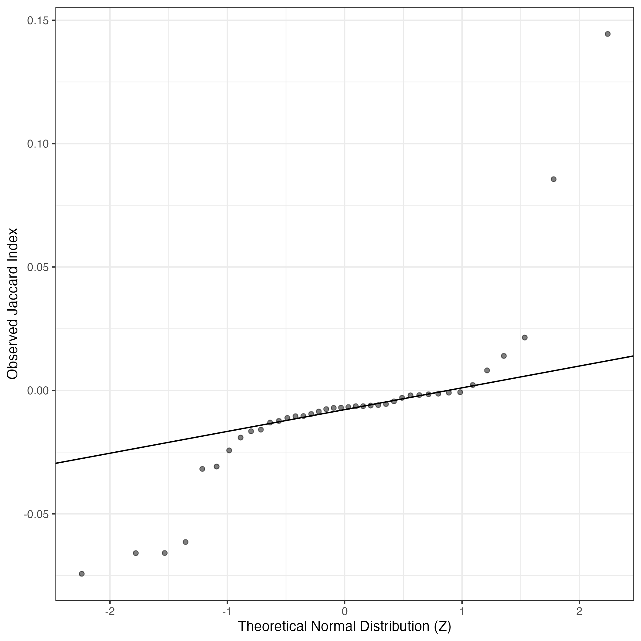
QQ-plot of gene loadings, averaged over both independent splits of the data
This plot highlights the relative contribution of each gene to the GEP
Top genes driving this program.
Note: Decartes website is buggy, try refreshing. Also, Decartes fetal adrenal data have been collected at specific time points (89-122 days), all possible cell types of interest may not be represented, do not overinterpret.
The Mean Count column shows the mean read count in cells scoring highly (H > 50) on this gene expression program.
Gene | Loading | Gene.Name | GTEx | DepMap | Descartes | Mean.Counts | Mean.Tpm | |
---|---|---|---|---|---|---|---|---|
1 | RAMP1 | 0.0106459 | receptor activity modifying protein 1 | GTEx | DepMap | Descartes | 8.83 | 2683.59 |
2 | GNAS | 0.0103189 | GNAS complex locus | GTEx | DepMap | Descartes | 49.03 | 3002.14 |
3 | GPR22 | 0.0096222 | G protein-coupled receptor 22 | GTEx | DepMap | Descartes | 1.89 | 168.94 |
4 | CNTN1 | 0.0095352 | contactin 1 | GTEx | DepMap | Descartes | 2.80 | 124.92 |
5 | TUBA1A | 0.0087402 | tubulin alpha 1a | GTEx | DepMap | Descartes | 56.03 | 7014.33 |
6 | NRCAM | 0.0082015 | neuronal cell adhesion molecule | GTEx | DepMap | Descartes | 1.63 | 61.85 |
7 | TUBB2A | 0.0080134 | tubulin beta 2A class IIa | GTEx | DepMap | Descartes | 7.94 | 1138.56 |
8 | DLC1 | 0.0079274 | DLC1 Rho GTPase activating protein | GTEx | DepMap | Descartes | 2.96 | 105.20 |
9 | CALY | 0.0076323 | calcyon neuron specific vesicular protein | GTEx | DepMap | Descartes | 2.08 | 223.11 |
10 | PHOX2A | 0.0076245 | paired like homeobox 2A | GTEx | DepMap | Descartes | 12.20 | 1718.71 |
11 | NCOA7 | 0.0076094 | nuclear receptor coactivator 7 | GTEx | DepMap | Descartes | 3.23 | NA |
12 | PCBD1 | 0.0076032 | pterin-4 alpha-carbinolamine dehydratase 1 | GTEx | DepMap | Descartes | 3.97 | 1209.59 |
13 | SCG5 | 0.0075272 | secretogranin V | GTEx | DepMap | Descartes | 5.09 | 1013.54 |
14 | ANXA2 | 0.0074507 | annexin A2 | GTEx | DepMap | Descartes | 6.60 | 461.79 |
15 | RBP1 | 0.0073958 | retinol binding protein 1 | GTEx | DepMap | Descartes | 7.06 | 952.14 |
16 | MXRA7 | 0.0072653 | matrix remodeling associated 7 | GTEx | DepMap | Descartes | 3.10 | 135.69 |
17 | TH | 0.0072462 | tyrosine hydroxylase | GTEx | DepMap | Descartes | 4.46 | 601.30 |
18 | MAP7 | 0.0071312 | microtubule associated protein 7 | GTEx | DepMap | Descartes | 1.74 | 104.42 |
19 | CD9 | 0.0070738 | CD9 molecule | GTEx | DepMap | Descartes | 3.35 | 484.22 |
20 | PPP1R1A | 0.0070617 | protein phosphatase 1 regulatory inhibitor subunit 1A | GTEx | DepMap | Descartes | 0.81 | 80.83 |
21 | TLN2 | 0.0069236 | talin 2 | GTEx | DepMap | Descartes | 2.34 | 49.48 |
22 | SLCO3A1 | 0.0068498 | solute carrier organic anion transporter family member 3A1 | GTEx | DepMap | Descartes | 1.78 | 90.01 |
23 | FAIM2 | 0.0067529 | Fas apoptotic inhibitory molecule 2 | GTEx | DepMap | Descartes | 2.34 | 127.93 |
24 | EID1 | 0.0066399 | EP300 interacting inhibitor of differentiation 1 | GTEx | DepMap | Descartes | 7.13 | 845.47 |
25 | CALM2 | 0.0066340 | calmodulin 2 | GTEx | DepMap | Descartes | 21.05 | 1130.65 |
26 | DBH | 0.0065700 | dopamine beta-hydroxylase | GTEx | DepMap | Descartes | 7.82 | 731.29 |
27 | SYT1 | 0.0064980 | synaptotagmin 1 | GTEx | DepMap | Descartes | 5.38 | 283.48 |
28 | SFRP1 | 0.0064956 | secreted frizzled related protein 1 | GTEx | DepMap | Descartes | 2.21 | 127.22 |
29 | TPM1 | 0.0064546 | tropomyosin 1 | GTEx | DepMap | Descartes | 3.27 | 214.54 |
30 | TUBB2B | 0.0064292 | tubulin beta 2B class IIb | GTEx | DepMap | Descartes | 28.37 | 3487.53 |
31 | PIK3R1 | 0.0064259 | phosphoinositide-3-kinase regulatory subunit 1 | GTEx | DepMap | Descartes | 3.35 | 125.73 |
32 | ARHGDIG | 0.0064258 | Rho GDP dissociation inhibitor gamma | GTEx | DepMap | Descartes | 1.43 | 280.64 |
33 | RAB3C | 0.0063772 | RAB3C, member RAS oncogene family | GTEx | DepMap | Descartes | 1.67 | 48.03 |
34 | NACA | 0.0063195 | nascent polypeptide associated complex subunit alpha | GTEx | DepMap | Descartes | 34.43 | 1288.69 |
35 | CHGB | 0.0062484 | chromogranin B | GTEx | DepMap | Descartes | 8.49 | 870.17 |
36 | CNTNAP2 | 0.0062390 | contactin associated protein 2 | GTEx | DepMap | Descartes | 4.01 | 99.14 |
37 | ALCAM | 0.0060979 | activated leukocyte cell adhesion molecule | GTEx | DepMap | Descartes | 2.84 | 148.54 |
38 | QPCT | 0.0060805 | glutaminyl-peptide cyclotransferase | GTEx | DepMap | Descartes | 0.78 | 121.42 |
39 | YWHAQ | 0.0059650 | tyrosine 3-monooxygenase/tryptophan 5-monooxygenase activation protein theta | GTEx | DepMap | Descartes | 7.96 | 880.86 |
40 | MAP1LC3A | 0.0059162 | microtubule associated protein 1 light chain 3 alpha | GTEx | DepMap | Descartes | 2.88 | 726.21 |
41 | SHC1 | 0.0058792 | SHC adaptor protein 1 | GTEx | DepMap | Descartes | 1.45 | 104.65 |
42 | SRP14 | 0.0058212 | signal recognition particle 14 | GTEx | DepMap | Descartes | 12.75 | 2777.10 |
43 | PGM2L1 | 0.0058052 | phosphoglucomutase 2 like 1 | GTEx | DepMap | Descartes | 2.20 | 62.79 |
44 | DCTN2 | 0.0057883 | dynactin subunit 2 | GTEx | DepMap | Descartes | 3.61 | 437.99 |
45 | ACTN2 | 0.0057676 | actinin alpha 2 | GTEx | DepMap | Descartes | 0.97 | 47.89 |
46 | PCLO | 0.0057542 | piccolo presynaptic cytomatrix protein | GTEx | DepMap | Descartes | 1.50 | 18.87 |
47 | MEIS2 | 0.0057241 | Meis homeobox 2 | GTEx | DepMap | Descartes | 3.03 | 140.41 |
48 | COX7A2L | 0.0056672 | cytochrome c oxidase subunit 7A2 like | GTEx | DepMap | Descartes | 5.68 | 449.24 |
49 | DST | 0.0056610 | dystonin | GTEx | DepMap | Descartes | 3.63 | 40.82 |
50 | PPDPF | 0.0056507 | pancreatic progenitor cell differentiation and proliferation factor | GTEx | DepMap | Descartes | 8.15 | 2431.25 |
UMAP plots showing activity of gene expression program identified in GEP 31. Neuroblastoma: Adrenergic #2:
CNV Data procured from inferCNV.
Outer tracks are putative CNV regions (gains = red, losses = blue) for each patient
Inner track is expression data representing:
The top cells expressing this GEP (purple)
Random cells (n =50) from the reference set used in inferCNV (orange)
Gene set Enrichments for this program, caculated from top 50 genes
mSigDB Cell Types Gene Set:
P-value | OR | Lower 95% CI | FDR | FWER | Genes Found | Gene Set Size | |
---|---|---|---|---|---|---|---|
MENON_FETAL_KIDNEY_3_STROMAL_CELLS | 8.68e-10 | 32.57 | 12.75 | 2.91e-07 | 5.82e-07 | 8GNAS, TUBA1A, RBP1, SFRP1, TPM1, ALCAM, MEIS2, DST |
81 |
DESCARTES_FETAL_INTESTINE_ENS_NEURONS | 5.03e-10 | 20.82 | 9.11 | 2.91e-07 | 3.37e-07 | 10GPR22, CNTN1, TUBB2A, PHOX2A, TH, DBH, SYT1, TUBB2B, ARHGDIG, CNTNAP2 |
160 |
DESCARTES_FETAL_PANCREAS_ENS_NEURONS | 1.20e-08 | 17.81 | 7.48 | 2.01e-06 | 8.05e-06 | 9GPR22, TUBA1A, TUBB2A, PHOX2A, DBH, SYT1, TUBB2B, ARHGDIG, CNTNAP2 |
163 |
BUSSLINGER_GASTRIC_G_CELLS | 2.24e-06 | 18.51 | 6.29 | 2.13e-04 | 1.50e-03 | 6SCG5, CHGB, QPCT, PCLO, MEIS2, DST |
98 |
DURANTE_ADULT_OLFACTORY_NEUROEPITHELIUM_IMMATURE_NEURONS | 1.10e-06 | 15.41 | 5.74 | 1.23e-04 | 7.36e-04 | 7TUBA1A, TUBB2A, SCG5, CALM2, SYT1, TUBB2B, PCLO |
139 |
DESCARTES_FETAL_HEART_VISCERAL_NEURONS | 2.29e-05 | 16.92 | 5.11 | 1.02e-03 | 1.53e-02 | 5PHOX2A, TH, DBH, RAB3C, CHGB |
87 |
HU_FETAL_RETINA_RGC | 7.94e-09 | 10.22 | 4.95 | 1.78e-06 | 5.33e-06 | 13TUBA1A, NRCAM, TUBB2A, SCG5, PPP1R1A, CALM2, SYT1, TUBB2B, CHGB, ALCAM, YWHAQ, PGM2L1, DCTN2 |
443 |
DURANTE_ADULT_OLFACTORY_NEUROEPITHELIUM_GLOBOSE_BASAL_CELLS | 3.53e-04 | 24.91 | 4.72 | 7.18e-03 | 2.37e-01 | 3TUBA1A, RBP1, TUBB2B |
35 |
HU_FETAL_RETINA_AMACRINE | 1.17e-04 | 18.10 | 4.59 | 3.72e-03 | 7.82e-02 | 4TUBB2A, SYT1, TUBB2B, MEIS2 |
64 |
MANNO_MIDBRAIN_NEUROTYPES_HOMTN | 2.05e-07 | 9.33 | 4.27 | 2.75e-05 | 1.38e-04 | 11TUBA1A, TUBB2A, PHOX2A, SCG5, TLN2, FAIM2, DBH, TUBB2B, CNTNAP2, ALCAM, MAP1LC3A |
389 |
DURANTE_ADULT_OLFACTORY_NEUROEPITHELIUM_MATURE_NEURONS | 7.70e-06 | 11.30 | 4.23 | 4.94e-04 | 5.17e-03 | 7TUBA1A, PPP1R1A, FAIM2, CALM2, SYT1, TUBB2B, QPCT |
187 |
BUSSLINGER_GASTRIC_X_CELLS | 8.83e-06 | 11.06 | 4.14 | 4.94e-04 | 5.93e-03 | 7TUBA1A, CALY, RBP1, PPP1R1A, CHGB, PCLO, DST |
191 |
HU_FETAL_RETINA_HORIZONTAL | 5.25e-04 | 21.53 | 4.11 | 1.01e-02 | 3.52e-01 | 3TUBA1A, TUBB2B, CNTNAP2 |
40 |
DESCARTES_FETAL_STOMACH_ENS_NEURONS | 2.04e-04 | 15.52 | 3.95 | 5.48e-03 | 1.37e-01 | 4TUBB2A, SYT1, TUBB2B, CNTNAP2 |
74 |
GAO_LARGE_INTESTINE_ADULT_CA_ENTEROENDOCRINE_CELLS | 2.71e-06 | 9.06 | 3.84 | 2.13e-04 | 1.82e-03 | 9RAMP1, TUBA1A, SCG5, SYT1, TUBB2B, RAB3C, CHGB, QPCT, PCLO |
312 |
LAKE_ADULT_KIDNEY_C9_THIN_ASCENDING_LIMB | 8.26e-06 | 9.16 | 3.68 | 4.94e-04 | 5.54e-03 | 8GNAS, NCOA7, ANXA2, CD9, EID1, TPM1, NACA, SRP14 |
268 |
AIZARANI_LIVER_C33_STELLATE_CELLS_2 | 1.33e-04 | 11.47 | 3.49 | 4.05e-03 | 8.91e-02 | 5GNAS, DLC1, MXRA7, TPM1, DST |
126 |
FAN_EMBRYONIC_CTX_BIG_GROUPS_EXCITATORY_NEURON | 8.44e-04 | 18.11 | 3.48 | 1.45e-02 | 5.66e-01 | 3ACTN2, PCLO, MEIS2 |
47 |
ZHONG_PFC_C8_UNKNOWN_NEUROD2_POS_INTERNEURON | 3.32e-04 | 13.58 | 3.47 | 7.18e-03 | 2.23e-01 | 4CNTN1, PIK3R1, ALCAM, ACTN2 |
84 |
TRAVAGLINI_LUNG_NEUROENDOCRINE_CELL | 1.43e-04 | 11.29 | 3.44 | 4.17e-03 | 9.59e-02 | 5CALY, SCG5, SYT1, TUBB2B, CHGB |
128 |
Dowload full table
mSigDB Hallmark Gene Sets:
P-value | OR | Lower 95% CI | FDR | FWER | Genes Found | Gene Set Size | |
---|---|---|---|---|---|---|---|
HALLMARK_CHOLESTEROL_HOMEOSTASIS | 3.47e-02 | 7.23 | 0.84 | 6.90e-01 | 1.00e+00 | 2CD9, ALCAM |
74 |
HALLMARK_APICAL_JUNCTION | 4.35e-02 | 4.05 | 0.80 | 6.90e-01 | 1.00e+00 | 3CNTN1, SHC1, ACTN2 |
200 |
HALLMARK_EPITHELIAL_MESENCHYMAL_TRANSITION | 4.35e-02 | 4.05 | 0.80 | 6.90e-01 | 1.00e+00 | 3SFRP1, TPM1, DST |
200 |
HALLMARK_PROTEIN_SECRETION | 5.52e-02 | 5.54 | 0.64 | 6.90e-01 | 1.00e+00 | 2GNAS, DST |
96 |
HALLMARK_UNFOLDED_PROTEIN_RESPONSE | 7.33e-02 | 4.69 | 0.55 | 7.11e-01 | 1.00e+00 | 2TUBB2A, SHC1 |
113 |
HALLMARK_SPERMATOGENESIS | 9.90e-02 | 3.92 | 0.46 | 7.11e-01 | 1.00e+00 | 2SCG5, MAP7 |
135 |
HALLMARK_UV_RESPONSE_DN | 1.10e-01 | 3.67 | 0.43 | 7.11e-01 | 1.00e+00 | 2DLC1, ANXA2 |
144 |
HALLMARK_ESTROGEN_RESPONSE_EARLY | 1.85e-01 | 2.63 | 0.31 | 7.11e-01 | 1.00e+00 | 2DLC1, TUBB2B |
200 |
HALLMARK_ESTROGEN_RESPONSE_LATE | 1.85e-01 | 2.63 | 0.31 | 7.11e-01 | 1.00e+00 | 2TH, CD9 |
200 |
HALLMARK_COMPLEMENT | 1.85e-01 | 2.63 | 0.31 | 7.11e-01 | 1.00e+00 | 2ACTN2, PCLO |
200 |
HALLMARK_KRAS_SIGNALING_UP | 1.85e-01 | 2.63 | 0.31 | 7.11e-01 | 1.00e+00 | 2SCG5, MAP7 |
200 |
HALLMARK_HEDGEHOG_SIGNALING | 1.34e-01 | 7.29 | 0.18 | 7.11e-01 | 1.00e+00 | 1NRCAM |
36 |
HALLMARK_PANCREAS_BETA_CELLS | 1.47e-01 | 6.54 | 0.16 | 7.11e-01 | 1.00e+00 | 1SRP14 |
40 |
HALLMARK_IL6_JAK_STAT3_SIGNALING | 2.93e-01 | 2.97 | 0.07 | 9.43e-01 | 1.00e+00 | 1CD9 |
87 |
HALLMARK_INTERFERON_ALPHA_RESPONSE | 3.20e-01 | 2.66 | 0.07 | 9.43e-01 | 1.00e+00 | 1NCOA7 |
97 |
HALLMARK_ANDROGEN_RESPONSE | 3.28e-01 | 2.58 | 0.06 | 9.43e-01 | 1.00e+00 | 1MAP7 |
100 |
HALLMARK_BILE_ACID_METABOLISM | 3.59e-01 | 2.30 | 0.06 | 9.43e-01 | 1.00e+00 | 1RBP1 |
