QQ-plot of gene loadings, averaged over both independent splits of the data
This plot highlights the relative contribution of each gene to the GEP
Top genes driving this program.
Note: Decartes website is buggy, try refreshing. Also, Decartes fetal adrenal data have been collected at specific time points (89-122 days), all possible cell types of interest may not be represented, do not overinterpret.
The Mean Count column shows the mean read count in cells scoring highly (H > 50) on this gene expression program.
Gene | Loading | Gene.Name | GTEx | DepMap | Descartes | Mean.Counts | Mean.Tpm | |
---|---|---|---|---|---|---|---|---|
1 | SFRP2 | 0.0138266 | secreted frizzled related protein 2 | GTEx | DepMap | Descartes | 9.30 | 2288.73 |
2 | ELN | 0.0130788 | elastin | GTEx | DepMap | Descartes | 14.52 | 1818.51 |
3 | SRPX | 0.0130188 | sushi repeat containing protein X-linked | GTEx | DepMap | Descartes | 3.58 | 1127.01 |
4 | COL3A1 | 0.0129737 | collagen type III alpha 1 chain | GTEx | DepMap | Descartes | 89.44 | 8649.95 |
5 | COL1A1 | 0.0123711 | collagen type I alpha 1 chain | GTEx | DepMap | Descartes | 140.47 | 12723.88 |
6 | COL1A2 | 0.0121613 | collagen type I alpha 2 chain | GTEx | DepMap | Descartes | 89.59 | 7833.38 |
7 | OGN | 0.0118684 | osteoglycin | GTEx | DepMap | Descartes | 4.62 | 680.59 |
8 | CCDC80 | 0.0114483 | coiled-coil domain containing 80 | GTEx | DepMap | Descartes | 40.25 | 1686.55 |
9 | PI15 | 0.0109855 | peptidase inhibitor 15 | GTEx | DepMap | Descartes | 0.94 | 65.24 |
10 | ANGPTL1 | 0.0107976 | angiopoietin like 1 | GTEx | DepMap | Descartes | 2.95 | 442.23 |
11 | COL14A1 | 0.0106363 | collagen type XIV alpha 1 chain | GTEx | DepMap | Descartes | 4.97 | 345.52 |
12 | PPIC | 0.0105193 | peptidylprolyl isomerase C | GTEx | DepMap | Descartes | 2.89 | 1052.76 |
13 | C7 | 0.0104420 | complement C7 | GTEx | DepMap | Descartes | 4.91 | 514.50 |
14 | TSPAN8 | 0.0102104 | tetraspanin 8 | GTEx | DepMap | Descartes | 0.47 | 142.12 |
15 | MGP | 0.0100910 | matrix Gla protein | GTEx | DepMap | Descartes | 64.34 | 20739.06 |
16 | SGCG | 0.0100763 | sarcoglycan gamma | GTEx | DepMap | Descartes | 0.20 | 53.37 |
17 | SOD3 | 0.0099873 | superoxide dismutase 3 | GTEx | DepMap | Descartes | 3.81 | 1364.79 |
18 | ADAMTS3 | 0.0099402 | ADAM metallopeptidase with thrombospondin type 1 motif 3 | GTEx | DepMap | Descartes | 0.19 | 14.16 |
19 | PCOLCE | 0.0097668 | procollagen C-endopeptidase enhancer | GTEx | DepMap | Descartes | 5.17 | 1862.22 |
20 | CPE | 0.0096332 | carboxypeptidase E | GTEx | DepMap | Descartes | 6.27 | 1231.92 |
21 | CFD | 0.0095351 | complement factor D | GTEx | DepMap | Descartes | 15.47 | 6608.60 |
22 | FBLN1 | 0.0094613 | fibulin 1 | GTEx | DepMap | Descartes | 7.59 | 1356.84 |
23 | COL5A1 | 0.0090967 | collagen type V alpha 1 chain | GTEx | DepMap | Descartes | 5.39 | 350.81 |
24 | SPARC | 0.0089192 | secreted protein acidic and cysteine rich | GTEx | DepMap | Descartes | 35.33 | 5207.76 |
25 | LRRC17 | 0.0087086 | leucine rich repeat containing 17 | GTEx | DepMap | Descartes | 1.30 | 300.25 |
26 | FBLN5 | 0.0085438 | fibulin 5 | GTEx | DepMap | Descartes | 3.61 | 811.66 |
27 | GPC3 | 0.0085223 | glypican 3 | GTEx | DepMap | Descartes | 2.23 | 528.11 |
28 | FXYD1 | 0.0084484 | FXYD domain containing ion transport regulator 1 | GTEx | DepMap | Descartes | 1.94 | 1016.57 |
29 | LUM | 0.0084336 | lumican | GTEx | DepMap | Descartes | 10.11 | 2027.28 |
30 | NPY1R | 0.0079439 | neuropeptide Y receptor Y1 | GTEx | DepMap | Descartes | 0.59 | 104.88 |
31 | LOX | 0.0079435 | lysyl oxidase | GTEx | DepMap | Descartes | 2.12 | 222.28 |
32 | LTBP4 | 0.0079400 | latent transforming growth factor beta binding protein 4 | GTEx | DepMap | Descartes | 3.36 | 350.78 |
33 | COL5A2 | 0.0078606 | collagen type V alpha 2 chain | GTEx | DepMap | Descartes | 3.59 | 274.16 |
34 | SVEP1 | 0.0078342 | sushi, von Willebrand factor type A, EGF and pentraxin domain containing 1 | GTEx | DepMap | Descartes | 2.12 | 104.98 |
35 | COL6A2 | 0.0075741 | collagen type VI alpha 2 chain | GTEx | DepMap | Descartes | 10.72 | 1670.11 |
36 | COL12A1 | 0.0074333 | collagen type XII alpha 1 chain | GTEx | DepMap | Descartes | 3.25 | 159.28 |
37 | EGFL6 | 0.0074099 | EGF like domain multiple 6 | GTEx | DepMap | Descartes | 0.16 | 31.46 |
38 | CRISPLD2 | 0.0073923 | cysteine rich secretory protein LCCL domain containing 2 | GTEx | DepMap | Descartes | 1.70 | 206.78 |
39 | NR2F1 | 0.0073842 | nuclear receptor subfamily 2 group F member 1 | GTEx | DepMap | Descartes | 2.72 | 372.81 |
40 | NFIA | 0.0073833 | nuclear factor I A | GTEx | DepMap | Descartes | 3.30 | 37.98 |
41 | FSTL1 | 0.0072732 | follistatin like 1 | GTEx | DepMap | Descartes | 19.23 | 1739.02 |
42 | PROCR | 0.0072334 | protein C receptor | GTEx | DepMap | Descartes | 2.33 | 855.61 |
43 | ALDH1A1 | 0.0072105 | aldehyde dehydrogenase 1 family member A1 | GTEx | DepMap | Descartes | 1.45 | 397.34 |
44 | ADAMTS1 | 0.0071278 | ADAM metallopeptidase with thrombospondin type 1 motif 1 | GTEx | DepMap | Descartes | 3.16 | 334.68 |
45 | PAMR1 | 0.0071245 | peptidase domain containing associated with muscle regeneration 1 | GTEx | DepMap | Descartes | 1.67 | 275.78 |
46 | MASP1 | 0.0071064 | MBL associated serine protease 1 | GTEx | DepMap | Descartes | 0.06 | 5.34 |
47 | FHL2 | 0.0070719 | four and a half LIM domains 2 | GTEx | DepMap | Descartes | 1.89 | 180.01 |
48 | THBS2 | 0.0069058 | thrombospondin 2 | GTEx | DepMap | Descartes | 2.12 | 215.48 |
49 | OLFML3 | 0.0068520 | olfactomedin like 3 | GTEx | DepMap | Descartes | 1.94 | 511.11 |
50 | NFIB | 0.0067928 | nuclear factor I B | GTEx | DepMap | Descartes | 3.88 | 229.11 |
UMAP plots showing activity of gene expression program identified in GEP 40. Fibroblast: Inflammatory:
CNV Data procured from inferCNV.
Outer tracks are putative CNV regions (gains = red, losses = blue) for each patient
Inner track is expression data representing:
The top cells expressing this GEP (purple)
Random cells (n =50) from the reference set used in inferCNV (orange)
Gene set Enrichments for this program, caculated from top 50 genes
mSigDB Cell Types Gene Set:
P-value | OR | Lower 95% CI | FDR | FWER | Genes Found | Gene Set Size | |
---|---|---|---|---|---|---|---|
CUI_DEVELOPING_HEART_SMOOTH_MUSCLE_CELL | 5.38e-28 | 182.58 | 85.50 | 6.01e-26 | 3.61e-25 | 16SFRP2, ELN, COL3A1, COL1A1, COL1A2, CCDC80, PI15, ANGPTL1, COL14A1, PPIC, PCOLCE, CPE, FBLN1, SPARC, LOX, EGFL6 |
48 |
CUI_DEVELOPING_HEART_C3_FIBROBLAST_LIKE_CELL | 9.41e-39 | 135.40 | 71.80 | 6.32e-36 | 6.32e-36 | 25ELN, SRPX, COL1A1, COL1A2, OGN, COL14A1, C7, MGP, PCOLCE, FBLN1, COL5A1, SPARC, LRRC17, FBLN5, GPC3, LUM, LOX, LTBP4, COL5A2, COL6A2, COL12A1, NFIA, FSTL1, THBS2, OLFML3 |
117 |
GAO_LARGE_INTESTINE_24W_C1_DCLK1POS_PROGENITOR | 2.81e-34 | 126.79 | 66.09 | 4.71e-32 | 1.88e-31 | 22SFRP2, SRPX, COL3A1, COL1A1, COL1A2, OGN, CCDC80, COL14A1, C7, MGP, PCOLCE, FBLN1, COL5A1, SPARC, LRRC17, LUM, LOX, COL5A2, SVEP1, ADAMTS1, PAMR1, THBS2 |
99 |
DESCARTES_FETAL_THYMUS_STROMAL_CELLS | 7.39e-35 | 102.07 | 54.17 | 1.98e-32 | 4.96e-32 | 24SFRP2, ELN, SRPX, COL3A1, COL1A1, COL1A2, OGN, CCDC80, PI15, COL14A1, MGP, PCOLCE, FBLN1, COL5A1, SPARC, GPC3, LUM, LOX, LTBP4, COL5A2, COL12A1, FSTL1, THBS2, OLFML3 |
137 |
DESCARTES_FETAL_EYE_STROMAL_CELLS | 5.50e-27 | 97.36 | 49.17 | 5.27e-25 | 3.69e-24 | 18SFRP2, COL3A1, COL1A1, COL1A2, OGN, COL14A1, MGP, PCOLCE, COL5A1, SPARC, LUM, LOX, LTBP4, COL5A2, COL6A2, COL12A1, EGFL6, THBS2 |
90 |
AIZARANI_LIVER_C21_STELLATE_CELLS_1 | 8.84e-35 | 80.51 | 43.47 | 1.98e-32 | 5.93e-32 | 26SRPX, COL3A1, COL1A1, COL1A2, CCDC80, COL14A1, C7, MGP, SOD3, PCOLCE, FBLN1, COL5A1, SPARC, FBLN5, LUM, LTBP4, COL6A2, CRISPLD2, NR2F1, NFIA, FSTL1, ALDH1A1, ADAMTS1, MASP1, THBS2, OLFML3 |
194 |
CUI_DEVELOPING_HEART_COMPACT_VENTRICULAR_CARDIOMYOCYTE | 1.55e-19 | 84.17 | 38.73 | 7.99e-18 | 1.04e-16 | 13ELN, COL3A1, COL1A1, COL1A2, OGN, C7, MGP, COL5A1, SPARC, LUM, COL5A2, COL6A2, COL12A1 |
65 |
GAO_SMALL_INTESTINE_24W_C2_PROCRPOS_PROGENITOR | 2.06e-10 | 105.76 | 32.40 | 6.02e-09 | 1.38e-07 | 6SFRP2, PI15, MGP, PCOLCE, LRRC17, GPC3 |
22 |
DESCARTES_FETAL_HEART_STROMAL_CELLS | 5.01e-11 | 74.95 | 26.18 | 1.53e-09 | 3.36e-08 | 7COL1A1, COL1A2, ANGPTL1, PCOLCE, FBLN1, GPC3, LUM |
34 |
DESCARTES_FETAL_KIDNEY_STROMAL_CELLS | 2.96e-21 | 49.84 | 25.37 | 1.98e-19 | 1.98e-18 | 17SFRP2, SRPX, COL3A1, COL1A1, COL1A2, OGN, PI15, ANGPTL1, COL14A1, MGP, SOD3, SPARC, FXYD1, LUM, LOX, COL12A1, THBS2 |
146 |
DESCARTES_MAIN_FETAL_STROMAL_CELLS | 1.20e-08 | 92.39 | 25.13 | 2.88e-07 | 8.07e-06 | 5COL1A1, COL1A2, COL5A1, COL12A1, THBS2 |
20 |
TRAVAGLINI_LUNG_ADVENTITIAL_FIBROBLAST_CELL | 3.16e-28 | 46.14 | 25.06 | 4.24e-26 | 2.12e-25 | 25SFRP2, SRPX, COL3A1, COL1A1, COL1A2, OGN, CCDC80, C7, MGP, PCOLCE, CPE, CFD, FBLN1, LRRC17, FBLN5, LUM, LOX, LTBP4, SVEP1, COL6A2, FSTL1, ALDH1A1, PAMR1, THBS2, OLFML3 |
296 |
DURANTE_ADULT_OLFACTORY_NEUROEPITHELIUM_FIBROBLASTS_STROMAL_CELLS | 1.31e-14 | 49.59 | 21.99 | 4.40e-13 | 8.81e-12 | 11SFRP2, COL3A1, COL1A1, COL1A2, MGP, PCOLCE, CPE, FBLN1, SPARC, LUM, COL6A2 |
82 |
DESCARTES_FETAL_ADRENAL_STROMAL_CELLS | 3.06e-19 | 42.92 | 21.58 | 1.47e-17 | 2.05e-16 | 16SFRP2, COL3A1, COL1A1, OGN, CCDC80, PI15, C7, MGP, SGCG, PCOLCE, LRRC17, LUM, LOX, COL12A1, PAMR1, THBS2 |
153 |
DESCARTES_FETAL_MUSCLE_STROMAL_CELLS | 2.23e-15 | 45.82 | 21.07 | 8.32e-14 | 1.50e-12 | 12COL3A1, COL1A1, COL1A2, OGN, PI15, ANGPTL1, MGP, PCOLCE, FBLN1, LUM, COL12A1, EGFL6 |
