Program description and justification of annotation: 19.
Submit a comment on this gene expression program’s interpretation: CLICK
QQ-plot of gene loadings, averaged over both independent splits of the data
This plot highlights the relative contribution of each gene to the GEP
Top genes driving this program. Note: Decartes website is buggy, try refreshing. Also, Decartes fetal adrenal data have been collected at specific time points (89-122 days), all possible cell types of interest may not be represented, do not overinterpret. The Mean Count column shows the mean read count in cells scoring highly (H > 50) on this gene expression program (currently only calculated for the cells in the first 50/50 split of the data).
Gene | Loading | Gene.Name | GTEx | DepMap | Descartes | Mean.Counts | Mean.Tpm | |
---|---|---|---|---|---|---|---|---|
1 | IGFBP3 | 0.0231535 | insulin like growth factor binding protein 3 | GTEx | DepMap | Descartes | 0.00 | NA |
2 | SPARC | 0.0204426 | secreted protein acidic and cysteine rich | GTEx | DepMap | Descartes | 0.00 | NA |
3 | CDH5 | 0.0200900 | cadherin 5 | GTEx | DepMap | Descartes | 0.00 | NA |
4 | COL4A2 | 0.0199779 | collagen type IV alpha 2 chain | GTEx | DepMap | Descartes | 0.00 | NA |
5 | COL4A1 | 0.0193466 | collagen type IV alpha 1 chain | GTEx | DepMap | Descartes | 0.00 | NA |
6 | MCAM | 0.0191869 | melanoma cell adhesion molecule | GTEx | DepMap | Descartes | 0.00 | NA |
7 | CLDN5 | 0.0188229 | claudin 5 | GTEx | DepMap | Descartes | 0.01 | NA |
8 | PLVAP | 0.0186691 | plasmalemma vesicle associated protein | GTEx | DepMap | Descartes | 0.00 | NA |
9 | NID2 | 0.0179489 | nidogen 2 | GTEx | DepMap | Descartes | 0.00 | NA |
10 | IGFBP7 | 0.0177700 | insulin like growth factor binding protein 7 | GTEx | DepMap | Descartes | 0.00 | NA |
11 | INHBB | 0.0174131 | inhibin subunit beta B | GTEx | DepMap | Descartes | 0.00 | NA |
12 | SEMA3F | 0.0171178 | semaphorin 3F | GTEx | DepMap | Descartes | 0.00 | NA |
13 | ESAM | 0.0155147 | endothelial cell adhesion molecule | GTEx | DepMap | Descartes | 0.00 | NA |
14 | MEST | 0.0151375 | mesoderm specific transcript | GTEx | DepMap | Descartes | 0.01 | NA |
15 | TIE1 | 0.0147523 | tyrosine kinase with immunoglobulin like and EGF like domains 1 | GTEx | DepMap | Descartes | 0.00 | NA |
16 | ADAMTS4 | 0.0142984 | ADAM metallopeptidase with thrombospondin type 1 motif 4 | GTEx | DepMap | Descartes | 0.00 | NA |
17 | PCDH1 | 0.0137669 | protocadherin 1 | GTEx | DepMap | Descartes | 0.00 | NA |
18 | PRSS23 | 0.0137625 | serine protease 23 | GTEx | DepMap | Descartes | 0.00 | NA |
19 | F11R | 0.0137215 | F11 receptor | GTEx | DepMap | Descartes | 0.00 | NA |
20 | RAMP2 | 0.0136594 | receptor activity modifying protein 2 | GTEx | DepMap | Descartes | 0.01 | NA |
21 | ECE1 | 0.0132375 | endothelin converting enzyme 1 | GTEx | DepMap | Descartes | 0.00 | NA |
22 | CD34 | 0.0131403 | CD34 molecule | GTEx | DepMap | Descartes | 0.00 | NA |
23 | APLN | 0.0130904 | apelin | GTEx | DepMap | Descartes | 0.00 | NA |
24 | ICAM2 | 0.0130092 | intercellular adhesion molecule 2 | GTEx | DepMap | Descartes | 0.00 | NA |
25 | KCNJ8 | 0.0127446 | potassium inwardly rectifying channel subfamily J member 8 | GTEx | DepMap | Descartes | 0.01 | NA |
26 | ITM2C | 0.0127050 | integral membrane protein 2C | GTEx | DepMap | Descartes | 0.03 | NA |
27 | S1PR1 | 0.0125085 | sphingosine-1-phosphate receptor 1 | GTEx | DepMap | Descartes | 0.00 | NA |
28 | PLXND1 | 0.0124654 | plexin D1 | GTEx | DepMap | Descartes | 0.00 | NA |
29 | DLL4 | 0.0122476 | delta like canonical Notch ligand 4 | GTEx | DepMap | Descartes | 0.02 | NA |
30 | PODXL | 0.0122237 | podocalyxin like | GTEx | DepMap | Descartes | 0.00 | NA |
31 | HSPG2 | 0.0121480 | heparan sulfate proteoglycan 2 | GTEx | DepMap | Descartes | 0.00 | NA |
32 | EGFL7 | 0.0120398 | EGF like domain multiple 7 | GTEx | DepMap | Descartes | 0.00 | NA |
33 | SPARCL1 | 0.0115924 | SPARC like 1 | GTEx | DepMap | Descartes | 0.01 | NA |
34 | PDGFB | 0.0114557 | platelet derived growth factor subunit B | GTEx | DepMap | Descartes | 0.01 | NA |
35 | AQP1 | 0.0111958 | aquaporin 1 (Colton blood group) | GTEx | DepMap | Descartes | 0.00 | NA |
36 | PPIC | 0.0111090 | peptidylprolyl isomerase C | GTEx | DepMap | Descartes | 0.00 | NA |
37 | SERPINH1 | 0.0110509 | serpin family H member 1 | GTEx | DepMap | Descartes | 0.00 | NA |
38 | ITGB1 | 0.0110239 | integrin subunit beta 1 | GTEx | DepMap | Descartes | 0.01 | NA |
39 | FLT1 | 0.0108838 | fms related receptor tyrosine kinase 1 | GTEx | DepMap | Descartes | 0.00 | NA |
40 | NID1 | 0.0106928 | nidogen 1 | GTEx | DepMap | Descartes | 0.00 | NA |
41 | MMP15 | 0.0106275 | matrix metallopeptidase 15 | GTEx | DepMap | Descartes | 0.02 | NA |
42 | COL18A1 | 0.0105317 | collagen type XVIII alpha 1 chain | GTEx | DepMap | Descartes | 0.00 | NA |
43 | CHST1 | 0.0104517 | carbohydrate sulfotransferase 1 | GTEx | DepMap | Descartes | 0.00 | NA |
44 | APLP2 | 0.0102204 | amyloid beta precursor like protein 2 | GTEx | DepMap | Descartes | 0.04 | NA |
45 | CD81 | 0.0102002 | CD81 molecule | GTEx | DepMap | Descartes | 0.03 | NA |
46 | STC1 | 0.0101832 | stanniocalcin 1 | GTEx | DepMap | Descartes | 0.01 | NA |
47 | MYADM | 0.0101386 | myeloid associated differentiation marker | GTEx | DepMap | Descartes | 0.00 | NA |
48 | PGF | 0.0100654 | placental growth factor | GTEx | DepMap | Descartes | 0.00 | NA |
49 | C1QTNF6 | 0.0099889 | C1q and TNF related 6 | GTEx | DepMap | Descartes | 0.00 | NA |
50 | ENG | 0.0099516 | endoglin | GTEx | DepMap | Descartes | 0.00 | NA |
UMAP plots showing activity of gene expression program identified in community:19. PDX Mouse #19
Gene set Enrichments for this program, caculated from top 50 genes
mSigDB Cell Types Gene Set:
P-value | OR | Lower 95% CI | FDR | FWER | Genes Found | Gene Set Size | |
---|---|---|---|---|---|---|---|
RUBENSTEIN_SKELETAL_MUSCLE_ENDOTHELIAL_CELLS | 5.03e-20 | 48.53 | 24.36 | 4.82e-18 | 3.38e-17 | 16CDH5, COL4A2, COL4A1, CLDN5, ESAM, RAMP2, CD34, ICAM2, PODXL, HSPG2, EGFL7, SPARCL1, AQP1, PPIC, FLT1, ENG |
137 |
MENON_FETAL_KIDNEY_9_ENDOTHELIAL_CELLS | 7.67e-17 | 49.23 | 23.21 | 3.96e-15 | 5.15e-14 | 13SPARC, COL4A2, COL4A1, CLDN5, ESAM, RAMP2, CD34, HSPG2, EGFL7, SERPINH1, ITGB1, FLT1, CD81 |
102 |
DESCARTES_FETAL_EYE_VASCULAR_ENDOTHELIAL_CELLS | 7.75e-16 | 50.55 | 23.13 | 3.47e-14 | 5.20e-13 | 12CDH5, CLDN5, PLVAP, TIE1, RAMP2, ICAM2, S1PR1, PLXND1, PODXL, EGFL7, FLT1, ENG |
90 |
DURANTE_ADULT_OLFACTORY_NEUROEPITHELIUM_PERICYTES | 8.57e-15 | 51.81 | 22.91 | 3.38e-13 | 5.75e-12 | 11CLDN5, PLVAP, ESAM, RAMP2, CD34, PODXL, EGFL7, SPARCL1, AQP1, FLT1, ENG |
79 |
FAN_EMBRYONIC_CTX_BIG_GROUPS_BRAIN_ENDOTHELIAL | 1.46e-27 | 39.95 | 21.79 | 9.79e-25 | 9.79e-25 | 26SPARC, CDH5, COL4A2, COL4A1, MCAM, CLDN5, NID2, IGFBP7, ESAM, TIE1, RAMP2, ECE1, CD34, KCNJ8, PLXND1, PODXL, EGFL7, PDGFB, PPIC, SERPINH1, ITGB1, FLT1, NID1, COL18A1, PGF, ENG |
365 |
CUI_DEVELOPING_HEART_C4_ENDOTHELIAL_CELL | 6.24e-18 | 40.86 | 20.21 | 3.81e-16 | 4.19e-15 | 15CDH5, MCAM, PLVAP, ESAM, TIE1, F11R, RAMP2, ECE1, CD34, PLXND1, PODXL, EGFL7, FLT1, COL18A1, ENG |
146 |
DESCARTES_FETAL_INTESTINE_VASCULAR_ENDOTHELIAL_CELLS | 2.91e-10 | 56.38 | 20.07 | 7.80e-09 | 1.95e-07 | 7PLVAP, ESAM, CD34, APLN, DLL4, HSPG2, FLT1 |
43 |
AIZARANI_LIVER_C10_MVECS_1 | 3.63e-21 | 33.47 | 17.74 | 4.87e-19 | 2.44e-18 | 20SPARC, CDH5, COL4A1, CLDN5, PLVAP, IGFBP7, ESAM, TIE1, PRSS23, RAMP2, ECE1, CD34, S1PR1, EGFL7, SPARCL1, PDGFB, AQP1, FLT1, MYADM, ENG |
269 |
AIZARANI_LIVER_C9_LSECS_1 | 4.00e-20 | 29.34 | 15.59 | 4.47e-18 | 2.68e-17 | 20SPARC, CDH5, COL4A2, COL4A1, MCAM, IGFBP7, ESAM, TIE1, ADAMTS4, PRSS23, ECE1, S1PR1, EGFL7, PDGFB, SERPINH1, FLT1, NID1, STC1, MYADM, ENG |
304 |
MURARO_PANCREAS_ENDOTHELIAL_CELL | 1.63e-21 | 28.89 | 15.58 | 2.74e-19 | 1.10e-18 | 22SPARC, CDH5, COL4A2, COL4A1, MCAM, PLVAP, IGFBP7, ESAM, TIE1, ADAMTS4, PRSS23, RAMP2, ECE1, CD34, PODXL, SPARCL1, PDGFB, SERPINH1, FLT1, NID1, CD81, STC1 |
362 |
GAO_LARGE_INTESTINE_24W_C2_MKI67POS_PROGENITOR | 4.86e-13 | 34.53 | 15.50 | 1.81e-11 | 3.26e-10 | 11CDH5, CLDN5, PLVAP, ESAM, TIE1, RAMP2, CD34, PODXL, EGFL7, FLT1, ENG |
113 |
DESCARTES_FETAL_PLACENTA_VASCULAR_ENDOTHELIAL_CELLS | 5.82e-12 | 33.93 | 14.68 | 1.86e-10 | 3.90e-09 | 10CDH5, CLDN5, PLVAP, TIE1, RAMP2, CD34, APLN, S1PR1, DLL4, EGFL7 |
102 |
AIZARANI_LIVER_C13_LSECS_2 | 8.51e-18 | 26.53 | 13.83 | 4.76e-16 | 5.71e-15 | 18SPARC, CDH5, COL4A2, COL4A1, CLDN5, IGFBP7, ESAM, TIE1, ADAMTS4, PRSS23, RAMP2, ECE1, PLXND1, EGFL7, SERPINH1, FLT1, NID1, ENG |
283 |
AIZARANI_LIVER_C29_MVECS_2 | 1.95e-18 | 26.06 | 13.75 | 1.45e-16 | 1.31e-15 | 19IGFBP3, CDH5, CLDN5, PLVAP, IGFBP7, ESAM, TIE1, ADAMTS4, PRSS23, RAMP2, ECE1, CD34, S1PR1, SPARCL1, AQP1, FLT1, STC1, MYADM, ENG |
313 |
DESCARTES_FETAL_CEREBELLUM_VASCULAR_ENDOTHELIAL_CELLS | 5.56e-23 | 24.24 | 13.30 | 1.87e-20 | 3.73e-20 | 27SPARC, CDH5, COL4A2, COL4A1, MCAM, CLDN5, IGFBP7, ESAM, TIE1, RAMP2, ECE1, CD34, APLN, ICAM2, KCNJ8, DLL4, PODXL, HSPG2, EGFL7, PDGFB, PPIC, SERPINH1, FLT1, NID1, COL18A1, PGF, ENG |
633 |
GAO_LARGE_INTESTINE_ADULT_CJ_IMMUNE_CELLS | 8.16e-20 | 22.11 | 12.02 | 6.84e-18 | 5.47e-17 | 23IGFBP3, SPARC, CDH5, COL4A2, COL4A1, MCAM, CLDN5, PLVAP, IGFBP7, INHBB, ESAM, RAMP2, CD34, KCNJ8, PLXND1, EGFL7, SPARCL1, FLT1, NID1, COL18A1, STC1, PGF, ENG |
505 |
AIZARANI_LIVER_C20_LSECS_3 | 4.33e-16 | 23.16 | 11.96 | 2.08e-14 | 2.91e-13 | 17SPARC, CDH5, COL4A2, COL4A1, MCAM, IGFBP7, SEMA3F, ESAM, TIE1, ADAMTS4, PRSS23, S1PR1, SERPINH1, FLT1, NID1, STC1, ENG |