112 |
HALLMARK_COAGULATION | 4.22e-01 | 1.86 | 0.05 | 9.43e-01 | 1.00e+00 | 1CD9 |
138 |
HALLMARK_FATTY_ACID_METABOLISM | 4.66e-01 | 1.62 | 0.04 | 9.43e-01 | 1.00e+00 | 1PCBD1 |
158 |
HALLMARK_MITOTIC_SPINDLE | 5.45e-01 | 1.29 | 0.03 | 9.43e-01 | 1.00e+00 | 1DST |
199 |
Dowload full table
KEGG Pathways:
P-value | OR | Lower 95% CI | FDR | FWER | Genes Found | Gene Set Size | |
---|---|---|---|---|---|---|---|
KEGG_PATHOGENIC_ESCHERICHIA_COLI_INFECTION | 6.91e-05 | 20.88 | 5.27 | 1.29e-02 | 1.29e-02 | 4TUBA1A, TUBB2A, TUBB2B, YWHAQ |
56 |
KEGG_GAP_JUNCTION | 4.31e-04 | 12.63 | 3.23 | 4.01e-02 | 8.02e-02 | 4GNAS, TUBA1A, TUBB2A, TUBB2B |
90 |
KEGG_GLIOMA | 2.15e-03 | 12.86 | 2.49 | 8.01e-02 | 4.01e-01 | 3CALM2, PIK3R1, SHC1 |
65 |
KEGG_NEUROTROPHIN_SIGNALING_PATHWAY | 1.51e-03 | 8.91 | 2.29 | 8.01e-02 | 2.80e-01 | 4CALM2, PIK3R1, YWHAQ, SHC1 |
126 |
KEGG_CELL_ADHESION_MOLECULES_CAMS | 1.83e-03 | 8.43 | 2.17 | 8.01e-02 | 3.41e-01 | 4CNTN1, NRCAM, CNTNAP2, ALCAM |
133 |
KEGG_TYROSINE_METABOLISM | 1.20e-02 | 13.01 | 1.48 | 2.72e-01 | 1.00e+00 | 2TH, DBH |
42 |
KEGG_FOCAL_ADHESION | 7.58e-03 | 5.57 | 1.44 | 2.35e-01 | 1.00e+00 | 4TLN2, PIK3R1, SHC1, ACTN2 |
199 |
KEGG_VASOPRESSIN_REGULATED_WATER_REABSORPTION | 1.31e-02 | 12.39 | 1.41 | 2.72e-01 | 1.00e+00 | 2GNAS, DCTN2 |
44 |
KEGG_VASCULAR_SMOOTH_MUSCLE_CONTRACTION | 1.05e-02 | 7.12 | 1.40 | 2.72e-01 | 1.00e+00 | 3RAMP1, GNAS, CALM2 |
115 |
KEGG_INSULIN_SIGNALING_PATHWAY | 1.67e-02 | 5.95 | 1.17 | 3.10e-01 | 1.00e+00 | 3CALM2, PIK3R1, SHC1 |
137 |
KEGG_LONG_TERM_POTENTIATION | 3.13e-02 | 7.66 | 0.88 | 5.18e-01 | 1.00e+00 | 2PPP1R1A, CALM2 |
70 |
KEGG_CHRONIC_MYELOID_LEUKEMIA | 3.38e-02 | 7.33 | 0.85 | 5.18e-01 | 1.00e+00 | 2PIK3R1, SHC1 |
73 |
KEGG_PHOSPHATIDYLINOSITOL_SIGNALING_SYSTEM | 3.64e-02 | 7.04 | 0.81 | 5.18e-01 | 1.00e+00 | 2CALM2, PIK3R1 |
76 |
KEGG_CARDIAC_MUSCLE_CONTRACTION | 3.90e-02 | 6.76 | 0.78 | 5.18e-01 | 1.00e+00 | 2TPM1, COX7A2L |
79 |
KEGG_ERBB_SIGNALING_PATHWAY | 4.64e-02 | 6.13 | 0.71 | 5.73e-01 | 1.00e+00 | 2PIK3R1, SHC1 |
87 |
KEGG_DILATED_CARDIOMYOPATHY | 4.93e-02 | 5.92 | 0.69 | 5.73e-01 | 1.00e+00 | 2GNAS, TPM1 |
90 |
KEGG_GNRH_SIGNALING_PATHWAY | 6.04e-02 | 5.26 | 0.61 | 6.24e-01 | 1.00e+00 | 2GNAS, CALM2 |
101 |
KEGG_MELANOGENESIS | 6.04e-02 | 5.26 | 0.61 | 6.24e-01 | 1.00e+00 | 2GNAS, CALM2 |
101 |
KEGG_OOCYTE_MEIOSIS | 7.33e-02 | 4.69 | 0.55 | 7.13e-01 | 1.00e+00 | 2CALM2, YWHAQ |
113 |
KEGG_LEUKOCYTE_TRANSENDOTHELIAL_MIGRATION | 7.67e-02 | 4.57 | 0.53 | 7.13e-01 | 1.00e+00 | 2PIK3R1, ACTN2 |
116 |
Dowload full table
CHR Positional Gene Sets:
P-value | OR | Lower 95% CI | FDR | FWER | Genes Found | Gene Set Size | |
---|---|---|---|---|---|---|---|
chr15q22 | 1.28e-02 | 6.59 | 1.29 | 1.00e+00 | 1.00e+00 | 3ANXA2, TLN2, TPM1 |
124 |
chr12q13 | 1.99e-02 | 3.46 | 1.06 | 1.00e+00 | 1.00e+00 | 5TUBA1A, PPP1R1A, FAIM2, NACA, DCTN2 |
407 |
chr2p21 | 3.99e-02 | 6.67 | 0.77 | 1.00e+00 | 1.00e+00 | 2CALM2, COX7A2L |
80 |
chr6p25 | 4.17e-02 | 6.51 | 0.75 | 1.00e+00 | 1.00e+00 | 2TUBB2A, TUBB2B |
82 |
chr20q13 | 6.68e-01 | 1.31 | 0.15 | 1.00e+00 | 1.00e+00 | 2GNAS, PPDPF |
400 |
chr11q13 | 6.78e-01 | 1.24 | 0.15 | 1.00e+00 | 1.00e+00 | 2PHOX2A, PGM2L1 |
421 |
chr8p22 | 1.64e-01 | 5.80 | 0.14 | 1.00e+00 | 1.00e+00 | 1DLC1 |
45 |
chr15q14 | 2.00e-01 | 4.64 | 0.11 | 1.00e+00 | 1.00e+00 | 1MEIS2 |
56 |
chr3q23 | 2.00e-01 | 4.64 | 0.11 | 1.00e+00 | 1.00e+00 | 1RBP1 |
56 |
chr12q12 | 2.06e-01 | 4.47 | 0.11 | 1.00e+00 | 1.00e+00 | 1CNTN1 |
58 |
chr1q43 | 2.13e-01 | 4.32 | 0.11 | 1.00e+00 | 1.00e+00 | 1ACTN2 |
60 |
chr7q35 | 2.28e-01 | 3.99 | 0.10 | 1.00e+00 | 1.00e+00 | 1CNTNAP2 |
65 |
chr5q11 | 2.87e-01 | 3.04 | 0.07 | 1.00e+00 | 1.00e+00 | 1RAB3C |
85 |
chr15q13 | 2.93e-01 | 2.97 | 0.07 | 1.00e+00 | 1.00e+00 | 1SCG5 |
87 |
chr8p11 | 3.15e-01 | 2.71 | 0.07 | 1.00e+00 | 1.00e+00 | 1SFRP1 |
95 |
chr2p22 | 3.23e-01 | 2.63 | 0.06 | 1.00e+00 | 1.00e+00 | 1QPCT |
98 |
chr20p12 | 3.39e-01 | 2.48 | 0.06 | 1.00e+00 | 1.00e+00 | 1CHGB |
104 |
chr6q23 | 3.44e-01 | 2.43 | 0.06 | 1.00e+00 | 1.00e+00 | 1MAP7 |
106 |
chr2p25 | 3.72e-01 | 2.20 | 0.05 | 1.00e+00 | 1.00e+00 | 1YWHAQ |
117 |
chr6q22 | 3.77e-01 | 2.16 | 0.05 | 1.00e+00 | 1.00e+00 | 1NCOA7 |
119 |
Dowload full table
Transcription Factor Targets:
P-value | OR | Lower 95% CI | FDR | FWER | Genes Found | Gene Set Size | |
---|---|---|---|---|---|---|---|
E4BP4_01 | 1.73e-03 | 6.37 | 1.95 | 1.00e+00 | 1.00e+00 | 5TUBA1A, FAIM2, CALM2, PIK3R1, RAB3C |
223 |
CREBP1_Q2 | 3.33e-03 | 5.45 | 1.67 | 1.00e+00 | 1.00e+00 | 5GNAS, TH, CALM2, CHGB, MAP1LC3A |
260 |
CREB_01 | 3.79e-03 | 5.28 | 1.62 | 1.00e+00 | 1.00e+00 | 5TH, CALM2, TUBB2B, CHGB, MAP1LC3A |
268 |
ATF_B | 6.59e-03 | 5.81 | 1.50 | 1.00e+00 | 1.00e+00 | 4TH, CALM2, CHGB, MAP1LC3A |
191 |
ZNF418_TARGET_GENES | 1.26e-02 | 12.69 | 1.45 | 1.00e+00 | 1.00e+00 | 2NCOA7, ANXA2 |
43 |
CATTGTYY_SOX9_B1 | 1.35e-02 | 3.83 | 1.18 | 1.00e+00 | 1.00e+00 | 5TUBA1A, DLC1, SFRP1, TUBB2B, YWHAQ |
368 |
CEBPDELTA_Q6 | 1.56e-02 | 4.47 | 1.16 | 1.00e+00 | 1.00e+00 | 4GPR22, PIK3R1, CNTNAP2, DCTN2 |
247 |
TGACATY_UNKNOWN | 1.30e-02 | 3.04 | 1.15 | 1.00e+00 | 1.00e+00 | 7GPR22, MAP7, FAIM2, CALM2, PIK3R1, QPCT, MEIS2 |
676 |
ZNF423_TARGET_GENES | 1.43e-02 | 2.60 | 1.11 | 1.00e+00 | 1.00e+00 | 9NRCAM, DLC1, RBP1, TPM1, PIK3R1, CNTNAP2, QPCT, YWHAQ, DST |
1064 |
STAT6_02 | 1.84e-02 | 4.25 | 1.10 | 1.00e+00 | 1.00e+00 | 4DLC1, PGM2L1, DCTN2, MEIS2 |
260 |
TGAYRTCA_ATF3_Q6 | 1.75e-02 | 3.14 | 1.09 | 1.00e+00 | 1.00e+00 | 6GPR22, TH, FAIM2, CHGB, QPCT, MAP1LC3A |
549 |
GCM2_TARGET_GENES | 2.02e-02 | 2.23 | 1.09 | 1.00e+00 | 1.00e+00 | 13NCOA7, PCBD1, SCG5, MXRA7, TLN2, CALM2, TPM1, PIK3R1, RAB3C, NACA, PGM2L1, MEIS2, DST |
1980 |
HMGB2_TARGET_GENES | 1.86e-02 | 3.52 | 1.08 | 1.00e+00 | 1.00e+00 | 5DLC1, NCOA7, ANXA2, TPM1, COX7A2L |
400 |
PAX2_02 | 1.96e-02 | 4.16 | 1.08 | 1.00e+00 | 1.00e+00 | 4SLCO3A1, CALM2, MEIS2, PPDPF |
265 |
MYOD_01 | 2.05e-02 | 4.10 | 1.06 | 1.00e+00 | 1.00e+00 | 4GNAS, CALY, ALCAM, DST |
269 |
CREB_Q2 | 2.05e-02 | 4.10 | 1.06 | 1.00e+00 | 1.00e+00 | 4GNAS, CALM2, CHGB, MAP1LC3A |
269 |
SEF1_C | 2.37e-02 | 50.83 | 1.06 | 1.00e+00 | 1.00e+00 | 1MEIS2 |
6 |
CREB_Q4 | 2.13e-02 | 4.06 | 1.05 | 1.00e+00 | 1.00e+00 | 4GNAS, TUBB2B, CHGB, MAP1LC3A |
272 |
FOXH1_TARGET_GENES | 1.95e-02 | 2.60 | 1.05 | 1.00e+00 | 1.00e+00 | 8GNAS, DLC1, ANXA2, RAB3C, CNTNAP2, SHC1, MEIS2, DST |
924 |
HOXA10_TARGET_GENES | 2.15e-02 | 4.04 | 1.05 | 1.00e+00 | 1.00e+00 | 4ANXA2, TUBB2B, NACA, COX7A2L |
273 |
Dowload full table
GO Biological Processes:
P-value | OR | Lower 95% CI | FDR | FWER | Genes Found | Gene Set Size | |
---|---|---|---|---|---|---|---|
GOBP_NOREPINEPHRINE_BIOSYNTHETIC_PROCESS | 3.22e-04 | 103.49 | 9.64 | 3.01e-01 | 1.00e+00 | 2TH, DBH |
7 |
GOBP_POSITIVE_REGULATION_OF_VESICLE_FUSION | 6.85e-04 | 64.86 | 6.55 | 3.58e-01 | 1.00e+00 | 2ANXA2, SYT1 |
10 |
GOBP_NEURONAL_ION_CHANNEL_CLUSTERING | 8.35e-04 | 57.69 | 5.91 | 3.58e-01 | 1.00e+00 | 2NRCAM, CNTNAP2 |
11 |
GOBP_DETECTION_OF_CALCIUM_ION | 1.18e-03 | 47.19 | 4.96 | 4.20e-01 | 1.00e+00 | 2CALM2, SYT1 |
13 |
GOBP_NOREPINEPHRINE_METABOLIC_PROCESS | 1.18e-03 | 47.19 | 4.96 | 4.20e-01 | 1.00e+00 | 2TH, DBH |
13 |
GOBP_CELL_SUBSTRATE_JUNCTION_ORGANIZATION | 5.89e-05 | 13.75 | 4.17 | 2.10e-01 | 4.40e-01 | 5DLC1, SFRP1, PIK3R1, ACTN2, DST |
106 |
GOBP_NEUROTRANSMITTER_BIOSYNTHETIC_PROCESS | 2.28e-03 | 32.49 | 3.53 | 6.23e-01 | 1.00e+00 | 2TH, DBH |
18 |
GOBP_MIDBRAIN_DEVELOPMENT | 3.63e-04 | 13.24 | 3.39 | 3.02e-01 | 1.00e+00 | 4PHOX2A, CALM2, SFRP1, YWHAQ |
86 |
GOBP_CATECHOL_CONTAINING_COMPOUND_BIOSYNTHETIC_PROCESS | 2.81e-03 | 28.89 | 3.17 | 6.79e-01 | 1.00e+00 | 2TH, DBH |
20 |
GOBP_OSTEOCLAST_DIFFERENTIATION | 4.68e-04 | 12.34 | 3.16 | 3.20e-01 | 1.00e+00 | 4GNAS, ANXA2, SFRP1, PIK3R1 |
92 |
GOBP_RETROGRADE_AXONAL_TRANSPORT | 3.10e-03 | 27.37 | 3.01 | 7.03e-01 | 1.00e+00 | 2CALY, DST |
21 |
GOBP_REGULATION_OF_ACTOMYOSIN_STRUCTURE_ORGANIZATION | 5.94e-04 | 11.56 | 2.96 | 3.58e-01 | 1.00e+00 | 4DLC1, SFRP1, TPM1, PIK3R1 |
98 |
GOBP_REGULATION_OF_ACTIN_FILAMENT_BUNDLE_ASSEMBLY | 6.90e-04 | 11.09 | 2.84 | 3.58e-01 | 1.00e+00 | 4DLC1, SFRP1, TPM1, PIK3R1 |
102 |
GOBP_STRESS_FIBER_ASSEMBLY | 7.42e-04 | 10.86 | 2.79 | 3.58e-01 | 1.00e+00 | 4DLC1, SFRP1, TPM1, PIK3R1 |
104 |
GOBP_NEURAL_NUCLEUS_DEVELOPMENT | 1.71e-03 | 13.99 | 2.71 | 5.34e-01 | 1.00e+00 | 3PHOX2A, CALM2, YWHAQ |
60 |
GOBP_REGULATION_OF_VESICLE_FUSION | 4.05e-03 | 23.65 | 2.62 | 8.30e-01 | 1.00e+00 | 2ANXA2, SYT1 |
24 |
GOBP_REGULATION_OF_OSTEOCLAST_DIFFERENTIATION | 1.97e-03 | 13.28 | 2.58 | 5.89e-01 | 1.00e+00 | 3GNAS, SFRP1, PIK3R1 |
63 |
GOBP_REGULATION_OF_CELL_SUBSTRATE_JUNCTION_ORGANIZATION | 2.55e-03 | 12.08 | 2.35 | 6.43e-01 | 1.00e+00 | 3DLC1, SFRP1, PIK3R1 |
69 |
GOBP_NEGATIVE_REGULATION_OF_OSTEOCLAST_DIFFERENTIATION | 5.10e-03 | 20.80 | 2.32 | 8.88e-01 | 1.00e+00 | 2SFRP1, PIK3R1 |
27 |
GOBP_CELL_JUNCTION_ASSEMBLY | 1.99e-04 | 5.71 | 2.30 | 2.68e-01 | 1.00e+00 | 8NRCAM, DLC1, CD9, TLN2, SFRP1, ACTN2, PCLO, DST |
425 |
Dowload full table
Immunological Gene Sets:
P-value | OR | Lower 95% CI | FDR | FWER | Genes Found | Gene Set Size | |
---|---|---|---|---|---|---|---|
GSE2405_HEAT_KILLED_LYSATE_VS_LIVE_A_PHAGOCYTOPHILUM_STIM_NEUTROPHIL_24H_UP | 1.24e-04 | 8.78 | 3.02 | 3.01e-01 | 6.03e-01 | 6SCG5, ANXA2, RBP1, SFRP1, ALCAM, MAP1LC3A |
200 |
GSE42021_CD24HI_VS_CD24INT_TREG_THYMUS_UP | 1.24e-04 | 8.78 | 3.02 | 3.01e-01 | 6.03e-01 | 6CNTN1, TUBA1A, NRCAM, MXRA7, ALCAM, COX7A2L |
200 |
GSE9650_EFFECTOR_VS_MEMORY_CD8_TCELL_UP | 1.06e-03 | 7.16 | 2.19 | 5.84e-01 | 1.00e+00 | 5GNAS, ANXA2, CD9, ALCAM, SRP14 |
199 |
GSE6674_ANTI_IGM_VS_ANTI_IGM_AND_CPG_STIM_BCELL_UP | 1.06e-03 | 7.16 | 2.19 | 5.84e-01 | 1.00e+00 | 5TUBA1A, TUBB2A, CD9, TUBB2B, PGM2L1 |
199 |
GSE21546_UNSTIM_VS_ANTI_CD3_STIM_DP_THYMOCYTES_UP | 1.06e-03 | 7.16 | 2.19 | 5.84e-01 | 1.00e+00 | 5TUBB2A, NCOA7, ANXA2, SYT1, PGM2L1 |
199 |
GOLDRATH_NAIVE_VS_MEMORY_CD8_TCELL_UP | 1.08e-03 | 7.12 | 2.18 | 5.84e-01 | 1.00e+00 | 5RAMP1, TUBA1A, MAP7, ACTN2, PPDPF |
200 |
GSE15930_STIM_VS_STIM_AND_IFNAB_48H_CD8_T_CELL_UP | 1.08e-03 | 7.12 | 2.18 | 5.84e-01 | 1.00e+00 | 5CD9, PIK3R1, PCLO, COX7A2L, PPDPF |
200 |
GSE29164_CD8_TCELL_VS_CD8_TCELL_AND_IL12_TREATED_MELANOMA_DAY3_DN | 1.08e-03 | 7.12 | 2.18 | 5.84e-01 | 1.00e+00 | 5TUBA1A, TUBB2A, SCG5, MAP7, CD9 |
200 |
GSE33424_CD161_HIGH_VS_INT_CD8_TCELL_DN | 1.08e-03 | 7.12 | 2.18 | 5.84e-01 | 1.00e+00 | 5RAMP1, TUBA1A, ANXA2, CD9, ACTN2 |
200 |
GSE40274_CTRL_VS_FOXP3_AND_GATA1_TRANSDUCED_ACTIVATED_CD4_TCELL_UP | 2.26e-03 | 7.93 | 2.05 | 7.66e-01 | 1.00e+00 | 4RAMP1, ANXA2, TUBB2B, ALCAM |
141 |
GSE9601_UNTREATED_VS_NFKB_INHIBITOR_TREATED_HCMV_INF_MONOCYTE_UP | 3.96e-03 | 6.75 | 1.74 | 7.66e-01 | 1.00e+00 | 4TUBB2A, NCOA7, ANXA2, TUBB2B |
165 |
GSE3565_CTRL_VS_LPS_INJECTED_SPLENOCYTES_UP | 5.16e-03 | 6.25 | 1.62 | 7.66e-01 | 1.00e+00 | 4ANXA2, SLCO3A1, CALM2, ALCAM |
178 |
GSE17974_IL4_AND_ANTI_IL12_VS_UNTREATED_48H_ACT_CD4_TCELL_DN | 7.20e-03 | 5.66 | 1.47 | 7.66e-01 | 1.00e+00 | 4ANXA2, RBP1, ALCAM, MAP1LC3A |