98 |
FAN_OVARY_CL6_PUTATIVE_EARLY_ATRETIC_FOLLICLE_THECAL_CELL_2 | 7.78e-25 | 38.45 | 20.77 | 6.52e-23 | 5.22e-22 | 23COL3A1, COL1A1, COL1A2, OGN, CCDC80, PPIC, C7, MGP, CPE, CFD, FBLN1, SPARC, LRRC17, GPC3, FXYD1, LUM, LTBP4, COL6A2, NFIA, FSTL1, ALDH1A1, ADAMTS1, OLFML3 |
300 |
RUBENSTEIN_SKELETAL_MUSCLE_FAP_CELLS | 1.00e-19 | 39.73 | 20.31 | 5.61e-18 | 6.73e-17 | 17COL3A1, COL1A1, COL1A2, CCDC80, ANGPTL1, MGP, PCOLCE, CFD, FBLN1, FBLN5, FXYD1, LUM, LTBP4, COL6A2, NFIA, FSTL1, ALDH1A1 |
179 |
AIZARANI_LIVER_C33_STELLATE_CELLS_2 | 1.28e-15 | 38.82 | 18.43 | 5.37e-14 | 8.59e-13 | 13COL3A1, COL1A1, COL1A2, C7, MGP, SOD3, CPE, COL5A1, SPARC, COL6A2, CRISPLD2, NFIA, ADAMTS1 |
126 |
DESCARTES_FETAL_STOMACH_STROMAL_CELLS | 8.79e-10 | 47.20 | 16.97 | 2.36e-08 | 5.90e-07 | 7SFRP2, SRPX, COL3A1, COL1A1, ANGPTL1, C7, FBLN1 |
50 |
RUBENSTEIN_SKELETAL_MUSCLE_FBN1_FAP_CELLS | 1.49e-20 | 30.97 | 16.45 | 9.07e-19 | 9.98e-18 | 20ELN, COL3A1, COL1A1, COL1A2, CCDC80, COL14A1, PPIC, MGP, PCOLCE, CPE, CFD, FBLN1, FBLN5, FXYD1, LTBP4, COL6A2, COL12A1, FSTL1, PROCR, OLFML3 |
289 |
Dowload full table
mSigDB Hallmark Gene Sets:
P-value | OR | Lower 95% CI | FDR | FWER | Genes Found | Gene Set Size | |
---|---|---|---|---|---|---|---|
HALLMARK_EPITHELIAL_MESENCHYMAL_TRANSITION | 1.78e-20 | 38.62 | 20.01 | 8.89e-19 | 8.89e-19 | 18ELN, COL3A1, COL1A1, COL1A2, MGP, SGCG, PCOLCE, FBLN1, COL5A1, SPARC, FBLN5, LUM, LOX, COL5A2, COL6A2, COL12A1, FSTL1, THBS2 |
200 |
HALLMARK_ANGIOGENESIS | 1.18e-05 | 33.91 | 8.38 | 1.48e-04 | 5.91e-04 | 4COL3A1, LUM, COL5A2, FSTL1 |
36 |
HALLMARK_UV_RESPONSE_DN | 1.39e-06 | 14.85 | 5.54 | 2.31e-05 | 6.94e-05 | 7COL3A1, COL1A1, COL1A2, FBLN5, COL5A2, FHL2, NFIB |
144 |
HALLMARK_MYOGENESIS | 9.73e-07 | 12.40 | 4.96 | 2.31e-05 | 4.87e-05 | 8COL3A1, COL1A1, SGCG, SOD3, CFD, SPARC, FXYD1, COL6A2 |
200 |
HALLMARK_HYPOXIA | 7.71e-03 | 5.55 | 1.44 | 7.71e-02 | 3.85e-01 | 4SRPX, COL5A1, GPC3, LOX |
200 |
HALLMARK_ESTROGEN_RESPONSE_EARLY | 4.35e-02 | 4.05 | 0.80 | 3.63e-01 | 1.00e+00 | 3NPY1R, FHL2, OLFML3 |
200 |
HALLMARK_COAGULATION | 1.03e-01 | 3.83 | 0.45 | 7.34e-01 | 1.00e+00 | 2CFD, SPARC |
138 |
HALLMARK_ESTROGEN_RESPONSE_LATE | 1.85e-01 | 2.63 | 0.31 | 9.24e-01 | 1.00e+00 | 2CPE, NPY1R |
200 |
HALLMARK_GLYCOLYSIS | 1.85e-01 | 2.63 | 0.31 | 9.24e-01 | 1.00e+00 | 2COL5A1, GPC3 |
200 |
HALLMARK_APICAL_SURFACE | 1.61e-01 | 5.93 | 0.14 | 9.24e-01 | 1.00e+00 | 1SRPX |
44 |
HALLMARK_PROTEIN_SECRETION | 3.17e-01 | 2.68 | 0.07 | 1.00e+00 | 1.00e+00 | 1TSPAN8 |
96 |
HALLMARK_INTERFERON_ALPHA_RESPONSE | 3.20e-01 | 2.66 | 0.07 | 1.00e+00 | 1.00e+00 | 1PROCR |
97 |
HALLMARK_ANDROGEN_RESPONSE | 3.28e-01 | 2.58 | 0.06 | 1.00e+00 | 1.00e+00 | 1ADAMTS1 |
100 |
HALLMARK_PEROXISOME | 3.39e-01 | 2.48 | 0.06 | 1.00e+00 | 1.00e+00 | 1ALDH1A1 |
104 |
HALLMARK_BILE_ACID_METABOLISM | 3.59e-01 | 2.30 | 0.06 | 1.00e+00 | 1.00e+00 | 1ALDH1A1 |
112 |
HALLMARK_FATTY_ACID_METABOLISM | 4.66e-01 | 1.62 | 0.04 | 1.00e+00 | 1.00e+00 | 1ALDH1A1 |
158 |
HALLMARK_APOPTOSIS | 4.72e-01 | 1.59 | 0.04 | 1.00e+00 | 1.00e+00 | 1LUM |
161 |
HALLMARK_INFLAMMATORY_RESPONSE | 5.47e-01 | 1.28 | 0.03 | 1.00e+00 | 1.00e+00 | 1GPC3 |
200 |
HALLMARK_XENOBIOTIC_METABOLISM | 5.47e-01 | 1.28 | 0.03 | 1.00e+00 | 1.00e+00 | 1FBLN1 |
200 |
HALLMARK_P53_PATHWAY | 5.47e-01 | 1.28 | 0.03 | 1.00e+00 | 1.00e+00 | 1PROCR |
200 |
Dowload full table
KEGG Pathways:
P-value | OR | Lower 95% CI | FDR | FWER | Genes Found | Gene Set Size | |
---|---|---|---|---|---|---|---|
KEGG_ECM_RECEPTOR_INTERACTION | 3.53e-08 | 26.38 | 9.71 | 6.57e-06 | 6.57e-06 | 7COL3A1, COL1A1, COL1A2, COL5A1, COL5A2, COL6A2, THBS2 |
84 |
KEGG_FOCAL_ADHESION | 1.15e-05 | 10.60 | 3.97 | 1.07e-03 | 2.14e-03 | 7COL3A1, COL1A1, COL1A2, COL5A1, COL5A2, COL6A2, THBS2 |
199 |
KEGG_COMPLEMENT_AND_COAGULATION_CASCADES | 2.55e-03 | 12.08 | 2.35 | 1.58e-01 | 4.75e-01 | 3C7, CFD, MASP1 |
69 |
KEGG_PRION_DISEASES | 1.30e-01 | 7.50 | 0.18 | 1.00e+00 | 1.00e+00 | 1C7 |
35 |
KEGG_TYPE_I_DIABETES_MELLITUS | 1.57e-01 | 6.07 | 0.15 | 1.00e+00 | 1.00e+00 | 1CPE |
43 |
KEGG_RETINOL_METABOLISM | 2.25e-01 | 4.05 | 0.10 | 1.00e+00 | 1.00e+00 | 1ALDH1A1 |
64 |
KEGG_VIRAL_MYOCARDITIS | 2.43e-01 | 3.70 | 0.09 | 1.00e+00 | 1.00e+00 | 1SGCG |
70 |
KEGG_ARRHYTHMOGENIC_RIGHT_VENTRICULAR_CARDIOMYOPATHY_ARVC | 2.55e-01 | 3.49 | 0.09 | 1.00e+00 | 1.00e+00 | 1SGCG |
74 |
KEGG_HYPERTROPHIC_CARDIOMYOPATHY_HCM | 2.81e-01 | 3.11 | 0.08 | 1.00e+00 | 1.00e+00 | 1SGCG |
83 |
KEGG_TGF_BETA_SIGNALING_PATHWAY | 2.90e-01 | 3.00 | 0.07 | 1.00e+00 | 1.00e+00 | 1THBS2 |
86 |
KEGG_DILATED_CARDIOMYOPATHY | 3.01e-01 | 2.87 | 0.07 | 1.00e+00 | 1.00e+00 | 1SGCG |
90 |
KEGG_SYSTEMIC_LUPUS_ERYTHEMATOSUS | 4.24e-01 | 1.85 | 0.05 | 1.00e+00 | 1.00e+00 | 1C7 |
139 |
KEGG_WNT_SIGNALING_PATHWAY | 4.51e-01 | 1.70 | 0.04 | 1.00e+00 | 1.00e+00 | 1SFRP2 |
151 |
KEGG_NEUROACTIVE_LIGAND_RECEPTOR_INTERACTION | 1.00e+00 | 0.94 | 0.02 | 1.00e+00 | 1.00e+00 | 1NPY1R |
272 |
KEGG_N_GLYCAN_BIOSYNTHESIS | 1.00e+00 | 0.00 | 0.00 | 1.00e+00 | 1.00e+00 | 0 |
46 |
KEGG_OTHER_GLYCAN_DEGRADATION | 1.00e+00 | 0.00 | 0.00 | 1.00e+00 | 1.00e+00 | 0 |
16 |
KEGG_O_GLYCAN_BIOSYNTHESIS | 1.00e+00 | 0.00 | 0.00 | 1.00e+00 | 1.00e+00 | 0 |
30 |
KEGG_GLYCOSAMINOGLYCAN_DEGRADATION | 1.00e+00 | 0.00 | 0.00 | 1.00e+00 | 1.00e+00 | 0 |
21 |
KEGG_GLYCOSAMINOGLYCAN_BIOSYNTHESIS_KERATAN_SULFATE | 1.00e+00 | 0.00 | 0.00 | 1.00e+00 | 1.00e+00 | 0 |
15 |
KEGG_GLYCEROLIPID_METABOLISM | 1.00e+00 | 0.00 | 0.00 | 1.00e+00 | 1.00e+00 | 0 |
49 |
Dowload full table
CHR Positional Gene Sets:
P-value | OR | Lower 95% CI | FDR | FWER | Genes Found | Gene Set Size | |
---|---|---|---|---|---|---|---|
chr2q32 | 6.78e-02 | 4.91 | 0.57 | 1.00e+00 | 1.00e+00 | 2COL3A1, COL5A2 |
108 |
chr5q23 | 7.11e-02 | 4.78 | 0.56 | 1.00e+00 | 1.00e+00 | 2PPIC, LOX |
111 |
chr4q32 | 7.33e-02 | 4.69 | 0.55 | 1.00e+00 | 1.00e+00 | 2CPE, NPY1R |
113 |
chr12q21 | 9.06e-02 | 4.13 | 0.48 | 1.00e+00 | 1.00e+00 | 2TSPAN8, LUM |
128 |
chr3q13 | 1.67e-01 | 2.82 | 0.33 | 1.00e+00 | 1.00e+00 | 2CCDC80, FSTL1 |
187 |
chr7q22 | 2.03e-01 | 2.47 | 0.29 | 1.00e+00 | 1.00e+00 | 2PCOLCE, LRRC17 |
213 |
chr5q15 | 2.13e-01 | 4.32 | 0.11 | 1.00e+00 | 1.00e+00 | 1NR2F1 |
60 |
chr6q27 | 2.58e-01 | 3.45 | 0.08 | 1.00e+00 | 1.00e+00 | 1THBS2 |
75 |
chr2q12 | 2.70e-01 | 3.27 | 0.08 | 1.00e+00 | 1.00e+00 | 1FHL2 |
79 |
chr6q14 | 3.09e-01 | 2.77 | 0.07 | 1.00e+00 | 1.00e+00 | 1COL12A1 |
93 |
chr12p12 | 3.46e-01 | 2.41 | 0.06 | 1.00e+00 | 1.00e+00 | 1MGP |
107 |
chr5q33 | 3.52e-01 | 2.36 | 0.06 | 1.00e+00 | 1.00e+00 | 1SPARC |
109 |
chr3q27 | 3.67e-01 | 2.24 | 0.06 | 1.00e+00 | 1.00e+00 | 1MASP1 |
115 |
chr21q21 | 3.77e-01 | 2.16 | 0.05 | 1.00e+00 | 1.00e+00 | 1ADAMTS1 |
119 |
chr19q13 | 4.39e-01 | 0.45 | 0.05 | 1.00e+00 | 1.00e+00 | 2FXYD1, LTBP4 |
1165 |
chr4p15 | 3.84e-01 | 2.11 | 0.05 | 1.00e+00 | 1.00e+00 | 1SOD3 |
122 |
chr5p13 | 3.99e-01 | 2.01 | 0.05 | 1.00e+00 | 1.00e+00 | 1C7 |
128 |
chr9q31 | 3.99e-01 | 2.01 | 0.05 | 1.00e+00 | 1.00e+00 | 1SVEP1 |
128 |
chr16q24 | 4.03e-01 | 1.98 | 0.05 | 1.00e+00 | 1.00e+00 | 1CRISPLD2 |
130 |
chr4q31 | 4.64e-01 | 1.64 | 0.04 | 1.00e+00 | 1.00e+00 | 1SFRP2 |
157 |
Dowload full table
Transcription Factor Targets:
P-value | OR | Lower 95% CI | FDR | FWER | Genes Found | Gene Set Size | |
---|---|---|---|---|---|---|---|
GATAAGR_GATA_C | 1.46e-04 | 6.97 | 2.62 | 8.90e-02 | 1.65e-01 | 7CCDC80, ADAMTS3, NR2F1, NFIA, MASP1, FHL2, NFIB |
299 |
STAT5A_01 | 4.86e-04 | 6.74 | 2.32 | 1.38e-01 | 5.51e-01 | 6SRPX, C7, PCOLCE, EGFL6, NFIA, OLFML3 |
259 |
TGGNNNNNNKCCAR_UNKNOWN | 2.36e-04 | 5.56 | 2.24 | 8.90e-02 | 2.67e-01 | 8SFRP2, PCOLCE, LRRC17, FXYD1, LOX, NR2F1, NFIA, NFIB |
436 |
HFH8_01 | 1.28e-03 | 6.84 | 2.10 | 1.86e-01 | 1.00e+00 | 5NR2F1, FSTL1, MASP1, FHL2, NFIB |
208 |
GGARNTKYCCA_UNKNOWN | 3.87e-03 | 10.36 | 2.02 | 2.31e-01 | 1.00e+00 | 3SRPX, COL1A2, NFIB |
80 |
WWTAAGGC_UNKNOWN | 2.56e-03 | 7.65 | 1.97 | 2.27e-01 | 1.00e+00 | 4COL3A1, SGCG, NR2F1, NFIB |
146 |
TATAAA_TATA_01 | 1.61e-04 | 3.73 | 1.86 | 8.90e-02 | 1.82e-01 | 14COL1A1, COL1A2, OGN, PI15, ANGPTL1, MGP, FBLN5, FXYD1, NR2F1, ADAMTS1, MASP1, FHL2, THBS2, NFIB |
1317 |
CEBPE_TARGET_GENES | 8.47e-03 | 15.77 | 1.78 | 3.57e-01 | 1.00e+00 | 2TSPAN8, NR2F1 |
35 |
STAT5B_01 | 3.07e-03 | 5.56 | 1.71 | 2.27e-01 | 1.00e+00 | 5SRPX, C7, PCOLCE, FXYD1, OLFML3 |
255 |
TFIIA_Q6 | 3.12e-03 | 5.53 | 1.70 | 2.27e-01 | 1.00e+00 | 5COL1A1, GPC3, NR2F1, FHL2, NFIB |
256 |
CP2_01 | 3.33e-03 | 5.45 | 1.67 | 2.27e-01 | 1.00e+00 | 5COL1A1, COL1A2, SOD3, GPC3, EGFL6 |
260 |
PAX2_02 | 3.61e-03 | 5.34 | 1.64 | 2.27e-01 | 1.00e+00 | 5GPC3, LOX, NR2F1, FSTL1, NFIB |
265 |
AAANWWTGC_UNKNOWN | 7.07e-03 | 5.69 | 1.47 | 3.57e-01 | 1.00e+00 | 4SFRP2, GPC3, LOX, THBS2 |
195 |
TGGAAA_NFAT_Q4_01 | 2.42e-03 | 2.79 | 1.42 | 2.27e-01 | 1.00e+00 | 15SRPX, COL1A2, CCDC80, ANGPTL1, MGP, CPE, LOX, COL12A1, EGFL6, NFIA, FSTL1, ALDH1A1, PAMR1, OLFML3, NFIB |
1934 |
HFH4_01 | 8.38e-03 | 5.41 | 1.40 | 3.57e-01 | 1.00e+00 | 4ANGPTL1, NFIA, FSTL1, PAMR1 |
205 |
FAC1_01 | 1.13e-02 | 4.94 | 1.28 | 3.75e-01 | 1.00e+00 | 4SRPX, NR2F1, OLFML3, NFIB |
224 |
TTCYNRGAA_STAT5B_01 | 1.01e-02 | 4.13 | 1.27 | 3.75e-01 | 1.00e+00 | 5SRPX, C7, PCOLCE, EGFL6, OLFML3 |
341 |
MEF2_03 | 1.42e-02 | 4.61 | 1.19 | 4.02e-01 | 1.00e+00 | 4OGN, NR2F1, THBS2, NFIB |
240 |
POU6F1_01 | 1.42e-02 | 4.61 | 1.19 | 4.02e-01 | 1.00e+00 | 4COL1A2, NR2F1, FSTL1, OLFML3 |
240 |
