected: 0.39, Endothelial_cells:HUVEC:H5N1-infected: 0.39 |
837_TTCACCGCAGAATGTA-1 | Endothelial_cells:blood_vessel | 0.18 | 223.99 | Raw ScoresEndothelial_cells:blood_vessel: 0.53, Endothelial_cells:lymphatic: 0.52, Endothelial_cells:lymphatic:TNFa_48h: 0.52, Endothelial_cells:lymphatic:KSHV: 0.52, Endothelial_cells:HUVEC:IL-1b: 0.52, Endothelial_cells:HUVEC: 0.52, Endothelial_cells:HUVEC:Serum_Amyloid_A: 0.52, Endothelial_cells:HUVEC:FPV-infected: 0.51, Endothelial_cells:HUVEC:PR8-infected: 0.51, Endothelial_cells:HUVEC:B._anthracis_LT: 0.51 |
847_ATCACTTCATGAATCC-1 | Endothelial_cells:blood_vessel | 0.12 | 201.19 | Raw ScoresEndothelial_cells:blood_vessel: 0.39, Endothelial_cells:lymphatic: 0.38, Endothelial_cells:lymphatic:TNFa_48h: 0.38, Endothelial_cells:lymphatic:KSHV: 0.38, Endothelial_cells:HUVEC:Serum_Amyloid_A: 0.37, Endothelial_cells:HUVEC: 0.37, Endothelial_cells:HUVEC:VEGF: 0.36, Endothelial_cells:HUVEC:IL-1b: 0.36, Endothelial_cells:HUVEC:H5N1-infected: 0.36, Endothelial_cells:HUVEC:PR8-infected: 0.36 |
855_CGTGATACAATGACCT-1 | Endothelial_cells:lymphatic | 0.14 | 169.11 | Raw ScoresEndothelial_cells:lymphatic: 0.43, Endothelial_cells:lymphatic:TNFa_48h: 0.42, Endothelial_cells:blood_vessel: 0.42, Endothelial_cells:lymphatic:KSHV: 0.41, Endothelial_cells:HUVEC:FPV-infected: 0.41, Endothelial_cells:HUVEC:PR8-infected: 0.41, Endothelial_cells:HUVEC:B._anthracis_LT: 0.4, Endothelial_cells:HUVEC:H5N1-infected: 0.4, Endothelial_cells:HUVEC: 0.4, Endothelial_cells:HUVEC:Serum_Amyloid_A: 0.4 |
839_TTGTGGAAGGGCTTCC-1 | Epithelial_cells:bladder | 0.10 | 169.10 | Raw ScoresEpithelial_cells:bronchial: 0.45, Epithelial_cells:bladder: 0.44, Hepatocytes: 0.43, iPS_cells:CRL2097_foreskin-derived:d20_hepatic_diff: 0.41, Endothelial_cells:lymphatic: 0.4, Endothelial_cells:lymphatic:TNFa_48h: 0.4, iPS_cells:iPS:minicircle-derived: 0.4, iPS_cells:CRL2097_foreskin-derived:undiff.: 0.4, Neurons:Schwann_cell: 0.4, Endothelial_cells:HUVEC:FPV-infected: 0.39 |
839_GGGTCACAGCGCTGCT-1 | Monocyte:leukotriene_D4 | 0.09 | 157.89 | Raw ScoresMonocyte:leukotriene_D4: 0.35, Macrophage:monocyte-derived:M-CSF/IFNg: 0.35, Monocyte:CD16+: 0.35, DC:monocyte-derived:AEC-conditioned: 0.35, Monocyte:CD16-: 0.35, Monocyte:CD14+: 0.35, Monocyte: 0.35, Monocyte:anti-FcgRIIB: 0.35, DC:monocyte-derived:Poly(IC): 0.34, Macrophage:monocyte-derived:M-CSF/IFNg/Pam3Cys: 0.34 |
855_CAGATTGGTGGCCTCA-1 | Chondrocytes:MSC-derived | 0.16 | 150.96 | Raw ScoresFibroblasts:breast: 0.43, iPS_cells:adipose_stem_cells: 0.43, Chondrocytes:MSC-derived: 0.43, Osteoblasts: 0.43, Tissue_stem_cells:BM_MSC:BMP2: 0.42, Tissue_stem_cells:BM_MSC:TGFb3: 0.42, Smooth_muscle_cells:bronchial:vit_D: 0.42, Smooth_muscle_cells:bronchial: 0.42, Smooth_muscle_cells:vascular: 0.42, Smooth_muscle_cells:vascular:IL-17: 0.42 |
864_TCGATTTCATTGGCAT-1 | Endothelial_cells:blood_vessel | 0.18 | 140.43 | Raw ScoresEndothelial_cells:lymphatic:TNFa_48h: 0.54, Endothelial_cells:lymphatic: 0.54, Endothelial_cells:blood_vessel: 0.54, Endothelial_cells:lymphatic:KSHV: 0.53, Endothelial_cells:HUVEC:Serum_Amyloid_A: 0.53, Endothelial_cells:HUVEC: 0.53, Endothelial_cells:HUVEC:FPV-infected: 0.52, Endothelial_cells:HUVEC:IL-1b: 0.52, Endothelial_cells:HUVEC:PR8-infected: 0.52, Endothelial_cells:HUVEC:VEGF: 0.52 |
839_CGCATAAAGATCCGAG-1 | Endothelial_cells:blood_vessel | 0.17 | 133.71 | Raw ScoresEndothelial_cells:lymphatic: 0.46, Endothelial_cells:lymphatic:TNFa_48h: 0.45, Endothelial_cells:blood_vessel: 0.45, Endothelial_cells:lymphatic:KSHV: 0.44, Endothelial_cells:HUVEC:FPV-infected: 0.43, Endothelial_cells:HUVEC: 0.43, Endothelial_cells:HUVEC:VEGF: 0.43, Endothelial_cells:HUVEC:Serum_Amyloid_A: 0.43, Endothelial_cells:HUVEC:PR8-infected: 0.42, Endothelial_cells:HUVEC:B._anthracis_LT: 0.42 |
837_ATTCTACAGCTTTGTG-1 | Endothelial_cells:lymphatic:TNFa_48h | 0.16 | 128.99 | Raw ScoresEndothelial_cells:blood_vessel: 0.48, Endothelial_cells:lymphatic:KSHV: 0.47, Endothelial_cells:lymphatic:TNFa_48h: 0.47, Endothelial_cells:lymphatic: 0.47, Endothelial_cells:HUVEC:PR8-infected: 0.47, Endothelial_cells:HUVEC:FPV-infected: 0.46, Endothelial_cells:HUVEC:Serum_Amyloid_A: 0.46, Endothelial_cells:HUVEC:IL-1b: 0.46, Endothelial_cells:HUVEC:H5N1-infected: 0.46, Endothelial_cells:HUVEC:B._anthracis_LT: 0.46 |
831_GACATCAAGAACGTGC-1 | Endothelial_cells:lymphatic:TNFa_48h | 0.15 | 122.11 | Raw ScoresEndothelial_cells:lymphatic:TNFa_48h: 0.43, Endothelial_cells:lymphatic: 0.42, Endothelial_cells:lymphatic:KSHV: 0.42, Endothelial_cells:blood_vessel: 0.42, Endothelial_cells:HUVEC: 0.41, Endothelial_cells:HUVEC:Serum_Amyloid_A: 0.41, Endothelial_cells:HUVEC:VEGF: 0.41, Endothelial_cells:HUVEC:IL-1b: 0.41, Endothelial_cells:HUVEC:PR8-infected: 0.4, Endothelial_cells:HUVEC:FPV-infected: 0.4 |
883_TCAGTTTTCCTGTAAG-1 | Endothelial_cells:lymphatic | 0.12 | 115.47 | Raw ScoresEndothelial_cells:lymphatic:TNFa_48h: 0.31, Endothelial_cells:lymphatic: 0.31, Endothelial_cells:lymphatic:KSHV: 0.31, Endothelial_cells:blood_vessel: 0.31, Endothelial_cells:HUVEC:FPV-infected: 0.3, Endothelial_cells:HUVEC: 0.3, Endothelial_cells:HUVEC:VEGF: 0.29, Endothelial_cells:HUVEC:Serum_Amyloid_A: 0.29, Endothelial_cells:HUVEC:PR8-infected: 0.29, Endothelial_cells:HUVEC:Borrelia_burgdorferi: 0.29 |
864_CGGTCAGCAGCGATTT-1 | Endothelial_cells:lymphatic:KSHV | 0.12 | 111.61 | Raw ScoresEndothelial_cells:HUVEC: 0.48, Endothelial_cells:HUVEC:IL-1b: 0.48, Endothelial_cells:HUVEC:FPV-infected: 0.48, Endothelial_cells:HUVEC:H5N1-infected: 0.47, Endothelial_cells:HUVEC:PR8-infected: 0.47, Endothelial_cells:HUVEC:VEGF: 0.47, Endothelial_cells:lymphatic:TNFa_48h: 0.47, Endothelial_cells:lymphatic:KSHV: 0.46, Endothelial_cells:HUVEC:B._anthracis_LT: 0.46, Endothelial_cells:HUVEC:Serum_Amyloid_A: 0.46 |
849_TACCTCGCAGGGTCTC-1 | Fibroblasts:breast | 0.14 | 104.45 | Raw ScoresFibroblasts:breast: 0.34, iPS_cells:adipose_stem_cells: 0.34, Smooth_muscle_cells:vascular: 0.34, Osteoblasts: 0.33, Smooth_muscle_cells:vascular:IL-17: 0.33, Tissue_stem_cells:iliac_MSC: 0.33, Chondrocytes:MSC-derived: 0.33, Smooth_muscle_cells:bronchial: 0.33, iPS_cells:CRL2097_foreskin: 0.33, Smooth_muscle_cells:bronchial:vit_D: 0.33 |
839_GGTTAACCATAGTCAC-1 | T_cell:gamma-delta | 0.10 | 101.97 | Raw ScoresT_cell:gamma-delta: 0.34, NK_cell:IL2: 0.34, T_cell:CD4+_central_memory: 0.34, T_cell:CD4+_effector_memory: 0.33, NK_cell: 0.33, T_cell:CD8+: 0.33, T_cell:CD4+: 0.32, NK_cell:CD56hiCD62L+: 0.32, T_cell:CD4+_Naive: 0.32, Pre-B_cell_CD34-: 0.32 |
839_CCTCAACAGCAGATAT-1 | NK_cell:IL2 | 0.07 | 97.76 | Raw ScoresNK_cell:IL2: 0.28, NK_cell: 0.27, T_cell:CD4+: 0.27, T_cell:gamma-delta: 0.27, T_cell:CD8+: 0.27, T_cell:CD4+_effector_memory: 0.27, T_cell:CD4+central_memory: 0.27, NK_cell:CD56hiCD62L+: 0.26, Pre-B_cell_CD34-: 0.26, HSC-G-CSF: 0.26 |