196 |
GSE22886_IL2_VS_IL15_STIM_NKCELL_UP | 7.20e-03 | 5.66 | 1.47 | 7.66e-01 | 1.00e+00 | 4SCG5, TLN2, SFRP1, CHGB |
196 |
GSE360_L_MAJOR_VS_M_TUBERCULOSIS_MAC_UP | 7.20e-03 | 5.66 | 1.47 | 7.66e-01 | 1.00e+00 | 4TH, TLN2, DBH, SHC1 |
196 |
GSE20151_CTRL_VS_FUSOBACT_NUCLEATUM_NEUTROPHIL_UP | 7.32e-03 | 5.63 | 1.46 | 7.66e-01 | 1.00e+00 | 4GPR22, PCBD1, MAP7, ALCAM |
197 |
GSE9006_TYPE_1_DIABETES_AT_DX_VS_1MONTH_POST_DX_PBMC_DN | 7.32e-03 | 5.63 | 1.46 | 7.66e-01 | 1.00e+00 | 4NRCAM, ANXA2, DCTN2, DST |
197 |
GSE42088_UNINF_VS_LEISHMANIA_INF_DC_8H_DN | 7.32e-03 | 5.63 | 1.46 | 7.66e-01 | 1.00e+00 | 4SYT1, PCLO, MEIS2, DST |
197 |
GSE3982_MAST_CELL_VS_TH2_UP | 7.45e-03 | 5.60 | 1.45 | 7.66e-01 | 1.00e+00 | 4TUBB2A, FAIM2, TPM1, MEIS2 |
198 |
GSE3982_MAC_VS_TH1_UP | 7.45e-03 | 5.60 | 1.45 | 7.66e-01 | 1.00e+00 | 4TUBA1A, TUBB2A, SCG5, TLN2 |
198 |
Top Ranked Transcription Factors for this Gene Expression Program:
Gene Symbol | TF Rank | DNA Binding Domain | Motif Status | IUPAC PWM | GTEx | DepMap | Decartes |
---|---|---|---|---|---|---|---|
PHOX2A | 10 | Yes | Known motif | Monomer or homomultimer | High-throughput in vitro | None | None |
NCOA7 | 11 | No | Unlikely to be sequence specific TF | Not a DNA binding protein | No motif | None | Known co-activator; included only because TF-cat documents this |
PCBD1 | 12 | No | Unlikely to be sequence specific TF | Not a DNA binding protein | No motif | None | Coactivator for HNF1A-dependent transcription. Regulates the dimerization of homeodomain protein HNF1A and enhances its transcriptional activity (UniProt: P61457) |
EID1 | 24 | No | Unlikely to be sequence specific TF | Not a DNA binding protein | No motif | None | None |
MEIS2 | 47 | Yes | Known motif | Monomer or homomultimer | High-throughput in vitro | None | None |
CREB5 | 53 | Yes | Known motif | Monomer or homomultimer | High-throughput in vitro | None | None |
TSHZ2 | 58 | Yes | Likely to be sequence specific TF | Monomer or homomultimer | No motif | None | Also contains an atypical homodomain (Uniprot) not identified by Pfam. |
NTRK1 | 76 | No | Unlikely to be sequence specific TF | Not a DNA binding protein | No motif | None | Membrane bound receptor protein |
HOXC9 | 81 | Yes | Known motif | Monomer or homomultimer | High-throughput in vitro | None | None |
EPAS1 | 101 | Yes | Known motif | Monomer or homomultimer | In vivo/Misc source | Only known motifs are from Transfac or HocoMoco - origin is uncertain | None |
BAZ2B | 103 | Yes | Likely to be sequence specific TF | Low specificity DNA-binding protein | No motif | Has a putative AT-hook | None |
NFATC4 | 118 | Yes | Known motif | Monomer or homomultimer | High-throughput in vitro | None | None |
HAND2 | 125 | Yes | Known motif | Monomer or homomultimer | High-throughput in vitro | None | None |
TFAP2B | 128 | Yes | Known motif | Monomer or homomultimer | High-throughput in vitro | None | None |
FOXO3 | 155 | Yes | Known motif | Monomer or homomultimer | High-throughput in vitro | None | None |
CLU | 159 | No | Unlikely to be sequence specific TF | Not a DNA binding protein | No motif | None | Included only because GO says positive regulation of NF-kappaB transcription factor activity, but there is no DBD and no evidence of DNA binding. |
COMMD1 | 163 | No | Unlikely to be sequence specific TF | Not a DNA binding protein | No motif | None | None |
ZC3H13 | 180 | No | ssDNA/RNA binding | Not a DNA binding protein | No motif | None | None |
SSB | 184 | No | ssDNA/RNA binding | Not a DNA binding protein | No motif | None | Binds to the 3 poly(U) terminus of nascent RNA polymerase III transcripts, protecting them from exonuclease digestion and facilitating their folding and maturation (PMID: 3192525; PMID: 2470590] |
MAML3 | 188 | No | Unlikely to be sequence specific TF | Not a DNA binding protein | No motif | None | None |
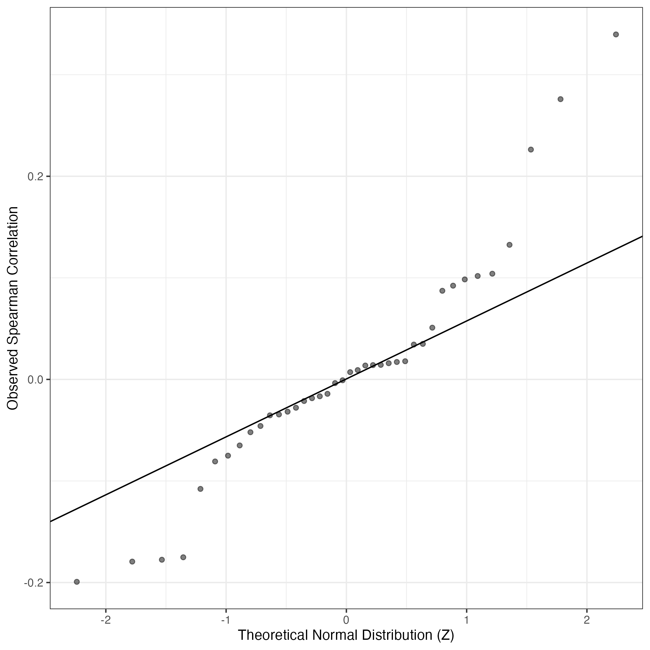
QQ Plot showing correlations with other GEPs in this dataset, calculated by Spearman correlation:
Interactive QQ-plot of gene loadings:
A similar QQ-plot as above, but only for instances where the H value is e.g. > 25, i.e. we are confident that the expression program is active above noise. Agreemenet between these binary vectors is tested using the Jaccard Index, with the P-values calculated by an exact test:
Interactive QQ-plot:
Singler cell type annotations for the top 50 cells on this program.
Cell ID | Singler label | Singler Delta | Activity Score | Top Singler Raw Scores |
---|---|---|---|---|
T175_CGCATAAGTCTGTGCG-1 | Neurons:adrenal_medulla_cell_line | 0.19 | 613.28 | Raw ScoresNeurons:adrenal_medulla_cell_line: 0.37, Astrocyte:Embryonic_stem_cell-derived: 0.3, Neuroepithelial_cell:ESC-derived: 0.3, Neurons:ES_cell-derived_neural_precursor: 0.26, iPS_cells:CRL2097_foreskin-derived:undiff.: 0.26, iPS_cells:PDB_1lox-17Puro-5: 0.26, iPS_cells:PDB_1lox-21Puro-20: 0.26, iPS_cells:PDB_2lox-5: 0.26, iPS_cells:PDB_1lox-17Puro-10: 0.26, Embryonic_stem_cells: 0.26 |
T175_CGATCGGGTTGCGGCT-1 | Neurons:adrenal_medulla_cell_line | 0.15 | 597.05 | Raw ScoresNeurons:adrenal_medulla_cell_line: 0.33, Neuroepithelial_cell:ESC-derived: 0.28, Astrocyte:Embryonic_stem_cell-derived: 0.27, iPS_cells:CRL2097_foreskin-derived:undiff.: 0.26, iPS_cells:PDB_1lox-17Puro-5: 0.26, iPS_cells:PDB_1lox-21Puro-20: 0.26, iPS_cells:PDB_1lox-17Puro-10: 0.26, iPS_cells:PDB_1lox-21Puro-26: 0.26, iPS_cells:PDB_2lox-22: 0.26, iPS_cells:PDB_2lox-21: 0.25 |
T175_CTTCCTTTCAGTGTCA-1 | Neurons:adrenal_medulla_cell_line | 0.19 | 529.49 | Raw ScoresNeurons:adrenal_medulla_cell_line: 0.39, Neuroepithelial_cell:ESC-derived: 0.32, Astrocyte:Embryonic_stem_cell-derived: 0.32, iPS_cells:PDB_1lox-21Puro-20: 0.28, iPS_cells:PDB_1lox-17Puro-10: 0.28, iPS_cells:PDB_1lox-17Puro-5: 0.28, Neurons:ES_cell-derived_neural_precursor: 0.28, Embryonic_stem_cells: 0.28, iPS_cells:PDB_1lox-21Puro-26: 0.28, iPS_cells:CRL2097_foreskin-derived:undiff.: 0.28 |
T175_AGGGCTCTCAAGCCCG-1 | Neurons:adrenal_medulla_cell_line | 0.15 | 499.39 | Raw ScoresNeurons:adrenal_medulla_cell_line: 0.33, Astrocyte:Embryonic_stem_cell-derived: 0.28, Neuroepithelial_cell:ESC-derived: 0.28, iPS_cells:CRL2097_foreskin-derived:undiff.: 0.25, iPS_cells:PDB_1lox-17Puro-5: 0.25, Embryonic_stem_cells: 0.25, iPS_cells:PDB_2lox-22: 0.25, iPS_cells:PDB_1lox-21Puro-20: 0.25, iPS_cells:PDB_2lox-5: 0.25, iPS_cells:PDB_2lox-21: 0.25 |
T175_ACCTGAATCCAGCTCT-1 | Neurons:adrenal_medulla_cell_line | 0.17 | 488.73 | Raw ScoresNeurons:adrenal_medulla_cell_line: 0.36, Neuroepithelial_cell:ESC-derived: 0.31, Astrocyte:Embryonic_stem_cell-derived: 0.3, iPS_cells:PDB_1lox-21Puro-20: 0.28, iPS_cells:PDB_1lox-17Puro-10: 0.27, Embryonic_stem_cells: 0.27, iPS_cells:PDB_1lox-21Puro-26: 0.27, iPS_cells:PDB_1lox-17Puro-5: 0.27, Neurons:ES_cell-derived_neural_precursor: 0.27, iPS_cells:PDB_2lox-22: 0.27 |
T188_ACAGCCGAGGGAGGAC-1 | Neurons:adrenal_medulla_cell_line | 0.17 | 480.00 | Raw ScoresNeurons:adrenal_medulla_cell_line: 0.36, Neuroepithelial_cell:ESC-derived: 0.31, Astrocyte:Embryonic_stem_cell-derived: 0.31, iPS_cells:CRL2097_foreskin-derived:undiff.: 0.29, iPS_cells:PDB_1lox-21Puro-20: 0.28, iPS_cells:PDB_2lox-22: 0.28, iPS_cells:PDB_1lox-17Puro-5: 0.28, iPS_cells:PDB_1lox-17Puro-10: 0.28, iPS_cells:PDB_1lox-21Puro-26: 0.28, iPS_cells:PDB_2lox-21: 0.28 |
T175_TGTCAGAAGGACAGCT-1 | Neurons:adrenal_medulla_cell_line | 0.19 | 471.46 | Raw ScoresNeurons:adrenal_medulla_cell_line: 0.37, Neuroepithelial_cell:ESC-derived: 0.3, Astrocyte:Embryonic_stem_cell-derived: 0.29, iPS_cells:PDB_1lox-21Puro-20: 0.27, iPS_cells:PDB_1lox-17Puro-10: 0.27, iPS_cells:PDB_1lox-21Puro-26: 0.27, iPS_cells:PDB_1lox-17Puro-5: 0.27, iPS_cells:PDB_2lox-22: 0.27, iPS_cells:CRL2097_foreskin-derived:undiff.: 0.27, iPS_cells:PDB_2lox-17: 0.27 |
T175_GGCAGTCTCGTTACCC-1 | Neurons:adrenal_medulla_cell_line | 0.17 | 471.05 | Raw ScoresNeurons:adrenal_medulla_cell_line: 0.36, Neuroepithelial_cell:ESC-derived: 0.29, Astrocyte:Embryonic_stem_cell-derived: 0.29, iPS_cells:PDB_1lox-21Puro-20: 0.27, iPS_cells:PDB_2lox-17: 0.27, iPS_cells:CRL2097_foreskin-derived:undiff.: 0.27, iPS_cells:PDB_2lox-22: 0.27, iPS_cells:PDB_2lox-5: 0.27, iPS_cells:PDB_1lox-17Puro-5: 0.26, iPS_cells:PDB_2lox-21: 0.26 |
T175_AAACGAAGTCGCTGCA-1 | Neurons:adrenal_medulla_cell_line | 0.15 | 470.27 | Raw ScoresNeurons:adrenal_medulla_cell_line: 0.32, Neuroepithelial_cell:ESC-derived: 0.26, Astrocyte:Embryonic_stem_cell-derived: 0.24, iPS_cells:CRL2097_foreskin-derived:undiff.: 0.24, iPS_cells:PDB_1lox-17Puro-5: 0.24, iPS_cells:PDB_2lox-22: 0.24, iPS_cells:PDB_1lox-21Puro-20: 0.24, iPS_cells:PDB_2lox-21: 0.24, iPS_cells:PDB_1lox-21Puro-26: 0.24, Embryonic_stem_cells: 0.24 |
T175_GTATTTCGTCAGTTTG-1 | Neurons:adrenal_medulla_cell_line | 0.16 | 461.76 | Raw ScoresNeurons:adrenal_medulla_cell_line: 0.36, Neuroepithelial_cell:ESC-derived: 0.31, Astrocyte:Embryonic_stem_cell-derived: 0.3, iPS_cells:PDB_1lox-17Puro-5: 0.28, iPS_cells:PDB_1lox-17Puro-10: 0.28, iPS_cells:PDB_1lox-21Puro-20: 0.28, Neurons:ES_cell-derived_neural_precursor: 0.28, iPS_cells:PDB_1lox-21Puro-26: 0.28, Embryonic_stem_cells: 0.28, iPS_cells:CRL2097_foreskin-derived:undiff.: 0.27 |
T175_TGCATCCTCATTGCTT-1 | Neurons:adrenal_medulla_cell_line | 0.18 | 450.17 | Raw ScoresNeurons:adrenal_medulla_cell_line: 0.35, Neuroepithelial_cell:ESC-derived: 0.3, Astrocyte:Embryonic_stem_cell-derived: 0.29, iPS_cells:PDB_1lox-21Puro-20: 0.27, iPS_cells:PDB_1lox-17Puro-10: 0.27, iPS_cells:PDB_1lox-17Puro-5: 0.27, iPS_cells:PDB_1lox-21Puro-26: 0.27, iPS_cells:PDB_2lox-22: 0.27, iPS_cells:PDB_2lox-21: 0.26, Embryonic_stem_cells: 0.26 |
T188_GTCCACTGTCCAGCGT-1 | Neurons:adrenal_medulla_cell_line | 0.17 | 430.93 | Raw ScoresNeurons:adrenal_medulla_cell_line: 0.36, Neuroepithelial_cell:ESC-derived: 0.29, Astrocyte:Embryonic_stem_cell-derived: 0.28, iPS_cells:CRL2097_foreskin-derived:undiff.: 0.27, iPS_cells:PDB_2lox-22: 0.27, iPS_cells:PDB_1lox-21Puro-20: 0.26, iPS_cells:PDB_1lox-17Puro-5: 0.26, iPS_cells:PDB_1lox-17Puro-10: 0.26, iPS_cells:PDB_2lox-17: 0.26, iPS_cells:PDB_1lox-21Puro-26: 0.26 |
T175_TCACGGGAGATGTTGA-1 | Neurons:adrenal_medulla_cell_line | 0.17 | 417.53 | Raw ScoresNeurons:adrenal_medulla_cell_line: 0.37, Neuroepithelial_cell:ESC-derived: 0.29, Astrocyte:Embryonic_stem_cell-derived: 0.29, iPS_cells:CRL2097_foreskin-derived:undiff.: 0.27, iPS_cells:PDB_1lox-21Puro-20: 0.27, iPS_cells:PDB_1lox-17Puro-10: 0.26, iPS_cells:PDB_2lox-22: 0.26, iPS_cells:PDB_1lox-21Puro-26: 0.26, iPS_cells:PDB_1lox-17Puro-5: 0.26, iPS_cells:PDB_2lox-21: 0.26 |
T175_ATATCCTAGTACAACA-1 | Neurons:adrenal_medulla_cell_line | 0.18 | 415.53 | Raw ScoresNeurons:adrenal_medulla_cell_line: 0.35, Astrocyte:Embryonic_stem_cell-derived: 0.29, Neuroepithelial_cell:ESC-derived: 0.28, Neurons:ES_cell-derived_neural_precursor: 0.26, iPS_cells:PDB_1lox-21Puro-20: 0.26, iPS_cells:PDB_1lox-17Puro-10: 0.25, iPS_cells:PDB_1lox-21Puro-26: 0.25, iPS_cells:PDB_1lox-17Puro-5: 0.25, iPS_cells:PDB_2lox-22: 0.25, iPS_cells:PDB_2lox-21: 0.25 |