TBP_01 | 1.58e-02 | 4.45 | 1.16 | 4.26e-01 | 1.00e+00 | 4COL1A2, FXYD1, FHL2, THBS2 |
248 |
Dowload full table
GO Biological Processes:
P-value | OR | Lower 95% CI | FDR | FWER | Genes Found | Gene Set Size | |
---|---|---|---|---|---|---|---|
GOBP_COLLAGEN_FIBRIL_ORGANIZATION | 9.95e-17 | 81.70 | 35.37 | 3.72e-13 | 7.45e-13 | 11SFRP2, COL3A1, COL1A1, COL1A2, COL14A1, ADAMTS3, COL5A1, LUM, LOX, COL5A2, COL12A1 |
54 |
GOBP_REGULATION_OF_ENDODERMAL_CELL_DIFFERENTIATION | 1.54e-04 | 172.68 | 14.09 | 9.62e-02 | 1.00e+00 | 2COL5A1, COL5A2 |
5 |
GOBP_EXTERNAL_ENCAPSULATING_STRUCTURE_ORGANIZATION | 6.51e-18 | 22.18 | 11.82 | 4.87e-14 | 4.87e-14 | 20SFRP2, ELN, COL3A1, COL1A1, COL1A2, CCDC80, COL14A1, ADAMTS3, FBLN1, COL5A1, SPARC, FBLN5, LUM, LOX, COL5A2, COL6A2, COL12A1, EGFL6, CRISPLD2, ADAMTS1 |
396 |
GOBP_TRABECULA_FORMATION | 8.65e-05 | 41.89 | 7.68 | 5.88e-02 | 6.47e-01 | 3COL1A1, ADAMTS1, FHL2 |
22 |
GOBP_ELASTIC_FIBER_ASSEMBLY | 6.85e-04 | 64.86 | 6.55 | 2.23e-01 | 1.00e+00 | 2FBLN5, LOX |
10 |
GOBP_SKIN_MORPHOGENESIS | 8.35e-04 | 57.69 | 5.91 | 2.23e-01 | 1.00e+00 | 2COL1A1, COL1A2 |
11 |
GOBP_KERATAN_SULFATE_CATABOLIC_PROCESS | 9.99e-04 | 51.89 | 5.39 | 2.30e-01 | 1.00e+00 | 2OGN, LUM |
12 |
GOBP_HEART_TRABECULA_FORMATION | 1.18e-03 | 47.19 | 4.96 | 2.42e-01 | 1.00e+00 | 2ADAMTS1, FHL2 |
13 |
GOBP_CARDIAC_LEFT_VENTRICLE_MORPHOGENESIS | 1.37e-03 | 43.30 | 4.59 | 2.70e-01 | 1.00e+00 | 2SFRP2, CPE |
14 |
GOBP_REGULATION_OF_WNT_SIGNALING_PATHWAY_PLANAR_CELL_POLARITY_PATHWAY | 1.58e-03 | 39.95 | 4.27 | 3.02e-01 | 1.00e+00 | 2SFRP2, GPC3 |
15 |
GOBP_TRABECULA_MORPHOGENESIS | 6.50e-04 | 19.93 | 3.81 | 2.23e-01 | 1.00e+00 | 3COL1A1, ADAMTS1, FHL2 |
43 |
GOBP_ENDODERMAL_CELL_DIFFERENTIATION | 6.96e-04 | 19.44 | 3.72 | 2.23e-01 | 1.00e+00 | 3COL5A1, COL5A2, COL12A1 |
44 |
GOBP_EXTRACELLULAR_MATRIX_ASSEMBLY | 7.43e-04 | 18.98 | 3.64 | 2.23e-01 | 1.00e+00 | 3COL1A2, FBLN5, LOX |
45 |
GOBP_BODY_MORPHOGENESIS | 7.92e-04 | 18.54 | 3.56 | 2.23e-01 | 1.00e+00 | 3COL1A1, GPC3, CRISPLD2 |
46 |
GOBP_COMPLEMENT_ACTIVATION_ALTERNATIVE_PATHWAY | 2.28e-03 | 32.49 | 3.53 | 4.16e-01 | 1.00e+00 | 2C7, CFD |
18 |
GOBP_HEART_DEVELOPMENT | 8.22e-07 | 7.27 | 3.44 | 2.05e-03 | 6.15e-03 | 12SFRP2, ELN, COL3A1, SGCG, CPE, COL5A1, SPARC, GPC3, NPY1R, LOX, ADAMTS1, FHL2 |
555 |
GOBP_HEART_MORPHOGENESIS | 3.67e-05 | 8.77 | 3.29 | 3.30e-02 | 2.75e-01 | 7SFRP2, ELN, CPE, COL5A1, NPY1R, ADAMTS1, FHL2 |
239 |
GOBP_CONNECTIVE_TISSUE_DEVELOPMENT | 3.97e-05 | 8.66 | 3.25 | 3.30e-02 | 2.97e-01 | 7SFRP2, COL1A1, MGP, COL5A1, LUM, LOX, NFIB |
242 |
GOBP_COLLAGEN_BIOSYNTHETIC_PROCESS | 1.07e-03 | 16.60 | 3.20 | 2.30e-01 | 1.00e+00 | 3COL1A1, ADAMTS3, COL5A1 |
51 |
GOBP_ENDODERM_FORMATION | 1.20e-03 | 15.94 | 3.07 | 2.42e-01 | 1.00e+00 | 3COL5A1, COL5A2, COL12A1 |
53 |
Dowload full table
Immunological Gene Sets:
P-value | OR | Lower 95% CI | FDR | FWER | Genes Found | Gene Set Size | |
---|---|---|---|---|---|---|---|
GSE37605_FOXP3_FUSION_GFP_VS_IRES_GFP_TREG_C57BL6_DN | 3.74e-07 | 14.17 | 5.66 | 1.82e-03 | 1.82e-03 | 8SRPX, OGN, CCDC80, MGP, SPARC, FBLN5, LOX, ADAMTS1 |
176 |
GSE24671_CTRL_VS_BAKIMULC_INFECTED_MOUSE_SPLENOCYTES_DN | 4.15e-06 | 12.48 | 4.67 | 1.01e-02 | 2.02e-02 | 7COL1A1, C7, GPC3, FXYD1, COL5A2, FSTL1, FHL2 |
170 |
GSE8921_UNSTIM_0H_VS_TLR1_2_STIM_MONOCYTE_24H_UP | 1.20e-04 | 8.83 | 3.04 | 8.61e-02 | 5.86e-01 | 6COL1A1, ANGPTL1, COL14A1, SPARC, FSTL1, THBS2 |
199 |
GSE37301_RAG2_KO_VS_RAG2_AND_ETS1_KO_NK_CELL_UP | 1.24e-04 | 8.78 | 3.02 | 8.61e-02 | 6.03e-01 | 6COL1A1, CCDC80, COL14A1, GPC3, COL6A2, NFIA |
200 |
GSE43955_TH0_VS_TGFB_IL6_TH17_ACT_CD4_TCELL_52H_DN | 1.24e-04 | 8.78 | 3.02 | 8.61e-02 | 6.03e-01 | 6COL1A2, NPY1R, NFIA, FSTL1, PROCR, NFIB |
200 |
GSE43955_1H_VS_20H_ACT_CD4_TCELL_DN | 1.24e-04 | 8.78 | 3.02 | 8.61e-02 | 6.03e-01 | 6SFRP2, MGP, PCOLCE, COL5A2, NR2F1, NFIB |
200 |
GSE43955_TGFB_IL6_VS_TGFB_IL6_IL23_TH17_ACT_CD4_TCELL_52H_DN | 1.24e-04 | 8.78 | 3.02 | 8.61e-02 | 6.03e-01 | 6PPIC, FXYD1, NR2F1, NFIA, FSTL1, ALDH1A1 |
200 |
GSE17721_LPS_VS_CPG_16H_BMDC_DN | 1.08e-03 | 7.12 | 2.18 | 3.29e-01 | 1.00e+00 | 5CCDC80, COL14A1, PPIC, FHL2, THBS2 |
200 |
GSE20715_WT_VS_TLR4_KO_24H_OZONE_LUNG_UP | 1.08e-03 | 7.12 | 2.18 | 3.29e-01 | 1.00e+00 | 5COL1A2, FBLN5, SVEP1, NR2F1, OLFML3 |
200 |
GSE2405_0H_VS_1.5H_A_PHAGOCYTOPHILUM_STIM_NEUTROPHIL_UP | 1.08e-03 | 7.12 | 2.18 | 3.29e-01 | 1.00e+00 | 5COL3A1, COL1A2, CCDC80, MGP, CFD |
200 |
GSE8835_HEALTHY_VS_CLL_CD8_TCELL_DN | 1.08e-03 | 7.12 | 2.18 | 3.29e-01 | 1.00e+00 | 5COL3A1, COL1A1, COL1A2, COL5A1, LUM |
200 |
GSE19888_ADENOSINE_A3R_ACT_VS_TCELL_MEMBRANES_ACT_IN_MAST_CELL_UP | 1.08e-03 | 7.12 | 2.18 | 3.29e-01 | 1.00e+00 | 5COL3A1, PPIC, PCOLCE, LUM, COL5A2 |
200 |
GSE27670_CTRL_VS_BLIMP1_TRANSDUCED_GC_BCELL_DN | 1.08e-03 | 7.12 | 2.18 | 3.29e-01 | 1.00e+00 | 5PPIC, CPE, SPARC, COL5A2, THBS2 |
200 |
GSE28737_BCL6_HET_VS_BCL6_KO_FOLLICULAR_BCELL_DN | 1.08e-03 | 7.12 | 2.18 | 3.29e-01 | 1.00e+00 | 5COL1A1, COL1A2, SPARC, LOX, FSTL1 |
200 |
GSE27434_WT_VS_DNMT1_KO_TREG_DN | 1.08e-03 | 7.12 | 2.18 | 3.29e-01 | 1.00e+00 | 5COL1A2, PPIC, CPE, COL5A2, PROCR |
200 |
GSE18804_SPLEEN_MACROPHAGE_VS_COLON_TUMORAL_MACROPHAGE_UP | 1.08e-03 | 7.12 | 2.18 | 3.29e-01 | 1.00e+00 | 5ELN, COL1A1, COL5A1, SPARC, OLFML3 |
200 |
GSE6259_CD4_TCELL_VS_CD8_TCELL_UP | 6.12e-03 | 5.94 | 1.54 | 8.16e-01 | 1.00e+00 | 4OGN, PCOLCE, FBLN1, FSTL1 |
187 |
GSE17974_IL4_AND_ANTI_IL12_VS_UNTREATED_1H_ACT_CD4_TCELL_DN | 6.35e-03 | 5.87 | 1.52 | 8.16e-01 | 1.00e+00 | 4COL1A1, PI15, COL12A1, EGFL6 |
189 |
GSE36476_YOUNG_VS_OLD_DONOR_MEMORY_CD4_TCELL_40H_TSST_ACT_UP | 7.07e-03 | 5.69 | 1.47 | 8.16e-01 | 1.00e+00 | 4ELN, PI15, SPARC, OLFML3 |
195 |
GSE360_L_MAJOR_VS_T_GONDII_DC_DN | 7.45e-03 | 5.60 | 1.45 | 8.16e-01 | 1.00e+00 | 4C7, CPE, LUM, THBS2 |
198 |
Top Ranked Transcription Factors for this Gene Expression Program:
Gene Symbol | TF Rank | DNA Binding Domain | Motif Status | IUPAC PWM | GTEx | DepMap | Decartes |
---|---|---|---|---|---|---|---|
NR2F1 | 39.0 | Yes | Known motif | Monomer or homomultimer | High-throughput in vitro | None | None |
NFIA | 40.0 | Yes | Known motif | Monomer or homomultimer | High-throughput in vitro | None | None |
FHL2 | 47.0 | No | Unlikely to be sequence specific TF | Not a DNA binding protein | No motif | None | LIM ZF proteins are unlikely to bind DNA. Experimental evidence does not support a role for FHL2 as a sequence-specific DNA-binding protein (PMID:10654935) |
NFIB | 50.0 | Yes | Known motif | Monomer or homomultimer | High-throughput in vitro | None | None |
WNT5A | 81.0 | No | Unlikely to be sequence specific TF | Not a DNA binding protein | No motif | None | (PMID: 19847889) shows this protein as a part of a large EMSA shifting complex with RNA-Pol1, CHD1, and other DNA binding proteins. It does not, however, show evidence for it binding to DNA directly |
DDR2 | 94.0 | No | Unlikely to be sequence specific TF | Not a DNA binding protein | No motif | None | None |
AEBP1 | 101.0 | Yes | Likely to be sequence specific TF | Monomer or homomultimer | No motif | None | This is a protease, but its ability to bind DNA is supported by both gel-shift (PMID: 15654748) and ChIP (PMID: 22723309). |
NR4A1 | 106.0 | Yes | Known motif | Monomer or homomultimer | High-throughput in vitro | None | None |
FBN1 | 108.0 | No | Unlikely to be sequence specific TF | Not a DNA binding protein | No motif | None | None |
NRK | 113.0 | No | Unlikely to be sequence specific TF | Not a DNA binding protein | No motif | None | Protein is a kinase |
ARID5B | 119.0 | Yes | Known motif | Monomer or homomultimer | 100 perc ID - in vitro | Has a putative AT-hook | None |
PRRX1 | 121.0 | Yes | Known motif | Monomer or homomultimer | High-throughput in vitro | None | None |
TWIST2 | 122.0 | Yes | Known motif | Monomer or homomultimer | 100 perc ID - in vitro | None | None |
NFIX | 130.0 | Yes | Known motif | Monomer or homomultimer | High-throughput in vitro | None | None |
ID3 | 133.0 | No | Unlikely to be sequence specific TF | Not a DNA binding protein | No motif | None | ID bHLH proteins lack the basic region and should not be able to bind DNA. The HT-SELEX motif for ID4 is likely by a co-precipitated protein or it is a contamination |
CCDC3 | 140.0 | No | Unlikely to be sequence specific TF | Not a DNA binding protein | No motif | None | bZIP domain is truncated and lacks the DNA-contacting residues. |
ADAMTS19 | 141.5 | No | Unlikely to be sequence specific TF | Not a DNA binding protein | No motif | Has a putative AT-hook | None |
ZFP36 | 149.0 | No | ssDNA/RNA binding | Not a DNA binding protein | No motif | None | RNA binding protein (PMID: 10330172). |
ESR1 | 152.0 | Yes | Known motif | Monomer or homomultimer | High-throughput in vitro | None | None |
OSR1 | 159.0 | Yes | Known motif | Monomer or homomultimer | High-throughput in vitro | None | None |
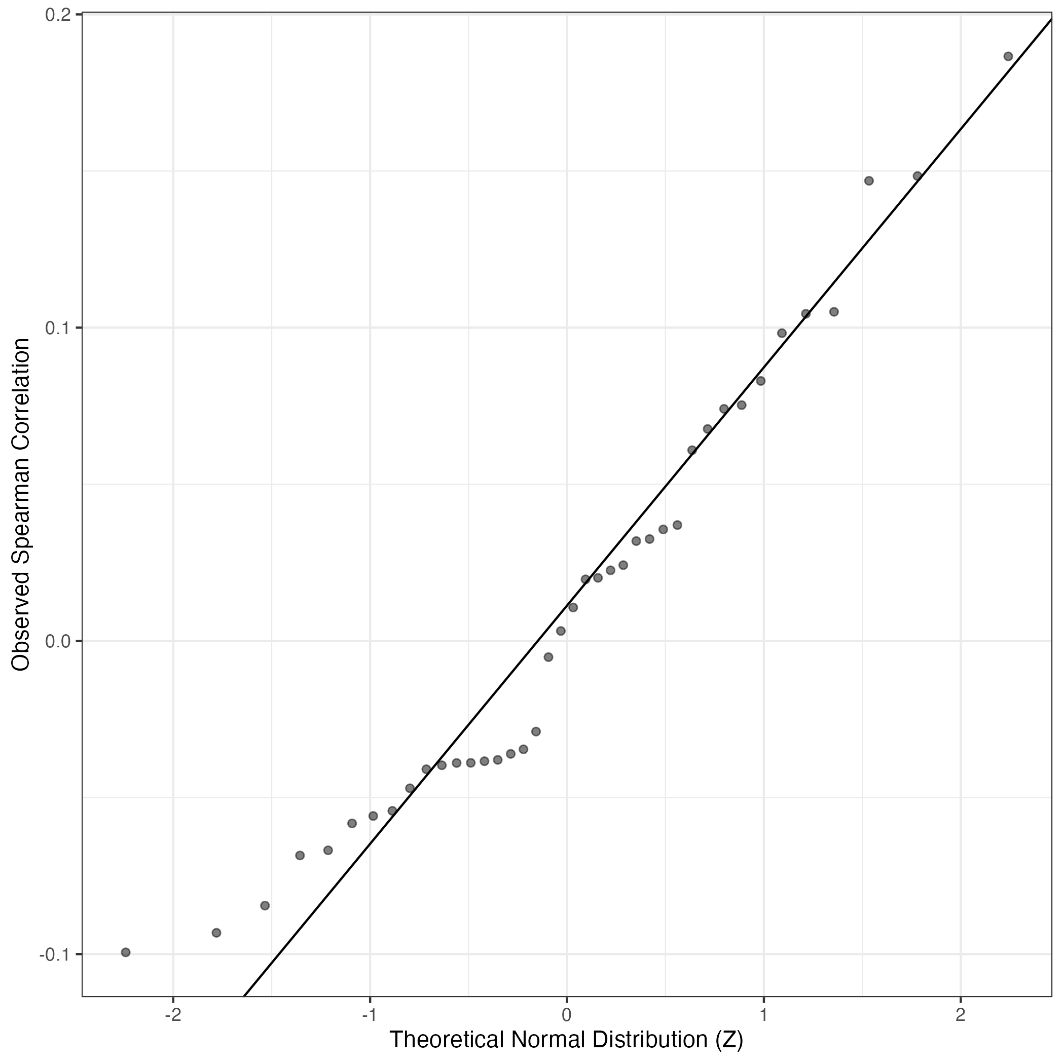
QQ Plot showing correlations with other GEPs in this dataset, calculated by Spearman correlation:
Interactive QQ-plot of gene loadings:
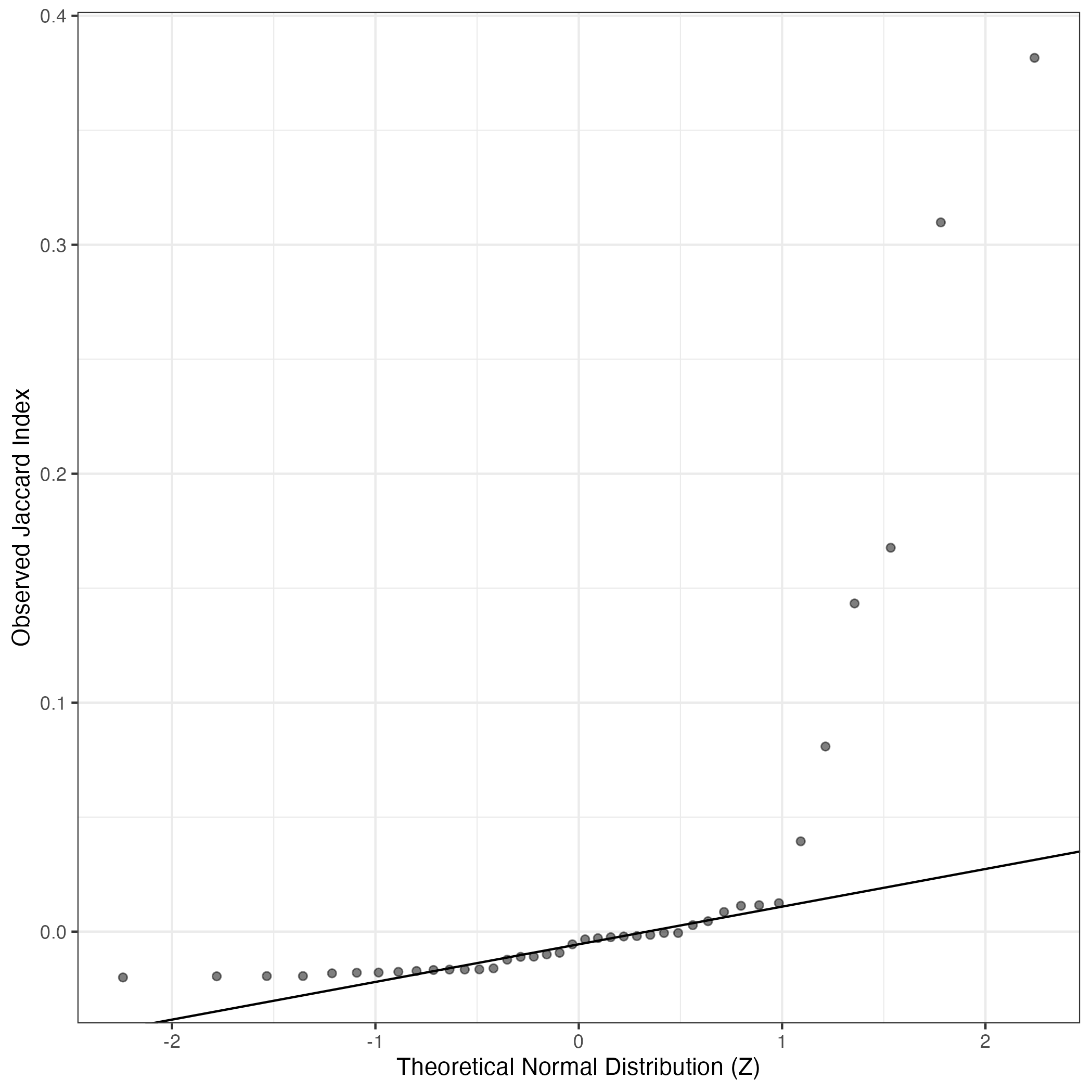
A similar QQ-plot as above, but only for instances where the H value is e.g. > 25, i.e. we are confident that the expression program is active above noise. Agreemenet between these binary vectors is tested using the Jaccard Index, with the P-values calculated by an exact test:
Interactive QQ-plot:
Singler cell type annotations for the top 50 cells on this program.