295 |
FAN_EMBRYONIC_CTX_BRAIN_ENDOTHELIAL_1 | 2.28e-18 | 21.62 | 11.61 | 1.53e-16 | 1.53e-15 | 21SPARC, CDH5, CLDN5, NID2, IGFBP7, ESAM, TIE1, RAMP2, ECE1, CD34, S1PR1, PLXND1, DLL4, PODXL, EGFL7, SPARCL1, PPIC, SERPINH1, FLT1, NID1, ENG |
440 |
CUI_DEVELOPING_HEART_LEFT_VENTRICULAR_CARDIOMYOCYTE | 4.77e-07 | 39.59 | 11.58 | 8.42e-06 | 3.20e-04 | 5PLVAP, ESAM, RAMP2, PLXND1, ENG |
40 |
CUI_DEVELOPING_HEART_CORONARY_VASCULAR_ENDOTHELIAL_CELL | 5.41e-07 | 38.50 | 11.28 | 9.32e-06 | 3.63e-04 | 5COL4A2, COL4A1, CLDN5, IGFBP7, PDGFB |
41 |
Dowload full table
mSigDB Hallmark Gene Sets:
P-value | OR | Lower 95% CI | FDR | FWER | Genes Found | Gene Set Size | |
---|---|---|---|---|---|---|---|
HALLMARK_EPITHELIAL_MESENCHYMAL_TRANSITION | 9.73e-07 | 12.40 | 4.96 | 4.87e-05 | 4.87e-05 | 8IGFBP3, SPARC, COL4A2, COL4A1, NID2, MEST, SERPINH1, ITGB1 |
200 |
HALLMARK_MYOGENESIS | 1.08e-03 | 7.12 | 2.18 | 1.80e-02 | 5.40e-02 | 5IGFBP3, SPARC, COL4A2, IGFBP7, ITGB1 |
200 |
HALLMARK_APICAL_JUNCTION | 1.08e-03 | 7.12 | 2.18 | 1.80e-02 | 5.40e-02 | 5CLDN5, PCDH1, CD34, ICAM2, ITGB1 |
200 |
HALLMARK_COAGULATION | 2.09e-03 | 8.11 | 2.09 | 2.62e-02 | 1.05e-01 | 4SPARC, PRSS23, PDGFB, MMP15 |
138 |
HALLMARK_ANGIOGENESIS | 8.94e-03 | 15.30 | 1.73 | 6.39e-02 | 4.47e-01 | 2KCNJ8, STC1 |
36 |
HALLMARK_HYPOXIA | 7.71e-03 | 5.55 | 1.44 | 6.39e-02 | 3.85e-01 | 4IGFBP3, PDGFB, STC1, PGF |
200 |
HALLMARK_KRAS_SIGNALING_UP | 7.71e-03 | 5.55 | 1.44 | 6.39e-02 | 3.85e-01 | 4IGFBP3, PLVAP, SPARCL1, ENG |
200 |
HALLMARK_ADIPOGENESIS | 4.35e-02 | 4.05 | 0.80 | 1.98e-01 | 1.00e+00 | 3COL4A1, SPARCL1, APLP2 |
200 |
HALLMARK_ESTROGEN_RESPONSE_EARLY | 4.35e-02 | 4.05 | 0.80 | 1.98e-01 | 1.00e+00 | 3INHBB, PRSS23, PODXL |
200 |
HALLMARK_COMPLEMENT | 4.35e-02 | 4.05 | 0.80 | 1.98e-01 | 1.00e+00 | 3COL4A2, PDGFB, MMP15 |
200 |
HALLMARK_GLYCOLYSIS | 4.35e-02 | 4.05 | 0.80 | 1.98e-01 | 1.00e+00 | 3IGFBP3, CHST1, STC1 |
200 |
HALLMARK_ESTROGEN_RESPONSE_LATE | 1.85e-01 | 2.63 | 0.31 | 6.45e-01 | 1.00e+00 | 2MEST, PRSS23 |
200 |
HALLMARK_MTORC1_SIGNALING | 1.85e-01 | 2.63 | 0.31 | 6.45e-01 | 1.00e+00 | 2SERPINH1, STC1 |
200 |
HALLMARK_P53_PATHWAY | 1.85e-01 | 2.63 | 0.31 | 6.45e-01 | 1.00e+00 | 2INHBB, CD81 |
200 |
HALLMARK_TGF_BETA_SIGNALING | 1.94e-01 | 4.81 | 0.12 | 6.45e-01 | 1.00e+00 | 1ENG |
54 |
HALLMARK_IL2_STAT5_SIGNALING | 5.45e-01 | 1.29 | 0.03 | 1.00e+00 | 1.00e+00 | 1CD81 |
199 |
HALLMARK_ALLOGRAFT_REJECTION | 5.47e-01 | 1.28 | 0.03 | 1.00e+00 | 1.00e+00 | 1INHBB |
200 |
HALLMARK_TNFA_SIGNALING_VIA_NFKB | 1.00e+00 | 0.00 | 0.00 | 1.00e+00 | 1.00e+00 | 0 |
200 |
HALLMARK_CHOLESTEROL_HOMEOSTASIS | 1.00e+00 | 0.00 | 0.00 | 1.00e+00 | 1.00e+00 | 0 |
74 |
HALLMARK_MITOTIC_SPINDLE | 1.00e+00 | 0.00 | 0.00 | 1.00e+00 | 1.00e+00 | 0 |
199 |
Dowload full table
KEGG Pathways:
P-value | OR | Lower 95% CI | FDR | FWER | Genes Found | Gene Set Size | |
---|---|---|---|---|---|---|---|
KEGG_CELL_ADHESION_MOLECULES_CAMS | 8.17e-07 | 16.14 | 6.01 | 1.52e-04 | 1.52e-04 | 7CDH5, CLDN5, ESAM, F11R, CD34, ICAM2, ITGB1 |
133 |
KEGG_LEUKOCYTE_TRANSENDOTHELIAL_MIGRATION | 9.01e-05 | 12.51 | 3.80 | 7.46e-03 | 1.68e-02 | 5CDH5, CLDN5, ESAM, F11R, ITGB1 |
116 |
KEGG_ECM_RECEPTOR_INTERACTION | 3.32e-04 | 13.58 | 3.47 | 1.54e-02 | 6.17e-02 | 4COL4A2, COL4A1, HSPG2, ITGB1 |
84 |
KEGG_FOCAL_ADHESION | 1.20e-04 | 8.83 | 3.04 | 7.46e-03 | 2.24e-02 | 6COL4A2, COL4A1, PDGFB, ITGB1, FLT1, PGF |
199 |
KEGG_SMALL_CELL_LUNG_CANCER | 4.44e-03 | 9.85 | 1.92 | 1.65e-01 | 8.25e-01 | 3COL4A2, COL4A1, ITGB1 |
84 |
KEGG_PATHWAYS_IN_CANCER | 8.32e-03 | 4.34 | 1.34 | 2.58e-01 | 1.00e+00 | 5COL4A2, COL4A1, PDGFB, ITGB1, PGF |
325 |
KEGG_RENAL_CELL_CARCINOMA | 3.13e-02 | 7.66 | 0.88 | 8.32e-01 | 1.00e+00 | 2PDGFB, PGF |
70 |
KEGG_CYTOKINE_CYTOKINE_RECEPTOR_INTERACTION | 8.44e-02 | 3.05 | 0.60 | 1.00e+00 | 1.00e+00 | 3INHBB, PDGFB, FLT1 |
265 |
KEGG_AXON_GUIDANCE | 9.18e-02 | 4.10 | 0.48 | 1.00e+00 | 1.00e+00 | 2SEMA3F, ITGB1 |
129 |
KEGG_TIGHT_JUNCTION | 9.54e-02 | 4.01 | 0.47 | 1.00e+00 | 1.00e+00 | 2CLDN5, F11R |
132 |
KEGG_GLYCOSAMINOGLYCAN_BIOSYNTHESIS_KERATAN_SULFATE | 5.81e-02 | 18.20 | 0.42 | 1.00e+00 | 1.00e+00 | 1CHST1 |
15 |
KEGG_REGULATION_OF_ACTIN_CYTOSKELETON | 2.03e-01 | 2.47 | 0.29 | 1.00e+00 | 1.00e+00 | 2PDGFB, ITGB1 |
213 |
KEGG_PROXIMAL_TUBULE_BICARBONATE_RECLAMATION | 8.77e-02 | 11.59 | 0.28 | 1.00e+00 | 1.00e+00 | 1AQP1 |
23 |
KEGG_BLADDER_CANCER | 1.54e-01 | 6.22 | 0.15 | 1.00e+00 | 1.00e+00 | 1PGF |
42 |
KEGG_NOTCH_SIGNALING_PATHWAY | 1.71e-01 | 5.54 | 0.13 | 1.00e+00 | 1.00e+00 | 1DLL4 |
47 |
KEGG_MTOR_SIGNALING_PATHWAY | 1.87e-01 | 5.00 | 0.12 | 1.00e+00 | 1.00e+00 | 1PGF |
52 |
KEGG_PATHOGENIC_ESCHERICHIA_COLI_INFECTION | 2.00e-01 | 4.64 | 0.11 | 1.00e+00 | 1.00e+00 | 1ITGB1 |
56 |
KEGG_GLIOMA | 2.28e-01 | 3.99 | 0.10 | 1.00e+00 | 1.00e+00 | 1PDGFB |
65 |
KEGG_P53_SIGNALING_PATHWAY | 2.37e-01 | 3.81 | 0.09 | 1.00e+00 | 1.00e+00 | 1IGFBP3 |
68 |
KEGG_EPITHELIAL_CELL_SIGNALING_IN_HELICOBACTER_PYLORI_INFECTION | 2.37e-01 | 3.81 | 0.09 | 1.00e+00 | 1.00e+00 | 1F11R |
68 |
Dowload full table
CHR Positional Gene Sets:
P-value | OR | Lower 95% CI | FDR | FWER | Genes Found | Gene Set Size | |
---|---|---|---|---|---|---|---|
chr16q21 | 3.47e-02 | 7.23 | 0.84 | 1.00e+00 | 1.00e+00 | 2CDH5, MMP15 |
74 |
chr7q32 | 4.93e-02 | 5.92 | 0.69 | 1.00e+00 | 1.00e+00 | 2MEST, PODXL |
90 |
chr11q24 | 1.61e-01 | 2.88 | 0.34 | 1.00e+00 | 1.00e+00 | 2ESAM, APLP2 |
183 |
chr1q23 | 2.09e-01 | 2.42 | 0.28 | 1.00e+00 | 1.00e+00 | 2ADAMTS4, F11R |
217 |
chr9q34 | 3.42e-01 | 1.69 | 0.20 | 1.00e+00 | 1.00e+00 | 2EGFL7, ENG |
311 |
chr7p12 | 2.06e-01 | 4.47 | 0.11 | 1.00e+00 | 1.00e+00 | 1IGFBP3 |
58 |
chr1p36 | 1.00e+00 | 0.80 | 0.09 | 1.00e+00 | 1.00e+00 | 2ECE1, HSPG2 |
656 |
chr4q22 | 2.43e-01 | 3.70 | 0.09 | 1.00e+00 | 1.00e+00 | 1SPARCL1 |
70 |
chr4q12 | 2.70e-01 | 3.27 | 0.08 | 1.00e+00 | 1.00e+00 | 1IGFBP7 |
79 |
chr14q22 | 3.01e-01 | 2.87 | 0.07 | 1.00e+00 | 1.00e+00 | 1NID2 |
90 |
chr1p21 | 3.25e-01 | 2.60 | 0.06 | 1.00e+00 | 1.00e+00 | 1S1PR1 |
99 |
chr12p12 | 3.46e-01 | 2.41 | 0.06 | 1.00e+00 | 1.00e+00 | 1KCNJ8 |
107 |
chr5q33 | 3.52e-01 | 2.36 | 0.06 | 1.00e+00 | 1.00e+00 | 1SPARC |
109 |
chr5q23 | 3.57e-01 | 2.32 | 0.06 | 1.00e+00 | 1.00e+00 | 1PPIC |
111 |
chr17q23 | 3.59e-01 | 2.30 | 0.06 | 1.00e+00 | 1.00e+00 | 1ICAM2 |
112 |
chr3q22 | 3.72e-01 | 2.20 | 0.05 | 1.00e+00 | 1.00e+00 | 1PLXND1 |
117 |
chr8p21 | 3.99e-01 | 2.01 | 0.05 | 1.00e+00 | 1.00e+00 | 1STC1 |
128 |
chr11q14 | 4.29e-01 | 1.82 | 0.04 | 1.00e+00 | 1.00e+00 | 1PRSS23 |
141 |
chr15q15 | 4.33e-01 | 1.80 | 0.04 | 1.00e+00 | 1.00e+00 | 1DLL4 |
143 |
chr11p11 | 4.38e-01 | 1.77 | 0.04 | 1.00e+00 | 1.00e+00 | 1CHST1 |
145 |
Dowload full table
Transcription Factor Targets:
P-value | OR | Lower 95% CI | FDR | FWER | Genes Found | Gene Set Size | |
---|---|---|---|---|---|---|---|
ARGGGTTAA_UNKNOWN | 1.34e-03 | 9.21 | 2.37 | 2.53e-01 | 1.00e+00 | 4CDH5, KCNJ8, S1PR1, PDGFB |
122 |
STAT5B_01 | 4.49e-04 | 6.85 | 2.36 | 2.53e-01 | 5.08e-01 | 6CLDN5, ADAMTS4, PCDH1, KCNJ8, DLL4, STC1 |
255 |
RYTTCCTG_ETS2_B | 2.99e-05 | 4.43 | 2.20 | 3.38e-02 | 3.38e-02 | 14SPARC, CDH5, CLDN5, SEMA3F, ESAM, ADAMTS4, PCDH1, RAMP2, DLL4, EGFL7, PDGFB, ITGB1, FLT1, C1QTNF6 |
1112 |
ETS2_B | 7.40e-04 | 6.20 | 2.14 | 2.53e-01 | 8.39e-01 | 6SPARC, CDH5, ESAM, PCDH1, PGF, C1QTNF6 |
281 |
AP2ALPHA_01 | 2.51e-03 | 5.84 | 1.79 | 2.85e-01 | 1.00e+00 | 5IGFBP7, ESAM, DLL4, PDGFB, APLP2 |
243 |
TTCYNRGAA_STAT5B_01 | 1.95e-03 | 5.09 | 1.76 | 2.85e-01 | 1.00e+00 | 6ADAMTS4, PCDH1, KCNJ8, DLL4, FLT1, STC1 |
341 |
NFAT_Q6 | 2.78e-03 | 5.69 | 1.75 | 2.85e-01 | 1.00e+00 | 5IGFBP3, DLL4, HSPG2, SPARCL1, PDGFB |
249 |
STAT5A_01 | 3.28e-03 | 5.47 | 1.68 | 2.85e-01 | 1.00e+00 | 5ADAMTS4, KCNJ8, DLL4, FLT1, STC1 |
259 |
AREB6_01 | 4.15e-03 | 5.16 | 1.59 | 2.85e-01 | 1.00e+00 | 5MCAM, CLDN5, S1PR1, DLL4, PDGFB |
274 |
STAT5A_03 | 4.15e-03 | 5.16 | 1.59 | 2.85e-01 | 1.00e+00 | 5TIE1, HSPG2, FLT1, STC1, C1QTNF6 |
274 |
COREBINDINGFACTOR_Q6 | 4.28e-03 | 5.13 | 1.58 | 2.85e-01 | 1.00e+00 | 5COL4A2, COL4A1, RAMP2, PGF, C1QTNF6 |
276 |
HEN1_01 | 7.71e-03 | 5.55 | 1.44 | 3.82e-01 | 1.00e+00 | 4CLDN5, APLN, DLL4, PDGFB |
200 |
GGGYGTGNY_UNKNOWN | 3.89e-03 | 3.51 | 1.42 | 2.85e-01 | 1.00e+00 | 8IGFBP3, CDH5, TIE1, RAMP2, S1PR1, DLL4, APLP2, MYADM |
686 |
CCCNNGGGAR_OLF1_01 | 8.42e-03 | 4.33 | 1.33 | 3.82e-01 | 1.00e+00 | 5ESAM, ADAMTS4, DLL4, FLT1, COL18A1 |
326 |
MYOGNF1_01 | 1.55e-02 | 11.31 | 1.29 | 4.25e-01 | 1.00e+00 | 2APLN, PGF |
48 |
AACTTT_UNKNOWN | 5.37e-03 | 2.54 | 1.26 | 3.07e-01 | 1.00e+00 | 14SPARC, CDH5, SEMA3F, RAMP2, CD34, KCNJ8, ITM2C, HSPG2, SPARCL1, PDGFB, AQP1, SERPINH1, CHST1, STC1 |
1928 |
MEF2_02 | 1.34e-02 | 4.69 | 1.21 | 4.25e-01 | 1.00e+00 | 4ESAM, S1PR1, DLL4, AQP1 |
236 |
GCM_Q2 | 1.52e-02 | 4.51 | 1.17 | 4.25e-01 | 1.00e+00 | 4DLL4, PDGFB, APLP2, STC1 |
245 |
AP2GAMMA_01 | 1.66e-02 | 4.38 | 1.14 | 4.25e-01 | 1.00e+00 | 4IGFBP7, DLL4, PDGFB, APLP2 |
252 |
AHRARNT_01 | 1.83e-02 | 5.74 | 1.13 | 4.25e-01 | 1.00e+00 | 3PCDH1, DLL4, PDGFB |
142 |
Dowload full table
GO Biological Processes:
P-value | OR | Lower 95% CI | FDR | FWER | Genes Found | Gene Set Size | |
---|---|---|---|---|---|---|---|
GOBP_POSITIVE_REGULATION_OF_ENDOTHELIAL_CELL_DEVELOPMENT | 1.18e-06 | 261.33 | 34.39 | 3.93e-04 | 8.82e-03 | 3CDH5, CLDN5, F11R |
6 |
GOBP_MAINTENANCE_OF_BLOOD_BRAIN_BARRIER | 1.76e-07 | 49.45 | 14.27 | 6.94e-05 | 1.32e-03 | 5CDH5, CLDN5, ESAM, F11R, ITGB1 |
33 |