T175_CTGTAGATCCTGCTAC-1 | Neurons:adrenal_medulla_cell_line | 0.16 | 414.60 | Raw ScoresNeurons:adrenal_medulla_cell_line: 0.33, Neuroepithelial_cell:ESC-derived: 0.27, Astrocyte:Embryonic_stem_cell-derived: 0.26, iPS_cells:PDB_1lox-21Puro-20: 0.25, iPS_cells:PDB_1lox-17Puro-5: 0.25, iPS_cells:PDB_1lox-17Puro-10: 0.25, iPS_cells:PDB_2lox-22: 0.25, iPS_cells:PDB_2lox-21: 0.24, iPS_cells:CRL2097_foreskin-derived:undiff.: 0.24, iPS_cells:PDB_2lox-17: 0.24 |
T175_TCCATCGCAACGACAG-1 | Neurons:adrenal_medulla_cell_line | 0.18 | 414.11 | Raw ScoresNeurons:adrenal_medulla_cell_line: 0.33, Astrocyte:Embryonic_stem_cell-derived: 0.27, Neuroepithelial_cell:ESC-derived: 0.27, Neurons:ES_cell-derived_neural_precursor: 0.24, iPS_cells:PDB_1lox-21Puro-20: 0.24, iPS_cells:PDB_1lox-17Puro-10: 0.23, iPS_cells:PDB_1lox-17Puro-5: 0.23, iPS_cells:PDB_1lox-21Puro-26: 0.23, iPS_cells:CRL2097_foreskin-derived:undiff.: 0.23, iPS_cells:PDB_2lox-22: 0.23 |
T175_ATTTCACGTCACTCGG-1 | Neurons:adrenal_medulla_cell_line | 0.17 | 411.28 | Raw ScoresNeurons:adrenal_medulla_cell_line: 0.34, Neuroepithelial_cell:ESC-derived: 0.29, Astrocyte:Embryonic_stem_cell-derived: 0.28, iPS_cells:PDB_1lox-17Puro-10: 0.26, iPS_cells:PDB_1lox-21Puro-20: 0.26, iPS_cells:PDB_1lox-21Puro-26: 0.26, iPS_cells:PDB_1lox-17Puro-5: 0.26, iPS_cells:CRL2097_foreskin-derived:undiff.: 0.26, iPS_cells:PDB_2lox-22: 0.26, iPS_cells:PDB_2lox-17: 0.26 |
T188_GACTTCCCAAAGGCGT-1 | Neurons:adrenal_medulla_cell_line | 0.18 | 407.29 | Raw ScoresNeurons:adrenal_medulla_cell_line: 0.35, Neuroepithelial_cell:ESC-derived: 0.29, Astrocyte:Embryonic_stem_cell-derived: 0.28, Neurons:ES_cell-derived_neural_precursor: 0.26, iPS_cells:CRL2097_foreskin-derived:undiff.: 0.25, iPS_cells:PDB_1lox-21Puro-20: 0.25, iPS_cells:PDB_1lox-17Puro-5: 0.25, Embryonic_stem_cells: 0.25, iPS_cells:PDB_1lox-17Puro-10: 0.25, iPS_cells:PDB_1lox-21Puro-26: 0.25 |
T175_CTCTCGACACGACGCT-1 | Neurons:adrenal_medulla_cell_line | 0.16 | 404.99 | Raw ScoresNeurons:adrenal_medulla_cell_line: 0.34, Neuroepithelial_cell:ESC-derived: 0.29, Astrocyte:Embryonic_stem_cell-derived: 0.28, iPS_cells:PDB_1lox-17Puro-10: 0.26, iPS_cells:PDB_1lox-21Puro-20: 0.25, iPS_cells:PDB_1lox-17Puro-5: 0.25, Neurons:ES_cell-derived_neural_precursor: 0.25, iPS_cells:CRL2097_foreskin-derived:undiff.: 0.25, iPS_cells:PDB_1lox-21Puro-26: 0.25, iPS_cells:PDB_2lox-22: 0.25 |
T175_AGATGCTCATCACGGC-1 | Neurons:adrenal_medulla_cell_line | 0.16 | 403.63 | Raw ScoresNeurons:adrenal_medulla_cell_line: 0.33, Neuroepithelial_cell:ESC-derived: 0.28, Astrocyte:Embryonic_stem_cell-derived: 0.27, Neurons:ES_cell-derived_neural_precursor: 0.25, iPS_cells:CRL2097_foreskin-derived:undiff.: 0.25, iPS_cells:PDB_1lox-21Puro-20: 0.25, iPS_cells:PDB_1lox-21Puro-26: 0.25, iPS_cells:PDB_2lox-5: 0.25, iPS_cells:PDB_1lox-17Puro-5: 0.25, iPS_cells:PDB_1lox-17Puro-10: 0.25 |
T175_AGGTTACCACATTACG-1 | Neurons:adrenal_medulla_cell_line | 0.17 | 403.43 | Raw ScoresNeurons:adrenal_medulla_cell_line: 0.33, Astrocyte:Embryonic_stem_cell-derived: 0.27, Neuroepithelial_cell:ESC-derived: 0.27, iPS_cells:PDB_1lox-21Puro-20: 0.24, iPS_cells:CRL2097_foreskin-derived:undiff.: 0.24, iPS_cells:PDB_1lox-17Puro-10: 0.24, iPS_cells:PDB_2lox-21: 0.24, iPS_cells:PDB_2lox-22: 0.24, iPS_cells:PDB_2lox-5: 0.24, iPS_cells:PDB_2lox-17: 0.24 |
T175_GTCATCCGTAGGACCA-1 | Neurons:adrenal_medulla_cell_line | 0.16 | 400.20 | Raw ScoresNeurons:adrenal_medulla_cell_line: 0.33, Neuroepithelial_cell:ESC-derived: 0.28, Astrocyte:Embryonic_stem_cell-derived: 0.27, iPS_cells:CRL2097_foreskin-derived:undiff.: 0.26, iPS_cells:PDB_1lox-17Puro-10: 0.25, iPS_cells:PDB_1lox-21Puro-20: 0.25, iPS_cells:PDB_1lox-17Puro-5: 0.25, iPS_cells:PDB_1lox-21Puro-26: 0.25, iPS_cells:PDB_2lox-21: 0.25, iPS_cells:PDB_2lox-17: 0.25 |
T175_AGATCCACAGACATCT-1 | Neurons:adrenal_medulla_cell_line | 0.18 | 398.36 | Raw ScoresNeurons:adrenal_medulla_cell_line: 0.34, Astrocyte:Embryonic_stem_cell-derived: 0.28, Neuroepithelial_cell:ESC-derived: 0.28, Neurons:ES_cell-derived_neural_precursor: 0.25, iPS_cells:PDB_1lox-21Puro-20: 0.25, iPS_cells:PDB_1lox-17Puro-10: 0.24, iPS_cells:PDB_1lox-21Puro-26: 0.24, iPS_cells:PDB_2lox-22: 0.24, iPS_cells:PDB_1lox-17Puro-5: 0.24, Embryonic_stem_cells: 0.24 |
T175_AAACGAATCTGATGGT-1 | Neurons:adrenal_medulla_cell_line | 0.18 | 395.67 | Raw ScoresNeurons:adrenal_medulla_cell_line: 0.38, Neuroepithelial_cell:ESC-derived: 0.32, Astrocyte:Embryonic_stem_cell-derived: 0.31, iPS_cells:PDB_1lox-21Puro-20: 0.28, iPS_cells:PDB_1lox-17Puro-5: 0.28, Neurons:ES_cell-derived_neural_precursor: 0.28, iPS_cells:PDB_1lox-17Puro-10: 0.28, iPS_cells:PDB_2lox-22: 0.28, iPS_cells:CRL2097_foreskin-derived:undiff.: 0.28, iPS_cells:PDB_1lox-21Puro-26: 0.28 |
T175_ACTATCTGTTTGCCGG-1 | Neurons:adrenal_medulla_cell_line | 0.17 | 392.83 | Raw ScoresNeurons:adrenal_medulla_cell_line: 0.34, Neuroepithelial_cell:ESC-derived: 0.28, Astrocyte:Embryonic_stem_cell-derived: 0.28, iPS_cells:PDB_1lox-21Puro-20: 0.26, iPS_cells:PDB_1lox-21Puro-26: 0.26, iPS_cells:PDB_1lox-17Puro-5: 0.26, iPS_cells:PDB_1lox-17Puro-10: 0.26, iPS_cells:PDB_2lox-21: 0.25, iPS_cells:PDB_2lox-22: 0.25, iPS_cells:CRL2097_foreskin-derived:undiff.: 0.25 |
T175_CTCCTTTTCCACTTTA-1 | Neurons:adrenal_medulla_cell_line | 0.16 | 390.11 | Raw ScoresNeurons:adrenal_medulla_cell_line: 0.32, Neuroepithelial_cell:ESC-derived: 0.26, Astrocyte:Embryonic_stem_cell-derived: 0.26, Neurons:ES_cell-derived_neural_precursor: 0.23, iPS_cells:PDB_1lox-17Puro-10: 0.23, iPS_cells:PDB_1lox-17Puro-5: 0.22, iPS_cells:PDB_1lox-21Puro-20: 0.22, iPS_cells:PDB_2lox-22: 0.22, iPS_cells:PDB_1lox-21Puro-26: 0.22, iPS_cells:CRL2097_foreskin-derived:undiff.: 0.22 |
T175_AGACAAAGTCTCTCCA-1 | Neurons:adrenal_medulla_cell_line | 0.17 | 384.16 | Raw ScoresNeurons:adrenal_medulla_cell_line: 0.32, Neuroepithelial_cell:ESC-derived: 0.26, Astrocyte:Embryonic_stem_cell-derived: 0.26, iPS_cells:PDB_1lox-17Puro-5: 0.23, iPS_cells:PDB_1lox-21Puro-20: 0.23, Neurons:ES_cell-derived_neural_precursor: 0.23, iPS_cells:PDB_1lox-17Puro-10: 0.23, iPS_cells:CRL2097_foreskin-derived:undiff.: 0.23, iPS_cells:PDB_1lox-21Puro-26: 0.23, Embryonic_stem_cells: 0.23 |
T175_TGAATGCCAAATACGA-1 | Neurons:adrenal_medulla_cell_line | 0.17 | 381.70 | Raw ScoresNeurons:adrenal_medulla_cell_line: 0.34, Astrocyte:Embryonic_stem_cell-derived: 0.29, Neuroepithelial_cell:ESC-derived: 0.29, iPS_cells:CRL2097_foreskin-derived:undiff.: 0.26, iPS_cells:PDB_1lox-21Puro-20: 0.26, iPS_cells:PDB_1lox-17Puro-5: 0.26, iPS_cells:PDB_1lox-17Puro-10: 0.26, iPS_cells:PDB_2lox-22: 0.26, iPS_cells:PDB_2lox-17: 0.26, iPS_cells:PDB_2lox-21: 0.25 |
T175_GTGAGTTAGCAACAGC-1 | Neurons:adrenal_medulla_cell_line | 0.16 | 379.91 | Raw ScoresNeurons:adrenal_medulla_cell_line: 0.33, Neuroepithelial_cell:ESC-derived: 0.28, Astrocyte:Embryonic_stem_cell-derived: 0.27, Neurons:ES_cell-derived_neural_precursor: 0.25, iPS_cells:PDB_1lox-17Puro-10: 0.24, iPS_cells:PDB_1lox-21Puro-20: 0.24, iPS_cells:PDB_1lox-17Puro-5: 0.24, Embryonic_stem_cells: 0.24, iPS_cells:PDB_1lox-21Puro-26: 0.24, iPS_cells:CRL2097_foreskin-derived:undiff.: 0.24 |
T175_AAATGGAGTCTAACTG-1 | Neurons:adrenal_medulla_cell_line | 0.15 | 378.29 | Raw ScoresNeurons:adrenal_medulla_cell_line: 0.33, Astrocyte:Embryonic_stem_cell-derived: 0.27, Neuroepithelial_cell:ESC-derived: 0.27, iPS_cells:PDB_1lox-17Puro-5: 0.25, iPS_cells:PDB_1lox-21Puro-20: 0.25, iPS_cells:PDB_1lox-17Puro-10: 0.25, iPS_cells:PDB_1lox-21Puro-26: 0.25, iPS_cells:PDB_2lox-22: 0.24, iPS_cells:CRL2097_foreskin-derived:undiff.: 0.24, iPS_cells:PDB_2lox-17: 0.24 |
T175_TGGTACACAAGCGATG-1 | Neurons:adrenal_medulla_cell_line | 0.18 | 374.43 | Raw ScoresNeurons:adrenal_medulla_cell_line: 0.34, Neuroepithelial_cell:ESC-derived: 0.28, Astrocyte:Embryonic_stem_cell-derived: 0.28, iPS_cells:PDB_1lox-21Puro-20: 0.25, iPS_cells:PDB_1lox-17Puro-10: 0.25, iPS_cells:PDB_1lox-21Puro-26: 0.25, iPS_cells:PDB_1lox-17Puro-5: 0.25, Neurons:ES_cell-derived_neural_precursor: 0.25, iPS_cells:PDB_2lox-5: 0.25, iPS_cells:PDB_2lox-22: 0.25 |
T175_TTCACGCCAAGCACAG-1 | Neurons:adrenal_medulla_cell_line | 0.19 | 374.16 | Raw ScoresNeurons:adrenal_medulla_cell_line: 0.32, Astrocyte:Embryonic_stem_cell-derived: 0.26, Neuroepithelial_cell:ESC-derived: 0.26, iPS_cells:PDB_1lox-17Puro-10: 0.23, iPS_cells:PDB_1lox-17Puro-5: 0.23, iPS_cells:PDB_1lox-21Puro-20: 0.23, iPS_cells:PDB_1lox-21Puro-26: 0.23, Neurons:ES_cell-derived_neural_precursor: 0.23, iPS_cells:CRL2097_foreskin-derived:undiff.: 0.23, iPS_cells:PDB_2lox-22: 0.23 |
T175_CAGCCAGTCGAATGCT-1 | Neurons:adrenal_medulla_cell_line | 0.17 | 373.33 | Raw ScoresNeurons:adrenal_medulla_cell_line: 0.34, Neuroepithelial_cell:ESC-derived: 0.28, Astrocyte:Embryonic_stem_cell-derived: 0.27, iPS_cells:PDB_1lox-21Puro-20: 0.25, iPS_cells:CRL2097_foreskin-derived:undiff.: 0.25, Neurons:ES_cell-derived_neural_precursor: 0.24, iPS_cells:PDB_2lox-22: 0.24, Embryonic_stem_cells: 0.24, iPS_cells:PDB_1lox-17Puro-10: 0.24, iPS_cells:PDB_1lox-17Puro-5: 0.24 |
T188_TGTGCGGTCGTAATGC-1 | Neurons:adrenal_medulla_cell_line | 0.19 | 369.51 | Raw ScoresNeurons:adrenal_medulla_cell_line: 0.38, Neuroepithelial_cell:ESC-derived: 0.32, Astrocyte:Embryonic_stem_cell-derived: 0.31, iPS_cells:PDB_1lox-17Puro-10: 0.28, Embryonic_stem_cells: 0.28, Neurons:ES_cell-derived_neural_precursor: 0.28, iPS_cells:PDB_1lox-17Puro-5: 0.28, iPS_cells:PDB_1lox-21Puro-20: 0.28, iPS_cells:CRL2097_foreskin-derived:undiff.: 0.28, iPS_cells:PDB_2lox-22: 0.28 |
T175_TGACTCCAGGCTAGCA-1 | Neurons:adrenal_medulla_cell_line | 0.16 | 367.73 | Raw ScoresNeurons:adrenal_medulla_cell_line: 0.3, Neuroepithelial_cell:ESC-derived: 0.26, Astrocyte:Embryonic_stem_cell-derived: 0.25, Neurons:ES_cell-derived_neural_precursor: 0.23, iPS_cells:PDB_1lox-21Puro-20: 0.23, iPS_cells:PDB_1lox-17Puro-10: 0.23, iPS_cells:PDB_1lox-17Puro-5: 0.23, iPS_cells:PDB_1lox-21Puro-26: 0.22, Embryonic_stem_cells: 0.22, iPS_cells:PDB_2lox-22: 0.22 |
T175_GGATCTAAGCTAAATG-1 | Neurons:adrenal_medulla_cell_line | 0.16 | 364.56 | Raw ScoresNeurons:adrenal_medulla_cell_line: 0.32, Astrocyte:Embryonic_stem_cell-derived: 0.27, Neuroepithelial_cell:ESC-derived: 0.26, iPS_cells:PDB_1lox-21Puro-20: 0.23, iPS_cells:PDB_1lox-17Puro-5: 0.23, Neurons:ES_cell-derived_neural_precursor: 0.23, Embryonic_stem_cells: 0.23, iPS_cells:PDB_1lox-21Puro-26: 0.23, iPS_cells:CRL2097_foreskin-derived:undiff.: 0.23, iPS_cells:PDB_1lox-17Puro-10: 0.23 |
T175_TCTCAGCCAACCACGC-1 | Neurons:adrenal_medulla_cell_line | 0.18 | 362.83 | Raw ScoresNeurons:adrenal_medulla_cell_line: 0.36, Neuroepithelial_cell:ESC-derived: 0.3, Astrocyte:Embryonic_stem_cell-derived: 0.3, Neurons:ES_cell-derived_neural_precursor: 0.26, iPS_cells:CRL2097_foreskin-derived:undiff.: 0.26, iPS_cells:PDB_1lox-17Puro-10: 0.26, iPS_cells:PDB_1lox-21Puro-20: 0.26, iPS_cells:PDB_1lox-17Puro-5: 0.26, iPS_cells:PDB_1lox-21Puro-26: 0.26, iPS_cells:PDB_2lox-22: 0.26 |