Cell ID | Singler label | Singler Delta | Activity Score | Top Singler Raw Scores |
---|---|---|---|---|
STDY7685340_GCATGCGCAGGCAGTA | Smooth_muscle_cells:bronchial | 0.22 | 858.34 | Raw ScoresFibroblasts:breast: 0.4, Smooth_muscle_cells:bronchial: 0.39, Smooth_muscle_cells:bronchial:vit_D: 0.39, iPS_cells:adipose_stem_cells: 0.39, Osteoblasts: 0.39, iPS_cells:CRL2097_foreskin: 0.38, Chondrocytes:MSC-derived: 0.38, Smooth_muscle_cells:vascular: 0.38, Smooth_muscle_cells:vascular:IL-17: 0.37, Tissue_stem_cells:BM_MSC:TGFb3: 0.37 |
STDY7685340_AATCCAGCAAACGCGA | Fibroblasts:breast | 0.25 | 793.95 | Raw ScoresFibroblasts:breast: 0.46, iPS_cells:adipose_stem_cells: 0.44, Smooth_muscle_cells:bronchial: 0.43, Smooth_muscle_cells:vascular: 0.42, Smooth_muscle_cells:bronchial:vit_D: 0.42, Chondrocytes:MSC-derived: 0.42, Osteoblasts: 0.42, iPS_cells:CRL2097_foreskin: 0.42, Smooth_muscle_cells:vascular:IL-17: 0.42, Tissue_stem_cells:BM_MSC:TGFb3: 0.41 |
STDY7685340_TTTCCTCCAAAGGAAG | Fibroblasts:breast | 0.24 | 787.20 | Raw ScoresFibroblasts:breast: 0.43, iPS_cells:adipose_stem_cells: 0.41, iPS_cells:CRL2097_foreskin: 0.4, Osteoblasts: 0.4, Smooth_muscle_cells:vascular:IL-17: 0.4, Smooth_muscle_cells:vascular: 0.4, Chondrocytes:MSC-derived: 0.4, Smooth_muscle_cells:bronchial: 0.39, Smooth_muscle_cells:bronchial:vit_D: 0.39, Tissue_stem_cells:BM_MSC:TGFb3: 0.39 |
STDY7685340_CTAGCCTGTCAACATC | Smooth_muscle_cells:bronchial | 0.23 | 770.90 | Raw ScoresFibroblasts:breast: 0.45, iPS_cells:adipose_stem_cells: 0.43, Smooth_muscle_cells:bronchial: 0.43, Smooth_muscle_cells:bronchial:vit_D: 0.43, Osteoblasts: 0.42, Chondrocytes:MSC-derived: 0.42, Smooth_muscle_cells:vascular: 0.41, Tissue_stem_cells:BM_MSC:TGFb3: 0.41, iPS_cells:CRL2097_foreskin: 0.41, Smooth_muscle_cells:vascular:IL-17: 0.4 |
STDY7685340_GCATGATAGCTAACAA | Smooth_muscle_cells:bronchial | 0.20 | 695.25 | Raw ScoresFibroblasts:breast: 0.41, Smooth_muscle_cells:bronchial: 0.39, iPS_cells:adipose_stem_cells: 0.39, Smooth_muscle_cells:bronchial:vit_D: 0.38, Smooth_muscle_cells:vascular: 0.38, iPS_cells:CRL2097_foreskin: 0.38, Osteoblasts: 0.38, Smooth_muscle_cells:vascular:IL-17: 0.38, Tissue_stem_cells:BM_MSC:TGFb3: 0.37, Chondrocytes:MSC-derived: 0.37 |
STDY7685340_CGTGTCTCATCGATTG | Fibroblasts:breast | 0.20 | 681.25 | Raw ScoresFibroblasts:breast: 0.4, iPS_cells:adipose_stem_cells: 0.38, Smooth_muscle_cells:bronchial: 0.38, Smooth_muscle_cells:bronchial:vit_D: 0.38, Smooth_muscle_cells:vascular: 0.38, Smooth_muscle_cells:vascular:IL-17: 0.38, Osteoblasts: 0.37, Chondrocytes:MSC-derived: 0.37, Tissue_stem_cells:BM_MSC:TGFb3: 0.37, iPS_cells:CRL2097_foreskin: 0.37 |
STDY7685340_ATTCTACTCCGTACAA | Fibroblasts:breast | 0.22 | 640.95 | Raw ScoresFibroblasts:breast: 0.39, Smooth_muscle_cells:bronchial: 0.38, iPS_cells:adipose_stem_cells: 0.38, Smooth_muscle_cells:bronchial:vit_D: 0.37, Smooth_muscle_cells:vascular: 0.37, Smooth_muscle_cells:vascular:IL-17: 0.36, Chondrocytes:MSC-derived: 0.36, Osteoblasts: 0.36, iPS_cells:CRL2097_foreskin: 0.36, Tissue_stem_cells:BM_MSC:TGFb3: 0.35 |
STDY7685340_TGACGGCCAATGAAAC | Fibroblasts:breast | 0.21 | 630.18 | Raw ScoresFibroblasts:breast: 0.38, iPS_cells:adipose_stem_cells: 0.37, Smooth_muscle_cells:bronchial: 0.36, Smooth_muscle_cells:bronchial:vit_D: 0.36, Osteoblasts: 0.35, Chondrocytes:MSC-derived: 0.35, Smooth_muscle_cells:vascular: 0.35, iPS_cells:CRL2097_foreskin: 0.35, Tissue_stem_cells:BM_MSC:TGFb3: 0.35, Smooth_muscle_cells:vascular:IL-17: 0.35 |
STDY7685340_CGGGTCAAGCGATAGC | Smooth_muscle_cells:bronchial | 0.20 | 627.34 | Raw ScoresFibroblasts:breast: 0.4, Smooth_muscle_cells:bronchial: 0.4, Smooth_muscle_cells:bronchial:vit_D: 0.39, iPS_cells:adipose_stem_cells: 0.39, Smooth_muscle_cells:vascular: 0.38, Smooth_muscle_cells:vascular:IL-17: 0.38, iPS_cells:CRL2097_foreskin: 0.38, Osteoblasts: 0.38, iPS_cells:fibroblasts: 0.37, Tissue_stem_cells:BM_MSC:TGFb3: 0.37 |
STDY7685340_GTAACTGAGACAGACC | Fibroblasts:breast | 0.19 | 611.12 | Raw ScoresFibroblasts:breast: 0.37, iPS_cells:adipose_stem_cells: 0.36, Tissue_stem_cells:BM_MSC:TGFb3: 0.35, Smooth_muscle_cells:bronchial: 0.35, Osteoblasts: 0.35, Smooth_muscle_cells:bronchial:vit_D: 0.35, Chondrocytes:MSC-derived: 0.34, Tissue_stem_cells:BM_MSC:BMP2: 0.34, Smooth_muscle_cells:vascular: 0.34, iPS_cells:CRL2097_foreskin: 0.34 |
STDY7685340_GCAGCCAGTGACCAAG | Tissue_stem_cells:BM_MSC:TGFb3 | 0.19 | 608.59 | Raw ScoresFibroblasts:breast: 0.39, iPS_cells:adipose_stem_cells: 0.37, Tissue_stem_cells:BM_MSC:TGFb3: 0.37, Smooth_muscle_cells:bronchial: 0.37, Osteoblasts: 0.37, Smooth_muscle_cells:bronchial:vit_D: 0.37, Tissue_stem_cells:BM_MSC:BMP2: 0.36, Chondrocytes:MSC-derived: 0.36, Tissue_stem_cells:iliac_MSC: 0.36, Smooth_muscle_cells:vascular: 0.36 |
STDY7685340_GAACGGACATGCCACG | Fibroblasts:breast | 0.20 | 586.28 | Raw ScoresFibroblasts:breast: 0.38, iPS_cells:adipose_stem_cells: 0.37, Smooth_muscle_cells:bronchial: 0.37, Smooth_muscle_cells:bronchial:vit_D: 0.36, Osteoblasts: 0.36, iPS_cells:CRL2097_foreskin: 0.36, Smooth_muscle_cells:vascular: 0.36, Chondrocytes:MSC-derived: 0.36, Tissue_stem_cells:BM_MSC:TGFb3: 0.36, Smooth_muscle_cells:vascular:IL-17: 0.35 |
STDY7685340_TTTGCGCCAAAGCAAT | Smooth_muscle_cells:bronchial | 0.22 | 569.25 | Raw ScoresFibroblasts:breast: 0.41, Smooth_muscle_cells:bronchial: 0.4, Smooth_muscle_cells:bronchial:vit_D: 0.4, iPS_cells:adipose_stem_cells: 0.39, Osteoblasts: 0.38, iPS_cells:CRL2097_foreskin: 0.38, Chondrocytes:MSC-derived: 0.38, Tissue_stem_cells:BM_MSC:TGFb3: 0.38, Smooth_muscle_cells:vascular: 0.38, Tissue_stem_cells:BM_MSC:BMP2: 0.37 |
STDY7685340_GTCACAACAATACGCT | Chondrocytes:MSC-derived | 0.18 | 565.32 | Raw ScoresFibroblasts:breast: 0.37, Smooth_muscle_cells:bronchial: 0.36, iPS_cells:adipose_stem_cells: 0.36, Tissue_stem_cells:BM_MSC:TGFb3: 0.36, Osteoblasts: 0.36, Smooth_muscle_cells:bronchial:vit_D: 0.36, Chondrocytes:MSC-derived: 0.36, Tissue_stem_cells:BM_MSC:BMP2: 0.35, Smooth_muscle_cells:vascular: 0.35, Tissue_stem_cells:iliac_MSC: 0.34 |
STDY7685340_GATGAAATCATGTAGC | Fibroblasts:breast | 0.23 | 552.75 | Raw ScoresFibroblasts:breast: 0.42, iPS_cells:adipose_stem_cells: 0.42, Smooth_muscle_cells:bronchial: 0.4, Osteoblasts: 0.4, Smooth_muscle_cells:bronchial:vit_D: 0.4, Chondrocytes:MSC-derived: 0.4, Tissue_stem_cells:BM_MSC:TGFb3: 0.4, Smooth_muscle_cells:vascular: 0.39, iPS_cells:CRL2097_foreskin: 0.39, Smooth_muscle_cells:vascular:IL-17: 0.39 |
STDY7685340_GGGACCTTCAGGCGAA | Fibroblasts:breast | 0.22 | 546.30 | Raw ScoresFibroblasts:breast: 0.35, Smooth_muscle_cells:bronchial: 0.34, Smooth_muscle_cells:bronchial:vit_D: 0.33, iPS_cells:adipose_stem_cells: 0.33, Osteoblasts: 0.32, Smooth_muscle_cells:vascular: 0.32, Smooth_muscle_cells:vascular:IL-17: 0.32, Chondrocytes:MSC-derived: 0.32, Tissue_stem_cells:BM_MSC:TGFb3: 0.32, iPS_cells:CRL2097_foreskin: 0.31 |
STDY7685340_CCATTCGGTAAATGTG | Fibroblasts:breast | 0.22 | 542.53 | Raw ScoresFibroblasts:breast: 0.39, Smooth_muscle_cells:bronchial: 0.38, Smooth_muscle_cells:bronchial:vit_D: 0.38, iPS_cells:adipose_stem_cells: 0.38, Chondrocytes:MSC-derived: 0.37, iPS_cells:CRL2097_foreskin: 0.36, Smooth_muscle_cells:vascular: 0.36, Osteoblasts: 0.36, Tissue_stem_cells:BM_MSC:TGFb3: 0.36, Smooth_muscle_cells:vascular:IL-17: 0.35 |
STDY7685340_CGTTCTGAGTTATCGC | Fibroblasts:breast | 0.22 | 522.06 | Raw ScoresFibroblasts:breast: 0.38, iPS_cells:adipose_stem_cells: 0.37, Smooth_muscle_cells:bronchial: 0.37, Osteoblasts: 0.36, Smooth_muscle_cells:bronchial:vit_D: 0.36, iPS_cells:CRL2097_foreskin: 0.36, Smooth_muscle_cells:vascular: 0.36, Tissue_stem_cells:BM_MSC:TGFb3: 0.35, Smooth_muscle_cells:vascular:IL-17: 0.35, Chondrocytes:MSC-derived: 0.35 |
STDY7685340_AACACGTTCGTCTGAA | Fibroblasts:breast | 0.24 | 507.49 | Raw ScoresFibroblasts:breast: 0.38, iPS_cells:adipose_stem_cells: 0.38, Smooth_muscle_cells:bronchial: 0.37, Smooth_muscle_cells:bronchial:vit_D: 0.37, Osteoblasts: 0.36, Chondrocytes:MSC-derived: 0.36, iPS_cells:CRL2097_foreskin: 0.36, Tissue_stem_cells:BM_MSC:TGFb3: 0.36, Tissue_stem_cells:BM_MSC:BMP2: 0.35, Smooth_muscle_cells:vascular: 0.35 |
STDY7685340_ACATGGTGTGGCAAAC | Fibroblasts:breast | 0.22 | 492.52 | Raw ScoresFibroblasts:breast: 0.39, iPS_cells:adipose_stem_cells: 0.38, Smooth_muscle_cells:bronchial: 0.37, Smooth_muscle_cells:bronchial:vit_D: 0.37, Osteoblasts: 0.37, iPS_cells:CRL2097_foreskin: 0.37, Tissue_stem_cells:BM_MSC:TGFb3: 0.37, Chondrocytes:MSC-derived: 0.37, Smooth_muscle_cells:vascular: 0.36, Smooth_muscle_cells:vascular:IL-17: 0.36 |
STDY7685340_GAACCTAGTGGTGTAG | Fibroblasts:breast | 0.19 | 482.49 | Raw ScoresFibroblasts:breast: 0.38, iPS_cells:adipose_stem_cells: 0.38, Smooth_muscle_cells:bronchial: 0.37, Smooth_muscle_cells:bronchial:vit_D: 0.37, Chondrocytes:MSC-derived: 0.37, Osteoblasts: 0.36, Tissue_stem_cells:BM_MSC:TGFb3: 0.36, Smooth_muscle_cells:vascular: 0.36, Smooth_muscle_cells:vascular:IL-17: 0.36, Tissue_stem_cells:BM_MSC:BMP2: 0.35 |
STDY7685340_CGTTAGAGTGAAATCA | Fibroblasts:breast | 0.22 | 478.47 | Raw ScoresFibroblasts:breast: 0.41, iPS_cells:adipose_stem_cells: 0.41, Smooth_muscle_cells:bronchial: 0.39, Smooth_muscle_cells:bronchial:vit_D: 0.39, Osteoblasts: 0.39, Tissue_stem_cells:BM_MSC:TGFb3: 0.39, Smooth_muscle_cells:vascular: 0.38, Chondrocytes:MSC-derived: 0.38, Smooth_muscle_cells:vascular:IL-17: 0.38, Tissue_stem_cells:BM_MSC:BMP2: 0.38 |
STDY7685340_CTGCGGACAGATGGGT | Smooth_muscle_cells:bronchial | 0.22 | 477.77 | Raw ScoresFibroblasts:breast: 0.45, Smooth_muscle_cells:bronchial: 0.44, iPS_cells:adipose_stem_cells: 0.44, Smooth_muscle_cells:bronchial:vit_D: 0.44, Smooth_muscle_cells:vascular: 0.43, Tissue_stem_cells:BM_MSC:TGFb3: 0.42, Chondrocytes:MSC-derived: 0.42, Osteoblasts: 0.42, Smooth_muscle_cells:vascular:IL-17: 0.42, iPS_cells:CRL2097_foreskin: 0.42 |
STDY7685340_ACTATCTCAGGACGTA | Fibroblasts:breast | 0.23 | 460.60 | Raw ScoresFibroblasts:breast: 0.45, iPS_cells:adipose_stem_cells: 0.44, Smooth_muscle_cells:bronchial: 0.44, Smooth_muscle_cells:bronchial:vit_D: 0.44, Osteoblasts: 0.43, Smooth_muscle_cells:vascular: 0.43, iPS_cells:CRL2097_foreskin: 0.43, Smooth_muscle_cells:vascular:IL-17: 0.42, iPS_cells:skin_fibroblast: 0.42, Chondrocytes:MSC-derived: 0.42 |
STDY7685340_AATCGGTGTAACGACG | Fibroblasts:breast | 0.18 | 453.31 | Raw ScoresFibroblasts:breast: 0.34, iPS_cells:adipose_stem_cells: 0.33, Smooth_muscle_cells:vascular: 0.32, Smooth_muscle_cells:bronchial: 0.32, Osteoblasts: 0.32, Smooth_muscle_cells:bronchial:vit_D: 0.32, Tissue_stem_cells:BM_MSC:TGFb3: 0.32, Chondrocytes:MSC-derived: 0.31, iPS_cells:CRL2097_foreskin: 0.31, Tissue_stem_cells:BM_MSC:BMP2: 0.31 |