849_AATTTCCAGTCTGGAG-1 | Fibroblasts:breast | 0.22 | 93.85 | Raw ScoresFibroblasts:breast: 0.43, Smooth_muscle_cells:bronchial: 0.43, Smooth_muscle_cells:bronchial:vit_D: 0.42, Osteoblasts: 0.42, iPS_cells:adipose_stem_cells: 0.42, Smooth_muscle_cells:vascular: 0.42, Chondrocytes:MSC-derived: 0.41, Smooth_muscle_cells:vascular:IL-17: 0.41, iPS_cells:CRL2097_foreskin: 0.41, Tissue_stem_cells:BM_MSC:TGFb3: 0.41 |
839_TTGAGTGCACTTGTCC-1 | Tissue_stem_cells:BM_MSC:TGFb3 | 0.17 | 93.17 | Raw ScoresFibroblasts:breast: 0.44, Smooth_muscle_cells:bronchial:vit_D: 0.43, Smooth_muscle_cells:bronchial: 0.43, iPS_cells:adipose_stem_cells: 0.43, Smooth_muscle_cells:vascular: 0.43, Smooth_muscle_cells:vascular:IL-17: 0.42, Osteoblasts: 0.42, Tissue_stem_cells:BM_MSC:TGFb3: 0.42, Tissue_stem_cells:BM_MSC:BMP2: 0.42, Chondrocytes:MSC-derived: 0.42 |
839_GTTCTATGTTCTCCTG-1 | T_cell:CD8+ | 0.12 | 92.37 | Raw ScoresT_cell:CD4+_central_memory: 0.35, T_cell:CD4+_effector_memory: 0.34, T_cell:CD8+: 0.34, T_cell:CD4+_Naive: 0.34, T_cell:CD4+: 0.34, T_cell:gamma-delta: 0.33, NK_cell:IL2: 0.33, NK_cell: 0.32, T_cell:CD8+_effector_memory_RA: 0.31, T_cell:CD8+_effector_memory: 0.31 |
839_GCTACCTGTACCTTCC-1 | Endothelial_cells:blood_vessel | 0.11 | 85.73 | Raw ScoresEndothelial_cells:lymphatic: 0.31, Endothelial_cells:lymphatic:TNFa_48h: 0.3, Endothelial_cells:blood_vessel: 0.3, Endothelial_cells:lymphatic:KSHV: 0.29, Endothelial_cells:HUVEC:Serum_Amyloid_A: 0.28, Endothelial_cells:HUVEC:B._anthracis_LT: 0.28, Endothelial_cells:HUVEC: 0.28, Endothelial_cells:HUVEC:PR8-infected: 0.28, Endothelial_cells:HUVEC:FPV-infected: 0.28, Endothelial_cells:HUVEC:H5N1-infected: 0.27 |
839_GTACAGTCAGCCCACA-1 | Endothelial_cells:blood_vessel | 0.11 | 84.09 | Raw ScoresEndothelial_cells:blood_vessel: 0.27, Endothelial_cells:lymphatic:TNFa_48h: 0.26, Endothelial_cells:lymphatic: 0.26, Endothelial_cells:lymphatic:KSHV: 0.26, Endothelial_cells:HUVEC:Serum_Amyloid_A: 0.25, Endothelial_cells:HUVEC:PR8-infected: 0.25, Endothelial_cells:HUVEC:FPV-infected: 0.25, Endothelial_cells:HUVEC: 0.25, Endothelial_cells:HUVEC:B._anthracis_LT: 0.24, Endothelial_cells:HUVEC:IL-1b: 0.24 |
839_AAGCGAGCAAGAGAGA-1 | Neurons:Schwann_cell | 0.16 | 82.14 | Raw ScoresNeurons:Schwann_cell: 0.42, Smooth_muscle_cells:bronchial: 0.36, Tissue_stem_cells:BM_MSC:TGFb3: 0.36, Tissue_stem_cells:iliac_MSC: 0.36, Smooth_muscle_cells:bronchial:vit_D: 0.36, iPS_cells:adipose_stem_cells: 0.36, Fibroblasts:foreskin: 0.36, Fibroblasts:breast: 0.35, Tissue_stem_cells:BM_MSC:BMP2: 0.35, Chondrocytes:MSC-derived: 0.35 |
839_CATGAGTTCATATGGC-1 | Endothelial_cells:lymphatic | 0.13 | 78.42 | Raw ScoresEndothelial_cells:lymphatic:TNFa_48h: 0.32, Endothelial_cells:lymphatic: 0.31, Endothelial_cells:lymphatic:KSHV: 0.3, Endothelial_cells:blood_vessel: 0.3, Endothelial_cells:HUVEC: 0.29, Endothelial_cells:HUVEC:FPV-infected: 0.29, Endothelial_cells:HUVEC:B._anthracis_LT: 0.29, Endothelial_cells:HUVEC:Serum_Amyloid_A: 0.29, Endothelial_cells:HUVEC:VEGF: 0.29, Endothelial_cells:HUVEC:PR8-infected: 0.29 |
855_CGCAGGTGTAGCGTCC-1 | Neurons:Schwann_cell | 0.13 | 75.43 | Raw ScoresNeurons:Schwann_cell: 0.34, Smooth_muscle_cells:bronchial:vit_D: 0.3, Smooth_muscle_cells:bronchial: 0.3, iPS_cells:adipose_stem_cells: 0.3, Tissue_stem_cells:BM_MSC:TGFb3: 0.3, Chondrocytes:MSC-derived: 0.3, Smooth_muscle_cells:vascular: 0.29, Tissue_stem_cells:BM_MSC:BMP2: 0.29, Fibroblasts:breast: 0.29, Smooth_muscle_cells:vascular:IL-17: 0.29 |
855_TCCCACAGTTCATCGA-1 | Macrophage:monocyte-derived:IL-4/Dex/cntrl | 0.11 | 69.04 | Raw ScoresMacrophage:monocyte-derived:IL-4/Dex/cntrl: 0.34, DC:monocyte-derived:AEC-conditioned: 0.33, Macrophage:monocyte-derived:IL-4/Dex/TGFb: 0.33, DC:monocyte-derived: 0.33, DC:monocyte-derived:anti-DC-SIGN_2h: 0.33, DC:monocyte-derived:immature: 0.32, Macrophage:monocyte-derived:M-CSF: 0.32, Macrophage:monocyte-derived: 0.32, Macrophage:monocyte-derived:M-CSF/IFNg: 0.32, Monocyte:MCSF: 0.31 |
839_TGGGAAGCAATGCAGG-1 | Endothelial_cells:blood_vessel | 0.11 | 68.95 | Raw ScoresEndothelial_cells:lymphatic:KSHV: 0.32, Endothelial_cells:lymphatic:TNFa_48h: 0.32, Endothelial_cells:blood_vessel: 0.32, Endothelial_cells:lymphatic: 0.31, Endothelial_cells:HUVEC:Serum_Amyloid_A: 0.31, Endothelial_cells:HUVEC: 0.31, Endothelial_cells:HUVEC:PR8-infected: 0.3, Endothelial_cells:HUVEC:FPV-infected: 0.3, Endothelial_cells:HUVEC:IL-1b: 0.3, Endothelial_cells:HUVEC:H5N1-infected: 0.3 |
849_CGGTCAGCAGTAGAAT-1 | Endothelial_cells:blood_vessel | 0.13 | 68.38 | Raw ScoresEndothelial_cells:blood_vessel: 0.35, Endothelial_cells:lymphatic: 0.35, Endothelial_cells:lymphatic:TNFa_48h: 0.35, Endothelial_cells:lymphatic:KSHV: 0.35, Endothelial_cells:HUVEC:PR8-infected: 0.34, Endothelial_cells:HUVEC: 0.34, Endothelial_cells:HUVEC:FPV-infected: 0.34, Endothelial_cells:HUVEC:H5N1-infected: 0.34, Endothelial_cells:HUVEC:Serum_Amyloid_A: 0.34, Endothelial_cells:HUVEC:B._anthracis_LT: 0.33 |
849_GATTGGTGTTCGGCTG-1 | Endothelial_cells:blood_vessel | 0.13 | 68.18 | Raw ScoresEndothelial_cells:lymphatic: 0.36, Endothelial_cells:lymphatic:TNFa_48h: 0.36, Endothelial_cells:blood_vessel: 0.36, Endothelial_cells:lymphatic:KSHV: 0.36, Endothelial_cells:HUVEC: 0.35, Endothelial_cells:HUVEC:Serum_Amyloid_A: 0.35, Endothelial_cells:HUVEC:VEGF: 0.35, Endothelial_cells:HUVEC:FPV-infected: 0.35, Endothelial_cells:HUVEC:PR8-infected: 0.35, Endothelial_cells:HUVEC:B._anthracis_LT: 0.34 |
849_GACAGCCTCTATCGCC-1 | DC:monocyte-derived:immature | 0.12 | 67.63 | Raw ScoresMacrophage:monocyte-derived:M-CSF: 0.43, Macrophage:monocyte-derived:IL-4/Dex/TGFb: 0.43, Monocyte:leukotriene_D4: 0.43, Macrophage:monocyte-derived:M-CSF/IFNg: 0.43, DC:monocyte-derived:anti-DC-SIGN_2h: 0.43, DC:monocyte-derived: 0.43, Macrophage:monocyte-derived:IL-4/Dex/cntrl: 0.43, DC:monocyte-derived:immature: 0.42, DC:monocyte-derived:AEC-conditioned: 0.42, Macrophage:monocyte-derived:IL-4/TGFb: 0.42 |
847_ACATTTCTCTGGCCGA-1 | Endothelial_cells:lymphatic:TNFa_48h | 0.14 | 66.32 | Raw ScoresEndothelial_cells:lymphatic: 0.34, Endothelial_cells:lymphatic:TNFa_48h: 0.34, Endothelial_cells:blood_vessel: 0.33, Endothelial_cells:lymphatic:KSHV: 0.32, Endothelial_cells:HUVEC: 0.32, Endothelial_cells:HUVEC:Serum_Amyloid_A: 0.31, Endothelial_cells:HUVEC:PR8-infected: 0.31, Endothelial_cells:HUVEC:VEGF: 0.31, Endothelial_cells:HUVEC:H5N1-infected: 0.31, Endothelial_cells:HUVEC:IFNg: 0.31 |
839_TCCACCACAATGAAAC-1 | T_cell:gamma-delta | 0.11 | 65.73 | Raw ScoresT_cell:gamma-delta: 0.34, NK_cell:IL2: 0.33, T_cell:CD4+_central_memory: 0.32, T_cell:CD4+_effector_memory: 0.32, T_cell:CD4+_Naive: 0.31, T_cell:CD4+: 0.31, B_cell:Memory: 0.3, NK_cell: 0.3, T_cell:CD8+: 0.3, B_cell:Germinal_center: 0.3 |
839_AAAGGTAAGTAGCATA-1 | Chondrocytes:MSC-derived | 0.20 | 65.31 | Raw ScoresFibroblasts:breast: 0.36, iPS_cells:adipose_stem_cells: 0.36, Osteoblasts: 0.36, Smooth_muscle_cells:vascular: 0.36, Smooth_muscle_cells:vascular:IL-17: 0.35, Chondrocytes:MSC-derived: 0.35, Tissue_stem_cells:BM_MSC: 0.35, iPS_cells:CRL2097_foreskin: 0.34, Tissue_stem_cells:BM_MSC:TGFb3: 0.34, Osteoblasts:BMP2: 0.34 |