T175_CCTTTGGTCTCGCGTT-1 | Neurons:adrenal_medulla_cell_line | 0.18 | 362.46 | Raw ScoresNeurons:adrenal_medulla_cell_line: 0.37, Neuroepithelial_cell:ESC-derived: 0.31, Astrocyte:Embryonic_stem_cell-derived: 0.31, iPS_cells:PDB_2lox-22: 0.28, iPS_cells:PDB_2lox-17: 0.27, iPS_cells:CRL2097_foreskin-derived:undiff.: 0.27, iPS_cells:PDB_1lox-21Puro-20: 0.27, iPS_cells:PDB_1lox-17Puro-10: 0.27, iPS_cells:PDB_2lox-21: 0.27, iPS_cells:PDB_2lox-5: 0.27 |
T175_TCGACGGTCCTGTAAG-1 | Neurons:adrenal_medulla_cell_line | 0.18 | 360.30 | Raw ScoresNeurons:adrenal_medulla_cell_line: 0.35, Neuroepithelial_cell:ESC-derived: 0.29, Astrocyte:Embryonic_stem_cell-derived: 0.29, Neurons:ES_cell-derived_neural_precursor: 0.26, Embryonic_stem_cells: 0.25, iPS_cells:CRL2097_foreskin-derived:undiff.: 0.25, iPS_cells:PDB_1lox-17Puro-5: 0.25, iPS_cells:PDB_2lox-22: 0.25, iPS_cells:PDB_1lox-17Puro-10: 0.25, iPS_cells:PDB_1lox-21Puro-20: 0.25 |
T175_ATGCCTCAGCGTGAGT-1 | Neurons:adrenal_medulla_cell_line | 0.17 | 357.92 | Raw ScoresNeurons:adrenal_medulla_cell_line: 0.35, Neuroepithelial_cell:ESC-derived: 0.28, Astrocyte:Embryonic_stem_cell-derived: 0.28, iPS_cells:PDB_1lox-21Puro-20: 0.26, iPS_cells:PDB_2lox-22: 0.26, iPS_cells:PDB_1lox-17Puro-10: 0.26, iPS_cells:PDB_2lox-17: 0.26, iPS_cells:PDB_1lox-17Puro-5: 0.26, iPS_cells:PDB_2lox-5: 0.26, iPS_cells:PDB_2lox-21: 0.26 |
T188_GTGTCCTTCTCAAAGC-1 | Neurons:adrenal_medulla_cell_line | 0.22 | 356.90 | Raw ScoresNeurons:adrenal_medulla_cell_line: 0.41, Neuroepithelial_cell:ESC-derived: 0.36, Astrocyte:Embryonic_stem_cell-derived: 0.33, iPS_cells:PDB_1lox-21Puro-20: 0.32, iPS_cells:PDB_1lox-17Puro-10: 0.32, iPS_cells:PDB_1lox-17Puro-5: 0.32, iPS_cells:PDB_1lox-21Puro-26: 0.32, Neurons:ES_cell-derived_neural_precursor: 0.32, iPS_cells:PDB_2lox-22: 0.31, Embryonic_stem_cells: 0.31 |
T188_CCTATCGAGACCACGA-1 | Neurons:adrenal_medulla_cell_line | 0.17 | 355.50 | Raw ScoresNeurons:adrenal_medulla_cell_line: 0.36, Astrocyte:Embryonic_stem_cell-derived: 0.29, Neuroepithelial_cell:ESC-derived: 0.29, iPS_cells:PDB_1lox-21Puro-20: 0.27, iPS_cells:PDB_1lox-17Puro-5: 0.26, iPS_cells:PDB_2lox-22: 0.26, iPS_cells:PDB_1lox-17Puro-10: 0.26, iPS_cells:CRL2097_foreskin-derived:undiff.: 0.26, Neurons:ES_cell-derived_neural_precursor: 0.26, iPS_cells:PDB_1lox-21Puro-26: 0.26 |
T175_TGCGATACACTCTAGA-1 | Neurons:adrenal_medulla_cell_line | 0.17 | 355.48 | Raw ScoresNeurons:adrenal_medulla_cell_line: 0.34, Neuroepithelial_cell:ESC-derived: 0.28, Astrocyte:Embryonic_stem_cell-derived: 0.28, iPS_cells:PDB_1lox-17Puro-5: 0.25, iPS_cells:CRL2097_foreskin-derived:undiff.: 0.25, iPS_cells:PDB_1lox-17Puro-10: 0.25, iPS_cells:PDB_1lox-21Puro-20: 0.25, iPS_cells:PDB_2lox-5: 0.25, Embryonic_stem_cells: 0.25, iPS_cells:PDB_2lox-22: 0.25 |
T175_TGCACGGCACCGGAAA-1 | Neurons:adrenal_medulla_cell_line | 0.16 | 349.27 | Raw ScoresNeurons:adrenal_medulla_cell_line: 0.32, Astrocyte:Embryonic_stem_cell-derived: 0.27, Neuroepithelial_cell:ESC-derived: 0.26, Neurons:ES_cell-derived_neural_precursor: 0.23, iPS_cells:PDB_1lox-21Puro-20: 0.23, iPS_cells:PDB_2lox-22: 0.22, iPS_cells:PDB_1lox-17Puro-10: 0.22, iPS_cells:PDB_2lox-21: 0.22, iPS_cells:PDB_2lox-17: 0.22, iPS_cells:PDB_2lox-5: 0.22 |
T175_CGTTAGAGTTGCGTAT-1 | Neurons:adrenal_medulla_cell_line | 0.16 | 345.62 | Raw ScoresNeurons:adrenal_medulla_cell_line: 0.32, Neuroepithelial_cell:ESC-derived: 0.26, Astrocyte:Embryonic_stem_cell-derived: 0.26, iPS_cells:PDB_1lox-21Puro-20: 0.24, iPS_cells:CRL2097_foreskin-derived:undiff.: 0.24, iPS_cells:PDB_2lox-17: 0.24, iPS_cells:PDB_1lox-17Puro-5: 0.24, iPS_cells:PDB_1lox-17Puro-10: 0.24, iPS_cells:PDB_2lox-22: 0.24, iPS_cells:PDB_2lox-5: 0.24 |
T175_CATGAGTCAAAGCGTG-1 | Neurons:adrenal_medulla_cell_line | 0.16 | 344.62 | Raw ScoresNeurons:adrenal_medulla_cell_line: 0.34, Neuroepithelial_cell:ESC-derived: 0.28, Astrocyte:Embryonic_stem_cell-derived: 0.28, iPS_cells:PDB_2lox-22: 0.26, iPS_cells:PDB_1lox-21Puro-20: 0.26, iPS_cells:PDB_2lox-17: 0.26, iPS_cells:PDB_1lox-17Puro-5: 0.26, iPS_cells:PDB_2lox-21: 0.26, iPS_cells:PDB_2lox-5: 0.26, iPS_cells:PDB_1lox-17Puro-10: 0.26 |
T175_TCGAACAGTGACACGA-1 | Neurons:adrenal_medulla_cell_line | 0.16 | 343.36 | Raw ScoresNeurons:adrenal_medulla_cell_line: 0.32, Astrocyte:Embryonic_stem_cell-derived: 0.27, Neuroepithelial_cell:ESC-derived: 0.27, Neurons:ES_cell-derived_neural_precursor: 0.23, Tissue_stem_cells:CD326-CD56+: 0.23, iPS_cells:PDB_1lox-21Puro-20: 0.23, iPS_cells:PDB_1lox-17Puro-10: 0.23, iPS_cells:CRL2097_foreskin-derived:undiff.: 0.23, iPS_cells:PDB_2lox-22: 0.23, Embryonic_stem_cells: 0.23 |
T175_TACGTCCCAAACTCTG-1 | Neurons:adrenal_medulla_cell_line | 0.16 | 342.38 | Raw ScoresNeurons:adrenal_medulla_cell_line: 0.33, Astrocyte:Embryonic_stem_cell-derived: 0.27, Neuroepithelial_cell:ESC-derived: 0.27, iPS_cells:CRL2097_foreskin-derived:undiff.: 0.24, iPS_cells:PDB_1lox-17Puro-5: 0.24, iPS_cells:PDB_2lox-22: 0.24, iPS_cells:PDB_1lox-21Puro-20: 0.24, iPS_cells:PDB_1lox-17Puro-10: 0.24, iPS_cells:PDB_2lox-5: 0.24, iPS_cells:PDB_2lox-17: 0.24 |
T175_CATCAAGTCCAGCCTT-1 | Neurons:adrenal_medulla_cell_line | 0.19 | 340.95 | Raw ScoresNeurons:adrenal_medulla_cell_line: 0.37, Neuroepithelial_cell:ESC-derived: 0.3, Astrocyte:Embryonic_stem_cell-derived: 0.28, iPS_cells:PDB_1lox-17Puro-10: 0.27, iPS_cells:PDB_1lox-17Puro-5: 0.27, iPS_cells:PDB_1lox-21Puro-20: 0.27, iPS_cells:PDB_1lox-21Puro-26: 0.27, Neurons:ES_cell-derived_neural_precursor: 0.27, Embryonic_stem_cells: 0.27, iPS_cells:CRL2097_foreskin-derived:undiff.: 0.26 |
T175_CACTAAGTCCTATTGT-1 | Neurons:adrenal_medulla_cell_line | 0.17 | 339.23 | Raw ScoresNeurons:adrenal_medulla_cell_line: 0.33, Neuroepithelial_cell:ESC-derived: 0.27, Astrocyte:Embryonic_stem_cell-derived: 0.26, iPS_cells:PDB_1lox-21Puro-20: 0.24, Neurons:ES_cell-derived_neural_precursor: 0.24, iPS_cells:CRL2097_foreskin-derived:undiff.: 0.24, iPS_cells:PDB_1lox-17Puro-10: 0.24, iPS_cells:PDB_1lox-17Puro-5: 0.24, iPS_cells:PDB_1lox-21Puro-26: 0.23, iPS_cells:PDB_2lox-22: 0.23 |
Below shows the significant enrichments of this GEP for literature curated gene lists
This data was procured from existing single cell RNA-seq maps of neuroblastoma or related relevant data.
High ranks indicate this gene is a driver of this GEP.
These curated gene list are ranked by the P-value (on this GEP) of their constituent genes.
The Mean Count column shows the mean read count in cells scoring highly (H > 50) on this gene expression program.
Genes | Weight | Rank | GTEx | DepMap | Decartes | Mean.Counts | Mean.TPM |
---|---|---|---|---|---|---|---|
PHOX2A | 0.0076245 | 10 | GTEx | DepMap | Descartes | 12.20 | 1718.71 |
TH | 0.0072462 | 17 | GTEx | DepMap | Descartes | 4.46 | 601.30 |
DBH | 0.0065700 | 26 | GTEx | DepMap | Descartes | 7.82 | 731.29 |
CHGB | 0.0062484 | 35 | GTEx | DepMap | Descartes | 8.49 | 870.17 |
DDC | 0.0046991 | 83 | GTEx | DepMap | Descartes | 1.86 | 233.46 |
CYB561 | 0.0043620 | 106 | GTEx | DepMap | Descartes | 1.55 | 120.35 |
HAND2 | 0.0041823 | 125 | GTEx | DepMap | Descartes | 4.74 | 437.48 |
UCHL1 | 0.0035123 | 186 | GTEx | DepMap | Descartes | 9.31 | 1392.46 |
MAP1B | 0.0024546 | 441 | GTEx | DepMap | Descartes | 10.93 | 218.10 |
NNAT | 0.0022555 | 527 | GTEx | DepMap | Descartes | 3.52 | 665.47 |
SLC18A1 | 0.0022137 | 549 | GTEx | DepMap | Descartes | 0.31 | 23.02 |
EML5 | 0.0022056 | 551 | GTEx | DepMap | Descartes | 0.76 | 19.87 |
GATA3 | 0.0019327 | 704 | GTEx | DepMap | Descartes | 4.54 | 362.64 |
PCSK1N | 0.0019026 | 718 | GTEx | DepMap | Descartes | 7.34 | 1710.88 |
DISP2 | 0.0014183 | 1171 | GTEx | DepMap | Descartes | 0.28 | 5.07 |
CHGA | 0.0000698 | 5433 | GTEx | DepMap | Descartes | 2.65 | 298.93 |
Adrenergic Fig 1D (Olsen)
Similar to above, but for selected adrenergic marker genes:
Wilcoxon ranksum test P-value for gene set overrepresentation: 5.20e-07
Mean rank of genes in gene set: 942.55
Rank on gene expression program of genes in gene set:
Genes | Weight | Rank | GTEx | DepMap | Decartes | Mean.Counts | Mean.TPM |
---|---|---|---|---|---|---|---|
TH | 0.0072462 | 17 | GTEx | DepMap | Descartes | 4.46 | 601.30 |
DBH | 0.0065700 | 26 | GTEx | DepMap | Descartes | 7.82 | 731.29 |
STMN2 | 0.0045520 | 94 | GTEx | DepMap | Descartes | 37.09 | 4473.11 |
RGS5 | 0.0042804 | 114 | GTEx | DepMap | Descartes | 11.43 | 484.88 |
UCHL1 | 0.0035123 | 186 | GTEx | DepMap | Descartes | 9.31 | 1392.46 |
MAP1B | 0.0024546 | 441 | GTEx | DepMap | Descartes | 10.93 | 218.10 |
ISL1 | 0.0015563 | 1028 | GTEx | DepMap | Descartes | 3.03 | 308.26 |
RTN1 | 0.0013580 | 1259 | GTEx | DepMap | Descartes | 7.59 | 535.82 |
ELAVL4 | 0.0012199 | 1449 | GTEx | DepMap | Descartes | 5.50 | 307.84 |
MLLT11 | 0.0006229 | 2750 | GTEx | DepMap | Descartes | 6.53 | 609.38 |
NRG1 | 0.0005479 | 3004 | GTEx | DepMap | Descartes | 0.17 | 3.20 |
N Chromafin (Hanemaaijer)
Marker genes obtained from Supplementary Table SD of Hanemaaijer et al (PMID 33500353). The authors generated single-cell RNA-seq data (sort-seq, 2,229 cells total) from mouse adrenal glads at E13.5, E14.5, E17.5, E18.5, P1 and P5. These were marker genes that matched with a similar dataset generated by Furlan et al (PMID 28684471). This particular set of markers are for the Norepinepherine Chromaffin subcluster, which is part of the Adrenal Medulla cluster.:
Wilcoxon ranksum test P-value for gene set overrepresentation: 5.97e-06
Mean rank of genes in gene set: 2311.69
Rank on gene expression program of genes in gene set:
Genes | Weight | Rank | GTEx | DepMap | Decartes | Mean.Counts | Mean.TPM |
---|---|---|---|---|---|---|---|
GNAS | 0.0103189 | 2 | GTEx | DepMap | Descartes | 49.03 | 3002.14 |
SCG5 | 0.0075272 | 13 | GTEx | DepMap | Descartes | 5.09 | 1013.54 |
SLCO3A1 | 0.0068498 | 22 | GTEx | DepMap | Descartes | 1.78 | 90.01 |
PCLO | 0.0057542 | 46 | GTEx | DepMap | Descartes | 1.50 | 18.87 |
SCG3 | 0.0046194 | 90 | GTEx | DepMap | Descartes | 3.06 | 241.58 |
C1QL1 | 0.0033030 | 228 | GTEx | DepMap | Descartes | 2.26 | 358.74 |
SNAP25 | 0.0029308 | 288 | GTEx | DepMap | Descartes | 1.56 | 164.93 |
PTPRN | 0.0029239 | 290 | GTEx | DepMap | Descartes | 0.81 | 39.30 |
NAP1L5 | 0.0018731 | 738 | GTEx | DepMap | Descartes | 0.64 | 81.10 |
PPFIA2 | 0.0014503 | 1127 | GTEx | DepMap | Descartes | 0.19 | 8.38 |
CACNA2D1 | 0.0012603 | 1383 | GTEx | DepMap | Descartes | 0.48 | 15.36 |
SYN2 | 0.0003637 | 3752 | GTEx | DepMap | Descartes | 0.06 | 3.68 |
ADCYAP1R1 | 0.0001102 | 5143 | GTEx | DepMap | Descartes | 0.08 | 2.81 |
CELF4 | -0.0001259 | 7187 | GTEx | DepMap | Descartes | 1.25 | 71.76 |
CXCL14 | -0.0001293 | 7217 | GTEx | DepMap | Descartes | 0.00 | 0.19 |
LGR5 | -0.0003784 | 9461 | GTEx | DepMap | Descartes | 0.00 | 0.14 |
Below shows ranks on this GEP for literature curated gene lists for large gene sets
These include those reported as mesenchymal/adrenergic by Van Groningen et al.