STDY7685340_ACGAGGAGTGTGGCTC | Fibroblasts:breast | 0.20 | 441.83 | Raw ScoresFibroblasts:breast: 0.39, iPS_cells:adipose_stem_cells: 0.39, Smooth_muscle_cells:bronchial: 0.38, Smooth_muscle_cells:bronchial:vit_D: 0.38, Smooth_muscle_cells:vascular: 0.37, Smooth_muscle_cells:vascular:IL-17: 0.37, iPS_cells:CRL2097_foreskin: 0.37, Chondrocytes:MSC-derived: 0.37, Tissue_stem_cells:BM_MSC:TGFb3: 0.37, Osteoblasts: 0.36 |
STDY7685340_CGGACTGCAGCTTCGG | Smooth_muscle_cells:bronchial | 0.20 | 441.26 | Raw ScoresFibroblasts:breast: 0.38, Smooth_muscle_cells:bronchial: 0.37, Smooth_muscle_cells:bronchial:vit_D: 0.37, iPS_cells:adipose_stem_cells: 0.37, iPS_cells:CRL2097_foreskin: 0.36, Smooth_muscle_cells:vascular: 0.35, Smooth_muscle_cells:vascular:IL-17: 0.35, Tissue_stem_cells:BM_MSC:TGFb3: 0.35, Osteoblasts: 0.35, Chondrocytes:MSC-derived: 0.35 |
STDY7685340_CTGTGCTGTAAGTTCC | Fibroblasts:breast | 0.23 | 440.85 | Raw ScoresFibroblasts:breast: 0.45, iPS_cells:adipose_stem_cells: 0.45, Smooth_muscle_cells:bronchial: 0.43, Smooth_muscle_cells:vascular: 0.43, Smooth_muscle_cells:bronchial:vit_D: 0.43, iPS_cells:CRL2097_foreskin: 0.42, Smooth_muscle_cells:vascular:IL-17: 0.42, Osteoblasts: 0.42, Chondrocytes:MSC-derived: 0.42, Tissue_stem_cells:BM_MSC: 0.41 |
STDY7685340_TCTTTCCCAATAGCAA | Fibroblasts:breast | 0.19 | 431.35 | Raw ScoresFibroblasts:breast: 0.36, iPS_cells:adipose_stem_cells: 0.35, Smooth_muscle_cells:bronchial: 0.34, Smooth_muscle_cells:bronchial:vit_D: 0.34, iPS_cells:CRL2097_foreskin: 0.34, Tissue_stem_cells:BM_MSC:TGFb3: 0.34, Osteoblasts: 0.34, Smooth_muscle_cells:vascular: 0.34, Tissue_stem_cells:BM_MSC:BMP2: 0.33, Chondrocytes:MSC-derived: 0.33 |
STDY7685340_AACTCAGCATCCTTGC | Fibroblasts:breast | 0.24 | 387.37 | Raw ScoresFibroblasts:breast: 0.44, iPS_cells:adipose_stem_cells: 0.42, Smooth_muscle_cells:bronchial: 0.42, Smooth_muscle_cells:bronchial:vit_D: 0.42, Smooth_muscle_cells:vascular: 0.41, Osteoblasts: 0.41, Chondrocytes:MSC-derived: 0.41, iPS_cells:CRL2097_foreskin: 0.4, Smooth_muscle_cells:vascular:IL-17: 0.4, Tissue_stem_cells:BM_MSC:TGFb3: 0.4 |
STDY7685340_CGGAGTCCATTCTCAT | Fibroblasts:breast | 0.19 | 387.18 | Raw ScoresFibroblasts:breast: 0.35, Smooth_muscle_cells:bronchial: 0.34, Smooth_muscle_cells:bronchial:vit_D: 0.34, iPS_cells:adipose_stem_cells: 0.34, iPS_cells:CRL2097_foreskin: 0.34, Smooth_muscle_cells:vascular: 0.34, Smooth_muscle_cells:vascular:IL-17: 0.34, Tissue_stem_cells:BM_MSC:TGFb3: 0.33, Osteoblasts: 0.33, Chondrocytes:MSC-derived: 0.33 |
STDY7685340_GCTGCGATCAACCAAC | Fibroblasts:breast | 0.22 | 369.94 | Raw ScoresFibroblasts:breast: 0.41, iPS_cells:adipose_stem_cells: 0.39, Smooth_muscle_cells:bronchial: 0.39, Smooth_muscle_cells:bronchial:vit_D: 0.39, Tissue_stem_cells:BM_MSC:TGFb3: 0.38, Osteoblasts: 0.38, Chondrocytes:MSC-derived: 0.38, Smooth_muscle_cells:vascular: 0.38, iPS_cells:CRL2097_foreskin: 0.38, Smooth_muscle_cells:vascular:IL-17: 0.38 |
STDY7685340_AATCCAGCACACATGT | Smooth_muscle_cells:bronchial | 0.20 | 365.54 | Raw ScoresSmooth_muscle_cells:bronchial: 0.35, Fibroblasts:breast: 0.35, Smooth_muscle_cells:bronchial:vit_D: 0.35, iPS_cells:adipose_stem_cells: 0.34, Osteoblasts: 0.34, iPS_cells:CRL2097_foreskin: 0.33, Tissue_stem_cells:BM_MSC:TGFb3: 0.33, Chondrocytes:MSC-derived: 0.33, Tissue_stem_cells:iliac_MSC: 0.33, Tissue_stem_cells:BM_MSC:BMP2: 0.32 |
STDY7685340_CTTAACTCAGCGTTCG | Fibroblasts:breast | 0.23 | 356.51 | Raw ScoresFibroblasts:breast: 0.46, iPS_cells:adipose_stem_cells: 0.45, Smooth_muscle_cells:bronchial: 0.44, Smooth_muscle_cells:bronchial:vit_D: 0.44, Osteoblasts: 0.44, Chondrocytes:MSC-derived: 0.43, Smooth_muscle_cells:vascular: 0.43, Smooth_muscle_cells:vascular:IL-17: 0.43, Tissue_stem_cells:BM_MSC:TGFb3: 0.43, iPS_cells:CRL2097_foreskin: 0.43 |
STDY7685340_CAGAGAGAGAACAATC | Fibroblasts:breast | 0.21 | 354.73 | Raw ScoresFibroblasts:breast: 0.4, iPS_cells:adipose_stem_cells: 0.39, Smooth_muscle_cells:bronchial: 0.39, Smooth_muscle_cells:bronchial:vit_D: 0.38, Osteoblasts: 0.38, Smooth_muscle_cells:vascular: 0.37, Tissue_stem_cells:BM_MSC:TGFb3: 0.37, iPS_cells:CRL2097_foreskin: 0.37, Smooth_muscle_cells:vascular:IL-17: 0.37, Chondrocytes:MSC-derived: 0.37 |
STDY7685340_AAACGGGGTTGTCGCG | Fibroblasts:breast | 0.21 | 341.35 | Raw ScoresFibroblasts:breast: 0.4, iPS_cells:adipose_stem_cells: 0.39, Smooth_muscle_cells:bronchial: 0.38, Tissue_stem_cells:BM_MSC:TGFb3: 0.38, Smooth_muscle_cells:vascular:IL-17: 0.37, iPS_cells:CRL2097_foreskin: 0.37, Smooth_muscle_cells:vascular: 0.37, Smooth_muscle_cells:bronchial:vit_D: 0.37, Chondrocytes:MSC-derived: 0.37, Tissue_stem_cells:BM_MSC:BMP2: 0.37 |
STDY7685340_GGAACTTAGTCGCCGT | Fibroblasts:breast | 0.22 | 339.23 | Raw ScoresFibroblasts:breast: 0.39, iPS_cells:adipose_stem_cells: 0.37, iPS_cells:CRL2097_foreskin: 0.36, Osteoblasts: 0.36, Smooth_muscle_cells:bronchial: 0.36, Smooth_muscle_cells:vascular:IL-17: 0.35, iPS_cells:fibroblasts: 0.35, Smooth_muscle_cells:bronchial:vit_D: 0.35, Smooth_muscle_cells:vascular: 0.35, Chondrocytes:MSC-derived: 0.35 |
STDY7685340_GTTCATTTCGCGGATC | Chondrocytes:MSC-derived | 0.17 | 332.17 | Raw ScoresFibroblasts:breast: 0.37, iPS_cells:adipose_stem_cells: 0.36, Tissue_stem_cells:BM_MSC:TGFb3: 0.36, Osteoblasts: 0.36, Smooth_muscle_cells:bronchial: 0.36, Smooth_muscle_cells:bronchial:vit_D: 0.36, Chondrocytes:MSC-derived: 0.36, Tissue_stem_cells:BM_MSC:BMP2: 0.35, iPS_cells:CRL2097_foreskin: 0.35, Smooth_muscle_cells:vascular: 0.34 |
STDY7685340_ACGATACCAGTAACGG | Smooth_muscle_cells:bronchial | 0.20 | 319.05 | Raw ScoresFibroblasts:breast: 0.39, Smooth_muscle_cells:bronchial: 0.38, Smooth_muscle_cells:bronchial:vit_D: 0.38, iPS_cells:adipose_stem_cells: 0.38, Smooth_muscle_cells:vascular: 0.37, Osteoblasts: 0.37, Chondrocytes:MSC-derived: 0.37, Smooth_muscle_cells:vascular:IL-17: 0.36, iPS_cells:PDB_fibroblasts: 0.36, iPS_cells:CRL2097_foreskin: 0.36 |
STDY7685340_CCTTCCCAGAATCTCC | Fibroblasts:breast | 0.22 | 289.72 | Raw ScoresFibroblasts:breast: 0.41, iPS_cells:adipose_stem_cells: 0.4, Smooth_muscle_cells:bronchial: 0.38, Osteoblasts: 0.38, iPS_cells:CRL2097_foreskin: 0.38, Smooth_muscle_cells:bronchial:vit_D: 0.38, Smooth_muscle_cells:vascular: 0.38, Chondrocytes:MSC-derived: 0.38, Smooth_muscle_cells:vascular:IL-17: 0.38, iPS_cells:fibroblasts: 0.38 |
STDY7685340_TCTGGAAAGGCATTGG | Fibroblasts:breast | 0.20 | 289.24 | Raw ScoresFibroblasts:breast: 0.43, iPS_cells:adipose_stem_cells: 0.42, Chondrocytes:MSC-derived: 0.41, Smooth_muscle_cells:bronchial: 0.41, Smooth_muscle_cells:bronchial:vit_D: 0.41, Osteoblasts: 0.4, Smooth_muscle_cells:vascular: 0.4, Smooth_muscle_cells:vascular:IL-17: 0.4, Tissue_stem_cells:BM_MSC:TGFb3: 0.4, Tissue_stem_cells:BM_MSC:BMP2: 0.39 |
STDY7685340_GGACATTTCCTGCTTG | Fibroblasts:breast | 0.22 | 288.84 | Raw ScoresFibroblasts:breast: 0.4, iPS_cells:adipose_stem_cells: 0.39, Smooth_muscle_cells:bronchial: 0.38, iPS_cells:CRL2097_foreskin: 0.37, Smooth_muscle_cells:bronchial:vit_D: 0.37, Chondrocytes:MSC-derived: 0.36, Smooth_muscle_cells:vascular: 0.36, Smooth_muscle_cells:vascular:IL-17: 0.36, Osteoblasts: 0.36, iPS_cells:fibroblasts: 0.36 |
STDY7685340_TAGTGGTAGGAGTAGA | Fibroblasts:breast | 0.20 | 286.80 | Raw ScoresFibroblasts:breast: 0.39, Smooth_muscle_cells:bronchial: 0.38, iPS_cells:adipose_stem_cells: 0.38, Smooth_muscle_cells:bronchial:vit_D: 0.38, Osteoblasts: 0.38, Tissue_stem_cells:BM_MSC:TGFb3: 0.37, Smooth_muscle_cells:vascular: 0.37, Chondrocytes:MSC-derived: 0.37, iPS_cells:CRL2097_foreskin: 0.37, Smooth_muscle_cells:vascular:IL-17: 0.37 |
STDY7685340_GTAGTCAGTACAGACG | Fibroblasts:breast | 0.19 | 267.43 | Raw ScoresFibroblasts:breast: 0.32, Osteoblasts: 0.31, Smooth_muscle_cells:bronchial: 0.3, iPS_cells:adipose_stem_cells: 0.3, Smooth_muscle_cells:vascular: 0.3, Smooth_muscle_cells:bronchial:vit_D: 0.3, Smooth_muscle_cells:vascular:IL-17: 0.3, Tissue_stem_cells:BM_MSC:TGFb3: 0.29, Chondrocytes:MSC-derived: 0.29, Tissue_stem_cells:BM_MSC: 0.29 |
STDY7685340_AAACGGGGTTGAACTC | Fibroblasts:breast | 0.20 | 256.43 | Raw ScoresFibroblasts:breast: 0.45, iPS_cells:adipose_stem_cells: 0.45, Smooth_muscle_cells:bronchial: 0.44, Smooth_muscle_cells:bronchial:vit_D: 0.44, Smooth_muscle_cells:vascular: 0.43, Smooth_muscle_cells:vascular:IL-17: 0.43, Osteoblasts: 0.43, Tissue_stem_cells:BM_MSC:TGFb3: 0.43, Chondrocytes:MSC-derived: 0.42, iPS_cells:CRL2097_foreskin: 0.42 |
STDY7685340_AGATCTGTCGTGACAT | Fibroblasts:breast | 0.15 | 220.80 | Raw ScoresFibroblasts:breast: 0.29, Smooth_muscle_cells:bronchial: 0.28, iPS_cells:adipose_stem_cells: 0.28, Smooth_muscle_cells:bronchial:vit_D: 0.28, iPS_cells:CRL2097_foreskin: 0.28, Chondrocytes:MSC-derived: 0.28, Tissue_stem_cells:BM_MSC:TGFb3: 0.28, Osteoblasts: 0.27, Tissue_stem_cells:BM_MSC:BMP2: 0.27, Smooth_muscle_cells:vascular: 0.27 |
STDY7685340_GCACATAGTGGTCTCG | Smooth_muscle_cells:vascular | 0.18 | 217.14 | Raw ScoresFibroblasts:breast: 0.38, iPS_cells:adipose_stem_cells: 0.38, Smooth_muscle_cells:bronchial: 0.37, Smooth_muscle_cells:bronchial:vit_D: 0.36, Smooth_muscle_cells:vascular: 0.36, Smooth_muscle_cells:vascular:IL-17: 0.36, iPS_cells:CRL2097_foreskin: 0.36, Osteoblasts: 0.36, Chondrocytes:MSC-derived: 0.36, Tissue_stem_cells:BM_MSC:TGFb3: 0.35 |
STDY7685340_CGGTTAACACGTCTCT | Fibroblasts:breast | 0.22 | 209.84 | Raw ScoresFibroblasts:breast: 0.43, iPS_cells:adipose_stem_cells: 0.43, Smooth_muscle_cells:bronchial: 0.42, Smooth_muscle_cells:bronchial:vit_D: 0.42, Osteoblasts: 0.41, Chondrocytes:MSC-derived: 0.41, Smooth_muscle_cells:vascular: 0.41, iPS_cells:CRL2097_foreskin: 0.41, Smooth_muscle_cells:vascular:IL-17: 0.4, Tissue_stem_cells:BM_MSC:TGFb3: 0.4 |
STDY7685340_GCAATCAAGCGTTCCG | Chondrocytes:MSC-derived | 0.17 | 202.83 | Raw ScoresFibroblasts:breast: 0.36, Smooth_muscle_cells:bronchial: 0.36, Smooth_muscle_cells:bronchial:vit_D: 0.35, Osteoblasts: 0.35, iPS_cells:adipose_stem_cells: 0.35, Tissue_stem_cells:BM_MSC:TGFb3: 0.35, Chondrocytes:MSC-derived: 0.35, Smooth_muscle_cells:vascular: 0.34, Tissue_stem_cells:BM_MSC:BMP2: 0.34, Smooth_muscle_cells:vascular:IL-17: 0.34 |
STDY7685340_GACTACATCGAGCCCA | Fibroblasts:breast | 0.20 | 202.69 | Raw ScoresFibroblasts:breast: 0.42, iPS_cells:adipose_stem_cells: 0.41, Smooth_muscle_cells:vascular:IL-17: 0.4, Smooth_muscle_cells:vascular: 0.4, Smooth_muscle_cells:bronchial: 0.39, Osteoblasts: 0.39, Smooth_muscle_cells:bronchial:vit_D: 0.39, Chondrocytes:MSC-derived: 0.39, Tissue_stem_cells:BM_MSC:TGFb3: 0.38, iPS_cells:CRL2097_foreskin: 0.38 |
Below shows the significant enrichments of this GEP for literature curated gene lists
This data was procured from existing single cell RNA-seq maps of neuroblastoma or related relevant data.
High ranks indicate this gene is a driver of this GEP.
These curated gene list are ranked by the P-value (on this GEP) of their constituent genes.
The Mean Count column shows the mean read count in cells scoring highly (H > 50) on this gene expression program.