GOBP_METANEPHRIC_GLOMERULAR_MESANGIUM_DEVELOPMENT | 1.54e-04 | 172.68 | 14.09 | 2.36e-02 | 1.00e+00 | 2CD34, PDGFB |
5 |
GOBP_PROTEIN_LOCALIZATION_TO_BICELLULAR_TIGHT_JUNCTION | 1.54e-04 | 172.68 | 14.09 | 2.36e-02 | 1.00e+00 | 2CDH5, F11R |
5 |
GOBP_ENDOTHELIUM_DEVELOPMENT | 4.05e-12 | 27.95 | 12.61 | 4.33e-09 | 3.03e-08 | 11CDH5, CLDN5, TIE1, F11R, CD34, S1PR1, DLL4, COL18A1, STC1, MYADM, ENG |
137 |
GOBP_ENDOTHELIAL_CELL_DEVELOPMENT | 6.47e-09 | 34.43 | 12.55 | 3.73e-06 | 4.84e-05 | 7CDH5, CLDN5, F11R, COL18A1, STC1, MYADM, ENG |
66 |
GOBP_GLOMERULAR_MESANGIAL_CELL_DIFFERENTIATION | 2.31e-04 | 129.66 | 11.45 | 3.19e-02 | 1.00e+00 | 2CD34, PDGFB |
6 |
GOBP_BASEMENT_MEMBRANE_ORGANIZATION | 5.61e-06 | 41.71 | 10.17 | 1.55e-03 | 4.20e-02 | 4COL4A1, NID2, RAMP2, NID1 |
30 |
GOBP_REGULATION_OF_ENDOTHELIAL_CELL_DEVELOPMENT | 3.88e-05 | 56.82 | 10.14 | 8.28e-03 | 2.90e-01 | 3CDH5, CLDN5, F11R |
17 |
GOBP_PARACRINE_SIGNALING | 3.22e-04 | 103.49 | 9.64 | 3.89e-02 | 1.00e+00 | 2CD34, PDGFB |
7 |
GOBP_ESTABLISHMENT_OF_ENDOTHELIAL_BARRIER | 1.21e-06 | 32.24 | 9.53 | 3.93e-04 | 9.04e-03 | 5CDH5, CLDN5, F11R, MYADM, ENG |
48 |
GOBP_BRANCHING_INVOLVED_IN_BLOOD_VESSEL_MORPHOGENESIS | 9.37e-06 | 36.12 | 8.90 | 2.50e-03 | 7.01e-02 | 4COL4A1, PLXND1, DLL4, ENG |
34 |
GOBP_EXTERNAL_ENCAPSULATING_STRUCTURE_ORGANIZATION | 5.01e-14 | 17.00 | 8.80 | 1.25e-10 | 3.74e-10 | 17SPARC, COL4A2, COL4A1, NID2, TIE1, ADAMTS4, F11R, RAMP2, ICAM2, HSPG2, PDGFB, SERPINH1, ITGB1, NID1, MMP15, COL18A1, ENG |
396 |
GOBP_BLOOD_VESSEL_MATURATION | 4.28e-04 | 86.37 | 8.33 | 4.58e-02 | 1.00e+00 | 2CDH5, S1PR1 |
8 |
GOBP_DORSAL_AORTA_MORPHOGENESIS | 4.28e-04 | 86.37 | 8.33 | 4.58e-02 | 1.00e+00 | 2DLL4, ENG |
8 |
GOBP_METANEPHRIC_GLOMERULUS_VASCULATURE_DEVELOPMENT | 4.28e-04 | 86.37 | 8.33 | 4.58e-02 | 1.00e+00 | 2CD34, PDGFB |
8 |
GOBP_PERICYTE_CELL_DIFFERENTIATION | 4.28e-04 | 86.37 | 8.33 | 4.58e-02 | 1.00e+00 | 2CD34, PDGFB |
8 |
GOBP_BLOOD_VESSEL_MORPHOGENESIS | 9.55e-15 | 13.81 | 7.44 | 4.60e-11 | 7.14e-11 | 21SPARC, CDH5, COL4A2, COL4A1, MCAM, CLDN5, TIE1, RAMP2, CD34, APLN, S1PR1, PLXND1, DLL4, HSPG2, EGFL7, AQP1, ITGB1, FLT1, COL18A1, PGF, ENG |
677 |
GOBP_REGULATION_OF_VASCULATURE_DEVELOPMENT | 2.50e-11 | 14.87 | 7.33 | 2.08e-08 | 1.87e-07 | 14SPARC, CDH5, COL4A2, CLDN5, TIE1, RAMP2, CD34, PLXND1, HSPG2, AQP1, ITGB1, FLT1, PGF, ENG |
341 |
GOBP_VASCULATURE_DEVELOPMENT | 1.23e-14 | 12.87 | 6.98 | 4.60e-11 | 9.21e-11 | 22SPARC, CDH5, COL4A2, COL4A1, MCAM, CLDN5, TIE1, RAMP2, CD34, APLN, S1PR1, PLXND1, DLL4, HSPG2, EGFL7, PDGFB, AQP1, ITGB1, FLT1, COL18A1, PGF, ENG |
786 |
Dowload full table
Immunological Gene Sets:
P-value | OR | Lower 95% CI | FDR | FWER | Genes Found | Gene Set Size | |
---|---|---|---|---|---|---|---|
GSE21379_WT_VS_SAP_KO_TFH_CD4_TCELL_UP | 1.19e-05 | 10.54 | 3.95 | 2.89e-02 | 5.79e-02 | 7CDH5, COL4A2, COL4A1, ESAM, TIE1, ICAM2, SERPINH1 |
200 |
GSE37301_GRANULOCYTE_MONOCYTE_PROGENITOR_VS_RAG2_KO_NK_CELL_DN | 1.19e-05 | 10.54 | 3.95 | 2.89e-02 | 5.79e-02 | 7COL4A2, COL4A1, NID2, F11R, KCNJ8, ITGB1, NID1 |
200 |
GSE40685_NAIVE_CD4_TCELL_VS_FOXP3_KO_TREG_PRECURSOR_DN | 1.08e-04 | 9.02 | 3.10 | 1.00e-01 | 5.25e-01 | 6SPARC, COL4A2, PRSS23, PLXND1, PODXL, ITGB1 |
195 |
GSE24142_EARLY_THYMIC_PROGENITOR_VS_DN2_THYMOCYTE_FETAL_UP | 1.24e-04 | 8.78 | 3.02 | 1.00e-01 | 6.03e-01 | 6ESAM, RAMP2, CD34, S1PR1, CD81, MYADM |
200 |
GSE2405_0H_VS_3H_A_PHAGOCYTOPHILUM_STIM_NEUTROPHIL_UP | 1.24e-04 | 8.78 | 3.02 | 1.00e-01 | 6.03e-01 | 6IGFBP3, COL4A1, IGFBP7, SPARCL1, AQP1, APLP2 |
200 |
GSE21670_STAT3_KO_VS_WT_CD4_TCELL_IL6_TREATED_DN | 1.24e-04 | 8.78 | 3.02 | 1.00e-01 | 6.03e-01 | 6COL4A2, COL4A1, ESAM, TIE1, F11R, PODXL |
200 |
GSE21670_UNTREATED_VS_TGFB_TREATED_CD4_TCELL_DN | 1.03e-03 | 7.19 | 2.20 | 2.77e-01 | 1.00e+00 | 5COL4A2, COL4A1, ESAM, TIE1, F11R |
198 |
GSE5589_WT_VS_IL6_KO_LPS_AND_IL6_STIM_MACROPHAGE_45MIN_DN | 1.06e-03 | 7.16 | 2.19 | 2.77e-01 | 1.00e+00 | 5COL4A2, COL4A1, PCDH1, AQP1, NID1 |
199 |
GSE20715_0H_VS_48H_OZONE_TLR4_KO_LUNG_UP | 1.08e-03 | 7.12 | 2.18 | 2.77e-01 | 1.00e+00 | 5IGFBP3, CLDN5, ICAM2, DLL4, STC1 |
200 |
GSE24142_EARLY_THYMIC_PROGENITOR_VS_DN3_THYMOCYTE_FETAL_UP | 1.08e-03 | 7.12 | 2.18 | 2.77e-01 | 1.00e+00 | 5ESAM, RAMP2, S1PR1, AQP1, CD81 |
200 |
GSE24142_DN2_VS_DN3_THYMOCYTE_FETAL_UP | 1.08e-03 | 7.12 | 2.18 | 2.77e-01 | 1.00e+00 | 5CDH5, CD34, PODXL, PPIC, MYADM |
200 |
GSE24142_ADULT_VS_FETAL_EARLY_THYMIC_PROGENITOR_DN | 1.08e-03 | 7.12 | 2.18 | 2.77e-01 | 1.00e+00 | 5ESAM, S1PR1, PODXL, AQP1, PPIC |
200 |
GSE7852_LN_VS_FAT_TCONV_DN | 1.08e-03 | 7.12 | 2.18 | 2.77e-01 | 1.00e+00 | 5COL4A1, KCNJ8, SPARCL1, ITGB1, MYADM |
200 |
GSE4748_CTRL_VS_LPS_AND_CYANOBACTERIUM_LPSLIKE_STIM_DC_3H_DN | 1.08e-03 | 7.12 | 2.18 | 2.77e-01 | 1.00e+00 | 5COL4A1, PLVAP, MEST, SERPINH1, APLP2 |
200 |
GSE7831_CPG_VS_INFLUENZA_STIM_PDC_1H_DN | 1.08e-03 | 7.12 | 2.18 | 2.77e-01 | 1.00e+00 | 5IGFBP3, F11R, ECE1, KCNJ8, HSPG2 |
200 |
GSE21380_TFH_VS_GERMINAL_CENTER_TFH_CD4_TCELL_UP | 1.08e-03 | 7.12 | 2.18 | 2.77e-01 | 1.00e+00 | 5ESAM, TIE1, ECE1, ICAM2, APLP2 |
200 |
GSE22443_NAIVE_VS_ACT_AND_IL2_TREATED_CD8_TCELL_DN | 1.08e-03 | 7.12 | 2.18 | 2.77e-01 | 1.00e+00 | 5COL4A1, INHBB, SEMA3F, F11R, COL18A1 |
200 |
GSE41978_WT_VS_BIM_KO_KLRG1_LOW_EFFECTOR_CD8_TCELL_DN | 1.08e-03 | 7.12 | 2.18 | 2.77e-01 | 1.00e+00 | 5NID2, SEMA3F, RAMP2, FLT1, COL18A1 |
200 |
GSE18804_SPLEEN_MACROPHAGE_VS_COLON_TUMORAL_MACROPHAGE_UP | 1.08e-03 | 7.12 | 2.18 | 2.77e-01 | 1.00e+00 | 5SPARC, INHBB, ITM2C, SERPINH1, STC1 |
200 |
GSE3720_UNSTIM_VS_PMA_STIM_VD1_GAMMADELTA_TCELL_DN | 1.93e-03 | 8.30 | 2.14 | 4.71e-01 | 1.00e+00 | 4TIE1, KCNJ8, AQP1, PGF |
135 |
Top Ranked Transcription Factors for this Gene Expression Program:
Gene Symbol | TF Rank | DNA Binding Domain | Motif Status | IUPAC PWM | GTEx | DepMap | Decartes |
---|---|---|---|---|---|---|---|
PLXND1 | 28 | No | Unlikely to be sequence specific TF | Not a DNA binding protein | No motif | None | Protein is a semaphorin receptor that operates far upstream on the signaling cascade. |
KIT | 68 | No | Unlikely to be sequence specific TF | Not a DNA binding protein | No motif | None | None |
PRNP | 80 | No | Unlikely to be sequence specific TF | Not a DNA binding protein | No motif | None | None |
CREB3L2 | 122 | Yes | Known motif | Monomer or homomultimer | 100 perc ID - in vitro | None | None |
BMP4 | 128 | No | Unlikely to be sequence specific TF | Not a DNA binding protein | No motif | None | Likely a cofactor. |
FZD4 | 133 | No | Unlikely to be sequence specific TF | Not a DNA binding protein | No motif | None | None |
FZD6 | 159 | No | Unlikely to be sequence specific TF | Not a DNA binding protein | No motif | None | None |
TGFB1 | 178 | No | Unlikely to be sequence specific TF | Not a DNA binding protein | No motif | None | None |
PCSK6 | 184 | No | Unlikely to be sequence specific TF | Not a DNA binding protein | No motif | None | None |
NFE2L1 | 189 | Yes | Known motif | Obligate heteromer | In vivo/Misc source | Only known motifs are from Transfac or HocoMoco - origin is uncertain | Tested on HT-SELEX and PBM. Neither yielded a motif. Likely an obligate heteromer (PMID: 23661758). |
MAFA | 230 | Yes | Known motif | Monomer or homomultimer | High-throughput in vitro | None | None |
JUND | 258 | Yes | Known motif | Monomer or homomultimer | High-throughput in vitro | None | None |
CTNNB1 | 279 | No | Unlikely to be sequence specific TF | Not a DNA binding protein | No motif | Only known motifs are from Transfac or HocoMoco - origin is uncertain | This is beta catenin - acts as co-factor with TCF/LEF |
PLXNA2 | 304 | No | Unlikely to be sequence specific TF | Not a DNA binding protein | No motif | None | Protein is a semaphorin receptor that operates far upstream on the signaling cascade. |
NR2F6 | 308 | Yes | Known motif | Monomer or homomultimer | High-throughput in vitro | None | None |
NFKBIA | 335 | No | Unlikely to be sequence specific TF | Not a DNA binding protein | No motif | None | This is I kappa B alpha, which interacts with NFkappaB. No DBD, and evidence indicates that it is not a TF. |
FLNA | 350 | No | Unlikely to be sequence specific TF | Not a DNA binding protein | No motif | None | Go annotation is based on (PMID: 15684392), which shows that it binds FOXC1 and PBX1 but doesnt show evidence for binding to DNA |
NOTCH1 | 351 | No | Unlikely to be sequence specific TF | Not a DNA binding protein | No motif | None | A transmembrane protein that inhibits MEF2C activation (PMID: 10082551). NOTCH1 does not bind DNA in the structure, and is not required for DNA binding, since RBPJ is bound without it in (PDB:4J2X). |
EDN1 | 355 | No | Unlikely to be sequence specific TF | Not a DNA binding protein | No motif | None | Protein that is processed into a secreted signaling peptide |
FOSL2 | 357 | Yes | Known motif | Monomer or homomultimer | High-throughput in vitro | None | Also forms heterodimers. |
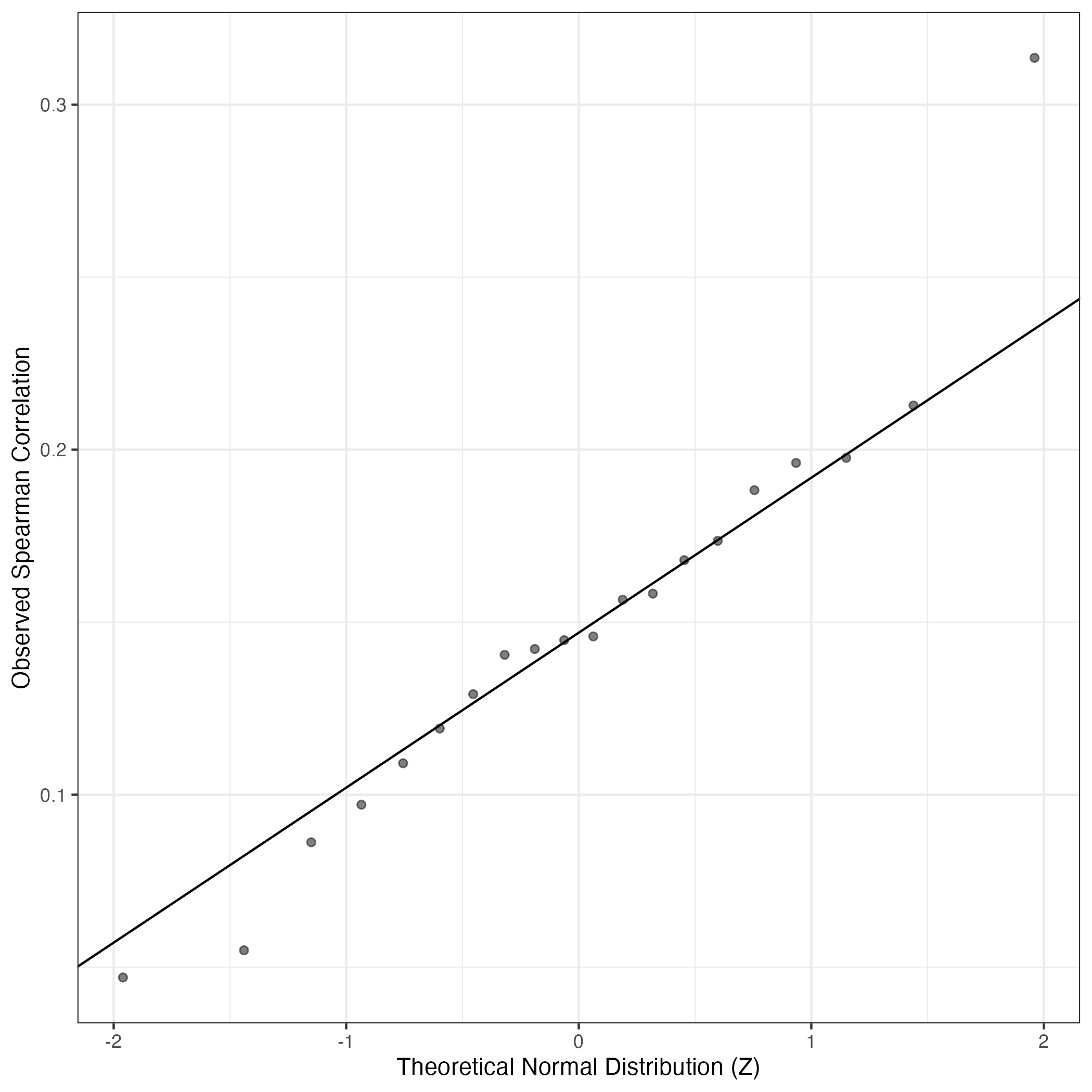
QQ Plot showing correlations with other Gene Expression Programs in this dataset, calculated by Spearman correlation:
Interactive QQ-plot of gene loadings:
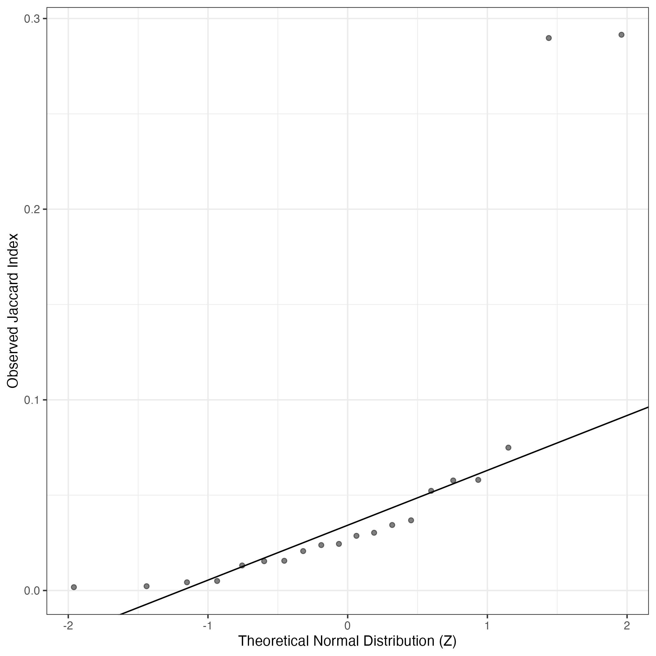
A similar QQ-plot as above, but only for instances where the H value is e.g. > 25, i.e. we are confident that the expression program is active above noise. Agreemenet between these binary vectors is tested using the Jaccard Index, with the P-values calculated by an exact test:
Interactive QQ-plot:
Singler cell type annotations for the top 50 cells on this program.