High ranks indicate this gene is a driver of this GEP (note these results are not ordered).
The Mean Count column shows the mean read count in cells scoring highly (H > 50) on this gene expression program.
VanGroningen Adrenergic Genes
Adrenergic marker genes from Supplementary Table 2 of Van Groningen et al. Nature Genetics 2017. These genes were identified by differential expression analysis of mesenchymal-like and adrenergic-like neuroblastoma cell lines.
Wilcoxon ranksum test P-value for gene set overrepresentation: 1.05e-10
Mean rank of genes in gene set: 4973.13
Median rank of genes in gene set: 3098
Rank on gene expression program of top 30 genes in gene set:
Genes | Weight | Rank | GTEx | DepMap | Descartes | Mean.Counts | Mean.TPM |
---|---|---|---|---|---|---|---|
GPR22 | 0.0096222 | 3 | GTEx | DepMap | Descartes | 1.89 | 168.94 |
NRCAM | 0.0082015 | 6 | GTEx | DepMap | Descartes | 1.63 | 61.85 |
TUBB2A | 0.0080134 | 7 | GTEx | DepMap | Descartes | 7.94 | 1138.56 |
PHOX2A | 0.0076245 | 10 | GTEx | DepMap | Descartes | 12.20 | 1718.71 |
NCOA7 | 0.0076094 | 11 | GTEx | DepMap | Descartes | 3.23 | NA |
RBP1 | 0.0073958 | 15 | GTEx | DepMap | Descartes | 7.06 | 952.14 |
TH | 0.0072462 | 17 | GTEx | DepMap | Descartes | 4.46 | 601.30 |
DBH | 0.0065700 | 26 | GTEx | DepMap | Descartes | 7.82 | 731.29 |
SYT1 | 0.0064980 | 27 | GTEx | DepMap | Descartes | 5.38 | 283.48 |
TUBB2B | 0.0064292 | 30 | GTEx | DepMap | Descartes | 28.37 | 3487.53 |
PIK3R1 | 0.0064259 | 31 | GTEx | DepMap | Descartes | 3.35 | 125.73 |
CHGB | 0.0062484 | 35 | GTEx | DepMap | Descartes | 8.49 | 870.17 |
TMOD1 | 0.0054229 | 57 | GTEx | DepMap | Descartes | 4.69 | 361.21 |
KIDINS220 | 0.0053509 | 62 | GTEx | DepMap | Descartes | 2.41 | 70.71 |
FKBP1B | 0.0052853 | 63 | GTEx | DepMap | Descartes | 1.25 | 186.88 |
DNER | 0.0049845 | 71 | GTEx | DepMap | Descartes | 0.87 | 67.04 |
QDPR | 0.0047951 | 79 | GTEx | DepMap | Descartes | 2.86 | 470.29 |
DDC | 0.0046991 | 83 | GTEx | DepMap | Descartes | 1.86 | 233.46 |
SCG3 | 0.0046194 | 90 | GTEx | DepMap | Descartes | 3.06 | 241.58 |
STMN2 | 0.0045520 | 94 | GTEx | DepMap | Descartes | 37.09 | 4473.11 |
TMOD2 | 0.0044894 | 98 | GTEx | DepMap | Descartes | 1.19 | 32.65 |
KIF1A | 0.0044280 | 100 | GTEx | DepMap | Descartes | 1.87 | 49.74 |
ENO2 | 0.0043306 | 109 | GTEx | DepMap | Descartes | 2.56 | 214.16 |
KIF5C | 0.0042921 | 113 | GTEx | DepMap | Descartes | 4.23 | 148.71 |
RGS5 | 0.0042804 | 114 | GTEx | DepMap | Descartes | 11.43 | 484.88 |
NCS1 | 0.0041558 | 127 | GTEx | DepMap | Descartes | 1.02 | 46.59 |
TFAP2B | 0.0041272 | 128 | GTEx | DepMap | Descartes | 1.86 | 83.13 |
NELFCD | 0.0040454 | 138 | GTEx | DepMap | Descartes | 1.86 | NA |
FOXO3 | 0.0037683 | 155 | GTEx | DepMap | Descartes | 2.10 | 71.83 |
MAP6 | 0.0036582 | 166 | GTEx | DepMap | Descartes | 1.12 | 63.23 |
VanGroningen Mesenchymal Genes
Mesenchymal marker genes from Supplementary Table 2 of Van Groningen et al. Nature Genetics 2017. These genes were identified by differential expression analysis of mesenchymal-like and adrenergic-like neuroblastoma cell lines.
Wilcoxon ranksum test P-value for gene set overrepresentation: 1.00e+00
Mean rank of genes in gene set: 7924
Median rank of genes in gene set: 9209
Rank on gene expression program of top 30 genes in gene set:
Genes | Weight | Rank | GTEx | DepMap | Descartes | Mean.Counts | Mean.TPM |
---|---|---|---|---|---|---|---|
DLC1 | 0.0079274 | 8 | GTEx | DepMap | Descartes | 2.96 | 105.20 |
ANXA2 | 0.0074507 | 14 | GTEx | DepMap | Descartes | 6.60 | 461.79 |
TPM1 | 0.0064546 | 29 | GTEx | DepMap | Descartes | 3.27 | 214.54 |
SHC1 | 0.0058792 | 41 | GTEx | DepMap | Descartes | 1.45 | 104.65 |
TMEFF2 | 0.0050524 | 68 | GTEx | DepMap | Descartes | 1.15 | 83.11 |
SERPINE2 | 0.0049118 | 74 | GTEx | DepMap | Descartes | 2.51 | 109.46 |
FAM114A1 | 0.0034944 | 189 | GTEx | DepMap | Descartes | 0.24 | 14.90 |
NRP1 | 0.0034355 | 198 | GTEx | DepMap | Descartes | 0.88 | 37.46 |
NES | 0.0031567 | 244 | GTEx | DepMap | Descartes | 0.94 | 44.01 |
CD44 | 0.0031046 | 253 | GTEx | DepMap | Descartes | 2.35 | 105.92 |
GNAI1 | 0.0029597 | 279 | GTEx | DepMap | Descartes | 0.73 | 17.43 |
ITM2C | 0.0028772 | 300 | GTEx | DepMap | Descartes | 1.54 | 202.85 |
ATP1B1 | 0.0026667 | 359 | GTEx | DepMap | Descartes | 2.35 | 217.36 |
LEPROT | 0.0025126 | 416 | GTEx | DepMap | Descartes | 0.83 | 45.53 |
ITGAV | 0.0024375 | 449 | GTEx | DepMap | Descartes | 0.36 | 12.37 |
PPIB | 0.0021201 | 605 | GTEx | DepMap | Descartes | 4.28 | 847.92 |
RHOC | 0.0021032 | 619 | GTEx | DepMap | Descartes | 0.67 | 75.80 |
PDIA3 | 0.0020370 | 642 | GTEx | DepMap | Descartes | 1.87 | 123.62 |
ROBO1 | 0.0019923 | 676 | GTEx | DepMap | Descartes | 0.36 | 11.11 |
CD63 | 0.0018851 | 733 | GTEx | DepMap | Descartes | 4.89 | 988.68 |
TGFB1I1 | 0.0018603 | 747 | GTEx | DepMap | Descartes | 0.38 | 19.78 |
SCPEP1 | 0.0018463 | 761 | GTEx | DepMap | Descartes | 0.58 | 77.14 |
LAPTM4A | 0.0018010 | 800 | GTEx | DepMap | Descartes | 1.97 | 354.94 |
LIFR | 0.0017704 | 829 | GTEx | DepMap | Descartes | 0.22 | 5.09 |
STAT3 | 0.0017668 | 832 | GTEx | DepMap | Descartes | 1.39 | 70.78 |
RBMS1 | 0.0017176 | 873 | GTEx | DepMap | Descartes | 1.28 | 70.15 |
SSBP4 | 0.0015807 | 1004 | GTEx | DepMap | Descartes | 1.15 | 160.46 |
FAM43A | 0.0015456 | 1037 | GTEx | DepMap | Descartes | 0.22 | 19.23 |
SLC35F5 | 0.0015103 | 1064 | GTEx | DepMap | Descartes | 0.20 | 5.35 |
DKK3 | 0.0015070 | 1066 | GTEx | DepMap | Descartes | 0.37 | 9.43 |
Descartes adrenocortical markers
Top 50 marker genes of adrenocortical cells in the Decartes fetal adrenal single cell map (https://atlas.brotmanbaty.org/bbi/human-gene-expression-during-development/cell/adrenocortical/in/adrenal)
Wilcoxon ranksum test P-value for gene set overrepresentation: 5.12e-02
Mean rank of genes in gene set: 5289.97
Median rank of genes in gene set: 4900
Rank on gene expression program of top 30 genes in gene set:
Genes | Weight | Rank | GTEx | DepMap | Descartes | Mean.Counts | Mean.TPM |
---|---|---|---|---|---|---|---|
DNER | 0.0049845 | 71 | GTEx | DepMap | Descartes | 0.87 | 67.04 |
CLU | 0.0037146 | 159 | GTEx | DepMap | Descartes | 2.73 | 247.05 |
GSTA4 | 0.0021612 | 582 | GTEx | DepMap | Descartes | 1.19 | 169.05 |
IGF1R | 0.0016279 | 949 | GTEx | DepMap | Descartes | 0.47 | 9.52 |
TM7SF2 | 0.0014950 | 1078 | GTEx | DepMap | Descartes | 0.62 | 65.80 |
PAPSS2 | 0.0014093 | 1185 | GTEx | DepMap | Descartes | 0.08 | 4.80 |
JAKMIP2 | 0.0012861 | 1358 | GTEx | DepMap | Descartes | 0.49 | 12.98 |
PDE10A | 0.0009809 | 1855 | GTEx | DepMap | Descartes | 0.15 | 4.55 |
FDPS | 0.0009694 | 1882 | GTEx | DepMap | Descartes | 1.25 | 145.49 |
MSMO1 | 0.0009673 | 1894 | GTEx | DepMap | Descartes | 0.37 | 39.00 |
SH3PXD2B | 0.0009608 | 1908 | GTEx | DepMap | Descartes | 0.09 | 2.85 |
SH3BP5 | 0.0009199 | 1995 | GTEx | DepMap | Descartes | 0.58 | 42.80 |
HMGCS1 | 0.0007668 | 2337 | GTEx | DepMap | Descartes | 0.36 | 15.90 |
INHA | 0.0005940 | 2848 | GTEx | DepMap | Descartes | 0.02 | 3.68 |
HMGCR | 0.0005518 | 2984 | GTEx | DepMap | Descartes | 0.32 | 16.60 |
GRAMD1B | 0.0003239 | 3913 | GTEx | DepMap | Descartes | 0.06 | 1.82 |
NPC1 | 0.0002938 | 4049 | GTEx | DepMap | Descartes | 0.07 | 3.83 |
DHCR7 | 0.0001819 | 4654 | GTEx | DepMap | Descartes | 0.13 | 10.53 |
FRMD5 | 0.0001100 | 5146 | GTEx | DepMap | Descartes | 0.08 | 3.75 |
POR | 0.0000886 | 5294 | GTEx | DepMap | Descartes | 0.23 | 22.28 |
DHCR24 | 0.0000348 | 5662 | GTEx | DepMap | Descartes | 0.11 | 4.13 |
SCAP | -0.0000311 | 6188 | GTEx | DepMap | Descartes | 0.20 | 11.38 |
STAR | -0.0000832 | 6712 | GTEx | DepMap | Descartes | 0.01 | 0.73 |
LDLR | -0.0000992 | 6893 | GTEx | DepMap | Descartes | 0.07 | 2.84 |
FREM2 | -0.0001081 | 6999 | GTEx | DepMap | Descartes | 0.00 | 0.00 |
SCARB1 | -0.0002724 | 8597 | GTEx | DepMap | Descartes | 0.07 | 2.60 |
SLC16A9 | -0.0003130 | 8947 | GTEx | DepMap | Descartes | 0.07 | 4.03 |
BAIAP2L1 | -0.0003666 | 9360 | GTEx | DepMap | Descartes | 0.00 | 0.02 |
CYB5B | -0.0003937 | 9571 | GTEx | DepMap | Descartes | 0.33 | 17.31 |
SGCZ | -0.0004248 | 9830 | GTEx | DepMap | Descartes | 0.00 | 0.02 |
Descartes chromaffin markers
Top 50 marker genes of chromaffin cells in the Decartes fetal adrenal single cell map (https://atlas.brotmanbaty.org/bbi/human-gene-expression-during-development/cell/chromaffin/in/adrenal)
Wilcoxon ranksum test P-value for gene set overrepresentation: 6.85e-09
Mean rank of genes in gene set: 3068.22
Median rank of genes in gene set: 872
Rank on gene expression program of top 30 genes in gene set:
Genes | Weight | Rank | GTEx | DepMap | Descartes | Mean.Counts | Mean.TPM |
---|---|---|---|---|---|---|---|
TUBA1A | 0.0087402 | 5 | GTEx | DepMap | Descartes | 56.03 | 7014.33 |
TUBB2A | 0.0080134 | 7 | GTEx | DepMap | Descartes | 7.94 | 1138.56 |
TUBB2B | 0.0064292 | 30 | GTEx | DepMap | Descartes | 28.37 | 3487.53 |
TMEFF2 | 0.0050524 | 68 | GTEx | DepMap | Descartes | 1.15 | 83.11 |
NTRK1 | 0.0048783 | 76 | GTEx | DepMap | Descartes | 2.02 | 165.82 |
STMN2 | 0.0045520 | 94 | GTEx | DepMap | Descartes | 37.09 | 4473.11 |
TMEM132C | 0.0035763 | 175 | GTEx | DepMap | Descartes | 0.52 | 27.98 |
RBFOX1 | 0.0033105 | 224 | GTEx | DepMap | Descartes | 0.66 | 35.26 |
IL7 | 0.0033029 | 229 | GTEx | DepMap | Descartes | 1.33 | 167.63 |
GAP43 | 0.0032184 | 237 | GTEx | DepMap | Descartes | 5.57 | 655.60 |
REEP1 | 0.0030507 | 265 | GTEx | DepMap | Descartes | 0.72 | 43.98 |
GAL | 0.0030103 | 272 | GTEx | DepMap | Descartes | 2.73 | 874.62 |
EYA4 | 0.0029041 | 295 | GTEx | DepMap | Descartes | 0.32 | 15.78 |
PLXNA4 | 0.0026393 | 368 | GTEx | DepMap | Descartes | 0.44 | 8.12 |
MAP1B | 0.0024546 | 441 | GTEx | DepMap | Descartes | 10.93 | 218.10 |
SLC6A2 | 0.0022235 | 545 | GTEx | DepMap | Descartes | 0.52 | 36.78 |
BASP1 | 0.0021988 | 554 | GTEx | DepMap | Descartes | 11.06 | 1416.21 |
CNTFR | 0.0020306 | 648 | GTEx | DepMap | Descartes | 1.16 | 144.84 |
KCNB2 | 0.0018294 | 772 | GTEx | DepMap | Descartes | 0.26 | 17.03 |
ANKFN1 | 0.0017847 | 816 | GTEx | DepMap | Descartes | 0.11 | 6.86 |
PTCHD1 | 0.0017189 | 872 | GTEx | DepMap | Descartes | 0.22 | 4.51 |
ISL1 | 0.0015563 | 1028 | GTEx | DepMap | Descartes | 3.03 | 308.26 |
RGMB | 0.0011649 | 1533 | GTEx | DepMap | Descartes | 0.67 | 35.86 |
GREM1 | 0.0011210 | 1605 | GTEx | DepMap | Descartes | 0.19 | 3.57 |
MAB21L1 | 0.0009311 | 1972 | GTEx | DepMap | Descartes | 1.29 | 102.99 |
EYA1 | 0.0007024 | 2528 | GTEx | DepMap | Descartes | 0.18 | 11.24 |
MLLT11 | 0.0006229 | 2750 | GTEx | DepMap | Descartes | 6.53 | 609.38 |
RPH3A | 0.0004716 | 3267 | GTEx | DepMap | Descartes | 0.09 | 4.72 |
CCND1 | 0.0003645 | 3748 | GTEx | DepMap | Descartes | 8.82 | 547.24 |
CNKSR2 | 0.0002067 | 4486 | GTEx | DepMap | Descartes | 0.20 | 5.59 |
Descartes Vascular_endothelial markers
Top 50 marker genes of Vascular_endothelial cells in the Decartes fetal adrenal single cell map (https://atlas.brotmanbaty.org/bbi/human-gene-expression-during-development/cell/vascular_endothelial/in/adrenal)
Wilcoxon ranksum test P-value for gene set overrepresentation: 9.98e-01
Mean rank of genes in gene set: 7942.39
Median rank of genes in gene set: 8572.5