Genes | Weight | Rank | GTEx | DepMap | Decartes | Mean.Counts | Mean.TPM |
---|---|---|---|---|---|---|---|
C7 | 0.0104420 | 13 | GTEx | DepMap | Descartes | 4.91 | 514.50 |
CFD | 0.0095351 | 21 | GTEx | DepMap | Descartes | 15.47 | 6608.60 |
PDGFRA | 0.0066061 | 57 | GTEx | DepMap | Descartes | 1.14 | 102.51 |
IGF1 | 0.0065210 | 60 | GTEx | DepMap | Descartes | 6.86 | 473.20 |
C3 | 0.0054416 | 95 | GTEx | DepMap | Descartes | 4.23 | 551.35 |
SERPING1 | 0.0038900 | 187 | GTEx | DepMap | Descartes | 3.14 | 755.19 |
CCL2 | 0.0038606 | 190 | GTEx | DepMap | Descartes | 12.34 | 5998.56 |
IL1R1 | 0.0032218 | 241 | GTEx | DepMap | Descartes | 0.86 | 84.24 |
IL33 | 0.0029227 | 267 | GTEx | DepMap | Descartes | 0.72 | 143.50 |
PDGFD | 0.0026094 | 317 | GTEx | DepMap | Descartes | 1.17 | 172.30 |
IGFBP6 | 0.0023447 | 359 | GTEx | DepMap | Descartes | 11.06 | 3896.61 |
CXCL12 | 0.0019408 | 423 | GTEx | DepMap | Descartes | 0.88 | 173.61 |
PDGFRB | 0.0017817 | 466 | GTEx | DepMap | Descartes | 0.53 | 51.77 |
PDPN | 0.0014722 | 576 | GTEx | DepMap | Descartes | 0.61 | 87.84 |
SCARA5 | 0.0014645 | 577 | GTEx | DepMap | Descartes | 1.08 | 144.39 |
CXCL2 | 0.0014048 | 605 | GTEx | DepMap | Descartes | 9.81 | 4242.26 |
SCARA3 | 0.0011027 | 759 | GTEx | DepMap | Descartes | 0.33 | 43.51 |
RGMA | 0.0009095 | 872 | GTEx | DepMap | Descartes | 0.36 | 19.14 |
GPX3 | 0.0008986 | 882 | GTEx | DepMap | Descartes | 0.78 | 229.99 |
HGF | 0.0005297 | 1276 | GTEx | DepMap | Descartes | 0.14 | 11.23 |
CXCL14 | 0.0002366 | 2059 | GTEx | DepMap | Descartes | 2.17 | 452.63 |
CFB | 0.0002337 | 2072 | GTEx | DepMap | Descartes | 0.14 | 37.44 |
SOD2 | -0.0000778 | 5723 | GTEx | DepMap | Descartes | 2.84 | 114.19 |
IL10 | -0.0001221 | 6827 | GTEx | DepMap | Descartes | 0.02 | 2.38 |
LIF | -0.0004001 | 11519 | GTEx | DepMap | Descartes | 0.03 | 3.99 |
Mesenchymal Fig 1D (Olsen)
Selected mesenchymal marker genes shown in Fig. 1D of Olsen et al. https://www.biorxiv.org/content/10.1101/2020.05.04.077057v1 - these are highly expressed in their mesenchymal cluster on their UMAP.:
Wilcoxon ranksum test P-value for gene set overrepresentation: 4.24e-10
Mean rank of genes in gene set: 113.08
Rank on gene expression program of genes in gene set:
Genes | Weight | Rank | GTEx | DepMap | Decartes | Mean.Counts | Mean.TPM |
---|---|---|---|---|---|---|---|
COL3A1 | 0.0129737 | 4 | GTEx | DepMap | Descartes | 89.44 | 8649.95 |
COL1A1 | 0.0123711 | 5 | GTEx | DepMap | Descartes | 140.47 | 12723.88 |
COL1A2 | 0.0121613 | 6 | GTEx | DepMap | Descartes | 89.59 | 7833.38 |
MGP | 0.0100910 | 15 | GTEx | DepMap | Descartes | 64.34 | 20739.06 |
SPARC | 0.0089192 | 24 | GTEx | DepMap | Descartes | 35.33 | 5207.76 |
LUM | 0.0084336 | 29 | GTEx | DepMap | Descartes | 10.11 | 2027.28 |
COL6A2 | 0.0075741 | 35 | GTEx | DepMap | Descartes | 10.72 | 1670.11 |
PDGFRA | 0.0066061 | 57 | GTEx | DepMap | Descartes | 1.14 | 102.51 |
DCN | 0.0064459 | 63 | GTEx | DepMap | Descartes | 32.17 | 2383.25 |
CALD1 | 0.0050875 | 114 | GTEx | DepMap | Descartes | 9.81 | 1055.12 |
PRRX1 | 0.0049830 | 121 | GTEx | DepMap | Descartes | 1.69 | 199.51 |
BGN | 0.0042947 | 163 | GTEx | DepMap | Descartes | 4.64 | 909.10 |
LEPR | 0.0009664 | 834 | GTEx | DepMap | Descartes | 0.48 | 35.52 |
Stromal 2 (Hanemaaijer)
Marker genes obtained from Supplementary Table SD of Hanemaaijer et al (PMID 33500353). The authors generated single-cell RNA-seq data (sort-seq, 2,229 cells total) from mouse adrenal glads at E13.5, E14.5, E17.5, E18.5, P1 and P5. These were marker genes that matched with a similar dataset generated by Furlan et al (PMID 28684471). This particular set of markers are for Stroma subcluster:
Wilcoxon ranksum test P-value for gene set overrepresentation: 2.70e-09
Mean rank of genes in gene set: 176.42
Rank on gene expression program of genes in gene set:
Genes | Weight | Rank | GTEx | DepMap | Decartes | Mean.Counts | Mean.TPM |
---|---|---|---|---|---|---|---|
COL14A1 | 0.0106363 | 11 | GTEx | DepMap | Descartes | 4.97 | 345.52 |
COL5A2 | 0.0078606 | 33 | GTEx | DepMap | Descartes | 3.59 | 274.16 |
FSTL1 | 0.0072732 | 41 | GTEx | DepMap | Descartes | 19.23 | 1739.02 |
GAS1 | 0.0067053 | 56 | GTEx | DepMap | Descartes | 2.02 | 293.32 |
ITM2A | 0.0054061 | 100 | GTEx | DepMap | Descartes | 5.06 | 1486.80 |
FBN1 | 0.0051461 | 108 | GTEx | DepMap | Descartes | 10.80 | 457.52 |
GSN | 0.0040274 | 182 | GTEx | DepMap | Descartes | 19.52 | 1420.80 |
IGFBP5 | 0.0034665 | 219 | GTEx | DepMap | Descartes | 28.17 | 2190.67 |
SFRP1 | 0.0033690 | 229 | GTEx | DepMap | Descartes | 1.94 | 244.24 |
FBN2 | 0.0025789 | 319 | GTEx | DepMap | Descartes | 0.34 | 16.49 |
PENK | 0.0022175 | 375 | GTEx | DepMap | Descartes | 0.14 | 42.69 |
POSTN | 0.0018366 | 444 | GTEx | DepMap | Descartes | 15.14 | 2366.76 |
Below shows ranks on this GEP for literature curated gene lists for large gene sets
These include those reported as mesenchymal/adrenergic by Van Groningen et al.
High ranks indicate this gene is a driver of this GEP (note these results are not ordered).
The Mean Count column shows the mean read count in cells scoring highly (H > 50) on this gene expression program.
VanGroningen Adrenergic Genes
Adrenergic marker genes from Supplementary Table 2 of Van Groningen et al. Nature Genetics 2017. These genes were identified by differential expression analysis of mesenchymal-like and adrenergic-like neuroblastoma cell lines.
Wilcoxon ranksum test P-value for gene set overrepresentation: 1.00e+00
Mean rank of genes in gene set: 8875.96
Median rank of genes in gene set: 10116
Rank on gene expression program of top 30 genes in gene set:
Genes | Weight | Rank | GTEx | DepMap | Descartes | Mean.Counts | Mean.TPM |
---|---|---|---|---|---|---|---|
SLIT3 | 0.0050531 | 117 | GTEx | DepMap | Descartes | 1.75 | 99.76 |
AKAP12 | 0.0041920 | 170 | GTEx | DepMap | Descartes | 10.05 | 564.30 |
FAM155A | 0.0033182 | 232 | GTEx | DepMap | Descartes | 0.38 | 19.80 |
RBMS3 | 0.0018905 | 434 | GTEx | DepMap | Descartes | 1.64 | 96.39 |
FOXO3 | 0.0017819 | 465 | GTEx | DepMap | Descartes | 1.34 | 105.83 |
ANK2 | 0.0011530 | 730 | GTEx | DepMap | Descartes | 0.50 | 15.01 |
RNF150 | 0.0010770 | 770 | GTEx | DepMap | Descartes | 0.28 | 14.03 |
ABLIM1 | 0.0010487 | 781 | GTEx | DepMap | Descartes | 0.97 | 54.36 |
SHC3 | 0.0006336 | 1135 | GTEx | DepMap | Descartes | 0.02 | 0.63 |
SYNPO2 | 0.0005897 | 1201 | GTEx | DepMap | Descartes | 0.28 | 10.05 |
SETD7 | 0.0005842 | 1208 | GTEx | DepMap | Descartes | 0.23 | 13.78 |
CETN3 | 0.0005591 | 1239 | GTEx | DepMap | Descartes | 0.28 | 71.57 |
MAGI3 | 0.0005025 | 1318 | GTEx | DepMap | Descartes | 0.08 | 4.33 |
RNF144A | 0.0004913 | 1335 | GTEx | DepMap | Descartes | 0.12 | 10.01 |
NFIL3 | 0.0004293 | 1455 | GTEx | DepMap | Descartes | 0.31 | 77.57 |
ATL1 | 0.0004264 | 1466 | GTEx | DepMap | Descartes | 0.14 | 12.14 |
CELF2 | 0.0003636 | 1616 | GTEx | DepMap | Descartes | 1.56 | 101.47 |
DPYSL3 | 0.0003512 | 1648 | GTEx | DepMap | Descartes | 1.36 | 121.71 |
EXOC5 | 0.0003171 | 1760 | GTEx | DepMap | Descartes | 0.22 | 10.02 |
TTC8 | 0.0003113 | 1780 | GTEx | DepMap | Descartes | 0.06 | 6.31 |
SLC35G2 | 0.0002964 | 1830 | GTEx | DepMap | Descartes | 0.16 | NA |
DPYSL2 | 0.0002658 | 1924 | GTEx | DepMap | Descartes | 1.27 | 130.51 |
PBX3 | 0.0002576 | 1961 | GTEx | DepMap | Descartes | 0.14 | 21.90 |
NET1 | 0.0002329 | 2076 | GTEx | DepMap | Descartes | 0.08 | 10.30 |
FAM171B | 0.0002323 | 2079 | GTEx | DepMap | Descartes | 0.12 | 9.00 |
DAPK1 | 0.0002193 | 2143 | GTEx | DepMap | Descartes | 0.17 | 15.21 |
KIF15 | 0.0002158 | 2161 | GTEx | DepMap | Descartes | 0.00 | 0.00 |
PTS | 0.0001918 | 2283 | GTEx | DepMap | Descartes | 0.41 | 199.44 |
PIK3R1 | 0.0001846 | 2322 | GTEx | DepMap | Descartes | 1.09 | 83.38 |
GRB10 | 0.0001350 | 2617 | GTEx | DepMap | Descartes | 0.09 | 7.61 |
VanGroningen Mesenchymal Genes
Mesenchymal marker genes from Supplementary Table 2 of Van Groningen et al. Nature Genetics 2017. These genes were identified by differential expression analysis of mesenchymal-like and adrenergic-like neuroblastoma cell lines.
Wilcoxon ranksum test P-value for gene set overrepresentation: 6.99e-83
Mean rank of genes in gene set: 2989.72
Median rank of genes in gene set: 1242
Rank on gene expression program of top 30 genes in gene set:
Genes | Weight | Rank | GTEx | DepMap | Descartes | Mean.Counts | Mean.TPM |
---|---|---|---|---|---|---|---|
SRPX | 0.0130188 | 3 | GTEx | DepMap | Descartes | 3.58 | 1127.01 |
COL3A1 | 0.0129737 | 4 | GTEx | DepMap | Descartes | 89.44 | 8649.95 |
COL1A1 | 0.0123711 | 5 | GTEx | DepMap | Descartes | 140.47 | 12723.88 |
CCDC80 | 0.0114483 | 8 | GTEx | DepMap | Descartes | 40.25 | 1686.55 |
PPIC | 0.0105193 | 12 | GTEx | DepMap | Descartes | 2.89 | 1052.76 |
MGP | 0.0100910 | 15 | GTEx | DepMap | Descartes | 64.34 | 20739.06 |
COL5A1 | 0.0090967 | 23 | GTEx | DepMap | Descartes | 5.39 | 350.81 |
SPARC | 0.0089192 | 24 | GTEx | DepMap | Descartes | 35.33 | 5207.76 |
LRRC17 | 0.0087086 | 25 | GTEx | DepMap | Descartes | 1.30 | 300.25 |
COL5A2 | 0.0078606 | 33 | GTEx | DepMap | Descartes | 3.59 | 274.16 |
COL6A2 | 0.0075741 | 35 | GTEx | DepMap | Descartes | 10.72 | 1670.11 |
COL12A1 | 0.0074333 | 36 | GTEx | DepMap | Descartes | 3.25 | 159.28 |
NFIA | 0.0073833 | 40 | GTEx | DepMap | Descartes | 3.30 | 37.98 |
FSTL1 | 0.0072732 | 41 | GTEx | DepMap | Descartes | 19.23 | 1739.02 |
OLFML3 | 0.0068520 | 49 | GTEx | DepMap | Descartes | 1.94 | 511.11 |
BOC | 0.0067812 | 51 | GTEx | DepMap | Descartes | 1.03 | 106.32 |
COL6A1 | 0.0067534 | 53 | GTEx | DepMap | Descartes | 7.67 | 968.49 |
SERPINH1 | 0.0067121 | 55 | GTEx | DepMap | Descartes | 3.42 | 507.54 |
GAS1 | 0.0067053 | 56 | GTEx | DepMap | Descartes | 2.02 | 293.32 |
MMP2 | 0.0063267 | 65 | GTEx | DepMap | Descartes | 3.38 | 490.93 |
ERRFI1 | 0.0063121 | 66 | GTEx | DepMap | Descartes | 1.94 | 353.38 |
PCDH18 | 0.0061789 | 71 | GTEx | DepMap | Descartes | 0.38 | 34.97 |
ANTXR1 | 0.0060321 | 72 | GTEx | DepMap | Descartes | 1.42 | 105.23 |
WNT5A | 0.0057911 | 81 | GTEx | DepMap | Descartes | 0.28 | 30.93 |
MRC2 | 0.0057046 | 84 | GTEx | DepMap | Descartes | 1.23 | 112.77 |
DDR2 | 0.0054506 | 94 | GTEx | DepMap | Descartes | 1.55 | 79.68 |
PALLD | 0.0054233 | 98 | GTEx | DepMap | Descartes | 2.19 | 203.86 |
CYBRD1 | 0.0054107 | 99 | GTEx | DepMap | Descartes | 1.80 | 224.59 |
AEBP1 | 0.0053398 | 101 | GTEx | DepMap | Descartes | 2.77 | 387.41 |
EFEMP2 | 0.0052511 | 103 | GTEx | DepMap | Descartes | 1.48 | 297.01 |
Descartes adrenocortical markers
Top 50 marker genes of adrenocortical cells in the Decartes fetal adrenal single cell map (https://atlas.brotmanbaty.org/bbi/human-gene-expression-during-development/cell/adrenocortical/in/adrenal)
Wilcoxon ranksum test P-value for gene set overrepresentation: 8.52e-01
Mean rank of genes in gene set: 6906.19
Median rank of genes in gene set: 7247
Rank on gene expression program of top 30 genes in gene set:
Genes | Weight | Rank | GTEx | DepMap | Descartes | Mean.Counts | Mean.TPM |
---|---|---|---|---|---|---|---|
PAPSS2 | 0.0011588 | 725 | GTEx | DepMap | Descartes | 0.33 | 47.16 |
SH3PXD2B | 0.0009821 | 826 | GTEx | DepMap | Descartes | 0.17 | 9.59 |
IGF1R | 0.0006734 | 1087 | GTEx | DepMap | Descartes | 0.25 | 8.80 |
SH3BP5 | 0.0004019 | 1523 | GTEx | DepMap | Descartes | 1.02 | 181.27 |
GSTA4 | 0.0003233 | 1735 | GTEx | DepMap | Descartes | 0.30 | 99.30 |
HMGCR | 0.0000823 | 3054 | GTEx | DepMap | Descartes | 0.11 | 13.62 |
DHCR24 | 0.0000623 | 3226 | GTEx | DepMap | Descartes | 0.09 | 7.20 |
FREM2 | -0.0000232 | 4306 | GTEx | DepMap | Descartes | 0.00 | 0.00 |
SGCZ | -0.0000389 | 4666 | GTEx | DepMap | Descartes | 0.00 | 0.00 |
FDX1 | -0.0000427 | 4768 | GTEx | DepMap | Descartes | 0.53 | 91.62 |
POR | -0.0000794 | 5776 | GTEx | DepMap | Descartes | 0.19 | 42.20 |
SLC1A2 | -0.0000833 | 5869 | GTEx | DepMap | Descartes | 0.03 | 1.26 |
HMGCS1 | -0.0000957 | 6170 | GTEx | DepMap | Descartes | 0.17 | 24.14 |
CLU | -0.0000968 | 6200 | GTEx | DepMap | Descartes | 3.06 | 499.92 |
PDE10A | -0.0001160 | 6654 | GTEx | DepMap | Descartes | 0.06 | 2.68 |
SCAP | -0.0001248 | 6871 | GTEx | DepMap | Descartes | 0.17 | 20.29 |
NPC1 | -0.0001313 | 7047 | GTEx | DepMap | Descartes | 0.03 | 2.82 |
STAR | -0.0001387 | 7211 | GTEx | DepMap | Descartes | 0.14 | 29.17 |
ERN1 | -0.0001419 | 7283 | GTEx | DepMap | Descartes | 0.03 | 1.50 |
BAIAP2L1 | -0.0001614 | 7715 | GTEx | DepMap | Descartes | 0.00 | 0.00 |
DHCR7 | -0.0001645 | 7783 | GTEx | DepMap | Descartes | 0.00 | 0.00 |
LDLR | -0.0001782 | 8116 | GTEx | DepMap | Descartes | 0.16 | 12.22 |
SLC16A9 | -0.0001819 | 8208 | GTEx | DepMap | Descartes | 0.03 | 2.74 |
INHA | -0.0001840 | 8252 | GTEx | DepMap | Descartes | 0.00 | 0.00 |
SCARB1 | -0.0001883 | 8339 | GTEx | DepMap | Descartes | 0.12 | 9.20 |
FRMD5 | -0.0002037 | 8685 | GTEx | DepMap | Descartes | 0.00 | 0.00 |
PEG3 | -0.0002048 | 8710 | GTEx | DepMap | Descartes | 0.05 | NA |
JAKMIP2 | -0.0002210 | 9058 | GTEx | DepMap | Descartes | 0.02 | 1.68 |
APOC1 | -0.0002500 | 9645 | GTEx | DepMap | Descartes | 0.17 | 94.76 |