Cell ID | Singler label | Singler Delta | Activity Score | Top Singler Raw Scores |
---|---|---|---|---|
SJNBL030339_sn_TACCGGGAGGGCCCTT-1 | Endothelial cells | 0.15 | 1363.61 | Raw ScoresEndothelial cells: 0.23, Macrophages: 0.16, Epithelial cells: 0.15, B cells: 0.11, Dendritic cells: 0.1, NK cells: 0.1, Oligodendrocytes: 0.09, Erythrocytes: 0.08, T cells: 0.08, Neurons: 0.08 |
SJNBL031239_sc_CAACTAGCAGCTTCGG-1 | Microglia | 0.09 | 1230.71 | Raw ScoresMicroglia: 0.3, T cells: 0.26, NK cells: 0.26, Endothelial cells: 0.24, Dendritic cells: 0.24, Monocytes: 0.23, Cardiomyocytes: 0.23, Astrocytes: 0.21, B cells: 0.21, Macrophages: 0.2 |
SJNBL030339_sn_CTGTAGAGTCGTGCCA-1 | Microglia | 0.07 | 955.12 | Raw ScoresMicroglia: 0.05, NK cells: 0.05, Macrophages: 0.04, Monocytes: 0.04, T cells: 0.03, Dendritic cells: 0.01, Erythrocytes: 0, Granulocytes: 0, B cells: -0.01, Neurons: -0.02 |
SJNBL030339_sn_TACTGCCCATGGCGCT-1 | Microglia | 0.14 | 916.25 | Raw ScoresMicroglia: 0.27, Endothelial cells: 0.27, Astrocytes: 0.24, Macrophages: 0.23, Neurons: 0.2, Dendritic cells: 0.17, Monocytes: 0.17, Fibroblasts: 0.16, NK cells: 0.14, Oligodendrocytes: 0.13 |
SJNBL031239_sc_GTAACGTAGTCCATAC-1 | Endothelial cells | 0.17 | 735.41 | Raw ScoresEndothelial cells: 0.35, Macrophages: 0.34, Microglia: 0.33, Monocytes: 0.28, Dendritic cells: 0.25, Cardiomyocytes: 0.23, Granulocytes: 0.23, Fibroblasts: 0.21, Adipocytes: 0.2, NK cells: 0.17 |
SJNBL030339_sn_GGGTAGAAGTAACGAT-1 | Cardiomyocytes | 0.12 | 665.00 | Raw ScoresCardiomyocytes: 0.13, Endothelial cells: 0.11, Astrocytes: 0.04, Dendritic cells: 0.04, Adipocytes: 0.03, Granulocytes: 0.03, Neurons: 0.02, Macrophages: 0.02, T cells: 0.01, Microglia: 0.01 |
SJNBL030339_sn_TAGGTTGAGCACAAAT-1 | B cells | 0.09 | 602.52 | Raw ScoresB cells: 0.2, Erythrocytes: 0.18, T cells: 0.17, Neurons: 0.15, Oligodendrocytes: 0.14, Granulocytes: 0.14, Cardiomyocytes: 0.13, NK cells: 0.13, Dendritic cells: 0.11, Microglia: 0.1 |
SJNBL030339_sn_GTGACGCCAACTTGGT-1 | Microglia | 0.27 | 535.64 | Raw ScoresMicroglia: 0.32, Astrocytes: 0.29, Endothelial cells: 0.21, Neurons: 0.21, Macrophages: 0.16, Fibroblasts: 0.13, Adipocytes: 0.11, Cardiomyocytes: 0.06, Epithelial cells: 0.06, NK cells: 0.05 |
SJNBL030339_sn_GTAATGCGTGGTAACG-1 | Microglia | 0.21 | 534.28 | Raw ScoresMicroglia: 0.37, Astrocytes: 0.3, Endothelial cells: 0.25, Macrophages: 0.24, Fibroblasts: 0.23, Neurons: 0.19, NK cells: 0.18, Epithelial cells: 0.16, Monocytes: 0.16, Cardiomyocytes: 0.15 |
SJNBL030339_sn_CTGCTCATCTTACACT-1 | Astrocytes | 0.12 | 522.29 | Raw ScoresAstrocytes: 0.15, Neurons: 0.1, Fibroblasts: 0.09, Microglia: 0.08, Epithelial cells: 0.07, Macrophages: 0.06, Endothelial cells: 0.05, Oligodendrocytes: 0.04, Cardiomyocytes: 0.02, NK cells: 0.02 |
SJNBL030339_sn_CTGTACCGTACAAACA-1 | Astrocytes | 0.26 | 515.81 | Raw ScoresAstrocytes: 0.36, Microglia: 0.36, Neurons: 0.33, Fibroblasts: 0.18, Macrophages: 0.17, Endothelial cells: 0.15, NK cells: 0.13, Cardiomyocytes: 0.13, Epithelial cells: 0.11, Oligodendrocytes: 0.1 |
SJNBL030339_sn_CGGACACTCTCACTCG-1 | Macrophages | 0.07 | 503.11 | Raw ScoresMacrophages: 0.1, NK cells: 0.1, B cells: 0.07, T cells: 0.06, Microglia: 0.06, Granulocytes: 0.05, Astrocytes: 0.04, Monocytes: 0.04, Dendritic cells: 0.04, Epithelial cells: 0.02 |
SJNBL030339_sn_CAATGACGTCTCACGG-1 | Fibroblasts | 0.07 | 497.71 | Raw ScoresFibroblasts: 0.08, Astrocytes: 0.06, Microglia: 0.05, Cardiomyocytes: 0.04, Neurons: 0.04, NK cells: 0.03, Granulocytes: 0.02, T cells: 0.02, Macrophages: 0.02, Oligodendrocytes: 0.02 |
SJNBL030339_sn_TCACTATAGACTAAGT-1 | Dendritic cells | 0.05 | 479.87 | Raw ScoresDendritic cells: 0.11, Endothelial cells: 0.11, Hepatocytes: 0.1, Monocytes: 0.09, Epithelial cells: 0.07, Fibroblasts: 0.07, Granulocytes: 0.07, T cells: 0.07, Macrophages: 0.06, Microglia: 0.06 |
SJNBL030339_sn_CCGTGAGGTCTAGTGT-1 | Cardiomyocytes | 0.06 | 469.25 | Raw ScoresCardiomyocytes: 0.12, B cells: 0.11, Oligodendrocytes: 0.11, Astrocytes: 0.09, Erythrocytes: 0.09, Microglia: 0.08, Fibroblasts: 0.07, T cells: 0.07, Adipocytes: 0.06, Macrophages: 0.05 |
SJNBL030339_sn_TAAGCCATCAGTAGGG-1 | T cells | 0.05 | 465.53 | Raw ScoresT cells: 0.18, NK cells: 0.17, Macrophages: 0.16, Dendritic cells: 0.16, Endothelial cells: 0.15, B cells: 0.15, Oligodendrocytes: 0.14, Granulocytes: 0.14, Microglia: 0.13, Monocytes: 0.13 |
SJNBL030339_sn_ATTTCTGTCTCGCTCA-1 | NK cells | 0.13 | 442.74 | Raw ScoresNK cells: 0.31, Oligodendrocytes: 0.23, B cells: 0.23, T cells: 0.22, Neurons: 0.22, Astrocytes: 0.21, Epithelial cells: 0.2, Dendritic cells: 0.19, Macrophages: 0.18, Adipocytes: 0.17 |
SJNBL030339_sn_GAGGGATTCGCCGAAC-1 | Epithelial cells | 0.09 | 420.26 | Raw ScoresEpithelial cells: 0.26, Neurons: 0.23, Endothelial cells: 0.23, NK cells: 0.2, T cells: 0.18, Monocytes: 0.18, Granulocytes: 0.17, Macrophages: 0.17, Cardiomyocytes: 0.16, Dendritic cells: 0.16 |
SJNBL030339_sn_TTACAGGTCATCACTT-1 | Hepatocytes | 0.09 | 408.56 | Raw ScoresHepatocytes: 0.18, Adipocytes: 0.14, Erythrocytes: 0.13, Epithelial cells: 0.12, Neurons: 0.12, Cardiomyocytes: 0.12, T cells: 0.1, NK cells: 0.1, Fibroblasts: 0.09, Oligodendrocytes: 0.08 |
SJNBL030339_sn_GTCAAACAGGCTAGCA-1 | Microglia | 0.23 | 401.51 | Raw ScoresMicroglia: 0.34, Astrocytes: 0.29, Fibroblasts: 0.23, Endothelial cells: 0.18, Neurons: 0.18, Macrophages: 0.16, Cardiomyocytes: 0.15, Oligodendrocytes: 0.14, Epithelial cells: 0.11, Adipocytes: 0.11 |
SJNBL030339_sn_ACTGATGCACCGTGGT-1 | Astrocytes | 0.14 | 396.61 | Raw ScoresAstrocytes: 0.13, Neurons: 0.11, Oligodendrocytes: 0.1, Endothelial cells: 0.07, Fibroblasts: 0.04, Microglia: 0.02, Macrophages: 0.01, Hepatocytes: 0.01, Epithelial cells: -0.01, Cardiomyocytes: -0.01 |
SJNBL046_sc_CCGGGATAGCGTAGTG-1 | Microglia | 0.14 | 384.86 | Raw ScoresMicroglia: 0.24, Macrophages: 0.19, Monocytes: 0.19, Endothelial cells: 0.18, Dendritic cells: 0.15, Granulocytes: 0.14, Adipocytes: 0.11, Astrocytes: 0.11, Fibroblasts: 0.1, Cardiomyocytes: 0.08 |
SJNBL030339_sn_GCTGCAGTCAGAACCT-1 | Granulocytes | 0.05 | 375.20 | Raw ScoresGranulocytes: 0.12, Cardiomyocytes: 0.11, Adipocytes: 0.1, Neurons: 0.09, T cells: 0.09, Dendritic cells: 0.09, Hepatocytes: 0.09, Oligodendrocytes: 0.08, B cells: 0.08, Erythrocytes: 0.06 |
SJNBL030339_sn_ACATCGAGTTTACACG-1 | B cells | 0.05 | 375.17 | Raw ScoresB cells: 0.11, Macrophages: 0.11, Hepatocytes: 0.1, Granulocytes: 0.1, NK cells: 0.09, Endothelial cells: 0.08, Erythrocytes: 0.07, T cells: 0.07, Dendritic cells: 0.07, Microglia: 0.06 |
SJNBL030339_sn_CAGTTCCTCCTCTTTC-1 | Astrocytes | 0.16 | 373.02 | Raw ScoresAstrocytes: 0.02, Neurons: 0.02, Cardiomyocytes: -0.02, Hepatocytes: -0.05, Microglia: -0.08, Fibroblasts: -0.12, Adipocytes: -0.12, Macrophages: -0.13, B cells: -0.14, Erythrocytes: -0.15 |
SJNBL030339_sn_TGCAGTAGTTATGACC-1 | T cells | 0.10 | 366.88 | Raw ScoresT cells: 0.04, B cells: 0.04, NK cells: 0.01, Neurons: 0.01, Erythrocytes: 0, Astrocytes: -0.01, Epithelial cells: -0.03, Adipocytes: -0.05, Hepatocytes: -0.06, Fibroblasts: -0.06 |
SJNBL030339_sn_TTCCGGTGTGTTCATG-1 | Fibroblasts | 0.16 | 356.90 | Raw ScoresFibroblasts: 0.2, Microglia: 0.2, Endothelial cells: 0.17, Cardiomyocytes: 0.14, Adipocytes: 0.12, Macrophages: 0.11, Astrocytes: 0.1, Hepatocytes: 0.1, NK cells: 0.05, Granulocytes: 0.04 |
SJNBL030339_sn_CATCGTCCAGCACACC-1 | Adipocytes | 0.07 | 349.42 | Raw ScoresAdipocytes: 0.2, Endothelial cells: 0.18, T cells: 0.17, Neurons: 0.15, NK cells: 0.15, Cardiomyocytes: 0.14, Erythrocytes: 0.14, Hepatocytes: 0.14, B cells: 0.13, Fibroblasts: 0.13 |
SJNBL030339_sn_GTGATGTCAGCGGTTC-1 | B cells | 0.06 | 341.22 | Raw ScoresB cells: 0.04, Cardiomyocytes: 0.04, Neurons: 0.03, Microglia: 0.02, T cells: 0.02, NK cells: 0.01, Erythrocytes: 0, Astrocytes: -0.01, Endothelial cells: -0.02, Macrophages: -0.02 |
SJNBL030339_sn_CAGCGTGTCCCGGTAG-1 | Macrophages | 0.07 | 338.47 | Raw ScoresMacrophages: 0.12, Microglia: 0.12, Monocytes: 0.09, Hepatocytes: 0.09, Cardiomyocytes: 0.09, Dendritic cells: 0.07, Granulocytes: 0.06, Adipocytes: 0.06, NK cells: 0.06, Fibroblasts: 0.04 |
SJNBL030339_sn_ATCGTCCAGACTACGG-1 | Microglia | 0.23 | 326.26 | Raw ScoresMicroglia: 0.19, Astrocytes: 0.16, Neurons: 0.14, Endothelial cells: 0.06, Macrophages: 0.03, Cardiomyocytes: 0.02, Fibroblasts: -0.01, Oligodendrocytes: -0.03, Granulocytes: -0.04, Monocytes: -0.04 |
SJNBL030339_sn_CAGCAATCAGGAAGTC-1 | Microglia | 0.20 | 312.59 | Raw ScoresMicroglia: 0.27, Astrocytes: 0.24, Endothelial cells: 0.21, Fibroblasts: 0.18, Neurons: 0.13, Macrophages: 0.11, Cardiomyocytes: 0.1, NK cells: 0.1, Adipocytes: 0.08, Oligodendrocytes: 0.07 |
SJNBL030339_sn_ACGGGTCAGGCCCAAA-1 | Epithelial cells | 0.13 | 310.92 | Raw ScoresEpithelial cells: 0.17, Oligodendrocytes: 0.12, NK cells: 0.11, Neurons: 0.1, T cells: 0.09, Astrocytes: 0.08, Hepatocytes: 0.08, Fibroblasts: 0.05, Monocytes: 0.05, Macrophages: 0.04 |
SJNBL030339_sn_GGTTAACGTAGGAGTC-1 | Macrophages | 0.04 | 309.38 | Raw ScoresMacrophages: 0.15, NK cells: 0.14, Microglia: 0.14, Oligodendrocytes: 0.13, Fibroblasts: 0.13, Erythrocytes: 0.13, Neurons: 0.12, Cardiomyocytes: 0.11, Granulocytes: 0.11, Adipocytes: 0.1 |
SJNBL030339_sn_ACCTGTCCACGTCTCT-1 | B cells | 0.08 | 306.72 | Raw ScoresB cells: 0.08, T cells: 0.07, NK cells: 0.07, Macrophages: 0.04, Erythrocytes: 0.03, Dendritic cells: 0.01, Neurons: 0.01, Microglia: 0.01, Monocytes: 0, Granulocytes: 0 |
SJNBL030339_sn_TATCCTAGTCCTGTTC-1 | Endothelial cells | 0.09 | 305.07 | Raw ScoresEndothelial cells: 0.15, Fibroblasts: 0.12, Neurons: 0.1, Cardiomyocytes: 0.1, T cells: 0.09, Microglia: 0.08, Adipocytes: 0.08, Epithelial cells: 0.07, Oligodendrocytes: 0.06, Astrocytes: 0.06 |
SJNBL030339_sn_TGCTCCAAGACCGCCT-1 | Erythrocytes | 0.06 | 302.57 | Raw ScoresErythrocytes: 0.12, T cells: 0.11, Microglia: 0.1, Oligodendrocytes: 0.1, Hepatocytes: 0.09, Endothelial cells: 0.07, Granulocytes: 0.06, Macrophages: 0.06, NK cells: 0.06, B cells: 0.06 |