Rank on gene expression program of top 30 genes in gene set:
Genes | Weight | Rank | GTEx | DepMap | Descartes | Mean.Counts | Mean.TPM |
---|---|---|---|---|---|---|---|
RAMP2 | 0.0006379 | 2699 | GTEx | DepMap | Descartes | 1.06 | 291.41 |
EFNB2 | 0.0005095 | 3130 | GTEx | DepMap | Descartes | 0.31 | 15.40 |
NOTCH4 | 0.0003853 | 3650 | GTEx | DepMap | Descartes | 0.16 | 5.84 |
HYAL2 | 0.0002808 | 4121 | GTEx | DepMap | Descartes | 0.44 | 26.51 |
MYRIP | 0.0002803 | 4125 | GTEx | DepMap | Descartes | 0.03 | 1.44 |
EHD3 | 0.0002800 | 4127 | GTEx | DepMap | Descartes | 0.04 | 1.76 |
SHANK3 | 0.0002563 | 4232 | GTEx | DepMap | Descartes | 0.03 | 1.07 |
GALNT15 | -0.0000155 | 6054 | GTEx | DepMap | Descartes | 0.01 | NA |
PTPRB | -0.0001277 | 7203 | GTEx | DepMap | Descartes | 0.01 | 0.15 |
NR5A2 | -0.0001292 | 7216 | GTEx | DepMap | Descartes | 0.00 | 0.06 |
BTNL9 | -0.0001514 | 7461 | GTEx | DepMap | Descartes | 0.00 | 0.11 |
ESM1 | -0.0001600 | 7547 | GTEx | DepMap | Descartes | 0.00 | 0.02 |
MMRN2 | -0.0001614 | 7564 | GTEx | DepMap | Descartes | 0.01 | 0.41 |
SLCO2A1 | -0.0002047 | 8010 | GTEx | DepMap | Descartes | 0.00 | 0.00 |
RASIP1 | -0.0002130 | 8085 | GTEx | DepMap | Descartes | 0.01 | 0.58 |
NPR1 | -0.0002133 | 8090 | GTEx | DepMap | Descartes | 0.00 | 0.00 |
ROBO4 | -0.0002166 | 8110 | GTEx | DepMap | Descartes | 0.01 | 0.34 |
CRHBP | -0.0002645 | 8527 | GTEx | DepMap | Descartes | 0.00 | 0.00 |
SHE | -0.0002667 | 8544 | GTEx | DepMap | Descartes | 0.00 | 0.00 |
KANK3 | -0.0002730 | 8601 | GTEx | DepMap | Descartes | 0.00 | 0.17 |
PLVAP | -0.0002758 | 8620 | GTEx | DepMap | Descartes | 0.00 | 0.11 |
CDH5 | -0.0002783 | 8647 | GTEx | DepMap | Descartes | 0.00 | 0.02 |
FLT4 | -0.0002950 | 8800 | GTEx | DepMap | Descartes | 0.00 | 0.01 |
TIE1 | -0.0003022 | 8864 | GTEx | DepMap | Descartes | 0.00 | 0.05 |
KDR | -0.0003035 | 8872 | GTEx | DepMap | Descartes | 0.00 | 0.07 |
ARHGAP29 | -0.0003456 | 9207 | GTEx | DepMap | Descartes | 0.14 | 3.82 |
CDH13 | -0.0003529 | 9265 | GTEx | DepMap | Descartes | 0.02 | 0.40 |
CALCRL | -0.0003544 | 9273 | GTEx | DepMap | Descartes | 0.00 | 0.04 |
TEK | -0.0003689 | 9380 | GTEx | DepMap | Descartes | 0.00 | 0.02 |
PODXL | -0.0003816 | 9486 | GTEx | DepMap | Descartes | 0.03 | 1.20 |
Descartes stromal markers
Top 50 marker genes of stromal cells in the Decartes fetal adrenal single cell map (https://atlas.brotmanbaty.org/bbi/human-gene-expression-during-development/cell/stromal/in/adrenal)
Wilcoxon ranksum test P-value for gene set overrepresentation: 1.00e+00
Mean rank of genes in gene set: 8947
Median rank of genes in gene set: 9205.5
Rank on gene expression program of top 30 genes in gene set:
Genes | Weight | Rank | GTEx | DepMap | Descartes | Mean.Counts | Mean.TPM |
---|---|---|---|---|---|---|---|
ADAMTS2 | 0.0011478 | 1557 | GTEx | DepMap | Descartes | 0.11 | 4.10 |
ITGA11 | 0.0000433 | 5618 | GTEx | DepMap | Descartes | 0.01 | 0.11 |
LRRC17 | 0.0000425 | 5623 | GTEx | DepMap | Descartes | 0.02 | 1.61 |
FREM1 | -0.0000064 | 5988 | GTEx | DepMap | Descartes | 0.01 | 0.14 |
BICC1 | -0.0000790 | 6675 | GTEx | DepMap | Descartes | 0.02 | 0.97 |
SFRP2 | -0.0001186 | 7105 | GTEx | DepMap | Descartes | 0.00 | 0.01 |
GAS2 | -0.0001425 | 7361 | GTEx | DepMap | Descartes | 0.01 | 0.81 |
SCARA5 | -0.0001459 | 7404 | GTEx | DepMap | Descartes | 0.00 | 0.00 |
ABCC9 | -0.0001512 | 7458 | GTEx | DepMap | Descartes | 0.00 | 0.06 |
COL27A1 | -0.0001577 | 7526 | GTEx | DepMap | Descartes | 0.00 | 0.04 |
RSPO3 | -0.0001750 | 7728 | GTEx | DepMap | Descartes | 0.00 | NA |
IGFBP3 | -0.0002142 | 8094 | GTEx | DepMap | Descartes | 0.00 | 0.11 |
POSTN | -0.0002211 | 8150 | GTEx | DepMap | Descartes | 0.05 | 1.27 |
ADAMTSL3 | -0.0002245 | 8180 | GTEx | DepMap | Descartes | 0.00 | 0.01 |
CCDC80 | -0.0002249 | 8183 | GTEx | DepMap | Descartes | 0.02 | 0.42 |
DKK2 | -0.0002579 | 8470 | GTEx | DepMap | Descartes | 0.00 | 0.06 |
LAMC3 | -0.0002708 | 8580 | GTEx | DepMap | Descartes | 0.00 | 0.00 |
PAMR1 | -0.0002849 | 8709 | GTEx | DepMap | Descartes | 0.00 | 0.11 |
C7 | -0.0003265 | 9044 | GTEx | DepMap | Descartes | 0.00 | 0.01 |
OGN | -0.0003423 | 9166 | GTEx | DepMap | Descartes | 0.00 | 0.00 |
ACTA2 | -0.0003442 | 9188 | GTEx | DepMap | Descartes | 0.08 | 6.36 |
MGP | -0.0003449 | 9195 | GTEx | DepMap | Descartes | 0.02 | 0.85 |
ABCA6 | -0.0003467 | 9216 | GTEx | DepMap | Descartes | 0.00 | 0.03 |
LOX | -0.0003641 | 9343 | GTEx | DepMap | Descartes | 0.00 | 0.02 |
ISLR | -0.0003719 | 9405 | GTEx | DepMap | Descartes | 0.00 | 0.02 |
PRICKLE1 | -0.0003731 | 9416 | GTEx | DepMap | Descartes | 0.15 | 6.18 |
EDNRA | -0.0003744 | 9431 | GTEx | DepMap | Descartes | 0.00 | 0.05 |
PRRX1 | -0.0003873 | 9520 | GTEx | DepMap | Descartes | 0.00 | 0.03 |
LUM | -0.0004047 | 9662 | GTEx | DepMap | Descartes | 0.00 | 0.14 |
DCN | -0.0004080 | 9681 | GTEx | DepMap | Descartes | 0.00 | 0.01 |
Descartes sympathoblasts markers
Top 50 marker genes of sympathoblasts cells in the Decartes fetal adrenal single cell map (https://atlas.brotmanbaty.org/bbi/human-gene-expression-during-development/cell/sympathoblasts/in/adrenal)
Wilcoxon ranksum test P-value for gene set overrepresentation: 4.51e-06
Mean rank of genes in gene set: 3669.89
Median rank of genes in gene set: 2158
Rank on gene expression program of top 30 genes in gene set:
Genes | Weight | Rank | GTEx | DepMap | Descartes | Mean.Counts | Mean.TPM |
---|---|---|---|---|---|---|---|
CHGB | 0.0062484 | 35 | GTEx | DepMap | Descartes | 8.49 | 870.17 |
GALNTL6 | 0.0041874 | 123 | GTEx | DepMap | Descartes | 0.22 | 13.52 |
C1QL1 | 0.0033030 | 228 | GTEx | DepMap | Descartes | 2.26 | 358.74 |
TBX20 | 0.0030525 | 264 | GTEx | DepMap | Descartes | 0.08 | 12.41 |
UNC80 | 0.0028467 | 309 | GTEx | DepMap | Descartes | 0.45 | 8.50 |
GRID2 | 0.0027623 | 327 | GTEx | DepMap | Descartes | 0.29 | 13.04 |
FAM155A | 0.0027513 | 332 | GTEx | DepMap | Descartes | 0.54 | 13.91 |
PACRG | 0.0023009 | 502 | GTEx | DepMap | Descartes | 0.20 | 28.41 |
SLC18A1 | 0.0022137 | 549 | GTEx | DepMap | Descartes | 0.31 | 23.02 |
GCH1 | 0.0020556 | 634 | GTEx | DepMap | Descartes | 0.54 | 46.72 |
HTATSF1 | 0.0020382 | 641 | GTEx | DepMap | Descartes | 1.01 | 83.79 |
ROBO1 | 0.0019923 | 676 | GTEx | DepMap | Descartes | 0.36 | 11.11 |
PCSK1N | 0.0019026 | 718 | GTEx | DepMap | Descartes | 7.34 | 1710.88 |
CDH18 | 0.0017240 | 867 | GTEx | DepMap | Descartes | 0.08 | 4.43 |
AGBL4 | 0.0016313 | 946 | GTEx | DepMap | Descartes | 0.11 | 7.50 |
EML6 | 0.0012736 | 1374 | GTEx | DepMap | Descartes | 0.09 | 2.09 |
LAMA3 | 0.0011103 | 1623 | GTEx | DepMap | Descartes | 0.04 | 0.98 |
PCSK2 | 0.0009197 | 1997 | GTEx | DepMap | Descartes | 0.06 | 3.79 |
MGAT4C | 0.0008530 | 2113 | GTEx | DepMap | Descartes | 0.23 | 1.92 |
SPOCK3 | 0.0008137 | 2203 | GTEx | DepMap | Descartes | 0.12 | 9.17 |
DGKK | 0.0008069 | 2218 | GTEx | DepMap | Descartes | 0.08 | 2.82 |
NTNG1 | 0.0006377 | 2700 | GTEx | DepMap | Descartes | 0.16 | 7.79 |
CCSER1 | 0.0005538 | 2976 | GTEx | DepMap | Descartes | 0.07 | NA |
CNTN3 | 0.0004984 | 3166 | GTEx | DepMap | Descartes | 0.02 | 1.05 |
TIAM1 | 0.0004024 | 3574 | GTEx | DepMap | Descartes | 0.18 | 6.36 |
FGF14 | 0.0000746 | 5396 | GTEx | DepMap | Descartes | 0.15 | 3.00 |
CHGA | 0.0000698 | 5433 | GTEx | DepMap | Descartes | 2.65 | 298.93 |
SLC24A2 | 0.0000393 | 5641 | GTEx | DepMap | Descartes | 0.01 | 0.30 |
PENK | -0.0000874 | 6757 | GTEx | DepMap | Descartes | 0.00 | 0.00 |
TENM1 | -0.0000890 | 6783 | GTEx | DepMap | Descartes | 0.04 | NA |
Descartes erythroblasts markers
Top 50 marker genes of erythroblasts cells in the Decartes fetal adrenal single cell map (https://atlas.brotmanbaty.org/bbi/human-gene-expression-during-development/cell/erythroblasts/in/adrenal)
Wilcoxon ranksum test P-value for gene set overrepresentation: 3.40e-01
Mean rank of genes in gene set: 5998.1
Median rank of genes in gene set: 7108
Rank on gene expression program of top 30 genes in gene set:
Genes | Weight | Rank | GTEx | DepMap | Descartes | Mean.Counts | Mean.TPM |
---|---|---|---|---|---|---|---|
SOX6 | 0.0029902 | 275 | GTEx | DepMap | Descartes | 0.26 | 7.75 |
TSPAN5 | 0.0016423 | 936 | GTEx | DepMap | Descartes | 0.84 | 50.37 |
SPTB | 0.0015903 | 987 | GTEx | DepMap | Descartes | 0.13 | 3.39 |
TRAK2 | 0.0012484 | 1398 | GTEx | DepMap | Descartes | 0.18 | 7.04 |
EPB41 | 0.0011663 | 1525 | GTEx | DepMap | Descartes | 0.63 | 23.90 |
DENND4A | 0.0010972 | 1638 | GTEx | DepMap | Descartes | 0.30 | 9.10 |
SNCA | 0.0008162 | 2195 | GTEx | DepMap | Descartes | 0.50 | 35.75 |
FECH | 0.0007471 | 2399 | GTEx | DepMap | Descartes | 0.17 | 5.32 |
RAPGEF2 | 0.0006876 | 2560 | GTEx | DepMap | Descartes | 0.28 | 8.55 |
ANK1 | 0.0005843 | 2876 | GTEx | DepMap | Descartes | 0.11 | 2.98 |
SLC25A37 | 0.0005697 | 2922 | GTEx | DepMap | Descartes | 0.44 | 22.57 |
TMCC2 | 0.0000634 | 5479 | GTEx | DepMap | Descartes | 0.05 | 3.12 |
RHD | -0.0000160 | 6058 | GTEx | DepMap | Descartes | 0.00 | 0.04 |
SLC25A21 | -0.0000735 | 6613 | GTEx | DepMap | Descartes | 0.00 | 0.00 |
XPO7 | -0.0001188 | 7108 | GTEx | DepMap | Descartes | 0.16 | 7.69 |
SLC4A1 | -0.0001397 | 7327 | GTEx | DepMap | Descartes | 0.00 | 0.05 |
MARCH3 | -0.0001418 | 7354 | GTEx | DepMap | Descartes | 0.04 | NA |
RGS6 | -0.0001456 | 7400 | GTEx | DepMap | Descartes | 0.00 | 0.01 |
ABCB10 | -0.0001698 | 7660 | GTEx | DepMap | Descartes | 0.05 | 3.19 |
ALAS2 | -0.0001818 | 7811 | GTEx | DepMap | Descartes | 0.00 | 0.09 |
CPOX | -0.0002068 | 8026 | GTEx | DepMap | Descartes | 0.04 | 3.31 |
SELENBP1 | -0.0003004 | 8846 | GTEx | DepMap | Descartes | 0.00 | 0.10 |
MICAL2 | -0.0003349 | 9126 | GTEx | DepMap | Descartes | 0.01 | 0.45 |
GCLC | -0.0004454 | 9958 | GTEx | DepMap | Descartes | 0.06 | 3.75 |
SPECC1 | -0.0004783 | 10155 | GTEx | DepMap | Descartes | 0.04 | 1.21 |
CAT | -0.0004855 | 10207 | GTEx | DepMap | Descartes | 0.15 | 16.49 |
TFR2 | -0.0006371 | 10953 | GTEx | DepMap | Descartes | 0.05 | 3.23 |
BLVRB | -0.0008967 | 11680 | GTEx | DepMap | Descartes | 0.08 | 9.69 |
GYPC | -0.0017806 | 12473 | GTEx | DepMap | Descartes | 0.06 | 5.73 |
NA | NA | NA | NA | NA | NA | NA | NA |
Descartes myeloid markers
Top 50 marker genes of myeloid cells in the Decartes fetal adrenal single cell map (https://atlas.brotmanbaty.org/bbi/human-gene-expression-during-development/cell/myeloid/in/adrenal)
Wilcoxon ranksum test P-value for gene set overrepresentation: 1.00e+00
Mean rank of genes in gene set: 10352.13
Median rank of genes in gene set: 11449.5
Rank on gene expression program of top 30 genes in gene set:
Genes | Weight | Rank | GTEx | DepMap | Descartes | Mean.Counts | Mean.TPM |
---|---|---|---|---|---|---|---|
CD163L1 | 0.0042336 | 119 | GTEx | DepMap | Descartes | 0.82 | 45.66 |
HRH1 | 0.0008580 | 2100 | GTEx | DepMap | Descartes | 0.05 | 2.71 |
RBPJ | 0.0006042 | 2817 | GTEx | DepMap | Descartes | 0.99 | 40.18 |
WWP1 | 0.0000264 | 5729 | GTEx | DepMap | Descartes | 0.10 | 5.21 |
IFNGR1 | -0.0000741 | 6619 | GTEx | DepMap | Descartes | 0.31 | 29.85 |
ATP8B4 | -0.0004466 | 9968 | GTEx | DepMap | Descartes | 0.00 | 0.03 |
FGD2 | -0.0004559 | 10022 | GTEx | DepMap | Descartes | 0.00 | 0.09 |