GRAMD1B | -0.0002818 | 10198 | GTEx | DepMap | Descartes | 0.00 | 0.00 |
Descartes chromaffin markers
Top 50 marker genes of chromaffin cells in the Decartes fetal adrenal single cell map (https://atlas.brotmanbaty.org/bbi/human-gene-expression-during-development/cell/chromaffin/in/adrenal)
Wilcoxon ranksum test P-value for gene set overrepresentation: 1.00e+00
Mean rank of genes in gene set: 9225.56
Median rank of genes in gene set: 9983
Rank on gene expression program of top 30 genes in gene set:
Genes | Weight | Rank | GTEx | DepMap | Descartes | Mean.Counts | Mean.TPM |
---|---|---|---|---|---|---|---|
SYNPO2 | 0.0005897 | 1201 | GTEx | DepMap | Descartes | 0.28 | 10.05 |
KCNB2 | 0.0002443 | 2018 | GTEx | DepMap | Descartes | 0.00 | 0.00 |
FAT3 | 0.0001077 | 2843 | GTEx | DepMap | Descartes | 0.03 | 0.81 |
PLXNA4 | 0.0000448 | 3393 | GTEx | DepMap | Descartes | 0.14 | 5.27 |
TMEM132C | 0.0000076 | 3799 | GTEx | DepMap | Descartes | 0.03 | 3.17 |
GREM1 | -0.0000205 | 4243 | GTEx | DepMap | Descartes | 0.05 | 2.44 |
CNTFR | -0.0000987 | 6244 | GTEx | DepMap | Descartes | 0.11 | 22.99 |
CNKSR2 | -0.0001254 | 6886 | GTEx | DepMap | Descartes | 0.00 | 0.00 |
RPH3A | -0.0001335 | 7091 | GTEx | DepMap | Descartes | 0.00 | 0.00 |
MAP1B | -0.0001506 | 7475 | GTEx | DepMap | Descartes | 2.72 | 116.76 |
ANKFN1 | -0.0001547 | 7569 | GTEx | DepMap | Descartes | 0.00 | 0.00 |
EPHA6 | -0.0001707 | 7951 | GTEx | DepMap | Descartes | 0.00 | 0.00 |
RYR2 | -0.0001764 | 8069 | GTEx | DepMap | Descartes | 0.00 | 0.00 |
ALK | -0.0001792 | 8137 | GTEx | DepMap | Descartes | 0.00 | 0.00 |
NPY | -0.0001933 | 8450 | GTEx | DepMap | Descartes | 0.00 | 0.00 |
SLC44A5 | -0.0001985 | 8562 | GTEx | DepMap | Descartes | 0.00 | 0.00 |
HS3ST5 | -0.0002227 | 9112 | GTEx | DepMap | Descartes | 0.02 | 1.76 |
EYA1 | -0.0002548 | 9739 | GTEx | DepMap | Descartes | 0.00 | 0.00 |
SLC6A2 | -0.0002577 | 9805 | GTEx | DepMap | Descartes | 0.00 | 0.00 |
MAB21L2 | -0.0002664 | 9965 | GTEx | DepMap | Descartes | 0.00 | 0.00 |
PTCHD1 | -0.0002671 | 9983 | GTEx | DepMap | Descartes | 0.00 | 0.00 |
MARCH11 | -0.0003056 | 10543 | GTEx | DepMap | Descartes | 0.02 | NA |
EYA4 | -0.0003242 | 10791 | GTEx | DepMap | Descartes | 0.02 | 1.11 |
RBFOX1 | -0.0003589 | 11153 | GTEx | DepMap | Descartes | 0.00 | 0.00 |
RGMB | -0.0003591 | 11159 | GTEx | DepMap | Descartes | 0.16 | 16.70 |
MAB21L1 | -0.0003711 | 11272 | GTEx | DepMap | Descartes | 0.00 | 0.00 |
NTRK1 | -0.0003976 | 11488 | GTEx | DepMap | Descartes | 0.00 | 0.00 |
REEP1 | -0.0004134 | 11628 | GTEx | DepMap | Descartes | 0.00 | 0.00 |
TMEFF2 | -0.0004271 | 11718 | GTEx | DepMap | Descartes | 0.00 | 0.00 |
IL7 | -0.0004762 | 11964 | GTEx | DepMap | Descartes | 0.00 | 0.00 |
Descartes Vascular_endothelial markers
Top 50 marker genes of Vascular_endothelial cells in the Decartes fetal adrenal single cell map (https://atlas.brotmanbaty.org/bbi/human-gene-expression-during-development/cell/vascular_endothelial/in/adrenal)
Wilcoxon ranksum test P-value for gene set overrepresentation: 9.57e-01
Mean rank of genes in gene set: 7279.79
Median rank of genes in gene set: 7931.5
Rank on gene expression program of top 30 genes in gene set:
Genes | Weight | Rank | GTEx | DepMap | Descartes | Mean.Counts | Mean.TPM |
---|---|---|---|---|---|---|---|
ARHGAP29 | 0.0006586 | 1103 | GTEx | DepMap | Descartes | 0.78 | 46.31 |
NPR1 | 0.0006250 | 1143 | GTEx | DepMap | Descartes | 0.22 | 28.07 |
RASIP1 | 0.0001597 | 2458 | GTEx | DepMap | Descartes | 0.11 | 14.17 |
ID1 | 0.0001205 | 2734 | GTEx | DepMap | Descartes | 0.77 | 306.98 |
TEK | 0.0000947 | 2949 | GTEx | DepMap | Descartes | 0.16 | 21.72 |
RAMP2 | 0.0000571 | 3274 | GTEx | DepMap | Descartes | 0.91 | 513.59 |
SHANK3 | -0.0000408 | 4718 | GTEx | DepMap | Descartes | 0.02 | 1.04 |
CEACAM1 | -0.0000750 | 5649 | GTEx | DepMap | Descartes | 0.03 | 4.01 |
KANK3 | -0.0000848 | 5918 | GTEx | DepMap | Descartes | 0.02 | 2.80 |
CRHBP | -0.0000871 | 5966 | GTEx | DepMap | Descartes | 0.00 | 0.00 |
HYAL2 | -0.0000926 | 6098 | GTEx | DepMap | Descartes | 0.23 | 24.23 |
CDH13 | -0.0000995 | 6269 | GTEx | DepMap | Descartes | 0.03 | 1.37 |
MMRN2 | -0.0000999 | 6280 | GTEx | DepMap | Descartes | 0.06 | 7.64 |
NR5A2 | -0.0001006 | 6293 | GTEx | DepMap | Descartes | 0.00 | 0.00 |
TMEM88 | -0.0001234 | 6849 | GTEx | DepMap | Descartes | 0.09 | 45.03 |
ESM1 | -0.0001423 | 7301 | GTEx | DepMap | Descartes | 0.03 | 5.16 |
BTNL9 | -0.0001459 | 7372 | GTEx | DepMap | Descartes | 0.00 | 0.00 |
CLDN5 | -0.0001604 | 7687 | GTEx | DepMap | Descartes | 0.12 | 21.87 |
SLCO2A1 | -0.0001694 | 7910 | GTEx | DepMap | Descartes | 0.03 | 6.46 |
F8 | -0.0001707 | 7953 | GTEx | DepMap | Descartes | 0.08 | 3.16 |
FLT4 | -0.0001725 | 7991 | GTEx | DepMap | Descartes | 0.02 | 1.14 |
IRX3 | -0.0001738 | 8013 | GTEx | DepMap | Descartes | 0.00 | 0.00 |
GALNT15 | -0.0001778 | 8109 | GTEx | DepMap | Descartes | 0.05 | NA |
NOTCH4 | -0.0001978 | 8548 | GTEx | DepMap | Descartes | 0.05 | 2.68 |
CALCRL | -0.0002022 | 8642 | GTEx | DepMap | Descartes | 0.09 | 6.65 |
KDR | -0.0002038 | 8690 | GTEx | DepMap | Descartes | 0.02 | 1.04 |
ROBO4 | -0.0002108 | 8838 | GTEx | DepMap | Descartes | 0.05 | 4.26 |
CHRM3 | -0.0002220 | 9085 | GTEx | DepMap | Descartes | 0.00 | 0.00 |
PLVAP | -0.0002448 | 9553 | GTEx | DepMap | Descartes | 0.14 | 24.85 |
MYRIP | -0.0002540 | 9716 | GTEx | DepMap | Descartes | 0.02 | 1.03 |
Descartes stromal markers
Top 50 marker genes of stromal cells in the Decartes fetal adrenal single cell map (https://atlas.brotmanbaty.org/bbi/human-gene-expression-during-development/cell/stromal/in/adrenal)
Wilcoxon ranksum test P-value for gene set overrepresentation: 1.03e-25
Mean rank of genes in gene set: 595.36
Median rank of genes in gene set: 91
Rank on gene expression program of top 30 genes in gene set:
Genes | Weight | Rank | GTEx | DepMap | Descartes | Mean.Counts | Mean.TPM |
---|---|---|---|---|---|---|---|
SFRP2 | 0.0138266 | 1 | GTEx | DepMap | Descartes | 9.30 | 2288.73 |
ELN | 0.0130788 | 2 | GTEx | DepMap | Descartes | 14.52 | 1818.51 |
COL3A1 | 0.0129737 | 4 | GTEx | DepMap | Descartes | 89.44 | 8649.95 |
COL1A1 | 0.0123711 | 5 | GTEx | DepMap | Descartes | 140.47 | 12723.88 |
COL1A2 | 0.0121613 | 6 | GTEx | DepMap | Descartes | 89.59 | 7833.38 |
OGN | 0.0118684 | 7 | GTEx | DepMap | Descartes | 4.62 | 680.59 |
CCDC80 | 0.0114483 | 8 | GTEx | DepMap | Descartes | 40.25 | 1686.55 |
C7 | 0.0104420 | 13 | GTEx | DepMap | Descartes | 4.91 | 514.50 |
MGP | 0.0100910 | 15 | GTEx | DepMap | Descartes | 64.34 | 20739.06 |
PCOLCE | 0.0097668 | 19 | GTEx | DepMap | Descartes | 5.17 | 1862.22 |
LRRC17 | 0.0087086 | 25 | GTEx | DepMap | Descartes | 1.30 | 300.25 |
LUM | 0.0084336 | 29 | GTEx | DepMap | Descartes | 10.11 | 2027.28 |
LOX | 0.0079435 | 31 | GTEx | DepMap | Descartes | 2.12 | 222.28 |
COL12A1 | 0.0074333 | 36 | GTEx | DepMap | Descartes | 3.25 | 159.28 |
PAMR1 | 0.0071245 | 45 | GTEx | DepMap | Descartes | 1.67 | 275.78 |
PDGFRA | 0.0066061 | 57 | GTEx | DepMap | Descartes | 1.14 | 102.51 |
DCN | 0.0064459 | 63 | GTEx | DepMap | Descartes | 32.17 | 2383.25 |
ADAMTS2 | 0.0063551 | 64 | GTEx | DepMap | Descartes | 1.11 | 74.69 |
RSPO3 | 0.0061851 | 70 | GTEx | DepMap | Descartes | 0.91 | NA |
PCDH18 | 0.0061789 | 71 | GTEx | DepMap | Descartes | 0.38 | 34.97 |
ADAMTSL3 | 0.0057745 | 82 | GTEx | DepMap | Descartes | 0.58 | 39.29 |
ABCA6 | 0.0056992 | 85 | GTEx | DepMap | Descartes | 0.91 | 64.00 |
BICC1 | 0.0054250 | 97 | GTEx | DepMap | Descartes | 1.58 | 158.10 |
ISLR | 0.0052059 | 107 | GTEx | DepMap | Descartes | 2.08 | 445.97 |
PRRX1 | 0.0049830 | 121 | GTEx | DepMap | Descartes | 1.69 | 199.51 |
CDH11 | 0.0044543 | 151 | GTEx | DepMap | Descartes | 0.61 | 47.91 |
DKK2 | 0.0034560 | 221 | GTEx | DepMap | Descartes | 0.38 | 49.62 |
HHIP | 0.0032466 | 239 | GTEx | DepMap | Descartes | 0.64 | 24.48 |
GLI2 | 0.0030679 | 252 | GTEx | DepMap | Descartes | 0.11 | 9.42 |
EDNRA | 0.0028571 | 283 | GTEx | DepMap | Descartes | 0.23 | 27.35 |
Descartes sympathoblasts markers
Top 50 marker genes of sympathoblasts cells in the Decartes fetal adrenal single cell map (https://atlas.brotmanbaty.org/bbi/human-gene-expression-during-development/cell/sympathoblasts/in/adrenal)
Wilcoxon ranksum test P-value for gene set overrepresentation: 9.40e-01
Mean rank of genes in gene set: 7189.55
Median rank of genes in gene set: 7321.5
Rank on gene expression program of top 30 genes in gene set:
Genes | Weight | Rank | GTEx | DepMap | Descartes | Mean.Counts | Mean.TPM |
---|---|---|---|---|---|---|---|
FAM155A | 0.0033182 | 232 | GTEx | DepMap | Descartes | 0.38 | 19.80 |
PENK | 0.0022175 | 375 | GTEx | DepMap | Descartes | 0.14 | 42.69 |
NTNG1 | 0.0006517 | 1111 | GTEx | DepMap | Descartes | 0.03 | 3.14 |
MGAT4C | 0.0005865 | 1205 | GTEx | DepMap | Descartes | 0.17 | 3.12 |
LAMA3 | 0.0004579 | 1396 | GTEx | DepMap | Descartes | 0.03 | 1.15 |
PACRG | 0.0001386 | 2597 | GTEx | DepMap | Descartes | 0.02 | 3.06 |
ROBO1 | 0.0000255 | 3592 | GTEx | DepMap | Descartes | 0.14 | 7.95 |
TIAM1 | 0.0000203 | 3657 | GTEx | DepMap | Descartes | 0.08 | 4.48 |
ST18 | -0.0000815 | 5833 | GTEx | DepMap | Descartes | 0.00 | 0.00 |
AGBL4 | -0.0000912 | 6067 | GTEx | DepMap | Descartes | 0.00 | 0.00 |
SLC35F3 | -0.0000967 | 6197 | GTEx | DepMap | Descartes | 0.00 | 0.00 |
SLC24A2 | -0.0001017 | 6323 | GTEx | DepMap | Descartes | 0.00 | 0.00 |
TBX20 | -0.0001077 | 6466 | GTEx | DepMap | Descartes | 0.00 | 0.00 |
CNTN3 | -0.0001120 | 6568 | GTEx | DepMap | Descartes | 0.02 | 1.43 |
KSR2 | -0.0001180 | 6704 | GTEx | DepMap | Descartes | 0.00 | 0.00 |
GALNTL6 | -0.0001352 | 7138 | GTEx | DepMap | Descartes | 0.00 | 0.00 |
GRM7 | -0.0001368 | 7175 | GTEx | DepMap | Descartes | 0.00 | 0.00 |
SORCS3 | -0.0001379 | 7194 | GTEx | DepMap | Descartes | 0.00 | 0.00 |
CDH12 | -0.0001429 | 7315 | GTEx | DepMap | Descartes | 0.00 | 0.00 |
GRID2 | -0.0001435 | 7328 | GTEx | DepMap | Descartes | 0.00 | 0.00 |
EML6 | -0.0001496 | 7452 | GTEx | DepMap | Descartes | 0.00 | 0.00 |
PCSK2 | -0.0001541 | 7563 | GTEx | DepMap | Descartes | 0.00 | 0.00 |
TENM1 | -0.0001563 | 7597 | GTEx | DepMap | Descartes | 0.02 | NA |
CCSER1 | -0.0001815 | 8201 | GTEx | DepMap | Descartes | 0.00 | NA |
CDH18 | -0.0001832 | 8234 | GTEx | DepMap | Descartes | 0.00 | 0.00 |
DGKK | -0.0002143 | 8900 | GTEx | DepMap | Descartes | 0.00 | 0.00 |
SPOCK3 | -0.0002441 | 9543 | GTEx | DepMap | Descartes | 0.00 | 0.00 |
C1QL1 | -0.0002659 | 9954 | GTEx | DepMap | Descartes | 0.05 | 8.25 |
ARC | -0.0002875 | 10270 | GTEx | DepMap | Descartes | 0.12 | 17.25 |
HTATSF1 | -0.0002889 | 10298 | GTEx | DepMap | Descartes | 0.28 | 56.63 |
Descartes erythroblasts markers
Top 50 marker genes of erythroblasts cells in the Decartes fetal adrenal single cell map (https://atlas.brotmanbaty.org/bbi/human-gene-expression-during-development/cell/erythroblasts/in/adrenal)
Wilcoxon ranksum test P-value for gene set overrepresentation: 8.70e-01
Mean rank of genes in gene set: 7031.59
Median rank of genes in gene set: 7066
Rank on gene expression program of top 30 genes in gene set:
Genes | Weight | Rank | GTEx | DepMap | Descartes | Mean.Counts | Mean.TPM |
---|---|---|---|---|---|---|---|
SELENBP1 | 0.0011218 | 749 | GTEx | DepMap | Descartes | 0.20 | 44.17 |
MICAL2 | 0.0006544 | 1108 | GTEx | DepMap | Descartes | 0.28 | 19.76 |
ABCB10 | 0.0002653 | 1926 | GTEx | DepMap | Descartes | 0.00 | 0.00 |
GCLC | 0.0002032 | 2233 | GTEx | DepMap | Descartes | 0.09 | 16.23 |
TRAK2 | 0.0001081 | 2839 | GTEx | DepMap | Descartes | 0.19 | 13.72 |
RAPGEF2 | 0.0000798 | 3088 | GTEx | DepMap | Descartes | 0.11 | 5.54 |
RHD | -0.0000070 | 4010 | GTEx | DepMap | Descartes | 0.00 | 0.00 |
MARCH3 | -0.0000167 | 4164 | GTEx | DepMap | Descartes | 0.11 | NA |
DENND4A | -0.0000416 | 4734 | GTEx | DepMap | Descartes | 0.12 | 7.68 |
SLC25A21 | -0.0000706 | 5536 | GTEx | DepMap | Descartes | 0.00 | 0.00 |
RGS6 | -0.0000913 | 6074 | GTEx | DepMap | Descartes | 0.02 | 1.00 |
ALAS2 | -0.0000937 | 6126 | GTEx | DepMap | Descartes | 0.00 | 0.00 |
CPOX | -0.0001093 | 6504 | GTEx | DepMap | Descartes | 0.06 | 10.62 |
BLVRB | -0.0001164 | 6670 | GTEx | DepMap | Descartes | 0.62 | 184.17 |
SLC4A1 | -0.0001321 | 7066 | GTEx | DepMap | Descartes | 0.02 | 1.00 |
SPTB | -0.0001574 | 7618 | GTEx | DepMap | Descartes | 0.00 | 0.00 |
TFR2 | -0.0001583 | 7641 | GTEx | DepMap | Descartes | 0.00 | 0.00 |
TMCC2 | -0.0001847 | 8268 | GTEx | DepMap | Descartes | 0.00 | 0.00 |
XPO7 | -0.0002076 | 8778 | GTEx | DepMap | Descartes | 0.08 | 9.19 |
ANK1 | -0.0002546 | 9734 | GTEx | DepMap | Descartes | 0.00 | 0.00 |
CAT | -0.0002714 | 10060 | GTEx | DepMap | Descartes | 0.33 | 74.55 |
SOX6 | -0.0002763 | 10128 | GTEx | DepMap | Descartes | 0.00 | 0.00 |
FECH | -0.0003181 | 10716 | GTEx | DepMap | Descartes | 0.03 | 1.61 |
SLC25A37 | -0.0003207 | 10746 | GTEx | DepMap | Descartes | 0.22 | 29.00 |
SPECC1 | -0.0003266 | 10818 | GTEx | DepMap | Descartes | 0.00 | 0.00 |
TSPAN5 | -0.0003663 | 11220 | GTEx | DepMap | Descartes | 0.12 | 14.62 |
GYPC | -0.0004207 | 11682 | GTEx | DepMap | Descartes | 0.97 | 273.75 |