SJNBL030339_sn_ACGGGTCCACACGCCA-1 | Adipocytes | 0.09 | 297.26 | Raw ScoresAdipocytes: 0.15, Cardiomyocytes: 0.14, Hepatocytes: 0.09, Monocytes: 0.08, Endothelial cells: 0.06, Fibroblasts: 0.06, T cells: 0.06, Astrocytes: 0.06, Erythrocytes: 0.06, Macrophages: 0.05 |
SJNBL030339_sn_TTGTGTTGTTACACAC-1 | Endothelial cells | 0.08 | 294.63 | Raw ScoresEndothelial cells: 0.15, Microglia: 0.11, Oligodendrocytes: 0.11, Hepatocytes: 0.1, Neurons: 0.08, Erythrocytes: 0.08, Macrophages: 0.07, Epithelial cells: 0.06, T cells: 0.06, Fibroblasts: 0.06 |
SJNBL030339_sn_ATGAAAGAGCCATTTG-1 | T cells | 0.15 | 292.55 | Raw ScoresT cells: 0.2, NK cells: 0.18, B cells: 0.12, Dendritic cells: 0.11, Neurons: 0.11, Cardiomyocytes: 0.08, Monocytes: 0.08, Granulocytes: 0.08, Endothelial cells: 0.05, Erythrocytes: 0.05 |
SJNBL030339_sn_AGGTGTTAGCACCAGA-1 | Microglia | 0.09 | 283.56 | Raw ScoresMicroglia: 0.13, Monocytes: 0.12, Dendritic cells: 0.11, B cells: 0.1, Macrophages: 0.1, T cells: 0.08, NK cells: 0.08, Granulocytes: 0.08, Erythrocytes: 0.04, Hepatocytes: 0.04 |
SJNBL046148_sn_TGCTCGTAGACGAAGA-1 | Astrocytes | 0.28 | 283.30 | Raw ScoresAstrocytes: 0.38, Microglia: 0.36, Neurons: 0.27, Endothelial cells: 0.23, Fibroblasts: 0.21, Adipocytes: 0.19, Cardiomyocytes: 0.18, Macrophages: 0.12, Oligodendrocytes: 0.11, Epithelial cells: 0.09 |
SJNBL030339_sn_AGGCATTCAATCTGCA-1 | Microglia | 0.31 | 282.97 | Raw ScoresMicroglia: 0.33, Astrocytes: 0.28, Endothelial cells: 0.21, Neurons: 0.17, Macrophages: 0.13, Fibroblasts: 0.12, Adipocytes: 0.07, Cardiomyocytes: 0.06, Oligodendrocytes: 0.04, Epithelial cells: 0.02 |
SJNBL030339_sn_GCGTGCACACAGACGA-1 | Microglia | 0.16 | 278.67 | Raw ScoresMicroglia: 0.34, Endothelial cells: 0.32, Astrocytes: 0.31, Macrophages: 0.3, Fibroblasts: 0.3, Adipocytes: 0.22, Cardiomyocytes: 0.2, NK cells: 0.19, Neurons: 0.18, Epithelial cells: 0.18 |
SJNBL030339_sn_CAGTTCCAGCTCACTA-1 | Microglia | 0.08 | 276.19 | Raw ScoresMicroglia: 0.17, Hepatocytes: 0.14, Granulocytes: 0.13, Adipocytes: 0.13, Oligodendrocytes: 0.12, Monocytes: 0.11, Dendritic cells: 0.11, Epithelial cells: 0.11, Erythrocytes: 0.1, Fibroblasts: 0.09 |
SJNBL030339_sn_CCCTTAGTCAACTGAC-1 | Microglia | 0.25 | 268.63 | Raw ScoresMicroglia: 0.36, Astrocytes: 0.33, Endothelial cells: 0.22, Neurons: 0.21, Macrophages: 0.18, Fibroblasts: 0.17, Cardiomyocytes: 0.13, Oligodendrocytes: 0.12, Adipocytes: 0.11, NK cells: 0.1 |
SJNBL015724_sn_CATGCCTGTTGCTCAA-1 | Microglia | 0.21 | 268.21 | Raw ScoresMicroglia: 0.3, Astrocytes: 0.21, Endothelial cells: 0.2, Fibroblasts: 0.2, Epithelial cells: 0.16, Macrophages: 0.16, Neurons: 0.13, Oligodendrocytes: 0.1, Cardiomyocytes: 0.1, Granulocytes: 0.09 |
SJNBL030339_sn_CCGATCTTCAAACGAA-1 | Monocytes | 0.15 | 263.65 | Raw ScoresMonocytes: 0.36, Dendritic cells: 0.34, Macrophages: 0.32, Granulocytes: 0.32, B cells: 0.32, NK cells: 0.32, Microglia: 0.32, T cells: 0.3, Erythrocytes: 0.25, Adipocytes: 0.18 |
SJNBL030339_sn_AGCCACGCACGTACTA-1 | B cells | 0.05 | 261.21 | Raw ScoresB cells: 0.14, Oligodendrocytes: 0.13, Erythrocytes: 0.13, Epithelial cells: 0.11, NK cells: 0.11, Macrophages: 0.1, Granulocytes: 0.1, Endothelial cells: 0.09, Monocytes: 0.08, Dendritic cells: 0.08 |
SJNBL030339_sn_ACTGCAAAGGCATTTC-1 | Endothelial cells | 0.13 | 261.14 | Raw ScoresEndothelial cells: 0.23, Hepatocytes: 0.17, Adipocytes: 0.17, Macrophages: 0.14, Cardiomyocytes: 0.13, Dendritic cells: 0.13, Granulocytes: 0.11, Microglia: 0.11, Epithelial cells: 0.1, Monocytes: 0.09 |
Below shows the significant enrichments of this GEP for literature curated gene lists
This data was procured from existing single cell RNA-seq maps of neuroblastoma or related relevant data.
High ranks indicate this gene is a driver of this GEP.
These curated gene list are ranked by the P-value (on this GEP) of their constituent genes.
The Mean Count column shows the mean read count in cells scoring highly (H > 50) on this gene expression program.
Genes | Weight | Rank | GTEx | DepMap | Decartes | Mean.Counts | Mean.TPM |
---|---|---|---|---|---|---|---|
IGFBP3 | 0.0231535 | 1 | GTEx | DepMap | Descartes | 0.00 | NA |
ADAMTS1 | 0.0090853 | 62 | GTEx | DepMap | Descartes | 0.01 | NA |
TM4SF1 | 0.0075703 | 89 | GTEx | DepMap | Descartes | 0.00 | NA |
MARCKSL1 | 0.0063230 | 123 | GTEx | DepMap | Descartes | 0.01 | NA |
GJA1 | 0.0058183 | 149 | GTEx | DepMap | Descartes | 0.00 | NA |
SHROOM2 | 0.0038217 | 302 | GTEx | DepMap | Descartes | 0.00 | NA |
HES1 | 0.0032185 | 409 | GTEx | DepMap | Descartes | 0.00 | NA |
RHOB | 0.0026956 | 544 | GTEx | DepMap | Descartes | 0.00 | NA |
MECOM | 0.0026025 | 574 | GTEx | DepMap | Descartes | 0.00 | NA |
CLIC4 | 0.0019436 | 857 | GTEx | DepMap | Descartes | 0.03 | NA |
THBD | 0.0018384 | 941 | GTEx | DepMap | Descartes | 0.00 | NA |
MCF2L | 0.0014071 | 1334 | GTEx | DepMap | Descartes | 0.00 | NA |
FBLN2 | 0.0013190 | 1443 | GTEx | DepMap | Descartes | 0.00 | NA |
DUSP6 | 0.0012392 | 1560 | GTEx | DepMap | Descartes | 0.00 | NA |
JAG1 | 0.0007429 | 2770 | GTEx | DepMap | Descartes | 0.02 | NA |
IVNS1ABP | 0.0006154 | 3330 | GTEx | DepMap | Descartes | 0.02 | NA |
SPRY1 | 0.0005040 | 3909 | GTEx | DepMap | Descartes | 0.00 | NA |
CDK1 | 0.0004542 | 4248 | GTEx | DepMap | Descartes | 0.03 | NA |
FAM102A | 0.0003777 | 4761 | GTEx | DepMap | Descartes | 0.00 | NA |
LFNG | -0.0000233 | 9451 | GTEx | DepMap | Descartes | 0.00 | NA |
Myofibroblastic CAF
These marker genes were curated across cancer subtypes in multiple organ systems as reviewed in Lavie et. al. (PMID 35883004) and contain myofibroblastic specific CAF genes:
Wilcoxon ranksum test P-value for gene set overrepresentation: 2.44e-04
Mean rank of genes in gene set: 4473.76
Rank on gene expression program of genes in gene set:
Genes | Weight | Rank | GTEx | DepMap | Decartes | Mean.Counts | Mean.TPM |
---|---|---|---|---|---|---|---|
IGFBP3 | 0.0231535 | 1 | GTEx | DepMap | Descartes | 0.00 | NA |
COL4A1 | 0.0193466 | 5 | GTEx | DepMap | Descartes | 0.00 | NA |
IGFBP7 | 0.0177700 | 10 | GTEx | DepMap | Descartes | 0.00 | NA |
PGF | 0.0100654 | 48 | GTEx | DepMap | Descartes | 0.00 | NA |
TGFB1 | 0.0052782 | 178 | GTEx | DepMap | Descartes | 0.00 | NA |
COL15A1 | 0.0039553 | 276 | GTEx | DepMap | Descartes | 0.00 | NA |
FN1 | 0.0038710 | 291 | GTEx | DepMap | Descartes | 0.01 | NA |
THBS1 | 0.0030819 | 431 | GTEx | DepMap | Descartes | 0.00 | NA |
TGFBR2 | 0.0027055 | 542 | GTEx | DepMap | Descartes | 0.00 | NA |
CNN2 | 0.0021180 | 748 | GTEx | DepMap | Descartes | 0.00 | NA |
BGN | 0.0016510 | 1069 | GTEx | DepMap | Descartes | 0.00 | NA |
CNN3 | 0.0016461 | 1070 | GTEx | DepMap | Descartes | 0.00 | NA |
THY1 | 0.0015809 | 1137 | GTEx | DepMap | Descartes | 0.00 | NA |
TNC | 0.0013691 | 1381 | GTEx | DepMap | Descartes | 0.01 | NA |
COL5A1 | 0.0011519 | 1700 | GTEx | DepMap | Descartes | 0.00 | NA |
TMEM119 | 0.0010317 | 1933 | GTEx | DepMap | Descartes | 0.00 | NA |
COL1A2 | 0.0010093 | 1994 | GTEx | DepMap | Descartes | 0.01 | NA |
THBS2 | 0.0010023 | 2012 | GTEx | DepMap | Descartes | 0.00 | NA |
COL13A1 | 0.0009770 | 2085 | GTEx | DepMap | Descartes | 0.01 | NA |
MMP2 | 0.0009052 | 2275 | GTEx | DepMap | Descartes | 0.00 | NA |
COL1A1 | 0.0008420 | 2444 | GTEx | DepMap | Descartes | 0.02 | NA |
TPM1 | 0.0007560 | 2734 | GTEx | DepMap | Descartes | 0.04 | NA |
HOPX | 0.0007130 | 2889 | GTEx | DepMap | Descartes | 0.01 | NA |
VCAN | 0.0006630 | 3106 | GTEx | DepMap | Descartes | 0.00 | NA |
TGFB2 | 0.0006275 | 3259 | GTEx | DepMap | Descartes | 0.02 | NA |
RGS5 | 0.0005909 | 3440 | GTEx | DepMap | Descartes | 0.44 | NA |
DCN | 0.0005464 | 3672 | GTEx | DepMap | Descartes | 0.00 | NA |
POSTN | 0.0005204 | 3818 | GTEx | DepMap | Descartes | 0.00 | NA |
MMP11 | 0.0004924 | 3989 | GTEx | DepMap | Descartes | 0.00 | NA |
VEGFA | 0.0004397 | 4338 | GTEx | DepMap | Descartes | 0.08 | NA |
COL3A1 | 0.0004091 | 4524 | GTEx | DepMap | Descartes | 0.00 | NA |
COL10A1 | 0.0003498 | 4979 | GTEx | DepMap | Descartes | 0.00 | NA |
COL5A2 | 0.0003393 | 5056 | GTEx | DepMap | Descartes | 0.00 | NA |
TGFBR1 | 0.0002932 | 5457 | GTEx | DepMap | Descartes | 0.02 | NA |
TPM2 | 0.0002812 | 5560 | GTEx | DepMap | Descartes | 0.01 | NA |
WNT5A | 0.0001804 | 6561 | GTEx | DepMap | Descartes | 0.00 | NA |
COL8A1 | 0.0001495 | 6884 | GTEx | DepMap | Descartes | 0.00 | NA |
COL11A1 | 0.0001276 | 7136 | GTEx | DepMap | Descartes | 0.01 | NA |
ACTA2 | 0.0000581 | 8066 | GTEx | DepMap | Descartes | 0.00 | NA |
COL12A1 | -0.0000063 | 9114 | GTEx | DepMap | Descartes | 0.00 | NA |
MEF2C | -0.0000361 | 9727 | GTEx | DepMap | Descartes | 0.01 | NA |
COL14A1 | -0.0000884 | 10790 | GTEx | DepMap | Descartes | 0.00 | NA |
LUM | -0.0000903 | 10814 | GTEx | DepMap | Descartes | 0.00 | NA |
MYL9 | -0.0001057 | 11070 | GTEx | DepMap | Descartes | 0.00 | NA |
ITGA7 | -0.0001509 | 11618 | GTEx | DepMap | Descartes | 0.01 | NA |
TAGLN | -0.0002130 | 12105 | GTEx | DepMap | Descartes | 0.00 | NA |
MYLK | -0.0002362 | 12213 | GTEx | DepMap | Descartes | 0.00 | NA |
MYH11 | -0.0002489 | 12252 | GTEx | DepMap | Descartes | 0.01 | NA |
ACTG2 | -0.0003382 | 12413 | GTEx | DepMap | Descartes | 0.00 | NA |
EMT II (Kinker)
These marker genes were obtained in a pan cancer cell lines NMF analysis of scRNA-eq data in Kinker et al (PMID 33128048) - 10 metaprograms were recovered that manifest across cancers, this EMT program was enriched in HNSCC cell lines:
Wilcoxon ranksum test P-value for gene set overrepresentation: 1.41e-03
Mean rank of genes in gene set: 864.25
Rank on gene expression program of genes in gene set:
Genes | Weight | Rank | GTEx | DepMap | Decartes | Mean.Counts | Mean.TPM |
---|---|---|---|---|---|---|---|
VIM | 0.0067481 | 108 | GTEx | DepMap | Descartes | 0.01 | NA |
FN1 | 0.0038710 | 291 | GTEx | DepMap | Descartes | 0.01 | NA |
AXL | 0.0013923 | 1358 | GTEx | DepMap | Descartes | 0.00 | NA |
COL5A1 | 0.0011519 | 1700 | GTEx | DepMap | Descartes | 0.00 | NA |
Below shows ranks on this GEP for literature curated gene lists for large gene sets
These include those reported as mesenchymal/adrenergic by Van Groningen et al.