RGL1 | -0.0005934 | 10771 | GTEx | DepMap | Descartes | 0.01 | 0.58 |
MERTK | -0.0005982 | 10788 | GTEx | DepMap | Descartes | 0.00 | 0.11 |
SFMBT2 | -0.0006116 | 10841 | GTEx | DepMap | Descartes | 0.01 | 0.39 |
SLC9A9 | -0.0006246 | 10896 | GTEx | DepMap | Descartes | 0.01 | 0.30 |
SPP1 | -0.0006275 | 10916 | GTEx | DepMap | Descartes | 0.07 | 4.26 |
CPVL | -0.0006381 | 10958 | GTEx | DepMap | Descartes | 0.04 | 1.90 |
HCK | -0.0006984 | 11172 | GTEx | DepMap | Descartes | 0.01 | 0.51 |
CD163 | -0.0007145 | 11217 | GTEx | DepMap | Descartes | 0.01 | 0.13 |
SLC1A3 | -0.0007292 | 11258 | GTEx | DepMap | Descartes | 0.01 | 0.14 |
MSR1 | -0.0007329 | 11267 | GTEx | DepMap | Descartes | 0.01 | 0.27 |
AXL | -0.0007422 | 11292 | GTEx | DepMap | Descartes | 0.00 | 0.06 |
SLCO2B1 | -0.0007972 | 11449 | GTEx | DepMap | Descartes | 0.00 | 0.06 |
CSF1R | -0.0007972 | 11450 | GTEx | DepMap | Descartes | 0.01 | 0.28 |
MARCH1 | -0.0007996 | 11461 | GTEx | DepMap | Descartes | 0.01 | NA |
MS4A4A | -0.0008217 | 11513 | GTEx | DepMap | Descartes | 0.03 | 1.78 |
CYBB | -0.0008302 | 11533 | GTEx | DepMap | Descartes | 0.02 | 0.75 |
CTSD | -0.0008308 | 11534 | GTEx | DepMap | Descartes | 0.59 | 63.59 |
ADAP2 | -0.0008462 | 11569 | GTEx | DepMap | Descartes | 0.01 | 0.75 |
ABCA1 | -0.0008587 | 11593 | GTEx | DepMap | Descartes | 0.02 | 0.38 |
CD14 | -0.0008698 | 11622 | GTEx | DepMap | Descartes | 0.05 | 4.97 |
CST3 | -0.0008745 | 11633 | GTEx | DepMap | Descartes | 1.78 | 119.72 |
ITPR2 | -0.0008790 | 11642 | GTEx | DepMap | Descartes | 0.05 | 0.82 |
LGMN | -0.0009039 | 11697 | GTEx | DepMap | Descartes | 0.16 | 14.29 |
Descartes Schwann markers
Top 50 marker genes of Schwann cells in the Decartes fetal adrenal single cell map (https://atlas.brotmanbaty.org/bbi/human-gene-expression-during-development/cell/schwann/in/adrenal)
Wilcoxon ranksum test P-value for gene set overrepresentation: 6.30e-01
Mean rank of genes in gene set: 6456.55
Median rank of genes in gene set: 7948
Rank on gene expression program of top 30 genes in gene set:
Genes | Weight | Rank | GTEx | DepMap | Descartes | Mean.Counts | Mean.TPM |
---|---|---|---|---|---|---|---|
SFRP1 | 0.0064956 | 28 | GTEx | DepMap | Descartes | 2.21 | 127.22 |
DST | 0.0056610 | 49 | GTEx | DepMap | Descartes | 3.63 | 40.82 |
PMP22 | 0.0036142 | 168 | GTEx | DepMap | Descartes | 2.61 | 364.16 |
LRRTM4 | 0.0031012 | 255 | GTEx | DepMap | Descartes | 0.15 | 10.50 |
MARCKS | 0.0028380 | 310 | GTEx | DepMap | Descartes | 8.60 | 471.82 |
SCN7A | 0.0023999 | 463 | GTEx | DepMap | Descartes | 0.33 | 11.38 |
GFRA3 | 0.0020338 | 643 | GTEx | DepMap | Descartes | 0.89 | 114.72 |
EGFLAM | 0.0015855 | 997 | GTEx | DepMap | Descartes | 0.11 | 6.05 |
LAMB1 | 0.0014238 | 1161 | GTEx | DepMap | Descartes | 0.36 | 15.98 |
LAMA4 | 0.0011485 | 1554 | GTEx | DepMap | Descartes | 0.31 | 10.93 |
PTN | 0.0010714 | 1691 | GTEx | DepMap | Descartes | 0.89 | 135.59 |
NRXN1 | 0.0010640 | 1711 | GTEx | DepMap | Descartes | 1.04 | 26.90 |
SORCS1 | 0.0008636 | 2091 | GTEx | DepMap | Descartes | 0.16 | 5.52 |
FIGN | 0.0007306 | 2452 | GTEx | DepMap | Descartes | 0.20 | 5.22 |
PAG1 | 0.0005673 | 2934 | GTEx | DepMap | Descartes | 0.35 | 7.71 |
XKR4 | 0.0000345 | 5664 | GTEx | DepMap | Descartes | 0.03 | 0.33 |
IL1RAPL2 | -0.0000231 | 6115 | GTEx | DepMap | Descartes | 0.00 | 0.01 |
HMGA2 | -0.0001150 | 7083 | GTEx | DepMap | Descartes | 0.00 | 0.00 |
PTPRZ1 | -0.0001674 | 7633 | GTEx | DepMap | Descartes | 0.00 | 0.01 |
SOX5 | -0.0001817 | 7810 | GTEx | DepMap | Descartes | 0.16 | 5.87 |
MDGA2 | -0.0001846 | 7840 | GTEx | DepMap | Descartes | 0.00 | 0.00 |
TRPM3 | -0.0001977 | 7941 | GTEx | DepMap | Descartes | 0.00 | 0.09 |
GAS7 | -0.0001991 | 7955 | GTEx | DepMap | Descartes | 0.03 | 0.78 |
KCTD12 | -0.0002446 | 8361 | GTEx | DepMap | Descartes | 0.10 | 3.77 |
IL1RAPL1 | -0.0002522 | 8423 | GTEx | DepMap | Descartes | 0.00 | 0.03 |
ADAMTS5 | -0.0002707 | 8578 | GTEx | DepMap | Descartes | 0.00 | 0.01 |
NRXN3 | -0.0002824 | 8671 | GTEx | DepMap | Descartes | 0.01 | 0.18 |
MPZ | -0.0002954 | 8802 | GTEx | DepMap | Descartes | 0.02 | 1.96 |
LAMC1 | -0.0003267 | 9046 | GTEx | DepMap | Descartes | 0.03 | 1.02 |
PLCE1 | -0.0003352 | 9128 | GTEx | DepMap | Descartes | 0.04 | 0.76 |
Descartes Megakaryocytes markers
Top 50 marker genes of Megakaryocytes cells in the Decartes fetal adrenal single cell map (https://atlas.brotmanbaty.org/bbi/human-gene-expression-during-development/cell/megakaryocytes/in/adrenal)
Wilcoxon ranksum test P-value for gene set overrepresentation: 1.00e+00
Mean rank of genes in gene set: 8124.42
Median rank of genes in gene set: 8829
Rank on gene expression program of top 30 genes in gene set:
Genes | Weight | Rank | GTEx | DepMap | Descartes | Mean.Counts | Mean.TPM |
---|---|---|---|---|---|---|---|
CD9 | 0.0070738 | 19 | GTEx | DepMap | Descartes | 3.35 | 484.22 |
PRKAR2B | 0.0024913 | 425 | GTEx | DepMap | Descartes | 0.82 | 52.95 |
LIMS1 | 0.0014603 | 1118 | GTEx | DepMap | Descartes | 0.74 | 39.61 |
PDE3A | 0.0012240 | 1443 | GTEx | DepMap | Descartes | 0.12 | 4.12 |
RAP1B | 0.0012141 | 1458 | GTEx | DepMap | Descartes | 0.95 | 17.00 |
RAB27B | 0.0006626 | 2618 | GTEx | DepMap | Descartes | 0.07 | 2.13 |
TUBB1 | 0.0005775 | 2897 | GTEx | DepMap | Descartes | 0.01 | 1.09 |
DOK6 | 0.0004657 | 3299 | GTEx | DepMap | Descartes | 0.17 | 4.09 |
ACTN1 | 0.0003037 | 3999 | GTEx | DepMap | Descartes | 0.58 | 29.38 |
HIPK2 | 0.0002331 | 4345 | GTEx | DepMap | Descartes | 0.41 | 6.20 |
STON2 | 0.0002136 | 4452 | GTEx | DepMap | Descartes | 0.12 | 6.00 |
VCL | -0.0000942 | 6835 | GTEx | DepMap | Descartes | 0.12 | 3.35 |
GP1BA | -0.0001070 | 6980 | GTEx | DepMap | Descartes | 0.00 | 0.14 |
STOM | -0.0001231 | 7161 | GTEx | DepMap | Descartes | 0.13 | 9.60 |
ITGB3 | -0.0001334 | 7262 | GTEx | DepMap | Descartes | 0.00 | 0.00 |
UBASH3B | -0.0001766 | 7751 | GTEx | DepMap | Descartes | 0.03 | 1.03 |
TRPC6 | -0.0001806 | 7800 | GTEx | DepMap | Descartes | 0.00 | 0.01 |
ITGA2B | -0.0001838 | 7835 | GTEx | DepMap | Descartes | 0.01 | 1.06 |
MMRN1 | -0.0002080 | 8029 | GTEx | DepMap | Descartes | 0.00 | 0.03 |
ARHGAP6 | -0.0002296 | 8226 | GTEx | DepMap | Descartes | 0.00 | 0.01 |
P2RX1 | -0.0002841 | 8695 | GTEx | DepMap | Descartes | 0.00 | 0.06 |
SLC24A3 | -0.0002862 | 8723 | GTEx | DepMap | Descartes | 0.00 | 0.03 |
MED12L | -0.0002991 | 8829 | GTEx | DepMap | Descartes | 0.03 | 0.52 |
INPP4B | -0.0003340 | 9116 | GTEx | DepMap | Descartes | 0.06 | 1.43 |
LTBP1 | -0.0003442 | 9186 | GTEx | DepMap | Descartes | 0.01 | 0.17 |
MYLK | -0.0003550 | 9277 | GTEx | DepMap | Descartes | 0.02 | 0.37 |
MCTP1 | -0.0004382 | 9904 | GTEx | DepMap | Descartes | 0.01 | 0.46 |
ANGPT1 | -0.0004472 | 9970 | GTEx | DepMap | Descartes | 0.01 | 0.26 |
PSTPIP2 | -0.0004696 | 10105 | GTEx | DepMap | Descartes | 0.00 | 0.16 |
THBS1 | -0.0005326 | 10496 | GTEx | DepMap | Descartes | 0.01 | 0.14 |
Descartes Lyphoid markers
Top 50 marker genes of Lyphoid cells in the Decartes fetal adrenal single cell map (https://atlas.brotmanbaty.org/bbi/human-gene-expression-during-development/cell/lymphoid/in/adrenal)
Wilcoxon ranksum test P-value for gene set overrepresentation: 1.00e+00
Mean rank of genes in gene set: 8849.38
Median rank of genes in gene set: 11233
Rank on gene expression program of top 30 genes in gene set:
Genes | Weight | Rank | GTEx | DepMap | Descartes | Mean.Counts | Mean.TPM |
---|---|---|---|---|---|---|---|
CD44 | 0.0031046 | 253 | GTEx | DepMap | Descartes | 2.35 | 105.92 |
FYN | 0.0021093 | 615 | GTEx | DepMap | Descartes | 1.72 | 114.15 |
RAP1GAP2 | 0.0017979 | 801 | GTEx | DepMap | Descartes | 0.44 | 15.65 |
ABLIM1 | 0.0012612 | 1382 | GTEx | DepMap | Descartes | 0.30 | 9.45 |
FOXP1 | 0.0012321 | 1429 | GTEx | DepMap | Descartes | 1.39 | 37.54 |
SCML4 | 0.0010914 | 1650 | GTEx | DepMap | Descartes | 0.18 | 11.32 |
STK39 | 0.0007674 | 2332 | GTEx | DepMap | Descartes | 0.44 | 31.81 |
CELF2 | 0.0005205 | 3098 | GTEx | DepMap | Descartes | 0.71 | 20.17 |
TMSB10 | 0.0005160 | 3108 | GTEx | DepMap | Descartes | 49.94 | 25197.23 |
NCALD | 0.0003265 | 3898 | GTEx | DepMap | Descartes | 0.14 | 8.68 |
DOCK10 | 0.0002066 | 4488 | GTEx | DepMap | Descartes | 0.17 | 6.20 |
MSN | 0.0001406 | 4918 | GTEx | DepMap | Descartes | 0.39 | 24.78 |
SORL1 | -0.0001076 | 6990 | GTEx | DepMap | Descartes | 0.26 | 5.61 |
BACH2 | -0.0003750 | 9436 | GTEx | DepMap | Descartes | 0.13 | 3.61 |
BCL2 | -0.0004858 | 10208 | GTEx | DepMap | Descartes | 0.36 | 11.74 |
PITPNC1 | -0.0005284 | 10473 | GTEx | DepMap | Descartes | 0.17 | 6.58 |
MCTP2 | -0.0005367 | 10509 | GTEx | DepMap | Descartes | 0.01 | 0.33 |
ANKRD44 | -0.0005404 | 10532 | GTEx | DepMap | Descartes | 0.13 | 4.45 |
PLEKHA2 | -0.0006766 | 11100 | GTEx | DepMap | Descartes | 0.03 | 1.30 |
ITPKB | -0.0007038 | 11185 | GTEx | DepMap | Descartes | 0.01 | 0.20 |
SAMD3 | -0.0007186 | 11230 | GTEx | DepMap | Descartes | 0.01 | 0.32 |
WIPF1 | -0.0007203 | 11236 | GTEx | DepMap | Descartes | 0.16 | 8.28 |
GNG2 | -0.0007796 | 11389 | GTEx | DepMap | Descartes | 0.59 | 36.82 |
TOX | -0.0008729 | 11632 | GTEx | DepMap | Descartes | 0.24 | 13.19 |
CCL5 | -0.0008904 | 11665 | GTEx | DepMap | Descartes | 0.22 | 35.10 |
PRKCH | -0.0009406 | 11776 | GTEx | DepMap | Descartes | 0.01 | 0.75 |
RCSD1 | -0.0009511 | 11802 | GTEx | DepMap | Descartes | 0.03 | 1.01 |
PDE3B | -0.0009711 | 11851 | GTEx | DepMap | Descartes | 0.09 | 3.39 |
MBNL1 | -0.0009870 | 11885 | GTEx | DepMap | Descartes | 0.20 | 7.49 |
SKAP1 | -0.0009938 | 11900 | GTEx | DepMap | Descartes | 0.02 | 2.16 |
Below shows the ranks on this GEP for immune marker gene lists curated by CellTypist (https://www.celltypist.org/encyclopedia).
High ranks indicate this gene is a driver of this GEP.
These curated gene list are ranked by P-value (on this GEP) of their constituent genes.
The Mean Count column shows the mean read count in cells scoring highly (H > 50) on this gene expression program.
Genes | Weight | Rank | GTEx | DepMap | Decartes | Mean.Counts | Mean.TPM |
---|---|---|---|---|---|---|---|
INPP5J | 0.0017725 | 828 | GTEx | DepMap | Descartes | 0.11 | 8.10 |
PANX2 | 0.0009224 | 1989 | GTEx | DepMap | Descartes | 0.18 | 14.97 |
Erythroid: Mid erythroid (curated markers)
middle erythroid cells in fetal liver:
Wilcoxon ranksum test P-value for gene set overrepresentation: 3.04e-02
Mean rank of genes in gene set: 1474
Rank on gene expression program of genes in gene set:
Genes | Weight | Rank | GTEx | DepMap | Decartes | Mean.Counts | Mean.TPM |
---|---|---|---|---|---|---|---|
PRDX2 | 0.0029525 | 282 | GTEx | DepMap | Descartes | 7.15 | 989.16 |
KCNH2 | 0.0006500 | 2666 | GTEx | DepMap | Descartes | 0.28 | 15.60 |
HSC/MPP: Megakaryocyte-erythroid-mast cell progenitor (curated markers)
shared progenitors in the fetal liver which originate from common myeloid progenitors and differentiate into megakaryocytes:
Wilcoxon ranksum test P-value for gene set overrepresentation: 4.91e-02
Mean rank of genes in gene set: 285
Rank on gene expression program of genes in gene set:
Genes | Weight | Rank | GTEx | DepMap | Decartes | Mean.Counts | Mean.TPM |
---|---|---|---|---|---|---|---|
GATA2 | 0.0029351 | 285 | GTEx | DepMap | Descartes | 2.55 | 190.19 |