839_TCGGTCTCACAGCATT-1 | Endothelial_cells:lymphatic | 0.15 | 63.21 | Raw ScoresEndothelial_cells:blood_vessel: 0.41, Endothelial_cells:lymphatic:TNFa_48h: 0.41, Endothelial_cells:lymphatic: 0.41, Endothelial_cells:lymphatic:KSHV: 0.41, Endothelial_cells:HUVEC:Serum_Amyloid_A: 0.4, Endothelial_cells:HUVEC: 0.4, Endothelial_cells:HUVEC:FPV-infected: 0.4, Endothelial_cells:HUVEC:PR8-infected: 0.39, Endothelial_cells:HUVEC:VEGF: 0.39, Endothelial_cells:HUVEC:H5N1-infected: 0.39 |
839_TTAGTCTTCTCCGAGG-1 | Fibroblasts:breast | 0.18 | 63.18 | Raw ScoresiPS_cells:adipose_stem_cells: 0.46, Fibroblasts:breast: 0.45, Smooth_muscle_cells:vascular: 0.45, Smooth_muscle_cells:vascular:IL-17: 0.45, Osteoblasts: 0.45, Tissue_stem_cells:BM_MSC: 0.44, iPS_cells:CRL2097_foreskin: 0.44, Chondrocytes:MSC-derived: 0.44, Smooth_muscle_cells:bronchial: 0.44, Smooth_muscle_cells:bronchial:vit_D: 0.44 |
837_ATTCTACGTAGACGGT-1 | Tissue_stem_cells:adipose-derived_MSC_AM3 | 0.22 | 62.79 | Raw ScoresMSC: 0.54, Fibroblasts:foreskin: 0.52, Tissue_stem_cells:adipose-derived_MSC_AM3: 0.52, Tissue_stem_cells:lipoma-derived_MSC: 0.52, iPS_cells:skin_fibroblast: 0.52, Smooth_muscle_cells:vascular: 0.51, iPS_cells:CRL2097_foreskin: 0.51, iPS_cells:foreskin_fibrobasts: 0.51, iPS_cells:fibroblasts: 0.51, iPS_cells:PDB_fibroblasts: 0.51 |
839_GGGACTCGTTAGGCCC-1 | B_cell:immature | 0.12 | 62.46 | Raw ScoresB_cell:Germinal_center: 0.5, B_cell:CXCR4+_centroblast: 0.49, Pro-B_cell_CD34+: 0.49, B_cell:CXCR4-_centrocyte: 0.49, B_cell:immature: 0.48, B_cell:Memory: 0.47, B_cell:Naive: 0.47, GMP: 0.46, T_cell:gamma-delta: 0.46, MEP: 0.45 |
839_GTCAAACTCTCAGTCC-1 | B_cell:Naive | 0.08 | 62.09 | Raw ScoresB_cell:Memory: 0.26, B_cell:Naive: 0.26, B_cell:immature: 0.26, B_cell:Germinal_center: 0.25, B_cell: 0.24, T_cell:CD4+_central_memory: 0.23, B_cell:CXCR4-_centrocyte: 0.23, Pre-B_cell_CD34-: 0.23, T_cell:CD4+_Naive: 0.23, Pro-B_cell_CD34+: 0.23 |
849_GCCTGTTTCACCATAG-1 | Neurons:Schwann_cell | 0.16 | 61.89 | Raw ScoresNeurons:Schwann_cell: 0.41, Astrocyte:Embryonic_stem_cell-derived: 0.4, Neuroepithelial_cell:ESC-derived: 0.4, Neurons:adrenal_medulla_cell_line: 0.37, Fibroblasts:breast: 0.36, iPS_cells:CRL2097_foreskin: 0.36, Neurons:ES_cell-derived_neural_precursor: 0.36, Embryonic_stem_cells: 0.36, MSC: 0.36, Smooth_muscle_cells:vascular:IL-17: 0.35 |
856_TCTGGCTTCGCAACAT-1 | MSC | 0.14 | 60.22 | Raw ScoresMSC: 0.46, Fibroblasts:breast: 0.46, Fibroblasts:foreskin: 0.46, Neurons:Schwann_cell: 0.45, iPS_cells:CRL2097_foreskin: 0.45, iPS_cells:skin_fibroblast: 0.45, iPS_cells:foreskin_fibrobasts: 0.45, iPS_cells:PDB_fibroblasts: 0.45, Smooth_muscle_cells:vascular:IL-17: 0.45, Smooth_muscle_cells:vascular: 0.45 |
849_TAGACTGGTGGCATCC-1 | Neurons:Schwann_cell | 0.14 | 59.81 | Raw ScoresNeurons:Schwann_cell: 0.41, Smooth_muscle_cells:vascular:IL-17: 0.38, iPS_cells:adipose_stem_cells: 0.38, Tissue_stem_cells:iliac_MSC: 0.38, Chondrocytes:MSC-derived: 0.38, Tissue_stem_cells:BM_MSC:BMP2: 0.37, Smooth_muscle_cells:vascular: 0.37, Tissue_stem_cells:BM_MSC:TGFb3: 0.37, Osteoblasts: 0.37, Smooth_muscle_cells:bronchial: 0.37 |
839_GTAGAAATCCGCTGTT-1 | Fibroblasts:breast | 0.14 | 59.73 | Raw ScoresFibroblasts:breast: 0.43, iPS_cells:adipose_stem_cells: 0.42, Tissue_stem_cells:iliac_MSC: 0.42, Smooth_muscle_cells:vascular: 0.41, Smooth_muscle_cells:vascular:IL-17: 0.41, Smooth_muscle_cells:bronchial: 0.41, Osteoblasts: 0.41, Smooth_muscle_cells:bronchial:vit_D: 0.41, Tissue_stem_cells:BM_MSC:BMP2: 0.41, iPS_cells:CRL2097_foreskin: 0.41 |
839_AACAAGAAGAGCATAT-1 | T_cell:CD4+_central_memory | 0.08 | 59.67 | Raw ScoresPre-B_cell_CD34-: 0.37, Monocyte:leukotriene_D4: 0.37, DC:monocyte-derived:anti-DC-SIGN_2h: 0.36, Monocyte: 0.36, T_cell:CD4+: 0.36, T_cell:CD4+_central_memory: 0.36, Macrophage:monocyte-derived:M-CSF: 0.36, DC:monocyte-derived: 0.36, NK_cell: 0.35, Monocyte:anti-FcgRIIB: 0.35 |
837_TCTGCCATCTTCGGTC-1 | Endothelial_cells:lymphatic | 0.15 | 59.65 | Raw ScoresEndothelial_cells:lymphatic: 0.45, Endothelial_cells:lymphatic:TNFa_48h: 0.44, Endothelial_cells:blood_vessel: 0.44, Endothelial_cells:lymphatic:KSHV: 0.43, Endothelial_cells:HUVEC:FPV-infected: 0.43, Endothelial_cells:HUVEC: 0.42, Endothelial_cells:HUVEC:Serum_Amyloid_A: 0.42, Endothelial_cells:HUVEC:PR8-infected: 0.42, Endothelial_cells:HUVEC:IL-1b: 0.42, Endothelial_cells:HUVEC:H5N1-infected: 0.42 |
Below shows the significant enrichments of this GEP for literature curated gene lists
This data was procured from existing single cell RNA-seq maps of neuroblastoma or related relevant data.
High ranks indicate this gene is a driver of this GEP.
These curated gene list are ranked by the P-value (on this GEP) of their constituent genes.
The Mean Count column shows the mean read count in cells scoring highly (H > 50) on this gene expression program.
Genes | Weight | Rank | GTEx | DepMap | Decartes | Mean.Counts | Mean.TPM |
---|---|---|---|---|---|---|---|
EGFL7 | 0.0080103 | 38 | GTEx | DepMap | Descartes | 7.77 | 348.51 |
PECAM1 | 0.0052874 | 92 | GTEx | DepMap | Descartes | 4.65 | 26.95 |
KDR | 0.0034821 | 166 | GTEx | DepMap | Descartes | 1.83 | 34.17 |
FLT1 | 0.0004278 | 2027 | GTEx | DepMap | Descartes | 3.29 | 13.30 |
PRCP | 0.0003737 | 2253 | GTEx | DepMap | Descartes | 0.65 | 7.39 |
Vascular (Kildisiute)
Vascular markers obtained from Kildisiute et al, Supplmenentary Table 2, references supporting these genes are provided in Supp Table S2 of Kildisiute et al (PMID 33547074) https://www.science.org/doi/suppl/10.1126/sciadv.abd3311/suppl_file/abd3311_tables_s1_to_s12.xlsx:
Wilcoxon ranksum test P-value for gene set overrepresentation: 3.27e-04
Mean rank of genes in gene set: 170
Rank on gene expression program of genes in gene set:
Genes | Weight | Rank | GTEx | DepMap | Decartes | Mean.Counts | Mean.TPM |
---|---|---|---|---|---|---|---|
PECAM1 | 0.0052874 | 92 | GTEx | DepMap | Descartes | 4.65 | 26.95 |
PLVAP | 0.0034914 | 165 | GTEx | DepMap | Descartes | 6.91 | 317.92 |
KDR | 0.0034821 | 166 | GTEx | DepMap | Descartes | 1.83 | 34.17 |
PTPRB | 0.0025682 | 257 | GTEx | DepMap | Descartes | 3.35 | 20.14 |
Bridge region mesenchymal-SCP transition (Olsen)
As above but for cells in the mesenchymal transitioning to SCP region:
Wilcoxon ranksum test P-value for gene set overrepresentation: 2.14e-03
Mean rank of genes in gene set: 499
Rank on gene expression program of genes in gene set:
Genes | Weight | Rank | GTEx | DepMap | Decartes | Mean.Counts | Mean.TPM |
---|---|---|---|---|---|---|---|
IFITM3 | 0.0059978 | 68 | GTEx | DepMap | Descartes | 25.13 | 9472.11 |
B2M | 0.0012891 | 639 | GTEx | DepMap | Descartes | 9.51 | 966.49 |
S100A10 | 0.0010750 | 790 | GTEx | DepMap | Descartes | 8.68 | 368.70 |
Below shows ranks on this GEP for literature curated gene lists for large gene sets
These include those reported as mesenchymal/adrenergic by Van Groningen et al.