EPB41 | -0.0004382 | 11791 | GTEx | DepMap | Descartes | 0.00 | 0.00 |
SNCA | -0.0004562 | 11889 | GTEx | DepMap | Descartes | 0.02 | 1.43 |
NA | NA | NA | NA | NA | NA | NA | NA |
Descartes myeloid markers
Top 50 marker genes of myeloid cells in the Decartes fetal adrenal single cell map (https://atlas.brotmanbaty.org/bbi/human-gene-expression-during-development/cell/myeloid/in/adrenal)
Wilcoxon ranksum test P-value for gene set overrepresentation: 9.91e-01
Mean rank of genes in gene set: 7660.26
Median rank of genes in gene set: 9477
Rank on gene expression program of top 30 genes in gene set:
Genes | Weight | Rank | GTEx | DepMap | Descartes | Mean.Counts | Mean.TPM |
---|---|---|---|---|---|---|---|
AXL | 0.0042277 | 169 | GTEx | DepMap | Descartes | 1.44 | 143.58 |
CST3 | 0.0018576 | 442 | GTEx | DepMap | Descartes | 19.53 | 3001.57 |
RBPJ | 0.0010214 | 798 | GTEx | DepMap | Descartes | 1.41 | 131.52 |
FGL2 | 0.0010138 | 803 | GTEx | DepMap | Descartes | 1.05 | 111.73 |
RGL1 | 0.0009159 | 867 | GTEx | DepMap | Descartes | 0.28 | 32.80 |
ABCA1 | 0.0003699 | 1601 | GTEx | DepMap | Descartes | 0.33 | 18.70 |
CTSC | 0.0003453 | 1665 | GTEx | DepMap | Descartes | 0.86 | 74.82 |
SLC9A9 | 0.0000904 | 2991 | GTEx | DepMap | Descartes | 0.05 | 8.79 |
SLC1A3 | 0.0000750 | 3120 | GTEx | DepMap | Descartes | 0.06 | 9.01 |
WWP1 | 0.0000368 | 3457 | GTEx | DepMap | Descartes | 0.09 | 12.80 |
TGFBI | -0.0000547 | 5066 | GTEx | DepMap | Descartes | 0.31 | 37.40 |
ATP8B4 | -0.0000586 | 5209 | GTEx | DepMap | Descartes | 0.00 | 0.00 |
SFMBT2 | -0.0000674 | 5456 | GTEx | DepMap | Descartes | 0.02 | 0.78 |
HRH1 | -0.0001175 | 6698 | GTEx | DepMap | Descartes | 0.06 | 8.92 |
MSR1 | -0.0001212 | 6797 | GTEx | DepMap | Descartes | 0.00 | 0.00 |
LGMN | -0.0001429 | 7316 | GTEx | DepMap | Descartes | 0.28 | 80.67 |
MERTK | -0.0001681 | 7872 | GTEx | DepMap | Descartes | 0.00 | 0.00 |
SPP1 | -0.0001699 | 7927 | GTEx | DepMap | Descartes | 0.19 | 46.21 |
ITPR2 | -0.0002285 | 9235 | GTEx | DepMap | Descartes | 0.16 | 7.62 |
IFNGR1 | -0.0002541 | 9719 | GTEx | DepMap | Descartes | 0.52 | 110.16 |
CSF1R | -0.0002605 | 9850 | GTEx | DepMap | Descartes | 0.03 | 12.88 |
SLCO2B1 | -0.0002721 | 10070 | GTEx | DepMap | Descartes | 0.00 | 0.00 |
FMN1 | -0.0002868 | 10260 | GTEx | DepMap | Descartes | 0.03 | 0.89 |
ADAP2 | -0.0003003 | 10468 | GTEx | DepMap | Descartes | 0.00 | 0.00 |
CD163 | -0.0003108 | 10612 | GTEx | DepMap | Descartes | 0.02 | 1.45 |
MS4A4A | -0.0003299 | 10854 | GTEx | DepMap | Descartes | 0.00 | 0.00 |
CTSD | -0.0003425 | 10987 | GTEx | DepMap | Descartes | 0.55 | 147.96 |
FGD2 | -0.0003460 | 11024 | GTEx | DepMap | Descartes | 0.00 | 0.00 |
MARCH1 | -0.0003861 | 11409 | GTEx | DepMap | Descartes | 0.00 | NA |
CYBB | -0.0004152 | 11643 | GTEx | DepMap | Descartes | 0.00 | 0.00 |
Descartes Schwann markers
Top 50 marker genes of Schwann cells in the Decartes fetal adrenal single cell map (https://atlas.brotmanbaty.org/bbi/human-gene-expression-during-development/cell/schwann/in/adrenal)
Wilcoxon ranksum test P-value for gene set overrepresentation: 9.19e-03
Mean rank of genes in gene set: 4989.59
Median rank of genes in gene set: 4743.5
Rank on gene expression program of top 30 genes in gene set:
Genes | Weight | Rank | GTEx | DepMap | Descartes | Mean.Counts | Mean.TPM |
---|---|---|---|---|---|---|---|
COL5A2 | 0.0078606 | 33 | GTEx | DepMap | Descartes | 3.59 | 274.16 |
PLP1 | 0.0040988 | 178 | GTEx | DepMap | Descartes | 0.20 | 28.41 |
LAMC1 | 0.0037261 | 197 | GTEx | DepMap | Descartes | 1.17 | 77.05 |
ADAMTS5 | 0.0033946 | 225 | GTEx | DepMap | Descartes | 1.42 | 67.95 |
SFRP1 | 0.0033690 | 229 | GTEx | DepMap | Descartes | 1.94 | 244.24 |
LAMA4 | 0.0028820 | 276 | GTEx | DepMap | Descartes | 1.41 | 105.73 |
FIGN | 0.0028114 | 292 | GTEx | DepMap | Descartes | 0.20 | 9.96 |
LAMB1 | 0.0019750 | 414 | GTEx | DepMap | Descartes | 0.73 | 67.23 |
EGFLAM | 0.0017662 | 474 | GTEx | DepMap | Descartes | 0.23 | 26.01 |
VIM | 0.0014802 | 571 | GTEx | DepMap | Descartes | 16.41 | 2974.11 |
STARD13 | 0.0008971 | 885 | GTEx | DepMap | Descartes | 0.09 | 7.78 |
KCTD12 | 0.0008940 | 887 | GTEx | DepMap | Descartes | 0.52 | 46.16 |
MARCKS | 0.0007512 | 1000 | GTEx | DepMap | Descartes | 5.06 | 598.05 |
PLCE1 | 0.0006872 | 1070 | GTEx | DepMap | Descartes | 0.20 | 6.37 |
PMP22 | 0.0006297 | 1139 | GTEx | DepMap | Descartes | 3.39 | 845.85 |
COL18A1 | 0.0005970 | 1190 | GTEx | DepMap | Descartes | 0.55 | 42.88 |
VCAN | 0.0004766 | 1358 | GTEx | DepMap | Descartes | 2.47 | 94.96 |
GAS7 | 0.0003828 | 1569 | GTEx | DepMap | Descartes | 0.89 | 53.32 |
NRXN3 | 0.0002373 | 2054 | GTEx | DepMap | Descartes | 0.02 | 0.73 |
DST | 0.0001422 | 2574 | GTEx | DepMap | Descartes | 0.95 | 23.82 |
SOX5 | -0.0000140 | 4126 | GTEx | DepMap | Descartes | 0.00 | 0.00 |
COL25A1 | -0.0000362 | 4619 | GTEx | DepMap | Descartes | 0.00 | 0.00 |
GRIK3 | -0.0000462 | 4868 | GTEx | DepMap | Descartes | 0.00 | 0.00 |
MDGA2 | -0.0000548 | 5070 | GTEx | DepMap | Descartes | 0.00 | 0.00 |
IL1RAPL1 | -0.0001014 | 6312 | GTEx | DepMap | Descartes | 0.00 | 0.00 |
EDNRB | -0.0001042 | 6377 | GTEx | DepMap | Descartes | 0.05 | 5.14 |
MPZ | -0.0001265 | 6918 | GTEx | DepMap | Descartes | 0.00 | 0.00 |
HMGA2 | -0.0001297 | 6985 | GTEx | DepMap | Descartes | 0.00 | 0.00 |
PTPRZ1 | -0.0001297 | 6986 | GTEx | DepMap | Descartes | 0.00 | 0.00 |
ERBB3 | -0.0001408 | 7258 | GTEx | DepMap | Descartes | 0.00 | 0.00 |
Descartes Megakaryocytes markers
Top 50 marker genes of Megakaryocytes cells in the Decartes fetal adrenal single cell map (https://atlas.brotmanbaty.org/bbi/human-gene-expression-during-development/cell/megakaryocytes/in/adrenal)
Wilcoxon ranksum test P-value for gene set overrepresentation: 5.90e-01
Mean rank of genes in gene set: 6398.11
Median rank of genes in gene set: 6635
Rank on gene expression program of top 30 genes in gene set:
Genes | Weight | Rank | GTEx | DepMap | Descartes | Mean.Counts | Mean.TPM |
---|---|---|---|---|---|---|---|
GSN | 0.0040274 | 182 | GTEx | DepMap | Descartes | 19.52 | 1420.80 |
LTBP1 | 0.0036762 | 200 | GTEx | DepMap | Descartes | 0.67 | 48.90 |
SLC24A3 | 0.0025727 | 322 | GTEx | DepMap | Descartes | 0.08 | 9.21 |
THBS1 | 0.0015290 | 556 | GTEx | DepMap | Descartes | 4.81 | 390.30 |
VCL | 0.0014612 | 579 | GTEx | DepMap | Descartes | 0.67 | 42.16 |
PDE3A | 0.0013429 | 633 | GTEx | DepMap | Descartes | 0.06 | 3.94 |
STOM | 0.0009988 | 818 | GTEx | DepMap | Descartes | 1.30 | 228.94 |
SLC2A3 | 0.0007591 | 994 | GTEx | DepMap | Descartes | 3.09 | 333.99 |
DOK6 | 0.0005180 | 1289 | GTEx | DepMap | Descartes | 0.09 | 3.90 |
TPM4 | 0.0005101 | 1301 | GTEx | DepMap | Descartes | 2.62 | 284.11 |
MYLK | 0.0004860 | 1347 | GTEx | DepMap | Descartes | 0.23 | 20.71 |
ZYX | 0.0004228 | 1470 | GTEx | DepMap | Descartes | 1.02 | 252.11 |
ARHGAP6 | 0.0002473 | 2006 | GTEx | DepMap | Descartes | 0.09 | 7.07 |
TLN1 | 0.0001919 | 2282 | GTEx | DepMap | Descartes | 0.91 | 59.81 |
ITGB3 | 0.0001022 | 2890 | GTEx | DepMap | Descartes | 0.05 | 6.48 |
LIMS1 | 0.0000541 | 3305 | GTEx | DepMap | Descartes | 0.66 | 81.47 |
PRKAR2B | 0.0000243 | 3608 | GTEx | DepMap | Descartes | 0.14 | 16.26 |
FLNA | 0.0000170 | 3686 | GTEx | DepMap | Descartes | 1.31 | 80.78 |
ACTN1 | -0.0000740 | 5621 | GTEx | DepMap | Descartes | 0.47 | 53.06 |
TUBB1 | -0.0000947 | 6144 | GTEx | DepMap | Descartes | 0.00 | 0.00 |
CD9 | -0.0001064 | 6422 | GTEx | DepMap | Descartes | 0.98 | 248.39 |
ITGA2B | -0.0001103 | 6530 | GTEx | DepMap | Descartes | 0.00 | 0.00 |
MED12L | -0.0001153 | 6635 | GTEx | DepMap | Descartes | 0.02 | 0.59 |
STON2 | -0.0001309 | 7025 | GTEx | DepMap | Descartes | 0.06 | 5.82 |
ANGPT1 | -0.0001413 | 7264 | GTEx | DepMap | Descartes | 0.02 | 2.37 |
MCTP1 | -0.0001855 | 8276 | GTEx | DepMap | Descartes | 0.05 | 4.55 |
P2RX1 | -0.0002038 | 8688 | GTEx | DepMap | Descartes | 0.00 | 0.00 |
GP1BA | -0.0002086 | 8806 | GTEx | DepMap | Descartes | 0.00 | 0.00 |
TRPC6 | -0.0002168 | 8965 | GTEx | DepMap | Descartes | 0.00 | 0.00 |
INPP4B | -0.0002169 | 8968 | GTEx | DepMap | Descartes | 0.00 | 0.00 |
Descartes Lyphoid markers
Top 50 marker genes of Lyphoid cells in the Decartes fetal adrenal single cell map (https://atlas.brotmanbaty.org/bbi/human-gene-expression-during-development/cell/lymphoid/in/adrenal)
Wilcoxon ranksum test P-value for gene set overrepresentation: 1.00e+00
Mean rank of genes in gene set: 9411.36
Median rank of genes in gene set: 11145.5
Rank on gene expression program of top 30 genes in gene set:
Genes | Weight | Rank | GTEx | DepMap | Descartes | Mean.Counts | Mean.TPM |
---|---|---|---|---|---|---|---|
ARID5B | 0.0050353 | 119 | GTEx | DepMap | Descartes | 5.55 | 392.84 |
ABLIM1 | 0.0010487 | 781 | GTEx | DepMap | Descartes | 0.97 | 54.36 |
NCALD | 0.0005585 | 1241 | GTEx | DepMap | Descartes | 0.56 | 89.68 |
CELF2 | 0.0003636 | 1616 | GTEx | DepMap | Descartes | 1.56 | 101.47 |
MBNL1 | 0.0003533 | 1644 | GTEx | DepMap | Descartes | 0.98 | 82.40 |
PLEKHA2 | 0.0002195 | 2141 | GTEx | DepMap | Descartes | 0.39 | 32.22 |
ARHGAP15 | 0.0001165 | 2768 | GTEx | DepMap | Descartes | 0.44 | 62.12 |
ITPKB | -0.0000638 | 5378 | GTEx | DepMap | Descartes | 0.00 | 0.00 |
BCL2 | -0.0001495 | 7449 | GTEx | DepMap | Descartes | 0.17 | 11.56 |
STK39 | -0.0001730 | 8001 | GTEx | DepMap | Descartes | 0.11 | 13.19 |
TOX | -0.0002162 | 8949 | GTEx | DepMap | Descartes | 0.03 | 3.44 |
DOCK10 | -0.0002260 | 9190 | GTEx | DepMap | Descartes | 0.08 | 5.11 |
FOXP1 | -0.0002490 | 9617 | GTEx | DepMap | Descartes | 0.80 | 41.87 |
BACH2 | -0.0002641 | 9919 | GTEx | DepMap | Descartes | 0.09 | 8.07 |
SP100 | -0.0002680 | 9998 | GTEx | DepMap | Descartes | 0.55 | 52.46 |
RAP1GAP2 | -0.0003080 | 10567 | GTEx | DepMap | Descartes | 0.00 | 0.00 |
MSN | -0.0003245 | 10795 | GTEx | DepMap | Descartes | 0.59 | 79.78 |
MCTP2 | -0.0003283 | 10834 | GTEx | DepMap | Descartes | 0.02 | 1.04 |
PDE3B | -0.0003352 | 10905 | GTEx | DepMap | Descartes | 0.03 | 3.06 |
SAMD3 | -0.0003399 | 10962 | GTEx | DepMap | Descartes | 0.00 | 0.00 |
SCML4 | -0.0003566 | 11134 | GTEx | DepMap | Descartes | 0.02 | 1.47 |
LEF1 | -0.0003591 | 11157 | GTEx | DepMap | Descartes | 0.02 | 2.05 |
SKAP1 | -0.0003714 | 11275 | GTEx | DepMap | Descartes | 0.00 | 0.00 |
PITPNC1 | -0.0003825 | 11382 | GTEx | DepMap | Descartes | 0.02 | 1.52 |
ANKRD44 | -0.0003948 | 11470 | GTEx | DepMap | Descartes | 0.16 | 13.44 |
FYN | -0.0003997 | 11515 | GTEx | DepMap | Descartes | 0.70 | 105.61 |
SORL1 | -0.0004010 | 11526 | GTEx | DepMap | Descartes | 0.03 | 1.13 |
CD44 | -0.0004019 | 11535 | GTEx | DepMap | Descartes | 1.41 | 110.97 |
CCL5 | -0.0004543 | 11882 | GTEx | DepMap | Descartes | 0.06 | 14.34 |
PRKCH | -0.0004591 | 11900 | GTEx | DepMap | Descartes | 0.05 | 11.28 |
Below shows the ranks on this GEP for immune marker gene lists curated by CellTypist (https://www.celltypist.org/encyclopedia).
High ranks indicate this gene is a driver of this GEP.
These curated gene list are ranked by P-value (on this GEP) of their constituent genes.
The Mean Count column shows the mean read count in cells scoring highly (H > 50) on this gene expression program.
Genes | Weight | Rank | GTEx | DepMap | Decartes | Mean.Counts | Mean.TPM |
---|---|---|---|---|---|---|---|
ANGPTL1 | 0.0107976 | 10 | GTEx | DepMap | Descartes | 2.95 | 442.23 |
PDGFRA | 0.0066061 | 57 | GTEx | DepMap | Descartes | 1.14 | 102.51 |
NTRK2 | 0.0065012 | 62 | GTEx | DepMap | Descartes | 1.70 | 109.20 |
SMOC2 | 0.0059561 | 78 | GTEx | DepMap | Descartes | 1.03 | 180.64 |
F10 | 0.0055095 | 92 | GTEx | DepMap | Descartes | 1.06 | 339.69 |
PRRX1 | 0.0049830 | 121 | GTEx | DepMap | Descartes | 1.69 | 199.51 |
OLFML1 | 0.0038861 | 188 | GTEx | DepMap | Descartes | 0.42 | 84.18 |
SFRP1 | 0.0033690 | 229 | GTEx | DepMap | Descartes | 1.94 | 244.24 |
EBF2 | 0.0011445 | 736 | GTEx | DepMap | Descartes | 0.38 | 34.81 |
Fibroblasts: Fibroblasts (curated markers)
the most common cells of connective tissues which synthesize the extracellular matrix and collagen to maintain tissue homeostasis:
Wilcoxon ranksum test P-value for gene set overrepresentation: 1.40e-03
Mean rank of genes in gene set: 24.67
Rank on gene expression program of genes in gene set:
Genes | Weight | Rank | GTEx | DepMap | Decartes | Mean.Counts | Mean.TPM |
---|---|---|---|---|---|---|---|
COL1A1 | 0.0123711 | 5 | GTEx | DepMap | Descartes | 140.47 | 12723.88 |
COL1A2 | 0.0121613 | 6 | GTEx | DepMap | Descartes | 89.59 | 7833.38 |
DCN | 0.0064459 | 63 | GTEx | DepMap | Descartes | 32.17 | 2383.25 |
DC: Transitional DC (curated markers)
immature dendritic cells which follow dendritic cell precursors and are committed to the mature dendritic cells:
Wilcoxon ranksum test P-value for gene set overrepresentation: 9.04e-03
Mean rank of genes in gene set: 219.5
Rank on gene expression program of genes in gene set:
Genes | Weight | Rank | GTEx | DepMap | Decartes | Mean.Counts | Mean.TPM |
---|---|---|---|---|---|---|---|
AXL | 0.0042277 | 169 | GTEx | DepMap | Descartes | 1.44 | 143.58 |
KLF4 | 0.0029092 | 270 | GTEx | DepMap | Descartes | 2.62 | 449.48 |