High ranks indicate this gene is a driver of this GEP (note these results are not ordered).
The Mean Count column shows the mean read count in cells scoring highly (H > 50) on this gene expression program.
VanGroningen Adrenergic Genes
Adrenergic marker genes from Supplementary Table 2 of Van Groningen et al. Nature Genetics 2017. These genes were identified by differential expression analysis of mesenchymal-like and adrenergic-like neuroblastoma cell lines.
Wilcoxon ranksum test P-value for gene set overrepresentation: 9.97e-01
Mean rank of genes in gene set: 6832.38
Median rank of genes in gene set: 7195
Rank on gene expression program of top 30 genes in gene set:
Genes | Weight | Rank | GTEx | DepMap | Descartes | Mean.Counts | Mean.TPM |
---|---|---|---|---|---|---|---|
CXCR4 | 0.0064337 | 118 | GTEx | DepMap | Descartes | 0.01 | NA |
CD200 | 0.0059025 | 144 | GTEx | DepMap | Descartes | 0.02 | NA |
TSPAN7 | 0.0057809 | 150 | GTEx | DepMap | Descartes | 0.07 | NA |
NPY | 0.0046956 | 217 | GTEx | DepMap | Descartes | 0.03 | NA |
GAL | 0.0044649 | 233 | GTEx | DepMap | Descartes | 0.06 | NA |
RBP1 | 0.0041184 | 264 | GTEx | DepMap | Descartes | 0.02 | NA |
ABCA3 | 0.0038608 | 294 | GTEx | DepMap | Descartes | 0.03 | NA |
AKAP12 | 0.0025811 | 582 | GTEx | DepMap | Descartes | 0.04 | NA |
LEPROTL1 | 0.0025499 | 593 | GTEx | DepMap | Descartes | 0.02 | NA |
HEY1 | 0.0022929 | 683 | GTEx | DepMap | Descartes | 0.00 | NA |
GCH1 | 0.0021119 | 752 | GTEx | DepMap | Descartes | 0.01 | NA |
HNRNPA0 | 0.0020587 | 782 | GTEx | DepMap | Descartes | 0.01 | NA |
CDC42EP3 | 0.0020498 | 787 | GTEx | DepMap | Descartes | 0.01 | NA |
RPS6KA2 | 0.0019997 | 822 | GTEx | DepMap | Descartes | 0.10 | NA |
EXOC5 | 0.0018794 | 903 | GTEx | DepMap | Descartes | 0.02 | NA |
RALGDS | 0.0018459 | 932 | GTEx | DepMap | Descartes | 0.03 | NA |
ARL6IP1 | 0.0017863 | 975 | GTEx | DepMap | Descartes | 0.06 | NA |
MAP1B | 0.0016977 | 1037 | GTEx | DepMap | Descartes | 0.21 | NA |
DPYSL2 | 0.0016719 | 1055 | GTEx | DepMap | Descartes | 0.08 | NA |
TMEM97 | 0.0016539 | 1068 | GTEx | DepMap | Descartes | 0.01 | NA |
NEFL | 0.0016203 | 1095 | GTEx | DepMap | Descartes | 0.01 | NA |
REEP1 | 0.0015718 | 1150 | GTEx | DepMap | Descartes | 0.06 | NA |
SHD | 0.0015486 | 1173 | GTEx | DepMap | Descartes | 0.00 | NA |
TBC1D30 | 0.0014610 | 1266 | GTEx | DepMap | Descartes | 0.03 | NA |
GNB1 | 0.0014055 | 1337 | GTEx | DepMap | Descartes | 0.09 | NA |
KIDINS220 | 0.0013052 | 1461 | GTEx | DepMap | Descartes | 0.09 | NA |
GGH | 0.0013040 | 1465 | GTEx | DepMap | Descartes | 0.04 | NA |
CCND1 | 0.0012674 | 1519 | GTEx | DepMap | Descartes | 0.04 | NA |
MAGI3 | 0.0012671 | 1521 | GTEx | DepMap | Descartes | 0.07 | NA |
TSPAN13 | 0.0012585 | 1531 | GTEx | DepMap | Descartes | 0.01 | NA |
VanGroningen Mesenchymal Genes
Mesenchymal marker genes from Supplementary Table 2 of Van Groningen et al. Nature Genetics 2017. These genes were identified by differential expression analysis of mesenchymal-like and adrenergic-like neuroblastoma cell lines.
Wilcoxon ranksum test P-value for gene set overrepresentation: 3.26e-45
Mean rank of genes in gene set: 3875.23
Median rank of genes in gene set: 2498
Rank on gene expression program of top 30 genes in gene set:
Genes | Weight | Rank | GTEx | DepMap | Descartes | Mean.Counts | Mean.TPM |
---|---|---|---|---|---|---|---|
SPARC | 0.0204426 | 2 | GTEx | DepMap | Descartes | 0.00 | NA |
COL4A2 | 0.0199779 | 4 | GTEx | DepMap | Descartes | 0.00 | NA |
COL4A1 | 0.0193466 | 5 | GTEx | DepMap | Descartes | 0.00 | NA |
NID2 | 0.0179489 | 9 | GTEx | DepMap | Descartes | 0.00 | NA |
SEMA3F | 0.0171178 | 12 | GTEx | DepMap | Descartes | 0.00 | NA |
MEST | 0.0151375 | 14 | GTEx | DepMap | Descartes | 0.01 | NA |
ITM2C | 0.0127050 | 26 | GTEx | DepMap | Descartes | 0.03 | NA |
SPARCL1 | 0.0115924 | 33 | GTEx | DepMap | Descartes | 0.01 | NA |
PPIC | 0.0111090 | 36 | GTEx | DepMap | Descartes | 0.00 | NA |
SERPINH1 | 0.0110509 | 37 | GTEx | DepMap | Descartes | 0.00 | NA |
ITGB1 | 0.0110239 | 38 | GTEx | DepMap | Descartes | 0.01 | NA |
NID1 | 0.0106928 | 40 | GTEx | DepMap | Descartes | 0.00 | NA |
MYADM | 0.0101386 | 47 | GTEx | DepMap | Descartes | 0.00 | NA |
F2R | 0.0092377 | 57 | GTEx | DepMap | Descartes | 0.00 | NA |
PXDN | 0.0087741 | 69 | GTEx | DepMap | Descartes | 0.00 | NA |
TM4SF1 | 0.0075703 | 89 | GTEx | DepMap | Descartes | 0.00 | NA |
LRP10 | 0.0075083 | 90 | GTEx | DepMap | Descartes | 0.00 | NA |
CALU | 0.0071369 | 96 | GTEx | DepMap | Descartes | 0.04 | NA |
B2M | 0.0070896 | 98 | GTEx | DepMap | Descartes | 0.03 | NA |
CTSB | 0.0070667 | 101 | GTEx | DepMap | Descartes | 0.01 | NA |
GRN | 0.0069503 | 105 | GTEx | DepMap | Descartes | 0.01 | NA |
VIM | 0.0067481 | 108 | GTEx | DepMap | Descartes | 0.01 | NA |
PPIB | 0.0064787 | 117 | GTEx | DepMap | Descartes | 0.03 | NA |
TFPI | 0.0064260 | 120 | GTEx | DepMap | Descartes | 0.01 | NA |
CREB3L2 | 0.0063379 | 122 | GTEx | DepMap | Descartes | 0.02 | NA |
LAMB1 | 0.0062845 | 125 | GTEx | DepMap | Descartes | 0.07 | NA |
LAMC1 | 0.0060466 | 137 | GTEx | DepMap | Descartes | 0.01 | NA |
RHOC | 0.0060457 | 138 | GTEx | DepMap | Descartes | 0.01 | NA |
LAMP1 | 0.0060152 | 139 | GTEx | DepMap | Descartes | 0.01 | NA |
GJA1 | 0.0058183 | 149 | GTEx | DepMap | Descartes | 0.00 | NA |
Descartes adrenocortical markers
Top 50 marker genes of adrenocortical cells in the Decartes fetal adrenal single cell map (https://atlas.brotmanbaty.org/bbi/human-gene-expression-during-development/cell/adrenocortical/in/adrenal)
Wilcoxon ranksum test P-value for gene set overrepresentation: 6.42e-01
Mean rank of genes in gene set: 6494.64
Median rank of genes in gene set: 6351
Rank on gene expression program of top 30 genes in gene set:
Genes | Weight | Rank | GTEx | DepMap | Descartes | Mean.Counts | Mean.TPM |
---|---|---|---|---|---|---|---|
SCARB1 | 0.0035377 | 360 | GTEx | DepMap | Descartes | 0.02 | NA |
SCAP | 0.0010848 | 1829 | GTEx | DepMap | Descartes | 0.03 | NA |
LDLR | 0.0010718 | 1863 | GTEx | DepMap | Descartes | 0.02 | NA |
MSMO1 | 0.0009729 | 2100 | GTEx | DepMap | Descartes | 0.02 | NA |
NPC1 | 0.0008980 | 2299 | GTEx | DepMap | Descartes | 0.03 | NA |
IGF1R | 0.0008146 | 2535 | GTEx | DepMap | Descartes | 0.07 | NA |
DHCR24 | 0.0008104 | 2553 | GTEx | DepMap | Descartes | 0.02 | NA |
POR | 0.0007996 | 2589 | GTEx | DepMap | Descartes | 0.01 | NA |
DHCR7 | 0.0007934 | 2609 | GTEx | DepMap | Descartes | 0.00 | NA |
CLU | 0.0007905 | 2623 | GTEx | DepMap | Descartes | 0.01 | NA |
FDX1 | 0.0007753 | 2672 | GTEx | DepMap | Descartes | 0.01 | NA |
SH3PXD2B | 0.0005030 | 3916 | GTEx | DepMap | Descartes | 0.02 | NA |
BAIAP2L1 | 0.0003894 | 4676 | GTEx | DepMap | Descartes | 0.00 | NA |
FDPS | 0.0003598 | 4898 | GTEx | DepMap | Descartes | 0.01 | NA |
HMGCR | 0.0003594 | 4901 | GTEx | DepMap | Descartes | 0.02 | NA |
SH3BP5 | 0.0003395 | 5054 | GTEx | DepMap | Descartes | 0.00 | NA |
ERN1 | 0.0003030 | 5371 | GTEx | DepMap | Descartes | 0.01 | NA |
PEG3 | 0.0002638 | 5722 | GTEx | DepMap | Descartes | 0.00 | NA |
PAPSS2 | 0.0001401 | 6980 | GTEx | DepMap | Descartes | 0.01 | NA |
CYB5B | 0.0000985 | 7480 | GTEx | DepMap | Descartes | 0.03 | NA |
GRAMD1B | 0.0000780 | 7774 | GTEx | DepMap | Descartes | 0.02 | NA |
FRMD5 | 0.0000603 | 8035 | GTEx | DepMap | Descartes | 0.12 | NA |
FDXR | 0.0000570 | 8086 | GTEx | DepMap | Descartes | 0.00 | NA |
STAR | 0.0000244 | 8597 | GTEx | DepMap | Descartes | 0.00 | NA |
SGCZ | 0.0000241 | 8603 | GTEx | DepMap | Descartes | 0.00 | NA |
HMGCS1 | 0.0000207 | 8659 | GTEx | DepMap | Descartes | 0.03 | NA |
INHA | 0.0000190 | 8683 | GTEx | DepMap | Descartes | 0.00 | NA |
FREM2 | -0.0000421 | 9875 | GTEx | DepMap | Descartes | 0.00 | NA |
GSTA4 | -0.0000804 | 10657 | GTEx | DepMap | Descartes | 0.00 | NA |
DNER | -0.0000973 | 10935 | GTEx | DepMap | Descartes | 0.11 | NA |
Descartes chromaffin markers
Top 50 marker genes of chromaffin cells in the Decartes fetal adrenal single cell map (https://atlas.brotmanbaty.org/bbi/human-gene-expression-during-development/cell/chromaffin/in/adrenal)
Wilcoxon ranksum test P-value for gene set overrepresentation: 8.85e-01
Mean rank of genes in gene set: 6951.8
Median rank of genes in gene set: 7908
Rank on gene expression program of top 30 genes in gene set:
Genes | Weight | Rank | GTEx | DepMap | Descartes | Mean.Counts | Mean.TPM |
---|---|---|---|---|---|---|---|
NPY | 0.0046956 | 217 | GTEx | DepMap | Descartes | 0.03 | NA |
GAL | 0.0044649 | 233 | GTEx | DepMap | Descartes | 0.06 | NA |
TUBA1A | 0.0030020 | 459 | GTEx | DepMap | Descartes | 0.12 | NA |
MAP1B | 0.0016977 | 1037 | GTEx | DepMap | Descartes | 0.21 | NA |
REEP1 | 0.0015718 | 1150 | GTEx | DepMap | Descartes | 0.06 | NA |
CCND1 | 0.0012674 | 1519 | GTEx | DepMap | Descartes | 0.04 | NA |
GREM1 | 0.0010867 | 1827 | GTEx | DepMap | Descartes | 0.01 | NA |
TUBB2A | 0.0010790 | 1843 | GTEx | DepMap | Descartes | 0.01 | NA |
RGMB | 0.0009433 | 2183 | GTEx | DepMap | Descartes | 0.02 | NA |
STMN2 | 0.0008445 | 2441 | GTEx | DepMap | Descartes | 0.20 | NA |
MLLT11 | 0.0007722 | 2687 | GTEx | DepMap | Descartes | 0.03 | NA |
PLXNA4 | 0.0007302 | 2820 | GTEx | DepMap | Descartes | 0.08 | NA |
MAB21L2 | 0.0004823 | 4049 | GTEx | DepMap | Descartes | 0.01 | NA |
TUBB2B | 0.0003602 | 4894 | GTEx | DepMap | Descartes | 0.02 | NA |
GAP43 | 0.0002873 | 5509 | GTEx | DepMap | Descartes | 0.02 | NA |
ELAVL2 | 0.0002227 | 6117 | GTEx | DepMap | Descartes | 0.02 | NA |
SLC44A5 | 0.0001342 | 7062 | GTEx | DepMap | Descartes | 0.02 | NA |
RBFOX1 | 0.0001077 | 7364 | GTEx | DepMap | Descartes | 1.91 | NA |
CNKSR2 | 0.0001013 | 7442 | GTEx | DepMap | Descartes | 0.03 | NA |
IL7 | 0.0000859 | 7666 | GTEx | DepMap | Descartes | 0.26 | NA |
KCNB2 | 0.0000688 | 7908 | GTEx | DepMap | Descartes | 0.17 | NA |
RPH3A | 0.0000325 | 8459 | GTEx | DepMap | Descartes | 0.00 | NA |
HS3ST5 | 0.0000190 | 8686 | GTEx | DepMap | Descartes | 0.02 | NA |
ALK | 0.0000103 | 8842 | GTEx | DepMap | Descartes | 0.42 | NA |
TMEFF2 | -0.0000149 | 9266 | GTEx | DepMap | Descartes | 0.00 | NA |
NTRK1 | -0.0000315 | 9621 | GTEx | DepMap | Descartes | 0.01 | NA |
BASP1 | -0.0000317 | 9624 | GTEx | DepMap | Descartes | 0.09 | NA |
CNTFR | -0.0000455 | 9942 | GTEx | DepMap | Descartes | 0.04 | NA |
ANKFN1 | -0.0000615 | 10273 | GTEx | DepMap | Descartes | 0.08 | NA |
RYR2 | -0.0000678 | 10400 | GTEx | DepMap | Descartes | 0.07 | NA |
Descartes Vascular_endothelial markers
Top 50 marker genes of Vascular_endothelial cells in the Decartes fetal adrenal single cell map (https://atlas.brotmanbaty.org/bbi/human-gene-expression-during-development/cell/vascular_endothelial/in/adrenal)
Wilcoxon ranksum test P-value for gene set overrepresentation: 5.68e-14
Mean rank of genes in gene set: 1918.61
Median rank of genes in gene set: 459.5
Rank on gene expression program of top 30 genes in gene set:
Genes | Weight | Rank | GTEx | DepMap | Descartes | Mean.Counts | Mean.TPM |
---|---|---|---|---|---|---|---|
CDH5 | 0.0200900 | 3 | GTEx | DepMap | Descartes | 0.00 | NA |
CLDN5 | 0.0188229 | 7 | GTEx | DepMap | Descartes | 0.01 | NA |
PLVAP | 0.0186691 | 8 | GTEx | DepMap | Descartes | 0.00 | NA |
TIE1 | 0.0147523 | 15 | GTEx | DepMap | Descartes | 0.00 | NA |
RAMP2 | 0.0136594 | 20 | GTEx | DepMap | Descartes | 0.01 | NA |
PODXL | 0.0122237 | 30 | GTEx | DepMap | Descartes | 0.00 | NA |
FLT4 | 0.0091412 | 61 | GTEx | DepMap | Descartes | 0.00 | NA |
ROBO4 | 0.0089252 | 64 | GTEx | DepMap | Descartes | 0.00 | NA |
NOTCH4 | 0.0087659 | 70 | GTEx | DepMap | Descartes | 0.00 | NA |
KDR | 0.0083678 | 73 | GTEx | DepMap | Descartes | 0.00 | NA |
MMRN2 | 0.0077672 | 84 | GTEx | DepMap | Descartes | 0.00 | NA |
RASIP1 | 0.0070828 | 99 | GTEx | DepMap | Descartes | 0.00 | NA |
ESM1 | 0.0065466 | 113 | GTEx | DepMap | Descartes | 0.00 | NA |
TMEM88 | 0.0059909 | 141 | GTEx | DepMap | Descartes | 0.00 | NA |
HYAL2 | 0.0045542 | 225 | GTEx | DepMap | Descartes | 0.02 | NA |
PTPRB | 0.0040965 | 265 | GTEx | DepMap | Descartes | 0.00 | NA |
ARHGAP29 | 0.0036284 | 339 | GTEx | DepMap | Descartes | 0.01 | NA |
KANK3 | 0.0032742 | 401 | GTEx | DepMap | Descartes | 0.00 | NA |
CALCRL | 0.0030748 | 435 | GTEx | DepMap | Descartes | 0.00 | NA |
ID1 | 0.0028829 | 484 | GTEx | DepMap | Descartes | 0.00 | NA |
EFNB2 | 0.0022922 | 684 | GTEx | DepMap | Descartes | 0.01 | NA |
CYP26B1 | 0.0022207 | 709 | GTEx | DepMap | Descartes | 0.00 | NA |
SHE | 0.0021530 | 737 | GTEx | DepMap | Descartes | 0.00 | NA |
IRX3 | 0.0019675 | 842 | GTEx | DepMap | Descartes | 0.00 | NA |
CDH13 | 0.0014561 | 1273 | GTEx | DepMap | Descartes | 0.06 | NA |
SHANK3 | 0.0009344 | 2203 | GTEx | DepMap | Descartes | 0.01 | NA |
BTNL9 | 0.0009175 | 2243 | GTEx | DepMap | Descartes | 0.00 | NA |
TEK | 0.0008739 | 2367 | GTEx | DepMap | Descartes | 0.00 | NA |
GALNT15 | 0.0007570 | 2732 | GTEx | DepMap | Descartes | 0.01 | NA |
NPR1 | 0.0007020 | 2930 | GTEx | DepMap | Descartes | 0.00 | NA |
Descartes stromal markers
Top 50 marker genes of stromal cells in the Decartes fetal adrenal single cell map (https://atlas.brotmanbaty.org/bbi/human-gene-expression-during-development/cell/stromal/in/adrenal)
Wilcoxon ranksum test P-value for gene set overrepresentation: 8.34e-01
Mean rank of genes in gene set: 6803.34
Median rank of genes in gene set: 7845.5
Rank on gene expression program of top 30 genes in gene set:
Genes | Weight | Rank | GTEx | DepMap | Descartes | Mean.Counts | Mean.TPM |
---|---|---|---|---|---|---|---|
IGFBP3 | 0.0231535 | 1 | GTEx | DepMap | Descartes | 0.00 | NA |
ABCC9 | 0.0063148 | 124 | GTEx | DepMap | Descartes | 0.00 | NA |
MGP | 0.0017515 | 999 | GTEx | DepMap | Descartes | 0.00 | NA |
PCOLCE | 0.0015103 | 1216 | GTEx | DepMap | Descartes | 0.01 | NA |
COL6A3 | 0.0012214 | 1594 | GTEx | DepMap | Descartes | 0.02 | NA |
LOX | 0.0012031 | 1619 | GTEx | DepMap | Descartes | 0.00 | NA |
COL1A2 | 0.0010093 | 1994 | GTEx | DepMap | Descartes | 0.01 | NA |
COL1A1 | 0.0008420 | 2444 | GTEx | DepMap | Descartes | 0.02 | NA |
CD248 | 0.0008300 | 2488 | GTEx | DepMap | Descartes | 0.00 | NA |
LAMC3 | 0.0007035 | 2923 | GTEx | DepMap | Descartes | 0.00 | NA |
DCN | 0.0005464 | 3672 | GTEx | DepMap | Descartes | 0.00 | NA |
POSTN | 0.0005204 | 3818 | GTEx | DepMap | Descartes | 0.00 | NA |
ADAMTS2 | 0.0004812 | 4062 | GTEx | DepMap | Descartes | 0.05 | NA |
EDNRA | 0.0004532 | 4252 | GTEx | DepMap | Descartes | 0.01 | NA |
COL3A1 | 0.0004091 | 4524 | GTEx | DepMap | Descartes | 0.00 | NA |
DKK2 | 0.0003356 | 5086 | GTEx | DepMap | Descartes | 0.00 | NA |
ADAMTSL3 | 0.0002701 | 5650 | GTEx | DepMap | Descartes | 0.03 | NA |
SCARA5 | 0.0002530 | 5816 | GTEx | DepMap | Descartes | 0.00 | NA |
PCDH18 | 0.0002457 | 5891 | GTEx | DepMap | Descartes | 0.00 | NA |
COL27A1 | 0.0002409 | 5934 | GTEx | DepMap | Descartes | 0.00 | NA |
PDGFRA | 0.0001839 | 6513 | GTEx | DepMap | Descartes | 0.00 | NA |
PRICKLE1 | 0.0000835 | 7698 | GTEx | DepMap | Descartes | 0.05 | NA |
ABCA6 | 0.0000634 | 7993 | GTEx | DepMap | Descartes | 0.00 | NA |
ACTA2 | 0.0000581 | 8066 | GTEx | DepMap | Descartes | 0.00 | NA |
ISLR | 0.0000402 | 8324 | GTEx | DepMap | Descartes | 0.00 | NA |
OGN | 0.0000292 | 8522 | GTEx | DepMap | Descartes | 0.01 | NA |
CLDN11 | -0.0000038 | 9073 | GTEx | DepMap | Descartes | 0.00 | NA |
COL12A1 | -0.0000063 | 9114 | GTEx | DepMap | Descartes | 0.00 | NA |
SFRP2 | -0.0000138 | 9248 | GTEx | DepMap | Descartes | 0.00 | NA |
GLI2 | -0.0000249 | 9488 | GTEx | DepMap | Descartes | 0.00 | NA |
Descartes sympathoblasts markers
Top 50 marker genes of sympathoblasts cells in the Decartes fetal adrenal single cell map (https://atlas.brotmanbaty.org/bbi/human-gene-expression-during-development/cell/sympathoblasts/in/adrenal)
Wilcoxon ranksum test P-value for gene set overrepresentation: 1.00e+00
Mean rank of genes in gene set: 8550.34
Median rank of genes in gene set: 9195
Rank on gene expression program of top 30 genes in gene set:
Genes | Weight | Rank | GTEx | DepMap | Descartes | Mean.Counts | Mean.TPM |
---|---|---|---|---|---|---|---|
GCH1 | 0.0021119 | 752 | GTEx | DepMap | Descartes | 0.01 | NA |
CCSER1 | 0.0020135 | 810 | GTEx | DepMap | Descartes | 0.39 | NA |
ROBO1 | 0.0010253 | 1948 | GTEx | DepMap | Descartes | 0.11 | NA |
CHGA | 0.0009841 | 2061 | GTEx | DepMap | Descartes | 0.09 | NA |
HTATSF1 | 0.0008150 | 2534 | GTEx | DepMap | Descartes | 0.00 | NA |
SORCS3 | 0.0005603 | 3601 | GTEx | DepMap | Descartes | 0.00 | NA |
GRID2 | 0.0002194 | 6154 | GTEx | DepMap | Descartes | 0.00 | NA |
ARC | 0.0002012 | 6332 | GTEx | DepMap | Descartes | 0.01 | NA |
MGAT4C | 0.0001325 | 7083 | GTEx | DepMap | Descartes | 0.11 | NA |
AGBL4 | 0.0000968 | 7506 | GTEx | DepMap | Descartes | 0.28 | NA |
CDH18 | 0.0000863 | 7659 | GTEx | DepMap | Descartes | 0.00 | NA |
PCSK1N | 0.0000566 | 8095 | GTEx | DepMap | Descartes | 0.04 | NA |
PACRG | 0.0000392 | 8340 | GTEx | DepMap | Descartes | 0.02 | NA |
EML6 | 0.0000381 | 8354 | GTEx | DepMap | Descartes | 0.03 | NA |
CDH12 | 0.0000109 | 8832 | GTEx | DepMap | Descartes | 0.01 | NA |
PENK | 0.0000054 | 8923 | GTEx | DepMap | Descartes | 0.00 | NA |
ST18 | 0.0000004 | 8992 | GTEx | DepMap | Descartes | 0.00 | NA |
FAM155A | -0.0000034 | 9068 | GTEx | DepMap | Descartes | 0.56 | NA |
TENM1 | -0.0000090 | 9154 | GTEx | DepMap | Descartes | 0.16 | NA |
C1QL1 | -0.0000133 | 9236 | GTEx | DepMap | Descartes | 0.01 | NA |
LAMA3 | -0.0000361 | 9728 | GTEx | DepMap | Descartes | 0.01 | NA |
TIAM1 | -0.0000398 | 9817 | GTEx | DepMap | Descartes | 0.06 | NA |
GALNTL6 | -0.0000562 | 10163 | GTEx | DepMap | Descartes | 0.00 | NA |
KSR2 | -0.0000583 | 10213 | GTEx | DepMap | Descartes | 0.02 | NA |
DGKK | -0.0000609 | 10265 | GTEx | DepMap | Descartes | 0.00 | NA |
CHGB | -0.0000699 | 10453 | GTEx | DepMap | Descartes | 0.03 | NA |
PCSK2 | -0.0000706 | 10466 | GTEx | DepMap | Descartes | 0.00 | NA |
SLC18A1 | -0.0000725 | 10507 | GTEx | DepMap | Descartes | 0.01 | NA |
CNTN3 | -0.0000984 | 10953 | GTEx | DepMap | Descartes | 0.01 | NA |
SLC24A2 | -0.0001017 | 11004 | GTEx | DepMap | Descartes | 0.00 | NA |
Descartes erythroblasts markers
Top 50 marker genes of erythroblasts cells in the Decartes fetal adrenal single cell map (https://atlas.brotmanbaty.org/bbi/human-gene-expression-during-development/cell/erythroblasts/in/adrenal)
Wilcoxon ranksum test P-value for gene set overrepresentation: 9.98e-01
Mean rank of genes in gene set: 8165.34
Median rank of genes in gene set: 7444
Rank on gene expression program of top 30 genes in gene set:
Genes | Weight | Rank | GTEx | DepMap | Descartes | Mean.Counts | Mean.TPM |
---|---|---|---|---|---|---|---|
RGS6 | 0.0005261 | 3789 | GTEx | DepMap | Descartes | 0.00 | NA |
ABCB10 | 0.0004406 | 4330 | GTEx | DepMap | Descartes | 0.00 | NA |
FECH | 0.0004155 | 4491 | GTEx | DepMap | Descartes | 0.01 | NA |
SELENBP1 | 0.0003366 | 5075 | GTEx | DepMap | Descartes | 0.00 | NA |
GCLC | 0.0003343 | 5102 | GTEx | DepMap | Descartes | 0.01 | NA |
SLC25A37 | 0.0002731 | 5620 | GTEx | DepMap | Descartes | 0.05 | NA |
RAPGEF2 | 0.0002610 | 5749 | GTEx | DepMap | Descartes | 0.05 | NA |
TRAK2 | 0.0002504 | 5847 | GTEx | DepMap | Descartes | 0.04 | NA |
RHD | 0.0002302 | 6043 | GTEx | DepMap | Descartes | 0.00 | NA |
CPOX | 0.0002163 | 6181 | GTEx | DepMap | Descartes | 0.00 | NA |
MARCH3 | 0.0001752 | 6632 | GTEx | DepMap | Descartes | 0.02 | NA |
XPO7 | 0.0001739 | 6639 | GTEx | DepMap | Descartes | 0.02 | NA |
CAT | 0.0001604 | 6774 | GTEx | DepMap | Descartes | 0.01 | NA |
BLVRB | 0.0001071 | 7375 | GTEx | DepMap | Descartes | 0.00 | NA |
SPECC1 | 0.0001013 | 7444 | GTEx | DepMap | Descartes | 0.01 | NA |
SNCA | 0.0000162 | 8726 | GTEx | DepMap | Descartes | 0.06 | NA |
SPTB | -0.0000185 | 9341 | GTEx | DepMap | Descartes | 0.01 | NA |
SLC4A1 | -0.0000263 | 9516 | GTEx | DepMap | Descartes | 0.00 | NA |
SLC25A21 | -0.0000420 | 9869 | GTEx | DepMap | Descartes | 0.00 | NA |
TMCC2 | -0.0000457 | 9946 | GTEx | DepMap | Descartes | 0.00 | NA |
GYPC | -0.0000487 | 10000 | GTEx | DepMap | Descartes | 0.00 | NA |
EPB41 | -0.0000587 | 10216 | GTEx | DepMap | Descartes | 0.06 | NA |
SOX6 | -0.0000895 | 10803 | GTEx | DepMap | Descartes | 0.01 | NA |
MICAL2 | -0.0001150 | 11214 | GTEx | DepMap | Descartes | 0.00 | NA |
ANK1 | -0.0001345 | 11439 | GTEx | DepMap | Descartes | 0.02 | NA |
TFR2 | -0.0001345 | 11440 | GTEx | DepMap | Descartes | 0.02 | NA |
TSPAN5 | -0.0002853 | 12341 | GTEx | DepMap | Descartes | 0.02 | NA |
DENND4A | -0.0002980 | 12361 | GTEx | DepMap | Descartes | 0.01 | NA |
ALAS2 | -0.0004797 | 12492 | GTEx | DepMap | Descartes | 0.00 | NA |
NA | NA | NA | NA | NA | NA | NA | NA |
Descartes myeloid markers
Top 50 marker genes of myeloid cells in the Decartes fetal adrenal single cell map (https://atlas.brotmanbaty.org/bbi/human-gene-expression-during-development/cell/myeloid/in/adrenal)
Wilcoxon ranksum test P-value for gene set overrepresentation: 5.16e-01
Mean rank of genes in gene set: 6299.18
Median rank of genes in gene set: 7430
Rank on gene expression program of top 30 genes in gene set:
Genes | Weight | Rank | GTEx | DepMap | Descartes | Mean.Counts | Mean.TPM |
---|---|---|---|---|---|---|---|
CTSB | 0.0070667 | 101 | GTEx | DepMap | Descartes | 0.01 | NA |
CST3 | 0.0052529 | 183 | GTEx | DepMap | Descartes | 0.01 | NA |
ABCA1 | 0.0043604 | 240 | GTEx | DepMap | Descartes | 0.03 | NA |
PTPRE | 0.0018787 | 904 | GTEx | DepMap | Descartes | 0.01 | NA |
IFNGR1 | 0.0018589 | 923 | GTEx | DepMap | Descartes | 0.02 | NA |
SPP1 | 0.0018190 | 957 | GTEx | DepMap | Descartes | 0.00 | NA |
LGMN | 0.0015764 | 1143 | GTEx | DepMap | Descartes | 0.00 | NA |
CTSD | 0.0014203 | 1316 | GTEx | DepMap | Descartes | 0.00 | NA |
AXL | 0.0013923 | 1358 | GTEx | DepMap | Descartes | 0.00 | NA |
SLCO2B1 | 0.0012871 | 1491 | GTEx | DepMap | Descartes | 0.00 | NA |