High ranks indicate this gene is a driver of this GEP (note these results are not ordered).
The Mean Count column shows the mean read count in cells scoring highly (H > 50) on this gene expression program.
VanGroningen Adrenergic Genes
Adrenergic marker genes from Supplementary Table 2 of Van Groningen et al. Nature Genetics 2017. These genes were identified by differential expression analysis of mesenchymal-like and adrenergic-like neuroblastoma cell lines.
Wilcoxon ranksum test P-value for gene set overrepresentation: 1.00e+00
Mean rank of genes in gene set: 15746.01
Median rank of genes in gene set: 18730.5
Rank on gene expression program of top 30 genes in gene set:
Genes | Weight | Rank | GTEx | DepMap | Descartes | Mean.Counts | Mean.TPM |
---|---|---|---|---|---|---|---|
ST3GAL6 | 0.0024997 | 265 | GTEx | DepMap | Descartes | 0.49 | 4.31 |
HEY1 | 0.0012968 | 633 | GTEx | DepMap | Descartes | 0.45 | 53.54 |
RBP1 | 0.0012201 | 681 | GTEx | DepMap | Descartes | 6.84 | 101.31 |
OLFM1 | 0.0010012 | 860 | GTEx | DepMap | Descartes | 0.45 | 6.78 |
CD200 | 0.0008651 | 1004 | GTEx | DepMap | Descartes | 3.20 | 73.57 |
ABLIM1 | 0.0008544 | 1013 | GTEx | DepMap | Descartes | 0.86 | 2.15 |
DNAJB1 | 0.0008110 | 1076 | GTEx | DepMap | Descartes | 1.07 | 91.35 |
ABCA3 | 0.0007930 | 1108 | GTEx | DepMap | Descartes | 0.51 | 3.56 |
AKAP12 | 0.0007610 | 1159 | GTEx | DepMap | Descartes | 0.80 | 5.77 |
GRB10 | 0.0007435 | 1191 | GTEx | DepMap | Descartes | 0.74 | 3.29 |
LYN | 0.0007326 | 1211 | GTEx | DepMap | Descartes | 0.71 | 2.57 |
ARHGEF7 | 0.0006221 | 1410 | GTEx | DepMap | Descartes | 0.64 | 3.48 |
IGSF3 | 0.0006054 | 1449 | GTEx | DepMap | Descartes | 0.17 | 0.56 |
RPS6KA2 | 0.0005668 | 1551 | GTEx | DepMap | Descartes | 0.12 | 0.32 |
KLF13 | 0.0005605 | 1569 | GTEx | DepMap | Descartes | 1.23 | 11.05 |
TMOD2 | 0.0005103 | 1713 | GTEx | DepMap | Descartes | 0.28 | 2.62 |
SCN3A | 0.0004592 | 1903 | GTEx | DepMap | Descartes | 0.39 | 2.32 |
LEPROTL1 | 0.0004511 | 1933 | GTEx | DepMap | Descartes | 0.94 | 37.27 |
GGCT | 0.0004128 | 2092 | GTEx | DepMap | Descartes | 0.22 | 6.60 |
EXOC5 | 0.0003718 | 2262 | GTEx | DepMap | Descartes | 0.65 | 7.57 |
ANKRD46 | 0.0003003 | 2649 | GTEx | DepMap | Descartes | 0.22 | 3.77 |
RALGDS | 0.0002926 | 2698 | GTEx | DepMap | Descartes | 0.43 | 4.36 |
GLDC | 0.0002552 | 2940 | GTEx | DepMap | Descartes | 0.09 | 0.24 |
PDK1 | 0.0002363 | 3073 | GTEx | DepMap | Descartes | 0.17 | 3.19 |
FAM107B | 0.0002317 | 3113 | GTEx | DepMap | Descartes | 0.29 | 0.71 |
TBC1D30 | 0.0002274 | 3151 | GTEx | DepMap | Descartes | 0.06 | 0.43 |
MAGI3 | 0.0002129 | 3250 | GTEx | DepMap | Descartes | 0.35 | 0.74 |
DAPK1 | 0.0002057 | 3307 | GTEx | DepMap | Descartes | 0.20 | 0.35 |
CYFIP2 | 0.0002004 | 3351 | GTEx | DepMap | Descartes | 0.26 | 1.21 |
CDC42EP3 | 0.0001956 | 3394 | GTEx | DepMap | Descartes | 0.61 | 14.06 |
VanGroningen Mesenchymal Genes
Mesenchymal marker genes from Supplementary Table 2 of Van Groningen et al. Nature Genetics 2017. These genes were identified by differential expression analysis of mesenchymal-like and adrenergic-like neuroblastoma cell lines.
Wilcoxon ranksum test P-value for gene set overrepresentation: 3.14e-51
Mean rank of genes in gene set: 6298.81
Median rank of genes in gene set: 3245
Rank on gene expression program of top 30 genes in gene set:
Genes | Weight | Rank | GTEx | DepMap | Descartes | Mean.Counts | Mean.TPM |
---|---|---|---|---|---|---|---|
RHOJ | 0.0086696 | 29 | GTEx | DepMap | Descartes | 2.55 | 12.22 |
TM4SF1 | 0.0083626 | 32 | GTEx | DepMap | Descartes | 13.83 | 288.24 |
CFH | 0.0079054 | 39 | GTEx | DepMap | Descartes | 4.13 | 17.69 |
MEOX1 | 0.0076718 | 41 | GTEx | DepMap | Descartes | 0.83 | 27.19 |
SEMA3F | 0.0068047 | 53 | GTEx | DepMap | Descartes | 1.06 | 22.87 |
TGFBR2 | 0.0060875 | 65 | GTEx | DepMap | Descartes | 1.72 | 8.10 |
SHC1 | 0.0060753 | 67 | GTEx | DepMap | Descartes | 0.52 | 23.63 |
IFITM3 | 0.0059978 | 68 | GTEx | DepMap | Descartes | 25.13 | 9472.11 |
TNS1 | 0.0051527 | 97 | GTEx | DepMap | Descartes | 1.00 | 2.95 |
PTPN14 | 0.0048984 | 107 | GTEx | DepMap | Descartes | 0.52 | 1.35 |
ELK3 | 0.0036200 | 157 | GTEx | DepMap | Descartes | 1.23 | 11.55 |
A2M | 0.0033824 | 174 | GTEx | DepMap | Descartes | 0.03 | 0.16 |
PDLIM1 | 0.0031090 | 197 | GTEx | DepMap | Descartes | 2.25 | 20.68 |
WWTR1 | 0.0030211 | 207 | GTEx | DepMap | Descartes | 1.23 | 5.44 |
EHD2 | 0.0028956 | 216 | GTEx | DepMap | Descartes | 1.72 | 39.71 |
IL6ST | 0.0028271 | 222 | GTEx | DepMap | Descartes | 2.39 | 28.64 |
CTNNA1 | 0.0027738 | 227 | GTEx | DepMap | Descartes | 2.41 | 8.79 |
PLPP1 | 0.0026573 | 239 | GTEx | DepMap | Descartes | 1.58 | 18.41 |
F2R | 0.0026243 | 247 | GTEx | DepMap | Descartes | 0.72 | 26.07 |
PLSCR4 | 0.0026224 | 249 | GTEx | DepMap | Descartes | 0.38 | 6.57 |
MYL12A | 0.0025934 | 254 | GTEx | DepMap | Descartes | 6.80 | 303.81 |
ANXA2 | 0.0025178 | 261 | GTEx | DepMap | Descartes | 8.07 | 84.22 |
EGR1 | 0.0025128 | 263 | GTEx | DepMap | Descartes | 0.94 | 74.50 |
RHOC | 0.0024866 | 269 | GTEx | DepMap | Descartes | 5.84 | 360.80 |
KCTD12 | 0.0023488 | 287 | GTEx | DepMap | Descartes | 0.55 | 50.34 |
WLS | 0.0022862 | 296 | GTEx | DepMap | Descartes | 0.97 | 4.17 |
IFITM2 | 0.0022648 | 301 | GTEx | DepMap | Descartes | 9.14 | 3816.19 |
EMP1 | 0.0022500 | 304 | GTEx | DepMap | Descartes | 1.43 | 38.49 |
MAML2 | 0.0022416 | 308 | GTEx | DepMap | Descartes | 0.22 | 0.29 |
STAT3 | 0.0022064 | 317 | GTEx | DepMap | Descartes | 1.10 | 10.20 |
Descartes adrenocortical markers
Top 50 marker genes of adrenocortical cells in the Decartes fetal adrenal single cell map (https://atlas.brotmanbaty.org/bbi/human-gene-expression-during-development/cell/adrenocortical/in/adrenal)
Wilcoxon ranksum test P-value for gene set overrepresentation: 9.78e-01
Mean rank of genes in gene set: 12357.14
Median rank of genes in gene set: 13490.5
Rank on gene expression program of top 30 genes in gene set:
Genes | Weight | Rank | GTEx | DepMap | Descartes | Mean.Counts | Mean.TPM |
---|---|---|---|---|---|---|---|
SH3BP5 | 0.0012321 | 676 | GTEx | DepMap | Descartes | 1.16 | 8.91 |
CLU | 0.0007537 | 1172 | GTEx | DepMap | Descartes | 8.00 | 228.32 |
FDX1 | 0.0003177 | 2553 | GTEx | DepMap | Descartes | 0.72 | 13.13 |
PDE10A | 0.0002751 | 2798 | GTEx | DepMap | Descartes | 0.10 | 0.12 |
LDLR | 0.0002206 | 3203 | GTEx | DepMap | Descartes | 0.16 | 3.96 |
SLC16A9 | 0.0001927 | 3415 | GTEx | DepMap | Descartes | 0.16 | 2.17 |
PAPSS2 | 0.0001294 | 4083 | GTEx | DepMap | Descartes | 0.16 | 0.71 |
NPC1 | 0.0000942 | 4538 | GTEx | DepMap | Descartes | 0.46 | 4.50 |
APOC1 | 0.0000692 | 4951 | GTEx | DepMap | Descartes | 0.23 | 53.00 |
GRAMD1B | 0.0000451 | 5464 | GTEx | DepMap | Descartes | 0.30 | 0.52 |
ERN1 | 0.0000355 | 5726 | GTEx | DepMap | Descartes | 0.10 | 0.45 |
CYP17A1 | -0.0000022 | 7335 | GTEx | DepMap | Descartes | 0.00 | 0.00 |
SULT2A1 | -0.0000032 | 7431 | GTEx | DepMap | Descartes | 0.00 | 0.00 |
TM7SF2 | -0.0000047 | 7554 | GTEx | DepMap | Descartes | 0.04 | 4.00 |
CYP11B1 | -0.0000095 | 8138 | GTEx | DepMap | Descartes | 0.00 | 0.00 |
IGF1R | -0.0000186 | 9251 | GTEx | DepMap | Descartes | 0.38 | 0.52 |
SCAP | -0.0000211 | 9578 | GTEx | DepMap | Descartes | 0.26 | 3.12 |
BAIAP2L1 | -0.0000322 | 10728 | GTEx | DepMap | Descartes | 0.07 | 0.39 |
SGCZ | -0.0000511 | 12383 | GTEx | DepMap | Descartes | 0.01 | 0.00 |
FREM2 | -0.0000665 | 13422 | GTEx | DepMap | Descartes | 0.00 | 0.00 |
INHA | -0.0000674 | 13481 | GTEx | DepMap | Descartes | 0.03 | 6.88 |
DNER | -0.0000677 | 13500 | GTEx | DepMap | Descartes | 0.01 | 0.01 |
FRMD5 | -0.0000730 | 13815 | GTEx | DepMap | Descartes | 0.06 | 0.04 |
GSTA4 | -0.0001219 | 16097 | GTEx | DepMap | Descartes | 0.16 | 2.29 |
SLC1A2 | -0.0001230 | 16126 | GTEx | DepMap | Descartes | 0.01 | 0.06 |
CYP11A1 | -0.0001239 | 16167 | GTEx | DepMap | Descartes | 0.01 | 0.25 |
SH3PXD2B | -0.0001251 | 16213 | GTEx | DepMap | Descartes | 0.29 | 1.05 |
FDXR | -0.0001254 | 16222 | GTEx | DepMap | Descartes | 0.09 | 4.94 |
STAR | -0.0001735 | 17742 | GTEx | DepMap | Descartes | 0.03 | 1.13 |
POR | -0.0001972 | 18320 | GTEx | DepMap | Descartes | 0.42 | 2.59 |
Descartes chromaffin markers
Top 50 marker genes of chromaffin cells in the Decartes fetal adrenal single cell map (https://atlas.brotmanbaty.org/bbi/human-gene-expression-during-development/cell/chromaffin/in/adrenal)
Wilcoxon ranksum test P-value for gene set overrepresentation: 1.00e+00
Mean rank of genes in gene set: 15858.02
Median rank of genes in gene set: 17848.5
Rank on gene expression program of top 30 genes in gene set:
Genes | Weight | Rank | GTEx | DepMap | Descartes | Mean.Counts | Mean.TPM |
---|---|---|---|---|---|---|---|
IL7 | 0.0158823 | 13 | GTEx | DepMap | Descartes | 0.12 | 1.85 |
PLXNA4 | 0.0003659 | 2309 | GTEx | DepMap | Descartes | 0.35 | 0.28 |
RGMB | 0.0002347 | 3089 | GTEx | DepMap | Descartes | 0.13 | 2.50 |
GAL | 0.0000530 | 5290 | GTEx | DepMap | Descartes | 1.58 | 65.41 |
HS3ST5 | -0.0000221 | 9704 | GTEx | DepMap | Descartes | 0.00 | 0.00 |
ANKFN1 | -0.0000307 | 10598 | GTEx | DepMap | Descartes | 0.00 | 0.00 |
EPHA6 | -0.0000366 | 11155 | GTEx | DepMap | Descartes | 0.00 | 0.00 |
PTCHD1 | -0.0000429 | 11749 | GTEx | DepMap | Descartes | 0.06 | 0.45 |
SLC44A5 | -0.0000469 | 12084 | GTEx | DepMap | Descartes | 0.03 | 0.02 |
RPH3A | -0.0000547 | 12644 | GTEx | DepMap | Descartes | 0.00 | 0.00 |
ALK | -0.0000549 | 12654 | GTEx | DepMap | Descartes | 0.01 | 0.00 |
FAT3 | -0.0000673 | 13473 | GTEx | DepMap | Descartes | 0.01 | 0.01 |
SLC6A2 | -0.0000680 | 13514 | GTEx | DepMap | Descartes | 0.00 | 0.00 |
MAB21L1 | -0.0000737 | 13861 | GTEx | DepMap | Descartes | 0.00 | 0.00 |
NPY | -0.0000756 | 13978 | GTEx | DepMap | Descartes | 0.14 | 6.14 |
REEP1 | -0.0000776 | 14104 | GTEx | DepMap | Descartes | 0.22 | 0.99 |
SYNPO2 | -0.0000838 | 14415 | GTEx | DepMap | Descartes | 0.01 | 0.06 |
GREM1 | -0.0000861 | 14528 | GTEx | DepMap | Descartes | 0.10 | 1.34 |
TMEM132C | -0.0000864 | 14547 | GTEx | DepMap | Descartes | 0.00 | 0.00 |
EYA4 | -0.0001089 | 15582 | GTEx | DepMap | Descartes | 0.03 | 0.04 |
NTRK1 | -0.0001234 | 16151 | GTEx | DepMap | Descartes | 0.00 | 0.00 |
RYR2 | -0.0001665 | 17546 | GTEx | DepMap | Descartes | 0.01 | 0.00 |
KCNB2 | -0.0001896 | 18151 | GTEx | DepMap | Descartes | 0.03 | 0.02 |
TMEFF2 | -0.0002111 | 18628 | GTEx | DepMap | Descartes | 0.12 | 0.13 |
PRPH | -0.0002310 | 18999 | GTEx | DepMap | Descartes | 0.01 | 1.35 |
RBFOX1 | -0.0002435 | 19212 | GTEx | DepMap | Descartes | 0.06 | 0.01 |
MARCH11 | -0.0002511 | 19335 | GTEx | DepMap | Descartes | 0.07 | 0.49 |
CNKSR2 | -0.0002712 | 19595 | GTEx | DepMap | Descartes | 0.04 | 0.23 |
HMX1 | -0.0002796 | 19696 | GTEx | DepMap | Descartes | 0.04 | 1.48 |
EYA1 | -0.0002814 | 19717 | GTEx | DepMap | Descartes | 0.28 | 0.53 |
Descartes Vascular_endothelial markers
Top 50 marker genes of Vascular_endothelial cells in the Decartes fetal adrenal single cell map (https://atlas.brotmanbaty.org/bbi/human-gene-expression-during-development/cell/vascular_endothelial/in/adrenal)
Wilcoxon ranksum test P-value for gene set overrepresentation: 4.38e-12
Mean rank of genes in gene set: 4186.88
Median rank of genes in gene set: 324
Rank on gene expression program of top 30 genes in gene set:
Genes | Weight | Rank | GTEx | DepMap | Descartes | Mean.Counts | Mean.TPM |
---|---|---|---|---|---|---|---|
FLT4 | 0.0242467 | 7 | GTEx | DepMap | Descartes | 0.49 | 9.16 |
CLDN5 | 0.0208987 | 8 | GTEx | DepMap | Descartes | 3.75 | 1151.78 |
ECSCR | 0.0108595 | 19 | GTEx | DepMap | Descartes | 3.51 | 192.21 |
MMRN2 | 0.0093755 | 24 | GTEx | DepMap | Descartes | 1.93 | 50.48 |
RAMP2 | 0.0074742 | 42 | GTEx | DepMap | Descartes | 5.03 | 199.72 |
RASIP1 | 0.0059168 | 71 | GTEx | DepMap | Descartes | 1.36 | 78.85 |
TIE1 | 0.0052213 | 94 | GTEx | DepMap | Descartes | 1.67 | 67.86 |
KANK3 | 0.0049881 | 103 | GTEx | DepMap | Descartes | 0.68 | 34.34 |
PODXL | 0.0049195 | 106 | GTEx | DepMap | Descartes | 1.43 | 25.46 |
SHE | 0.0045435 | 117 | GTEx | DepMap | Descartes | 0.23 | 5.68 |
SOX18 | 0.0041337 | 133 | GTEx | DepMap | Descartes | 3.23 | 1041.22 |
EFNB2 | 0.0040658 | 138 | GTEx | DepMap | Descartes | 1.58 | 15.35 |
ARHGAP29 | 0.0035941 | 159 | GTEx | DepMap | Descartes | 2.35 | 19.18 |
PLVAP | 0.0034914 | 165 | GTEx | DepMap | Descartes | 6.91 | 317.92 |
KDR | 0.0034821 | 166 | GTEx | DepMap | Descartes | 1.83 | 34.17 |
CDH5 | 0.0030773 | 200 | GTEx | DepMap | Descartes | 5.16 | 59.21 |
CALCRL | 0.0028512 | 220 | GTEx | DepMap | Descartes | 0.88 | 6.29 |
TEK | 0.0027339 | 233 | GTEx | DepMap | Descartes | 0.94 | 5.33 |
SHANK3 | 0.0026551 | 240 | GTEx | DepMap | Descartes | 0.38 | 5.23 |
F8 | 0.0026551 | 241 | GTEx | DepMap | Descartes | 0.16 | 0.64 |
PTPRB | 0.0025682 | 257 | GTEx | DepMap | Descartes | 3.35 | 20.14 |
NPR1 | 0.0021702 | 324 | GTEx | DepMap | Descartes | 0.48 | 17.01 |
CDH13 | 0.0013740 | 587 | GTEx | DepMap | Descartes | 1.38 | 0.58 |
BTNL9 | 0.0012599 | 660 | GTEx | DepMap | Descartes | 0.39 | 14.25 |
SLCO2A1 | 0.0010669 | 793 | GTEx | DepMap | Descartes | 1.45 | 8.30 |
CRHBP | 0.0009057 | 960 | GTEx | DepMap | Descartes | 0.01 | 0.95 |
HYAL2 | 0.0005511 | 1591 | GTEx | DepMap | Descartes | 0.51 | 65.65 |
NR5A2 | 0.0004128 | 2091 | GTEx | DepMap | Descartes | 0.04 | 0.12 |
ROBO4 | 0.0004113 | 2102 | GTEx | DepMap | Descartes | 0.84 | 34.69 |
CEACAM1 | 0.0001947 | 3397 | GTEx | DepMap | Descartes | 0.23 | 13.01 |
Descartes stromal markers