TGFBI | 0.0008792 | 2351 | GTEx | DepMap | Descartes | 0.00 | NA |
ITPR2 | 0.0003844 | 4715 | GTEx | DepMap | Descartes | 0.14 | NA |
WWP1 | 0.0002579 | 5778 | GTEx | DepMap | Descartes | 0.04 | NA |
CSF1R | 0.0002567 | 5786 | GTEx | DepMap | Descartes | 0.00 | NA |
FMN1 | 0.0002313 | 6028 | GTEx | DepMap | Descartes | 0.01 | NA |
FGL2 | 0.0002083 | 6254 | GTEx | DepMap | Descartes | 0.00 | NA |
HRH1 | 0.0001988 | 6356 | GTEx | DepMap | Descartes | 0.00 | NA |
CTSC | 0.0001375 | 7026 | GTEx | DepMap | Descartes | 0.00 | NA |
MSR1 | 0.0001152 | 7275 | GTEx | DepMap | Descartes | 0.00 | NA |
CTSS | 0.0000913 | 7585 | GTEx | DepMap | Descartes | 0.00 | NA |
CD163L1 | 0.0000907 | 7598 | GTEx | DepMap | Descartes | 0.02 | NA |
SFMBT2 | 0.0000444 | 8268 | GTEx | DepMap | Descartes | 0.00 | NA |
SLC9A9 | 0.0000438 | 8275 | GTEx | DepMap | Descartes | 0.00 | NA |
MS4A4A | 0.0000376 | 8363 | GTEx | DepMap | Descartes | 0.00 | NA |
RGL1 | 0.0000210 | 8649 | GTEx | DepMap | Descartes | 0.02 | NA |
RBPJ | 0.0000156 | 8738 | GTEx | DepMap | Descartes | 0.14 | NA |
FGD2 | 0.0000135 | 8769 | GTEx | DepMap | Descartes | 0.00 | NA |
HCK | -0.0000032 | 9065 | GTEx | DepMap | Descartes | 0.01 | NA |
CD14 | -0.0000166 | 9302 | GTEx | DepMap | Descartes | 0.00 | NA |
CYBB | -0.0000230 | 9446 | GTEx | DepMap | Descartes | 0.00 | NA |
Descartes Schwann markers
Top 50 marker genes of Schwann cells in the Decartes fetal adrenal single cell map (https://atlas.brotmanbaty.org/bbi/human-gene-expression-during-development/cell/schwann/in/adrenal)
Wilcoxon ranksum test P-value for gene set overrepresentation: 9.72e-01
Mean rank of genes in gene set: 7314.39
Median rank of genes in gene set: 9035
Rank on gene expression program of top 30 genes in gene set:
Genes | Weight | Rank | GTEx | DepMap | Descartes | Mean.Counts | Mean.TPM |
---|---|---|---|---|---|---|---|
COL18A1 | 0.0105317 | 42 | GTEx | DepMap | Descartes | 0.00 | NA |
EDNRB | 0.0094146 | 55 | GTEx | DepMap | Descartes | 0.00 | NA |
VIM | 0.0067481 | 108 | GTEx | DepMap | Descartes | 0.01 | NA |
LAMB1 | 0.0062845 | 125 | GTEx | DepMap | Descartes | 0.07 | NA |
LAMC1 | 0.0060466 | 137 | GTEx | DepMap | Descartes | 0.01 | NA |
LAMA4 | 0.0056300 | 160 | GTEx | DepMap | Descartes | 0.01 | NA |
OLFML2A | 0.0036677 | 330 | GTEx | DepMap | Descartes | 0.00 | NA |
MARCKS | 0.0030070 | 456 | GTEx | DepMap | Descartes | 0.04 | NA |
ADAMTS5 | 0.0025105 | 611 | GTEx | DepMap | Descartes | 0.00 | NA |
DST | 0.0012199 | 1595 | GTEx | DepMap | Descartes | 0.19 | NA |
PMP22 | 0.0009746 | 2095 | GTEx | DepMap | Descartes | 0.01 | NA |
VCAN | 0.0006630 | 3106 | GTEx | DepMap | Descartes | 0.00 | NA |
GAS7 | 0.0006484 | 3167 | GTEx | DepMap | Descartes | 0.00 | NA |
KCTD12 | 0.0004842 | 4034 | GTEx | DepMap | Descartes | 0.00 | NA |
COL5A2 | 0.0003393 | 5056 | GTEx | DepMap | Descartes | 0.00 | NA |
SFRP1 | 0.0003314 | 5125 | GTEx | DepMap | Descartes | 0.01 | NA |
HMGA2 | 0.0002174 | 6172 | GTEx | DepMap | Descartes | 0.00 | NA |
PLP1 | 0.0001451 | 6927 | GTEx | DepMap | Descartes | 0.00 | NA |
COL25A1 | 0.0000569 | 8091 | GTEx | DepMap | Descartes | 0.01 | NA |
PTN | 0.0000546 | 8127 | GTEx | DepMap | Descartes | 0.00 | NA |
FIGN | 0.0000331 | 8444 | GTEx | DepMap | Descartes | 0.02 | NA |
GFRA3 | 0.0000232 | 8615 | GTEx | DepMap | Descartes | 0.00 | NA |
PTPRZ1 | -0.0000235 | 9455 | GTEx | DepMap | Descartes | 0.00 | NA |
NRXN1 | -0.0000441 | 9920 | GTEx | DepMap | Descartes | 0.37 | NA |
IL1RAPL1 | -0.0000442 | 9923 | GTEx | DepMap | Descartes | 0.01 | NA |
ERBB3 | -0.0000491 | 10007 | GTEx | DepMap | Descartes | 0.00 | NA |
MPZ | -0.0000721 | 10501 | GTEx | DepMap | Descartes | 0.00 | NA |
MDGA2 | -0.0000897 | 10807 | GTEx | DepMap | Descartes | 0.01 | NA |
IL1RAPL2 | -0.0000916 | 10841 | GTEx | DepMap | Descartes | 0.19 | NA |
SCN7A | -0.0000929 | 10859 | GTEx | DepMap | Descartes | 0.01 | NA |
Descartes Megakaryocytes markers
Top 50 marker genes of Megakaryocytes cells in the Decartes fetal adrenal single cell map (https://atlas.brotmanbaty.org/bbi/human-gene-expression-during-development/cell/megakaryocytes/in/adrenal)
Wilcoxon ranksum test P-value for gene set overrepresentation: 5.83e-01
Mean rank of genes in gene set: 6388.47
Median rank of genes in gene set: 6959
Rank on gene expression program of top 30 genes in gene set:
Genes | Weight | Rank | GTEx | DepMap | Descartes | Mean.Counts | Mean.TPM |
---|---|---|---|---|---|---|---|
ITGB3 | 0.0099064 | 52 | GTEx | DepMap | Descartes | 0.00 | NA |
CD9 | 0.0069568 | 104 | GTEx | DepMap | Descartes | 0.03 | NA |
TMSB4X | 0.0057787 | 151 | GTEx | DepMap | Descartes | 0.18 | NA |
TGFB1 | 0.0052782 | 178 | GTEx | DepMap | Descartes | 0.00 | NA |
ACTB | 0.0044127 | 236 | GTEx | DepMap | Descartes | 0.07 | NA |
TPM4 | 0.0037893 | 307 | GTEx | DepMap | Descartes | 0.02 | NA |
FLNA | 0.0035796 | 350 | GTEx | DepMap | Descartes | 0.01 | NA |
MYH9 | 0.0033602 | 392 | GTEx | DepMap | Descartes | 0.00 | NA |
THBS1 | 0.0030819 | 431 | GTEx | DepMap | Descartes | 0.00 | NA |
VCL | 0.0024658 | 630 | GTEx | DepMap | Descartes | 0.03 | NA |
TLN1 | 0.0017669 | 991 | GTEx | DepMap | Descartes | 0.01 | NA |
ZYX | 0.0014601 | 1269 | GTEx | DepMap | Descartes | 0.01 | NA |
LIMS1 | 0.0011010 | 1806 | GTEx | DepMap | Descartes | 0.06 | NA |
ACTN1 | 0.0010705 | 1868 | GTEx | DepMap | Descartes | 0.02 | NA |
STOM | 0.0010572 | 1890 | GTEx | DepMap | Descartes | 0.00 | NA |
RAP1B | 0.0010202 | 1966 | GTEx | DepMap | Descartes | 0.03 | NA |
FLI1 | 0.0007572 | 2731 | GTEx | DepMap | Descartes | 0.00 | NA |
GSN | 0.0004564 | 4234 | GTEx | DepMap | Descartes | 0.01 | NA |
PRKAR2B | 0.0003964 | 4621 | GTEx | DepMap | Descartes | 0.01 | NA |
LTBP1 | 0.0003207 | 5214 | GTEx | DepMap | Descartes | 0.00 | NA |
STON2 | 0.0002275 | 6067 | GTEx | DepMap | Descartes | 0.01 | NA |
SPN | 0.0001682 | 6698 | GTEx | DepMap | Descartes | 0.00 | NA |
HIPK2 | 0.0001422 | 6959 | GTEx | DepMap | Descartes | 0.13 | NA |
CD84 | 0.0001299 | 7117 | GTEx | DepMap | Descartes | 0.00 | NA |
TUBB1 | 0.0000665 | 7950 | GTEx | DepMap | Descartes | 0.00 | NA |
GP1BA | 0.0000318 | 8473 | GTEx | DepMap | Descartes | 0.01 | NA |
FERMT3 | -0.0000005 | 9008 | GTEx | DepMap | Descartes | 0.00 | NA |
TRPC6 | -0.0000158 | 9288 | GTEx | DepMap | Descartes | 0.00 | NA |
INPP4B | -0.0000232 | 9449 | GTEx | DepMap | Descartes | 0.00 | NA |
PSTPIP2 | -0.0000305 | 9602 | GTEx | DepMap | Descartes | 0.00 | NA |
Descartes Lyphoid markers
Top 50 marker genes of Lyphoid cells in the Decartes fetal adrenal single cell map (https://atlas.brotmanbaty.org/bbi/human-gene-expression-during-development/cell/lymphoid/in/adrenal)
Wilcoxon ranksum test P-value for gene set overrepresentation: 9.97e-01
Mean rank of genes in gene set: 7808.62
Median rank of genes in gene set: 9964.5
Rank on gene expression program of top 30 genes in gene set:
Genes | Weight | Rank | GTEx | DepMap | Descartes | Mean.Counts | Mean.TPM |
---|---|---|---|---|---|---|---|
B2M | 0.0070896 | 98 | GTEx | DepMap | Descartes | 0.03 | NA |
TMSB10 | 0.0054323 | 171 | GTEx | DepMap | Descartes | 0.11 | NA |
ETS1 | 0.0026443 | 558 | GTEx | DepMap | Descartes | 0.00 | NA |
MSN | 0.0024766 | 628 | GTEx | DepMap | Descartes | 0.00 | NA |
ITPKB | 0.0017627 | 993 | GTEx | DepMap | Descartes | 0.01 | NA |
FYN | 0.0012539 | 1540 | GTEx | DepMap | Descartes | 0.11 | NA |
PRKCH | 0.0010645 | 1874 | GTEx | DepMap | Descartes | 0.00 | NA |
LCP1 | 0.0006517 | 3154 | GTEx | DepMap | Descartes | 0.00 | NA |
CCL5 | 0.0006286 | 3254 | GTEx | DepMap | Descartes | 0.00 | NA |
EVL | 0.0006264 | 3266 | GTEx | DepMap | Descartes | 0.06 | NA |
ABLIM1 | 0.0006029 | 3378 | GTEx | DepMap | Descartes | 0.10 | NA |
PDE3B | 0.0004891 | 4009 | GTEx | DepMap | Descartes | 0.01 | NA |
WIPF1 | 0.0004446 | 4307 | GTEx | DepMap | Descartes | 0.03 | NA |
BCL2 | 0.0002899 | 5476 | GTEx | DepMap | Descartes | 0.23 | NA |
CD44 | 0.0002883 | 5497 | GTEx | DepMap | Descartes | 0.04 | NA |
STK39 | 0.0002093 | 6246 | GTEx | DepMap | Descartes | 0.07 | NA |
GNG2 | 0.0001113 | 7325 | GTEx | DepMap | Descartes | 0.02 | NA |
MBNL1 | 0.0000970 | 7502 | GTEx | DepMap | Descartes | 0.03 | NA |
CCND3 | 0.0000409 | 8310 | GTEx | DepMap | Descartes | 0.00 | NA |
ARHGDIB | -0.0000268 | 9529 | GTEx | DepMap | Descartes | 0.00 | NA |
SKAP1 | -0.0000410 | 9847 | GTEx | DepMap | Descartes | 0.02 | NA |
LEF1 | -0.0000528 | 10082 | GTEx | DepMap | Descartes | 0.00 | NA |
PITPNC1 | -0.0000555 | 10150 | GTEx | DepMap | Descartes | 0.04 | NA |
SAMD3 | -0.0000562 | 10162 | GTEx | DepMap | Descartes | 0.00 | NA |
PTPRC | -0.0000788 | 10623 | GTEx | DepMap | Descartes | 0.00 | NA |
MCTP2 | -0.0001143 | 11204 | GTEx | DepMap | Descartes | 0.00 | NA |
NCALD | -0.0001157 | 11223 | GTEx | DepMap | Descartes | 0.02 | NA |
RAP1GAP2 | -0.0001200 | 11277 | GTEx | DepMap | Descartes | 0.07 | NA |
SCML4 | -0.0001266 | 11361 | GTEx | DepMap | Descartes | 0.00 | NA |
CELF2 | -0.0001330 | 11429 | GTEx | DepMap | Descartes | 0.14 | NA |
Below shows the ranks on this GEP for immune marker gene lists curated by CellTypist (https://www.celltypist.org/encyclopedia).
High ranks indicate this gene is a driver of this GEP.
These curated gene list are ranked by P-value (on this GEP) of their constituent genes.
The Mean Count column shows the mean read count in cells scoring highly (H > 50) on this gene expression program.
Genes | Weight | Rank | GTEx | DepMap | Decartes | Mean.Counts | Mean.TPM |
---|---|---|---|---|---|---|---|
RAMP3 | 0.0091699 | 59 | GTEx | DepMap | Descartes | 0.00 | NA |
MMRN2 | 0.0077672 | 84 | GTEx | DepMap | Descartes | 0.00 | NA |
VWF | 0.0076049 | 87 | GTEx | DepMap | Descartes | 0.01 | NA |
JAM2 | 0.0027697 | 517 | GTEx | DepMap | Descartes | 0.00 | NA |
Endothelial cells: Endothelial cells (curated markers)
single-layered lining cells that constitute the interior vasculature:
Wilcoxon ranksum test P-value for gene set overrepresentation: 1.38e-03
Mean rank of genes in gene set: 16
Rank on gene expression program of genes in gene set:
Genes | Weight | Rank | GTEx | DepMap | Decartes | Mean.Counts | Mean.TPM |
---|---|---|---|---|---|---|---|
CLDN5 | 0.0188229 | 7 | GTEx | DepMap | Descartes | 0.01 | NA |
PLVAP | 0.0186691 | 8 | GTEx | DepMap | Descartes | 0.00 | NA |
SPARCL1 | 0.0115924 | 33 | GTEx | DepMap | Descartes | 0.01 | NA |
Double-negative thymocytes: Double-negative thymocytes (curated markers)
the early immature thymocytes from the thymus in the double negative (co-receptors CD4- and CD8-) stage:
Wilcoxon ranksum test P-value for gene set overrepresentation: 3.40e-02
Mean rank of genes in gene set: 1599.5
Rank on gene expression program of genes in gene set:
Genes | Weight | Rank | GTEx | DepMap | Decartes | Mean.Counts | Mean.TPM |
---|---|---|---|---|---|---|---|
HES1 | 0.0032185 | 409 | GTEx | DepMap | Descartes | 0 | NA |
FXYD2 | 0.0007373 | 2790 | GTEx | DepMap | Descartes | 0 | NA |