Top 50 marker genes of stromal cells in the Decartes fetal adrenal single cell map (https://atlas.brotmanbaty.org/bbi/human-gene-expression-during-development/cell/stromal/in/adrenal)
Wilcoxon ranksum test P-value for gene set overrepresentation: 2.39e-01
Mean rank of genes in gene set: 9842.22
Median rank of genes in gene set: 8866.5
Rank on gene expression program of top 30 genes in gene set:
Genes | Weight | Rank | GTEx | DepMap | Descartes | Mean.Counts | Mean.TPM |
---|---|---|---|---|---|---|---|
ELN | 0.0012871 | 641 | GTEx | DepMap | Descartes | 3.41 | 39.84 |
LOX | 0.0011837 | 701 | GTEx | DepMap | Descartes | 1.43 | 45.31 |
PRICKLE1 | 0.0005453 | 1604 | GTEx | DepMap | Descartes | 0.10 | 0.48 |
COL27A1 | 0.0005141 | 1705 | GTEx | DepMap | Descartes | 0.26 | 0.52 |
CCDC80 | 0.0005021 | 1739 | GTEx | DepMap | Descartes | 2.48 | 28.24 |
PAMR1 | 0.0004927 | 1783 | GTEx | DepMap | Descartes | 0.10 | 0.56 |
MGP | 0.0004632 | 1884 | GTEx | DepMap | Descartes | 9.83 | 1827.97 |
FNDC1 | 0.0004376 | 1989 | GTEx | DepMap | Descartes | 0.71 | 2.71 |
BICC1 | 0.0004334 | 2007 | GTEx | DepMap | Descartes | 1.33 | 1.93 |
DCN | 0.0003251 | 2509 | GTEx | DepMap | Descartes | 10.41 | 104.66 |
DKK2 | 0.0002082 | 3287 | GTEx | DepMap | Descartes | 0.20 | 1.24 |
ADAMTSL3 | 0.0000852 | 4674 | GTEx | DepMap | Descartes | 0.10 | 0.23 |
POSTN | 0.0000655 | 5020 | GTEx | DepMap | Descartes | 2.26 | 39.55 |
LUM | 0.0000598 | 5143 | GTEx | DepMap | Descartes | 1.57 | 77.43 |
FREM1 | 0.0000587 | 5169 | GTEx | DepMap | Descartes | 0.00 | 0.00 |
GLI2 | 0.0000340 | 5767 | GTEx | DepMap | Descartes | 0.04 | 0.08 |
RSPO3 | 0.0000280 | 5963 | GTEx | DepMap | Descartes | 0.04 | 0.19 |
ABCA6 | 0.0000136 | 6471 | GTEx | DepMap | Descartes | 0.04 | 0.25 |
PRRX1 | 0.0000115 | 6549 | GTEx | DepMap | Descartes | 0.48 | 2.62 |
COL6A3 | -0.0000046 | 7548 | GTEx | DepMap | Descartes | 0.81 | 4.83 |
GAS2 | -0.0000082 | 7972 | GTEx | DepMap | Descartes | 0.03 | 0.03 |
CD248 | -0.0000105 | 8295 | GTEx | DepMap | Descartes | 0.62 | 107.44 |
COL1A1 | -0.0000135 | 8643 | GTEx | DepMap | Descartes | 16.88 | 387.57 |
ADAMTS2 | -0.0000172 | 9090 | GTEx | DepMap | Descartes | 0.97 | 1.86 |
COL1A2 | -0.0000235 | 9841 | GTEx | DepMap | Descartes | 16.42 | 178.66 |
ISLR | -0.0000269 | 10181 | GTEx | DepMap | Descartes | 0.80 | 6.54 |
EDNRA | -0.0000440 | 11830 | GTEx | DepMap | Descartes | 0.26 | 1.88 |
COL3A1 | -0.0000540 | 12589 | GTEx | DepMap | Descartes | 32.62 | 327.09 |
SFRP2 | -0.0000633 | 13219 | GTEx | DepMap | Descartes | 1.78 | 109.95 |
HHIP | -0.0000766 | 14042 | GTEx | DepMap | Descartes | 0.00 | 0.00 |
Descartes sympathoblasts markers
Top 50 marker genes of sympathoblasts cells in the Decartes fetal adrenal single cell map (https://atlas.brotmanbaty.org/bbi/human-gene-expression-during-development/cell/sympathoblasts/in/adrenal)
Wilcoxon ranksum test P-value for gene set overrepresentation: 1.00e+00
Mean rank of genes in gene set: 14105.14
Median rank of genes in gene set: 16254.5
Rank on gene expression program of top 30 genes in gene set:
Genes | Weight | Rank | GTEx | DepMap | Descartes | Mean.Counts | Mean.TPM |
---|---|---|---|---|---|---|---|
AGBL4 | 0.0001714 | 3606 | GTEx | DepMap | Descartes | 0.00 | 0.00 |
ROBO1 | 0.0001544 | 3792 | GTEx | DepMap | Descartes | 0.14 | 0.08 |
UNC80 | 0.0001157 | 4225 | GTEx | DepMap | Descartes | 0.06 | 0.04 |
KCTD16 | 0.0000655 | 5018 | GTEx | DepMap | Descartes | 0.00 | 0.00 |
ARC | 0.0000295 | 5910 | GTEx | DepMap | Descartes | 0.00 | 0.00 |
GCH1 | -0.0000029 | 7406 | GTEx | DepMap | Descartes | 0.26 | 4.26 |
LAMA3 | -0.0000103 | 8260 | GTEx | DepMap | Descartes | 0.06 | 0.20 |
GRM7 | -0.0000131 | 8616 | GTEx | DepMap | Descartes | 0.00 | 0.00 |
CDH18 | -0.0000164 | 8983 | GTEx | DepMap | Descartes | 0.00 | 0.00 |
TENM1 | -0.0000196 | 9385 | GTEx | DepMap | Descartes | 0.01 | 0.00 |
PCSK2 | -0.0000286 | 10378 | GTEx | DepMap | Descartes | 0.01 | 0.05 |
CNTN3 | -0.0000325 | 10761 | GTEx | DepMap | Descartes | 0.04 | 0.03 |
CDH12 | -0.0000426 | 11718 | GTEx | DepMap | Descartes | 0.00 | 0.00 |
SLC35F3 | -0.0000493 | 12256 | GTEx | DepMap | Descartes | 0.00 | 0.00 |
PNMT | -0.0000517 | 12433 | GTEx | DepMap | Descartes | 0.00 | 0.00 |
SORCS3 | -0.0000565 | 12765 | GTEx | DepMap | Descartes | 0.00 | 0.00 |
EML6 | -0.0000739 | 13871 | GTEx | DepMap | Descartes | 0.07 | 0.12 |
SLC18A1 | -0.0000761 | 14008 | GTEx | DepMap | Descartes | 0.00 | 0.00 |
SLC24A2 | -0.0000834 | 14394 | GTEx | DepMap | Descartes | 0.00 | 0.00 |
TMEM130 | -0.0001120 | 15705 | GTEx | DepMap | Descartes | 0.00 | 0.00 |
TBX20 | -0.0001253 | 16221 | GTEx | DepMap | Descartes | 0.00 | 0.00 |
CHGB | -0.0001274 | 16288 | GTEx | DepMap | Descartes | 0.04 | 2.29 |
DGKK | -0.0001329 | 16488 | GTEx | DepMap | Descartes | 0.06 | 0.03 |
FGF14 | -0.0001434 | 16841 | GTEx | DepMap | Descartes | 0.07 | 0.05 |
FAM155A | -0.0001482 | 16985 | GTEx | DepMap | Descartes | 0.03 | 0.02 |
PACRG | -0.0001528 | 17126 | GTEx | DepMap | Descartes | 0.04 | 0.02 |
ST18 | -0.0001545 | 17180 | GTEx | DepMap | Descartes | 0.01 | 0.01 |
GRID2 | -0.0001618 | 17419 | GTEx | DepMap | Descartes | 0.00 | 0.00 |
MGAT4C | -0.0001686 | 17615 | GTEx | DepMap | Descartes | 0.00 | 0.00 |
GALNTL6 | -0.0001807 | 17929 | GTEx | DepMap | Descartes | 0.04 | 0.00 |
Descartes erythroblasts markers
Top 50 marker genes of erythroblasts cells in the Decartes fetal adrenal single cell map (https://atlas.brotmanbaty.org/bbi/human-gene-expression-during-development/cell/erythroblasts/in/adrenal)
Wilcoxon ranksum test P-value for gene set overrepresentation: 9.04e-02
Mean rank of genes in gene set: 9108.57
Median rank of genes in gene set: 10335
Rank on gene expression program of top 30 genes in gene set:
Genes | Weight | Rank | GTEx | DepMap | Descartes | Mean.Counts | Mean.TPM |
---|---|---|---|---|---|---|---|
GYPC | 0.0030279 | 206 | GTEx | DepMap | Descartes | 0.12 | 1.92 |
MARCH3 | 0.0027329 | 234 | GTEx | DepMap | Descartes | 0.03 | 0.06 |
DENND4A | 0.0024521 | 275 | GTEx | DepMap | Descartes | 0.20 | 1.14 |
MICAL2 | 0.0015356 | 501 | GTEx | DepMap | Descartes | 0.30 | 0.66 |
CR1L | 0.0010796 | 788 | GTEx | DepMap | Descartes | 0.91 | 13.76 |
SELENBP1 | 0.0006110 | 1436 | GTEx | DepMap | Descartes | 0.28 | 11.92 |
SLC25A37 | 0.0003669 | 2299 | GTEx | DepMap | Descartes | 0.13 | 2.48 |
BLVRB | 0.0003635 | 2319 | GTEx | DepMap | Descartes | 0.86 | 24.32 |
TRAK2 | 0.0002567 | 2927 | GTEx | DepMap | Descartes | 0.23 | 2.09 |
CAT | 0.0001781 | 3544 | GTEx | DepMap | Descartes | 0.59 | 6.78 |
SLC4A1 | 0.0001549 | 3789 | GTEx | DepMap | Descartes | 0.00 | 0.00 |
TSPAN5 | 0.0001294 | 4082 | GTEx | DepMap | Descartes | 0.43 | 0.96 |
SLC25A21 | 0.0000760 | 4822 | GTEx | DepMap | Descartes | 0.00 | 0.00 |
EPB42 | -0.0000168 | 9036 | GTEx | DepMap | Descartes | 0.00 | 0.00 |
GYPA | -0.0000187 | 9269 | GTEx | DepMap | Descartes | 0.00 | 0.00 |
RHD | -0.0000215 | 9618 | GTEx | DepMap | Descartes | 0.00 | 0.00 |
SOX6 | -0.0000271 | 10206 | GTEx | DepMap | Descartes | 0.10 | 0.07 |
RGS6 | -0.0000281 | 10335 | GTEx | DepMap | Descartes | 0.00 | 0.00 |
GCLC | -0.0000331 | 10817 | GTEx | DepMap | Descartes | 0.19 | 2.66 |
SNCA | -0.0000338 | 10884 | GTEx | DepMap | Descartes | 0.36 | 2.07 |
FECH | -0.0000376 | 11250 | GTEx | DepMap | Descartes | 0.22 | 3.79 |
ANK1 | -0.0000444 | 11874 | GTEx | DepMap | Descartes | 0.00 | 0.00 |
RAPGEF2 | -0.0000448 | 11902 | GTEx | DepMap | Descartes | 0.43 | 1.20 |
HEMGN | -0.0000449 | 11916 | GTEx | DepMap | Descartes | 0.00 | 0.00 |
SPTA1 | -0.0000465 | 12045 | GTEx | DepMap | Descartes | 0.01 | 0.03 |
TMEM56 | -0.0000710 | 13695 | GTEx | DepMap | Descartes | 0.01 | 0.23 |
ALAS2 | -0.0000869 | 14567 | GTEx | DepMap | Descartes | 0.06 | 0.72 |
SPECC1 | -0.0001031 | 15312 | GTEx | DepMap | Descartes | 0.22 | 0.61 |
TFR2 | -0.0001066 | 15487 | GTEx | DepMap | Descartes | 0.00 | 0.00 |
ABCB10 | -0.0001155 | 15852 | GTEx | DepMap | Descartes | 0.07 | 1.53 |
Descartes myeloid markers
Top 50 marker genes of myeloid cells in the Decartes fetal adrenal single cell map (https://atlas.brotmanbaty.org/bbi/human-gene-expression-during-development/cell/myeloid/in/adrenal)
Wilcoxon ranksum test P-value for gene set overrepresentation: 1.64e-03
Mean rank of genes in gene set: 7828.33
Median rank of genes in gene set: 5397
Rank on gene expression program of top 30 genes in gene set:
Genes | Weight | Rank | GTEx | DepMap | Descartes | Mean.Counts | Mean.TPM |
---|---|---|---|---|---|---|---|
FGL2 | 0.0268890 | 4 | GTEx | DepMap | Descartes | 1.77 | 203.58 |
PTPRE | 0.0018273 | 414 | GTEx | DepMap | Descartes | 0.39 | 1.09 |
SLCO2B1 | 0.0014806 | 525 | GTEx | DepMap | Descartes | 0.10 | 1.48 |
ABCA1 | 0.0013037 | 624 | GTEx | DepMap | Descartes | 1.94 | 8.17 |
RGL1 | 0.0010372 | 824 | GTEx | DepMap | Descartes | 0.68 | 1.69 |
LGMN | 0.0009470 | 901 | GTEx | DepMap | Descartes | 3.81 | 43.90 |
IFNGR1 | 0.0009131 | 949 | GTEx | DepMap | Descartes | 1.59 | 60.63 |
ITPR2 | 0.0007660 | 1146 | GTEx | DepMap | Descartes | 0.35 | 0.49 |
WWP1 | 0.0005228 | 1670 | GTEx | DepMap | Descartes | 0.55 | 2.88 |
TGFBI | 0.0004240 | 2046 | GTEx | DepMap | Descartes | 0.48 | 10.39 |
SLC9A9 | 0.0003570 | 2353 | GTEx | DepMap | Descartes | 0.09 | 0.14 |
SPP1 | 0.0002297 | 3132 | GTEx | DepMap | Descartes | 16.61 | 836.69 |
CST3 | 0.0001828 | 3506 | GTEx | DepMap | Descartes | 12.38 | 1665.77 |
CD14 | 0.0001765 | 3557 | GTEx | DepMap | Descartes | 0.23 | 58.04 |
CTSC | 0.0001223 | 4155 | GTEx | DepMap | Descartes | 3.01 | 44.61 |
CTSB | 0.0001149 | 4229 | GTEx | DepMap | Descartes | 9.61 | 201.35 |
MS4A4A | 0.0001042 | 4385 | GTEx | DepMap | Descartes | 0.03 | 1.32 |
CTSD | 0.0000934 | 4555 | GTEx | DepMap | Descartes | 7.33 | 317.39 |
FGD2 | 0.0000689 | 4955 | GTEx | DepMap | Descartes | 0.03 | 1.97 |
RBPJ | 0.0000548 | 5256 | GTEx | DepMap | Descartes | 0.67 | 1.79 |
MSR1 | 0.0000527 | 5297 | GTEx | DepMap | Descartes | 0.10 | 1.05 |
CPVL | 0.0000510 | 5329 | GTEx | DepMap | Descartes | 0.00 | 0.00 |
ATP8B4 | 0.0000478 | 5397 | GTEx | DepMap | Descartes | 0.04 | 0.20 |
ADAP2 | 0.0000394 | 5619 | GTEx | DepMap | Descartes | 0.09 | 1.92 |
MPEG1 | 0.0000325 | 5817 | GTEx | DepMap | Descartes | 0.55 | 76.62 |
HCK | 0.0000253 | 6034 | GTEx | DepMap | Descartes | 0.10 | 2.03 |
MERTK | 0.0000152 | 6391 | GTEx | DepMap | Descartes | 0.16 | 1.12 |
CYBB | 0.0000076 | 6718 | GTEx | DepMap | Descartes | 0.42 | 5.63 |
HRH1 | -0.0000194 | 9373 | GTEx | DepMap | Descartes | 0.01 | 0.13 |
CD163L1 | -0.0000325 | 10755 | GTEx | DepMap | Descartes | 0.04 | 3.52 |
Descartes Schwann markers
Top 50 marker genes of Schwann cells in the Decartes fetal adrenal single cell map (https://atlas.brotmanbaty.org/bbi/human-gene-expression-during-development/cell/schwann/in/adrenal)
Wilcoxon ranksum test P-value for gene set overrepresentation: 4.41e-01
Mean rank of genes in gene set: 10344.49
Median rank of genes in gene set: 11529
Rank on gene expression program of top 30 genes in gene set:
Genes | Weight | Rank | GTEx | DepMap | Descartes | Mean.Counts | Mean.TPM |
---|---|---|---|---|---|---|---|
LAMA4 | 0.0038592 | 149 | GTEx | DepMap | Descartes | 1.54 | 6.06 |
KCTD12 | 0.0023488 | 287 | GTEx | DepMap | Descartes | 0.55 | 50.34 |
ADAMTS5 | 0.0022062 | 318 | GTEx | DepMap | Descartes | 2.09 | 21.88 |
VIM | 0.0020964 | 340 | GTEx | DepMap | Descartes | 35.62 | 1701.82 |
LAMB1 | 0.0016011 | 474 | GTEx | DepMap | Descartes | 1.49 | 10.71 |
EDNRB | 0.0015269 | 504 | GTEx | DepMap | Descartes | 0.96 | 23.79 |
PLCE1 | 0.0014624 | 537 | GTEx | DepMap | Descartes | 0.38 | 0.50 |
MARCKS | 0.0013235 | 616 | GTEx | DepMap | Descartes | 6.26 | 501.70 |
COL18A1 | 0.0011324 | 742 | GTEx | DepMap | Descartes | 3.58 | 14.74 |
LAMC1 | 0.0010932 | 773 | GTEx | DepMap | Descartes | 1.61 | 6.85 |
FIGN | 0.0002923 | 2701 | GTEx | DepMap | Descartes | 0.06 | 0.22 |
EGFLAM | 0.0002878 | 2731 | GTEx | DepMap | Descartes | 0.06 | 0.15 |
GAS7 | 0.0002552 | 2939 | GTEx | DepMap | Descartes | 0.48 | 0.91 |
GRIK3 | 0.0000975 | 4494 | GTEx | DepMap | Descartes | 0.04 | 0.06 |
STARD13 | 0.0000561 | 5225 | GTEx | DepMap | Descartes | 0.28 | 0.69 |
SOX10 | 0.0000463 | 5430 | GTEx | DepMap | Descartes | 0.25 | 10.73 |
ERBB3 | 0.0000183 | 6280 | GTEx | DepMap | Descartes | 0.38 | 5.80 |
SOX5 | 0.0000175 | 6306 | GTEx | DepMap | Descartes | 0.13 | 0.02 |
HMGA2 | 0.0000044 | 6886 | GTEx | DepMap | Descartes | 0.01 | 0.02 |
ERBB4 | 0.0000002 | 7144 | GTEx | DepMap | Descartes | 0.01 | 0.00 |
CDH19 | -0.0000017 | 7303 | GTEx | DepMap | Descartes | 0.19 | 1.10 |
PAG1 | -0.0000185 | 9240 | GTEx | DepMap | Descartes | 0.12 | 0.64 |
IL1RAPL2 | -0.0000225 | 9733 | GTEx | DepMap | Descartes | 0.00 | 0.00 |
IL1RAPL1 | -0.0000407 | 11529 | GTEx | DepMap | Descartes | 0.01 | 0.00 |
DST | -0.0000468 | 12071 | GTEx | DepMap | Descartes | 1.90 | 2.53 |
LRRTM4 | -0.0000617 | 13119 | GTEx | DepMap | Descartes | 0.00 | 0.00 |
COL5A2 | -0.0000718 | 13742 | GTEx | DepMap | Descartes | 3.41 | 10.22 |
VCAN | -0.0000975 | 15035 | GTEx | DepMap | Descartes | 0.61 | 2.09 |
SLC35F1 | -0.0001040 | 15358 | GTEx | DepMap | Descartes | 0.13 | 0.18 |
PLP1 | -0.0001132 | 15755 | GTEx | DepMap | Descartes | 0.83 | 21.39 |
Descartes Megakaryocytes markers
Top 50 marker genes of Megakaryocytes cells in the Decartes fetal adrenal single cell map (https://atlas.brotmanbaty.org/bbi/human-gene-expression-during-development/cell/megakaryocytes/in/adrenal)
Wilcoxon ranksum test P-value for gene set overrepresentation: 3.80e-04
Mean rank of genes in gene set: 7569.73
Median rank of genes in gene set: 6324
Rank on gene expression program of top 30 genes in gene set:
Genes | Weight | Rank | GTEx | DepMap | Descartes | Mean.Counts | Mean.TPM |
---|---|---|---|---|---|---|---|
MMRN1 | 0.0401343 | 1 | GTEx | DepMap | Descartes | 1.41 | 13.22 |
MYH9 | 0.0030375 | 204 | GTEx | DepMap | Descartes | 3.19 | 22.62 |
CD9 | 0.0028878 | 217 | GTEx | DepMap | Descartes | 9.39 | 113.03 |
LIMS1 | 0.0026353 | 244 | GTEx | DepMap | Descartes | 1.93 | 7.34 |
FLI1 | 0.0023492 | 286 | GTEx | DepMap | Descartes | 0.86 | 4.26 |
THBS1 | 0.0017101 | 444 | GTEx | DepMap | Descartes | 1.80 | 62.71 |
TPM4 | 0.0016653 | 452 | GTEx | DepMap | Descartes | 3.45 | 61.69 |
ITGB3 | 0.0012882 | 640 | GTEx | DepMap | Descartes | 0.30 | 2.55 |
ACTN1 | 0.0010512 | 808 | GTEx | DepMap | Descartes | 1.28 | 6.06 |
TGFB1 | 0.0010470 | 814 | GTEx | DepMap | Descartes | 1.32 | 39.19 |
ARHGAP6 | 0.0010316 | 826 | GTEx | DepMap | Descartes | 0.09 | 0.09 |
VCL | 0.0006638 | 1329 | GTEx | DepMap | Descartes | 1.04 | 4.61 |
LTBP1 | 0.0005682 | 1548 | GTEx | DepMap | Descartes | 0.41 | 0.44 |
TRPC6 | 0.0004609 | 1895 | GTEx | DepMap | Descartes | 0.00 | 0.00 |
UBASH3B | 0.0003632 | 2322 | GTEx | DepMap | Descartes | 0.09 | 0.31 |
ZYX | 0.0003592 | 2343 | GTEx | DepMap | Descartes | 1.25 | 56.36 |
RAP1B | 0.0002994 | 2653 | GTEx | DepMap | Descartes | 1.72 | 26.30 |
RAB27B | 0.0002351 | 3085 | GTEx | DepMap | Descartes | 0.12 | 0.18 |
ANGPT1 | 0.0001895 | 3440 | GTEx | DepMap | Descartes | 0.10 | 0.20 |
TLN1 | 0.0001364 | 3992 | GTEx | DepMap | Descartes | 2.01 | 32.25 |
MCTP1 | 0.0001346 | 4011 | GTEx | DepMap | Descartes | 0.25 | 0.19 |
TMSB4X | 0.0001252 | 4124 | GTEx | DepMap | Descartes | 118.87 | 21801.09 |
FLNA | 0.0000545 | 5260 | GTEx | DepMap | Descartes | 1.49 | 26.30 |
GP9 | 0.0000332 | 5801 | GTEx | DepMap | Descartes | 0.00 | 0.00 |
P2RX1 | 0.0000171 | 6324 | GTEx | DepMap | Descartes | 0.01 | 2.13 |
ITGA2B | 0.0000121 | 6527 | GTEx | DepMap | Descartes | 0.10 | 4.37 |
INPP4B | 0.0000072 | 6741 | GTEx | DepMap | Descartes | 0.14 | 0.12 |
SPN | 0.0000050 | 6854 | GTEx | DepMap | Descartes | 0.03 | 5.40 |
PPBP | -0.0000019 | 7313 | GTEx | DepMap | Descartes | 0.00 | 0.00 |
TUBB1 | -0.0000038 | 7472 | GTEx | DepMap | Descartes | 0.00 | 0.00 |
Descartes Lyphoid markers
Top 50 marker genes of Lyphoid cells in the Decartes fetal adrenal single cell map (https://atlas.brotmanbaty.org/bbi/human-gene-expression-during-development/cell/lymphoid/in/adrenal)
Wilcoxon ranksum test P-value for gene set overrepresentation: 2.89e-01
Mean rank of genes in gene set: 9969.48
Median rank of genes in gene set: 11957.5
Rank on gene expression program of top 30 genes in gene set:
Genes | Weight | Rank | GTEx | DepMap | Descartes | Mean.Counts | Mean.TPM |
---|---|---|---|---|---|---|---|
ITPKB | 0.0020158 | 361 | GTEx | DepMap | Descartes | 0.70 | 4.79 |
MSN | 0.0015226 | 505 | GTEx | DepMap | Descartes | 4.55 | 35.23 |
B2M | 0.0012891 | 639 | GTEx | DepMap | Descartes | 9.51 | 966.49 |
ARID5B | 0.0012512 | 665 | GTEx | DepMap | Descartes | 0.49 | 1.47 |
MCTP2 | 0.0010680 | 791 | GTEx | DepMap | Descartes | 0.03 | 0.07 |
ABLIM1 | 0.0008544 | 1013 | GTEx | DepMap | Descartes | 0.86 | 2.15 |
PITPNC1 | 0.0007746 | 1133 | GTEx | DepMap | Descartes | 0.61 | 1.52 |
ETS1 | 0.0006292 | 1400 | GTEx | DepMap | Descartes | 1.68 | 9.50 |
MBNL1 | 0.0005671 | 1549 | GTEx | DepMap | Descartes | 2.45 | 8.43 |
WIPF1 | 0.0005651 | 1557 | GTEx | DepMap | Descartes | 0.35 | 1.64 |
PRKCH | 0.0005153 | 1700 | GTEx | DepMap | Descartes | 0.49 | 1.76 |
CCND3 | 0.0004514 | 1930 | GTEx | DepMap | Descartes | 0.80 | 4.36 |
ARHGDIB | 0.0004391 | 1982 | GTEx | DepMap | Descartes | 1.32 | 44.16 |
FOXP1 | 0.0003665 | 2303 | GTEx | DepMap | Descartes | 1.65 | 1.26 |
RCSD1 | 0.0001306 | 4067 | GTEx | DepMap | Descartes | 0.20 | 2.38 |
CELF2 | 0.0001222 | 4157 | GTEx | DepMap | Descartes | 0.87 | 0.42 |
NKG7 | 0.0000376 | 5665 | GTEx | DepMap | Descartes | 0.38 | 314.37 |
BCL2 | 0.0000293 | 5918 | GTEx | DepMap | Descartes | 0.46 | 2.17 |
SKAP1 | 0.0000059 | 6813 | GTEx | DepMap | Descartes | 0.20 | 0.59 |
IKZF1 | -0.0000125 | 8539 | GTEx | DepMap | Descartes | 0.13 | 0.74 |
CD44 | -0.0000412 | 11580 | GTEx | DepMap | Descartes | 0.57 | 2.71 |
LCP1 | -0.0000434 | 11786 | GTEx | DepMap | Descartes | 0.77 | 5.40 |
PLEKHA2 | -0.0000475 | 12129 | GTEx | DepMap | Descartes | 0.28 | 3.54 |
PTPRC | -0.0000639 | 13261 | GTEx | DepMap | Descartes | 0.74 | 5.53 |
ARHGAP15 | -0.0000696 | 13615 | GTEx | DepMap | Descartes | 0.12 | 0.16 |
BACH2 | -0.0000811 | 14280 | GTEx | DepMap | Descartes | 0.06 | 0.11 |
CCL5 | -0.0000826 | 14362 | GTEx | DepMap | Descartes | 1.06 | 176.72 |
ANKRD44 | -0.0000851 | 14475 | GTEx | DepMap | Descartes | 0.25 | 0.74 |
DOCK10 | -0.0000863 | 14537 | GTEx | DepMap | Descartes | 0.26 | 0.55 |
SORL1 | -0.0001032 | 15324 | GTEx | DepMap | Descartes | 0.09 | 0.23 |
Below shows the ranks on this GEP for immune marker gene lists curated by CellTypist (https://www.celltypist.org/encyclopedia).
High ranks indicate this gene is a driver of this GEP.
These curated gene list are ranked by P-value (on this GEP) of their constituent genes.
The Mean Count column shows the mean read count in cells scoring highly (H > 50) on this gene expression program.
Genes | Weight | Rank | GTEx | DepMap | Decartes | Mean.Counts | Mean.TPM |
---|---|---|---|---|---|---|---|
IRF7 | 0.0018854 | 401 | GTEx | DepMap | Descartes | 1.03 | 141.84 |
IL3RA | 0.0007359 | 1202 | GTEx | DepMap | Descartes | 0.29 | 10.46 |
CCDC50 | 0.0000743 | 4864 | GTEx | DepMap | Descartes | 1.19 | 8.91 |
ILC precursor: ILC precursor (curated markers)
innate lymphoid cell precursors which give rise to innate lymphoid cells and lack the characteristics of their mature progenies:
Wilcoxon ranksum test P-value for gene set overrepresentation: 1.27e-02
Mean rank of genes in gene set: 2668.33
Rank on gene expression program of genes in gene set:
Genes | Weight | Rank | GTEx | DepMap | Decartes | Mean.Counts | Mean.TPM |
---|---|---|---|---|---|---|---|
SCN1B | 0.0106000 | 20 | GTEx | DepMap | Descartes | 1.35 | 63.34 |
HPN | 0.0006215 | 1411 | GTEx | DepMap | Descartes | 0.12 | 1.35 |
LST1 | 0.0000108 | 6574 | GTEx | DepMap | Descartes | 0.38 | 73.04 |
Granulocytes: Neutrophils (curated markers)
the most abundant type of granulocytes that contains distinctive cytoplasmic granules and forms an essential part of the innate immune system:
Wilcoxon ranksum test P-value for gene set overrepresentation: 2.68e-02
Mean rank of genes in gene set: 3736.67
Rank on gene expression program of genes in gene set:
Genes | Weight | Rank | GTEx | DepMap | Decartes | Mean.Counts | Mean.TPM |
---|---|---|---|---|---|---|---|
LCN2 | 0.0044168 | 122 | GTEx | DepMap | Descartes | 0.43 | 49.61 |
MMP8 | 0.0000836 | 4699 | GTEx | DepMap | Descartes | 0.01 | 0.78 |
ORM1 | 0.0000153 | 6389 | GTEx | DepMap | Descartes | 0.00 | 0.00 |